Instituto Nacional de Tecnología Agropecuaria
Centro Regional Santa Fe
Estación Experimental Agropecuaria INTA Oliveros
Informe Técnico: RED NACIONAL DE EVALUACIÓN DE CULTIVARES DE
SOJA
Ensayos Comparativos de Rendimiento Campaña 2012-13
EEA INTA OLIVEROS y AER CASILDA
Enrico, Juan Martín (1), Bodrero, Marcelo (1), Gentili, Oscar (2),
(1) Técnicos de la EEA INTA Oliveros (2) Técnico AER Casilda,
La Red Nacional de Evaluación de Cultivares de Soja de INTA, constituida en
1980, consta actualmente de 64 localidades con ensayos comparativos de rendimiento
(Figura 1) distribuidas por toda la región sojera del país. El objetivo de esta red, es
evaluar e identificar cultivares comerciales de soja adaptados a los diferentes
agroecosistemas de la República Argentina. La Red, posee un protocolo común de
ensayos que permite la comparación de resultados entre las distintas unidades de
evaluación. En toda la Red Nacional sólo participan cultivares comerciales, y por cada
grupo de madurez (GM) evaluado hay un cultivar que es denominado Testigo del GM,
seleccionado por su representatividad y potencial de rendimiento.
En Oliveros, el objetivo de este trabajo fue evaluar en siembras de primera
época y de segunda (antecesor trigo), el rendimiento, características agronómicas y
fenología de cultivares (cvs) de soja pertenecientes a los grupo de madurez (GM) II, III
Corto y Largo, IV Corto y Largo (semiprecoces), V Corto y Largo, VI y VII (semitardíos)
en la EEA Oliveros.
En Casilda el objetivo fue evaluar en siembras de primera los GM III Largo, IV
Corto y Largo (semiprecoces) y V Corto (semitardío) durante la campaña 2012/13.
10
18
6
20
1
5
3
7
23
22
19
21
32
24
26 57
63
35
34
41
38
61
60
45
48
44
37
46
53
51
55
58
43
62
64
9
31
33
4
1
8
2
11 12
13
16
14 17
15
25
29
30
3936
4042
50
52
47
54
49
56
59
28
2627
Figura 1: Mapa: Regiones y Sub-regiones de cultivo para la recomendación de cultivares.
Localidades con ensayos, Campaña 2012/13. Los círculos con los números 34 y 38 son los
sitios de Casilda y Oliveros respectivamente (Fuente de la Imagen: Informe Técnico de
Resultados Campaña 2012-13 – 1° Parte, EEA INTA Marcos Juárez).
Materiales y métodos
Los ensayos se realizaron en el Campo Experimental de la EEA Oliveros del
INTA y en un campo de un productor en la zona de Casilda, respectivamente. Se
utilizaron los cultivares participantes en la Red de Ensayos Comparativos de
Rendimiento de Soja (RECSO), GM III, IV, V, VI y VII, y en Oliveros se incluyeron los
cultivares A 5520 RG (GM V C), A 6411 RG (GM VI) y A 7321 RG (GM VII) los cuales
han sido testigos de sus respectivos GM en pasadas campañas. Para cada GM, se
realizó un ensayo cuyo diseño fue en bloques completos al azar, siendo tres el número
de repeticiones.
En Oliveros, las siembras se realizaron el 26/11/2012 y el 13/12/2012 para los
cultivos de 1° y 2da, respectivamente. En Casilda, se sembró el 10/12/2012. Se utilizó
una sembradora neumática experimental para siembra directa. En ambas localidades,
se sembraron 5 surcos espaciados a 0,52 m y el largo de las parcelas fue de 5 metros.
Los suelos donde se realizaron los experimentos, están caracterizados como
Argiudol típico serie Casilda y serie Maciel para Casilda y Oliveros, respectivamente.
En ambos casos, los lotes donde se implantaron los mismos cuentan con más de 40
años de agricultura continua.
Para cada localidad y experimento, los datos fueron sometidos a análisis de
varianza y se aplico el test LSD de Fisher al 5 % de probabilidad para comparación de
medias para las variables rendimiento y PMS utilizando el programa Infostat v. 2008
(Di Rienzo et al, 2008). En aquellas ocasiones que no existió homogeneidad de la
varianza (Cuadros 5 y Cuadro 6, sólo en RECSO de 2da) se utilizó en el análisis de los
datos un modelo mixto, donde el término del error se distribuyo en forma aleatoria y
en la comparación entre cultivares se utilizó el desvió estándar de cada cultivar.
Las malezas se controlaron con herbicidas pre-emergentes (diclosulam) y con
herbicidas post-emergente (glifosato). El ensayo se mantuvo libre de plagas y la
cosecha se realizó con cosechadora experimental de parcelas.
Se midió el % de radiación fotosintéticamente activa interceptada (% RFAi) en
un par de cultivares dentro de cada GM evaluado. Para su realización, se utilizó un
sensor de barra de 1 metro de largo modelo Line Quantum LI – 189, (Li-cor Inc.,
Lincoln Nebraska, USA) colocando la barra por encima del canopeo (RFAtope) y
posteriormente a ras de suelo (RFAsuelo), en tres sitios, en forma diagonal entre los
surcos centrales de la parcela, asegurando que ambos extremos de la misma toquen
la base de las plantas. La medición del % de RFAi se realizó a inicios del período de
llenado de granos (R5). En los cultivares de los GM II y III C, III L y IV C se realizó una
segunda medición a posteriori de una lluvia para poder registrar la mejoría en el %
RFAi en algunos cultivares.
La figura 2 muestra el balance hídrico diario y la evolución del contenido de
agua disponible durante el ciclo del cultivo según el software Bahícu 1.01. En el mismo,
se puede observar la línea de capacidad máxima de agua disponible (AUM) del suelo,
explorado por las raíces y la línea de estrés hídrico (L. Str.) 50% del agua útil máxima,
correspondiente a ese volumen de suelo. Cuando el agua disponible en el suelo para
los cultivares se encuentra por debajo de la línea de estrés hídrico, los mismos se
encuentran en déficit hídrico y cuanto mayor es la diferencia mayor es la intensidad del
mismo.
0
25
50
75
100
125
150
175
200
225
250
275
300
17-
Nov
02-Dic 17-Dic 01-
Ene
16-
Ene
31-
Ene
15-
Feb
02-
Mar
17-
Mar
01-
Abr
Aguaútil(mm)
Lluvias
CC
L, Stress
AUE
a
S R1 R5 R7
0
25
50
75
100
125
150
175
200
225
250
275
300
07-
Dic
22-
Dic
06-
Ene
21-
Ene
05-
Feb
20-
Feb
07-
Mar
22-
Mar
06-
Abr
21-
Abr
06-
May
Aguaútil(mm)
Lluvias
CC
L, Stress
AUE
b
S R1 R5 R7
0
25
50
75
100
125
150
175
200
225
250
275
300
07-
Nov
22-
Nov
07-
Dic
22-
Dic
06-
Ene
21-
Ene
05-
Feb
20-
Feb
07-
Mar
22-
Mar
06-
Abr
21-
Abr
06-
May
Aguaútil(mm)
Lluvias
CC
L, Stress
AUE
c
S R1 R5 R7
Figura 2: Balance hídrico diario en (a) RECSO de 1°, (b) RECSO de 2da. en EEA INTA
OLIVEROS y (c) RECSO Casilda. Referencias: AUM: agua útil máxima. L.Stres.: límite de
estrés hídrico. AUE: Agua útil existente. Los triángulos representan las lluvias diarias. Las
flechas rojas indican fecha de siembra, y ocurrencia de estadios fenológicos de R1, R5 y R7
para un cultivar de GM IV Largo. En Oliveros se utilizaron datos reales y en Casilda se
estimaron utilizando el modelo Prosiso de la EEA INTA Marcos Juárez.
En Oliveros, los Cuadros 2, 3, 4, 5, 6, 7, 8 y 9 indican los cultivares
participantes con sus respectivos rendimientos (expresado al 13,5 % de humedad),
peso de 1000 semillas (PMS), altura de plantas a cosecha y la madurez fisiológica
(R7) en soja de 1era y 2da fecha de siembra. El experimento correspondiente al GM V
Largo, en la soja de 2da, fue eliminado por presentar los cultivares evaluados severas
reducciones en el stand de plantas, asimismo en el GM V corto se eliminaron todos
aquellos cultivares que no lograron un adecuado e uniforme stand de plantas. En
Casilda, los cuadros 10, 11 y 12 indican los cultivares participantes con sus
respectivos rendimientos (expresado al 13,5 % de humedad) y peso de 1000 semillas
(PMS). Los experimentos correspondientes a los GM III Largo y V Corto fueron
eliminados por poseer valores de variación no aceptables, producidos por la elevada
desuniformidad espacial y reducciones en el stand de plantas.
