REVOLUCIÓN FRANCESA
La época contemporánea se inicia con la Revolución Francesa, la
importancia de este movimiento, radica en que contribuyó de manera significativa
en la eliminación del régimen absolutista, no solo en Francia, sino en Europa y
América, estructurando nuevas formulas políticas y sociales.
El movimiento de Revolución Francesa es un proceso ideológico, social, político y
económico con diversos periodos de violencia, que convulsiono Francia y que se
inicio con la autoproclamación del Tercer Estado como Asamblea Nacional en
1789 y finalizó con el golpe de estado de Napoleón Bonaparte en 1799. La
Revolución Francesa marcó el final definitivo del absolutismo y dio a luz a un
nuevo régimen donde la burguesía y las masas populares, se convirtieron en la
fuerza dominante en el país.
Antecedentes y causas de la Revolución Francesa.
Sociales Ideológicos Económicos
La sociedad Francesa
estaba conformada
jerárquicamente de
forma feudal, en
estamentos: clero,
nobleza y estado llano
o tercer estado.
a) nobles: propietarios de
la tierra, no la trabajaban,
vivían en la corte y de las
rentas de sus tierras.
b) clero: (alto y bajo)
poseían más del 10% de la
tierra, cobraban diezmos y
-los Enciclopedistas del
S. XVIII (filósofos,
escritores y economistas)
contribuyeron a minar las
bases del derecho “divino”
de los Reyes.
-propugnaban por la
Igualdad política y Social
-eran partidarios de la
“soberanía Popular” el
derecho del pueblo a
gobernarse por sí mismo.
-DIDERONT
-D´ALEMBERT
-gastos de la guerra de
los 7 años (1756-1765)
-la ayuda brindada a la
Independencia de las 13
colonias (1777-1783)
-decadencia de la
agricultura causada por
los inviernos
extremadamente crudos
de los 2 años anteriores a
1789.
-los precios de los
productos alimenticios
aumentaron.
-en la ciudad descendieron
rentas feudales,
controlaban la educación y
censuraban a la prensa.
c) Estado Llano,
conformado por los
burgueses, obreros y
campesinos.
-burgueses: profesionales,
magistrados, banqueros,
comerciantes.
-los campesinos:
trabajaban la tierra,
pagaban contribuciones al
erario público al Rey,
diezmos a la Iglesia y
derechos feudales a los
Nobles.
MONTESQUIU
VOLTAIRE
ROUSSEAU
los salarios
-el despilfarro de la corte,
los gastos para el pago del
ejército, la burocracia y la
obra pública.
-la negativa de los
privilegiados a pagar
impuestos.
-los numerosos impuestos
causaron una crisis
económica en Francia.
Desarrollo:
En 1774 ascendió al trono Francés Luis XVI. Era un rey mediocre, con
pocas virtudes, le gustaba la caza y los trabajos de cerrajería. Estaba casado con
Maria Antonieta de Austria. Luis XVI, hereda de su predecesor un reino que
atravesaba un periodo de crisis económica y cambios ideológicos, el trata de
hacerle frente a la caótica situación económica, que Francia atravesaba
nombrando al economista “TARGOT” ministro de hacienda, este trato de poner
orden en la difícil situación económica, por lo que propuso un plan de rígida
economía, en el que proponía establecer.
1. la libertad de comercio de los cereales
2. la libertad de industria
3. la abolición del privilegio de los nobles y el clero de no pagar
impuestos.
Estas medidas encontraron dura oposición de los nobles, asociados en la
“ASAMBLEA DE NOTABLES” (1787-88), quienes se encargaron de obstruir toda
reforma que los perjudicara y obligaron a Targort a renunciar. La situación
económica siguió de mal en peor. Por lo que Luis XVI, nombró como ministro de
hacienda a Necker, quien trato de remediar la situación financiera pero se
encontró con la fuerte oposición de los nobles y tuvo que renunciar.
En 1778 Luis XVI, se vio obligado nuevamente a llamar a Necker, quien
sugirió la convocatoria del los ESTADOS GENERALES, con el objeto de que
autorizara nuevos subsidios. Los Estados Generales eran una institución medieval
consistente en la conformación de cortes consultivas y legislativas, estaba
compuesta por tres estamentos: clero, nobleza y estado llano.
