Conceptos básicos de anatomía y fisiología que se deben considerar para
                        entender las diferentes técnicas

Conceptos anatómicos para la Valoración neurológica

El Sistema nervioso está compuesto básicamente por células especializadas cuya función es
recibir estímulos sensoriales y trasmitir a los órganos efectores, musculares o glandulares.
El sistema nervioso puede dividirse en dos partes principales:
    1. Sistema nervioso de la vida de relación                  sistema nervioso central (SNC)

                                                                Sistema nervioso periférico
                                                             (SNP)
             a) El SNC está compuesto por encéfalo (cerebro, cerebelo y tronco encefálico) y
                la médula en los cuales se correlacionan e integran la información nerviosa.
    Todo el SNC se encuentra suspendido en el líquido cefalorraquídeo (LCR).
    El SNC está compuesto por células nerviosas llamadas neuronas que poseen prolongaciones
    largas (axones) y prolongaciones cortas (dendritas). Ambas se encuentran sostenidas por la
    neuroglía que además les proporciona nutrición.
    El interior del SNC está organizado por sustancia blanca ( que representa la vía de
    conducción) y por sustancia gris (representan los centros nerviosos)
             b) El SNP está constituidos por los nervios craneales (organizados de a pares) que
                inervan cabeza y cuello, los nervios raquídeos que inervan el resto del cuerpo y
                ganglios anexos.

Los nervios consisten en haces de fibras nerviosas o axones. Los mismos conducen información
sensitiva al SNC y desde éste a una neurona motora (hacia la periferia)

    2. Sistema nervioso autónomo o de la vida vegetativa
Brinda inervación a estructuras que no pueden controlarse por la voluntad como el corazón,
músculo liso y glándulas. Se distribuye en el SNC y SNP.
Puede dividirse en simpático (preparan al cuerpo para actividades de emergencia) y
parasimpático (se encarga de la conservación y reparación de la energía)

NOTAà para mas detalle remitirse al cuadernillo “de pies a cabeza” área Anatomía Normal

APARATO RESPIRATORIO
El aparato respiratorio es el conjunto de órganos, cuya función es asegurar los cambios gaseosos
entre los medios externos e interno. Comprende:
    • Las vías aéreas:
Altasà fosas nasales, rinofaringe, trompa de Eustaquio, senos paranasales
Bajasà laringe, tráquea, bronquios fuentes y pulmones
    • Los órganos encargados del intercambio gaseoso: los pulmones
    • Serosas: pleura
    • Elementos mecánicos: diafragma y las paredes torácicas

FOSAS NASALES
Se abren al exterior por las NARINAS y se continúan con la nasofaringe por medio de las
COANAS.
Las fosas nasales pueden dividirse en tres regiones:
*Vestíbuloà corresponde a las alas de la nariz y las paredes cartilaginosas. Contiene a las
vibrisas (pelos de la nariz) que se encargan de la filtración del aire inspirado
*Área olfatoriaà corresponde a la zona del cornete superior. Revestido por la mucosa pituitaria
(mancha amarilla) que posee células de tres tipos: Olfatorias, de sostén y basales.




                                                                                             92
*área respiratoriaà (cornete medio). Es un plexo cavernoso cuya función consiste en
calefaccionar el aire inspirado.

RINOFARINGE
Se encuentra por detrás de las coanas. Aloja a la amígdala faríngea. (tejido linfático)

TROMPA DE EUSTAQUIO
Se extiende desde la rinofaringe al oído medio. Sirve para igualar presiones a ambos lados de la
membrana timpánica.

SENOS PARANASALES
Son cavidades de resonancia para la fonación y la audición.

LARINGE
Es un órgano mixto; respiratorio y olfatorio, cuya función en el habla se basa en repliegues
mucosos llamados CUERDAS VOCALES. Dos verdaderas y dos falsas.
La laringe se prolonga con la faringe a nivel de la 6ta vértebra cervical y se continúa con la
tráquea.
Su pared está constituida por un esqueleto cartilaginoso. Éstos están articulados y movilizados
por membranas, ligamentos y músculos.
En la laringe pueden encontrarse dos tipos de cartílagos:
*hialinoà son los primarios o mayores (cricoides, tiroides y aritenoides)
*elásticoà son los secundarios o menores (epiglótico y corniculados de Santorini)

TRAQUEA
Es un conducto que sigue a la laringe y termina en el tórax, dando dos ramas de bifurcaciones:
LOS BRONQUIOS.
Se extiende desde la 6ta vértebra cervical a la 5ta dorsal.
Presenta una pared formada por 5 capas:
    • Mucosaà formada por 5 tipos de células que tienen capacidad secretora de moco, de
        limpieza, sensorial y blásticas (regeneradoras).
    • Lámina elástica
    • Submucosaà contiene acinos mucosos
    • Cartílagoà de tipo hialino (en forma de herradura abierto por su parte posterior donde
        lo cierra el músculo traqueal.
    • Adventicia

BONQUIO FUENTE O PRIMARIO
Es un bronquio extrapulmonar que ingresa al pulmón por el hilio.

