Universidad José Carlos Mariátegui DISEÑO DE ESTRUCTURAS HIDRÁULICAS 
1 
ING. OMAR FRANCISCO CASTRO ZEBALLOS 
CONTENIDO 
CAPITULO 1 .................................................................................................................................. 3 
1 ECUACIONES BÁSICAS DE LA HIDRÁULICA ..................................................................... 3 
1.1 Introducción .................................................................................................................... 3 
1.2 Flujo en canales abiertos y su clasificación ........................................................... 3 
1.2.1 Clasificación de canales según el tipo de escurrimiento .......................... 4 
1.3 Canales abiertos y sus propiedades ........................................................................ 8 
1.3.1 Canales artificiales ................................................................................................ 9 
1.3.2 Distribución de velocidades en una sección de canal ........................... 12 
1.3.3 Coeficientes de distribución de velocidades ............................................. 14 
1.4 Energía del flujo en canales abiertos ..................................................................... 14 
1.5 Cantidad de movimiento del flujo en canales abiertos .................................. 16 
1.6 Flujo crítico ..................................................................................................................... 18 
1.7 El resalto hidráulico y su uso como disipador de energía................................ 20 
1.7.1 Resalto en canales rectangulares .................................................................. 22 
1.7.2 Características básicas del resalto para canales rectangulares .......... 22 
1.7.3 Longitud del resalto ............................................................................................. 22 
1.7.4 El perfil superficial ................................................................................................. 23 
1.7.5 Localización del resalto ..................................................................................... 24 
1.7.6 El resalto como disipador de energía ............................................................ 26 
1.8 Medición de flujo ......................................................................................................... 28 
1.8.1 Orificios .................................................................................................................... 30 
1.8.2 Vertederos .............................................................................................................. 32 
1.8.3 Vertederos de cresta delgada ........................................................................ 32 
1.8.4 Vertederos de cresta ancha ............................................................................ 33 
CAPITULO 2 ................................................................................................................................ 35 
2 SISTEMAS DE CONDUCCIÓN ............................................................................................. 35 
2.1 Introducción .................................................................................................................. 35 
2.2 Condicionantes del Diseño ....................................................................................... 35 
2.3 Obras de Drenaje Transversal .................................................................................. 38 
2.4 Estructuras de un Sistema de Conducción .......................................................... 40 
CAPITULO 3 ................................................................................................................................ 44 
3 CAÍDAS .................................................................................................................................... 44 
3.1 Generalidades .............................................................................................................. 44 
3.1.1 Caídas rectangulares inclinadas .................................................................... 45 
3.1.2 Procedimiento de cálculo ................................................................................ 51 
CAPITULO 4 ................................................................................................................................ 64 
4 ESTRUCTURAS DE CAPTACIÓN .......................................................................................... 64 
4.1 ESTIMACIÓN DEL ANCHO DE ENCAUZAMIENTO [Br] ........................................ 64 
4.2 CALCULO DEL TIRANTE NORMAL DEL RÍO [Ynr] .................................................. 65 
4.3 DISEÑO DE LA COMPUERTA DE REGULACIÓN ..................................................... 66 
4.4 DISEÑO DE LAS VENTANAS DE CAPTACIÓN .......................................................... 69
Universidad José Carlos Mariátegui DISEÑO DE ESTRUCTURAS HIDRÁULICAS 
4.5 CALCULO DE LA ALTURA DE MUROS, PANTALLA FRONTAL Y MURO DE 
TRANSICIÓN ............................................................................................................................... 71 
4.6 DISEÑO DEL BARRAJE .................................................................................................. 73 
4.7 DISEÑO DE LA POZA DISIPADORA DE ENERGÍA ................................................... 74 
CAPITULO 5 ................................................................................................................................ 77 
5 ESTRUCTURAS VARIAS .......................................................................................................... 77 
5.1 VERTEDEROS LATERALES.............................................................................................. 77 
5.2 DISIPADORES DE ENERGÍA ......................................................................................... 81 
5.2.1 Cuenco Disipador Tipo 1 ................................................................................... 83 
5.2.2 Cuenco Disipador Tipo 2 ................................................................................... 84 
5.2.3 Cuenco Disipador Tipo 3 ................................................................................... 88 
5.2.4 Cuenco Disipador Tipo 4 ................................................................................... 90 
5.2.5 Disipador de Pantalla ......................................................................................... 92 
5.2.6 Trampolín Sumergido .......................................................................................... 95 
5.2.7 Dados Disipadores ............................................................................................... 98 
CAPITULO 6 .............................................................................................................................. 103 
6 DISEÑO ESTRUCTURAL DE ESTRUCTURAS HIDRAULICAS ............................................ 103 
6.1 CRITERIOS Y DATOS TÉCNICOS PARA EL DISEÑO ............................................... 103 
2 
ING. OMAR FRANCISCO CASTRO ZEBALLOS
Universidad José Carlos Mariátegui DISEÑO DE ESTRUCTURAS HIDRÁULICAS 
1 ECUACIONES BÁSICAS DE LA HIDRÁULICA 
3 
CAPITULO 1 
ING. OMAR FRANCISCO CASTRO ZEBALLOS 
1.1 Introducción 
En el presente apartado se enuncian o derivan las ecuaciones básicas de la 
hidráulica, como así también se desarrollan los conceptos teóricos 
necesarios para el análisis del flujo en canales abiertos, quedando definido 
de esta forma un marco teórico que sirve de base para la comprensión de 
los temas desarrollados en los apartados subsiguientes. 
1.2 Flujo en canales abiertos y su clasificación 
El flujo en canal abierto debe tener una superficie libre y está sometido a la 
presión atmosférica. 
Con el propósito de simplificación se puede suponer que el flujo es paralelo 
y que tiene una distribución de velocidades uniforme y que la pendiente del 
canal es pequeña. En este caso, la superficie de agua es la línea de 
gradiente hidráulico y la profundidad del agua corresponde a la altura 
piezométrica; si el flujo fuera curvilíneo o la pendiente del canal fuera alta, la 
altura piezométrica sería diferente a la profundidad del flujo, la línea de 
gradiente hidráulico no coincidirá exactamente con la superficie del canal 
(Chow, 1994).
Universidad José Carlos Mariátegui DISEÑO DE ESTRUCTURAS HIDRÁULICAS 
Las condiciones de flujo en canales abiertos se complican por el hecho que 
la superficie libre puede cambiar con el tiempo y en el espacio y también 
por el hecho de que la profundidad del flujo, el caudal y las pendientes de 
fondo del canal y de la superficie libre son independientes. 
La rugosidad de un canal abierto varía con la posición de la superficie libre. 
El flujo en un conducto cerrado, no es necesariamente flujo en tubería, si 
tiene una superficie libre puede clasificarse como flujo en canal abierto, por 
ejemplo alcantarillado de aguas de lluvia. 
Según Chow (1994) los canales pueden clasificarse como: 
4 
ING. OMAR FRANCISCO CASTRO ZEBALLOS 
• Canales a cielo abierto 
• Canales cerrados 
1.2.1 Clasificación de canales según el tipo de escurrimiento 
Según el tipo de flujo se los puede clasificar en: 
Para distinguir si un flujo es permanente o no permanente se tiene como 
criterio el tiempo. 
Flujo permanente: si la profundidad de flujo no cambia o puede 
suponerse constante durante el intervalo de tiempo en 
consideración. 
Flujo no permanente: cuando la profundidad cambia con el tiempo. 
Por ejemplo en el caso de crecientes y oleadas, el nivel del flujo 
cambia de manera instantánea a medida que pasan las ondas y el 
tiempo se vuelve de importancia para el diseño de estructuras de 
control.
Universidad José Carlos Mariátegui DISEÑO DE ESTRUCTURAS HIDRÁULICAS 
Para distinguir si el flujo es uniforme o variado se tiene como criterio el 
espacio. 
Flujo uniforme: si la profundidad del flujo es la misma en cada 
sección del canal. 
Flujo uniforme permanente: la profundidad del flujo no cambia 
durante el intervalo de tiempo en consideración. 
Flujo uniforme no permanente: la superficie del agua fluctúa de un 
tiempo a otro, pero permaneciendo paralela al fondo del canal. Es 
prácticamente imposible. 
Flujo variado: la profundidad del flujo cambia a lo largo del canal. 
Se presenta en cunetas, a lo largo de carreteras, en vertederos de 
canal lateral, en canaletas de aguas de lavado de filtros, canales 
principales de riego, canales de efluentes alrededor de plantas de 
tratamiento de líquidos residuales, en drenaje de sistemas de 
irrigación, etc. 
5 
ING. OMAR FRANCISCO CASTRO ZEBALLOS
Universidad José Carlos Mariátegui DISEÑO DE ESTRUCTURAS HIDRÁULICAS 
Flujo rápidamente variado: si la profundidad del agua cambia de 
manera abrupta en distancias comparativamente cortas. 
Otra clasificación depende de los estados de flujo. El estado o 
comportamiento de flujo en canales abiertos está gobernado 
básicamente por los efectos de la gravedad y la viscosidad en 
relación con las fuerzas inerciales del flujo. 
Efectos de la viscosidad: según los efectos de la viscosidad se 
pueden clasificar los flujos como turbulentos, laminares y de 
transición (Chow,1994). 
Flujo laminar: ocurre cuando las fuerzas viscosas son muy 
fuertes en relación con las fuerzas inerciales. Las partículas de 
6 
ING. OMAR FRANCISCO CASTRO ZEBALLOS
Universidad José Carlos Mariátegui DISEÑO DE ESTRUCTURAS HIDRÁULICAS 
agua se mueven en trayectorias suaves definidas o líneas de 
corriente y las capas de fluido con espesor infinitesimal 
parecen deslizarse sobre capas adyacentes. 
Flujo turbulento: se presenta si las fuerzas viscosas son débiles 
respecto de las fuerzas inerciales. Las partículas del agua se 
mueven en trayectorias irregulares, que no son suaves ni fijas, 
pero que en conjunto todavía representan el movimiento 
hacia adelante de la corriente en su conjunto. 
Este efecto se representa por el número de Reynolds: 
Donde: 
V es la velocidad del flujo, 
L es una longitud característica, la cual es considerada 
igual al radio hidráulico de un conducto, y 
υ (nu) es la viscosidad cinemática del agua. 
Si R es mayor que 500 el flujo se considera turbulento. La 
longitud de las secciones (L) es el radio hidráulico, para 
secciones suficientemente anchas el radio hidráulico es 
aproximadamente igual al tirante. 
Efectos de la gravedad: se representa por el número de Froude 
(relación entre fuerzas inerciales y gravitatorias) 
7 
ING. OMAR FRANCISCO CASTRO ZEBALLOS 
D : la profundidad hidráulica (A/B). 
: Velocidad de las ondas de perturbación (causada por 
perturbaciones u obstáculos en el canal, que causan un 
desplazamiento del agua por encima y por debajo del nivel 
medio de la superficie y por consiguiente crean ondas que 
ejercen peso o fuerza gravitacional). 
F = 1 : Velocidad del agua igual a la velocidad de la onda 
de perturbación. Flujo crítico. 
F < 1 : Velocidad del agua menor a la velocidad de la onda 
de perturbación. Flujo subcrítico. El flujo tiene una velocidad 
baja, se describe como tranquilo y de corriente lenta.
Universidad José Carlos Mariátegui DISEÑO DE ESTRUCTURAS HIDRÁULICAS 
F > 1 : Velocidad del agua mayor a la velocidad de la onda 
de perturbación. Flujo supercrítico. El flujo tiene alta 
velocidad y se describe como rápido, ultrarrápido y 
torrencial. 
La onda gravitacional puede prolongarse hacia aguas arriba en un 
canal con flujo subcrítico, pero no puede hacerlo en un canal con 
flujo supercrítico, debido a que la celeridad es mayor que la 
velocidad del flujo en el primer caso y menor en el segundo. 
8 
ING. OMAR FRANCISCO CASTRO ZEBALLOS 
1.3 Canales abiertos y sus propiedades 
Un canal abierto es un conducto por el cual el agua fluye con una superficie 
libre.
Universidad José Carlos Mariátegui DISEÑO DE ESTRUCTURAS HIDRÁULICAS 
9 
ING. OMAR FRANCISCO CASTRO ZEBALLOS 
1.3.1 Canales artificiales 
 Según su revestimiento se los puede clasificar como (Chow,1994): 
Sin revestimiento: son más baratos, pero pueden presentar pérdidas por 
infiltración, para evitar esto último se los puede compactar o darles una 
precarga. 
Con revestimiento: tienen una menor rugosidad, y secciones más 
chicas. Pueden ser revestidos de hormigón, mampostería de ladrillo, 
mampostería de piedra bola, de laja, con membranas asfálticas 
(flexible), con membranas plásticas (flexible) o con suelo arcilloso. 
 Según su destino: 
• Canales de centrales hidroeléctricas. 
• Canal de riego: pasan por el punto más alto para distribuir el 
agua de riego. 
• Canal de drenaje: van por los lugares más bajos. 
• Canal de navegación: velocidad y profundidad acordes a las 
embarcaciones que lo navegan. 
• Canales de desagües pluviales: aumentan el caudal a lo largo 
del recorrido. 
• Vertederos 
• Cunetas a lo largo de carreteras 
• Canaletas de madera. 
• Etc. 
 Geometría del canal 
Un canal construido con una sección transversal invariable y una 
pendiente de fondo constante se conoce como canal prismático. De 
otra manera el canal es no prismático, por ejemplo un vertedero de 
ancho variable y alineamiento curvo (Chow,1994). 
Según su forma: 
Trapecial 
Forma más común para canales con bancas en tierra sin recubrimiento, 
debido a que proveen las pendientes necesarias para la estabilidad.
Universidad José Carlos Mariátegui DISEÑO DE ESTRUCTURAS HIDRÁULICAS 
Rectangular 
Se utiliza para canales construidos con materiales estables, como 
mampostería, roca, metal o madera. 
Triangular 
Se utiliza para pequeñas acequias, cunetas a lo largo de carreteras y 
trabajo de laboratorio. Produce autolimpieza y es de fácil aforo. 
Circular 
El máximo caudal se presenta para un tirante igual al 94 % del diámetro. 
Se calcula a sección llena. Es la sección más común para alcantarillas 
de tamaño pequeño y mediano. 
Parabólico 
Se utiliza como una aproximación de canales naturales de tamaños 
pequeños y medianos. 
Tolva 
Es una sección triangular con fondo redondeado. Es una forma creada 
con la utilización de excavadoras y produce autolimpieza. 
10 
ING. OMAR FRANCISCO CASTRO ZEBALLOS
Universidad José Carlos Mariátegui DISEÑO DE ESTRUCTURAS HIDRÁULICAS 
11 
ING. OMAR FRANCISCO CASTRO ZEBALLOS 
Rectangular de esquinas redondeadas 
Otros canales 
Se utilizan en alcantarillas de aguas negras, los caudales producen la 
autolimpieza. 
 Elementos geométricos de una sección de canal: 
Tirante (y): es la distancia vertical desde el punto más bajo de una 
sección del canal hasta la superficie libre. 
Profundidad de flujo de la sección (d): profundidad de flujo medida 
perpendicular altura de la sección del canal que contiene agua. 
Nivel: elevación o distancia vertical desde un nivel de referencia hasta 
la superficie libre. 
Ancho superficial (B): ancho de la sección del canal en la superficie 
libre. 
Área mojada (A): área de la sección transversal del flujo perpendicular 
a la dirección del mismo. 
Perímetro mojado (P): longitud de la línea de intersección de la 
superficie del canal mojada y de un plano transversal perpendicular a 
la dirección del flujo.
Universidad José Carlos Mariátegui DISEÑO DE ESTRUCTURAS HIDRÁULICAS 
Radio hidráulico (R): relación entre el área mojada y el perímetro 
mojado (A/P). 
Profundidad hidráulica (D): relación entre el área mojada y el ancho 
superficial (A/B). 
12 
ING. OMAR FRANCISCO CASTRO ZEBALLOS 
Factor de sección para flujo crítico (Z): A ⋅ (D)^0.5 
Inclinación del talud (m): ángulo de reposo del terreno en condiciones 
de saturación. Cuanto más tendido, más estable. Una equivocación en 
la determinación de “m” puede significar el deslizamiento del talud. 
Revancha (r) 
1.3.2 Distribución de velocidades en una sección de canal 
Debido a la presencia de la superficie libre y a la fricción a lo largo de las 
paredes del canal, las velocidades en un canal no están uniformemente 
distribuidas en su sección. La máxima velocidad medida en canales 
normales a menudo ocurre por debajo de la superficie libre a una distancia 
de 0,05 a 0,25 de la profundidad, cuanto más cerca de las bancas, más 
profundo se encuentra este máximo. 
En una corriente ancha, rápida, y poco profunda o en un canal muy liso, la 
velocidad máxima por lo general se encuentra en la superficie libre 
(Chow,1994).
Universidad José Carlos Mariátegui DISEÑO DE ESTRUCTURAS HIDRÁULICAS 
La rugosidad del canal causa un incremento en la curvatura de la 
distribución vertical de velocidades. 
El viento en la superficie tiene muy poco efecto en la distribución de 
velocidades. 
En canales abiertos anchos la distribución de velocidades en la región 
central de la sección es en esencia la misma que existiría en un canal 
rectangular de ancho infinito, los lados del canal no tienen prácticamente 
ninguna influencia en la distribución de velocidades en la región central. 
En canal abierto ancho es similar a un canal rectangular cuyo ancho es 
mayor que diez veces la profundidad del flujo. 
Para la variación de la velocidad la sección transversal del canal se divide 
en fajas verticales por medio de un determinado número de verticales 
sucesivas, y las velocidades medias en las verticales se determinan 
midiendo la velocidad a un 60% de la profundidad en cada vertical, o 
tomando el promedio de las velocidades a un 20% y 80% de la 
profundidad. 
13 
ING. OMAR FRANCISCO CASTRO ZEBALLOS
Universidad José Carlos Mariátegui DISEÑO DE ESTRUCTURAS HIDRÁULICAS 
14 
ING. OMAR FRANCISCO CASTRO ZEBALLOS 
1.3.3 Coeficientes de distribución de velocidades 
Como resultado de la distribución no uniforme de velocidades en la 
sección de un canal, la altura de velocidad de un flujo en canales abiertos 
es por lo general mayor que V²/2—g, siendo V la velocidad media. 
Cuando se utiliza el principio de energía la altura de velocidad real puede 
expresarse como αV²/2—g, siendo α el coeficiente de energía o de Coriolis, 
cuyo valor varía entre 1,03 y 1,36 para canales prismáticos. El valor de α es 
alto para canales pequeños y bajo para corrientes grandes con 
profundidad considerable. 
La distribución no uniforme de velocidades también afecta el cálculo de la 
cantidad de movimiento en flujo en canales abiertos. β es el coeficiente de 
cantidad de movimiento o coeficiente de Boussinesq que varía entre 1,01 u 
1,12. 
Los dos coeficientes son siempre un poco mayores que el valor límite de la 
unidad, para lo cual la distribución de velocidades es uniforme a través de 
la sección del canal. Para canales de sección transversal rectangular y 
alineamiento más o menos recto, los coeficientes se suponen iguales a uno. 
En canales con secciones transversales complejas, los coeficientes son altos 
y pueden variar con rapidez de una sección a otra en el caso de 
alineamientos irregulares. Aguas arriba de vertederos, en la vecindad de 
obstrucciones o cerca de irregularidades pronunciadas en el alineamiento, 
se han observado valores de α mayores que 2. 
Con respecto al efecto de la pendiente del canal, los coeficientes por lo 
general son mayores en canales empinados que en canales con 
pendientes suaves. 
1.4 Energía del flujo en canales abiertos 
La energía total del agua de cualquier línea de corriente que pasa a través 
de una sección del canal puede expresarse como la altura total en metros
Universidad José Carlos Mariátegui DISEÑO DE ESTRUCTURAS HIDRÁULICAS 
de agua, que es igual a la suma de la elevación por encima del nivel de 
referencia, la altura de presión y la altura de velocidad. 
Como se puede observar en la figura tomada de Chow (1994), con 
respecto al plano de referencia, la altura total H de una sección O que 
contiene al punto A en una línea de corriente del flujo de un canal de 
pendiente alta se puede escribir de la siguiente manera: 
zA : elevación del punto A por encima del plano de referencia. 
dA : profundidad del punto A por debajo de la superficie medida a lo 
15 
ING. OMAR FRANCISCO CASTRO ZEBALLOS 
largo de la sección del canal. 
θ : ángulo de la pendiente del fondo del canal 
VA²/2g : altura de velocidad del flujo en la línea de corriente que pasa por 
H. 
En general, cada línea de corriente que pasa a través de una sección del 
canal tendrá una altura de velocidad diferente debido a la distribución no 
uniforme de velocidades. Con el fin de tener en cuenta esta distribución, 
puede utilizarse el coeficiente de energía para corregir ese efecto.
Universidad José Carlos Mariátegui DISEÑO DE ESTRUCTURAS HIDRÁULICAS 
Para canales con pendiente baja θ≅0. Luego la energía total en la sección 
del canal es: 
Si se considera un canal prismático, como el de la figura, la línea que 
representa la elevación del de la altura total del flujo es la línea de energía. 
La pendiente de esa línea (Sf) se conoce como gradiente de energía. La 
pendiente de la superficie de agua se representa por Sw y la de fondo por 
So. De acuerdo con el principio de conservación de energía, la altura de 
energía total en la sección 1 localizada aguas arriba debe ser igual a la 
altura energía total en la sección 2 localizada aguas abajo más la pérdida 
de energía hf entre las dos secciones. 
Cuando hf=0 y α1=α2=1 la ecuación de energía se convierte en la 
ecuación de Bernoulli. 
16 
ING. OMAR FRANCISCO CASTRO ZEBALLOS 
1.5 Cantidad de movimiento del flujo en canales abiertos 
La cantidad de movimiento que pasa a través de una sección del canal por 
unidad de tiempo se expresa por: 
siendo β el coeficiente de cantidad de movimiento.
Universidad José Carlos Mariátegui DISEÑO DE ESTRUCTURAS HIDRÁULICAS 
El cambio de la cantidad de movimiento por unidad de tiempo es igual a 
la resultante de fuerzas externas actuantes sobre el cuerpo. 
Siendo W el peso del agua contenido entre las secciones y Ff es la fuerza 
de fricción y de resistencia externas a lo largo de la superficie de contacto. 
Si el flujo es paralelo o gradualmente variado P1 y P2 se calculan 
considerando una distribución hidrostática de presiones. Si esto no ocurre 
se remplazan P1 y P2 por β’1—P1 y β’2—P2 , donde β’1 y β’2 son los coeficientes 
de distribución de presiones o de fuerza ya que P1 y P2 son fuerzas. 
La ecuación de cantidad de movimiento es similar a la ecuación de 
energía para flujo gradualmente variado (β’=1) y si suponemos pendiente 
baja y ancho b tenemos: 
17 
ING. OMAR FRANCISCO CASTRO ZEBALLOS 
Remplazando en la ecuación principal se obtiene:
Universidad José Carlos Mariátegui DISEÑO DE ESTRUCTURAS HIDRÁULICAS 
En la ecuación de energía hf mide la energía interna disipada en la masa 
completa del agua dentro del tramo. En la ecuación de cantidad de 
movimiento h’f mide las pérdidas debidas a fuerzas externas ejercidas por 
el agua sobre la pared del canal. En flujo uniforme hf y h’f toman el mismo 
valor. 
La distinción entre la ecuación de energía y cantidad de movimiento 
reside en que la primera es una cantidad escalar y la segunda una 
cantidad vectorial; la ecuación de energía contiene un término para 
pérdidas internas (hf), en tanto que la ecuación de cantidad de 
movimiento contiene un término para la resistencia externa (h’f). 
El principio de cantidad de movimiento tiene ventajas de aplicación a 
problemas que involucren grandes cambios en la energía interna (un 
ejemplo típico es el caso del resalto hidráulico). 
18 
ING. OMAR FRANCISCO CASTRO ZEBALLOS 
1.6 Flujo crítico 
El estado crítico de flujo ha sido definido como la condición para la cual el 
número de Froude es igual a la unidad. Una definición más común, es el flujo 
para el cual la energía especifica es mínima para un caudal determinado 
(Chow, 1994). 
Si suponemos un canal con pendiente baja y α=1, utilizando la ecuación de 
continuidad donde Q = V/A y remplazando en la ecuación de energía se 
tiene: 
derivando respecto a “y” con el caudal constante 
El diferencial de área mojada cerca de la superficie libre es igual a B—dy, 
entonces dA/dy = B, y la profundidad hidráulica es D = A/B, luego la 
ecuación anterior se convierte en:
Universidad José Carlos Mariátegui DISEÑO DE ESTRUCTURAS HIDRÁULICAS 
En el estado crítico de flujo la energía especifica es mínima, o dE/dy = 0. La 
anterior ecuación queda: 
Este es el criterio para flujo crítico, el cual establece que en el estado crítico 
del flujo la altura de velocidad es igual a la mitad de la profundidad 
hidráulica. La ecuación anterior también puede escribirse como ⇒ 
F = 1 que es la definición de flujo crítico dada anteriormente. 
Si el criterio anterior va ha utilizarse en cualquier problema, deben 
satisfacerse las siguientes condiciones: 
19 
ING. OMAR FRANCISCO CASTRO ZEBALLOS 
1) Flujo paralelo gradualmente variado, 
2) Canal con pendiente baja, 
3) Coeficiente de energía igual a uno. 
Si α es distinto de uno y θ grande, el criterio de flujo crítico es: 
En este caso el número de Froude puede definirse como: 
Las características del flujo crítico son: 
 La energía específica es mínima para un caudal determinado. 
 El caudal es máximo para una determinada energía específica. 
 La fuerza específica es mínima para un caudal determinado. 
 La altura de velocidad es igual a la mitad de la profundidad hidráulica 
en un canal de baja pendiente.
Universidad José Carlos Mariátegui DISEÑO DE ESTRUCTURAS HIDRÁULICAS 
20 
ING. OMAR FRANCISCO CASTRO ZEBALLOS 
 El número de Froude es igual a la unidad. 
 La velocidad de flujo en un canal de baja pendiente con distribución 
uniforme de velocidades es igual a la celeridad de pequeñas ondas 
gravitacionales en aguas poco profundas causadas por perturbaciones 
locales. 
Si el estado crítico del flujo existe a través de toda la longitud del canal o a 
lo largo de un tramo de este, el flujo en el canal es un flujo crítico. 
La pendiente del canal que mantiene un determinado caudal con una 
profundidad uniforme y crítica se conoce como pendiente crítica. 
Una pendiente menor que la crítica producirá un flujo más lento de 
naturaleza subcrítica para un caudal determinado y la pendiente será suave 
o subcrítica. 
Una pendiente mayor que la crítica producirá un flujo más rápido de 
naturaleza supercrítica y se conoce como pendiente empinada o 
supercrítica. 
La condición de flujo en un canal subcrítico se afecta por las condiciones 
aguas abajo; en un canal supercrítico o en el lugar donde el agua entra al 
canal, la condición de flujo depende por completo de las condiciones de 
aguas arriba. El control de flujo se localiza en el extremo de aguas abajo 
para canales con pendiente subcrítica y en el extremo de aguas arriba para 
canales con pendientes supercríticas. 
Un flujo en estado crítico o cerca de él es inestable. Esto se debe a que un 
pequeño cambio de energía específica en estado crítico o cerca de él, 
producirá un cambio grande en la profundidad. Cuando el flujo está cerca 
del estado crítico, la superficie del agua aparece inestable y ondulada. 
Estos cambios de energía son causados por variaciones en la rugosidad del 
canal, la sección transversal, la pendiente o algunos depósitos de 
sedimentos o basuras. 
1.7 El resalto hidráulico y su uso como disipador de energía 
Cuando el cambio rápido en la profundidad de flujo es desde un nivel bajo 
a un nivel alto, a menudo el resultado es una subida abrupta de la superficie 
del agua. Este fenómeno local se conoce como resalto hidráulico.
Universidad José Carlos Mariátegui DISEÑO DE ESTRUCTURAS HIDRÁULICAS 
Se produce generalmente luego del paso por una compuerta, aguas abajo 
de un vertedero o cuando la pendiente alta se vuelve casi horizontal. 
Un resalto ondulatorio es un resalto bajo, con un pequeño cambio en la 
profundidad, el agua no sube abruptamente, sino con ondulaciones; un 
resalto directo es alto, con gran cambio de profundidad y mucha pérdida 
de energía. 
21 
ING. OMAR FRANCISCO CASTRO ZEBALLOS 
El resalto, según Chow (1994), se utiliza para: 
1. Disipar la energía del agua que fluye sobre presas, vertederos y otras 
estructuras y prevenir la erosión aguas abajo. 
2. Aumentar el nivel de agua aguas abajo de una canaleta de medición 
y mantener un nivel alto del agua en el canal de irrigación o de 
cualquier estructura para distribución de agua. 
3. Incrementar el peso sobre la zona de aguas abajo de una estructura de 
mampostería y reducir la presión hacia arriba bajo dicha estructura, 
aumentando la profundidad del agua en su zona de agua abajo. 
4. Aumentar el caudal por debajo de una compuerta deslizante 
manteniendo alejada la profundidad de aguas abajo, debido a que la 
altura efectiva se reducirá si la profundidad de aguas abajo ahoga el 
resalto. 
5. Para indicar condiciones especiales de flujo, como la existencia de flujo 
supercrítico o la presencia de una sección de control, de tal manera 
que puede localizarse una estación de aforo. 
6. Mezclar químicos utilizados para la purificación de agua y casos 
similares. 
7. Airear el agua en sistemas de suministros urbanos. 
8. Remover bolsas de aire en las líneas de suministro de agua y prevenir el 
taponamiento por aire.
Universidad José Carlos Mariátegui DISEÑO DE ESTRUCTURAS HIDRÁULICAS 
22 
ING. OMAR FRANCISCO CASTRO ZEBALLOS 
1.7.1 Resalto en canales rectangulares 
Un resalto se producirá si el número de Froude (F1) del flujo, la profundidad 
del flujo (y1) y la profundidad del flujo (y2) aguas abajo, satisfacen la 
ecuación. 
1.7.2 Características básicas del resalto para canales rectangulares 
Pérdida de energía: en el resalto la pérdida de energía específica es igual 
a la diferencia de las energías específicas antes y después del resalto. 
Eficiencia: la relación entre la energía específica antes y después del 
resalto se define como la eficiencia del resalto. La ecuación de eficiencia 
indica que la eficiencia de un resalto es una función adimensional, que 
depende sólo del número de Froude del flujo de aproximación. La pérdida 
relativa es igual a 1-E2/E1; y también es una función adimensional de F1. 
Altura del resalto: la diferencia entre las profundidades antes y después del 
resalto es la altura del resalto, o hj = y2–y1. Al expresar cada término como la 
relación con respecto a la energía específica inicial queda: 
1.7.3 Longitud del resalto 
Puede definirse como la distancia medida desde la cara frontal del resalto 
hasta un punto en la superficie inmediatamente aguas abajo del remolino.
Universidad José Carlos Mariátegui DISEÑO DE ESTRUCTURAS HIDRÁULICAS 
Esta longitud es difícil de determinar. Los datos experimentales sobre la 
longitud del resalto pueden graficarse, como se muestra en la siguiente 
figura tomada de Chow (1994), con el número de Froude contra una 
relación adimensional: 
23 
ING. OMAR FRANCISCO CASTRO ZEBALLOS 
1.7.4 El perfil superficial 
El conocimiento del perfil superficial de un resalto es necesario en el diseño 
del borde libre para los muros laterales del cuenco disipador donde ocurre 
el resalto. También es importante para determinar la presión que debe 
utilizarse en el diseño estructural, ya que la presión vertical en el piso 
horizontal bajo un resalto hidráulico es prácticamente la misma que 
indicaría el perfil de la superficie del agua.
Universidad José Carlos Mariátegui DISEÑO DE ESTRUCTURAS HIDRÁULICAS 
24 
ING. OMAR FRANCISCO CASTRO ZEBALLOS 
1.7.5 Localización del resalto 
 Caso A 
Mediante prueba y error puede determinarse una intersección horizontal 
entre las curvas A’B y CD igual a la longitud del resalto. Por ejemplo, la 
distancia horizontal EF es igual a dicha longitud, correspondiente a la 
profundidad y2 en F. El resalto se forma entre G y F, debido a que la 
profundidad en F es secuente a la profundidad G y a que la distancia EF 
mide la longitud del resalto. Puede verse que al incrementar la 
profundidad del agua hacia aguas abajo o al subir la curva CD, el 
resalto puede moverse hacia aguas arriba. La profundidad de aguas 
abajo puede subirse hasta una altura para la cual el resalto 
eventualmente se ahogue al frente de la compuerta deslizante. Al bajar 
la profundidad de aguas abajo o al disminuir CD el resalto se moverá 
hacia aguas abajo (Chow, 1994). 
 Caso B 
El resalto puede ocurrir en el canal empinado o en el suave, según si la 
profundidad aguas abajo y2 es mayor o menor que la profundidad y1’ 
secuente a la profundidad aguas arriba y1. Si la profundidad y2y1, el 
resalto ocurrirá en la región empinada. Se determina una intersección 
horizontal IJ entre A’P y CO, la cual es igual a la longitud del resalto. Si la 
profundidad y2 se baja a aproximadamente algo menor que y1’, el 
resalto empezará a moverse dentro del canal suave, ubicándose como 
en el caso A.
Universidad José Carlos Mariátegui DISEÑO DE ESTRUCTURAS HIDRÁULICAS 
25 
ING. OMAR FRANCISCO CASTRO ZEBALLOS 
 Caso C 
Este caso muestra el resalto por detrás de una barrera de rebase. En 
teoría, se formará un resalto si la profundidad en la barrera es mayor que 
la profundidad secuente y1’ correspondiente a la profundidad 
supercrítica de aproximación y1. La localización del resalto es igual a la 
del caso B si este ocurre en la región empinada. Al aumentar la altura de 
la barrera el resalto se moverá hacia aguas arriba. Al disminuir, se moverá 
hacia aguas abajo. Cuando la profundidad de la barrera es menor que 
la secuente y1’, la barrera será sobrepasada por una “oleada 
estacionaria” en la forma de un ascenso superficial ondular solitario, a la 
que no seguirán ondulaciones adicionales.
Universidad José Carlos Mariátegui DISEÑO DE ESTRUCTURAS HIDRÁULICAS 
26 
ING. OMAR FRANCISCO CASTRO ZEBALLOS 
1.7.6 El resalto como disipador de energía 
Su merito esta en prevenir la posible erosión aguas abajo de un vertedero, 
rápidas y compuertas deslizantes, debido a que reducen rápidamente la 
velocidad del flujo sobre un piso protegido hasta un punto donde el flujo 
pierde su capacidad de socavar el lecho del canal natural aguas abajo. 
El resalto hidráulico utilizado como disipador de energía a menudo se 
confina parcial o totalmente en un tramo del canal que se conoce como 
“cuenco de disipación”, cuyo fondo se recubre para resistir la socavación. 
El cuenco disipador rara vez se construye para confinar toda la longitud del 
resalto, debido al costo que significaría. Generalmente se instalan 
accesorios para controlar el resalto dentro del cuenco. El control tiene 
ventajas adicionales, debido a que mejora la función de disipación del 
cuenco, estabiliza la acción del resalto y, en algunos casos, incrementa el 
factor de seguridad (Chow, 1994). 
En el diseño del cuenco disipador debe considerarse: 
 Posición del resalto: existen tres casos que permiten que el resalto se 
forme aguas abajo de la fuente.
Universidad José Carlos Mariátegui DISEÑO DE ESTRUCTURAS HIDRÁULICAS 
27 
ING. OMAR FRANCISCO CASTRO ZEBALLOS 
 Condiciones a la salida.
Universidad José Carlos Mariátegui DISEÑO DE ESTRUCTURAS HIDRÁULICAS 
28 
ING. OMAR FRANCISCO CASTRO ZEBALLOS 
 Tipos de resaltos y recomendaciones. 
1. Todos los tipos de resalto se encuentran en el diseño de cuencos 
disipadores. 
2. El resalto débil no requiere bloques o consideraciones especiales. 
3. El resalto oscilante es difícil de manejar. 
4. No se encuentra una dificultad particular para el resalto 
estacionario. 
5. Con el aumento del número de Froude, el resalto se vuelve más 
sensible a la profundidad de salida. 
6. Cuando el número de Froude es mayor a 10, un cuenco disipador 
puede no ser lo más económico. 
1.8 Medición de flujo 
La selección del sitio para el aforo suele determinarse por las necesidades 
del personal que maneja el uso del agua.
Universidad José Carlos Mariátegui DISEÑO DE ESTRUCTURAS HIDRÁULICAS 
Un punto a tener en cuenta al realizar el aforo es seleccionar el lugar donde 
este ha de realizarse, para ello es necesario tener en presente las siguientes 
características: 
• El canal debe ser geométricamente estable, es ideal una margen con 
rocas o cascada. Si el fondo es móvil elegir un tramo lo más uniforme 
posible. 
• Establecer una sección de control artificial. 
• Tener en cuenta la posibilidad de que el sitio se vea afectado por el flujo 
variado de tributarios aguas abajo, presas, mareas, etcétera. 
• Cerca del sitio de aforo debe existir una sección transversal donde se 
29 
ING. OMAR FRANCISCO CASTRO ZEBALLOS 
puedan aforar confiablemente los caudales. 
• Tener en cuenta la posibilidad de que el flujo rodee el lugar del aforador 
a través de canales de inundación o como flujo subterráneo. 
• Debe existir proximidad a líneas telefónicas y eléctricas. 
• Comunicación por caminos. 
• Se debe disponer de estructuras adecuadas para avenidas extremas. 
• Si se ubica una estación de aforo permanente, el sitio tiene que 
localizarse correctamente respecto a la sección en la que se va a medir 
y con la posición que controla la relación elevación-caudal. 
Una de las características al seleccionar el lugar de aforo es el 
establecimiento de secciones artificiales, para estas es importante tener 
presente las siguientes recomendaciones: 
• La estructura de la sección de control no debe producir disturbios en el 
flujo aguas arriba o aguas abajo de la sección. 
• La estructura debe tener la suficiente altura para eliminar los efectos 
causados por las condiciones variables aguas abajo. 
• La estructura debe diseñarse para que un cambio pequeño a bajos 
niveles de flujo provoquen cambios mensurables en el nivel de agua. 
• La estructura debe ser estable y asegurar permanencia en condiciones 
extremas. 
Dentro de los distintos sistemas de medición de flujo podemos encontrar: 
caja de control, vertederos (la ventaja es que no se encuentra influenciado 
aguas abajo, sin embargo con este sistema se pierde altura de carga, se
Universidad José Carlos Mariátegui DISEÑO DE ESTRUCTURAS HIDRÁULICAS 
producen zonas muertas aguas arriba de la instalación), compuertas de 
fondo u orificios, canaleta Parshall o canaleta Parshall modificado, 
alcantarillas y pilas de puente. 
En los vertederos y compuertas de fondo u orificios se genera la sección 
crítica. En las alcantarillas se tiene controlada la sección y en las pilas de 
puente también está la sección controlada debido a que está determinada 
por la pila. 
A continuación se describirán dos de los sistemas utilizados: vertederos y 
orificios. 
30 
ING. OMAR FRANCISCO CASTRO ZEBALLOS 
1.8.1 Orificios 
Si se considera un recipiente lleno de un líquido, en cuya pared lateral se 
ha practicado un orificio de pequeñas dimensiones (en comparación con 
su profundidad H) y cualquier forma. El orificio descarga un caudal Q cuya 
magnitud se desea calcular, para lo cual se supone que el nivel del agua 
en el recipiente permanece constante por efecto de la entrada de un 
caudal idéntico al que sale; o bien porque posea un volumen muy grande. 
Además, el único contacto entre el líquido y la pared debe ser alrededor 
de una arista afilada, como se muestra en la figura, es decir un orificio de 
pared delgada. Las partículas de líquido en la proximidad del orificio se 
mueven aproximadamente en dirección al centro del mismo, de modo 
que por efecto de su inercia, la deflexión brusca que sufren produce una 
contracción del chorro, la cual se alcanza en la sección 2. A esta sección 
se la llama contraída y tiene un área Ac inferior al área A del orificio. En ella 
las velocidades de las partículas son prácticamente uniformes y con un 
valor medio V (French, 1993). 
Suponiendo un plano de referencia que coincida con el centro de 
gravedad del orificio, al aplicar la ecuación de Bernoulli entre las secciones
Universidad José Carlos Mariátegui DISEÑO DE ESTRUCTURAS HIDRÁULICAS 
1 y 2 de una vena líquida y considerando despreciable la velocidad de 
llegada al orificio, se llega a: 
Esta última ecuación indica que la velocidad sigue una ley parabólica con 
la profundidad y en este caso la velocidad media V se calcula con la 
profundidad media del orificio y corresponde a su centro de gravedad, no 
obstante que las velocidades de las partículas arriba de ese punto son 
menores, y abajo, mayores. Esto tendrá por supuesto mayor validez a 
medida que la dimensión transversal, no horizontal, del orificio sea mucho 
menor que la profundidad H del mismo. Los resultados obtenidos por esta 
ecuación concuerdan con los obtenidos experimentalmente sólo si se 
corrigen, mediante un coeficiente Cv llamado de velocidad, en la forma 
, donde Cv, coeficiente adimensional, es igual al cociente 
entre la velocidad real y la teórica, varía entre 0,95 y 0,99, es de tipo 
experimental y además corrige el error de no considerar tanto la pérdida 
de energía bhv, como los coeficientes α1 y α2. 
Si el área de la sección contraída (Ac) se calcula en términos de la del 
orificio(A), por medio de un coeficiente Cc llamado de contracción, en la 
forma Ac = Cc — A, el caudal descargado por el orificio es entonces 
, con un coeficiente de descarga Cd = Cv—Cc. El 
caudal, entonces, se calcula con la ecuación general de un orificio de 
pared delgada: . 
Conviene aclarar que en las ecuaciones anteriores se consideró H como el 
desnivel entre la superficie libre y el centro de gravedad del orificio. Esto 
resultó de suponer que era despreciable la velocidad de llegada al orificio 
y que la presión sobre la superficie libre corresponde a la atmosférica. 
Cuando ello no acontece, H corresponde a la energía total, es decir a la 
suma de la profundidad del orificio, de la carga de la velocidad de 
llegada y de la carga de presión sobre la superficie del agua. 
31 
ING. OMAR FRANCISCO CASTRO ZEBALLOS
Universidad José Carlos Mariátegui DISEÑO DE ESTRUCTURAS HIDRÁULICAS 
32 
ING. OMAR FRANCISCO CASTRO ZEBALLOS 
1.8.2 Vertederos 
El flujo en un canal abierto puede ser medido mediante un vertedor, que es 
una obstrucción hecha en el canal para que el líquido retroceda un poco 
atrás de ella y fluya sobre o a través de ella. 
Se llaman vertederos de cresta delgada los que son construidos con una 
hoja de metal u otro material, que permiten que el chorro o manto salga 
libremente y vertederos de cresta ancha a los que soportan el flujo en una 
dirección longitudinal (French, 1993). 
1.8.3 Vertederos de cresta delgada 
Si la longitud de cresta del vertedero en la dirección del flujo es tal que 
H1/L es mayor que 15, entonces el vertedero se denomina de cresta 
delgada. En este caso se forma una zona de vacío debajo de la lámina 
vertedora. En la práctica, es necesario diseñar el vertedero de cresta 
delgada para que la presión en esta zona se mantenga constante, de otra 
forma se presentarán las siguientes características indeseables de 
operación: 
1) Al decrecer la presión, la curvatura del chorro superior aumenta, por 
ende el valor del coeficiente de descarga también aumenta. 
2) Si no hay suministro de aire a la zona de vacío, entonces el chorro 
vibrará y el flujo sobre el vertedor será no permanente. Si la frecuencia 
del suministro de aire, y de la estructura del vertedor son 
aproximadamente iguales, entonces la vibración del chorro puede 
causar la falla de la estructura. 
Para este tipo de aforadores, la ecuación de descarga se deduce al 
suponer que el vertedero se comporta como un orificio con una superficie 
libre de agua y que las siguientes suposiciones son válidas:
Universidad José Carlos Mariátegui DISEÑO DE ESTRUCTURAS HIDRÁULICAS 
a) La altura del nivel del agua sobre la cresta es h1 y no hay contracción. 
b) Las velocidades sobre la cresta del vertedor son casi horizontales. 
c) La carga de la velocidad de llegada puede despreciarse. 
La velocidad en un punto arbitrario en la sección de control, como se 
muestra en la figura tomada de French (1993), se encuentra a partir de la 
ecuación de Bernoulli como: 
La descarga total sobre el vertedero puede entonces obtenerse por 
integración. 
donde b(z) es igual al ancho del vertedor a la elevación z sobre la cresta 
de éste. En esta etapa, debe introducirse un coeficiente de gasto efectivo 
Ce para tomar en cuenta las suposiciones hechas, así la ecuación de 
descarga resultante es: 
33 
ING. OMAR FRANCISCO CASTRO ZEBALLOS 
1.8.4 Vertederos de cresta ancha 
Un vertedero de cresta ancha, es una estructura con una cresta horizontal 
sobre la cual la presión del flujo se puede considerar hidrostática. Esta 
situación se presenta cuando, se satisface la siguiente desigualdad: 
0,08 ≤ H1/L ≤ 0,5. 
Cuando la relación H1/L es menor que 0,08, no se pueden despreciar las 
pérdidas por fricción. Cuando H1/L es mayor que 0,5, entonces la curvatura 
de las líneas de flujo es de tal magnitud que invalida la suposición de 
distribución hidrostática de presiones (French, 1993).
Universidad José Carlos Mariátegui DISEÑO DE ESTRUCTURAS HIDRÁULICAS 
En la siguiente tabla se muestran las ecuaciones de caudal para vertederos 
rectangulares y triangulares de cresta ancha y delgada. 
34 
ING. OMAR FRANCISCO CASTRO ZEBALLOS
Universidad José Carlos Mariátegui DISEÑO DE ESTRUCTURAS HIDRÁULICAS 
35 
CAPITULO 2 
ING. OMAR FRANCISCO CASTRO ZEBALLOS 
2 SISTEMAS DE CONDUCCIÓN 
2.1 Introducción 
En el presente apartado se tratarán los aspectos generales a tener en 
cuenta al proyectar un sistema de conducción, indicando las etapas previas 
al proceso de diseño. Se mencionaran las características principales de una 
obra de drenaje transversal, detallando los criterios funcionales a tener en 
cuenta al proyectar este tipo de obras. Por último se hará referencia a las 
distintas estructuras que forman parte de un sistema de conducción, 
detallando las características principales y funciones de cada una de ellas. 
2.2 Condicionantes del Diseño 
El éxito del diseño hidráulico, radica en proveer una estructura con 
capacidad de descargar, económicamente, una cierta cantidad de agua 
dentro de límites establecidos de altura del nivel de las aguas y de 
velocidad (Dellavedoba y otros, 2000). 
El diseño de una estructura de cruce es un proceso que abarca no 
solamente el diseño hidráulico del conducto, sino que se refiere a las 
condiciones de ubicación de la estructura, tipo y forma de conducto, a los 
posibles daños que pueda ocasionar la erosión, al análisis integral de la 
obra, desde los puntos de vista de seguridad y a la justificación económica 
del diseño que se haya propuesto. 
El diseño de este tipo de obras requiere cumplimentar las siguientes etapas: 
 Estudios previos: para cada estructura de cruce a realizar se debe obtener 
la siguiente información:
Universidad José Carlos Mariátegui DISEÑO DE ESTRUCTURAS HIDRÁULICAS 
1) Estudios topográficos y geomorfológicos: planimetrías con curvas de 
nivel para determinar la cuenca de aporte. Si no se cuenta con la 
planimetría será necesario un relevamiento expeditivo. Si la cuenca es 
pequeña y visible, basta una estimación aproximada. Con la 
planimetría se debe obtener el perfil longitudinal y transversal del 
cauce para establecer el perfil del canal existente a la entrada y a la 
salida de las obras a realizar; y la sección transversal del terraplén 
donde irá colocada la obra, para definir cotas. 
2) Estudios hidrológicos: datos meteorológicos; datos del 
comportamiento del cauce frente a las descargas, aguas 
permanentes, procesos erosivos, arrastres, naturaleza, dimensiones, 
cantidad, etc.; cota del nivel a la entrada a la cuenca hasta el nivel 
más alto de las aguas para determinar la capacidad de embalse; 
elevación máxima del agua en la llanura aguas abajo de la obra de 
drenaje, sujeta a inundaciones causadas por cualquier corriente de 
agua; características del escurrimiento de las cuencas de aporte; uso 
presente y futuro del terreno colindante; mediante observación, tipo 
de vegetación predominante en la cuenca de aporte. 
3) Estudios geotécnicos: resistencia a la erosión del cauce y tensión 
36 
ING. OMAR FRANCISCO CASTRO ZEBALLOS 
admisible del suelo de fundación. 
 Evaluación Hidrológica: se deberá estimar el caudal máximo de 
escurrimiento que se transportará a través de la obra de cruce. 
 Emplazamiento: con la planimetría con curvas de nivel, el perfil longitudinal 
y tipo de suelo del cauce, y las condiciones emergentes del proyecto de 
la obra básica, se diseña el “sistema de drenaje” que será el encargado 
de “proteger” la obra lineal de los escurrimientos de las aguas 
superficiales, en donde queda predefinida la ubicación planialtimétrica 
de cada una de las obras particulares (progresiva, cotas, pendientes, 
etc.). Este emplazamiento previo podrá ser reajustado de acuerdo al tipo 
de obra de arte adoptada y a las condiciones que surjan del cálculo 
hidrológico e hidráulico. 
El alineamiento más adecuado se logra cuando la estructura se adapta 
a las condiciones topográficas del lugar, es decir que el eje de la obra 
coincide con el lecho de la corriente, para así evitar cambios bruscos de 
la corriente a la entrada y a la salida que modifiquen el escurrimiento 
natural. Además hay que contemplar el aspecto económico, por lo que 
la solución óptima se lograría cuando la corriente es perpendicular al eje
Universidad José Carlos Mariátegui DISEÑO DE ESTRUCTURAS HIDRÁULICAS 
del camino. De lo contrario suele disponerse la obra oblicuamente con 
respecto al eje original de la vía, modificar la dirección del cauce o 
combinar ambas soluciones (figura 1). 
37 
ING. OMAR FRANCISCO CASTRO ZEBALLOS
Universidad José Carlos Mariátegui DISEÑO DE ESTRUCTURAS HIDRÁULICAS 
El alineamiento oblicuo si bien aumenta la eficiencia hidráulica, también 
aumenta la longitud de la obra. Se justificará un cambio de dirección en 
el cauce, cuando el costo de esto, sea compensado por una 
disminución en la longitud, cuando es indispensable un cambio brusco 
de dirección, esté debe realizarse mediante curvas tan amplias como 
sea posible. Es importante tener en cuenta que cuando se modifica la 
dirección del cauce, es necesario proteger los taludes. 
38 
ING. OMAR FRANCISCO CASTRO ZEBALLOS 
2.3 Obras de Drenaje Transversal 
La presencia de una carretera o cualquier otra obra lineal, como líneas 
férreas o ductos en general, interrumpe la red de drenaje natural del terreno 
(vaguada, cauces, arroyos, ríos). El objeto principal del drenaje transversal es 
restituir la continuidad de esa red, permitiendo su paso bajo (o sobre) la 
carretera en condiciones tales que se cumplan los criterios funcionales. 
También se aprovechan las obras de drenaje transversal para desaguar el 
drenaje de la calzada y sus márgenes. Si estuvieran muy alejadas entre sí, 
podrá ser necesario disponer obras de drenaje transversal exclusivamente 
para ese desagüe, siempre que se le pueda dar salida 
(http://www.miliarim.com). 
Las obras de drenaje transversal pueden dividirse en dos grupos: 
 Las conocidas comúnmente por «pequeñas obras de desagüe», cuya 
sección resulta determinante para el desagüe del cauce, y que están 
generalmente provistas de una solera. 
 Los puentes, viaductos y, en general, las obras de paso de grandes 
dimensiones –relacionadas con cauces y caudales más importantes y 
permanentes, mayor altura, etc.– cuya sección no resulta determinante 
para el desagüe del cauce, pero que presentan otros problemas (sobre 
elevaciones de la lámina de agua, erosiones bajo apoyos, etc.). No suelen 
tener solera. 
Las obras de drenaje transversal deberán perturbar lo menos posible la 
circulación del agua por el cauce natural, sin excesivas sobre-elevaciones 
del nivel del agua, que pueden provocar aterramientos aguas arriba, ni 
aumentos de la velocidad que pueden provocar erosiones aguas abajo, 
pudiendo peligrar su estabilidad de no adoptarse medidas adecuadas.
Universidad José Carlos Mariátegui DISEÑO DE ESTRUCTURAS HIDRÁULICAS 
Las condiciones del cauce, sin la presencia de la carretera y de sus obras de 
drenaje transversal, al evacuar el caudal de referencia deberán ser 
comprobadas, sobre todo aguas abajo, por si hubiera obstáculos o 
circunstancias determinantes de las cotas de agua, tales como presas, 
azudes, cruces con vías de comunicación, estrechamientos bruscos del 
cauce, confluencia con otras corrientes, etc. 
Al proyectar obras de drenaje transversal se deberán tener en cuenta los 
siguientes criterios funcionales: Las soluciones técnicas disponibles. 
 La facilidad de su obtención. 
 Sus precios. 
 Las posibilidades y costes de su construcción y conservación. 
 Los daños que su presencia pueda producir. 
 La posibilidad de distribuir la anchura del cauce entre varios vanos o 
conductos. Una obra de drenaje transversal única suele ser preferible a 
un conjunto de obras más pequeñas, que aumente la sobre-elevación 
del nivel del agua y las posibilidades de obstrucción, pero debe 
recordarse que con la luz crece el canto de la estructura, y por tanto 
donde la altura disponible sea escasa (como suele ocurrir en llanuras 
inundables) se resta altura útil a la sección de desagüe. 
 La cota roja sobre el fondo del cauce, habida cuenta del espesor mínimo 
(carpeta asfáltica y tablero) necesario sobre la clave del conducto de la 
obra de drenaje transversal, y del resguardo requerido. Donde esta cota 
sea muy grande, puede condicionar el tipo, forma y dimensiones de la 
obra de drenaje transversal (altura de pilas o posibilidad de un arco en 
puentes, cargas sobre el conducto en pequeñas obras de drenaje). 
 Las condiciones de cimentación. Los conductos deformables pueden 
resultar preferibles si fueran de prever asientos diferenciales. 
39 
ING. OMAR FRANCISCO CASTRO ZEBALLOS 
 Las posibilidades de aterramiento o de erosión 
Especial atención deberá prestarse a las obras de drenaje transversal donde 
el camino cruce una llanura inundable, ya que los caudales de referencia 
propios de las diferentes cuencas que la componen no podrán tratarse 
aisladamente si es factible que se entremezclen debido aun 
desbordamiento de sus cauces. 
En estos casos deberá efectuarse un estudio especial del esquema de flujo 
antes y después de la construcción de la carretera, tanto para ubicar 
racionalmente las obras de drenaje transversal como para repartir los 
caudales entre ellas. Además, las limitaciones a la sobre-elevación del nivel 
de la corriente serán, en general, más severas al ser mayores las zonas
Universidad José Carlos Mariátegui DISEÑO DE ESTRUCTURAS HIDRÁULICAS 
inundables, por lo que, al restringirse la altura de la lámina de agua también 
se restringen los caudales que pueden desaguarse por unidad de anchura 
de la obra de drenaje transversal. 
40 
ING. OMAR FRANCISCO CASTRO ZEBALLOS 
2.4 Estructuras de un Sistema de Conducción 
El proyecto completo de una obra de drenaje transversal, abarca una serie 
de estructuras que hace que el sistema de conducción pueda cumplir sus 
funciones en forma eficiente y eficaz, con una fácil operación y mínimo 
mantenimiento. 
A lo largo de un sistema de conducción de agua, además de la estructura 
de cruce propiamente dicha, se presentan diversos tipos de obras como 
estructuras de conducción, de transición, de protección, de regulación y de 
disipación, como así también dispositivos de aforo en los puntos que se 
desee conocer los volúmenes disponibles y los dispositivos de seguridad 
correspondientes. En la figura 2 se esquematiza un sistema de conducción 
con sus partes componentes. En líneas de trazos se indican las estructuras 
que pueden, o no, formar parte del sistema de conducción, según los 
distintos criterios o características del proyecto. 
Básicamente se pueden presentar dos situaciones hasta alcanzar la 
estructura de cruce: que el agua proveniente de la cuenca se concentre en 
un curso de agua y una vez fuera de la cuenca deba atravesar una obra 
lineal; o que el agua llegue a la obra lineal no habiéndose concentrado en 
un curso definido. En el primero de los casos el agua llega hasta el punto de 
cruce por medio de un canal, ya sea natural o artificial, revestido o no; en el 
segundo de los casos el agua llega lateralmente a la obra distribuida en su 
longitud, por lo que será necesario realizar una conducción paralela, como 
cunetas, para posteriormente realizar el cruce. 
A continuación se presenta una descripción de las distintas partes que 
conforman un sistema de conducción, según el esquema mostrado en la 
figura 2:
Universidad José Carlos Mariátegui DISEÑO DE ESTRUCTURAS HIDRÁULICAS 
Las estructuras de transición y protección se colocarán a la entrada y salida 
de las obras de cruce. Las transiciones producen un cambio gradual en la 
sección transversal y son utilizadas para: provocar un flujo uniforme, reducir 
la pérdida de energía, minimizar la erosión, reducir la elevación del nivel de 
agua aguas arriba de las estructuras de cruce (evitando o disminuyendo el 
embalsamiento), proveer estabilidad adicional a las estructuras adyacentes 
por el incremento de la resistencia a la percolación, y sirven para contener 
el relleno de tierra a la salida de la estructura. Las protecciones contra la 
erosión pueden ser de distintos tipos y materiales, las protecciones de 
escollera y de grava son usualmente utilizadas adyacentes a la estructura y 
en otras zonas en canales de tierra donde pueda ocurrir erosión; las 
condiciones locales deben considerarse en la determinación del tipo y del 
grado de protección a ser previsto. Otro tipo de obras que pueden ser 
necesarias son la defensa de márgenes, obras de encauzamiento, traviesas 
y rastrillos y rectificaciones. 
41 
ING. OMAR FRANCISCO CASTRO ZEBALLOS
Universidad José Carlos Mariátegui DISEÑO DE ESTRUCTURAS HIDRÁULICAS 
Las estructuras de regulación, también denominadas de control, se instalan 
en un canal con el objeto de garantizar los niveles de agua a cierta 
elevación, para cualquier condición de flujo, así como regular los gastos a lo 
largo del canal. La regulación es alcanzada con vertederos, controles a la 
entrada, barreras y compuertas deslizantes. Las barreras y las compuertas 
deslizantes se regulan de acuerdo a los requerimientos necesarios. Pueden 
usarse vertederos en el caso que sea necesario realizar mediciones, 
pudiendo éstos ser regulados o no. Tanto las barreras como las compuertas 
deslizantes, o la combinación de ambas, son medios usuales para la 
regulación de la corriente; las barreras son más económicas que las 
compuertas deslizantes y se adaptan más rápido, pero no controlan el flujo 
más cercano. Cuando se usan barreras, el flujo a través de la estructura 
puede ser determinado por medio de la fórmula para flujo por encima del 
vertedero; si el canal debe ser regulado muy de cerca o si el control 
automático del canal es anticipado, se deben usar compuertas, cuando se 
usan éstas, el flujo a través de la estructura puede ser determinado por 
medio de la fórmula para flujo a través de un orificio sumergido. El flujo por 
encima de las barreras es más sensible a cambios en las profundidades del 
agua en el canal que el flujo a través de una compuerta, por lo tanto los 
reajustes requeridos para las barreras son menos frecuentes. Cuando se 
utilizan vertederos regulables para control, requieren reajustes menos 
frecuentes que las compuertas. La basura flotante que puede pasar por 
encima de las barreras y los vertederos regulables puede ser un problema en 
las estructuras con compuertas, porque el flujo debajo de las mismas puede 
empujar escombros y causar que la apertura de la compuerta se vea 
obstruida. 
Los distintos tipos de estructuras de regulación pueden ser: 
 Inspecciones (check): son usadas para regular la superficie del agua, 
aguas arriba de la estructura, y para controlar el flujo aguas abajo 
cuando el canal está fluyendo a una capacidad parcial, son operadas 
para mantener la elevación de la superficie del agua del canal que se 
requiere aguas arriba para la entrega de un determinado caudal. El uso 
de inspecciones además permite aislar y desaguar tramos de canal a ser 
reparados o inspeccionados. Las inspecciones (compuertas o barreras) 
pueden ser estructuras separadas o combinadas con otras estructuras de 
ingreso. Las inspecciones a la entrada son a menudo usadas con ciertas 
estructuras como cruces de ruta, sifones invertidos, caídas en conductos, 
caídas rectangulares inclinadas y saltos. Las inspecciones, cuando son 
combinadas con otras estructuras, pueden prevenir la caída de la 
superficie del agua y la erosión aguas abajo de la estructura. 
42 
ING. OMAR FRANCISCO CASTRO ZEBALLOS
Universidad José Carlos Mariátegui DISEÑO DE ESTRUCTURAS HIDRÁULICAS 
 Estructuras de División: son usadas para dividir el flujo de un canal o 
conducto de suministro en dos o más canales naturales o conductos. La 
estructura de división puede ser una estructura separada o puede ser la 
salida de un sifón, caída o toma desde la cual puede existir una cierta 
distancia hasta la estructura de división. Si no es necesario realizar aforos 
en el punto de división, el flujo puede ser dirigido a través de varias 
compuertas o barreras a la salida. Si el flujo debe ser medido y una 
determinada altura de carga es requerida, los vertederos pueden ser 
usados para ello. 
 Derivaciones: son utilizadas para enviar agua desde un canal de suministro 
a un canal menor. La estructura usualmente consiste en un ingreso, un 
conducto o medios para transportar agua a través de la orilla del canal 
de suministro y, cuando se requiere, una transición a la salida. Las 
compuertas se usan generalmente en el ingreso para controlar el flujo. 
Los conductos son generalmente usados para llevar agua a través de la 
orilla del canal de suministro. El conducto y las secciones a la salida de la 
estructura pueden ser diseñadas como parte de otro tipo de estructura 
como un sifón o una caída o pueden estar conectadas a una estructura 
de medición. 
 Estructuras de Control: son diseñadas para regular la superficie de agua del 
canal sin ningún límite en particular; se trata de una estructura de 
hormigón en forma de caja con una ranura de forma trapezoidal para 
generar una superficie de control aguas arriba. El propósito de un control 
a la entrada es el de prevenir la caída de la superficie de agua del canal 
para variaciones de flujo entre el flujo de diseño y el 20% del mismo. 
Las estructuras de cruce propiamente dichas comprenden los cruces, 
alcantarillas, conducciones elevadas y sifones invertidos, estas estructuras se 
analizarán detalladamente en el siguiente apartado. 
Los disipadores de energía se usan para disipar el exceso de energía 
cinética del flujo de agua. Esta energía o altura de velocidad es adquirida 
por el agua, en los tramos donde la velocidad es alta. Un disipador de 
energía efectivo, debe ser capaz de retardar el flujo rápido del agua para 
evitar daños por fuera de la estructura o en el canal aguas abajo de la 
misma. Las estructuras que disipan el exceso de energía incluyen dados 
disipadores, disipadores de pantalla, pozo de aquietamiento y cuenco 
disipador, y la rápida y caída libre, las cuales serán analizadas en detalle 
más adelante. 
43 
ING. OMAR FRANCISCO CASTRO ZEBALLOS
Universidad José Carlos Mariátegui DISEÑO DE ESTRUCTURAS HIDRÁULICAS 
44 
CAPITULO 3 
ING. OMAR FRANCISCO CASTRO ZEBALLOS 
3 CAÍDAS 
3.1 Generalidades 
La función de las estructuras de caída es la de llevar el agua de un lugar 
alto a uno bajo y la de disipar el exceso de energía resultante por dicha 
caída. Un canal a lo largo del mismo terreno podría ser lo suficientemente 
empinado como para causar severas erosiones en los canales de tierra o 
interrumpir el flujo en canales con recubrimiento (U. S. Bureau of 
Reclamation, 1978). 
El agua debe, por lo tanto, ser transportada por una estructura de caída 
diseñada para una segura disipación del exceso de energía. Los diferentes 
tipos de caídas que pueden ser usados son verticales, con dados 
disipadores, rectangulares inclinadas, y en tuberías. Las caídas con dados 
disipadores pueden ser usadas para casi cualquier disminución en la 
elevación de la superficie del agua donde la distancia horizontal para 
realizar la caída es relativamente corta. Las mismas son particularmente 
adaptables para la situación donde la elevación de la superficie del agua 
aguas abajo puede variar por causa tales como degradación o superficies 
del agua no controladas. Las caídas rectangulares inclinadas y las caídas en 
tubería son usadas cuando la diferencia de altura esta en el orden de 90 
cm. a 4,5 m en una distancia relativamente corta. La decisión de usar una 
caída rectangular inclinada o en tubería se basa en un análisis económico. 
Usualmente las tuberías serán seleccionadas para flujos más pequeños en 
tanto que las caídas rectangulares inclinadas son seleccionadas para flujos 
más grandes. Si la caída atraviesa otro canal o carretera es probable que 
sea más económico usar tuberías. 
Las rápidas usualmente son usadas cuando la diferencia de altura es mayor 
a 4,5 metros y el agua es transportada una larga distancia y a lo largo de 
pendientes que pueden ser menos empinadas que las de caídas pero lo 
suficiente como para mantener la velocidad supercrítica. La decisión de
Universidad José Carlos Mariátegui DISEÑO DE ESTRUCTURAS HIDRÁULICAS 
usar una rápida o una serie de caídas estará basado en un estudio 
hidráulico y económico de ambas alternativas. Desde un punto de vista 
hidráulico, las caídas no deberían estar tan próximas como para evitar que 
se produzca flujo uniforme entre la entrada y la salida de estructuras 
consecutivas, particularmente cuando no se utilizan en las entradas 
estructuras de regulación. El peligro es que no exista el suficiente tirante para 
producir los saltos hidráulicos en los cuencos disipadores, y así se puede 
desarrollar un flujo interrumpido en la serie de caídas y posiblemente dañar 
el canal. Generalmente el mínimo entre estructuras de entrada y salida en 
caídas consecutivas puede ser 60m. El estudio económico para comparar 
los costos de una serie de caídas con una rápida, toma en cuenta ventajas 
y desventajas pertinentes a condiciones específicas. Comparando, para 
una misma función, los costos de mantenimiento de una serie de caídas con 
los de una rápida se observa que los primeros son mayores. 
45 
ING. OMAR FRANCISCO CASTRO ZEBALLOS 
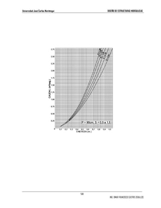
3.1.1 Caídas rectangulares inclinadas 
Una caída rectangular inclinada es una estructura de forma rectangular y 
de ancho constante que lleva agua de un lugar alto a uno de menor 
elevación. La altura de la caída puede estar comprendida entre 90 cm y 
4,5 m. Estas caídas no sólo conducen agua, sino también aquietan el agua 
una vez que llega a la parte inferior de la estructura, disipando el exceso 
de energía. La estructura de ingreso debe servir de control para regular el 
tirante aguas arriba de la caída. 
Las caídas rectangulares inclinadas son de fácil diseño, construcción y 
operación. Las entradas y salidas pueden ser fácilmente adaptadas a 
canales de tierra o con recubrimiento. Las entradas pueden ser hechas 
para incluir una estructura de control, inspección (check), o un vertedero. Si 
se utiliza una estructura de control a la entrada se pueden incluir revanchas 
para casos de emergencias. Es importante proveer una adecuada 
protección con grava o roca en la salida de los canales recubiertos. Este 
tipo de caídas debe tener un adecuado lecho percolador y una suficiente 
resistencia al deslizamiento. Las estructuras de caídas rectangulares 
inclinadas estándar que se detallan en las figuras 12 y 13 están diseñadas 
para proveer esta estabilidad; de todas formas, si se encuentran 
condiciones inusuales de fundación, se deben controlar la percolación y la 
resistencia deslizamiento, y se debe obtener una estabilidad adicional por 
medio del incremento de la longitud Lf (U. S. Bureau of Reclamation, 1978).
Universidad José Carlos Mariátegui DISEÑO DE ESTRUCTURAS HIDRÁULICAS 
Los principales elementos hidráulicos de una caída rectangular inclinada 
son, la transición de aguas arriba, la entrada, el canal inclinado, el cuenco 
disipador, la salida y la transición de aguas abajo. 
46 
ING. OMAR FRANCISCO CASTRO ZEBALLOS
Universidad José Carlos Mariátegui DISEÑO DE ESTRUCTURAS HIDRÁULICAS 
47 
ING. OMAR FRANCISCO CASTRO ZEBALLOS
Universidad José Carlos Mariátegui DISEÑO DE ESTRUCTURAS HIDRÁULICAS 
 Transición de aguas arriba: La transición de aguas arriba produce un 
cambio gradual en la velocidad desde el canal a la estructura. 
Cuando se usa un control de entrada no hay un cambio en la 
elevación del fondo del canal y la transición de entrada usualmente 
debe proveer un decrecimiento gradual de la elevación de solera 
desde el canal a la abertura de la estructura. La pendiente de fondo 
de un control de entrada no debe ser mayor que 4:1. Una transición de 
tierra puede requerir una protección contra la erosión. 
 Entrada: la entrada a una caída rectangular inclinada puede ser 
48 
ING. OMAR FRANCISCO CASTRO ZEBALLOS 
alguna de las que se describe a continuación: 
1) Sección de control por tirante critico (control): en un canal de tierra 
que no requiere una estructura de control, la entrada a la caída 
debe ser diseñada para proveer una sección de control, la cual 
prevendrá la aceleración de la corriente aguas arriba y la erosión 
del canal. La entrada debe ser diseñada entonces para la máxima 
capacidad de descarga de la caída con tirante normal en el canal. 
La entrada debe ser simétrica con respecto al eje, y siempre que 
sea posible, a una distancia suficiente de una curva horizontal aguas 
arriba tal que limite la acción indeseable de las ondas debido al 
flujo asimétrico. El control de tirante critico trapezoidal debe guardar 
una proporción entre el ancho de fondo y la pendiente del talud 
para una variación del flujo de diseño a uno del 20% del caudal de 
diseño. Para cualquier flujo dentro de este rango la muesca hace 
que el tirante del canal aguas arriba sea o esté muy cerca del 
tirante normal. Esto también puede ser regulado para controlar sólo 
una descarga específica. Generalmente la muesca está diseñada 
para una descarga variable. El borde de la muesca debe estar a la 
misma elevación o levemente por encima de la superficie normal 
aguas arriba del canal. El fondo de la muesca debe estar a la 
misma elevación que el fondo del canal. El tirante de la muesca 
debe ser igual o a lo sumo levemente mayor que el tirante normal 
del canal. Una muesca de control que requiere un poco más de 
energía que la requerida para las condiciones de flujo normal en el 
canal, causará una leve elevación en el nivel de la superficie del 
agua en el canal, pero no se lo considera de importancia. Para las 
condiciones críticas en el flujo del canal en o cerca del flujo de 
diseño, la elevación del nivel superficial es minimizado en parte 
porque el flujo puede ser capaz de superar las paredes laterales. Las
Universidad José Carlos Mariátegui DISEÑO DE ESTRUCTURAS HIDRÁULICAS 
paredes laterales, cuyo borde tienen la misma elevación que el 
borde de la muesca, además proveen para sobreflujos de 
emergencia en la estructura de entrada si hubiera una obstrucción 
en la muesca o si el flujo en el canal es mayor que el flujo de diseño. 
Las paredes laterales de sobrefujo, (figuras 12 y 13) son lo 
suficientemente largas como para permitir que el flujo de diseño 
vaya encima de las paredes laterales con la muesca 
completamente bloqueada. El fondo de la estructura de entrada 
(El. B, figuras 12 y 13) se sitúa lo suficientemente bajo como para que 
el flujo al principio de la inclinación no afecte al flujo que atraviesa 
la muesca de control. Expresado de otra manera, la elevación B se 
sitúa lo suficientemente baja como para prevenir que el flujo en la 
sección inclinada controle el nivel del agua en el canal. La 
estructura de entrada además tiene muros de ala y obturadores con 
el fin de contener el terraplén del canal y para reducir la filtración en 
el mismo. 
2) Inspección (check): Las estructuras de inspección están 
habitualmente combinadas con la entrada de las caídas. Las 
inspecciones en estos casos son utilizadas como un control para 
prevenir la aceleración de la corriente de agua aguas arriba de la 
entrada, además de la función usual de levantar el nivel del agua 
para permitir la desviación a través de ella aguas arriba durante los 
períodos de flujo parcial en el canal. Las inspecciones deben 
además ser usadas para interrumpir el flujo del canal si existe algún 
desperfecto tal como una pérdida aguas arriba para permitir que el 
flujo del canal se derive hacia otra parte. Esta interrupción en la 
entrada puede proveer un aislamiento de la extensión del canal en 
caso de falla de almacenamiento o para propósitos de 
mantenimiento. El área de la apertura de la entrada debe estar 
proporcionada para limitar la velocidad del flujo de diseño 
aproximadamente a 1 m/s. Esta velocidad es considerada como la 
máxima deseable para un fácil manejo de la barrera de tablas. El 
ancho es usualmente el mismo que el determinado como ancho 
requerido para el cuenco disipador. Si el ancho de entrada es más 
grande que 1,8 m y se usan barreras, puede ser incorporada un pila 
central con guías adheridas para las tablas y de esta forma se 
pueden usar barreras más cortas. Las barreras de más de 1,8 m de 
largo son difíciles de manejar. Sin un pilar central, la apertura tiene 
dos marcos de guía de compuerta para la instalación de una 
compuerta o para ser usada como guía de tablas. La elevación de 
la apertura de entrada puede ser la misma o más baja que la del 
49 
ING. OMAR FRANCISCO CASTRO ZEBALLOS
Universidad José Carlos Mariátegui DISEÑO DE ESTRUCTURAS HIDRÁULICAS 
fondo del canal, pero nunca mayor. Las compuertas de 
deslizamiento pueden ser operadas automáticamente. Las medidas 
de la compuerta deben ser tales que la elevación de la parte 
superior de la compuerta, cuando estas están cerradas, sea 
aproximadamente la misma elevación del borde de las paredes 
laterales para el sobreflujo. Si estas medidas de compuerta no están 
disponibles y se usa la próxima más grande disponible en altura, la 
compuerta más alta puede causar que la revancha del canal sea 
menor que 15 cm cuando la compuerta esta cerrada y todo el flujo 
normal es derramado por encima de las paredes laterales y la 
compuerta. Si esta revancha es mucho menor que 15 cm, el largo 
de las paredes laterales deben ser incrementadas hasta que la 
revancha sea de aproximadamente de 15 cm para esta condición 
de sobreflujo. Las barreras de tablas pueden ser usadas en guías 
verticales para tirantes de 1,5 m o menores. Para tirantes más 
grandes las guías pueden ser ubicadas en una pendiente de ¼:1 
para facilitar su manejo. Las paredes laterales, con sus bordes 
ubicados al mismo nivel que el nivel superficial del agua en el canal, 
son provistas para sobreflujos de emergencia dentro de la estructura 
si la compuerta o la barrera no están apropiadamente ubicadas 
para un flujo particular en el canal, si la entrada del canal se 
obstruye, o si la entrada se cierra. El piso de la estructura de entrada 
(El. B) esta ubicado a una distancia Ho por debajo del nivel de la 
superficie normal del agua en el canal. Los 45 cm de espacio entre 
el borde de las paredes laterales y el piso de la pasarela (figuras 12 y 
13, tomadas de U. S. Bureau of Reclamation, 1978) provee un 
espacio para el paso de desechos flotantes que de otra manera 
podrían obstruir el flujo de agua. 
3) Vertedero: algunas veces es necesario poner a la entrada de una 
caída rectangular inclinada un vertedero de medición. Para un 
canal revestido, generalmente la revancha mínima en la entrada 
debe ser la misma que para el resto del canal con recubrimiento. 
Para canales sin recubrimiento con capacidades mayores que 2,7 
m³/s, la mínima revancha debería ser de 15 cm para tirantes de 
agua de 37,5 cm, 22,5 cm para tirantes de 38 cm a 60 cm, 30 cm 
para tirantes de 61 cm a 1,50 m, 37,5 cm para tirantes de 1,51 m a 
2,10 m, y de 45 cm para tirantes de 2,11 m a 2,7 m. 
 Canales rectangulares inclinados: el canal es de sección rectangular, y 
esto es usualmente práctico para hacer el mismo ancho de base que el 
requerido por la pileta o por la sección de entrada. La altura vertical de 
50 
ING. OMAR FRANCISCO CASTRO ZEBALLOS
Universidad José Carlos Mariátegui DISEÑO DE ESTRUCTURAS HIDRÁULICAS 
las paredes deben ser determinadas computando el tirante en la 
sección con velocidad teórica y agregando una revancha de 30 cm 
para flujos por arriba de 2,7 m³/s. La parte inclinada puede tener una 
pendiente de 1½:1 pero es usual 2:1. Las caídas rectangulares 
inclinadas con flujos de más de 2,7 m³/s no requieren trayectorias 
curvadas, por lo tanto la inclinación interceptara el nivel de fondo en la 
entrada, y también el nivel de fondo de la pileta. 
 Cuenco disipador: los cuencos disipadores para saltos hidráulicos están 
ubicados en la parte más baja del final de las caídas rectangulares 
inclinadas para obtener las pérdidas de energía requeridas entre la 
parte más baja del canal inclinado y la pileta aguas abajo. La transición 
de salida, aguas abajo del cuenco disipador, reduce la velocidad y la 
turbulencia del agua, minimizando la erosión en el canal aguas abajo. 
Los distintos tipos de disipadores de energía se ven en la sección 
correspondiente. 
Salida: la salida de una caída rectangular inclinada conecta el cuenco 
disipador con un canal de tierra, un canal recubierto de hormigón, o un 
canal natural y previene o disminuye la erosión aguas abajo. Algunos de los 
tipos de salida más utilizados son: las transiciones de espaldón quebrado, 
muros divergentes verticales curvos o rectos, y un canal rectangular recto 
con paredes verticales cuya altura disminuye desde la altura de las 
paredes del cuenco hasta la altura del canal aguas abajo. Una porción de 
la transición debe ser hecha de tierra procurando que la velocidad en el 
final no sea demasiado grande para el suelo. En la sección de transición 
con la tierra se usa piedra bola o grava como protección. 
51 
ING. OMAR FRANCISCO CASTRO ZEBALLOS 
3.1.2 Procedimiento de cálculo 
Los datos que se deben conocer son: 
El caudal (Q), 
La elevación aguas arriba de la caída (ElA), 
La elevación aguas abajo de la caída (ElD), 
La geometría y propiedades hidráulicas del canal. 
Los pasos para la resolución son los siguientes: 
Datos del canal: 
1. Tipo de canal, se debe conocer el tipo de revestimiento del canal.
Universidad José Carlos Mariátegui DISEÑO DE ESTRUCTURAS HIDRÁULICAS 
2. Determinación del tipo de transición a ser utilizado aguas arriba de 
la estructura de caída y de la protección necesaria si el canal es de 
tierra. 
3. Determinación de las propiedades hidráulicas del canal, tirante 
normal (dn), velocidad (V), altura de velocidad (hvC). 
52 
ING. OMAR FRANCISCO CASTRO ZEBALLOS 
4. Determinación del tipo de estructura a realizar. 
5. Determinación del nivel de la superficie de agua, aguas arriba de la 
caída (punto A). 
6. Determinación de la altura de energía aguas arriba de la caída 
(punto A). 
7. Determinación de la elevación del borde del canal. 
8. Determinación del nivel de la superficie de agua, aguas abajo de la 
caída (punto D). 
9. Determinación de la altura de energía aguas abajo de la caída 
(punto D). 
10. Determinación del tipo de estructura de entrada a utilizar. 
Determinación de las dimensiones de la estructura de entrada: 
11. Determinación del ancho de base de la caída y de la estructura de 
entrada.
Universidad José Carlos Mariátegui DISEÑO DE ESTRUCTURAS HIDRÁULICAS 
Las dimensiones estándar se obtienen de la tabla 2 y 3, en función 
del caudal. Estas dimensiones son: ancho de base de la caída (b), 
longitud de la estructura de control (Lo), altura de las paredes de la 
estructura de control (Ho), altura de las paredes a la entrada de la 
caída (HF), muro de ala a la entrada de la caída (a). 
12. Si se utiliza a la entrada una estructura de control, se procederá 
53 
ING. OMAR FRANCISCO CASTRO ZEBALLOS 
como se explica a continuación. 
Un control es una estructura constituida por una caja de hormigón 
con una ranura en forma trapezoidal ubicada aguas arriba. Esta 
estructura se exige para minimizar la erosión en el canal para flujos 
que van desde el caudal de diseño al 20% de este. Se determina la 
altura de energía para el caudal de diseño (E1=dn+hv) y la altura de 
energía para el 20% del caudal de diseño (E2=d20%+hv20%). 
Para determinar el tipo de control adecuado, se utiliza el grafico 21 
del anexo, se selecciona la figura que tiene el valor de P más 
pequeño que abarca el rango lleno de descarga del caudal de 
diseño y del 20% de dicho caudal. Luego se entra al grafico con el 
valor de la energía (E1), se mueve verticalmente hasta la 
intersección con la línea horizontal correspondiente al caudal de 
diseño y se lee el valor de S de la curva que esté ubicada a la 
derecha del punto. Posteriormente se verifica de la misma manera 
(se entra al gráfico con el valor de la energía, E2, se mueve 
verticalmente hasta la intersección con la línea horizontal 
correspondiente al caudal del 20% del de diseño y se lee el valor de 
S de la curva que está ubicada a la derecha del punto) para ver si 
la misma curva controlará al 20% del caudal de diseño. Si la curva 
de pendiente (S) no es la misma para los dos rangos de caudales, se 
vuelve a repetir el procedimiento expuesto para los próximos valores
Universidad José Carlos Mariátegui DISEÑO DE ESTRUCTURAS HIDRÁULICAS 
mayores de P hasta que se verifica que la misma curva controla los 
dos rangos de caudales. Una vez que esto sucede se obtiene de la 
figura correspondiente los siguientes valores: 
54 
ING. OMAR FRANCISCO CASTRO ZEBALLOS 
Ancho de base de la ranura de control (P). 
Pendiente de la ranura de control (S). 
Altura de la muesca del control (T): T ≥ dn. 
Ancho de boca del control (N): N = P + 2—S—T 
(U. S. Bureau of Reclamation, 1978) 
Luego se verifica la altura de las paredes de la estructura de control: 
HoT. 
Altura de las paredes a la entrada a la caída: HF = Ho + 0,45m. 
Ancho de base mínimo de la estructura de control: 
bmín = N + 2—0,075m (se adopta el mayor valor de b calculado). 
Determinación de la elevación de la muesca: 
Elevación de muesca = Elevación A + T 
Determinación de la elevación del piso del control (punto B): 
Elevación de B = Elevación de la muesca – Ho. 
13. Si se utiliza a la entrada una estructura de inspección (check), el 
procedimiento para determinar sus dimensiones es el siguiente. 
Una inspección es una estructura tipo caja, cuyo ingreso esta 
constituido por una abertura prevista para la instalación de una 
compuerta o barreras. 
Determinación de la altura máxima de las paredes: 
Altura máx = NSAA 
Determinación de la elevación del piso del chequeo (punto B): 
Elevación de B = NSAA – Ho (mínimo) Elevación A. 
Determinación de las dimensiones de la compuerta: el tamaño de la 
compuerta, la altura del marco y el número de plataformas se 
obtienen de la tabla 2 (anexo), en función del caudal de diseño.
Universidad José Carlos Mariátegui DISEÑO DE ESTRUCTURAS HIDRÁULICAS 
55 
ING. OMAR FRANCISCO CASTRO ZEBALLOS 
Diseño hidráulico de la estructura de disipación. 
14. Determinación de la mínima energía en el punto D (E’D). 
El mínimo gradiente de energía aguas abajo se calcula mediante el 
uso de un valor de n reducido (n’). Esta reducción debe ser del 80% 
del valor de n de Manning asumido para el diseño del canal. Esta 
reducción se realiza como factor de seguridad por si el nivel de 
agua en el canal es inferior al indicado por el valor de rugosidad n. 
Con n’=80%—n se calcula mediante la fórmula de Manning, el tirante 
normal (dn’), la velocidad (V’) y la altura de velocidad (hv’). 
E’D = Elevación D + dn’ + hv’ 
15. Determinación del desnivel. 
Desnivel (H): H = EA – E’D. 
De las tablas 2 y 3 del anexo, se obtienen en función del caudal y el 
desnivel, las dimensiones de la caída rectangular inclinada y de la 
pileta de aquietamiento. 
Longitud de la estructura de entrada a la caída (LF). 
Longitud desde el inicio de la estructura de disipación hasta la 
primera hilera de bloques (LB). 
Longitud de la estructura de disipación (Lp). 
Altura de las paredes de la estructura de disipación (Hp). 
(d2 + hv2). 
Altura de los bloques (h). 
Longitud del bloque (1,25—h). 
Ancho del bloque = 0,20 m. 
Espesor de las paredes de la estructura de disipación (t). 
Espesor de la losa de la estructura de disipación (t’). 
Longitud a la salida de la estructura de disipación (LT). 
Número de bloques en la estructura de disipación (c). 
Distancia del primer bloque a las paredes (d).
Universidad José Carlos Mariátegui DISEÑO DE ESTRUCTURAS HIDRÁULICAS 
Ancho de base a la salida de la estructura de disipación (bT). 
Número de drenes. 
Armadura transversal. 
Armadura longitudinal en la losa. 
Armadura longitudinal en las paredes. 
16. Elevación al inicio y final de la estructura de disipación (punto C). 
Elevación C = Elevación D – (d2+hv2) 
17. Determinación del tipo de transición a ser utilizado aguas abajo de 
la estructura de disipación y de la protección necesaria. 
56 
ING. OMAR FRANCISCO CASTRO ZEBALLOS
Universidad José Carlos Mariátegui DISEÑO DE ESTRUCTURAS HIDRÁULICAS 
57 
ING. OMAR FRANCISCO CASTRO ZEBALLOS
Universidad José Carlos Mariátegui DISEÑO DE ESTRUCTURAS HIDRÁULICAS 
58 
ING. OMAR FRANCISCO CASTRO ZEBALLOS
Universidad José Carlos Mariátegui DISEÑO DE ESTRUCTURAS HIDRÁULICAS 
59 
ING. OMAR FRANCISCO CASTRO ZEBALLOS
Universidad José Carlos Mariátegui DISEÑO DE ESTRUCTURAS HIDRÁULICAS 
60 
ING. OMAR FRANCISCO CASTRO ZEBALLOS
Universidad José Carlos Mariátegui DISEÑO DE ESTRUCTURAS HIDRÁULICAS 
61 
ING. OMAR FRANCISCO CASTRO ZEBALLOS
Universidad José Carlos Mariátegui DISEÑO DE ESTRUCTURAS HIDRÁULICAS 
62 
ING. OMAR FRANCISCO CASTRO ZEBALLOS
Universidad José Carlos Mariátegui DISEÑO DE ESTRUCTURAS HIDRÁULICAS 
63 
ING. OMAR FRANCISCO CASTRO ZEBALLOS
Universidad José Carlos Mariátegui DISEÑO DE ESTRUCTURAS HIDRÁULICAS 
Fb 
Fs 
 
