Iván Rodríguez Ortega, Zootecnista
Departamento Técnico INDAGRO SA
Región Caribe
Anestro Verdadero
La vaca no aparece en celo por inactividad
ovárica
Se distinguen dos tipos de ovarios:
Ovario activo: con folículos mayores de 10
mm de diámetro, donde los dominantes se
desarrollan pero no ovulan.
Ovario inactivo: con folículos menores de 10
mm de diámetro que aparecen entre 10 a 15
días posparto.
(Pedroso y Roler, 1997)
La hipoglucemia es la primera alteración
bioquímica responsable de la infertilidad
inducida por el insuficiente aporte de
energía durante la lactancia.
(Nancarom y Padford, 1978)
Nutrición y Anestro
Se ha demostrado la intima relación existente
entre niveles bajos de glucosa e infertilidad: La
hipoglucemia y la infertilidad, regularmente se
hallan relacionadas en aquellas vacas
lactantes que son introducidas en la
alimentación a base de pastos, lo que se
atribuye a una deficiencia en el aporte
energético de la alimentación
(Pedroso y col, 1979)
NUTRICIÓN Y ANESTRO
NUTRICIÓN Y ANESTRO
Se encuentran hembras con un Balance Energético
Negativo (BEN), en las cuales es frecuente observar
ciclos cortos y quistes ováricos.
(Pedroso y Bonachea, 1993; Pedroso et al, 1995)
El estado nutricional reflejado por el peso y la condición
corporal durante el periodo de apareamiento,
marcadamente influencia la fertilidad.
(Lamond citado por Gomez, L.J., 1981)
NUTRICIÓN Y ANESTRO
El balance de Energía y su efecto en la
hormona LH modulan el comportamiento
reproductivo en las vacas: Las vacas con
valores buenos en Condición Corporal
presentan una mayor frecuencia de pulso de
la hormona, una cantidad total de folículos
superior y por tanto un periodo de anestro
mas corto, en relación a vacas con valores
extremos de condición corporal
(López, R.)
NUTRICIÓN Y ANESTRO
Durante el final de la gestación las tres cuartas partes
de la glucosa formada son consumidas por el feto. Un
insuficiente aporte de energía en la dieta durante este
periodo puede provocar una considerable reducción de
las reservas de glucosa en sangre durante el final de la
gestación, así como el periodo del año de mayor
temperatura ambiental.
(Stevenson y Wilson, 1975)
Cuando el vientre cumpla 7.5 meses de gestación
debe diferenciarse la alimentación, reforzando el
aporte de energía en la dieta.
El deficiente estado nutricional de las vacas antes del
parto es un problema de gran repercusión negativa:
Las vacas que paren flacas producen poca leche, tiene
lactancia corta y sobre todo presentan muchas
dificultades para presentar celo.
Es imprescindible que vacas y novillas lleguen al parto
gordas, para que tengan suficientes reservas para
enfrentar el desbalance que ocurre después del parto.
Empresa Pecuaria Genética: Valle del Perú, Cuba.
Los bovinos de mayores requerimientos en la cría
son en su orden:
•Vacas y novillas próximas al parto.
•Vacas de primer parto.
•Hembras de levante.
El balance de Energía es el resultado neto de la
asociación entre el nivel de producción, la calidad de
la dieta, el consumo, y el uso de los nutrientes por la
vaca.
(López, R.)
NUTRICIÓN Y ANESTRO
NUTRICIÓN Y ANESTRO
Efectos de la alimentación pre y post parto en la actividad
reproductiva (adaptado de W. Harresign, 1993)
Niveles de
alimentación
Pre-parto Post-parto Condición
Corporal al parto
% de vacas con estro
en 90 días postparto
Involución Uterina
Alto Alto 6.8 95 35
Alto Bajo 6.5 86 38
Bajo Alto 4.4 85 40
Bajo Bajo 4.5 22 42
CONDICIÓN CORPORAL Y ANESTRO
Efecto de la Condición Corporal perdida en el
comportamiento de algunos parámetros
reproductivos:
Condición Corporal Perdida
Parámetros Menor 0.5 0.5 – 1.0 Mayor 1.0
Días a la primera
ovulación
27 + 2 31 + 2 42 + 5
Días al primer estro
visual
48 + 6 41 + 3 62 + 7
Días al primer servicio 68 + 4 67 + 2 79 + 5
Concepción al primer
servicio %
65 53 17
Servicios por concepción 1.8 + 0.4 2.3 + 0.2 2.3 + 0.4
(Smith et al, 1983)
CONDICIÓN CORPORAL Y ANESTRO
Efecto de la Condición Corporal sobre la respuesta a la
inducción y sincronización del celo usando progesterona
y PG – F2ά en novillas Holstein x Cebú:
C.C. n % celos % ovulación % preñez
1.0 – 2.0 191 87,0 26,9 8,3
2.5 – 3.0 403 79,0 72,4 41,3
CONDICIÓN CORPORAL Y ANESTRO
Los intervalos parto primer servicio y parto
concepción se afectan negativamente
cuando las vacas pierden mas de un punto
en condición corporal, incrementándose el
numero de animales que repiten servicio.
