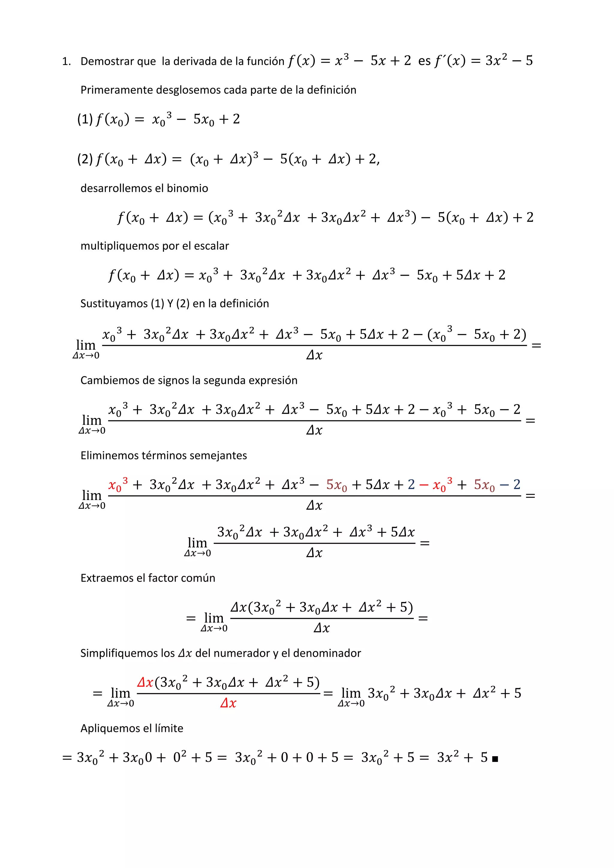
1. Demostrar que la derivada de la función                                                                       	5              2	 es ´                3           5
   Primeramente desglosemos cada parte de la definición

  (1)               	                    	5                   2

  (2)           	                    	                    	                    	5               	                   2,
   desarrollemos el binomio

                            	                                      	3                  	       3                         	                	5            	           2
   multipliquemos por el escalar

                        	                                     	3                   	       3                        	                	5        5            2
   Sustituyamos (1) Y (2) en la definición

                	3                       	       3                         	                   	5               5                2                 	5           2
  lim
      →

   Cambiemos de signos la segunda expresión

                    	3                       	       3                         	                	5               5               2                 	5           2
   lim
      →

   Eliminemos términos semejantes

                    	3                       	       3                         	                	5               5               2                 	5           2
   lim
      →

                                                     	3                	           3                    	                    5
                                         lim
                                             →

   Extraemos el factor común

                                                                   3                   3                    	                    5
                                                 lim
                                                     →

   Simplifiquemos los                        del numerador y el denominador

                            3                    3                  	                      5
          lim                                                                                           lim 3                        3             	            5
           →                                                                                                →

   Apliquemos el límite

  3        3 0                  	0               5            	3                   0       0        5           	3               5        	3           	5 ■
2. Demostrar que la derivada de la función                           7        4	 es ´   7
      Primeramente desglosemos cada parte de la definición

      (1)              	7      4

      (2)          	          7            	          	4
      multipliquemos por el escalar

                                                 	            7              	7       	4
       Sustituyamos (1) Y (2) en la definición

                                           7         	7            	4        7        4
                                   lim
                                       →

Cambiemos de signos la segunda expresión

                                           7          	7            	4       7        4
                                   lim
                                       →

Eliminemos términos semejantes

                                           7          	7            	4       7        4
                                   lim
                                       →

                                                              	7
                                                      lim
                                                          →

Simplifiquemos los          del numerador y el denominador

                                                     	7
                                               lim                 	 lim 7        	
                                                →                        →

Apliquemos el límite

      7 ■
3. Demostrar que la derivada de la función                              5                3	 es ´           5
   Primeramente desglosemos cada parte de la definición

   (1)                   	5                  3

   (2)               	             5                    	   	3
   Apliquemos propiedad trigonométrica seno de suma de ángulos

         	               5               cos	                          cos                	3
    Sustituyamos (1) Y (2) en la definición

                 5                 cos	                          cos                	3         5               	3
         lim
             →

Cambiemos de signos la segunda expresión

                 5                  cos	                         cos                 	3        5               	3
         lim
             →

Eliminemos términos semejantes

                 5                  cos	                         cos                 	3        5               	3
         lim
             →

                              5                  cos	                       cos                5
                     lim
                      →

Extraemos el factor común

                                                  5 cos          1 	        5              cos
                         lim
                             →




