CAPITULO 4. POLIMEROS (continuación)
Son moléculas orgánicas gigantes, que tienen pesos
moleculares de 1000 a 1000000 g/g-mol. Estos materiales
se obtienen mediante un proceso denominado
polimerización
 Las moléculas internamente están constituidas por un
  esqueleto de átomos de carbono enlazados en forma
  covalente y otros átomos como el H, N, F, Cl, S, O y otros
  grupos unidos lateralmente a otros átomos de carbono

 A su vez las diferentes moléculas se encuentran unidas
  entre sí, por fuerzas de Van der Waals. A medida que las
  moléculas aumentan de tamaño, también aumenta el total
  de las fuerzas de Van der Waals entre las moléculas.

 Ejemplo: El polietileno se obtiene a partir del etileno
  (C2H4) que es un gas. A medida que aumenta el número de
  átomos en la molécula, pasa de un gas a un líquido y
  finalmente llega a ser un plástico sólido.
Características de los polímeros:
 Son materiales ligeros
 Resistentes a la corrosión
 Aislantes eléctricos
 Baja resistencia a la tensión
 No adecuados para aplicaciones a altas temperaturas


 Las propiedades y comportamiento de los polímeros
 dependen del grado de polimerización, tipo de
 monómeros, ramificaciones y Copolimeros.
DEFINICIONES FUNDAMENTALES

Polimerización. Es la reacción química que conduce a la
formación de moléculas de peso molecular elevado a partir de
monómeros.

Monómero. Molécula sencilla a partir de la cual se produce un
polímero cuando se enlaza de modo covalente para formar largas
cadenas moleculares.

Grado de polimerización. Cantidad de monómeros que tiene un
polímero (peso molecular de un polímero dividido para el peso
molecular del mero)
Mero (Unidad monomérica). Unidad que se repite en una cadena
molecular polimérica ( Celda unitaria)

Funcionalidad. Cantidad de lugares en un monómero donde ocurre la
polimerización (número de enlaces activos localizados en un
monómero)

Copolimerización. La reacción química que conduce a la formación de
una molécula de peso molecular elevado mediante la unión de
monómeros de dos o más tipos.
POLIMERIZACIÓN

Se llama polimerización a la forma de unión de unas
moléculas con otras para dar lugar a la formación de un
polímero.

      Existen dos tipos de polimerización:

            a. POR CONDENSACIÓN
            b. POR ADICIÓN
1. Polimerización por adición. Unión entre monómeros
 semejantes y/o diferentes producida al unirlos en posiciones
 funcionales sin la formación de un subproducto de
 condensación. Etapas:

a. Iniciación. Un radical libre actúa como catalizador iniciador
   para la polimerización.
                   R-O-O-R→calor→2 (R+O*)
b. Propagación. Nuevas unidades de monómeros se suman a
   la cadena por la apertura de sus dobles enlaces y esta crece.
         R-CH2-CH2+CH2=CH2 →R-CH2-CH2-CH2-CH2
c. Terminación. Se produce por la adición de un radical libre
   finalizador o cuando dos cadenas se combinan
                     R-CH2-CH2-CH2-CH2-R
Los polímeros según el tipo de monómeros pueden ser:

1. Homopolimeros. Si están formados por un solo tipo de
monómeros.

Ej:   Polietileno, Poliestireno, polipropileno, etc.

2. Copolimeros. Si están formados por dos o más
monómeros distintos.

Ej: ABS             Acrilonitrilo-Butadieno-Estireno
2. Polimerización por condensación. Unión entre
monómeros semejantes y/o diferentes producida al
unirlos en posiciones funcionales con la formación de
un subproducto de condensación.
Poliésteres

Se producen por sucesivas reacciones de esterificación
(alcohol y ácido). Forman tejidos, de los cuales el más
conocido es el “tergal” formado por ácido tereftálico (ácido p-
benceno-dicarboxilico) y el etilenglicol (etanodiol):
Poliamidas

Se producen por sucesivas reacciones entre el grupo ácido y
el amino con formación de amidas. Forman fibras muy
resistentes. La poliamida más conocida es el nailon
6,6 formado por la copolimerización del ácido adípico (ácido
hexanodioico) y la 1,6-hexanodiamina:
Polímeros naturales: Provenientes directamente del reino
vegetal o animal. Por ejemplo: celulosa, almidón, proteínas,
caucho natural, ácidos nucleicos, aminoacidos, etc.

Polímeros artificiales: Son el resultado de modificaciones
mediante procesos químicos, de ciertos polímeros naturales.
Ejemplo: nitrocelulosa, caucho vulcanizado, etc.

Polímeros sintéticos: Son los que se obtienen por procesos de
polimerización controlados por el hombre a partir de materias
primas de bajo peso molecular. Ejemplo: nylon, polietileno,
cloruro de polivinilo, polimetano, etc.
Polímeros naturales

Existen polímeros naturales de gran significación comercial
como el:

Algodón: Formado por fibras de celulosas. La celulosa se
encuentra en la madera y en los tallos de muchas plantas, y se
emplean para hacer telas y papel.

La seda es otro polímero natural muy apreciado y es una
poliamida semejante al nylon.

La lana, proteína del pelo de las ovejas, es otro ejemplo.

El hule de los árboles de hevea y de los arbustos de Guayule,
son también polímeros naturales importantes.
CAUCHO NATURAL

El caucho natural, es el poli-cis-isopreno, que se extrae del
árbol Hevea brasiliensises, es un polímero elástico y
semisólido, y posee la siguiente estructura
El almidón es un polímero, donde el monómero es la glucosa.
El algodón está hecho de celulosa, que también es un
polímero de la glucosa, y la madera está compuesta en gran
proporción de celulosa.

Las proteínas son polímeros donde el monómero son los
aminoácidos. La lana y la seda son dos de las miles de
proteínas que existen en la naturaleza.

Los seres vivos no podrían existir sin polímeros: toda planta y
animal requiere de ellos. Entre los polímeros naturales más
importante están los ácidos nucleicos, que contienen la
información genética codificadora que hace que cada
individuo sea único.
AMINOACIDOS

Los aminoácidos tienen un grupo ácido y uno básico. En
solución acuosa, el ión hidrógeno del ácido carboxílico es
transferido al grupo básico que es el amino: el producto
resultante es una molécula polar.
PROTEINAS

Las proteínas son poliamidas. El enlace amida (-CONH-)
entre un aminoácido y otro aminoácido se denomina enlace
peptídico. Se puede observar que sigue existiendo un grupo
amino reactivo a la izquierda y un grupo carboxilo a la
derecha.
Los polímeros sintéticos se pueden subdividir en:

1. Los Elastómeros: Sustancias que poseen la elasticidad
que caracteriza al caucho y al igual que este se emplean
para fabricar gomas, mangueras o neumáticos.

2. Las Fibras: Materiales capaces de orientarse para
formar filamentos largos y delgados como el hilo. Poseen
una gran resistencia a lo largo del eje de orientación, tal
como ocurre con el algodón, la lana y la seda. Tienen su
principal aplicación en la industria textil.

3. Los Plásticos: Son polímeros que pueden ser
moldeados a presión y transformados en diversos objetos
con formas diferentes, o bien, usados como pinturas o
recubrimientos de superficies.
También se pueden clasificar según sus aplicaciones y usos:

1.- Elastómeros

Tienen muy poca elasticidad, y mucha extensibilidad, lo que
quiere decir que se deforman mucho al someterlos a un
esfuerzo, pero se recuperan rápidamente a lo que este termina.


2.- Plásticos

Estos polímeros ante un esfuerzo mayor, se deforman
irreversiblemente. Este concepto se usa muy erradamente,
cuando las personas se refieren a los polímeros en su totalidad.
3.- Fibras

Son muy elásticos, pero muy poco extensibles. Básicamente los
utilizan para confeccionar telas que mantienen su forma.

4.- Recubrimientos

son líquidos generalmente que se adhieren a otra superficie de
algún otro material para otorgarles una nueva propiedad.

5.- Adhesivos

Combinan adhesión y cohesión, lo que permite que se una a
otro cuerpo por contacto superficial.
Polímeros termoplásticos. Polímeros que pueden ser recalentados
y refundidos muchas veces, puesto que no se forman productos
secundarios durante el procesamiento.

Polímeros termoestables. Polímeros que se polimerizan a
temperaturas elevadas, liberando un producto secundario que por
ello se restringe su reciclabilidad.

Elastómeros. Polímeros que poseen una estructura de cadenas
altamente enrolladas y parcialmente ligadas en forma cruzada, lo
que permite al polímero tener una deformación elástica
excepcional
Estructura de los polímeros

 Los polímeros pueden tener tres tipos de estructuras:


 1. Estructuras lineales. Las moléculas forman
 cadenas lineales. Se forman cuando las moléculas
 (monómeros) son únicamente bifuncionales.

 La polimerización puede ser por adición o por
 condensación. Este es el caso de los termoplásticos
2. Estructuras de red (amorfas). Las moléculas
  forman redes tridimensionales. Se forman cuando las
  moléculas (monómeros) son trifuncionales o
  mayores

 La polimerización puede ser por adición o por
 condensación. Este es el caso de los termoestables
3. Estructuras cristalinas. Se produce cuando las
  cadenas lineales adquieren un ordenamiento.
  La estructura cristalina es importante porque los
  polímeros lineales se vuelven más firmes y fuertes. Los
  polímeros cristalinos tienen mayores densidades y
  mejores propiedades mecánicas que los polímeros
  amorfos (cadenas en desorden).
Cristalinidad en los polímeros

Las propiedades de los polímeros dependen de su estructura.
En su mayoría, los polímeros tienen una estructura amorfa
(del tipo vidrio); sin embargo, algunos polímeros lineales y de
reticulado raro, pueden formar zonas rigurosamente
ordenadas, es decir, tienen parcialmente una estructura
cristalina, lo que conduce a la elevación de la resistencia
mecánica, dureza y estabilidad térmica.

En el caso de la estructura cristalina se incrementa la
interacción molecular, pero se reduce la flexibilidad de las
moléculas.
La relación de los volúmenes de todas las zonas cristalinas
de los polímeros entre su volumen total se denomina grado
de cristalinidad, que es una de las características más
importantes de los polímeros. Un alto grado de cristalinidad
(60 a 80 %) poseen los fluoroplásticos, los policarbonatos,
el propileno y el polietileno de alta densidad.

La cristalinidad hace que los materiales sean resistentes,
pero también quebradizos. Un polímero totalmente cristalino
sería demasiado quebradizo como para ser empleado como
plástico. Las regiones amorfas le confieren ductilidad al
polímero, es decir, la habilidad de poder plegarse sin
romperse.
Muchos polímeros presentan una mezcla de regiones amorfas
y cristalinas, pero algunos son altamente cristalinos y otros son
altamente amorfos. A continuación se presentan polímeros que
tienden hacia dichos extremos:
Ejemplos de polímeros altamente cristalinos:
Polipropileno.
Poliestireno sindiotáctico.
Nylon.
Kevlar y Nomex (Poliamidas).
Policetonas.
Ejemplos de polímeros altamente amorfos:
Polimetilmetacrilato.
Poliestireno atáctico.
Policarbonato.
Poliisopreno.
Polibutadieno.
Tacticidad. Es la forma en que se encuentran dispuestos los
grupos laterales a lo largo de una cadena polimérica. Este
término se emplea ampliamente cuando se trata de los
polímeros vinílicos (polímeros obtenidos a partir de
monómeros vinílicos; es decir, pequeñas moléculas
conteniendo dobles enlaces carbono-carbono; constituyen
una gran familia de polímeros).