(López, R.)
La condición de lactante disminuye
la habilidad reproductiva, siendo
necesaria una alimentación extra.
(Gomez, L. J., 1981)
ESTADO FISIOLÓGICO Y ANESTRO
Amamantamiento y Anestro
En ganado vacuno de carne debido al
efecto supresor del amamantamiento, la
nutrición y época del año, hasta el 60% de
las vacas no habrán ovulado a 40 días post
parto.
(Intervet, 1995)
Amamantamiento y Anestro
En los sistemas de producción de doble propósito y cría
libre de la región caribe Colombiana, la ausencia del estro
después de 30 días post parto determina la amplitud del
intervalo parto – primer celo y en consecuencia del IPC.
(Wiltbank, 1970)
Si las vacas no presentan calor se aumenta el IEP y por ende
se disminuyen las tasa de preñez y de natalidad del hato.
(Prieto y col)
La regulación del amamantamiento y los estímulos de la
lactancia se manifiestan como una opción de manejo
viable para reducir el intervalo parto primer calor.
(Galina y Arthur, 1989)
Disminución
del periodo
previo al
inicio de la
vida
reproductiva
Obtención
del mayor
número de
partos en la
vida útil
productiva
Extensión de
la vida útil
productiva
EFICIENCIA
REPRODUCTIVA
Las características fenotípicas relativas a la
reproducción son determinadas mas por el
ambiente que por la dotación genética o
genotipo.
(Gómez, L. J., 1981)
Cerca del 95% de la variación que
experimenta el intervalo entre partos es
atribuible a razones no genéticas, por lo que
existen muchas posibilidades de mejorar las
condiciones en que se produce – Manejo
animal – de forma que se acorte tal IEP.
Eficiencia Reproductiva
Grupo de factores que influyen en el rendimiento
reproductivo
Clima
Interacción
animal – medio
Evolución
Rendimiento
reproductivo
El comportamiento reproductivo es la
mejor medida de adaptación a unas
condiciones ambientales dadas, ya
que es de la capacidad de dejar
descendencia fértil de donde depende
el grado de adaptación de un animal
cualquiera.
(Gómez, L. J., 1981)
La reproducción es seguramente la
característica individual, junto con el
crecimiento, más importante desde el
punto de vista de su peso económico en
el rendimiento de la explotación del
ganado de cría.
(Gómez, L. J., 1981)
Disponibilidad de
pastos
SISTEMA DE ATENCIÓN A LA REPRODUCCIÓN
Forrajes
Suplementos
Análisis
Bromatológico
Balance
Alimentario
Determinación
de la Condición
Corporal
8.5 meses de
gestación
10 – 20 días de
parida
2 meses post parto
Problemas
Reproductivo
Novillas
•Incorporación de la
novilla
•Atención al parto y
recién nacido.
•Tto profiláctico y
metafiláctico del
puerperio.
•Terapia de la
Hembra con
problemas
reproductivos.
•Control de las
actividades de
celaje.
•Observación del
primer celo post
parto.
•Estado de los
controles
reproductivos.
Calidad
seminal
Monta libre
Examen
Clínico
andrológico
Estaciones
de semen
Termo del
Inseminador
Exámenes Complementarios
Aspectos claves en el control
reproductivo
Problema Parámetro a Evaluar
Ciclicidad atrasada de
novillas
Edad y peso al primer servicio
y al primer parto
Atraso en el reinicio de la
ciclicidad post parto
(anestro)
Intervalo parto – Celo
Intervalo parto – Servicio
Ciclicidad a 60 días post parto
Factores de Riesgo Variables a Controlar
NOVILLAS:
Fecundación Selección de progenitores
Control sanitario
Nutrición
Control Reproductivo
Reinicio de la ciclicidad posparto Época
Grupo racial
Numero de partos
Condición Corporal
Peso vivo
Efecto nutricional
Anestros prolongados – Días abiertos Amamantamiento
Nivel de producción láctea
VACAS PARIDAS:
Reproductivos Ciclicidad
Fertilidad
Repetición de servicios
Mortalidad embrionaria
Abortos
Quistes
•Municipio de Caucasia
•Vereda: La Ceiba ( a 20 km., de la cabecera municipal)
•Altitud: 50 m.s.n.m.