PULMONES
Los pulmones son los órganos encargados de la respiración en los cuales la sangre venosa es
transformada en arterial.
Son dos; uno derecho y otro izquierdo, separados por el mediastino (espacio limitado
lateralmente por los pulmones y las pleuras; anteriormente por el esternón y posteriormente por
la columna vertebral.
El pulmón derecho siempre es mas voluminoso que el izquierdo por la situación cardiaca. Pesan
aproximadamente entre 600-700 gs cada uno.
Tienen una capacidad de 5.000 m3.
La superficie externa de los pulmones es lisa y brillante. Y su color va variando según la edad.
Son color rojo oscuro antes de nacer, rosado en el niño, y azulado en el adulto.
Los pulmones presentan
Una cara diafragmática
Una cara costal



                                                                                             93
Una cara interna

El árbol aéreo comprende:
à Vías de conducción (solo conducen el aire)à formado por los bronquios extra e
intralobulillares y el bronquio Terminal.
à Vías mixtasà conducen y realizan el intercambio gaseoso. (bronquiolo respiratorio)
à Vías respiratoriasà solo realizan el intercambio gaseoso mediante difusión simple.
Comprende:
Conducto alveolar y sacos alveolares.
Los alvéolos son las unidades morfo-funcionales del pulmón. Están contituidos solo por epitelio
plano simple para favorecer el intercambio gaseoso (HEMATOSIS)

Árbol vascular
Tiene dos tipos de circulaciones:
    • Circulación nutriciaà representada por la Arteria bronquial, que trae sangre oxigenada
       y se capilariza a nivel bronquiolar.
    • Circulación funcionalà representada por la Arteria pulmonar, que trae sangre
       carboxigenada y se capilariza a nivel alveolar.

Anatomía funcional del proceso respiratorio
Inspiraciónà es activa y depende de fibras musculares esqueléticas
Espiraciónà es pasiva y se realiza gracias a la presencia de las fibras elásticas pulmonares.


 NOTAà remitirse a la bibliografía “de pies a cabeza” materia “anatomía normal” para
 completar contenidos.


GENERALIDADES DE SISTEMA CIRCULATORIO

El aparato cardiovascular permite la interconexión de todas las células del organismo mediante
dos primordiales que son la sangre y la linfa. Sus funciones generales son el transporte de
nutrientes, gases, hormonas y desechos. Comprende al corazón y los vasos sanguíneos y
linfáticos.
El sistema vascular sanguíneo esta formado por arterias, venas y capilares. Estos vasos forman
dos tipos de circulaciones:
         • Macrocirculaciónà comprende arterias y venas de gran y mediano calibre
         • Microcirculaciónà comprende los capilares, arteriolas y vénulas.

ARTERIASà están constituidas por tres capas
INTIMAà endotelio y subendotelio
CAPA LIMITANTE INTERNA (lámina elástica)
MEDIAà capa de músculo liso (importante) en las arterias de pequeño calibre (arteriolas) y por
fibras elásticas en las de gran calibre.
CAPA LIMITANTE EXTERNA (lámina elástica)
ADVENTICIAà formada por tejido conectivo laxo donde se encuentra la vasa vasarum (vasos
que nutren a los vasos) por imbibición o difusión simple.

Las arterias de gran calibre transforman el flujo en continuo garantizando su mantenimiento
durante la diástole cardiaca y además influyen sobre la tensión arterial.
Las arterias de mediano calibre se encargan de la distribuión del flujo sanguíneo
Las arterias de pequeño calibre se encargan de controlar las fluctuaciones de la tensión arterial
(aumentan la presión diastólica)




                                                                                                94
VENAS
Las venas de gran y pequeño calibre (vénulas) se diferencian de las arterias debido a:
La ausencia de lámina elástica
Pared mas delgada
Presencia de válvula en los miembros inferiores
El mayor grosor de su capa adventicia

CAPILARES
Los capilares pueden ser de cinco tipos: Continuos, fenestrados, sinusoides, sinusoidales y senos
venosos.

SISTEMA VASCULAR LINFATICOà está formado por capilares, vasos colectores y troncos
principales.
*capilaresà permiten la absorción de partículas de grasa y grasa. (ej: vaso quilífero central del
intestino)
*vasos colectoresà entre se intercalan los ganglios para la filtración de la linfa
*troncos principalesà tienen estructuras venosas en su pared.

ANATOMIA DEL CORAZON
El corazón es una bomba impulsora de sangre situado en la cavidad torácica, dentro de la cual
ocupa el mediastino medio. (Región intermedia entre las dos regiones pleuropulmonares). Tiene
forma de pirámide triangular de base posteroderecha y vértice anteroizquierdo.
Es de color rojo y pesa entre 250 – 300gs.
    • Configuración externaà se describen tres caras, tres bordes y un vértice. (ampliar con
        la bibliografía “de pies a cabeza”)
    • Configuración internaà el corazón se encuentra divido en cuatro cavidades: dos
        aurículas y dos ventrículos. Cada aurícula se comunica con el ventrículo
        correspondiente a través del orificio aurículoventricular.
    Las cavidades derechas se encuentran separadas de las izquierdas por los tabiques inter-
    auricular e inter-ventricular. (Ampliar con la bibliografía “de pies a cabeza”)

Fisiología cardiaca
El lado derecho del corazón impulsa sangre venosa a la aurícula derecha (AD) traída por la vena
cava superior (VCS) y la vena cava inferior (VCI)
Pasa así a través de la válvula tricúspide al VD. Éste eyecta la sangre por la Arteria pulmonar
(para que se pueda realizar la hematosis)à circulación menor
La sangre oxigenada vuelve por las venas pulmonares y pasa a la Aurícula izquierda por la
válvula mitral y de allí al ventrículo izquierdo donde la Arteria Aorta la distribuirá al resto del
organismoà circulación mayor.

