Incrustar presentación
Descargar para leer sin conexión













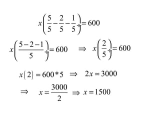
El documento presenta un ejemplo de fracciones para calcular el tamaño total de una comunidad educativa. Se sabe que las niñas representan 2/5 del total, hay 600 niños y los profesores y administrativos son el 20% de la comunidad. Se resuelve el problema de dos maneras, llegando a la conclusión de que el tamaño total de la comunidad es de 1500 personas.











