HIDRAULICA DE CANALES RESALTO HIDRAULICO
Por MSc . Ing Luis Sandoval 1er Semestre de 2015
RESALTO HIDRAULICO
DEFINICION DEL FENOMENO: El resalto o salto hidráulico es un
fenómeno local, que se presenta en el flujo rápidamente variado, el cual va
siempre acompañado por un aumento súbito del tirante y una pérdida de
energía bastante considerable (disipada principalmente como calor), en un
tramo relativamente corto. Ocurre en el paso brusco de régimen
supercrítico (rápido) a régimen subcrítico (lento), es decir, en el resalto
hidráulico el tirante, en un corto tramo, cambia de un valor inferior al crítico
a otro superior a éste. La figura 4.1 muestra este fenómeno.
Generalmente, el resalto se forma cuando en una corriente rápida
existe algún obstáculo o un cambio brusco de pendiente. Esto sucede al pie
de estructuras hidráulicas tales como vertederos de demasías, rápidas,
salidas de compuertas con descarga por el fondo, etc, lo que se muestra en
la figura 4.2
En un resalto como el que se muestra en la figura 4.3 se pueden
realizar las siguientes observaciones:
1) Antes del resalto, cuando el agua escurre todavía en régimen
rápido, predomina la energía cinética de la corriente, parte de la
cual se transforma en calor (pérdida de energía útil) y parte en
energía potencial (incremento del tirante), siendo ésta la que
predomina, después de efectuado el fenómeno.
2) En la figura 4.3, las secciones 1 y 2 marcan esquemáticamente el
principio y el final del resalto. Los tirantes y1 y y2 con que escurre
el agua antes y después del mismo se llaman tirantes
conjugados, donde:
y2=tirante conjugado mayor, y1=tirante conjugado menor
3) La diferencia y2-y1 es la altura del resalto y L su longitud, existen
muchos criterios para encontrar este último valor.
4) E1 es la energía específica antes del resalto y E2 la que posee la
corriente después de él. Se observa que en 2 la energía específica
es menor que en 1 debido a las fuertes pérdidas de energía útil que
el fenómeno ocasiona; esta pérdida se representa como E1-E2.
Además de su mérito como disipador natural de energía, el
resalto hidráulico tiene muchos otros usos prácticos, entre los
cuales se pueden mencionar los siguientes:
a) Prevención o confinamiento de la socavación aguas abajo
de las estructuras hidráulicas donde es necesario disipar
energía.
b) Mezclado eficiente de fluidos o de sustancias químicas
usadas en la purificación de aguas, debido a la naturaleza
fuertemente turbulenta del fenómeno.
c) Incremento del caudal descargado por una compuerta
deslizante al rechazar el retroceso del agua contra la
compuerta. Esto aumenta la carga efectiva y con ella el
caudal.
d) La recuperación de carga aguas debajo de un aforador y
mantenimiento de un nivel alto del agua en el canal de
riego o de distribución del agua.
HIDRAULICA DE CANALES RESALTO HIDRAULICO
Por MSc . Ing Luis Sandoval 1er Semestre de 2015
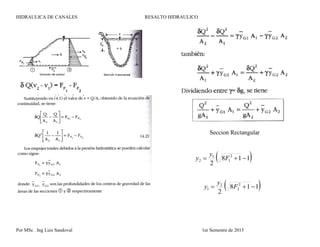
Seccion Rectangular
 118
2
2
1
1
2  F
y
y
 118
2
2
2
2
1  F
y
y
HIDRAULICA DE CANALES RESALTO HIDRAULICO
Por MSc . Ing Luis Sandoval 1er Semestre de 2015
SECCION TRAPEZOIDAL
LONGITUD DEL RESALTO (L)
La longitud del resalto ha recibido gran atención por parte de los
investigadores, pero hasta ahora no se ha desarrollado un procedimiento
satisfactorio para su cálculo. Sin duda, esto se debe al hecho de que el
problema no ha sido analizado teóricamente, así como a las
complicaciones prácticas derivadas de la inestabilidad general del
fenómeno y la dificultad en definir las secciones de inicio y fin del resalto.
Se acepta comúnmente que la longitud L del resalto se defina como la
distancia medida entre la sección de inicio y la sección inmediatamente
aguas abajo en que termina la zona turbulenta. Según el U.S. Bureau of
Reclamation, la longitud del resalto en un canal rectangular horizontal varía
de acuerdo con la siguiente tabla, o bien con la curva So=0 de la figura
4.20, o bien, para canales rectangulares con pendiente del fondo “So”
diferente de cero, según se muestra en la figura 4.20.
F1=v1/√gy1 1.7 2 2.5 3 3.5 4 5 6 8 10
L/y2 4 4.35 4.85 5.28 5.55 5.8 6 6.1 6.12 6.1
La longitud del resalto es un canal trapezoidal es mayor debido a la
simetría que se produce por efecto de la distribución no uniforme de las
velocidades.
Según Sieñchin: L = A(y2-y1)
Donde “A” depende del talud z del canal, según la siguiente tabla:
Talud Z 0 0.5 0.75 1 1.25 1.5
A 5 7.9 9.2 10.6 12.6 15
Según Hsing, la longitud del resalto en un canal trapezoidal es
mucho mayor, de acuerdo con la siguiente fórmula:







 

1
12
2
)(
415
y
yy
yL
HIDRAULICA DE CANALES RESALTO HIDRAULICO
Por MSc . Ing Luis Sandoval 1er Semestre de 2015
FORMAS DE RESALTO EN CANALES CON PENDIENTE CASI
HORIZONTAL
La forma del resalto hidráulico depende del número de Fraude
correspondiente al tirante conjugado menor: F1=v1/√gy1. De los estudios
realizados por el U.S. Bureau of Reclamation sobre el resalto hidráulico,
dentro de los tanques amortiguadores como medio, para disipar la energía
en descargas ya sean en vertederos o en obras de toma, y en general en
estructuras terminales, se tienen los siguientes casos:
1) Si F1 está comprendido entre 1 y 1.7 se tiene un resalto ondulado,
así:
Cuado el valor del número de Fraude, vale 1 el régimen es crítico y
no se forma el resalto hidráulico. Para valores entre 1 y 1.7 se tiene
un régimen un poco menor que el subcrítico, formándose
ondulaciones ligeras en la superficie. Aproximadamente la
velocidad v2 es 30% menor que la velocidad crítica.
2) Si F1 está comprendido entre 1.7 y 2.5 se tiene un resalto débil, es
un régimen bastante uniforme, se designa por la etapa previa al
resalto, sin turbulencia activa.
3) Si F1 se encuentra entre 2.5 y 4.5 el resalto es oscilante, no se
forma un resalto propiamente dicho, y se dice que se tiene un
régimen de transición, se recomienda, cuando se tengan números
de Fraude dentro de este intervalo, variar las condiciones del
régimen (por ejemplo el caudal por unidad de longitud en el
vertedor), de manera que se estén fuera de un régimen de
transición.
4) Si F1 se encuentra entre 4.5 y 9.0 el resalto es estable y
equilibrado:
5) Si F1 es mayor que 9 se presenta un resalto fuerte e irregular:
HIDRAULICA DE CANALES RESALTO HIDRAULICO
Por MSc . Ing Luis Sandoval 1er Semestre de 2015
ESTABILIDAD DEL RESALTO HIDRAULICO
Un aspecto importante en este tipo de problemas es cuidar la
estabilidad del resalto y su formación en el sitio adecuado, ya que
generalmente es utilizado como disipador de energía.
De manera general se puede decir que el resalto se formará
dependiendo de las condiciones hidráulicas que se tengan aguas abajo
inmediatamente después del mismo; es decir, la energía que tenga en una
sección aguas abajo del resalto donde se encuentre ya establecido
determinado régimen inducirá la formación de tal o cual tipo de resalto. Lo
anterior se puede observar con mayor claridad del siguiente esquema
aclaratorio
En la figura se pueden marcar 3 secciones bien definidas, a saber:
Sección 1: marca esquemáticamente el inicio del resalto y de las tres
indicadas es la que posee la mayor energía específica.
Sección 2: Indica el final del resalto y su energía específica es
sensiblemente menor que la que existe en 1: lo anterior debido a las fuertes
pérdidas de energía efectuadas durante el resalto.
Sección n: Sección inmediata a la formación del resalto en la cual se
encuentra ya establecido un cierto tipo de régimen (por ejemplo, si el tramo
del canal después del resalto es muy largo y sin obstáculos el flujo
establecido en n será uniforme). Se tienen las condiciones reales, por lo
que el tirante es posible calcularlo.
Lo que determina el sitio de la formación del resalto y la estabilidad del