Inervación del corazón
El corazón presenta una inervación intrínseca (sistema cardionector) y una extrínseca (plexo
cardíaco) formado por ramas del simpático cervical y parasimpático (n.Vago)
El sistema cardionector es un conjunto de fibras musculares especiales que originan y conducen
los estímulos eléctricos del corazón uniendo las aurículas con los ventrículos.
Su velocidad es 10 veces mayor a la de las demás fibras miocárdicas.
Regula los movimientos cardíacos (sístole y diástole)
Se encuentra segmentado:
*nódulo sinusal (Keith y Flack)à son fibras musculares especializadas con forma de “coma”,
que originan el impulso cardíaco. (marcapaso primario)
*nódulo aurículoventricularà (Aschoff- Tawara)à nódulo ensanchado en forma de abanico.
Actúa como marcapaso secundario (porque el impulso sufre un retraso)
*fascículo de Hisà es una cinta muscular ubicada en el tabique interauricular e interventricular
que se divide en la parte anterior de éstos en dos ramas:
Derechaà penetra en la pared anterior del VD y se distribuye como “red Purkinje”


                                                                                                95
Izquierdaà llega al VI donde se divide en dos hemidivisiones: (anterior y posterior); ambas se
dirigen hacia el pilar anterior y posterior del VI para distribuirse como “red purkinje”.

ESQUEMA DE LAS ARTERIAS DEL MIEMBRO SUPERIOR

                                                AORTA
                                 Es el tronco que da origen a todas las
                                arterias del cuerpo. Y se divide en tres
                                               porciones




Aorta torácica                            Cayado aórtico                                   Aorta abdominal
 descendente                   Nace en el VI y termina D4 donde se
                                  continúa con la Art. torácica
                                           descendente



 Carótida primitiva                                                                    Tronco Art. Braquicefálico
     izquierda                          Subclavia izquierda
                                                    Se continua con                  ori
                                                                                     gi         Carótida primitiva
                                                                                     na         derecha
                      Art. Axilarà nace del borde posterior de la
                                      clavícula                                                 Subclavia derecha
                                                    Se continua con



                         Art. Humeralà se origina el borde inferior
                                   del pectoral mayor

                                                    En la parte media de la fosa
                                                         del codo se divide




Radialà es la bifurcación                      Cubitalà es la bifurcación
externa de la Art. humeral                     interna de la Art. humeral
                 Se une a la                                           Se une a la


Cubitopalmarà forma el arco                      Radiopalmarà forma el arco
palmar profundo                                  palmar superficial




                                                                                                             96
97
ARTERIAS DEL MIEMBRO INFERIORà la sangre arterial es llevada al miembro inferior
   por las ramas parietales extrapélvicas de la Art. Ilíaca interna y por la Art. Femoral.

     RAMAS PARIETALES                                        ARTERIA ILIACA EXTERNA
EXTRAPELVICAS DE LA ILIACA                                      (en el pliegue inguinal)
  INTERNA O HIPOGASTRICA

                                                      ARTERIA FEMORALà nace a nivel
      ART. OBTURATRIZ                                 del anillo crural)


      GLUTEA SUPERIOR                                 ARTERIA POPLITEAà nace a nivel
                                                      del anillo del aductor mayor

      GLUTEA INFERIOR O
      ISQUIATICA

                                                TIBIAL                     TRONCO TIBIOPERONEO
      PUDENDA INTERNA                         ANTERIOR                       (bifurcación posterior)
                                              (bifurcación
                                                anterior)


                                                               TIBIAL                              ART. PERONEA (bif.
                                           ART               POSTERIOR                                   Externa)
                                          PEDIA              (bif. Interna)

                                                                  A nivel del canal calcáneo interno




                 Se anastomosa en el primer
                      espacio interóseo              PLANTAR                       PLANTAR
                                                     EXTERNA                       INTERNA


                                 ARCO PLANTAR
                                                                 RAMO INT                     RAMO EXT



  PERFORANTES              COLATERAL EXT                    INTEROSEAS
  POSTERIORES               DEL 5TO DEDO                PLANTARES (1,2,3 Y 4TO
                                                              ESPACIO)




                                                                                                         98
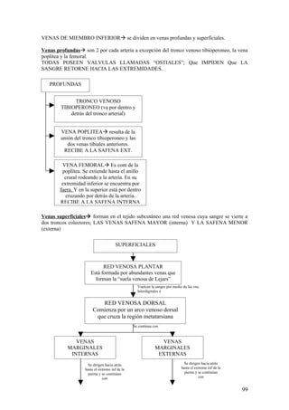
VENAS DE MIEMBRO INFERIORà se dividen en venas profundas y superficiales.

Venas profundasà son 2 por cada arteria a excepción del tronco venoso tibioperoneo, la vena
poplítea y la femoral.
TODAS POSEEN VALVULAS LLAMADAS “OSTIALES”; Que IMPIDEN Que LA
SANGRE RETORNE HACIA LAS EXTREMIDADES.