INICIO DE LA REVOLUCIÓN FRANCESA:
1789 fue el año más trascendente de este proceso revolucionario ya que en
el sucumbieron las bases del Antiguo régimen y se implantaron todos los
principios políticos, económicos, sociales y jurídicos característicos de la
revolución Francesa.
Políticos – monarquía constitucional
Económicos – liberalismo
Sociales – igualdad ante la ley
Jurídicos – respeto a la propiedad
Son 4 las fases que se pueden identificar en el proceso de la Revolución
Francesa: Revolución de la Nobleza; Revolución del Tercer Estado; Revolución
del Pueblo de París; Revolución Campesina.
1) Revolución de la Nobleza:
La monarquía atraviesa una crisis social, económica e institucional motivada
por la impotencia financiera y la incapacidad del gobierno para detenerla. La
resistencia del clero y la nobleza a acatar las disposiciones en materia hacendaria
que atacaban sus privilegios de no pagar impuestos, contribuyó a sacudir los
cimientos de la monarquía, ya que este grupo hizo fracasar todos los proyectos de
los ministros de hacienda nombrados por Luis XVI.
2) Revolución del Tercer Estado:
El 5 de mayo de 1789, se aperturan los “Estados Generales”, institución de
origen medieval, convocada en Versalles, por el Rey Luis XVI, proclamando que
está se reunía únicamente para tratar asuntos financieros y de ningún modo para
formular peticiones al gobierno real. En los Estados Generales, se discutió acerca
de la forma de votar. El primero y el segundo Estado (clero y nobleza) eran
partidarios de que se votara por estado, mientras que los representantes del
Tercer estado, pidieron que se votase por cabeza.
Si se votaba por Estados, el clero y la nobleza tenían dos votos, contra uno, si
se votaba por miembros de la Asamblea ganaba el Tercer Estado, que contaba
con más de 600 miembros. El conflicto trajo como consecuencia que los
representantes del Estado Llano se separaran de los otros, y se constituyeran en
la “Asamblea Nacional” el 17 de Junio de 1789.
El 20 de Junio, los miembros de la Asamblea Nacional, intentaron reunirse en
su reciento cotidiano. Pero el Rey en un intento por disolver la Asamblea, mando a
cerrar las salas donde esta se reunían, por lo que los asambleístas se mudaron de
edificio al JEU DE PAUME, (sala del juego de pelota), donde hicieron el juramento
de no separarse hasta que no quedase establecida una CONSTITUCION para el
reino de Francia.
El 23 de Junio, el rey anuló los acuerdos tomados por la Asamblea Nacional y
les ordenó retirarse con la advertencia de que cada orden debía deliberarse
aparte. Los Asambleístas se negaron a obedecerlo. Y el 9 de Julio de 1789, la
Asamblea acordó llamarse Constituyente. Ese fue el fin de la monarquía
Absolutista en Francia, ya que el poder del Rey quedaba limitado por la Asamblea.
3) Revolución del Pueblo de París:
La posible alianza entre el Estado llano y las clases populares parisinas
pusieron en alerta al Rey, quien preparaba un golpe contra los disidentes,
concentrando tropas en Paris y Versalles. El 11 de Julio de 1789, el Rey ordena el
despido de Necker, provocando la inconformidad del pueblo, en respuesta el 13 de
Julio la Asamblea Nacional Constituyente, pidió que se sacasen de parís a las
tropas y que se llamase de nuevo a Necker, petición a la que se niega el Rey.
El 14 de Julio, el pueblo de Paris, apoyando a la desición de la Asamblea
Constituyente, y como consecuencia de la carestía de los alimentos y el trigo, se
subleva contra el régimen del Rey Luis XVI, tomando por asalto la fortaleza de la
BASTILLA, (símbolo del absolutismo monárquico, prisión y arsenal, donde se
guardaban, armas y cañones que apuntaban a París). La guarnición de la prisión
disparó contra la gente y esta enfurecida ataca la Bastilla, y tras 4 horas de
combate, los insurgentes logran tomar la prisión, matando al gobernador de la
bastilla, el Márquez de Bernanrd de Launay, su cabeza es paseada en una pica
por toda la ciudad.
La revolución se fue extendiendo por ciudades y pueblos, los campesinos
dejaron de pagar impuestos, destruyeron los castillos y todo lo que simboliza al
feudalismo. La Asamblea, en apoyo a los campesinos, suprime la ley de
Servidumbre y el pago de los diezmos.