64 
ING. OMAR FRANCISCO CASTRO ZEBALLOS 
⋅  
:= ⋅ 
Br 1.81 Q 
Br a 
Q 
1 
2 
1 
2 
S 
1 
5 
:= ⋅ 
CAPITULO 4 
4 ESTRUCTURAS DE CAPTACIÓN 
4.1 ESTIMACIÓN DEL ANCHO DE ENCAUZAMIENTO [Br] 
Fórmula Blenoh 
Donde: 
Q : Caudal máximo de diseño en m3/s. 
Fb : Factor de Fondo. 
1.20 – Material grueso 
0.80 – Material fino 
Fs : Factor de Orilla 
0.10 – Material Suelto 
0.20 – Material ligeramente cohesivo 
0.30 – Material cohesivo. 
Fórmula Altunin 
Donde: 
Q : Caudal máximo de diseño en m3/s. 
S : Pendiente promedio del cauce del río. 
A : parámetro que caracteriza el cauce del río 
0.50 – Zona de alta montaña. 
0.75 – Zona de montaña, cauces con cantos rodados, guijarros 
y corrientes rápidas.
Universidad José Carlos Mariátegui DISEÑO DE ESTRUCTURAS HIDRÁULICAS 
1.00 – Zona intermedia, cauce con arena gruesa, media, fina, 
corriente tranquila. 
1.10 – Zona de planicie, río caudaloso. 
1.30 – Río poco caudaloso 
65 
ING. OMAR FRANCISCO CASTRO ZEBALLOS 
Fórmula Pitit 
Donde: 
:= ⋅ 2 
Br 2.45 Q 
1 
Q : Caudal máximo de diseño en m3/s. 
Para hallar el ancho de encauzamiento, calculamos el promedio de los tres 
resultados 
4.2 CALCULO DEL TIRANTE NORMAL DEL RÍO [Ynr] 
Empleamos la fórmula de Manning: 
Q 
2 
3 ⋅ S 
A R 
1 
2 ⋅ 
n 
:= 
Donde: 
Q : Caudal máximo de diseño en m3/s. 
A : Área de la sección transversal del río 
R : Radio Hidráulico de la sección del río. 
S : Pendiente promedio del río. 
n : Coeficiente de rugosidad Manning. 
Asumimos una sección rectangular del río, hacemos las siguientes 
sustituciones: 
A := Br ⋅Ynr 
Br 
Ynr
Universidad José Carlos Mariátegui DISEÑO DE ESTRUCTURAS HIDRÁULICAS 
2 
3 
1 
2 ⋅ 
⋅ S 
66 
ING. OMAR FRANCISCO CASTRO ZEBALLOS 
Donde: 
Br : Ancho de encauzamiento o base del río. 
R 
Br ⋅Ynr 
Br + 2⋅Ynr 
:= 
Q 
Br⋅Ynr 
Br⋅Ynr 
Br + 2⋅Ynr 
 