La estructura de un polímero afecta en gran medida a la
cristalinidad. Si es regular y ordenada, el polímero se
empaquetará fácilmente en forma de cristales; de lo contrario,
no .
Estructuras del polipropileno: (a) Atàctica (grupos al azar), (b) isotáctica (al mismo
lado) y (c) sindiotáctica (lados opuestos)
Comportamiento de los polímeros termoplásticos

  Al igual que los metales, los polímeros pueden
  soportar deformación tanto elástica como plástica:

Deformación elástica. Se debe a dos mecanismos:

1. Estiramiento y distorsión de los enlaces dentro de la
   cadena

2. Movimiento recuperable de segmentos completos de
  las cadenas.
Deformación plástica. La deformación plástica de los
polímeros ocurre cuando las cadenas en el polímero se
deslizan una sobre otra rompiendo los débiles enlaces de
Van der Waals.
Cuando se retira el esfuerzo, las cadenas permanecen en
sus nuevas posiciones y el polímero se deforma
permanentemente.

La deformación permanente está relacionada con la
viscosidad del polímero. Los polímeros con una alta
viscosidad requieren mayores esfuerzos para producir
deformación plástica1
TEMPERATURA DE TRANSICION (Tg).

 Cuando el polímero es enfriado por debajo de esta
temperatura, se vuelve rígido y quebradizo, igual que el vidrio.
Algunos polímeros son empleados a temperaturas por encima
de sus temperaturas de transición vítrea y otros por debajo.

Los plásticos duros como el poliestireno y el
polimetilmetacrilato, son usados por debajo de sus
temperaturas de transición vítrea; es decir, en su estado vítreo.
Sus Tg están muy por encima de la temperatura ambiente,
ambas alrededor de los 100 oC. Los cauchos elastómeros
como el poliisopreno y el poliisobutileno, son usados por
encima de sus Tg, es decir, en su estado caucho, donde son
blandos y flexibles.
La transición vítrea no es lo mismo que la fusión. La fusión
es una transición que se manifiesta en los polímeros
cristalinos; ocurre cuando las cadenas poliméricas
abandonan sus estructuras cristalinas y se transforman en
un líquido desordenado.

La transición vítrea es una transición que se manifiesta en
los polímeros amorfos; es decir, polímeros cuyas cadenas no
están dispuestas según un ordenamiento cristalino, sino que
están esparcidas en cualquier ordenamiento, aún en estado
sólido.
Pero incluso los polímeros cristalinos tienen alguna porción
amorfa. Esta porción generalmente constituye el 40-70% de
la muestra polimérica. Esto explica por qué una misma
muestra de un polímero puede tener tanto una temperatura
de transición vítrea como una temperatura de fusión.
 Temperatura de degradación (Td). Los materiales
 termoplásticos se convierten en líquidos si se calientan y
 luego se endurecen si se enfrían. El efecto del calor es
 vencer las fuerzas de Van der Waals entre las moléculas
 por medio de la agitación térmica haciendo posible el
 flujo.

 En contraste, en los materiales termoestables se
 encuentran redes tridimensionales de enlaces covalentes.
 Estas redes no se rompen fácilmente con el calor y por lo
 tanto, son materiales más fuertes y duros.

 A muy altas temperaturas, los enlaces covalentes entre los
 átomos en la cadena lineal pueden destruirse, el polímero
 se quema o carboniza
Temperatura de fusión (Tf). Temperatura a la cual
los polímeros termoplásticos se funden.
FLUENCIA Y FRACTURA DE LOS MATERIALES POLIMERICOS

La deformación bajo una carga aplicada constante a una temperatura
constante continúa aumentando con el tiempo. La magnitud del
incremento de deformación aumenta con el incremento del esfuerzo
aplicado y de la temperatura.

La temperatura a la cual tiene lugar la deformación plástica de un
material polimérico es también un factor importante para la
determinación de la velocidad de fluencia.
A temperaturas por debajo Tg, la velocidad es relativamente baja
debido a la movilidad restringida de la cadena molecular.

Por arriba de Tg, los termoplásticos se deforman con más facilidad por
una combinación de deformación elástica y plástica que se conoce
como comportamiento viscoelástico (las cadenas se deslizan una
sobre otra con mayor facilidad y esto se conoce como flujo
viscoelástico))
Relajación de los esfuerzos en los materiales poliméricos

La relajación de esfuerzos en un material polimérico sometido a
deformación constante da por resultado una disminución del esfuerzo
con el tiempo.

La causa de la relajación de esfuerzos es que se provoca el flujo
viscoso en la estructura interna del material polimérico porque las
cadenas se deslizan lentamente entre sí debido al rompimiento y
reformación de los enlaces secundarios entre las cadenas, y porque
mecánicamente se desenredan y retroceden.
La relajación de esfuerzos permite que el material alcance un estado
de menor energía espontáneamente si hay suficiente energía de
activación para que el proceso se presente.




    esfuerzo después del tiempo t
     esfuerzo inicial
 = tiempo de relajación
Debido a que el tiempo de relajación es el reciproco de una velocidad,
se puede relacionarlo con la temperatura en grados Kelvin por una
ecuación tipo Arrhenius




donde

C = relación constate independiente de la temperatura
Q = energía de activación para el proceso
R = constante molar de los gases = 8,314 J/(mol.K)
FRACTURA DE LOS MATERIALES POLIMÉRICOS

Los materiales poliméricos pueden considerarse como frágil, dúctil o
intermedia entre los dos extremos.

En general, se considera que los plásticos termoestables no reforzados
se fracturan en forma frágil.

Por otra parte, los termoplásticos pueden fracturarse en forma frágil o
dúctil. Si la fractura ocurre por debajo de Tg, entonces su forma de
fractura será frágil, mientras que si ocurre por arriba de Tg, su forma
de fractura será dúctil.
Estructura y propiedades polímeros termoplásticos

Existen varias formas para modificar y controlar las
propiedades de los polímeros termoplásticos:

Grado de polimerización. A mayor grado de
polimerización mayor temperatura de fusión y
mejores propiedades mecánicas
Tipos de monómeros. Los átomos más grandes,
como el Cl y los grupos de átomos, como los grupos
metilo o benceno interfieren en el deslizamiento de
las cadenas cuando se aplica un esfuerzo,
incrementándose así la resistencia mecánica y el
punto de fusión del polímero.

Ramificación. Se produce debido a la adición de un
agente que remueve algunos átomos de hidrógeno
de la parte lateral de una cadena, a fin de que
puedan producirse ramificaciones en estos puntos.
Esta modificación se lleva a cabo en un polímero lineal.
Uniones cruzadas. Se produce cuando dos cadenas se
enlazan mediante algún elemento especial.

Ejemplo: En la vulcanización, las cadenas de caucho isopreno
se unen mediante átomos de azufre, para obtener dureza y
tenacidad que requiere el caucho para muchas aplicaciones.
Escisión de anillos. Se produce cuando dos moléculas se
unen a una tercera cuando se rompen los anillos.

Ejemplo: Dos moléculas del grupo epóxido se unen cuando
un anillo se rompe por combinación con un reactivo que
promueve el enlace.

Localización de los grupos de átomos. Mediante un
control de la simetría o la distribución de los grupos o
elementos determinados en los lados de la cadena se
pueden variar las propiedades de un polímero
Estructuras del polipropileno: (a) Atàctica (grupos al azar), (b) isotáctica (al mismo
lado) y (c) sindiotáctica (lados opuestos)
Otras configuraciones importantes son: la estructura trans de la
gutapercha, los CH3 y los H están en lados opuestos del doble enlace,
dando una cadena de carbono relativamente recta. En el caucho la
estructura cis, la cadena se curva, lo cual conduce una molécula
helicoidal parecida a un resorte
Polímeros termoplásticos

Polietileno (PE). Se obtiene de la polimerización del
etileno. Hay dos tipos:

Polietileno de baja densidad (LDPE). Estructura de
cadenas ramificadas (menor rigidez y resistencia térmica)

Polietileno de alta densidad (HDPE). Estructura de
cadena lineal (mayor
Presentan tenacidad, absorción de humedad cercana a
cero, excelente resistencia química, aislante eléctrico,
bajo coeficiente de fricción y facilidad de procesamiento.

Aplicaciones. Contenedores, artículos del hogar, botellas
y películas para empaquetamientos
Policloruro de vinilo (PVC). Se obtiene de la polimerización
del Policloruro de vinilo

Estructura y propiedades. Material de estructura amorfa
debido a la presencia de los átomos de Cl en la cadena
principal. Resistencia a la llama, buena temperatura de
deflexión por calor, aislante eléctrico y alta resistencia
química.

Aplicaciones: Tuberías y conexiones para usos hidráulicos y
sanitarios, tuberías conduit para cableado eléctrico, moldeado
de interiores y decoraciòn
Poliestireno (PS). Se obtiene de la polimerización del estireno

Estructura y propiedades. Material de estructura amorfa
debido a la presencia del anillo fenileno en la cadena principal.
Aislante eléctrico y quebradizo al impacto

Aplicaciones: Recubrimiento de interiores de automóviles,
electrodomésticos, discos, manillares y utensilios de cocina.
Polipropileno (PP). Se obtiene de la polimerización del
propileno

Estructura y propiedades. Material de estructura amorfa
debido a la presencia de un grupo metilo en la cadena
principal. Rigidez, excelente resistencia química y aislante
eléctrico.

Aplicaciones: Obturadores, partes de automóvil, productos
para el hogar, electrodomésticos, embalajes, utensilios de
laboratorio y varios tipos de botellas
Poliacrilonitrilo

Se obtiene de la polimerización del acrilonitrilo

Estructura y propiedades: Alta electronegatividad del
grupo nitrilo. Estructuras extensibles, rígidas y con forma de
varilla. Resistencia y estabilidad química

Aplicaciones: Fibras como lana en jerseys y mantas
ABS. Se obtiene de la copolimerización del acrilonitrilo, butadieno
y estireno

Estructura y propiedades. Una mezcla de un copolímero vítreo
(estireno-acrilonitrilo) y dominios de goma (butadieno). Buena
resistencia al impacto y quìmica.

Aplicaciones: Tuberías y herramientas, particularmente en las
tuberías de drenaje-desagüe-ventilación de los edificios.
Recubrimientos de puertas e interiores de frigoríficos, máquinas
de oficina, carcasas y cubiertas de computadores.
Polimetacrilato de metilo (PMMA plexiglas o lucite)

Se obtiene de la polimerización del metacrilato de metilo

Estructura y propiedades. Completamente amorfa dotada de una
alta transparencia a la luz. Buena resistencia química, a la
intemperie y aislamiento eléctrico.

Aplicaciones. Cristales de aviones, embarcaciones, claraboyas,
iluminación exterior y señales publicitarias.
Politetrafluoroetileno (PTFE Teflón)

Se obtiene de la polimerización del gas tetrafluoroetileno

Estructura y propiedades. Es un polímero cristalino de alta
densidad. Resistencia excepcional a los productos químicos y altas
temperaturas (hasta 260 oC).

Aplicación. Tuberías resistentes a reactivos químicos, aislamiento
de cables a altas temperaturas y recubrimientos antiadherentes,
juntas, anillos de estancamiento y cojinetes.
Policlorotrifluoroetileno (CTFE)

Estructura y propiedades. La presencia del cloro le hace menos
cristalino y más moldeable. Presenta mayor rigidez y resistencia
mecánica que el PTFE.