Resultados
En Oliveros, la campaña 2012/13 se caracterizó por abundantes y frecuentes
lluvias durante la primavera, que permitieron acumular en el perfil del suelo agua hasta
alcanzar 253 mm al 21-11. (Figura 2a). Esto favoreció el crecimiento inicial pero las
escasas precipitaciones, desde el 20-12-2012 hasta entrado el mes de febrero,
afectaron el crecimiento y desarrollo posterior de todos los GM, observándose abortos
de vainas (Fig.2 a). Los cultivares de los GM II, III, IV C y L y V Corto no alcanzaron a
cubrir el entresurco, presentando valores que nunca superaron el 90 % de RFAi.
Solamente los cultivares de los GM V Largo, VI y VII tuvieron valores más elevados
de % RFAi (Tabla 1).
En Oliveros, la soja de 2da se desarrollo con un estrés hídrico que abarco gran
parte de su ciclo, fue más intenso en los estados reproductivos tempranos (R1 – R5,
Fig. 2 b) en los GM más precoces. Solamente los cultivares de los GM VI y VII
alcanzaron a cubrir el surco (datos no presentados).
En Casilda, el lote donde se implantaron los experimentos tenía al momento de
la siembra la napa freática a una profundidad de aproximadamente 1,60 m. Esto
sumado a las precipitaciones generó un balance hídrico favorable para el crecimiento y
desarrollo de los cultivares.
Tabla 1: Valores de % radiación fotosintéticamente activa interceptada (%RFAi)
GM Cultivar Fecha RFAint Fecha RFAint
DM 2200 30-Ene 42 26-Feb 74
DM 3070 21-Ene 65 26-Feb 74
AS 3911 06-Feb 74 27-Feb 70
ACA 3939 GR 06-Feb 74 27-Feb 71
AS4402 04-Feb 69 27-Feb 69
LDC 4,2 04-Feb 56 27-Feb 77
SP 4*4 08-Feb 59
SP 4*99 08-Feb 78
NA 5009 RG 26-Feb 89
NA 5509 RG 26-Feb 97
NS 6002 15-Mar 95
RA 633 15-Mar 95
NS 7473 21-Mar 90
DALIA 750 21-Mar 93
II y III Corto
III Largo
IV Corto
IV Largo
V Corto
VI
VII
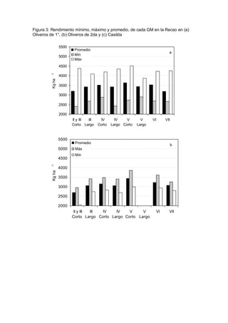
Figura 3: Rendimiento mínimo, máximo y promedio, de cada GM en la Recso en (a)
Oliveros de 1°, (b) Oliveros de 2da y (c) Casilda
2000
2500
3000
3500
4000
4500
5000
5500
II y III
Corto
III
Largo
IV
Corto
IV
Largo
V
Corto
V
Largo
VI VII
Kgha-1
Promedio
Mín
Máx
a
2000
2500
3000
3500
4000
4500
5000
5500
II y III
Corto
III
Largo
IV
Corto
IV
Largo
V
Corto
V
Largo
VI VII
Kgha-1
Promedio
Máx
Mín
b
2000
2500
3000
3500
4000
4500
5000
5500
II y III Corto IV Corto IV Largo
Kgha-1
Promedio
Mín
Máx
c
Los valores de rendimiento promedio de cada GM (Cuadro 1 a 12, Figuras 3 a,
b y c) no son orientativos del comportamiento de los materiales evaluados. Esto es
debido a que las variaciones del rendimiento entre los cultivares dentro de un mismo
GM son muy marcadas y mayores a las observadas entre los promedios de los
diferentes GM. Por lo tanto, es necesario analizar dentro de cada GM cuales son los
cultivares que presentan los mejores comportamientos.
En Oliveros, los rendimientos máximos de soja de 1° superaron los 4000 kg ha-
1
en los GM evaluados, excepto en el V Largo. A pesar del buen crecimiento obtenido
por los cultivares de los GM V Largo, VI y VII, éstos no alcanzaron rendimientos
superiores a los de los GM III y IV, debido a la sequía que los afecto durante la mayor
parte de su período reproductivo.
En la soja de 2da en Oliveros, solamente los GM V y VI fueron los más
favorecidos por las condiciones climáticas durante el período de definición del número
de semillas (Fig. 2 b), encontrándose cultivares con rendimientos máximos que
superaron los 3500 Kg ha-1
.
En Casilda, a pesar de la fecha tardía de siembra, se alcanzaron elevados
rendimientos debido a que el cultivo nunca estuvo estresado durante su período
reproductivo (Fig. 2 c).
Cuadro 2: Grupo de madurez II y III Corto, Rendimiento, peso de 1000 semillas,
fenología y características agronómicas
Cultivar Kg/Ha PMS Altura R 7 Kg/Ha PMS Altura R 7
DM 3312 3766 179,2 62,9 12-Mar 2449 167,6 50,4 23-Mar
RA 334 3616 179,0 65,4 13-Mar 3118 156,3 52,5 23-Mar
SRM 3300 3615 176,0 60,6 10-Mar 2449 157,9 49,0 25-Mar
DM 3070 3298 175,9 70,3 10-Mar 2753 158,0 51,6 21-Mar
NS 3215 3156 175,4 59,7 11-Mar 2716 150,4 47,5 23-Mar
NS 3313 3135 166,2 64,6 13-Mar 2841 157,2 51,2 23-Mar
SRM 3410 3076 163,5 60,2 11-Mar 2832 179,5 46,6 21-Mar
SP 3x1 2968 161,9 64,8 09-Mar s/d s/d 48,6 25-Mar
NK 32-00 2736 157,5 56,7 07-Mar 2314 144,9 41,9 20-Mar
DM 2200 2589 153,8 59,9 28-Feb 1981 158,0 45,8 16-Mar
Promedio 3196 168,8 2606 159
DMS 5 % 576 5,1 6,1
CV % 10,5 1,8 2,0
RECSO de 1° RECSO de 2da
Cuadro 3: Grupo de madurez III Largo, Rendimiento, peso de 1000 semillas,
fenología y características agronómicas
Cultivar Kg/Ha PMS Altura R 7 Kg/Ha PMS Altura R 7
RA 349 3840 167,1 78 20-Mar 3425 140,7 66 29-Mar
Tj 2137 3769 179,2 57 20-Mar 3077 155,0 53 28-Mar
Ho 3891 3762 181,4 57 20-Mar 2848 140,0 54 27-Mar
LDC 3,7 3754 169,7 62 13-Mar 3429 156,7 56 23-Mar
SRM 3970 3598 170,9 55 19-Mar 2753 145,0 46 26-Mar
FN 3,85 3566 170,4 61 18-Mar 3197 150,0 55 25-Mar
Bio 3,8 3531 166,9 74 19-Mar 3231 138,0 61 27-Mar
DM 3810 3509 190,1 69 18-Mar 3035 165,3 54 27-Mar
ACA 3939 GR 3498 192,8 63 19-Mar 3278 159,3 59 28-Mar
IS 3808 3448 178,4 72 17-Mar 2960 151,9 60 28-Mar
Bio 3,90 3433 177,7 63 17-Mar 3106 155,7 56 25-Mar
SK 3,5 3401 180,9 67 13-Mar 3017 169,3 54 23-Mar
WS 390 3371 146,6 69 19-Mar 3110 117,7 67 28-Mar
SK 3,8 3332 184,2 58 16-Mar 2962 172,0 50 23-Mar
LDC 3,8 3324 171,3 67 18-Mar 3059 141,7 56 26-Mar
Bio 3,5 3273 173,6 65 14-Mar 2743 144,3 59 24-Mar