   PROFUNDAS


              TRONCO VENOSO
        TIBIOPERONEO (va por dentro y
            detrás del tronco arterial)


        VENA POPLITEAà resulta de la
        unión del tronco tibioperoneo y las
           dos venas tibiales anteriores.
         RECIBE A LA SAFENA EXT.

         VENA FEMORALà Es cont de la
         poplítea. Se extiende hasta el anillo
          crural rodeando a la arteria. En su
         extremidad inferior se encuentra por
        fuera. Y en la superior está por dentro
           cruzando por detrás de la arteria.
        RECIBE A LA SAFENA INTERNA

Venas superficialesà forman en el tejido subcutáneo una red venosa cuya sangre se vierte a
dos troncos colectores; LAS VENAS SAFENA MAYOR (interna) Y LA SAFENA MENOR
(externa)

                                        SUPERFICIALES



                             RED VENOSA PLANTAR
                       Está formada por abundantes venas que
                         forman la “suela venosa de Lejars”
                                                   Vuelcan la sangre por medio de las vns.
                                                   Interdigitales a


                            RED VENOSA DORSAL
                         Comienza por un arco venoso dorsal
                          que cruza la región metatarsiana
                                                 Se continua con



              VENAS                                             VENAS
           MARGINALES                                         MARGINALES
            INTERNAS                                           EXTERNAS
                      Se dirigen hacia atrás                                    Se dirigen hacia atrás
                    hasta el extremo inf de la                                hasta el extremo inf de la
                      pierna y se continúan                                     pierna y se continúan
                               con                                                       con


                                                                                                           99
VENA SAFENA INTERNA O                   VENA SAFENA EXTERNA O
             MAYOR                                    MENOR

                    Desemboca en                                Desemboca en




        VENA FEMORAL                                VENA POPLITEA




APARATO EXCRETOR O URINARIO

El aparato urinario comprende 2 riñones, 2 uréteres, la vejiga y la uretra.
Los riñones son los productores de orina, que es transportada por los uréteres hasta la vejiga.
Ésta funciona como reservorio volcando su contenido hacia la uretra.
Funciones renales:
     • Regulan el volumen del líquido extracelular y la cantidad total de agua del organismo.
     • Depurar los producto de desecho del metabolismo
     • Elimina sustancias extrañas.
Los riñones poseen un sistema de filtración y un sistema tubular. El sistema filtrante se lleva a
cabo por medio de los glomérulos del cual se obtiene un ultrafiltrado del plasma sanguíneo (con
la misma composición que el plasma). La composición de este ultrafiltrado varía según el pasaje
por las distintas partes del sistema tubular. El resultado final de todo este proceso es la orina.
Los riñones tienen la forma de haba (poroto), ubicados retroperitonealmente sobre la pared
abdominal a la altura de D12 a las L1,2 y 3. Pesan aprox. 150 gr.
La unidad morfofuncional de los riñones están constituidas por millones de estructuras llamadas
“nefrones”
Cada nefrón posee dos partes importantes:
Porción secretoraà glomérulo
Porción colectoraà túmulos colectores.
Aquí es donde se extraen del filtrado las sales, agua y nutrientes y a su vez se eliminan residuos
(sales y urea).
El nefrón comienza en un ovillo de capilares llamado glomérulo, por los que circula sangre que
llega desde una arteriola aferente y sale por la arteriola eferente. Lo envuelve una membrana de
paredes dobles denominada “cápsula de Bowman” que junto con el glomérulo forma el
“corpúsculo de Malpighi”.
De esta cápsula sale un tubo conocido como “túbulo contorneado proximal” el cual ingresa en la
médula del riñón y forma una curva denominada “hasa de Henle” para luego volver hacia la
corteza; constituyendo el “Túbulo contorneado Distal” que desemboca en un conducto común
denominado “túbulo colector”. Éstos se reúnen en el borde interno del riñón en la Pélvis Renal”
para desembocar a los uréteres. Cada uno de éstos conducirá la orina hacia la vejiga.
Las paredes de la vejiga están constituidas por músculo liso capaz de
distenderse a medida que la vejiga se llena con orina y luego contraerse luego de vaciarse.
La orina se elimina del cuerpo a través de la uretra. Ésta nace por debajo de la vejiga en un
orificio que contiene un esfínter circular capaz de contraerse para sellar el paso y de relajarse
para eliminar la orina.
La uretra en el hombre consta de tres secciones (prostática, membranosa y esponjosa) y es mas
larga que en la mujer.
En el hombre tiene la doble funcionalidad de eliminar orina y líquido seminal. Mientras que en
la mujer solo se encarga de conducir la orina hacia el exterior.

 NOTAà completar con material bibliográfico del área de anatomía normal


                                                                                             100
SISTEMA TEGUMENTARIO

La piel es el órgano más extenso del cuerpo que reviste toda su superficie y está formado por
tres capas y anexos:
      • Epidermisà (tejido epitelial)
      • Dermisà (tejido conectivo)
      • Hipodermisà (tejido adiposo mas TC)

Epidermis
Es un tejido plano estratificado. Posee queratina, que es una especialización de membrana que
sirve para dar mayor resistencia frente a los roces y además evitar la pérdida de líquidos.
El tejido epitelial es Avascular (se nutre por ambición) a partir de los capilares de la dermis
papilar.