•Temperatura: 26 a 28°C.
•Humedad Relativa: 75%.
•Precipitación: 2.500 mm anuales.
•Zona de Vida: Bosque húmedo tropical- Bht.
•Extensión: 265 Has. ; 205 Has. en pastos.
•Textura del suelo: Franco arenoso a Franco arcilloso.
•Sistema de Producción : Actividad de Ganadería de Cría
Comercial bajo Pastoreo Extensivo Mejorado
Objetivo de producción:
Producir crías destetas para la
comercialización en subasta o a
clientes directos en finca.
DISTRIBUCION GENERAL DE PASTURAS
ESPECIE AREA (Ha) % OFERTA ESTIMADA
PB % EM Mcal/ Kg M.S Ca % P %
B. dictyoneura 31.92 15.59 6.7 1.60 0.19 0.22
Hyparrenia rufa 30.75 15.02 8.2 1.47 0.15 0.15
B. decumbens 16.53 8.07 6.7 1.52 0.36 0.15
B. humidicola 58.60 28.62 5.0 1.38 0.24 0.17
Andropogon
gayanus
10.48 5.12 6.7 1.30 0.43 0.11
Paspalum sp 15.10 7.37 8.1 1.22 0.46 0.13
Paspalum
paniculatum
5.27 2.57
Arvenses 36.10 17.64
GENERAL 204.75 100
CATEGORIA TOTAL PESO VIVO Kg. TOTAL U.A
VPP (Vaca parida preñada) 9 400 9.00
VPV (Vaca parida vacía) 88 390 85.80
CM (Cría macho) 49 105 12.86
CH (Cría hembra) 48 95 11.40
VHP (Vaca horra preñada) 47 425 49.94
VHV (Vaca horra vacía) 16 400 16.00
NVP (Novilla de vientre preñada) 25 390 24.37
NVV (Novilla de vientre vacía) 2 335 1.67
HL (Hembra de levante) 20 240 12.00
ML (Macho de levante) 2 270 1.35
HH (Hembra huérfana) 60
MH (Macho huérfano) 1 65 0.16
CA (Calentadores) 2 325 1.63
T (Toros) 6 575 8.63
SUBTOTAL 315 234.81
E (Equinos) 12 15.00
TOTAL 327 1.21
INVENTARIO GANADERO
FLUJOGRAMA DE LOTES
LOTE MATERNIDAD
NOVILLAS DE VIENTRE
LOTE VIENTRES EXPUESTOS
A SERVICIO HEMBRAS DE LEVANTE VENTA
CRÍA HEMBRA CRÍA MACHO
NOVILLAS VIENTRES PARIDOS
PREÑADAS PREÑADOS DESTETE
VIENTRES HORROS
PREÑADOS
P.E.T-- P.E.I VIENTRES HORROS VACIOS DESCARTE
DESTETE VHV-- NVV
Ingrediente Porcentaje
Gallinaza
Sal mineralizada
Flor de azufre
Melaza
Agua
57.61%
4.53%
0.82%
18.52%
18.52%Preparación
SUPLEMENTACIÓN
Bromatológico del Suplemento
Calcio 8.71%
Cenizas 49.50%
Fósforo 0.31%
Materia seca 79.77%
Proteína bruta 8.54%
Análisis económico del suplemento
Ingrediente Porcentaje Valor unitario (kg) Valor total
Gallinaza
Sal mineralizada
Flor de azufre
Melaza
Agua
Preparación
Repartición
57.61
4.53
0.82
18.52
18.52
$150.00
$900.00
$740.00
$350.00
----------
$13.06
$39.18
$8641.50
$4077.00
$606.80
$6482.00
----------
$1306.00
$3918.00
$250.31 $25031.30
PERIODO
CONSUMO
TOTAL (Kg) COSTO
15 días preparto 25,5 $ 6.382,90
IPC (134 días) 227,8 $ 57.020,62
Concepción - Destete
(136 días)
231,2 $ 57.871,67
$ 121.275,19
COSTO DE SUPLEMENTACION DE UN VIENTRE
INGRESO POR VENTA DE LA CRIA DESTETA
PESO REAL (Kg) PRECIO/KILOGRAMO VALOR TOTAL
182,50 $ 2.500 $ 456.250,00
RELACION COSTO/BENEFICIO
COSTO BENEFICIO C/B
$ 121.275,19 $ 456.250,00 26.58%
Costo sostenimiento
vientre/día
Costo
suplemento/vientre/día
Relación
$ 945,00 $ 425,52 46,00%
COSTO RELATIVO DEL SUPLEMENTO
EFECTO DE LA INTERRUPCION TEMPORAL
DEL AMAMANTAMIENTO Y LA
SUPLEMENTACION SOBRE EL I.E.P. Y EL PESO
AL DESTETE
IEP IEP
PESO
DESTETE
PESO
DESTETE VARIABLE DATOS
Penúltimo Último Penúltimo Último
días días kg. kg.