4) Revolución Campesina:
Ante el triunfo de las masas parisinas, el GRAN MIEDO, se apodero de la nobleza,
ante los rumores de la llegada de bandidos que saquearían sus propiedades,
muchos nobles huyeron de sus posesiones, consientes de la caída del régimen
feudal. Desde mediados de Julio una gran rebelión campesina se propaga en las
provincias de Francia, los campesino con el fin de extinguir sus deudas con los
señores feudales, queman los archivos señoriales, los castillos y las cosechas.
La Asamblea Constituyente resume este movimiento de locura colectiva,
antifeudal, aboliendo los derechos señoriales sobre las personas, y los privilegios
fiscales, suprime el pago de diezmos y la venta de oficios públicos. Además
permitió el acceso de todos los ciudadanos a los puestos eclesiásticos, civiles y
militares. Todas estas acciones las realiza el 4 de Agosto de 1789 en la llamada
“Noche de la Locura”, momento en el que la Asamblea abolió el régimen feudal y
todos los derechos señoriales.
El 27 de agosto de 1789 la Asamblea publicó la “Declaración de los
Derechos del Hombre y del Ciudadano” estableciendo los principios de, libertad,
igualdad y fraternidad, sin embargo, la Asamblea, no puede hacer válidos sus
decretos pues falta la sanción de Rey, será entre el 5 y el 6 de octubre de 1789
después de las revueltas populares iniciadas por las mujeres parisinas, conocidas
como las FURIAS, que el rey y la aristocracia son derrotados.
La declaración de los Derechos del Hombre y del ciudadano afirmaba que
la soberanía residía en el pueblo, el cual elegía libremente a su representante; que
los hombres nacen libres y permanecen libres e iguales, que los poderes deben
separarse y no concentrarse en un solo órgano.
La Asamblea Constituyente aprobó una constitución en 1791, la cual es
aprobada por el Rey el 14 de septiembre. Esta constitución marca el paso de una
Francia absolutista a una monarquía constitucional. La Asamblea Constituyente se
disolvió y empezó a funcionar la Asamblea Legislativa con representantes nuevos.
LA ASAMBLEA LEGISLATIVA 1791-1792
En septiembre de 1791 el Rey Luis XVI, jura mantener la constitución redactada
por la Asamblea Nacional Constituyente, el principio fundamental del nuevo
régimen es la soberanía nacional que delegaba sus poderes en:
Ejecutivo – rey
Legislativo- diputados
Judicial – jueces
El Rey nombraba ministros y embajadores y tenía derecho a voto
suspensivo. No podía declarar la guerra ni firmar tratados sin la anuencia de la
Asamblea Legislativa. El país fue dividido en 38 departamentos, se abolieron las
aduanas y peajes y se puso en circulación papel moneda (asignados) para
sustentarlo, se confiscaron los bienes de la Iglesia católica y a los sacerdotes se
les asignó un sueldo que pagaría el Estado. El 20 de junio de 1791 Luis XVI,
opuesto al curso que iba tomando la Revolución, intentó huir con su familia, pero
es descubierto en Varennes y llevado de vuelta a París.
La asamblea Legislativa, comenzó sus sesiones el 10 de octubre de 1791 y
las culminó el 20 de septiembre de 1792, su trabajo fue obstaculizado por el veto
real, y no pudo evitar la guerra con Austria en 1792. La Asamblea Legislativa
estaba dividida en varios grupos:
Realista que apoyaban al Rey
Los Fuldenses, de izquierda, radicales, como Robespierre,
Burguesía.
Los Girondinos, moderado, defendían el sufragio censitario y
propugnaban por una monarquía constitucional.
Los Franciscanos.
Los Cordeleros, izquierda defendían el sufragio universal, masculino,
la eliminación de la monarquía y la instauración de la republica.
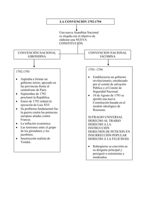
LA CONVENCIÓN 1792-1794
Una nueva Asamblea Nacional
es elegida con el objetivo de
elaborar una NUEVA
CONSTITUCIÓN.
CONVENCIÓN NACIONAL
GIRONDINA
CONVENCION NACIONAL
JACOBINA
1792-1793
Aspiraba a formar un
gobierno mixto, apoyado en
las provincias frente al
centralismo de París.
Septiembre de 1792
proclamó la República.
Enero de 1792 ordenó la
ejecución de Luis XVI
Su problema fundamental fue
la guerra contra las potencias
europeas aliadas contra
Francia.