Aplicaciones: Camisas para cables, formas para bobinas, tunerías y
partes para bombas, diafragmas de válvulas y otros elementos
industriales para procesos corrosivos
Poliamidas (nylon)

Se produce mediante polimerización por condensación

Estructura y propiedades. La cadena incorpora un grupo
amida. Son procesados por fusión, ofrecen capacidad de
soporte de carga a elevadas temperaturas, buena
tenacidad, baja fricción y buena resistencia química

Aplicación. Cojinetes no lubricados, engranajes, soportes,
bujes, sellos, piezas antifricción, piezas mecánicas sujetas a
altas temperaturas y cargas de impacto
Las aramidas pertenecen a una familia de nailones,
incluyendo el Nomex y el Kevlar. El Kevlar se utiliza para
hacer chalecos a prueba de balas y neumáticos resistentes
a las pinchaduras. Las mezclas de Nomex y de Kevlar se
utilizan para hacer ropas antiflama, motivo por el que lo
emplean los bomberos.

El Kevlar es una poliamida, en la cual todos los grupos
amida están separados por grupos para-fenileno. Es decir,
los grupos amida se unen al anillo fenilo en posiciones
opuestas entre sí, en los carbonos 1 y 4. El Kevlar es un
polímero altamente cristalino. Llevó tiempo encontrar una
aplicación útil para el Kevlar, dado que no era soluble en
ningún solvente
Policarbonato. Se obtienen por la polimerización de dos
grupos fenilo y los dos metilo unidos al mismo carbono en la
unidad estructural

Estructura y propiedades. Son polímeros amorfos
transparentes y se encuentran entre los más fuertes tenaces
y rígidos.

Aplicaciones. Pantallas de seguridad, levas engranajes,
cascos, componentes de aviones, propulsores de barcos,
lentes y vidrios para ventanas
Oxido de polifenileno. Resinas basadas en el
óxido de fenileno

Aplicaciones. Conectores de electricidad,
sintonizadores de televisión, pequeños aparatos,
cubiertas de máquinas de escribir.
Acetales. Se producen por la polimerización del
formaldehído o su copolimerización con óxido de etileno.

Estructura y propiedades. Material polimérico de alta
homogeneidad, resistencia y temperatura de deflexión
térmica. Son polímeros cristalinos de los más resistentes y
rígidos de los Termoplásticos

Aplicaciones. Han reemplazado a muchos metales
fundidos de zinc, latón y aluminio. Acoplamientos
mecánicos, impulsores de bombas, engranajes, levas y
cubiertas.
Sulfuro de polifenileno. Se obtiene por la polimerización
por condensación de diclorobenceno y sulfuro de sodio

Estructura y propiedades. Simétrica compacta de los
anillos de fenileno, separada por átomos de azufre, rígido y
fuerte. Polímero cristalino de elevada resistencia térmica,
rigidez, excelente resistencia química, bajo coeficiente de
fricción, aislante eléctrico y buena resistencia a la abrasión

Aplicaciones. Equipamiento para procesos químicos, como
bombas tipo-engranaje, sumergibles, centrifugables y alabes.
Polímeros termoestables

Se emplean en artículos moldeados y laminados. Poseen
una estructura molecular tipo reticular a base de uniones
covalentes primarias. No pueden ser reprocesados

Características:

Estabilidad térmica elevada y dimensional
Alta rigidez
Resistencia a la termofluencia y deformación bajo carga
Aislamiento eléctrico y térmico elevado
Peso ligero.

Se procesan por lo general por moldeo por compresión o
por transferencia (dos fases que se mezclan)
Resinas fenólicas. Se producen por reacción del
fenol y formaldehído, según una polimerización por
condensación

Aplicación. Cubiertas de distribuidores, rotores,
mangos de utensilios de cocina, perillas, bases,
componentes eléctricos y electrónicos
Resinas epoxi. Cada cadena contiene dos o más
grupos epóxido. Tienen elevada reactividad con
aminas, anhídridos y otros agentes curadores, que
forman fácilmente enlaces cruzados.

Aplicación. Materiales compuestos reforzados con
fibra de vidrio de alta resistencia para la industria
aeroespacial y para tubos, tanques y recipientes de
presión, recubrimientos protectores de utensilios y
equipo industrial.
Poliestres insaturados

Se forma por la reacción de un diol (alcohol con dos
grupos OH) con un ácido (con dos grupos COOH) que
contiene un doble enlace carbono-carbono reactivo.

Aplicación. Paneles de automóviles y prótesis. Cascos
de botes pequeños, paneles y componentes de baño.
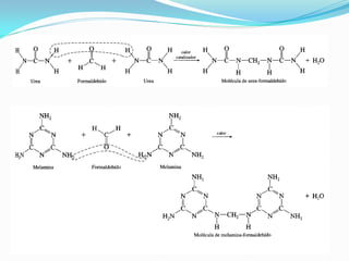
Resinas amino (ureas y melaminas)

La urea o melamina reaccionan con el formaldehído
mediante reacciones de polimerización por
condensación en las que se forma agua como
subproducto.

Aplicación. Urea- formaldehído para placas de pared
y receptáculos eléctricos. Melamina-formaldehído para
moldeados, botones, botones de control y tiradores
ELASTOMEROS

Caucho natural. Se extrae en forma de látex del árbol
hevea brasiliensis

El caucho natural tiene una estructura cis-poliisopreno
 melamina reaccionan con el formaldehído mediante
reacciones de polimerización por condensación en las
que se forma agua como subproducto.
Cauchos sintéticos. Comprenden el 70 % del caucho.

Caucho de butadieno-estireno (caucho SBR). Se
obtiene por la copolimerización del estireno y butadieno.

Resistencia al desgaste y al envejecimiento. Desventaja
absorben aceite y gasolina

Aplicación. Neumáticos mezclado con el caucho natural.
Caucho nitrilo (NBR). Se obtienen de la copolimerización
del butadieno y acrilonitrilo. Algunos nombres comerciales
son: Nipol, Krynac y Europrene.

Tienen buena resistencia a los aceites y disolventes

Aplicaciones: Mangueras y manguitos que requieren alta
resistencia a aceites y disolventes.

Las aplicaciones del caucho del Nitrilo incluyen las correas
de transmisión automotoras, mangueras, sellos de aceite,
correas de V, cuero sintético, rodillo de la impresora. El
látex de NBR se puede también utilizar para preparar los
pegamentos, la impregnación del papel y pigmentos
Caucho neopreno (CR). Son similares a los de isopreno
excepto que el grupo metilo que estaba unido al doble enlace
del carbono es reemplazado por un átomo de cloro.
Poseen mala flexibilidad a bajas temperaturas y son más
caros que los normales.

El átomo de cloro confiere un aumento de la resistencia a los
aceites, aproximadamente entre el Caucho Natural y Nitrílio,
esto es a menudo suficiente para muchas aplicaciones.




Aplicación. Vainas para cables y alambres, mangueras y
abrazaderas industriales, y precintos y diafragmas de
automóviles.
Polibutadieno (BR). Es a caucho sintético formado por la
polimerización de los monómeros de butadieno.

Aplicación: Tiene una alta resistencia al desgaste y se
utiliza especialmente en fabricación de neumáticos.
También se ha utilizado para cubrir o encapsular
ensambles electrónicas, ofreciendo resistencia eléctrica
extremadamente alta.
Caucho silicón. Se basa en una cadena lineal compuesta
de átomos de silicio y oxígeno. Este tipo de cadena
proporciona resistencia a altas temperaturas.
El caucho del silicón ofrece buena resistencia a las
temperaturas extremas, pudiendo funcionar normalmente
desde -55°C a +300°C. En las temperaturas extremas, la
fuerza extensible, el alargamiento, la fuerza del rasgón y el
sistema de la compresión pueden muy superiores a los
cauchos convencionales.

El caucho del silicón es un material altamente inerte y no
reacciona con la mayoría de los productos químicos.
Debido a su inercia, se utiliza en muchos usos médicos y
adentro implantes médicos.
Resistencia química de los polímeros

Depende de:

Naturaleza química de los monómeros

Estructura de los polímeros

Ataque químico es interno y entraña disolución,
reblandecimiento, engrosamiento y pérdida de resistencia
Grupos polares ( OH y COOH). Los polímeros que poseen
grupos polares suelen disolverse por la acción de líquidos
polares: Agua y alcoholes

Grupos no polares (CH3 y C6H6). Los polímeros que
poseen grupos no polares suelen disolverse por la acción
de líquidos no polares: gasolina, benceno y tetracloruro de
carbono.

Grado de polimerización. A mayor grado de
polimerización disminuye su tendencia a la disolución en un
solvente determinado.
Estructura. Los polímeros cristalinos presentan una mayor
resistencia química que los polímeros amorfos

Uniones cruzadas. La presencia de enlaces cruzados
puede hacerle a un polímero insoluble y si existe
interacción con un solvente se produce engrosamiento

Ramificación. Las ramificaciones disminuye la velocidad
de disolución

Sustancias químicas. Los polímeros presentan mejor
resistencia al deterioro por ácidos y álcalis que los metales
Permeabilidad y absorción de agua. El paso de gas
puede ocurrir por difusión a través de los conductos
finísimos entre unidades moleculares. Los polímeros que
tienen grupos polares tienen velocidad de permeabilidad o
de absorción de agua mayor que los polímeros no polares.

Deformación. Los polímeros aromáticos que tienen anillos
en sus cadenas son más rígidos y más resistentes a la
deformación, debido a que se vuelve más difícil la rotación
de las cadenas
Resistencia a altas temperaturas. En los polímeros
aromáticos por tanto los puntos de fusión y la temperatura
de transición vítrea aumentan y disminuye la solubilidad y
deformación bajo carga a temperaturas elevadas.

Elementos inorgánicos (Si y O). La presencia de Si y O,
le da a los polímeros una buena resistencia al calor, pero
disminuye su resistencia química.

Oxidación. Unión de átomos de oxígeno a las cadenas de
moléculas. El oxígeno del aire puede producir oxidación
(ozono O3)

Degradación. Rotura de enlaces o fraccionamiento de
moléculas por el calor o radiación ultravioleta
APLICACIONES
Los polímeros se utilizan en un número sorprendente de
aplicaciones, incluyendo juguetes, aparatos domésticos,
elementos estructurales y de decorativos, recubrimiento,
adhesivos, llantas de automóvil y empaques.

El polietileno se usa para producir películas para
empaque, aislamiento de conductores, botellas blandas,
recubrimiento de extrusión, cortinas, manteles, cubiertas
para la construcción, estanques, invernaderos, bolsas
de basura, tuberías y elementos caseros.

El cloruro de polivinilo o más conocido como el PVC se
utiliza para fabricar tuberías, válvulas, coples, loseta de
piso, aislamiento para conductores, y techos de vinil
para automóviles.
El polipropileno se utiliza para la fabricación de tanques,
aplicación en el moldeo por inyección de piezas de
electrodomésticos, utensilios pequeños, piezas de
automóviles, fibras para alfombras, cuerdas y
empaques.

El poliestireno se utiliza para la fabricación de
empaques y espumas aislantes, paneles de iluminación,
copolímeros resistentes al calor y al impacto, piezas
ópticas de plástico, juguetes, componentes de aparatos
y rejas para huevos.

El poliacrilonitrilo (PAN) se utiliza para la fabricación de
fibras textiles, precursor para fibras de carbón y
recipientes de alimento.
El polimetilmetacrilato (PMMA), (acrilicoplexiglas) se utiliza
para la fabricación de ventanas, parabrisas,
recubrimientos, lentes de contacto rígidos, señalizaciones
iluminadas internamente.

El policlorotriflouroetileno se utiliza para la fabricación de
componentes para válvulas, juntas, tuberías y aislamiento
eléctrico.

