( ,
sociología
y
política
traducción de
CARMEN MARTÍNEZ GIMENO
LA ERA DE LA INFORMACKÉSTÍ
Economía, sociedad y cmmra
Volumen II:
EL PODER DE LA IDENTIDAD
por
MANUEL CASTELLS
siglo
veintiuno
editores
)*asiglo veintiuno editores, s.a. de c.v.
Cl UNO 1)1 I AIWA 248. 0 1 I I GACION COYOACAN. 04310. Mt.XICÜ, D F
siglo xxi editores argentina, s.a.
LAVALLE 1634 PISO 11-A C-1048AAN. BUENOS AIRES, ARGENTINA
portada de patricia reyes baca
primera edición en español, 1999
tercera edición en español, 2001
© siglo xxi editores, s.a. de c.v.
isbn 968-23-2167-0 (obra completa)
isbn 968-23-2169-7 (volumen 2)
© manuel castells, 1998, por cortesía de alianza editorial, s.a.
© carmen martínez gimeno, 1998, por la traducción,
cedida por alianza editorial, s.a.
primera edición en inglés, 1997
©manuel castells, 1997
© blackwell publishers inc, Cambridge, massachusetts
título original: the information age: economy, socwty and culture.
vol. ii: the power of identity
derechos reservados conforme a la ley
impreso y hecho en méxico/printed and made in mexico
Para Irene Castells Olivan,
historiadora de utopías
ÍNDICE
t
índice resumido de los volúmenes I y III 13
Lista de cuadros 15
Lista de figuras 17
Lista de esquemas 19
Agradecimientos 21
Introducción: Nuestro mundo, nuestras vidas 23
1. Paraísos comunales: identidad y sentido en la sociedad red 27
Preámbulo 27
La construcción de la identidad 28
Los paraísos de Dios: el fundamentalismo religioso y la identidad cul-
tural 34
La umma contra el yahilíia: el fundamentalismo islámico 36
¡Dios me salve a mí!: el fundamentalismo cristiano estadounidense... 43
Naciones y nacionalismos en la era de la globalización: ¿comunidades
imaginadas o imágenes comunales? 50
Las naciones contra el estado: la desintegración de la Unión Sovié-
tica y la Comunidad de Estados Imposibles (Sojuz Nevozmoznij
Gosudarstv) 55
I I |>..<l, i ,1, l.i ICICIIIMIIIÜ
Naciones sin eslaclo: Catalunya 65
I ,as naciones de la era de la información 73
I /. desvinculación étnica: raza, clase e identidad en la sociedad red 75
Idenlidades lerriloriales: Ja comunidad local 83
Conclusión: Las comunas culturales de la era de la información 88
La otra cara de la Tierra: movimientos sociales contra el nuevo orden
global 91
Globalización, informacionalización y movimientos sociales 91
Los zapatistas de México: la primera guerrilla informacional 95
¿Quiénes son los zapatistas? 96
El sistema de valores de los zapatistas: identidad, adversarios y obje-
tivos 99
La estrategia de comunicación de los zapatistas: Internet y los me-
dios de comunicación 101
La relación contradictoria entre movimiento social e institución po-
lítica 104
El levantamiento en armas contra el nuevo orden mundial: la milicia
estadounidense y el movimiento patriota en los años noventa 106
Las milicias y los patriotas: una red de información multitemática 110
Las banderas de los patriotas 115
¿Quiénes son los patriotas? 118
La milicia, los patriotas y la sociedad estadounidense en la década
de los noventa 119
Los lamas del Apocalipsis: Aum Shinrikyo 120
Asahara y el desarrollo de Aum Shinrikyo 121
Creencias y metodología de Aum 124
Aum y la sociedad japonesa 125
El sentido de las sublevaciones contra el nuevo orden global 128
Conclusión: El desafío a la globalización 132
El reverdecimiento del yo: el movimiento ecologista 135
La cacofonía creativa del ecologismo: una tipología 136
El sentido del reverdecimiento: temas sociales y desafío ecologista 146
El ecologismo en acción: llegar a las mentes, domar al capital, cortejar
al estado, bailar con los medios de comunicación 153
Justicia medioambiental: la nueva frontera de los ecologistas 157
El fin del patriarcado: movimientos sociales, familia y sexualidad en la
era de la información 159
La crisis de la familia patriarcal 163
Mujer y trabajo 182
La fuerza de ser hermanas: el movimiento feminista 201
El feminismo estadounidense: una continuidad discontinua 202
¿Es global el feminismo? 211
Feminismo: una polifonía inductiva 220
La fuerza del amor: movimientos de liberación de lesbianas y gays 228
Feminismo, lesbianismo y movimientos de liberación sexual en Taipei. 232
Espacios de libertad: la comunidad gay de San Francisco 23K
Recapitulación: identidad sexual y familia patriarcal 247
Familia, sexualidad y personalidad en la crisis del patriarcado 248
La transformación de la familia 248
La reproducción del «maternaje» bajo la no reproducción del pa-
triarcado 255
La identidad corporal: la (re)construcción de la sexualidad 262
Personalidades flexibles en un mundo postpatriarcal 265
¿El fin del patriarcado? 269
¿El estado impotente? 271
La globalización y el estado 272
El núcleo transnacional de las economías nacionales 273
Un intento de evaluación estadística de la nueva crisis fiscal del es-
tado en la economía global 275
La globalización y el estado de bienestar 281
Redes globales de comunicación, audiencias locales y reguladores
estatales 282
¿Un mundo sin ley? 288
El estado-nación en la era del multilateralismo 290
El gobierno global y el super estado-nación 295
Identidades, gobiernos locales y deconstrucción del estado-nación 298
La identificación del estado 303
Crisis contemporáneas de los estados-nación: el estado priísta mexi-
cano y el gobierno federal de los Estados Unidos en la década de los
noventa 305
TLC, Chiapas, Tijuana y la agonía del estado priísta 306
El pueblo contra el estado: la crisis de legitimidad del gobierno fe-
deral de los Estados Unidos 316
Estructura y proceso en la crisis del estado 327
El estado, la violencia y la vigilancia: del Gran Hermano a las herma-
nas pequeñas 329
La crisis del estado-nación y la teoría del estado 333
Conclusión: El rey del universo, Sun Tzu y la crisis de la democracia .... 337
La política informacional y la crisis de la democracia 341
Introducción: La política de la sociedad 341
Los medios de comunicación como espacio de la política en la era de
la información 345
La política y los medios: la conexión ciudadana 345
La política espectáculo y el marketing político: el modelo estadouni-
dense 350
¿Se está «americanizando» la política europea? 356
El populismo electrónico de Bolivia: el compadre Palenque y la lle-
gada de Jach'a Uru 361
La política informacional en acción: la política del escándalo 366
La crisis de la democracia 380
Conclusión: ¿Reconstruir la democracia? 388
I ' I I |....l. i >U l.i iilrnliil¿nl
Conclusión: El camino «odal en la sodedad red 393
Apéndice metodológico 403
ItihlioKrafía 437
índice analítico 471
ÍNDICE RESUMIDO
DE LOS VOLÚMENES I YIII
A lo largo de este volumen se han hecho referenc ias a los temas presentados
en el volumen I y el volumen II. A continuación si- presenta un esbozo de su
contenido.
Volumen I: LA SOCIEDAD RED
Prólogo: La red y el yo
1. La revolución de la tecnología de la información
2. La economía informacional y el proceso de globalización
3. La empresa red: cultura, instituciones y organizaciones de la economía in-
formacional
4. La transformación del trabajo y el empleo: trabajadores en red, desem-
pleados y trabajadores a tiempo flexible
5. La cultura de la virtualidad real: la integración de la comunicación elec-
trónica, el fin de la audiencia de masas y el desarrollo de las redes interac-
tivas
6. El espacio de los flujos
7. La orilla de la eternidad: el tiempo atemporal
Conclusión: la sociedad red
Volumen III: FIN DE MILENIO
Introducción: Un tiempo de cambio
1. La crisis del estatismo industrial y el colapso de la Unión Soviética
I I I I |Miilci de l.i iilrnliiljtl
2. líl Cuarto Mundo: capitalismo informacional, pobreza y exclusión social
3. La conexión perversa: la economía criminal global
4. ¿Hacia la era del Pacífico? La fundación multicultural de la interdepen-
dencia económica
5. La unificación de Europa: globalización, identidad y estado red
Conclusión: Entender nuestro mundo
LISTA DE CUADROS
•1.1 Tasa de cambio en la tasa bruta de divorcio para los países seleccio-
nados, 1971-1990 165
•1..'. Tendencias en las tasas de divorcio de cada 100 matrimonios en paí-
ses desarrollados 165
I.  Porcentaje de primeros matrimonios disueltos por separación, divor-
cio o muerte entre mujeres de 40-49 años en países en vías de des-
arrollo 167
4.4 Tendencias porcentuales de las mujeres de 20-24 años que nunca se
han casado 170
4.v
> Nacimientos fuera del matrimonio como porcentaje de todos los na-
cimientos por regiones (medias nacionales) 171
4.6 Tendencias en los hogares monoparentales como porcentaje del to-
la! de hogares con hijos dependientes y al menos un progenitor resi-
dente en países desarrollados 173
tendencias porcentuales de los hogares cuyo cabeza de familia de
jure es una mujer 173
Indicadores de cambios recientes en la formación de la familia y el
hogar: países occidentales seleccionados, 1975-1990 175
Porcentaje de hogares de una persona sobre el total de hogares de
los países seleccionados, 1990-1993 176
Tasa total de fertilidad por principales regiones del mundo 180
Tasas de participación en la mano de obra por sexo (%) 183
16 I I pnilci de lo identidad
4.12 Empleo total por sexo (tasa de crecimiento medio anua! cu porcen-
tajes) 184
4.13 Tasa de actividad económica, 1970-1990 186
4.14 índice de aumento de la tasa de actividad económica de las mujeres,
1970-1990 187
4.15 Empleo femenino en servicios por actividades y grado de intensidad
informacional como porcentaje del empleo total, 1973-1993 190
4.16 Tasas de crecimiento para cada categoría de empleo femenino en
servicios como porcentaje del empleo femenino total, 1973-1993 191
4.17 Distribución del empleo femenino por ocupación, 1980 y 1989 (%)... 192
4.18 Volumen y composición del empleo a tiempo parcial, 1973-1994 (%). 196
4.19 Porcentaje del empleo autónomo en el empleo total por sexo y acti-
vidad 198
5.1 Internacionalización de la economía y las finanzas públicas: tipos de
cambio porcentuales, 1980-1993 (y ratios de 1993 a menos que se in-
dique lo contrario) 276
5.2 Papel del gobierno en la economía y las finanzas públicas: tipos de
cambio porcentuales, 1980-1993 (y ratios de 1992, a menos que se in-
dique lo contrario) 277
6.1 Fuentes de noticias en los Estados Unidos, 1959-1992 (%) 345
6.2 Fuentes de información política de los residentes de Cochabamba,
Bolivia,1996 346
6.3 Opinión de los ciudadanos bolivianos sobre qué instituciones repre-
sentan sus intereses 365
6.4 Número de votantes en las elecciones a la cámara baja del parla-
mento: cifras recientes comparadas con las tasas de las décadas de
1970 y 1980 (%) 384
LISTA DE FIGURAS
2.1 Distribución geográfica de los grupos patriotas en los Estados Uni-
dos por su número y campos de entrenamiento paramilitar en cada
estado, 1996 111
4.1 Curvas de supervivencia del matrimonio para Italia, Alemania Occi-
dental y Suecia: madres nacidas en 1934-1938 y 1949-1953 166
4.2 Evolución del primer matrimonio en algunos países de la Unión Eu-
ropea desde 1960 168
4.3 Tasas brutas de matrimonio en los países seleccionados 169
4.4 Porcentaje de mujeres (15-34 años) con un primer alumbramiento
después de su primer matrimonio, por raza y origen étnico, en los
Estados Unidos, 1960-1989 172
4.5 índice sintético de fertilidad en los países europeos desde 1960 178
4.6 Tasa total de fecundidad y número de nacimientos en los Estados
Unidos, 1920-1990 179
4.7 Aumento del empleo en el sector servicios y de las tasas de partici-
pación femenina, 1980-1990 185
4.8a Porcentaje de mujeres en la mano de obra por tipo de empleo 188
4.8b Familias de parejas casadas en las que la esposa forma parte de la
mano de obra, en los Estados Unidos, 1960-1990 189
4.9 Mujeres con empleo a tiempo parcial por posición familiar en los es-
tados miembros de la Comunidad Europea, 1991 200
4.10 l/iicrrelación de diferentes aspectos de la homosexualidad 234
IK I I |>l>llll lll' lll llll'Mllll.lll
4.11 Zonas residenciales gays en San Francisco 242
4.12a Composición de los hogares en los listados Unidos, 1960 1990 249
4.12b Composición de los hogares en los Estados Unidos, 1970-1995 250
4.13 Organización de la vida de los hijos menores de dieciocho años, por
la presencia de los progenitores, en los Estados Unidos, 1960-1990.... 251
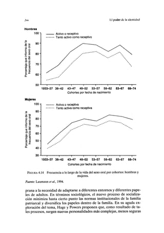
4.14 Frecuencia a lo largo de la vida del sexo oral por cohortes: hombres
y mujeres 266
5.1 Pasivos financieros netos del gobierno 279
5.2 Costes salariales en la industria, 1994 280
5.3 Volumen y localización de las actividades de las 15 mayores multi-
nacionales de edición y medios de comunicación 285
5.4 Actitudes de la opinión pública acerca del tamaño del gobierno y la
prestación de servicios en los Estados Unidos, 1984-1995 318
5.5 Actitudes hacia los programas del gobierno federal y la reducción
del déficit presupuestario federal en los Estados Unidos, 1995 323
6.1 Credibilidad de las fuentes de noticias en los Estados Unidos, 1959-
1991 347
6.2 Número medio de relatos de corrupción por periódico en los Esta-
dos Unidos, 1890-1992 369
6.3 Valoración de la aprobación que reciben diversos gobiernos, c. 1993. 382
6.4 Grado de apoyo de los partidos mayoritarios en las elecciones nacio-
nales, 1980-1994 385
LISTA DE ESQUEMAS
2.1 Estructura de los valores y creencias de los movimientos insurgentes
contra la globalización 129
3.1 Tipología de los movimientos ecologistas 137
4.1 Tipología analítica de los movimientos feministas 221
AGRADECIMIENTOS
I ,as ideas y los análisis presentados en este volumen son el resultado
ilo veinticinco años de estudios sobre movimientos sociales y procesos po-
líticos que he realizado en varias áreas del mundo, aunque ahora se han
reelaborado e integrado en una teoría más amplia sobre la Era de la In-
formación, presentada en los tres volúmenes de este libro. Diversas insti-
tuciones académicas fueron los entornos esenciales para el desarrollo de
mi labor en este campo específico de la investigación. La más importante
ilo todas fue el Centre d'Étude des Mouvements Sociaux de la École des
I Imites Études en Sciences Sociales de París, fundado y dirigido por Alain
Toui aine, donde trabajé como investigador de 1965 a 1979. Otras institu-
ciones de investigación que me ayudaron en mi estudio sobre los movi-
mientos sociales y políticos fueron el Centro Interdisciplinario de Des-
arrollo Urbano de la Universidad Católica de Chile; el Instituto de
Investigaciones Sociales de la Universidad Nacional Autónoma de Mé-
xico; el Centro de Estudios Urbanos de la Universidad de Hong Kong; el
Instituto de Sociología de Nuevas Tecnologías de la Universidad Autó-
noma de Madrid; la Facultad de Ciencias Sociales de la Universidad Hi-
totsubashi de Tokio. La elaboración y redacción finales del material que
so presenta se realizó en la década de los noventa en el que ha sido, desde
1979, mi hogar intelectual, la Universidad de California en Berkeley. Mu-
chas de las ideas se discutieron y pulieron en mi seminario de doctorado
22 El poder de la identidad
sobre la Sociología de la Sociedad de la Información. Por ello, doy las
gracias a mis alumnos, una fuente constante de inspiración y crítica para
mi trabajo. Este volumen se ha beneficiado de la excepcional ayuda en la
investigación de Sandra Moog, alumna de doctorado de Sociología de
Berkeley y una futura universitaria destacada. Po Lan-chih, alumna de
doctorado en planificación urbana y regional de Berkeley, también pro-
porcionó una valiosa colaboración en la investigación. Al igual que en el
caso de los restantes volúmenes de este libro, Emma Kiselyova fue de
gran ayuda al facilitarme el acceso a lenguas que desconozco, así como
por su análisis y comentarios de varias secciones del volumen.
Diversos colegas leyeron borradores de todo el volumen o de capítu-
los específicos, los comentaron extensamente y me ayudaron a corregir
algunos errores y a ajustar el análisis, aunque, como es natural, asumo
plena responsabilidad de la interpretación final. Vaya mi gratitud a Ira
Katznelson, Ida Susser, Alain Touraine, Anthony Giddens, Martin Car-
noy, Stephen Cohén, Alejandra Moreno Toscano, Roberto Laserna, Fer-
nando Calderón, Rula Sadik, You-tien Hsing, Shujiro Yazawa, Chu-joe
Hsia, Nancy Whittier, Barbara Epstein, David Hooson, Irene Castells,
Eva Serra, Tim Duane y Elsie Harper-Anderson. Deseo manifestar un
agradecimiento especial a John Davey, director editorial de Blackwell,
que con su visión experta me proporcionó sugerencias precisas sobre va-
rias secciones clave del volumen.
Con todo ello quiero expresar que, como en el resto de los volúmenes
de este libro, el proceso de pensar y escribir es en buena medida una em-
presa colectiva, si bien se acaba asumiendo en la soledad de la autoría.
Berkeley, California
Noviembre de 1996
INTRODUCCIÓN:
NUESTRO MUNDO, NUESTRAS VIDAS
Alzad vuestros rostros, tenéis una necesidad imperiosa
de esta brillante mañana que amanece para vosotros.
La historia, a pesar de su desgarrador dolor
no puede borrarse y si se afronta con
valor, no es necesario vivirla de nuevo.
Alzad los ojos
a este día que se abre para vosotros.
Volved a conceb'r
sueños.
Maya Angelou, «On the pulse of Morningx
»
La oposición entre globalización e identidad está dando forma a nues-
tro mundo y a nuestras vidas. La revolución de las tecnologías de la infor-
mación y la reestructuración del capitalismo han inducido una nueva
forma de sociedad, la sociedad red, que se caracteriza por la globalización
de las actividades económicas decisivas desde el punto de vista estraté-
gico, por su forma de organización en redes, por la flexibilidad e inestabi-
lidad del trabajo y su individualización, por una cultura de la virtualidad
real construida mediante un sistema de medios de comunicación omni-
presentes, interconectados y diversificados, y por la transformación de los
cimientos materiales de la vida, el espacio y el tiempo, mediante la consti-
tución de un espacio de flujos y del tiempo atemporal, como expresiones
de las actividades dominantes y de las élites gobernantes. Esta nueva
forma de organización social, en su globalidad penetrante, se difunde por
todo el mundo, del mismo modo que el capitalismo industrial y su ene-
migo gemelo, el estatismo industrial, lo hicieron en el siglo xx, sacu-
diendo las instituciones, transformando las culturas, creando riqueza e in-
duciendo pobreza, espoleando la codicia, la innovación y la esperanza,
Poema para la investidura del presidente de los Estados Unidos, 22 de enero de 1993.
24 I I poder de la idcniKl.id
mientras que a la vez impone privaciones e instila desesperación. Feliz o
no, es, en efecto, un nuevo mundo.
Pero esta no es toda la historia. Junto con la revolución tecnológica, la
transformación del capitalismo y la desaparición del estatismo, en el úl-
timo cuarto de siglo hemos experimentado una marejada de vigorosas ex-
presiones de identidad colectiva que desafían la globalización y el cosmo-
politismo en nombre de la singularidad cultural y del control de la gente
sobre sus vidas y entornos. Estas expresiones son múltiples, están muy di-
versificadas y siguen los contornos de cada cultura y de las fuentes históri-
cas de la formación de cada identidad. Incluyen los movimientos proacti-
vos que pretenden transformar las relaciones humanas en su nivel más
fundamental, como el feminismo y el ecologismo, pero también todo un
conjunto de movimientos reactivos que construyen trincheras de resisten-
cia en nombre de Dios, la nación, la etnia, la familia, la localidad, esto es,
las categorías fundamentales de la existencia milenaria, ahora amenaza-
das bajo el asalto combinado y contradictorio de las fuerzas tecnoeconó-
micas y los movimientos sociales transformadores. Atrapado entre estas
dos tendencias opuestas, se pone en entredicho al estado-nación, arras-
trando en su crisis a la noción misma de democracia política, fundamen-
tada en la construcción histórica de un estado-nación soberano y represen-
tativo. Generalmente, los nuevos y poderosos medios de comunicación
tecnológicos, tales como las redes de telecomunicaciones interactivas
mundiales, son utilizados por varios contendientes, amplificando y agudi-
zando su lucha, como, por ejemplo, cuando Internet se convierte en un
instrumento de los ecologistas internacionales, los zapatistas mexicanos, o
la milicia estadounidense, respondiendo con sus mismas armas a la globa-
lización informatizada de los mercados financieros y al procesamiento de
la información.
Éste es el mundo explorado en este libro, centrado sobre todo en los
movimientos y políticas sociales que resultan de la interacción de la glo-
balización inducida por la tecnología, el poder de la identidad (de género,
religiosa, nacional, étnica, territorial, sociobiológica) y las instituciones
del estado. Invito al lector a este viaje intelectual por los paisajes de las
luchas sociales y los conflictos políticos contemporáneos. Comenzaré con
unas cuantas observaciones que pueden ser de ayuda durante el reco-
rrido.
Este libro no trata de libros. Por lo tanto, no expondré las teorías que
existen sobre cada tema, ni citaré toda fuente posible sobre las materias
que se presentan. En efecto, sería pretencioso intentar ofrecer, aunque
fuera de modo superficial, la relación erudita de todo el ámbito de temas
que abarca. Las fuentes y autores que utilizo para cada tema son materia-
les que considero importantes para construir las hipótesis que propongo,
así como para apuntar el significado de estos análisis para una teoría más
amplia del cambio social en la sociedad red. Los lectores interesados en la
Introducción: Nm-stro mundo, nuestras vidas 25
bibliografía y en su valoración crítica deben consultar los abundantes y
buenos libros de texto que existen sobre cada materia.
Hl método que he seguido pretende comunicar una teoría mediante el
análisis de la práctica, en observaciones sucesivas de los movimientos so-
ciales en diversos contextos culturales e institucionales. Así pues, se uti-
liza el análisis empírico fundamentalmente como un instrumento de co-
municación y como un método para disciplinar mi discurso teórico, para
hacer difícil, si no imposible, decir algo que la acción colectiva observada
desmienta en la práctica. Sin embargo, he tratado de proporcionar unos
cuantos elementos empíricos, dentro de las limitaciones espaciales de este
volumen, para hacer plausible mi interpretación y para permitir al lector
juzgar por sí mismo.
En este libro existe una obsesión deliberada con el multiculturalismo,
con la exploración del planeta, en sus manifestaciones sociales y políticas
diversas. Este planteamiento proviene de mi punto de vista de que el pro-
ceso de globalización tecnoeconómica que está moldeando nuestro
mundo está siendo desafiado, y acabará siendo transformado, desde una
gran diversidad de fuentes, según culturas, historias y geografías diferen-
tes. Así pues, el recorrido temático entre Estados Unidos, Europa Occi-
dental, Rusia, México, Bolivia, el mundo islámico, China o Japón que
hago en este volumen tiene la finalidad específica de utilizar la misma es-
tructura analítica para comprender procesos sociales muy diferentes que,
cuando menos, se interrelacionan en su significado. También me gustaría,
dentro de los límites obvios de mi conocimiento y experiencia, acabar con
el planteamiento etnocéntrico que aún domina gran parte de las ciencias
sociales en el momento preciso en que nuestras sociedades han quedado
interconectadas globalmente y entrelazadas culturalmente.
Unas palabras sobre teoría. La teoría sociológica que informa este li-
bro se diluye, para facilitar su digestión, en la presentación de los temas
de cada capítulo. También se mezcla con el análisis empírico hasta donde
es posible. Sólo cuando sea inevitable someteré al lector a una breve di-
gresión teórica, ya que, para mí, la teoría social es una herramienta para
comprender el mundo, no un fin para el autodisfrute intelectual. En la
conclusión al volumen, trataré de ceñir el análisis de un modo más formal
y sistemático, reuniendo los diferentes hilos tejidos en cada capítulo. Sin
embargo, puesto que el libro se centra en los movimientos sociales y
existe un gran desacuerdo sobre el significado del concepto, adelanto mi
definición como las acciones colectivas conscientes cuyo impacto, tanto
en caso de victoria como de derrota, transforma los valores y las institu-
ciones de la sociedad. Como no existe un sentido de la historia que no sea
la historia que sentimos, desde una perspectiva analítica, no hay movi-
mientos sociales «buenos»y «malos», progresistas o regresivos. Todos son
síntomas de quiénes somos y caminos de nuestra transformación, ya que
la transformación puede conducir por igual hacia una gama completa de
El poder de la idcnlid;ul
ciclos, infiernos o infiernos celestiales. Ésta no es una observación for-
tuita, ya que en nuestro mundo los procesos de cambio social toman con
frecuencia formas de fanatismo y violencia que no solemos asociar con el
cambio social positivo. Y, no obstante, éste es nuestro mundo, éstos so-
mos nosotros, en nuestra pluralidad contradictoria, y esto es lo que hemos
de entender, incluso para afrontarlo y superarlo. En cuanto al significado
de esto y nosotros, por favor, anímese a seguir leyendo.
1
PARAÍSOS COMUNALES: IDENTIDAD Y SENTIDO
EN LA SOCIEDAD RED
PREÁMBULO
La capital está establecida cerca de la montaña Zhong;
Los palacios y fortalezas son brillantes y resplandecientes;
Los bosques y jardines son fragantes y floridos;
Los epidendrum y las casias se complementan en belleza.
JH palacio prohibido es magnífico;
Los edificios y pabellones tienen cien pisos.
Los salones y puertas son bellos y lustrosos;
Las campanas y carillones suenan musicalmente.
Las torres llegan hasta el cielo;
Sobre los altares se queman los animales de sacrificio.
Limpios y purificados,
Ayunamos y nos bañamos.
Somos respetuosos y devotos en el culto,
Dignos y serenos en la oración.
Suplicando con fervor,
Cada uno busca la felicidad y la dicha.
Los pueblos incivilizados de la frontera ofrecen tributo,
Y todos los bárbaros son sumisos.
No importa que el territorio sea muy vasto,
Todos acabarán estando bajo nuestro dominio.
Hong Xiuquan
Éstos eran los términos del «Relato de las mil palabras escrito impe-
rialmente», compuesto por Hong Xiuquan, el guía y profeta de la rebe-
lión de Taiping, tras establecer su reino celestial en Nanjing en 1853l
. La
sublevación de Taiping Tao (Camino de la Gran Paz) aspiraba a crear un
reino comunal fundamentalista neocristiano en China. Durante más de
una década, el reino se organizó en conformidad con la revelación de la
1
Citado por Spence, 1960, págs. 190 y 191.
2K El poder de la identidad
Biblia que, según su propio relato, Hong Xiuquan recibió de su hermano
mayor, Jesucristo, después de haber sido iniciado al cristianismo por los
misioneros evangélicos. Entre 1845 y 1864, las oraciones, enseñanzas y
ejércitos de Hong sacudieron a China y al mundo, ya que obstaculizaron
el creciente control extranjero del Imperio Medio. El reino de Taiping
pereció como vivió, a sangre y fuego, causando la muerte de 20 millones
de chinos. Anhelaba establecer un paraíso terrenal combatiendo a los de-
monios que se habían apoderado de China, de modo que «toda la gente
pueda vivir junta en dicha perpetua, hasta que por fin sean elevados al
Cielo para presentarse ante su Padre»2
. Era un tiempo de crisis para las
burocracias estatales y las tradiciones morales, de globalización del co-
mercio, de tráfico de drogas, de rápida industrialización que se extendió
por el mundo, de misiones religiosas, de campesinos empobrecidos, de cri-
sis de las familias y comunidades, de bandidos locales y ejércitos interna-
cionales, de difusión de la imprenta y analfabetismo generalizado, un
tiempo de incertidumbre y desesperanza, de crisis de identidad. Era otro
tiempo. ¿O no lo era?
LA CONSTRUCCIÓN DE LA IDENTIDAD
La identidad es la fuente de sentido y experiencia para la gente. Como
escribe Calhoun:
No conocemos gente sin nombre, ni lenguas o culturas en las que no se establez-
can de alguna manera distinciones entre yo y el otro, nosotros y ellos. [...] El co-
nocimiento de uno mismo —siempre una construcción pese a que se considere un
descubrimiento— nunca es completamente separable de las exigencias de ser co-
nocido por los otros de modos específicos3
.
Por identidad, en lo referente a los actores sociales, entiendo el pro-
ceso de construcción del sentido atendiendo a un atributo cultural, o un
conjunto relacionado de atributos culturales, al qué se da prioridad sobre
el resto de las fuentes de sentido. Para un individuo determinado o un ac-
tor colectivo puede haber una pluralidad de identidades. No obstante, tal
pluralidad es una fuente de tensión y contradicción tanto en la represen-
tación de uno mismo como en la acción social. Ello se debe a que la iden-
tidad ha de distinguirse de lo que tradicionalmente los sociólogos han
denominado roles y conjuntos de roles. Los roles (por ejemplo, ser traba-
jadora, madre, vecina, militante socialista, sindicalista, jugadora de balon-
cesto, feligresa y fumadora al mismo tiempo) se definen por normas es-
2
Spence, 1996, pág. 172.
3
Calhoun, 1994, págs. 9 y 10.
Paraísos comunales: identidad y sentido en la sociedad red "I
tructuradas por las instituciones y organizaciones de la sociedad. Su peso
relativo para influir en la conducta de la gente depende de las negociacio-
nes y acuerdos entre los individuos y esas instituciones y organizaciones.
Las identidades son fuentes de sentido para los propios actores y por ellos
mismos son construidas mediante un proceso de individualización4
, Aun-
que, cómo sostendré más adelante, las identidades pueden originarse en
las instituciones dominantes, sólo se convierten en tales si los actores so-
ciales las interiorizan y construyen su sentido en torno a esta interioriza-
ción. Sin duda, algunas autodefiniciones también pueden coincidir con los
roles sociales, por ejemplo, cuando ser padre es la autodefinición más im-
portante desde el punto de vista del actor. No obstante, las identidades
son fuentes de sentido más fuertes que los roles debido al proceso de au-
todefinición e individualización que suponen. En términos sencillos, las
identidades organizan el sentido, mientras que los roles organizan las fun-
ciones. Defino sentido como la identificación simbólica que realiza un ac-
tor social del objetivo de su acción. También propongo la idea de que, en
la sociedad red, por razones que desarrollaré más adelante, para la mayo-
ría de los actores sociales, el sentido se organiza en torno a una identidad
primaria (es decir, una identidad que enmarca al resto), que se sostiene
por sí misma a lo largo del tiempo y el espacio. Aunque este plantea-
miento se aproxima a la formulación de la identidad de Erikson, me cen-
traré fundamentalmente en la identidad colectiva y no en la individual.
Sin embargo, el individualismo (diferente de la identidad individual) tam-
bién puede ser una forma de «identidad colectiva», como se analiza en la
«cultura del narcisismo» de Lasch5
.
Es fácil estar de acuerdo sobre el hecho de que, desde una perspectiva
sociológica, todas las identidades son construidas. Lo esencial es cómo,
desde qué, porerei^n y para qué. La construcción de las identidades uti-
liza materiales de la historia, la geografía, la biología, las instituciones
productivas y reproductivas, la memoria colectiva y las fantasías persona-
les, los aparatos de poder y las revelaciones religiosas. Pero los indivi:
dúos, los grupos sociales y las sociedades procesan todos esos materiales y
ios reordenan en su sentido, según las determinaciones sociales y los pro-
yectos culturales implantados en su estructura social y en su marco espa-
cial/temporal. Propongo como hipótesis que, en términos generales, quién
construye la identidad colectiva, y para qué, determina en buena medida
su contenido simbólico y su sentido para quienes se identifican con ella ó*
se colocan fuera de ella. Puesto que la construcción social de la identidad
siempre tiene lugar ett un contexto marcado por las relaciones de poder,,
propongo una distinción entre tres formas y orígenesfelei ]á~cbnstruccióñ
de la identidad.
' Giddens, 1991.
5
Lasch, 1980.
1(1 II poder de b UICIIIKIMII
— Identidad legitimadora: introducida por las instituciones dominan-
tes de la sociedad para extender y racionalizar su dominación frente a los
actores sociales, un tema central en la teoría de la autoridad y la domina-
ción de Sennett6
, pero que también se adecúa a varias teorías del nacio-
nalismo7
.
— Identidad de resistencia: generada por aquellos actores que se en-
cuentran en posiciones/condiciones devaluadas o estigmatizadas por la ló-
gica de la dominación, por lo que construyen trincheras de resistencia y
supervivencia basándose en principios diferentes u opuestos a los que im-
pregnan las instituciones de la sociedad, como Calhoun propone cuando
explica el surgimiento de las políticas de identidad8
.
— Identidad proyecto: cuando los actores sociales, basándose en los
materiales culturales de qué disponen, construyen una nueva identidad
que redefine su posición en la sociedad y, al hacerlo, buscan la transfor-
mación de toda la estructura social. Es el caso, por ejemplo, de las femi-
nistas cuando salen de las trincheras de resistencia de la identidad y los
derechos de las mujeres para desafiar al patriarcado y, por lo tanto, a la
familia patriarcal y a toda la estructura de producción, reproducción, se-
xualidad y personalidad sobre la que nuestras sociedades se han basado a
lo largo de la historia.
Naturalmente, las identidades que comienzan como resistencia pue-
den inducir proyectos y, también, con el transcurrir de la historia, conver-
tirse en dominantes en las instituciones de la sociedad, con lo cual se vuel-
ven identidades legitimadoras para racionalizar su dominio. En efecto, la
dinámica de las identidades a lo largo de esta secuencia muestra que,
desde el punto de vista de la teoría social, ninguna identidad puede ser
una esencia y ninguna identidad tiene, per se, un valor progresista o re-
gresivo fuera de su contexto histórico. Un asunto diferente, y muy impor-
tante, son los beneficios de cada identidad para la gente que pertenece a
ella.
En mi opinión, cada tipo de proceso de construcción de la identidad
conduce a un resultado diferente en la constitución de la sociedad. Las
identidades legitimadoras generan una sociedad civil, es decir, un con-
junto de organizaciones e instituciones, así como una serie de actores so-
ciales estructurados y organizados, que reproducen, si bien a veces de
modo conflictivo, la identidad que racionaliza las fuentes de la domina-
ción estructural. Esta afirmación puede resultar sorprendente para algu-
nos lectores, ya que la sociedad civil sugiere por lo general una connota-
ción positiva de cambio social democrático. Sin embargo, ésta es de
6
Sennett, 1986.
7
Andeison, 1983; Gellner, 1983.
8
Calhoun, 1994, pág. 17.
I'iii¡Usos i'oninii.ili's: kli'llllihiil y scMlulo cu l.i .cu i< J.ICI H M
liecho la concepción original de la sociedad civil, según la formuló
Gramsci, padre intelectual de este ambiguo concepto. En efecto, en la
concepción de Gramsci, la sociedad civil está formada por una serie de
«aparatos», como la(s) Iglesia(s), los sindicatos, los partidos, las coopera-
tivas, las asociaciones cívicas, etc., que, por una parte, prolongan la diná-
mica del estado pero, por otra, están profundamente arraigados entre la
gente9
. Precisamente este doble carácter de la sociedad civil es el que la
hace un terreno privilegiado para el cambio político al posibilitar la toma
del estado sin lanzar un asalto directo y violento. La conquista del estado
por las fuerzas del cambio (digamos las fuerzas del socialismo en la ideo-
logía de Gramsci), presentes en la sociedad civil, se hace posible, precisa-
mente, por la continuidad que existe entre las instituciones de la socie-
dad civil y los aparatos de poder del estado, organizados en torno a una
identidad similar (ciudadanía, democracia, politización del cambio social,
restricción del poder al estado y sus ramificaciones, y demás). Donde
Gramsci y Tocqueville ven democracia y civilidad, Foucault o Sennett, y
antes de ellos Horkheimer o Marcuse, ven dominación interiorizada y le-
gitimación de una identidad normalizadora sobreimpuesta e indiferen-
ciada.
El segundo tipo de construcción de la identidad, la identidad para
la resistencia, conduce a la.formación de comunas o comunidades, en
la formulación de Etzioni10
. Puede que éste sea el tipo más importante
de construcción de la identidad en nuestra sociedad. Construye formas
de resistencia colectiva contra la opresión, de otro modo insoportable,
por lo común atendiendo a identidades que, aparentemente, estuvieron
bien definidas por la historia, la geografía o la biología, facilitando así
que se expresen como esencia las fronteras de la resistencia. Por ejem-
plo, el nacionalismo basado en la etnicidad, como Scheff propone,
«surge con frecuencia de un sentimiento de alienación, por una parte,
y resentimiento contra la exclusión injusta, ya sea política, económica
o social» n
. El fundamentalismo religioso, las comunidades territoriales,
la autoafirmacíón nacionalista o incluso el orgullo de la autodenigra-
ción, al invertir los términos del discurso opresivo (como en la «cul-
tura queer [homosexual]» de algunas tendencias del movimiento gay)
son todos expresiones de lo que denomino la exclusión de los excluso-
res por los exduidos. Es decir, la construcción de una identidad defen-
siva en los términos de las instituciones/ideologías dominantes, invir-
tiendo el juicio de valor mientras que se refuerza la frontera. En este
caso, surge el tema de la comunicabilidad recíproca entre estas identi-
dades excluidas/excluyentes. La respuesta a esta cuestión, que sólo
9
Buci-Glucksman, 1978.
10
Etzioni, 1993.
11
Scheff, 1994, pág. 281.
n II |iii(lci de la ulc'nliil.ul
puede ser empírica e histórica, determina si las sociedades siguen
siendo tales o se fragmentan en una constelación de tribus, a las que
algunas veces se vuelve a llamar eufemísticamente comunidades.
El tercer proceso de construcción de la identidad, la identidad pro,;-
yecto, produce sujetos, según los define Alain Touraine:
Denomino sujeto al deseo de ser un individuo, de crear una historia personal, de
otorgar sentido a todo el ámbito de las experiencias de la vida individual [...] La
transformación de los individuos en sujetos es el resultado de la combinación ne-
cesaria de dos afirmaciones: la de los individuos contra las comunidades y la de
los individuos contra el mercado12
.
Los sujetos no son individuos, aun cuando estén compuestos por indi-
viduos. Son el actor social colectivo mediante el cual los individuos alcan-
zan un sentido holístico en su experiencia13
. En este caso, la construcción,
de la identidad es un proyecto de una vida diferente, quizás basado en
una identidad oprimida, pero que se expande hacia la transformación deu.
la sociedad como la prolongación de este proyecto de identidad, como en
el ejemplo arriba mencionado de una sociedad postpatriarcal, liberando a
las mujeres, los hombres y los niños mediante la afirmación de la identi-
dad de las mujeres. O, en una perspectiva muy diferente, la reconciliación
final de todos los seres humanos como creyentes, hermanos y hermanas,
bajo la guía de la ley divina, ya sea de Alá o Jesús, como resultado de la
conversión religiosa de las sociedades ateas, contrarias a la familia y ma-
terialistas, incapaces por otra parte de satisfacer las necesidades humanas
y cumplir el designio de Dios.
Cómo se construyen los diferentes tipos de identidades, por quiénes y
con qué resultados no puede abordarse en términos generales y abstrac-
tos: depende del contexto social. La política de la identidad, como escribe
Zaretsky, «debe situarse en la historia»14
.
Así pues, nuestra exposición ha de referirse a un contexto específico,
el ascenso de la sociedad red. La dinámica de la identidad en este con-
texto puede comprenderse mejor si se contrasta con la caracterización
efectuada por Giddens de la identidad en la «modernidad tardía», pe-
riodo histórico que, creo, está llegando a su fin, con lo cual no pretendo
sugerir que estemos en cierto sentido llegando al «fin de la historia»,
como se postuló en algunas divagaciones postmodernas. En una vigorosa
teorización, cuyas líneas principales comparto, Giddens afirma que «la
identidad propia no es un rasgo distintivo que posee el individuo. Es el yo
entendido reflexivamente por la persona en virtud de su biografía». En
efecto, «ser un ser humano es comprender [...] tanto lo que se está ha-
Touraine, 1995, págs. 29 y 30. La traducción es mía.
Touraine, 1992.
Zaretsky, 1994, pág. 198.
t'.i¡;iís<ÍS coiniiiiiilt's: KICIIIKI.KI y si'iilulo cu :i •«K'k'fl.iJ i< <! 11
riendo como por que se está haciendo |...| Un el contexto del orden pos-
11 adicional, el yo se convierte en un proyecto reflexivo»IS
.
¿Cómo incorpora la «modernidad tardía» este proyecto reflexivo? Se-
gún lo expone Giddens,
uno de los rasgos distintivos de la modernidad es la interconexión creciente entre
los dos extremos de la extensionalidad y la intencionalidad: las influencias globali-
zadoras, por una parte, y las disposiciones personales, por la otra [...] Cuanto más
pierden su dominio las tradiciones y la vida diaria se reconstituye en virtud de la
interacción dialéctica de lo local y lo global, más se ven forzados los individuos a
negociar su elección de tipo de vida entre una diversidad de opciones [...] La pla-
nificación de la vida organizada de forma reflexiva [...] se convierte en el rasgo
central de la estructuración de la identidad propia16
.
Aunque estoy de acuerdo con la caracterización teórica de Giddens
de la construcción de la identidad en el periodo de la «modernidad
tardía», sostengo, basándome en los análisis presentados en el volumen
primero de este libro, que el ascenso de la sociedad red pone en tela
de juicio los procesos de construcción de la identidad durante ese pe-
riodo, con lo que induce nuevas formas de cambio social. Ello se debe
a que la sociedad red se basa en la disyunción sistémica de lo local y
lo global para la mayoría de los individuos y grupos sociales. Y, aña-
diría, por la separación en diferentes marcos temporales del poder y
la experiencia (vol. I, caps. 6 y 7). Así pues, la planificación reflexiva
de la vida se vuelve imposible, excepto para la élite que habita el es-
pacio atemporal de los flujos de las redes globales y sus localidades su-
bordinadas. Y la construcción de la intimidad basada en la confianza
requiere una redefinición de la identidad completamente autónoma
frente a la lógica interconectora de las instituciones y organizaciones
dominantes.
En estas nuevas condiciones, las sociedades civiles se reducen y de-
sarticulan porque ya no hay continuidad entre la lógica de la creación de
poder en la red global y la lógica de la asociación y la representación en
las sociedades y culturas específicas. Así que la búsqueda de sentido
tiene lugar en la reconstrucción de identidades defensivas en torno a los
principios comunales. La mayoría de la acción social se organiza en la
oposición que existe entré los flujos no identificados y las identidades ais-
ladas. En cuanto a la génesis de las identidades proyecto, aún se da, o
puede darse, dependiendo de las sociedades. Pero propongo la hipótesis
de que la constitución de sujetos, en el núcleo del proceso de cambio so-
cial, toma un camino diferente al que conocíamos durante la modernidad
y la modernidad tardía, a saber, los sujetQs, cuando seconsJruyen,ja no
15
Giddens, 1991, págs. 53,35, 32.
16
Giddens, 1991, págs. 1,5.
*4 El poder de la identidad
lo hacen basándose en las sociedades civiles, que están en prpceso de de-
sintegración, sino como una prolongación de la resistencia comunal. Aun-
que en la modernidad (temprana o tardía) la identidad proyecto se cons-
tituyó a partir de la sociedad civil (como en el caso del socialismo, que se ,
basó en el movimiento obrero), en la sociedad red, la identidad proyecto,
en caso de que se desarrolle, surge de la resistencia comunal. Este es el .
sentido real de la nueva primacía de la política de la identidad en la stfej
ciedad red. El análisis de los procesos, las condiciones y los resultados de j
la transformación de la resistencia comunal en sujetos transformadores
es el ámbito preciso para una teoría del cambio social en la era de la in-
formación.
Una vez alcanzada una formulación tentativa de mi hipótesis, iría
contra los principios metodológicos de este libro avanzar más por el ca-
mino de la teorización abstracta, que podría convertirse rápidamente en
comentario bibliográfico. Trataré de sugerir las implicaciones precisas
de mi análisis, centrándome en varios procesos clave de construcción de
la identidad colectiva seleccionados por su importancia particular para
el proceso de cambio social en la sociedad red. Comenzaré con el fun-
damentalismo religioso, tanto en sus versiones islámica como cristiana,
si bien ello no supone que otras religiones (por ejemplo, el hinduismo,
el budismo, el judaismo) sean menos importantes o menos proclives al
fundamentalismo. Continuaré con el nacionalismo, considerando, tras
un repaso del tema, dos procesos muy diferentes pero significativos:
el papel del nacionalismo en la desintegración de la Unión Soviética y
en las repúblicas postsoviéticas, y la formación y resurgimiento del na-
cionalismo catalán. Luego pasaré a la identidad étnica, centrándome en
la identidad afroamericana contemporánea. Y terminaré considerando,
brevemente, la identidad territorial, basándome en mi observación de
los movimientos urbanos y las comunidades locales de todo el mundo.
Para concluir, intentaré una síntesis sucinta de las principales líneas
de indagación que surgirán del examen de los diversos procesos contem-
poráneos de (re)construcción deTa. identidad basada en la resistencia cr>_
munal.
LOS PARAÍSOS DE DIOS: EL FUNDAMENTALISMO RELIGIOSO Y LA
IDENTIDAD CULTURAL
Es un atributo de nuestra sociedad, y me atrevería a decir de la natu-
raleza humana, si tal entidad existiera, encontrar consuelo y refugio en la
religión. El miedo a la muerte, el dolor de la vida, necesitan a Dios y la fe
en Dios, sean cuales fueren sus manifestaciones, sólo para que la gente
pueda continuar. En efecto, fuera de nosotros, Dios no tendría dónde
vivir.