Posee dos tipos de células:
*queratinocitos (85%)à generan queratina
*melanocitos (15%)à general melanina. Pertenecen al sistema pigmentario.

Capas de la pielà En la piel gruesa se (palmas y plantas) se encuentran 5 capas:
*estrato basalà consiste en una sola capa de células madres. (Stem Cells)
*estrato espinosoà se insertan los “desmosomas” que son los medios de unión que vinculan a
las células de la epidermis.
*estrato granulosoà posee gránulos queratohialinos
*estrato lúcidoà posee células en degeneración
*estrato córneoà falta en la piel fina. Son células queratinizadas

Dermis
Está constituida por TC que alverga vasos, nervios y anexos cutáneos.
Posee dos capas:
*dermis papilarà por debajo de la epidermis. Sostiene y nutre a las células epidérmicas.
*dermis reticularà TCDenso rico en fibras colágenas

Hipodermis
Consiste en tejido celular subcutáneo (adiposo)

ANEXOS DE LA PIELà comprende glándulas sudoríparas y el aparato pilo-músculo-sebáceo.




                                                                                           101

BIOTEC anexos

  • 1.
    Conceptos básicos deanatomía y fisiología que se deben considerar para entender las diferentes técnicas Conceptos anatómicos para la Valoración neurológica El Sistema nervioso está compuesto básicamente por células especializadas cuya función es recibir estímulos sensoriales y trasmitir a los órganos efectores, musculares o glandulares. El sistema nervioso puede dividirse en dos partes principales: 1. Sistema nervioso de la vida de relación sistema nervioso central (SNC) Sistema nervioso periférico (SNP) a) El SNC está compuesto por encéfalo (cerebro, cerebelo y tronco encefálico) y la médula en los cuales se correlacionan e integran la información nerviosa. Todo el SNC se encuentra suspendido en el líquido cefalorraquídeo (LCR). El SNC está compuesto por células nerviosas llamadas neuronas que poseen prolongaciones largas (axones) y prolongaciones cortas (dendritas). Ambas se encuentran sostenidas por la neuroglía que además les proporciona nutrición. El interior del SNC está organizado por sustancia blanca ( que representa la vía de conducción) y por sustancia gris (representan los centros nerviosos) b) El SNP está constituidos por los nervios craneales (organizados de a pares) que inervan cabeza y cuello, los nervios raquídeos que inervan el resto del cuerpo y ganglios anexos. Los nervios consisten en haces de fibras nerviosas o axones. Los mismos conducen información sensitiva al SNC y desde éste a una neurona motora (hacia la periferia) 2. Sistema nervioso autónomo o de la vida vegetativa Brinda inervación a estructuras que no pueden controlarse por la voluntad como el corazón, músculo liso y glándulas. Se distribuye en el SNC y SNP. Puede dividirse en simpático (preparan al cuerpo para actividades de emergencia) y parasimpático (se encarga de la conservación y reparación de la energía) NOTAà para mas detalle remitirse al cuadernillo “de pies a cabeza” área Anatomía Normal APARATO RESPIRATORIO El aparato respiratorio es el conjunto de órganos, cuya función es asegurar los cambios gaseosos entre los medios externos e interno. Comprende: • Las vías aéreas: Altasà fosas nasales, rinofaringe, trompa de Eustaquio, senos paranasales Bajasà laringe, tráquea, bronquios fuentes y pulmones • Los órganos encargados del intercambio gaseoso: los pulmones • Serosas: pleura • Elementos mecánicos: diafragma y las paredes torácicas FOSAS NASALES Se abren al exterior por las NARINAS y se continúan con la nasofaringe por medio de las COANAS. Las fosas nasales pueden dividirse en tres regiones: *Vestíbuloà corresponde a las alas de la nariz y las paredes cartilaginosas. Contiene a las vibrisas (pelos de la nariz) que se encargan de la filtración del aire inspirado *Área olfatoriaà corresponde a la zona del cornete superior. Revestido por la mucosa pituitaria (mancha amarilla) que posee células de tres tipos: Olfatorias, de sostén y basales. 92
  • 2.
    *área respiratoriaà (cornetemedio). Es un plexo cavernoso cuya función consiste en calefaccionar el aire inspirado. RINOFARINGE Se encuentra por detrás de las coanas. Aloja a la amígdala faríngea. (tejido linfático) TROMPA DE EUSTAQUIO Se extiende desde la rinofaringe al oído medio. Sirve para igualar presiones a ambos lados de la membrana timpánica. SENOS PARANASALES Son cavidades de resonancia para la fonación y la audición. LARINGE Es un órgano mixto; respiratorio y olfatorio, cuya función en el habla se basa en repliegues mucosos llamados CUERDAS VOCALES. Dos verdaderas y dos falsas. La laringe se prolonga con la faringe a nivel de la 6ta vértebra cervical y se continúa con la tráquea. Su pared está constituida por un esqueleto cartilaginoso. Éstos están articulados y movilizados por membranas, ligamentos y músculos. En la laringe pueden encontrarse dos tipos de cartílagos: *hialinoà son los primarios o mayores (cricoides, tiroides y aritenoides) *elásticoà son los