 
n 
:= 
Reemplazando en la fórmula de Manning tenemos: 
En la ecuación anterior hallamos el tirante normal de río. 
4.3 DISEÑO DE LA COMPUERTA DE REGULACIÓN 
Consiste en determinar los valores de los diferentes tirantes, en base a las 
ecuaciones de continuidad, Bernoulli y cantidad de movimiento. 
Cálculo del tirante [Y1] 
Empleamos la fórmula de Manning: 
Q 
2 
3 ⋅ S 
A R 
1 
2 ⋅ 
n 
:= 
Donde: 
Q : Caudal a derivarse en m3/s. 
A : Área de la sección transversal del canal de derivación. 
R : Radio Hidráulico de la sección del canal de derivación. 
S : Pendiente del canal. 
n : Coeficiente de rugosidad Manning. 
Según el esquema de la zona de captación tenemos un canal de sección 
rectangular, hacemos las siguientes sustituciones: 
B1⋅Y1 
B1 + 2⋅Y1 
R A := BB11⋅Y1 
:= 
B1
Universidad José Carlos Mariátegui DISEÑO DE ESTRUCTURAS HIDRÁULICAS 
B1 + 
1 
2 ⋅ 
⋅ S 
67 
ING. OMAR FRANCISCO CASTRO ZEBALLOS 
Donde: 
B1 : Ancho del canal de derivación. 
Reemplazando en la fórmula de Manning tenemos: 
Q 
B1⋅Y1 
B1⋅Y1 
B1 + 2⋅Y1 
 
 
2 
3 
n 
:= 
B1 
En la ecuación anterior hallamos el tirante Y1. 
Cálculo del tirante [Y2] 
2 
Del gráfico tenemos: 
Además: 
Reemplazando para cada sección 
1 
F2 
1F 
2Y Y 
1 
γ Y2 γ Y1 
F2 − F1 := ρ ⋅Q⋅(V1 − V2) 
F := γγ ⋅h⋅A 
F γ 
Y 
2 
:= ⋅ ⋅Y⋅B V 
Q 
B⋅Y 
:= 
ρ 
γ 
g 
:= 
1 
2 
2 ⋅ ⋅B2 
⋅γ Y2 
1 
2 
− ⋅γ ⋅ 2 Y1 
⋅B1 
γ 
g 
⋅Q 
Q 
(B1⋅Y1) 
Q 
(B2⋅Y2) 
−  
 
:= ⋅
Universidad José Carlos Mariátegui DISEÑO DE ESTRUCTURAS HIDRÁULICAS 
3 2 
α3V3 
2g 
+ ⋅ Z2 + Y2 α2 
:= + ⋅ + hc + hf 
68 
hf 
α2V2 
2g 
ING. OMAR FRANCISCO CASTRO ZEBALLOS 
Eliminando γ obtenemos la siguiente igualdad: 
1 
2 
2 − ⋅ ⋅B1 
Donde: 
Q : Caudal a derivarse en m3/s. 
g : Aceleración de la gravedad 9.81 m/s2. 
B1 : Base del canal de derivación. 
B2 : Base en el eje 2. 
Y1 : Tirante de agua Y1. 
En la ecuación anterior hallamos en tirante Y2 
Cálculo del tirante [Y3] 
Aplicando Bernoulli entre los ejes 2 y 3 obtenemos el siguiente gráfico: 
Del gráfico 
Además 
Y2 
⋅ 2 ⋅B2 
1 
2 
Y1 
Q 
g 
Q 
(B1⋅Y1) 
Q 
(B2⋅Y2) 
−  
 
:= ⋅ 
Z3 + Y3 α3 
V3 
2 
2⋅g 
V2 
2 
2⋅g 
Z 
Y2 
Y3 
hc 
3 Z 2
Universidad José Carlos Mariátegui DISEÑO DE ESTRUCTURAS HIDRÁULICAS 
2 
Q 
+ ⋅ 
( 2 
g) B2 
⋅ Y2 
⋅69 
( 2 
⋅ 2 ) 
Y2 
2 
Q 
− 
( 2 
⋅ 2 ) B3 
Y3 
hc 
ING. OMAR FRANCISCO CASTRO ZEBALLOS 
:= k⋅ 
hc k 
V2 
2 
− 
2 V3 
2⋅g 
Reemplazando hc en la ecuación anterior obtenemos: 
Y3 
1 
2 
+ ⋅α3 
⋅ ( ⋅ ⋅g) Y2 
2 
Q 
B3 
2 
Y3 
2 
1 
2 
⋅α2 
2 
1 
2 
⋅k 
2 
Q 
B2 
 
Donde: 
α3, α2 : Coeficiente de Coriolis, que es ligeramente mayor que la unidad, 
debido a que todos los puntos de la sección de una corriente no 
tienen la misma velocidad. 
hf : Pérdidas por fricción que en este caso se desprecia por ser una 
distancia corta. 
Z3, Z2 : Cotas en los puntos 2 y 3 (se consideran iguales). 
V3, V2 : Velocidades en los puntos 2 y 3. 
g : aceleración de la gravedad. 
hc : Pérdida por contracción del cauce. 
Nota: Se debe verificar el valor de hc, ya que este debe ser siempre positivo. 
En caso de no ser positivo se debe cambiar la relación V22-V32 a V32-V22 
En la ecuación anterior hallamos el tirante Y3 
4.4 DISEÑO DE LAS VENTANAS DE CAPTACIÓN 
Aplicando Bernoulli entre los ejes 3 y 4 obtenemos el siguiente gráfico: 
 
g 
:= + ⋅ 
Z 4 
α4V4 
2g 
Y4 
4 
Z 3 
hf 
α3V3 
2g 
Y3 
3
Universidad José Carlos Mariátegui DISEÑO DE ESTRUCTURAS HIDRÁULICAS 
+ ⋅ Z3 + Y3 α3 
:= + ⋅ + hc + hf 
70 
2 
2 
Y 4 
2 
2 
Y 3 
ING. OMAR FRANCISCO CASTRO ZEBALLOS 
Del gráfico 
Además 
Z4 + h + Y4 α4 
V4 
:= k⋅ 
hc k 
2 
2⋅g 
V3 
2 
− 
2 V4 
2⋅g 
V3 
2 
2⋅g 
Reemplazando hc en la ecuación anterior obtenemos: 
Y 4 + h 
1 
2 
+ ⋅ 
α 4 ⋅ 
2 
Q 
2 
Y 4 
B 4 
2 ⋅ ⋅g 
2 
2 
Y 3 
Donde: 
α3, α4 : Coeficiente de Coriolis, que es ligeramente mayor que la unidad, 
debido a que todos los puntos de la sección de una corriente no 
tienen la misma velocidad. 
hf : Pérdidas por fricción que en este caso se desprecia por ser una 
distancia corta. 
Z4, Z3 : Cotas en los puntos 4 y 3. 
V4, V3 : Velocidades en los puntos 4 y 3. 
g : aceleración de la gravedad. 
hc : Pérdida por contracción del cauce. 
NOTA: 
 En el esquema general se indica el nº de ventanas de captación. 
 Las ventanas de captación generalmente son de 2 a 4 metros. 
 Se debe verificar el valor de hc igual que para el caso del tirante Y3 
 
 
Y 3 
1 
2 
α 3 ⋅ 
Q 
B 3 
2 ⋅ ⋅g 
+ ⋅ 
1 
2 
⋅k 
Q 
B 4 
2 ⋅ 
Q 
B 3 
2 ⋅ 
− 
g 
+ ⋅ 
 
 
:=
Universidad José Carlos Mariátegui DISEÑO DE ESTRUCTURAS HIDRÁULICAS 
4.5 CALCULO DE LA ALTURA DE MUROS, PANTALLA FRONTAL Y MURO DE 
71 
Cota de 
ING. OMAR FRANCISCO CASTRO ZEBALLOS 
TRANSICIÓN 
orificio 
sumergido 
de borde 
Nivel de Aguas 
Máximas 
Ecuación de caudal sobre un Vertedero 
Donde: 
3 
2 := ⋅ 
Q : Caudal máximo de diseño en m3/s. 
C : Coeficiente de descarga para el tipo de vertedero. 
L : Longitud del Vertedero o Barraje. 
H : Carga sobre el vertedero. 
Despejando H de la ecuación obtenemos: 
Ecuación de orificio Sumergido 
_ _ _ _ _ _ _(1) 
Donde: 
Q C⋅L H 
H 
Q 
C⋅L 
 
 
2 
3 
:= 
1 
2 := c ⋅ 
Q c⋅A (2⋅g⋅h) 
Cresta de 
Barraje 
Pantalla 
Frontal 
Muro de 
Transición 
Canal de 
Derivación 
Orificio 
sumergido 
de fondo 
H 
Y4 
h 
h1 
h2 
FS 
Yn 
Q 
Q 
Canal 
FS 
FS 
FS
Universidad José Carlos Mariátegui DISEÑO DE ESTRUCTURAS HIDRÁULICAS 
Q : Caudal máximo de diseño en m3/s. 
A : Área neta de los orificios o ventanas, descontando 20% si las 
1 
2 ⋅ 
2 ( ⋅ ⋅ ⋅ ) +  
72 
ING. OMAR FRANCISCO CASTRO ZEBALLOS 
ventanas llevan rejillas. 
c : Coeficiente de Gasto de orificio sumergido o de Fondo según 
sea el caso. 
h : Carga de agua para el orificio. 
Ecuación de Manning para una sección rectangular 
_ _ _ _ _ _ _(3) 
El cálculo del tirante Yn se realiza mediante tanteos. Para facilitar el 
proceso hacemos los siguientes reemplazos: 
Despejando h para 1 y 2 en la ecuación (1) tenemos: 
_ _ _ _ _ _ _(4) 
_ _ _ _ _ _ _(5) 
2 
2 ⋅ 
2 
2 ⋅ 
De la ecuación (3) despejamos (h1+h2) 
_ _ _ _ _ _ _(6) 
Reemplazando las ecuaciones 4 y 5 en la ecuación (6) y despejado Q 
tenemos: 
_ _ _ _ _ _ (7) 
h2 
Q 
2⋅g (c2⋅A2) 
:= 
h1 
Q 
2⋅g (c1⋅A1) 
:= 
c1 
h1 + h2 := −CCFFCC − Yn + NAM 
Q 
(NAM 
+ CFC + Yn) 
1 
2 
1 
( ⋅ ⋅ 2 
⋅ 2 ) 
2 g c2 
A2 
1 
2 g c1 
2 
A1 
 
1 
2 
:= 
Q 1 
Bn⋅Yn 
Bn⋅Yn 
Bn + 2⋅Yn 
 
 
2 
3 
⋅ S 
n 
:=
Universidad José Carlos Mariátegui DISEÑO DE ESTRUCTURAS HIDRÁULICAS 
73 
ING. OMAR FRANCISCO CASTRO ZEBALLOS 
Procedimiento: 
1º Asumimos en valor de Yn y hallamos Q en (7) 
2º Hallamos Q1 en (3) 
3º Debe cumplirse que Q ≅ Q1, si no se cumple se repite 
nuevamente el procedimiento. 
4.6 DISEÑO DEL BARRAJE
Universidad José Carlos Mariátegui DISEÑO DE ESTRUCTURAS HIDRÁULICAS 
1 
2 := 74 
ING. OMAR FRANCISCO CASTRO ZEBALLOS 
4.7 DISEÑO DE LA POZA DISIPADORA DE ENERGÍA 
H 
B 
2 
Vo 
2g 
r 
La energía en los ejes (0) y (1) 
Donde V0 = 0 
hj 
_ _ _ _ (1) 
_ _ _ _ (2) 
2 
2 
De la figura E0 = E1 y despejando V1 tenemos: 
_ _ _ _ (3) 
Por continuidad en el eje (1) 
Donde: 
Lb : Longitud del barraje 
2 
V1 
2g 
2 
V2 
2g 
Y2 
L 
Y1 
Y3 = Yn 
0 1 2 3 
E o r + B + H 
V o 
2⋅g 
:= + 
E o := rr + B + H 
E 1 Y 1 
V 1 
2⋅g 
:= + 
V 1 2⋅g r 
+ B + H Y 1 − ( ) ⋅  
 
Q := V ⋅A 
Q 1. V 1 L b ⋅ Y 1 := ⋅
Universidad José Carlos Mariátegui DISEÑO DE ESTRUCTURAS HIDRÁULICAS 
2 ⋅ Y 1 ⋅ 
75 
ING. OMAR FRANCISCO CASTRO ZEBALLOS 
Q1 : Caudal máximo de diseño 
Despejando Y1 
_ _ _ _ (4) 
_ _ _ _ (5) 
De la figura 
_ _ _ _ (6) 
Y 1 
2 
El procedimiento de cálculo se realiza mediante un tanteo doble siguiendo 
la siguiente secuencia: 
1º Se asume un valor de r y Y1 a los que llamaremos ras y Y1as 
2º Se calcula V1 con la ecuación (3) 
3º Se calcula Y1 con la ecuación (4) al que llamaremos Y1C. 
4º Con ras hallamos E0 con la ecuación (1) 
5º Con Y1C hallamos E1 con la ecuación (2) 
6º Hallamos Y2 con la ecuación (5) 
7º Con Y2 hallamos un nuevo valor de r con la ecuación (6) al que 
llamaremos rC. 
8º Verificamos las siguientes igualdades 
9º En caso de cumplirse las igualdades repetir desde el paso 1º al 8º 
LONGITUD DE LA POZA DISIPADORA 
Para calcular este valor existen varias fórmulas pero solo usaremos las 
principales 
Fórmula U. S. Borean Reclamation 
Fórmula Backmeter 
Q 1 
V 1 L b ⋅ 
:= 
Y 2 
Y 1 − 
2 
Y 1 
4 
2 V 1 
g 
+ 
 
