República Bolivariana De Venezuela
Ministerio Del Poder Popular Para La Educación Universitaria
Universidad Politécnica Territorial Del Estado Lara Andrés Eloy Blanco
EXPRESIONES
ALGEBRAICA
Alumna
María Laya
31.297.596
PNF HSL
Docente
Larry Seguere
Sección 0143
Barquisimeto, 7 de Enero del 2023
SUMA DE EXPRESIONES ALGEBRAICAS
Para sumar dos o más expresiones algebraicas con uno o más término,
se deben reunir todos los términos semejantes que existan en uno solo
se puede aplicar la propiedad distributiva de la multiplicación con
respecto de la suma.
Ejemplo:
(2a) +(−5b) =2a−5b
2xy2+5xy2= (2+5) xy2=7xy2
RESTA DE EXPRESIONES ALGEBRAICAS.
Con la resta o diferencia algebraica, debemos tener en cuenta que restar
dos términos semejantes resulta un único termino semejante, para dos
términos no semejantes, el resultado se deja tal cual es.
Si bien, la suma algebraica no afecta a los sinos operacionales de los
términos entre paréntesis, la resta si afecta a cada termino, esto es, cambia
los signos operacionales de cada termino luego de eliminar los paréntesis.
Ejemplos con monomios
Comencemos con la resta entre monomios:
(4a)–(−2a)–(−3b)–(−5b)–(2c)–(c)(4a)–(−2a)–(−3b)–(−5b)–(2c)–(c).
Eliminando los paréntesis, resulta:
4a+2a+3b+5b–2c–c4a+2a+3b+5b–2c–c
Reduciendo términos semejantes:
6a+8b–3c6a+8b–3c
Ejemplos con polinomios
Y ahora veamos la resta con polinomios:
(8m+6n)–(2m–5n)–(−p)(8m+6n)–(2m–5n)–(−p).
Eliminando paréntesis se cambian los signos
de 2m−5n2m−5n a −2m+5n−2m+5n y −p−p a pp:
8m+6n−2m+5n+p8m+6n−2m+5n+p
Reduciendo términos semejantes:
6m+11n+p
VALOR NUMÉRICO DE UNA EXPRESIÓN ALGEBRAICA.
Se trata de una simple sustitución de números por letras para después
hacer los cálculos indicado por la expresión y obtener así un resultado.
Ejemplos
5 a-2 donde a=3
a2+5ab-13, donde a=2 y b=3
MULTIPLICACIÓN DE EXPRESIONES ALGEBRAICAS.
Multiplicamos factores algebraicos obteniéndose como resultado otra
expresión llamado producto.
La multiplicación entre expresiones es independiente de la existencia de
términos semejantes, esto solo es aplicable cuando tratamos con
la suma y resta algebraica.
Ejemplos:
Multiplicar los monomios
3xyz3xyz, –x2y3z45–x2y3z45, −10xy2z3−10xy2z3.
Sean los polinomios
M(x)=x+2M(x)=x+2 y N(x)=x+3N(x)=x+3 donde x2+5x=−4x2+5x=−4.
Resolver M(x)⋅N(x)M(x)⋅N(x).
DIVISIÓN DE EXPRESIONES ALGEBRAICAS.
La división algebraica es una operación entre dos expresiones algebraicas
llamadas dividendo y divisor para obtener otra expresión llamado cociente
por medio de un algoritmo.
Ejemplo:
Dividir 14x20+21x16+28x1014x20+21x16+28x10 y 7x8
Dividir 36x8+24x6−12x436x8+24x6−12x4 y 6x26x2.
Factorización Por Productos Notables
Las factorizaciones por productos notables son operaciones algebraicas,
donde se expresan multiplicaciones de polinomios, que no necesitan ser
resueltas tradicionalmente, sino que con la ayuda de ciertas reglas se
pueden encontrar los resultados de las mismas.
Los polinomios son multiplicados entres si, por lo tanto, es posible que
tengan una gran cantidad de términos y variables. Para hacer más corto el
proceso, se usan las reglas de los productos notables, que permiten hacer
las multiplicaciones sin tener que ir término por término.
Ejemplo:
(x + 5)² = x² + 2 (x * 5) + 5²
(x + 5)² = x² + 2 (5x) + 25
(x + 5)² = x² + 10x+ 25.