SP 3*9 3251 167,7 60 14-Mar 3379 154,0 52 26-Mar
NA 3731 3240 164,1 69 16-Mar 2999 137,9 63 28-Mar
SP 3*5 3161 167,1 60 13-Mar 2960 152,0 51 24-Mar
AS 3601 3150 169,1 54 15-Mar 2993 155,7 49 25-Mar
KWS 350 3104 174,1 64 15-Mar 2783 159,7 60 25-Mar
AS 3911 3075 167,6 66 13-Mar 2938 146,7 55 25-Mar
Promedio 3427 173 3058 150
DMS 5 % 449 4,6 379 6,4
CV % 8,0 1,6 7,4 2,5
RECSO de 1° RECSO de 2da
Cuadro 4: Grupo de madurez IV Corto: Rendimiento, peso de 1000 semillas,
fenología y características agronómicas
Cultivar Kg/Ha PMS Altura R 7 Kg/Ha PMS Altura R 7
SRM 4222 3877 173,8 76 22-Mar 3304 152,3 64 31-Mar
Tj 2142 3826 166,6 78 23-Mar 3271 141,3 73 01-Abr
NS 4313 3716 149,7 62 21-Mar 3034 127,3 53 01-Abr
DASO410 3689 163,3 69 20-Mar 3480 146,3 63 31-Mar
LDC 4,2 3652 166,7 60 18-Mar 3003 141,3 59 26-Mar
FN 4,35 3616 166,7 76 20-Mar 3370 144,0 64 28-Mar
SRM 4370 3497 168,0 72 19-Mar 3057 155,6 57 28-Mar
BIO 4.20 3476 181,8 71 18-Mar 3255 159,3 63 27-Mar
DM 4210 3451 175,1 69 19-Mar 3218 155,7 55 31-Mar
DM 4212 3377 155,0 67 21-Mar 2893 121,3 59 28-Mar
AS 4402 3300 179,2 65 19-Mar 3290 158,3 55 30-Mar
AS 4201 3278 181,4 74 18-Mar 2986 154,0 58 26-Mar
EBC 4000 3247 154,2 66 20-Mar 2818 131,1 59 26-Mar
NS 4009 3149 161,6 66 19-Mar 3229 136,7 58 26-Mar
Promedio 3511 167,4 3158 145
DMS 5 % 447 6,2 379 4,7
CV % 7,6 2,2 7,4 1,9
RECSO de 1° RECSO de 2da
Cuadro 5: Grupo de madurez IV Largo: Rendimiento, peso de 1000 semillas,
fenología y características agronómicas
Cultivar PMS Altura R 7 Kg/Ha PMS Altura R 7
Bio 4,9 3990 a 199,4 77 24-Mar 3031 abc 159,3 78 30-Mar
NA 4990 3927 a 169,1 79 22-Mar 3132 ab 134,7 77 01-Abr
NS 4903 3699 ab 184,4 75 20-Mar 3207 ab 152,0 70 30-Mar
ACA 4990 GR 3658 abc 194,7 66 23-Mar 2992 abc 143,0 63 28-Mar
SRM 4839 3654 abc 167,0 67 22-Mar 2981 abc 135,0 68 31-Mar
KWS 481 3571 abc 186,9 58 22-Mar 3224 ab 167,7 62 29-Mar
DM 4612 3568 abc 161,8 71 19-Mar 3414 a 160,7 62 29-Mar
SK 4,7 3555 abc 191,3 70 21-Mar 3059 abc 156,3 67 27-Mar
RA 437 3542 abc 168,3 67 22-Mar 3208 ab 138,3 69 30-Mar
DM 4913 3533 abc 186,2 69 23-Mar 3226 ab 131,3 74 03-Abr
DM 4712 3532 abcd 165,6 68 22-Mar 3153 ab 128,0 63 30-Mar
Tj 2246 3525 abcde 186,0 65 20-Mar 3084 abc 154,7 57 28-Mar
ACA 4550 GR 3524 abcde 204,1 66 20-Mar 2859 bc 165,0 59 25-Mar
LDC 4,5 3513 abcde 165,1 69 22-Mar 3158 ab 145,7 71 30-Mar
AS 4931 3494 abcde 178,1 70 24-Mar 3008 abc 148,0 70 28-Mar
LDC 4,7 3478 abcde 180,5 69 22-Mar 3051 abc 135,0 63 30-Mar
NA 4413 3430 abcde 160,4 71 19-Mar 2992 abc 129,7 67 28-Mar
RA 449 3425 abcde 165,3 72 23-Mar 3008 abc 129,0 68 05-Abr
LDC 4,9 3419 abcde 179,9 81 20-Mar 2993 abc 138,0 73 29-Mar
Bio 4,8 3399 abcde 174,5 71 19-Mar 2971 abc 142,0 61 25-Mar
SP 4*4 3398 abcde 180,6 66 20-Mar 2835 bc 132,0 60 29-Mar
MG 4969 3375 abcde 185,8 74 22-Mar 2895 bc 134,7 78 29-Mar
Ho 4880 3374 bcde 160,6 68 20-Mar 3163 ab 151,7 64 29-Mar
Tj 2249 3371 bcde 166,6 65 23-Mar 3182 ab 143,3 73 30-Mar
IS 4770 3363 cde 165,8 69 23-Mar 3201 ab 136,0 67 01-Abr
SRM 4602 3348 cde 192,6 59 23-Mar 3252 ab 168,0 61 31-Mar
NS 4955 3344 cde 175,7 69 24-Mar 3190 ab 154,0 76 02-Abr
FN 4,50 3319 cde 171,4 64 22-Mar 2918 abc 143,7 62 29-Mar
NA 4613 3312 cde 168,6 56 23-Mar s/d s/d 54 03-Abr
Bio 4,6 3302 cde 185,3 62 22-Mar 3143 ab 142,0 62 29-Mar
DM 4670 3281 cde 178,5 64 20-Mar 3005 abc 138,3 59 29-Mar
IS 4510 3216 cde 186,9 59 22-Mar 2695 c 142,7 63 28-Mar
SP 4*99 3198 cde 176,2 81 20-Mar 3009 abc 139,3 76 29-Mar
Dalia 500 3118 cde 160,7 86 20-Mar 2780 bc 126,1 83 28-Mar
Dalia 550 3057 cde 161,7 79 20-Mar 2806 bc 133,3 78 28-Mar
Bio 4,7 3014 de 178,2 69 22-Mar 3099 abc 136,9 67 28-Mar
NS 4611 2897 e 173,1 63 18-Mar 3097 abc 147,0 65 28-Mar
Promedio 176,7 3050 143,4
Kg/Ha
3425
RECSO de 1° RECSO de 2da
 Las letras distintas indican diferencias significativas (p≤ 0,05) entre tratamientos.
Cuadro 6: Grupo de madurez V Corto: Rendimiento, peso de 1000 semillas,
fenología y características agronómicas
Cultivar Kg/Ha PMS Altura R 7 Kg/Ha PMS Altura R 7
NA 5009 RG 4264 190,8 82,3 26-Mar 75,8 05-Abr
DM 5351 RSF 4083 169,3 80,5 26-Mar 2997 c 133,2 75,5 03-Abr
FN 5,55 4005 169,7 84,5 26-Mar 3167 abc 140,2 81,1 05-Abr
NS 5258 3997 160,7 73,4 28-Mar 3837 a 132,7 74,2 06-Abr
SP 5*2 3974 172,0 79,5 28-Mar 3057 bc 139,3 73,2 06-Abr
RA 550 3950 144,8 79,9 28-Mar
LDC 5,3 3932 163,3 78,1 27-Mar 3698 a 143,0 77,7 07-Abr
FN 5,25 3663 150,3 87,0 24-Mar
SRM 5001 3663 164,1 72,5 27-Mar 3310 ab 135,9 65,5 10-Abr
SRM 5200 3625 156,3 78,9 29-Mar 3517 ab 130,7 80,5 13-Abr
NS 5117 3602 163,9 69,8 27-Mar 3397 ab 139,9 71,1 08-Abr
RA 541 3576 147,6 78,5 26-Mar
DS 1505 3561 173,5 79,9 25-Mar 3360 ab 146,3 81,3 03-Abr
Tjs 2255 3559 135,4 74,5 28-Mar
AS 5308i 3540 190,6 76,0 27-Mar
NA 5509 RG 3533 136,7 83,7 27-Mar
Ho 5010 3497 167,8 72,5 27-Mar 3524 a 136,7 69,0 04-Abr
Dalia 700 3448 129,6 75,9 29-Mar 65,0 13-Abr
DM 5,5i 3409 156,8 74,0 29-Mar
Bio 5,40 3378 143,4 76,7 28-Mar 3864 a 146,7 75,9 19-Abr
A 5520 RG 3314 146,6 75,3 30-Mar
RA 545 3267 141,0 79,7 28-Mar 88,8 03-Abr
Dalia 740 3168 130,9 74,3 29-Mar 71,6 16-Abr
Dalia 620 3109 129,9 73,2 28-Mar
Promedio 3630 155,6 3430 138,6
DMS 5 % 474 5,0 8,5
CV % 8,0 2,0 3,3
s/d
s/d
s/d
s/d
s/d
s/d
s/d
s/d
s/d
RECSO de 1° RECSO de 2da
s/d
s/d
s/d
s/d
 Las letras distintas indican diferencias significativas (p≤ 0,05) entre tratamientos.