 
1 
2 
:= + 
r Y 2 Y n := − 
r as r c ≡ E o E 1 ≡ Y 1as Y 1c 
≡ L 4 Y 2 
:= ⋅L 5 Y 2 Y 1 := ⋅(− )
Universidad José Carlos Mariátegui DISEÑO DE ESTRUCTURAS HIDRÁULICAS 
L := 4.5⋅YY 2 
L 2.5 1.4 Y 2 ⋅ Y 1 := ⋅( − ) 
76 
ING. OMAR FRANCISCO CASTRO ZEBALLOS 
Fórmula Lafranetz 
Fórmula Pavlesk 
El valor de la longitud de la Poza Disipadora de Energía se elige a criterio en 
base a los resultados obtenidos, ya que en este caso no se toma ningún 
promedio.
Universidad José Carlos Mariátegui DISEÑO DE ESTRUCTURAS HIDRÁULICAS 
77 
CAPITULO 5 
ING. OMAR FRANCISCO CASTRO ZEBALLOS 
5 ESTRUCTURAS VARIAS 
5.1 VERTEDEROS LATERALES 
Determinar la longitud de un vertedero lateral para que derive un caudal 
determinado es un problema que se encuentra frecuentemente en el diseño 
de alcantarillados y de canales en general. 
La aplicación de las ecuaciones fundamentales de la Mecánica de los 
fluídos presenta algunas dificultades en el desarrollo analítico, debido a que 
se trata de un Flujo Espacialmente Variado, por lo cual debe apelarse a la 
experimentación para obtener fórmulas semiempíricas confiables. Algunas 
de estas fórmulas, sin embargo, difieren en su forma y en sus resultados por 
las restricciones que se imponen en los cálculos a la aplicación de las 
ecuaciones de Energía y de Cambio en Cantidad de Movimiento. 
En este aspecto existen dos criterios diferentes; uno considera que la energía 
específica en el canal a lo largo del vertedero es aproximadamente 
constante mientras que el otro descarta la hipótesis de Energía Específica 
constante y utiliza la ecuación de Cambio en Cantidad de Movimiento para 
determinar la variación de la Energía Específica. Este último criterio es 
teóricamente más ajustado a la realidad que el primero, pero su aplicación 
práctica resulta dispendiosa. En algunos casos particulares, como cuando se 
trabaja en canales prismáticos de poca pendiente con régimen tranquilo, 
los dos criterios producen resultados similares y por esta razón se prefiere 
utilizar el criterio de la Energía Específica constante como una aproximación 
razonable bajo ciertas condiciones que se analizan más adelante. En la 
Figura No. 1 se observa la diferencia en la representación esquemática de 
los dos criterios. 
El método de cálculo que se presenta en este artículo utiliza el criterio de la 
Energía Específica constante.
Universidad José Carlos Mariátegui DISEÑO DE ESTRUCTURAS HIDRÁULICAS 
La longitud (L) del vertedero lateral para funcionamiento con agua en 
régimen subcrítico se relaciona con las diferentes variables que actúan en el 
proceso mediante una expresión de la siguiente forma: 
L = función de ( Q1, Q2, Fr1, Fr2, P, b, y1, y2, So, A, B, n, Cv, i, e ) 
L = Longitud del vertedero. 
Q1 = Caudal en el canal aguas arriba del vertedero. 
Q2 = Caudal en el canal aguas abajo del vertedero, luego de que se ha 
78 
ING. OMAR FRANCISCO CASTRO ZEBALLOS 
derivado un caudal Qv. 
Fr1 = Número de Froude en el canal aguas arriba del vertedero. 
Fr2 = Número de Froude en el canal aguas abajo del vertedero. 
P = Altura de la cresta del vertedero por encima del fondo del canal. 
b = Ancho del canal.
Universidad José Carlos Mariátegui DISEÑO DE ESTRUCTURAS HIDRÁULICAS 
Y1 = Profundidad del agua en el canal aguas arriba del vertedero. 
Y2 = Profundidad del agua en el canal aguas abajo del vertedero. 
So = Pendiente longitudinal del canal. 
A = Coeficiente de Coriolis para corrección en la ecuación de Energía. 
B = Coeficiente de Boussinesq para corrección en la ecuación de 
79 
ING. OMAR FRANCISCO CASTRO ZEBALLOS 
Cambio en Cantidad de Movimiento. 
N = Rugosidad de Manning en el canal. 
Cv = Coeficiente de descarga del vertedero. 
i = Pendiente longitudinal del agua a lo largo del vertedero. 
e = Coeficiente de pérdidas por cambio de dirección y por choque del 
agua contra las paredes del vertedero. 
Limitaciones 
La aplicación de un método sencillo de cálculo para la solución de un 
problema que incluye una gran cantidad de variables debe considerar una 
serie de restricciones que faciliten los cálculos sin que la precisión de los 
resultados se vea afectada de una manera notable. 
Para el caso particular de un vertedero lateral en un canal rectangular de 
baja pendiente y sección constante las limitaciones que se consideran son 
las siguientes: 
• El régimen en el canal es Subcrítico inmediatamente antes y después del 
vertedero. 
El régimen de flujo en una sección determinada de un canal se clasifica 
en función del Número de Froude, NF, el cual es una relación 
adimensional entre fuerzas de inercia y de gravedad. 
En el régimen supercrítico (NF  1) el flujo es de alta velocidad, propio de 
canales de gran pendiente o de ríos de montaña. 
El flujo subcrítico (NF  1) corresponde a un régimen tranquilo, propio de 
tramos de llanura. 
El flujo crítico (NF = 1) es un estado teórico en canales y representa el 
punto de transición entre los regímenes subcrítico y supercrítico. 
• La cresta del vertedero lateral es horizontal y la pendiente del canal en el 
tramo ocupado por el vertedero es despreciable. 
• El canal es de sección rectangular, de ancho constante. 
• La cresta del vertedero tiene Perfil de Cimacio. En este caso, Cv = 2.2 en 
sistema métrico. En el Texto Diseño de Presas Pequeñas, USBR, hay un 
capítulo dedicado a los Perfiles de Cimacio y a la determinación del 
coeficiente. 
• La Energía Específica (E) en el canal a lo largo del vertedero es 
constante. E = Y + V2 / 2g
Universidad José Carlos Mariátegui DISEÑO DE ESTRUCTURAS HIDRÁULICAS 
80 
ING. OMAR FRANCISCO CASTRO ZEBALLOS 
Fórmulas 
En los libros de referencia, principalmente en Chow, 1959, y en Domínguez, 
1974, se encuentra el desarrollo completo de las formulas y de sus 
aplicaciones en el caso particular de canales rectangulares de baja 
pendiente y sección contante, y en casos más generales, por ejemplo en 
canales rectangulares o trapezoidales de sección variable, con flujo 
subcrítico o supercrítico. La fórmula más conocida para el caso sencillo es la 
de Di Marchi . 
Di Marchi, citado por Chow y por Domínguez, mediante un procedimiento 
analítico integró la ecuación general del flujo espacialmente variado y 
obtuvo la siguiente expresión: 
X = ( b (2g)½ / Cv ) { [ (2E-3P) / (E-P) ] [ (E-Y) / (Y-P)]½ - 3arcsen[ (E-Y) / (Y-P)]½} + C 
La longitud del vertedero es L = X2 - X1, donde X1 y X2 son las abscisas 
correspondientes a las profundidades Y1 y Y2 respectivamente. 
Cuando el flujo es subcrítico la profundidad Y2 ( Figura No. 1 ) es conocida y 
es igual a la profundidad normal de flujo del canal de aguas abajo. X2 se fija 
arbitrariamente. Conocidos Y2, X2 se calcula la constante de integración C. 
Para calcular Y1 y X1 se aplica la fórmula de Di Marchi, por medio de 
aproximaciones sucesivas, hasta cuando se satisface la Ecuación del 
Caudal: 
En el problema son conocidos Qv, Cv, P, X2, Y2, E y C. Son incógnitas X1, Y1, 
y hay dos ecuaciones, la de Di Marchi y la del Caudal. El proceso de 
integración de la ecuación del caudal es dispendioso, por lo cual se 
recomienda utilizar una ecuación aproximada. Salamanca, 1970, 
recomienda la siguiente expresión: 
Qv = L ( 2 Zm )3/2 / 1.27 
Donde: 
Zm = { ( Y1 - P ) + ( Y2 - P ) } / 2 , y L = X2 - X1 
La ecuación se aplica en sistema métrico y utiliza un coeficiente Cv = 2.2 
para el vertedero. En la práctica el coeficiente es menor por efecto del
Universidad José Carlos Mariátegui DISEÑO DE ESTRUCTURAS HIDRÁULICAS 
cambio de dirección del flujo que vierte y de su choque contra las paredes 
del vertedero. El coeficiente corregido toma la forma: 
81 
ING. OMAR FRANCISCO CASTRO ZEBALLOS 
Cv = 2.2 ( 1 - k Q2 / Q1 ) 
donde k es un factor que se determina experimentalmente. En vertederos 
pequeños k es del orden de 0.15. 
La ecuación del caudal con la corrección del coeficiente resulta: 
Qv = L ( 1 - k Q2 / Q1 ) ( 2 Zm )3/2 / 1.27 
5.2 DISIPADORES DE ENERGÍA 
Al desarrollar el tema “Sistemas de conducción”, se mencionó como uno 
de los componentes de un sistema de conducción a las estructuras de 
disipación. 
Los disipadores de energía se usan para disipar el exceso de energía 
cinética del flujo de agua. Esta energía o altura de velocidad es adquirida 
por el agua donde la velocidad es alta, tal como en una caída o en una 
rápida, y el disipador de energía esta incorporado dentro del diseño de 
esta estructura. 
Un disipador de energía efectivo debe ser capaz de retardar el flujo rápido 
del agua para evitar daños por fuera de la estructura o en el canal aguas 
debajo de la misma. El disipador de energía de tipo de impacto dirige el 
agua a una obstrucción que desvía el flujo en todas las direcciones y de 
esta manera disipa la energía de la misma. En algunas estructuras el flujo se 
sumerge dentro de un cuenco disipador donde la energía se difunde. 
Caídas controladas, y caídas verticales, pantallas de choque a la salida, 
dados y pozos aquietadores verticales son todos disipadores del tipo de 
impacto. Otros disipadores usan el empuje hidráulico para reducir el 
exceso de carga. En este tipo de estructura el agua fluyendo a una 
velocidad tan alta como la crítica es forzada a formar un resalto hidráulico 
y la energía se disipa en forma de turbulencia. El cuenco disipador 
contiene el agua turbulenta hasta que esta pueda ser descargada hacia 
el canal de aguas abajo sin que se produzcan daños en el mismo. El tubo 
colector de la caída es un conducto de caída cerrada en el cual la 
presión hidráulica ocurre dentro del tubo. El disipador de energía del tipo 
de impacto es considerado más eficiente que los de tipo de presión
Universidad José Carlos Mariátegui DISEÑO DE ESTRUCTURAS HIDRÁULICAS 
hidráulica. Generalmente el uso de un disipador de energía del tipo de 
impacto, trae como resultado estructuras más pequeñas y económicas (U. 
S. Bureau of Reclamation, 1978). 
Se mencionan a continuación los distintos tipos de disipadores de energía 
que se analizarán (Torres Herrera, 1980). 
 Cuenco Tipo1: el salto hidráulico se provoca en un piso horizontal sin 
bloques, ni dientes en el umbral extremo. Frecuentemente no resulta un 
cuenco atractivo, debido a su excesiva longitud. Se determinan los 
elementos y características de los saltos en un rango amplio de números 
de Froude, con el objeto de orientar al proyectista en seleccionar los 
cuencos. 
 Cuenco Tipo 2: el salto y la longitud del tanque se reducen alrededor 
del 33%, está constituído por dientes al principio y final del cuenco. Se 
utiliza en grandes caídas, en descargas de vertederos o canales, para 
números de Froude superiores a 4,5. 
 Cuenco Tipo 3: el salto y la longitud del tanque se reducen alrededor 
del 60%, está constituído por dientes al principio, bloques de impacto y 
umbral en el extremo inferior del cuenco. Se utiliza para descargas de 
vertederos y estructuras pequeñas en canales donde la velocidad de 
entrada al cuenco no exceda de 15 a 18 m/s y el número de Froude 
sea superior a 4,5. 
 Cuenco Tipo 4: este tipo de cuenco se usa para números de Froude 
entre 2,5 y 4,5, frecuentemente se presentan en canales y presas de 
derivación. Reduce el oleaje excesivo creado por resaltos imperfectos. 
 Disipador de Pantalla: es del tipo de impacto, se utiliza para 
velocidades de entrada menores a 15 m/s y números de Froude que no 
excedan de 9. No se requiere colchón de agua. Las pérdidas de 
energía son mayores que en un salto comparable. 
 Trampolín Sumergido: cuando la profundidad de aguas abajo es 
demasiado grande para la formación del resalto hidráulico, la 
disipación de la energía puede conseguirse mediante el uso de este 
tipo de disipador. 
 Dados Disipadores: para uso en canales donde el agua debe bajarse 
de una elevación a otra. Puesto que las elevaciones del agua al pie de 
la rápida llegan con valores relativamente bajos, no se requiere cuenco 
amortiguador. El canal puede diseñarse para descargar hasta 5,5 m³/s 
82 
ING. OMAR FRANCISCO CASTRO ZEBALLOS
Universidad José Carlos Mariátegui DISEÑO DE ESTRUCTURAS HIDRÁULICAS 
por metro de ancho y la caída puede ser tan grande como sea 
estructuralmente factible. 
83 
ING. OMAR FRANCISCO CASTRO ZEBALLOS 
5.2.1 Cuenco Disipador Tipo 1 
Descripción: a partir de los estudios intensivos de muchas estructuras 
existentes y de investigaciones de laboratorio, el U. S. Bureau of 
Reclamation, desarrolló varios tipos de diseño generalizado de cuencos 
disipadores. El cuenco tipo 1 lo origina un resalto hidráulico que ocurre en 
un piso plano sin ningún accesorio, y puede diseñarse con facilidad 
siguiendo los principios descriptos en las secciones iniciales de este trabajo. 
Sin embargo, tal cuenco por lo general no es muy práctico, debido a que 
su longitud lo hace costoso y a su falta de control (figuras 21, 22 y 23).
Universidad José Carlos Mariátegui DISEÑO DE ESTRUCTURAS HIDRÁULICAS 
84 
ING. OMAR FRANCISCO CASTRO ZEBALLOS 
5.2.2 Cuenco Disipador Tipo 2 
Descripción: este tipo se desarrollo para cuencos disipadores de uso 
común en vertederos de presas altas y de presas de tierra y para 
estructuras de canales grandes. El cuenco contiene bloques en la rápida 
del extremo de aguas arriba y un umbral dentado cerca del extremo de 
aguas abajo. No se utilizan bloques de impacto debido a que las 
velocidades relativamente altas que entran al resalto pueden causar 
cavitación en dichos bloques.
Universidad José Carlos Mariátegui DISEÑO DE ESTRUCTURAS HIDRÁULICAS 
85 
ING. OMAR FRANCISCO CASTRO ZEBALLOS
Universidad José Carlos Mariátegui DISEÑO DE ESTRUCTURAS HIDRÁULICAS 
86 
ING. OMAR FRANCISCO CASTRO ZEBALLOS
Universidad José Carlos Mariátegui DISEÑO DE ESTRUCTURAS HIDRÁULICAS 
Diseño: en la figura 25 se muestra el diseño detallado y los datos necesarios 
para el cálculo. Las reglas recomendadas para el diseño son las siguientes 
(Chow, 1994): 
1) Fijar la elevación del piso para utilizar la profundidad secuente de 
aguas abajo completa, más un factor de seguridad adicional si es 
necesario. Las líneas punteadas de la figura 27 sirven como guía para 
diferentes relaciones de la profundidad real de aguas abajo con 
respecto a la profundidad secuente. Existe un límite, el cual es 
establecido por la curva denominada Mínima profundidad de salida, 
que indica el punto para el cual el frente del resalto se mueve hacia 
fuera de los bloques de la rápida. En otras palabras, cualquier 
reducción adicional de la profundidad de salida hará que el resalto se 
salga del cuenco; es decir, producirá un barrido de resalto. El cuenco 
no debe diseñarse para una profundidad menor que la secuente. Para 
mayor seguridad, el U. S. Bureau of Reclamation recomienda un margen 
de seguridad mínimo del 5% de D2, que debe sumarse a la profundidad 
secuente. 
2) Este tipo de cuenco puede ser efectivo hasta un número de Froude tan 
bajo como 4, pero para valores menores esto no necesariamente es 
cierto. Para valores bajos, se recomiendan diseños que consideran la 
supresión de ondas. 
3) La longitud del cuenco puede obtenerse de la curva de longitud del 
87 
ING. OMAR FRANCISCO CASTRO ZEBALLOS 
resalto dada en la figura 24. 
4) La altura de los bloques de la rápida es igual a la profundidad D1 del 
flujo que entra al cuenco. El ancho y el espaciamiento deben ser 
aproximadamente iguales a D1, sin embargo esto puede modificarse 
para eliminar la necesidad de fracciones de bloques. Con respecto a 
las paredes laterales es preferible un espaciamiento igual a 0,5 D1 para 
reducir salpicaduras y mantener presiones adecuadas. 
5) La altura del umbral dentado es igual a 0,2 D2 y el ancho máximo y el 
espaciamiento máximo recomendado son de aproximadamente 0,15 
D2. En este diseño se recomienda colocar un bloque adyacente a 
cada pared lateral (figura 25). La pendiente de la parte continua del 
umbral de salida es 2:1. En el caso de cuencos angostos, según la regla 
anterior, que involucraría sólo algunos dientes es recomendable reducir 
el ancho y el espaciamiento, siempre y cuando esto se haga de 
manera proporcional. La reducción del ancho y del espaciamiento en 
realidad mejora el comportamiento en estos cuencos; luego los anchos 
y los espaciamientos mínimos entre los dientes se establecen sólo por 
consideraciones estructurales.
Universidad José Carlos Mariátegui DISEÑO DE ESTRUCTURAS HIDRÁULICAS 
6) No es necesario escalonar los bloques de la rápida y el umbral dentado. 
De hecho esta práctica no es recomendable desde un punto de vista 
constructivo. 
7) Las pruebas de verificación sobre estos cuencos no indican cambios 
perceptibles en la acción del cuenco disipador con respecto a la 
pendiente de la rápida aguas arriba del cuenco. En estas pruebas la 
pendiente de la rápida varía desde 0,6:1 a 2:1. En realidad, la 
pendiente de la rápida, en algunos casos, tiene un efecto sobre el 
resalto hidráulico. Es recomendable que la intersección aguda entre la 
rápida y el cuenco se remplace por una curva de radio razonable (R ≥ 4 
D1) cuando la pendiente de la rápida es 1:1 o mayor. Los bloques de la 
rápida pueden incorporarse a la superficie curvas con tanta facilidad 
como a las planas. En rápidas empinadas la longitud de la superficie 
superior de los bloques debe hacerse lo suficientemente larga como 
para deflectar el chorro. 
8) Los perfiles aproximados para la superficie del agua y para las presiones 
de un resalto en el cuenco se muestran en la figura 26. 
88 
ING. OMAR FRANCISCO CASTRO ZEBALLOS 
5.2.3 Cuenco Disipador Tipo 3 
Descripción: este cuenco utiliza dados en la escarpa y la solera, así como 
un umbral final para acortar la longitud del cuenco, y reducir las altas 
velocidades dentro del menor cuenco posible. Este cuenco actúa 
disipando la energía en los bloques de impacto y también mediante la 
turbulencia propia del resalto. Su uso debe limitarse a velocidades no 
superiores a 15 m/s, ya que existe el peligro de destrucción de los bloques, 
debido a los esfuerzos de impacto si la velocidad es demasiado alta, así 
como la posibilidad de que aparezcan fenómenos de cavitación en los 
bloques o en la solera. Deben tenerse en cuenta los esfuerzos adicionales 
sobre la solera, producidos por las fuerzas dinámicas, que actúan en la 
cara de aguas arriba de los hitos de impacto. Estas fuerzas dinámicas 
equivalen, aproximadamente, a las que produciría un chorro líquido 
chocando contra un plano normal a la dirección de la corriente. En la cara 
de aguas abajo aparecensubpresiones que aumentan la fuerza total. Sin 
embargo, puesto que los bloques están situados a una distancia de 0,8 D2, 
medida desde el principio del cuenco, se habrán producido ya algunas 
amortizaciones en el momento que el chorro alcanza el bloque.
Universidad José Carlos Mariátegui DISEÑO DE ESTRUCTURAS HIDRÁULICAS 
89 
ING. OMAR FRANCISCO CASTRO ZEBALLOS
Universidad José Carlos Mariátegui DISEÑO DE ESTRUCTURAS HIDRÁULICAS 
Diseño: en la figura 28 se muestra el detalle del cuenco tipo 3. Las reglas 
recomendadas para el diseño son las siguientes (U. S. Bureau of 
Reclamation, 1970): 
1) La longitud del cuenco puede obtenerse de la curva de longitud del 
90 
ING. OMAR FRANCISCO CASTRO ZEBALLOS 
resalto dada en la figura 31. 
2) La altura de los bloques a la entrada es igual a la profundidad del 
tirante a la entrada (D1), la altura de los bloques intermedios (h3) se 
determina de la Figura 30. 
3) La distancia desde el extremo de aguas arriba del cuenco disipador 
hasta los bloques del piso es 0,8 D2. 
4) Las dimensiones, pendiente y espaciamiento de los bloques intermedios 
se muestran en la figura 28. 
5) La altura del umbral de salida (h4) se determina de la Figura 30. 
6) La altura de la profundidad secuente (D2) se obtiene de la figura 29. 
5.2.4 Cuenco Disipador Tipo 4 
Descripción: en este tipo de cuenco, se producirá un resalto oscilante en el 
cuenco disipador, el cual genera una onda que es difícil de atenuar. El 
cuenco se diseña para combatir este problema eliminando la onda en su
Universidad José Carlos Mariátegui DISEÑO DE ESTRUCTURAS HIDRÁULICAS 
fuente. Esto se lleva a cabo intensificando el remolino que aparece en la 
parte superior del resalto, con los chorros direccionales deflectados 
utilizando grandes bloques en la rápida. Algunas veces es necesario 
emplear amortiguadores de ondas para asegurar una corriente tranquila 
aguas abajo. 
91 
ING. OMAR FRANCISCO CASTRO ZEBALLOS
Universidad José Carlos Mariátegui DISEÑO DE ESTRUCTURAS HIDRÁULICAS 
Diseño: en la figura 32 se muestra un cuenco tipo 4. Las reglas 
recomendadas para el diseño son las siguientes (U. S. Bureau of 
Reclamation, 1970): 
1) La profundidad del calado aguas abajo del cuenco se obtiene de la 
92 
ING. OMAR FRANCISCO CASTRO ZEBALLOS 
figura 33. 
2) La longitud del cuenco puede obtenerse de la curva de longitud del 
resalto dada en la figura 34. 
3) El número mínimo de bloques requeridos se muestra en la figura 32. Para 
un comportamiento hidráulico mejor, es conveniente construir estos 
bloques más angostos que lo indicado, preferiblemente con un ancho 
igual a 0,75 D1. 
4) Debido a la tendencia del resalto a extenderse y así como para reducir 
la acción del oleaje, la profundidad de salida es recomendable que 
sea de un 5% a 10% mayor que la profundidad secuente del resalto. 
5.2.5 Disipador de Pantalla 
Descripción: un disipador de pantalla es una estructura en forma de caja 
que contiene una pantalla colgante y una solera final. La disipación de 
energía se produce por el choque del chorro con los muros de impacto 
colocados verticalmente y por los remolinos que se forman al cambiar la 
dirección del chorro después del choque. Para conseguir que el 
funcionamiento sea satisfactorio, deberá colocarse la parte inferior del 
deflector al mismo nivel que el canal o tubo de salida. Este tipo de 
amortiguador está solicitado por grandes fuerzas dinámicas y turbulencias 
que deben considerarse en su cálculo estructural. Por ello la estructura 
debe calcularse lo suficientemente resistente para no deslizarse por efecto 
del impacto de agua y para resistir las fuertes vibraciones que se producen, 
además de las grandes cargas dinámicas a que están sometidos cada uno 
de sus componentes. La solera y los laterales del canal de salida deben
Universidad José Carlos Mariátegui DISEÑO DE ESTRUCTURAS HIDRÁULICAS 
estar revestidos con escollera para reducir la erosión, que puede producir 
el agua al abandonar el amortiguador, sobre todo cuando el calado de 
aguas abajo es muy pequeño (U. S. Bureau of Reclamation, 1970). 
Diseño: en la figura 35 se muestra un disipador de pantalla. Las reglas 
recomendadas para el diseño son las siguientes (U. S. Bureau of 
Reclamation, 1978): 
1) Como se observa en la figura 35, las dimensiones se expresan como 
fracciones de W, por lo tanto bastará con obtener W de la figura 36. 
2) El tirante de salida debe ser aproximadamente de (½—3/8—W + W/6) a 
partir de la solera de la estructura que contiene a la pantalla. La altura 
de este tirante por encima del borde inferior no debe nunca exceder 
(3/8—W + W/6) porque de lo contrario parte del flujo no chocaría con la 
pantalla. 
3) Si la profundidad de salida no se controla, la cota del cuenco estará a 
una distancia f por debajo de la cota de la solera del canal corriente 
abajo. Como las pantallas de choque no necesitan de un tirante de 
salida fijo, esta salida es particularmente útil donde la profundidad de 
salida no se controla o donde la tasa de crecimiento de la descarga es 
repentina y el aumento del tirante es lento. 
4) El diámetro del conducto de entrada a la estructura de la pantalla de 
choque, debe ser determinado usando una velocidad de 3,6 m/s 
asumiendo que funciona lleno. 
5) Si la tubería de entrada desciende, la parte final de la misma debe 
horizontalizarse una longitud al menos de tres veces el diámetro para 
dirigir el chorro hacia la pantalla. 
6) Si existe la posibilidad de que la parte final del conducto aguas arriba y 
aguas abajo sean selladas, puede ser necesaria una abertura de toma 
de aire cerca del final del conducto corriente arriba para prever 
fluctuaciones de presión y un flujo oleante asociado en el sistema. 
7) La velocidad entubada teórica debe limitarse a 15 m/seg para prevenir 
93 
ING. OMAR FRANCISCO CASTRO ZEBALLOS 
la cavitación o los daños de impacto del cuenco
Universidad José Carlos Mariátegui DISEÑO DE ESTRUCTURAS HIDRÁULICAS 
94 
ING. OMAR FRANCISCO CASTRO ZEBALLOS
Universidad José Carlos Mariátegui DISEÑO DE ESTRUCTURAS HIDRÁULICAS 
95 
ING. OMAR FRANCISCO CASTRO ZEBALLOS 
5.2.6 Trampolín Sumergido 
Descripción: el comportamiento hidráulico de estos disipadores se 
manifiesta principalmente por la formación de dos remolinos, uno superior, 
alojado en la curvatura del trampolín y moviéndose en sentido contrario a 
las agujas del reloj, y el otro inferior, aguas abajo del trampolín, moviéndose 
en sentido de las agujas del reloj, el cuál atrae los materiales flojos que se 
encuentran al pié del trampolín y los mantiene en constante agitación. El 
movimiento de estos remolinos, que se entremezclan con la corriente 
afluente, consigue la disipación de la energía de manera eficiente e 
impide, al mismo tiempo, una excesiva erosión aguas abajo del trampolín. 
Se han desarrollado dos tipos de trampolines, trampolín liso y dentado, los 
cuales se observan en la figura 37 y 38 respectivamente. 
En el trampolín dentado, o de lanzamiento múltiple, el chorro de alta 
velocidad sale formando un ángulo más plano y solamente una parte se 
abre camino hacia la superficie, con lo cual la ebullición es mucho menos 
violenta y la dispersión de la corriente, es más perfecta; el flujo de alto 
contenido de energía es menor sobre el trampolín, y agua abajo la 
corriente es más tranquila.
Universidad José Carlos Mariátegui DISEÑO DE ESTRUCTURAS HIDRÁULICAS 
El uso del trampolín plano (no dentado) puede ser contraproducente 
porque el material que arrastra el remolino inferior desgasta, por abrasión, 
la superficie de hormigón del trampolín. Aunque el trampolín dentado 
proporciona una mejor disipación de energía, una superficie menos 
turbulenta y menores daños en el cauce, es también menos estable. 
Cuando el calado agua abajo es excesivo se produce el fenómeno de 
que el remolino inferior profundiza y sumerge en el cauce (U. S. Bureau of 
Reclamation, 1970). 
Diseño: en la figura 38 se muestra un trampolín dentado. Las reglas 
recomendadas para el diseño son las siguientes (U. S. Bureau of 
Reclamation, 1970): 
1) Como se observa en la figura 38, las dimensiones se expresan como 
96 
ING. OMAR FRANCISCO CASTRO ZEBALLOS 
fracciones del radio de curvatura del trampolín (R). 
2) El proyecto de un trampolín dentado exige la determinación del radio 
de curvatura del trampolín y el intervalo de calados admisibles agua 
abajo. 
3) Ambos datos se relacionan con el número de Froude en los ábacos de 
la figura 39. 
4) Los valores del número de Froude se refieren al punto de entrada del 
chorro al trampolín.
Universidad José Carlos Mariátegui DISEÑO DE ESTRUCTURAS HIDRÁULICAS 
97 
ING. OMAR FRANCISCO CASTRO ZEBALLOS
Universidad José Carlos Mariátegui DISEÑO DE ESTRUCTURAS HIDRÁULICAS 
98 
ING. OMAR FRANCISCO CASTRO ZEBALLOS 
5.2.7 Dados Disipadores 
Descripción: los dados disipadores en caída se usan en canales para 
proveer disipación del exceso de energía en la caída en forma gradual. La 
disipación de la energía ocurre cuando el agua fluye sobre los dados 
disipadores, los cuales están ubicados a lo largo del piso de la caída. La 
capacidad de los dados disipadores de acomodar la elevación de la cota 
del agua, que fluctúa ampliamente, hace que sea especialmente 
apropiado como un disipador de energía para el final de un canal, o en 
canales de escape que descargan dentro de un reservorio. La longitud de 
los dados disipadores no afecta la eficacia de la estructura. Estos son 
efectivos en la disipación de energía para caídas de cualquier magnitud, 
pero esto se convierte en antieconómico para flujos largos con grandes 
caídas, debido al ancho de la sección y a la cantidad de bloques que se 
requieren. Un exceso de basura, árboles o plantas que acompañen el flujo, 
pueden alojarse entre los dados restringiendo el flujo y la remoción de este 
material en la mayoría de las veces puede resultar dificultosa (U. S. Bureau 
of Reclamation, 1978). 
Se utilizan varios tipos de control de entrada para mantener un nivel de 
superficie del agua aguas arriba, así como el requerido para la salida o 
para proveer de una velocidad de aproximación consistente con la 
tolerancia de escurrimiento de la sección aguas arriba, o para evitar el 
excesivo salpicado que puede resultar a partir de un flujo supercrítico en el 
ingreso. Las características más comunes de control de ingreso son las 
siguientes: 
Control de umbral: se puede proveer de un control de umbral en el ingreso 
(figura 40, A) para reducir la velocidad de aproximación y minimizar la 
fricción de la sección aguas arriba. El umbral también proporciona un nivel 
de agua controlado para desviaciones aguas arriba. Para permitir el 
drenaje completo del cuenco de aguas arriba, se provee de una abertura 
a través de la cresta (figura 41). El ingreso debe conservarse libre de 
depósitos de sedimentos, así como de la acumulación de sedimentos, que 
permitiría al flujo pasar el umbral a una velocidad muy elevada para una 
disipación efectiva de energía. 
Sección de control: para controlar la profundidad del agua aguas arriba se 
debe colocar en el ingreso una sección de control (figura 40, B). La sección 
de control está diseñada para mantener una velocidad y una profundidad 
normales en la sección aguas arriba. Ésta produce un aumento de la 
velocidad en la entrada, causando salpicaduras cuando el flujo golpea
Universidad José Carlos Mariátegui DISEÑO DE ESTRUCTURAS HIDRÁULICAS 
con la primera fila de bloques. La excesiva turbulencia puede requerir 
mantenimiento frecuente de la protección contra la erosión. La sección de 
control debe mantenerse libre de basura. 
Sin control de entrada: el tipo más simple de ingreso (figura 40, C) se usa 
donde no hay una necesidad de controlar el nivel de agua aguas arriba, 
para una salida libre y cuando el canal es lo suficientemente estable para 
resistir sin erosión las altas velocidades asociadas con el arrastre de la 
superficie de agua. Para minimizar la turbulencia, como la que forma el 
flujo al golpear la primera línea de dados, se puede colocar una curva 
invertida para asignarle al flujo que golpea los bloques, una dirección 
normal a la que tenía la superficie aguas arriba. Donde el flujo no es 
frecuente y se permite alguna turbulencia o salpicadura, la curva 
generalmente se omite, como se muestra en la figura 40, B. 
99 
ING. OMAR FRANCISCO CASTRO ZEBALLOS
Universidad José Carlos Mariátegui DISEÑO DE ESTRUCTURAS HIDRÁULICAS 
Diseño: las reglas recomendadas para el diseño son las siguientes (U. S. 
Bureau of Reclamation, 1978): 
1) La capacidad en esta estructura es función de la descarga permitida q, 
por unidad de ancho, como se muestra en la siguiente tabla. 
* Para capacidades mayores la losa dentada puede diseñarse con una 
descarga máxima por metro de ancho de 5,50 m³/seg, y la caída puede 
ser tan grande como sea estructuralmente factible. 
2) La entrada debe ser del mismo ancho que el disipador, y debe proveer 
una velocidad de aproximación más lenta que la velocidad crítica. Donde 
100 
ING. OMAR FRANCISCO CASTRO ZEBALLOS
Universidad José Carlos Mariátegui DISEÑO DE ESTRUCTURAS HIDRÁULICAS 
la salpicadura debe ser minimizada, la velocidad de entrada no debe 
superar la mitad de la velocidad crítica. 
3) Para control de umbral (figura 40, A) la longitud de entrada debe ser igual 
a dos veces el tirante aguas arriba. La altura requerida del umbral sobre el 
piso de la entrada puede ser determinada de un balance de energía entre 
la entrada y el canal aguas arriba. La curvatura de la cresta del umbral 
debe terminar en el punto de tangencia con la pendiente de la caída 
aguas abajo. Este punto no debe estar a más de 30 cm de la elevación del 
fondo de la cresta. Esto se asegura limitando el radio de curvatura a un 
máximo de 2,7 m. Frecuentemente se usa un radio de 1,80 m. El umbral 
tiene una ranura de ancho igual a 15 cm, para proveer el drenaje del pozo 
aguas arriba. 
4) Donde se usa un control por entalladura, la entrada de sección rectangular 
debe empezar 1,5 m aguas arriba de dicho control, y la longitud entre la 
entalladura y el umbral debe ser igual a tres veces el tirante aguas arriba, 
como se muestra en la figura 40, B, para permitir que el flujo llene el ancho 
completo de la sección. 
5) El piso de la caída y de las paredes laterales deben tener una pendiente 
101 
ING. OMAR FRANCISCO CASTRO ZEBALLOS 
2:1. 
6) El ancho aproximado de la estructura debería ser ajustado mediante la 
relación: B = Q/q. 
7) Se debe ajustar la primera fila de dados de manera que la base de la cara 
aguas arriba es el fin de aguas abajo de la curva, y que no esté a más de 
30 cm de la cota de la cresta. 
8) La altura del bloque hb, debe ser alrededor de 0,9 veces el tirante crítico. 
9) El ancho del bloque y el espaciamiento, deben ser iguales y no menores 
que hb, pero no mayores que una vez y media hb. Dados parciales que 
tienen un ancho no menor que un tercio de hb y no mayor que dos tercios 
de hb deben estar situados cerca de las paredes laterales en filas 1, 3, 5, 7, 
etc. Deben colocarse filas alternadas de dados en tresbolillo de manera 
que cada bloque este aguas abajo de un espacio de la fila adyacente. El 
ancho de la estructura, B, determinado antes, debe ajustarse 
convenientemente a los anchos de los dados que se utilicen. 
10) La distancia S entre las filas de dados, debe ser menor a dos veces hb, pero 
no mayor que 1,8 m. Un espacio de 1,8 m puede ser usado para cualquier 
bloque con una altura menor o igual a 90 cm. 
11) Debería usarse un mínimo de cuatro filas de dados. Los disipadores en 
caída deben prolongarse de manera que la parte superior de por lo menos 
una fila de dados esté bajo el nivel de fondo de salida del canal. La rampa 
debe extenderse más allá de la última fila de bloques a una distancia igual 
al espacio libre entre las filas de dados.
Universidad José Carlos Mariátegui DISEÑO DE ESTRUCTURAS HIDRÁULICAS 
12) Los dados se construyen con sus caras hacia aguas arriba normales al piso 
de la rápida. El espesor T de los dados en la parte superior debe ser 
aproximadamente un 20% de hb y no menor a 20 cm, ni mayor a 25 cm. 
Ver detalle en la figura 41. 
13) La altura propuesta de las paredes que proporciona una revancha 
adecuada es 3 veces la altura del bloque, medida perpendicularmente al 
piso de la rápida. Generalmente no es posible ajustar la revancha para 
que estas estructuras contengan el salpicado de agua. 
14) Además de los muros a la entrada, los muros de alas se colocan en el final 
de la estructura aguas abajo o cerca de ese punto para impedir la 
percolación y para conservar el relleno a lo largo de la pendiente. Cuando 
el canal aguas abajo esta sujeto a degradación, se extiende una 
tablestaca hacia abajo desde la solera (figura 41). Los muros de ala 
pueden ser colocados en el final de la estructura para coincidir con la 
tablestaca, pero frecuentemente se sitúan unos metros aguas arribas del 
final como se observa en la figura. Esto proporciona una mejor acción 
disipadora en la salida, e incrementa la elevación máxima de los muros de 
alas los cuales deben ser localizados por encima de la elevación del tirante 
de agua a la salida para minimizar la erosión. 
15) Los drenes protectores algunas veces son colocados debajo de la 
estructura de caída de la pantalla de choque para aliviar el incremento de 
presión a continuación de la terminación del flujo. 
16) Cuando es necesario cruzar la estructura, se puede incorporar un puente 
102 
ING. OMAR FRANCISCO CASTRO ZEBALLOS 
de tablero superior en el diseño de la entrada.
Universidad José Carlos Mariátegui DISEÑO DE ESTRUCTURAS HIDRÁULICAS 
6 DISEÑO ESTRUCTURAL DE ESTRUCTURAS HIDRAULICAS 
6.1 CRITERIOS Y DATOS TÉCNICOS PARA EL DISEÑO 
El diseño estructural de las obras estará regido por lo establecido en el 
Reglamento Nacional de Edificaciones del Perú, en las Normas Peruanas de 
Estructuras y en el Reglamento de las Construcciones de Concreto 
Reforzado (ACI 318-99), para el diseño por el método de las cargas de 
trabajo (Diseño Elástico) para estructuras en contacto con el agua. 
103 
CAPITULO 6 
ING. OMAR FRANCISCO CASTRO ZEBALLOS 
Cargas sobre las estructuras 
Para el diseño de las estructuras, se consideran las cargas muertas debidas 
al peso de los materiales y a los empujes laterales producidos por la presión 
hidrostática del agua y por los rellenos que se ejecutarán al costado de las 
estructuras. Para el cálculo de los empujes laterales se considerarán también 
las sobrecargas que ocurrirán debidas al equipo de construcción que será 
empleado durante la fase de ejecución de la obra. 
Para la evaluación de los empujes laterales se empleará la solución 
adoptada por Rankine para la ecuación de Coulomb. 
Los valores adoptados en el cálculo son los siguientes: 
a. Angulo de fricción interna: 26° a 32° para suelos compactados, 
b. Peso unitario del terreno compactado: 1,800kg/m3 
c. Peso unitario del concreto armado: 2,400 kg/m3 
d. Altura de sobrecarga mínima durante la construcción: 0.60 m, 
e. Incremento del empuje de tierra debido al efecto sísmico aplicando en 
método de Mononobe Okabe :
Universidad José Carlos Mariátegui DISEÑO DE ESTRUCTURAS HIDRÁULICAS 
1 γ 2 
− − 
cos ( ) 
 