Factorización por resolvente cuadrática
La factorización de ecuaciones cuadráticas consiste en descomponer a la
ecuación cuadrática y formar un producto de sus factores. La factorización
puede ser considerada como el proceso reverso de la distribución de la
multiplicación.
Ejercicio:
1- 3(x2−2) =−3x.
2- 3x2−8x−5=0
Factorización Por Cambio De Variable
El cambio de variable es una técnica que nos permite pasar de una
ecuación o integral complicada a otra más sencilla. Los cambios de
variable más frecuentes se suelen dar en Ecuaciones bicuadradas.
Ecuaciones y sistemas de ecuaciones exponenciales
Ejercicios:
1-4x²-(y+2) ²
2-y²-2(x+3) y+(x+3) ²
Simplificación Por Fracciones Algebraicas
En matemática diremos que la simplificación o reducción de
fracciones es la acción de dividirse el numerador y el denominador de
una fracción por otro mismo número con el fin de obtener otra fracción
equivalente, cuyo cociente tenga el mismo valor numérico.
Podemos decir que una fracción está reducida a sus términos más
simples o completamente simplificados cuando no existe ningún factor
común al numerador y el denominador.
Indudablemente una fracción dada puede reducirse a sus términos más
sencillos si se divide el numerador y el denominador entre los factores
que tengan estos en común. Podemos llamar entonces a este proceso
cancelación de factores comunes.
Ejercicios:
Suma De Fracciones Algebraicas
Si las fracciones tienen el mismo denominador, la suma o diferencia
es otra fracción cuyo numerador es la suma o diferencia de los
numeradores y cuyo denominador es el denominador común.
Ejercicio:
Resta De Fracciones Algebraicas
Restar fracciones algebraicas con diferente denominador. Hallar el
mínimo común múltiplo (m.c.m.) de los denominadores. Escribir el
m.c.m. obtenido como denominador común. Dividir el denominador
común entre cada denominador y el cociente se multiplica por el
numerador respectivo.
Ejercicio:
(x−3)(x+3)1+(x−3)21
Multiplicacion De Fracciones Algebraicas
Las fracciones algebraicas son multiplicadas de la misma
manera que las fracciones son multiplicadas en aritmética.
Veamos el ejemplo aritmético
Aquí multiplicamos los numeradores para obtener el
numerador del producto. Multiplicamos los denominadores
para obtener el denominador del producto. Con frecuencia
podemos simplificar la multiplicación cambiando los términos
de las fracciones a forma de factorización y luego cancelando
factores iguales antes de multiplicar
Ejercicio:
Division De Fracciones Algebraica
La división de dos números racionales o de dos fracciones
algebraicas es el cociente del numerador de la primera fracción por el
denominador de la segunda fracción, entre el producto del
denominador de la primera fracción por el numerador de la segunda
fracción.
Para dividir fracciones algebraicas se intercambia el numerador y el
denominador de la fracción que este a la derecha del signo de división
y se procede como en la multiplicación. Como en las operaciones de
suma, resta y multiplicación, para realizar la operación hay que tener
en cuenta los ceros en los denominadores.
Ejercicio:
Factorización Por El Método Ruffini
Este método consiste en seleccionar una posible raíz del polinomio dado y
formar una tabla; en el momento en que el último resultado de la tabla sea
cero (0) habremos culminado; si no ocurre esto, entonces debemos intentarlo
con otra posible raíz.
Éste es un método muy práctico, eficaz y sencillo, que nos permite con su
aplicación, encontrar las diferentes raíces de cualquier polinomio. Es ideal
para aquellos polinomios que tienen un grado mayor que dos (2).
Este método consiste en seleccionar una posible raíz del polinomio dado y
formar una tabla; en el momento en que el último resultado de la tabla sea
cero (0) habremos culminado; si no ocurre esto, entonces debemos intentarlo
con otra posible raíz.
Cuando hablamos de la raíz del polinomio nos referimos a un divisor del
término independiente del polinomio (el término independiente es aquel que
no tiene variable).
Ejemplo:
Ejercicio:
Radicación De Suma Y Resta De Radícale
Para poder sumar o restar radicales, estos deben ser semejantes, quiere
decir que deben compartir el mismo índice y radicando; también hay que
estar familiarizados con la suma y resta de números con signo para poder
realizar estas operaciones.
Ejercicio:
Multiplicación De Radícale
Multiplicar y dividir radicales es necesario que tengan el mismo índice.