460,96 424,40 178,83 181,17 Promedio 72
82,09 64,67 32,44 31,28 Desv .Est. 72
-36,56 2,34 Diferencia 72
RESULTADOS DE CHEQUEOS
REPRODUCTIVOS
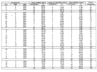
Fecha Palpación Frecuencia O.E Frecuencia
O.E/Palpación%
Frecuencia O.E
/Total de
palpaciones %
Media de
Condición
Corporal
FEBRERO 10 1/51 1.96 0.3 2.93
ABRIL 9 2/76 2.63 0.6 2.56
JUNIO 21 9/82 10.97 2.7 3.04
AGOSTO 19 7/65 10.76 2.10 2.91
NOVIEMBRE 8 4/59 6.78 1.20 2.64
GENERAL 23/333 6.9 2.82
Presentación Estacional de Ovarios Estáticos
2004
0,00%
5,00%
10,00%
15,00%
20,00%
25,00%
30,00%
35,00%
40,00%
E F M A M J J A S O N D
Meses
Precipitación
O.E.
Ovarios Estáticos Vs Precipitación
PROMEDIOS HISTORICOS DEL HATO (1987-2005)
PARAMETRO VALOR MEDIO DATOS
1987- 2005 1987 - 2002 1987- 2005 1987 - 2002
EDAD POR VACA 9 años 125
N° PARTOS
CUMPLIDOS
4.7 125
PESO AL DESTETE
REAL
177.9 kg 178.5 kg 531 422
I.E.P 461 480 584 422
INDICE DE VACA
ACUMULADO
0.396 0.370 531 422
INDICE DE VACA
ANUALIZADO
144.54 kg
TD/V/año
135.05 kg
TD/V/año
531 422
EDAD 1° PARTO 41.98 m 42.74 m 144 150
Estacionalidad reproductiva 2002
0
2
4
6
8
10
12
14
16
ENEROFEBR
ER
O
M
ARZO
ABR
IL
M
AYO
JUNIO
JULIO
AG
O
STO
SEPTIEM
BREO
C
TU
BRE
NO
VIEM
BREDICIEM
BR
E
N°Concepciones
0
100
200
300
400
500
600
Precipitacionesmm
N° CONCEPCIONES PRECIPITACIONES mm
NACIMIENTOS Vs PRECIPITACIONES 2002
0
2
4
6
8
10
12
14
16
E F M A M J J A S O N D
%Nacimientos
0
100
200
300
400
500
600
Precipitacionesmm
% Nacimientos Precipitaciones mm
Estacionalidad reproductiva 2003
0
5
10
15
20
25
ENEROFEBR
ER
O
M
ARZO
ABR
IL
M
AYO
JUNIO
JULIO
AG
O
STO
SEPTIEM
BREO
C
TU
BRE
NO
BIEM
BREDICIEM
BR
E
N°concepciones
0
100
200
300
400
500
600
precipitacionesmm
N° CONCEPCIONES PRECIPITACIONES mm
% NACIMIENTOS Vs PRECIPITACIONES 2003
0
2
4
6
8
10
12
14
E F M A M J J A S O N D
%Nacimientos
0
100
200
300
400
500
600
Precipitacionesmm
% Nacimientos Precipitaciones mm
% NACIMIENTOS Vs PRECIPITACIONES 2004
0
2
4
6
8
10
12
14
16
18
20
E F M A M J J A S O N D
%Nacimientos
0
50
100
150
200
250
300
350
400
450
Precipitacionesmm
% Nacimientos Precipitaciones mm
% Nacimientos 2002-2003-2004
2
3
4
5
6
7
8
9
10
11
12
13
14
15
16
17
18
19
(%Nacimientos)
Nacimientos 2002 Nacimientos 2003 Nacimientos 2004
Nacimientos 2002 10,58 7,69 10,58 5,77 3,85 7,69 2,88 3,85 9,61 13,46 11,54 12,5
Nacimientos 2003 9,09 11,87 10,49 3,49 8,39 8,39 5,59 6,29 4,89 7,69 11,89 11,89
Nacimientos 2004 9,33 6 16,66 2,66 6 6,66 5,33 4,66 6 6 12,66 18
E F M A M J J A S O N D
Comportamiento Estacional de los
Partos
0
100
200
300
400
500
600
Ago-04Sep-04O
ct-04Nov-04Dic-04Ene-05Feb-05M
ar-05Abr-05M
ay-05Jun-05Jul-05
0
2
4
6
8
10
12
14
16
18
PRECIPITACIÓN
%PARTOS MES
Comportamiento Estacional de las
Concepciones
0
50
100
150
200
250
300
350
400
O
ct-03Nov-03Dic-03Ene-04Feb-04M
ar-04Abr-04M
ay-04Jun-04Jul-04Ago-04Sep-04O
ct-04
0
2
4
6
8
10
12
14
16
PRECIPITACIÓN
% CONCEPCIÓN MES
GRACIAS

Anestro

  • 2.