secundarios o menores (epiglótico y corniculados de Santorini) TRAQUEA Es un conducto que sigue a la laringe y termina en el tórax, dando dos ramas de bifurcaciones: LOS BRONQUIOS. Se extiende desde la 6ta vértebra cervical a la 5ta dorsal. Presenta una pared formada por 5 capas: • Mucosaà formada por 5 tipos de células que tienen capacidad secretora de moco, de limpieza, sensorial y blásticas (regeneradoras). • Lámina elástica • Submucosaà contiene acinos mucosos • Cartílagoà de tipo hialino (en forma de herradura abierto por su parte posterior donde lo cierra el músculo traqueal. • Adventicia BONQUIO FUENTE O PRIMARIO Es un bronquio extrapulmonar que ingresa al pulmón por el hilio. PULMONES Los pulmones son los órganos encargados de la respiración en los cuales la sangre venosa es transformada en arterial. Son dos; uno derecho y otro izquierdo, separados por el mediastino (espacio limitado lateralmente por los pulmones y las pleuras; anteriormente por el esternón y posteriormente por la columna vertebral. El pulmón derecho siempre es mas voluminoso que el izquierdo por la situación cardiaca. Pesan aproximadamente entre 600-700 gs cada uno. Tienen una capacidad de 5.000 m3. La superficie externa de los pulmones es lisa y brillante. Y su color va variando según la edad. Son color rojo oscuro antes de nacer, rosado en el niño, y azulado en el adulto. Los pulmones presentan Una cara diafragmática Una cara costal 93
  • 3.
    Una cara interna Elárbol aéreo comprende: à Vías de conducción (solo conducen el aire)à formado por los bronquios extra e intralobulillares y el bronquio Terminal. à Vías mixtasà conducen y realizan el intercambio gaseoso. (bronquiolo respiratorio) à Vías respiratoriasà solo realizan el intercambio gaseoso mediante difusión simple. Comprende: Conducto alveolar y sacos alveolares. Los alvéolos son las unidades morfo-funcionales del pulmón. Están contituidos solo por epitelio plano simple para favorecer el intercambio gaseoso (HEMATOSIS) Árbol vascular Tiene dos tipos de circulaciones: • Circulación nutriciaà representada por la Arteria bronquial, que trae sangre oxigenada y se capilariza a nivel bronquiolar. • Circulación funcionalà representada por la Arteria pulmonar, que trae sangre carboxigenada y se capilariza a nivel alveolar. Anatomía funcional del proceso respiratorio Inspiraciónà es activa y depende de fibras musculares esqueléticas Espiraciónà es pasiva y se realiza gracias a la presencia de las fibras elásticas pulmonares. NOTAà remitirse a la bibliografía “de pies a cabeza” materia “anatomía normal” para completar contenidos. GENERALIDADES DE SISTEMA CIRCULATORIO El aparato cardiovascular permite la interconexión de todas las células del organismo mediante dos primordiales que son la sangre y la linfa. Sus funciones generales son el transporte de nutrientes, gases, hormonas y desechos. Comprende al corazón y los vasos sanguíneos y linfáticos. El sistema vascular sanguíneo esta formado por arterias, venas y capilares. Estos vasos forman dos tipos de circulaciones: • Macrocirculaciónà comprende arterias y venas de gran y mediano calibre • Microcirculaciónà comprende los capilares, arteriolas y vénulas. ARTERIASà están constituidas por tres capas INTIMAà endotelio y subendotelio CAPA LIMITANTE INTERNA (lámina elástica) MEDIAà capa de músculo liso (importante) en las arterias de pequeño calibre (arteriolas) y por fibras elásticas en las de gran calibre. CAPA LIMITANTE EXTERNA (lámina elástica) ADVENTICIAà formada por tejido conectivo laxo donde se encuentra la vasa vasarum (vasos que nutren a los vasos) por imbibición o difusión simple. Las arterias de gran calibre transforman el flujo en continuo garantizando su mantenimiento durante la diástole cardiaca y además influyen sobre la tensión arterial. Las arterias de mediano calibre se encargan de la distribuión del flujo sanguíneo Las arterias de pequeño calibre se encargan de controlar las fluctuaciones de la tensión arterial (aumentan la presión diastólica) 94
  • 4.
    VENAS Las venas degran y pequeño calibre (vénulas) se diferencian de las arterias debido a: La ausencia de lámina elástica Pared mas delgada Presencia de válvula en los miembros inferiores El mayor grosor de su capa adventicia CAPILARES Los capilares pueden ser de cinco tipos: Continuos, fenestrados, sinusoides, sinusoidales y senos venosos. SISTEMA VASCULAR LINFATICOà está formado por capilares, vasos colectores y troncos principales. *capilaresà permiten la absorción de partículas de grasa y grasa. (ej: vaso quilífero central del intestino) *vasos colectoresà entre se intercalan los ganglios para la filtración de la linfa *troncos principalesà tienen estructuras venosas en su pared. ANATOMIA DEL CORAZON El corazón es una bomba impulsora de sangre situado en la cavidad torácica, dentro de la cual ocupa el mediastino medio. (Región intermedia entre las dos regiones pleuropulmonares). Tiene forma de pirámide triangular de base