Cuando no tienen el mismo índice hay que reducirlos antes a índice común.
El producto de radicales con el mismo índice es igual a un único radical del
mismo índice y cuyo radicando se obtiene de multiplicar los radicandos. En
la multiplicación y en la división con números radicales se aplica las mismas
propiedades, pero en sentido contrario.
Ejemplos:
En los ejemplos anteriores multiplicamos raíces con el mismo índice
del radical ahora, multiplicaremos raíces con distinto índice del radical
Multiplico radicales con distinto índice
Aplicado la propiedad 3, de otra manera, se puede realizar el mismo
trabajo hallando en mínimo común múltiplo de los índices de los
radicales y este será el nuevo índice del radical,
luego dividimos el mínimo común múltiplo por cada índice del radical y
este resultado lo elevamos cada término de los radicandos.
División De Radícale
El proceso es similar al anterior solo que aquí dividimos
De otra manera hallamos el mínimo común múltiplo de los índices: mcm
(6,3) = 6. Este resultado lo dividimos por cada índice 6/6 = 1 (exponente del
primer radicando, 6/3 = 2 (exponente del segundo radicando).
Expresiones conjugadas
Son expresiones que ayudan a eliminar un radical en el denominador de
una expresión fraccionaria, y se forman como la diferencia de un binomio,
trinomio, etc. Conjugados en matemáticas son dos pares de binomios con
términos idénticos pero que comparten operaciones opuestas en el medio.
Ejemplos:
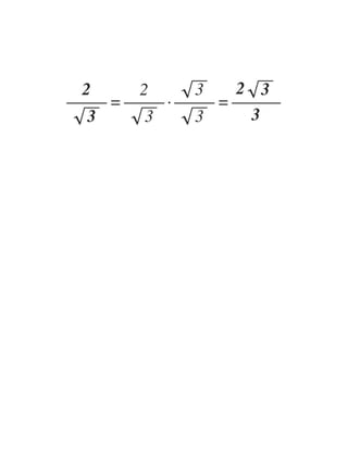
Expresiones de racionalización
La racionalización es el proceso de remover los radicales del denominador
de una fracción. Para racionalizar denominadores tenemos que multiplicar la
expresión por un valor conveniente de modo que, al simplificar, eliminemos
los radicales del denominador. Existen dos métodos principales usados para
racionalizar radicales dependiendo en si el denominador es un monomio o
un binomio.
Ejemplos
Bibliografía
https://ciencias-basicas.com/matematica/elemental/operaciones-
algebraicas/suma-algebraica/

Expresiones Algebraicas

  • 1.
    República Bolivariana DeVenezuela Ministerio Del Poder Popular Para La Educación Universitaria Universidad Politécnica Territorial Del Estado Lara Andrés Eloy Blanco EXPRESIONES ALGEBRAICA Alumna María Laya 31.297.596 PNF HSL Docente Larry Seguere Sección 0143 Barquisimeto, 7 de Enero del 2023
  • 2.
    SUMA DE EXPRESIONESALGEBRAICAS Para sumar dos o más expresiones algebraicas con uno o más término, se deben reunir todos los términos semejantes que existan en uno solo se puede aplicar la propiedad distributiva de la multiplicación con respecto de la suma. Ejemplo: (2a) +(−5b) =2a−5b 2xy2+5xy2= (2+5) xy2=7xy2 RESTA DE EXPRESIONES ALGEBRAICAS. Con la resta o diferencia algebraica, debemos tener en cuenta que restar dos términos semejantes resulta un único termino semejante, para dos términos no semejantes, el resultado se deja tal cual es. Si bien, la suma algebraica no afecta a los sinos operacionales de los términos entre paréntesis, la resta si afecta a cada termino, esto es, cambia los signos operacionales de cada termino luego de eliminar los paréntesis. Ejemplos con monomios Comencemos con la resta entre monomios: (4a)–(−2a)–(−3b)–(−5b)–(2c)–(c)(4a)–(−2a)–(−3b)–(−5b)–(2c)–(c). Eliminando los paréntesis, resulta: 4a+2a+3b+5b–2c–c4a+2a+3b+5b–2c–c Reduciendo términos semejantes:
  • 3.