La inflación económica
Las tensiones entre el grupo
de los girondinos y los
jacobinos.
Insurrección realista de
Vendeé.
1793- 1794
Establecieron un gobierno
revolucionario, encabezado
por el comité de salvación
Pública y el Comité de
Seguridad Nacional.
10 de Agosto de 1793 se
aprobó una nueva
Constitución basada en el
modelo ideológico de
Rousseau.
SUFRAGIO UNIVERSAL
DERECHO AL TRABJO
DERECHO A LA
INSTRUCCIÓN
DERECHOS DE PETICION EN
INSURRECCIÓN POPULAR
DERECHO A LA FELICIDAD.
Robespierre se convirtió en
su dirigente principal y
persiguió a extremistas y
moderados.
La obra de la convención fue la defensa nacional y organización. Lucho contra la
insurrección de 60 departamentos y en el extranjero contra los ejércitos de
Inglaterra, Holanda, Prusia, Austria y España. En materia Hacendaria dejó el gran
libro de la deuda pública, un moderno sistema de pesas y medidas, el sistema
métrico decimal.
En materia de educación, proclamaron la enseñanza primaria gratuita y
obligatoria, fundaron instituciones artísticas, científicas y escuelas especiales, el
Colegio de Francia, el Museo de Louvre, la Biblioteca y los Archivos Nacionales y
una escuela militar.
CONCLUSIÓN DE LA REVOLUCIÓN FRANCESA Y ASCENSO DE NAPOLEÓN
BONAPARTE:
LA CONVENCION TERMIDORIANA 1794-1795
Surge la llamada reacción termidoriana, (mes de termidor del calendario
republicano francés) a partir de un golpe de fuerza que en el verano de 1794,
desplazó a los jacobinos del poder y llevo a la guillotina a Robespierre.
Los realistas aprovecharon el desorden político y trataron de recuperar el poder,
pero fueron detenidos por Napoleón Bonaparte.
La convención delego su poder en un Directorio.
EL DIRECTORIO 1795- 1799
Principal objetivo mantener la Revolución dentro de cauces de moderación.
El poder ejecutivo representado por 5 miembros
El legislativo dividido en dos cámaras: consejo de ancianos y los quinientos.
Se mantuvo un poderoso ejército
La corrupción, el desprestigio y la falta de estabilidad impulsaron a Napoleón
Bonaparte, a disolver el Directorio y formar un gobierno provisional, 9-10 de
noviembre de 1799.
R f, version para los estudiantes

R f, version para los estudiantes

  • 1.
    REVOLUCIÓN FRANCESA La épocacontemporánea se inicia con la Revolución Francesa, la importancia de este movimiento, radica en que contribuyó de manera significativa en la eliminación del régimen absolutista, no solo en Francia, sino en Europa y América, estructurando nuevas formulas políticas y sociales. El movimiento de Revolución Francesa es un proceso ideológico, social, político y económico con diversos periodos de violencia, que convulsiono Francia y que se inicio con la autoproclamación del Tercer Estado como Asamblea Nacional en 1789 y finalizó con el golpe de estado de Napoleón Bonaparte en 1799. La Revolución Francesa marcó el final definitivo del absolutismo y dio a luz a un nuevo régimen donde la burguesía y las masas populares, se convirtieron en la fuerza dominante en el país. Antecedentes y causas de la Revolución Francesa. Sociales Ideológicos Económicos La sociedad Francesa estaba conformada jerárquicamente de forma feudal, en estamentos: clero, nobleza y estado llano o tercer estado. a) nobles: propietarios de la tierra, no la trabajaban, vivían en la corte y de las rentas de sus tierras. b) clero: (alto y bajo) poseían más del 10% de la tierra, cobraban diezmos y -los Enciclopedistas del S. XVIII (filósofos, escritores y economistas) contribuyeron a minar las bases del derecho “divino” de los Reyes. -propugnaban por la Igualdad política y Social -eran partidarios de la “soberanía Popular” el derecho del pueblo a gobernarse por sí mismo. -DIDERONT -D´ALEMBERT -gastos de la guerra de los 7 años (1756-1765) -la ayuda brindada a la Independencia de las 13 colonias (1777-1783) -decadencia de la agricultura causada por los inviernos extremadamente crudos de los 2 años anteriores a 1789. -los precios de los productos alimenticios aumentaron. -en la ciudad descendieron
  • 2.