mismo resulta de la comparación entre las energías que se tengan en las
secciones 2 y n se pueden presentar tres casos:
1) E2>En: en este caso la energía en la sección 2 es mayor que la
existente en n, por lo cual puede pensarse fácilmente que para que
no existan discontinuidades en las energías a lo largo del canal, el
resalto tendrá que ser barrido, esto último le dará oportunidad al
flujo de perder más energía y así equiparar la que se tenga en n.
2) E2=En: es el caso más conveniente y el más estable, ya que se
genera el resalto justamente en el lugar deseado (al pie de la
estructura o del canal de llegada); sucede que las pérdidas
efectuadas en el resalto son exactamente las deseadas para
igualar la energía en n y el flujo no precisa barrerse para perder
más energía. Por lo anterior se deduce fácilmente que el resalto
será claro.
3) E2<En: cuando pasa esto la energía que se tiene en la sección n,
por ser mayor que la energía remanente del resalto en 2, y por
estar determinada la energía de la sección en su mayor parte por la
altura de presión (tirante) se presentará un resalto abogado
HIDRAULICA DE CANALES RESALTO HIDRAULICO
Por MSc . Ing Luis Sandoval 1er Semestre de 2015
PROBLEMAS RESUELTOS
1) Un canal rectangular de 2 m de ancho de solera, transporta un
caudal de 3m3
/s. El tirante aguas abajo del resalto de 1 m.
Hallar el tirante aguas arriba, la longitud del resalto, la pérdida
de energía e indicar el tipo de resalto.
SOLUCIÓN
Datos
Q = 3 m3
/s
Se pide:
y1, L, ∆E, tipo de resalto → ?
a) Cálculo de y1:
Sabemos que:
 118
2
2
2
2
1  F
y
y
Donde
479.0
1*81.9
2/3/
22
2
2 
gy
AQ
gy
V
F
Luego:
 11²479.0*8
2
1
1 
m
y
y 1 = 0.3419 m
b) Cálculo de L:
Podemos usar el criterio de Sieñchin, el cual dice:
)( 12 yyAL 
Donde}, para un talud Z=0, se tiene A=5, luego
)(5 12 yyL 
Sustituyendo los valores de y2 y y1, se tiene:
L = 5(1-0.3419)
L = 3.29
c) Calculo de ∆E
Sabemos que: (4.29)
∆E = E –E2
Donde
HIDRAULICA DE CANALES RESALTO HIDRAULICO
Por MSc . Ing Luis Sandoval 1er Semestre de 2015
g
v
yE
2
2
1
11  y
g
v
yE
2
2
2
22 
Además:
y
q
v  Luego,
9810.0
81.92
3872.4
2
²
3872.4
3419.0
5.1 2
1
1
1 
xg
v
y
q
v
1147.0
81.92
5.1
2
²
5.1
1
5.1 2
2
2
2 
xg
v
y
q
v
Sustituyendo valores en (4.29), se tiene:
∆E = (0.3419+0.9810)-(1+0.1147)
∆E = 0.028 m-kg/kg
d) Tipo de resalto hidráulico:
Como sabemos el tipo de resalto hidráulico se establece según el
número de Fraude, tomando en consideración el tirante aguas arriba
del resalto, es decir:
1
1
1
gy
v
F 
3419.081.9
3872.4
1
x
F  3955.21 F
Valor que esta comprendido entre 1.7 y 2.5 por lo cual concluimos
que se trata de un resalto débil.
Un canal trapezoidal tiene un ancho de solera b=5m, talud Z=1 y para
una pendiente S=0.0004, adopta un tirante normal yn=1.75 en flujo
uniforme para n=0.025. Debido a razones topográficas, existe un
tramo intermedio en el canal, con suficiente longitud y pendiente para
que se establezca también flujo uniforme pero supercrítico. Calcular
la pendiente del tramo intermedio de manera que se produzca un
resalto inmediatamente después que termina dicho tramo, el cual
deberá revestirse de concreto, debido al aumento de velocidad
(n=0.015).
SOLUCIÓN:
a. Hallando Q:
De Manning:

Q 
1
n H
2/3
R O
1/2
S A
A=(5+1*1.75)*1.75=11.8125m2
,
mPM
95.975.1*1*25 1
2


HR 
11.8125
9.95
1.187m

Q 
1
0.025
2/3
1.187 
1/2
0.0004  (11.812) 10.5954
3
m s
Para forzar a un R. Hidráulico a que inicie en el cambio de
pendiente, el tirante conjugado mayor debe ser igual al tirante
normal en el canal, o sea Y2=YN=1.75m
HIDRAULICA DE CANALES RESALTO HIDRAULICO
Por MSc . Ing Luis Sandoval 1er Semestre de 2015
b. Calculando Tirante Conjugado Menor Y1
Para sección trapezoidal se tiene que:
  
  06)1)(6(
22
123
)1
2
5
( 1
2
2
234








 tJJJ rJtrt
ttt
t
DONDE:

J  1Y
2Y
,
Y
V
g
r
2
2
2
2

sms
m
m
V 897.0
8125.11
5954.10
2
3
2


 r 
2
0.897
2*9.81*1.75
 0.0234 ,

t 
b
Z 2Y

5
1*1.75
 2.8571
Sustituyendo y simplificando:

4
J  8.142
3
J  20.3875
2
J 14.5604J 2.0888 0
Resolviendo:
-3.94
-2.72

J
-1.64
0.1217 OK

J  1Y
2Y
 1Y
1.75
 0.1217 1Y  0.1217*1.75  0.213metros
Chequeando los tirantes Y1 y Y2 con el YCRITICO
T
A
C
C
g
Q
32

  
Y
YY
C
CC
*1*2581.9
5954.10 **15
3
2



Resolviendo por tanteos o Calc. Programable:
YC=0.73m
Comparando:

1Y  cY  2Y
0.213<0.73<1.75 OK También se puede corroborar con los
números de Froude.
c. Calculando la pendiente del tramo intermedio
También para que el Resalto Hidráulico se inicie en el cambio
de sección, el Y1 debe ser igual al tirante normal en dicho
tramo







AR
nQ
SSR
H
A
n
Q OOH
3/2
1
2
2/13/2
n = 0.015 (CONCRETO)
A = (5+0.213)*0.213=1.11m2

MP  5  2*0.213* 1
2
1  5.6025

HR  0.1982m
HIDRAULICA DE CANALES RESALTO HIDRAULICO
Por MSc . Ing Luis Sandoval 1er Semestre de 2015
Sustituyendo:

OS 
2
0.015*10.5954
2/3
0.1982 *1.11



 0.1773

Os 177.3m 1000m
L = 10.6(1.75-0.213) = 16.29 metros de revestimiento

Resalto hidraulico

  • 1.
    HIDRAULICA DE CANALESRESALTO HIDRAULICO Por MSc . Ing Luis Sandoval 1er Semestre de 2015 RESALTO HIDRAULICO DEFINICION DEL FENOMENO: El resalto o salto hidráulico es un fenómeno local, que se presenta en el flujo rápidamente variado, el cual va siempre acompañado por un aumento súbito del tirante y una pérdida de energía bastante considerable (disipada principalmente como calor), en un tramo relativamente corto. Ocurre en el paso brusco de régimen supercrítico (rápido) a régimen subcrítico (lento), es decir, en el resalto hidráulico el tirante, en un corto tramo, cambia de un valor inferior al crítico a otro superior a éste. La figura 4.1 muestra este fenómeno. Generalmente, el resalto se forma cuando en una corriente rápida existe algún obstáculo o un cambio brusco de pendiente. Esto sucede al pie de estructuras hidráulicas tales como vertederos de demasías, rápidas, salidas de compuertas con descarga por el fondo, etc, lo que se muestra en la figura 4.2 En un resalto como el que se muestra en la figura 4.3 se pueden realizar las siguientes observaciones: 1) Antes del resalto, cuando el agua escurre todavía en régimen rápido, predomina la energía cinética de la corriente, parte de la cual se transforma en calor (pérdida de energía útil) y parte en energía potencial (incremento del tirante), siendo ésta la que predomina, después de efectuado el fenómeno. 2) En la figura 4.3, las secciones 1 y 2 marcan esquemáticamente el principio y el final del resalto. Los tirantes y1 y y2 con que escurre el agua antes y después del mismo se llaman tirantes conjugados, donde: y2=tirante conjugado mayor, y1=tirante conjugado menor 3) La diferencia y2-y1 es la altura del resalto y L su longitud, existen muchos criterios para encontrar este último valor. 4) E1 es la energía específica antes del resalto y E2 la que posee la corriente después de él. Se observa que en 2 la energía específica es menor que en 1 debido a las fuertes pérdidas de energía útil que el fenómeno ocasiona; esta pérdida se representa como E1-E2. Además de su mérito como disipador natural de energía, el resalto hidráulico tiene muchos otros usos prácticos, entre los cuales se pueden mencionar los siguientes: a) Prevención o confinamiento de la socavación aguas abajo de las estructuras hidráulicas donde es necesario disipar energía. b) Mezclado eficiente de fluidos o de sustancias químicas usadas en la purificación de aguas, debido a la naturaleza fuertemente turbulenta del fenómeno. c) Incremento del caudal descargado por una compuerta deslizante al rechazar el retroceso del agua contra la compuerta. Esto aumenta la carga efectiva y con ella el caudal. d) La recuperación de carga aguas debajo de un aforador y mantenimiento de un nivel alto del agua en el canal de riego o de distribución del agua.
  • 2.
    HIDRAULICA DE CANALESRESALTO HIDRAULICO Por MSc . Ing Luis Sandoval 1er Semestre de 2015 Seccion Rectangular  118 2 2 1 1 2  F y y  118 2 2 2 2 1  F y y
  • 3.
    HIDRAULICA DE CANALESRESALTO HIDRAULICO Por MSc . Ing Luis Sandoval 1er Semestre de 2015 SECCION TRAPEZOIDAL LONGITUD DEL RESALTO (L) La longitud del resalto ha recibido gran atención por parte de los investigadores, pero hasta ahora no se ha desarrollado un procedimiento satisfactorio para su cálculo. Sin duda, esto se debe al hecho de que el problema no ha sido analizado teóricamente, así como a las complicaciones prácticas derivadas de la inestabilidad general del fenómeno y la dificultad en definir las secciones de inicio y fin del resalto. Se acepta comúnmente que la longitud L del resalto se defina como la distancia medida entre la sección de inicio y la sección inmediatamente aguas abajo en que termina la zona turbulenta. Según el U.S. Bureau of Reclamation, la longitud del resalto en un canal rectangular horizontal varía de acuerdo con la siguiente tabla, o bien con la curva So=0 de la figura 4.20, o bien, para canales rectangulares con pendiente del fondo “So” diferente de cero, según se muestra en la figura 4.20. F1=v1/√gy1 1.7 2 2.5 3 3.5 4 5 6 8 10 L/y2 4 4.35 4.85 5.28 5.55 5.8 6 6.1 6.12 6.1 La longitud del resalto es un canal trapezoidal es mayor debido a la simetría que se produce por efecto de la distribución no uniforme de las velocidades. Según Sieñchin: L = A(y2-y1) Donde “A” depende del talud z del canal, según la siguiente tabla: Talud Z 0 0.5 0.75 1 1.25 1.5 A 5 7.9 9.2 10.6 12.6 15 Según Hsing, la longitud del resalto en un canal trapezoidal es mucho mayor, de acuerdo con la siguiente fórmula:           1 12 2 )( 415 y yy yL