Cuadro 7: Grupo de madurez V Largo: Rendimiento, peso de 1000 semillas,
fenología y características agronómicas
Cultivar Kg/Ha PMS Altura R 7
NA 5909 RG 3637 143,5 71,9 03-Abr
SP 5*9 3571 151,7 76,5 28-Mar
RA 538 3520 156,5 73,2 01-Abr
Tj 2256 3516 146,9 62,6 29-Mar
WS 560 3509 155,8 75,8 29-Mar
RA 549 3509 127,2 80,9 03-Abr
LDC 5,6 3483 157,1 82,3 30-Mar
DM 5,9i 3469 159,7 74,4 28-Mar
LDC 5,9 3447 169,5 89,0 01-Abr
NS 5891 3443 134,8 79,6 31-Mar
RA 556 3236 160,3 84,3 28-Mar
SRM 5500 3197 142,8 83,9 28-Mar
FN 5,75 3154 152,0 83,9 28-Mar
Promedio 3438 150,6
DMS 5 % NS 5,4
CV % 8,0 2,1
RECSO de 1°
Cuadro 8: Grupo de madurez VI: Rendimiento, peso de 1000 semillas, fenología y
características agronómicas
Cultivar Kg/Ha PMS Altura R 7 Kg/Ha PMS Altura R 7
LDC 6,0 3808 137,3 71,5 01-Abr 3619 142,0 76,4 19-Abr
SP 6*1 3801 147,0 93,9 29-Mar 3376 138,3 103,9 19-Abr
Tj 2266 3792 146,6 112,3 04-Abr 3255 157,0 118,3 21-Abr
SRM 6256 3766 129,5 82,7 05-Abr 3268 124,0 103,7 22-Abr
DM 6,2i 3740 173,3 90,4 29-Mar 3094 169,0 91,4 18-Abr
FN 6,55 3708 148,9 103,2 03-Abr 3209 153,7 108,4 19-Abr
Tj 2264 3652 136,0 81,7 07-Abr 3189 136,0 88,6 18-Abr
FN 6,15 3646 156,1 95,9 28-Mar 3067 140,7 95,1 10-Abr
FN 6,25 3642 158,1 106,9 29-Mar 3117 152,0 110,5 13-Abr
SRM 6900 3636 145,0 100,2 09-Abr 2940 145,3 99,9 23-Abr
NA 6126 RG 3582 118,0 86,8 01-Abr 3624 123,3 84,9 20-Abr
LDC 6,2 3576 163,0 70,6 02-Abr 3483 164,7 77,8 18-Abr
NS 6002 3471 146,3 77,4 31-Mar 3061 144,0 83,3 15-Abr
SRM 6001 3456 153,6 80,1 29-Mar 3253 156,7 91,9 15-Abr
NS 6448 3416 140,0 86,5 03-Abr 3297 143,0 85,6 24-Abr
A 6411 RG 3390 140,6 85,4 01-Abr 3222 137,3 87,3 18-Abr
Bio 6,5 3335 137,0 115,6 05-Abr 3112 142,7 117,1 22-Abr
RA 644 3325 111,8 84,9 03-Abr 3511 120,0 85,6 17-Abr
WAYNASAY 3322 129,1 90,1 09-Abr 3129 131,3 91,7 18-Abr
RA 633 3314 129,4 103,3 04-Abr 3161 132,7 109,5 19-Abr
DM 6,8i 3312 138,5 110,8 03-Abr 3171 150,3 119,7 21-Abr
LDC 6,9 3208 155,0 106,7 09-Abr 2987 159,3 111,5 24-Abr
NS 6218 3127 119,9 80,5 03-Abr 3231 132,7 84,8 23-Abr
Promedio 3523 141,7 3234 143,3
DMS 5 % NS 4,4 NS 4,5
CV % 7,8 1,9 8,4 1,9
RECSO de 1° RECSO de 2da
Cuadro 9: Grupo de madurez VII: Rendimiento, peso de 1000 semillas, fenología
y características agronómicas
Cultivar Kg/Ha PMS Altura R 7 Kg/Ha PMS Altura R 7
NS 7473 3632 129,9 72,2 05-Abr 3251 135,7 87 23-Abr
RA 744 3225 129,3 90,7 14-Abr 3054 129,0 99 21-Abr
A 7321 RG 3191 144,7 103,1 05-Abr 3152 158,3 106 22-Abr
SP 7*3 3176 137,5 89,7 10-Abr 2806 147,3 105 22-Abr
RMO 75i 3064 145,3 86,3 10-Abr 3172 148,3 101 28-Abr
NS 7211 3019 142,2 86,4 14-Abr 3100 149,0 98 24-Abr
DALIA 750 2959 127,2 103,0 13-Abr 3013 128,3 112 18-Abr
Promedio 3181 136,6 3078
DMS 5 % NS 5,3 NS
CV % 12,9 2,2 9,4
RECSO de 2daRECSO de 1°
Cuadro 10: Grupo de madurez II y III Corto: Rendimiento, peso de 1000 semillas
AER Casilda
Cultivar Kg/Ha PMS
DM 3312 4340 a 169 cde
RA 334 4227 ab 162 e
SRM 3300 4128 ab 163 de
NS 3215 4125 ab 179 ab
SRM 3410 3850 abc 180 a
SP 3x1 3715 abc 171 bc
NS 3313 3555 abc 171 c
DM 3070 3521 bc 170 cd
DM 2200 3239 c 166 cde
Promedio 3562 170
CV % 11,93 2,5
RECSO de 1°
 Las letras distintas indican diferencias significativas (p≤ 0,05) entre tratamientos.
Cuadro 11: Grupo de madurez IV Corto: Rendimiento, peso de 1000 semillas
AER Casilda
Cultivar Kg/Ha PMS
AS4201 4001 a 169 bc
AS4402 3924 ab 173 a
NS 4009 3923 ab 157 d
DS 1410 3820 ab 162 cd
DM 4212 3779 abc 145 e
NS 4313 3723 abc 142 e
EBC 4000 3640 abc 145 e
LDC 4,2 3613 abc 161 cd
BIO4.20 3605 abc 172 a
FN 4,35 3430 abc 160 cd
SRM 4370 3399 abc 171 a
DM 4210 3395 abc 165 bc
SRM 4222 3347 bc 173 a
Tj 2142 3165 c 173 a
Promedio 3626 162
CV % 10,3 2,0
RECSO de 1°
 Las letras distintas indican diferencias significativas (p≤ 0,05) entre tratamientos.
Cuadro 12: Grupo de madurez IV Largo: Rendimiento, peso de 1000 semillas
AER Casilda
Cultivar
Bio 4,9 4604 a 194 a
Bio 4,6 4539 ab 159 jkl
Bio 4,8 4537 ab 163 fghijk
KWS 481 4525 abc 178 bc
Bio 4,7 4498 abc 161 ghijk
LDC 4,5 4493 abc 162 ghijk
IS 4770 4492 abc 166 efghi
NS 4903 4463 abc 173 cd
DM 4712 4270 abcd 160 ijkl
DM 4612 4190 abcde 167 defg
DM 4670 4170 abcdef 165 efghi
Dalia 550 4160 abcdef 151 no
NS 4955 4083 abcdef 177 bc
NA 4990 4047 abcdef 152 mno
RA 437 4029 abcdef 154 lmno
Ho 4880 4010 abcdef 160 ijkl
SK 4,7 3989 abcdef 166 efghi
LDC 4,9 3979 abcdef 159 ijkl
Tj 2246 3975 abcdef 167 defgh
NA 4413 3969 abcdef 141 p
SP 4*99 3963 abcdef 161 hijkl
DM 4913 3889 bcdef 164 fghij
AS 4931 3887 bcdef 164 efghij
FN 4,50 3884 bcdef 164 fghij
Tj 2249 3862 bcdef 169 def
SRM 4602 3838 bcdef 180 b
IS 4510 3838 bcdef 158 jklm
ACA 4990 GR 3816 bcdef 171 cde
ACA 4550 GR 3809 bcdef 181 b
MG 4969 3782 cdef 164 fghij
LDC 4,7 3760 def 154 lmno
Dalia 500 3605 def 151 no
NS 4611 3520 ef 157 klmn
SRM 4839 3502 f 149 o
Promedio
CV %
Kg/Ha
4058
10,1
PMS
RECSO de 1°
164
2,5
 Las letras distintas indican diferencias significativas (p≤ 0,05) entre tratamientos.
Referencias:
PMS: Peso de 1000 semillas en gramos,
Alt: altura en cm, medida en madurez fisiológica,
s/d: sin dato
Agradecimientos:
A los Ingenieros Agrónomos Ricardo Martignone por su colaboración en tareas del
ensayo y a José Andriani por su aporte en la medición del contenido hídrico diario y
generación de los gráficos de balance diaria de agua. A todo el personal auxiliar que
colaboró en la realización de estos ensayos y en particular a los ayudantes del Grupo
Soja Leandro Martarello, Omar Medina, Ramón Ynfante y Carlos Correro.