Separemos las expresiones del límite

                                  cos               1
                     lim 5                                             lim 	5                  cos
                         →                                              →

                                  cos               1
                     lim 5                                             lim 	5                  cos
                         →                                              →

             5 0                         	5 1                	5 0               5                  0   5

  5                      5cos	          ■
4. Demostrar que la derivada de la función                                        2                5 	 es ´               2                   5
   Primeramente desglosemos cada parte de la definición

   (1)                        	 2 cos             5

   (2)                    	             2                 	           5               	
   Apliquemos propiedad trigonométrica seno de suma de ángulos

              	               2                                                                    5        	5
    Sustituyamos (1) Y (2) en la definición

       2                                                                          5           	5             2 cos                    5           	
lim
  →

Cambiemos de signos la segunda expresión

           2                                                                          5        	5           	2 cos                    5   	
  lim
      →




Eliminemos términos semejantes

              2                                                                           5        	5       	2 cos                    5       	
 lim
   →

                          2                                                                        	5       	2 cos                	
              lim
                  →

Extraemos el factor común

                                  2                               1           2                                  	5       	
                  lim
                      →

Separemos las expresiones del límite

                      2                                   1 	                 2                                           	5          	
          lim                                                         lim                                         lim
              →                                                           →                                           →

                      2                     1 	                               2                                           	5          	
          lim                                                         lim                                         lim
              →                                                           →                                           →

          0                       1               lim 5           0       2                        5    2                     5
                                                      →

                                                              2               5	■

Ejercicios resueltos de derivadas

  • 1.
    1. Demostrar quela derivada de la función 5 2 es ´ 3 5 Primeramente desglosemos cada parte de la definición (1) 5 2 (2) 5 2, desarrollemos el binomio 3 3 5 2 multipliquemos por el escalar 3 3 5 5 2 Sustituyamos (1) Y (2) en la definición 3 3 5 5 2 5 2 lim → Cambiemos de signos la segunda expresión 3 3 5 5 2 5 2 lim → Eliminemos términos semejantes 3 3 5 5 2 5 2 lim → 3 3 5 lim → Extraemos el factor común 3 3 5 lim → Simplifiquemos los del numerador y el denominador 3 3 5 lim lim 3 3 5 → → Apliquemos el límite 3 3 0 0 5 3 0 0 5 3 5 3 5 ■
  • 2.
    2. Demostrar quela derivada de la función 7 4 es ´ 7 Primeramente desglosemos cada parte de la definición (1) 7 4 (2) 7 4 multipliquemos por el escalar 7 7 4 Sustituyamos (1) Y (2) en la definición 7 7 4 7 4 lim → Cambiemos de signos la segunda expresión 7 7 4 7 4 lim → Eliminemos términos semejantes 7 7 4 7 4 lim → 7 lim → Simplifiquemos los del numerador y el denominador 7 lim lim 7 → → Apliquemos el límite 7 ■
  • 3.
    3. Demostrar quela derivada de la función 5 3 es ´ 5 Primeramente desglosemos cada parte de la definición (1) 5 3 (2) 5 3 Apliquemos propiedad trigonométrica seno de suma de ángulos 5 cos cos 3 Sustituyamos (1) Y (2) en la definición 5 cos cos 3 5 3 lim → Cambiemos de signos la segunda expresión 5 cos cos 3 5 3 lim → Eliminemos términos semejantes 5 cos cos 3 5 3 lim → 5 cos cos 5 lim → Extraemos el factor común 5 cos 1 5 cos lim → Separemos las expresiones del límite cos 1 lim 5 lim 5 cos → → cos 1 lim 5 lim 5 cos → → 5 0 5 1 5 0 5 0 5 5 5cos ■
  • 4.
    4. Demostrar quela derivada de la función 2 5 es ´ 2 5 Primeramente desglosemos cada parte de la definición (1) 2 cos 5 (2) 2 5 Apliquemos propiedad trigonométrica seno de suma de ángulos 2 5 5 Sustituyamos (1) Y (2) en la definición 2 5 5 2 cos 5 lim → Cambiemos de signos la segunda expresión 2 5 5 2 cos 5 lim → Eliminemos términos semejantes 2 5 5 2 cos 5 lim → 2 5 2 cos lim → Extraemos el factor común 2 1 2 5 lim → Separemos las expresiones del límite 2 1 2 5 lim lim lim → → → 2 1 2 5 lim lim lim → → → 0 1 lim 5 0 2 5 2 5 → 2 5 ■