  • 4.
    HIDRAULICA DE CANALESRESALTO HIDRAULICO Por MSc . Ing Luis Sandoval 1er Semestre de 2015 FORMAS DE RESALTO EN CANALES CON PENDIENTE CASI HORIZONTAL La forma del resalto hidráulico depende del número de Fraude correspondiente al tirante conjugado menor: F1=v1/√gy1. De los estudios realizados por el U.S. Bureau of Reclamation sobre el resalto hidráulico, dentro de los tanques amortiguadores como medio, para disipar la energía en descargas ya sean en vertederos o en obras de toma, y en general en estructuras terminales, se tienen los siguientes casos: 1) Si F1 está comprendido entre 1 y 1.7 se tiene un resalto ondulado, así: Cuado el valor del número de Fraude, vale 1 el régimen es crítico y no se forma el resalto hidráulico. Para valores entre 1 y 1.7 se tiene un régimen un poco menor que el subcrítico, formándose ondulaciones ligeras en la superficie. Aproximadamente la velocidad v2 es 30% menor que la velocidad crítica. 2) Si F1 está comprendido entre 1.7 y 2.5 se tiene un resalto débil, es un régimen bastante uniforme, se designa por la etapa previa al resalto, sin turbulencia activa. 3) Si F1 se encuentra entre 2.5 y 4.5 el resalto es oscilante, no se forma un resalto propiamente dicho, y se dice que se tiene un régimen de transición, se recomienda, cuando se tengan números de Fraude dentro de este intervalo, variar las condiciones del régimen (por ejemplo el caudal por unidad de longitud en el vertedor), de manera que se estén fuera de un régimen de transición. 4) Si F1 se encuentra entre 4.5 y 9.0 el resalto es estable y equilibrado: 5) Si F1 es mayor que 9 se presenta un resalto fuerte e irregular:
  • 5.
    HIDRAULICA DE CANALESRESALTO HIDRAULICO Por MSc . Ing Luis Sandoval 1er Semestre de 2015 ESTABILIDAD DEL RESALTO HIDRAULICO Un aspecto importante en este tipo de problemas es cuidar la estabilidad del resalto y su formación en el sitio adecuado, ya que generalmente es utilizado como disipador de energía. De manera general se puede decir que el resalto se formará dependiendo de las condiciones hidráulicas que se tengan aguas abajo inmediatamente después del mismo; es decir, la energía que tenga en una sección aguas abajo del resalto donde se encuentre ya establecido determinado régimen inducirá la formación de tal o cual tipo de resalto. Lo anterior se puede observar con mayor claridad del siguiente esquema aclaratorio En la figura se pueden marcar 3 secciones bien definidas, a saber: Sección 1: marca esquemáticamente el inicio del resalto y de las tres indicadas es la que posee la mayor energía específica. Sección 2: Indica el final del resalto y su energía específica es sensiblemente menor que la que existe en 1: lo anterior debido a las fuertes pérdidas de energía efectuadas durante el resalto. Sección n: Sección inmediata a la formación del resalto en la cual se encuentra ya establecido un cierto tipo de régimen (por ejemplo, si el tramo del canal después del resalto es muy largo y sin obstáculos el flujo establecido en n será uniforme). Se tienen las condiciones reales, por lo que el tirante es posible calcularlo. Lo que determina el sitio de la formación del resalto y la estabilidad del mismo resulta de la comparación entre las energías que se tengan en las secciones 2 y n se pueden presentar tres casos: 1) E2>En: en este caso la energía en la sección 2 es mayor que la existente en n, por lo cual puede pensarse fácilmente que para que no existan discontinuidades en las energías a lo largo del canal, el resalto tendrá que ser barrido, esto último le dará oportunidad al flujo de perder más energía y así equiparar la que se tenga en n. 2) E2=En: es el caso más conveniente y el más estable, ya que se genera el resalto justamente en el lugar deseado (al pie de la estructura o del canal de llegada); sucede que las pérdidas efectuadas en el resalto son exactamente las deseadas para igualar la energía en n y el flujo no precisa barrerse para perder más energía. Por lo anterior se deduce fácilmente que el resalto será claro. 3) E2<En: cuando pasa esto la energía que se tiene en la sección n, por ser mayor que la energía remanente del resalto en 2, y por estar determinada la energía de la sección en su mayor parte por la altura de presión (tirante) se presentará un resalto abogado