    rentas feudales, controlaban laeducación y censuraban a la prensa. c) Estado Llano, conformado por los burgueses, obreros y campesinos. -burgueses: profesionales, magistrados, banqueros, comerciantes. -los campesinos: trabajaban la tierra, pagaban contribuciones al erario público al Rey, diezmos a la Iglesia y derechos feudales a los Nobles. MONTESQUIU VOLTAIRE ROUSSEAU los salarios -el despilfarro de la corte, los gastos para el pago del ejército, la burocracia y la obra pública. -la negativa de los privilegiados a pagar impuestos. -los numerosos impuestos causaron una crisis económica en Francia. Desarrollo: En 1774 ascendió al trono Francés Luis XVI. Era un rey mediocre, con pocas virtudes, le gustaba la caza y los trabajos de cerrajería. Estaba casado con Maria Antonieta de Austria. Luis XVI, hereda de su predecesor un reino que atravesaba un periodo de crisis económica y cambios ideológicos, el trata de hacerle frente a la caótica situación económica, que Francia atravesaba nombrando al economista “TARGOT” ministro de hacienda, este trato de poner orden en la difícil situación económica, por lo que propuso un plan de rígida economía, en el que proponía establecer. 1. la libertad de comercio de los cereales 2. la libertad de industria 3. la abolición del privilegio de los nobles y el clero de no pagar impuestos.
  • 3.
    Estas medidas encontrarondura oposición de los nobles, asociados en la “ASAMBLEA DE NOTABLES” (1787-88), quienes se encargaron de obstruir toda reforma que los perjudicara y obligaron a Targort a renunciar. La situación económica siguió de mal en peor. Por lo que Luis XVI, nombró como ministro de hacienda a Necker, quien trato de remediar la situación financiera pero se encontró con la fuerte oposición de los nobles y tuvo que renunciar. En 1778 Luis XVI, se vio obligado nuevamente a llamar a Necker, quien sugirió la convocatoria del los ESTADOS GENERALES, con el objeto de que autorizara nuevos subsidios. Los Estados Generales eran una institución medieval consistente en la conformación de cortes consultivas y legislativas, estaba compuesta por tres estamentos: clero, nobleza y estado llano. INICIO DE LA REVOLUCIÓN FRANCESA: 1789 fue el año más trascendente de este proceso revolucionario ya que en el sucumbieron las bases del Antiguo régimen y se implantaron todos los principios políticos, económicos, sociales y jurídicos característicos de la revolución Francesa. Políticos – monarquía constitucional Económicos – liberalismo Sociales – igualdad ante la ley Jurídicos – respeto a la propiedad Son 4 las fases que se pueden identificar en el proceso de la Revolución Francesa: Revolución de la Nobleza; Revolución del Tercer Estado; Revolución del Pueblo de París; Revolución Campesina. 1) Revolución de la Nobleza: La monarquía atraviesa una crisis social, económica e institucional motivada por la impotencia financiera y la incapacidad del gobierno para detenerla. La resistencia del clero y la nobleza a acatar las disposiciones en materia hacendaria que atacaban sus privilegios de no pagar impuestos, contribuyó a sacudir los
  • 4.
    cimientos de lamonarquía, ya que este grupo hizo fracasar todos los proyectos de los ministros de hacienda nombrados por Luis XVI. 2) Revolución del Tercer Estado: El 5 de mayo de 1789, se aperturan los “Estados Generales”, institución de origen medieval, convocada en Versalles, por el Rey Luis XVI, proclamando que está se reunía únicamente para tratar asuntos financieros y de ningún modo para formular peticiones al gobierno real. En los Estados Generales, se discutió acerca de la forma de votar. El primero y el segundo Estado (clero y nobleza) eran partidarios de que se votara por estado, mientras que los representantes del Tercer estado, pidieron que se votase por cabeza. Si se votaba por Estados, el clero y la nobleza tenían dos votos, contra uno, si se votaba por miembros de la Asamblea ganaba el Tercer Estado, que contaba con más de 600 miembros. El conflicto trajo como consecuencia que los representantes del Estado Llano se separaran de los otros, y se constituyeran en la “Asamblea Nacional” el 17 de Junio de 1789. El 20 de Junio, los miembros de la Asamblea Nacional, intentaron reunirse en su reciento cotidiano. Pero el Rey en un intento por disolver la Asamblea, mando a cerrar las salas donde esta se reunían, por lo que los asambleístas se mudaron de edificio al JEU DE PAUME, (sala del juego de pelota), donde hicieron el juramento de no separarse hasta que no quedase establecida una CONSTITUCION para el reino de Francia. El 23 de Junio, el rey anuló los acuerdos tomados por la Asamblea Nacional y les ordenó retirarse con la advertencia de que cada orden debía deliberarse aparte. Los Asambleístas se negaron a obedecerlo. Y el 9 de Julio de 1789, la Asamblea acordó llamarse Constituyente. Ese fue el fin de la monarquía Absolutista en Francia, ya que el poder del Rey quedaba limitado por la Asamblea. 3) Revolución del Pueblo de París: La posible alianza entre el Estado llano y las clases populares parisinas pusieron en alerta al Rey, quien preparaba un golpe contra los disidentes, concentrando tropas en Paris y Versalles. El 11 de Julio de 1789, el Rey ordena el despido de Necker, provocando la inconformidad del pueblo, en respuesta el 13 de
  • 5.