Paraísos comunales: identidad y sentido un la socicduil red 35
El fundamentalismo religioso es algo más. Y sostengo que ese «algo
más» es una fuente muy importante de construcción de la identidad en la
sociedad red por razones que serán más evidentes, espero, en las páginas
siguientes. En cuanto a su contenido real, las experiencias, opiniones, his-
toria y teorías son tan diversas como para desafiar una síntesis. Por
suerte, a finales de la década de 1980, la American Academy of Arts and
Sciences emprendió un importante proyecto comparativo que pretendía
observar los fundamentalismos en varios contextos sociales e instituciona-
les 17
. Así, sabemos que el «fundamentalismo es siempre reactivo, reaccio-
nario» 18
, y que
los fundamentalistas son selectivos. Quizás consideren que están adoptando todo
el pasado completo, pero en realidad dedican sus energías a aquellos rasgos que
mejor refuercen su identidad, conserven unido su movimiento, construyan defen-
sas en torno a sus fronteras y mantengan a distancia a los otros [...] Los funda-
mentalistas luchan bajo Dios —en el caso de la religión teísta— o bajo los signos
de alguna referencia transcendente19
.
Para ser más preciso —y coherente con los ensayos reunidos en el
Proyecto de los «Fundamentalismos Observados»—, definiré el funda-
mentalismo, según mi propio entendimiento, como la construcción de la
identidad colectiva a partir de la identificación de la conducta individual y
las instituciones de la sociedad con las normas derivadas de la ley de Dios,
interpretada por una autoridad definida que hace de intermediario entre
Dios y la humanidad. Así, como escribe Marty, «es imposible que los fun-
damentalistas razonen o resuelvan nada con la gente que no comparte su
sometimiento a una autoridad, ya sea una Biblia inerrable, un papa infali-
ble, los códigos de la sharia en el islam o las implicaciones de la halakáén
el judaismo»20
.
Por supuesto, el fundamentalismo religioso ha existido durante toda
la historia humana, pero parece ser sorprendentemente fuerte e influ-
yente como fuente de identidad en este fin de milenio. ¿Por qué es así?
Mis análisis del fundamentalismo islámico y del fundamentalismo cris-
tiano en esta sección tratarán de proponer algunas pistas para compren-
der una de las tendencias más definitorias en la creación de nuestra
época histórica21
.
17
Marty y Appleby, 1991.
18
Marty, 1988, pág. 20.
" Marty y Appleby, 1991, págs. ix y x.
20
Marty, 1988, pág. 22.
21
Véase también Misztal y Shupe, 1992a.
Ifl I I poder tic lu idcntidud
l.a umma contra el yahilíia: el fundamentalismo islámico
1:1 único camino para acceder a la modernidad es nuestra propia senda, la que ha
sido trazada para nosotros por nuestra religión, nuestra historia y nuestra civiliza-
ción.
Rached Gannouchin
La década de 1970, fecha del nacimiento de la revolución de las tecno-
logías de la información en Silicon Valley, y punto de partida de la rees-
tructuración capitalista global, tuvo un significado diferente para el
mundo musulmán: marcó el inicio del siglo xiv de la Hégira, un periodo
de renacimiento, purificación y fortalecimiento islámicos, como al co-
mienzo de cada nuevo siglo. En efecto, en las dos décadas siguientes se
extendió por todas las tierras musulmanas una auténtica revolución cultu-
ral/religiosa, a veces victoriosa, como en Irán, a veces sometida, como en
Egipto, en ocasiones desencadenante de la guerra civil, como en Argelia,
o reconocida formalmente en las instituciones del estado, como en Sudán
o Bangladesh, pero la mayoría de las veces estableciendo una difícil coe-
xistencia con un estado-nación formalmente islámico, plenamente inte-
grado en el capitalismo global, como en Arabia Saudí, Indonesia o Ma-
rruecos. En general, se está luchando por la identidad cultural y el destinó
político de casi mil millones de personas en las mezquitas y los barrios de
las ciudades musulmanas, atestadas por la urbanización acelerada y desin-
tegradas por el fracaso de la modernización. El fundamentalismo islá-
mico, como identidad reconstruida y proyecto político, se encuentra en el
centro de un proceso muy decisivo, que en buena medida condiciona el
futuro del mundo23
.
Pero, ¿qué es el fundamentalismo islámico? Islam, en árabe, significa
estado de sometimiento y un musulmán es aquel que se ha sometido a
Alá. Por lo tanto, según la definición de fundamentalismo que presenté
anteriormente, parecería que todo el islam es fundamentalista: las socie-
dades y sus instituciones estatales deben organizarse en torno a unos prin-
cipios religiosos incontestados. Sin embargo, diversos estudiosos destaca-
dos24
sostienen que, aunque la primacía de los principios religiosos, según
se formulan en el Corán, son comunes a todo el islam, las sociedades e
instituciones islámicas también se basan en una interpretación multívoca.
Además, en las sociedades islámicas más tradicionales, la preeminencia
de los principios religiosos sobre la autoridad política era puramente for-
12
Rached Gannouchi, entrevista con Jeune Afrique, julio de 1990. Gannouchi es un im-
portante intelectual del movimiento islamista tunecino.
23
Hiro, 1989; Balta, 1991; Sisk, 1992; Choueri, 1993; Juergensmayer, 1993; Dekmejian,
1995.
24
Véase, por ejemplo, Basam Tibi, 1988,1992a; Aziz Al Azmeh, 1993; Farhad Khosrok-
havar, 1995, entre otros.
I'iiniísos eoiminak'v identidad y sentido en la soi udiid red M
mal. En efecto, la sharia (la ley divina, formada por el Corán y ó$<
hadices) se relaciona en la lengua árabe clásica con el verbo sarama, cami-
nar hacia una fuente. Así pues, para la mayoría de los musulmanes, la
sharia no es una orden rígida e invariable, sino una guía para caminar ha-
cia Dios, con las adaptaciones requeridas por cada contexto histórico y
social25
. En contraste con esta apertura del islam, el fundamentalismo is-
lámico supone la fusión de la sharia y elfiqh, o interpretación y aplicación
por los juristas y autoridades, bajo el dominio absoluto de la sharia. Natu-
ralmente, el significado real depende del proceso de interpretación y de
quién interpreta. Por lo tanto, hay una amplia gama de matices entre el
fundamentalismo conservador, como el representado por la Casa de
Saúd, y el fundamentalismo radical, como el elaborado en los escritos de
AI Mawdudi o Sayyid Qtub en las décadas de 1950 y 196026
. También
existen considerables diferencias entre la tradición shií, que inspiró a
Jomeini, y la tradición suní, que constituye la fe de cerca del 85% de los
musulmanes, incluidos movimientos revolucionarios como el Front Isla-
mique de Salvation (FIS) de Argelia o el Takfir wal-Hijrah de Egipto. No
obstante, en la visión de los escritores que constituyen el pensamiento is-
lamista de este siglo, como Hassan al Banna y Sayyid Qtub de Egipto, Ali
al Nadawi de India o Sayyid Abul al Mawdudi de Pakistán, la historia del
islam se ha reconstruido para mostrar el sometimiento perenne del estado
a la religión27
. Para un musulmán, el apego fundamental no es a la watan
(tierra natal), sino a la umma o comunidad de creyentes, todos igualados
en su sumisión a Alá. Esta confraternidad universal reemplaza a las insti-
tuciones del estado-nación, que se ve como una fuente de división entre
los creyentes28
. Porque para que viva la umma y se expanda hasta abarcar
a toda la humanidad, ha de cumplir una tarea divina: emprender una vez
más la lucha contra el yahüíia (el estado de ignorancia o la falta de obser-
vancia de las enseñanzas de Dios) en el que las sociedades han vuelto a
caer. Para regenerar a la humanidad, la islamización debe avanzar pri-
mero en las sociedades musulmanas que se han secularizado y se han
apartado de la estricta obediencia arla ley de Dios, luego en el mundo en-
tero. Este proceso debe comenzar con un renacimiento espiritual basado
en al sirat al mustaqin (camino recto), construido según el modelo de la
comunidad organizada por el profeta Mahoma en Medina. No obstante,
para vencer a las fuerzas impías, quizás sea necesario emplear la yihad
(lucha en nombre del islam) contra los infieles, que puede incluir, en los
casos extremos, el recurso a la guerra santa. En la tradición shií, el marti-
rio, restableciendo el sacrificio del imán Alí en 681, constituye, en efecto,
25
Garaudy, 1990.
26
Carre, 1984; Choueri, 1993.
27
Hiro, 1989; Al Azmeh, 1993; Choueri, 1993; Dekmejian, 1995.
28
Oumlil, 1992.
IS El poder de la identidad
el núcleo de la pureza religiosa. Perojíl conjunto del islam comparteja^
alabanza de los sacrificios necesarios para responder a la llamada de Dios
(al da'wah). Como afirmó Hassan al Baña, fundador y dirigente de ta^
Hermandad NTu^Tmaña, asesinado en 1949:, «El Corán es nuestra consti-
tución, el Profeta es nuestro"guía; la muerte por la gloria de Alá es nues-
tra mayor ambición»29
. El fin último de todas las acciones humanas debe
ser el establecimiento de la ley de Dios sobre el conjunto de la humani-
dad, con lo que se pondrá fin a la oposición actual entre Dar al Islam (el
mundo musulmán) y Dar al Harb (el mundo no musulmán).
En este marco cultural/religioso/político, la identidad islámica se cons-
truye en virtud de una deconstrucción doble, efectuada por los actores so-
ciales y por las instituciones de la sociedad.
Los actores sociales deben deconstruirse como sujetos, ya sea como
individuos, como miembros de un grupo étnico o como ciudadanos de
una nación. Además, las mujeres deben someterse a sus hombres guardia-
nes, ya que se las induce a que se realicen primordialmente en el marco de
la familia: «Los hombres son los protectores y mantenedores de las muje-
res porque Dios ha otorgado a los unos mayor (fuerza) que a las otras y
porque las mantienen con sus medios»30
. Como escribe Bassam Tibi, «el
principio de la subjetividad de Habermas es una herejía para los funda-
mentalistas islámicos»31
. Sólo en la umma puede el individuo ser plena-
mente él mismo, como parte de la confraternidad de los creyentes, meca-
nismo básico igualador que proporciona sostén y solidaridad mutuos y un
sentido compartido. Por otra parte, el mismo estado-nación debe negar su
identidad: al dawla islamiyya (el estado islámico), basado en la sharia,
tiene prioridad sobre el estado-nación (al dawla qawmiyya). Esta proposi-
ción es particularmente efectiva en el Oriente Próximo, región donde, se-
gún Tibi, «el estado-nación es ajeno y virtualmente impuesto a sus partes
[...] La cultura política del nacionalismo secular no es sólo una novedad
en el Oriente Próximo, sino que incluso permanece en la superficie de las
sociedades implicadas»32
.
Sin embargo, y esto es esencial, el fundamentalismo islámico no es un
movimiento tradicionalista. A pesar de todos los esfuerzos de exégesis
para arraigar la identidad islámica en la historia y los textos sagrados, los
islamistas, por motivo de la resistencia social y la sublevación política,
prosiguieron con una reconstrucción de la identidad cultural que, de he-
cho, es hipermoderna33
. Como escribe Al Azmeh, «la politización de lo
sagrado, la sacralización de la política y la transformación de las institu-
29
Citado por Hiro, 1989, pág. 63.
30
Corán, sura IV, v. 34 (trad. de Abdullah Yusuf Alí, 1988. Véase Hiro, 1989, pág. 202);
Delcroix, 1995; Gerami, 1996.
31
Tibi, 1992b, pág. 8.
52
Tibi, 1992b, pág. 5.
33
Gole, 1995.
Piirnlsos comumilcs: identidad y sentido en l< soeiedsid red 39
i iones islámicas pseudolegales en "devociones sociales" son todos medios
de ejecutar la política del ego auténtico, una política de identidad y, por
lo tanto, los medios para la formación misma, de hecho la invención, de
esta identidad»34
.
Pero si el islamismo (aunque basado en los escritos de los reformistas
y renovadores islámicos del siglo xix, como Al Afghani) es esencialmente
una identidad contemporánea, ¿por qué ahora? ¿Por qué ha detonado en
las dos últimas décadas, tras haber sido repetidamente sometido por el
nacionalismo en el periodo postcolonial, como ejemplifican la represión
tic los Hermanos Musulmanes en Egipto y Siria (incluida la ejecución de
Otub en 1966), el ascenso de Sukarno en Indonesia o el Front de Libera-
tion Nationale en Argelia35
?
Para Tibi, «el ascenso del fundamentalismo islámico en el Oriente
Próximo se interrelaciona con la exposición de esta parte del mundo del
islam, que se percibe como una entidad colectiva, a los procesos de globa-
lización, al nacionalismo y el estado-nación como principios de organiza-
ción globalízadps»36
.
En efecto, la explosión de los movimientos islámicos parece relacio-
narse, tanto con lajcrisis de las sociedades tradicionales (incluido el debili-
tamiento del poder del clero tradicional) como con el fracaso del estado-
nación, creado por los movimientos nacionalistas, para lograr la
modernización, desarrollar la economía y distribuir los beneficios del cre-
cimiento económico entre la población en general. Así pues, la identidad
islámica es (re)construi s por los islamístas en oposición al capitalismo, al
socialismo y al nacionalismo, árabe o cualquier otro, que considera ideo-
logías fracasadas del orden postcolonial.
Un caso que viene a propósito, es por supuesto, el de Irán37
. La Revo-
lución Blanca del sha, lanzada en 1963, fue un intento muy ambicioso de
modernizar la economía y la sociedad, con el respaldo de los Estados
Unidos, y con el proyecto deliberado de conectarse con el nuevo capita-
lismo global que estaba en marcha. Al hacerlo, socavó las estructuras bá-
sicas de la sociedad tradicional de la agricultura al calendario. En efecto,
surgió un importante conflictp entre el sha y los ulemas sobre el tiempo
cuando, el 24 de abril de 1976, el primero cambió el calendario islámico
por el preislámico de la dinastía aqueménida. Cuando Jomeini aterrizó en
Teherán el 1 de febrero de 1979 para encabezar la revolución, volvió
como representante del imán Nacoste, Señor del Tiempo (yvali al zamari)
para afirmar la preeminencia de los principios religiosos. La revolución is-
M
Al Azmeh, 1993, pág. 31.
w
Piscatori, 1986; Moen y Gustafson, 1992; Tibi, 1992a; Burgat y Dowell, 1993; Juergens-
mayer, 1993; Dekmejian, 1995.
" Tibi, 1992b, pág. 7.
" Hiro, 1989; Bakhash, 1990; Esposito, 1990; Khosrokhavar, 1995.
•10 El poder de la identidud
lámica se opuso a la vez a la institución de la monarquía (Jomeini: «El is-
lam se opone fundamentalmente a toda noción de monarquía»)38
; al es-
tado-nación (artículo 10 de la nueva Constitución iraní: «Todos los musul-
manes forman una única nación»); y a la modernización como una
expresión de la occidentalización (el artículo 43 de la Constitución iraní
estipula la «prohibición de la extravagancia y el derroche en todos los
asuntos relacionados con la economía, incluidos el consumo, la inversión,
la producción, la distribución y los servicios»). Los ulemas, los blancos
principales de las reformas institucionales del sha, conservaron su poder
como los intermediarios entre la sharia y la sociedad. La radicalización
del régimen islámico, tras el ataque de Irak en 1980 y la atroz guerra que
siguió, llevó a la purificación de la sociedad y al establecimiento de jueces
religiosos especiales para reprimir los actos impíos tales como «el adulte-
rio, la homosexualidad, el juego, la hipocresía, la compasión por los ateos
y los hipócritas, y la traición» 39
. Siguieron cientos de encarcelamientos,
flagelaciones y ejecuciones por distintos motivos. El círculo del terror, di-
rigido particularmente hacia los izquierdistas críticos y las guerrillas mar-
xistas, cerró el círculo de la lógica fundamentalista en Irán.
¿Cuáles son las bases sociales del fundamentalismo? En Irán, donde
otras fuerzas revolucionarias participaron en las largas y cruentas movili-
zaciones para derrocar la sangrienta dictadura Pahlevi, los dirigentes fue-
ron los clérigos y en las mezquitas se reunieron los comités revoluciona-
rios que organizaron la insurgencia popular. En cuanto a los actores
sociales, la fuerza del movimiento estaba en Teherán y otras grandes ciu-
dades, sobre todo entre los estudiantes, los intelectuales y los comercian-
tes y artesanos de los bazares. Cuando el movimiento llegó a las calles, se
unieron las masas de inmigrantes rurales recientes que construyeron sus
poblados de chabolas en Teherán en la década de 1970, después de que la
modernización de la agricultura los expulsara de sus aldeas.
Los islamistas de Argelia y Túnez parecen presentar un perfil similar,
según algunos datos dispersos: el apoyo al FIS se originó en un grupo he-
terogéneo de intelectuales cultos, profesores de universidad y funciona-
rios de nivel bajo, a quienes se unieron los pequeños comerciantes y los
artesanos. Sin embargo, estos movimientos, ocurridos en la década de
1980, también tuvieron sus raíces sociales en el éxodo rural. Una encuesta
realizada en Túnez descubrió que el 48% de los padres de los militantes
eran analfabetos, ya que emigraron a las ciudades en la década de 1970
desde las regiones rurales empobrecidas. Los propios militantes eran jó-
venes: en Túnez, la edad media de 72 militantes sentenciados en un im-
portante juicio celebrado en 1987 era de 32 años40
. En Egipto, el isla-
38
Hiro, 1989, pág. 161.
39
Documentos oficiales presentados en la prensa, citado por Hiro, 1989, pág. 190.
40
Datos aportados por Burgat y Dowell, 1993.
Tul.usos i oiiiiiii.ilcs, iilriilul.ul v scnliilo r n l-i :<H II tl.nl u-il 4 ]
mismo predomina entre los estudiantes universitarios (la mayor parte de
los sindicatos de estudiantes han estado bajo dirección fundamentalista is-
lámica desde mediados de la década de 1980) y recibe respaldo de emple-
ados gubernamentales, sobre todo maestros, al tiempo que desarrolla una
influencia creciente en la policía y el ejército41
.
Las bases sociales del fundamentalismo radical parecen derivarse de
la combinación del éxito de la modernización dirigida por el estado du-
rante las décadas de 1950 y 1960 y el fracaso de la modernización econó-
mica en la mayoría de los países musulmanes durante las décadas de 1970
y 1980, cuando sus economías no pudieron adaptarse a las nuevas condi-
ciones de la competencia global y la revolución tecnológica del último pe-
riodo. AjjLpue&r una.joyen población urbana, con un alto nivel educativo
como resultado de la primera ola de modernización, se vio frustrada en
sus expectativas cuando la economía entró en crisis y se consolidaron las
nuevas formas de dependencia cultural. A su descontento se unieron las
masas empobrecidas, expulsadas de las zonas rurales a las ciudades por la
modernización desequilibrada de la agricultura. Esta mezcla social se hizo
explosiva por la crisis del estado-nación, cuyos empleados, incluido el.
personal militar, sufrieron el descenso de su nivel de vida y perdieron la
fe en el proyecto nacionalista. La crisis de legitimidad del estado-nación
fue el resultado de su corrupción generalizada, ineficacia y dependencia
de las potencias extranjeras y, en el Oriente Próximo, de la repetida hu-
millación militar a manos de Israel, seguida de la reconciliación con el
enemigo sionista. La construcción de la identidad islámica contemporá-
nea avanzó como una reacción contra la modernización inalcanzable (ya
fuera capitalista o socialista), las perversas consecuencias de la globaliza-
ción y el derrumbamiento del proyecto nacionalista postcolonial. Por ello,
el desarrollo diferencial del fundamentalismo en el mundo islámico pa-
rece estar ligado a las variaciones de la capacidad del estado-nación de inT
tegrar en su proyecto tanto a las masas urbanas, mediante el bienestar
económico, como al clero musulmán, mediante la sanción oficial de su po-
der religioso bajo la égida del estado, como había ocurrido en el califato,
omeya o en el imperio otomano42
. Así pues, aunque Arabia Saudí es for-
malmente una monarquía islámica, los ulemas están en la nómina de la
Casa de Saúd, que logró,al mismo tiempo, ser la guardiana de los santos
lugares y del petróleo occidental. Indonesia y Malaisia parecen ser capa-
ces de integrar las presiones islamistas dentro de sus estados-nación auto-
ritarios al asegurar un rápido crecimiento económico y, por lo tanto, ofre-
cer algunas perspectivas prometedoras a sus subditos, aunque las
ciudades indonesias están acumulando tensiones sociales. Por otra parte,
los proyectos nacionalistas de Egipto, Argelia y Túnez algunos de los paí-
41
Hiro, 1989; Dekmejian, 1995.
42
Balta, 1991.
42 El poder de la identidad
scs musulmanes más occidentalizados, se derrumbaron en general en la
década de 1980, con lo que dieron paso a tensiones sociales que fueron
recogidas predominantemente por los islamistas en versiones moderadas
(Ifermandad Musulmana), radicales (Jama'ah al Islamiyya) o democrá-
tico-radicales (FIS de Argelia)43
. En la década de 1990, el desafío de Ha-
más al protoestado palestino constituido en torno a Yasser Arafat, en co-
laboración con Israel, quizás constituya uno de los cismas más dramáticos
entre el nacionalismo árabe (cuyo epítome es el movimiento palestino) y
el fundamentalismo radical islámico.
Cuando se invalidaron las victorias electorales de los islamistas, como
en Argelia en diciembre de 1991, mediante la represión militar, sobrevi-
nieron la violencia generalizada y la guerra civil44
. Hasta en el país musul-
mán más occidentalizado, Turquía, la herencia nacionalista secular de Ke-
mal Ataturk sufrió un desafío histórico cuando, en las elecciones de 1995,
los islamistas se convirtieron en la primera fuerza política del país, en vir-
tud del voto de los intelectuales radicalizados y los pobres urbanos, y for-
maron gobierno en 1996.
El islamismo político y la identidad fundamentalista islámica parecen
estar expandiéndose en la década de los noventa en una variedad de con-
textos sociales e institucionales, siempre relacionados con las dinámicas
de la exclusión social y la crisis del estado-nación. Así pues, la segrega-
ción social, la discriminación y el desempleo entre la juventud francesa de
origen magrebí, entre los jóvenes turcos nacidos en Alemania, entre los
paquistaníes de Gran Bretaña o entre la juventud de los guetos estado-
unidenses (por ejemplo, los seguidores de Farrakhan), provocó el surgi-
miento de una nueva identidad islámica entre la juventud desafecta, en
una espectacular transferencia del islamismo radical a las zonas social-
mente excluidas de las sociedades capitalistas avanzadas45
. Por otra parte,
el derrumbamiento del estado soviético desencadenó la aparición de mo-
vimientos islámicos en el Cáucaso y Asia Central, e incluso la formación
de un Partido de Renacimiento Islámico en Rusia, amenazando con hacer
realidad los temores de que se extiendan las revoluciones islámicas de Af-
ganistán e Irán a las antiguas repúblicas soviéticas46
.
Mediante una variedad de procesos políticos, dependiendo de las di-
námicas de cada estado-nación y la forma de articulación global de cada
economía, ha surgido un proyecto fundamentalista islámico en todas las
sociedades musulmanas, y entre las minorías musulmanas de las socieda-
des no musulmanas. Se está construyendo una nueva identidad, no me-
diante el retorno a la tradición, sino mediante la elaboración de los mate-
43
Sisk, 1992.
44
Nair, 1996.
45
Luecke, 1993; Kepel, 1995.
46
Mikulsky, 1992.
I"imi(sos comunales: identidad y sentido cu la sociedad red 41
ríales tradicionales para formar un nuevo mundo divino y comunal,
donde las masas desposeídas y los intelectuales desafectos puedan recons-
truir el sentido en una alternativa global al orden global exclusionista47
.
Además, como escribe Khosrokhavar:
Cuando el proyecto de constituir individuos que participen plenamente en la mo-
dernidad revela su absurdo en la experiencia real de la vida cotidiana, la violencia
se convierte en la única forma de autoafirmación del nuevo sujeto [...] La neoco-
munidad se convierte entonces en una necrocomunidad. La exclusión de la mo-
dernidad adquiere un significado religioso: de este modo, la autoinmolación se
convierte en la vía para luchar contra la exclusión4S
.
Mediante la negación de la exclusión, incluso en la forma extrema del
autosacrificio, surge una nueva identidad islámica en el proceso de cons-
truir la umma, el paraíso comunal para los verdaderos creyentes.
¡Dios me salve a mí!: elfundamentalismo cristiano estadounidense
Hemos llegado a una oscura era electrónica, en la que las nuevas hordas paganas,
con todo el poder de la tecnología a sus órdenes, están a punto de arrasar las últi-
mas fortalezas de la humanidad civilizada. Ante nosotros se extiende una visión de
muerte. Cuando dejamos atrás las orillas del hombre occidental cristiano, sólo se
extiende por delante un mar oscuro y turbulento de desesperación... a menos que
contraataquemos.
Francis Schaeffer, Time for Anger49
El fundamentalismo cristiano es un rasgo perenne en la historia esta-
dounidense, desde las ideas de federalistas postrevolucionarios como Ti-
mothy Dwight y Jedidiah Morse, hasta la escatología premilenarista de
Pat Robertson, a través de los renovadores religiosos de 1900 como
Dwight L. Moody y los reconstruccionistas de la década los setenta inspi-
rados por Rousas J. Rushdoony50
. Una sociedad constantemente en la
frontera del cambio social y la movilidad individual está abocada a dudar
de forma periódica de los beneficios de la modernidad y la secularización,
anhelando la seguridad de los) valores e instituciones tradicionales basa-
dos en la verdad eterna de Dios. En efecto, el mismo término de «funda-
47
Tibi, 1992a, b; Gole, 1995.
48
Khosrokhavar, 1995, págs. 249 y 250. La traducción es mía.
4
' Schaeffer, 1982, pág. 122. Francis Schaeffer es uno de los principales inspiradores del
fundamentalismo cristiano estadounidense. Su Christian Manifestó, publicado en 1981, poco
después de su muerte, fue el folleto más influyente en el movimiento antiabortista de la dé-
cada de los ochenta en los Estados Unidos.
50
Marsden, 1980; Ammerman, 1987; Misztal y Shupe, 1992b; Wilcox, 1992.
4.) I I podo de l.i ick nliclml
mentalisnio», ampliamente utilizado en todo el mundo, se originó en los
Estados Unidos, en referencia a una serie de diez volúmenes titulados
The Fundamentáis, publicados privadamente por dos hermanos, hombres
de negocios, entre 1910 y 1915, para reunir los textos sagrados editados
por los teólogos evangélicos conservadores a finales de siglo. Aunque la
influencia fundamentalista ha variado en diferentes periodos históricos,
nunca se ha eclipsado. Y en las décadas de los ochenta y los noventa, sin
duda experimentó un vertiginoso aumento. Aunque la desintegración de
la Mayoría Moral de Jerry Falwell en 1989 condujo a algunos observado-
res a anunciar el declive del fundamentalismo (paralelo al fin del Satán
comunista, cuya oposición era una importante fuente de legitimación y fi-
nanciación para los fundamentalistas), en seguida se hizo evidente que
era la crisis de una organización y de una aventura política más que la de
la identidad fundamentalista51
. En la década de los noventa, a raíz de la
victoria presidencial de Clinton en 1992, el fundamentalismo llegó al pri-
mer plano de la escena política, esta vez en la forma de la Coalición Cris-
tiana encabezada por Pat Robertson y Ralph Reed, que afirman tener un
millón y medio de miembros organizados y cuentan con una considerable
influencia política entre el electorado republicano. Además, las ideas y la
visión del mundo de los fundamentalistas parecen encontrar un eco consi-
derable en los Estados Unidos del fin-de-siécle. Por ejemplo, según una
encuesta de Gallup sobre una muestra nacional de 1979, uno de cada tres
adultos declaraba que había tenido una experiencia de conversión reli-
giosa; casi la mitad de ellos creían que la Biblia era infalible; y más del
80% pensaba que Jesucristo era divino52
. Sin duda, los Estados Unidos
siempre han sido, y siguen siendo, una sociedad muy religiosa, mucho
más, por ejemplo, que Europa Occidental o Japón. Pero este sentimiento
religioso parece tomar un tono cada vez más restaurador, deslizándose
hacia una poderosa corriente fundamentalista. Según Simpson:
el fundamentalismo, en su sentido original, es un conjunto de creencias y expe-
riencias cristianas que incluyen 1) reconocimiento de la inspiración literal y com-
pleta de la Biblia y su infalibilidad; 2) salvación personal mediante Cristo y su
aceptación como Salvador personal (naciendo de nuevo) a causa de su eficaz ex-
piación sustitutiva del pecado con su muerte y resurrección; 3) la esperanza del
regreso antes del milenio de Cristo a la tierra desde el cielo; 4) el respaldo a doc-
trinas cristianas ortodoxas protestantes tales como el nacimiento de la Virgen y la
trinidad53
.
No obstante, el fundamentalismo cristiano es una tendencia tan am-
plia y diversificada que desafía una definición simple que transcienda las
51
Lawton, 1989; Moen, 1992; Wilcox, 1992.
52
Lienesch, 1993, pág. 1.
53
Simpson, 1992, pág. 26.
I'imiínos lomimiilcs: idcnlidiid y si-nlido en lii Mick-dml icil 45
divisiones existentes entre los evangélicos pentecoslales y carismáticos,
los prcmilenaristas y postmilenaristas, los pietistas y los activistas. Por
suerte, contamos con una excelente síntesis académica bien documentada
tic Michael Lienesch sobre los escritos y doctrinas de los fundamentalistas
estadounidenses, basándome en la cual, y con el respaldo de otras fuentes
que confirman en términos generales sus datos y argumentos, trataré de re-
construir los rasgos principales de la identidad fundamentalista cristiana54
.
Como escribe Lienesch, «en el centro del pensamiento conservador
cristiano, dando forma a su sentido del ser, se encuentra el concepto de la
conversión, el acto de fe y perdón mediante el cual los pecadores son lle-
vados del pecado a un estado de salvación eterna»55
. A través de esta ex-
periencia personal de nacer de nuevo, toda la personalidad se reconstruye
y se convierte en «el lugar de comienzo para la construcción de un sentido
no sólo de autonomía e identidad, sino también de orden social y de pro-
pósito político»56
. La vinculación entre personalidad y sociedad pasa por
la reconstrucción de la familia, la institución central de la sociedad, que
antes era el refugio contra el mundo duro y hostil y ahora está desmoro-
nándose en nuestra sociedad. Esta «fortaleza de la vida cristiana» ha de
reconstruirse afirmando el patriarcado, es decir, la santidad del matrimo-
nio (excluyendo el divorcio y el adulterio) y, sobre todo, la autoridad de
los hombres sobre las mujeres (como está establecido literalmente en la
Biblia: Génesis 1; Efesios 5, 22-23) y la estricta obediencia de los hijos, si
es necesario imponiéndola mediante zurras. En efecto, los hijos nacen en
el pecado: «Es muy beneficioso para el padre cuando se da cuenta de que
es natural que su hijo tenga deseo del mal»57
. Por lo tanto, es esencial
para la familia educar a los hijos en el temor de Dios y el respeto a la au-
toridad paterna, y contar con el respaldo pleno de una educación cristiana
en la escuela. Como una consecuencia obvia de esta visión, las escuelas
públicas se convierten en el campo de batalla entre el mal y el bien, entre
la familia cristiana y las instituciones del laicismo.
Numerosas recompensas terrenales esperan al cristiano que se atreve
a defender estos principios y escoge los planes de Dios sobre su propia
planificación imperfecta de la vida. Para comenzar, una magnífica vida se-
xual en el matrimonio. Los autores de grandes ventas Tim y Beverly La
Haye proponen sus manuales sobre el sexo como «plenamente bíblicos y
muy prácticos»58
, y muestran,^;on el apoyo de ilustraciones, todos los go-
ces de la sexualidad que, una vez santificados y canalizados hacia la pro-
creación, están de estricto acuerdo con el cristianismo. En tales condicio-
54
Zeskind, 1986; Jelen, 1989, 1991; Barron y Shupe, 1992; Lienesch, 1993; Riesebrodt,
1993; Hicks, 1994.
55
Lienesch, 1993, pág. 23.
56
Lienesch, 1993, pág. 23.
57
Beverly La Haye, citado en Lienesch, 1993, pág. 78.
58
Citado en Lienesch, 1993, pág. 56.
4<> II poder ilc líi iiliiiliihul
nes, los hombres pueden volver a serlo; en vez de los «cristianillos» actua-
les, los hombres deben parecer hombres y actuar como tales, otra tradi-
ción cristiana: «Jesús no era amariconado» Sí>
. En efecto, la canalización
de la sexualidad agresiva masculina en un matrimonio satisfactorio es
esencial para la sociedad, tanto para el control de la violencia como por-
que es la fuente de la «ética laboral protestante» y, por lo tanto, de la pro-
ductividad económica. En este planteamiento, la sublimación sexual es el
cimiento de la civilización. En cuanto a las mujeres, la biología las deter-
mina a ser madres y el complemento emocional de los hombres racionales
(según Phyllis Schlafly). Su sumisión las ayudará a lograr un sentimiento
de autoestima. Las mujeres afirman su identidad independiente de los
hombres mediante el sacrificio. Así, Beverly La Haye escribe: «no tengas
miedo de dar y dar y dar»60
. El resultado será la salvación de la familia,
«esa pequeña mancomunidad, de cuyos cimientos se levantan todas las
sociedades»fil
.
Con la salvación garantizada, mientras se observe estrictamente la Bi-
blia como cristiano y se cuente con una familia patriarcal estable como
sólida base para la vida, los negocios también marcharán bien, siempre
que el gobierno no interfiera en la economía, deje a su suerte a los pobres
indignos, y ponga los impuestos dentro de unos límites razonables (en
torno a un 10% de los ingresos). En efecto, a los fundamentalistas cristia-
nos no parece preocuparles la contradición que existe entre ser teócratas
morales y libertarios económicos62
. Es más, Dios ayudará al buen cris-
tiano en su vida mercantil: después de todo, tiene que mantener a su fa-
milia. El mismo dirigente de la Coalición Cristiana, Pat Robertson, afa-
mado telepredicador, ofrece con su propio relato una prueba viviente de
ello. Tras su conversión, armado de su confianza en sí mismo como cris-
tiano, fue a comprar una empresa: «Dios me ha enviado aquí para com-
prar su canal de televisión» y ofreció una suma, basada en la «cifra de
Dios»: «El Señor habló: "No pases de dos millones y medio"»63
. Después
de todo, resultó ser un buen negocio, por el cual Pat Robertson da las
gracias a Dios semanalmente en su programa de televisión «Club 700».
No obstante, no se puede llevar una vida cristiana de forma individual
porque las instituciones de la sociedad y, sobre todo, el gobierno, los me-
dios de comunicación y los sistemas de educación pública están controla-
dos por humanistas de diversos orígenes, asociados, según las diferentes
versiones fundamentalistas, con comunistas, banqueros, herejes y judíos.
Los enemigos más insidiosos y peligrosos son las feministas y los homose-
59
Edwin L. Colé, citado en Lienesch, 1993, pág. 63.
60
Beverly La Haye, citado en Lienesch, 1993, pág. 77.
61
Lienesch, 1993, pág. 77.
62
Hicks, 1994.
6:1
Comunicado por Pat Robertson y citado en Lienesch, 1993, pág. 40.
I'aiiilsos COIIIIIIIHICN: iilcnliil;iil y s i n l i d o cu ln s<>< iiitutl iril 47
xualcs poique son quienes están socavando la familia, la principal fuente
de- estabilidad social, de vida cristiana y de realización personal. Phyllis
Schlafly se ha referido a «la enfermedad llamada liberación de las muje-
res»''1
. La lucha contra el aborto simboliza todas las luchas para preservar
la familia, la vida y el cristianismo, tendiendo un puente a las otras fes
cristianas. Éste es el motivo por el cual el movimiento pro vida (antia-
borto) es la expresión más militante e influyente del fundamentalismo
cristiano en los Estados Unidos.
La lucha debe intensificarse y han de lograrse los compromisos políti-
cos necesarios con la política institucional porque se está acabando el
tiempo. Se aproxima «el fin de los tiempos» y tenemos que arrepentimos
y limpiar nuestra sociedad para estar preparados para la Segunda Venida
de Jesucristo, que abrirá una nueva era, un nuevo milenio de paz y pros-
peridad sin precedentes. No obstante, es un paso peligroso porque ten-
dremos que sufrir la atroz Batalla de Armagedón, que se originará en el
Oriente Próximo y luego se expandirá a todo el mundo. Israel y la Nueva
Israel (Estados Unidos) acabarán prevaleciendo sobre sus enemigos, pero
a un coste terrible y sólo contando con la capacidad de nuestra sociedad
para regenerarse. Por ello, la transformación de la sociedad (mediante la
política cristiana de base) y la regeneración del yo (mediante una vida fa-
miliar pía) son tanto necesarias como complementarias.
¿Quiénes son los fundamentalistas estadounidenses contemporáneos?
Clyde Wilcox proporciona algunos datos interesantes sobre las caracterís-
ticas demográficas de los evangélicos, comparados con el conjunto de la
población, en 198865
. Teniendo en cuenta las características de los evan-
gélicos doctrinales, parecería que tienen menor educación, son más po-
bres, más influyentes entre las amas de casa, residen con mayor frecuen-
cia en el sur, son significativamente más religiosos y el cien por ciento de
ellos considera que la Biblia es infalible (comparado con el 27% de la po-
blación en general). Según otras fuentes66
, la reciente expansión del fun-
damentalismo cristiano es particularmente vigorosa en los suburbios del
nuevo sur y suroeste y de California del Sur, entre la clase media-baja y
los trabajadores de servicios, emigrados recientes a los nuevos suburbios
de las áreas metropolitanas en rápida expansión. Esto lleva a Lienesch a
plantear la hipótesis de que quizás represente «la primera generación mo-
dernizada de emigrantes tradicionales recientes que mantienen los valo-
res rurales en una sociedad urbana secular»67
. Sin embargo, parece que
los valores, creencias y posiciones políticas son más importantes que las
características demográficas, ocupacionales o residenciales, para estimu-
64
Citado por Lienesch, 1993, pág. 71.
65
Wilcox, 1992.
66
Citado por Lienesch, 1993.
67
Lienesch, 1993, pág. 10.
4K II poilcr ilc la idcntiilml
lar el fundamentalismo cristiano. Tras revisar un conjunto considerable
de datos disponibles sobre el tema, Wilcox concluye que «demuestran
que las mejores predicciones del apoyo a la Derecha Cristiana son las
identidades, las doctrinas, las conductas, las afiliaciones y las creencias
políticas religiosas»68
. El fundamentalismo no parece ser una racionaliza-
ción de intereses de clase o de posicionamiento territorial. Más bien actúa
sobre el proceso político en defensa de los valores morales cristianos69
.
Como la mayoría de los fundamentalismos en la historia, es un movi-
miento reactivo, que pretende construir una identidad social y personal
basándose en imágenes del pasado y proyectándolas en un futuro utópico
para superar los insoportables tiempos presentes.
Pero es una reacción ¿a qué? ¿Qué es insoportable? Dos parecen ser
las fuentes más inmediatas del fundamentalismo cristiano: la amenaza de
la globalización y la crisis del patriarcado.
Como escriben Misztal y Shupe, «la dinámica de la globalización ha
promovido la dinámica del fundamentalismo de modo dialéctico» 70
.
Lechner elabora más las razones de esta dialéctica:
En el proceso de globalización, las sociedades han quedado institucionalizadas
como hechos globales. Como organizaciones, operan en términos seculares; en sus
relaciones, siguen reglas seculares; apenas ninguna tradición religiosa atribuye un
significado transcendente a las sociedades mundanas en su forma presente [...]
Para los parámetros de la mayoría de las tradiciones religiosas, el societalismo ins-
titucionalizado supone la idolatría. Pero ello significa que la vida dentro de la so-
ciedad también se ha convertido en un desafío para la religión tradicional [...] Pre-
cisamente porque el orden social es un orden normativo institucionalizado, es
plausible que surja cierta búsqueda de una base «última», de alguna realidad
transcendente más allá de este mundo en relación con la cual éste pueda definirse
con mayor claridad71
.
Además, mientras que la amenaza comunista proporcionó una base
para que se estableciera la identificación entre los intereses del go-
bierno estadounidense, el cristianismo y los Estados Unidos como la
nación elegida, el derrumbamiento de la Unión Soviética y el surgi-
miento de un nuevo orden global crearon una incertidumbre amenaza-
dora sobre el control del destino de los Estados Unidos. Un tema re-
currente del fundamentalismo cristiano estadounidense durante la
década de los noventa es la oposición al control del país por un «go-
bierno mundial» que suplante al gobierno federal (al que considera
cómplice de esta tendencia), promulgado por la ONU, el Fondo Mone-
68
Wilcox, 1992, pág. 223.
69
Jelen, 1991.
70
Misztal y Shupe, 1992a, pág. 8.
71
Lechner, 1991, págs. 276 y 277.
I'/IIIIIHOS IDIIIIIIIJIICN: itlt-nlidml y sentido en la Nocicdml ii'd •)<>
liirio lnlcrn;icion;il y la Organización Mundial de Comercio, entre
olios organismos internacionales. En algunos escritos escatológicos,
csle nuevo «gobierno mundial» se asimila con el Anticristo, y sus sím-
bolos, incluido el microchip, son la Marca de la Bestia que anuncia el
••lili de los tiempos». La construcción de la identidad fundamentalista
cristiana parece ser un intento de reafirmar el control sobre la vida y
sobre el país, en respuesta directa a los procesos incontrolables de la
globalización que cada vez se sienten más en la economía y los medios
de comunicación.
No obstante, probablemente la fuente más importante del fundamen-
talismo cristiano en las décadas de los ochenta y los noventa sea la reac-
ción contra el cuestionamiento del patriarcado, derivado de las revueltas
de los años sesenta y expresado en los movimientos de mujeres, de les-
bianas y de gays72
. Además, la batalla no es sólo ideológica. La familia
patriarcal estadounidense está sin duda en crisis, según todos los indica-
dores de divorcio, separación, violencia en la familia, hijos nacidos fuera
del matrimonio, matrimonios aplazados, disminución de la maternidad,
estilos de vida de soltería, parejas gays y lesbianas, y un rechazo exten-
dido a la autoridad patriarcal (véase el capítulo 4). Existe una reacción
obvia por parte de los hombres para defender sus privilegios, a los que
conviene más la legitimidad divina, una vez que su papel menguante
como los únicos ganadores del pan debilitara las bases materiales e ideo-
lógicas del patriarcado. Pero hay algo más, compartido por hombres, mu-
jeres y niños. Un miedo profundamente asentado a lo desconocido, que
se vuelve más amedrentador cuando tiene que ver con la base cotidiana
de la vida personal. Incapaces de vivir bajo el patriarcado secular, pero
aterrorizados por la soledad y la incertidumbre en una sociedad indivi-
dualista y ferozmente competitiva, donde la familia, como mito y reali-
dad, representaba el único paraíso seguro, muchos hombres, mujeres y
niños rezan a Dios para que los vuelva al estado de inocencia en el que
puedan contentarse con el patriarcado benevolente bajo las reglas divi-
nas. Y al rezar juntos se hacen capaces de vivir juntos otra vez. Por ello,
el fundamentalismo estadounidense está profundamente marcado por las
características de su cultura, por su individualismo familiarista, por su
pragmatismo y por la relación personalizada con Dios y con el designio
de Dios, como una metodología para resolver los problemas personales
en una vida cada vez mas imprevisible e incontrolable. Como si el devoto
fundamentalista fuera a recibir por la gracia de Dios la restauración del
desaparecido modo de vida estadounidense, a cambio del compromiso
por parte del pecador de arrepentirse y dar testimonio cristiano.
Lamberts-Bendroth, 1993.
!S() II poder ele l.i identidad
NACIONES Y NACIONALISMOS EN LA ERA DE LA GLOBALIZACIÓN:
¿COMUNIDADES IMAGINADAS O IMÁGENES COMUNALES?
Sólo cuando todos —todos— hayamos recuperado la memoria, podremos unos y
otros dejar de ser nacionalistas.
Rubert de Ventos, Nacionalismosn
La era de la globalización es también la del resurgimiento naciona-
lista, expresado tanto en el desafío a los estados-nación establecidos,
como en la extensa (re)construcción de la identidad atendiendo a la na-
cionalidad, siempre afirmada contra lo ajeno. Esta tendencia histórica ha
sorprendido a algunos observadores, después de que se hubiera declarado
la defunción del nacionalismo de una muerte triple: la globalización de la
economía y la internacionalización de las instituciones políticas; el univer-
salismo de una cultura en buena parte compartida, difundida por los me-
dios de comunicación electrónicos, la educación, la alfabetización, la ur-
banización y la modernización; y el asalto teórico al concepto mismo de
naciones, declaradas «comunidades imaginadas»74
en las versiones tibias
de la teoría antinacionalista o incluso «invenciones históricas arbitrarias»
en la enérgica formulación de Gellner75
, que surgen de un movimiento
nacionalista dominado por la élite en su camino para construir el estado-
nación moderno. En efecto, para Gellner, «los nacionalismos son simple-
mente aquellos tribalismos o, a este respecto, cualquier otro tipo de
grupo, que mediante suerte, esfuerzo o circunstancia, logran convertirse
en una fuerza efectiva en las circunstancias modernas»76
. Lograrlo signi-
fica, tanto para Gellner como para Hobsbawm77
, la construcción de un
estado-nación moderno y soberano. Por lo tanto, en este planteamiento,
los movimientos nacionalistas, como racionalizadores de los intereses de
una cierta élite, inventan una identidad nacionalista que, si tiene éxito, es
conservada por el estado-nación y luego difundida mediante la propa-
ganda entre sus subditos, hasta el punto de que los «nacionales» estarán
dispuestos a morir por sus naciones. Hobsbawm acepta las pruebas histó-
ricas del nacionalismo que surgió de abajo arriba (al compartir atributos
lingüísticos, territoriales, étnicos, religiosos y políticos históricos), pero lo
denomina «protonacionalismo», puesto que sólo cuando se constituye el
estado-nación, adquieren existencia las naciones y el nacionalismo, ya sea
como expresión de este estado-nación o como un desafío a él en nombre
de un futuro estado. Ahora bien, la explosión de los nacionalismos en
este fin de milenio, en estrecha relación con el debilitamiento de los esta-
73
Rubert de Ventos, 1994, pág. 241.
14
Anderson, 1983.
75
Gellner, 1983, pág. 56.
76
Gellner, 1983, pág. 87.
77
Hobsbawm, 1992.