El politetraflouroetileno mas conocido como el teflón se
utiliza para la producción de sellos, aislantes para cables,
aislamientos de motores, aceites, transformadores,
generadores, acondicionamiento de la estanqueidad de
válvulas, válvulas y recubrimientos no adherentes.
El Polioximetileno ( acetal ) ( POM ) se utiliza en la
fabricación de accesorios de plomería, plumas, engranes y
aspas de ventilador.

La Poliamida (PA) mas conocido como nylon es utilizado
en la fabricación de cojines, engranajes, fibras, cuerdas,
componentes de automotores y componentes eléctricos.

La Poliamida (PI) se utiliza en la fabricación de adhesivos,
tableros de circuitos y fibras para transbordadores
espaciales.
El poliéster es utilizado por la fabricación de fibras,
películas fotográficas, cintas de grabación, contenedores
de agua caliente y recipientes para bebidas. La cinta
magnética para aplicaciones de video y audio se produce
mediante evaporación, pulverización o recubrimiento de
partículas de un material magnético como el Fe2O3 sobre
la superficie de una cinta de poliéster.

El policarbonato se utiliza para la fabricación de carcasas
eléctricas y aparatos, componentes automotrices, cascos
de fútbol americano y botellas retornables.
La polieteretercetona (PEEK) es considerado uno de los
materiales de más alto desempeño en el mundo. Pueden
sustituir con éxito metales como aluminio, titanio, magnesio,
latón, acero resistente a la corrosión o acero inoxidable y
aleaciones especiales, ya que ofrecen una combinación única de
propiedades mecánicas, térmicas y tribológicas, combinado con
una excelente resistencia química y prestaciones eléctricas
(válvulas, rodamientos, engranajes, etc)

El sulfuro de polifenileno (PPS) se utiliza para la fabricación de
recubrimientos, componentes para manejos de fluidos,
componentes electrónicos y componentes para secadores de
pelo.

La sulfona de poliéter (PES) se utiliza para la fabricación de
componentes eléctricos, cafeteras, secadores eléctricos y
componentes de hornos microondas.
La sulfona de poliéter (PES) se utiliza para la fabricación
de componentes eléctricos, cafeteras, secadores eléctricos
y componentes de hornos microondas.

La poliamidaimida (PAI) se utiliza para la fabricación de
componentes electrónicos, aplicaciones aerospaciales y
automotrices.

Los fenolicos se utilizan en la fabricación de adhesivos, y
recubrimientos laminados.
Las aminas se utilizan en la fabricación de adhesivos,
utensilios de cocina, y moldes eléctricos.

Los epoxicos se utilizan para la fabricación de adhesivos
moldes eléctricos, y matrices para materiales compuestos.
Los uretanos se utilizan para la fabricación de fibras,
recubrimientos y espumas.

La silicona se utiliza como adhesivo , y como selladores.
CONFORMACION DE POLIMEROS TERMOPLASTICOS

La mayoría de las técnicas son utilizadas para conformar los
polímeros termoplasticos. El polímero es calentado a
temperatura cercana o superior a la temperatura de fusión,
de tal manera que se haga plástico o líquido. Entonces, es
vaciado o inyectado en un molde para producir la forma
deseada.
Moldeo por inyección.

El moldeo a alta presión, o moldeo por inyección, es el
método más utilizado en la producción de termoplásticos. Se
utiliza una máquina parecida a la extrusora, que proporciona
alta presión y temperatura elevada al material.

Una vez fundido se introduce el plástico a alta presión en el
interior del molde. Gracias a la presión, el plástico rellena el
molde sin dejar huecos. El proceso es muy rápido, y permite
fabricar piezas complejas, por lo que se emplea para elaborar
todo tipo de objetos. Un caso particular de aplicación del
moldeo por inyección es la fabricación de películas de
plástico.
Método de extrusión

Este sistema funciona de la siguiente manera: los gránulos
de plástico entra en el sistema de alimentación, estos pasan
al tornillo sin fin, mientras estos gránulos se van derritiendo a
causa del las camisas calefactoras, estos gránulos se van
desplazando, por el movimiento giratorio del tornillo, hacia el
cabezal, donde el material pasa a unos molde que le dan
forma. Mas tarde se refrigeran y obtiene su forma definitiva,
resistente y rígida.

Este método solo se puede utilizar en aquellos casos donde
los extremos de los objetos estén cerrados o abiertos, en el
caso de que solo sea un extremo el que esté abierto o
cerrado, este método no funcionaria. Por ejemplo: tuberías
Extrusión
Una vez fundido, el material es obligado a pasar de forma
continua a través de una boquilla y es recogido a la salida
de la misma por un sistema de arrastre. Al enfriarse, por
contacto con el aire ambiente o mediante circulación forzada
de aire frío, se obtiene un perfil cuya sección tiene la forma
de la boquilla.
SOPLADO: Variantes de soplado

Moldeo por inyección-soplado

El moldeo por inyección-soplado consiste en la obtención de
una preforma del polímero a procesar, similar a un tubo de
ensayo, la cual posteriormente se calienta y se introduce en
el molde que alberga la geometría deseada, en ocasiones
se hace un estiramiento de la preforma inyectada, después
se inyecta aire, con lo que se consigue la expansión del
material y la forma final de la pieza y por último se procede a
su extracción.
Moldeo por extrusión-soplado

El moldeo por extrusión soplado es un proceso de soplado
en el que la preforma es una manga tubular, conformada
por extrusión, llamada párison, el cual se cierra por la parte
inferior de forma hermética debido al pinzamiento que
ejercen las partes del molde al cerrarse, posteriormente se
sopla, se deja enfriar y se expulsa la pieza. Con este
proceso se pueden obtener contenedores de hasta 10.000
litros de capacidad sin embargo no se consiguen
tolerancias demasiado estrechas.
Este método se utiliza para la creación de envases u objetos huecos,
como las botellas.
Se basa en utilizar una preforma de plástico que ha sido obtenida
anteriormente por extrusión, que se introduce en un molde metálico y que
se añade a dicho molde por la introducción de aire caliente a presión. Mas
tarde se enfría y se retira del molde para su uso.
Colado

La colada es el método más simple, ya que consiste en fundir
el material y verterlo en un molde. El fluido viscoso rellena el
molde y toma su forma. Se trata de un método lento, ya que
se invierte mucho tiempo en asegurarse de que el molde se
ha rellenado por completo y en enfriar el plástico.

El espumado se usa para conseguir espumas de polímero, es
decir, plásticos con una densidad muy baja o expandidos, que
tienen en su interior burbujas de aire.

En todos ellos, el material fundido toma la forma de un molde
y, tras enfriarse y solidificar de nuevo, se obtiene la pieza final.
Conformación de los termoendurecibles
Las técnicas de producción de polímeros termoestables

Los plásticos termoestables se polimerizan en el propio
molde. Existen dos técnicas principales de fabricación de
objetos con materiales termoplásticos: el moldeo por
compresión y el moldeo por transferencia.

El moldeo por compresión

Consiste en introducir el material, en forma de polvo o
gránulos, en un molde, el cual se comprime mediante un
contramolde, a la vez que se aporta calor, que reblandece el
plástico y facilita el proceso de polimerización.
Método compresión (termoestables)

Éste método es utilizado para piezas de gran tamaño y no
muy complicadas, como guardabarros de coche, pomos de
puertas, pulseras,... El plástico que se trata adquiere una
forma gracias a la presión de una máquina que tiene un
molde. El proceso es el siguiente: se coloca una pieza de
plástico en un molde de metal, esta es aplastada y
moldeada por otra pieza de metal que conforma la otra
mitad del molde, todo ello se realiza con el plástico a una
elevada temperatura, gracias a esto el material adquiere
una forma rígida, uniforme y homogéneo
Moldeo por transferencia

En este procedimiento, los materiales en bruto se
calientan y se licuan en una primera cavidad. Después, el
material en estado líquido se transfiere al molde mediante
inyección, donde se comprime y adopta su forma.
Mientras, se agregan los componentes aditivos para
mejorar las propiedades físicas, modificar el color, etc. El
plástico toma la forma del molde al mismo tiempo que se
produce la polimerización.

Este procedimiento es habitual para fabricar objetos de
madera o metal revestidos de plástico, como enchufes y
conectores eléctricos o el revestido de maderas con
formica.
Moldeo por compresión: La materia prima plástica, en forma
de polvo seco, se introduce en el molde, se la somete a
presión y temperatura elevada, hasta que el material plástico
que rellena el molde se solidifica. Este proceso es
principalmente utilizado en plásticos termoestables.

Moldeo por transferencia: Requiere de una cámara doble . El
polímero en una de las cámaras es calentado a presión. Una
vez fundido se inyecta e n la cavidad del dado adyacente.
Este proceso permite que algunas de las ventajas del
moldeo por inyección se usen con polímeros termoestables.
La mecanización de los plásticos

Mecanizar cualquier tipo de material consiste en realizar,
mediante máquinas o herramientas, trabajos para dar forma a
los objetos. Una máquina herramienta porta una herramienta
que se acopla a los mecanismos de la máquina, que, por lo
general, realizará algún movimiento, bien en la pieza a
mecanizar o bien en la propia herramienta.

La industria ha encontrado en el plástico un buen sustituto de
la madera y los metales para ciertas aplicaciones, debido a la
gran dureza, tenacidad y resistencia de determinado tipo de
plásticos. Estos se suelen obtener en formas estándar, como
perfiles redondos, chapas o láminas, tubos..., para después
mecanizarlos o darles forma mediante máquinas herramientas.
Atornillado
Este tipo de unión se emplea para fabricar piezas
desmontables. Suelen utilizarse tornillos pasantes, con
arandelas y tuercas, fabricados normalmente con materiales
metálicos.
La aplicación de adhesivos
La unión se realiza incorporando un adhesivo entre las piezas
a unir. Este tipo de uniones se utiliza en todos los plásticos,
pero en especial en termoestables y elastómeros, a los que no
se pueden aplicar procedimientos de soldadura, puesto que se
destruyen con el calor. El adhesivo se aplica en la zona a unir
y actúa como disolvente de la superficie del plástico. Así,
comprimiendo las piezas, se conseguirá la unión definitiva de
ambas superficies una vez haya solidificado el adhesivo.

Los adhesivos que mejor adherencia y comportamiento
presentan en condiciones ambientes extremas son los
adhesivos epóxicos, los basados en metacrilato, las resinas de
uretano y los adhesivos de cianoacrilato, pudiéndose utilizar
también en materiales termoplásticos difíciles de trabajar con
adhesivos, como el polipropileno, el polietileno o el
Soldadura

En general, las distintas formas de unir piezas por soldadura
se pueden agrupar en tres grandes bloques:

Mediante aportación de calor. Esta técnica se destina a
termoplásticos que, ante al aumento de temperatura, se
funden, pudiéndose unir por compresión las superficies
fundidas.
Por emisión de ultrasonidos. Este método consiste en emitir
ondas de ultrasonidos en las superficies a unir, generando un
efecto de vibración entre las moléculas del material, que
provoca un aumento de temperatura y lo reblandece.

Por emisión de haz láser. Se reserva para unir piezas
pequeñas en áreas determinadas, emitiendo un haz láser que
calienta la superficie a soldar. Esta soldadura permite realizar
uniones muy precisas debido a la alta direccionabilidad del
haz láser.
Bibliografía:

1. Smith William.      Fundamentos de la ciencia e Ingeniería
   de Materiales cuarta edición
2. Smith William.      Ciencia e Ingeniería de Materiales.
3. Askeland. Ciencia e Ingeniería de Materiales.
4. Callister William. Introducción a la Ciencia e Ingeniería de
   los Materiales
5. Shakefford.         Ciencia de Materiales para Ingenieros.
6. Mangonon.           Ciencia de Materiales Selección y
   diseño.
7. Flinn-Trojan.       Materiales de Ingeniería y sus
   Aplicaciones.
8. Avner.     Introducción a la Metalurgia Física.
9. Red Hill. Principios de Metalurgia Física.
10.Lasheras. Tecnología del acero.