− 
104 
φ δ φ ψ β 
− × − + 
( ) ( ) 
 
ING. OMAR FRANCISCO CASTRO ZEBALLOS 
( Eae = × ×H 1− Kv)× Kae 
2 
2 
2 
2 
cos( ) cos( ) 
 
cos cos cos( ) 1 
 
 
− + × − 
× × − + × + 
= 
ψ θ δ β θ 
ψ θ ψ θ δ 
φ ψ θ 
sen sen 
Kae 
 
 
 
= 
Kh 
Kv 
arctg 
1 
θ
Universidad José Carlos Mariátegui DISEÑO DE ESTRUCTURAS HIDRÁULICAS 
105 
fc 
kd C 
ING. OMAR FRANCISCO CASTRO ZEBALLOS 
φ = ángulo de fricción interna del suelo, 
ψ = ángulo inercial sísmico, 
β = ángulo de inclinación del talud, 
θ = ángulo de inclinación del muro, 
δ = ángulo de fricción entre el muro y el relleno: 
kv y kh coeficientes de aceleración sísmica vertical y horizontal. 
Esfuerzos Admisibles 
Acero de refuerzo: 
Los esfuerzos admisibles en el acero serán de 0.4fy = 1680 kg/cm2. Para el 
análisis de los elementos en casos de esfuerzos extraordinarios como eventos 
sísmicos de poca duración, el esfuerzo admisible podrá ser incrementado en 
un 33.33%. 
Concreto: 
fs 
T 
kd 
Jd = d - kd/3 
d 
fc1 
fc 
n As 
b 
kd 
d
Universidad José Carlos Mariátegui DISEÑO DE ESTRUCTURAS HIDRÁULICAS 
Esfuerzo de compresión por flexión en la fibra extrema: 
Esfuerzo de tracción por flexión en la fibra extrema: 
Esfuerzo de corte concreto simple: 
Esfuerzo de corte asumido por el concreto: 
' 0.27 C f 
Máximo esfuerzo de corte asumido por el concreto y el acero: 
Se empleará concreto de f´c=210kg/cm2, por lo que: 
2 106 
= = = x 
E 
M 
106 
0.45 ' C f 
' 0.595 C f 
ING. OMAR FRANCISCO CASTRO ZEBALLOS 
' 0.53 C f 
= 0.341 
+ 
C 
= 
fc 
f 
n 
fc 
k 
S 
9.20 
15000 210 
E 
n 
S 
j =1− k / 3 = 0.886 
R = 1/ 2× f × j × k = 14.282 C 
As 
× 
b d 
ρ = 
Recubrimiento de la Armadura 
El recubrimiento mínimo de la armadura es el siguiente: 
Estructuras expuestas al relleno : 4.0 cm. 
Estructuras expuestas al agua calmada (V5 m/seg) : 5.0 cm. 
Estructuras expuestas al agua (5 m/segV10 m/seg) : 7.5 cm. 
' 1.18 C f 
f j d 
As 
S × × 
=
Universidad José Carlos Mariátegui DISEÑO DE ESTRUCTURAS HIDRÁULICAS 
107 
ING. OMAR FRANCISCO CASTRO ZEBALLOS 
Anclajes y Empalmes del Refuerzo: 
Las longitudes de anclajes y empalmes serán las siguientes: 
Barra Anclaje Empalme 
3/8 30 cm 40 cm 
1/2 30 cm 45 cm 
5/8 40 cm 55 cm 
3/4 50 cm 65 cm 
1 90 cm 115 cm 
1 3/8 170 cm 220 cm 
Requerimientos Mínimos de Refuerzo 
a. Refuerzo mínimo por temperatura (Ref USBR Desing of small Canal 
Structures) 
1= 30’ 130’ 
Refuerzo en una capa: 
No expuesto directamente al sol: 0.0025 0.0035 
Expuesto directamente al sol: 0.0030 0.0040 
Refuerzo en dos capas: 
Cara adyacente expuesta al terreno: 0.0010 0.0015 
Cara adyacente expuesta al terreno y no 
expuesta directamente al sol : 0.0015 0.0020 
Cara adyacente al terreno y expuesta 
directamente al sol: 0.0020 0.0025 
b. El acero por temperatura será As = ρ b t para tmax=15 
c. Refuerzo mínimo para elementos sujetos a flexión 
ρmin = 200/fy = 0.0033 ó 
As = 4/3 As requerido por el análisis ó 
ρmin = 0.0020 para losas y muros 
Clase y Tipo de Acero de Refuerzo 
Se empleará acero grado 60 con fy=4200 kg/cm2