I'JII uísos comunales: identidad y sentido en la sociedad icd .SI
dos-nación existentes, no encaja bien en este modelo teórico que asimila
naciones y nacionalismos al surgimiento y la consolidación del estado-na-
ción moderno tras la Revolución francesa, que funcionó en gran parte del
mundo como modelo para su fundación. No importa. Para Hobsbawn,
esle resurgimiento aparente es, en realidad, el producto histórico de los
problemas nacionales no resueltos, creados en la reestructuración territo-
rial de Europa entre 1918 y 192178
. Sin embargo, como escribe David Ho-
oson en su prólogo a la investigación global que editó sobre Geography
and National Identity:
1.a última mitad del siglo xx pasará a la historia como una nueva era de multipli-
cación de nacionalismos desenfrenados de una naturaleza más duradera que las
Icrribles tiranías ya desaparecidas que también han caracterizado nuestro siglo
|...| El impulso de expresar la identidad propia y de hacerla reconocer tangible-
mente por los otros cada vez es más contagioso y ha de reconocerse como una
fuerza elemental hasta en el mundo encogido de alta tecnología, aparentemente
liomogeneizante, de finales del siglo xx79
.
Y, como Eley y Suny escriben en el prólogo a su importante antología,
Becoming National:
¿El acento en la subjetividad y la conciencia elimina toda base «objetiva» para la
existencia de la nacionalidad? Sin duda, un planteamiento tan radicalmente subje-
tivista sería absurdo. Los nacionalismos con mayor éxito presuponen cierta comu-
nidad de territorio, lengua o cultura anterior, que proporciona la materia prima
para el proyecto intelectual de la nacionalidad. No obstante, no debemos «natura-
lizar» esas comunidades anteriores como si siempre hubieran existido de algún
modo esencial o simplemente hubieran prefigurado una historia aún por llegar
[...] La cultura es, con mayor frecuencia, no lo que la gente comparte, sino aquello
por lo que elige combatir80
.
En mi opinión, la incongruencia entre cierta teoría social y la práctica
contemporánea proviene del hecho de que el nacionalismo, y las nacio-
nes, tienen vida propia, independiente de la condición de estado, si bien
incorporada en construcciones culturales y proyectos políticos. Pese a lo
atractiva que pueda resultar la influyente noción de «comunidades imagi-
nadas» es obvia o inadecuada desde el punto de vista empírico. Obvia
para un científico social si quiere decir que todo sentimiento de pertenen-
cia, todo culto a los iconos, se construye desde la cultura. Las naciones no
serían una excepción a esto. La oposición entre comunidades «reales» e
«imaginadas» es de escaso uso analítico más allá del laudable esfuerzo de
desmitificar las ideologías del nacionalismo esencialista a la Michelet.
Hobsbawm, 1992, págs. 173-202.
Hooson, 1994b, págs. 2 y 3.
Eley y Suny, 1996, pág. 9.
II poder de la identidad
Tero si el significado de la afirmación es, como resulta explícito en la teo-
ría de Gellner, que las naciones son puros artefactos ideológicos, cons-
truidos mediante la manipulación arbitraria de mitos históricos por parte
de los intelectuales para el interés de las élites social y económica, enton-
ces los datos históricos parecen desmentir un deconstruccionismo tan ex-
cesivo81
. Sin duda, la etnicidad, la religión, la lengua, el territorio, per se,
no son suficientes para construir naciones e inducir el nacionalismo. Sí lo
es la experiencia compartida: tanto los Estados Unidos como Japón son
países con una fuerte identidad nacional y la mayoría de sus ciudadanos
nacionales experimentan y expresan fuertes sentimientos patrióticos. No
obstante, Japón es una de las naciones más homogéneas desde el punto
de vista étnico de la tierra, mientras que los Estados Unidos es una de las
más heterogéneas. Pero en ambos casos, existe una historia y un proyecto
compartidos y sus narrativas históricas se construyeron sobre una expe-
riencia social, étnica, territorial y de género diversificada, pero común a la
gente de cada país por muchas razones. Otras naciones y nacionalismos
no alcanzaron la condición de estados-nación modernos (por ejemplo, Es-
cocia, Cataluña, Quebec, Kurdistán, Palestina) y sin embargo muestran, y
algunos lo han hecho durante varios siglos, una fuerte identidad
cultural/territorial que se expresa como un carácter nacional.
Así pues, cuando se investiga el nacionalismo contemporáneo, deben
destacarse cuatro puntos analíticos principales con referencia a las teorías
sociales del nacionalismo. Primero, el nacionalismo contemporáneo
puede, o no, orientarse hacia la construcción de un estado-nación sobe-
rano y, por lo tanto, las naciones son, desde el punto de vista histórico y
analítico, entidades independientes del estado82
. Segundo, las naciones y
los estados-naciones no están históricamente limitados al estado-nación
moderno constituido en Europa en los doscientos años posteriores a la
Revolución francesa. La experiencia política actual parece rechazar la
idea de que el nacionalismo se vincule exclusivamente al periodo de for-
mación del estado-nación moderno, con su climax en el siglo xix, repe-
tido en el proceso de descolonización de mediados del siglo xx por la im-
portación del estado-nación occidental al Tercer Mundo83
. Afirmar tal
cosa, como se ha puesto de moda, es simple eurocentrismo, como sostiene
Chatterjee84
. Panarin afirma:
El malentendido del siglo fue la confusión de, la autodeterminación de los pueblos
con la autodeterminación de la nación. La transferencia mecánica de ciertos prin-
81
Moser, 1985; Smith, 1986; Johnston et al, 1988; Touraine, 1988; Pérez-Argote, 1989;
Chatterjee, 1993; Blas Guerrero, 1994; Hooson, 1994b; Rubert de Ventos, 1994; Eley y
Suny, 1996.
82
Keating, 1995.
"' Badie, 1992.
84
Chatterjee, 1993.
I',ii,usos ilumínales: identidad y sentido m l.i so, i. <l.nl i. <l 5.1
opios ilc Europa Occidental al suelo de culturas no europeas con frecuencia ge-
neró monstruos. Uno de esos monstruos lúe el concepto de soberanía nacional
trasplantado a suelo no europeo [...] El sincretismo del concepto de nación en el
léxico político de Europa impide a los europeos hacer diferenciaciones extrema-
damente importantes referentes a la «soberanía del pueblo», la «soberanía nacio-
nal» y los «derechos de una etnia»85
.
En efecto, el análisis de Panarin queda justificado por el desarrollo de
los movimientos nacionalistas en muchas zonas del mundo, que siguen
una amplia variedad de orientaciones culturales y proyectos políticos ha-
cia el fin del siglo xx.
Tercero, el nacionalismo no es necesariamente un fenómeno de élite
y, de hecho, el actual suele ser una reacción contra las élites globales.
Sin duda, como en el caso de todos los movimientos sociales, los diri-
gentes tienden a tener más educación y conocimientos (especialmente
tic informática en nuestro tiempo) que las masas populares que se mo-
vilizan en torno a los objetivos nacionalistas, pero ello no reduce el
atractivo y significado del nacionalismo a la manipulación de las masas
por parte de las élites en su interés propio. Como escribe Smith con ob-
vio pesar:
Mediante una comunidad de historia y destino, pueden mantenerse vivos los re-
cuerdos y las acciones conservan su gloria. Porque sólo en la cadena de las gene-
raciones de aquellos que comparten un lazo histórico y cuasi familiar pueden los
individuos esperar lograr un sentimiento de inmortalidad en épocas de horizontes
puramente terrenales. En este sentido, la formación de las naciones y el surgi-
miento de los nacionalismos étnicos parece más probable que responda a la insti-
tucionalización de la «religión sustituida» que a una ideología política y, por lo
tanto, será mucho más durable y potente de lo que nos interesa admitir86
.
Cuarto, debido a que el nacionalismo contemporáneo es más reactivo
que proactivo, tiende a ser más cultural que político y, por ello, se orienta
más hacia la defensa de una cultura ya institucionalizada que hacia la
construcción o defensa de un estado. Cuando se crean, o recrean, nuevas
instituciones políticas, son trincheras defensivas de la identidad, más que
plataformas de lanzamiento de la soberanía política. Por ello, pienso que
un punto teórico de partida muy apropiado para comprender el naciona-
lismo contemporáneo es el análisis realizado por Kosaku Yoshino del na-
cionalismo cultural en Japón:
El nacionalismo cultural pretende regenerar la comunidad nacional mediante la
creación, conservación o fortalecimiento de una identidad cultural del pueblo
85
Panarin, 1994/1996, pág. 37.
86
Smith, 1989/1996, pág. 125.
I El poder de la identidad
cuando se siente que falta o está amenazada. El nacionalismo cultural considera a
la nación un producto de su historia y cultura únicas, y como una solidaridad co-
lectiva dotada de atributos únicos. En pocas palabras, al nacionalismo cultural le
preocupa el carácter distintivo de la comunidad cultural como la esencia de la na-
ción87
.
Así pues, el nacionalismo se construye por la acción y reacción social,
tanto por parte de las élites como de las masas, como sostiene Hobsbawn,
contradiciendo la importancia otorgada por Gellner a la «cultura ele-
vada» como el origen exclusivo del nacionalismo. Pero, contra la opinión
de Hobsbawn o Anderson, el nacionalismo, como fuente de identidad, no
puede reducirse a un periodo histórico particular y a las operaciones del
estado-nación moderno. Reducir las naciones y nacionalismos al proceso
de construcción del estado-nación hace imposible explicar el ascenso si-
multáneo del nacionalismo y el declive del estado moderno.
Rubert de Ventos, en una versión depurada y puesta al día de la pers-
pectiva clásica de Deutsch88
, ha sugerido una teoría más compleja que
contempla el surgimiento de la identidad nacional mediante la interacción
histórica de cuatro series de factores: factores primarios, como la etnici-
dad, el territorio, la lengua, la religión, y cosas semejantes; factores gene-
rativos, como el desarrollo de las comunicaciones y la tecnología, la for-
mación de las ciudades, el surgimiento de ejércitos modernos y
monarquías centralizadas; factores inducidos, como la codificación del
lenguaje en gramáticas oficiales, la expansión de las burocracias y el esta-
blecimiento de un sistema de educación nacional; y factores reactivos, es
decir, la defensa de las identidades oprimidas y los intereses sometidos
por un grupo social dominante o un aparato institucional, desencade-
nando la búsqueda de identidades alternativas en la memoria colectiva
del pueblo89
. Qué factores desempeñan los diversos papeles en la forma-
ción de cada nacionalismo y de cada nación depende de los contextos his-
tóricos, de los materiales que tiene a su disposición la memoria colectiva y
de la interacción de las estrategias de poder en conflicto. Así pues, el na-
cionalismo se construye cultural y políticamente, pero lo que importa
realmente, tanto desde la perspectiva teórica como desde la práctica, es,
lo mismo que en todas las identidades, cómo, a partir de qué, por quién y
para qué se construye.
En este fin de siécle, la explosión de los nacionalismos, algunos de
ellos deconstruyendo estados multinacionales, otros construyendo entida-
des plurinacionales, no está asociada con la formación de los estados mo-
dernos clásicos y soberanos. Más bien el nacionalismo parece ser una im-
Yoshino, 1992, pág. 1.
Deutsch, 1953; Rubert de Ventos, 1994.
Rubert de Ventos, 1994, págs. 139-200.
I'.II ;I(NON comunales identidad y sentido en In sociedad led 55
portante l'ucr/a que subyace en la constitución de cuasi-estados; es decir,
entidades políticas que comparten la soberanía, ya sea en el federalismo
avanzado (como en la (re)constitución canadiense en proceso, o en la
«nación de nacionalidades» proclamada en la Constitución española de
ll
)7X, y ampliamente extendida en su práctica en la década de los no-
venta); o el multilateralismo internacional (como en la Unión Europea o
en la renegociación de la Comunidad de Estados Independientes de las
repúblicas ex soviéticas). Los estados-nación centralizados, que se resis-
ten a esta tendencia de movimientos nacionalistas en búsqueda de un ca-
rácter casi estatal como una nueva realidad histórica (por ejemplo, Indo-
nesia, Nigeria, Sri Lanka e incluso India), pueden caer víctimas de este
error mortal de asimilar la nación al estado, como descubrió un estado
lan fuerte como Pakistán tras la secesión de Bangladesh.
Para explorar la complejidad de la (re)construcción de la identidad
nacional en nuestro nuevo contexto histórico, me extenderé brevemente
sobre dos casos que representan los dos polos de la dialéctica que pro-
pongo como característica de este periodo: la deconstrucción de un es-
tado multinacional centralizado, la antigua Unión Soviética, y la forma-
ción siguiente de lo que considero que son cuasi-estados-nación; y el
surgimiento del cuasi-estado nacional en Cataluña a través del doble mo-
vimiento de federalismo en España y de confederalismo en la Unión Eu-
ropea. Tras ilustrar el análisis con estos dos casos específicos, ofreceré al-
gunas sugerencias sobre las nuevas vías históricas del nacionalismo como
fuente renovada de identidad colectiva.
Las naciones contra el estado: la desintegración de la Unión Soviética y la
Comunidad de Estados Imposibles (Sojuz Nevozmoznij Gosudarstv)
El pueblo ruso de las ciudades y las aldeas, bestia medio salvaje, estúpido, casi ate-
rrador, morirá para hacer sitio a una nueva raza humana.
Maxim Gorki, «Sobre el campesinado ruso»90
La revuelta de las naciones constituyentes contra el estado soviético
fue un factor importante, si bien no el único, en el sorprendente derrum-
bamiento de la Unión Soviética, como sostienen Helene Carrere d'En-
causse y Ronald Grigor Suny91
, entre otros estudiosos. Voy a analizar (en
el volumen III) el complejo entrelazamiento de elementos económicos,
tecnológicos, políticos y de identidad nacional que, juntos, explican uno
de los acontecimientos más extraordinarios de la historia, ya que la Revo-
* 1992, en SSR vnutrennie protivorechiia, Tchalidze Publications, 1987, pág. 128, según
cita de Carrere d'Encausse, 1993, pág. 173.
91
Carrere d'Encausse, 1993; Suny, 1993.
% El poder de la identidad
lución rusa ha abierto y cerrado el espacio político del siglo xx. No obs-
tante, al exponer la formación de la identidad nacional y sus nuevos con-
tornos en la década de los noventa, es esencial referirse a la experiencia
soviética y sus secuelas, porque es un terreno privilegiado para observar
la interacción de las naciones y el estado, dos entidades que, en mi opi-
nión, son distintas histórica y analíticamente. En efecto, la revuelta nacio-
nalista contra la Unión Soviética fue particularmente significativa porque
era uno de los pocos estados modernos construido de forma explícita
como un estado plurinacional, con nacionalidades afirmadas tanto para
los individuos (cada ciudadano soviético tenía adjudicada la nacionalidad
escrita en su pasaporte) como en la administración territorial de la Unión
Soviética. El estado soviético estaba organizado en un complejo sistema
de 15 repúblicas federales, a las que se sumaban repúblicas autónomas
dentro de las repúblicas federales, territorios (/era/) y distritos autóctonos
autónomos (okrag), comprendiendo además cada república varias provin-
cias (oblasti). Cada república federal, así como las repúblicas autónomas
dentro de ellas, se basaba en un principio de nacionalidad territorial. Esta
construcción institucional no era una simple ficción. Ciertamente, se re-
primieron con rudeza las expresiones de los nacionalistas autónomos que
contradecían la voluntad del Partido Comunista Soviético, sobre todo du-
rante el periodo estalinista, y millones de ucranianos, estonios, letones, li-
tuanos, alemanes del Volga, tártaros de Crimea, chechenos, meshchers,
inguches, balearios, karachái y kalmikos fueron deportados a Siberia y
Asia Central para impedir su colaboración con los invasores alemanes o
con otros enemigos potenciales, o simplemente para despejar la tierra
para proyectos estratégicos del estado. Pero también lo fueron millones
de rusos por diversas razones, con frecuencia designados al azar. No obs-
tante, la realidad de los gobiernos basados en la nacionalidad fue más allá
de los nombramientos simbólicos de las élites nacionales para los puestos
dirigentes en el gobierno de las repúblicas92
. Las políticas indigenistas
(korenizatsiya) fueron apoyadas por Lenin y Stalin hasta la década de
1930 y renovadas en la de 1960. Fomentaron las lenguas y costumbres au-
tóctonas, aplicaron programas de «acción positiva», favorecieron el reclu-
tamiento y la promoción de nacionalidades no rusas dentro del estado y
de los aparatos del partido de las repúblicas, así como en las instituciones
educativas, y fomentaron el desarrollo de élites culturales nacionales, na-
turalmente con la condición de subordinarse al poder soviético. Como
Suny escribe:
Hasta qué punto los largos y difíciles años de gobierno del Partido Comunista
continuaron realmente la «creación de naciones» del periodo prerrevolucionario
es algo que está perdido en la vigorosa retórica nacionalista [...] Ello aumentó la
92
Slezkine, 1994.
I'iirulüos comunales: identidad y sentido en la aucicdud red 57
Mtliüaridad ótnica y la conciencia nacional en las repúblicas no rusas, aun cuando
frustró la plena articulación de una planificación nacional al requerir la conformi-
dad a un orden político impuesto93
.
Las razones de esta aparente apertura a la autodeterminación nacio-
nal (encarnada en la Constitución soviética en el derecho de las repúbli-
cas a separarse de la Unión) subyacen en la historia y la estrategia del es-
lado soviético94
. El federalismo plurinacional soviético fue el resultado de
un compromiso que siguió a los intensos debates políticos e ideológicos
mantenidos durante el periodo revolucionario. Originalmente, la posición
bolchevique, en línea con el pensamiento marxista clásico, negó la impor-
tancia de la nacionalidad como criterio significativo para construir el
nuevo estado: el internacionalismo proletario se ideó para sustituir las di-
ferencias «artificiales» o «secundarias» entre las clases obreras, manipula-
das en sus sangrientas confrontaciones interétnicas por los intereses impe-
rialistas, como mostró la Primera Guerra Mundial. Pero en enero de
I(
> IK, la urgencia de encontrar alianzas militares en la guerra civil y en la
resistencia contra la invasión extranjera, convenció a Lenin de la necesi-
dad de lograr el apoyo de las fuerzas nacionalistas de fuera de Rusia, so-
bre todo de Ucrania, tras observar la vitalidad de la conciencia nacional,
l'l Tercer Congreso Panruso de los Soviets adoptó la «Declaración de los
Derechos de los Pueblos Obreros y Explotados», transformando las rui-
nas del imperio ruso en la «unión fraternal de Repúblicas Soviéticas de
Rusia que se reunían libremente de forma interna». A esta «federaliza-
ción interna» de Rusia los bolcheviques añadieron, en abril, la petición de
una «federalización externa» de otras naciones, nombrando explícita-
mente a los pueblos de Polonia, Ucrania, Crimea, Transcaucasia, Tur-
i|iicstán, Kirguizistán «y otros»95
. El debate crítico versó sobre el princi-
pio bajo el cual se reconocería la identidad nacional en el nuevo estado
federal. Los partidarios de la confederación y otras tendencias socialistas
querían que las culturas nacionales se reconocieran en toda la estructura
del estado, sin distinguirlas territorialmente, ya que el fin de la revolución
era, precisamente, transcender las ancestrales ataduras de la etnicidad y
el territorio en nombre del nuevo socialismo universalista basado en la
clase. A este planteamiento, Lenin y Stalin opusieron el principio de la te-
rritorialidad como la base del carácter de nación. El resultado fue la es-
I ructura nacional de múltiples capas del estado soviético: la identidad na-
cional se reconoció en las instituciones de gobierno. Sin embargo, en
aplicación del principio del centralismo democrático, esta diversidad de
subditos territoriales estaría bajo el control de los aparatos dominantes
Suny, 1993, págs. 101,130.
Pipes, 1954; Conquest, 1967; Carrere d'Encausse, 1987; Suny, 1993; Slezkine, 1994.
Singh, 1982,pág.61.
™ El poder de l;i identidad
del Partido Comunista Soviético y del estado soviético. De este modo, la
Unión Soviética se construyó en torno a una identidad doble: por una
parte, las identidades étnicas/nacionales (incluida la rusa); por la otra, la
identidad soviética como el cimiento de la nueva sociedad: sovetskü narod
(el pueblo soviético) sería la nueva identidad cultural que habría de lo-
grarse en el horizonte histórico de la construcción comunista.
También hubo razones estratégicas en esta conversión de los interna-
cionalistas proletarios en nacionalistas territoriales. A. M. Salmin ha pro-
puesto un interesante modelo para interpretar la estrategia leninista-stali-
nista que subyace en el federalismo soviético96
. La Unión Soviética era un
sistema institucional centralizado, pero flexible, cuya estructura debía
permanecer abierta y adaptable a recibir a nuevos países como miembros
de la Unión, a medida que la causa del comunismo avanzara por todo el
mundo. Se diseñaron cinco círculos concéntricos que al mismo tiempo
constituirían zonas de seguridad y olas de expansión del estado soviético
como vanguardia de la revolución. La primera fue Rusia y sus repúblicas
satélites, organizada en la RSFSR. Paradójicamente, Rusia, y la Federa-
ción Rusa, fue la única república sin un partido comunista autónomo, sin
presidente del Soviet Supremo republicano y con el menor desarrollo de
las instituciones republicanas: fue el dominio exclusivo del Partido Comu-
nista Soviético. Para hacer más seguro este bastión, Rusia no tenía fronte-
ras terrestres con el mundo capitalista potencialmente agresor. Así pues,
en torno a ella se organizaron repúblicas soviéticas en los límites distantes
de la Unión Soviética, de modo que a la larga protegieran, a la vez, el po-
der soviético y su independencia nacional. Este es el motivo por el que al-
gunas zonas con base étnica, como Azerbaiyán, se convirtieron en repú-
blicas soviéticas, pues eran frontera con el mundo exterior, mientras que
otras, con una composición étnica igualmente característica, como Che-
chenia, se mantuvieron en la Federación Rusa, ya que geográficamente
estaban más cerca del núcleo. El tercer anillo de la geopolítica soviética lo
constituyeron las democracias del pueblo bajo el poder militar soviético:
éste fue en principio el caso de Jorezm, Bujara, Mongolia y Tanu-Tura, y
se convirtió en el precedente para la incorporación de Europa Oriental
después de la Segunda Guerra Mundial. El cuarto círculo lo formarían los
países socialistas distantes, como, años más tarde, Cuba, Corea del Norte
o Vietnam. China nunca se consideró parte de esta categoría debido a la
profunda desconfianza de la futura potencia. Por último, los gobiernos
progresistas aliados y los movimientos revolucionarios de todo el mundo
constituían el quinto círculo y su potencialidad dependería de que fueran
capaces de mantener el equilibrio entre su internacionalismo (esto es, su
postura pro soviética) y su representatividad nacional. Esta tensión cons-
tante entre el universalismo de la clase obrera de la utopía comunista y
96
Salmin, 1992.
l'timfNO» comunale»: idcntidtid y sentido cu l/i S<IÍK<I,I<I I OÍI y>
los intereses geopolíticos basados en las identidades étnicas/nacionales de
los aliados potenciales fue la que determinó la esquizofrenia de la política
soviética hacia la cuestión nacional.
lil resultado de estas contradicciones a lo largo de toda la atormen-
liula historia de la Unión Soviética fue una unión incoherente de retazos
de pueblos, nacionalidades e instituciones estatales97
. Las más de cien
nacionalidades y grupos étnicos de la Unión soviética se dispersaron a lo
largo de su inmensa geografía, siguiendo estrategias geopolíticas, castigos
y recompensas colectivos, y caprichos individuales. De este modo, Na-
jjomo-Karabaj, poblada por armenios, fue incluida por Stalin en Azer-
Iwiiyán para complacer a Turquía, poniendo a sus enemigos ancestrales
bajo el control azerí (los azeríes son un pueblo turco); los alemanes del
Volga acabaron en Kazajstán, en cuyos territorios septentrionales son
ahora la fuerza económica impulsora, respaldados por subsidios germa-
nos para mantenerlos fuera de Alemania; los asentamientos cosacos pro-
lilcraron en Siberia y el Lejano Oriente; los osetos se dividieron entre
Rusia (norte) y Georgia (sur), mientras que los inguches se distribuyeron
entre Chechenia, Osetia Septentrional y Georgia; Crimea, tomada por
Kusia a los tártaros en 1783, y desde donde estos últimos fueron deporta-
dos por Stalin durante la Segunda Guerra Mundial, fue transferida por
Jruschov (que era ucraniano) a Ucrania en 1954 para conmemorar los
300 años de amistad ruso-ucraniana, según se cuenta, después de una no-
che de borrachera. Además, se enviaron rusos a todo el territorio de la
Unión Soviética, por lo general como trabajadores cualificados o pione-
ros voluntarios, a veces como gobernantes y otras como exiliados. Así
pues, cuando se desintegró ésta, el principio de la nacionalidad territorial
atrapó en las nuevas repúblicas independientes a decenas de millones de
repentinos «nacionales extranjeros». El problema parece ser particular-
mente agudo para los 25 millones de rusos que viven fuera de las nuevas
fronteras rusas.
Una de las mayores paradojas del federalismo soviético es que Rusia
lúe probablemente la nacionalidad más discriminada. La Federación
Rusa tuvo mucha menor autonomía política del estado central soviético
que cualquier otra república. Los análisis realizados por los economistas
regionales demostraron que, en términos generales, hubo una transferen-
cia neta de riqueza, recursos y formación de Rusia al resto de las repúbli-
cas (Siberia, que es la zona más rusa desde el punto de vista étnico de la
Federación Rusa, fue la fuente fundamental de las exportaciones y, por lo
tanto, de divisas para la Unión Soviética)98
. En cuanto a la identidad na-
cional, fueron la historia, la religión y la identidad tradicional rusas las
que se convirtieron en el blanco principal de la represión cultural sovié-
97
Kozlov, 1988; Suny, 1993; Slezkine, 1994.
98
Granberg y Spehl, 1989; Granberg, 1993.
<>u El poder de la identidad
tica, como documentaron en la década de 1980 escritores e intelectuales
rusos como Lijachev, Belov, Astafiev, Rasputín, Solujin o Zalygin". Des-
pués de todo, la nueva identidad soviética había de construirse sobre las
ruinas de la identidad histórica rusa, con algunas excepciones tácticas du-
rante la Segunda Guerra Mundial, cuando Stalin necesitó movilizar todo
contra los alemanes, incluida la memoria de Alexander Nevsky. Así pues,
aunque hubo en efecto una política de rusificación de la cultura por toda
la Unión Soviética (de hecho, contradictoria con la tendencia paralela de
korenizatsiya) y los rusos étnicos tomaron el control del partido, el ejér-
cito y la KGB (aunque Stalin era georgiano y Jruschov, ucraniano), la
identidad rusa como identidad nacional fue reprimida en mucho mayor
grado que el resto de las nacionalidades, alguna de las cuales revivieron
simbólicamente en virtud del federalismo plurinacional.
Esta constitución paradójica del estado soviético se expresó en la re-
vuelta contra la Unión Soviética, utilizando el respiro proporcionado
por la glasnost de Gorbachov. Las repúblicas bálticas, anexionadas a la
fuerza en 1940 desafiando el derecho internacional, fueron las primeras
en reclamar su derecho a la autodeterminación. Pero las siguió de cerca
un fuerte movimiento nacionalista ruso que, de hecho, fue la fuerza mo-
vilizadora más vigorosa contra el estado soviético. Fue la fusión de la
lucha por la democracia y la recuperación de la identidad nacional rusa
bajo el liderazgo de Yeltsin en 1989-1991 la que creó las condiciones
para la desaparición del comunismo soviético y la desintegración de la
Unión Soviética 10
°. En efecto, las primeras elecciones democráticas del
jefe del estado en la historia rusa, con el triunfo de Yeltsin el 12 de ju-
nio de 1991, marcaron el comienzo de la nueva Rusia y, con ello, el fin
de la Unión Soviética. La bandera tradicional rusa encabezó la resisten-
cia al golpe comunista en agosto de 1991. Y fue la estrategia de Yeltsin
de desmantelar el estado soviético, mediante la concentración del poder
y los recursos en las instituciones republicanas, la que condujo al
acuerdo con otras repúblicas, en primer lugar con Ucrania y Bielorrusia,
en diciembre de 1991, para poner fin a la Unión Soviética y transformar
a las ex repúblicas soviéticas en estados soberanos, confederados de
forma flexible en la Comunidad de Estados Independientes (Sojuz Ne-
zavisimyj Gosudarstv). El asalto al estado soviético no fue dirigido sólo
por los movimientos nacionalistas: se enlazó con las demandas de
los demócratas y con los intereses de las élites políticas de diversas re-
públicas, labrando un espacio propio entre las ruinas de un imperio que
se desmoronaba. Pero tomó una forma nacionalista y recibió el apoyo
popular en nombre de la nación. Lo que interesa destacar es que el
nacionalismo fue mucho menos activo en las repúblicas con etnias más
99
Carrere d'Encausse, 1993, cap. 9.
100
Castells, 1992b; Carrere d'Encausse, 1993.
l'iirafHON comunales: identidad y sentido en la sociedad red 61
dislinlivas (por ejemplo, en Asia Central) que en los estados bálticos y
Rusia "".
Los primeros años de existencia de este nuevo conglomerado de esta-
dos independientes revelaron la fragilidad de su construcción, así como el
carácter duradero de las nacionalidades con base histórica de un lado a
otro de las fronteras heredadas de la desintegración de la Unión Soviéti-
ca "' La guerra de Chechenia se convirtió en el problema más espinoso
tic Rusia. Las repúblicas bálticas practicaron la discriminación contra su
población rusa, induciendo nuevos conflictos interétnicos. Ucrania con-
templó la revuelta pacífica de la mayoría rusa en Crimea contra el go-
bierno ucraniano y continuó experimentando la tensión entre el fuerte
si-nlimiento nacionalista de Ucrania occidental y los sentimientos panes-
líivicos de la oriental. Moldavia se desgarró entre su identidad histórica
nunana y el carácter ruso de su población oriental, que trató de crear la
República de Dniéster. Georgia explotó en una sangrienta confrontación
nitre sus múltiples nacionalidades (georgianos, abjazos, armenios, osetos,
mljaros, meshchers, rusos). Azerbaiyán continuó luchando intermitente-
mente contra los armenios en Bakú y Nagorno-Karabaj. Y las repúblicas
musulmanas de Asia Central se vieron desgarradas entre sus lazos históri-
cos con Rusia y la perspectiva de unirse al torbellino fundamentalista islá-
mico que se extendía desde Irán y Afganistán. Como resultado, Tayikis-
Inn sufrió una guerra civil a gran escala y otras repúblicas islamizaron sus
instituciones y educación para integrar el islamismo radical antes de que
fuera demasiado tarde. Así pues, los datos históricos parecen mostrar que
f I reconocimiento artificial e indiferente de la cuestión nacional por parte
del marxismo-leninismo no sólo no resolvió los conflictos históricos, sino
que en realidad los hizo más virulentos103
. Varios temas clave de impor-
tancia teórica que se reflejan en este extraordinario episodio y sus secue-
las en la década de los noventa merecen un comentario.
Kn primer lugar, uno de los estados más poderosos en la historia de la
humanidad no fue capaz, tras setenta y cuatro años, de crear una nueva
identidad nacional. Sovestskii narod no era un mito, a pesar de lo que
titee Carrere d'Encausse104
. Tuvo cierta realidad en las mentes y vidas de
las generaciones nacidas en la Unión Soviética, en la realidad de la gente
t|tie formó familias con miembros de otras nacionalidades y que vivió y
trabajó a lo largo de todo el territorio soviético. La resistencia al inexora-
ble poderío nazi reunió a los pueblos en torno a la bandera soviética. Una
ve/, que remitió el terror estalinista, a finales de los años cincuenta, y
cuando las condiciones materiales mejoraron, en los años sesenta, se de-
"" Carrere d'Encausse, 1993; Starovoytova, 1994.
"" Hooson, 1994b; Lyday, 1994; Stebelsky, 1994; Jazanov, 1995.
"" Twinning, 1993; Panarin, 1994; Jazanov, 1995
1,14
Carrere d'Encausse, 1993, pág. 234.
<>.' El poder de la identidad
sarrolló un cierto orgullo por formar parte de una nación superpoderosa.
Y, pese al cinismo y repliegue generalizados, la ideología de la igualdad y
la solidaridad humana echó raíces en la ciudadanía soviética, de modo
que, en general, comenzó a surgir una nueva identidad soviética. Sin em-
bargo, era tan frágil y dependía tanto de la falta de información sobre la
situación real del país y del mundo, que no resistió los golpes del estanca-
miento económico y del conocimiento de la verdad. En la década de los
ochenta, los rusos que se atrevían a proclamarse «ciudadanos soviéticos»
eran ridiculizados como sovoks por sus compatriotas. Aunque sovetskü
narod no era un proyecto de identidad abocado necesariamente al fra-
caso, se desintegró antes de que pudiera asentarse en las mentes y las vi-
das de la gente de la Unión Soviética. De este modo, la experiencia sovié-
tica desdice la teoría según la cual el estado puede construir la identidad
nacional por sí mismo. El estado más poderoso, utilizando el aparato
ideológico más ubicuo de la historia durante más de siete décadas, fracasó
en su intento de recombinar los materiales históricos y los mitos proyecta-
dos para crear una nueva identidad. Pueden imaginarse comunidades,
pero no necesariamente creerse.
En segundo lugar, el reconocimiento formal de las identidades nacio-
nales en la administración territorial del estado soviético, así como las po-
líticas de «indigenización», no lograron integrar estas nacionalidades en el
sistema soviético, con una excepción significativa: las repúblicas musul-
manas de Asia Central, precisamente aquellas que se distinguían más de
la cultura eslava dominante. Estas repúblicas dependían tanto del poder
central para su supervivencia cotidiana que sólo en los últimos momentos
de la desintegración de la Unión Soviética sus élites se atrevieron a enca-
bezar el movimiento de independencia. En el resto de la Unión Soviética,
las identidades nacionales no pudieron encontrarse expresadas en las ins-
tituciones artificialmente construidas del federalismo soviético. Viene al
caso lo ocurrido con Georgia, un rompecabezas multiétnico que se cons-
truyó basándose en un reino histórico. Los georgianos representan en
torno al 70% de los cinco millones y medio de población. En general, per-
tenecían a la Iglesia Ortodoxa de Georgia. Pero tenían que coexistir con
los osetos, en su mayoría ortodoxos rusos, cuya población se divide entre
la República Autónoma de Osetia Septentrional (en Rusia) y el Oblast
Autónomo de Osetia Meridional (en Georgia). En el extremo norocci-
dental de Georgia, estaban los abjazos, un pueblo turco musulmán suní,
que alcanza sólo en torno a las 80.000 personas, pero que constituían el
17% de la República Socialista Autónoma de Abjasia, creada dentro de
Georgia como un contrapunto al nacionalismo georgiano. Y se logró: en
la década de los noventa, los abjazos, con el apoyo de Rusia, lucharon
para conseguir la cuasi independencia de su territorio, pese a ser una mi-
noría de la población. La segunda república autónoma de Georgia, Adja-
ria, también es musulmana suní, pero georgianos desde el punto de vista
I'.u .usos i'oiiiiui.ili s. KICIIIÍIIIKI y MIIUCIO c u lia sin irilnil tiil (>.l
cínico, con lo que apoyan a Georgia mientras buscan su autonomía. Los
manches musulmanes están en conflicto con los osetos en las zonas fron-
terizas entre Georgia, Osetia y Chechenia-Inguchetia. Además, los turcos
meshchers, deportados por Stalin, están volviendo a Georgia, y Turquía
ha expresado su disposición para protegerlos, provocando la desconfianza
de la población armenia de Georgia. El resultado neto de esta historia de
enmarañamiento territorial fue que, en 1990-1991, cuando Gamsajurdia
encabe/ó un movimiento nacionalista radical georgiano y proclamó la in-
dependencia sin considerar los intereses de las minorías nacionales y sin
respetar las libertades civiles, desencadenó una guerra civil (en la que
murió), tanto entre sus fuerzas y los demócratas georgianos, como entre
las fuerzas georgianas, abjazas y osetas. La intervención de Rusia y el pa-
pel pacificador de Shevardnadze, elegido presidente en 1991 como último
recurso para salvar al país, llevó a la región una paz inestable, sólo para
contemplar cómo la vecina Chechenia explotaba en una atroz y debilita-
dora guerra de guerrillas. Así pues, el fracaso en la integración de las
identidades nacionales en la Unión Soviética no provino de su reconoci-
miento, sino del hecho de que su institucionalización artificial, al seguir
una lógica burocrática y geopolítica, no prestó atención a la identidad his-
tórica y cultural/religiosa real de cada comunidad nacional y su especifici-
dad geográfica. Ello autoriza a Suny a hablar de «la venganza del pasa-
do» "l5
o a David Hooson a escribir:
I M cuestión de la identidad es claramente la más insistente que ha salido a la su-
perficie tras la larga congelación [de la antigua Unión Soviética], Pero no basta
con tratarlo como un asunto puramente étnico o cultural. Implica una rebúsqueda
de las regiones reales de las culturas, economías y entornos que significan algo (o,
en algunos casos, todo) para los pueblos que las habitan. El proceso de cristaliza-
ción de estas regiones, más allá de las fronteras francas e imperfectas de las «repú-
blicas» actuales, promete ser largo y doloroso, pero inevitable y en última instan-
cia acertado106
.
En tercer lugar, el vacío ideológico creado por el fracaso del mar-
xismo-leninismo para adoctrinar realmente a las masas fue reemplazado,
en los años ochenta, cuando el pueblo fue capaz de expresarse, por la
única fuente de identidad que se conservaba en la memoria colectiva: la
identidad nacional. Por ello, la mayoría de las movilizaciones antisoviéti-
cas, incluidos los movimientos democráticos, se llevaron a cabo bajo las
respectivas banderas nacionales. Es cierto, como se ha sostenido, y yo he
sostenido, que las élites políticas de Rusia y las repúblicas federales utili-
zaron el nacionalismo como la última arma contra la ideología comunista
en declive, para debilitar al estado soviético y tomar el poder en las insti-
105
Suny, 1993.
106
Hooson, 1994a, pág. 140.
(.•I I I |X«llT llr lil illl'lllllliul
Iliciones de cada república uyi
. Sin embargo, utilizaron esta estrategia por-
que era efectiva, porque la ideología nacionalista resonaba más en las
mentes del pueblo que los atractivos abstractos de la democracia o las vir-
tudes del mercado, con frecuencia asimilado con la especulación en la ex-
periencia personal de la gente. Por lo tanto, el resurgimiento del naciona-
lismo no puede explicarse por la manipulación política; más bien su uso
por parte de las élites es una prueba de la perdurabilidad y vitalidad de la
identidad nacional como principio movilizador. Cuando, tras setenta y
cuatro años de repetición incesante de la ideología socialista oficial, la
gente descubrió que el rey estaba desnudo, la reconstrucción de su identi-
dad sólo podía efectuarse en torno a las instituciones básicas de su memo-
ria colectiva: la familia, la comunidad, el pasado rural, a veces la religión
y, sobre todo, la nación. Pero no se quiso que la nación fuera el equiva-
lente de la condición de estado y la oficialidad, sino una autoidentifica-
ción personal en su confuso mundo actual: soy ucraniano, soy ruso, soy
armenio, se convirtió en el grito de reagrupación, el cimiento perenne a
partir del cual reconstruir la vida en colectividad. Por ello, la experiencia
soviética es un testimonio de la perdurabilidad de las naciones más allá, y
a pesar, del estado.
Quizás la mayor paradoja de todo sea que cuando, al final de este re-
corrido histórico, surjan los nuevos estados-nación para afirmar sus iden-
tidades reprimidas, no es probable que puedan funcionar realmente como
estados soberanos plenos. Ello se debe, en primer lugar, al entrelaza-
miento de un mosaico de nacionalidades e identidades históricas dentro
de las fronteras actuales de los estados independientes 108
. El tema más
obvio son los 25 millones de rusos que viven bajo una bandera diferente.
Pero la Federación Rusa (aunque poblada ahora por un 82% de rusos ét-
nicos) también está compuesta por más de 60 grupos étnicos/nacionales
diferentes, algunos de los cuales están asentados sobre una gran riqueza
de recursos naturales y minerales, como es el caso de los sajalo-yakutos o
los tártaros. En lo que respecta al resto de las repúblicas, además del ilus-
trativo caso de Georgia, los kazajos son sólo una minoría en Kazajstán;
Tayikistán tiene un 62% de tayikos y un 24% de uzbecos; los kirguises su-
ponen sólo el 52% de la población de Kirguizistán; Uzbekistán tiene un
72% de uzbekos y una amplia diversidad de nacionalidades diferentes; el
14% de los residentes de Moldavia son ucranianos y el 13%, rusos. Los
ucranianos representan sólo el 73% de la población de Ucrania. Los leto-
nes son el 52% de Letonia y los estonios, el 62% de Estonia. Así pues,
toda definición estricta de intereses nacionales en torno a la nacionalidad
dominante desde el punto de vista institucional conduciría a conflictos
graves en todo el continente eurásico, como reconoció Shevardnadze, ex-
Castells, 1992b; Hobsbawm, 1994.
Twinning, 1993; Hooson, 1994b.
I'IIIIIIMIS <oiiiuimlrs: idcnlidml y sinhdo >n In soiicilml inl
pilcando su disposición a colaborar con Rusia, tras su hostilidad inicial.
Además, la inlerpenetración de las economías y la infraestructura com-
partida, de la red eléctrica a los oleoductos y el suministro de agua, hace
extremadamente costoso el desenmarañamiento de los territorios de la
antigua Unión Soviética y otorga mayor importancia a la colaboración.
Aún más en un proceso de integración multilateral en la economía global,
(pie requiere enlaces interregionales para operar con eficacia. Natural-
mente, los temores profundamente arraigados hacia una nueva forma de
imperialismo ruso se cernirán durante mucho tiempo sobre la evolución
lutura de estos nuevos estados. Por ello, no habrá una reconstrucción de
la Unión Soviética, prescindiendo de quién gobierne en Rusia. No obs-
tante, el reconocimiento pleno de la identidad nacional no puede expre-
sarse en la independencia plena de los nuevos estados, precisamente de-
bido a la fuerza de las identidades que transcienden las fronteras estatales.
I'or este motivo, propongo como el futuro más probable y sin duda pro-
metedor la noción de una Comunidad de Estados Inseparables (Sojuz
Nerazdelimyj Gosudarstv); es decir, de una red de instituciones con la su-
ficiente flexibilidad y dinámica para articular la autonomía de la identi-
dad nacional y compartir la instrumentalidad política en el contexto de la
economía global. De lo contrario, la afirmación de un poder estatal abso-
luto sobre un mapa fragmentado de identidades históricas sería una cari-
catura del nacionalismo europeo del siglo xix: conduciría en la práctica a
una Comunidad de Estados Imposibles (Sojuz Nevozmoznyj Gosu-
darstv).
Naciones sin estado: Catalunya
El estado debe diferenciarse fundamentalmente de la nación porque el estado es
una organización política, un poder independiente en lo externo, un poder supremo
en lo interno, con fuerzas materiales de recursos humanos y dinero para mantener
su independencia y autoridad. No podemos identificar el uno con la otra, como era
habitual, incluso por parte de los mismos patriotas catalanes que hablaban o escri-
bían de la nación catalana en el sentido de un estado catalán independiente [...] Ca-
talunya continuó siendo Catalunya tras siglos de haber perdido su autogobierno.
Por lo tanto, hemos alcanzado una idea clara y precisa de la nacionalidad, el con-
cepto de una unidad social primaria y fundamental, destinada a ser en la sociedad
mundial, en la Humanidad, lo que el hombre es para la sociedad civil.
Enríe Prat de la Riba, La nacionalitat catalana m
Si el análisis de la Unión Soviética muestra la posibilidad de que los
estados, a pesar de ser poderosos, no logren producir naciones, la expe-
riencia de Cataluña nos permite reflexionar sobre las condiciones bajo las
Publicado originalmente en 1906; esta edición es de 1978, págs. 49 y 50.
(1(1 El poder de la identidad
que existen las naciones y se (re)construyen en la historia, sin un estado-
nación y sin buscar establecerlo "°. En efecto, como declara el presidente
actual y dirigente nacionalista de Cataluña durante el último cuarto del si-
glo xx, Jordi Pujol, «Cataluña es una nación sin estado. Pertenecemos al
estado español, pero no tenemos ambiciones secesionistas. Esto debe afir-
marse claramente [...] El caso de Cataluña es peculiar: tenemos nuestra
lengua y cultura propias, somos una nación sin un estado»m
. Para aclarar
esta aserción y para extendernos en sus implicaciones analíticas más am-
plias, resulta necesario un breve recordatorio histórico. Puesto que no to-
dos los lectores conocen la historia catalana, expondré, de forma sucinta,
los elementos históricos que autorizan a hablar de la continuidad de Cata-
luña como una realidad nacional distintiva, vivida materialmente y atesti-
guada, entre otros indicadores, por la persistencia de su lengua y su am-
plio uso contemporáneo en circunstancias adversas112
.
Su nacimiento oficial como nación suele fecharse en 988, cuando el
conde Borrell cortó finalmente los lazos con los restos del Imperio Caro-
lingio que, hacia el año 800, había tomado las tierras y los habitantes de
esta frontera meridional del imperio bajo su protección para contrarrestar
la amenaza de los invasores árabes a la Septimania. A finales del siglo ix,
el conde Guifré el Pelos, que había combatido con éxito la dominación
árabe, recibió del rey francas los condados de Barcelona, Urgell, Cer-
danya-Conflent y Girona. Sus herederos se convirtieron en condes por
derecho propio, sin necesidad de ser nombrados por los reyes franceses,
con lo que se aseguró la hegemonía del Casal de Barcelona sobre las tie-
rras limítrofes que se llamarían Cataluña en el siglo xn. Así pues, mien-
tras que la mayoría de la España cristiana participó en la «Reconquista»
contra los árabes durante ocho siglos, construyendo en el proceso el reino
de Castilla y León, Cataluña, tras un periodo de dominación árabe en los
siglos vin y ix, evolucionó de sus orígenes carolingios para convertirse,
entre comienzos del siglo xm y mediados del xv, en un imperio medite-
rráneo. Se extendió hasta Mallorca (1229), Valencia (1238), Sicilia (1282),
parte de Grecia, con Atenas (1303), Cerdeña (1323) y Ñapóles (1442), in-
cluyendo también territorios franceses más allá de los Pirineos, particu-
larmente el Rosellón y la Cerdaña. Aunque Cataluña poseía un interior
rural significativo, era sobre todo un imperio comercial, gobernado por la
alianza de la nobleza y la élite comerciante urbana, según líneas similares
a las de las repúblicas mercantiles del norte de Italia. Preocupados por la
110
Keating, 1995.
111
1986; citado en Pi, 1996, pág. 254.