    Iván Rodríguez Ortega,Zootecnista Departamento Técnico INDAGRO SA Región Caribe
  • 3.
    Anestro Verdadero La vacano aparece en celo por inactividad ovárica Se distinguen dos tipos de ovarios: Ovario activo: con folículos mayores de 10 mm de diámetro, donde los dominantes se desarrollan pero no ovulan. Ovario inactivo: con folículos menores de 10 mm de diámetro que aparecen entre 10 a 15 días posparto. (Pedroso y Roler, 1997)
  • 4.
    La hipoglucemia esla primera alteración bioquímica responsable de la infertilidad inducida por el insuficiente aporte de energía durante la lactancia. (Nancarom y Padford, 1978) Nutrición y Anestro
  • 5.
    Se ha demostradola intima relación existente entre niveles bajos de glucosa e infertilidad: La hipoglucemia y la infertilidad, regularmente se hallan relacionadas en aquellas vacas lactantes que son introducidas en la alimentación a base de pastos, lo que se atribuye a una deficiencia en el aporte energético de la alimentación (Pedroso y col, 1979) NUTRICIÓN Y ANESTRO
  • 6.
    NUTRICIÓN Y ANESTRO Seencuentran hembras con un Balance Energético Negativo (BEN), en las cuales es frecuente observar ciclos cortos y quistes ováricos. (Pedroso y Bonachea, 1993; Pedroso et al, 1995) El estado nutricional reflejado por el peso y la condición corporal durante el periodo de apareamiento, marcadamente influencia la fertilidad. (Lamond citado por Gomez, L.J., 1981)
  • 7.
    NUTRICIÓN Y ANESTRO Elbalance de Energía y su efecto en la hormona LH modulan el comportamiento reproductivo en las vacas: Las vacas con valores buenos en Condición Corporal presentan una mayor frecuencia de pulso de la hormona, una cantidad total de folículos superior y por tanto un periodo de anestro mas corto, en relación a vacas con valores extremos de condición corporal (López, R.)
  • 8.
    NUTRICIÓN Y ANESTRO Duranteel final de la gestación las tres cuartas partes de la glucosa formada son consumidas por el feto. Un insuficiente aporte de energía en la dieta durante este periodo puede provocar una considerable reducción de las reservas de glucosa en sangre durante el final de la gestación, así como el periodo del año de mayor temperatura ambiental. (Stevenson y Wilson, 1975)
  • 9.
    Cuando el vientrecumpla 7.5 meses de gestación debe diferenciarse la alimentación, reforzando el aporte de energía en la dieta. El deficiente estado nutricional de las vacas antes del parto es un problema de gran repercusión negativa: Las vacas que paren flacas producen poca leche, tiene lactancia corta y sobre todo presentan muchas dificultades para presentar celo. Es imprescindible que vacas y novillas lleguen al parto gordas, para que tengan suficientes reservas para enfrentar el desbalance que ocurre después del parto. Empresa Pecuaria Genética: Valle del Perú, Cuba.
  • 10.
    Los bovinos demayores requerimientos en la cría son en su orden: •Vacas y novillas próximas al parto. •Vacas de primer parto. •Hembras de levante. El balance de Energía es el resultado neto de la asociación entre el nivel de producción, la calidad de la dieta, el consumo, y el uso de los nutrientes por la vaca. (López, R.) NUTRICIÓN Y ANESTRO
  • 11.
    NUTRICIÓN Y ANESTRO Efectosde la alimentación pre y post parto en la actividad reproductiva (adaptado de W. Harresign, 1993) Niveles de alimentación Pre-parto Post-parto Condición Corporal al parto % de vacas con estro en 90 días postparto Involución Uterina Alto Alto 6.8 95 35 Alto Bajo 6.5 86 38 Bajo Alto 4.4 85 40 Bajo Bajo 4.5 22 42
  • 12.