Bibliografía:
Bahícu 1.01, Balance hídrico de cultivos www.inta.gov.ar/Oliveros
Di Rienzo J.A., Casanoves F., Balzarini M.G., Gonzalez L., Tablada M., Robledo C.W.
InfoStat versión 2008. Grupo InfoStat, FCA, Universidad Nacional de Córdoba,
Argentina. www.infostat.com.ar

Inta | Red Nacional Evaluadores Soja 2012-13

  • 1.
    Instituto Nacional deTecnología Agropecuaria Centro Regional Santa Fe Estación Experimental Agropecuaria INTA Oliveros Informe Técnico: RED NACIONAL DE EVALUACIÓN DE CULTIVARES DE SOJA Ensayos Comparativos de Rendimiento Campaña 2012-13 EEA INTA OLIVEROS y AER CASILDA Enrico, Juan Martín (1), Bodrero, Marcelo (1), Gentili, Oscar (2), (1) Técnicos de la EEA INTA Oliveros (2) Técnico AER Casilda, La Red Nacional de Evaluación de Cultivares de Soja de INTA, constituida en 1980, consta actualmente de 64 localidades con ensayos comparativos de rendimiento (Figura 1) distribuidas por toda la región sojera del país. El objetivo de esta red, es evaluar e identificar cultivares comerciales de soja adaptados a los diferentes agroecosistemas de la República Argentina. La Red, posee un protocolo común de ensayos que permite la comparación de resultados entre las distintas unidades de evaluación. En toda la Red Nacional sólo participan cultivares comerciales, y por cada grupo de madurez (GM) evaluado hay un cultivar que es denominado Testigo del GM, seleccionado por su representatividad y potencial de rendimiento. En Oliveros, el objetivo de este trabajo fue evaluar en siembras de primera época y de segunda (antecesor trigo), el rendimiento, características agronómicas y fenología de cultivares (cvs) de soja pertenecientes a los grupo de madurez (GM) II, III Corto y Largo, IV Corto y Largo (semiprecoces), V Corto y Largo, VI y VII (semitardíos) en la EEA Oliveros. En Casilda el objetivo fue evaluar en siembras de primera los GM III Largo, IV Corto y Largo (semiprecoces) y V Corto (semitardío) durante la campaña 2012/13.
  • 2.
    10 18 6 20 1 5 3 7 23 22 19 21 32 24 26 57 63 35 34 41 38 61 60 45 48 44 37 46 53 51 55 58 43 62 64 9 31 33 4 1 8 2 11 12 13 16 1417 15 25 29 30 3936 4042 50 52 47 54 49 56 59 28 2627 Figura 1: Mapa: Regiones y Sub-regiones de cultivo para la recomendación de cultivares. Localidades con ensayos, Campaña 2012/13. Los círculos con los números 34 y 38 son los sitios de Casilda y Oliveros respectivamente (Fuente de la Imagen: Informe Técnico de Resultados Campaña 2012-13 – 1° Parte, EEA INTA Marcos Juárez). Materiales y métodos Los ensayos se realizaron en el Campo Experimental de la EEA Oliveros del INTA y en un campo de un productor en la zona de Casilda, respectivamente. Se utilizaron los cultivares participantes en la Red de Ensayos Comparativos de Rendimiento de Soja (RECSO), GM III, IV, V, VI y VII, y en Oliveros se incluyeron los cultivares A 5520 RG (GM V C), A 6411 RG (GM VI) y A 7321 RG (GM VII) los cuales han sido testigos de sus respectivos GM en pasadas campañas. Para cada GM, se realizó un ensayo cuyo diseño fue en bloques completos al azar, siendo tres el número de repeticiones.
  • 3.
    En Oliveros, lassiembras se realizaron el 26/11/2012 y el 13/12/2012 para los cultivos de 1° y 2da, respectivamente. En Casilda, se sembró el 10/12/2012. Se utilizó una sembradora neumática experimental para siembra directa. En ambas localidades, se sembraron 5 surcos espaciados a 0,52 m y el largo de las parcelas fue de 5 metros. Los suelos donde se realizaron los experimentos, están caracterizados como Argiudol típico serie Casilda y serie Maciel para Casilda y Oliveros, respectivamente. En ambos casos, los lotes donde se implantaron los mismos cuentan con más de 40 años de agricultura continua. Para cada localidad y experimento, los datos fueron sometidos a análisis de varianza y se aplico el test LSD de Fisher al 5 % de probabilidad para comparación de medias para las variables rendimiento y PMS utilizando el programa Infostat v. 2008 (Di Rienzo et al, 2008). En aquellas ocasiones que no existió homogeneidad de la varianza (Cuadros 5 y Cuadro 6, sólo en RECSO de 2da) se utilizó en el análisis de los datos un modelo mixto, donde el término del error se distribuyo en forma aleatoria y en la comparación entre cultivares se utilizó el desvió estándar de cada cultivar. Las malezas se controlaron con herbicidas pre-emergentes (diclosulam) y con herbicidas post-emergente (glifosato). El ensayo se mantuvo libre de plagas y la cosecha se realizó con cosechadora experimental de parcelas. Se midió el % de radiación fotosintéticamente activa interceptada (% RFAi) en un par de cultivares dentro de cada GM evaluado. Para su realización, se utilizó un sensor de barra de 1 metro de largo modelo Line Quantum LI – 189, (Li-cor Inc., Lincoln Nebraska, USA) colocando la barra por encima del canopeo (RFAtope) y posteriormente a ras de suelo (RFAsuelo), en tres sitios, en forma diagonal entre los surcos centrales de la parcela, asegurando que ambos extremos de la misma toquen la base de las plantas. La medición del % de RFAi se realizó a inicios del período de llenado de granos (R5). En los cultivares de los GM II y III C, III L y IV C se realizó una segunda medición a posteriori de una lluvia para poder registrar la mejoría en el % RFAi en algunos cultivares. La figura 2 muestra el balance hídrico diario y la evolución del contenido de agua disponible durante el ciclo del cultivo según el software Bahícu 1.01. En el mismo, se puede observar la línea de capacidad máxima de agua disponible (AUM) del suelo, explorado por las raíces y la línea de estrés hídrico (L. Str.) 50% del agua útil máxima, correspondiente a ese volumen de suelo. Cuando el agua disponible en el suelo para los cultivares se encuentra por debajo de la línea de estrés hídrico, los mismos se encuentran en déficit hídrico y cuanto mayor es la diferencia mayor es la intensidad del mismo.
  • 4.
    0 25 50 75 100 125 150 175 200 225 250 275 300 17- Nov 02-Dic 17-Dic 01- Ene 16- Ene 31- Ene 15- Feb 02- Mar 17- Mar 01- Abr Aguaútil(mm) Lluvias CC L,Stress AUE a S R1 R5 R7 0 25 50 75 100 125 150 175 200 225 250 275 300 07- Dic 22- Dic 06- Ene 21- Ene 05- Feb 20- Feb 07- Mar 22- Mar 06- Abr 21- Abr 06- May Aguaútil(mm) Lluvias CC L, Stress AUE b S R1 R5 R7
  • 5.
    0 25 50 75 100 125 150 175 200 225 250 275 300 07- Nov 22- Nov 07- Dic 22- Dic 06- Ene 21- Ene 05- Feb 20- Feb 07- Mar 22- Mar 06- Abr 21- Abr 06- May Aguaútil(mm) Lluvias CC L, Stress AUE c S R1R5 R7 Figura 2: Balance hídrico diario en (a) RECSO de 1°, (b) RECSO de 2da. en EEA INTA OLIVEROS y (c) RECSO Casilda. Referencias: AUM: agua útil máxima. L.Stres.: límite de estrés hídrico. AUE: Agua útil existente. Los triángulos representan las lluvias diarias. Las flechas rojas indican fecha de siembra, y ocurrencia de estadios fenológicos de R1, R5 y R7 para un cultivar de GM IV Largo. En Oliveros se utilizaron datos reales y en Casilda se estimaron utilizando el modelo Prosiso de la EEA INTA Marcos Juárez. En Oliveros, los Cuadros 2, 3, 4, 5, 6, 7, 8 y 9 indican los cultivares participantes con sus respectivos rendimientos (expresado al 13,5 % de humedad), peso de 1000 semillas (PMS), altura de plantas a cosecha y la madurez fisiológica (R7) en soja de 1era y 2da fecha de siembra. El experimento correspondiente al GM V Largo, en la soja de 2da, fue eliminado por presentar los cultivares evaluados severas reducciones en el stand de plantas, asimismo en el GM V corto se eliminaron todos aquellos cultivares que no lograron un adecuado e uniforme stand de plantas. En Casilda, los cuadros 10, 11 y 12 indican los cultivares participantes con sus respectivos rendimientos (expresado al 13,5 % de humedad) y peso de 1000 semillas (PMS). Los experimentos correspondientes a los GM III Largo y V Corto fueron eliminados por poseer valores de variación no aceptables, producidos por la elevada desuniformidad espacial y reducciones en el stand de plantas. Resultados En Oliveros, la campaña 2012/13 se caracterizó por abundantes y frecuentes lluvias durante la primavera, que permitieron acumular en el perfil del suelo agua hasta alcanzar 253 mm al 21-11. (Figura 2a). Esto favoreció el crecimiento inicial pero las escasas precipitaciones, desde el 20-12-2012 hasta entrado el mes de febrero, afectaron el crecimiento y desarrollo posterior de todos los GM, observándose abortos de vainas (Fig.2 a). Los cultivares de los GM II, III, IV C y L y V Corto no alcanzaron a cubrir el entresurco, presentando valores que nunca superaron el 90 % de RFAi. Solamente los cultivares de los GM V Largo, VI y VII tuvieron valores más elevados de % RFAi (Tabla 1).