    6a+8b–3c6a+8b–3c Ejemplos con polinomios Yahora veamos la resta con polinomios: (8m+6n)–(2m–5n)–(−p)(8m+6n)–(2m–5n)–(−p). Eliminando paréntesis se cambian los signos de 2m−5n2m−5n a −2m+5n−2m+5n y −p−p a pp: 8m+6n−2m+5n+p8m+6n−2m+5n+p Reduciendo términos semejantes: 6m+11n+p VALOR NUMÉRICO DE UNA EXPRESIÓN ALGEBRAICA. Se trata de una simple sustitución de números por letras para después hacer los cálculos indicado por la expresión y obtener así un resultado. Ejemplos 5 a-2 donde a=3 a2+5ab-13, donde a=2 y b=3 MULTIPLICACIÓN DE EXPRESIONES ALGEBRAICAS.
  • 4.
    Multiplicamos factores algebraicosobteniéndose como resultado otra expresión llamado producto. La multiplicación entre expresiones es independiente de la existencia de términos semejantes, esto solo es aplicable cuando tratamos con la suma y resta algebraica. Ejemplos: Multiplicar los monomios 3xyz3xyz, –x2y3z45–x2y3z45, −10xy2z3−10xy2z3. Sean los polinomios M(x)=x+2M(x)=x+2 y N(x)=x+3N(x)=x+3 donde x2+5x=−4x2+5x=−4. Resolver M(x)⋅N(x)M(x)⋅N(x). DIVISIÓN DE EXPRESIONES ALGEBRAICAS. La división algebraica es una operación entre dos expresiones algebraicas llamadas dividendo y divisor para obtener otra expresión llamado cociente por medio de un algoritmo. Ejemplo: Dividir 14x20+21x16+28x1014x20+21x16+28x10 y 7x8 Dividir 36x8+24x6−12x436x8+24x6−12x4 y 6x26x2. Factorización Por Productos Notables Las factorizaciones por productos notables son operaciones algebraicas, donde se expresan multiplicaciones de polinomios, que no necesitan ser resueltas tradicionalmente, sino que con la ayuda de ciertas reglas se pueden encontrar los resultados de las mismas. Los polinomios son multiplicados entres si, por lo tanto, es posible que tengan una gran cantidad de términos y variables. Para hacer más corto el proceso, se usan las reglas de los productos notables, que permiten hacer las multiplicaciones sin tener que ir término por término.
  • 5.
    Ejemplo: (x + 5)²= x² + 2 (x * 5) + 5² (x + 5)² = x² + 2 (5x) + 25 (x + 5)² = x² + 10x+ 25. Factorización por resolvente cuadrática La factorización de ecuaciones cuadráticas consiste en descomponer a la ecuación cuadrática y formar un producto de sus factores. La factorización puede ser considerada como el proceso reverso de la distribución de la multiplicación. Ejercicio:
  • 6.
    1- 3(x2−2) =−3x. 2-3x2−8x−5=0 Factorización Por Cambio De Variable El cambio de variable es una técnica que nos permite pasar de una ecuación o integral complicada a otra más sencilla. Los cambios de variable más frecuentes se suelen dar en Ecuaciones bicuadradas. Ecuaciones y sistemas de ecuaciones exponenciales Ejercicios: 1-4x²-(y+2) ² 2-y²-2(x+3) y+(x+3) ² Simplificación Por Fracciones Algebraicas En matemática diremos que la simplificación o reducción de fracciones es la acción de dividirse el numerador y el denominador de una fracción por otro mismo número con el fin de obtener otra fracción equivalente, cuyo cociente tenga el mismo valor numérico. Podemos decir que una fracción está reducida a sus términos más simples o completamente simplificados cuando no existe ningún factor común al numerador y el denominador.
  • 7.
    Indudablemente una fraccióndada puede reducirse a sus términos más sencillos si se divide el numerador y el denominador entre los factores que tengan estos en común. Podemos llamar entonces a este proceso cancelación de factores comunes. Ejercicios: Suma De Fracciones Algebraicas Si las fracciones tienen el mismo denominador, la suma o diferencia es otra fracción cuyo numerador es la suma o diferencia de los numeradores y cuyo denominador es el denominador común. Ejercicio: Resta De Fracciones Algebraicas Restar fracciones algebraicas con diferente denominador. Hallar el mínimo común múltiplo (m.c.m.) de los denominadores. Escribir el m.c.m. obtenido como denominador común. Dividir el denominador común entre cada denominador y el cociente se multiplica por el numerador respectivo.
