Más contenido relacionado
PPTX
Mapa mental Morfología Macroscópica Funcional PPTX
Infografía Funciones Mentales y Emoción PDF
PDF
PPTX
Realidad social en Venezuela PPTX
Mecanismos de transmisión Neuronal PPTX
PPTX
La psicología social como disciplina científica Más de JosRobertoLabrador
PPTX
Perspectivas De La Ciencia Y La Tecnología PPTX
PPTX
PPTX
PPTX
PPTX
PDF
La Psicología y su relación con otras Ciencias PPTX
Estructura Social, Origen Y Evolución. PDF
PDF
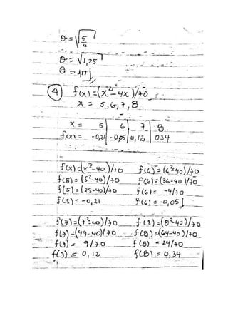
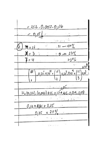
Ejercicios Estadística II PDF
Situación Actual De Venezuela PPTX
El ecosistema Mapa Mental PDF
Ejercicios Estadística Finales PPTX
Aspectos sociales E Internacionales PDF
PPTX
Ecología Y Educación Ambiental PDF
PDF
PPTX
Revista ciencia tecnología y desarrollo PPTX
Último
PDF
Como Lideran los Mejores Lideres - Brian Tracy Ccesa007.pdf PDF
Enseñar a Investigar - Ricardo Sanchez Ccesa007.pdf PDF
Fundamentos de Algebra Lineal - Ron Larson Ccesa007.pdf PDF
Busca Tu Elemento - Ken Robinson Ccesa007.pdf PDF
El Poder del Pensamiento Positivo Ccesa007.pdf PDF
Inteligencia Social. Daniel Goleman Ccesa007.pdf PDF
Serie Inteligencia Emocional. Como Gestionar la Relacion con tu Superior HBR ... PDF
Estrategias de Evaluación Formativa. Mariana Morales Ccesa007.pdf PDF
MONOGRAFIA. CURRÍCULUM.LYA-2.pdftrabajofinal PDF
Conjuntos, Operaciones y Números Reales. PDF
Propuesta_Cursos_IA_Aplicada_IIAA 2026 SIRIUS IA PDF
El Reloj de la Sabiduria - Francisco Mora Ccesa007.pdf PDF
Hebreos 1 (1a. Parte) El Mesías, superior a los ángeles. Por Humberto Rendon.pdf PDF
Portafolio corporativo 2026 Centro de Educación Continua EPN PPTX
Evaluación Educativa: Concepciones de la Evaluación Docente PDF
Leyes de la Logica Proposicional LP2 Ccesa007.pdf PDF
tema 10 La Civilización griega. presentación PPTX
SPAN 102 - Repaso para la prueba 1.ppt. x PDF
Construcción del modelo de los aparatos implicados en la Nutrición.pdf PDF
INTEGRACIÓN STL, DICOM, TOMOGRAFÍA PREVIO A TRATAMIENTO DE ORTODONCIA.