    CONDICIÓN CORPORAL YANESTRO Efecto de la Condición Corporal perdida en el comportamiento de algunos parámetros reproductivos: Condición Corporal Perdida Parámetros Menor 0.5 0.5 – 1.0 Mayor 1.0 Días a la primera ovulación 27 + 2 31 + 2 42 + 5 Días al primer estro visual 48 + 6 41 + 3 62 + 7 Días al primer servicio 68 + 4 67 + 2 79 + 5 Concepción al primer servicio % 65 53 17 Servicios por concepción 1.8 + 0.4 2.3 + 0.2 2.3 + 0.4 (Smith et al, 1983)
  • 13.
    CONDICIÓN CORPORAL YANESTRO Efecto de la Condición Corporal sobre la respuesta a la inducción y sincronización del celo usando progesterona y PG – F2ά en novillas Holstein x Cebú: C.C. n % celos % ovulación % preñez 1.0 – 2.0 191 87,0 26,9 8,3 2.5 – 3.0 403 79,0 72,4 41,3
  • 14.
    CONDICIÓN CORPORAL YANESTRO Los intervalos parto primer servicio y parto concepción se afectan negativamente cuando las vacas pierden mas de un punto en condición corporal, incrementándose el numero de animales que repiten servicio. (López, R.)
  • 15.
    La condición delactante disminuye la habilidad reproductiva, siendo necesaria una alimentación extra. (Gomez, L. J., 1981) ESTADO FISIOLÓGICO Y ANESTRO
  • 17.
    Amamantamiento y Anestro Enganado vacuno de carne debido al efecto supresor del amamantamiento, la nutrición y época del año, hasta el 60% de las vacas no habrán ovulado a 40 días post parto. (Intervet, 1995)
  • 18.
    Amamantamiento y Anestro Enlos sistemas de producción de doble propósito y cría libre de la región caribe Colombiana, la ausencia del estro después de 30 días post parto determina la amplitud del intervalo parto – primer celo y en consecuencia del IPC. (Wiltbank, 1970) Si las vacas no presentan calor se aumenta el IEP y por ende se disminuyen las tasa de preñez y de natalidad del hato. (Prieto y col) La regulación del amamantamiento y los estímulos de la lactancia se manifiestan como una opción de manejo viable para reducir el intervalo parto primer calor. (Galina y Arthur, 1989)
  • 19.
    Disminución del periodo previo al iniciode la vida reproductiva Obtención del mayor número de partos en la vida útil productiva Extensión de la vida útil productiva EFICIENCIA REPRODUCTIVA
  • 20.
    Las características fenotípicasrelativas a la reproducción son determinadas mas por el ambiente que por la dotación genética o genotipo. (Gómez, L. J., 1981) Cerca del 95% de la variación que experimenta el intervalo entre partos es atribuible a razones no genéticas, por lo que existen muchas posibilidades de mejorar las condiciones en que se produce – Manejo animal – de forma que se acorte tal IEP. Eficiencia Reproductiva
  • 21.
    Grupo de factoresque influyen en el rendimiento reproductivo Clima Interacción animal – medio Evolución Rendimiento reproductivo
  • 22.
    El comportamiento reproductivoes la mejor medida de adaptación a unas condiciones ambientales dadas, ya que es de la capacidad de dejar descendencia fértil de donde depende el grado de adaptación de un animal cualquiera. (Gómez, L. J., 1981)
  • 23.
    La reproducción esseguramente la característica individual, junto con el crecimiento, más importante desde el punto de vista de su peso económico en el rendimiento de la explotación del ganado de cría. (Gómez, L. J., 1981)
  • 24.
    Disponibilidad de pastos SISTEMA DEATENCIÓN A LA REPRODUCCIÓN Forrajes Suplementos Análisis Bromatológico Balance Alimentario Determinación de la Condición Corporal 8.5 meses de gestación 10 – 20 días de parida 2 meses post parto Problemas Reproductivo Novillas •Incorporación de la novilla •Atención al parto y recién nacido. •Tto profiláctico y metafiláctico del puerperio. •Terapia de la Hembra con problemas reproductivos. •Control de las actividades de celaje. •Observación del primer celo post parto. •Estado de los controles reproductivos. Calidad seminal Monta libre Examen Clínico andrológico Estaciones de semen Termo del Inseminador Exámenes Complementarios
  • 25.
    Aspectos claves enel control reproductivo Problema Parámetro a Evaluar Ciclicidad atrasada de novillas Edad y peso al primer servicio y al primer parto Atraso en el reinicio de la ciclicidad post parto (anestro) Intervalo parto – Celo Intervalo parto – Servicio Ciclicidad a 60 días post parto
  • 26.