  • 8.
    Ejercicio: (x−3)(x+3)1+(x−3)21 Multiplicacion De FraccionesAlgebraicas Las fracciones algebraicas son multiplicadas de la misma manera que las fracciones son multiplicadas en aritmética. Veamos el ejemplo aritmético Aquí multiplicamos los numeradores para obtener el numerador del producto. Multiplicamos los denominadores para obtener el denominador del producto. Con frecuencia podemos simplificar la multiplicación cambiando los términos de las fracciones a forma de factorización y luego cancelando factores iguales antes de multiplicar Ejercicio: Division De Fracciones Algebraica La división de dos números racionales o de dos fracciones algebraicas es el cociente del numerador de la primera fracción por el denominador de la segunda fracción, entre el producto del denominador de la primera fracción por el numerador de la segunda fracción.
  • 9.
    Para dividir fraccionesalgebraicas se intercambia el numerador y el denominador de la fracción que este a la derecha del signo de división y se procede como en la multiplicación. Como en las operaciones de suma, resta y multiplicación, para realizar la operación hay que tener en cuenta los ceros en los denominadores. Ejercicio: Factorización Por El Método Ruffini Este método consiste en seleccionar una posible raíz del polinomio dado y formar una tabla; en el momento en que el último resultado de la tabla sea cero (0) habremos culminado; si no ocurre esto, entonces debemos intentarlo con otra posible raíz. Éste es un método muy práctico, eficaz y sencillo, que nos permite con su aplicación, encontrar las diferentes raíces de cualquier polinomio. Es ideal para aquellos polinomios que tienen un grado mayor que dos (2). Este método consiste en seleccionar una posible raíz del polinomio dado y formar una tabla; en el momento en que el último resultado de la tabla sea cero (0) habremos culminado; si no ocurre esto, entonces debemos intentarlo con otra posible raíz. Cuando hablamos de la raíz del polinomio nos referimos a un divisor del término independiente del polinomio (el término independiente es aquel que no tiene variable). Ejemplo:
  • 10.
    Ejercicio: Radicación De SumaY Resta De Radícale Para poder sumar o restar radicales, estos deben ser semejantes, quiere decir que deben compartir el mismo índice y radicando; también hay que estar familiarizados con la suma y resta de números con signo para poder realizar estas operaciones. Ejercicio: Multiplicación De Radícale Multiplicar y dividir radicales es necesario que tengan el mismo índice. Cuando no tienen el mismo índice hay que reducirlos antes a índice común. El producto de radicales con el mismo índice es igual a un único radical del mismo índice y cuyo radicando se obtiene de multiplicar los radicandos. En
  • 11.
    la multiplicación yen la división con números radicales se aplica las mismas propiedades, pero en sentido contrario. Ejemplos: En los ejemplos anteriores multiplicamos raíces con el mismo índice del radical ahora, multiplicaremos raíces con distinto índice del radical Multiplico radicales con distinto índice Aplicado la propiedad 3, de otra manera, se puede realizar el mismo trabajo hallando en mínimo común múltiplo de los índices de los radicales y este será el nuevo índice del radical, luego dividimos el mínimo común múltiplo por cada índice del radical y este resultado lo elevamos cada término de los radicandos.
  • 12.
    División De Radícale Elproceso es similar al anterior solo que aquí dividimos De otra manera hallamos el mínimo común múltiplo de los índices: mcm (6,3) = 6. Este resultado lo dividimos por cada índice 6/6 = 1 (exponente del primer radicando, 6/3 = 2 (exponente del segundo radicando). Expresiones conjugadas Son expresiones que ayudan a eliminar un radical en el denominador de una expresión fraccionaria, y se forman como la diferencia de un binomio, trinomio, etc. Conjugados en matemáticas son dos pares de binomios con términos idénticos pero que comparten operaciones opuestas en el medio. Ejemplos:
  • 13.
    Expresiones de racionalización Laracionalización es el proceso de remover los radicales del denominador de una fracción. Para racionalizar denominadores tenemos que multiplicar la expresión por un valor conveniente de modo que, al simplificar, eliminemos los radicales del denominador. Existen dos métodos principales usados para racionalizar radicales dependiendo en si el denominador es un monomio o un binomio. Ejemplos
  • 15.