112
Para fuentes históricas, véase el compendio de historia catalana en Vilar, 1987-1990; y
el número especial de L'Aveng: Revista d'História, 1996. Véanse también Vicens Vives y
Llorens, 1958; Vicens Vives, 1959; Vilar, 1964; Jutglar, 1966; Solé Tura, 1967; McDonogh,
1986; Rovira i Virgili, 1988; Azevedo, 1991; Nadal, Farreras y Wolff, 1992; García-Ramón y
Nogué-Font, 1994; Keating, 1995; Salrach, 1996.
I'.II.IIMIS i oiiiiiiiiilcs: klrnliilml y srnlHlo i-n In stnicilml iril <v7
potencia militar de Castilla, los prudentes catalanes aceptaron la fusión
propuesta por el pequeño pero bien situado reino de Aragón en 1137.
Hasta finales del siglo xv, tras la fusión voluntaria con la Castilla pro-
loimperial mediante el matrimonio de Fernando, rey de Aragón, Cata-
luña y Valencia, con Isabel, reina de Castilla, en aplicación del Compro-
miso de Caspe (1412), Cataluña no dejó de ser una entidad política
soberana. Se suponía que la unión de las dos naciones iba a respetar la
lengua, las costumbres y las instituciones, así como a compartir la riqueza.
No obstante, el poder y la riqueza de la corona española y su nobleza te-
rrateniente, así como la influencia de la Iglesia fundamentalista cons-
truida en torno a la Contrarreforma, encauzaron el curso histórico en una
dirección diferente, subyugando a los pueblos no castellanos, en Europa y
en la Península Ibérica, así como en América. Cataluña, como el resto de
l.uropa, fue excluida del comercio con las colonias americanas, una im-
portante fuente de riqueza para el reino español. Reaccionó desarro-
llando su propia industria de bienes de consumo y comerciando en su en-
torno regional, con lo cual desencadenó un proceso de industrialización y
acumulación de capital incipientes desde la segunda mitad del siglo xvi.
Mientras tanto, Castilla, tras aplastar, en 1520-1523, las ciudades libres
castellanas (Comunidades) donde estaban surgiendo una clase artesana y
una protoburguesía, prosiguió construyendo una economía rentista para
financiar un estado guerrero-teocrático con las ganancias de sus colonias
americanas y con los impuestos sobre sus subditos. La colisión de la cul-
tura y las instituciones se aceleró en el siglo xvn, cuando Felipe IV, nece-
sitado de ingresos fiscales adicionales, incrementó el centralismo, provo-
cando la insurrección de Portugal y Cataluña (donde tuvo lugar la
Revuelta de los Segadores) en 1640. Portugal, con el apoyo de Inglaterra,
recuperó su independencia. Cataluña fue derrotada y perdió la mayoría
de sus libertades. De nuevo, entre 1705 y 1714, luchó por su autonomía
respaldando la causa de los Austrias contra Felipe V, de la dinastía bor-
bónica, en la Guerra de Sucesión española. Un indicio del carácter cata-
lán es que su derrota y la entrada de los ejércitos de Felipe V en Barce-
lona el 11 de septiembre de 1714 ahora se celebra como el día nacional de
Cataluña. Perdió todas sus instituciones políticas de autogobierno, esta-
blecidas desde la Edad Media: el gobierno municipal basado en los conse-
jos democráticos, el parlamento, el gobierno soberano catalán (Generali-
tat). Las nuevas instituciones, establecidas por el Decreto de Nueva
Planta emitido por Felipe V, concentraron la autoridad en las manos del
mando militar, o capitán general de Cataluña. Siguió un largo periodo de
franca represión institucional y cultural por parte de los poderes centra-
les, que, como han documentado los historiadores, pretendieron delibera-
damente la eliminación gradual de la lengua catalana, que primero fue
prohibida en la administración, luego en las transacciones comerciales y,
por último, en las escuelas, reduciendo su práctica a los dominios de la fa-
(>H Kl poder ele la iiiciilnl.nl
milia y la Iglesia " Una vez más, los catalanes reaccionaron desenten-
diéndose de los asuntos estatales y volviendo al trabajo, según se dice,
justo dos días después de la ocupación de Barcelona, en una actitud con-
certada. Así, Cataluña se industrializó a finales del siglo xvm y fue, du-
rante más de un siglo, la única zona realmente industrial de España.
La fortaleza económica de la burguesía catalana y el nivel educativo y
cultural relativamente alto de la sociedad en general contrastaron durante
todo el siglo xix con su marginalidad política. Luego, cuando la política
económica de Madrid comenzó a amenazar a la industria catalana aún
frágil, que requería proteccionismo, se desarrolló un vigoroso movi-
miento nacionalista catalán desde finales del siglo xix, inspirado por ideó-
logos elocuentes como el nacionalista pragmático Enric Prat de la Riba o
los federalistas Valentí Almirall y Francesc Pi y Margall, cantado por
poetas nacionales como Joan Maragall, recogido por historiadores como
Rovira i Virgili, y respaldado, más tarde por la obra de filólogos como
Pompeu Fabra, que codificó la lengua catalana moderna en el siglo xx.
No obstante, la clase política de Madrid nunca aceptó realmente la
alianza con los nacionalistas catalanes, ni siquiera con la Luga Regiona-
lista, un partido claramente conservador, probablemente el primer par-
tido político moderno de España, creado en 1901 como reacción al con-
trol de las elecciones por parte de los caciques locales en nombre del
gobierno central. Por otra parte, la expansión de un vigoroso movimiento
de clase obrera, sobre todo anarcosindicalista, en el primer tercio del siglo
xx, empujó a los nacionalistas catalanes, dominados en general por su ala
conservadora hasta los años veinte, a contar con la protección de Madrid
contra las demandas de los trabajadores y las amenazas de revolución so-
cial "4
. Sin embargo, cuando se proclamó la república en España en 1931,
los republicanos de izquierda (Esquerra republicana de Catalunya) fue-
ron capaces de tender un puente entre la clase obrera catalana, la pe-
queña burguesía y los ideales nacionalistas, y se convirtieron en la fuerza
dominante del nacionalismo catalán. Bajo el liderazgo de Lluís Com-
panys, abogado laboralista elegido presidente de la Generalitat restau-
rada, Esquerra estableció una alianza con los republicanos, socialistas y
comunistas, y con los sindicatos obreros (anarquistas y socialistas). En
1932, bajo la presión popular reflejada en un referéndum, el gobierno es-
pañol aprobó un Estatuto de Autonomía que restablecía las libertades, el
autogobierno y la autonomía cultural/lingüística de Cataluña. Sin duda, la
satisfacción de las demandas nacionalistas de ésta y el País Vasco por
parte de la República española fue uno de los principales desencadenan-
tes de la insurrección militar que provocó la guerra civil de 1936-1939.
Tras la guerra civil, la represión sistemática de las instituciones, la lengua,
113
Ferrer i Girones, 1985.
114
Solé Tura, 1967.
I'itnifsos comunales: identidad y sentido en la sociedad red (><>
la cultura, la identidad y los dirigentes políticos catalanes (comenzando
ion la ejecución de Companys en 1940, después de haber sido entregado
;i Tranco por la Gestapo) se convirtió en el sello distintivo de la dictadura
de Franco. Incluyó la eliminación deliberada de los maestros catalanes de
las escuelas para que fuera imposible la enseñanza en catalán. En un mo-
vimiento correspondiente, el nacionalismo se convirtió en el grito de
unión para las fuerzas antifranquistas, en Cataluña al igual que en el País
Vasco, hasta el punto de que todas las fuerzas políticas democráticas, de
los cristianodemócratas y liberales a los socialistas y comunistas, también
eran nacionalistas catalanas. Ello significó, por ejemplo, que todos los
partidos políticos en Cataluña, tanto en la clandestinidad como desde el
establecimiento de la democracia española en 1977, fueran y sean catala-
nes y no españoles, aunque en la mayoría de los casos están federados
con partidos similares de España, si bien conservan su autonomía como
partidos (por ejemplo, el Partit Socialista de Catalunya está vinculado al
l'SOE español; el Partit Socialista Unificat de Catalunya, con los comu-
nistas, etc.). La única excepción es el conservador Partido Popular creado
en los años ochenta. En 1978, el artículo 2 de la nueva Constitución espa-
ñola declaró a España una «nación de nacionalidades» y, en 1979, el Esta-
tuto de Autonomía de Cataluña proporcionó la base institucional para la
autonomía catalana, dentro del marco de España, incluyendo la declara-
ción del bilingüismo oficial y estableciendo el catalán como «la lengua
propia de Cataluña». En las elecciones regionales, la coalición naciona-
lista catalana (Convergencia i Unió), encabezada por el más popular líder
contemporáneo de Cataluña, un médico culto y cosmopolita de orígenes
modestos, Jordi Pujol, obtuvo la mayoría cinco veces consecutivas, y sigue
en el poder en 1997. La Generalitat fue fortalecida y se convirtió en una
institución dinámica que persigue una política autónoma en todos los
frentes, incluido el ámbito internacional. En la década de 1990, Jordi Pu-
jol es el presidente de la Asociación de Regiones Europeas. La ciudad de
Barcelona también se movilizó, liderada por otra figura carismática, el al-
calde socialista catalán Pasqual Maragall, profesor de economía urbana y
nieto del gran poeta nacional catalán. Barcelona se proyectó en el mundo,
utilizando diestramente los Juegos Olímpicos de Verano de 1992 para
surgir internacionalmente como un importante centro metropolitano, en-
lazando la identidad histórica con la modernidad informacional. Significa-
tivamente, en los años noventa Pasqual Maragall ha sido presidente de la
Federación Europea de Municipios y del Comité de Regiones de Europa,
cámara regional consultiva de la Unión Europea.
En los años noventa, la coalición nacionalista catalana llegó a desem-
peñar un importante papel en la política española. La incapacidad del
Partido Socialista (1993) o del Partido Popular (1996) para obtener la ma-
yoría absoluta en las elecciones generales hizo de Jordi Pujol el socio in-
dispensable de cualquier coalición parlamentaria de gobierno. Primero
70 El poder de la identidad
apoyó a los socialistas y luego a los conservadores, con un precio. Cata-
luña recibió la gestión del 30% de su impuesto sobre la renta, así como la
competencia exclusiva en educación (que se imparte en catalán en todos
los niveles), salud, medioambiente, comunicaciones, turismo, cultura, ser-
vicios sociales y la mayoría de las funciones policiales. Lentamente, pero
de forma segura, Cataluña, junto con el País Vasco, están forzando a Es-
paña a convertirse, a su pesar, en un estado federal muy descentralizado,
ya que el resto de las regiones reclaman el mismo grado de autonomía y
recursos que obtienen catalanes y vascos. Y, no obstante, con la excep-
ción de un pequeño, democrático y pacífico movimiento proindependen-
tista, en su mayoría apoyado por intelectuales jóvenes, los catalanes y la
coalición nacionalista catalana rechazan la idea del separatismo, decla-
rando que sólo necesitan instituciones para existir como nación, no para
convertirse en un estado-nación soberano115
.
¿Qué es, entonces, esta nación catalana, capaz de sobrevivir a siglos
de negación y que, pese a todo, se abstiene de entrar en el ciclo de cons-
truir un estado contra otra nación, España, que también se convirtió en
parte de la identidad histórica de Cataluña? Para Prat de la Riba, proba-
blemente el ideólogo más lúcido del nacionalismo conservador catalán en
su estadio formativo, «Cataluña es la larga cadena de generaciones, uni-
das por la lengua y la tradición catalanas, que se sucedieron en el territo-
rio donde vivimos» m
. Jordi Pujol también insiste en la lengua como el
cimiento de la identidad catalana, al igual que la mayoría de los obser-
vadores: «La identidad de Cataluña es, en buena medida, lingüística y cul-
tural. Cataluña nunca ha reclamado una especificidad étnica o religiosa
ni ha insistido en la geografía o ha sido estrictamente política. Hay mu-
chos componentes en nuestra identidad, pero la espina dorsal son la
lengua y la cultura»117
. En efecto, durante más de 2.000 años, el territorio
de Cataluña fue una tierra de paso y migraciones entre varios pueblos eu-
ropeos y mediterráneos, por lo que sus instituciones se forjaron en inte-
racción con diversas culturas, de las que ya estaba claramente diferen-
ciada a comienzos del siglo xn, cuando el nombre de Cataluña aparece
por primera vez118
. Según el historiador francés más importante de la his-
toria catalana, Pierre Vilar, lo que distinguió a los catalanes como pueblo
desde una época muy temprana (en los siglos xm y xiv) fue la lengua, cla-
ramente distinta del castellano o el francés, con una literatura desarro-
llada ya en el siglo xm, ejemplificada por los escritos de Raimon Llull
(1235-1315), utilizando el catalanesc, que evolucionó del latín de forma
paralela al español y el provenzal. La lengua como identidad se volvió
115
Keating, 1995.
116
Prat de la Riba, 1894, citado en Solé Tura, 1967, pág. 187. La traducción es mía.
117
Pujol, 1995, citado en Pi, 1996, pág. 176. La traducción es mía.
118
Salrach, 1996.
I'unilttos comunales: identidad y sentido en ln sonrdad red 71
particularmente importante en la segunda mitad del siglo xx, cuando la
lasa de natalidad tradicionalmente baja de los catalanes en los tiempos
modernos, emparejada a la industrialización diferencial de Cataluña, con-
dujo a una migración masiva del sur de España empobrecido, con lo que
los hablantes catalanes, aún en lucha contra la prohibición de su lengua,
se vieron sumergidos por una oleada tras otra de trabajadores de lengua
castellana que se establecieron en Cataluña, sobre todo en los barrios de
las afueras de Barcelona. Así pues, una vez que recuperó su autonomía
con la Constitución española de 1978, en 1983 el Parlamento catalán votó
por unanimidad una Ley de Normalización Lingüística que introdujo la
enseñanza del catalán en todas las escuelas y universidades públicas, así
como su utilización en las administraciones, en los lugares públicos, las
calles, las carreteras y la televisión pública119
. La política explícita era al-
canzar con el tiempo la plena integración de la población no catalana a la
cultura catalana, de modo que no se crearan guetos culturales que proba-
blemente fracturarían la sociedad en líneas de clase. Por lo tanto, en esta
estrategia, el estado se utiliza para reforzar/producir a la nación, sin recla-
mar la soberanía del estado español.
¿Por qué es tan importante la lengua en la definición de la identidad
catalana? Una respuesta es histórica: ha sido, durante cientos de años, el
signo de identificación de ser catalán, junto con las instituciones políticas
democráticas de autogobierno cuando no fueron suprimidas. Aunque los
nacionalistas catalanes definen como catalán a todo aquel que vive y tra-
baja en Cataluña, también añaden «y quiere ser catalán». Y el signo de
«querer ser» es hablar la lengua o tratar de hacerlo (de hecho, «tratar de
hacerlo» es incluso mejor porque es un signo real de disposición de serlo).
Otra respuesta es política: es el modo más fácil de extender y reproducir
la población catalana sin recurrir a criterios de soberanía territorial que
colisionarían necesariamente con la territorialidad del estado español. No
obstante, una respuesta adicional y más fundamental quizás esté ligada a
lo que representa la lengua como un sistema de códigos, cristalizando his-
tóricamente una configuración histórica que permite compartir símbolos
sin adorar otros iconos que los que surgen en la comunicación de la vida
cotidiana. Muy bien pudiera ser que las naciones sin estados se organiza-
ran en torno a comunidades lingüísticas —una idea que desarrollaré más
adelante— aunque, como es obvio, una lengua común no hace una na-
ción. Sin duda, las naciones latinoamericanas pondrían objeciones a este
planteamiento, al igual que el Reino Unido y los Estados Unidos. Pero,
por el momento, quedémonos en Cataluña.
Espero que, tras este recordatorio histórico, pueda concederse que no
es una identidad inventada. Al menos durante mil años, una comunidad
humana determinada, organizada primordialmente en torno a la lengua,
Puiggene i Riera et al, 1991.
72 El poder de la identidad
pero también con una buena medida de continuidad territorial, y con una
tradición de democracia política y autogobierno autóctonos, se ha identi-
ficado como nación en diferentes contextos, contra adversarios diferen-
tes, formando parte de diferentes estados, contando con su estado propio,
buscando la autonomía sin amenazar al estado español, integrando a los
inmigrantes, soportando la humillación (de hecho, conmemorándola to-
dos los años) y existiendo aún como Cataluña. Algunos analistas han in-
tentado identificar el catalanismo con las aspiraciones históricas de una
burguesía industrial frustrada, asfixiada por una monarquía española bu-
rocrática y precapitalista120
. Sin duda, éste fue un elemento importante
presente en el movimiento catalanista de finales del siglo xix y en la for-
mación de la Lligam
. Pero el análisis de clase no puede explicar la conti-
nuidad del discurso explícito de la identidad catalana a lo largo de la his-
toria, pese a todos los esfuerzos del centralismo español para erradicarla.
Prat de la Riba negó que Cataluña fuera reducible a los intereses de clase,
y estaba en lo cierto, aunque su Lliga fuera primordialmente un partido
burgués122
. El catalanismo se ha solido asociar con el romanticismo del si-
glo xix, pero también se conectó con el movimiento modernista de finales
de siglo, orientado hacia Europa y el movimiento internacional de ideas,
y ausente del regeneracionismo tradicional español en busca de una
nueva fuente de valores transcendentes tras la pérdida de los restos del
imperio en 1898. Comunidad cultural, organizada en torno a la lengua y
una historia compartida, Cataluña no es una entidad imaginada, sino un
producto histórico constantemente renovado, aun cuando los movimien-
tos nacionalistas construyan/reconstruyan sus iconos de autoidentifica-
ción con códigos específicos de cada contexto histórico y en relación con
sus proyectos políticos.
Una caracterización decisiva del nacionalismo catalán es la concer-
niente a su relación con el estado-nación ,23
. Al declarar a Cataluña al
mismo tiempo europea, mediterránea e hispánica, los nacionalistas cata-
lanes, aunque rechazan el separatismo de España, buscan un nuevo tipo
de estado. Sería uno de geometría variable, que uniría el respeto por el
estado español heredado de la historia con la creciente autonomía de las
instituciones catalanas para dirigir los asuntos públicos y la integración
tanto de España como de Cataluña en una entidad más amplia, Europa,
que se traduce no sólo en la Unión Europea, sino en varias redes de go-
biernos regionales y municipales, así como en asociaciones cívicas, que
multiplican las relaciones horizontales por toda Europa bajo el débil ar-
mazón de los estados-nación modernos. No son sólo tácticas hábiles de la
120
Jutglar, 1966.
121
Solé Tura, 1967.
122
Prat de la Riba, 1906.
123
Keating, 1995; Pi, 1996; Trias, 1996.
r irn(»oN comunales: identidad y sentido en In sociedad red 73
• Idcuda de los noventa. Provienen de las centenarias posturas proeuro-
I'OHS de las élites catalanas, en contraste con el espléndido aislamiento
i ultural practicado por la mayoría de las élites castellanas en la mayor
parle de los periodos históricos. También está explícito en el pensamiento
de algunos de los escritores o filósofos catalanes más universales, como
losep Ferrater Mora, quien pudo escribir en 1960: «La catalanización de
< 'ataluña quizás sea la última oportunidad histórica para hacer de los ca-
talanes "buenos españoles" y para hacer de los españoles "buenos eu-
mpcos"» l24
. Y ello porque sólo una España que sea capaz de aceptar su
identidad plural —siendo Cataluña una de las más distintivas— podría
iluirse plenamente a una Europa democrática y tolerante. Y, para que
iiceda, los catalanes tienen primero que sentirse a gusto dentro de la so-
lu'ranía territorial del estado español, siendo capaces de pensar y hablar
< n catalán y así crear su comuna dentro de una red más amplia. Esta dife-
icnciación entre la identidad cultural y el poder del estado, entre la sobe-
lam'a incontestable de los aparatos y la interconexión de las instituciones
i|iic comparten el poder, es una innovación histórica en relación con la
mayoría de los procesos de construcción de los estados-nación, plantada
•ólidamente en suelo inestable. Parece relacionarse mejor que las nocio-
nes tradicionales de soberanía con una sociedad basada en la flexibilidad
v la adaptabilidad, con una economía global, con la interconexión de los
medios de comunicación, con la variación y la interpenetración de las
culturas. Al no buscar un nuevo estado, sino luchar para conservar su na-
ción, los catalanes quizás hayan recorrido un ciclo completo desde sus orí-
genes como pueblo de identidad cultural/lingüística y comercio sin fronte-
ras, y de instituciones de gobierno flexibles, rasgos todos que parecen
caracterizar a la era de la información.
Las naciones de la era de la información
Nuestra digresión sobre los dos extremos opuestos de Europa aporta
algún conocimiento sobre la nueva función de las naciones y el naciona-
lismo como fuente de significado en la era de la información. En aras de
la claridad, definiré las naciones, de acuerdo con los argumentos y las ex-
plicaciones presentadas anteriormente, como comunas culturales construi-
das en las mentes de los pueblos y la memoria colectiva por el hecho de
compartir la historia y los proyectos políticos. La cantidad de historia que
debe compartirse para que una colectividad se convierta en una nación
varía con los contextos y periodos, como también son variables los ingre-
dientes que predisponen a la formación de tales comunas. Así pues, la na-
cionalidad catalana se fue destilando a lo largo de mil años de compartir,
124
Ferrater Mora, 1960, pág. 120.
II |xi(k'i' de l,i idi iilid.nl
mientras que los Estados Unidos de América forjaron una identidad na-
cional muy fuerte pese, o debido, a su multietnicidad en sólo dos siglos.
Lo que resulta esencial es la distinción histórica entre naciones y estados,
que sólo llegaron a fundirse, y no en el caso de todas las naciones, en la
era moderna. De este modo, desde la posición ventajosa que nos confiere
la perspectiva de nuestro fin de milenio, sabemos de naciones sin estados
(por ejemplo, Cataluña, el País Vasco, Escocia o Quebec), de estados sin
naciones (Singapur, Taiwan o Sudáfrica) o de estados plurinacionales (la
antigua Unión Soviética, Bélgica, España o el Reino Unido, y quizás ser-
bios, croatas y musulmanes bosnios en una futura Bosnia-Herzegovina),
de estados uninacionales (Japón), de naciones divididas por estados (Co-
rea del Sur y Corea del Norte) y de estados que comparten naciones (sue-
cos en Suecia y Finlandia, irlandeses en Irlanda y el Reino Unido). Lo
que está claro es que la ciudadanía no es igual a la nacionalidad, al menos
a la nacionalidad exclusiva, ya que los catalanes se sienten catalanes en
primer lugar pero, al mismo tiempo, la mayoría se declaran españoles e
incluso también europeos. Por lo tanto, la asimilación de naciones y esta-
dos al compuesto estado-nación, más allá de un contexto histórico deter-
minado, es desmentida por la observación cuando se construyen los regis-
tros en un recorrido largo y con una perspectiva global. Parece que la
reacción racionalista (marxista o de otro tipo) contra el idealismo alemán
(Herder, Fichte) y contra la hagiografía nacionalista francesa (Michelet,
Renán) oscureció la comprensión de la «cuestión nacional», por lo que
causa perplejidad cuando se observa el poder y la influencia del naciona-
lismo al final de este siglo.
Dos fenómenos, como se ha ilustrado en esta sección, parecen ser ca-
racterísticos del periodo histórico actual: en primer lugar, la desintegra-
ción de los estados plurinacionales que tratan de seguir siendo plena-
mente soberanos o negar la pluralidad de sus constituyentes nacionales.
Éste fue el caso de la antigua Unión Soviética, de la antigua Yugoslavia,
de la antigua Etiopía, de Checoslovaquia y quizás lo sea, en el futuro, de
Sri Lanka, India, Indonesia, Nigeria y otros países. El resultado de esta
desintegración es la formación de cuasi-estados nacionales. Son estados-
nación porque reciben los atributos de la soberanía en virtud de una iden-
tidad nacional constituida en la historia (por ejemplo, Ucrania). Pero son
cuasi porque el conjunto enmarañado de relaciones con su matriz histó-
rica los fuerza a compartir la soberanía con su antiguo estado o con una
configuración más amplia (por ejemplo, la CEI; las repúblicas de Europa
Oriental asociadas con la Unión Europea). En segundo lugar, observa-
mos el desarrollo de las naciones que se detienen en el umbral de la con-
dición de estado, pero obligan a su estado matriz a adaptarse y ceder so-
beranía, como en el caso de Cataluña, el País Vasco, Flandes, Valonia,
Escocia, Quebec y, potencialmente, Kurdistán, Cachemira, Punjab o Ti-
mor Oriental. Denomino a estas entidades cuasi-estados nacionales por-
i ii ii .> >. ( OIIIUII.IU s i i l r n l u l m l Y >« u l u l o r n l.i st" u (I.HI i r i l 7 5
i|iic no son estados plenamente desarrollados, pero obtienen una parte de
milofiomía política basándose en su identidad nacional.
I ,os atributos que refuerzan la identidad nacional en este periodo his-
iniieo varían, aunque, en todos los casos, presuponen una historia com-
puilida a lo largo del tiempo. Sin embargo, plantearía la hipótesis de que
tu lengua, sobre todo una plenamente desarrollada, es un atributo funda-
mental de autorreconocimiento y para el establecimiento de una frontera
nacional invisible menos arbitraria que la territorialidad y menos exclusiva
i/i/r' la etnicidad. Ello se debe, en una perspectiva histórica, a que propor-
ciona el vínculo entre la esfera pública y la esfera privada, y entre el pa-
nudo y el presente, prescindiendo del reconocimiento real de una comuni-
dad cultural por parte de las instituciones del estado. Y no deben
descartarse los datos históricos porque Fichte utilizase este argumento
pina construir el nacionalismo pangermánico. Pero también existe una
poderosa razón para el surgimiento en nuestras sociedades de un nacio-
nalismo basado en la lengua. Si el nacionalismo es frecuentemente una
micción contra una identidad autónoma amenazada, en un mundo some-
tido a la homogeneización cultural por la ideología de la modernización y
el poder de los medios de comunicación globales, la lengua, como expre-
sión directa de la cultura, se convierte en la trinchera de la resistencia
cultural, el último bastión del autocontrol, el refugio del significado iden-
tificare. Por lo tanto, después de todo, las naciones no parecen ser «co-
munidades imaginadas» construidas al servicio de los aparatos de poder.
Más bien son producto de una historia compartida y luego se expresan
verbalmente en las imágenes de las lenguas comunales cuya primera pala-
bra es nosotros, la segunda es nuestro y la tercera, desgraciadamente, ellos.
I ,A DESVINCULACIÓN ÉTNICA: RAZA, CLASE E IDENTIDAD EN LA
SOCIEDAD RED
Os veo, 100 Hombres Negros. [...] Os veo encarcelados. Os veo enjaulados. Os veo
¡lomados. Veo vuestro dolor. Os veo luchando. Os veo alerta. Veo lo que queréis.
Veo lo que necesitáis. Os veo rechazados. Veo vuestra Sangre. Veo vuestra Enfer-
medad. Te veo, Hermano. Te veo sobrio. Te veo amado. Veo tu paz. Veo tu hogar.
Te veo escuchar. Veo tu amor. Te veo en él. Te veo fiel. Te veo impacientado. Te
veo puesto a prueba. Veo tu cambio. Te veo. Te veo. Te veo... Definitivamente,
quiero ser tú.
Peter J. Harris, Praisesong for the Anonymous Brothers125
¿Usted también quiere ser él? ¿De verdad? La etnicidad ha sido una
fuente fundamental de significado y reconocimiento a lo largo de toda
De Wideman y Preston, 1995, pág. xxi.
76 II poder ele l.i ukulldiul
la historia humana. Es una estructura básica de la diferenciación y el re-
conocimiento sociales, así como de la discriminación, en muchas socie-
dades contemporáneas, de los Estados Unidos a África Subsahariana.
Ha sido, y sigue siendo, la base de levantamientos en busca de justicia
social, como en el caso de los indios mexicanos de Chiapas en 1994, así
como el fundamento irracional de la limpieza étnica, como la practicada
por los serbios de Bosnia en 1994. Y es, en buena medida, la base cultu-
ral que induce las transacciones interconectadas y basadas en la con-
fianza en el nuevo mundo empresarial, de las redes empresariales chi-
nas (vol. I, cap. 3) a las «tribus» étnicas que determinan el éxito en la
nueva economía global. En efecto, como Cornel West escribe: «En esta
era de globalización, con sus impresionantes innovaciones científicas y
tecnológicas en información, comunicación y biología aplicada, cen-
trarse en los efectos persistentes del racismo parece desfasado y anti-
cuado [...] No obstante, la raza —en el lenguaje codificado de la re-
forma de la asistencia social, la política de inmigración, el castigo de los
delitos, la acción afirmativa y la privatización de los suburbios— sigue
teniendo un significado central en el debate político»126
. Sin embargo, si
raza y etnicidad son centrales —para la dinámica de los Estados Unidos
y de otras sociedades—, sus manifestaciones parecen estar profunda-
mente alteradas por las tendencias actuales de la sociedad127
. Sostengo
que aunque la raza tiene importancia, probablemente más que nunca
como fuente de opresión y discriminación 128
, la etnicidad se está frag-
mentando como fuente de sentido e identidad, no para fundirse con
otras identidades, sino bajo principios más amplios de autodefinición
cultural, como la religión, la nación o el género. Para proporcionar los
argumentos que apoyan esta hipótesis, expondré brevemente la evolu-
ción de la identidad afroamericana en los Estados Unidos.
La condición contemporánea de los afroamericanos se ha transfor-
mado en las tres últimas décadas debido a un fenómeno fundamental: su
profunda división a lo largo de líneas de clase, como se muestra en el tra-
bajo pionero de William Julius Wilson 129
, cuyas implicaciones hicieron
añicos para siempre el modo en que los Estados Unidos ven a los afroa-
mericanos y, lo que es aún más importante, el modo en que los afroameri-
canos se ven a sí mismos.
Apoyada por una corriente de investigación durante la década pasada,
la tesis de Wilson y su desarrollo señalan una espectacular polarización
entre los afroamericanos. Por una parte, espoleada por el movimiento en
favor de los derechos civiles de los años sesenta y sobre todo gracias a los
126
West, 1996, pág. 107 y 108.
127
Appiah y Gates, 1995.
128
Wieviorka, 1993; West, 1995.
129
Wilson, 1987.
I'muísos comunales: identidad y sentido en lu sonc-dnd icd 77
programas de acción afirmativa, ha surgido una clase media afroameri-
cana numerosa y con una buena educación, que ha hecho avances signifi-
cativos en la estructura del poder político, de los cargos en ayuntamientos
a la presidencia del Mando Conjunto del Estado Mayor del Ejército, y, en
cierta medida, en el mundo de las grandes empresas. De este modo, cerca
de un tercio de los afroamericanos ahora forman parte de la clase media
estadounidense, aunque los hombres, a diferencia de las mujeres, siguen
ganando mucho menos dinero que sus semejantes blancos. Por otra parte,
cerca de un tercio de afroamericanos, comprendido el 45% de los niños
afroamericanos que viven en el umbral de pobreza o por debajo de él, es-
tiln mucho peor en la década de los noventa que lo estaban en la de los
sesenta. Wilson y otros investigadores como Blakely y Goldsmith o Gans
atribuyen la formación de esta «infraclase» al efecto combinado de una
economía de la información desequilibrada, de la segregación espacial y
de una política pública errada. El crecimiento de la economía de la infor-
mación exige un mayor nivel de educación y reduce la disponibilidad de
trabajos manuales estables, perjudicando la entrada de los negros en el
mercado laboral. Los negros de clase media huyen del centro de las ciu-
dades, dejando tras de sí, atrapadas, a las masas de pobres urbanos. Para
cerrar el círculo, la nueva élite política negra encuentra apoyo entre los
votantes pobres urbanos, pero sólo mientras pueda proporcionar progra-
mas sociales, que están en función de lo molestos, moral o políticamente,
que resulten los pobres urbanos para la mayoría blanca. Así, el nuevo li-
derazgo político negro se basa en su capacidad para actuar de intermedia-
rio entre el mundo de las grandes empresas, la clase política y los pobres
impredecibles de los guetos. Entre estos dos grupos, el otro tercio de
afroamericanos se esfuerza para no caer en el infierno de la pobreza, afe-
rrándose a los puestos de trabajo en servicios, de forma desproporcio-
nada en el sector público, y a los programas educativos y de formación la-
boral que proporcionan algunos conocimientos para sobrevivir en una
economía en proceso de desindustrialización130
. El castigo para quienes
no lo logran es cada vez más atroz. Entre los de menor educación, los ne-
gros varones que residían en el centro de las ciudades en 1992, apenas un
tercio tenía trabajo a tiempo completo. E incluso entre los que trabaja-
ban, el 15% estaba por debajo del nivel de pobreza. El valor medio neto
del patrimonio del quinto de los negros más pobres en 1995 era exacta-
mente cero. Un tercio de las familias negras pobres habitan en viviendas
que no alcanzan las condiciones básicas establecidas, lo que quiere decir,
entre otros criterios, «que muestran huellas de ratas». La relación entre
los delitos urbanos y los de los suburbios residenciales ha aumentado de
1,2 a 1,6 entre 1973 y 1992. Y, por supuesto, los residentes del centro de
130
Wilson, 1987; Blakely y Goldsmith, 1993; Carnoy, 1994; Wacquant, 1994; Gans, 1995;
Hochschild, 1995; Gates, 1996.
/. líl poder de la Identidad
las ciudades son los que más padecen estos delitos. Además, la población
masculina negra y pobre está sometida a un encarcelamiento masivo o
vive bajo el control del sistema penal (en espera de juicio, en libertad
condicional). Aunque los negros representan en torno al 12% de la po-
blación estadounidense, en la década de los noventa suponen más del
50% de los internos de las prisiones 131
. La tasa general de encarcela-
miento para los estadounidenses negros en esta década fue de 1.860 por
100.000, es decir 6,4 veces más elevada que la de los blancos. Y, sí, los
afroamericanos tienen ahora más educación, pero en 1993 recibieron un
diploma universitario 23.000 hombres negros mientras que 2,3 millones
fueron encarcelados132
. Si añadimos a todas las personas supervisadas por
el sistema penal de los Estados Unidos en 1996, se alcanzan 5,4 millones.
Los negros representaban el 53% de los presos en 1991133
. Los porcenta-
jes de encarcelamiento y vigilancia son mucho más altos entre los negros
pobres y asombrosos, entre los jóvenes negros. En ciudades como Was-
hington D.C., en los grupos de edad de 18-30 años, la mayoría de los
hombres negros están en prisión o en libertad bajo fianza. Las mujeres y
las familias han de adaptarse a esta situación. El argumento tristemente
famoso del varón ausente en la familia afroamericana pobre se explica en
parte por el hecho de que muchos hombres pobres pasan considerables
periodos de su vida en la cárcel, así que las mujeres han de estar prepara-
das para criar a los hijos por sí mismas o para dar a luz bajo su propia res-
ponsabilidad.
Éstos son hechos bien conocidos, cuyas raíces sociales en el nuevo
contexto tecnológico y económico trataré de analizar en el volumen III.
Pero en este punto de mi análisis, me interesan las consecuencias de una
divisoria de clases tan profunda sobre la transformación de la identidad
afroamericana.
Para comprender esta transformación desde la década de los sesenta,
debemos retroceder hasta las raíces históricas de esta identidad: como
sostiene Cornel West, los negros de los Estados Unidos son, precisa-
mente, africanos y americanos. Su identidad se constituyó como pueblo
secuestrado y esclavizado bajo la sociedad más libre de la época. Así,
para conciliar la contradicción obvia entre los ideales de libertad y la eco-
nomía basada en la esclavitud, muy productiva, Estados Unidos tuvo que
negar la humanidad de los negros porque sólo a los no humanos podía
negárseles la libertad en una sociedad constituida sobre el principio de
que «todos los hombres nacen iguales». Como escribe Cornel West: «Este
asalto inexorable a la humanidad negra produjo la condición fundamental
de la cultura negra —la de la invisibilidad de los negros y su falta de nom-
131
Tonry, 1995, pág. 59.
132
Gates, 1996, pág. 25.
133
Véase el volumen III, cap. 2.
1'iiiiilftoN c'oiniiiiiik's: itlcnliiliul y scnlulo cu lii Nocirilml iril 7')
luc» |W
. Así pues, la cultura negra, siguiendo el análisis de West, tuvo que
aprender ¡i salir adelante con su negación sin caer en la autodestrucción.
Y lo hizo. De las canciones al arte, de las iglesias comunales a la herman-
dad, la sociedad negra surgió con un profundo sentido del significado co-
IITIÍVO, que no se perdió durante los masivos éxodos rurales hacia los
Rucios del norte y se tradujo en una creatividad extraordinaria en el arte,
la música y la literatura, y en un vigoroso movimiento político multifacé-
lii'o, cuyos sueños y potencial fueron personificados por Martin Luther
King en los años sesenta.
No obstante, la divisoria fundamental que introdujo entre los negros
el éxito parcial del movimiento en defensa de los derechos civiles ha
linnsformado este panorama cultural. Pero, ¿de qué modo? A primera
vista, parecería que la clase media negra, levantada sobre su prosperidad
económica e influencia política relativas, podría asimilarse a la corriente
principal, constituyéndose en una nueva identidad, como afroamericanos,
y desplazándose hacia una posición similar a la de los italoamericanos o
chinoamericanos. Después de todo, los chinoamericanos fueron muy dis-
criminados durante la mayor parte de la historia de California y pese a
ello, en los últimos años, han alcanzado una posición social bastante res-
petada. Por lo tanto, en esta perspectiva, los afroamericanos podrían con-
vertirse en otro segmento distintivo del tapiz multiétnico de la sociedad
americana. Por otra parte, la «infraclase» se volvería más pobre que los
negros.
No obstante, esta tesis de una evolución cultural dual no parece soste-
nerse cuando se contrasta con los datos disponibles. El influyente estudio
de Jennifer Hochschild sobre la transformación cultural de negros y blan-
cos en relación con el «sueño americano» de igualdad de oportunidades y
movilidad social muestra exactamente lo contrario135
. Los negros de clase
media son precisamente quienes sienten mayor amargura por la ilusión
frustrada de este sueño y se consideran más discriminados por la perma-
nencia del racismo, mientras que la mayoría de los blancos creen que los
negros están resultado indebidamente favorecidos por las políticas de ac-
ción afirmativa y se quejan por la inversión de la discriminación. Por otra
parte, los negros pobres, aunque son plenamente conscientes del racismo,
parecen creer en el sueño americano en mayor medida que la clase media
negra y, en todo caso, son más fatalistas e individualistas acerca de su des-
tino (siempre fue así), aunque una perspectiva temporal en la evolución
de las encuestas de opinión parece indicar que también los negros pobres
están perdiendo la fe que tuvieran en el sistema. De todos modos, el he-
cho importante que destaca en el esfuerzo realizado por Hochschild para
analizar una profusión de datos empíricos es que, en general, los afroame-
m
West, 1996, pág. 80.
135
Hochschild, 1995.
K<> líl p o i l i r ilc la iili'iiluUiil
ricanos ricos no se sienten bien recibidos en la corriente mayoritaria de la
sociedad. Y, en efecto, no lo son. No sólo continúa dominando la hostili-
dad racial entre los blancos, sino que los logros de los hombres negros de
clase media los siguen dejando por detrás de los blancos en educación,
ocupación e ingresos, como muestra Martin Carnoy136
.
Por lo tanto, la raza importa mucho137
. Pero, al mismo tiempo, la divi-
soria de clase entre los negros ha creado unas condiciones de vida tan
fundamentalmente diferentes, que existe una hostilidad creciente, entre
los pobres, contra aquellos antiguos hermanos que los han excluido138
. La
mayoría de los negros de clase media se esfuerzan por escapar no sólo de
la realidad del gueto, sino del estigma que los ecos del gueto moribundo
proyecta sobre ellos a través de su piel. Lo hacen, sobre todo, aislando a
sus hijos de las comunidades de negros pobres (trasladándose a los ba-
rrios residenciales de las afueras, llevándolos a escuelas privadas de pre-
dominio blanco), mientras, al mismo tiempo, reinventan una identidad
afroamericana que revive los temas del pasado, africano o estadouni-
dense, pero que guarda silencio sobre la tragedia del presente.
En un movimiento paralelo, los guetos de fin de milenio desarrollan
una nueva cultura, compuesta por aflicción, rabia y reacción individual
contra la exclusión colectiva, donde el hecho de ser negros importa me-
nos que las situaciones de exclusión, que crean nuevos vínculos, por ejem-
plo, las bandas territoriales, que comienzan en las calles y se consolidan
en las cárceles139
. De esta cultura surge el rap, no el jazz. Esta nueva cul-
tura también expresa la identidad y también tiene sus raíces en la historia
negra y en la venerable tradición estadounidense de racismo y opresión
racial, pero incorpora nuevos elementos: la policía y el sistema penal
como instituciones centrales, la economía delictiva como fuente de tra-
bajo, las escuelas como terreno contestado, las iglesias como islas de con-
ciliación, las familias centradas en la madre, los barrios ruinosos, la orga-
nización social basada en las bandas y la violencia como modo de vida.
Éstos son los temas del arte y literatura negros que surge de la nueva ex-
periencia de los guetos14()
. Pero no es de ningún modo la misma identidad
que la que surge en la clase media afroamericana mediante la reconstruc-
ción cuidadosa de la humanidad de la raza.
No obstante, aun aceptando su división cultural, ambas identidades
afrontan las que parecen ser dificultades insuperables para su constitu-
ción. En el caso de los afroamericanos pudientes, se debe a las contradic-
ciones siguientes m
: sienten el rechazo del racismo institucional, así que
136
Carnoy, 1994.
137
West, 1996.
138
Hochschild, 1995; Gates, 1996.
139
Sánchez Jankowski, 1991,1996.
140
Wideman y Preston, 1995; Giroux, 1996.
141
Hochschild, 1995.
I'.u.ilso» comuniilcs: KICIIIHI.UI y M H I K I U <.-1• l.i .o, u-il.ul • < il Kl
sólo pueden integrarse en la corriente mayoritaria estadounidense como
luleros de su estirpe, como el «Décimo Capacitado» que Du Bois, el prin-
cipal intelectual negro de principios de siglo, consideraba que eran los sal-
vadores necesarios de la «raza negra», así como de todas las razas142
. Pero
la divisoria social, económica y cultural entre el «Décimo Capacitado» y
una proporción significativa y creciente de negros estadounidenses es tal
que tendrían que negarse a sí mismos y a sus hijos cumpliendo tal papel
para convertirse en parte de una coalición pluriclasista y multirracial de
cambio social progresista. En su soberbio librito que debate esta cuestión,
I lenry Louis Gates jr. y Cornel West parecen pensar, de una parte, que
no hay otra alternativa, pero, aun así, tienen dudas razonables sobre la
viabilidad de tal opción. Gates escribe: «La crisis real del liderazgo negro
es que la misma idea de ese liderazgo está en crisis»143
. Y West:
Puesto que una alianza multirracial de la clase media progresista, de los sectores
liberales de la élite empresarial y de la energía subversiva proveniente de abajo es
el único vehículo mediante el cual cierta forma de responsabilidad democrática
radical puede redistribuir recursos y riqueza, y reestructurar la economía y el go-
bierno de modo que todos se beneficien, los significativos esfuerzos secundarios
del Décimo Capacitado por sí solo en el siglo xxi serán tristemente inadecuados y
completamente frustrantes144
.
En efecto, el propio Du Bois se trasladó de Estados Unidos a Ghana
en 1961 porque: «Ya no puedo aguantar más el trato de este país [...] Ani-
maos y seguid luchando, pero tened en cuenta que los negros estadouni-
denses no pueden ganar»145
.
¿Llevará este fracaso de los esfuerzos para la plena integración a un
renacimiento del separatismo negro en los Estados Unidos? ¿Podría ser
ésta la nueva base de la identidad, en línea directa con los movimientos
radicales de la década de los sesenta, como ejemplificaron los Panteras
Negras? Así parecería, al menos entre la juventud militante, si hemos de
prestar atención al culto renovado a Malcolm X, la creciente influencia de
la Nation of Islam de Farrakhan o, más aún, el impacto extraordinario de
la «Marcha del Millón de Hombres» de 1995 en Washington D.C., organi-
zada en torno a la expiación, la moralidad y el orgullo de los hombres ne-
gros. No obstante, estas nuevas manifestaciones de identidad cultural-po-
lítica revelan más grietas entre los afroamericanos y en realidad se
organizan en torno a principios de autoidentificación que no son étnicos
sino religiosos (islam, iglesias negras) y están fuertemente sesgados en
cuanto al género (orgullo masculino, responsabilidad masculina, subordi-
142
Gates y West, 1996, pág. 133.
143
Gates, 1996, pág. 38.
144
West, 1996, pág. 110.
145
Gates y West, 1996, pág. 111.
X2 El poder ele la iiliiilul.nl
nación femenina). El impacto de la «Marcha del Millón de Hombres» y su
desarrollo predecible en el futuro transciende las líneas de clase, pero re-
duce la base de género de la identidad afroamericana y difumína las lí-
neas entre autoidentificación religiosa, racial y de clase. En otras pala-
bras, no se basó en la identidad, sino en el reflejo de una identidad en
desaparición. ¿Cómo puede ser que, mientras que la sociedad está recor-
dando a los negros cada minuto que son negros (por tanto, un tipo hu-
mano diferente y estigmatizado, proveniente, en un largo viaje, de la ca-
rencia de humanidad), los propios negros estén viviendo tantas vidas
diferentes como para no ser capaces de compartir y, en lugar de ello, ser
cada vez más violentos mutuamente? Este anhelo por la comunidad per-
dida es el que está surgiendo en los Estados Unidos negros en la década
de los noventa, quizás porque la herida más profunda infligida a los afro-
americanos en la década pasada haya sido la pérdida gradual de la identi-
dad colectiva, que lleva a la deriva individual cuando aún se padece un es-
tigma colectivo.
Éste no es un proceso necesario. Movimientos sociopolíticos como la
Rainbow Coalition de Jessie Jackson, entre otros, continúan empeñados
en unir las iglesias, minorías, comunidades, sindicatos y mujeres negras
bajo una bandera común para luchar desde la política por la justicia social
y la igualdad racial. No obstante, es un proceso de construcción de una
identidad política que sólo si logra éxito a largo plazo podría crear una
identidad cultural colectiva que sería necesariamente nueva tanto para los
blancos como para los negros, si ha de superar el racismo a la vez que
mantiene las diferencias culturales e históricas. Cornel West, aunque re-
conoce «una esperanza no desesperada sino inesperada», propone una
«democracia radical» para transcender tanto las divisiones raciales como
el nacionalismo negro146
. Pero en las trincheras de los guetos, y en las sa-
las de juntas de las empresas, la identidad histórica afroamericana se está
fragmentando e individualizando, sin que aún se haya integrado en una
sociedad abierta y multirracial.