  • 6.
    HIDRAULICA DE CANALESRESALTO HIDRAULICO Por MSc . Ing Luis Sandoval 1er Semestre de 2015 PROBLEMAS RESUELTOS 1) Un canal rectangular de 2 m de ancho de solera, transporta un caudal de 3m3 /s. El tirante aguas abajo del resalto de 1 m. Hallar el tirante aguas arriba, la longitud del resalto, la pérdida de energía e indicar el tipo de resalto. SOLUCIÓN Datos Q = 3 m3 /s Se pide: y1, L, ∆E, tipo de resalto → ? a) Cálculo de y1: Sabemos que:  118 2 2 2 2 1  F y y Donde 479.0 1*81.9 2/3/ 22 2 2  gy AQ gy V F Luego:  11²479.0*8 2 1 1  m y y 1 = 0.3419 m b) Cálculo de L: Podemos usar el criterio de Sieñchin, el cual dice: )( 12 yyAL  Donde}, para un talud Z=0, se tiene A=5, luego )(5 12 yyL  Sustituyendo los valores de y2 y y1, se tiene: L = 5(1-0.3419) L = 3.29 c) Calculo de ∆E Sabemos que: (4.29) ∆E = E –E2 Donde
  • 7.
    HIDRAULICA DE CANALESRESALTO HIDRAULICO Por MSc . Ing Luis Sandoval 1er Semestre de 2015 g v yE 2 2 1 11  y g v yE 2 2 2 22  Además: y q v  Luego, 9810.0 81.92 3872.4 2 ² 3872.4 3419.0 5.1 2 1 1 1  xg v y q v 1147.0 81.92 5.1 2 ² 5.1 1 5.1 2 2 2 2  xg v y q v Sustituyendo valores en (4.29), se tiene: ∆E = (0.3419+0.9810)-(1+0.1147) ∆E = 0.028 m-kg/kg d) Tipo de resalto hidráulico: Como sabemos el tipo de resalto hidráulico se establece según el número de Fraude, tomando en consideración el tirante aguas arriba del resalto, es decir: 1 1 1 gy v F  3419.081.9 3872.4 1 x F  3955.21 F Valor que esta comprendido entre 1.7 y 2.5 por lo cual concluimos que se trata de un resalto débil. Un canal trapezoidal tiene un ancho de solera b=5m, talud Z=1 y para una pendiente S=0.0004, adopta un tirante normal yn=1.75 en flujo uniforme para n=0.025. Debido a razones topográficas, existe un tramo intermedio en el canal, con suficiente longitud y pendiente para que se establezca también flujo uniforme pero supercrítico. Calcular la pendiente del tramo intermedio de manera que se produzca un resalto inmediatamente después que termina dicho tramo, el cual deberá revestirse de concreto, debido al aumento de velocidad (n=0.015). SOLUCIÓN: a. Hallando Q: De Manning:  Q  1 n H 2/3 R O 1/2 S A A=(5+1*1.75)*1.75=11.8125m2 , mPM 95.975.1*1*25 1 2   HR  11.8125 9.95 1.187m  Q  1 0.025 2/3 1.187  1/2 0.0004  (11.812) 10.5954 3 m s Para forzar a un R. Hidráulico a que inicie en el cambio de pendiente, el tirante conjugado mayor debe ser igual al tirante normal en el canal, o sea Y2=YN=1.75m
  • 8.
    HIDRAULICA DE CANALESRESALTO HIDRAULICO Por MSc . Ing Luis Sandoval 1er Semestre de 2015 b. Calculando Tirante Conjugado Menor Y1 Para sección trapezoidal se tiene que:      06)1)(6( 22 123 )1 2 5 ( 1 2 2 234          tJJJ rJtrt ttt t DONDE:  J  1Y 2Y , Y V g r 2 2 2 2  sms m m V 897.0 8125.11 5954.10 2 3 2    r  2 0.897 2*9.81*1.75  0.0234 ,  t  b Z 2Y  5 1*1.75  2.8571 Sustituyendo y simplificando:  4 J  8.142 3 J  20.3875 2 J 14.5604J 2.0888 0 Resolviendo: -3.94 -2.72  J -1.64 0.1217 OK  J  1Y 2Y  1Y 1.75  0.1217 1Y  0.1217*1.75  0.213metros Chequeando los tirantes Y1 y Y2 con el YCRITICO T A C C g Q 32     Y YY C CC *1*2581.9 5954.10 **15 3 2    Resolviendo por tanteos o Calc. Programable: YC=0.73m Comparando:  1Y  cY  2Y 0.213<0.73<1.75 OK También se puede corroborar con los números de Froude. c. Calculando la pendiente del tramo intermedio También para que el Resalto Hidráulico se inicie en el cambio de sección, el Y1 debe ser igual al tirante normal en dicho tramo        AR nQ SSR H A n Q OOH 3/2 1 2 2/13/2 n = 0.015 (CONCRETO) A = (5+0.213)*0.213=1.11m2  MP  5  2*0.213* 1 2 1  5.6025  HR  0.1982m
  • 9.
    HIDRAULICA DE CANALESRESALTO HIDRAULICO Por MSc . Ing Luis Sandoval 1er Semestre de 2015 Sustituyendo:  OS  2 0.015*10.5954 2/3 0.1982 *1.11     0.1773  Os 177.3m 1000m L = 10.6(1.75-0.213) = 16.29 metros de revestimiento