Capitulo 4. materiales polímeros

  • 1.
    CAPITULO 4. POLIMEROS(continuación) Son moléculas orgánicas gigantes, que tienen pesos moleculares de 1000 a 1000000 g/g-mol. Estos materiales se obtienen mediante un proceso denominado polimerización
  • 3.
     Las moléculasinternamente están constituidas por un esqueleto de átomos de carbono enlazados en forma covalente y otros átomos como el H, N, F, Cl, S, O y otros grupos unidos lateralmente a otros átomos de carbono  A su vez las diferentes moléculas se encuentran unidas entre sí, por fuerzas de Van der Waals. A medida que las moléculas aumentan de tamaño, también aumenta el total de las fuerzas de Van der Waals entre las moléculas.  Ejemplo: El polietileno se obtiene a partir del etileno (C2H4) que es un gas. A medida que aumenta el número de átomos en la molécula, pasa de un gas a un líquido y finalmente llega a ser un plástico sólido.
  • 4.
    Características de lospolímeros:  Son materiales ligeros  Resistentes a la corrosión  Aislantes eléctricos  Baja resistencia a la tensión  No adecuados para aplicaciones a altas temperaturas Las propiedades y comportamiento de los polímeros dependen del grado de polimerización, tipo de monómeros, ramificaciones y Copolimeros.
  • 5.
    DEFINICIONES FUNDAMENTALES Polimerización. Esla reacción química que conduce a la formación de moléculas de peso molecular elevado a partir de monómeros. Monómero. Molécula sencilla a partir de la cual se produce un polímero cuando se enlaza de modo covalente para formar largas cadenas moleculares. Grado de polimerización. Cantidad de monómeros que tiene un polímero (peso molecular de un polímero dividido para el peso molecular del mero)
  • 6.
    Mero (Unidad monomérica).Unidad que se repite en una cadena molecular polimérica ( Celda unitaria) Funcionalidad. Cantidad de lugares en un monómero donde ocurre la polimerización (número de enlaces activos localizados en un monómero) Copolimerización. La reacción química que conduce a la formación de una molécula de peso molecular elevado mediante la unión de monómeros de dos o más tipos.
  • 17.
    POLIMERIZACIÓN Se llama polimerizacióna la forma de unión de unas moléculas con otras para dar lugar a la formación de un polímero. Existen dos tipos de polimerización: a. POR CONDENSACIÓN b. POR ADICIÓN
  • 18.
    1. Polimerización poradición. Unión entre monómeros semejantes y/o diferentes producida al unirlos en posiciones funcionales sin la formación de un subproducto de condensación. Etapas: a. Iniciación. Un radical libre actúa como catalizador iniciador para la polimerización. R-O-O-R→calor→2 (R+O*) b. Propagación. Nuevas unidades de monómeros se suman a la cadena por la apertura de sus dobles enlaces y esta crece. R-CH2-CH2+CH2=CH2 →R-CH2-CH2-CH2-CH2 c. Terminación. Se produce por la adición de un radical libre finalizador o cuando dos cadenas se combinan R-CH2-CH2-CH2-CH2-R
  • 20.
    Los polímeros segúnel tipo de monómeros pueden ser: 1. Homopolimeros. Si están formados por un solo tipo de monómeros. Ej: Polietileno, Poliestireno, polipropileno, etc. 2. Copolimeros. Si están formados por dos o más monómeros distintos. Ej: ABS Acrilonitrilo-Butadieno-Estireno
  • 23.
    2. Polimerización porcondensación. Unión entre monómeros semejantes y/o diferentes producida al unirlos en posiciones funcionales con la formación de un subproducto de condensación.
  • 25.
    Poliésteres Se producen porsucesivas reacciones de esterificación (alcohol y ácido). Forman tejidos, de los cuales el más conocido es el “tergal” formado por ácido tereftálico (ácido p- benceno-dicarboxilico) y el etilenglicol (etanodiol):
  • 26.
    Poliamidas Se producen porsucesivas reacciones entre el grupo ácido y el amino con formación de amidas. Forman fibras muy resistentes. La poliamida más conocida es el nailon 6,6 formado por la copolimerización del ácido adípico (ácido hexanodioico) y la 1,6-hexanodiamina:
  • 30.
    Polímeros naturales: Provenientesdirectamente del reino vegetal o animal. Por ejemplo: celulosa, almidón, proteínas, caucho natural, ácidos nucleicos, aminoacidos, etc. Polímeros artificiales: Son el resultado de modificaciones mediante procesos químicos, de ciertos polímeros naturales. Ejemplo: nitrocelulosa, caucho vulcanizado, etc. Polímeros sintéticos: Son los que se obtienen por procesos de polimerización controlados por el hombre a partir de materias primas de bajo peso molecular. Ejemplo: nylon, polietileno, cloruro de polivinilo, polimetano, etc.
  • 31.
    Polímeros naturales Existen polímerosnaturales de gran significación comercial como el: Algodón: Formado por fibras de celulosas. La celulosa se encuentra en la madera y en los tallos de muchas plantas, y se emplean para hacer telas y papel. La seda es otro polímero natural muy apreciado y es una poliamida semejante al nylon. La lana, proteína del pelo de las ovejas, es otro ejemplo. El hule de los árboles de hevea y de los arbustos de Guayule, son también polímeros naturales importantes.
  • 32.
    CAUCHO NATURAL El cauchonatural, es el poli-cis-isopreno, que se extrae del árbol Hevea brasiliensises, es un polímero elástico y semisólido, y posee la siguiente estructura
  • 33.
    El almidón esun polímero, donde el monómero es la glucosa. El algodón está hecho de celulosa, que también es un polímero de la glucosa, y la madera está compuesta en gran proporción de celulosa. Las proteínas son polímeros donde el monómero son los aminoácidos. La lana y la seda son dos de las miles de proteínas que existen en la naturaleza. Los seres vivos no podrían existir sin polímeros: toda planta y animal requiere de ellos. Entre los polímeros naturales más importante están los ácidos nucleicos, que contienen la información genética codificadora que hace que cada individuo sea único.
  • 34.
    AMINOACIDOS Los aminoácidos tienenun grupo ácido y uno básico. En solución acuosa, el ión hidrógeno del ácido carboxílico es transferido al grupo básico que es el amino: el producto resultante es una molécula polar.
  • 35.
    PROTEINAS Las proteínas sonpoliamidas. El enlace amida (-CONH-) entre un aminoácido y otro aminoácido se denomina enlace peptídico. Se puede observar que sigue existiendo un grupo amino reactivo a la izquierda y un grupo carboxilo a la derecha.
  • 36.
    Los polímeros sintéticosse pueden subdividir en: 1. Los Elastómeros: Sustancias que poseen la elasticidad que caracteriza al caucho y al igual que este se emplean para fabricar gomas, mangueras o neumáticos. 2. Las Fibras: Materiales capaces de orientarse para formar filamentos largos y delgados como el hilo. Poseen una gran resistencia a lo largo del eje de orientación, tal como ocurre con el algodón, la lana y la seda. Tienen su principal aplicación en la industria textil. 3. Los Plásticos: Son polímeros que pueden ser moldeados a presión y transformados en diversos objetos con formas diferentes, o bien, usados como pinturas o recubrimientos de superficies.
  • 37.
    También se puedenclasificar según sus aplicaciones y usos: 1.- Elastómeros Tienen muy poca elasticidad, y mucha extensibilidad, lo que quiere decir que se deforman mucho al someterlos a un esfuerzo, pero se recuperan rápidamente a lo que este termina. 2.- Plásticos Estos polímeros ante un esfuerzo mayor, se deforman irreversiblemente. Este concepto se usa muy erradamente, cuando las personas se refieren a los polímeros en su totalidad.
  • 38.
    3.- Fibras Son muyelásticos, pero muy poco extensibles. Básicamente los utilizan para confeccionar telas que mantienen su forma. 4.- Recubrimientos son líquidos generalmente que se adhieren a otra superficie de algún otro material para otorgarles una nueva propiedad. 5.- Adhesivos Combinan adhesión y cohesión, lo que permite que se una a otro cuerpo por contacto superficial.
  • 46.
    Polímeros termoplásticos. Polímerosque pueden ser recalentados y refundidos muchas veces, puesto que no se forman productos secundarios durante el procesamiento. Polímeros termoestables. Polímeros que se polimerizan a temperaturas elevadas, liberando un producto secundario que por ello se restringe su reciclabilidad. Elastómeros. Polímeros que poseen una estructura de cadenas altamente enrolladas y parcialmente ligadas en forma cruzada, lo que permite al polímero tener una deformación elástica excepcional
  • 52.
    Estructura de lospolímeros  Los polímeros pueden tener tres tipos de estructuras:  1. Estructuras lineales. Las moléculas forman cadenas lineales. Se forman cuando las moléculas (monómeros) son únicamente bifuncionales. La polimerización puede ser por adición o por condensación. Este es el caso de los termoplásticos
  • 53.
    2. Estructuras dered (amorfas). Las moléculas forman redes tridimensionales. Se forman cuando las moléculas (monómeros) son trifuncionales o mayores La polimerización puede ser por adición o por condensación. Este es el caso de los termoestables
  • 55.
    3. Estructuras cristalinas.Se produce cuando las cadenas lineales adquieren un ordenamiento. La estructura cristalina es importante porque los polímeros lineales se vuelven más firmes y fuertes. Los polímeros cristalinos tienen mayores densidades y mejores propiedades mecánicas que los polímeros amorfos (cadenas en desorden).
  • 56.
    Cristalinidad en lospolímeros Las propiedades de los polímeros dependen de su estructura. En su mayoría, los polímeros tienen una estructura amorfa (del tipo vidrio); sin embargo, algunos polímeros lineales y de reticulado raro, pueden formar zonas rigurosamente ordenadas, es decir, tienen parcialmente una estructura cristalina, lo que conduce a la elevación de la resistencia mecánica, dureza y estabilidad térmica. En el caso de la estructura cristalina se incrementa la interacción molecular, pero se reduce la flexibilidad de las moléculas.
  • 57.
    La relación delos volúmenes de todas las zonas cristalinas de los polímeros entre su volumen total se denomina grado de cristalinidad, que es una de las características más importantes de los polímeros. Un alto grado de cristalinidad (60 a 80 %) poseen los fluoroplásticos, los policarbonatos, el propileno y el polietileno de alta densidad. La cristalinidad hace que los materiales sean resistentes, pero también quebradizos. Un polímero totalmente cristalino sería demasiado quebradizo como para ser empleado como plástico. Las regiones amorfas le confieren ductilidad al polímero, es decir, la habilidad de poder plegarse sin romperse.
  • 58.
    Muchos polímeros presentanuna mezcla de regiones amorfas y cristalinas, pero algunos son altamente cristalinos y otros son altamente amorfos. A continuación se presentan polímeros que tienden hacia dichos extremos: Ejemplos de polímeros altamente cristalinos: Polipropileno. Poliestireno sindiotáctico. Nylon. Kevlar y Nomex (Poliamidas). Policetonas. Ejemplos de polímeros altamente amorfos: Polimetilmetacrilato. Poliestireno atáctico. Policarbonato. Poliisopreno. Polibutadieno.
  • 59.
    Tacticidad. Es laforma en que se encuentran dispuestos los grupos laterales a lo largo de una cadena polimérica. Este término se emplea ampliamente cuando se trata de los polímeros vinílicos (polímeros obtenidos a partir de monómeros vinílicos; es decir, pequeñas moléculas conteniendo dobles enlaces carbono-carbono; constituyen una gran familia de polímeros). La estructura de un polímero afecta en gran medida a la cristalinidad. Si es regular y ordenada, el polímero se empaquetará fácilmente en forma de cristales; de lo contrario, no .
  • 60.
    Estructuras del polipropileno:(a) Atàctica (grupos al azar), (b) isotáctica (al mismo lado) y (c) sindiotáctica (lados opuestos)
