Incrustar presentación
Descargar para leer sin conexión







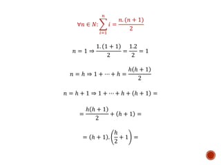
Este documento presenta tres pasos para probar una proposición para todos los números naturales mediante inducción matemática. Primero, se demuestra que la proposición es válida para 1. Luego, se asume que es válida para un número natural h y se prueba que también lo es para h+1. Finalmente, esto demuestra que la proposición es cierta para todos los números naturales.