    Factores de RiesgoVariables a Controlar NOVILLAS: Fecundación Selección de progenitores Control sanitario Nutrición Control Reproductivo Reinicio de la ciclicidad posparto Época Grupo racial Numero de partos Condición Corporal Peso vivo Efecto nutricional Anestros prolongados – Días abiertos Amamantamiento Nivel de producción láctea VACAS PARIDAS: Reproductivos Ciclicidad Fertilidad Repetición de servicios Mortalidad embrionaria Abortos Quistes
  • 27.
    •Municipio de Caucasia •Vereda:La Ceiba ( a 20 km., de la cabecera municipal) •Altitud: 50 m.s.n.m. •Temperatura: 26 a 28°C. •Humedad Relativa: 75%. •Precipitación: 2.500 mm anuales. •Zona de Vida: Bosque húmedo tropical- Bht. •Extensión: 265 Has. ; 205 Has. en pastos. •Textura del suelo: Franco arenoso a Franco arcilloso. •Sistema de Producción : Actividad de Ganadería de Cría Comercial bajo Pastoreo Extensivo Mejorado
  • 28.
    Objetivo de producción: Producircrías destetas para la comercialización en subasta o a clientes directos en finca.
  • 29.
    DISTRIBUCION GENERAL DEPASTURAS ESPECIE AREA (Ha) % OFERTA ESTIMADA PB % EM Mcal/ Kg M.S Ca % P % B. dictyoneura 31.92 15.59 6.7 1.60 0.19 0.22 Hyparrenia rufa 30.75 15.02 8.2 1.47 0.15 0.15 B. decumbens 16.53 8.07 6.7 1.52 0.36 0.15 B. humidicola 58.60 28.62 5.0 1.38 0.24 0.17 Andropogon gayanus 10.48 5.12 6.7 1.30 0.43 0.11 Paspalum sp 15.10 7.37 8.1 1.22 0.46 0.13 Paspalum paniculatum 5.27 2.57 Arvenses 36.10 17.64 GENERAL 204.75 100
  • 30.
    CATEGORIA TOTAL PESOVIVO Kg. TOTAL U.A VPP (Vaca parida preñada) 9 400 9.00 VPV (Vaca parida vacía) 88 390 85.80 CM (Cría macho) 49 105 12.86 CH (Cría hembra) 48 95 11.40 VHP (Vaca horra preñada) 47 425 49.94 VHV (Vaca horra vacía) 16 400 16.00 NVP (Novilla de vientre preñada) 25 390 24.37 NVV (Novilla de vientre vacía) 2 335 1.67 HL (Hembra de levante) 20 240 12.00 ML (Macho de levante) 2 270 1.35 HH (Hembra huérfana) 60 MH (Macho huérfano) 1 65 0.16 CA (Calentadores) 2 325 1.63 T (Toros) 6 575 8.63 SUBTOTAL 315 234.81 E (Equinos) 12 15.00 TOTAL 327 1.21 INVENTARIO GANADERO
  • 31.
    FLUJOGRAMA DE LOTES LOTEMATERNIDAD NOVILLAS DE VIENTRE LOTE VIENTRES EXPUESTOS A SERVICIO HEMBRAS DE LEVANTE VENTA CRÍA HEMBRA CRÍA MACHO NOVILLAS VIENTRES PARIDOS PREÑADAS PREÑADOS DESTETE VIENTRES HORROS PREÑADOS P.E.T-- P.E.I VIENTRES HORROS VACIOS DESCARTE DESTETE VHV-- NVV
  • 32.
    Ingrediente Porcentaje Gallinaza Sal mineralizada Florde azufre Melaza Agua 57.61% 4.53% 0.82% 18.52% 18.52%Preparación SUPLEMENTACIÓN
  • 33.
    Bromatológico del Suplemento Calcio8.71% Cenizas 49.50% Fósforo 0.31% Materia seca 79.77% Proteína bruta 8.54%
  • 34.
    Análisis económico delsuplemento Ingrediente Porcentaje Valor unitario (kg) Valor total Gallinaza Sal mineralizada Flor de azufre Melaza Agua Preparación Repartición 57.61 4.53 0.82 18.52 18.52 $150.00 $900.00 $740.00 $350.00 ---------- $13.06 $39.18 $8641.50 $4077.00 $606.80 $6482.00 ---------- $1306.00 $3918.00 $250.31 $25031.30
  • 35.
    PERIODO CONSUMO TOTAL (Kg) COSTO 15días preparto 25,5 $ 6.382,90 IPC (134 días) 227,8 $ 57.020,62 Concepción - Destete (136 días) 231,2 $ 57.871,67 $ 121.275,19 COSTO DE SUPLEMENTACION DE UN VIENTRE
  • 36.