diseño-de-estructuras-hidraulicas

  • 1.
    Universidad José CarlosMariátegui DISEÑO DE ESTRUCTURAS HIDRÁULICAS 1 ING. OMAR FRANCISCO CASTRO ZEBALLOS CONTENIDO CAPITULO 1 .................................................................................................................................. 3 1 ECUACIONES BÁSICAS DE LA HIDRÁULICA ..................................................................... 3 1.1 Introducción .................................................................................................................... 3 1.2 Flujo en canales abiertos y su clasificación ........................................................... 3 1.2.1 Clasificación de canales según el tipo de escurrimiento .......................... 4 1.3 Canales abiertos y sus propiedades ........................................................................ 8 1.3.1 Canales artificiales ................................................................................................ 9 1.3.2 Distribución de velocidades en una sección de canal ........................... 12 1.3.3 Coeficientes de distribución de velocidades ............................................. 14 1.4 Energía del flujo en canales abiertos ..................................................................... 14 1.5 Cantidad de movimiento del flujo en canales abiertos .................................. 16 1.6 Flujo crítico ..................................................................................................................... 18 1.7 El resalto hidráulico y su uso como disipador de energía................................ 20 1.7.1 Resalto en canales rectangulares .................................................................. 22 1.7.2 Características básicas del resalto para canales rectangulares .......... 22 1.7.3 Longitud del resalto ............................................................................................. 22 1.7.4 El perfil superficial ................................................................................................. 23 1.7.5 Localización del resalto ..................................................................................... 24 1.7.6 El resalto como disipador de energía ............................................................ 26 1.8 Medición de flujo ......................................................................................................... 28 1.8.1 Orificios .................................................................................................................... 30 1.8.2 Vertederos .............................................................................................................. 32 1.8.3 Vertederos de cresta delgada ........................................................................ 32 1.8.4 Vertederos de cresta ancha ............................................................................ 33 CAPITULO 2 ................................................................................................................................ 35 2 SISTEMAS DE CONDUCCIÓN ............................................................................................. 35 2.1 Introducción .................................................................................................................. 35 2.2 Condicionantes del Diseño ....................................................................................... 35 2.3 Obras de Drenaje Transversal .................................................................................. 38 2.4 Estructuras de un Sistema de Conducción .......................................................... 40 CAPITULO 3 ................................................................................................................................ 44 3 CAÍDAS .................................................................................................................................... 44 3.1 Generalidades .............................................................................................................. 44 3.1.1 Caídas rectangulares inclinadas .................................................................... 45 3.1.2 Procedimiento de cálculo ................................................................................ 51 CAPITULO 4 ................................................................................................................................ 64 4 ESTRUCTURAS DE CAPTACIÓN .......................................................................................... 64 4.1 ESTIMACIÓN DEL ANCHO DE ENCAUZAMIENTO [Br] ........................................ 64 4.2 CALCULO DEL TIRANTE NORMAL DEL RÍO [Ynr] .................................................. 65 4.3 DISEÑO DE LA COMPUERTA DE REGULACIÓN ..................................................... 66 4.4 DISEÑO DE LAS VENTANAS DE CAPTACIÓN .......................................................... 69
  • 2.
    Universidad José CarlosMariátegui DISEÑO DE ESTRUCTURAS HIDRÁULICAS 4.5 CALCULO DE LA ALTURA DE MUROS, PANTALLA FRONTAL Y MURO DE TRANSICIÓN ............................................................................................................................... 71 4.6 DISEÑO DEL BARRAJE .................................................................................................. 73 4.7 DISEÑO DE LA POZA DISIPADORA DE ENERGÍA ................................................... 74 CAPITULO 5 ................................................................................................................................ 77 5 ESTRUCTURAS VARIAS .......................................................................................................... 77 5.1 VERTEDEROS LATERALES.............................................................................................. 77 5.2 DISIPADORES DE ENERGÍA ......................................................................................... 81 5.2.1 Cuenco Disipador Tipo 1 ................................................................................... 83 5.2.2 Cuenco Disipador Tipo 2 ................................................................................... 84 5.2.3 Cuenco Disipador Tipo 3 ................................................................................... 88 5.2.4 Cuenco Disipador Tipo 4 ................................................................................... 90 5.2.5 Disipador de Pantalla ......................................................................................... 92 5.2.6 Trampolín Sumergido .......................................................................................... 95 5.2.7 Dados Disipadores ............................................................................................... 98 CAPITULO 6 .............................................................................................................................. 103 6 DISEÑO ESTRUCTURAL DE ESTRUCTURAS HIDRAULICAS ............................................ 103 6.1 CRITERIOS Y DATOS TÉCNICOS PARA EL DISEÑO ............................................... 103 2 ING. OMAR FRANCISCO CASTRO ZEBALLOS
  • 3.
    Universidad José CarlosMariátegui DISEÑO DE ESTRUCTURAS HIDRÁULICAS 1 ECUACIONES BÁSICAS DE LA HIDRÁULICA 3 CAPITULO 1 ING. OMAR FRANCISCO CASTRO ZEBALLOS 1.1 Introducción En el presente apartado se enuncian o derivan las ecuaciones básicas de la hidráulica, como así también se desarrollan los conceptos teóricos necesarios para el análisis del flujo en canales abiertos, quedando definido de esta forma un marco teórico que sirve de base para la comprensión de los temas desarrollados en los apartados subsiguientes. 1.2 Flujo en canales abiertos y su clasificación El flujo en canal abierto debe tener una superficie libre y está sometido a la presión atmosférica. Con el propósito de simplificación se puede suponer que el flujo es paralelo y que tiene una distribución de velocidades uniforme y que la pendiente del canal es pequeña. En este caso, la superficie de agua es la línea de gradiente hidráulico y la profundidad del agua corresponde a la altura piezométrica; si el flujo fuera curvilíneo o la pendiente del canal fuera alta, la altura piezométrica sería diferente a la profundidad del flujo, la línea de gradiente hidráulico no coincidirá exactamente con la superficie del canal (Chow, 1994).
  • 4.
    Universidad José CarlosMariátegui DISEÑO DE ESTRUCTURAS HIDRÁULICAS Las condiciones de flujo en canales abiertos se complican por el hecho que la superficie libre puede cambiar con el tiempo y en el espacio y también por el hecho de que la profundidad del flujo, el caudal y las pendientes de fondo del canal y de la superficie libre son independientes. La rugosidad de un canal abierto varía con la posición de la superficie libre. El flujo en un conducto cerrado, no es necesariamente flujo en tubería, si tiene una superficie libre puede clasificarse como flujo en canal abierto, por ejemplo alcantarillado de aguas de lluvia. Según Chow (1994) los canales pueden clasificarse como: 4 ING. OMAR FRANCISCO CASTRO ZEBALLOS • Canales a cielo abierto • Canales cerrados 1.2.1 Clasificación de canales según el tipo de escurrimiento Según el tipo de flujo se los puede clasificar en: Para distinguir si un flujo es permanente o no permanente se tiene como criterio el tiempo. Flujo permanente: si la profundidad de flujo no cambia o puede suponerse constante durante el intervalo de tiempo en consideración. Flujo no permanente: cuando la profundidad cambia con el tiempo. Por ejemplo en el caso de crecientes y oleadas, el nivel del flujo cambia de manera instantánea a medida que pasan las ondas y el tiempo se vuelve de importancia para el diseño de estructuras de control.
  • 5.
    Universidad José CarlosMariátegui DISEÑO DE ESTRUCTURAS HIDRÁULICAS Para distinguir si el flujo es uniforme o variado se tiene como criterio el espacio. Flujo uniforme: si la profundidad del flujo es la misma en cada sección del canal. Flujo uniforme permanente: la profundidad del flujo no cambia durante el intervalo de tiempo en consideración. Flujo uniforme no permanente: la superficie del agua fluctúa de un tiempo a otro, pero permaneciendo paralela al fondo del canal. Es prácticamente imposible. Flujo variado: la profundidad del flujo cambia a lo largo del canal. Se presenta en cunetas, a lo largo de carreteras, en vertederos de canal lateral, en canaletas de aguas de lavado de filtros, canales principales de riego, canales de efluentes alrededor de plantas de tratamiento de líquidos residuales, en drenaje de sistemas de irrigación, etc. 5 ING. OMAR FRANCISCO CASTRO ZEBALLOS
  • 6.
    Universidad José CarlosMariátegui DISEÑO DE ESTRUCTURAS HIDRÁULICAS Flujo rápidamente variado: si la profundidad del agua cambia de manera abrupta en distancias comparativamente cortas. Otra clasificación depende de los estados de flujo. El estado o comportamiento de flujo en canales abiertos está gobernado básicamente por los efectos de la gravedad y la viscosidad en relación con las fuerzas inerciales del flujo. Efectos de la viscosidad: según los efectos de la viscosidad se pueden clasificar los flujos como turbulentos, laminares y de transición (Chow,1994). Flujo laminar: ocurre cuando las fuerzas viscosas son muy fuertes en relación con las fuerzas inerciales. Las partículas de 6 ING. OMAR FRANCISCO CASTRO ZEBALLOS
  • 7.
    Universidad José CarlosMariátegui DISEÑO DE ESTRUCTURAS HIDRÁULICAS agua se mueven en trayectorias suaves definidas o líneas de corriente y las capas de fluido con espesor infinitesimal parecen deslizarse sobre capas adyacentes. Flujo turbulento: se presenta si las fuerzas viscosas son débiles respecto de las fuerzas inerciales. Las partículas del agua se mueven en trayectorias irregulares, que no son suaves ni fijas, pero que en conjunto todavía representan el movimiento hacia adelante de la corriente en su conjunto. Este efecto se representa por el número de Reynolds: Donde: V es la velocidad del flujo, L es una longitud característica, la cual es considerada igual al radio hidráulico de un conducto, y υ (nu) es la viscosidad cinemática del agua. Si R es mayor que 500 el flujo se considera turbulento. La longitud de las secciones (L) es el radio hidráulico, para secciones suficientemente anchas el radio hidráulico es aproximadamente igual al tirante. Efectos de la gravedad: se representa por el número de Froude (relación entre fuerzas inerciales y gravitatorias) 7 ING. OMAR FRANCISCO CASTRO ZEBALLOS D : la profundidad hidráulica (A/B). : Velocidad de las ondas de perturbación (causada por perturbaciones u obstáculos en el canal, que causan un desplazamiento del agua por encima y por debajo del nivel medio de la superficie y por consiguiente crean ondas que ejercen peso o fuerza gravitacional). F = 1 : Velocidad del agua igual a la velocidad de la onda de perturbación. Flujo crítico. F < 1 : Velocidad del agua menor a la velocidad de la onda de perturbación. Flujo subcrítico. El flujo tiene una velocidad baja, se describe como tranquilo y de corriente lenta.
  • 8.
    Universidad José CarlosMariátegui DISEÑO DE ESTRUCTURAS HIDRÁULICAS F > 1 : Velocidad del agua mayor a la velocidad de la onda de perturbación. Flujo supercrítico. El flujo tiene alta velocidad y se describe como rápido, ultrarrápido y torrencial. La onda gravitacional puede prolongarse hacia aguas arriba en un canal con flujo subcrítico, pero no puede hacerlo en un canal con flujo supercrítico, debido a que la celeridad es mayor que la velocidad del flujo en el primer caso y menor en el segundo. 8 ING. OMAR FRANCISCO CASTRO ZEBALLOS 1.3 Canales abiertos y sus propiedades Un canal abierto es un conducto por el cual el agua fluye con una superficie libre.
  • 9.
    Universidad José CarlosMariátegui DISEÑO DE ESTRUCTURAS HIDRÁULICAS 9 ING. OMAR FRANCISCO CASTRO ZEBALLOS 1.3.1 Canales artificiales Según su revestimiento se los puede clasificar como (Chow,1994): Sin revestimiento: son más baratos, pero pueden presentar pérdidas por infiltración, para evitar esto último se los puede compactar o darles una precarga. Con revestimiento: tienen una menor rugosidad, y secciones más chicas. Pueden ser revestidos de hormigón, mampostería de ladrillo, mampostería de piedra bola, de laja, con membranas asfálticas (flexible), con membranas plásticas (flexible) o con suelo arcilloso. Según su destino: • Canales de centrales hidroeléctricas. • Canal de riego: pasan por el punto más alto para distribuir el agua de riego. • Canal de drenaje: van por los lugares más bajos. • Canal de navegación: velocidad y profundidad acordes a las embarcaciones que lo navegan. • Canales de desagües pluviales: aumentan el caudal a lo largo del recorrido. • Vertederos • Cunetas a lo largo de carreteras • Canaletas de madera. • Etc. Geometría del canal Un canal construido con una sección transversal invariable y una pendiente de fondo constante se conoce como canal prismático. De otra manera el canal es no prismático, por ejemplo un vertedero de ancho variable y alineamiento curvo (Chow,1994). Según su forma: Trapecial Forma más común para canales con bancas en tierra sin recubrimiento, debido a que proveen las pendientes necesarias para la estabilidad.
  • 10.
    Universidad José CarlosMariátegui DISEÑO DE ESTRUCTURAS HIDRÁULICAS Rectangular Se utiliza para canales construidos con materiales estables, como mampostería, roca, metal o madera. Triangular Se utiliza para pequeñas acequias, cunetas a lo largo de carreteras y trabajo de laboratorio. Produce autolimpieza y es de fácil aforo. Circular El máximo caudal se presenta para un tirante igual al 94 % del diámetro. Se calcula a sección llena. Es la sección más común para alcantarillas de tamaño pequeño y mediano. Parabólico Se utiliza como una aproximación de canales naturales de tamaños pequeños y medianos. Tolva Es una sección triangular con fondo redondeado. Es una forma creada con la utilización de excavadoras y produce autolimpieza. 10 ING. OMAR FRANCISCO CASTRO ZEBALLOS
  • 11.
    Universidad José CarlosMariátegui DISEÑO DE ESTRUCTURAS HIDRÁULICAS 11 ING. OMAR FRANCISCO CASTRO ZEBALLOS Rectangular de esquinas redondeadas Otros canales Se utilizan en alcantarillas de aguas negras, los caudales producen la autolimpieza. Elementos geométricos de una sección de canal: Tirante (y): es la distancia vertical desde el punto más bajo de una sección del canal hasta la superficie libre. Profundidad de flujo de la sección (d): profundidad de flujo medida perpendicular altura de la sección del canal que contiene agua. Nivel: elevación o distancia vertical desde un nivel de referencia hasta la superficie libre. Ancho superficial (B): ancho de la sección del canal en la superficie libre. Área mojada (A): área de la sección transversal del flujo perpendicular a la dirección del mismo. Perímetro mojado (P): longitud de la línea de intersección de la superficie del canal mojada y de un plano transversal perpendicular a la dirección del flujo.
  • 12.
    Universidad José CarlosMariátegui DISEÑO DE ESTRUCTURAS HIDRÁULICAS Radio hidráulico (R): relación entre el área mojada y el perímetro mojado (A/P). Profundidad hidráulica (D): relación entre el área mojada y el ancho superficial (A/B). 12 ING. OMAR FRANCISCO CASTRO ZEBALLOS Factor de sección para flujo crítico (Z): A ⋅ (D)^0.5 Inclinación del talud (m): ángulo de reposo del terreno en condiciones de saturación. Cuanto más tendido, más estable. Una equivocación en la determinación de “m” puede significar el deslizamiento del talud. Revancha (r) 1.3.2 Distribución de velocidades en una sección de canal Debido a la presencia de la superficie libre y a la fricción a lo largo de las paredes del canal, las velocidades en un canal no están uniformemente distribuidas en su sección. La máxima velocidad medida en canales normales a menudo ocurre por debajo de la superficie libre a una distancia de 0,05 a 0,25 de la profundidad, cuanto más cerca de las bancas, más profundo se encuentra este máximo. En una corriente ancha, rápida, y poco profunda o en un canal muy liso, la velocidad máxima por lo general se encuentra en la superficie libre (Chow,1994).
  • 13.
    Universidad José CarlosMariátegui DISEÑO DE ESTRUCTURAS HIDRÁULICAS La rugosidad del canal causa un incremento en la curvatura de la distribución vertical de velocidades. El viento en la superficie tiene muy poco efecto en la distribución de velocidades. En canales abiertos anchos la distribución de velocidades en la región central de la sección es en esencia la misma que existiría en un canal rectangular de ancho infinito, los lados del canal no tienen prácticamente ninguna influencia en la distribución de velocidades en la región central. En canal abierto ancho es similar a un canal rectangular cuyo ancho es mayor que diez veces la profundidad del flujo. Para la variación de la velocidad la sección transversal del canal se divide en fajas verticales por medio de un determinado número de verticales sucesivas, y las velocidades medias en las verticales se determinan midiendo la velocidad a un 60% de la profundidad en cada vertical, o tomando el promedio de las velocidades a un 20% y 80% de la profundidad. 13 ING. OMAR FRANCISCO CASTRO ZEBALLOS
  • 14.
    Universidad José CarlosMariátegui DISEÑO DE ESTRUCTURAS HIDRÁULICAS 14 ING. OMAR FRANCISCO CASTRO ZEBALLOS 1.3.3 Coeficientes de distribución de velocidades Como resultado de la distribución no uniforme de velocidades en la sección de un canal, la altura de velocidad de un flujo en canales abiertos es por lo general mayor que V²/2—g, siendo V la velocidad media. Cuando se utiliza el principio de energía la altura de velocidad real puede expresarse como αV²/2—g, siendo α el coeficiente de energía o de Coriolis, cuyo valor varía entre 1,03 y 1,36 para canales prismáticos. El valor de α es alto para canales pequeños y bajo para corrientes grandes con profundidad considerable. La distribución no uniforme de velocidades también afecta el cálculo de la cantidad de movimiento en flujo en canales abiertos. β es el coeficiente de cantidad de movimiento o coeficiente de Boussinesq que varía entre 1,01 u 1,12. Los dos coeficientes son siempre un poco mayores que el valor límite de la unidad, para lo cual la distribución de velocidades es uniforme a través de la sección del canal. Para canales de sección transversal rectangular y alineamiento más o menos recto, los coeficientes se suponen iguales a uno. En canales con secciones transversales complejas, los coeficientes son altos y pueden variar con rapidez de una sección a otra en el caso de alineamientos irregulares. Aguas arriba de vertederos, en la vecindad de obstrucciones o cerca de irregularidades pronunciadas en el alineamiento, se han observado valores de α mayores que 2. Con respecto al efecto de la pendiente del canal, los coeficientes por lo general son mayores en canales empinados que en canales con pendientes suaves. 1.4 Energía del flujo en canales abiertos La energía total del agua de cualquier línea de corriente que pasa a través de una sección del canal puede expresarse como la altura total en metros
  • 15.
    Universidad José CarlosMariátegui DISEÑO DE ESTRUCTURAS HIDRÁULICAS de agua, que es igual a la suma de la elevación por encima del nivel de referencia, la altura de presión y la altura de velocidad. Como se puede observar en la figura tomada de Chow (1994), con respecto al plano de referencia, la altura total H de una sección O que contiene al punto A en una línea de corriente del flujo de un canal de pendiente alta se puede escribir de la siguiente manera: zA : elevación del punto A por encima del plano de referencia. dA : profundidad del punto A por debajo de la superficie medida a lo 15 ING. OMAR FRANCISCO CASTRO ZEBALLOS largo de la sección del canal. θ : ángulo de la pendiente del fondo del canal VA²/2g : altura de velocidad del flujo en la línea de corriente que pasa por H. En general, cada línea de corriente que pasa a través de una sección del canal tendrá una altura de velocidad diferente debido a la distribución no uniforme de velocidades. Con el fin de tener en cuenta esta distribución, puede utilizarse el coeficiente de energía para corregir ese efecto.
  • 16.
    Universidad José CarlosMariátegui DISEÑO DE ESTRUCTURAS HIDRÁULICAS Para canales con pendiente baja θ≅0. Luego la energía total en la sección del canal es: Si se considera un canal prismático, como el de la figura, la línea que representa la elevación del de la altura total del flujo es la línea de energía. La pendiente de esa línea (Sf) se conoce como gradiente de energía. La pendiente de la superficie de agua se representa por Sw y la de fondo por So. De acuerdo con el principio de conservación de energía, la altura de energía total en la sección 1 localizada aguas arriba debe ser igual a la altura energía total en la sección 2 localizada aguas abajo más la pérdida de energía hf entre las dos secciones. Cuando hf=0 y α1=α2=1 la ecuación de energía se convierte en la ecuación de Bernoulli. 16 ING. OMAR FRANCISCO CASTRO ZEBALLOS 1.5 Cantidad de movimiento del flujo en canales abiertos La cantidad de movimiento que pasa a través de una sección del canal por unidad de tiempo se expresa por: siendo β el coeficiente de cantidad de movimiento.
  • 17.
    Universidad José CarlosMariátegui DISEÑO DE ESTRUCTURAS HIDRÁULICAS El cambio de la cantidad de movimiento por unidad de tiempo es igual a la resultante de fuerzas externas actuantes sobre el cuerpo. Siendo W el peso del agua contenido entre las secciones y Ff es la fuerza de fricción y de resistencia externas a lo largo de la superficie de contacto. Si el flujo es paralelo o gradualmente variado P1 y P2 se calculan considerando una distribución hidrostática de presiones. Si esto no ocurre se remplazan P1 y P2 por β’1—P1 y β’2—P2 , donde β’1 y β’2 son los coeficientes de distribución de presiones o de fuerza ya que P1 y P2 son fuerzas. La ecuación de cantidad de movimiento es similar a la ecuación de energía para flujo gradualmente variado (β’=1) y si suponemos pendiente baja y ancho b tenemos: 17 ING. OMAR FRANCISCO CASTRO ZEBALLOS Remplazando en la ecuación principal se obtiene:
  • 18.
    Universidad José CarlosMariátegui DISEÑO DE ESTRUCTURAS HIDRÁULICAS En la ecuación de energía hf mide la energía interna disipada en la masa completa del agua dentro del tramo. En la ecuación de cantidad de movimiento h’f mide las pérdidas debidas a fuerzas externas ejercidas por el agua sobre la pared del canal. En flujo uniforme hf y h’f toman el mismo valor. La distinción entre la ecuación de energía y cantidad de movimiento reside en que la primera es una cantidad escalar y la segunda una cantidad vectorial; la ecuación de energía contiene un término para pérdidas internas (hf), en tanto que la ecuación de cantidad de movimiento contiene un término para la resistencia externa (h’f). El principio de cantidad de movimiento tiene ventajas de aplicación a problemas que involucren grandes cambios en la energía interna (un ejemplo típico es el caso del resalto hidráulico). 18 ING. OMAR FRANCISCO CASTRO ZEBALLOS 1.6 Flujo crítico El estado crítico de flujo ha sido definido como la condición para la cual el número de Froude es igual a la unidad. Una definición más común, es el flujo para el cual la energía especifica es mínima para un caudal determinado (Chow, 1994). Si suponemos un canal con pendiente baja y α=1, utilizando la ecuación de continuidad donde Q = V/A y remplazando en la ecuación de energía se tiene: derivando respecto a “y” con el caudal constante El diferencial de área mojada cerca de la superficie libre es igual a B—dy, entonces dA/dy = B, y la profundidad hidráulica es D = A/B, luego la ecuación anterior se convierte en:
  • 19.
    Universidad José CarlosMariátegui DISEÑO DE ESTRUCTURAS HIDRÁULICAS En el estado crítico de flujo la energía especifica es mínima, o dE/dy = 0. La anterior ecuación queda: Este es el criterio para flujo crítico, el cual establece que en el estado crítico del flujo la altura de velocidad es igual a la mitad de la profundidad hidráulica. La ecuación anterior también puede escribirse como ⇒ F = 1 que es la definición de flujo crítico dada anteriormente. Si el criterio anterior va ha utilizarse en cualquier problema, deben satisfacerse las siguientes condiciones: 19 ING. OMAR FRANCISCO CASTRO ZEBALLOS 1) Flujo paralelo gradualmente variado, 2) Canal con pendiente baja, 3) Coeficiente de energía igual a uno. Si α es distinto de uno y θ grande, el criterio de flujo crítico es: En este caso el número de Froude puede definirse como: Las características del flujo crítico son: La energía específica es mínima para un caudal determinado. El caudal es máximo para una determinada energía específica. La fuerza específica es mínima para un caudal determinado. La altura de velocidad es igual a la mitad de la profundidad hidráulica en un canal de baja pendiente.
  • 20.
    Universidad José CarlosMariátegui DISEÑO DE ESTRUCTURAS HIDRÁULICAS 20 ING. OMAR FRANCISCO CASTRO ZEBALLOS El número de Froude es igual a la unidad. La velocidad de flujo en un canal de baja pendiente con distribución uniforme de velocidades es igual a la celeridad de pequeñas ondas gravitacionales en aguas poco profundas causadas por perturbaciones locales. Si el estado crítico del flujo existe a través de toda la longitud del canal o a lo largo de un tramo de este, el flujo en el canal es un flujo crítico. La pendiente del canal que mantiene un determinado caudal con una profundidad uniforme y crítica se conoce como pendiente crítica. Una pendiente menor que la crítica producirá un flujo más lento de naturaleza subcrítica para un caudal determinado y la pendiente será suave o subcrítica. Una pendiente mayor que la crítica producirá un flujo más rápido de naturaleza supercrítica y se conoce como pendiente empinada o supercrítica. La condición de flujo en un canal subcrítico se afecta por las condiciones aguas abajo; en un canal supercrítico o en el lugar donde el agua entra al canal, la condición de flujo depende por completo de las condiciones de aguas arriba. El control de flujo se localiza en el extremo de aguas abajo para canales con pendiente subcrítica y en el extremo de aguas arriba para canales con pendientes supercríticas. Un flujo en estado crítico o cerca de él es inestable. Esto se debe a que un pequeño cambio de energía específica en estado crítico o cerca de él, producirá un cambio grande en la profundidad. Cuando el flujo está cerca del estado crítico, la superficie del agua aparece inestable y ondulada. Estos cambios de energía son causados por variaciones en la rugosidad del canal, la sección transversal, la pendiente o algunos depósitos de sedimentos o basuras. 1.7 El resalto hidráulico y su uso como disipador de energía Cuando el cambio rápido en la profundidad de flujo es desde un nivel bajo a un nivel alto, a menudo el resultado es una subida abrupta de la superficie del agua. Este fenómeno local se conoce como resalto hidráulico.
  • 21.
    Universidad José CarlosMariátegui DISEÑO DE ESTRUCTURAS HIDRÁULICAS Se produce generalmente luego del paso por una compuerta, aguas abajo de un vertedero o cuando la pendiente alta se vuelve casi horizontal. Un resalto ondulatorio es un resalto bajo, con un pequeño cambio en la profundidad, el agua no sube abruptamente, sino con ondulaciones; un resalto directo es alto, con gran cambio de profundidad y mucha pérdida de energía. 21 ING. OMAR FRANCISCO CASTRO ZEBALLOS El resalto, según Chow (1994), se utiliza para: 1. Disipar la energía del agua que fluye sobre presas, vertederos y otras estructuras y prevenir la erosión aguas abajo. 2. Aumentar el nivel de agua aguas abajo de una canaleta de medición y mantener un nivel alto del agua en el canal de irrigación o de cualquier estructura para distribución de agua. 3. Incrementar el peso sobre la zona de aguas abajo de una estructura de mampostería y reducir la presión hacia arriba bajo dicha estructura, aumentando la profundidad del agua en su zona de agua abajo. 4. Aumentar el caudal por debajo de una compuerta deslizante manteniendo alejada la profundidad de aguas abajo, debido a que la altura efectiva se reducirá si la profundidad de aguas abajo ahoga el resalto. 5. Para indicar condiciones especiales de flujo, como la existencia de flujo supercrítico o la presencia de una sección de control, de tal manera que puede localizarse una estación de aforo. 6. Mezclar químicos utilizados para la purificación de agua y casos similares. 7. Airear el agua en sistemas de suministros urbanos. 8. Remover bolsas de aire en las líneas de suministro de agua y prevenir el taponamiento por aire.
  • 22.
    Universidad José CarlosMariátegui DISEÑO DE ESTRUCTURAS HIDRÁULICAS 22 ING. OMAR FRANCISCO CASTRO ZEBALLOS 1.7.1 Resalto en canales rectangulares Un resalto se producirá si el número de Froude (F1) del flujo, la profundidad del flujo (y1) y la profundidad del flujo (y2) aguas abajo, satisfacen la ecuación. 1.7.2 Características básicas del resalto para canales rectangulares Pérdida de energía: en el resalto la pérdida de energía específica es igual a la diferencia de las energías específicas antes y después del resalto. Eficiencia: la relación entre la energía específica antes y después del resalto se define como la eficiencia del resalto. La ecuación de eficiencia indica que la eficiencia de un resalto es una función adimensional, que depende sólo del número de Froude del flujo de aproximación. La pérdida relativa es igual a 1-E2/E1; y también es una función adimensional de F1. Altura del resalto: la diferencia entre las profundidades antes y después del resalto es la altura del resalto, o hj = y2–y1. Al expresar cada término como la relación con respecto a la energía específica inicial queda: 1.7.3 Longitud del resalto Puede definirse como la distancia medida desde la cara frontal del resalto hasta un punto en la superficie inmediatamente aguas abajo del remolino.
  • 23.
    Universidad José CarlosMariátegui DISEÑO DE ESTRUCTURAS HIDRÁULICAS Esta longitud es difícil de determinar. Los datos experimentales sobre la longitud del resalto pueden graficarse, como se muestra en la siguiente figura tomada de Chow (1994), con el número de Froude contra una relación adimensional: 23 ING. OMAR FRANCISCO CASTRO ZEBALLOS 1.7.4 El perfil superficial El conocimiento del perfil superficial de un resalto es necesario en el diseño del borde libre para los muros laterales del cuenco disipador donde ocurre el resalto. También es importante para determinar la presión que debe utilizarse en el diseño estructural, ya que la presión vertical en el piso horizontal bajo un resalto hidráulico es prácticamente la misma que indicaría el perfil de la superficie del agua.
  • 24.
    Universidad José CarlosMariátegui DISEÑO DE ESTRUCTURAS HIDRÁULICAS 24 ING. OMAR FRANCISCO CASTRO ZEBALLOS 1.7.5 Localización del resalto Caso A Mediante prueba y error puede determinarse una intersección horizontal entre las curvas A’B y CD igual a la longitud del resalto. Por ejemplo, la distancia horizontal EF es igual a dicha longitud, correspondiente a la profundidad y2 en F. El resalto se forma entre G y F, debido a que la profundidad en F es secuente a la profundidad G y a que la distancia EF mide la longitud del resalto. Puede verse que al incrementar la profundidad del agua hacia aguas abajo o al subir la curva CD, el resalto puede moverse hacia aguas arriba. La profundidad de aguas abajo puede subirse hasta una altura para la cual el resalto eventualmente se ahogue al frente de la compuerta deslizante. Al bajar la profundidad de aguas abajo o al disminuir CD el resalto se moverá hacia aguas abajo (Chow, 1994). Caso B El resalto puede ocurrir en el canal empinado o en el suave, según si la profundidad aguas abajo y2 es mayor o menor que la profundidad y1’ secuente a la profundidad aguas arriba y1. Si la profundidad y2y1, el resalto ocurrirá en la región empinada. Se determina una intersección horizontal IJ entre A’P y CO, la cual es igual a la longitud del resalto. Si la profundidad y2 se baja a aproximadamente algo menor que y1’, el resalto empezará a moverse dentro del canal suave, ubicándose como en el caso A.
  • 25.
    Universidad José CarlosMariátegui DISEÑO DE ESTRUCTURAS HIDRÁULICAS 25 ING. OMAR FRANCISCO CASTRO ZEBALLOS Caso C Este caso muestra el resalto por detrás de una barrera de rebase. En teoría, se formará un resalto si la profundidad en la barrera es mayor que la profundidad secuente y1’ correspondiente a la profundidad supercrítica de aproximación y1. La localización del resalto es igual a la del caso B si este ocurre en la región empinada. Al aumentar la altura de la barrera el resalto se moverá hacia aguas arriba. Al disminuir, se moverá hacia aguas abajo. Cuando la profundidad de la barrera es menor que la secuente y1’, la barrera será sobrepasada por una “oleada estacionaria” en la forma de un ascenso superficial ondular solitario, a la que no seguirán ondulaciones adicionales.
  • 26.
    Universidad José CarlosMariátegui DISEÑO DE ESTRUCTURAS HIDRÁULICAS 26 ING. OMAR FRANCISCO CASTRO ZEBALLOS 1.7.6 El resalto como disipador de energía Su merito esta en prevenir la posible erosión aguas abajo de un vertedero, rápidas y compuertas deslizantes, debido a que reducen rápidamente la velocidad del flujo sobre un piso protegido hasta un punto donde el flujo pierde su capacidad de socavar el lecho del canal natural aguas abajo. El resalto hidráulico utilizado como disipador de energía a menudo se confina parcial o totalmente en un tramo del canal que se conoce como “cuenco de disipación”, cuyo fondo se recubre para resistir la socavación. El cuenco disipador rara vez se construye para confinar toda la longitud del resalto, debido al costo que significaría. Generalmente se instalan accesorios para controlar el resalto dentro del cuenco. El control tiene ventajas adicionales, debido a que mejora la función de disipación del cuenco, estabiliza la acción del resalto y, en algunos casos, incrementa el factor de seguridad (Chow, 1994). En el diseño del cuenco disipador debe considerarse: Posición del resalto: existen tres casos que permiten que el resalto se forme aguas abajo de la fuente.
  • 27.
    Universidad José CarlosMariátegui DISEÑO DE ESTRUCTURAS HIDRÁULICAS 27 ING. OMAR FRANCISCO CASTRO ZEBALLOS Condiciones a la salida.
  • 28.
    Universidad José CarlosMariátegui DISEÑO DE ESTRUCTURAS HIDRÁULICAS 28 ING. OMAR FRANCISCO CASTRO ZEBALLOS Tipos de resaltos y recomendaciones. 1. Todos los tipos de resalto se encuentran en el diseño de cuencos disipadores. 2. El resalto débil no requiere bloques o consideraciones especiales. 3. El resalto oscilante es difícil de manejar. 4. No se encuentra una dificultad particular para el resalto estacionario. 5. Con el aumento del número de Froude, el resalto se vuelve más sensible a la profundidad de salida. 6. Cuando el número de Froude es mayor a 10, un cuenco disipador puede no ser lo más económico. 1.8 Medición de flujo La selección del sitio para el aforo suele determinarse por las necesidades del personal que maneja el uso del agua.
  • 29.
    Universidad José CarlosMariátegui DISEÑO DE ESTRUCTURAS HIDRÁULICAS Un punto a tener en cuenta al realizar el aforo es seleccionar el lugar donde este ha de realizarse, para ello es necesario tener en presente las siguientes características: • El canal debe ser geométricamente estable, es ideal una margen con rocas o cascada. Si el fondo es móvil elegir un tramo lo más uniforme posible. • Establecer una sección de control artificial. • Tener en cuenta la posibilidad de que el sitio se vea afectado por el flujo variado de tributarios aguas abajo, presas, mareas, etcétera. • Cerca del sitio de aforo debe existir una sección transversal donde se 29 ING. OMAR FRANCISCO CASTRO ZEBALLOS puedan aforar confiablemente los caudales. • Tener en cuenta la posibilidad de que el flujo rodee el lugar del aforador a través de canales de inundación o como flujo subterráneo. • Debe existir proximidad a líneas telefónicas y eléctricas. • Comunicación por caminos. • Se debe disponer de estructuras adecuadas para avenidas extremas. • Si se ubica una estación de aforo permanente, el sitio tiene que localizarse correctamente respecto a la sección en la que se va a medir y con la posición que controla la relación elevación-caudal. Una de las características al seleccionar el lugar de aforo es el establecimiento de secciones artificiales, para estas es importante tener presente las siguientes recomendaciones: • La estructura de la sección de control no debe producir disturbios en el flujo aguas arriba o aguas abajo de la sección. • La estructura debe tener la suficiente altura para eliminar los efectos causados por las condiciones variables aguas abajo. • La estructura debe diseñarse para que un cambio pequeño a bajos niveles de flujo provoquen cambios mensurables en el nivel de agua. • La estructura debe ser estable y asegurar permanencia en condiciones extremas. Dentro de los distintos sistemas de medición de flujo podemos encontrar: caja de control, vertederos (la ventaja es que no se encuentra influenciado aguas abajo, sin embargo con este sistema se pierde altura de carga, se
  • 30.
    Universidad José CarlosMariátegui DISEÑO DE ESTRUCTURAS HIDRÁULICAS producen zonas muertas aguas arriba de la instalación), compuertas de fondo u orificios, canaleta Parshall o canaleta Parshall modificado, alcantarillas y pilas de puente. En los vertederos y compuertas de fondo u orificios se genera la sección crítica. En las alcantarillas se tiene controlada la sección y en las pilas de puente también está la sección controlada debido a que está determinada por la pila. A continuación se describirán dos de los sistemas utilizados: vertederos y orificios. 30 ING. OMAR FRANCISCO CASTRO ZEBALLOS 1.8.1 Orificios Si se considera un recipiente lleno de un líquido, en cuya pared lateral se ha practicado un orificio de pequeñas dimensiones (en comparación con su profundidad H) y cualquier forma. El orificio descarga un caudal Q cuya magnitud se desea calcular, para lo cual se supone que el nivel del agua en el recipiente permanece constante por efecto de la entrada de un caudal idéntico al que sale; o bien porque posea un volumen muy grande. Además, el único contacto entre el líquido y la pared debe ser alrededor de una arista afilada, como se muestra en la figura, es decir un orificio de pared delgada. Las partículas de líquido en la proximidad del orificio se mueven aproximadamente en dirección al centro del mismo, de modo que por efecto de su inercia, la deflexión brusca que sufren produce una contracción del chorro, la cual se alcanza en la sección 2. A esta sección se la llama contraída y tiene un área Ac inferior al área A del orificio. En ella las velocidades de las partículas son prácticamente uniformes y con un valor medio V (French, 1993). Suponiendo un plano de referencia que coincida con el centro de gravedad del orificio, al aplicar la ecuación de Bernoulli entre las secciones
  • 31.
    Universidad José CarlosMariátegui DISEÑO DE ESTRUCTURAS HIDRÁULICAS 1 y 2 de una vena líquida y considerando despreciable la velocidad de llegada al orificio, se llega a: Esta última ecuación indica que la velocidad sigue una ley parabólica con la profundidad y en este caso la velocidad media V se calcula con la profundidad media del orificio y corresponde a su centro de gravedad, no obstante que las velocidades de las partículas arriba de ese punto son menores, y abajo, mayores. Esto tendrá por supuesto mayor validez a medida que la dimensión transversal, no horizontal, del orificio sea mucho menor que la profundidad H del mismo. Los resultados obtenidos por esta ecuación concuerdan con los obtenidos experimentalmente sólo si se corrigen, mediante un coeficiente Cv llamado de velocidad, en la forma , donde Cv, coeficiente adimensional, es igual al cociente entre la velocidad real y la teórica, varía entre 0,95 y 0,99, es de tipo experimental y además corrige el error de no considerar tanto la pérdida de energía bhv, como los coeficientes α1 y α2. Si el área de la sección contraída (Ac) se calcula en términos de la del orificio(A), por medio de un coeficiente Cc llamado de contracción, en la forma Ac = Cc — A, el caudal descargado por el orificio es entonces , con un coeficiente de descarga Cd = Cv—Cc. El caudal, entonces, se calcula con la ecuación general de un orificio de pared delgada: . Conviene aclarar que en las ecuaciones anteriores se consideró H como el desnivel entre la superficie libre y el centro de gravedad del orificio. Esto resultó de suponer que era despreciable la velocidad de llegada al orificio y que la presión sobre la superficie libre corresponde a la atmosférica. Cuando ello no acontece, H corresponde a la energía total, es decir a la suma de la profundidad del orificio, de la carga de la velocidad de llegada y de la carga de presión sobre la superficie del agua. 31 ING. OMAR FRANCISCO CASTRO ZEBALLOS
  • 32.
    Universidad José CarlosMariátegui DISEÑO DE ESTRUCTURAS HIDRÁULICAS 32 ING. OMAR FRANCISCO CASTRO ZEBALLOS 1.8.2 Vertederos El flujo en un canal abierto puede ser medido mediante un vertedor, que es una obstrucción hecha en el canal para que el líquido retroceda un poco atrás de ella y fluya sobre o a través de ella. Se llaman vertederos de cresta delgada los que son construidos con una hoja de metal u otro material, que permiten que el chorro o manto salga libremente y vertederos de cresta ancha a los que soportan el flujo en una dirección longitudinal (French, 1993). 1.8.3 Vertederos de cresta delgada Si la longitud de cresta del vertedero en la dirección del flujo es tal que H1/L es mayor que 15, entonces el vertedero se denomina de cresta delgada. En este caso se forma una zona de vacío debajo de la lámina vertedora. En la práctica, es necesario diseñar el vertedero de cresta delgada para que la presión en esta zona se mantenga constante, de otra forma se presentarán las siguientes características indeseables de operación: 1) Al decrecer la presión, la curvatura del chorro superior aumenta, por ende el valor del coeficiente de descarga también aumenta. 2) Si no hay suministro de aire a la zona de vacío, entonces el chorro vibrará y el flujo sobre el vertedor será no permanente. Si la frecuencia del suministro de aire, y de la estructura del vertedor son aproximadamente iguales, entonces la vibración del chorro puede causar la falla de la estructura. Para este tipo de aforadores, la ecuación de descarga se deduce al suponer que el vertedero se comporta como un orificio con una superficie libre de agua y que las siguientes suposiciones son válidas:
  • 33.
    Universidad José CarlosMariátegui DISEÑO DE ESTRUCTURAS HIDRÁULICAS a) La altura del nivel del agua sobre la cresta es h1 y no hay contracción. b) Las velocidades sobre la cresta del vertedor son casi horizontales. c) La carga de la velocidad de llegada puede despreciarse. La velocidad en un punto arbitrario en la sección de control, como se muestra en la figura tomada de French (1993), se encuentra a partir de la ecuación de Bernoulli como: La descarga total sobre el vertedero puede entonces obtenerse por integración. donde b(z) es igual al ancho del vertedor a la elevación z sobre la cresta de éste. En esta etapa, debe introducirse un coeficiente de gasto efectivo Ce para tomar en cuenta las suposiciones hechas, así la ecuación de descarga resultante es: 33 ING. OMAR FRANCISCO CASTRO ZEBALLOS 1.8.4 Vertederos de cresta ancha Un vertedero de cresta ancha, es una estructura con una cresta horizontal sobre la cual la presión del flujo se puede considerar hidrostática. Esta situación se presenta cuando, se satisface la siguiente desigualdad: 0,08 ≤ H1/L ≤ 0,5. Cuando la relación H1/L es menor que 0,08, no se pueden despreciar las pérdidas por fricción. Cuando H1/L es mayor que 0,5, entonces la curvatura de las líneas de flujo es de tal magnitud que invalida la suposición de distribución hidrostática de presiones (French, 1993).