Así pues, formulo la hipótesis de que la etnicidad no proporciona la
base para paraísos comunales en la sociedad red, porque se fundamenta
en lazos primordiales que pierden significado, cuando se separan de su
contexto histórico, como cimiento para la reconstrucción del sentido en
un mundo de flujos y redes, de recombinación de imágenes y de reasigna-
ción de significado. Los materiales étnicos se integran en comunas cultu-
rales que son más vigorosas y están definidas con mayor amplitud que la
etnicidad, tales como la religión o el nacionalismo, como afirmaciones de
la autonomía cultural en un mundo de símbolos. O, también, la etnicidad
se convierte en el cimiento de trincheras defensivas que luego se territo-
rializan en comunidades locales o incluso en bandas para defender su te-
146
West, 1996, pág. 112.
I 'iiinÍNON comunales: ltlcnlul.nl y se ululo < n l.i MU K d.id IC<I Si
mlorio. Entre las comunas culturales y las unidades territoriales de auto-
defensa, las raíces étnicas se retuercen, se dividen, se reprocesan, se mez-
i-lan, estigmatizadas o recompensadas de modo diferencial según una
nueva lógica de informalización/globalización de las culturas y las econo-
mías que hace compuestos simbólicos con las identidades difusas. La raza
importa, pero ya casi no construye sentido.
IDENTIDADES TERRITORIALES: LA COMUNIDAD LOCAL
Uno de los debates más antiguos en la sociología urbana hace refe-
rencia a la pérdida de la comunidad como resultado, primero de la ur-
banización y, luego, de la suburbanización. Hace algún tiempo, la inves-
tigación empírica, sobre todo la realizada por Claude Fischer y Barry
Wellman147
, parece haber jubilado la noción simplista de una covaria-
ción sistemática de espacio y cultura. La gente se socializa e interactúa
en su entorno local, ya sea en el pueblo, la ciudad o los suburbios resi-
denciales, y construye redes sociales entre sus vecinos. Por otra parte,
las identidades de base local se combinan con otras fuentes de signifi-
cado y reconocimiento social en un patrón altamente diversificado que
permite interpretaciones alternativas. Así que donde, en los años re-
cientes, Etzioni ve el renacimiento de la comunidad en buena medida
de base local, Putnam observa la desintegración de la visión de Tocque-
ville de una intensa sociedad civil en los Estados Unidos, donde las aso-
ciaciones de voluntariado han perdido miembros y actividad de forma
sustancial durante la década de los ochenta148
. Los informes sobre otras
zonas del mundo son igualmente conflictivos en sus valoraciones. Sin
embargo, no pienso que sea inexacto decir que los entornos locales, per
se, no inducen un modelo específico de conducta o, a este respecto, una
identidad distintiva. No obstante, lo que los autores comunalistas sos-
tendrían, y que es coherente con mi propia observación transcultural, es
que la gente se resiste al proceso de individualización y atomización so-
cial, y tiende a agruparse en organizaciones territoriales que, con el
tiempo, generan un sentimiento de pertenencia y, en última instancia,
en muchos casos, una identidad cultural y comunal. Introduzco la hipó-
tesis de que para que esto suceda es necesario un proceso de moviliza-
ción social. Es decir, la gente debe participar en movimientos urbanos
(no muy revolucionarios) mediante los cuales se descubren y defienden
los intereses comunes, se comparte en cierta medida la vida y puede
producirse nuevo sentido.
Sé algo sobre el tema, ya que he pasado una década de mi vida estu-
147
Wellman, 1979; Fischer, 1982.
148
Etzioni, 1993; Putnam, 1995.
K-l II poiliT ele la iiU-nlkliul
diando los movimientos sociales urbanos a lo largo del mundo l4
''. Resu-
miendo mis datos, así como la literatura pertinente, propuse que los mo-
vimientos urbanos (los procesos de movilización social intencionales, or-
ganizados en un territorio determinado, orientados hacia fines
relacionados con lo urbano) se centraban en tres conjuntos principales de
objetivos: demandas urbanas sobre las condiciones de vida y el consumo
colectivo, afirmación de la identidad cultural local y conquista de la auto-
nomía política local y la participación ciudadana. Diferentes movimientos
combinaban estos tres conjuntos de fines en proporciones diversas y los
resultados de sus esfuerzos eran igualmente distintos. No obstante, en
muchos casos, prescindiendo de los logros explícitos del movimiento, su
propia existencia producía sentido, no sólo para quienes participaban en
el movimiento, sino para la comunidad en general. Y no sólo durante su
lapso de vida (usualmente breve), sino en la memoria colectiva de la loca-
lidad. En efecto, sostuve y sostengo que esta producción de sentido es un
componente esencial de las ciudades a lo largo de la historia, ya que el en-
torno construido, con su significado, es resultado de un proceso conflic-
tivo entre los intereses y valores de actores sociales opuestos.
Añadí algo más referente al momento histórico de mi observación (fi-
nales de los años setenta, comienzos de los ochenta), pero proyectando
mi opinión hacia el futuro: los movimientos urbanos se iban a convertir
en fuentes cruciales de resistencia a la lógica unilateral del capitalismo, el
estatismo y el informacionalismo. Era sobre todo porque el fracaso de los
movimientos y políticas (por ejemplo, el movimiento obrero, los partidos
políticos) en contrarrestar la explotación económica, la dominación cultu-
ral y la opresión política había dejado a la gente sin otra elección que ren-
dirse o reaccionar atendiendo a la fuente más inmediata de autorrecono-
cimiento y organización autónoma: su localidad. Así fue como surgió la
paradoja de una política cada vez más local en un mundo estructurado
por procesos cada vez más globales. Había producción de sentido e iden-
tidad: mi barrio, mi comunidad, mi ciudad, mi escuela, mi árbol, mi río,
mi playa, mi capilla, mi paz, mi entorno. Pero era una identidad defen-
siva, una identidad de atrincheramiento de lo conocido contra el carácter
impredecible de lo desconocido e incontrolable. Indefensa de improviso
frente a un torbellino global, la gente se encerró en sí misma; lo que tu-
vieran o lo que fueran se convirtió en su identidad. En 1983 escribí:
Los movimientos urbanos afrontan los temas reales de nuestro tiempo, si bien no
en la escala ni en los términos adecuados para la tarea. Y, sin embargo, no tienen
elección, ya que son la última reacción a la dominación y explotación renovada
que inundan nuestro mundo. Pero son más que una última postura simbólica y un
grito desesperado: son síntomas de nuestras propias contradicciones y, por lo
149
Castells, 1983.
I'ni lilaos comniinles: idnilulad y KCIIIKIH cu In M HUÍ huí ud K5
IIIIIIO, capaces en potencia de superarlas |...| Producen nuevo sentido histórico —
in IÍI zona crepuscular de pretender construir dentro de los muros de una comuni-
dad local una nueva sociedad que saben inalcanzable. Y lo hacen alimentando los
embriones de los movimientos sociales del mañana dentro de las utopías locales
i|iic los movimientos urbanos han construido para no rendirse al barbarismo 15n
.
¿Qué ha pasado desde entonces? Por supuesto, la respuesta empírica
es extraordinariamente diversa, sobre todo si observamos a lo largo de las
culturas y zonas del mundo151
. Sin embargo, en aras del análisis, me aven-
Iuniría a sintetizar las principales trayectorias de los movimientos urbanos
durante las décadas de los ochenta y los noventa bajo cuatro epígrafes.
En primer lugar, en muchos casos los movimientos urbanos, y sus dis-
cursos, actores y organizaciones, se han integrado en la estructura y la
práctica de los gobiernos locales, ya sea de forma directa o indirecta, me-
diante un sistema diversificado de participación ciudadana y desarrollo
comunitario. Esta tendencia, aunque liquida los movimientos urbanos
como fuente de cambio social alternativo, ha reforzado considerable-
mente al gobierno local e introducido la posibilidad del estado local como
instancia significativa de reconstrucción del control político y el signifi-
cado social. Volveré a este hecho fundamental en el capítulo 5, cuando
analice la transformación general del estado.
En segundo lugar, las comunidades locales y sus organizaciones han
alimentado las bases de un movimiento medioambiental amplio e influ-
yente, sobre todo en los barrios de clase media, y en los suburbios, las zo-
nas residenciales más alejadas y el campo urbanizado (véase el cap. 3).
Sin embargo, estos movimientos son con mucha frecuencia defensivos y
reactivos, centrándose en la conservación más estricta de su espacio y en-
torno inmediato, como ejemplifica, en los Estados Unidos, la actitud «en
mi patio trasero, no», mezclando en el mismo rechazo los desechos tóxi-
cos, las plantas nucleares, los proyectos de vivienda pública, las prisiones
y los asentamientos de hogares móviles. Estableceré una distinción im-
portante, que desarrollaré en el capítulo 3 cuando analice el movimiento
ecologista, entre la búsqueda del control del espacio (una reacción defen-
siva) y la búsqueda del control del tiempo; es decir, la conservación de la
naturaleza y del planeta para las generaciones futuras, a muy largo plazo,
por lo que se adopta un tiempo cosmológico y se rechaza el plantea-
miento de tiempo inmediato del desarrollo instrumentalista. Las identida-
des que surgen de estas dos perspectivas son completamente diferentes,
ya que los espacios defensivos conducen al individualismo colectivo y la
sincronización ofensiva hace accesible la reconciliación entre cultura y na-
turaleza, con lo que se introduce una nueva filosofía holística de la vida.
150
Castells, 1983, pág. 331.
151
Massolo, 1992; Fisher y Kling, 1993; Calderón, 1995; Judge et al, 1995; Tanaka, 1995;
Borja y Castells, 1996; Hsia, 1996; Yazawa (en preparación).
«> II poder de I.I iilciiliiliul
En tercer lugar, un vasto número de comunidades pobres de todo el
mundo han participado en una supervivencia colectiva, como en el caso
de las cocinas comunales que florecieron en Santiago de Chile o en Lima
durante la década de los ochenta. Ya sea en los asentamientos ilegales de
América Latina, en el centro de las ciudades estadounidenses o en los ba-
rrios de clase obrera de las ciudades asiáticas, las comunidades han cons-
truido sus «estados de bienestar» propios (en ausencia de las políticas pú-
blicas responsables) basándose en redes de solidaridad y reciprocidad,
con frecuencia en torno a iglesias o apoyadas por organizaciones no gu-
bernamentales con financiación internacional (ONG), y a veces con la
ayuda de los intelectuales de izquierda. Estas comunidades locales orga-
nizadas han desempeñado, y continúan desempeñando, un importante
papel en la supervivencia diaria de una proporción significativa de la po-
blación urbana mundial, en el umbral de la hambruna y la epidemia. Esta
tendencia la ilustró, por ejemplo, la experiencia de asociaciones comuna-
les organizada por la Iglesia católica en Sao Paulo en la década de los
ochenta152
, o por las ONG de patrocinio internacional en Bogotá durante
la década de los noventa153
. En la mayoría de los casos, surge una identi-
dad comunal, aunque es muy frecuente que quede absorbida dentro de la
fe religiosa, hasta el punto de que arriesgaría la hipótesis de que este tipo
de comunitarismo es, sobre todo, una comuna religiosa, ligada a la con-
ciencia de ser los explotados o los excluidos. Así pues, la gente que se or-
ganiza en comunidades locales pobres puede sentirse revitalizada y reco-
nocida como seres humanos mediante la redención religiosa.
En cuarto lugar, este relato tiene un lado oscuro, concerniente a la
evolución de los movimientos urbanos, sobre todo en las zonas urbanas
segregadas, una tendencia que previ hace tiempo:
Si no se escuchan las peticiones de los movimientos urbanos, si siguen cerrados
los nuevos caminos políticos, si los nuevos movimientos sociales centrales (femi-
nismo, nuevo movimiento obrero, autogestión, comunicación alternativa) no se
desarrollan plenamente, volverán los movimientos urbanos —utopías reactivas
que trataron de iluminar la senda que no podían recorrer—, pero esta vez como
sombras urbanas ávidas de destruir los muros cerrados de su ciudad cautiva154
.
Afortunadamente, el fracaso no fue total y la expresión diversificada
de las comunidades locales organizadas proporcionó caminos para la re-
forma, la supervivencia y la autoidentificación, pese a la falta de movi-
mientos sociales importantes, capaces de articular el cambio en la nueva
sociedad que ha surgido en las dos últimas décadas. No obstante, las du-
ras medidas de ajuste económico de los años ochenta, la extendida crisis
152
Cardoso de Leite, 1983; Gohn, 1991.
153
Espinosa y Useche, 1992.
154
Castells, 1983, pág. 327.
r IIIIIMIS I Iiriiiin.ili's: idriiliilad y scnliilci c u la NDCIIMIIIII ir.I K7
• i»• legitimidad política y el impacto exclusionista del espacio de los flujos
obre el espacio de los lugares (véase el volumen I) afectaron a la vida so-
• i.iI y la organización en las comunidades locales pobres. En las ciudades
estadounidenses, surgieron las bandas como una forma importante de
nsociación, trabajo e identidad para cientos de miles de jóvenes. En
electo, como Sánchez Jankowski ha mostrado en su amplio estudio sobre
las bandas l5
 éstas desempeñan un papel estructurador en muchas zonas,
lo que explica el sentimiento ambiguo de los residentes locales hacia ellas,
en parte temerosos, pero también, en parte, capaces de relacionarse con
la sociedad de bandas mejor que con las instituciones oficiales, que sólo
suelen estar presentes en sus manifestaciones represivas. Las bandas, o su
equivalente funcional, no son de ningún modo un graffiti estadounidense.
I .as pandillas de la mayoría de las ciudades latinoamericanas son un ele-
mento clave de sociabilidad en los barrios pobres, al igual que lo son en
Yakarta, Bangkok, Manila, Mantes-la-Jolie (París) o la Meseta de Orcasi-
las (Madrid). Las bandas son una vieja historia en muchas sociedades, so-
bre todo en los Estados Unidos (recuérdese Street Córner Society de Wil-
liam White). No obstante, hay algo nuevo en las bandas de la década de
los noventa, que caracteriza a la construcción de la identidad como el es-
pejo distorsionante de la cultura informacional. Es lo que Magaly Sán-
chez e Yves Pedrazzini, basándose en su estudio de los malandros (chicos
malos) de Caracas, llaman la cultura de la urgencia156
. Es una cultura del
fin inmediato de la vida, no de su negación, sino de su celebración. Por lo
tanto, todo ha de probarse, sentirse, experimentarse, lograrse, antes de
que sea demasiado tarde, ya que no hay mañana. ¿Es en realidad tan dife-
rente de la cultura del narcisismo consumista descrito por Lasch? ¿Han
entendido los chicos malos de Caracas u otros lugares más de prisa que el
resto de nosotros qué ocurre en nuestra sociedad? ¿Es la nueva identidad
de las bandas la cultura del hiperindividualismo comunal? Individualismo
porque, en el modelo de gratificación inmediata, sólo el individuo puede
ser una unidad contable apropiada. Comunalismo porque, para que este
hiperindividualismo sea una identidad —es decir, se socialice como un va-
lor, no sólo como un consumo sin sentido—, necesita un medio de apre-
ciación y apoyo mutuo: una comuna, como en la época de White. Pero, a
diferencia de la de éste, esta comuna puede estallar en cualquier mo-
mento, es una comuna del fin de los tiempos, es una comuna del tiempo
atemporal, que caracteriza a la sociedad red. Y existe, y explota, territo-
rialmente. Las culturas locales de urgencia son la expresión invertida de
la atemporalidad global.
Así pues, las comunidades locales, construidas mediante la acción co-
lectiva y conservadas mediante la memoria colectiva, son fuentes específi-
Sánchez Jankowski, 1991.
Sánchez y Pedrazzini, 1996.
HH I ¡I poilcr de hi ickiilnhid
cas de identidades. Pero estas identidades, en la mayoría de los casos, son
reacciones defensivas contra las imposiciones del desorden global y el
cambio de ritmo rápido e incontrolable. Construyen refugios, sí, pero no
paraísos.
CONCLUSIÓN: LAS COMUNAS CULTURALES DE LA ERA DE LA
INFORMACIÓN
La transformación de nuestra cultura y nuestra sociedad tendrá que ocurrir en di-
versos niveles. Si sólo sucediera en las mentes de los individuos (como ya ha pa-
sado en cierta medida), sería impotente. Si obedeciera sólo a la iniciativa del estado,
sería tiránica. La transformación personal numerosa es esencial, y no debe ser sólo
una transformación de la conciencia, sino que también ha de implicar la acción in-
dividual. Pero los individuos necesitan el alimento de los grupos que llevan consigo
una tradición moral que refuerza sus aspiraciones propias.
Robert Bellah et al, Habits ofthe Heart151
Nuestro viaje intelectual por los paisajes comunales proporciona algu-
nas respuestas preliminares a las preguntas suscitadas al comienzo de este
capítulo sobre la construcción de la identidad en la sociedad red.
Para aquellos actores sociales excluidos de la individualización, o que
se resisten a ella, de la identidad unida a la vida en las redes globales de
poder y riqueza, las comunas culturales de base religiosa, nacional o terri-
torial parecen proporcionar la principal alternativa para la construcción de
sentido en nuestra sociedad. Estas comunas culturales se caracterizan por
tres rasgos principales. Aparecen como reacciones a las tendencias sociales
imperantes, a las que se opone resistencia en nombre de las fuentes autó-
nomas de sentido. Son, desde el principio, identidades defensivas que fun-
cionan como refugio y solidaridad, para proteger contra un mundo exte-
rior hostil. Están constituidas desde la cultura; esto es, organizadas en
torno a un conjunto específico de valores, cuyo significado y participación
están marcados por códigos específicos de autoidentificación: la comuni-
dad de creyentes, los iconos del nacionalismo, la geografía de la localidad.
La etnicidad, aunque es un rasgo fundamental de nuestras sociedades,
sobre todo como fuente de discriminación y estigma, no puede inducir por
sí misma comunas. Más bien, es probable que se incorpore a la religión, la
nación y la localidad, cuya especificidad tiende a reforzar.
La constitución de estas comunas culturales no es arbitraria. Utiliza
las materias primas de la historia, la geografía, la lengua y el entorno. Así
que se construyen, pero materialmente, en torno a reacciones y proyectos
determinados por la historia y la geografía.
157
Bellah et al,, 1985, pág. 286.
I'IHIIISOÜ comunales: idcnlicliul y senlulu en ln noniilml ivil m
lil fundamentalismo religioso, el nacionalismo cultural, las comunas
Un itoriales son, en general, reacciones defensivas. Reacciones contra tres
amenazas fundamentales, percibidas en todas las sociedades por la mayo-
ría de la humanidad en este fin de milenio. Reacción contra la globaliza-
i'ión, que disuelve la autonomía de las instituciones, las organizaciones y
los sistemas de comunicación donde vive la gente. Reacción contra la in-
lerconexión y la flexibilidad, que difumina los límites de la pertenencia y
la participación, individualiza las relaciones sociales de producción y pro-
voca la inestabilidad estructural del trabajo, el espacio y el tiempo. Reac-
ción contra la crisis de la familia patriarcal, raíz de la transformación de
los mecanismos de construcción de la seguridad, la socialización, la sexua-
lidad y, por lo tanto, de los sistemas de la personalidad. Cuando el mundo
so vuelve demasiado grande para ser controlado, los actores sociales pre-
tenden reducirlo de nuevo a su tamaño y alcance. Cuando las redes di-
suelven el tiempo y el espacio, la gente se ancla en los lugares y recuerda
su memoria histórica. Cuando el sustento patriarcal de la personalidad se
quiebra, la gente afirma el valor transcendente de la familia y la comuni-
dad, como voluntad de Dios.
Estas reacciones defensivas se convierten en fuentes de sentido e
identidad mediante la construcción de nuevos códigos culturales a partir
de materiales históricos. Como los nuevos procesos de dominación a los
que reacciona la gente están insertos en los flujos de información, la cons-
trucción de la autonomía ha de basarse en la inversión de estos flujos.
Dios, patria, familia y comunidad proporcionarán códigos eternos e in-
destructibles en torno a los cuales se organizará una contraofensiva a la
cultura de la virtualidad real. La verdad eterna no puede virtualizarse.
Está incorporada en nosotros. Por lo tanto, contra la informacionaliza-
ción de la cultura, se informacionalizan los cuerpos. Es decir, los indivi-
duos llevan sus dioses en su corazón. No razonan, creen. Son la manifes-
tación corporal de los valores eternos de Dios y, como tales, no pueden
disolverse, perderse en el torbellino de los flujos de información y las re-
des transorganizativas. Por ello, la lengua y las imágenes comunales son
tan esenciales para restaurar la comunicación entre los cuerpos autonomi-
zados, escapando al dominio de los flujos ahistóricos, pero tratando de
restablecer nuevos modelos de comunicación significativa entre los cre-
yentes.
Esta forma de construir la identidad gira esencialmente en torno al
principio de la identidad de resistencia, como se definió al comienzo de
este capítulo. La identidad legitimadora parece haber entrado en una cri-
sis fundamental debido a la rápida desintegración de la sociedad civil he-
redada de la era industrial y al declive del estado-nación, la principal
fuente de legitimidad (véase el cap. 5). En efecto, las comunas culturales
que organizan la nueva resistencia surgen como fuentes de identidad al
separarse de las sociedades civiles y las instituciones estatales a partir de
'1(1 El poder de la identidad
las cuales se originaron, como es el caso del fundamentalismo islámico
que se desprendió de la modernización económica (Irán) y del naciona-
lismo de los estados árabes; o de los movimientos nacionalistas, que desa-
fían al estado-nación y a las instituciones estatales de las sociedades
donde nacen. Esta negación de las sociedades civiles y las instituciones
políticas, donde surgen comunas culturales, lleva al cierre de las fronteras
de la comuna. En contraste con las sociedades civiles diferenciadas y plu-
ralistas, las comunas culturales muestran escasa diferenciación interna.
En efecto, su fuerza y su capacidad para proporcionar refugio, consuelo,
certidumbre y protección proviene precisamente de su carácter comunal,
de su responsabilidad colectiva, que borra los proyectos individuales. Así
pues, en el primer estadio de la reacción, la (re)construcción del sentido
por parte de las identidades defensivas se desprende de las instituciones
de la sociedad y promete reedificarla de arriba abajo, mientras se atrin-
cheran en un paraíso comunal.
Es posible que de esas comunas puedan surgir nuevos sujetos —esto
es, nuevos agentes de transformación social—, con lo que se construirá un
nuevo sentido en torno a la identidad proyecto. En efecto, sostendría que,
dada la crisis estructural de la sociedad civil y el estado-nación, quizás
ésta sea la principal fuente potencial de cambio social en la sociedad red.
En cuanto a cómo y por qué estos nuevos sujetos proactivos podrían for-
marse a partir de estas comunas culturales reactivas, será el núcleo del
análisis de los movimientos sociales en la sociedad red que desarrollaré a
lo largo de este volumen.
Pero ya podemos decir algo atendiendo a las observaciones y exposi-
ciones presentadas en este capítulo. El surgimiento de identidades pro-
yecto de tipos diferentes no es una necesidad histórica. Muy bien pudiera
ser que la resistencia cultural permaneciera encerrada en las fronteras de
las comunas. Si esto es así, y donde y cuando lo sea, el comunalismo ce-
rrará el círculo de su fundamentalismo latente sobre sus propios compo-
nentes, provocando un proceso que quizás transforme los paraísos comu-
nales en infiernos celestiales.
mmaé
LA OTRA CARA DE LA TIERRA: MOVIMIENTOS
SOCIALES CONTRA EL NUEVO ORDEN GLOBAL
Tu problema es el mismo que tienen muchos. Se refiere a la doctrina económica y
social conocida como «neoliberalismo» [...] ¡Es un problema metateórico! Sí, uste-
des parten de que el «neoliberalismo» es una doctrina. Y por «ustedes» me refiero a
los que insisten en esquemas rígidos y cuadrados como su cabeza. Ustedes piensan
que el «neoliberalismo» es una doctrina del capitalismo para enfrentar las crisis
económicas que el mismo capitalismo atribuye al «populismo». [...] Bien, resulta
que el «neoclasicismo» no es una teoría para enfrentar o explicar la crisis. ¡Es la
crisis misma hecha teoría y doctrina económica! Es decir, que el «neoliberalismo»
no tiene la más mínima coherencia, no tiene planes ni perspectiva histórica. En fin,
pura mierda teórica.
Durito hablando al Subcomandante Marcos en la Selva
Lacandona, 19941
.
GLOBALIZACIÓN, INFORMACIONALIZACIÓN Y MOVIMIENTOS SOCIALES2
La globalización y la informacionalización, instituidas por las redes de
riqueza, tecnología y poder, están transformando nuestro mundo. Están
ampliando nuestra capacidad productiva, nuestra creatividad cultural y
nuestro potencial de comunicación. Al mismo tiempo, están privando de
sus derechos ciudadanos a las sociedades. Como las instituciones del es-
tado y las organizaciones de la sociedad civil se basan en la cultura, la his-
1
Durito es un personaje habitual en los escritos del Subcomandante Marcos, el portavoz
de los zapatistas. Es un escarabajo, pero muy listo; de hecho, es el consejero intelectual de
Marcos. El problema es que siempre teme ser aplastado por los numerosos guerrilleros que
lo rodean, así que pide a Marcos que mantenga a la guerrilla con poca gente. Este texto de
Durito aparece en Ejército Zapatista de Liberación Nacional/Subcomandante Marcos, 1995,
págs. 58 y 59.
2
Este capítulo se ha beneficiado de los valiosos intercambios intelectuales realizados en
el Seminario Internacional sobre Globalización y Movimientos Sociales, organizado por el
International Sociological Association Research Commmittee on Social Movements, que se
celebró en Santa Cruz (California) del 16 al 19 de abril de 1996. Agradezco a los organiza-
dores del seminario, Barbara Epstein y Louis Maheu, su amable invitación.
'Vi II poder de la identidad
toria y la geografía, la aceleración repentina del tempo histórico y la abs-
tracción del poder en una red de ordenadores están desintegrando los
mecanismos de control social y representación política existentes. Con la
excepción de una pequeña élite de globopolitas (mitad seres, mitad flu-
jos), en todo el mundo las personas sufren una pérdida de control sobre
sus vidas, sus entornos, sus puestos de trabajo, sus economías, sus gobier-
nos, sus países y, en definitiva, sobre el destino de la tierra. Así pues, si-
guiendo una antigua ley de la evolución social, la resistencia se enfrenta a
la dominación, la movilización reacciona contra la impotencia y los pro-
yectos alternativos desafían a la lógica imbuida en el nuevo orden global,
que en todo el planeta se percibe cada vez más como un desorden. Sin
embargo, estas reacciones y movilizaciones, como con frecuencia sucede
en la historia, se presentan en formatos inusuales y avanzan por vías ines-
peradas. Este capítulo y el siguiente exploran esas vías.
Para ampliar el alcance empírico de mi estudio, a la vez que mantengo
su enfoque analítico, compararé tres movimientos que se oponen de
forma explícita al orden global de la década de los noventa, provenientes
de contextos culturales, económicos e institucionales extremadamente di-
ferentes y mediante ideologías claramente opuestas: los zapatistas de
Chiapas (México), la milicia estadounidense, y Aum Shinrikyo, una secta
japonesa.
En el capítulo siguiente, analizaré el movimiento ecologista, del que
cabría afirmar que es el más ubicuo e influyente de nuestro tiempo. A su
modo y mediante la cacofonía creativa de sus múltiples voces, también
desafía el desorden ecológico global, el riesgo del ecosuicidio, producido
por el desarrollo global incontrolado y por la liberación de fuerzas tecno-
lógicas sin precedentes, sin comprobar si son sostenibles social y medio-
ambientalmente. Pero su especificidad cultural y política, y su carácter de
movimiento social proactivo más que reactivo, aconsejan un tratamiento
analítico separado, como algo distinto de los movimientos defensivos
construidos en torno a las trincheras de identidades específicas.
Antes de adentrarnos en el núcleo del tema, permítaseme introducir
tres breves comentarios metodológicos que son necesarios para compren-
der los análisis que se van a presentar en las páginas siguientes3
.
En primer lugar, los movimientos sociales han de comprenderse en sus
propios términos: a saber, son lo que dicen ser. Sus prácticas (y sobre todo
sus prácticas discursivas) son su autodefinición. Este planteamiento nos
evita la complicada tarea de interpretar la «verdadera» conciencia de los
movimientos, como si sólo pudieran existir revelando las contradicciones
3
Para una exposición teórica de los movimientos sociales con relevancia directa para la
investigación que se presenta, véanse Castell, 1983; Dalton y Kuechler, 1990; Epstein, 1991;
Riechmann y Fernández Buey, 1994; Calderón, 1995; Dubet y Wieviorka, 1995; Maheu,
1995; Melucci, 1995; Touraine, 1995; Touraine etal., 1996; Yazawa, 1996.
I n dlru cora de la Tierra: movimicnloN NOIIIUVUIOMIIII <-l nuevo enden global 'M
estructurales «reales». Como si, para nacer, tuvieran que cargar por nece-
sidad con esas contradicciones, como llevan sus armas y enarbolan sus
banderas. Una operación de investigación diferente y necesaria es esta-
blecer la relación entre los movimientos, según los definen su práctica, sus
valores y sus discursos, y los procesos sociales a los que parecen estar aso-
nados: por ejemplo, la globalízación, la informacionalización, la crisis de
la democracia representativa y el dominio de la política simbólica en el
espacio de los medios de comunicación. En mi análisis trataré de realizar
ambas operaciones: la caracterización de cada movimiento, atendiendo a
su propia dinámica específica, y su interacción con los procesos más am-
plios que provocan su existencia y resultan modificados por la misma. La
importancia que otorgo al discurso de los movimientos se reflejará en lo
que escriba. Al presentar y analizar los movimientos, seguiré muy de
cerca sus propias palabras, no sólo las ideas, según se recogen en los do-
cumentos sobre los que he trabajado. Sin embargo, para ahorrar al lector
los detalles minuciosos de las citas, he optado por presentar referencias
genéricas a los materiales de los que se han obtenido los discursos, de-
jando que el lector interesado encuentre en ellos las palabras precisas de
las que da cuenta este texto.
En segundo lugar, los movimientos sociales pueden ser socialmente
conservadores, socialmente revolucionarios, ambas cosas a la vez o nin-
guna. Después de todo, hemos llegado a la conclusión (espero que para
siempre) de que no existe una direccionalidad predeterminada en la evo-
lución social, que el único sentido de la historia es la historia que senti-
mos. Por lo tanto, desde una perspectiva analítica, no hay movimientos
sociales «malos» ni «buenos». Todos son síntomas de nuestras sociedades
y todos chocan con las estructuras sociales, con intensidades variables y
resultados que deben establecerse mediante la investigación. Así pues,
me gustan los zapatistas, no me gusta la milicia estadounidense y me ho-
rroriza Aum Shinrikyo. No obstante,, todos son, como sostendré, signos
significativos de nuevos conflictos sociales y embriones de resistencia so-
cial y, en algunos casos, de cambio social. Sólo explorando con una mente
abierta el nuevo paisaje histórico, seremos capaces de encontrar senderos
luminosos, abismos oscuros y resquicios confusos en el camino hacia la
nueva sociedad que surge de las crisis actuales.
En tercer lugar, para poner cierto orden en una masa de materiales
muy diversos sobre los movimientos sociales que van a examinarse en
este capítulo y los siguientes, me resultó útil clasificarlos según la tipolo-
gía clásica de Alain Touraine, que define un movimiento social mediante
tres principios: la identidad del movimiento, el adversario del movimiento
y la visión o modelo social del movimiento, que yo denomino objetivo so-
cial4
. En mi adaptación personal (que considero coherente con la teorías
4
Touraine, 1965, 1966. De hecho, su formulación utiliza una terminología ligeramente
94 El poder de la identidad
de Touraine), la identidad hace referencia a la autodefinición del movi-
miento, de lo que es, en nombre de quién habla. El adversario hace refe-
rencia al principal enemigo del movimiento, según lo identifica éste de
Corma explícita. El objetivo social hace referencia a la visión del movi-
miento del tipo de orden social, u organización social, que desearía obte-
ner en el horizonte histórico de su acción colectiva.
Una vez aclarado el punto de partida, emprendamos este viaje a la
otra cara de la tierra, la que rechaza la globalización en aras del capital y
la informacionalización en aras de la tecnología. Y donde los sueños del
pasado y las pesadillas del futuro habitan en un mundo caótico de pasión,
generosidad, prejuicio, miedo, fantasía, violencia, estrategias fallidas y
golpes de suerte. Humanidad, al fin y al cabo.
Los tres movimientos que he seleccionado para comprender el le-
vantamiento contra la globalización son extremadamente diferentes en
su identidad, sus objetivos, su ideología y su relación con la sociedad5
.
Éste es precisamente el interés de la comparación porque son similares,
pese a todo, en su oposición explícita al nuevo orden global, identifi-
cado como el enemigo en su discurso y en su práctica. Y es probable
que todos ellos tengan repercusiones importantes en sus sociedades, de
forma directa o indirecta. Los zapatistas ya han transformado México,
provocando una crisis en la política corrupta y la economía injusta pre-
valecientes, mientras plantean propuestas para la reconstrucción demo-
crática que se están debatiendo ampliamente en México y en todo el
mundo. La milicia estadounidense, el componente más militante de un
movimiento sociopolítico más extenso que se identifica a sí mismo como
Los Patriotas (o Falsos Patriotas, como los denominan sus críticos),
tiene raíces mucho más profundas en la sociedad estadounidense de lo
que suele reconocerse y puede provocar acontecimientos impredecibles
y significativos en la tensa escena política estadounidense, como sosten-
dré más adelante. Aum Shinrikyo, aunque sigue siendo una secta margi-
nal en la sociedad japonesa, dominó la atención de los medios de comu-
nicación y el debate público durante más de un año (en 1995-1996) y ha
actuado como un síntoma de heridas inadvertidas y dramas profundos
desarrollados tras el telón de la serenidad japonesa. Lo que trato de es-
tablecer al reunir en el análisis estas rebeliones diferentes y dinámicas
es precisamente la diversidad de las fuentes de la resistencia al nuevo
orden global. Junto con el recordatorio de que la ilusión neoliberal del
diferente, en francés: principe d'identité, principe d'opposition, principe de totalité. He deci-
dido que resultaría más claro para una audiencia internacional emplear palabras más llanas
para decir lo mismo, a riesgo de perder el auténtico sabor francés.
' Este análisis comparativo se basa en un estudio conjunto realizado con Shujiro Yazawa
y Emma Kiselyova en 1995. Para una primera elaboración de este estudio, véase Castells et
al.. 1996.
La otra cara de la Tierra: movimientos sociales contra el nuevo orden global 95
fin de la historia ha terminado, cuando las sociedades apelan a su espe-
cificidad histórica y se vengan de su dominación por los flujos globales.
I X)S ZAPATISTAS DE MÉXICO: LA PRIMERA GUERRILLA INFORMACIONAL6
l.l Movimiento Civil Zapatista es un movimiento que opone la solidaridad social a
la delincuencia organizada desde el poder del dinero y del gobierno.
Del Manifiesto fundacional del Movimiento Civil Zapatista,
San Cristóbal de las Casas, agosto de 1995. Citado de
Ejército Zapatista de Liberación Nacional, 1995, pág. 286.
I.o nuevo en la historia política de México, es que el proceso se revierta contra el
poder a partir de que se genera una forma de comunicación alterna. [...]
Lo nuevo en la guerra política de Chiapas fue el surgimiento de distintos ceñ-
iros emisores que interpretaron los hechos de forma variadísima. La información
pública que llegaba a la sociedad, a través de los medios de comunicación y por las
i ilras vías alternas que hoy permite la tecnología, fue superior a la que podían con-
trolar las estrategias de comunicación convencionales. Marcos opinaba, la iglesia
apiñaba, opinaban los periodistas independientes, las organizaciones no guberna-
mentales y algunos intelectuales, desde la selva, desde la Ciudad de México o desde
las capitales financieras y políticas del mundo. Esas opiniones alternas, potenciadas
por medios de comunicación abiertos, o por medios cerrados que resintieron la
competencia de los medios abiertos, pusieron en entredicho las formas tradicionales
de construcción de «lo cierto», y dieron cabida también, dentro del régimen polí-
tico, a opiniones distintas. [...] La opinión del PRI se fragmentó.
Moreno Toscano, Turbulencia política, pág. 82.
México, la nación que generó el prototipo de la revolución social del siglo xx,
es ahora el escenario del prototipo de la guerra red social y transnacional del si-
glo xxi.
Rondfeldt, Rand Corporation, 1995
* El análisis del movimiento zapatista que se presenta tiene una gran deuda, como es
con frecuencia el caso en este libro, con la contribución de dos mujeres. La profesora Ale-
liindra Moreno Toscano, distinguida historiadora urbana y antigua Secretaria de la Seguri-
dad Social de México D.F., fue ayudante de Manuel Camacho, el representante presidencial
durante el periodo crítico de las negociaciones entre el gobierno mexicano y los zapatistas
en los primeros meses de 1994. Me proporcionó documentos y perspicaces opiniones, y me
iiyudó decisivamente a comprender el proceso general de la política mexicana en 1994-1996.
I'ara su análisis (el planteamiento más inteligente que he leído), véase Moreno Toscano,
1996. En segundo lugar, María Elena Martínez Torres, una de mis alumnas de doctorado de
Hcrkeley, era una minuciosa observadora del campesinado chiapaneco. Durante nuestra in-
teracción intelectual, me proporcionó sus propios análisis (Martínez Torres, 1994,1996). Na-
turalmente, admito la responsabilidad exclusiva de la interpretación y los posibles errores en
las conclusiones presentadas en este libro. Las fuentes adicionales que se han utilizado para
el movimiento zapatista son: García de León, 1985; Arquilla y Rondfeldt, 1993; Collier y Lo-
wery Quaratiello, 1994; Ejército Zapatista de Liberación Nacional, 1994,1995; Trejo Delar-
bre, 1994a, b; Collier, 1995; Hernández Navarro, 1995; Nash et al, 1995; Rojas, 1995; Rond-
feldt, 1995; Tello Díaz, 1995; Woldenberg, 1995.
'«) El poder de la identidad
El 1 de enero de 1994, el primer día del Tratado de Libre Comercio de
América del Norte (TLC), unos 3.000 hombres y mujeres, organizados en
el Ejército Zapatista de Liberación Nacional, ligeramente armados, se hi-
cieron con el control de los principales municipios adyacentes a la Selva
Lacandona, en el estado sureño mexicano de Chiapas: San Cristóbal de
las Casas, Altamirano, Ocosingo y Las Margaritas. La mayoría de ellos
eran indios de varios grupos étnicos, aunque también había mestizos, y al-
gunos de sus dirigentes, y en particular su portavoz, el Subcomandante
Marcos, eran intelectuales urbanos. Los dirigentes escondían sus rostros
bajo pasamontañas. Cuando el ejército mexicano envió refuerzos, las gue-
rrillas se retiraron a la selva en buen orden. Sin embargo, varias docenas
de ellos, así como civiles y diversos soldados y policías, murieron en el en-
frentamiento o fueron ejecutados sumariamente por los soldados poco
después. La repercusión del alzamiento en México y la amplia simpatía
que la causa zapatista inspiró de inmediato en el país y en el mundo con-
vencieron al presidente mexicano, Carlos Salinas de Gortari, de que ha-
bía que negociar. El 12 de enero, Salinas anunció un alto el fuego unilate-
ral y nombró «comisionado para la paz» a Manuel Camacho, respetado
político mexicano, en determinado momento considerado su probable su-
cesor, pero que había renunciado al gobierno cuando Salinas frustró sus
esperanzas presidenciales (véase mi análisis sobre la crisis política mexi-
cana en el capítulo 5). Manuel Camacho y su asesora intelectual de con-
fianza, Alejandra Moreno Toscano, viajaron a Chiapas, se reunieron con
el influyente obispo católico Samuel Ruiz y entablaron serias conversa-
ciones de paz con los zapatistas, que en seguida reconocieron la sinceri-
dad del diálogo, aunque se mantuvieron justificablemente cautelosos ante
la represión potencial o la manipulación. Camacho leyó a los insurgentes
un texto en tzotzil, también difundido en tzeltal y chol: era la primera vez
que un alto cargo mexicano reconocía las lenguas indias. El 27 de enero,
se firmó un acuerdo que establecía un alto el fuego, la liberación de los
prisioneros de ambas partes y el establecimiento de un proceso de nego-
ciación sobre una agenda amplia de reforma política, derechos de los in-
dios y demandas sociales.
¿Quiénes son los zapatistas?
¿Quiénes eran esos insurgentes, desconocidos hasta entonces para el
resto del mundo, pese a dos décadas de amplias movilizaciones campesi-
nas en las comunidades de Chiapas y Oaxaca? Eran campesinos, en su
mayoría indios, tzeltales, tzotziles y choles, generalmente de las comuni-
dades establecidas desde la década de los cuarenta en la selva lacandona
de la frontera con Guatemala. Estas comunidades se fundaron con el res-
paldo gubernamental para encontrar un modo de salir de la crisis social
I ii olni cnni ik- l.i I u i n i ni<>VUI)ILII|>>S .cu i.ili-s c onii.i i-I nuevo oiilcn global 97
creada por la expulsión de los acasillados (campesinos sin tierras que tra-
bajan para los terratenientes) de las fincas y ranchos propiedad de terra-
tenientes medianos y grandes, en general mestizos. Durante siglos, los in-
dios y los campesinos han sufrido el abuso de los colonizadores,
burócratas y colonos. Y durante décadas, se los ha mantenido en una in-
seguridad constante, ya que la posición de sus asentamientos cambiaba
l recuentemente, de acuerdo con los intereses del gobierno y los terrate-
nientes. En 1972, el presidente Echeverría decidió crear la «reserva de la
biosfera» de Montes Azules y devolver la mayor parte de la selva a las 66
familias de la tribu lacandona original, así que ordenó la reubicación de
4.000 familias que se habían reasentado en esta zona, tras su expulsión de
sus comunidades originales. Tras las tribus lacandonas y el repentino
amor a la naturaleza estaban los intereses de la compañía forestal Cofo-
lasa, apoyada por la compañía de desarrollo gubernamental NAFINSA,
que recibió los derechos de explotación forestal. La mayoría de los colo-
nos se negaron a la reubicación y comenzó una lucha de veinte años por
su derecho a la tierra, que aún persistía cuando Salinas asumió la presi-
dencia en 1988. Salinas acabó aceptando los derechos de algunos colonos,
pero restringió su generosidad a aquellos pocos que apoyaban al PRI
(Partido Revolucionario Institucional), el partido del gobierno. En 1992,
un nuevo decreto abolió los derechos legales de las comunidades indias
que se habían reasentado por segunda vez. Ahora el pretexto era la Con-
ferencia de Río sobre el Medio Ambiente y la necesidad de proteger la
selva tropical. También se restringió el forraje del ganado en la zona para
ayudar a los rancheros de Chiapas, que competían con el ganado de con-
trabando procedente de Guatemala. El golpe final a la frágil economía de
las comunidades campesinas llegó cuando las políticas de liberalización
mexicanas de la década de los noventa, en preparación para el TLC, in-
crementaron las importaciones de maíz y eliminaron la protección del
precio del café. La economía local, basada en la silvicultura, el ganado, el
café y el maíz, quedó desmantelada. Además, la posición de la tierra co-
munal se hizo incierta tras la reforma realizada por Salinas del histórico
artículo 27 de la Constitución mexicana, que ponía fin a la posesión co-
munal de la propiedad agrícola por parte de los ejidos, en favor de la
plena comercialización de la propiedad individual, otra medida directa-
mente relacionada con el alineamiento de México con la privatización de
acuerdo con el TLC. En 1992 y 1993, los campesinos se movilizaron pací-
ficamente contra esas políticas. Pero después de que su enérgica marcha
de Xi' Nich, que llevó a miles de campesinos de Palenque a la Ciudad de
México, quedara sin respuesta, cambiaron de táctica. A mediados de
1993, en la mayoría de las comunidades lacandonas no se plantó maíz, se
dejó el café en las matas, los niños abandonaron las escuelas y se vendió
el ganado para comprar armas. El encabezamiento de la Proclama de los
insurgentes del 1 de enero de 1994 decía: «¡Hoy decimos BASTA!»
'« VA poder de l.i idrnlichiil
Esas comunidades campesinas, en su mayoría indias, a las que se unie-
ron otros asentamientos de la región de Los Altos, no estaban solas en las
luchas sociales que habían acometido desde comienzos de la década de
los setenta. Estaban respaldadas, y hasta cierta medida organizadas, por
la Iglesia católica, bajo la iniciativa del obispo de San Cristóbal de las Ca-
sas, Samuel Ruiz, relacionado con la teología de la liberación. Los sacer-
dotes no sólo apoyaban y legitimaban las demandas de los indios, sino
que los ayudaron a formar cientos de cuadros de los sindicatos campesi-
nos. Estos cuadros compartían la pertenencia a la iglesia y a los sindica-
tos. Más de cien tuhuneles (ayudantes de los sacerdotes) y más de mil ca-
tequistas constituían la espina dorsal del movimiento, que se desarrolló
en la forma de sindicatos campesinos, cada uno de ellos basado en una
comunidad (ejido). El fuerte sentimiento religioso de los indios se reforzó
por la educación, la información y el respaldo de la Iglesia, llevando a fre-
cuentes conflictos entre la iglesia local, por una parte, y los rancheros y el
aparato político priísta de Chiapas, por otra. No obstante, aunque la Igle-
sia fue decisiva en la educación, organización y movilización de las comu-
nidades campesinas indias durante muchos años, Samuel Ruiz y sus ayu-
dantes se opusieron con fuerza a la lucha armada y no se encontraban
entre los rebeldes, en contra de las acusaciones de los rancheros chiapa-
necos. Los cuadros que organizaron la insurrección armada provenían, en
su mayoría, de las propias comunidades indias, sobre todo de las filas de
los hombres y mujeres jóvenes que habían crecido en el nuevo clima de
zozobra económica y lucha social. Otros cuadros provenían de los grupos
maoístas formados en el México urbano (sobre todo en la Ciudad de Mé-
xico y Monterrey) en la década de los setenta, en la estela del movimiento
estudiantil de 1968 aplastado en la matanza de Tlatelolco. Las Fuerzas de
Liberación Nacional parecen haber sido activas en la zona durante largo
tiempo, aunque los relatos difieren en este punto. En cualquier caso, sea
cual fuere el origen, parece que, tras una serie de reveses en las zonas ur-
banas, unos cuantos revolucionarios, hombres y mujeres, emprendieron
la larga marcha de establecer su credibilidad entre los sectores más opri-
midos del país, mediante un trabajo político paciente, compartiendo sus
privaciones y luchas. Marcos parece haber sido uno de esos militantes,
que llegó a la región a comienzos de la década de los ochenta según las
fuentes gubernamentales, tras terminar sus estudios de sociología y comu-
nicación en México y París, y enseñar ciencias sociales en una de las me-
jores universidades de México D.F.7
Sin duda, es un intelectual muy culto
7
El gobierno mexicano declara haber identificado al Subcomandante Marcos y los prin-
cipales dirigentes de los zapatistas, y parece ser verosímil. Los medios de comunicación han
informado sobre ello ampliamente. Sin embargo, puesto que los zapatistas siguen siendo in-
surgentes en el momento en que escribo este texto, no considero apropiado aceptar esas de-
claraciones como un hecho.