posteroderecha y vértice anteroizquierdo. Es de color rojo y pesa entre 250 – 300gs. • Configuración externaà se describen tres caras, tres bordes y un vértice. (ampliar con la bibliografía “de pies a cabeza”) • Configuración internaà el corazón se encuentra divido en cuatro cavidades: dos aurículas y dos ventrículos. Cada aurícula se comunica con el ventrículo correspondiente a través del orificio aurículoventricular. Las cavidades derechas se encuentran separadas de las izquierdas por los tabiques inter- auricular e inter-ventricular. (Ampliar con la bibliografía “de pies a cabeza”) Fisiología cardiaca El lado derecho del corazón impulsa sangre venosa a la aurícula derecha (AD) traída por la vena cava superior (VCS) y la vena cava inferior (VCI) Pasa así a través de la válvula tricúspide al VD. Éste eyecta la sangre por la Arteria pulmonar (para que se pueda realizar la hematosis)à circulación menor La sangre oxigenada vuelve por las venas pulmonares y pasa a la Aurícula izquierda por la válvula mitral y de allí al ventrículo izquierdo donde la Arteria Aorta la distribuirá al resto del organismoà circulación mayor. Inervación del corazón El corazón presenta una inervación intrínseca (sistema cardionector) y una extrínseca (plexo cardíaco) formado por ramas del simpático cervical y parasimpático (n.Vago) El sistema cardionector es un conjunto de fibras musculares especiales que originan y conducen los estímulos eléctricos del corazón uniendo las aurículas con los ventrículos. Su velocidad es 10 veces mayor a la de las demás fibras miocárdicas. Regula los movimientos cardíacos (sístole y diástole) Se encuentra segmentado: *nódulo sinusal (Keith y Flack)à son fibras musculares especializadas con forma de “coma”, que originan el impulso cardíaco. (marcapaso primario) *nódulo aurículoventricularà (Aschoff- Tawara)à nódulo ensanchado en forma de abanico. Actúa como marcapaso secundario (porque el impulso sufre un retraso) *fascículo de Hisà es una cinta muscular ubicada en el tabique interauricular e interventricular que se divide en la parte anterior de éstos en dos ramas: Derechaà penetra en la pared anterior del VD y se distribuye como “red Purkinje” 95
  • 5.
    Izquierdaà llega alVI donde se divide en dos hemidivisiones: (anterior y posterior); ambas se dirigen hacia el pilar anterior y posterior del VI para distribuirse como “red purkinje”. ESQUEMA DE LAS ARTERIAS DEL MIEMBRO SUPERIOR AORTA Es el tronco que da origen a todas las arterias del cuerpo. Y se divide en tres porciones Aorta torácica Cayado aórtico Aorta abdominal descendente Nace en el VI y termina D4 donde se continúa con la Art. torácica descendente Carótida primitiva Tronco Art. Braquicefálico izquierda Subclavia izquierda Se continua con ori gi Carótida primitiva na derecha Art. Axilarà nace del borde posterior de la clavícula Subclavia derecha Se continua con Art. Humeralà se origina el borde inferior del pectoral mayor En la parte media de la fosa del codo se divide Radialà es la bifurcación Cubitalà es la bifurcación externa de la Art. humeral interna de la Art. humeral Se une a la Se une a la Cubitopalmarà forma el arco Radiopalmarà forma el arco palmar profundo palmar superficial 96
  • 6.
  • 7.
    ARTERIAS DEL MIEMBROINFERIORà la sangre arterial es llevada al miembro inferior por las ramas parietales extrapélvicas de la Art. Ilíaca interna y por la Art. Femoral. RAMAS PARIETALES ARTERIA ILIACA EXTERNA EXTRAPELVICAS DE LA ILIACA (en el pliegue inguinal) INTERNA O HIPOGASTRICA ARTERIA FEMORALà nace a nivel ART. OBTURATRIZ del anillo crural) GLUTEA SUPERIOR ARTERIA POPLITEAà nace a nivel del anillo del aductor mayor GLUTEA INFERIOR O ISQUIATICA TIBIAL TRONCO TIBIOPERONEO PUDENDA INTERNA ANTERIOR (bifurcación posterior) (bifurcación anterior) TIBIAL ART. PERONEA (bif. ART POSTERIOR Externa) PEDIA (bif. Interna) A nivel del canal calcáneo interno Se anastomosa en el primer espacio interóseo PLANTAR PLANTAR EXTERNA INTERNA ARCO PLANTAR RAMO INT RAMO EXT PERFORANTES COLATERAL EXT INTEROSEAS POSTERIORES DEL 5TO DEDO PLANTARES (1,2,3 Y 4TO ESPACIO) 98
  • 8.
    VENAS DE MIEMBROINFERIORà se dividen en venas profundas y superficiales. Venas profundasà son 2 por cada arteria a excepción del tronco venoso tibioperoneo, la vena poplítea y la femoral. TODAS POSEEN VALVULAS LLAMADAS “OSTIALES”; Que IMPIDEN Que LA SANGRE RETORNE HACIA LAS EXTREMIDADES. PROFUNDAS TRONCO VENOSO TIBIOPERONEO (va por dentro y detrás del tronco arterial) VENA POPLITEAà resulta de la unión del tronco tibioperoneo y las dos venas tibiales anteriores. RECIBE A LA SAFENA EXT. VENA FEMORALà Es cont de la poplítea. Se extiende hasta el anillo crural rodeando a la arteria. En su extremidad inferior se encuentra por fuera. Y en la superior está por dentro cruzando por detrás de la arteria. RECIBE A LA SAFENA INTERNA Venas superficialesà forman en el tejido subcutáneo una red venosa cuya sangre se vierte a dos troncos colectores; LAS VENAS SAFENA MAYOR (interna) Y LA SAFENA MENOR (externa) SUPERFICIALES RED VENOSA PLANTAR Está formada por abundantes venas que forman la “suela venosa de Lejars” Vuelcan la sangre por medio de las vns. Interdigitales a RED VENOSA DORSAL Comienza por un arco venoso dorsal que cruza la región metatarsiana Se continua con VENAS VENAS MARGINALES MARGINALES INTERNAS EXTERNAS Se dirigen hacia atrás Se dirigen hacia atrás hasta el extremo inf de la hasta el extremo inf de la pierna y se continúan pierna y se continúan con con 99