    Julio la AsambleaNacional Constituyente, pidió que se sacasen de parís a las tropas y que se llamase de nuevo a Necker, petición a la que se niega el Rey. El 14 de Julio, el pueblo de Paris, apoyando a la desición de la Asamblea Constituyente, y como consecuencia de la carestía de los alimentos y el trigo, se subleva contra el régimen del Rey Luis XVI, tomando por asalto la fortaleza de la BASTILLA, (símbolo del absolutismo monárquico, prisión y arsenal, donde se guardaban, armas y cañones que apuntaban a París). La guarnición de la prisión disparó contra la gente y esta enfurecida ataca la Bastilla, y tras 4 horas de combate, los insurgentes logran tomar la prisión, matando al gobernador de la bastilla, el Márquez de Bernanrd de Launay, su cabeza es paseada en una pica por toda la ciudad. La revolución se fue extendiendo por ciudades y pueblos, los campesinos dejaron de pagar impuestos, destruyeron los castillos y todo lo que simboliza al feudalismo. La Asamblea, en apoyo a los campesinos, suprime la ley de Servidumbre y el pago de los diezmos. 4) Revolución Campesina: Ante el triunfo de las masas parisinas, el GRAN MIEDO, se apodero de la nobleza, ante los rumores de la llegada de bandidos que saquearían sus propiedades, muchos nobles huyeron de sus posesiones, consientes de la caída del régimen feudal. Desde mediados de Julio una gran rebelión campesina se propaga en las provincias de Francia, los campesino con el fin de extinguir sus deudas con los señores feudales, queman los archivos señoriales, los castillos y las cosechas. La Asamblea Constituyente resume este movimiento de locura colectiva, antifeudal, aboliendo los derechos señoriales sobre las personas, y los privilegios fiscales, suprime el pago de diezmos y la venta de oficios públicos. Además permitió el acceso de todos los ciudadanos a los puestos eclesiásticos, civiles y militares. Todas estas acciones las realiza el 4 de Agosto de 1789 en la llamada “Noche de la Locura”, momento en el que la Asamblea abolió el régimen feudal y todos los derechos señoriales. El 27 de agosto de 1789 la Asamblea publicó la “Declaración de los Derechos del Hombre y del Ciudadano” estableciendo los principios de, libertad,
  • 6.
    igualdad y fraternidad,sin embargo, la Asamblea, no puede hacer válidos sus decretos pues falta la sanción de Rey, será entre el 5 y el 6 de octubre de 1789 después de las revueltas populares iniciadas por las mujeres parisinas, conocidas como las FURIAS, que el rey y la aristocracia son derrotados. La declaración de los Derechos del Hombre y del ciudadano afirmaba que la soberanía residía en el pueblo, el cual elegía libremente a su representante; que los hombres nacen libres y permanecen libres e iguales, que los poderes deben separarse y no concentrarse en un solo órgano. La Asamblea Constituyente aprobó una constitución en 1791, la cual es aprobada por el Rey el 14 de septiembre. Esta constitución marca el paso de una Francia absolutista a una monarquía constitucional. La Asamblea Constituyente se disolvió y empezó a funcionar la Asamblea Legislativa con representantes nuevos. LA ASAMBLEA LEGISLATIVA 1791-1792 En septiembre de 1791 el Rey Luis XVI, jura mantener la constitución redactada por la Asamblea Nacional Constituyente, el principio fundamental del nuevo régimen es la soberanía nacional que delegaba sus poderes en: Ejecutivo – rey Legislativo- diputados Judicial – jueces El Rey nombraba ministros y embajadores y tenía derecho a voto suspensivo. No podía declarar la guerra ni firmar tratados sin la anuencia de la Asamblea Legislativa. El país fue dividido en 38 departamentos, se abolieron las aduanas y peajes y se puso en circulación papel moneda (asignados) para sustentarlo, se confiscaron los bienes de la Iglesia católica y a los sacerdotes se les asignó un sueldo que pagaría el Estado. El 20 de junio de 1791 Luis XVI, opuesto al curso que iba tomando la Revolución, intentó huir con su familia, pero es descubierto en Varennes y llevado de vuelta a París.