  • 65.
    Comportamiento de lospolímeros termoplásticos Al igual que los metales, los polímeros pueden soportar deformación tanto elástica como plástica: Deformación elástica. Se debe a dos mecanismos: 1. Estiramiento y distorsión de los enlaces dentro de la cadena 2. Movimiento recuperable de segmentos completos de las cadenas.
  • 66.
    Deformación plástica. Ladeformación plástica de los polímeros ocurre cuando las cadenas en el polímero se deslizan una sobre otra rompiendo los débiles enlaces de Van der Waals. Cuando se retira el esfuerzo, las cadenas permanecen en sus nuevas posiciones y el polímero se deforma permanentemente. La deformación permanente está relacionada con la viscosidad del polímero. Los polímeros con una alta viscosidad requieren mayores esfuerzos para producir deformación plástica1
  • 69.
    TEMPERATURA DE TRANSICION(Tg). Cuando el polímero es enfriado por debajo de esta temperatura, se vuelve rígido y quebradizo, igual que el vidrio. Algunos polímeros son empleados a temperaturas por encima de sus temperaturas de transición vítrea y otros por debajo. Los plásticos duros como el poliestireno y el polimetilmetacrilato, son usados por debajo de sus temperaturas de transición vítrea; es decir, en su estado vítreo. Sus Tg están muy por encima de la temperatura ambiente, ambas alrededor de los 100 oC. Los cauchos elastómeros como el poliisopreno y el poliisobutileno, son usados por encima de sus Tg, es decir, en su estado caucho, donde son blandos y flexibles.
  • 70.
    La transición vítreano es lo mismo que la fusión. La fusión es una transición que se manifiesta en los polímeros cristalinos; ocurre cuando las cadenas poliméricas abandonan sus estructuras cristalinas y se transforman en un líquido desordenado. La transición vítrea es una transición que se manifiesta en los polímeros amorfos; es decir, polímeros cuyas cadenas no están dispuestas según un ordenamiento cristalino, sino que están esparcidas en cualquier ordenamiento, aún en estado sólido.
  • 71.
    Pero incluso lospolímeros cristalinos tienen alguna porción amorfa. Esta porción generalmente constituye el 40-70% de la muestra polimérica. Esto explica por qué una misma muestra de un polímero puede tener tanto una temperatura de transición vítrea como una temperatura de fusión.
  • 74.
     Temperatura dedegradación (Td). Los materiales termoplásticos se convierten en líquidos si se calientan y luego se endurecen si se enfrían. El efecto del calor es vencer las fuerzas de Van der Waals entre las moléculas por medio de la agitación térmica haciendo posible el flujo. En contraste, en los materiales termoestables se encuentran redes tridimensionales de enlaces covalentes. Estas redes no se rompen fácilmente con el calor y por lo tanto, son materiales más fuertes y duros. A muy altas temperaturas, los enlaces covalentes entre los átomos en la cadena lineal pueden destruirse, el polímero se quema o carboniza
  • 75.
    Temperatura de fusión(Tf). Temperatura a la cual los polímeros termoplásticos se funden.
  • 77.
    FLUENCIA Y FRACTURADE LOS MATERIALES POLIMERICOS La deformación bajo una carga aplicada constante a una temperatura constante continúa aumentando con el tiempo. La magnitud del incremento de deformación aumenta con el incremento del esfuerzo aplicado y de la temperatura. La temperatura a la cual tiene lugar la deformación plástica de un material polimérico es también un factor importante para la determinación de la velocidad de fluencia.
  • 78.
    A temperaturas pordebajo Tg, la velocidad es relativamente baja debido a la movilidad restringida de la cadena molecular. Por arriba de Tg, los termoplásticos se deforman con más facilidad por una combinación de deformación elástica y plástica que se conoce como comportamiento viscoelástico (las cadenas se deslizan una sobre otra con mayor facilidad y esto se conoce como flujo viscoelástico))
  • 79.
    Relajación de losesfuerzos en los materiales poliméricos La relajación de esfuerzos en un material polimérico sometido a deformación constante da por resultado una disminución del esfuerzo con el tiempo. La causa de la relajación de esfuerzos es que se provoca el flujo viscoso en la estructura interna del material polimérico porque las cadenas se deslizan lentamente entre sí debido al rompimiento y reformación de los enlaces secundarios entre las cadenas, y porque mecánicamente se desenredan y retroceden.
  • 80.
    La relajación deesfuerzos permite que el material alcance un estado de menor energía espontáneamente si hay suficiente energía de activación para que el proceso se presente. esfuerzo después del tiempo t esfuerzo inicial = tiempo de relajación
  • 81.
    Debido a queel tiempo de relajación es el reciproco de una velocidad, se puede relacionarlo con la temperatura en grados Kelvin por una ecuación tipo Arrhenius donde C = relación constate independiente de la temperatura Q = energía de activación para el proceso R = constante molar de los gases = 8,314 J/(mol.K)
  • 82.
    FRACTURA DE LOSMATERIALES POLIMÉRICOS Los materiales poliméricos pueden considerarse como frágil, dúctil o intermedia entre los dos extremos. En general, se considera que los plásticos termoestables no reforzados se fracturan en forma frágil. Por otra parte, los termoplásticos pueden fracturarse en forma frágil o dúctil. Si la fractura ocurre por debajo de Tg, entonces su forma de fractura será frágil, mientras que si ocurre por arriba de Tg, su forma de fractura será dúctil.
  • 83.
    Estructura y propiedadespolímeros termoplásticos Existen varias formas para modificar y controlar las propiedades de los polímeros termoplásticos: Grado de polimerización. A mayor grado de polimerización mayor temperatura de fusión y mejores propiedades mecánicas
  • 84.
    Tipos de monómeros.Los átomos más grandes, como el Cl y los grupos de átomos, como los grupos metilo o benceno interfieren en el deslizamiento de las cadenas cuando se aplica un esfuerzo, incrementándose así la resistencia mecánica y el punto de fusión del polímero. Ramificación. Se produce debido a la adición de un agente que remueve algunos átomos de hidrógeno de la parte lateral de una cadena, a fin de que puedan producirse ramificaciones en estos puntos.
  • 85.
    Esta modificación selleva a cabo en un polímero lineal.
  • 86.
    Uniones cruzadas. Seproduce cuando dos cadenas se enlazan mediante algún elemento especial. Ejemplo: En la vulcanización, las cadenas de caucho isopreno se unen mediante átomos de azufre, para obtener dureza y tenacidad que requiere el caucho para muchas aplicaciones.
  • 87.
    Escisión de anillos.Se produce cuando dos moléculas se unen a una tercera cuando se rompen los anillos. Ejemplo: Dos moléculas del grupo epóxido se unen cuando un anillo se rompe por combinación con un reactivo que promueve el enlace. Localización de los grupos de átomos. Mediante un control de la simetría o la distribución de los grupos o elementos determinados en los lados de la cadena se pueden variar las propiedades de un polímero
  • 88.
    Estructuras del polipropileno:(a) Atàctica (grupos al azar), (b) isotáctica (al mismo lado) y (c) sindiotáctica (lados opuestos)
  • 89.
    Otras configuraciones importantesson: la estructura trans de la gutapercha, los CH3 y los H están en lados opuestos del doble enlace, dando una cadena de carbono relativamente recta. En el caucho la estructura cis, la cadena se curva, lo cual conduce una molécula helicoidal parecida a un resorte
  • 90.
    Polímeros termoplásticos Polietileno (PE).Se obtiene de la polimerización del etileno. Hay dos tipos: Polietileno de baja densidad (LDPE). Estructura de cadenas ramificadas (menor rigidez y resistencia térmica) Polietileno de alta densidad (HDPE). Estructura de cadena lineal (mayor
  • 91.
    Presentan tenacidad, absorciónde humedad cercana a cero, excelente resistencia química, aislante eléctrico, bajo coeficiente de fricción y facilidad de procesamiento. Aplicaciones. Contenedores, artículos del hogar, botellas y películas para empaquetamientos
  • 92.
    Policloruro de vinilo(PVC). Se obtiene de la polimerización del Policloruro de vinilo Estructura y propiedades. Material de estructura amorfa debido a la presencia de los átomos de Cl en la cadena principal. Resistencia a la llama, buena temperatura de deflexión por calor, aislante eléctrico y alta resistencia química. Aplicaciones: Tuberías y conexiones para usos hidráulicos y sanitarios, tuberías conduit para cableado eléctrico, moldeado de interiores y decoraciòn
  • 93.
    Poliestireno (PS). Seobtiene de la polimerización del estireno Estructura y propiedades. Material de estructura amorfa debido a la presencia del anillo fenileno en la cadena principal. Aislante eléctrico y quebradizo al impacto Aplicaciones: Recubrimiento de interiores de automóviles, electrodomésticos, discos, manillares y utensilios de cocina.
  • 94.
    Polipropileno (PP). Seobtiene de la polimerización del propileno Estructura y propiedades. Material de estructura amorfa debido a la presencia de un grupo metilo en la cadena principal. Rigidez, excelente resistencia química y aislante eléctrico. Aplicaciones: Obturadores, partes de automóvil, productos para el hogar, electrodomésticos, embalajes, utensilios de laboratorio y varios tipos de botellas
  • 95.
    Poliacrilonitrilo Se obtiene dela polimerización del acrilonitrilo Estructura y propiedades: Alta electronegatividad del grupo nitrilo. Estructuras extensibles, rígidas y con forma de varilla. Resistencia y estabilidad química Aplicaciones: Fibras como lana en jerseys y mantas
  • 96.
    ABS. Se obtienede la copolimerización del acrilonitrilo, butadieno y estireno Estructura y propiedades. Una mezcla de un copolímero vítreo (estireno-acrilonitrilo) y dominios de goma (butadieno). Buena resistencia al impacto y quìmica. Aplicaciones: Tuberías y herramientas, particularmente en las tuberías de drenaje-desagüe-ventilación de los edificios. Recubrimientos de puertas e interiores de frigoríficos, máquinas de oficina, carcasas y cubiertas de computadores.
  • 97.
    Polimetacrilato de metilo(PMMA plexiglas o lucite) Se obtiene de la polimerización del metacrilato de metilo Estructura y propiedades. Completamente amorfa dotada de una alta transparencia a la luz. Buena resistencia química, a la intemperie y aislamiento eléctrico. Aplicaciones. Cristales de aviones, embarcaciones, claraboyas, iluminación exterior y señales publicitarias.
  • 98.
    Politetrafluoroetileno (PTFE Teflón) Seobtiene de la polimerización del gas tetrafluoroetileno Estructura y propiedades. Es un polímero cristalino de alta densidad. Resistencia excepcional a los productos químicos y altas temperaturas (hasta 260 oC). Aplicación. Tuberías resistentes a reactivos químicos, aislamiento de cables a altas temperaturas y recubrimientos antiadherentes, juntas, anillos de estancamiento y cojinetes.
  • 99.
    Policlorotrifluoroetileno (CTFE) Estructura ypropiedades. La presencia del cloro le hace menos cristalino y más moldeable. Presenta mayor rigidez y resistencia mecánica que el PTFE. Aplicaciones: Camisas para cables, formas para bobinas, tunerías y partes para bombas, diafragmas de válvulas y otros elementos industriales para procesos corrosivos
  • 100.
    Poliamidas (nylon) Se producemediante polimerización por condensación Estructura y propiedades. La cadena incorpora un grupo amida. Son procesados por fusión, ofrecen capacidad de soporte de carga a elevadas temperaturas, buena tenacidad, baja fricción y buena resistencia química Aplicación. Cojinetes no lubricados, engranajes, soportes, bujes, sellos, piezas antifricción, piezas mecánicas sujetas a altas temperaturas y cargas de impacto