  • 9.
    VENA SAFENA INTERNAO VENA SAFENA EXTERNA O MAYOR MENOR Desemboca en Desemboca en VENA FEMORAL VENA POPLITEA APARATO EXCRETOR O URINARIO El aparato urinario comprende 2 riñones, 2 uréteres, la vejiga y la uretra. Los riñones son los productores de orina, que es transportada por los uréteres hasta la vejiga. Ésta funciona como reservorio volcando su contenido hacia la uretra. Funciones renales: • Regulan el volumen del líquido extracelular y la cantidad total de agua del organismo. • Depurar los producto de desecho del metabolismo • Elimina sustancias extrañas. Los riñones poseen un sistema de filtración y un sistema tubular. El sistema filtrante se lleva a cabo por medio de los glomérulos del cual se obtiene un ultrafiltrado del plasma sanguíneo (con la misma composición que el plasma). La composición de este ultrafiltrado varía según el pasaje por las distintas partes del sistema tubular. El resultado final de todo este proceso es la orina. Los riñones tienen la forma de haba (poroto), ubicados retroperitonealmente sobre la pared abdominal a la altura de D12 a las L1,2 y 3. Pesan aprox. 150 gr. La unidad morfofuncional de los riñones están constituidas por millones de estructuras llamadas “nefrones” Cada nefrón posee dos partes importantes: Porción secretoraà glomérulo Porción colectoraà túmulos colectores. Aquí es donde se extraen del filtrado las sales, agua y nutrientes y a su vez se eliminan residuos (sales y urea). El nefrón comienza en un ovillo de capilares llamado glomérulo, por los que circula sangre que llega desde una arteriola aferente y sale por la arteriola eferente. Lo envuelve una membrana de paredes dobles denominada “cápsula de Bowman” que junto con el glomérulo forma el “corpúsculo de Malpighi”. De esta cápsula sale un tubo conocido como “túbulo contorneado proximal” el cual ingresa en la médula del riñón y forma una curva denominada “hasa de Henle” para luego volver hacia la corteza; constituyendo el “Túbulo contorneado Distal” que desemboca en un conducto común denominado “túbulo colector”. Éstos se reúnen en el borde interno del riñón en la Pélvis Renal” para desembocar a los uréteres. Cada uno de éstos conducirá la orina hacia la vejiga. Las paredes de la vejiga están constituidas por músculo liso capaz de distenderse a medida que la vejiga se llena con orina y luego contraerse luego de vaciarse. La orina se elimina del cuerpo a través de la uretra. Ésta nace por debajo de la vejiga en un orificio que contiene un esfínter circular capaz de contraerse para sellar el paso y de relajarse para eliminar la orina. La uretra en el hombre consta de tres secciones (prostática, membranosa y esponjosa) y es mas larga que en la mujer. En el hombre tiene la doble funcionalidad de eliminar orina y líquido seminal. Mientras que en la mujer solo se encarga de conducir la orina hacia el exterior. NOTAà completar con material bibliográfico del área de anatomía normal 100
  • 10.
    SISTEMA TEGUMENTARIO La pieles el órgano más extenso del cuerpo que reviste toda su superficie y está formado por tres capas y anexos: • Epidermisà (tejido epitelial) • Dermisà (tejido conectivo) • Hipodermisà (tejido adiposo mas TC) Epidermis Es un tejido plano estratificado. Posee queratina, que es una especialización de membrana que sirve para dar mayor resistencia frente a los roces y además evitar la pérdida de líquidos. El tejido epitelial es Avascular (se nutre por ambición) a partir de los capilares de la dermis papilar. Posee dos tipos de células: *queratinocitos (85%)à generan queratina *melanocitos (15%)à general melanina. Pertenecen al sistema pigmentario. Capas de la pielà En la piel gruesa se (palmas y plantas) se encuentran 5 capas: *estrato basalà consiste en una sola capa de células madres. (Stem Cells) *estrato espinosoà se insertan los “desmosomas” que son los medios de unión que vinculan a las células de la epidermis. *estrato granulosoà posee gránulos queratohialinos *estrato lúcidoà posee células en degeneración *estrato córneoà falta en la piel fina. Son células queratinizadas Dermis Está constituida por TC que alverga vasos, nervios y anexos cutáneos. Posee dos capas: *dermis papilarà por debajo de la epidermis. Sostiene y nutre a las células epidérmicas. *dermis reticularà TCDenso rico en fibras colágenas Hipodermis Consiste en tejido celular subcutáneo (adiposo) ANEXOS DE LA PIELà comprende glándulas sudoríparas y el aparato pilo-músculo-sebáceo. 101