  • 6.
    En Oliveros, lasoja de 2da se desarrollo con un estrés hídrico que abarco gran parte de su ciclo, fue más intenso en los estados reproductivos tempranos (R1 – R5, Fig. 2 b) en los GM más precoces. Solamente los cultivares de los GM VI y VII alcanzaron a cubrir el surco (datos no presentados). En Casilda, el lote donde se implantaron los experimentos tenía al momento de la siembra la napa freática a una profundidad de aproximadamente 1,60 m. Esto sumado a las precipitaciones generó un balance hídrico favorable para el crecimiento y desarrollo de los cultivares. Tabla 1: Valores de % radiación fotosintéticamente activa interceptada (%RFAi) GM Cultivar Fecha RFAint Fecha RFAint DM 2200 30-Ene 42 26-Feb 74 DM 3070 21-Ene 65 26-Feb 74 AS 3911 06-Feb 74 27-Feb 70 ACA 3939 GR 06-Feb 74 27-Feb 71 AS4402 04-Feb 69 27-Feb 69 LDC 4,2 04-Feb 56 27-Feb 77 SP 4*4 08-Feb 59 SP 4*99 08-Feb 78 NA 5009 RG 26-Feb 89 NA 5509 RG 26-Feb 97 NS 6002 15-Mar 95 RA 633 15-Mar 95 NS 7473 21-Mar 90 DALIA 750 21-Mar 93 II y III Corto III Largo IV Corto IV Largo V Corto VI VII
  • 7.
    Figura 3: Rendimientomínimo, máximo y promedio, de cada GM en la Recso en (a) Oliveros de 1°, (b) Oliveros de 2da y (c) Casilda 2000 2500 3000 3500 4000 4500 5000 5500 II y III Corto III Largo IV Corto IV Largo V Corto V Largo VI VII Kgha-1 Promedio Mín Máx a 2000 2500 3000 3500 4000 4500 5000 5500 II y III Corto III Largo IV Corto IV Largo V Corto V Largo VI VII Kgha-1 Promedio Máx Mín b
  • 8.
    2000 2500 3000 3500 4000 4500 5000 5500 II y IIICorto IV Corto IV Largo Kgha-1 Promedio Mín Máx c Los valores de rendimiento promedio de cada GM (Cuadro 1 a 12, Figuras 3 a, b y c) no son orientativos del comportamiento de los materiales evaluados. Esto es debido a que las variaciones del rendimiento entre los cultivares dentro de un mismo GM son muy marcadas y mayores a las observadas entre los promedios de los diferentes GM. Por lo tanto, es necesario analizar dentro de cada GM cuales son los cultivares que presentan los mejores comportamientos. En Oliveros, los rendimientos máximos de soja de 1° superaron los 4000 kg ha- 1 en los GM evaluados, excepto en el V Largo. A pesar del buen crecimiento obtenido por los cultivares de los GM V Largo, VI y VII, éstos no alcanzaron rendimientos superiores a los de los GM III y IV, debido a la sequía que los afecto durante la mayor parte de su período reproductivo. En la soja de 2da en Oliveros, solamente los GM V y VI fueron los más favorecidos por las condiciones climáticas durante el período de definición del número de semillas (Fig. 2 b), encontrándose cultivares con rendimientos máximos que superaron los 3500 Kg ha-1 . En Casilda, a pesar de la fecha tardía de siembra, se alcanzaron elevados rendimientos debido a que el cultivo nunca estuvo estresado durante su período reproductivo (Fig. 2 c).
  • 9.
    Cuadro 2: Grupode madurez II y III Corto, Rendimiento, peso de 1000 semillas, fenología y características agronómicas Cultivar Kg/Ha PMS Altura R 7 Kg/Ha PMS Altura R 7 DM 3312 3766 179,2 62,9 12-Mar 2449 167,6 50,4 23-Mar RA 334 3616 179,0 65,4 13-Mar 3118 156,3 52,5 23-Mar SRM 3300 3615 176,0 60,6 10-Mar 2449 157,9 49,0 25-Mar DM 3070 3298 175,9 70,3 10-Mar 2753 158,0 51,6 21-Mar NS 3215 3156 175,4 59,7 11-Mar 2716 150,4 47,5 23-Mar NS 3313 3135 166,2 64,6 13-Mar 2841 157,2 51,2 23-Mar SRM 3410 3076 163,5 60,2 11-Mar 2832 179,5 46,6 21-Mar SP 3x1 2968 161,9 64,8 09-Mar s/d s/d 48,6 25-Mar NK 32-00 2736 157,5 56,7 07-Mar 2314 144,9 41,9 20-Mar DM 2200 2589 153,8 59,9 28-Feb 1981 158,0 45,8 16-Mar Promedio 3196 168,8 2606 159 DMS 5 % 576 5,1 6,1 CV % 10,5 1,8 2,0 RECSO de 1° RECSO de 2da Cuadro 3: Grupo de madurez III Largo, Rendimiento, peso de 1000 semillas, fenología y características agronómicas Cultivar Kg/Ha PMS Altura R 7 Kg/Ha PMS Altura R 7 RA 349 3840 167,1 78 20-Mar 3425 140,7 66 29-Mar Tj 2137 3769 179,2 57 20-Mar 3077 155,0 53 28-Mar Ho 3891 3762 181,4 57 20-Mar 2848 140,0 54 27-Mar LDC 3,7 3754 169,7 62 13-Mar 3429 156,7 56 23-Mar SRM 3970 3598 170,9 55 19-Mar 2753 145,0 46 26-Mar FN 3,85 3566 170,4 61 18-Mar 3197 150,0 55 25-Mar Bio 3,8 3531 166,9 74 19-Mar 3231 138,0 61 27-Mar DM 3810 3509 190,1 69 18-Mar 3035 165,3 54 27-Mar ACA 3939 GR 3498 192,8 63 19-Mar 3278 159,3 59 28-Mar IS 3808 3448 178,4 72 17-Mar 2960 151,9 60 28-Mar Bio 3,90 3433 177,7 63 17-Mar 3106 155,7 56 25-Mar SK 3,5 3401 180,9 67 13-Mar 3017 169,3 54 23-Mar WS 390 3371 146,6 69 19-Mar 3110 117,7 67 28-Mar SK 3,8 3332 184,2 58 16-Mar 2962 172,0 50 23-Mar LDC 3,8 3324 171,3 67 18-Mar 3059 141,7 56 26-Mar Bio 3,5 3273 173,6 65 14-Mar 2743 144,3 59 24-Mar SP 3*9 3251 167,7 60 14-Mar 3379 154,0 52 26-Mar NA 3731 3240 164,1 69 16-Mar 2999 137,9 63 28-Mar SP 3*5 3161 167,1 60 13-Mar 2960 152,0 51 24-Mar AS 3601 3150 169,1 54 15-Mar 2993 155,7 49 25-Mar KWS 350 3104 174,1 64 15-Mar 2783 159,7 60 25-Mar AS 3911 3075 167,6 66 13-Mar 2938 146,7 55 25-Mar Promedio 3427 173 3058 150 DMS 5 % 449 4,6 379 6,4 CV % 8,0 1,6 7,4 2,5 RECSO de 1° RECSO de 2da
  • 10.