I íi mía ctini de la Tierra: movimiento!» NOCIHICN conlni el nuevo orden global 9')
• |in* habla varias lenguas, escribe bien, es extraordinariamente imagina-
tivo, liene un gran sentido del humor y se encuentra cómodo en su rela-
• ion con los medios de comunicación. Estos intelectuales revolucionarios,
• Irbido a su honestidad y dedicación, fueron bien recibidos por los sacer-
• tules y, durante largo tiempo, pese a las diferencias ideológicas, trabaja-
ii ni juntos organizando a las comunidades campesinas y respaldando sus
luchas. Sólo después de 1992, cuando las promesas de reformas continua-
ron sin cumplirse y cuando la situación de las comunidades lacandonas se
hizo más extrema debido al proceso general de modernización económica
tic México, los militantes zapatistas establecieron su propia estructura e
iniciaron la preparación para la guerra de guerrillas. En mayo de 1993
divo lugar la primera escaramuza con el ejército, pero el gobierno mexi-
cano minimizó el incidente para evitar problemas en la ratificación del
TLC por el Congreso de los Estados Unidos. Sin embargo, debe desta-
carse que el liderazgo de los zapatistas es genuinamente campesino y so-
bre todo indio. Marcos y otros militantes urbanos no podían actuar por
• lienta propia8
. El proceso de deliberación, así como la negociación con
• I gobierno, contó con la plena participación de las comunidades. Esto re-
ullaba crucial puesto que, una vez que se hubiera tomado una decisión,
toda la comunidad tenía que seguirla, hasta el punto de que, en unos po-
cos casos, se expulsó a vecinos por su negativa a participar en el levanta-
miento. No obstante, durante los dos años y medio del proceso de suble-
vación abierta, la abrumadora mayoría de las comunidades lacandonas
y la mayoría de los indios de Chiapas mostraron su apoyo a los insurgen-
les, siguiéndolos a la selva cuando el ejército tomó sus aldeas en febrero
de 1995.
El sistema de valores de los zapatistas: identidad, adversarios y objetivos
Las causas profundas de la rebelión resultan obvias, pero ¿cuáles son
las demandas, objetivos y valores de los insurgentes? ¿Cómo se ven a sí
mismos y cómo identifican a su enemigo? Por una parte, se sitúan en con-
tinuidad histórica con quinientos años de lucha contra la colonización y la
opresión. En efecto, el momento decisivo del movimiento campesino fue
la manifestación masiva en San Cristóbal de las Casas el 12 de octubre de
1992, protestando por el quinto centenario de la conquista española de
América con la destrucción de la estatua del conquistador de Chiapas,
Diego de Mazariegos. Por otra parte, ven la reencarnación de esta opre-
sión en la forma actual del nuevo orden global: el TLC y las reformas li-
beralizadoras emprendidas por el presidente Salinas, que no logró incluir
a los campesinos e indios en el proceso de modernización. Los cambios
8
Moreno Toscano, 1996.
I(H) El poder de la identidad
del histórico artículo 27 de la Constitución mexicana, que había otorgado
satisfacción formal a las demandas de los revolucionarios agraristas enca-
bezados por Emiliano Zapata, se convirtieron en el símbolo de la exclu-
sión de las comunidades campesinas por el nuevo orden de Iibrecomer-
ciantes. A esta crítica, compartida por todo el movimiento, Marcos y
otros añadieron su propio desafío al nuevo orden global: la proyección
del sueño socialista revolucionario más allá del fin del comunismo y la de-
saparición de los movimientos guerrilleros en Centroaméríca. Como es-
cribió Marcos con ironía:
No hay para qué luchar. El socialismo ha muerto. Viva el conformismo y la re-
forma y la modernidad y el capitalismo y los crueles etcéteras que a esto se aso-
cian y siguen. [...] Que haya sensatez. Que nada pase en el campo y en la ciudad,
que todo siga igual. El socialismo ha muerto. Viva el capital. Radio, prensa y tele-
visión lo proclaman, lo repiten algunos ex socialistas, ahora sensatamente arre-
pentidos9
.
Así, la oposición zapatista al nuevo orden global es doble: luchan con-
tra las consecuencias excluyentes de la modernización económica; pero
también desafían la inevitabilidad de un nuevo orden geopolítico bajo el
cual el capitalismo se acepta de forma universal.
Los insurgentes afirmaban su orgullo indio y luchaban por el recono-
cimiento de los derechos indios en la Constitución mexicana. Sin em-
bargo, no parece que la defensa de la identidad étnica sea un elemento
decisivo en el movimiento. De hecho, las comunidades lacandonas habían
sido creadas por reasentamientos forzados que dispersaron las identida-
des originales de diferentes comunidades y las reunieron como campesi-
nos. Además, parece que, como escribe Collier:
Antes, la identidad étnica dividía unas de otras a las comunidades indígenas de las
tierras altas centrales de Chiapas. Los acontecimientos recientes acentuaron una
transformación: ahora, a raíz de la rebelión zapatista, las gentes de diversas prove-
niencias indígenas están destacando lo que comparten en la reivindicación de la
explotación económica, social y política10
.
9
EZLN, 1994, pág. 61.
10
Collier, 1995, pág. 1; Martínez Torres (1994) plantea un argumento similar. En el Ma-
nifiesto emitido por los zapatistas por Internet en noviembre de 1995, para conmemorar el
duodécimo aniversario de la fundación de su organización, destacaron mucho su carácter de
movimiento mexicano para la justicia y la democracia, más allá de la defensa de la identidad
india: «El país que queremos, lo queremos para todos los mexicanos, y no sólo para los in-
dios. La Democracia, Libertad y Justicia que queremos, las queremos para todos los mexica-
nos, y no sólo para los indios. No queremos separarnos de la Nación Mexicana, queremos
ser parte de ella, queremos ser aceptados como iguales, como personas con dignidad, como
seres humanos [...] Aquí estamos, hermanos, los muertos de siempre. Muriendo de nuevo,
pero ahora para vivir». (EZLN, Comunicado por Internet, 17 de noviembre de 1995).
I ii otra cara de la Tierra: movimiento» NOCIIIICN conlru el nuevo orden global " 11)1
Así pues, esta nueva identidad india se construyó mediante su lucha y
lli'CÓ a incluir a varios grupos étnicos: «Lo que tenemos en común es 4a
lirira que nos dio la vida y la lucha» n
.
Los zapatistas no son subversivos, sino rebeldes legitimados. Son pa-
utólas mexicanos, levantados en armas contra las nuevas formas de do-
minación extranjera del imperialismo estadounidense. Y son
demócratas, apelando al artículo 39 de la Constitución mexicana, que
proclama «el derecho del pueblo de alterar o modificar la forma de su
gobierno». Por lo tanto, dirigen un llamamiento a los mexicanos para
(|iie apoyen la democracia poniendo fin al régimen defacto de gobierno
II ni partidista basado en el fraude electoral. Este llamamiento, prove-
niente de Chiapas, el estado mexicano con el mayor voto a los candida-
tos del PRI, impuestos tradicionalmente por los caciques locales, encon-
tró un fuerte eco en los sectores de clase media urbana de una sociedad
mexicana que ansiaba la libertad y estaba cansada de la corrupción sis-
lémica. Que el alzamiento ocurriera precisamente en el año de las elec-
ciones presidenciales, y en unas elecciones que se suponía que iban a li-
beralizar el dominio del PRI sobre el estado, es un signo de la habilidad
I iietica de los zapatistas y fue un importante factor para protegerlos de
la represión directa. El presidente Salinas quería afianzar su legado
como modernizador económico y como liberalizador político, no sólo
para hacerse un lugar en la historia, sino con miras a su próximo
puesto: su candidatura a la secretaría general de la Organización Mun-
dial de Comercio recién constituida, precisamente la institución que ar-
ticulaba el nuevo orden económico mundial. En estas circunstancias, un
economista formado en Harvard difícilmente podía lanzar una resuelta
represión militar contra un genuino movimiento indio y campesino que
luchaba contra la exclusión social.
La estrategia de comunicación de los zapatistas: Internet y los medios de
comunicación
El éxito de los zapatistas se debió en gran medida a su estrategia de
comunicación, hasta el punto de que cabe denominarlos la primera guerri-
lla informacional. Crearon un suceso en los medios de comunicación para
difundir su mensaje, mientras trataban desesperadamente de no verse
arrastrados a una guerra sangrienta. Por supuesto, hubo muertes reales y
armas reales, y Marcos y sus camaradas estaban dispuestos a morir. No
obstante, la guerra real no era su estrategia. Los zapatistas utilizaron las
armas para hacer una declaración, luego explotaron la posibilidad de su
" Declaración de los zapatistas, 25 de enero de 1994; citado por Moreno Toscano, 1996,
pág. 92.
1(12 lil poder de la identidad
sacrificio ante los medios de comunicación mundiales para obligar a la ne-
gociación y presentar un número de demandas razonables que, como pa-
recen indicar las encuestas de opinión, encontraron un amplio respaldo
en la sociedad mexicana en generaln
. La comunicación autónoma era un
objetivo fundamental para los zapatistas:
Cuando las bombas caían sobre las montañas del sur de San Cristóbal de las Ca-
sas, cuando nuestros combatientes resistían en Ocosingo los ataques de los fede-
rales, cuando nuestras tropas se reagrupaban después del ataque al cuartel de
Rancho Nuevo, cuando nos fortificábamos en Altamirano y Las Margaritas,
cuando el aire olía a pólvora y sangre, el Comité Clandestino Revolucionario In-
dígena-Comandancia General del EZLN me llamó y me dijo, palabra más, pala-
bra menos: «Tenemos que decir nuestra palabra y que otros la escuchen. Si no lo
hacemos ahora, otros tomarán nuestra voz y la mentira saldrá de nuestra boca sin
nosotros quererlo. Busca por dónde puede llegar nuestra verdad a otros que quie-
ren escucharla»13
.
La habilidad de los zapatistas para comunicarse con el mundo y con la
sociedad mexicana, y para cautivar la imaginación del pueblo y de los in-
telectuales, impulsó a un grupo insurgente local y débil a la primera fila
de la política mundial. En este sentido, Marcos fue esencial. No poseía el
control organizativo de un movimiento que estaba arraigado en las comu-
nidades indias y no mostró ningún signo de ser un gran estratega militar,
aunque demostró inteligencia al ordenar la retirada cada vez que el ejér-
cito iba a trabar combate con ellos. Pero fue extraordinariamente capaz
para establecer un puente comunicativo con los medios de comunicación,
mediante sus escritos bien construidos y su afortunada puesta en escena
(el pasamontañas, la pipa, el marco de las entrevistas), como en el caso
del pasamontañas, que desempeñó un papel tan importante en la popula-
rización de la imagen de los revolucionarios: a lo largo de todo el mundo,
cualquiera se podía convertir en zapatista poniéndose un pasamontañas.
Además (aunque esto puede que sea una teorización excesiva), las más-
caras son un ritual recurrente en las culturas indias mexicanas precolom-
binas, de modo que la rebelión, el igualamiento de los rostros y la puesta
en escena histórica retrospectiva actuaron al unísono en la representación
teatral de la revolución más innovadora. En esta estrategia fue esencial el
uso que hicieron los zapatistas de las telecomunicaciones, los vídeos y la
comunicación a través del ordenador, tanto para difundir sus mensajes
desde Chiapas al mundo (aunque probablemente no se transmitieron
12
De acuerdo con una encuesta de opinión realizada el 8 y 9 de diciembre de 1994, el
59% de los residentes en Ciudad de México tenía una «buena opinión» de los zapatistas y el
78% pensaba que sus demandas estaban justificadas (publicado en el periódico Reforma, 11
de diciembre de 1994).
13
Marcos, 11 de febrero de 1994; citado por Moreno Toscano, 1996, pág. 90.
I i "hii i ,11,1 (]r l,i 1 H II,I movimientos siuiiilr i imliii el nuevo orden ¿;loh;il MU
tlcsclc la selva), como para organizar una red mundial de grupos de soli-
daridad que cercaron literalmente las intenciones represivas del gobierno
mexicano; por ejemplo, durante la invasión armada de las zonas insurgen-
les el 9 de febrero de 1995. Es interesante subrayar que en el origen del
empico por parte de los zapatistas de Internet se encuentran dos hechos
ocurridos en la década de los noventa: la creación de La Neta, una red de
comunicación informática alternativa en México y Chiapas; y su uso por
grupos de mujeres (sobre todo por «De mujer a mujer») para enlazar a
las ()NG de Chiapas con otras mujeres mexicanas, así como con redes de
mujeres de los Estados Unidos. La Neta14
se originó en la conexión en
19X9-1993 entre las ONG mexicanas respaldadas por la Iglesia católica y
el Institute for Global Communication de San Francisco, apoyado por
avezados expertos informáticos que donan su tiempo y experiencia para
buenas causas. En 1994, con la ayuda de una donación de la Fundación
lord, La Neta pudo establecer un nodo en México con un servidor de In-
lernet privado. En 1993, La Neta se estableció en Chiapas, con el propó-
sito de mantener en línea a las ONG locales, incluido el Centro para los
Derechos Humanos Bartolomé de las Casas y una docena de otras orga-
nizaciones, que pasaron a desempeñar un importante papel en la informa-
ción del mundo durante el levantamiento zapatista. El uso extenso de In-
ternet permitió a los zapatistas difundir información y su llamamiento por
lodo el mundo al instante, y establecer una red de grupos de apoyo que
ayudaron a crear un movimiento de opinión pública internacional, que
hizo literalmente imposible al gobierno mexicano utilizar la represión a
¿jran escala. Las imágenes y la información de los zapatistas y su entorno
actuaron vigorosamente sobre la economía y política mexicanas. Como
escribe Martínez Torres:
lil ex presidente Salinas creó una «economía de burbuja» que durante varios años
permitió la ilusión de una prosperidad basada en la afluencia masiva de inversio-
nes especulativas en bonos del gobierno de elevado interés, que vía el déficit co-
mercial y una deuda en espiral, permitieron que la clase media y la obrera disfru-
taran por un tiempo de una multitud de artículos de consumo importados. No
obstante, tan fácil como era atraer la entrada de los inversores, cualquier pérdida
de confianza de éstos podía en potencia convertirse en pánico y hacer que se reti-
raran de los bonos mexicanos, con la posibilidad de causar el derrumbamiento del
sistema. En efecto, la economía mexicana [en 1994] era un enorme juego de con-
fianza. Puesto que la confianza se crea básicamente por la manipulación de la in-
formación, puede destruirse exactamente del mismo modo. En el nuevo orden
mundial donde la información es el bien más valioso, esa misma información
puede ser mucho más poderosa que las balas15
.
14
Parece necesario aclarar el significado múltiple de La Neta para los lectores no mexi-
canos. Además de ser el femenino español figurado de The Net, la neta es, en el lenguaje co-
loquial mexicano, «la pura verdad».
15
Martínez Torres, 1996, pág. 5. ^
101 II poder ilc ln UICIIIHI.HI
Ésta fue la clave del éxito de los zapatistas. No que sabotearan delibe
radamente la economía. Pero estaban protegidos de la represión abierta
por su conexión permanente con los medios de comunicación y sus alian-
zas a escala mundial a través de Internet, forzando a la negociación y po-
niendo el tema de la exclusión social y la corrupción política a la vista y
oídos de la opinión pública mundial.
Los expertos de la Rand Corporation, que habían previsto la posibili-
dad de las «guerras red» desde 1993, coinciden con este análisis16
: «Las
fuerzas revolucionarias del futuro puede que estén compuestas cada vez
más por extensas redes multiorganizacionales que no tengan una identi-
dad nacional particular, reclamen surgir de la sociedad civil e incluyan a
grupos e individuos agresivos, expertos en el uso de tecnología avanzada
para las comunicaciones, así como de municiones»17
. Los zapatistas pare-
cen haber hecho realidad las pesadillas de los expertos del nuevo orden
global.
La relación contradictoria entre movimiento social e institución política
Sin embargo, aunque la repercusión de las demandas de los zapatistas
trastornó el sistema político mexicano, e incluso su economía, acabó enre-
dándose en su propia relación contradictoria con el sistema político. Por
una parte, los zapatistas pedían la democratización del sistema político,
reforzando demandas similares formuladas dentro de la sociedad mexi-
cana. Pero no eran capaces de precisar el significado de su proyecto polí-
tico, aparte de la condena obvia del fraude electoral. Mientras tanto, se
había socavado el control del PRI de forma irreversible, divididos en gru-
pos que estaban literalmente matándose entre sí (véase cap. 5). Las elec-
ciones presidenciales de agosto de 1994 fueron razonablemente limpias,
otorgando a Zedillo, un oscuro candidato del PRI que había pasado a pri-
mer plano debido a circunstancias accidentales, un triunfo alimentado por
el miedo a lo desconocido. Es irónico que las reformas políticas del pro-
ceso electoral, en parte resultado de la presión zapatista, contribuyeran a
la legitimación de las elecciones, tras el acuerdo del 27 de enero de 1994
entre todos los candidatos presidenciales. El PRD, partido de oposición
de izquierda, cuyo dirigente había sido rechazado por los zapatistas, fue
castigado en las elecciones por haber solicitado el apoyo de Marcos. En
agosto de 1994, los zapatistas convocaron una Convención Democrática
Nacional en un lugar de la selva lacandona que llamaron Aguascalientes,
por el nombre del lugar histórico donde, en 1915, los dirigentes revolucio-
narios (Villa, Zapata y Orozco) se reunieron para establecer la Conven-
16
Rondfeldt, 1995.
17
Arquilla y Rondfeldt, 1993.
I i nii.i t .11.1 di- I» Tierní; nmviiiik-iiln.'. MU mi ni ni el nuevo ote leu )'lol>,il 105
c mu Revolucionaria. A pesar de la participación masiva de las organiza-
' u mes populares, los partidos de izquierda, los intelectuales y los medios
• le comunicación, Aguascalientes se agotó en el simbolismo del aconteci-
miento, siendo incapaz esta reunión efímera de traducir el nuevo lenguaje
zapatista a la política de izquierda tradicional. Así pues, en mayo de 1995,
en medio de unas prolongadas negociaciones con el gobierno en San Añ-
ilres Larrainzar, los zapatistas organizaron una consulta popular sobre la
posibilidad de convertirse en una fuerza política civil. Pese a las dificulta-
des obvias (seguían siendo una organización insurgente), casi dos millo-
nes de personas participaron en la consulta a lo largo de todo México,
npoyando la propuesta en su vasta mayoría. Por lo tanto, en enero de
1996, para conmemorar los dos años de su levantamiento, los zapatistas
decidieron transformarse en un partido político, buscando la participa-
ción plena en el proceso político. Sin embargo, también decidieron man-
tener las armas hasta que se alcanzara un acuerdo con el gobierno sobre
lodos los puntos en discusión. En enero de 1996 se logró un importante
ucuerdo sobre un futuro reconocimiento constitucional de los derechos de
los indios, pero las negociaciones sobre la reforma política y los asuntos
económicos seguían en curso cuando se escribió este texto (a finales de
1996). Un tema difícil parece ser la demanda de las comunidades indias
de mantener la propiedad de su tierra, incluidos los recursos del subsuelo,
una demanda categóricamente rechazada por el gobierno mexicano
puesto que se cree que Chiapas es rica en hidrocarburos. En cuanto a la
reforma política, la falta de disposición del PRI para dejar de dominar el
poder hacía el acuerdo muy difícil.
El futuro potencial del partido político zapatista es incierto. Por una
parte, a finales de 1996, Marcos seguía siendo uno de los dirigentes más
populares de México. Por otra, gran parte de su popularidad está vincu-
lada a su posición como mito revolucionario. Como político dispuesto al
compromiso, quizás pierda mucho de su encanto, algo de lo que él parece
darse buena cuenta. Así que, en el momento en que se escribió esto, Mar-
cos y sus compañeros dudaban proseguir con la plena institucionalización
de su postura política, aunque éste es el resultado probable de su levanta-
miento, si bien en el contexto de una transformación aún incierta del sis-
tema político mexicano.
No obstante, cualquiera que sea el futuro de los zapatistas, su suble-
vación cambió a México, desafiando la lógica unilateral de la moderniza-
ción, característica del nuevo orden global. Al actuar sobre las fuertes
contradicciones que existían en el interior del PRI entre los modernizado-
res y los intereses de un aparato de partido corrupto, el debate desenca-
denado por los zapatistas ayudó de forma considerable a romper el domi-
nio priísta sobre México. Quedaron expuestas todas las debilidades de la
economía mexicana, boyante y eufórica en 1993, justificando los argu-
mentos de los críticos estadounidenses del TLC. Sector ausente en los
Itld II poder de lii UK'UIKLKI
procesos de modernización actuales de América Latina, el campesinado
indio (en torno al 10% de la población mexicana) cobró vida de repente.
Una reforma constitucional, en proceso de aprobación en noviembre de
1996, reconocía el carácter pluricultural de México y otorgaba nuevos de-
rechos a los indios, incluida la publicación de libros de texto en 30 lenguas
indias para su utilización en las escuelas públicas. Los servicios de salud y
educación mejoraron en varias comunidades indias y estaba en proceso
de ponerse en práctica un autogobierno limitado.
La afirmación de la identidad cultural india, si bien de un modo re-
construido, se conectó con su revuelta contra el abuso escandaloso. Pero
su lucha por la dignidad se vio decisivamente ayudada por la afiliación re-
ligiosa expresada en la profunda corriente de catolicismo populista de
América Latina, así como por el último grito de la izquierda marxista de
México. Que esta izquierda, construida sobre la idea del proletariado que
lucha por el socialismo con sus fusiles, se transformara en un movimiento
campesino indio de los excluidos en lucha por la democracia, en nombre
de los derechos constitucionales, vía Internet y los medios de comunica-
ción de masas, muestra la profundidad de la transformación de las sendas
de la liberación en América Latina. También muestra que el nuevo orden
global produce múltiples desórdenes locales, causados por las fuentes,
arraigadas en la historia, de resistencia a la lógica de los flujos globales de
capital. Los indios de Chiapas que luchan contra el TLC valiéndose de su
alianza con militantes ex maoístas y teólogos de la liberación son una ex-
presión característica de la vieja búsqueda de la justicia social en condi-
ciones históricas nuevas.
EL LEVANTAMIENTO EN ARMAS CONTRA EL NUEVO ORDEN MUNDIAL:
LA MILICIA ESTADOUNIDENSE Y EL MOVIMIENTO PATRIOTA EN LOS AÑOS
NOVENTA'«
En pocas palabras, el Nuevo Orden Mundial es un sistema utópico en el que la eco-
nomía estadounidense (junto con la de todas las demás naciones) será «globali-
18
La principal fuente de información sobre la milicia estadounidense y los «patriotas» es
el Southern Poverty Law Center, con sede en Montgomery (Alabama). Esta destacada or-
ganización ha mostrado un valor y efectividad extraordinarios al proteger a los ciudadanos
contra los grupos xenófobos y racistas en los Estados Unidos desde su fundación en 1979.
Como parte de su programa, ha establecido un Klanwatch/Militia Task Forcé (Equipo Ope-
rativo de Observación del Klan/Milicia) que proporciona información y análisis precisos
para comprender y contraatacar a los grupos extremistas antigubernamentales y antiperso-
nas nuevos y antiguos. Para la información más reciente, utilizada en mi análisis, véase
Klanwatch/Militia Task Forcé (1996, en adelante citada como KMTF). Stern (1996) propor-
ciona un relato bien documentado sobre la milicia estadounidense durante la década de los
noventa. También he empleado el excelente análisis realizado por mi alumno de doctorado
Matthew Zook sobre los grupos de la milicia e Internet en 1996 (Zook, 1996). Otras fuentes
I.n olla cara de la I ierra: moví unen los MH mk'S lonlni i I nnrvo urden global 107
tuda»; los niveles salariales de lodos los trabajadores estadounidenses y europeos
,c liarán descender hasta los de los trabajadores del Tercer Mundo; las fronteras
nacionales dejarán de existir para todos los supuestos prácticos; y un flujo creciente
de inmigrantes del Tercer Mundo a los Estados Unidos y Europa habrá producido
una mayoría no blanca en todas las zonas del mundo que antes eran blancas; una
élite formada por financieros internacionales, los dueños de los medios de comuni-
cación de masas y los gestores de las compañías multinacionales, tendrá la última
palabra; y las fuerzas de paz de la ONU se utilizarán para evitar que nadie opte por
salirse del sistema.
William Pierce, National Vanguard19
Internet fue una de las principales razones para que los movimientos de milicia se
expandieran más de prisa que ningún otro grupo xenófobo en la historia. Su caren-
cia de un centro organizado fue más que superado por la comunicación instantánea
y el potencial de rumores de este nuevo medio. Cualquier miembro de la milicia en
la remota Montana que tuviera un ordenador y un módem podía ser parte de una
red mundial que compartía sus pensamientos, aspiraciones, estrategias de organiza-
ción y temores: una familia global.
Kenneth Stern, A Forcé upon the Plain, pág. 228
La explosión de una camioneta cargada con explosivos hechos con
fertilizantes en Oklahoma City el 19 de abril de 1995, no sólo hizo saltar
por los aires un edificio del gobierno federal, matando a 169 personas,
sino que también puso al descubierto una poderosa corriente soterrada
de la sociedad estadounidense, hasta entonces relegada a los grupos pro-
pagadores de prejuicios y la marginalidad política tradicionales. Timothy
McVeigh, culpable de haber colocado la bomba, acostumbraba a llevar
con él la novela de William Pierce sobre una célula clandestina, The Pa-
triots, que coloca una bomba en un edificio federal: se dice que McVeigh
llamó al número privado de Pierce horas antes de la explosión real de
Oklahoma. Se descubrió que McVeigh y su compinche armado, Terry Ni-
chols, estaban relacionados con la Milicia de Michigan. La explosión ocu-
rrió en el segundo aniversario del asalto de Waco, en el que la mayoría de
los miembros del culto davidiano y sus niños resultaron muertos a conse-
adicionales utilizadas específicamente en el análisis que se presenta en este capítulo son J.
Cooper, 1995; Anti-Defamation League, 1994, 1995; Armond, 1995; Armstrong, 1995; Ben-
nett, 1995; Berlet y Lyons, 1995; Broadcasting and Cable, 1995; Business Week, 1995d; Coali-
tion for Human Dignity, 1995; Cooper, 1995; Heard, 1995; Helvarg, 1995; Jordán, 1995;
Ivins, 1995; Maxwell y Tapia, 1995; Sheps, 1995; The Nation, 1995; Orr, 1995; Pollith, 1995;
Ross, 1995; The Gallup Poli Monthly, 1995; The New Republic, 1995; The New York Times
Sunday, 1995a, b; The Progressive, 1995; Time, 1995; WEPIN Store, 1995; Dees y Corcoran,
1996; Winerip, 1996.
19
Cita del artículo del partidario de la supremacía blanca William Pierce en el número
de marzo de 1994 de su periódico National Vanguard, citado por KMTF, 1996, pág. 37.
Pierce es el director de la National AUiance y autor de la novela muy vendida The Turner
Diaries.
IIIK I'I poder de la idrnlidud
cuencia del asedio establecido por los agentes federales, un aconteci-
miento denunciado, como llamada a las armas, por los grupos de las mili-
cias en todo Estados Unidos20
.
Los grupos de la milicia no son terroristas, pero algunos de sus
miembros quizás estén organizados en una forma de movimiento dife-
rente pero relacionada ideológicamente, los «patriotas clandestinos». Se
constituyen en células autónomas y clandestinas que establecen sus
blancos propios de acuerdo con opiniones que dominan todo el movi-
miento. Se cree que entre 1994-1996 estos grupos fueron responsables
de diversas explosiones de bombas, robos de bancos, sabotajes ferrovia-
rios y otros actos violentos, y la intensidad y capacidad mortífera de sus
acciones va en aumento. Se han robado toneladas de explosivos de los
almacenes comerciales y ha desaparecido armamento militar de los ar-
senales militares, incluidos misiles portátiles Stinger. Se han descubierto
intentos para desarrollar armas bacteriológicas. Y decenas de miles de
«patriotas» a lo largo de todo Estados Unidos están armados con armas
de guerra y se someten a un entrenamiento regular en tácticas de gue-
rrilla21
.
La milicia es el ala más militante y organizada de un movimiento mu-
cho más amplio, autoproclamado «patriota»22
, cuya galaxia ideológica en-
globa organizaciones conservadoras extremistas, como la John Birch So-
ciety; todo un conjunto de grupos tradicionales partidarios de la
supremacía blanca, neonazis y antisemitas, incluido el Ku-Klux-Klan y el
Posse Comitatus; grupos religiosos fanáticos como Christian Identity, una
secta antisemita emanada del British Israelism de la Inglaterra victo-
riana, y grupos contrarios al gobierno federal, como los movimientos de
los derechos de los condados, la coalición antiecologista defensora del
«uso sensato de la naturaleza», la National Taxpayers' Union y los defen-
sores de los tribunales de «derecho consuetudinario». La galaxia de los pa-
triotas también se extiende, en formas flexibles, a la poderosa Coalición
Cristiana, así como a diversos grupos militantes «pro vida», y cuenta con
la simpatía de muchos miembros de la Asociación Nacional del Rifle y de
los defensores de la posesión de armas. La influencia directa de los patrio-
tas quizás alcance a cinco millones de personas en los Estados Unidos, se-
gún fuentes bien informadas23
, aunque el mismo carácter del movimiento,
con sus fronteras borrosas y la falta de una pertenencia organizada, hace
20
La Milicia de Texas emitió el llamamiento siguiente unos cuantos días antes del 19 de
abril de 1995, segundo aniversario del incidente de Waco: «Todos los ciudadanos con capa-
cidad física han de reunirse con sus armas para celebrar su derecho a guardar y portar armas
y a reunirse como milicias en defensa de la República» (citado en el editorial de The Nation,
1995, pág. 656).
21
KMTF, 1996.
22
KMTF, 1996; Stern, 1996.
23
Berlet y Lyons, 1995; KMTF, 1996; Winerip, 1996.
I i olra car» ilc la Tierra: movimientos sociales contra el nuevo orden global I(W
imposible un cálculo estadístico preciso. De todos modos, su influencia
puede contarse en millones, no en miles, de partidarios. Lo que estos gru-
pos dispares, antes sin relación alguna, acabaron compartiendo en la dé-
• u)a de los noventa fue su enemigo común declarado: el gobierno federal,
• «uno representante del «Nuevo Orden Mundial», establecido contra la
voluntad de los ciudadanos estadounidenses. Según la opinión dominante
i-11 todo el movimiento patriota, este Nuevo Orden Mundial, dirigido a
destruir la soberanía estadounidense, ha sido promulgado por una conspi-
ración de intereses financieros y burócratas globales que se han apode-
rado del gobierno federal de los Estados Unidos. En el centro de este
nuevo sistema están la Organización Mundial de Comercio, la Comisión
Trilátera!, el Fondo Monetario Internacional y, sobre todo, la ONU, cuyas
• Tuerzas de paz» son consideradas un ejército mercenario internacional,
encabezado por la policía de Hong Kong y las unidades gurkha, dispuesto
;t suprimir la soberanía del pueblo. Cuatro acontecimientos parecieron
confirmar esta conspiración para los patriotas: la aprobación del TLC en
I993; la aprobación de Clinton al proyecto de ley Brady en 1994, que esta-
blecía controles limitados sobre la venta de algunos tipos de armas auto-
máticas; el cerco al partidario de la supremacía blanca Randy Weaver en
Idaho, que acabó con la muerte de su esposa a manos del FBI, en 1992; y
el asedio trágico de Waco, que llevó a la muerte de David Koresh y sus se-
guidores en 1993. Una lectura paranoica de estos hechos condujo a la con-
vicción de que el gobierno estaba procediendo al desarme de los ciudada-
nos, para subyugarlos después, sometiendo a los estadounidense a la
vigilancia de cámaras ocultas y helicópteros negros e implantado biochips
en los recién nacidos. A esta amenaza global a los puestos de trabajo, la
intimidad, la libertad y el modo de vida americano, oponen la Biblia y la
Constitución estadounidense original, expurgada de sus enmiendas. De
acuerdo con estos textos, ambos recibidos de Dios, afirman la soberanía
de los ciudadanos y su expresión directa en los gobiernos de los condados,
y no reconocen la autoridad del gobierno federal, sus leyes, sus tribunales,
ni la validez del Banco de la Reserva Federal. La elección es dramática.
En palabras de la Milicia de Montana, creada en febrero de 1994 e inspira-
ción organizativa para todo el movimiento: «Únete al ejército y sirve a la
ONU o únete a la Milicia y sirve a América» (lema de la página de la Mili-
cia de Montana en la WWW). Consideran que los agentes federales, sobre
todo los de la Oficina de Alcohol, Tabaco y Armas de Fuego (Bureau of
Alcohol, Tobacco and Firearms), ocupan la primera línea de la represión
contra los estadounidenses en nombre del gobierno mundial emergente.
Ello justifica, en opinión de la milicia, que los agentes federales sean blan-
cos potenciales del movimiento. Así pues, según expresó el popular Gor-
don Liddy en una de sus tertulias radiofónicas: «Tienen un gran blanco [en
el pecho]: ATF. No disparéis ahí porque llevan un chaleco antibalas de-
bajo. Los disparos a la cabeza, los disparos a la cabeza. ¡Matad a esos hijos
II» II poder de la identidad
de pula!»24
. En algunos segmentos de este movimiento patriota tan di-
verso, también existe una potente mitología arraigada en opiniones esca-
tológicas del mundo y profecías sobre el Fin de los Tiempos (véase cap. 1).
Siguiendo el libro del Apocalipsis, capítulo 13, los predicadores como el
teleevangelista Pat Robertson, dirigente de la Coalición Cristiana, recuer-
dan a los cristianos que se les puede pedir que se sometan a la satánica
«Marca de la Bestia», identificada de formas diversas como los nuevos có-
digos del papel moneda, los códigos de barras de los supermercados o la
tecnología del microchip25
. Resistir el nuevo orden global impío, que lle-
gará al Fin de los Tiempos, se considera un deber cristiano y un derecho
de los ciudadanos estadounidenses. No obstante, el colorido siniestro de la
mitología del movimiento a veces oscurece su perfil y llega a minimizar su
significado político y social. Por eso es importante prestar atención a la di-
versidad del movimiento, mientras se sigue destacando su carácter común
subyacente.
Las milicias y los patriotas: una red de información multitemática
Las milicias, ciudadanos que se organizan y arman para defender su
país, religión y libertad, son instituciones que desempeñaron un papel
importante durante el primer siglo de la existencia de los Estados Unidos26
.
Las milicias estatales fueron reemplazadas por los guardias nacionales es-
tatales en 1900. Sin embargo, en la década de los noventa, comenzando
con la Milicia de Montana, los grupos populistas de derecha han formado
«milicias desorganizadas», utilizando cierta ambigüedad legal en las leyes
federales para sortear la prohibición legal de formar unidades militares
fuera del control gubernamental. El rasgo más distintivo de los grupos de
milicia es que están armados, a veces con armas de guerra, y se estructu-
ran en una cadena de mando de estilo militar. A finales de 1995, el
equipo de investigación KMTF pudo contar 441 milicias activas en los 50
estados, con campos de entrenamiento paramilitar en al menos 23 esta-
dos (véase la figura 2.1). Es difícil calcular el número de los miembros de
las milicias. Berlet y Lyons se aventuraron a evaluarlo, en 1995, entre
15.000 y 40.00027
. A decir de todos, están creciendo rápidamente. No
existe una organización nacional. La milicia de cada estado es indepen-
diente, y a veces hay varios grupos de milicias no relacionados en el
mismo estado: 33 en Ohio, con unos 1.000 miembros y cientos de miles
de simpatizantes, según las fuentes policiales2S
. La Milicia de Montana es
24
Stern, 1996, pág. 221.
25
Berlet y Lyons, 1995.
26
Whisker. 1992; J. Cooper, 1995.
27
Berlet y Lyons, 1995.
28
Winerip, 1996.
cara de la Tiemí: movimientos sociales contra el nuevo orden global 111
112 El poder de la identidad
el ejemplo fundador, pero la mayor es la Milicia de Michigan, con varios
miles de miembros activos. Su ideología, más allá de la oposición común
al nuevo orden mundial y al gobierno federal, está muy diversificada. Sus
miembros son en su gran mayoría varones blancos cristianos. Sin duda,
incluyen un número significativo de racistas, antisemitas y sexistas en sus
filas. No obstante, la mayoría de los grupos de milicia no se definen
como racistas o sexistas, y algunos de ellos (por ejemplo, la Milicia de
Michigan) hacen una declaración antirracista explícita en su propaganda.
En el análisis efectuado por Zook de las páginas de las milicias en la
Worl Wide Web, centrándose en 11 de las más populares, siete de las pá-
ginas particulares hacían declaraciones antirracistas, cuatro no menciona-
ban la raza y ninguna contenía racismo abierto29
. Dos páginas tomaban
posturas antisexistas, dos declaraban que las mujeres eran bien recibidas
y el resto no mencionaba el sexo. De hecho, la Milicia de Michigan se
negó a apoyar a los «hombres libres de Montana» durante su cerco en un
rancho en 1996 porque eran racistas. Y una de las páginas de la milicia,
«E Pluribus Unum», parte de la Milicia de Ohio, la dirige una pareja fun-
damentalista cristiana afroamericana. Sin duda, estas declaraciones po-
drían ser falsas, pero dada la importancia de aparecer en Internet para
contactar con nuevos miembros, sería incoherente tergiversar la ideolo-
gía a la que se atrae a nuevos reclutas. Parece que la milicia y los patrio-
tas, aunque incluyen grupos tradicionales propagadores de prejuicios, ra-
cistas y antisemitas, tienen una circunscripción ideológica mucho más
amplia, y ésta es precisamente una de las razones de su nuevo éxito. A
saber, su habilidad para lograr extenderse por el espectro ideológico para
unir todas las fuentes de desafección contra el gobierno federal. Como
dice el informe del KMTF:
A diferencia de sus predecesores facciosos partidarios de la supremacía blanca,
los patriotas han sido capaces de superar las diferencias ideológicas menores, en
favor de una unidad amplia sobre la agenda antigubernamental. Como resultado,
han creado la fuerza insurgente más atractiva de la historia reciente, hogar de una
amplia variedad de grupos antigubernamentales, cuyas funciones organizativas
son muy diversas30
.
Dos componentes en rápida expansión del movimiento patriota son el
movimiento de los derechos de los condados y el de los tribunales de «de-
recho consuetudinario». El primero es un ala militante de la coalición de-
fensora del «uso sensato de la naturaleza», que tiene influencia creciente
en los estados del Oeste. La coalición se opone a la reglamentación me-
dioambiental impuesta por el gobierno federal y apela a la «costumbre y
29
Zook, 1996.
30
KMTF, 1996, pág. 14.
I.ii otra cara de la Tierra: movimientos sociales contra el nuevo orden global I 3
la cultura» de la tala, la minería y el pastoreo en las tierras públicas. La
/unificación del uso de la tierra se equipara al socialismo y se considera
i|ue la gestión del ecosistema es una parte del nuevo orden mundial31
. En
consecuencia, el movimiento afirma el derecho de los sheriffs de los con-
dados a detener a los funcionarios encargados de las propiedades federa-
les, lo que provocó diversos incidentes violentos. Se insta a la gente y a las
comunidades a reconocer exclusivamente la autoridad de sus cargos elegi-
dos en el ámbito del municipio y el condado, rechazando los derechos del
gobierno federal a legislar sobre su propiedad. Setenta condados han
aprobado ordenanzas de «uso sensato» que reclaman el control local so-
bre la tierra pública, y las acciones violentas han intimidado a los ecolo-
gistas y los gestores de tierras federales desde Nuevo México y Nevada
hasta el norte de Idaho y Washington. Se han establecido tribunales de
derecho consuetudinario en 40 estados, respaldados por un despliegue de
libros y vídeos que declaran proporcionar una base legal para que la
gente rechace el sistema judicial e implante sus propios «jueces», «juicios»
y «jurados». Incluso se ha establecido un «Tribunal Supremo de Derecho
Consuetudinario» nacional con 23 jueces, que se basan en la Biblia y en
su propia interpretación de la ley. Los partidarios del derecho consuetu-
dinario se declaran a sí mismos «soberanos», esto es, hombres libres y, en
consecuencia, se niegan a pagar impuestos y la seguridad social, obtener
el carnet de conducir y someterse a los demás controles gubernamentales
no contemplados en el cuerpo legal original estadounidense. Para prote-
ger su soberanía y tomar represalias contra los cargos públicos, suelen
cursar embargos comerciales contra cargos y jueces públicos selecciona-
dos, creando una confusión de pesadilla en diversos tribunales de los con-
dados. Como una extensión del movimiento del derecho consuetudinario,
está creciendo rápidamente una red de personas, de Montana a Califor-
nia, que rechazan la autoridad del Banco de la Reserva Federal para im-
primir dinero y emiten sus propios documentos bancarios, incluidos che-
ques de caja, con una tecnología de reproducción tan buena que con
frecuencia se han hecho efectivos, provocando una serie de detenciones
por falsificación y fraude. Estas prácticas están haciendo del movimiento
en favor del derecho consuetudinario el de mayor capacidad de confron-
tación de todos los grupos patriotas, y originaron el cerco de un grupo de
«hombres libres» en un rancho de Jordán (Montana), sitiados durante
tres meses por el FBI en 1996.
Un movimiento tan diverso, casi caótico, no puede tener una organi-
zación estable, ni siquiera una instancia coordinadora. No obstante, la ho-
mogeneidad de su visión central del mundo y, sobre todo, su identifica-
ción de un enemigo común son inequívocas. Ello se debe a que sí existen
vínculos entre grupos e individuos, pero se realizan a través de los medios
31
Helvarg, 1995.
í
114 El poder de la identidad
de comunicación (radio sobre todo), libros, folletos, giras de charlas y
prensa alternativa, mediante el fax y a través de Internet32
. Según el
KMTF, «el ordenador es la pieza más vital del equipo en el arsenal del
movimiento patriota»33
. En Internet hay varios bulletin board systems,
páginas personales y grupos de charla de la milicia; por ejemplo, el grupo
MAM de Usenet, establecido en 1995. Se han propuesto diversas razones
para que se dé un uso tan extendido de Internet por parte de los hombres
de la milicia. Una es que, como escribe Stern, «Internet es la cultura per-
fecta para criar el virus de la teoría de la conspiración. Los mensajes apa-
recen en la pantalla sin que sea fácil separar la basura de lo creíble [...]
Para los entusiastas de la conspiración, como los miembros de la milicia,
las declaraciones sin verificar provenientes del ciberespacio reafirman sus
conclusiones proporcionando una corriente interminable de "pruebas"
adicionales»34
. Además, el espíritu de frontera característico de Internet
encaja bien con los "hombres libres", que se expresan y hacen sus decla-
raciones sin mediación o control gubernamental. Lo que es más impor-
tante, la estructura de red de Internet reproduce exactamente la interco-
nexión autónoma y espontánea de los grupos de la milicia, y de los
patriotas en general, sin fronteras y sin un plan definido, pero compar-
tiendo un objetivo, un sentimiento y, sobre todo, un enemigo. El movi-
miento medra y se organiza principalmente en Internet (respaldada por el
fax y el correo directo). Fue mediante la Associated Electronic Network
News, organizada por los Thompson en Indianapolis, como se difundió
una teoría de la conspiración según la cual la bomba de Oklahoma era
una provocación del gobierno federal, similar al incendio del Reichstag
por parte de Hitler, para destruir la milicia. Otros bulletin board systems
como la «Red de Paul Reveré», enlazan a grupos de todo el país, inter-
cambian información, hacen circular rumores y coordinan acciones. Por
ejemplo, informes confidenciales comunican a los curiosos que Gorba-
chov, tras pronunciar un discurso en California diciendo que «estamos en-
trando en el nuevo orden mundial», se había ido a ocultar en una base na-
val de California del Sur para supervisar el desmantelamiento de las
fuerzas armadas estadounidenses en preparación de la llegada del ejército
del orden mundial. En efecto, su llegada tuvo lugar en mayo de 1996,
cuando se estableció una base permanente en Nuevo México para entre-
nar a cientos de pilotos alemanes en colaboración con la aviación esta-
dounidense. O eso pensaron los miles de espectadores que desbordaron
con sus llamadas la centralita del Pentágono después de que la CNN in-
formara de la apertura de esa base.
Las tertulias radiofónicas también son importantes. Los 20 millones
KMTF, 1996; Stern, 1996; Zook, 1996.
KMTF, 1996, pág. 16.
Stern, 1996, pág. 228.
I n olía cara ele la Tierra: imiviiiiienlo!» sociales contra el nuevo orden global 115
de audiencia de Rush Limbaugh en 600 emisoras de todo el país es un ins-
trumento de influencia política sin paralelo en los Estados Unidos de los
.nios noventa. Aunque no respalda a la milicia, sus temas («femi-nazis»,
• eeo-wacos») resuenan en el movimiento. Otros programas de radio po-
pulares están en tono más directo con los patriotas: el programa de llama-
lias de Gordon Liddy o The Intelligence Repon, presentado por el parti-
dario de la supremacía blanca Mark Koernke. Los canales de cable
alternativos, que emiten temas similares a audiencias similares, incluyen
la National Empowerment Televisión, Jones Intercable y Paragon Cable
(propiedad de Time Warner) en Florida, que presenta Race & Reason, un
programa racista y antisemita. Una miríada de periódicos y boletines,
iorno Spotlight de Washington D.C. o el opúsculo partidario de la supre-
macía blanca The Turner Diaries, se añaden a una red extensa y muy des-
< entralizada de medios de comunicación alternativos. Esta red difunde in-
lormación seleccionada, divulga el resentimiento de la gente, divulga
nicas de extrema derecha, esparce rumores de conspiraciones y suminis-
II a la mitología escatológica que se ha convertido en el bagaje cultural del
populismo de derechas del fin de milenio. Así pues, mientras el FBI busca
en vano pruebas de una conspiración organizada para derrocar al go-
bierno por la fuerza, la conspiración real, sin nombres (o con múltiples
nombres) y sin organización (o con cientos de ellas) fluye en las redes de
información, alimentando la paranoia, conectando la ira y quizás derra-
mando sangre.