  • 101.
    Las aramidas pertenecena una familia de nailones, incluyendo el Nomex y el Kevlar. El Kevlar se utiliza para hacer chalecos a prueba de balas y neumáticos resistentes a las pinchaduras. Las mezclas de Nomex y de Kevlar se utilizan para hacer ropas antiflama, motivo por el que lo emplean los bomberos. El Kevlar es una poliamida, en la cual todos los grupos amida están separados por grupos para-fenileno. Es decir, los grupos amida se unen al anillo fenilo en posiciones opuestas entre sí, en los carbonos 1 y 4. El Kevlar es un polímero altamente cristalino. Llevó tiempo encontrar una aplicación útil para el Kevlar, dado que no era soluble en ningún solvente
  • 102.
    Policarbonato. Se obtienenpor la polimerización de dos grupos fenilo y los dos metilo unidos al mismo carbono en la unidad estructural Estructura y propiedades. Son polímeros amorfos transparentes y se encuentran entre los más fuertes tenaces y rígidos. Aplicaciones. Pantallas de seguridad, levas engranajes, cascos, componentes de aviones, propulsores de barcos, lentes y vidrios para ventanas
  • 103.
    Oxido de polifenileno.Resinas basadas en el óxido de fenileno Aplicaciones. Conectores de electricidad, sintonizadores de televisión, pequeños aparatos, cubiertas de máquinas de escribir.
  • 104.
    Acetales. Se producenpor la polimerización del formaldehído o su copolimerización con óxido de etileno. Estructura y propiedades. Material polimérico de alta homogeneidad, resistencia y temperatura de deflexión térmica. Son polímeros cristalinos de los más resistentes y rígidos de los Termoplásticos Aplicaciones. Han reemplazado a muchos metales fundidos de zinc, latón y aluminio. Acoplamientos mecánicos, impulsores de bombas, engranajes, levas y cubiertas.
  • 105.
    Sulfuro de polifenileno.Se obtiene por la polimerización por condensación de diclorobenceno y sulfuro de sodio Estructura y propiedades. Simétrica compacta de los anillos de fenileno, separada por átomos de azufre, rígido y fuerte. Polímero cristalino de elevada resistencia térmica, rigidez, excelente resistencia química, bajo coeficiente de fricción, aislante eléctrico y buena resistencia a la abrasión Aplicaciones. Equipamiento para procesos químicos, como bombas tipo-engranaje, sumergibles, centrifugables y alabes.
  • 106.
    Polímeros termoestables Se empleanen artículos moldeados y laminados. Poseen una estructura molecular tipo reticular a base de uniones covalentes primarias. No pueden ser reprocesados Características: Estabilidad térmica elevada y dimensional Alta rigidez Resistencia a la termofluencia y deformación bajo carga Aislamiento eléctrico y térmico elevado Peso ligero. Se procesan por lo general por moldeo por compresión o por transferencia (dos fases que se mezclan)
  • 107.
    Resinas fenólicas. Seproducen por reacción del fenol y formaldehído, según una polimerización por condensación Aplicación. Cubiertas de distribuidores, rotores, mangos de utensilios de cocina, perillas, bases, componentes eléctricos y electrónicos
  • 108.
    Resinas epoxi. Cadacadena contiene dos o más grupos epóxido. Tienen elevada reactividad con aminas, anhídridos y otros agentes curadores, que forman fácilmente enlaces cruzados. Aplicación. Materiales compuestos reforzados con fibra de vidrio de alta resistencia para la industria aeroespacial y para tubos, tanques y recipientes de presión, recubrimientos protectores de utensilios y equipo industrial.
  • 110.
    Poliestres insaturados Se formapor la reacción de un diol (alcohol con dos grupos OH) con un ácido (con dos grupos COOH) que contiene un doble enlace carbono-carbono reactivo. Aplicación. Paneles de automóviles y prótesis. Cascos de botes pequeños, paneles y componentes de baño.
  • 112.
    Resinas amino (ureasy melaminas) La urea o melamina reaccionan con el formaldehído mediante reacciones de polimerización por condensación en las que se forma agua como subproducto. Aplicación. Urea- formaldehído para placas de pared y receptáculos eléctricos. Melamina-formaldehído para moldeados, botones, botones de control y tiradores
  • 115.
    ELASTOMEROS Caucho natural. Seextrae en forma de látex del árbol hevea brasiliensis El caucho natural tiene una estructura cis-poliisopreno melamina reaccionan con el formaldehído mediante reacciones de polimerización por condensación en las que se forma agua como subproducto.
  • 117.
    Cauchos sintéticos. Comprendenel 70 % del caucho. Caucho de butadieno-estireno (caucho SBR). Se obtiene por la copolimerización del estireno y butadieno. Resistencia al desgaste y al envejecimiento. Desventaja absorben aceite y gasolina Aplicación. Neumáticos mezclado con el caucho natural.
  • 118.
    Caucho nitrilo (NBR).Se obtienen de la copolimerización del butadieno y acrilonitrilo. Algunos nombres comerciales son: Nipol, Krynac y Europrene. Tienen buena resistencia a los aceites y disolventes Aplicaciones: Mangueras y manguitos que requieren alta resistencia a aceites y disolventes. Las aplicaciones del caucho del Nitrilo incluyen las correas de transmisión automotoras, mangueras, sellos de aceite, correas de V, cuero sintético, rodillo de la impresora. El látex de NBR se puede también utilizar para preparar los pegamentos, la impregnación del papel y pigmentos
  • 119.
    Caucho neopreno (CR).Son similares a los de isopreno excepto que el grupo metilo que estaba unido al doble enlace del carbono es reemplazado por un átomo de cloro. Poseen mala flexibilidad a bajas temperaturas y son más caros que los normales. El átomo de cloro confiere un aumento de la resistencia a los aceites, aproximadamente entre el Caucho Natural y Nitrílio, esto es a menudo suficiente para muchas aplicaciones. Aplicación. Vainas para cables y alambres, mangueras y abrazaderas industriales, y precintos y diafragmas de automóviles.
  • 120.
    Polibutadieno (BR). Esa caucho sintético formado por la polimerización de los monómeros de butadieno. Aplicación: Tiene una alta resistencia al desgaste y se utiliza especialmente en fabricación de neumáticos. También se ha utilizado para cubrir o encapsular ensambles electrónicas, ofreciendo resistencia eléctrica extremadamente alta.
  • 121.
    Caucho silicón. Sebasa en una cadena lineal compuesta de átomos de silicio y oxígeno. Este tipo de cadena proporciona resistencia a altas temperaturas.
  • 122.
    El caucho delsilicón ofrece buena resistencia a las temperaturas extremas, pudiendo funcionar normalmente desde -55°C a +300°C. En las temperaturas extremas, la fuerza extensible, el alargamiento, la fuerza del rasgón y el sistema de la compresión pueden muy superiores a los cauchos convencionales. El caucho del silicón es un material altamente inerte y no reacciona con la mayoría de los productos químicos. Debido a su inercia, se utiliza en muchos usos médicos y adentro implantes médicos.
  • 123.
    Resistencia química delos polímeros Depende de: Naturaleza química de los monómeros Estructura de los polímeros Ataque químico es interno y entraña disolución, reblandecimiento, engrosamiento y pérdida de resistencia
  • 124.
    Grupos polares (OH y COOH). Los polímeros que poseen grupos polares suelen disolverse por la acción de líquidos polares: Agua y alcoholes Grupos no polares (CH3 y C6H6). Los polímeros que poseen grupos no polares suelen disolverse por la acción de líquidos no polares: gasolina, benceno y tetracloruro de carbono. Grado de polimerización. A mayor grado de polimerización disminuye su tendencia a la disolución en un solvente determinado.
  • 125.
    Estructura. Los polímeroscristalinos presentan una mayor resistencia química que los polímeros amorfos Uniones cruzadas. La presencia de enlaces cruzados puede hacerle a un polímero insoluble y si existe interacción con un solvente se produce engrosamiento Ramificación. Las ramificaciones disminuye la velocidad de disolución Sustancias químicas. Los polímeros presentan mejor resistencia al deterioro por ácidos y álcalis que los metales
  • 126.
    Permeabilidad y absorciónde agua. El paso de gas puede ocurrir por difusión a través de los conductos finísimos entre unidades moleculares. Los polímeros que tienen grupos polares tienen velocidad de permeabilidad o de absorción de agua mayor que los polímeros no polares. Deformación. Los polímeros aromáticos que tienen anillos en sus cadenas son más rígidos y más resistentes a la deformación, debido a que se vuelve más difícil la rotación de las cadenas
  • 127.
    Resistencia a altastemperaturas. En los polímeros aromáticos por tanto los puntos de fusión y la temperatura de transición vítrea aumentan y disminuye la solubilidad y deformación bajo carga a temperaturas elevadas. Elementos inorgánicos (Si y O). La presencia de Si y O, le da a los polímeros una buena resistencia al calor, pero disminuye su resistencia química. Oxidación. Unión de átomos de oxígeno a las cadenas de moléculas. El oxígeno del aire puede producir oxidación (ozono O3) Degradación. Rotura de enlaces o fraccionamiento de moléculas por el calor o radiación ultravioleta
  • 128.
    APLICACIONES Los polímeros seutilizan en un número sorprendente de aplicaciones, incluyendo juguetes, aparatos domésticos, elementos estructurales y de decorativos, recubrimiento, adhesivos, llantas de automóvil y empaques. El polietileno se usa para producir películas para empaque, aislamiento de conductores, botellas blandas, recubrimiento de extrusión, cortinas, manteles, cubiertas para la construcción, estanques, invernaderos, bolsas de basura, tuberías y elementos caseros. El cloruro de polivinilo o más conocido como el PVC se utiliza para fabricar tuberías, válvulas, coples, loseta de piso, aislamiento para conductores, y techos de vinil para automóviles.
  • 129.
    El polipropileno seutiliza para la fabricación de tanques, aplicación en el moldeo por inyección de piezas de electrodomésticos, utensilios pequeños, piezas de automóviles, fibras para alfombras, cuerdas y empaques. El poliestireno se utiliza para la fabricación de empaques y espumas aislantes, paneles de iluminación, copolímeros resistentes al calor y al impacto, piezas ópticas de plástico, juguetes, componentes de aparatos y rejas para huevos. El poliacrilonitrilo (PAN) se utiliza para la fabricación de fibras textiles, precursor para fibras de carbón y recipientes de alimento.
  • 130.
    El polimetilmetacrilato (PMMA),(acrilicoplexiglas) se utiliza para la fabricación de ventanas, parabrisas, recubrimientos, lentes de contacto rígidos, señalizaciones iluminadas internamente. El policlorotriflouroetileno se utiliza para la fabricación de componentes para válvulas, juntas, tuberías y aislamiento eléctrico. El politetraflouroetileno mas conocido como el teflón se utiliza para la producción de sellos, aislantes para cables, aislamientos de motores, aceites, transformadores, generadores, acondicionamiento de la estanqueidad de válvulas, válvulas y recubrimientos no adherentes.
  • 131.
    El Polioximetileno (acetal ) ( POM ) se utiliza en la fabricación de accesorios de plomería, plumas, engranes y aspas de ventilador. La Poliamida (PA) mas conocido como nylon es utilizado en la fabricación de cojines, engranajes, fibras, cuerdas, componentes de automotores y componentes eléctricos. La Poliamida (PI) se utiliza en la fabricación de adhesivos, tableros de circuitos y fibras para transbordadores espaciales.
  • 132.