    Cuadro 4: Grupode madurez IV Corto: Rendimiento, peso de 1000 semillas, fenología y características agronómicas Cultivar Kg/Ha PMS Altura R 7 Kg/Ha PMS Altura R 7 SRM 4222 3877 173,8 76 22-Mar 3304 152,3 64 31-Mar Tj 2142 3826 166,6 78 23-Mar 3271 141,3 73 01-Abr NS 4313 3716 149,7 62 21-Mar 3034 127,3 53 01-Abr DASO410 3689 163,3 69 20-Mar 3480 146,3 63 31-Mar LDC 4,2 3652 166,7 60 18-Mar 3003 141,3 59 26-Mar FN 4,35 3616 166,7 76 20-Mar 3370 144,0 64 28-Mar SRM 4370 3497 168,0 72 19-Mar 3057 155,6 57 28-Mar BIO 4.20 3476 181,8 71 18-Mar 3255 159,3 63 27-Mar DM 4210 3451 175,1 69 19-Mar 3218 155,7 55 31-Mar DM 4212 3377 155,0 67 21-Mar 2893 121,3 59 28-Mar AS 4402 3300 179,2 65 19-Mar 3290 158,3 55 30-Mar AS 4201 3278 181,4 74 18-Mar 2986 154,0 58 26-Mar EBC 4000 3247 154,2 66 20-Mar 2818 131,1 59 26-Mar NS 4009 3149 161,6 66 19-Mar 3229 136,7 58 26-Mar Promedio 3511 167,4 3158 145 DMS 5 % 447 6,2 379 4,7 CV % 7,6 2,2 7,4 1,9 RECSO de 1° RECSO de 2da
  • 11.
    Cuadro 5: Grupode madurez IV Largo: Rendimiento, peso de 1000 semillas, fenología y características agronómicas Cultivar PMS Altura R 7 Kg/Ha PMS Altura R 7 Bio 4,9 3990 a 199,4 77 24-Mar 3031 abc 159,3 78 30-Mar NA 4990 3927 a 169,1 79 22-Mar 3132 ab 134,7 77 01-Abr NS 4903 3699 ab 184,4 75 20-Mar 3207 ab 152,0 70 30-Mar ACA 4990 GR 3658 abc 194,7 66 23-Mar 2992 abc 143,0 63 28-Mar SRM 4839 3654 abc 167,0 67 22-Mar 2981 abc 135,0 68 31-Mar KWS 481 3571 abc 186,9 58 22-Mar 3224 ab 167,7 62 29-Mar DM 4612 3568 abc 161,8 71 19-Mar 3414 a 160,7 62 29-Mar SK 4,7 3555 abc 191,3 70 21-Mar 3059 abc 156,3 67 27-Mar RA 437 3542 abc 168,3 67 22-Mar 3208 ab 138,3 69 30-Mar DM 4913 3533 abc 186,2 69 23-Mar 3226 ab 131,3 74 03-Abr DM 4712 3532 abcd 165,6 68 22-Mar 3153 ab 128,0 63 30-Mar Tj 2246 3525 abcde 186,0 65 20-Mar 3084 abc 154,7 57 28-Mar ACA 4550 GR 3524 abcde 204,1 66 20-Mar 2859 bc 165,0 59 25-Mar LDC 4,5 3513 abcde 165,1 69 22-Mar 3158 ab 145,7 71 30-Mar AS 4931 3494 abcde 178,1 70 24-Mar 3008 abc 148,0 70 28-Mar LDC 4,7 3478 abcde 180,5 69 22-Mar 3051 abc 135,0 63 30-Mar NA 4413 3430 abcde 160,4 71 19-Mar 2992 abc 129,7 67 28-Mar RA 449 3425 abcde 165,3 72 23-Mar 3008 abc 129,0 68 05-Abr LDC 4,9 3419 abcde 179,9 81 20-Mar 2993 abc 138,0 73 29-Mar Bio 4,8 3399 abcde 174,5 71 19-Mar 2971 abc 142,0 61 25-Mar SP 4*4 3398 abcde 180,6 66 20-Mar 2835 bc 132,0 60 29-Mar MG 4969 3375 abcde 185,8 74 22-Mar 2895 bc 134,7 78 29-Mar Ho 4880 3374 bcde 160,6 68 20-Mar 3163 ab 151,7 64 29-Mar Tj 2249 3371 bcde 166,6 65 23-Mar 3182 ab 143,3 73 30-Mar IS 4770 3363 cde 165,8 69 23-Mar 3201 ab 136,0 67 01-Abr SRM 4602 3348 cde 192,6 59 23-Mar 3252 ab 168,0 61 31-Mar NS 4955 3344 cde 175,7 69 24-Mar 3190 ab 154,0 76 02-Abr FN 4,50 3319 cde 171,4 64 22-Mar 2918 abc 143,7 62 29-Mar NA 4613 3312 cde 168,6 56 23-Mar s/d s/d 54 03-Abr Bio 4,6 3302 cde 185,3 62 22-Mar 3143 ab 142,0 62 29-Mar DM 4670 3281 cde 178,5 64 20-Mar 3005 abc 138,3 59 29-Mar IS 4510 3216 cde 186,9 59 22-Mar 2695 c 142,7 63 28-Mar SP 4*99 3198 cde 176,2 81 20-Mar 3009 abc 139,3 76 29-Mar Dalia 500 3118 cde 160,7 86 20-Mar 2780 bc 126,1 83 28-Mar Dalia 550 3057 cde 161,7 79 20-Mar 2806 bc 133,3 78 28-Mar Bio 4,7 3014 de 178,2 69 22-Mar 3099 abc 136,9 67 28-Mar NS 4611 2897 e 173,1 63 18-Mar 3097 abc 147,0 65 28-Mar Promedio 176,7 3050 143,4 Kg/Ha 3425 RECSO de 1° RECSO de 2da  Las letras distintas indican diferencias significativas (p≤ 0,05) entre tratamientos.
  • 12.
    Cuadro 6: Grupode madurez V Corto: Rendimiento, peso de 1000 semillas, fenología y características agronómicas Cultivar Kg/Ha PMS Altura R 7 Kg/Ha PMS Altura R 7 NA 5009 RG 4264 190,8 82,3 26-Mar 75,8 05-Abr DM 5351 RSF 4083 169,3 80,5 26-Mar 2997 c 133,2 75,5 03-Abr FN 5,55 4005 169,7 84,5 26-Mar 3167 abc 140,2 81,1 05-Abr NS 5258 3997 160,7 73,4 28-Mar 3837 a 132,7 74,2 06-Abr SP 5*2 3974 172,0 79,5 28-Mar 3057 bc 139,3 73,2 06-Abr RA 550 3950 144,8 79,9 28-Mar LDC 5,3 3932 163,3 78,1 27-Mar 3698 a 143,0 77,7 07-Abr FN 5,25 3663 150,3 87,0 24-Mar SRM 5001 3663 164,1 72,5 27-Mar 3310 ab 135,9 65,5 10-Abr SRM 5200 3625 156,3 78,9 29-Mar 3517 ab 130,7 80,5 13-Abr NS 5117 3602 163,9 69,8 27-Mar 3397 ab 139,9 71,1 08-Abr RA 541 3576 147,6 78,5 26-Mar DS 1505 3561 173,5 79,9 25-Mar 3360 ab 146,3 81,3 03-Abr Tjs 2255 3559 135,4 74,5 28-Mar AS 5308i 3540 190,6 76,0 27-Mar NA 5509 RG 3533 136,7 83,7 27-Mar Ho 5010 3497 167,8 72,5 27-Mar 3524 a 136,7 69,0 04-Abr Dalia 700 3448 129,6 75,9 29-Mar 65,0 13-Abr DM 5,5i 3409 156,8 74,0 29-Mar Bio 5,40 3378 143,4 76,7 28-Mar 3864 a 146,7 75,9 19-Abr A 5520 RG 3314 146,6 75,3 30-Mar RA 545 3267 141,0 79,7 28-Mar 88,8 03-Abr Dalia 740 3168 130,9 74,3 29-Mar 71,6 16-Abr Dalia 620 3109 129,9 73,2 28-Mar Promedio 3630 155,6 3430 138,6 DMS 5 % 474 5,0 8,5 CV % 8,0 2,0 3,3 s/d s/d s/d s/d s/d s/d s/d s/d s/d RECSO de 1° RECSO de 2da s/d s/d s/d s/d  Las letras distintas indican diferencias significativas (p≤ 0,05) entre tratamientos.
  • 13.