Las banderas de los patriotas
A pesar de su diversidad, el movimiento patriota, con la milicia al
frente, tiene algunos objetivos, creencias y enemigos comunes. Este con-
junto de valores y objetivos es el que construye una visión del mundo y,
en definitiva, define el mismo movimiento.
Existe una opinión subyacente sobre el mundo y la sociedad, simple
pero vigorosa, que el movimiento patriota expresa de formas diferentes.
Según esa visión, los Estados Unidos están divididos en dos tipos de per-
sonas: productores y parásitos. Los productores, la gente trabajadora, es-
tán oprimidos entre dos capas de parásitos: los cargos corruptos del go-
bierno, las élites empresariales ricas y los banqueros, por encima; y la
gente estúpida y vaga, indigna de la asistencia que recibe de la sociedad,
por debajo. La situación está empeorando por el proceso actual de globa-
lización, conducido por la ONU y las instituciones financieras internacio-
nales, en nombre de las élites empresariales y las burocracias guberna-
mentales, que amenazan con transformar a la gente corriente en meros
esclavos de una economía de plantación a escala mundial. Dios prevale-
cerá, pero para ello los ciudadanos deben desenfundar sus revólveres
Il(. Rl poder de l;i identidad
para luchar por «el futuro de la propia América»35
. Desde esta visión del
mundo, surge un conjunto específico de objetivos para el movimiento,
que organizan su práctica.
En primer lugar, la milicia, y los patriotas en general, son movimien-
tos extremadamente libertarios (y, en este sentido, muy diferentes de los
nazis o fascistas tradicionales que abogan por un estado fuerte). Su ene-
migo es el gobierno federal. A su parecer, las unidades básicas de la so-
ciedad son el individuo, la familia y la comunidad local. Más allá de ese
nivel inmediato de reconocimiento cara a cara, el gobierno sólo se tolera
como la expresión directa de la voluntad de los ciudadanos; por ejemplo,
los gobiernos de los condados, con cargos electos que pueden conocerse y
controlarse personalmente. Se sospecha de los niveles más elevados del
gobierno y el gobierno federal se denuncia francamente como ilegítimo,
ya que ha usurpado los derechos ciudadanos y ha manipulado la Consti-
tución para transgredir el mandato original de los padres fundadores de
los Estados Unidos. Para los hombres de la milicia, Thomas Jefferson y
Patrick Henry son los héroes, y Alexander Hamilton, el villano obvio.
Este rechazo de la legitimidad del gobierno federal se expresa en actitu-
des y acciones concretas y vigorosas: rechazo de los impuestos federales, la
regulación medioambiental y la planificación del uso de la tierra, sobera-
nía de los tribunales de derecho consuetudinario, invalidación del jurado
(a saber, toman sus decisiones como jurados no de acuerdo con la ley,
sino con sus conciencias), preeminencia de los gobiernos de los condados
sobre las autoridades más elevadas y aversión a los organismos que se
ocupan de la aplicación obligatoria de las leyes federales. En el límite, el
movimiento llama a la desobediencia civil contra el gobierno, respaldán-
dola, cuando sea necesario, con los rifles de los ciudadanos que se atienen
al «derecho natural».
Aunque el gobierno federal y sus departamentos de seguridad del es-
tado son los enemigos inmediatos, y la causa inmediata de la movilización
de los patriotas, una amenaza más siniestra se cierne en el horizonte: el
nuevo orden mundial. Noción popularizada por el teleevangelista Pat Ro-
bertson, extrapolándola de la ideología de Bush del fin de la historia tras
la guerra fría, implica que el gobierno federal está trabajando activa-
mente para lograr un único gobierno mundial en colaboración con Rusia
(sobre todo con Gorbachov, considerado la clave estratégica del com-
plot). Se supone que este proyecto lo están llevando a cabo los interme-
diarios de las organizaciones internacionales: la ONU, la nueva Organiza-
ción Mundial de Comercio y el Fondo Monetario Internacional. La
situación de las tropas militares estadounidenses bajo el mando de la
ONU y la firma del TLC se consideran sólo el primer paso hacia ese
nuevo orden, con frecuencia asociado explícitamente con la llegada de la
M. Cooper, 1995.
i i "Ini cnni de In I kiiii IIKIVIIIIII'IIIOK undulan (¡nnlni r nuevo orilcn global I 17
lia ilc la Información. Se estima que su impacto real sobre el pueblo es-
Imlounidense es su empobrecimiento económico en beneficio de las em-
presas y los bancos multinacionales, y la pérdida de sus derechos civiles a
mimos de las burocracias políticas globales.
Junto con estas fibras libertarias y localistas, el movimiento se hace
eco de un tercer tema importante: una reacción violenta contra las fe-
ministas (no contra las mujeres, mientras se mantengan en su papel tra-
dicional), gays y minorías (como beneficiarías de la protección del go-
bierno). Existe una característica claramente predominante en el
movimiento patriota: en su gran mayoría, son varones blancos heterose-
xuales. El Varón Blanco Airado (que da nombre a una organización pa-
triota, Angry White Male) parece haberse reunido en esta mezcla de re-
acciones al empobrecimiento económico, la reafirmación de valores y
privilegios tradicionales y la violenta reacción cultural. Los tradicionales
valores nacionales y familiares (es decir, el patriarcado) se afirman con-
tra los que se consideran privilegios excesivos concedidos por la socie-
dad a las minorías de género, culturales y étnicas, como ejemplifican la
acción afirmativa y la legislación antidiscriminatoria. Aunque estos te-
mas conectan con un rechazo mucho más antiguo a la igualdad racial
por parte de los grupos partidarios de la supremacía blanca y las coali-
ciones antiimigración, resulta nuevo su carácter abarcador, sobre todo
por el rechazo explícito de los derechos de las mujeres, y su fijación
hostil contra los valores liberales difundidos por los medios de comuni-
cación convencionales.
Un cuarto tema presente en la mayor parte del movimiento es la afir-
mación intolerante de la superioridad de los valores cristianos, por lo que
se vincula estrechamente con el movimiento fundamentalista cristiano,
analizado en el capítulo 1. La mayoría de los patriotas parecen suscribir la
pretensión de que los valores y rituales cristianos, según los interpretan
sus defensores, deben hacerse cumplir en todas las instituciones de la so-
ciedad; por ejemplo, la oración obligatoria en las escuelas públicas y la re-
visión de bibliotecas y medios de comunicación para censurar lo que se
considere anticristiano o contrario a los valores familiares. El extendido
movimiento en contra del aborto, con asesinos fanáticos en sus márgenes,
es el instrumento organizativo más tristemente famoso. El fundamenta-
lismo cristiano parece dominar en todo el movimiento. Puede resultar pa-
radójica esta conexión entre un movimiento extremadamente libertario,
como la milicia, y el fundamentalismo cristiano, que aspira a una teocra-
cia y, por lo tanto, buscaría la imposición gubernamental de los valores
morales y religiosos sobre sus ciudadanos. Sin embargo, sólo es una con-
tradicción en el horizonte histórico, ya que en la década de los noventa
los fundamentalistas y libertarios estadounidenses convergen en la des-
trucción de un gobierno federal que se percibe apartado de Dios y del
Pueblo.
UN II podei de ln idrnlidiidl
Armas y Miblias muy bien podría ser el lema del movimiento M
 Las
armas fueron el punto de cohesión a cuyo alrededor se unió la milicia en
1994 en respuesta al proyecto de ley Brady. Se formó una vasta coalición
contra este intento y los siguientes de controlar las armas. En torno al po-
deroso grupo de presión de la Asociación Nacional del Rifle, que con-
trola muchos votos del Congreso, se fusionaron habitantes de las zonas
rurales de todo el país, los dueños de las armerías, los libertarios extre-
mistas y los grupos de milicia, para hacer de la defensa del derecho cons-
titucional de portar armas la última trinchera de la defensa de unos Esta-
dos Unidos como deben ser. Las pistolas equivalen a la libertad. El
Salvaje Oeste cabalga de nuevo, tanto en las calles de Los Ángeles como
en las granjas de Michigan. Dos de los rasgos más profundos de la cultura
estadounidense, su individualismo arisco y su desconfianza hacia los go-
biernos despóticos, de los que muchos inmigrantes escapan para llegar a
los Estados Unidos, proporcionan el sello de autenticidad a la resistencia
contra las amenazas generadas por la informacionalización de la socie-
dad, la globalización de la economía y la profesionalización de la política.
¿Quiénes son los patriotas?
Un componente del movimiento sin duda lo forman los agricultores
empobrecidos del Medio Oeste y el Oeste, apoyados por una amalgama
heterogénea de sociedades rurales, desde propietarios de cafés hasta clé-
rigos tradicionalistas. Pero sería inexacto considerar que el atractivo del
movimiento se limita al mundo rural que la modernización tecnológica
ha dejado atrás. No existen datos demográficos sobre la composición del
movimiento, pero una simple mirada a la distribución geográfica de la
milicia (fig. 2.1) muestra su diversidad territorial y, por lo tanto, social.
Los grupos de estados que presentan mayor actividad de la milicia inclu-
yen zonas tan diversas como Pensilvania, Michigan, Florida, Texas, Colo-
rado y California, siguiendo más o menos los estados más populosos
(menos Nueva York, más Colorado), pero eso es precisamente lo impor-
tante: la milicia parece estar donde está la gente, en todo el país, no sólo
en Montana. Si consideramos que la Coalición Cristiana forma parte del
movimiento, los patriotas están presentes en los suburbios de las grandes
áreas metropolitanas (la Coalición Cristiana se acerca al millón y medio
de miembros). Algunos grupos de milicia, por ejemplo en Nueva Hamps-
hire y en California, parecen alistar a sus miembros entre los profesiona-
les de la informática. Así pues, no parece que los patriotas tengan una
base de clase o sea un movimiento con especificidad territorial. Más bien
son, fundamentalmente, un movimiento cultural y político, defensores de
Maxwell y Tapia, 1995.
I ii "luí nini id' la Ticn .1. 111c iviiun nlus HOCIIIICN CIIIIIIII <'l IIIICVH oiclrii p.lnluil I l'l
liis h adiciones del país contra los valores cosmopolitas, y del autogo-
bierno local contra la imposición del orden global. Sin embargo, si la
1 Insí" no es importante en la composición del movimiento, sí lo es la iden-
lilnación de sus enemigos. Las élites empresariales; los banqueros; las
guindes firmas, ricas, poderosas y arrogantes, y sus abogados; y los cientí-
IIIDS e investigadores, son sus enemigos. No como clase, sino como re-
presentantes de un orden mundial no estadounidense. En efecto, la ideo-
logía no es anticapitalista, sino, más bien, una defensa del capitalismo
libre, opuesta a una manifestación corporativa del capitalismo estatal que
parece estar próxima al socialismo. Así pues, un análisis de clase de los
pal riólas no parece encarar la esencia del movimiento. Se trata de una
sublevación política que transciende las líneas de clase y la diferenciación
regional. Y se relaciona con la evolución social y política de la sociedad
estadounidense en general.
1,11 milicia, los patriotas y la sociedad estadounidense en la década de los
noventa
El populismo de derechas no es una novedad en los Estados Unidos;
de hecho, es un fenómeno que ha desempeñado un papel importante en
la política a lo largo de toda la historia del país37
. Además, ha habido ai-
radas reacciones populares ante la penuria económica, tanto en los Esta-
dos Unidos como en Europa, en formas diferentes, desde el fascismo y el
nazismo clásicos, hasta los movimientos xenófobos y ultranacionalistas de
los años recientes. Una de las condiciones que puede ayudar a explicar la
rápida expansión de la milicia, además de Internet, son los crecientes pro-
blemas económicos y de desigualdad social en los Estados Unidos. Los in-
gresos medios de los hombres se han deteriorado de forma sustancial en
las dos últimas décadas, sobre todo durante los años ochenta. Las familias
apenas mantienen los niveles de vida de hace un cuarto de siglo, con-
tando con la contribución de dos asalariados en lugar de uno. Por otra
parte, el 1% de los hogares de ingresos más altos aumentaron su renta
media de 327.000 dólares a cerca de 567.000 dólares entre 1976 y 1993,
mientras la renta media familiar permanece en torno a 31.000 dólares.
Los altos cargos ejecutivos cobran 190 veces más que el promedio de sus
trabajadores38
. Para el trabajador y pequeño empresario estadouniden-
ses, la era de la globalización y la informacionalización ha sido de un de-
clive relativo, y a veces absoluto, de sus niveles de vida, invirtiendo la ten-
dencia histórica de que cada generación mejoraba el bienestar material
de las generaciones anteriores. De vez en cuando, la cultura del nuevo
37
Lipset y Raab, 1978.
38
The New York Times, 1995b.
120 II poder de la identidad
rico global añade el insulto al daño. Por ejemplo, Montana, el semillero
de la nueva milicia, es también uno de los destinos favoritos de los nuevos
multimillonarios, a quienes les gusta adquirir miles de hectáreas de tierra
prístina para construir ranchos desde donde dirigen sus redes globales.
Los rancheros de la zona odian a estos recién llegados39
.
Además, en el momento en que se vuelve indispensable como instru-
mento de seguridad financiera y psicológica, la familia tradicional se está
desmoronando, a raíz de la guerra de sexos provocada por la resistencia
del patriarcado a los derechos de las mujeres (véase capítulo 4). Los desa-
fíos culturales al sexismo y a la ortodoxia heterosexual confunden a la
masculinidad. Además, una nueva ola de inmigración, esta vez desde
América Latina y Asia, y la creciente multietnicidad de los Estados Uni-
dos, aunque en continuidad con la historia del país, se añaden al senti-
miento de pérdida de control. Los cambios de la agricultura y la manufac-
tura a los servicios y de la manipulación de bienes al procesamiento de la
información, socavan los conocimientos adquiridos y las subculturas del
trabajo. Y el fin de la guerra fría, con el derrumbamiento del comunismo,
elimina la fácil identificación del enemigo externo, dificultando las posibi-
lidades de unir a los Estados Unidos en una causa común. La era de la in-
formación se convierte en la era de la confusión y, de este modo, en la era
de la afirmación fundamental de los valores tradicionales y los derechos
inflexibles. Las reacciones burocráticas, y algunas veces violentas, de los
organismos encargados de aplicar la ley ante varias formas de protesta
profundizan la ira, agudizan los sentimientos y parecen justificar el llama-
miento a las armas, poniendo a la nueva milicia estadounidense en con-
frontación directa con el orden global emergente.
LOS LAMAS DEL APOCALIPSIS: AUM SHINRIKYO40
La meta final de las técnicas corporales que Aum trata de desarrollar mediante el
yoga y la austeridad es un modo de comunicación sin ningún instrumento. Puede
obtenerse la comunicación teniendo resonancia con los cuerpos de los otros sin de-
pender de la conciencia de la identidad del yo, sin utilizar el instrumento del len-
guaje.
Masachi Osawa, Gendai, octubre de 199541
39
Stevens, 1995.
40
El análisis de Aum Shinrikyo presentado aquí reproduce esencialmente la contribu-
ción a nuestro estudio conjunto y el artículo de Shujiro Yazawa, que realizó la mayor parte
de la investigación sobre Aum, aunque yo también estudié el movimiento en colaboración
con él, en Tokio durante 1995. Las fuentes que se han utilizado directamente en el análisis,
además de los informes de los periódicos y revistas, son Aoyama, 1991; Asahara, 1994,1995;
Vajrayana Sacca, 1994; Drew, 1995; Fujita, 1995; Mainichi Shinbun, 1995; Miyadai, 1995;
Ohama, 1995; Osawa, 1995; Nakazawa et al, 1995; Shimazono, 1995; Yazawa, 1996.
41
Traducido por Yazawa, 1996.
I ii olni en ni ile la lien ii movimiento» Kocilllct* COIIIIII el nuevo urden global 121
lil 20 de marzo de 1995, un ataque con gas sarin en tres vagones drf<£^
icoles del metro de Tokio mató a 12 personas, hirió a más de 5.000 y sa-""'>
nidio los cimientos de una sociedad japonesa aparentemente estable. La
policía, utilizando la información de un incidente similar que había ocu-
i rulo en Matsumoto en junio de 1994, determinó que el ataque había sido
realizado por miembros de Aum Shinrikyo, una secta religiosa que se en-
contraba en el centro de una red de actividades comerciales, organizacio-
nes políticas y unidades paramilitares. Su objetivo último, según su propio
tliscurso, era sobrevivir al apocalipsis inminente, salvar a Japón, y en úl-
tima instancia al mundo, de la guerra de exterminio que sería el resultado
inevitable de los esfuerzos competidores de las empresas japonesas y el
capitalismo estadounidense para establecer un nuevo orden mundial y un
gobierno mundial unido. Para vencer en Armagedón, Aum prepararía un
nuevo tipo de ser humano, arraigado en la espiritualidad y el perfecciona-
miento mediante la meditación y el ejercicio. No obstante, para hacer
trente a la agresión de los poderes mundiales, Aum tenía que defenderse
aceptando el desafío de las nuevas armas de exterminio. El desafío llegó
en seguida. El fundador y gurú de la secta, Shoko Asahara, fue detenido y
sometido a juicio (probablemente para ser sentenciado a muerte), junto
con sus seguidores más destacados. Sin embargo, la secta continúa exis-
tiendo legalmente, aunque sus creyentes están esparcidos por todo Japón
y apenas tienen presencia pública.
El debate sobre los orígenes, el desarrollo y los objetivos de Aum con-
tinuó durante casi dos años en los medios de comunicación japoneses.
Suscitó preguntas fundamentales sobre el estado real de la sociedad japo-
nesa. ¿Cómo podían ser posibles tales actos en una de las sociedades más
ricas, menos desiguales, más seguras, más homogéneas desde el punto de
vista étnico y más integradas culturalmente del mundo? Al público le re-
sultaba especialmente sorprendente el hecho de que la secta tuviera
adeptos sobre todo entre los científicos e ingenieros de algunas de las me-
jores universidades japonesas. Ocurrido en un periodo de incertidumbre
política, tras la crisis del Partido Democrático Liberal, que había gober-
nado durante casi cinco décadas, el acto aparentemente sin sentido se
consideró un síntoma. ¿Pero un síntoma de qué? Para comprender un he-
cho tan complejo, con implicaciones fundamentales pero no obvias, debe-
mos reconstruir la evolución de la secta, comenzado con la biografía de su
fundador, que desempeñó un papel crucial.
Asahara y el desarrollo de Aum Shinrikyo
Asahara nació ciego en el seno de una familia pobre de la prefectura
de Kumamoto. Asistió a una escuela especial para invidentes y, tras ter-
minar sus estudios allí, se preparó para los exámenes de admisión en la
172 El poder ilc l.i hlrnlicl.icl
Universidad de Tokio. Su proyecto explícito era convertirse en primer
ministro. Tras suspender el examen, abrió una farmacia y se especializó
en la venta de medicinas chinas tradicionales. Algunas de ellas eran de
uso discutible y su carencia de licencia acabó llevando a su detención.
Después de casarse y tener un hijo, en 1977 su interés cambió a la reli-
gión. Se educó en el sentó y trató dedesarrollar un^método para el cui-
dado de la salud basado en el taoísmo. El cambio decisivo en su vida llegó
cuando se unió al culto agón, un grupo religioso que predicaba la perfec-
ción mediante la práctica de la austeridad42
. Las prácticas esenciales del
grupo eran la meditación, el ejercicio físico, el yoga y el budismo esoté-
rico. Asahara combinó las enseñanzas del agón con sus propias ideas so-
bre la creación de un nuevo mundo religioso. En 1984, abrió una escuela
de yoga en Shibuya (Tokio). Al mismo tiempo, estableció Aum como una
empresa (Aum en sánscrito significa «sabiduría profunda»). Desarrolló la
reputación de su escuela de yoga haciendo declaraciones en los medios de
comunicación sobre sus poderes sobrenaturales, demostrados por su ca-
pacidad de flotar en el aire (lo que respaldaba con fotos que le mostraban
en acción, una primera aventura en efectos especiales visuales, que seña-
laron el futuro hincapié de Aum en la tecnología de los medios de comu-
nicación). Afirmando que Dios le había ordenado construir una utopía
con unos pocos elegidos, en 1985 el maestro de yoga se convirtió en diri-
gente religioso que instruía a sus discípulos de la escuela en la búsqueda
de la perfección mediante la dura práctica de la austeridad. En 1986 Asa-
hara creó la secta religiosa formal Aum Shinsen, con unos 350 miembros.
La mayoría de ellos fueron investidos sacerdotes, a diferencia de otras
sectas, donde sólo una pequeña minoría de miembros pueden dedicarse
plenamente a la práctica de la austeridad y la meditación. Esta elevada
proporción de sacerdocio fue muy importante para el futuro de Aum, ya
que tuvo que encontrar medios sustanciales de apoyo financiero para un
número tan grande de sacerdotes. Así pues, Aum pidió la donación de to-
dos los bienes a sus reclutados (a veces por la fuerza), puso precio a sus
enseñanzas y seminarios de formación, e invirtió en diversos negocios.
Entre sus actividades comerciales, creó una cadena de tiendas muy renta-
ble (Mahaposha) que vendía ordenadores personales a precios reducidos
y se especializó en la distribución de software pirata. Con los beneficios
de estas tiendas de ordenadores, financió diversos establecimientos de co-
mida y bebida, y otros negocios. En 1987, se cambió el nombre a Aum
Shinrikyo (palabra japonesa que significa «verdad»). Un año después,
como primer paso hacia la utopía, levantó su sede en una aldea de la falda
del monte Fuji. Pese a cierta resistencia de las autoridades, acabó obte-
niendo el reconocimiento como sociedad religiosa sin ánimo de lucro,
42
La austeridad supone un ejercicio físico extenuante y la privación de alimento y place-
res corporales como forma regular de existencia.
I ¡ otra t;na ilc l.i I U'iin niiiviinn IIIIIN sociales contra el nuevo orden global 12.1
exenta de impuestos. Una vez consolidada la posición de Aum y con el
respaldo de unos 10.000 miembros, Asahara decidió entrar en la política
para transformar la sociedad. En 1990, junto con otros 25 miembros de
Aum, se presentó al Congreso, pero apenas obtuvo votos. Declaró que
habían sido robados. Esta decepción política fue un momento decisivo
para la ideología de Aum, que abandonó sus intentos de participar en el
proceso político. Los esfuerzos futuros se dirigirían hacia el enfrenta-
miento con el gobierno. Poco después, los residentes locales se opusieron
ferozmente a un intento de construir un nuevo local de la secta en Nami-
nomura y, tras algunos incidentes, los miembros de Aum fueron deteni-
dos. Los medios de comunicación se hicieron eco de rumores sobre se-
cuestros y extorsiones de antiguos miembros de la secta. Cuando un
grupo de sus víctimas formó una asociación, su abogado desapareció. La
secta entró en un frenesí paranoico, sintiéndose acosada por la policía, el
gobierno y los medios de comunicación.
En este contexto, Asahara comenzó a destacar la línea de pensa-
miento escatológico que había estado presente en los temas de la secta
desde su inicio. Refiriéndose a las profecías de Nostradamus, predijo que,
en torno al año 2000, estallaría la guerra nuclear entre los Estados Unidos
y la Unión Soviética y que, como resultado, el 90 por ciento de los habi-
tantes de las ciudades moriría. Por lo tanto, los mejores debían prepararse
para sobrevivir al desastre. Para hacerlo, sería necesario el ejercicio físico
duro, la austeridad y la meditación, siguiendo sus enseñanzas, a fin de
crear una raza de superhombres. Los salones de meditación de Aum se-
rían el lugar de nacimiento de una nueva civilización después de Armage-
dón. Pero la perfección espiritual no bastaría. El enemigo utilizaría todo
tipo de nuevas armas: nucleares, químicas, bacteriológicas. Por lo tanto,
Aum, como última oportunidad para la supervivencia de la humanidad,
debía estar preparado para esta terrible guerra del fin de los tiempos. En
consecuencia, estableció varias empresas para comprar y procesar mate-
riales para el desarrollo de armas químicas y biológicas. Importó un heli-
cóptero y varios vehículos blindados, comprados en el mercado negro
ruso, y comenzó a aprender a diseñar y producir armas de alta tecnología,
incluidas armas dirigidas por láser43
.
Siguiendo una evolución lógica, en 1994 Aum decidió convertirse en
un contraestado. Formó ministerios y oficinas, reflejando la estructura del
estado japonés, y nombró a miembros para cada ministerio y organismo,
para construir un gobierno en la sombra, con Asahara en la cúspide de
este contraestado sagrado. El papel de esta organización sería conducir a
la secta y a los pocos supervivientes elegidos en la batalla final contra las
fuerzas del mal, a saber, el gobierno mundial unido (dominado por las
empresas multinacionales) y sus agentes directos: los imperialistas estado-
43
Drew, 1995.
124 Hl poder ele l.i klcnliihul
unidenses y la policía japonesa. En junio de 1994, se efectuó un primer
experimento con gas neurotóxico en Matsumoto, matando a varias perso-
nas. Las investigaciones policiales sobre la secta y las informaciones en
los medios de comunicación provocaron entre sus miembros el senti-
miento de que la confrontación era inevitable y que estaban ocurriendo
los primeros episodios que anunciaban el cumplimiento de la profecía. El
ataque al metro de Tokio, unos cuantos meses después, propulsó a Aum,
a Japón, y quizás al mundo, a una nueva era de crítica mesiánica respal-
dada potencialmente por armas de exterminio masivo.
Creencias y metodología de Aum
Las creencias y enseñanzas de Aum Shinrikyo son complejas y han ve-
nido cambiando según ha evolucionado la secta. No obstante, es posible
reconstruir la esencia de su visión y práctica atendiendo a los documentos
e informes disponibles. En la raíz de su objetivo y método, destaca la no-
ción de liberación (gedatsu), que es, según uno de sus mejores observa-
dores:
Disolver la integridad del cuerpo como individuo para superar su localidad. Los
creyentes deben transcender la frontera entre el cuerpo y su mundo externo dife-
renciando el cuerpo infinitamente. Mediante el ejercicio continuo es posible al-
canzar el punto en el que el cuerpo puede sentirse como un fluido, gas u onda de
energía. El cuerpo trata de integrarse como individuo porque tenemos conciencia
del yo en la parte interior del cuerpo integrado. Es esta parte interior del cuerpo
la que organiza el yo. Por lo tanto, desintegrar nuestros cuerpos hasta el grado de
que sintamos nuestros cuerpos como fluido o gas significa la desorganización de
nosotros mismos. Ésta es la liberación44
.
La liberación significa libertad y felicidad verdaderas. Los humanos
han perdido sus yoes y se han vuelto impuros. El mundo real es en reali-
dad una ilusión y la vida que suele vivir la gente está llena de cargas y do-
lores. Darse cuenta de esta dura realidad y aceptarla permite afrontar la
muerte en la verdad. Para alcanzar esta verdad, mediante la liberación,
Aum desarrolló una tecnología de meditación y austeridad (mahayana)
con indicadores precisos del grado de perfección logrado por cada cre-
yente en diversos estadios.
Sin embargo, para la mayoría de los seguidores, la liberación es in-
cierta. Por lo tanto, dos elementos adicionales proporcionan coherencia al
método y visión de Aum: por una parte, la fe en los poderes superiores
del gurú, que garantiza la salvación una vez que se alcance cierto estadio
44
Osawa, 1995.
1.a otra cara de la Tierra: movimientos sociales contra el nuevo orden global 125
de perfección; por otra parte, un sentimiento de apremio derivado de la
crisis catastrófica inminente de la civilización. Según el planteamiento de
Aum, existe un vínculo directo entre el fin del mundo y la salvación de los
creyentes, que se están preparando para el apocalipsis mediante la adqui-
sición de poderes sobrenaturales. En este sentido, Aum es a la vez un
culto místico y una empresa práctica que proporciona entrenamiento de
supervivencia para el día del juicio final del año 2000, a un precio.
Aum y la sociedad japonesa
La mayoría de los sacerdotes de Aum eran jóvenes licenciados univer-
sitarios. En 1995, el 47,5% de sus sacerdotes tenían entre 20 y 30 años y el
28%, entre 30 y 40; el 40% eran mujeres. De hecho, un objetivo explícito
de Aum era «disolver las diferencias de género» cambiando «el mundo in-
terno del género». En ausencia de un movimiento feminista potente en
Japón (aún ahora), Aum obtuvo cierta influencia entre las mujeres uni-
versitarias, frustradas por una sociedad extremadamente patriarcal. Una
elevada proporción de los hombres eran licenciados en ciencias naturales
de prestigiosas universidades45
. El atractivo de Aum para la juventud con
educación superior fue un choque para el público japonés. Según Yazawa46
,
este atractivo puede comprenderse mejor por la alienación de la juventud
japonesa a raíz de la derrota de los vigorosos movimientos sociales de los
años sesenta. En lugar de valores sociales transformadores, se prometió la
Sociedad de la Información. Pero esta promesa se quedó corta en cuanto
a innovación cultural y satisfacción espiritual. En una sociedad sin con-
tendientes sociales movilizados y sin valores de transformación cultural,
una nueva generación ha crecido desde los años setenta en la abundancia
material pero sin significado espiritual. Fue seducida a la vez por la tecno-
logía y el esoterismo. Muchos creyentes de Aum eran personas que no
podían encontrar un espacio para sus deseos de cambio y sentido en la es-
tructura burocratizada de las escuelas, administraciones y empresas, y se
revolvían contra las estructuras familiares tradicionales y autoritarias. No
tenían un objetivo en sus vidas y ni siquiera un espacio físico para expre-
sarse en la conurbación congestionada de las ciudades japonesas. Lo
único que les quedaba eran sus propios cuerpos. Para muchos de estos jó-
venes, su deseo era vivir en un mundo diferente utilizando la ciencia y la
tecnología para ayudar a sus cuerpos a transcender los límites naturales y
sociales. En el concepto de Yawaza, el suyo era un deseo basado en la
«informacionalización del cuerpo», lo que significaba Ja transformación
del potencial físico humano por la fuerza de las ideaá, las creencias y la
Mainichi Shinbun, 1995.
Castells etal, 1996; Yazawa, 1996.
I2ft I I |Kxlci ilc l.i i d nlul.ul
meditación. Ahí es donde la metodología de la liberación de Aum encaja
particularmente bien. La promesa de la liberación era que la gente podría
sentirse a sí misma y a los otros al mismo tiempo. Se restauraba la comu-
nidad y la pertenencia, pero como una expresión del yo, mediante la per-
fección y el control de los límites propios del cuerpo, no como resultado
de la imposición externa, permitiendo la comunicación sin un instru-
mento a través de la conexión directa con los otros cuerpos. Esta nueva
forma de comunicación sólo se consideraba1
posible entre cuerpos que ya
hubieran superado su localidad. El cuerpo de: Asahara, al haber escapado
ya de su localidad, sería el catalizador que induciría la liberación de los
otros. Como resultado, se formó gradualmente una comunidad virtual de
cuerpos comunicantes, con Asahara como su centro único47
.
Algunas de estas ideas y prácticas no son inusuales en el yoga y el bu-
dismo tibetano. Lo específico de la versión de Aum de la comunicación
incorpórea mediante el yoga y la meditación era, por una parte, su ejecu-
ción tecnológica (por ejemplo, mediante el uso extensivo de vídeos de en-
trenamiento y de aparatos de estimulación electrónica). En algunos casos,
se realizaron experimentos mediante cascos electrónicos sujetos a las ca-
bezas de los seguidores para permitirles recibir ondas comunicativas di-
rectamente del cerebro del gurú (una ayudita tecnológica a la teoría de la
comunicación incorpórea). Las ideas de Asahara acabaron desarrollán-
dose en la identidad de su yo o «yo verdadero», en el que los yoes de to-
dos sus discípulos se disolverían al final. Los canales de comunicación con
el mundo exterior se cerraron, ya que se le declaró el enemigo que condu-
cía hacia Armagedón. La red interna se estructuró en una organización
jerárquica, en la que la comunicación venía del vértice, sin canales hori-
zontales de comunicación entre los creyentes. En este planteamiento, el
mundo exterior era irreal y la realidad virtual, generada por una combi-
nación de tecnología y técnicas de yoga, era el mundo real. El mundo ex-
terior irreal iba evolucionando hacia su apocalipsis. El mundo interior, de
realidad virtual, comunicado internamente, era la realidad fundamental,
que se preparaba para la salvación.
En el estadio último del discurso de Aum, tomó forma una predicción
social más precisa: el cambio social futuro sería causado por un ciclo de
recesión económica, luego una depresión, seguida por la guerra y la
muerte. Los desastres naturales y la depresión económica dominarían Ja-
pón en los últimos años del milenio. Las razones: la competencia intensifi-
cada de otros países asiáticos que utilizarían su ventaja comparativa de
bajos costes salariales. Para responder a este reto, Japón desarrollaría su
industria militar y trataría de imponer su voluntad sobre Asia, en interés
de las compañías japonesas, que pugnaban por crear un gobierno mundial
bajo el control de las empresas multinacionales. En respuesta, los Estados
Osawa, 1995.
i i 'I ni muí ilc ln Tic mi: iiinviinictitiM NIKÍIIII .. < 111 n el nuevo orden f.lolnil 127
Unidos entrarían en guerra contra Japón para proteger a sus vasallos
asiáticos y para proseguir con su propio proyecto de gobierno mundial.
I ii guerra se dilataría y se utilizaría todo tipo de armas de alta tecnología.
Sería una guerra de exterminio, que podría conducir al fin de la humani-
dad, lin este relato, la visión de Aum reflejaba, de modo distorsionado y
esquemático, los temores de la sociedad japonesa de perder su posición
ile ventaja competitiva en la economía mundial, de un conflicto potencial
con los Estados Unidos y de las consecuencias catastróficas de las nuevas
tecnologías incontroladas.
Lo que distinguió a Aum fue su respuesta a estas amenazas. Para estar
preparados para esa guerra, y para sobreviviría (como en algunas pelícu-
las populares de ciencia ficción de los años noventa), se requeriría tanto
el renacimiento de la espiritualidad como el dominio de la tecnología de
las armas avanzadas, sobre todo de las armas biológicas, químicas y dirigi-
das por láser. Como ya se ha mencionado, Aum trató de adquirir estas ar-
mas y de contratar científicos capaces de desarrollarlas en los Estados
Unidos, Israel y Rusia. Mientras perseguía la perfección espiritual y unía
a sus miembros en un cuerpo espiritual colectivo, se equipó para luchar
en la guerra de supervivencia y la declaró por adelantado contra quienes
apoyaban al gobierno mundial unido que se cernía en el horizonte.
Aunque distorsionados, los temores e ideas de Aum eran similares a
los que aparecen en muchas de las subculturas de la juventud japonesa.
Según Shinji Miyadai, dos percepciones del mundo podían encontrarse
entre ellas48
. La primera era la de una «vida diaria interminable» sin obje-
tivo, metas ni felicidad. La segunda era la de la comunidad posible sólo en
el caso de una guerra nuclear que obligara a los supervivientes a unirse.
Al construirse sobre ambas ideas —esto es, buscando la felicidad en el yo
interior y preparándose para la comuna posterior a la guerra nuclear—,
Aum conectaba directamente con estas expresiones de desesperación cul-
tural de la juventud alienada en una sociedad sobreorganizada. En este
sentido, Aum no era un acto de locura colectiva, sino la manifestación hi-
perbólica ampliada de los rebeldes educados, manipulados por un gurú
mesiánico, en la encrucijada entre meditación y electrónica, comercio y
espiritualidad, política informacional y guerra de alta tecnología. Aum pa-
rece haber sido un esperpento de la Sociedad de la Información japonesa,
reflejando su estructura de gobierno, su conducta empresarial y su culto a
la tecnología avanzada, mezclado con la espiritualidad tradicional. Quizás
la razón por la que Japón se obsesionó con Aum fuera el reconocimiento
de cuan verdaderamente japonesa era esa visión del apocalipsis en primer
plano.
48
Miyadai, 1995.
I2K El poder de la identidad
EL SENTIDO DE LAS SUBLEVACIONES CONTRA EL NUEVO ORDEN GLOBAL
Tras analizar tres movimientos contra la globalización, en sus prácti-
cas, sus discursos y sus contextos, me aventuraré a compararlos, tratando
de extraer conclusiones para el análisis más amplio del cambio social en
la sociedad red. Utilizaré mi adaptación de la tipología de Touraine para
interpretar los movimientos en relación con las mismas categorías analíti-
cas. Considerados desde esta perspectiva, los tres movimientos analizados
coinciden en la identificación de su adversario: el nuevo orden global, de-
signado por los zapatistas como la conjunción del imperialismo estadouni-
dense y el gobierno corrupto e ilegítimo del PRI en el TLC; encarnado
por las instituciones internacionales, sobre todo por la ONU y el gobierno
federal estadounidense en el planteamiento de la milicia estadounidense;
mientras que para Aum la amenaza global proviene de un gobierno mun-
dial unificado que representa los intereses de las empresas multinaciona-
les, el imperialismo estadounidense y la policía japonesa. Así pues, los
tres movimientos se organizan primordialmente en torno a su oposición a
un adversario que es, en general, el mismo: los agentes del nuevo orden
global, que buscan establecer un gobierno mundial que someterá la sobe-
ranía de todos los países y pueblos.
A ese enemigo, cada movimiento opone un principio específico de
identidad, que refleja las agudas diferencias entre las tres sociedades de
las que proceden: en el caso de los zapatistas, se consideran a sí mismos
indios y mexicanos oprimidos que luchan por su dignidad, sus derechos,
su tierra y la nación mexicana; en el caso de la milicia, son ciudadanos es-
tadounidenses en lucha por su soberanía y sus libertades, según se expre-
san en la Constitución estadounidense original y divina. En cuanto a
Aum, su principio de identidad es más complejo: es en realidad su identi-
dad individual, expresada en sus cuerpos, aunque tales cuerpos se com-
parten mutuamente en la mente del gurú: es la combinación de la indivi-
dualidad física y la comunidad espiritual reconstruida. En cada uno de los
tres casos, se apela a la autenticidad en su principio de identidad, pero
con manifestaciones diferentes: una comunidad amplia, de raíces históri-
cas (los indios de México, como parte de los mexicanos); comunidades lo-
cales/regionales de ciudadanos libres; y una comunidad espiritual de indi-
viduos liberados de la dependencia de sus cuerpos. Estas identidades se
basan en la especificidad cultural y en el deseo de controlar su destino
propio. Y se oponen al adversario global en nombre de un objetivo social
más elevado, que en los tres casos conduce a la integración de la identi-
dad específica y al bienestar de la sociedad en general: México, Estados
Unidos, la humanidad superviviente. No obstante, se busca esta integra-
ción mediante la consecución de valores diferentes para cada movi-
miento: justicia social y democracia para todos los mexicanos; libertad
individual del dominio del gobierno para todos los ciudadanos estadouni-
olía i-aní ik- la Tierra: inovíiuú'iilim nodulo» cumia il nuevo orden ulobul I2l
>
densos; y transcendencia de la materialidad mediante la liberación espiri-
iii,il en el caso de Aum. Sin embargo, estos objetivos sociales son los ele-
mentos más débiles de cada uno de los tres movimientos: son sobre todo
movilizaciones basadas en la identidad en reacción a un adversario clara-
mente identificado. Son reactivas y defensivas, más que provisoras de un
proyecto social, aun cuando proponen visiones de una sociedad alterna-
uva. El esquema 2.1 enumera los elementos que definen a cada movi-
miento.
ESQUEMA 2.1
Movimiento
Zapatistas
Milicia
estadounidense
Aum
Shinrikyo
Estructura de los valores
insurgentes contra la gle
Identidad
Indios mexicanos
oprimidos y
excluidos
Ciudadanos
estadounidenses
originales
Comunidad
espiritual de
cuerpos entregados
de creyentes
y creencias de los movimientos
balización
Adversario
Capitalismo global
(TLC), gobierno
ilegal del PRI
Nuevo orden
mundial, gobierno
federal de los
Estados Unidos
Gobierno mundial
unido, policía
japonesa
Objetivo
Dignidad,
democracia,
tierra
Libertad y
soberanía
de los
ciudadanos,
comunidades
locales
Supervivencia
al apocalipsis
El vigoroso impacto de cada uno de estos movimientos ha obedecido,
en buena medida, a su presencia en los medios de comunicación y a su
uso efectivo de la tecnología de la información. Se busca o encuentra la
atención de los medios realizando, en la tradición anarquista francesa, re-
vivida brevemente en Mayo del 68, Vaction exemplaire: una acción espec-
tacular que, por su gran atractivo, incluso mediante el sacrificio, atrae la
atención de la gente hacia las demandas del movimiento y pretende en úl-
tima instancia despertar a las masas, manipuladas por la propaganda y so-
metidas por la represión. Al forzar a un debate sobre sus reivindicaciones
e inducir la participación de la gente, los movimientos esperan presionar
a los gobiernos e instituciones, e invertir el curso del sometimiento al
nuevo orden social. ^ /
Por ello, las armas son esenciales en los tres movimientos, no como un
fin, sino como un signo de libertad y como un dispositivo para desencade-
I I I I II poiki ele I» iilintulnil
nar los acontecimientos y llamar la atención de los medios de comunica-
ción. Esta estrategia orientada a los medios fue particularmente explícita
y realizada con gran acierto en el caso de los zapatistas, que se esmeraron
en minimizar la violencia y utilizaron los medios de comunicación e Inter-
net para llegar a todo el mundo. Pero los efectos teatrales de la milicia y
la explotación deliberada de las tácticas violentas, o su amenaza, para
atraer la atención de los medios de comunicación son también un compo-
nente clave de los patriotas estadounidenses. Incluso Aum, que no con-
fiaba en los medios, prestó una atención considerable a los debates en te-
levisión y las informaciones de la prensa, dedicando a algunos de sus
miembros mejores a esas tareas. Y sus ataques con gas parecen haber te-
nido el doble propósito de verificar la profecía del día del juicio final y de
difundir al mundo sus advertencias a través de los medios^de comunica-
ción. Parecería que los nuevos movimientos de protesta lanzan sus men-
sajes y proyectan sus demandas en la forma de la política simbólica carac-
terística de la sociedad informacional (véase cap. 6). Su capacidad de
comunicación mediática es una herramienta de lucha fundamental, mien-
tras que sus manifiestos y sus armas son los medios para crear un aconte-
cimiento del que merezca la pena informar.
Las nuevas tecnologías de comunicación son fundamentales para la
existencia de estos movimiertos: son su infraestructura organizativa. Sin
Internet, el fax y los medios de comunicación alternativos, los patriotas
no serían una red influyente, sino una serie de reacciones desconectadas e
impotentes. Sin la capacidad de comunicación que permitió a los zapatis-
tas llegar al México urbano y al mundo en tiempo real, habrían conti-
nuado siendo una fuerza guerrillera aislada y localizada, como muchas
otras que siguen luchando en América Latina. Aum no utilizó demasiado
Internet, simplemente porque apenas estaba presente en Japón a comien-
zos de los años noventa. Pero sí utilizó mucho el fax, el vídeo y los orde-
nadores como herramientas cruciales para construir una red organizativa
muy controlada pero descentralizada. Además, trataban de lograr un im-
portante avance tecnológico (si bien esotérico) mediante el desarrollo de
la comunicación directa de un cerebro a otro, estimulada electrónica-
mente. Las células revolucionarias de la era de la información se constru-
yen sobre flujos de electrones.
Junto a su similitud, los tres movimientos también muestran profun-
das diferencias, vinculadas con sus orígenes históricos/culturales y con el
grado de desarrollo tecnológico de sus sociedades. Debe establecerse una
clara distinción entre el proyecto político articulado de los zapatistas, la
confusión y paranoia de la mayoría de los grupos de la milicia y la lógica
apocalíptica de Aum. También hay una diferencia esencial entre el com-
ponente escatológico de la milicia y Aum, y la ausencia de planteamientos
referentes al fin de los tiempos en los zapatistas. Así pues, son los contex-
tos sociales, las culturas y los procesos históricos específicos, y los grados
I a olrn curii de ln I iflin; movimientos sociales contra rl nuevo orden global I M
de concienciación política, los que determinan las diferencias sustanciales
en los procesos de sublevación, aun cuando se hayan desencadenado por
una causa similar.
Los tres movimientos han interactuado estrechamente con los proce-
sos políticos de las sociedades en las que tuvieron lugar. Los zapatistas
lanzaron deliberadamente su ataque el año de las elecciones presidencia-
les y desempeñaron un papel fundamental en la profundización de las
contradicciones que existían dentro del PRI y obligando a la apertura
del sistema político mexicano (véase cap. 5). Aum surgió durante un pe-
riodo en el que, en 1993, el hasta entonces estable sistema político japo-
nés se estaba desmoronando. Al expresar, de forma espectacular, la alie-
nación de una nueva generación de profesionales y científicos, Aum
amplificó y aceleró el debate en Japón sobre el modelo social del periodo
posterior al hipercrecimiento, en el que se había alcanzado la riqueza
material y se habían superado las amenazas de dominación extranjera.
Tras décadas de modernización acelerada por oleadas de intervención
estatal y movilización nacional, Japón tenía que afrontarse como socie-
dad, después de que la gente se diera cuenta de que también podía su-
frirse alienación, violencia y terrorismo realizados por japoneses contra
japoneses.
La milicia estadounidense también se desarrolló en un contexto de
amplia alienación política y sentimiento antigubernamental en los Esta-
dos Unidos, un sentimiento que a nivel electoral también se expresó en
la explotación por parte del Partido Republicano de la «revolución ne-
oconservadora» (véase cap. 5). Una parte significativa de este nuevo
voto conservador tenía su origen en el fundamentalismo cristiano y
otros sectores de opinión relacionados con el movimiento patriota,
como se manifestó en la aplastante victoria en el Congreso de los repu-
blicanos en 1994 y en el impacto relativo de la campaña de Buchanan
durante las primarias presidenciales republicanas de 1996. Existe, en
efecto, una cierta conexión entre el deterioro de las condiciones de
vida en los Estados Unidos, la erosión de la política de partidos tradi-
cional, el desarrollo del libertarismo y populismo de derechas dentro
de la política establecida, la reacción violenta de los valores tradiciona-
les contra los procesos de cambio social y desintegración familiar, y el
surgimiento del movimiento patriota. Estos vínculos son esenciales para
comprender la nueva relación entre la sociedad estadounidense y su
sistema político49
.
Así pues, los nuevos movimientos sociales, en su diversidad, reaccio-
nan contra la globalización y contra sus agentes políticos, y actúan sobre
el proceso continuo de informacionalización cambiando los códigos cultu-
rales de la base de las nuevas instituciones sociales. En este sentido, sur-
Balz y Brownstein, 1996.