    El poliéster esutilizado por la fabricación de fibras, películas fotográficas, cintas de grabación, contenedores de agua caliente y recipientes para bebidas. La cinta magnética para aplicaciones de video y audio se produce mediante evaporación, pulverización o recubrimiento de partículas de un material magnético como el Fe2O3 sobre la superficie de una cinta de poliéster. El policarbonato se utiliza para la fabricación de carcasas eléctricas y aparatos, componentes automotrices, cascos de fútbol americano y botellas retornables.
  • 133.
    La polieteretercetona (PEEK)es considerado uno de los materiales de más alto desempeño en el mundo. Pueden sustituir con éxito metales como aluminio, titanio, magnesio, latón, acero resistente a la corrosión o acero inoxidable y aleaciones especiales, ya que ofrecen una combinación única de propiedades mecánicas, térmicas y tribológicas, combinado con una excelente resistencia química y prestaciones eléctricas (válvulas, rodamientos, engranajes, etc) El sulfuro de polifenileno (PPS) se utiliza para la fabricación de recubrimientos, componentes para manejos de fluidos, componentes electrónicos y componentes para secadores de pelo. La sulfona de poliéter (PES) se utiliza para la fabricación de componentes eléctricos, cafeteras, secadores eléctricos y componentes de hornos microondas.
  • 134.
    La sulfona depoliéter (PES) se utiliza para la fabricación de componentes eléctricos, cafeteras, secadores eléctricos y componentes de hornos microondas. La poliamidaimida (PAI) se utiliza para la fabricación de componentes electrónicos, aplicaciones aerospaciales y automotrices. Los fenolicos se utilizan en la fabricación de adhesivos, y recubrimientos laminados.
  • 135.
    Las aminas seutilizan en la fabricación de adhesivos, utensilios de cocina, y moldes eléctricos. Los epoxicos se utilizan para la fabricación de adhesivos moldes eléctricos, y matrices para materiales compuestos. Los uretanos se utilizan para la fabricación de fibras, recubrimientos y espumas. La silicona se utiliza como adhesivo , y como selladores.
  • 144.
    CONFORMACION DE POLIMEROSTERMOPLASTICOS La mayoría de las técnicas son utilizadas para conformar los polímeros termoplasticos. El polímero es calentado a temperatura cercana o superior a la temperatura de fusión, de tal manera que se haga plástico o líquido. Entonces, es vaciado o inyectado en un molde para producir la forma deseada.
  • 146.
    Moldeo por inyección. Elmoldeo a alta presión, o moldeo por inyección, es el método más utilizado en la producción de termoplásticos. Se utiliza una máquina parecida a la extrusora, que proporciona alta presión y temperatura elevada al material. Una vez fundido se introduce el plástico a alta presión en el interior del molde. Gracias a la presión, el plástico rellena el molde sin dejar huecos. El proceso es muy rápido, y permite fabricar piezas complejas, por lo que se emplea para elaborar todo tipo de objetos. Un caso particular de aplicación del moldeo por inyección es la fabricación de películas de plástico.
  • 147.
    Método de extrusión Estesistema funciona de la siguiente manera: los gránulos de plástico entra en el sistema de alimentación, estos pasan al tornillo sin fin, mientras estos gránulos se van derritiendo a causa del las camisas calefactoras, estos gránulos se van desplazando, por el movimiento giratorio del tornillo, hacia el cabezal, donde el material pasa a unos molde que le dan forma. Mas tarde se refrigeran y obtiene su forma definitiva, resistente y rígida. Este método solo se puede utilizar en aquellos casos donde los extremos de los objetos estén cerrados o abiertos, en el caso de que solo sea un extremo el que esté abierto o cerrado, este método no funcionaria. Por ejemplo: tuberías
  • 149.
    Extrusión Una vez fundido,el material es obligado a pasar de forma continua a través de una boquilla y es recogido a la salida de la misma por un sistema de arrastre. Al enfriarse, por contacto con el aire ambiente o mediante circulación forzada de aire frío, se obtiene un perfil cuya sección tiene la forma de la boquilla.
  • 150.
    SOPLADO: Variantes desoplado Moldeo por inyección-soplado El moldeo por inyección-soplado consiste en la obtención de una preforma del polímero a procesar, similar a un tubo de ensayo, la cual posteriormente se calienta y se introduce en el molde que alberga la geometría deseada, en ocasiones se hace un estiramiento de la preforma inyectada, después se inyecta aire, con lo que se consigue la expansión del material y la forma final de la pieza y por último se procede a su extracción.
  • 153.
    Moldeo por extrusión-soplado Elmoldeo por extrusión soplado es un proceso de soplado en el que la preforma es una manga tubular, conformada por extrusión, llamada párison, el cual se cierra por la parte inferior de forma hermética debido al pinzamiento que ejercen las partes del molde al cerrarse, posteriormente se sopla, se deja enfriar y se expulsa la pieza. Con este proceso se pueden obtener contenedores de hasta 10.000 litros de capacidad sin embargo no se consiguen tolerancias demasiado estrechas.
  • 155.
    Este método seutiliza para la creación de envases u objetos huecos, como las botellas. Se basa en utilizar una preforma de plástico que ha sido obtenida anteriormente por extrusión, que se introduce en un molde metálico y que se añade a dicho molde por la introducción de aire caliente a presión. Mas tarde se enfría y se retira del molde para su uso.
  • 156.
    Colado La colada esel método más simple, ya que consiste en fundir el material y verterlo en un molde. El fluido viscoso rellena el molde y toma su forma. Se trata de un método lento, ya que se invierte mucho tiempo en asegurarse de que el molde se ha rellenado por completo y en enfriar el plástico. El espumado se usa para conseguir espumas de polímero, es decir, plásticos con una densidad muy baja o expandidos, que tienen en su interior burbujas de aire. En todos ellos, el material fundido toma la forma de un molde y, tras enfriarse y solidificar de nuevo, se obtiene la pieza final.
  • 157.
    Conformación de lostermoendurecibles
  • 158.
    Las técnicas deproducción de polímeros termoestables Los plásticos termoestables se polimerizan en el propio molde. Existen dos técnicas principales de fabricación de objetos con materiales termoplásticos: el moldeo por compresión y el moldeo por transferencia. El moldeo por compresión Consiste en introducir el material, en forma de polvo o gránulos, en un molde, el cual se comprime mediante un contramolde, a la vez que se aporta calor, que reblandece el plástico y facilita el proceso de polimerización.
  • 159.
    Método compresión (termoestables) Éstemétodo es utilizado para piezas de gran tamaño y no muy complicadas, como guardabarros de coche, pomos de puertas, pulseras,... El plástico que se trata adquiere una forma gracias a la presión de una máquina que tiene un molde. El proceso es el siguiente: se coloca una pieza de plástico en un molde de metal, esta es aplastada y moldeada por otra pieza de metal que conforma la otra mitad del molde, todo ello se realiza con el plástico a una elevada temperatura, gracias a esto el material adquiere una forma rígida, uniforme y homogéneo
  • 161.
    Moldeo por transferencia Eneste procedimiento, los materiales en bruto se calientan y se licuan en una primera cavidad. Después, el material en estado líquido se transfiere al molde mediante inyección, donde se comprime y adopta su forma. Mientras, se agregan los componentes aditivos para mejorar las propiedades físicas, modificar el color, etc. El plástico toma la forma del molde al mismo tiempo que se produce la polimerización. Este procedimiento es habitual para fabricar objetos de madera o metal revestidos de plástico, como enchufes y conectores eléctricos o el revestido de maderas con formica.
  • 163.
    Moldeo por compresión:La materia prima plástica, en forma de polvo seco, se introduce en el molde, se la somete a presión y temperatura elevada, hasta que el material plástico que rellena el molde se solidifica. Este proceso es principalmente utilizado en plásticos termoestables. Moldeo por transferencia: Requiere de una cámara doble . El polímero en una de las cámaras es calentado a presión. Una vez fundido se inyecta e n la cavidad del dado adyacente. Este proceso permite que algunas de las ventajas del moldeo por inyección se usen con polímeros termoestables.
  • 164.
    La mecanización delos plásticos Mecanizar cualquier tipo de material consiste en realizar, mediante máquinas o herramientas, trabajos para dar forma a los objetos. Una máquina herramienta porta una herramienta que se acopla a los mecanismos de la máquina, que, por lo general, realizará algún movimiento, bien en la pieza a mecanizar o bien en la propia herramienta. La industria ha encontrado en el plástico un buen sustituto de la madera y los metales para ciertas aplicaciones, debido a la gran dureza, tenacidad y resistencia de determinado tipo de plásticos. Estos se suelen obtener en formas estándar, como perfiles redondos, chapas o láminas, tubos..., para después mecanizarlos o darles forma mediante máquinas herramientas.
  • 168.
    Atornillado Este tipo deunión se emplea para fabricar piezas desmontables. Suelen utilizarse tornillos pasantes, con arandelas y tuercas, fabricados normalmente con materiales metálicos.
  • 169.
    La aplicación deadhesivos La unión se realiza incorporando un adhesivo entre las piezas a unir. Este tipo de uniones se utiliza en todos los plásticos, pero en especial en termoestables y elastómeros, a los que no se pueden aplicar procedimientos de soldadura, puesto que se destruyen con el calor. El adhesivo se aplica en la zona a unir y actúa como disolvente de la superficie del plástico. Así, comprimiendo las piezas, se conseguirá la unión definitiva de ambas superficies una vez haya solidificado el adhesivo. Los adhesivos que mejor adherencia y comportamiento presentan en condiciones ambientes extremas son los adhesivos epóxicos, los basados en metacrilato, las resinas de uretano y los adhesivos de cianoacrilato, pudiéndose utilizar también en materiales termoplásticos difíciles de trabajar con adhesivos, como el polipropileno, el polietileno o el
  • 170.
    Soldadura En general, lasdistintas formas de unir piezas por soldadura se pueden agrupar en tres grandes bloques: Mediante aportación de calor. Esta técnica se destina a termoplásticos que, ante al aumento de temperatura, se funden, pudiéndose unir por compresión las superficies fundidas.
  • 171.
    Por emisión deultrasonidos. Este método consiste en emitir ondas de ultrasonidos en las superficies a unir, generando un efecto de vibración entre las moléculas del material, que provoca un aumento de temperatura y lo reblandece. Por emisión de haz láser. Se reserva para unir piezas pequeñas en áreas determinadas, emitiendo un haz láser que calienta la superficie a soldar. Esta soldadura permite realizar uniones muy precisas debido a la alta direccionabilidad del haz láser.
  • 173.
    Bibliografía: 1. Smith William. Fundamentos de la ciencia e Ingeniería de Materiales cuarta edición 2. Smith William. Ciencia e Ingeniería de Materiales. 3. Askeland. Ciencia e Ingeniería de Materiales. 4. Callister William. Introducción a la Ciencia e Ingeniería de los Materiales 5. Shakefford. Ciencia de Materiales para Ingenieros. 6. Mangonon. Ciencia de Materiales Selección y diseño. 7. Flinn-Trojan. Materiales de Ingeniería y sus Aplicaciones. 8. Avner. Introducción a la Metalurgia Física. 9. Red Hill. Principios de Metalurgia Física. 10.Lasheras. Tecnología del acero.