    Cuadro 7: Grupode madurez V Largo: Rendimiento, peso de 1000 semillas, fenología y características agronómicas Cultivar Kg/Ha PMS Altura R 7 NA 5909 RG 3637 143,5 71,9 03-Abr SP 5*9 3571 151,7 76,5 28-Mar RA 538 3520 156,5 73,2 01-Abr Tj 2256 3516 146,9 62,6 29-Mar WS 560 3509 155,8 75,8 29-Mar RA 549 3509 127,2 80,9 03-Abr LDC 5,6 3483 157,1 82,3 30-Mar DM 5,9i 3469 159,7 74,4 28-Mar LDC 5,9 3447 169,5 89,0 01-Abr NS 5891 3443 134,8 79,6 31-Mar RA 556 3236 160,3 84,3 28-Mar SRM 5500 3197 142,8 83,9 28-Mar FN 5,75 3154 152,0 83,9 28-Mar Promedio 3438 150,6 DMS 5 % NS 5,4 CV % 8,0 2,1 RECSO de 1°
  • 14.
    Cuadro 8: Grupode madurez VI: Rendimiento, peso de 1000 semillas, fenología y características agronómicas Cultivar Kg/Ha PMS Altura R 7 Kg/Ha PMS Altura R 7 LDC 6,0 3808 137,3 71,5 01-Abr 3619 142,0 76,4 19-Abr SP 6*1 3801 147,0 93,9 29-Mar 3376 138,3 103,9 19-Abr Tj 2266 3792 146,6 112,3 04-Abr 3255 157,0 118,3 21-Abr SRM 6256 3766 129,5 82,7 05-Abr 3268 124,0 103,7 22-Abr DM 6,2i 3740 173,3 90,4 29-Mar 3094 169,0 91,4 18-Abr FN 6,55 3708 148,9 103,2 03-Abr 3209 153,7 108,4 19-Abr Tj 2264 3652 136,0 81,7 07-Abr 3189 136,0 88,6 18-Abr FN 6,15 3646 156,1 95,9 28-Mar 3067 140,7 95,1 10-Abr FN 6,25 3642 158,1 106,9 29-Mar 3117 152,0 110,5 13-Abr SRM 6900 3636 145,0 100,2 09-Abr 2940 145,3 99,9 23-Abr NA 6126 RG 3582 118,0 86,8 01-Abr 3624 123,3 84,9 20-Abr LDC 6,2 3576 163,0 70,6 02-Abr 3483 164,7 77,8 18-Abr NS 6002 3471 146,3 77,4 31-Mar 3061 144,0 83,3 15-Abr SRM 6001 3456 153,6 80,1 29-Mar 3253 156,7 91,9 15-Abr NS 6448 3416 140,0 86,5 03-Abr 3297 143,0 85,6 24-Abr A 6411 RG 3390 140,6 85,4 01-Abr 3222 137,3 87,3 18-Abr Bio 6,5 3335 137,0 115,6 05-Abr 3112 142,7 117,1 22-Abr RA 644 3325 111,8 84,9 03-Abr 3511 120,0 85,6 17-Abr WAYNASAY 3322 129,1 90,1 09-Abr 3129 131,3 91,7 18-Abr RA 633 3314 129,4 103,3 04-Abr 3161 132,7 109,5 19-Abr DM 6,8i 3312 138,5 110,8 03-Abr 3171 150,3 119,7 21-Abr LDC 6,9 3208 155,0 106,7 09-Abr 2987 159,3 111,5 24-Abr NS 6218 3127 119,9 80,5 03-Abr 3231 132,7 84,8 23-Abr Promedio 3523 141,7 3234 143,3 DMS 5 % NS 4,4 NS 4,5 CV % 7,8 1,9 8,4 1,9 RECSO de 1° RECSO de 2da Cuadro 9: Grupo de madurez VII: Rendimiento, peso de 1000 semillas, fenología y características agronómicas Cultivar Kg/Ha PMS Altura R 7 Kg/Ha PMS Altura R 7 NS 7473 3632 129,9 72,2 05-Abr 3251 135,7 87 23-Abr RA 744 3225 129,3 90,7 14-Abr 3054 129,0 99 21-Abr A 7321 RG 3191 144,7 103,1 05-Abr 3152 158,3 106 22-Abr SP 7*3 3176 137,5 89,7 10-Abr 2806 147,3 105 22-Abr RMO 75i 3064 145,3 86,3 10-Abr 3172 148,3 101 28-Abr NS 7211 3019 142,2 86,4 14-Abr 3100 149,0 98 24-Abr DALIA 750 2959 127,2 103,0 13-Abr 3013 128,3 112 18-Abr Promedio 3181 136,6 3078 DMS 5 % NS 5,3 NS CV % 12,9 2,2 9,4 RECSO de 2daRECSO de 1°
  • 15.
    Cuadro 10: Grupode madurez II y III Corto: Rendimiento, peso de 1000 semillas AER Casilda Cultivar Kg/Ha PMS DM 3312 4340 a 169 cde RA 334 4227 ab 162 e SRM 3300 4128 ab 163 de NS 3215 4125 ab 179 ab SRM 3410 3850 abc 180 a SP 3x1 3715 abc 171 bc NS 3313 3555 abc 171 c DM 3070 3521 bc 170 cd DM 2200 3239 c 166 cde Promedio 3562 170 CV % 11,93 2,5 RECSO de 1°  Las letras distintas indican diferencias significativas (p≤ 0,05) entre tratamientos. Cuadro 11: Grupo de madurez IV Corto: Rendimiento, peso de 1000 semillas AER Casilda Cultivar Kg/Ha PMS AS4201 4001 a 169 bc AS4402 3924 ab 173 a NS 4009 3923 ab 157 d DS 1410 3820 ab 162 cd DM 4212 3779 abc 145 e NS 4313 3723 abc 142 e EBC 4000 3640 abc 145 e LDC 4,2 3613 abc 161 cd BIO4.20 3605 abc 172 a FN 4,35 3430 abc 160 cd SRM 4370 3399 abc 171 a DM 4210 3395 abc 165 bc SRM 4222 3347 bc 173 a Tj 2142 3165 c 173 a Promedio 3626 162 CV % 10,3 2,0 RECSO de 1°  Las letras distintas indican diferencias significativas (p≤ 0,05) entre tratamientos.
  • 16.
    Cuadro 12: Grupode madurez IV Largo: Rendimiento, peso de 1000 semillas AER Casilda Cultivar Bio 4,9 4604 a 194 a Bio 4,6 4539 ab 159 jkl Bio 4,8 4537 ab 163 fghijk KWS 481 4525 abc 178 bc Bio 4,7 4498 abc 161 ghijk LDC 4,5 4493 abc 162 ghijk IS 4770 4492 abc 166 efghi NS 4903 4463 abc 173 cd DM 4712 4270 abcd 160 ijkl DM 4612 4190 abcde 167 defg DM 4670 4170 abcdef 165 efghi Dalia 550 4160 abcdef 151 no NS 4955 4083 abcdef 177 bc NA 4990 4047 abcdef 152 mno RA 437 4029 abcdef 154 lmno Ho 4880 4010 abcdef 160 ijkl SK 4,7 3989 abcdef 166 efghi LDC 4,9 3979 abcdef 159 ijkl Tj 2246 3975 abcdef 167 defgh NA 4413 3969 abcdef 141 p SP 4*99 3963 abcdef 161 hijkl DM 4913 3889 bcdef 164 fghij AS 4931 3887 bcdef 164 efghij FN 4,50 3884 bcdef 164 fghij Tj 2249 3862 bcdef 169 def SRM 4602 3838 bcdef 180 b IS 4510 3838 bcdef 158 jklm ACA 4990 GR 3816 bcdef 171 cde ACA 4550 GR 3809 bcdef 181 b MG 4969 3782 cdef 164 fghij LDC 4,7 3760 def 154 lmno Dalia 500 3605 def 151 no NS 4611 3520 ef 157 klmn SRM 4839 3502 f 149 o Promedio CV % Kg/Ha 4058 10,1 PMS RECSO de 1° 164 2,5  Las letras distintas indican diferencias significativas (p≤ 0,05) entre tratamientos.
  • 17.
    Referencias: PMS: Peso de1000 semillas en gramos, Alt: altura en cm, medida en madurez fisiológica, s/d: sin dato Agradecimientos: A los Ingenieros Agrónomos Ricardo Martignone por su colaboración en tareas del ensayo y a José Andriani por su aporte en la medición del contenido hídrico diario y generación de los gráficos de balance diaria de agua. A todo el personal auxiliar que colaboró en la realización de estos ensayos y en particular a los ayudantes del Grupo Soja Leandro Martarello, Omar Medina, Ramón Ynfante y Carlos Correro. Bibliografía: Bahícu 1.01, Balance hídrico de cultivos www.inta.gov.ar/Oliveros Di Rienzo J.A., Casanoves F., Balzarini M.G., Gonzalez L., Tablada M., Robledo C.W. InfoStat versión 2008. Grupo InfoStat, FCA, Universidad Nacional de Córdoba, Argentina. www.infostat.com.ar