  • 34.
    Universidad José CarlosMariátegui DISEÑO DE ESTRUCTURAS HIDRÁULICAS En la siguiente tabla se muestran las ecuaciones de caudal para vertederos rectangulares y triangulares de cresta ancha y delgada. 34 ING. OMAR FRANCISCO CASTRO ZEBALLOS
  • 35.
    Universidad José CarlosMariátegui DISEÑO DE ESTRUCTURAS HIDRÁULICAS 35 CAPITULO 2 ING. OMAR FRANCISCO CASTRO ZEBALLOS 2 SISTEMAS DE CONDUCCIÓN 2.1 Introducción En el presente apartado se tratarán los aspectos generales a tener en cuenta al proyectar un sistema de conducción, indicando las etapas previas al proceso de diseño. Se mencionaran las características principales de una obra de drenaje transversal, detallando los criterios funcionales a tener en cuenta al proyectar este tipo de obras. Por último se hará referencia a las distintas estructuras que forman parte de un sistema de conducción, detallando las características principales y funciones de cada una de ellas. 2.2 Condicionantes del Diseño El éxito del diseño hidráulico, radica en proveer una estructura con capacidad de descargar, económicamente, una cierta cantidad de agua dentro de límites establecidos de altura del nivel de las aguas y de velocidad (Dellavedoba y otros, 2000). El diseño de una estructura de cruce es un proceso que abarca no solamente el diseño hidráulico del conducto, sino que se refiere a las condiciones de ubicación de la estructura, tipo y forma de conducto, a los posibles daños que pueda ocasionar la erosión, al análisis integral de la obra, desde los puntos de vista de seguridad y a la justificación económica del diseño que se haya propuesto. El diseño de este tipo de obras requiere cumplimentar las siguientes etapas: Estudios previos: para cada estructura de cruce a realizar se debe obtener la siguiente información:
  • 36.
    Universidad José CarlosMariátegui DISEÑO DE ESTRUCTURAS HIDRÁULICAS 1) Estudios topográficos y geomorfológicos: planimetrías con curvas de nivel para determinar la cuenca de aporte. Si no se cuenta con la planimetría será necesario un relevamiento expeditivo. Si la cuenca es pequeña y visible, basta una estimación aproximada. Con la planimetría se debe obtener el perfil longitudinal y transversal del cauce para establecer el perfil del canal existente a la entrada y a la salida de las obras a realizar; y la sección transversal del terraplén donde irá colocada la obra, para definir cotas. 2) Estudios hidrológicos: datos meteorológicos; datos del comportamiento del cauce frente a las descargas, aguas permanentes, procesos erosivos, arrastres, naturaleza, dimensiones, cantidad, etc.; cota del nivel a la entrada a la cuenca hasta el nivel más alto de las aguas para determinar la capacidad de embalse; elevación máxima del agua en la llanura aguas abajo de la obra de drenaje, sujeta a inundaciones causadas por cualquier corriente de agua; características del escurrimiento de las cuencas de aporte; uso presente y futuro del terreno colindante; mediante observación, tipo de vegetación predominante en la cuenca de aporte. 3) Estudios geotécnicos: resistencia a la erosión del cauce y tensión 36 ING. OMAR FRANCISCO CASTRO ZEBALLOS admisible del suelo de fundación. Evaluación Hidrológica: se deberá estimar el caudal máximo de escurrimiento que se transportará a través de la obra de cruce. Emplazamiento: con la planimetría con curvas de nivel, el perfil longitudinal y tipo de suelo del cauce, y las condiciones emergentes del proyecto de la obra básica, se diseña el “sistema de drenaje” que será el encargado de “proteger” la obra lineal de los escurrimientos de las aguas superficiales, en donde queda predefinida la ubicación planialtimétrica de cada una de las obras particulares (progresiva, cotas, pendientes, etc.). Este emplazamiento previo podrá ser reajustado de acuerdo al tipo de obra de arte adoptada y a las condiciones que surjan del cálculo hidrológico e hidráulico. El alineamiento más adecuado se logra cuando la estructura se adapta a las condiciones topográficas del lugar, es decir que el eje de la obra coincide con el lecho de la corriente, para así evitar cambios bruscos de la corriente a la entrada y a la salida que modifiquen el escurrimiento natural. Además hay que contemplar el aspecto económico, por lo que la solución óptima se lograría cuando la corriente es perpendicular al eje
  • 37.
    Universidad José CarlosMariátegui DISEÑO DE ESTRUCTURAS HIDRÁULICAS del camino. De lo contrario suele disponerse la obra oblicuamente con respecto al eje original de la vía, modificar la dirección del cauce o combinar ambas soluciones (figura 1). 37 ING. OMAR FRANCISCO CASTRO ZEBALLOS
  • 38.
    Universidad José CarlosMariátegui DISEÑO DE ESTRUCTURAS HIDRÁULICAS El alineamiento oblicuo si bien aumenta la eficiencia hidráulica, también aumenta la longitud de la obra. Se justificará un cambio de dirección en el cauce, cuando el costo de esto, sea compensado por una disminución en la longitud, cuando es indispensable un cambio brusco de dirección, esté debe realizarse mediante curvas tan amplias como sea posible. Es importante tener en cuenta que cuando se modifica la dirección del cauce, es necesario proteger los taludes. 38 ING. OMAR FRANCISCO CASTRO ZEBALLOS 2.3 Obras de Drenaje Transversal La presencia de una carretera o cualquier otra obra lineal, como líneas férreas o ductos en general, interrumpe la red de drenaje natural del terreno (vaguada, cauces, arroyos, ríos). El objeto principal del drenaje transversal es restituir la continuidad de esa red, permitiendo su paso bajo (o sobre) la carretera en condiciones tales que se cumplan los criterios funcionales. También se aprovechan las obras de drenaje transversal para desaguar el drenaje de la calzada y sus márgenes. Si estuvieran muy alejadas entre sí, podrá ser necesario disponer obras de drenaje transversal exclusivamente para ese desagüe, siempre que se le pueda dar salida (http://www.miliarim.com). Las obras de drenaje transversal pueden dividirse en dos grupos: Las conocidas comúnmente por «pequeñas obras de desagüe», cuya sección resulta determinante para el desagüe del cauce, y que están generalmente provistas de una solera. Los puentes, viaductos y, en general, las obras de paso de grandes dimensiones –relacionadas con cauces y caudales más importantes y permanentes, mayor altura, etc.– cuya sección no resulta determinante para el desagüe del cauce, pero que presentan otros problemas (sobre elevaciones de la lámina de agua, erosiones bajo apoyos, etc.). No suelen tener solera. Las obras de drenaje transversal deberán perturbar lo menos posible la circulación del agua por el cauce natural, sin excesivas sobre-elevaciones del nivel del agua, que pueden provocar aterramientos aguas arriba, ni aumentos de la velocidad que pueden provocar erosiones aguas abajo, pudiendo peligrar su estabilidad de no adoptarse medidas adecuadas.
  • 39.
    Universidad José CarlosMariátegui DISEÑO DE ESTRUCTURAS HIDRÁULICAS Las condiciones del cauce, sin la presencia de la carretera y de sus obras de drenaje transversal, al evacuar el caudal de referencia deberán ser comprobadas, sobre todo aguas abajo, por si hubiera obstáculos o circunstancias determinantes de las cotas de agua, tales como presas, azudes, cruces con vías de comunicación, estrechamientos bruscos del cauce, confluencia con otras corrientes, etc. Al proyectar obras de drenaje transversal se deberán tener en cuenta los siguientes criterios funcionales: Las soluciones técnicas disponibles. La facilidad de su obtención. Sus precios. Las posibilidades y costes de su construcción y conservación. Los daños que su presencia pueda producir. La posibilidad de distribuir la anchura del cauce entre varios vanos o conductos. Una obra de drenaje transversal única suele ser preferible a un conjunto de obras más pequeñas, que aumente la sobre-elevación del nivel del agua y las posibilidades de obstrucción, pero debe recordarse que con la luz crece el canto de la estructura, y por tanto donde la altura disponible sea escasa (como suele ocurrir en llanuras inundables) se resta altura útil a la sección de desagüe. La cota roja sobre el fondo del cauce, habida cuenta del espesor mínimo (carpeta asfáltica y tablero) necesario sobre la clave del conducto de la obra de drenaje transversal, y del resguardo requerido. Donde esta cota sea muy grande, puede condicionar el tipo, forma y dimensiones de la obra de drenaje transversal (altura de pilas o posibilidad de un arco en puentes, cargas sobre el conducto en pequeñas obras de drenaje). Las condiciones de cimentación. Los conductos deformables pueden resultar preferibles si fueran de prever asientos diferenciales. 39 ING. OMAR FRANCISCO CASTRO ZEBALLOS Las posibilidades de aterramiento o de erosión Especial atención deberá prestarse a las obras de drenaje transversal donde el camino cruce una llanura inundable, ya que los caudales de referencia propios de las diferentes cuencas que la componen no podrán tratarse aisladamente si es factible que se entremezclen debido aun desbordamiento de sus cauces. En estos casos deberá efectuarse un estudio especial del esquema de flujo antes y después de la construcción de la carretera, tanto para ubicar racionalmente las obras de drenaje transversal como para repartir los caudales entre ellas. Además, las limitaciones a la sobre-elevación del nivel de la corriente serán, en general, más severas al ser mayores las zonas
  • 40.
    Universidad José CarlosMariátegui DISEÑO DE ESTRUCTURAS HIDRÁULICAS inundables, por lo que, al restringirse la altura de la lámina de agua también se restringen los caudales que pueden desaguarse por unidad de anchura de la obra de drenaje transversal. 40 ING. OMAR FRANCISCO CASTRO ZEBALLOS 2.4 Estructuras de un Sistema de Conducción El proyecto completo de una obra de drenaje transversal, abarca una serie de estructuras que hace que el sistema de conducción pueda cumplir sus funciones en forma eficiente y eficaz, con una fácil operación y mínimo mantenimiento. A lo largo de un sistema de conducción de agua, además de la estructura de cruce propiamente dicha, se presentan diversos tipos de obras como estructuras de conducción, de transición, de protección, de regulación y de disipación, como así también dispositivos de aforo en los puntos que se desee conocer los volúmenes disponibles y los dispositivos de seguridad correspondientes. En la figura 2 se esquematiza un sistema de conducción con sus partes componentes. En líneas de trazos se indican las estructuras que pueden, o no, formar parte del sistema de conducción, según los distintos criterios o características del proyecto. Básicamente se pueden presentar dos situaciones hasta alcanzar la estructura de cruce: que el agua proveniente de la cuenca se concentre en un curso de agua y una vez fuera de la cuenca deba atravesar una obra lineal; o que el agua llegue a la obra lineal no habiéndose concentrado en un curso definido. En el primero de los casos el agua llega hasta el punto de cruce por medio de un canal, ya sea natural o artificial, revestido o no; en el segundo de los casos el agua llega lateralmente a la obra distribuida en su longitud, por lo que será necesario realizar una conducción paralela, como cunetas, para posteriormente realizar el cruce. A continuación se presenta una descripción de las distintas partes que conforman un sistema de conducción, según el esquema mostrado en la figura 2:
  • 41.
    Universidad José CarlosMariátegui DISEÑO DE ESTRUCTURAS HIDRÁULICAS Las estructuras de transición y protección se colocarán a la entrada y salida de las obras de cruce. Las transiciones producen un cambio gradual en la sección transversal y son utilizadas para: provocar un flujo uniforme, reducir la pérdida de energía, minimizar la erosión, reducir la elevación del nivel de agua aguas arriba de las estructuras de cruce (evitando o disminuyendo el embalsamiento), proveer estabilidad adicional a las estructuras adyacentes por el incremento de la resistencia a la percolación, y sirven para contener el relleno de tierra a la salida de la estructura. Las protecciones contra la erosión pueden ser de distintos tipos y materiales, las protecciones de escollera y de grava son usualmente utilizadas adyacentes a la estructura y en otras zonas en canales de tierra donde pueda ocurrir erosión; las condiciones locales deben considerarse en la determinación del tipo y del grado de protección a ser previsto. Otro tipo de obras que pueden ser necesarias son la defensa de márgenes, obras de encauzamiento, traviesas y rastrillos y rectificaciones. 41 ING. OMAR FRANCISCO CASTRO ZEBALLOS
  • 42.
    Universidad José CarlosMariátegui DISEÑO DE ESTRUCTURAS HIDRÁULICAS Las estructuras de regulación, también denominadas de control, se instalan en un canal con el objeto de garantizar los niveles de agua a cierta elevación, para cualquier condición de flujo, así como regular los gastos a lo largo del canal. La regulación es alcanzada con vertederos, controles a la entrada, barreras y compuertas deslizantes. Las barreras y las compuertas deslizantes se regulan de acuerdo a los requerimientos necesarios. Pueden usarse vertederos en el caso que sea necesario realizar mediciones, pudiendo éstos ser regulados o no. Tanto las barreras como las compuertas deslizantes, o la combinación de ambas, son medios usuales para la regulación de la corriente; las barreras son más económicas que las compuertas deslizantes y se adaptan más rápido, pero no controlan el flujo más cercano. Cuando se usan barreras, el flujo a través de la estructura puede ser determinado por medio de la fórmula para flujo por encima del vertedero; si el canal debe ser regulado muy de cerca o si el control automático del canal es anticipado, se deben usar compuertas, cuando se usan éstas, el flujo a través de la estructura puede ser determinado por medio de la fórmula para flujo a través de un orificio sumergido. El flujo por encima de las barreras es más sensible a cambios en las profundidades del agua en el canal que el flujo a través de una compuerta, por lo tanto los reajustes requeridos para las barreras son menos frecuentes. Cuando se utilizan vertederos regulables para control, requieren reajustes menos frecuentes que las compuertas. La basura flotante que puede pasar por encima de las barreras y los vertederos regulables puede ser un problema en las estructuras con compuertas, porque el flujo debajo de las mismas puede empujar escombros y causar que la apertura de la compuerta se vea obstruida. Los distintos tipos de estructuras de regulación pueden ser: Inspecciones (check): son usadas para regular la superficie del agua, aguas arriba de la estructura, y para controlar el flujo aguas abajo cuando el canal está fluyendo a una capacidad parcial, son operadas para mantener la elevación de la superficie del agua del canal que se requiere aguas arriba para la entrega de un determinado caudal. El uso de inspecciones además permite aislar y desaguar tramos de canal a ser reparados o inspeccionados. Las inspecciones (compuertas o barreras) pueden ser estructuras separadas o combinadas con otras estructuras de ingreso. Las inspecciones a la entrada son a menudo usadas con ciertas estructuras como cruces de ruta, sifones invertidos, caídas en conductos, caídas rectangulares inclinadas y saltos. Las inspecciones, cuando son combinadas con otras estructuras, pueden prevenir la caída de la superficie del agua y la erosión aguas abajo de la estructura. 42 ING. OMAR FRANCISCO CASTRO ZEBALLOS
  • 43.
    Universidad José CarlosMariátegui DISEÑO DE ESTRUCTURAS HIDRÁULICAS Estructuras de División: son usadas para dividir el flujo de un canal o conducto de suministro en dos o más canales naturales o conductos. La estructura de división puede ser una estructura separada o puede ser la salida de un sifón, caída o toma desde la cual puede existir una cierta distancia hasta la estructura de división. Si no es necesario realizar aforos en el punto de división, el flujo puede ser dirigido a través de varias compuertas o barreras a la salida. Si el flujo debe ser medido y una determinada altura de carga es requerida, los vertederos pueden ser usados para ello. Derivaciones: son utilizadas para enviar agua desde un canal de suministro a un canal menor. La estructura usualmente consiste en un ingreso, un conducto o medios para transportar agua a través de la orilla del canal de suministro y, cuando se requiere, una transición a la salida. Las compuertas se usan generalmente en el ingreso para controlar el flujo. Los conductos son generalmente usados para llevar agua a través de la orilla del canal de suministro. El conducto y las secciones a la salida de la estructura pueden ser diseñadas como parte de otro tipo de estructura como un sifón o una caída o pueden estar conectadas a una estructura de medición. Estructuras de Control: son diseñadas para regular la superficie de agua del canal sin ningún límite en particular; se trata de una estructura de hormigón en forma de caja con una ranura de forma trapezoidal para generar una superficie de control aguas arriba. El propósito de un control a la entrada es el de prevenir la caída de la superficie de agua del canal para variaciones de flujo entre el flujo de diseño y el 20% del mismo. Las estructuras de cruce propiamente dichas comprenden los cruces, alcantarillas, conducciones elevadas y sifones invertidos, estas estructuras se analizarán detalladamente en el siguiente apartado. Los disipadores de energía se usan para disipar el exceso de energía cinética del flujo de agua. Esta energía o altura de velocidad es adquirida por el agua, en los tramos donde la velocidad es alta. Un disipador de energía efectivo, debe ser capaz de retardar el flujo rápido del agua para evitar daños por fuera de la estructura o en el canal aguas abajo de la misma. Las estructuras que disipan el exceso de energía incluyen dados disipadores, disipadores de pantalla, pozo de aquietamiento y cuenco disipador, y la rápida y caída libre, las cuales serán analizadas en detalle más adelante. 43 ING. OMAR FRANCISCO CASTRO ZEBALLOS
  • 44.
    Universidad José CarlosMariátegui DISEÑO DE ESTRUCTURAS HIDRÁULICAS 44 CAPITULO 3 ING. OMAR FRANCISCO CASTRO ZEBALLOS 3 CAÍDAS 3.1 Generalidades La función de las estructuras de caída es la de llevar el agua de un lugar alto a uno bajo y la de disipar el exceso de energía resultante por dicha caída. Un canal a lo largo del mismo terreno podría ser lo suficientemente empinado como para causar severas erosiones en los canales de tierra o interrumpir el flujo en canales con recubrimiento (U. S. Bureau of Reclamation, 1978). El agua debe, por lo tanto, ser transportada por una estructura de caída diseñada para una segura disipación del exceso de energía. Los diferentes tipos de caídas que pueden ser usados son verticales, con dados disipadores, rectangulares inclinadas, y en tuberías. Las caídas con dados disipadores pueden ser usadas para casi cualquier disminución en la elevación de la superficie del agua donde la distancia horizontal para realizar la caída es relativamente corta. Las mismas son particularmente adaptables para la situación donde la elevación de la superficie del agua aguas abajo puede variar por causa tales como degradación o superficies del agua no controladas. Las caídas rectangulares inclinadas y las caídas en tubería son usadas cuando la diferencia de altura esta en el orden de 90 cm. a 4,5 m en una distancia relativamente corta. La decisión de usar una caída rectangular inclinada o en tubería se basa en un análisis económico. Usualmente las tuberías serán seleccionadas para flujos más pequeños en tanto que las caídas rectangulares inclinadas son seleccionadas para flujos más grandes. Si la caída atraviesa otro canal o carretera es probable que sea más económico usar tuberías. Las rápidas usualmente son usadas cuando la diferencia de altura es mayor a 4,5 metros y el agua es transportada una larga distancia y a lo largo de pendientes que pueden ser menos empinadas que las de caídas pero lo suficiente como para mantener la velocidad supercrítica. La decisión de
  • 45.
    Universidad José CarlosMariátegui DISEÑO DE ESTRUCTURAS HIDRÁULICAS usar una rápida o una serie de caídas estará basado en un estudio hidráulico y económico de ambas alternativas. Desde un punto de vista hidráulico, las caídas no deberían estar tan próximas como para evitar que se produzca flujo uniforme entre la entrada y la salida de estructuras consecutivas, particularmente cuando no se utilizan en las entradas estructuras de regulación. El peligro es que no exista el suficiente tirante para producir los saltos hidráulicos en los cuencos disipadores, y así se puede desarrollar un flujo interrumpido en la serie de caídas y posiblemente dañar el canal. Generalmente el mínimo entre estructuras de entrada y salida en caídas consecutivas puede ser 60m. El estudio económico para comparar los costos de una serie de caídas con una rápida, toma en cuenta ventajas y desventajas pertinentes a condiciones específicas. Comparando, para una misma función, los costos de mantenimiento de una serie de caídas con los de una rápida se observa que los primeros son mayores. 45 ING. OMAR FRANCISCO CASTRO ZEBALLOS 3.1.1 Caídas rectangulares inclinadas Una caída rectangular inclinada es una estructura de forma rectangular y de ancho constante que lleva agua de un lugar alto a uno de menor elevación. La altura de la caída puede estar comprendida entre 90 cm y 4,5 m. Estas caídas no sólo conducen agua, sino también aquietan el agua una vez que llega a la parte inferior de la estructura, disipando el exceso de energía. La estructura de ingreso debe servir de control para regular el tirante aguas arriba de la caída. Las caídas rectangulares inclinadas son de fácil diseño, construcción y operación. Las entradas y salidas pueden ser fácilmente adaptadas a canales de tierra o con recubrimiento. Las entradas pueden ser hechas para incluir una estructura de control, inspección (check), o un vertedero. Si se utiliza una estructura de control a la entrada se pueden incluir revanchas para casos de emergencias. Es importante proveer una adecuada protección con grava o roca en la salida de los canales recubiertos. Este tipo de caídas debe tener un adecuado lecho percolador y una suficiente resistencia al deslizamiento. Las estructuras de caídas rectangulares inclinadas estándar que se detallan en las figuras 12 y 13 están diseñadas para proveer esta estabilidad; de todas formas, si se encuentran condiciones inusuales de fundación, se deben controlar la percolación y la resistencia deslizamiento, y se debe obtener una estabilidad adicional por medio del incremento de la longitud Lf (U. S. Bureau of Reclamation, 1978).
  • 46.
    Universidad José CarlosMariátegui DISEÑO DE ESTRUCTURAS HIDRÁULICAS Los principales elementos hidráulicos de una caída rectangular inclinada son, la transición de aguas arriba, la entrada, el canal inclinado, el cuenco disipador, la salida y la transición de aguas abajo. 46 ING. OMAR FRANCISCO CASTRO ZEBALLOS
  • 47.
    Universidad José CarlosMariátegui DISEÑO DE ESTRUCTURAS HIDRÁULICAS 47 ING. OMAR FRANCISCO CASTRO ZEBALLOS
  • 48.
    Universidad José CarlosMariátegui DISEÑO DE ESTRUCTURAS HIDRÁULICAS Transición de aguas arriba: La transición de aguas arriba produce un cambio gradual en la velocidad desde el canal a la estructura. Cuando se usa un control de entrada no hay un cambio en la elevación del fondo del canal y la transición de entrada usualmente debe proveer un decrecimiento gradual de la elevación de solera desde el canal a la abertura de la estructura. La pendiente de fondo de un control de entrada no debe ser mayor que 4:1. Una transición de tierra puede requerir una protección contra la erosión. Entrada: la entrada a una caída rectangular inclinada puede ser 48 ING. OMAR FRANCISCO CASTRO ZEBALLOS alguna de las que se describe a continuación: 1) Sección de control por tirante critico (control): en un canal de tierra que no requiere una estructura de control, la entrada a la caída debe ser diseñada para proveer una sección de control, la cual prevendrá la aceleración de la corriente aguas arriba y la erosión del canal. La entrada debe ser diseñada entonces para la máxima capacidad de descarga de la caída con tirante normal en el canal. La entrada debe ser simétrica con respecto al eje, y siempre que sea posible, a una distancia suficiente de una curva horizontal aguas arriba tal que limite la acción indeseable de las ondas debido al flujo asimétrico. El control de tirante critico trapezoidal debe guardar una proporción entre el ancho de fondo y la pendiente del talud para una variación del flujo de diseño a uno del 20% del caudal de diseño. Para cualquier flujo dentro de este rango la muesca hace que el tirante del canal aguas arriba sea o esté muy cerca del tirante normal. Esto también puede ser regulado para controlar sólo una descarga específica. Generalmente la muesca está diseñada para una descarga variable. El borde de la muesca debe estar a la misma elevación o levemente por encima de la superficie normal aguas arriba del canal. El fondo de la muesca debe estar a la misma elevación que el fondo del canal. El tirante de la muesca debe ser igual o a lo sumo levemente mayor que el tirante normal del canal. Una muesca de control que requiere un poco más de energía que la requerida para las condiciones de flujo normal en el canal, causará una leve elevación en el nivel de la superficie del agua en el canal, pero no se lo considera de importancia. Para las condiciones críticas en el flujo del canal en o cerca del flujo de diseño, la elevación del nivel superficial es minimizado en parte porque el flujo puede ser capaz de superar las paredes laterales. Las
  • 49.
    Universidad José CarlosMariátegui DISEÑO DE ESTRUCTURAS HIDRÁULICAS paredes laterales, cuyo borde tienen la misma elevación que el borde de la muesca, además proveen para sobreflujos de emergencia en la estructura de entrada si hubiera una obstrucción en la muesca o si el flujo en el canal es mayor que el flujo de diseño. Las paredes laterales de sobrefujo, (figuras 12 y 13) son lo suficientemente largas como para permitir que el flujo de diseño vaya encima de las paredes laterales con la muesca completamente bloqueada. El fondo de la estructura de entrada (El. B, figuras 12 y 13) se sitúa lo suficientemente bajo como para que el flujo al principio de la inclinación no afecte al flujo que atraviesa la muesca de control. Expresado de otra manera, la elevación B se sitúa lo suficientemente baja como para prevenir que el flujo en la sección inclinada controle el nivel del agua en el canal. La estructura de entrada además tiene muros de ala y obturadores con el fin de contener el terraplén del canal y para reducir la filtración en el mismo. 2) Inspección (check): Las estructuras de inspección están habitualmente combinadas con la entrada de las caídas. Las inspecciones en estos casos son utilizadas como un control para prevenir la aceleración de la corriente de agua aguas arriba de la entrada, además de la función usual de levantar el nivel del agua para permitir la desviación a través de ella aguas arriba durante los períodos de flujo parcial en el canal. Las inspecciones deben además ser usadas para interrumpir el flujo del canal si existe algún desperfecto tal como una pérdida aguas arriba para permitir que el flujo del canal se derive hacia otra parte. Esta interrupción en la entrada puede proveer un aislamiento de la extensión del canal en caso de falla de almacenamiento o para propósitos de mantenimiento. El área de la apertura de la entrada debe estar proporcionada para limitar la velocidad del flujo de diseño aproximadamente a 1 m/s. Esta velocidad es considerada como la máxima deseable para un fácil manejo de la barrera de tablas. El ancho es usualmente el mismo que el determinado como ancho requerido para el cuenco disipador. Si el ancho de entrada es más grande que 1,8 m y se usan barreras, puede ser incorporada un pila central con guías adheridas para las tablas y de esta forma se pueden usar barreras más cortas. Las barreras de más de 1,8 m de largo son difíciles de manejar. Sin un pilar central, la apertura tiene dos marcos de guía de compuerta para la instalación de una compuerta o para ser usada como guía de tablas. La elevación de la apertura de entrada puede ser la misma o más baja que la del 49 ING. OMAR FRANCISCO CASTRO ZEBALLOS
  • 50.
    Universidad José CarlosMariátegui DISEÑO DE ESTRUCTURAS HIDRÁULICAS fondo del canal, pero nunca mayor. Las compuertas de deslizamiento pueden ser operadas automáticamente. Las medidas de la compuerta deben ser tales que la elevación de la parte superior de la compuerta, cuando estas están cerradas, sea aproximadamente la misma elevación del borde de las paredes laterales para el sobreflujo. Si estas medidas de compuerta no están disponibles y se usa la próxima más grande disponible en altura, la compuerta más alta puede causar que la revancha del canal sea menor que 15 cm cuando la compuerta esta cerrada y todo el flujo normal es derramado por encima de las paredes laterales y la compuerta. Si esta revancha es mucho menor que 15 cm, el largo de las paredes laterales deben ser incrementadas hasta que la revancha sea de aproximadamente de 15 cm para esta condición de sobreflujo. Las barreras de tablas pueden ser usadas en guías verticales para tirantes de 1,5 m o menores. Para tirantes más grandes las guías pueden ser ubicadas en una pendiente de ¼:1 para facilitar su manejo. Las paredes laterales, con sus bordes ubicados al mismo nivel que el nivel superficial del agua en el canal, son provistas para sobreflujos de emergencia dentro de la estructura si la compuerta o la barrera no están apropiadamente ubicadas para un flujo particular en el canal, si la entrada del canal se obstruye, o si la entrada se cierra. El piso de la estructura de entrada (El. B) esta ubicado a una distancia Ho por debajo del nivel de la superficie normal del agua en el canal. Los 45 cm de espacio entre el borde de las paredes laterales y el piso de la pasarela (figuras 12 y 13, tomadas de U. S. Bureau of Reclamation, 1978) provee un espacio para el paso de desechos flotantes que de otra manera podrían obstruir el flujo de agua. 3) Vertedero: algunas veces es necesario poner a la entrada de una caída rectangular inclinada un vertedero de medición. Para un canal revestido, generalmente la revancha mínima en la entrada debe ser la misma que para el resto del canal con recubrimiento. Para canales sin recubrimiento con capacidades mayores que 2,7 m³/s, la mínima revancha debería ser de 15 cm para tirantes de agua de 37,5 cm, 22,5 cm para tirantes de 38 cm a 60 cm, 30 cm para tirantes de 61 cm a 1,50 m, 37,5 cm para tirantes de 1,51 m a 2,10 m, y de 45 cm para tirantes de 2,11 m a 2,7 m. Canales rectangulares inclinados: el canal es de sección rectangular, y esto es usualmente práctico para hacer el mismo ancho de base que el requerido por la pileta o por la sección de entrada. La altura vertical de 50 ING. OMAR FRANCISCO CASTRO ZEBALLOS
  • 51.
    Universidad José CarlosMariátegui DISEÑO DE ESTRUCTURAS HIDRÁULICAS las paredes deben ser determinadas computando el tirante en la sección con velocidad teórica y agregando una revancha de 30 cm para flujos por arriba de 2,7 m³/s. La parte inclinada puede tener una pendiente de 1½:1 pero es usual 2:1. Las caídas rectangulares inclinadas con flujos de más de 2,7 m³/s no requieren trayectorias curvadas, por lo tanto la inclinación interceptara el nivel de fondo en la entrada, y también el nivel de fondo de la pileta. Cuenco disipador: los cuencos disipadores para saltos hidráulicos están ubicados en la parte más baja del final de las caídas rectangulares inclinadas para obtener las pérdidas de energía requeridas entre la parte más baja del canal inclinado y la pileta aguas abajo. La transición de salida, aguas abajo del cuenco disipador, reduce la velocidad y la turbulencia del agua, minimizando la erosión en el canal aguas abajo. Los distintos tipos de disipadores de energía se ven en la sección correspondiente. Salida: la salida de una caída rectangular inclinada conecta el cuenco disipador con un canal de tierra, un canal recubierto de hormigón, o un canal natural y previene o disminuye la erosión aguas abajo. Algunos de los tipos de salida más utilizados son: las transiciones de espaldón quebrado, muros divergentes verticales curvos o rectos, y un canal rectangular recto con paredes verticales cuya altura disminuye desde la altura de las paredes del cuenco hasta la altura del canal aguas abajo. Una porción de la transición debe ser hecha de tierra procurando que la velocidad en el final no sea demasiado grande para el suelo. En la sección de transición con la tierra se usa piedra bola o grava como protección. 51 ING. OMAR FRANCISCO CASTRO ZEBALLOS 3.1.2 Procedimiento de cálculo Los datos que se deben conocer son: El caudal (Q), La elevación aguas arriba de la caída (ElA), La elevación aguas abajo de la caída (ElD), La geometría y propiedades hidráulicas del canal. Los pasos para la resolución son los siguientes: Datos del canal: 1. Tipo de canal, se debe conocer el tipo de revestimiento del canal.
  • 52.
    Universidad José CarlosMariátegui DISEÑO DE ESTRUCTURAS HIDRÁULICAS 2. Determinación del tipo de transición a ser utilizado aguas arriba de la estructura de caída y de la protección necesaria si el canal es de tierra. 3. Determinación de las propiedades hidráulicas del canal, tirante normal (dn), velocidad (V), altura de velocidad (hvC). 52 ING. OMAR FRANCISCO CASTRO ZEBALLOS 4. Determinación del tipo de estructura a realizar. 5. Determinación del nivel de la superficie de agua, aguas arriba de la caída (punto A). 6. Determinación de la altura de energía aguas arriba de la caída (punto A). 7. Determinación de la elevación del borde del canal. 8. Determinación del nivel de la superficie de agua, aguas abajo de la caída (punto D). 9. Determinación de la altura de energía aguas abajo de la caída (punto D). 10. Determinación del tipo de estructura de entrada a utilizar. Determinación de las dimensiones de la estructura de entrada: 11. Determinación del ancho de base de la caída y de la estructura de entrada.
  • 53.
    Universidad José CarlosMariátegui DISEÑO DE ESTRUCTURAS HIDRÁULICAS Las dimensiones estándar se obtienen de la tabla 2 y 3, en función del caudal. Estas dimensiones son: ancho de base de la caída (b), longitud de la estructura de control (Lo), altura de las paredes de la estructura de control (Ho), altura de las paredes a la entrada de la caída (HF), muro de ala a la entrada de la caída (a). 12. Si se utiliza a la entrada una estructura de control, se procederá 53 ING. OMAR FRANCISCO CASTRO ZEBALLOS como se explica a continuación. Un control es una estructura constituida por una caja de hormigón con una ranura en forma trapezoidal ubicada aguas arriba. Esta estructura se exige para minimizar la erosión en el canal para flujos que van desde el caudal de diseño al 20% de este. Se determina la altura de energía para el caudal de diseño (E1=dn+hv) y la altura de energía para el 20% del caudal de diseño (E2=d20%+hv20%). Para determinar el tipo de control adecuado, se utiliza el grafico 21 del anexo, se selecciona la figura que tiene el valor de P más pequeño que abarca el rango lleno de descarga del caudal de diseño y del 20% de dicho caudal. Luego se entra al grafico con el valor de la energía (E1), se mueve verticalmente hasta la intersección con la línea horizontal correspondiente al caudal de diseño y se lee el valor de S de la curva que esté ubicada a la derecha del punto. Posteriormente se verifica de la misma manera (se entra al gráfico con el valor de la energía, E2, se mueve verticalmente hasta la intersección con la línea horizontal correspondiente al caudal del 20% del de diseño y se lee el valor de S de la curva que está ubicada a la derecha del punto) para ver si la misma curva controlará al 20% del caudal de diseño. Si la curva de pendiente (S) no es la misma para los dos rangos de caudales, se vuelve a repetir el procedimiento expuesto para los próximos valores
  • 54.
    Universidad José CarlosMariátegui DISEÑO DE ESTRUCTURAS HIDRÁULICAS mayores de P hasta que se verifica que la misma curva controla los dos rangos de caudales. Una vez que esto sucede se obtiene de la figura correspondiente los siguientes valores: 54 ING. OMAR FRANCISCO CASTRO ZEBALLOS Ancho de base de la ranura de control (P). Pendiente de la ranura de control (S). Altura de la muesca del control (T): T ≥ dn. Ancho de boca del control (N): N = P + 2—S—T (U. S. Bureau of Reclamation, 1978) Luego se verifica la altura de las paredes de la estructura de control: HoT. Altura de las paredes a la entrada a la caída: HF = Ho + 0,45m. Ancho de base mínimo de la estructura de control: bmín = N + 2—0,075m (se adopta el mayor valor de b calculado). Determinación de la elevación de la muesca: Elevación de muesca = Elevación A + T Determinación de la elevación del piso del control (punto B): Elevación de B = Elevación de la muesca – Ho. 13. Si se utiliza a la entrada una estructura de inspección (check), el procedimiento para determinar sus dimensiones es el siguiente. Una inspección es una estructura tipo caja, cuyo ingreso esta constituido por una abertura prevista para la instalación de una compuerta o barreras. Determinación de la altura máxima de las paredes: Altura máx = NSAA Determinación de la elevación del piso del chequeo (punto B): Elevación de B = NSAA – Ho (mínimo) Elevación A. Determinación de las dimensiones de la compuerta: el tamaño de la compuerta, la altura del marco y el número de plataformas se obtienen de la tabla 2 (anexo), en función del caudal de diseño.
  • 55.
    Universidad José CarlosMariátegui DISEÑO DE ESTRUCTURAS HIDRÁULICAS 55 ING. OMAR FRANCISCO CASTRO ZEBALLOS Diseño hidráulico de la estructura de disipación. 14. Determinación de la mínima energía en el punto D (E’D). El mínimo gradiente de energía aguas abajo se calcula mediante el uso de un valor de n reducido (n’). Esta reducción debe ser del 80% del valor de n de Manning asumido para el diseño del canal. Esta reducción se realiza como factor de seguridad por si el nivel de agua en el canal es inferior al indicado por el valor de rugosidad n. Con n’=80%—n se calcula mediante la fórmula de Manning, el tirante normal (dn’), la velocidad (V’) y la altura de velocidad (hv’). E’D = Elevación D + dn’ + hv’ 15. Determinación del desnivel. Desnivel (H): H = EA – E’D. De las tablas 2 y 3 del anexo, se obtienen en función del caudal y el desnivel, las dimensiones de la caída rectangular inclinada y de la pileta de aquietamiento. Longitud de la estructura de entrada a la caída (LF). Longitud desde el inicio de la estructura de disipación hasta la primera hilera de bloques (LB). Longitud de la estructura de disipación (Lp). Altura de las paredes de la estructura de disipación (Hp). (d2 + hv2). Altura de los bloques (h). Longitud del bloque (1,25—h). Ancho del bloque = 0,20 m. Espesor de las paredes de la estructura de disipación (t). Espesor de la losa de la estructura de disipación (t’). Longitud a la salida de la estructura de disipación (LT). Número de bloques en la estructura de disipación (c). Distancia del primer bloque a las paredes (d).
  • 56.
    Universidad José CarlosMariátegui DISEÑO DE ESTRUCTURAS HIDRÁULICAS Ancho de base a la salida de la estructura de disipación (bT). Número de drenes. Armadura transversal. Armadura longitudinal en la losa. Armadura longitudinal en las paredes. 16. Elevación al inicio y final de la estructura de disipación (punto C). Elevación C = Elevación D – (d2+hv2) 17. Determinación del tipo de transición a ser utilizado aguas abajo de la estructura de disipación y de la protección necesaria. 56 ING. OMAR FRANCISCO CASTRO ZEBALLOS
  • 57.
    Universidad José CarlosMariátegui DISEÑO DE ESTRUCTURAS HIDRÁULICAS 57 ING. OMAR FRANCISCO CASTRO ZEBALLOS
  • 58.
    Universidad José CarlosMariátegui DISEÑO DE ESTRUCTURAS HIDRÁULICAS 58 ING. OMAR FRANCISCO CASTRO ZEBALLOS
  • 59.
    Universidad José CarlosMariátegui DISEÑO DE ESTRUCTURAS HIDRÁULICAS 59 ING. OMAR FRANCISCO CASTRO ZEBALLOS
  • 60.
    Universidad José CarlosMariátegui DISEÑO DE ESTRUCTURAS HIDRÁULICAS 60 ING. OMAR FRANCISCO CASTRO ZEBALLOS
  • 61.
    Universidad José CarlosMariátegui DISEÑO DE ESTRUCTURAS HIDRÁULICAS 61 ING. OMAR FRANCISCO CASTRO ZEBALLOS
  • 62.
    Universidad José CarlosMariátegui DISEÑO DE ESTRUCTURAS HIDRÁULICAS 62 ING. OMAR FRANCISCO CASTRO ZEBALLOS
  • 63.
    Universidad José CarlosMariátegui DISEÑO DE ESTRUCTURAS HIDRÁULICAS 63 ING. OMAR FRANCISCO CASTRO ZEBALLOS
  • 64.
    Universidad José CarlosMariátegui DISEÑO DE ESTRUCTURAS HIDRÁULICAS Fb Fs  64 ING. OMAR FRANCISCO CASTRO ZEBALLOS ⋅  := ⋅ Br 1.81 Q Br a Q 1 2 1 2 S 1 5 := ⋅ CAPITULO 4 4 ESTRUCTURAS DE CAPTACIÓN 4.1 ESTIMACIÓN DEL ANCHO DE ENCAUZAMIENTO [Br] Fórmula Blenoh Donde: Q : Caudal máximo de diseño en m3/s. Fb : Factor de Fondo. 1.20 – Material grueso 0.80 – Material fino Fs : Factor de Orilla 0.10 – Material Suelto 0.20 – Material ligeramente cohesivo 0.30 – Material cohesivo. Fórmula Altunin Donde: Q : Caudal máximo de diseño en m3/s. S : Pendiente promedio del cauce del río. A : parámetro que caracteriza el cauce del río 0.50 – Zona de alta montaña. 0.75 – Zona de montaña, cauces con cantos rodados, guijarros y corrientes rápidas.
  • 65.
    Universidad José CarlosMariátegui DISEÑO DE ESTRUCTURAS HIDRÁULICAS 1.00 – Zona intermedia, cauce con arena gruesa, media, fina, corriente tranquila. 1.10 – Zona de planicie, río caudaloso. 1.30 – Río poco caudaloso 65 ING. OMAR FRANCISCO CASTRO ZEBALLOS Fórmula Pitit Donde: := ⋅ 2 Br 2.45 Q 1 Q : Caudal máximo de diseño en m3/s. Para hallar el ancho de encauzamiento, calculamos el promedio de los tres resultados 4.2 CALCULO DEL TIRANTE NORMAL DEL RÍO [Ynr] Empleamos la fórmula de Manning: Q 2 3 ⋅ S A R 1 2 ⋅ n := Donde: Q : Caudal máximo de diseño en m3/s. A : Área de la sección transversal del río R : Radio Hidráulico de la sección del río. S : Pendiente promedio del río. n : Coeficiente de rugosidad Manning. Asumimos una sección rectangular del río, hacemos las siguientes sustituciones: A := Br ⋅Ynr Br Ynr
  • 66.
    Universidad José CarlosMariátegui DISEÑO DE ESTRUCTURAS HIDRÁULICAS 2 3 1 2 ⋅ ⋅ S 66 ING. OMAR FRANCISCO CASTRO ZEBALLOS Donde: Br : Ancho de encauzamiento o base del río. R Br ⋅Ynr Br + 2⋅Ynr := Q Br⋅Ynr Br⋅Ynr Br + 2⋅Ynr   n := Reemplazando en la fórmula de Manning tenemos: En la ecuación anterior hallamos el tirante normal de río. 4.3 DISEÑO DE LA COMPUERTA DE REGULACIÓN Consiste en determinar los valores de los diferentes tirantes, en base a las ecuaciones de continuidad, Bernoulli y cantidad de movimiento. Cálculo del tirante [Y1] Empleamos la fórmula de Manning: Q 2 3 ⋅ S A R 1 2 ⋅ n := Donde: Q : Caudal a derivarse en m3/s. A : Área de la sección transversal del canal de derivación. R : Radio Hidráulico de la sección del canal de derivación. S : Pendiente del canal. n : Coeficiente de rugosidad Manning. Según el esquema de la zona de captación tenemos un canal de sección rectangular, hacemos las siguientes sustituciones: B1⋅Y1 B1 + 2⋅Y1 R A := BB11⋅Y1 := B1
  • 67.
    Universidad José CarlosMariátegui DISEÑO DE ESTRUCTURAS HIDRÁULICAS B1 + 1 2 ⋅ ⋅ S 67 ING. OMAR FRANCISCO CASTRO ZEBALLOS Donde: B1 : Ancho del canal de derivación. Reemplazando en la fórmula de Manning tenemos: Q B1⋅Y1 B1⋅Y1 B1 + 2⋅Y1   2 3 n := B1 En la ecuación anterior hallamos el tirante Y1. Cálculo del tirante [Y2] 2 Del gráfico tenemos: Además: Reemplazando para cada sección 1 F2 1F 2Y Y 1 γ Y2 γ Y1 F2 − F1 := ρ ⋅Q⋅(V1 − V2) F := γγ ⋅h⋅A F γ Y 2 := ⋅ ⋅Y⋅B V Q B⋅Y := ρ γ g := 1 2 2 ⋅ ⋅B2 ⋅γ Y2 1 2 − ⋅γ ⋅ 2 Y1 ⋅B1 γ g ⋅Q Q (B1⋅Y1) Q (B2⋅Y2) −   := ⋅
  • 68.
    Universidad José CarlosMariátegui DISEÑO DE ESTRUCTURAS HIDRÁULICAS 3 2 α3V3 2g + ⋅ Z2 + Y2 α2 := + ⋅ + hc + hf 68 hf α2V2 2g ING. OMAR FRANCISCO CASTRO ZEBALLOS Eliminando γ obtenemos la siguiente igualdad: 1 2 2 − ⋅ ⋅B1 Donde: Q : Caudal a derivarse en m3/s. g : Aceleración de la gravedad 9.81 m/s2. B1 : Base del canal de derivación. B2 : Base en el eje 2. Y1 : Tirante de agua Y1. En la ecuación anterior hallamos en tirante Y2 Cálculo del tirante [Y3] Aplicando Bernoulli entre los ejes 2 y 3 obtenemos el siguiente gráfico: Del gráfico Además Y2 ⋅ 2 ⋅B2 1 2 Y1 Q g Q (B1⋅Y1) Q (B2⋅Y2) −   := ⋅ Z3 + Y3 α3 V3 2 2⋅g V2 2 2⋅g Z Y2 Y3 hc 3 Z 2
  • 69.