    INGRESO POR VENTADE LA CRIA DESTETA PESO REAL (Kg) PRECIO/KILOGRAMO VALOR TOTAL 182,50 $ 2.500 $ 456.250,00 RELACION COSTO/BENEFICIO COSTO BENEFICIO C/B $ 121.275,19 $ 456.250,00 26.58%
  • 37.
  • 42.
    EFECTO DE LAINTERRUPCION TEMPORAL DEL AMAMANTAMIENTO Y LA SUPLEMENTACION SOBRE EL I.E.P. Y EL PESO AL DESTETE IEP IEP PESO DESTETE PESO DESTETE VARIABLE DATOS Penúltimo Último Penúltimo Último días días kg. kg. 460,96 424,40 178,83 181,17 Promedio 72 82,09 64,67 32,44 31,28 Desv .Est. 72 -36,56 2,34 Diferencia 72
  • 43.
  • 44.
    Fecha Palpación FrecuenciaO.E Frecuencia O.E/Palpación% Frecuencia O.E /Total de palpaciones % Media de Condición Corporal FEBRERO 10 1/51 1.96 0.3 2.93 ABRIL 9 2/76 2.63 0.6 2.56 JUNIO 21 9/82 10.97 2.7 3.04 AGOSTO 19 7/65 10.76 2.10 2.91 NOVIEMBRE 8 4/59 6.78 1.20 2.64 GENERAL 23/333 6.9 2.82 Presentación Estacional de Ovarios Estáticos 2004
  • 45.
    0,00% 5,00% 10,00% 15,00% 20,00% 25,00% 30,00% 35,00% 40,00% E F MA M J J A S O N D Meses Precipitación O.E. Ovarios Estáticos Vs Precipitación
  • 48.
    PROMEDIOS HISTORICOS DELHATO (1987-2005) PARAMETRO VALOR MEDIO DATOS 1987- 2005 1987 - 2002 1987- 2005 1987 - 2002 EDAD POR VACA 9 años 125 N° PARTOS CUMPLIDOS 4.7 125 PESO AL DESTETE REAL 177.9 kg 178.5 kg 531 422 I.E.P 461 480 584 422 INDICE DE VACA ACUMULADO 0.396 0.370 531 422 INDICE DE VACA ANUALIZADO 144.54 kg TD/V/año 135.05 kg TD/V/año 531 422 EDAD 1° PARTO 41.98 m 42.74 m 144 150
  • 49.
  • 50.
    NACIMIENTOS Vs PRECIPITACIONES2002 0 2 4 6 8 10 12 14 16 E F M A M J J A S O N D %Nacimientos 0 100 200 300 400 500 600 Precipitacionesmm % Nacimientos Precipitaciones mm
  • 51.
  • 52.
    % NACIMIENTOS VsPRECIPITACIONES 2003 0 2 4 6 8 10 12 14 E F M A M J J A S O N D %Nacimientos 0 100 200 300 400 500 600 Precipitacionesmm % Nacimientos Precipitaciones mm
  • 53.
    % NACIMIENTOS VsPRECIPITACIONES 2004 0 2 4 6 8 10 12 14 16 18 20 E F M A M J J A S O N D %Nacimientos 0 50 100 150 200 250 300 350 400 450 Precipitacionesmm % Nacimientos Precipitaciones mm
  • 54.
    % Nacimientos 2002-2003-2004 2 3 4 5 6 7 8 9 10 11 12 13 14 15 16 17 18 19 (%Nacimientos) Nacimientos2002 Nacimientos 2003 Nacimientos 2004 Nacimientos 2002 10,58 7,69 10,58 5,77 3,85 7,69 2,88 3,85 9,61 13,46 11,54 12,5 Nacimientos 2003 9,09 11,87 10,49 3,49 8,39 8,39 5,59 6,29 4,89 7,69 11,89 11,89 Nacimientos 2004 9,33 6 16,66 2,66 6 6,66 5,33 4,66 6 6 12,66 18 E F M A M J J A S O N D
  • 55.
    Comportamiento Estacional delos Partos 0 100 200 300 400 500 600 Ago-04Sep-04O ct-04Nov-04Dic-04Ene-05Feb-05M ar-05Abr-05M ay-05Jun-05Jul-05 0 2 4 6 8 10 12 14 16 18 PRECIPITACIÓN %PARTOS MES
  • 56.
    Comportamiento Estacional delas Concepciones 0 50 100 150 200 250 300 350 400 O ct-03Nov-03Dic-03Ene-04Feb-04M ar-04Abr-04M ay-04Jun-04Jul-04Ago-04Sep-04O ct-04 0 2 4 6 8 10 12 14 16 PRECIPITACIÓN % CONCEPCIÓN MES
  • 57.