  • 7.
    La asamblea Legislativa,comenzó sus sesiones el 10 de octubre de 1791 y las culminó el 20 de septiembre de 1792, su trabajo fue obstaculizado por el veto real, y no pudo evitar la guerra con Austria en 1792. La Asamblea Legislativa estaba dividida en varios grupos: Realista que apoyaban al Rey Los Fuldenses, de izquierda, radicales, como Robespierre, Burguesía. Los Girondinos, moderado, defendían el sufragio censitario y propugnaban por una monarquía constitucional. Los Franciscanos. Los Cordeleros, izquierda defendían el sufragio universal, masculino, la eliminación de la monarquía y la instauración de la republica.
  • 8.
    LA CONVENCIÓN 1792-1794 Unanueva Asamblea Nacional es elegida con el objetivo de elaborar una NUEVA CONSTITUCIÓN. CONVENCIÓN NACIONAL GIRONDINA CONVENCION NACIONAL JACOBINA 1792-1793 Aspiraba a formar un gobierno mixto, apoyado en las provincias frente al centralismo de París. Septiembre de 1792 proclamó la República. Enero de 1792 ordenó la ejecución de Luis XVI Su problema fundamental fue la guerra contra las potencias europeas aliadas contra Francia. La inflación económica Las tensiones entre el grupo de los girondinos y los jacobinos. Insurrección realista de Vendeé. 1793- 1794 Establecieron un gobierno revolucionario, encabezado por el comité de salvación Pública y el Comité de Seguridad Nacional. 10 de Agosto de 1793 se aprobó una nueva Constitución basada en el modelo ideológico de Rousseau. SUFRAGIO UNIVERSAL DERECHO AL TRABJO DERECHO A LA INSTRUCCIÓN DERECHOS DE PETICION EN INSURRECCIÓN POPULAR DERECHO A LA FELICIDAD. Robespierre se convirtió en su dirigente principal y persiguió a extremistas y moderados.
  • 9.
    La obra dela convención fue la defensa nacional y organización. Lucho contra la insurrección de 60 departamentos y en el extranjero contra los ejércitos de Inglaterra, Holanda, Prusia, Austria y España. En materia Hacendaria dejó el gran libro de la deuda pública, un moderno sistema de pesas y medidas, el sistema métrico decimal. En materia de educación, proclamaron la enseñanza primaria gratuita y obligatoria, fundaron instituciones artísticas, científicas y escuelas especiales, el Colegio de Francia, el Museo de Louvre, la Biblioteca y los Archivos Nacionales y una escuela militar. CONCLUSIÓN DE LA REVOLUCIÓN FRANCESA Y ASCENSO DE NAPOLEÓN BONAPARTE: LA CONVENCION TERMIDORIANA 1794-1795 Surge la llamada reacción termidoriana, (mes de termidor del calendario republicano francés) a partir de un golpe de fuerza que en el verano de 1794, desplazó a los jacobinos del poder y llevo a la guillotina a Robespierre. Los realistas aprovecharon el desorden político y trataron de recuperar el poder, pero fueron detenidos por Napoleón Bonaparte. La convención delego su poder en un Directorio. EL DIRECTORIO 1795- 1799 Principal objetivo mantener la Revolución dentro de cauces de moderación. El poder ejecutivo representado por 5 miembros El legislativo dividido en dos cámaras: consejo de ancianos y los quinientos. Se mantuvo un poderoso ejército La corrupción, el desprestigio y la falta de estabilidad impulsaron a Napoleón Bonaparte, a disolver el Directorio y formar un gobierno provisional, 9-10 de noviembre de 1799.