    Universidad José CarlosMariátegui DISEÑO DE ESTRUCTURAS HIDRÁULICAS 2 Q + ⋅ ( 2 g) B2 ⋅ Y2 ⋅69 ( 2 ⋅ 2 ) Y2 2 Q − ( 2 ⋅ 2 ) B3 Y3 hc ING. OMAR FRANCISCO CASTRO ZEBALLOS := k⋅ hc k V2 2 − 2 V3 2⋅g Reemplazando hc en la ecuación anterior obtenemos: Y3 1 2 + ⋅α3 ⋅ ( ⋅ ⋅g) Y2 2 Q B3 2 Y3 2 1 2 ⋅α2 2 1 2 ⋅k 2 Q B2  Donde: α3, α2 : Coeficiente de Coriolis, que es ligeramente mayor que la unidad, debido a que todos los puntos de la sección de una corriente no tienen la misma velocidad. hf : Pérdidas por fricción que en este caso se desprecia por ser una distancia corta. Z3, Z2 : Cotas en los puntos 2 y 3 (se consideran iguales). V3, V2 : Velocidades en los puntos 2 y 3. g : aceleración de la gravedad. hc : Pérdida por contracción del cauce. Nota: Se debe verificar el valor de hc, ya que este debe ser siempre positivo. En caso de no ser positivo se debe cambiar la relación V22-V32 a V32-V22 En la ecuación anterior hallamos el tirante Y3 4.4 DISEÑO DE LAS VENTANAS DE CAPTACIÓN Aplicando Bernoulli entre los ejes 3 y 4 obtenemos el siguiente gráfico:  g := + ⋅ Z 4 α4V4 2g Y4 4 Z 3 hf α3V3 2g Y3 3
  • 70.
    Universidad José CarlosMariátegui DISEÑO DE ESTRUCTURAS HIDRÁULICAS + ⋅ Z3 + Y3 α3 := + ⋅ + hc + hf 70 2 2 Y 4 2 2 Y 3 ING. OMAR FRANCISCO CASTRO ZEBALLOS Del gráfico Además Z4 + h + Y4 α4 V4 := k⋅ hc k 2 2⋅g V3 2 − 2 V4 2⋅g V3 2 2⋅g Reemplazando hc en la ecuación anterior obtenemos: Y 4 + h 1 2 + ⋅ α 4 ⋅ 2 Q 2 Y 4 B 4 2 ⋅ ⋅g 2 2 Y 3 Donde: α3, α4 : Coeficiente de Coriolis, que es ligeramente mayor que la unidad, debido a que todos los puntos de la sección de una corriente no tienen la misma velocidad. hf : Pérdidas por fricción que en este caso se desprecia por ser una distancia corta. Z4, Z3 : Cotas en los puntos 4 y 3. V4, V3 : Velocidades en los puntos 4 y 3. g : aceleración de la gravedad. hc : Pérdida por contracción del cauce. NOTA: En el esquema general se indica el nº de ventanas de captación. Las ventanas de captación generalmente son de 2 a 4 metros. Se debe verificar el valor de hc igual que para el caso del tirante Y3   Y 3 1 2 α 3 ⋅ Q B 3 2 ⋅ ⋅g + ⋅ 1 2 ⋅k Q B 4 2 ⋅ Q B 3 2 ⋅ − g + ⋅   :=
  • 71.
    Universidad José CarlosMariátegui DISEÑO DE ESTRUCTURAS HIDRÁULICAS 4.5 CALCULO DE LA ALTURA DE MUROS, PANTALLA FRONTAL Y MURO DE 71 Cota de ING. OMAR FRANCISCO CASTRO ZEBALLOS TRANSICIÓN orificio sumergido de borde Nivel de Aguas Máximas Ecuación de caudal sobre un Vertedero Donde: 3 2 := ⋅ Q : Caudal máximo de diseño en m3/s. C : Coeficiente de descarga para el tipo de vertedero. L : Longitud del Vertedero o Barraje. H : Carga sobre el vertedero. Despejando H de la ecuación obtenemos: Ecuación de orificio Sumergido _ _ _ _ _ _ _(1) Donde: Q C⋅L H H Q C⋅L   2 3 := 1 2 := c ⋅ Q c⋅A (2⋅g⋅h) Cresta de Barraje Pantalla Frontal Muro de Transición Canal de Derivación Orificio sumergido de fondo H Y4 h h1 h2 FS Yn Q Q Canal FS FS FS
  • 72.
    Universidad José CarlosMariátegui DISEÑO DE ESTRUCTURAS HIDRÁULICAS Q : Caudal máximo de diseño en m3/s. A : Área neta de los orificios o ventanas, descontando 20% si las 1 2 ⋅ 2 ( ⋅ ⋅ ⋅ ) +  72 ING. OMAR FRANCISCO CASTRO ZEBALLOS ventanas llevan rejillas. c : Coeficiente de Gasto de orificio sumergido o de Fondo según sea el caso. h : Carga de agua para el orificio. Ecuación de Manning para una sección rectangular _ _ _ _ _ _ _(3) El cálculo del tirante Yn se realiza mediante tanteos. Para facilitar el proceso hacemos los siguientes reemplazos: Despejando h para 1 y 2 en la ecuación (1) tenemos: _ _ _ _ _ _ _(4) _ _ _ _ _ _ _(5) 2 2 ⋅ 2 2 ⋅ De la ecuación (3) despejamos (h1+h2) _ _ _ _ _ _ _(6) Reemplazando las ecuaciones 4 y 5 en la ecuación (6) y despejado Q tenemos: _ _ _ _ _ _ (7) h2 Q 2⋅g (c2⋅A2) := h1 Q 2⋅g (c1⋅A1) := c1 h1 + h2 := −CCFFCC − Yn + NAM Q (NAM + CFC + Yn) 1 2 1 ( ⋅ ⋅ 2 ⋅ 2 ) 2 g c2 A2 1 2 g c1 2 A1  1 2 := Q 1 Bn⋅Yn Bn⋅Yn Bn + 2⋅Yn   2 3 ⋅ S n :=
  • 73.
    Universidad José CarlosMariátegui DISEÑO DE ESTRUCTURAS HIDRÁULICAS 73 ING. OMAR FRANCISCO CASTRO ZEBALLOS Procedimiento: 1º Asumimos en valor de Yn y hallamos Q en (7) 2º Hallamos Q1 en (3) 3º Debe cumplirse que Q ≅ Q1, si no se cumple se repite nuevamente el procedimiento. 4.6 DISEÑO DEL BARRAJE
  • 74.
    Universidad José CarlosMariátegui DISEÑO DE ESTRUCTURAS HIDRÁULICAS 1 2 := 74 ING. OMAR FRANCISCO CASTRO ZEBALLOS 4.7 DISEÑO DE LA POZA DISIPADORA DE ENERGÍA H B 2 Vo 2g r La energía en los ejes (0) y (1) Donde V0 = 0 hj _ _ _ _ (1) _ _ _ _ (2) 2 2 De la figura E0 = E1 y despejando V1 tenemos: _ _ _ _ (3) Por continuidad en el eje (1) Donde: Lb : Longitud del barraje 2 V1 2g 2 V2 2g Y2 L Y1 Y3 = Yn 0 1 2 3 E o r + B + H V o 2⋅g := + E o := rr + B + H E 1 Y 1 V 1 2⋅g := + V 1 2⋅g r + B + H Y 1 − ( ) ⋅   Q := V ⋅A Q 1. V 1 L b ⋅ Y 1 := ⋅
  • 75.
    Universidad José CarlosMariátegui DISEÑO DE ESTRUCTURAS HIDRÁULICAS 2 ⋅ Y 1 ⋅ 75 ING. OMAR FRANCISCO CASTRO ZEBALLOS Q1 : Caudal máximo de diseño Despejando Y1 _ _ _ _ (4) _ _ _ _ (5) De la figura _ _ _ _ (6) Y 1 2 El procedimiento de cálculo se realiza mediante un tanteo doble siguiendo la siguiente secuencia: 1º Se asume un valor de r y Y1 a los que llamaremos ras y Y1as 2º Se calcula V1 con la ecuación (3) 3º Se calcula Y1 con la ecuación (4) al que llamaremos Y1C. 4º Con ras hallamos E0 con la ecuación (1) 5º Con Y1C hallamos E1 con la ecuación (2) 6º Hallamos Y2 con la ecuación (5) 7º Con Y2 hallamos un nuevo valor de r con la ecuación (6) al que llamaremos rC. 8º Verificamos las siguientes igualdades 9º En caso de cumplirse las igualdades repetir desde el paso 1º al 8º LONGITUD DE LA POZA DISIPADORA Para calcular este valor existen varias fórmulas pero solo usaremos las principales Fórmula U. S. Borean Reclamation Fórmula Backmeter Q 1 V 1 L b ⋅ := Y 2 Y 1 − 2 Y 1 4 2 V 1 g +   1 2 := + r Y 2 Y n := − r as r c ≡ E o E 1 ≡ Y 1as Y 1c ≡ L 4 Y 2 := ⋅L 5 Y 2 Y 1 := ⋅(− )
  • 76.
    Universidad José CarlosMariátegui DISEÑO DE ESTRUCTURAS HIDRÁULICAS L := 4.5⋅YY 2 L 2.5 1.4 Y 2 ⋅ Y 1 := ⋅( − ) 76 ING. OMAR FRANCISCO CASTRO ZEBALLOS Fórmula Lafranetz Fórmula Pavlesk El valor de la longitud de la Poza Disipadora de Energía se elige a criterio en base a los resultados obtenidos, ya que en este caso no se toma ningún promedio.
  • 77.
    Universidad José CarlosMariátegui DISEÑO DE ESTRUCTURAS HIDRÁULICAS 77 CAPITULO 5 ING. OMAR FRANCISCO CASTRO ZEBALLOS 5 ESTRUCTURAS VARIAS 5.1 VERTEDEROS LATERALES Determinar la longitud de un vertedero lateral para que derive un caudal determinado es un problema que se encuentra frecuentemente en el diseño de alcantarillados y de canales en general. La aplicación de las ecuaciones fundamentales de la Mecánica de los fluídos presenta algunas dificultades en el desarrollo analítico, debido a que se trata de un Flujo Espacialmente Variado, por lo cual debe apelarse a la experimentación para obtener fórmulas semiempíricas confiables. Algunas de estas fórmulas, sin embargo, difieren en su forma y en sus resultados por las restricciones que se imponen en los cálculos a la aplicación de las ecuaciones de Energía y de Cambio en Cantidad de Movimiento. En este aspecto existen dos criterios diferentes; uno considera que la energía específica en el canal a lo largo del vertedero es aproximadamente constante mientras que el otro descarta la hipótesis de Energía Específica constante y utiliza la ecuación de Cambio en Cantidad de Movimiento para determinar la variación de la Energía Específica. Este último criterio es teóricamente más ajustado a la realidad que el primero, pero su aplicación práctica resulta dispendiosa. En algunos casos particulares, como cuando se trabaja en canales prismáticos de poca pendiente con régimen tranquilo, los dos criterios producen resultados similares y por esta razón se prefiere utilizar el criterio de la Energía Específica constante como una aproximación razonable bajo ciertas condiciones que se analizan más adelante. En la Figura No. 1 se observa la diferencia en la representación esquemática de los dos criterios. El método de cálculo que se presenta en este artículo utiliza el criterio de la Energía Específica constante.
  • 78.
    Universidad José CarlosMariátegui DISEÑO DE ESTRUCTURAS HIDRÁULICAS La longitud (L) del vertedero lateral para funcionamiento con agua en régimen subcrítico se relaciona con las diferentes variables que actúan en el proceso mediante una expresión de la siguiente forma: L = función de ( Q1, Q2, Fr1, Fr2, P, b, y1, y2, So, A, B, n, Cv, i, e ) L = Longitud del vertedero. Q1 = Caudal en el canal aguas arriba del vertedero. Q2 = Caudal en el canal aguas abajo del vertedero, luego de que se ha 78 ING. OMAR FRANCISCO CASTRO ZEBALLOS derivado un caudal Qv. Fr1 = Número de Froude en el canal aguas arriba del vertedero. Fr2 = Número de Froude en el canal aguas abajo del vertedero. P = Altura de la cresta del vertedero por encima del fondo del canal. b = Ancho del canal.
  • 79.
    Universidad José CarlosMariátegui DISEÑO DE ESTRUCTURAS HIDRÁULICAS Y1 = Profundidad del agua en el canal aguas arriba del vertedero. Y2 = Profundidad del agua en el canal aguas abajo del vertedero. So = Pendiente longitudinal del canal. A = Coeficiente de Coriolis para corrección en la ecuación de Energía. B = Coeficiente de Boussinesq para corrección en la ecuación de 79 ING. OMAR FRANCISCO CASTRO ZEBALLOS Cambio en Cantidad de Movimiento. N = Rugosidad de Manning en el canal. Cv = Coeficiente de descarga del vertedero. i = Pendiente longitudinal del agua a lo largo del vertedero. e = Coeficiente de pérdidas por cambio de dirección y por choque del agua contra las paredes del vertedero. Limitaciones La aplicación de un método sencillo de cálculo para la solución de un problema que incluye una gran cantidad de variables debe considerar una serie de restricciones que faciliten los cálculos sin que la precisión de los resultados se vea afectada de una manera notable. Para el caso particular de un vertedero lateral en un canal rectangular de baja pendiente y sección constante las limitaciones que se consideran son las siguientes: • El régimen en el canal es Subcrítico inmediatamente antes y después del vertedero. El régimen de flujo en una sección determinada de un canal se clasifica en función del Número de Froude, NF, el cual es una relación adimensional entre fuerzas de inercia y de gravedad. En el régimen supercrítico (NF 1) el flujo es de alta velocidad, propio de canales de gran pendiente o de ríos de montaña. El flujo subcrítico (NF 1) corresponde a un régimen tranquilo, propio de tramos de llanura. El flujo crítico (NF = 1) es un estado teórico en canales y representa el punto de transición entre los regímenes subcrítico y supercrítico. • La cresta del vertedero lateral es horizontal y la pendiente del canal en el tramo ocupado por el vertedero es despreciable. • El canal es de sección rectangular, de ancho constante. • La cresta del vertedero tiene Perfil de Cimacio. En este caso, Cv = 2.2 en sistema métrico. En el Texto Diseño de Presas Pequeñas, USBR, hay un capítulo dedicado a los Perfiles de Cimacio y a la determinación del coeficiente. • La Energía Específica (E) en el canal a lo largo del vertedero es constante. E = Y + V2 / 2g
  • 80.
    Universidad José CarlosMariátegui DISEÑO DE ESTRUCTURAS HIDRÁULICAS 80 ING. OMAR FRANCISCO CASTRO ZEBALLOS Fórmulas En los libros de referencia, principalmente en Chow, 1959, y en Domínguez, 1974, se encuentra el desarrollo completo de las formulas y de sus aplicaciones en el caso particular de canales rectangulares de baja pendiente y sección contante, y en casos más generales, por ejemplo en canales rectangulares o trapezoidales de sección variable, con flujo subcrítico o supercrítico. La fórmula más conocida para el caso sencillo es la de Di Marchi . Di Marchi, citado por Chow y por Domínguez, mediante un procedimiento analítico integró la ecuación general del flujo espacialmente variado y obtuvo la siguiente expresión: X = ( b (2g)½ / Cv ) { [ (2E-3P) / (E-P) ] [ (E-Y) / (Y-P)]½ - 3arcsen[ (E-Y) / (Y-P)]½} + C La longitud del vertedero es L = X2 - X1, donde X1 y X2 son las abscisas correspondientes a las profundidades Y1 y Y2 respectivamente. Cuando el flujo es subcrítico la profundidad Y2 ( Figura No. 1 ) es conocida y es igual a la profundidad normal de flujo del canal de aguas abajo. X2 se fija arbitrariamente. Conocidos Y2, X2 se calcula la constante de integración C. Para calcular Y1 y X1 se aplica la fórmula de Di Marchi, por medio de aproximaciones sucesivas, hasta cuando se satisface la Ecuación del Caudal: En el problema son conocidos Qv, Cv, P, X2, Y2, E y C. Son incógnitas X1, Y1, y hay dos ecuaciones, la de Di Marchi y la del Caudal. El proceso de integración de la ecuación del caudal es dispendioso, por lo cual se recomienda utilizar una ecuación aproximada. Salamanca, 1970, recomienda la siguiente expresión: Qv = L ( 2 Zm )3/2 / 1.27 Donde: Zm = { ( Y1 - P ) + ( Y2 - P ) } / 2 , y L = X2 - X1 La ecuación se aplica en sistema métrico y utiliza un coeficiente Cv = 2.2 para el vertedero. En la práctica el coeficiente es menor por efecto del
  • 81.
    Universidad José CarlosMariátegui DISEÑO DE ESTRUCTURAS HIDRÁULICAS cambio de dirección del flujo que vierte y de su choque contra las paredes del vertedero. El coeficiente corregido toma la forma: 81 ING. OMAR FRANCISCO CASTRO ZEBALLOS Cv = 2.2 ( 1 - k Q2 / Q1 ) donde k es un factor que se determina experimentalmente. En vertederos pequeños k es del orden de 0.15. La ecuación del caudal con la corrección del coeficiente resulta: Qv = L ( 1 - k Q2 / Q1 ) ( 2 Zm )3/2 / 1.27 5.2 DISIPADORES DE ENERGÍA Al desarrollar el tema “Sistemas de conducción”, se mencionó como uno de los componentes de un sistema de conducción a las estructuras de disipación. Los disipadores de energía se usan para disipar el exceso de energía cinética del flujo de agua. Esta energía o altura de velocidad es adquirida por el agua donde la velocidad es alta, tal como en una caída o en una rápida, y el disipador de energía esta incorporado dentro del diseño de esta estructura. Un disipador de energía efectivo debe ser capaz de retardar el flujo rápido del agua para evitar daños por fuera de la estructura o en el canal aguas debajo de la misma. El disipador de energía de tipo de impacto dirige el agua a una obstrucción que desvía el flujo en todas las direcciones y de esta manera disipa la energía de la misma. En algunas estructuras el flujo se sumerge dentro de un cuenco disipador donde la energía se difunde. Caídas controladas, y caídas verticales, pantallas de choque a la salida, dados y pozos aquietadores verticales son todos disipadores del tipo de impacto. Otros disipadores usan el empuje hidráulico para reducir el exceso de carga. En este tipo de estructura el agua fluyendo a una velocidad tan alta como la crítica es forzada a formar un resalto hidráulico y la energía se disipa en forma de turbulencia. El cuenco disipador contiene el agua turbulenta hasta que esta pueda ser descargada hacia el canal de aguas abajo sin que se produzcan daños en el mismo. El tubo colector de la caída es un conducto de caída cerrada en el cual la presión hidráulica ocurre dentro del tubo. El disipador de energía del tipo de impacto es considerado más eficiente que los de tipo de presión
  • 82.
    Universidad José CarlosMariátegui DISEÑO DE ESTRUCTURAS HIDRÁULICAS hidráulica. Generalmente el uso de un disipador de energía del tipo de impacto, trae como resultado estructuras más pequeñas y económicas (U. S. Bureau of Reclamation, 1978). Se mencionan a continuación los distintos tipos de disipadores de energía que se analizarán (Torres Herrera, 1980). Cuenco Tipo1: el salto hidráulico se provoca en un piso horizontal sin bloques, ni dientes en el umbral extremo. Frecuentemente no resulta un cuenco atractivo, debido a su excesiva longitud. Se determinan los elementos y características de los saltos en un rango amplio de números de Froude, con el objeto de orientar al proyectista en seleccionar los cuencos. Cuenco Tipo 2: el salto y la longitud del tanque se reducen alrededor del 33%, está constituído por dientes al principio y final del cuenco. Se utiliza en grandes caídas, en descargas de vertederos o canales, para números de Froude superiores a 4,5. Cuenco Tipo 3: el salto y la longitud del tanque se reducen alrededor del 60%, está constituído por dientes al principio, bloques de impacto y umbral en el extremo inferior del cuenco. Se utiliza para descargas de vertederos y estructuras pequeñas en canales donde la velocidad de entrada al cuenco no exceda de 15 a 18 m/s y el número de Froude sea superior a 4,5. Cuenco Tipo 4: este tipo de cuenco se usa para números de Froude entre 2,5 y 4,5, frecuentemente se presentan en canales y presas de derivación. Reduce el oleaje excesivo creado por resaltos imperfectos. Disipador de Pantalla: es del tipo de impacto, se utiliza para velocidades de entrada menores a 15 m/s y números de Froude que no excedan de 9. No se requiere colchón de agua. Las pérdidas de energía son mayores que en un salto comparable. Trampolín Sumergido: cuando la profundidad de aguas abajo es demasiado grande para la formación del resalto hidráulico, la disipación de la energía puede conseguirse mediante el uso de este tipo de disipador. Dados Disipadores: para uso en canales donde el agua debe bajarse de una elevación a otra. Puesto que las elevaciones del agua al pie de la rápida llegan con valores relativamente bajos, no se requiere cuenco amortiguador. El canal puede diseñarse para descargar hasta 5,5 m³/s 82 ING. OMAR FRANCISCO CASTRO ZEBALLOS
  • 83.
    Universidad José CarlosMariátegui DISEÑO DE ESTRUCTURAS HIDRÁULICAS por metro de ancho y la caída puede ser tan grande como sea estructuralmente factible. 83 ING. OMAR FRANCISCO CASTRO ZEBALLOS 5.2.1 Cuenco Disipador Tipo 1 Descripción: a partir de los estudios intensivos de muchas estructuras existentes y de investigaciones de laboratorio, el U. S. Bureau of Reclamation, desarrolló varios tipos de diseño generalizado de cuencos disipadores. El cuenco tipo 1 lo origina un resalto hidráulico que ocurre en un piso plano sin ningún accesorio, y puede diseñarse con facilidad siguiendo los principios descriptos en las secciones iniciales de este trabajo. Sin embargo, tal cuenco por lo general no es muy práctico, debido a que su longitud lo hace costoso y a su falta de control (figuras 21, 22 y 23).
  • 84.
    Universidad José CarlosMariátegui DISEÑO DE ESTRUCTURAS HIDRÁULICAS 84 ING. OMAR FRANCISCO CASTRO ZEBALLOS 5.2.2 Cuenco Disipador Tipo 2 Descripción: este tipo se desarrollo para cuencos disipadores de uso común en vertederos de presas altas y de presas de tierra y para estructuras de canales grandes. El cuenco contiene bloques en la rápida del extremo de aguas arriba y un umbral dentado cerca del extremo de aguas abajo. No se utilizan bloques de impacto debido a que las velocidades relativamente altas que entran al resalto pueden causar cavitación en dichos bloques.
  • 85.
    Universidad José CarlosMariátegui DISEÑO DE ESTRUCTURAS HIDRÁULICAS 85 ING. OMAR FRANCISCO CASTRO ZEBALLOS
  • 86.
    Universidad José CarlosMariátegui DISEÑO DE ESTRUCTURAS HIDRÁULICAS 86 ING. OMAR FRANCISCO CASTRO ZEBALLOS
  • 87.
    Universidad José CarlosMariátegui DISEÑO DE ESTRUCTURAS HIDRÁULICAS Diseño: en la figura 25 se muestra el diseño detallado y los datos necesarios para el cálculo. Las reglas recomendadas para el diseño son las siguientes (Chow, 1994): 1) Fijar la elevación del piso para utilizar la profundidad secuente de aguas abajo completa, más un factor de seguridad adicional si es necesario. Las líneas punteadas de la figura 27 sirven como guía para diferentes relaciones de la profundidad real de aguas abajo con respecto a la profundidad secuente. Existe un límite, el cual es establecido por la curva denominada Mínima profundidad de salida, que indica el punto para el cual el frente del resalto se mueve hacia fuera de los bloques de la rápida. En otras palabras, cualquier reducción adicional de la profundidad de salida hará que el resalto se salga del cuenco; es decir, producirá un barrido de resalto. El cuenco no debe diseñarse para una profundidad menor que la secuente. Para mayor seguridad, el U. S. Bureau of Reclamation recomienda un margen de seguridad mínimo del 5% de D2, que debe sumarse a la profundidad secuente. 2) Este tipo de cuenco puede ser efectivo hasta un número de Froude tan bajo como 4, pero para valores menores esto no necesariamente es cierto. Para valores bajos, se recomiendan diseños que consideran la supresión de ondas. 3) La longitud del cuenco puede obtenerse de la curva de longitud del 87 ING. OMAR FRANCISCO CASTRO ZEBALLOS resalto dada en la figura 24. 4) La altura de los bloques de la rápida es igual a la profundidad D1 del flujo que entra al cuenco. El ancho y el espaciamiento deben ser aproximadamente iguales a D1, sin embargo esto puede modificarse para eliminar la necesidad de fracciones de bloques. Con respecto a las paredes laterales es preferible un espaciamiento igual a 0,5 D1 para reducir salpicaduras y mantener presiones adecuadas. 5) La altura del umbral dentado es igual a 0,2 D2 y el ancho máximo y el espaciamiento máximo recomendado son de aproximadamente 0,15 D2. En este diseño se recomienda colocar un bloque adyacente a cada pared lateral (figura 25). La pendiente de la parte continua del umbral de salida es 2:1. En el caso de cuencos angostos, según la regla anterior, que involucraría sólo algunos dientes es recomendable reducir el ancho y el espaciamiento, siempre y cuando esto se haga de manera proporcional. La reducción del ancho y del espaciamiento en realidad mejora el comportamiento en estos cuencos; luego los anchos y los espaciamientos mínimos entre los dientes se establecen sólo por consideraciones estructurales.
  • 88.
    Universidad José CarlosMariátegui DISEÑO DE ESTRUCTURAS HIDRÁULICAS 6) No es necesario escalonar los bloques de la rápida y el umbral dentado. De hecho esta práctica no es recomendable desde un punto de vista constructivo. 7) Las pruebas de verificación sobre estos cuencos no indican cambios perceptibles en la acción del cuenco disipador con respecto a la pendiente de la rápida aguas arriba del cuenco. En estas pruebas la pendiente de la rápida varía desde 0,6:1 a 2:1. En realidad, la pendiente de la rápida, en algunos casos, tiene un efecto sobre el resalto hidráulico. Es recomendable que la intersección aguda entre la rápida y el cuenco se remplace por una curva de radio razonable (R ≥ 4 D1) cuando la pendiente de la rápida es 1:1 o mayor. Los bloques de la rápida pueden incorporarse a la superficie curvas con tanta facilidad como a las planas. En rápidas empinadas la longitud de la superficie superior de los bloques debe hacerse lo suficientemente larga como para deflectar el chorro. 8) Los perfiles aproximados para la superficie del agua y para las presiones de un resalto en el cuenco se muestran en la figura 26. 88 ING. OMAR FRANCISCO CASTRO ZEBALLOS 5.2.3 Cuenco Disipador Tipo 3 Descripción: este cuenco utiliza dados en la escarpa y la solera, así como un umbral final para acortar la longitud del cuenco, y reducir las altas velocidades dentro del menor cuenco posible. Este cuenco actúa disipando la energía en los bloques de impacto y también mediante la turbulencia propia del resalto. Su uso debe limitarse a velocidades no superiores a 15 m/s, ya que existe el peligro de destrucción de los bloques, debido a los esfuerzos de impacto si la velocidad es demasiado alta, así como la posibilidad de que aparezcan fenómenos de cavitación en los bloques o en la solera. Deben tenerse en cuenta los esfuerzos adicionales sobre la solera, producidos por las fuerzas dinámicas, que actúan en la cara de aguas arriba de los hitos de impacto. Estas fuerzas dinámicas equivalen, aproximadamente, a las que produciría un chorro líquido chocando contra un plano normal a la dirección de la corriente. En la cara de aguas abajo aparecensubpresiones que aumentan la fuerza total. Sin embargo, puesto que los bloques están situados a una distancia de 0,8 D2, medida desde el principio del cuenco, se habrán producido ya algunas amortizaciones en el momento que el chorro alcanza el bloque.
  • 89.
    Universidad José CarlosMariátegui DISEÑO DE ESTRUCTURAS HIDRÁULICAS 89 ING. OMAR FRANCISCO CASTRO ZEBALLOS
  • 90.
    Universidad José CarlosMariátegui DISEÑO DE ESTRUCTURAS HIDRÁULICAS Diseño: en la figura 28 se muestra el detalle del cuenco tipo 3. Las reglas recomendadas para el diseño son las siguientes (U. S. Bureau of Reclamation, 1970): 1) La longitud del cuenco puede obtenerse de la curva de longitud del 90 ING. OMAR FRANCISCO CASTRO ZEBALLOS resalto dada en la figura 31. 2) La altura de los bloques a la entrada es igual a la profundidad del tirante a la entrada (D1), la altura de los bloques intermedios (h3) se determina de la Figura 30. 3) La distancia desde el extremo de aguas arriba del cuenco disipador hasta los bloques del piso es 0,8 D2. 4) Las dimensiones, pendiente y espaciamiento de los bloques intermedios se muestran en la figura 28. 5) La altura del umbral de salida (h4) se determina de la Figura 30. 6) La altura de la profundidad secuente (D2) se obtiene de la figura 29. 5.2.4 Cuenco Disipador Tipo 4 Descripción: en este tipo de cuenco, se producirá un resalto oscilante en el cuenco disipador, el cual genera una onda que es difícil de atenuar. El cuenco se diseña para combatir este problema eliminando la onda en su
  • 91.
    Universidad José CarlosMariátegui DISEÑO DE ESTRUCTURAS HIDRÁULICAS fuente. Esto se lleva a cabo intensificando el remolino que aparece en la parte superior del resalto, con los chorros direccionales deflectados utilizando grandes bloques en la rápida. Algunas veces es necesario emplear amortiguadores de ondas para asegurar una corriente tranquila aguas abajo. 91 ING. OMAR FRANCISCO CASTRO ZEBALLOS
  • 92.
    Universidad José CarlosMariátegui DISEÑO DE ESTRUCTURAS HIDRÁULICAS Diseño: en la figura 32 se muestra un cuenco tipo 4. Las reglas recomendadas para el diseño son las siguientes (U. S. Bureau of Reclamation, 1970): 1) La profundidad del calado aguas abajo del cuenco se obtiene de la 92 ING. OMAR FRANCISCO CASTRO ZEBALLOS figura 33. 2) La longitud del cuenco puede obtenerse de la curva de longitud del resalto dada en la figura 34. 3) El número mínimo de bloques requeridos se muestra en la figura 32. Para un comportamiento hidráulico mejor, es conveniente construir estos bloques más angostos que lo indicado, preferiblemente con un ancho igual a 0,75 D1. 4) Debido a la tendencia del resalto a extenderse y así como para reducir la acción del oleaje, la profundidad de salida es recomendable que sea de un 5% a 10% mayor que la profundidad secuente del resalto. 5.2.5 Disipador de Pantalla Descripción: un disipador de pantalla es una estructura en forma de caja que contiene una pantalla colgante y una solera final. La disipación de energía se produce por el choque del chorro con los muros de impacto colocados verticalmente y por los remolinos que se forman al cambiar la dirección del chorro después del choque. Para conseguir que el funcionamiento sea satisfactorio, deberá colocarse la parte inferior del deflector al mismo nivel que el canal o tubo de salida. Este tipo de amortiguador está solicitado por grandes fuerzas dinámicas y turbulencias que deben considerarse en su cálculo estructural. Por ello la estructura debe calcularse lo suficientemente resistente para no deslizarse por efecto del impacto de agua y para resistir las fuertes vibraciones que se producen, además de las grandes cargas dinámicas a que están sometidos cada uno de sus componentes. La solera y los laterales del canal de salida deben
  • 93.
    Universidad José CarlosMariátegui DISEÑO DE ESTRUCTURAS HIDRÁULICAS estar revestidos con escollera para reducir la erosión, que puede producir el agua al abandonar el amortiguador, sobre todo cuando el calado de aguas abajo es muy pequeño (U. S. Bureau of Reclamation, 1970). Diseño: en la figura 35 se muestra un disipador de pantalla. Las reglas recomendadas para el diseño son las siguientes (U. S. Bureau of Reclamation, 1978): 1) Como se observa en la figura 35, las dimensiones se expresan como fracciones de W, por lo tanto bastará con obtener W de la figura 36. 2) El tirante de salida debe ser aproximadamente de (½—3/8—W + W/6) a partir de la solera de la estructura que contiene a la pantalla. La altura de este tirante por encima del borde inferior no debe nunca exceder (3/8—W + W/6) porque de lo contrario parte del flujo no chocaría con la pantalla. 3) Si la profundidad de salida no se controla, la cota del cuenco estará a una distancia f por debajo de la cota de la solera del canal corriente abajo. Como las pantallas de choque no necesitan de un tirante de salida fijo, esta salida es particularmente útil donde la profundidad de salida no se controla o donde la tasa de crecimiento de la descarga es repentina y el aumento del tirante es lento. 4) El diámetro del conducto de entrada a la estructura de la pantalla de choque, debe ser determinado usando una velocidad de 3,6 m/s asumiendo que funciona lleno. 5) Si la tubería de entrada desciende, la parte final de la misma debe horizontalizarse una longitud al menos de tres veces el diámetro para dirigir el chorro hacia la pantalla. 6) Si existe la posibilidad de que la parte final del conducto aguas arriba y aguas abajo sean selladas, puede ser necesaria una abertura de toma de aire cerca del final del conducto corriente arriba para prever fluctuaciones de presión y un flujo oleante asociado en el sistema. 7) La velocidad entubada teórica debe limitarse a 15 m/seg para prevenir 93 ING. OMAR FRANCISCO CASTRO ZEBALLOS la cavitación o los daños de impacto del cuenco
  • 94.
    Universidad José CarlosMariátegui DISEÑO DE ESTRUCTURAS HIDRÁULICAS 94 ING. OMAR FRANCISCO CASTRO ZEBALLOS
  • 95.
    Universidad José CarlosMariátegui DISEÑO DE ESTRUCTURAS HIDRÁULICAS 95 ING. OMAR FRANCISCO CASTRO ZEBALLOS 5.2.6 Trampolín Sumergido Descripción: el comportamiento hidráulico de estos disipadores se manifiesta principalmente por la formación de dos remolinos, uno superior, alojado en la curvatura del trampolín y moviéndose en sentido contrario a las agujas del reloj, y el otro inferior, aguas abajo del trampolín, moviéndose en sentido de las agujas del reloj, el cuál atrae los materiales flojos que se encuentran al pié del trampolín y los mantiene en constante agitación. El movimiento de estos remolinos, que se entremezclan con la corriente afluente, consigue la disipación de la energía de manera eficiente e impide, al mismo tiempo, una excesiva erosión aguas abajo del trampolín. Se han desarrollado dos tipos de trampolines, trampolín liso y dentado, los cuales se observan en la figura 37 y 38 respectivamente. En el trampolín dentado, o de lanzamiento múltiple, el chorro de alta velocidad sale formando un ángulo más plano y solamente una parte se abre camino hacia la superficie, con lo cual la ebullición es mucho menos violenta y la dispersión de la corriente, es más perfecta; el flujo de alto contenido de energía es menor sobre el trampolín, y agua abajo la corriente es más tranquila.
  • 96.
    Universidad José CarlosMariátegui DISEÑO DE ESTRUCTURAS HIDRÁULICAS El uso del trampolín plano (no dentado) puede ser contraproducente porque el material que arrastra el remolino inferior desgasta, por abrasión, la superficie de hormigón del trampolín. Aunque el trampolín dentado proporciona una mejor disipación de energía, una superficie menos turbulenta y menores daños en el cauce, es también menos estable. Cuando el calado agua abajo es excesivo se produce el fenómeno de que el remolino inferior profundiza y sumerge en el cauce (U. S. Bureau of Reclamation, 1970). Diseño: en la figura 38 se muestra un trampolín dentado. Las reglas recomendadas para el diseño son las siguientes (U. S. Bureau of Reclamation, 1970): 1) Como se observa en la figura 38, las dimensiones se expresan como 96 ING. OMAR FRANCISCO CASTRO ZEBALLOS fracciones del radio de curvatura del trampolín (R). 2) El proyecto de un trampolín dentado exige la determinación del radio de curvatura del trampolín y el intervalo de calados admisibles agua abajo. 3) Ambos datos se relacionan con el número de Froude en los ábacos de la figura 39. 4) Los valores del número de Froude se refieren al punto de entrada del chorro al trampolín.
  • 97.
    Universidad José CarlosMariátegui DISEÑO DE ESTRUCTURAS HIDRÁULICAS 97 ING. OMAR FRANCISCO CASTRO ZEBALLOS
  • 98.
    Universidad José CarlosMariátegui DISEÑO DE ESTRUCTURAS HIDRÁULICAS 98 ING. OMAR FRANCISCO CASTRO ZEBALLOS 5.2.7 Dados Disipadores Descripción: los dados disipadores en caída se usan en canales para proveer disipación del exceso de energía en la caída en forma gradual. La disipación de la energía ocurre cuando el agua fluye sobre los dados disipadores, los cuales están ubicados a lo largo del piso de la caída. La capacidad de los dados disipadores de acomodar la elevación de la cota del agua, que fluctúa ampliamente, hace que sea especialmente apropiado como un disipador de energía para el final de un canal, o en canales de escape que descargan dentro de un reservorio. La longitud de los dados disipadores no afecta la eficacia de la estructura. Estos son efectivos en la disipación de energía para caídas de cualquier magnitud, pero esto se convierte en antieconómico para flujos largos con grandes caídas, debido al ancho de la sección y a la cantidad de bloques que se requieren. Un exceso de basura, árboles o plantas que acompañen el flujo, pueden alojarse entre los dados restringiendo el flujo y la remoción de este material en la mayoría de las veces puede resultar dificultosa (U. S. Bureau of Reclamation, 1978). Se utilizan varios tipos de control de entrada para mantener un nivel de superficie del agua aguas arriba, así como el requerido para la salida o para proveer de una velocidad de aproximación consistente con la tolerancia de escurrimiento de la sección aguas arriba, o para evitar el excesivo salpicado que puede resultar a partir de un flujo supercrítico en el ingreso. Las características más comunes de control de ingreso son las siguientes: Control de umbral: se puede proveer de un control de umbral en el ingreso (figura 40, A) para reducir la velocidad de aproximación y minimizar la fricción de la sección aguas arriba. El umbral también proporciona un nivel de agua controlado para desviaciones aguas arriba. Para permitir el drenaje completo del cuenco de aguas arriba, se provee de una abertura a través de la cresta (figura 41). El ingreso debe conservarse libre de depósitos de sedimentos, así como de la acumulación de sedimentos, que permitiría al flujo pasar el umbral a una velocidad muy elevada para una disipación efectiva de energía. Sección de control: para controlar la profundidad del agua aguas arriba se debe colocar en el ingreso una sección de control (figura 40, B). La sección de control está diseñada para mantener una velocidad y una profundidad normales en la sección aguas arriba. Ésta produce un aumento de la velocidad en la entrada, causando salpicaduras cuando el flujo golpea
  • 99.
    Universidad José CarlosMariátegui DISEÑO DE ESTRUCTURAS HIDRÁULICAS con la primera fila de bloques. La excesiva turbulencia puede requerir mantenimiento frecuente de la protección contra la erosión. La sección de control debe mantenerse libre de basura. Sin control de entrada: el tipo más simple de ingreso (figura 40, C) se usa donde no hay una necesidad de controlar el nivel de agua aguas arriba, para una salida libre y cuando el canal es lo suficientemente estable para resistir sin erosión las altas velocidades asociadas con el arrastre de la superficie de agua. Para minimizar la turbulencia, como la que forma el flujo al golpear la primera línea de dados, se puede colocar una curva invertida para asignarle al flujo que golpea los bloques, una dirección normal a la que tenía la superficie aguas arriba. Donde el flujo no es frecuente y se permite alguna turbulencia o salpicadura, la curva generalmente se omite, como se muestra en la figura 40, B. 99 ING. OMAR FRANCISCO CASTRO ZEBALLOS
  • 100.
    Universidad José CarlosMariátegui DISEÑO DE ESTRUCTURAS HIDRÁULICAS Diseño: las reglas recomendadas para el diseño son las siguientes (U. S. Bureau of Reclamation, 1978): 1) La capacidad en esta estructura es función de la descarga permitida q, por unidad de ancho, como se muestra en la siguiente tabla. * Para capacidades mayores la losa dentada puede diseñarse con una descarga máxima por metro de ancho de 5,50 m³/seg, y la caída puede ser tan grande como sea estructuralmente factible. 2) La entrada debe ser del mismo ancho que el disipador, y debe proveer una velocidad de aproximación más lenta que la velocidad crítica. Donde 100 ING. OMAR FRANCISCO CASTRO ZEBALLOS
  • 101.
    Universidad José CarlosMariátegui DISEÑO DE ESTRUCTURAS HIDRÁULICAS la salpicadura debe ser minimizada, la velocidad de entrada no debe superar la mitad de la velocidad crítica. 3) Para control de umbral (figura 40, A) la longitud de entrada debe ser igual a dos veces el tirante aguas arriba. La altura requerida del umbral sobre el piso de la entrada puede ser determinada de un balance de energía entre la entrada y el canal aguas arriba. La curvatura de la cresta del umbral debe terminar en el punto de tangencia con la pendiente de la caída aguas abajo. Este punto no debe estar a más de 30 cm de la elevación del fondo de la cresta. Esto se asegura limitando el radio de curvatura a un máximo de 2,7 m. Frecuentemente se usa un radio de 1,80 m. El umbral tiene una ranura de ancho igual a 15 cm, para proveer el drenaje del pozo aguas arriba. 4) Donde se usa un control por entalladura, la entrada de sección rectangular debe empezar 1,5 m aguas arriba de dicho control, y la longitud entre la entalladura y el umbral debe ser igual a tres veces el tirante aguas arriba, como se muestra en la figura 40, B, para permitir que el flujo llene el ancho completo de la sección. 5) El piso de la caída y de las paredes laterales deben tener una pendiente 101 ING. OMAR FRANCISCO CASTRO ZEBALLOS 2:1. 6) El ancho aproximado de la estructura debería ser ajustado mediante la relación: B = Q/q. 7) Se debe ajustar la primera fila de dados de manera que la base de la cara aguas arriba es el fin de aguas abajo de la curva, y que no esté a más de 30 cm de la cota de la cresta. 8) La altura del bloque hb, debe ser alrededor de 0,9 veces el tirante crítico. 9) El ancho del bloque y el espaciamiento, deben ser iguales y no menores que hb, pero no mayores que una vez y media hb. Dados parciales que tienen un ancho no menor que un tercio de hb y no mayor que dos tercios de hb deben estar situados cerca de las paredes laterales en filas 1, 3, 5, 7, etc. Deben colocarse filas alternadas de dados en tresbolillo de manera que cada bloque este aguas abajo de un espacio de la fila adyacente. El ancho de la estructura, B, determinado antes, debe ajustarse convenientemente a los anchos de los dados que se utilicen. 10) La distancia S entre las filas de dados, debe ser menor a dos veces hb, pero no mayor que 1,8 m. Un espacio de 1,8 m puede ser usado para cualquier bloque con una altura menor o igual a 90 cm. 11) Debería usarse un mínimo de cuatro filas de dados. Los disipadores en caída deben prolongarse de manera que la parte superior de por lo menos una fila de dados esté bajo el nivel de fondo de salida del canal. La rampa debe extenderse más allá de la última fila de bloques a una distancia igual al espacio libre entre las filas de dados.
  • 102.
    Universidad José CarlosMariátegui DISEÑO DE ESTRUCTURAS HIDRÁULICAS 12) Los dados se construyen con sus caras hacia aguas arriba normales al piso de la rápida. El espesor T de los dados en la parte superior debe ser aproximadamente un 20% de hb y no menor a 20 cm, ni mayor a 25 cm. Ver detalle en la figura 41. 13) La altura propuesta de las paredes que proporciona una revancha adecuada es 3 veces la altura del bloque, medida perpendicularmente al piso de la rápida. Generalmente no es posible ajustar la revancha para que estas estructuras contengan el salpicado de agua. 14) Además de los muros a la entrada, los muros de alas se colocan en el final de la estructura aguas abajo o cerca de ese punto para impedir la percolación y para conservar el relleno a lo largo de la pendiente. Cuando el canal aguas abajo esta sujeto a degradación, se extiende una tablestaca hacia abajo desde la solera (figura 41). Los muros de ala pueden ser colocados en el final de la estructura para coincidir con la tablestaca, pero frecuentemente se sitúan unos metros aguas arribas del final como se observa en la figura. Esto proporciona una mejor acción disipadora en la salida, e incrementa la elevación máxima de los muros de alas los cuales deben ser localizados por encima de la elevación del tirante de agua a la salida para minimizar la erosión. 15) Los drenes protectores algunas veces son colocados debajo de la estructura de caída de la pantalla de choque para aliviar el incremento de presión a continuación de la terminación del flujo. 16) Cuando es necesario cruzar la estructura, se puede incorporar un puente 102 ING. OMAR FRANCISCO CASTRO ZEBALLOS de tablero superior en el diseño de la entrada.
  • 103.
    Universidad José CarlosMariátegui DISEÑO DE ESTRUCTURAS HIDRÁULICAS 6 DISEÑO ESTRUCTURAL DE ESTRUCTURAS HIDRAULICAS 6.1 CRITERIOS Y DATOS TÉCNICOS PARA EL DISEÑO El diseño estructural de las obras estará regido por lo establecido en el Reglamento Nacional de Edificaciones del Perú, en las Normas Peruanas de Estructuras y en el Reglamento de las Construcciones de Concreto Reforzado (ACI 318-99), para el diseño por el método de las cargas de trabajo (Diseño Elástico) para estructuras en contacto con el agua. 103 CAPITULO 6 ING. OMAR FRANCISCO CASTRO ZEBALLOS Cargas sobre las estructuras Para el diseño de las estructuras, se consideran las cargas muertas debidas al peso de los materiales y a los empujes laterales producidos por la presión hidrostática del agua y por los rellenos que se ejecutarán al costado de las estructuras. Para el cálculo de los empujes laterales se considerarán también las sobrecargas que ocurrirán debidas al equipo de construcción que será empleado durante la fase de ejecución de la obra. Para la evaluación de los empujes laterales se empleará la solución adoptada por Rankine para la ecuación de Coulomb. Los valores adoptados en el cálculo son los siguientes: a. Angulo de fricción interna: 26° a 32° para suelos compactados, b. Peso unitario del terreno compactado: 1,800kg/m3 c. Peso unitario del concreto armado: 2,400 kg/m3 d. Altura de sobrecarga mínima durante la construcción: 0.60 m, e. Incremento del empuje de tierra debido al efecto sísmico aplicando en método de Mononobe Okabe :
  • 104.
    Universidad José CarlosMariátegui DISEÑO DE ESTRUCTURAS HIDRÁULICAS 1 γ 2 − − cos ( )  − 104 φ δ φ ψ β − × − + ( ) ( )  ING. OMAR FRANCISCO CASTRO ZEBALLOS ( Eae = × ×H 1− Kv)× Kae 2 2 2 2 cos( ) cos( )  cos cos cos( ) 1   − + × − × × − + × + = ψ θ δ β θ ψ θ ψ θ δ φ ψ θ sen sen Kae    = Kh Kv arctg 1 θ
  • 105.
    Universidad José CarlosMariátegui DISEÑO DE ESTRUCTURAS HIDRÁULICAS 105 fc kd C ING. OMAR FRANCISCO CASTRO ZEBALLOS φ = ángulo de fricción interna del suelo, ψ = ángulo inercial sísmico, β = ángulo de inclinación del talud, θ = ángulo de inclinación del muro, δ = ángulo de fricción entre el muro y el relleno: kv y kh coeficientes de aceleración sísmica vertical y horizontal. Esfuerzos Admisibles Acero de refuerzo: Los esfuerzos admisibles en el acero serán de 0.4fy = 1680 kg/cm2. Para el análisis de los elementos en casos de esfuerzos extraordinarios como eventos sísmicos de poca duración, el esfuerzo admisible podrá ser incrementado en un 33.33%. Concreto: fs T kd Jd = d - kd/3 d fc1 fc n As b kd d
  • 106.
    Universidad José CarlosMariátegui DISEÑO DE ESTRUCTURAS HIDRÁULICAS Esfuerzo de compresión por flexión en la fibra extrema: Esfuerzo de tracción por flexión en la fibra extrema: Esfuerzo de corte concreto simple: Esfuerzo de corte asumido por el concreto: ' 0.27 C f Máximo esfuerzo de corte asumido por el concreto y el acero: Se empleará concreto de f´c=210kg/cm2, por lo que: 2 106 = = = x E M 106 0.45 ' C f ' 0.595 C f ING. OMAR FRANCISCO CASTRO ZEBALLOS ' 0.53 C f = 0.341 + C = fc f n fc k S 9.20 15000 210 E n S j =1− k / 3 = 0.886 R = 1/ 2× f × j × k = 14.282 C As × b d ρ = Recubrimiento de la Armadura El recubrimiento mínimo de la armadura es el siguiente: Estructuras expuestas al relleno : 4.0 cm. Estructuras expuestas al agua calmada (V5 m/seg) : 5.0 cm. Estructuras expuestas al agua (5 m/segV10 m/seg) : 7.5 cm. ' 1.18 C f f j d As S × × =
  • 107.
    Universidad José CarlosMariátegui DISEÑO DE ESTRUCTURAS HIDRÁULICAS 107 ING. OMAR FRANCISCO CASTRO ZEBALLOS Anclajes y Empalmes del Refuerzo: Las longitudes de anclajes y empalmes serán las siguientes: Barra Anclaje Empalme 3/8 30 cm 40 cm 1/2 30 cm 45 cm 5/8 40 cm 55 cm 3/4 50 cm 65 cm 1 90 cm 115 cm 1 3/8 170 cm 220 cm Requerimientos Mínimos de Refuerzo a. Refuerzo mínimo por temperatura (Ref USBR Desing of small Canal Structures) 1= 30’ 130’ Refuerzo en una capa: No expuesto directamente al sol: 0.0025 0.0035 Expuesto directamente al sol: 0.0030 0.0040 Refuerzo en dos capas: Cara adyacente expuesta al terreno: 0.0010 0.0015 Cara adyacente expuesta al terreno y no expuesta directamente al sol : 0.0015 0.0020 Cara adyacente al terreno y expuesta directamente al sol: 0.0020 0.0025 b. El acero por temperatura será As = ρ b t para tmax=15 c. Refuerzo mínimo para elementos sujetos a flexión ρmin = 200/fy = 0.0033 ó As = 4/3 As requerido por el análisis ó ρmin = 0.0020 para losas y muros Clase y Tipo de Acero de Refuerzo Se empleará acero grado 60 con fy=4200 kg/cm2