132 l'l poder ilc ln iiknlklnil
gen de las profundidades de las formas sociales históricamente agotadas,
pero afectan de forma decisiva, en un modelo complejo, a la sociedad que
se está creando.
CONCLUSIÓN: EL DESAFÍO A LA GLOBALIZACIÓN
Los movimientos sociales que he analizado en este capítulo y en el an-
terior son muy diferentes. Y, no obstante, bajo formas distintas que refle-
jan su raíces sociales y culturales diversas, todos ellos desafían los proce-
sos actuales de globalización en nombre de sus identidades construidas,
afirmando representar los intereses de su país o incluso ¡de la humani-
dad. J
Los movimientos que he estudiado, en este y otros^íapítulos de este
volumen, no son los únicos que se oponen a las consecuencias sociales,
económicas, culturales y medioambientales de la globalización. En otras
regiones del mundo, por ejemplo en Europa, surgen desafíos similares a
la reestructuración capitalista y la imposición de nuevas reglas en nombre
de la competencia global, basados en el movimiento obrero. Por ejemplo,
la huelga francesa de diciembre de 1995 fue una manifestación vigorosa
de esa oposición, en el ritual más clásico francés de los sindicatos al frente
de los obreros y estudiantes en las calles, representando a la nación. Las
encuestas de opinión mostraron un fuerte apoyo a la huelga entre la po-
blación general, pese a los inconvenientes diarios causados por la falta de
transporte público. No obstante, puesto que se dispone de un excelente
análisis sociológico sobre este movimiento50
, cuyas líneas principales de
interpretación comparto, refiero al lector a él para diversificar más el cua-
dro transcultural del rechazo al proceso de globalización. Este y otros
movimientos que salpican todo el mundo están poniendo fin a la fantasía
neoliberal de crear una nueva economía global, independiente de la so-
ciedad, mediante el empleo de la arquitectura de redes informáticas. El
gran plan exclusionista (explícito o implícito) de concentrar la informa-
ción, producción y mercados en un segmento valioso de la población, dis-
poniendo del resto de formas diferentes, más o menos humanas según el
carácter de cada sociedad, está desatando, en expresión de Touraine, un
grand refus. Pero la transformación de este rechazo en la reconstrucción
de nuevas formas de control social sobre las nuevas formas de capita-
lismo, globalizado e informatizado, requiere que el sistema político y las
instituciones estatales procesen las demandas de los movimientos socia-
les. La capacidad o incapacidad del estado para afrontar las lógicas con-
flictivas del capitalismo global, los movimientos sociales basados en la
identidad y los movimientos defensivos de los trabajadores y consumido-
Touraine et al., 1996.
I i olía cara de la Ticrm iiiovlitm-nlo'. iliuconltn el nuevo otilen global I.U
res, condicionará en buena medida el futuro de la sociedad en el siglo xxi.
No obstante, antes de examinar la dinámica del estado en la era de la in-
formación, hemos de analizar el desarrollo reciente de otros tipos de mo-
vimientos sociales que son proactivos más que reactivos: el ecologismo y
el feminismo.
3
EL REVERDECIMIENTO DEL YO:
EL MOVIMIENTO ECOLOGISTA
El planteamiento verde de la política es una especie de celebración. Reconocemos
que cada uno de nosotros es parte de los problemas del mundo y también somos
parte de la solución. Los peligros y las posibilidades de curación no están fuera de
nosotros. Comenzamos a trabajar allí donde estamos. No hay necesidad de esperar
hasta que las condiciones sean ideales. Podemos simplificar nuestras vidas y vivir
de un modo que afirme los valores ecológicos y humanos. Llegarán condiciones
mejores porque hemos empezado [...] Por lo tanto, puede decirse que la meta fun-
damental de la política verde es lograr una revolución interior, «el reverdecimiento
del yo».
Petra Kelly, Thinking Green'
Si hemos de evaluar los movimientos sociales por su productividad
histórica, por su repercusión en los valores culturales y las instituciones
de la sociedad, el movimiento ecologista del último cuarto de este siglo se
ha ganado un lugar destacado en el escenario de la aventura humana. En
los años noventa, el 80% de los estadounidenses y más de dos tercios de
los europeos se consideran ecologistas; es difícil que un partido o candi-
dato sea elegido para un cargo sin «reverdecer» su programa; tanto los
gobiernos como las instituciones internacionales multiplican programas,
organismos especiales y legislación para proteger la naturaleza, mejorar
la calidad de vida y, en definitiva, salvar la Tierra, a largo plazo, y a noso-
tros, a corto plazo. Las empresas, incluidas algunas contaminantes triste-
mente famosas, han incluido el ecologismo en su agenda de relaciones pú-
blicas, así como entre sus nuevos mercados más prometedores. Y a lo
largo de todo el globo, la antigua oposición simplista entre desarrollo
para los pobres y conservación para los ricos se ha transformado en un
debate pluralista sobre el contenido real del desarrollo sostenido para
cada país, ciudad y región. Sin duda, la mayoría de nuestros problemas
fundamentales sobre el medio ambiente permanecen, ya que su trata-
1
En Essays by Petra Kelly (1947-1992) (Kelly, 1994, págs. 39 y40. En esta cita, se refiere
al «reverdecimiento del yo» de Joanna Macy (Macy, 1991).
136 El poder de l.i ul( iilul.i.l
miento requiere una transformación de los modos de producción y con-
sumo, así como de nuestra organización social y vidas personales. El ca-
lentamiento global se cierne como una amenaza letal, aún arde la selva
tropical, las sustancias químicas tóxicas impregnan las cadenas alimenta-
rias, un mar de pobreza niega la vida y los gobiernos juegan con la salud
de la gente, como ejemplificó la locura de Major con las vacas británicas.
No obstante, el hecho de que todos estos temas y muchos otros estén en
el debate público y de que haya surgido una conciencia creciente sobre su
carácter global interdependiente crea la base para su tratamiento y, qui-
zás, para una reorientación de las instituciones y políticas hacia un sis-
tema socioeconómico responsable en cuanto al medio ambiente. El movi-
miento ecologista multifacético que ha surgido desde finales de los años
sesenta en la mayor parte del mundo, con fuertes pilares en los Estados
Unidos y la Europa del Norte, se encuentra en buena medida en el origen
de la inversión espectacular de los modos en que concebimos la relación
entre economía, sociedad y naturaleza, induciendo, así, una nueva cultura2
.
Sin embargo, resulta algo arbitrario hablar del movimiento ecologista,
puesto que su composición es muy diversa y sus expresiones varían mu-
cho de un país a otro y entre las diferentes culturas. Así pues, antes de va-
lorar su potencial transformador, trataré de presentar una diferenciación
tipológica de diversos componentes del ecologismo y utilizaré ejemplos
de cada tipo para bajar de las nubes el argumento. Luego proseguiré con
una elaboración más amplia de la relación entre los temas ecologistas y
las dimensiones fundamentales sobre las que se efectúa la transformación
estructural en nuestra sociedad: las luchas sobre el papel de la ciencia y la
tecnología, sobre el control del espacio y el tiempo, y sobre la construc-
ción de nuevas identidades. Una vez caracterizados los movimientos eco-
logistas en su diversidad social y en su comunidad, analizaré sus medios y
modos de actuar en la sociedad en general, explorando el tema de su ins-
titucionalización y su relación con el estado. Por último, abordaré la vin-
culación creciente entre los movimientos ecologistas y las luchas sociales,
tanto local como globalmente, así como la perspectiva cada vez más po-
pular de la justicia medioambiental.
LA CACOFONÍA CREATIVA DEL ECOLOGISMO: UNA TIPOLOGÍA
La acción colectiva, la política y los discursos que se agrupan bajo el
nombre de ecologismo son tan diversos que ponen en entredicho la idea
de un movimiento. Y, no obstante, yo sostengo que es precisamente esta
2
Para un visión general sobre el movimiento ecologista, véanse, entre otras fuentes, Ho-
Uiman, 1990; Gottlieb, 1993; Kaminiecki, 1993; Shabecoff, 1993; Dalton, 1994; Alley et al.,
1995; Diani, 1995; Brolle, 1996; Wapner, 1996.
I I i'fvmli'i'iiiiiriilii ili-l yo i-I IIIIIX Mínenlo ii< >loj',is(;i I (7
diversidad de teorías y prácticas la que caracteriza al ecologismo como
una nueva forma de movimiento descentralizado, multiforme, articulado
en red y omnipresente. Es más, como trataré de mostrar, hay algunos te-
mas fundamentales que caracterizan la mayoría, si no toda, la acción co-
lectiva relacionada con el medio ambiente. Sin embargo, en aras de la cla-
ridad, parece útil proceder al análisis de este movimiento siguiendo una
distinción y una tipología.
La distinción se establece entre el medioambientalismo y la ecología.
Por medioambientalismo hago referencia a todas las formas de conducta
colectiva que, en su discurso y práctica, aspiran a corregir las formas de
relación destructivas entre la acción humana y su entorno natural, en
oposición a la lógica estructural e institucional dominantes. Por ecología,
en mi planteamiento sociológico, entiendo una serie de creencias, teorías
y proyectos que consideran a la humanidad un componente de un ecosis-
tema más amplio y desean mantener el equilibrio del sistema en una pers-
pectiva dinámica y evolucionista. En mi opinión, el medioambientalismo
es la ecología puesta en práctica, y la ecología es el medioambientalis-
mo en teoría, pero en las páginas siguientes restringiré el uso del término
ecología a las manifestaciones explícitas y conscientes de esta perspectiva
holística y evolucionista.
ESQUEMA 3.1 Tipología de los movimientos ecologistas
Tipo (ejemplo)
Conservación de
la naturaleza
(Grupo de los
Diez, EE. UU.)
Defensa del
espacio propio
(«En mi patio
trasero, no»)
Contracultura,
ecología profunda
(Earth First!,
ecofeminismo)
Salvar al planeta
(Greenpeace)
Política verde
(Die Gruñen)
Identidad
Amantes de la
naturaleza
Comunidad local
El yo verde
Ecoguerreros
internacionalistas
Ciudadanos
concienciados
Adversario
Desarrollo
incontrolado
Contaminadores
Industrialismo,
tecnocracia,
patriarcado
Desarrollo global
incontrolado
Establishment
político /
Objetivo
Naturaleza
original
Calidad de
vida/salud
Ecotopía
Sostenibilidad
Contrapoder
138 El poder de la identidad
En cuanto a la tipología, recurriré de nuevo a la útil caracterización
que hace Alain Touraine de los movimientos sociales, presentada en el
capítulo 2, para diferenciar cinco tipos principales de movimientos ecolo-
gistas según se han manifestado en las prácticas observadas en las dos últi-
mas décadas en el ámbito internacional. Sugiero que esta tipología tiene
un valor general, aunque la mayoría de los ejemplos se han extraído de
las experiencias estadounidense y alemana porque cuentan con los movi-
mientos ecologistas más desarrollados del mundo y porque tuve un ac-
ceso más fácil a esa información. Acéptese el descargo habitual por el re-
duccionismo inevitable de esta, y todas, las tipologías, que espero
compensar con los ejemplos que introducirán la carne y hueso de los mo-
vimientos reales en esta caracterización algo abstracta.
Para emprender nuestro breve viaje por el calidoscopio del ecolo-
gismo valiéndonos de la tipología propuesta, se necesita un mapa. El es-
quema 3.1 lo proporciona, pero requiere cierta explicación. Cada tipo se
define, desde el punto de vista analítico, por una combinación específica
de tres características que definen a un movimiento social: identidad, ad-
versario y objetivo. Para cada tipo, identifico el contenido preciso de las
tres características resultado de la observación, utilizando varias fuentes a
las que hago referencia. De acuerdo con ellas, otorgo un nombre a cada
tipo y proporciono ejemplos de los movimientos que encajan mejor en
cada uno. Como es natural, en cualquier movimiento u organización de-
terminados, puede haber una mezcla de características, pero, para fines
analíticos, elijo aquellos movimientos que parecer aproximarse más al
tipo ideal en su práctica y discurso reales. Tras observar el esquema 3.1,
les invito a una breve descripción de cada uno de los ejemplos que ilus-
tran los cinco tipos para que las distintas voces del movimiento puedan
oírse a través de su cacofonía.
La conservación de la naturaleza, bajo sus diferentes formas, fue el
origen del movimiento ecologista en los Estados Unidos, según lo estable-
cieron organizaciones tales como el Sierra Club (fundado en San Fran-
cisco en 1891 por John Muir), Audubon Society o la Wilderness Society3
.
A comienzos de los años ochenta, diversas organizaciones ecologistas an-
tiguas y nuevas se unieron en una alianza conocida como el Grupo de los
Diez, que incluyó, además de las organizaciones ya citadas, a National
Parks and Conservation Association, National Wildlife Federation, Natu-
ral Resources Defense Council, la Izaak Walton League, Defenders of
Wildlife, Environmental Defense Fund y Environmental Policy Institute.
Pese a las diferencias de planteamiento y su ámbito específico de actua-
ción, lo que une a estas organizaciones y muchas otras creadas según lí-
neas similares, es su defensa pragmática de las causas conservacionistas
en todo el sistema institucional. En palabras de Michael McCloskey, pre-
3
Alien, 1987; Scarce, 1990; Gottlieb, 1993; Shabecoff, 1993.
lil reverdecimit'iiln tlcl yo: rl mi>viiiiii-iii>i ecologista I.W
sidente del Sierra Club, su planteamiento puede caracterizarse como «sa-
lir del paso»: «Provenimos de una tradición montañera en la que primero
se decide que se va a escalar la montaña. Se tiene una noción de la ruta
general, pero los asideros para manos y pies se encuentran según se sube
y hay que adaptarse y cambiar constantemente»4
. La cima que hay que
escalar es la conservación de la vida natural, en sus formas diferentes,
dentro de unos parámetros razonables de lo que puede lograrse en el sis-
tema económico e institucional presente. Sus adversarios son el desarro-
llo incontrolado y las burocracias irresponsables, como la Oficina Federal
de Reclamación, que no se preocupa de proteger nuestra reserva natural.
Se definen como amantes de la naturaleza y apelan a ese sentimiento en
todos nosotros, prescindiendo de Tas diferencias sociales. Operan me-
diante las instituciones y utilizan a menudo la influencia política con gran
destreza y determinación. Se basan en un amplio apoyo popular, así como
en las donaciones de las élites acomodadas de buena voluntad y de las
empresas. Algunas organizaciones, como el Sierra Club, son muy grandes
(en torno a 600.000 miembros) y están estructuradas en organizaciones
locales, cuyas acciones e ideologías varían considerablemente y no siem-
pre encajan con la imagen del «ecologismo establecido». La mayor parte
del resto, como el Environmental Defense Fund, se centran en las campa-
ñas políticas, el análisis y la difusión de información. Suelen practicar una
política de coalición, pero se cuidan de no alejarse de su objetivo medio-
ambiental, desconfiando de las ideologías radicales y la acción espectacu-
lar que está en desacuerdo con la mayoría de la opinión pública. Sin em-
bargo, sería un error oponer los conservacionistas establecidos a los
ecologistas verdaderos y radicales. Por ejemplo, uno de los dirigentes his-
tóricos del Sierra Club, David Brower, se convirtió en fuente de inspira-
ción para los ecologistas radicales. De forma recíproca, Dave Foreman,
de Earth First! formó parte, en 1996, de la junta directiva del Sierra Club.
Existe una gran osmosis en las relaciones entre los conservacionistas y los
ecologistas radicales, ya que las ideologías tienden a ocupar un segundo
lugar en su preocupación compartida por la destrucción incesante y multi-
forme de la naturaleza, pese a los agudos debates y conflictos dentro de
un movimiento tan grande y diversificado.
La movilización de las comunidades locales en defensa de su espacio,
contra la intrusión de los usos indeseables, constituye la forma de acción
ecologista de desarrollo más rápido y la que quizás enlaza de forma más
directa las preocupaciones inmediatas de la gente con los temas más am-
plios del deterioro medioambiental5
. Con frecuencia etiquetados, con
cierta malicia, como el movimiento «en mi patio trasero, no», se desarro-
lló en los Estados Unidos en primer lugar bajo la forma del movimiento
4
Citado en Scarce, 1990, pág. 15.
5
Gottlieb, 1993; Szasz, 1994; Epstein, 1995.
140 El poder de la identidad
contra los tóxicos, originado en 1978 durante el vergonzoso incidente de
Love Canal sobre vertidos industriales tóxicos en Niágara Falls (Nueva
York). Lois Gibbs, el ama de casa que se hizo famosa debido a su lucha
por defender la salud de su hijo, así como el valor de su hogar, acabó es-
tableciendo, en 1981, la Citizen's Clearinghouse for Hazardous Waste.
Según los recuentos de la Clearinghouse, en 1984 había 600 grupos loca-
les que luchaban contra los vertidos tóxicos en los Estados Unidos, que
aumentaron a 4.687 en 1988. Con el tiempo, las comunidades también se
movilizaron contra la construcción de autopistas, el desarrollo excesivo y
la localización de instalaciones peligrosas en su proximidad. Aunque el
movimiento es local, no es necesariamente localista, ya que suele afirmar
el derecho de los residentes a la calidad de vida en oposición a los intere-
ses de las empresas o burocracias. Sin duda, la vida en sociedad se com-
pone de equilibrios entre gente como residentes, trabajadores, consumi-
dores, personas que se desplazan al trabajo y otros viajeros. Pero lo que
estos movimientos cuestionan es, por una parte, el sesgo de la localización
de materiales o actividades indeseables en comunidades de renta baja y
zonas habitadas por minorías; y por la otra, la falta de transparencia y
participación en la toma de decisiones sobre el uso del espacio. Así pues,
los ciudadanos demandan la extensión de la democracia local, una planifi-
cación urbana responsable y equidad para compartir las cargas del des-
arrollo urbano/industrial, a la vez que se impide la exposición a vertidos o
instalaciones peligrosos. Como concluye Epstein en su análisis del movi-
miento:
La demanda del movimiento sobre tóxicos/justicia medioambiental de un estado
que tenga mayor poder para regular las empresas, un estado que sea responsable
ante el público más que ante las empresas, parece muy apropiada y probable-
mente constituya una base para la exigencia más amplia de que se reafirme y ex-
tienda el poder estatal sobre las empresas y que se ejerza en nombre del bienestar
público y sobre todo del bienestar de quienes son más vulnerables6
.
En otros casos, en los suburbios de clase media, las movilizaciones de
sus residentes se centraron más en conservar su status quo contra el des-
arrollo indeseado. No obstante, prescindiendo de su contenido de clase,
todas las formas de protesta aspiran a establecer un control sobre el en-
torno en nombre de la comunidad local y, en este sentido, las movilizacio-
nes defensivas locales son, sin duda, un importante componente del movi-
miento ecologista más amplio.
El ecologismo también ha alimentado algunas de las contraculturas
que brotaron de los movimientos de los años sesenta y setenta. Por con-
tracultura entiendo el intento deliberado de vivir de acuerdo con normas
6
Epstein, 1995, pág. 20.
T.l reverdecí míenlo del <>. el moviimciilo ecologista 141
diferentes y hasta cierto punto contradictorias de las aplicadas institucio-
nalmente por la sociedad y de oponerse a esas instituciones basándose en
principios y creencias alternativos. Algunas de las corrientes contracultu-
rales más fuertes de nuestras sociedades se expresan bajo la forma de
guiarse sólo por las leyes de la naturaleza, afirmando, de este modo, la
prioridad del respeto a la naturaleza sobre cualquier otra institución hu-
mana. Por eso creo que tiene sentido incluir bajo la noción de ecologismo
contracultural expresiones tan aparentemente distintas como los ecologis-
tas radicales (tales como Earth First! o Sea Shepherds), el movimiento
para la liberación de los animales y el ecofeminismo7
. De hecho, a pesar
de su diversidad y falta de coordinación^ la mayoría de estos movimientos
comparten las ideas de los pensadores de la «ecología profunda», repre-
sentados, por ejemplo, por el escritor noruego Arne Naess. Según éste y
George Sessions, los principios básicos de la «ecología profunda» son:
1) El bienestar y florecimiento de la vida humana y no humana en la
Tierra tienen valor en sí mismos. Estos valores son independientes de la
utilidad del mundo no humano para los objetivos humanos. 2) La riqueza
y diversidad de las formas de vida contribuyen a la percepción de estos
valores y son también valores en sí mismos. 3) Los humanos no tienen de-
recho a reducir esta riqueza y diversidad, salvo para satisfacer necesida-
des vitales. 4) El florecimiento de la vida y cultura humanas es compatible
con un descenso sustancial de la población humana. El florecimiento de
la vida no humana requiere ese descenso. 5) La interferencia humana ac-
tual en el mundo no humano es excesiva y la situación empeora por mo-
mentos. 6) Por lo tanto, deben cambiarse las políticas. Estas políticas
afectan a las estructuras económicas, tecnológicas e ideológicas básicas.
El estado de cosas resultante será profundamente diferente del presente.
7) El cambio ideológico consiste fundamentalmente en apreciar la calidad
de vida (vivir en situaciones de valor inherente) más que adherirse a un
nivel de vida cada vez más alto. Habrá una profunda conciencia de la di-
ferencia entre grande y excelente. 8) Quienes suscriben los puntos prece-
dentes tienen la obligación directa o indirecta de tratar de llevar a cabo
los cambios necesarios8
.
Para responder a esa obligación, a finales de la década de los setenta,
varios ecologistas radicales, encabezados por David Foreman, un ex ma-
rine convertido en ecoguerrero, crearon en Nuevo México y Arizona
Earth First!, un movimiento intransigente que utilizó la desobediencia ci-
vil e incluso el «ecosabotaje» contra la construcción de presas, la tala y
7
Para consultar fuentes, véase Adler, 1979; Spretnak, 1982; Manes, 1990; Scarce, 1990;
Davis, 1991; Dobson, 1991; Epstein, 1991; Moog, 1995. f
8
Naess y Sessions, 1984, reproducido en Davis, 1991, págs. lt>7 y 158.
112 II poda de la identidad
otras agresiones a la naturaleza, con lo que se enfrentó a procesos y cár-
cel. El movimiento, y otras organizaciones diversas que siguieron su
ejemplo, estaba completamente descentralizado, formado por «tribus»
autónomas que se reunían de forma periódica, según los ritos y fechas de
los indios norteamericanos, para decidir sus acciones. La ecología pro-
funda era la base ideológica del movimiento y figura de forma promi-
nente en The Earth First! Reader, publicado con un prefacio de David Fo-
reman9
. Pero igualmente influyente, si no más, fue la novela de Abbey
The Monkey Wrench Gang, acerca de un grupo contracultural de ecogue-
rrillas que se convirtieron en modelos para muchos ecologistas radicales.
En efecto, monkeywrenching (utilizar la llave inglesa) se convirtió en un
sinónimo de ecosabotaje. En la década de los noventa, el movimiento
para la liberación de los animales, centrado en la oposición abierta a la
experimentación con animales, parece ser el ala más militante del funda-
mentalismo ecológico.
El ecofeminismo se distancia claramente de las tácticas «machistas»
de algunos de estos movimientos, pero comparte el principio del respeto
absoluto por la naturaleza como la base para la liberación tanto del pa-
triarcado como del industrialismo. Consideran a las mujeres víctimas de
la misma violencia patriarcal que se inflige a la naturaleza. Y, por lo
tanto, el restablecimiento de los derechos naturales es inseparable de la
liberación de la mujer. En palabras de Judith Plant:
A lo largo de la historia, la mujer no ha tenido un poder real en el mundo exte-
rior, ni lugar en la toma de decisiones. La vida intelectual, el trabajo de la mente,
no ha sido tradicionalmente accesible a las mujeres. Las mujeres han solido ser
pasivas, al igual que la naturaleza. Sin embargo, hoy la ecología habla en favor de
la tierra, en favor del «otro», en las relaciones humanas/medioambientales. Y el
ecofeminismo, al hablar en favor de los otros originales, pretende comprender las
raíces interconectadas de toda dominación y los modos de resistencia al cambio10
.
A algunas ecofeministas también las inspiró la polémica reconstruc-
ción histórica de Carolyn Merchant, que se remonta a las sociedades
prehistóricas y naturales, libres de la dominación masculina, de una edad
de oro matriarcal, donde había armonía entre naturaleza y cultura, y
donde tanto hombres como mujeres adoraban a la naturaleza en forma de
diosa ". También ha habido, sobre todo durante la década de los setenta,
una interesante conexión entre el ecologismo, el feminismo espiritual y el
neopaganismo, algunas veces expresada en la militancia ecofeminista y la
acción directa no violenta de brujas pertenecientes a la Congregación de
Brujería '2
.
' Davis, 1991.
10
Plant, 1991, pág. 101.
11
Merchant, 1980; véase también Spretnak, 1982; Moog, 1995.
12
Adler, 1979; Epstein, 1991.
II rcverdecmiiriilo ilcl V" rl moviinicnlo ecologista 14.1
Así pues, mediante formas variadas, de las tácticas ecoguerrilleras al
ispiritualismo, pasando por la ecología profunda y el ecofeminismo, los
ecologistas radicales vinculan la acción medioambiental y la revolución
cultural, ampliando el alcance de un movimiento ecologista abarcador, en
su construcción de la ecotopía.
Greenpeace es la organización ecologista mayor del mundo y proba-
blemente la que más ha popularizado los temas medioambientales globa-
les mediante sus acciones no violentas orientadas a los medios de comuni-
cación 13
. Fundada en Vancouver en 1971, en torno a la protesta
antinuclear frente a la costa de Alaska, estableció después su sede en
Amsterdam, convirtiéndose en una organización transnacional interco-
nectada que, en 1994, contaba cóft~<rrñillones de miembros a lo largo de
todo el mundo y unos ingresos anuales de más de 100 millones de dólares.
Su perfil tan característico como movimiento ecologista se deriva de tres
componentes principales. En primer lugar, un sentimiento de urgencia en
cuanto a la desaparición inminente de la vida en el planeta, inspirado por
una leyenda india norteamericana: «Cuando la tierra esté enferma y los
animales hayan desaparecido, llegará una tribu de pueblos de todos los
credos, colores y culturas que crean en los hechos, no en las palabras, y
que devolverán a la Tierra su antigua belleza. La tribu se llamará los
"Guerreros del Arco iris"» 14
. En segundo lugar, una actitud de inspira-
ción cuáquera de atestiguar, como principio de acción y como estrategia
de comunicación. En tercer lugar, una actitud pragmática y comercial, en
buena medida influida por el dirigente histórico y presidente de la junta
directiva de Greenpeace, David McTaggart, de «hacer las cosas». No hay
tiempo para discusiones filosóficas: los temas clave deben identificarse
utilizando el conocimiento y las técnicas de investigación en todo el pla-
neta; han de organizarse campañas sobre objetivos específicos; seguirán
acciones espectaculares destinadas a atraer la atención de los medios de
comunicación, con lo que un tema determinado se expondrá a la mirada
pública y se obligará a las empresas, gobiernos e instituciones internacio-
nales a tomar una determinación o afrontar más publicidad perjudicial.
Greenpeace es a la vez una organización muy centralizada y una red glo-
bal descentralizada. Está controlada por un consejo de representantes de
los países, un pequeño comité ejecutivo y unos fideicomisarios regionales
para Norteamérica, América Latina, Europa y el Pacífico. Sus recursos se
organizan en campañas, cada una de ellas dividida por temas. A media-
dos de los años noventa, las principales campañas eran: sustancias tóxicas,
energía y atmósfera, temas nucleares y ecología marina/terrestre. Sus se-
des, situadas en 30 países del mundo, sirven para coordinar las campañas
13
Hunter, 1979; Eyerman y Jamison, 1989; DeMont, 1991; Horton, 1991; Ostertag, 1991;
Melchett, 1995; Wapner, 1995,1996. /
14
Greenpeace Environmental Fund, citado en Eyerman y Jamison, 1989, pág. 110.
1-14 El poder de lu identidad
globales y recaudar fondos y apoyo nacional/local, pero la mayor parte de
la acción aspira a obtener una repercusión global, ya que los principales
problemas medioambientales son globales. Greenpeace considera su ad-
versario a un modelo de desarrollo caracterizado por la falta de preocu-
pación acerca de sus consecuencias sobre la vida del planeta. Por consi-
guiente, se moviliza para aplicar el principio de la sostenibilidad
medioambiental como principio general, al que todas las demás políticas
y actividades deben subordinarse. Debido a la importancia de su misión,
los «guerreros del arco iris» no están inclinados a participar en debates
con los otros grupos ecologistas y no se recrean en la contracultura, pese
a las variaciones personales en las actitudes de sus numerosos miembros.
Son internacionalistas resueltos y consideran al estado-nación el principal
obstáculo para lograr el control sobre el desarrollo actual, desenfrenado y
destructivo. Están en guerra contra un modelo de desarrollo ecosuicida y
pretenden obtener resultados inmediatos de cada frente de acción, desde la
conversión del sector frigorífico alemán a una tecnología de «congelación
verde», ayudando así a proteger la capa de ozono, hasta influir en la restric-
ción de la pesca de ballenas y la creación de un refugio para ellas en la An-
tártida. Los «guerreros del arco iris» se encuentran en la encrucijada de la
ciencia para la vida, la tecnología de la comunicación de redes globales y la
solidaridad intergeneracional.
A primera vista, la política verde no parece ser un tipo de movimiento
por sí mismo, sino más bien una estrategia específica, a saber, entrar en el
ámbito de la política electoral en nombre del ecologismo. No obstante, un
examen más atento del ejemplo más importante de la política verde, Die
Gruñen, muestra claramente que, en su origen, no era la política habitual15
.
El Partido Verde alemán, constituido el 13 de enero de 1980 a partir de
una coalición de movimientos populares, no es un movimiento ecologista
estrictamente hablando, aun cuando puede que haya sido más efectivo
para el avance de la causa medioambiental que ningún otro movimiento
europeo en su país. La principal fuerza subyacente en su formación fue-
ron las «iniciativas ciudadanas» de finales de los años setenta, organizadas
sobre todo en torno a las movilizaciones pacifistas y antinucleares. Reu-
nió, excepcionalmente, a los veteranos de los movimientos de los años se-
senta con las feministas, que se descubrieron como tales al reflexionar
precisamente sobre el sexismo de los hombres revolucionarios de la dé-
cada de los sesenta, y con la juventud y las clases medias cultas preocupa-
das por la paz, la energía nuclear, el entorno (la muerte de los bosques,
Waldsterben), el estado del mundo, la libertad individual y la democracia
de base.
15
Véanse, entre un océano de fuentes sobre el Partido Verde alemán, Langguth, 1984;
Hulsberg, 1988; Wiesenthal, 1993; Scharf, 1994; y, sobre todo, Poguntke, 1993 y Frankland,
1995.
II rcvcrdccimtcniu del yo: el tiiovmiiciiio ccologisiii 145
La creación y el rápido éxito de Los Verdes (entraron en el parlamen-
to nacional en 1983) tuvieron su origen en circunstancias muy excepcio-
nales. En primer lugar, no había expresiones políticas reales para la pro-
testa social en Alemania más allá de los tres partidos principales que se
habían alternado en el poder y que incluso formaron una coalición en los
años sesenta: en 1976, más del 99% de los votos fueron a los tres partidos
(democristianos, socialdemócratas y liberales). Por lo tanto, existía un
voto desafecto potencial, sobre todo entre la juventud, que esperaba la
posibilidad de expresarse. Los escándalos sobre la financiación política
(el caso Flick) habían puesto en entredicho la reputación de todos los
partidos políticos y sugerido que se sostenían con las aportaciones de la
industria. Además, lo que los politólogos denominan la «estructura de
oportunidades políticas» apoyaba la estrategia de formar un partido y
mantener la unidad entre sus constituyentes: entre otros elementos, el
movimiento podía obtener cuantiosos fondos gubernamentales si llegaba,
con arreglo a la ley electoral alemana, al 5% de los votos, porcentaje ne-
cesario para entrar en el parlamento. Esto contribuyó a unir a Los Ver-
des, antes fraccionados. La mayor parte de los votantes verdes eran jóve-
nes, estudiantes, profesores o miembros de otras categorías alejadas de la
producción, ya fueran desempleados (pero subsidiados por el gobierno) o tra-
bajadores gubernamentales. Su agenda incluía ecología, paz, defensa de
las libertades, protección de las minorías y los inmigrantes, feminismo y de-
mocracia participativa. Dos tercios de los dirigentes del Partido Verde eran
participantes activos en varios movimientos sociales en los años ochenta.
En efecto, Die Gruñen se presentaba, en palabras de Petra Kelly, como
un «partido antipartido» que pretendía «una política basada en una nueva
concepción del poder, un "contrapoder" que es natural y común a todos,
que ha de ser compartido por todos y utilizado por todos para todos»16
.
En consecuencia, los representantes elegidos para los cargos rotaban y to-
maban la mayoría de las decisiones en asamblea, siguiendo la tradición
anarquista que inspiró a Los Verdes más de lo que admitirían. La prueba
de fuego de la política pragmática deshizo estos experimentos unos cuan-
tos años después, sobre todo tras el fracaso electoral de 1990, motivado
fundamentalmente por su total incomprensión de la importancia de la
unificación alemana, en una actitud coherente con su oposición al nacio-
nalismo. El conflicto latente entre los Realos (dirigentes pragmáticos que
trataban de potenciar la agenda verde mediante las instituciones) y los
Fundís (leales a los principios básicos de la democracia de base y el ecolo-
gismo) estalló abiertamente en 1991, dejando el control del partido a una
alianza de centristas y pragmáticos. Reorientado y reorganizado, el Par-
tido Verde alemán recobró su fortaleza en la década de los noventa, vol-
vió al parlamento y obtuvo posiciones fuertes en los gobiernos locales y
16
Kelly, 1994, pág. 37.
Mi. I I potlcí (Ir la HK nhilail
regionales, sobre todo en Berlín, Frankfurt, Bremen y Hamburgo, algu-
nas veces gobernando en alianza con los socialdemócratas. No obstante,
no era el mismo partido: se había convertido en un partido político. Ade-
más, este partido ya no poseía el monopolio de la agenda medioambiental
puesto que los socialdemócratas, e incluso los liberales, se abrieron mu-
cho más a las nuevas ideas planteadas por los movimientos sociales. Y lo
que es más, la Alemania de la década de los noventa era un país muy di-
ferente. No había peligro de guerra, sino de declive económico. El desem-
pleo generalizado entre los jóvenes y la reducción del estado de bienestar
se convirtieron en temas más acuciantes para los votantes verdes «cano-
sos» que la revolución cultural. El asesinato de Petra Kelly en 1992, pro-
bablemente a manos de su compañero, que luego se suicidó, tocó una fi-
bra sensible, sugiriendo los límites de la huida de la sociedad en la vida
cotidiana, mientras se dejan intactas estructuras fundamentales económi-
cas, políticas y psicológicas. Sin embargo, mediante la política verde, el
Partido Verde se consolidó como la izquierda coherente de la Alemania
de fin de siglo y la generación rebelde de los años setenta siguió conser-
vando la mayoría de sus valores mientras envejecía y los transmitió a sus
hijos a través de su modo de vida. Así pues, del experimento de la política
verde surgió una Alemania muy diferente, tanto desde el punto de vista
cultural como desde el político. Pero la imposibilidad de integrar partido y
movimiento sin conducir al totalitarismo (leninismo) o al reformismo a ex-
pensas del movimiento (socialdemocracia) recibió otra confirmación histó-
rica como ley de hierro del cambio social.
EL SENTIDO DEL REVERDECIMIENTO: TEMAS SOCIALES Y DESAFÍO
ECOLOGISTA
La conservación de la naturaleza, la búsqueda de la calidad medio-
ambiental y un planteamiento ecológico de la vida son ideas decimonó-
nicas que, en su expresión más definida, permanecieron durante largo
tiempo confinadas a las élites ilustradas de los países dominantes 17
.
Con frecuencia fueron el dominio exclusivo de una alta burguesía abru-
mada por la industrialización, como en el caso de los orígenes de la
Audubon Society en los Estados Unidos. Otras veces, un componente
comunal y utópico fue la cuna de los primeros ecologistas políticos,
como en el caso de Kropotkin, que enlazó para siempre el anarquismo
y la ecología, en una tradición bien representada en nuestro tiempo por
Murray Bookchin. Pero en todos los casos, y durante más de un siglo,
se mantuvo como una tendencia intelectual restringida, que aspiraba
17
Bramwell, 1989,1994.
II rcvcrdccimiriiio ilrl y > I winirnln ecologista 147
fundamentalmente a influir en la conciencia de las personas influyentes
i|iic podían fomentar la legislación conservacionista o donar sus bienes
¡i la buena causa de la naturaleza. Aun cuando se forjaron alianzas so-
ciales (por ejemplo, entre Robert Marshall y Catherine Bauer en los
Estados Unidos durante los años treinta), sus rebultados políticos se
presentaron de un modo en que las preocupaciones económicas y de
bienestar social eran lo primordial18
. Aunque hubo pioneros influyen-
tes y valerosos, como Alice Hamilton y Rachel Carson en los Estados
Unidos, hasta finales de los años sesenta no surgió un movimiento de
masas, tanto en las bases como en la opinión pública, en los Estados
Unidos, Alemania y Europa Occidental, que luego se difundió rápida-
mente al resto del mundo. ¿Por qué fue así? ¿Por qué las ideas ecolo-
gistas prendieron de repente en las secas praderas del sin sentido pla-
netario? Propongo la hipótesis de que existe una correspondencia
directa entre los temas planteados por el movimiento ecologista y las
dimensiones fundamentales de la nueva estructura social, la sociedad
red, que surgió a partir de los años setenta: la ciencia y la tecnología
como medios y objetivos básicos de la economía y la sociedad; la trans-
formación del espacio y del tiempo; y la dominación de la identidad
cultural por los flujos globales y abstractos de riqueza, poder e infor-
mación, que construyen la virtualidad real mediante las redes de me-
dios de comunicación. Sin duda, en el universo caótico del ecologismo
podemos encontrar todos estos temas en general y ninguno de ellos en
particular. Sin embargo, sostengo que hay implícito un discurso ecoló-
gico coherente que transciende diversas orientaciones políticas y oríge-
nes sociales dentro del movimiento y que proporciona el marco desde
el cual se destacan temas diferentes en momentos distintos y para fines
diversos 19
. Naturalmente, existen conflictos pronunciados y fuertes de-
sacuerdos entre los componentes del movimiento ecologista. No obs-
tante, estos desacuerdos suelen ser más sobre tácticas, prioridades y
lenguaje que sobre la ofensiva básica de vincular la defensa de entor-
nos específicos a nuevos valores humanos. A riesgo de simplificar de-
masiado, sintetizaré las principales líneas del discurso presente en el
movimiento ecologista en cuatro temas principales.
En primer lugar, una conexión ambigua y profunda con la ciencia y la
tecnología. Bramwell escribe: «El desarrollo de las ideas verdes fue la re-
vuelta de la ciencia contra la ciencia que se produjo a finales del siglo xix
en Europa y Norteamérica»20
. Esta revuelta se intensificó y difundió en
18
Gottlieb, 1993.
19
Para los datos sobre la presencia e importancia de estos temas en los movimientos
ecologistas de varios países, véanse Dickens, 1990; Dobson, 1990; Scarce, 1990; Epstein,
1991; Zisk, 1992; Coleman y Coleman, 1993; Gottlieb, 1993; Shabecoff, 19^3; Bramwell,
1994; Porrit, 1994; Riechmann y Fernández Buey, 1994; Moog, 1995. V"
20
Bramwell, 1994, pág. vii.
148 El poder de la identidad
los años setenta de forma simultánea a la revolución de la tecnología de la
información y al extraordinario desarrollo del conocimiento biológico
gracias a la modelización informática que tuvo lugar en el periodo subsi-
guiente. En efecto, la ciencia y la tecnología desempeñaron un papel fun-
damental, si bien contradictorio, en el movimiento ecologista. Por una
parte, existe una profunda desconfianza hacia la bondad de la tecnología
avanzada, que lleva en algunas manifestaciones extremas a ideologías ne-
oluditas, como la representada por Kirpatrick Sale. Por otra parte, el mo-
vimiento se apoya en buena medida en la reunión, el análisis y la difusión
de información científica sobre la interacción de los artefactos fabricados
por el hombre y el medio ambiente, a veces con un alto grado de comple-
jidad. Las principales organizaciones ecologistas suelen tener científicos
en su plantilla y en la mayoría de los países existe una estrecha conexión
entre los científicos y académicos y los activistas ecologistas.
El ecologismo es un movimiento basado en la ciencia. A veces no es
una ciencia muy rigurosa, pero no obstante pretende conocer qué le pasa a
la naturaleza y los humanos, revelando la verdad que ocultan los intereses
creados del industrialismo, el capitalismo, la tecnocracia y la burocracia.
Aunque critican el dominio de la vida por la ciencia, los ecologistas utili-
zan la ciencia para oponerse a la ciencia en nombre de la vida. No abogan
por la negación del conocimiento, sino por un conocimiento superior: la
sabiduría de una visión holística, capaz de superar los planteamientos frag-
mentarios y las estrategias miopes conducentes a la satisfacción de los ins-
tintos básicos. En este sentido, el ecologismo aspira a retomar el control
sobre los productos de la mente humana antes de que la ciencia y la tecno-
logía tengan vida propia y las máquinas acaben imponiendo su voluntad
sobre nosotros y la naturaleza, un temor ancestral de la humanidad.
Las luchas sobre la transformación estructural equivalen a luchar por
la redefinición histórica de las dos expresiones materiales fundamentales de
la sociedad: espacio y tiempo. Y, en efecto, el control del espacio y el pre-
dominio de la localidad es otro importante tema recurrente en varios
componentes del movimiento ecologista. En el volumen I, capítulo 6 pro-
puse la idea de que estaba surgiendo una oposición fundamental en la so-
ciedad red entre dos lógicas espaciales, la del espacio de los flujos y la del
espacio de los lugares. El espacio de los flujos organiza la simultaneidad
de las prácticas sociales a distancia, por medio de las telecomunicaciones
y los sistemas de información. El espacio de los lugares privilegia la inte-
racción social y la organización institucional atendiendo a la contigüidad
física. Lo que distingue a la nueva estructura social, la sociedad red, es
que la mayoría de los procesos dominantes, que concentran poder, ri-
queza e información, se organizan en el espacio de los flujos. La mayor
parte de la experiencia y el sentido humanos siguen teniendo una base lo-
cal. La disyunción entre las dos lógicas espaciales es un mecanismo funda-
mental de dominio en nuestras sociedades porque desplaza el núcleo de
lü reverdecimicnto ilcl yo: el movimiento ecologista 149
los procesos económicos, simbólicos y políticos del ámbito donde puede
construirse sentido social y puede ejercerse control político. Así pues, el'
hincapié de los ecologistas en la localidad y en el control de la gente de
sus espacios vitales es un reto a una palanca básica del nuevo sistema de
poder. Aun en las expresiones más defensivas, como en fas luchas deno-
minadas «en mi patio trasero, no», para afirmar la prioridad de la vida lo-
cal sobre los usos de un espacio determinado por parte de «intereses de
fuera», como las compañías que vierten tóxicos o los aeropuertos que ex-
tienden sus pistas, tiene el significado profundo de negar las prioridades
abstractas de los intereses técnicos o económicos sobre las experiencias
reales de los usos reales de la gente. Lo que desafía el localismo ecolo-
gista es la pérdida de conexión entre estas funciones o intereses diferentes
bajo el principio de la representación mediatizada por la racionalidad
abstracta y técnica que ejercen los intereses comerciales incontrolados y
las tecnocracias irresponsables. Así pues, la lógica del argumento evolu-
ciona hasta el anhelo de un gobierno a pequeña escala, que privilegie la
comunidad local y la participación ciudadana: la democracia de base es el
modelo político implícito en la mayor parte de los movimientos ecologistas.
En las alternativas más elaboradas, el control del espacio, la afirmación
del lugar como fuente de significado, se vinculan con los ideales de auto-
gestión de la tradición anarquista, incluida la producción a pequeña es-
cala y la búsqueda de la autosuficiencia, que conducen a la asunción de la
austeridad, la crítica del consumo conspicuo y la sustitución del valor de
cambio del dinero por el valor de uso de la vida. Sin duda, las personas
que protestan contra los vertidos tóxicos en su vecindad no son anarquis-
tas y pocas de ellas estarían realmente dispuestas a transformar todo el
entramado de su vida tal cual es. Pero la lógica interna del argumento, la
conexión entre la defensa del lugar propio contra los imperativos del es-
pacio de los flujos y el fortalecimiento de las bases económicas y políticas
de la localidad, permiten la identificación repentina de algunas de estas
vinculaciones en la conciencia pública cuando sucede un acontecimiento
simbólico (como la edificación de una central nuclear). De este modo, se
crean las condiciones para la convergencia de los problemas de la vida
diaria y los proyectos para una sociedad alternativa: así se hacen los movi-
mientos sociales.
Junto al espacio, el control del tiempo está en juego en la sociedad red
y el movimiento ecologista es, probablemente, el actor más importante en
la proyección de una temporalidad nueva y revolucionaria. Este tema es
tan importante como complejo y requiere una elaboración pausada. En
el volumen I, capítulo 7, propuse una distinción (basándome en los deba-
tes actuales en sociología e historia, así como en las filosofías del tiempo
y el espacio de Leibniz e Innis) entre tres formas de temporalidad: el
tiempo de reloj, el tiempo atemporal y el tiempo glacial. El tiempb^de re-
loj, característico del industrialismo, tanto para el capitalismo como para
iso Eil poder ilo la idrulidud
el estatismo, se caracterizaba/caracteriza por la secuencia cronológica de
los acontecimientos y por la disciplina de la conducta humana a un hora-
rio predeterminado que apenas permite la experiencia fuera de la dimen-
sión institucionalizada. El tiempo atemporal, que caracteriza los procesos
dominantes de nuestra sociedad, se da cuando las características de un
contexto determinado, a saber, el paradigma informacional y la sociedad
red, provocan una perturbación sistémica en el orden secuencial de los
fenómenos realizados en ese contexto. Esta perturbación puede compri-
mir la ocurrencia de los fenómenos para lograr la instantaneidad (como
en las «guerras instantáneas» o las transacciones financieras en fracciones
de segundo) o introducir una discontinuidad aleatoria en la secuencia
(como en el hipertexto de los medios de comunicación integrados y elec-
trónicos). La eliminación de las secuencias crea una cronología indiferen-
ciada, con lo cual se aniquila el tiempo. En nuestras sociedades, la mayo-
ría de los procesos centrales dominantes se estructuran en el tiempo
atemporal, pero la mayoría de la gente está dominada por el tiempo de
reloj.
Existe una forma más de tiempo, concebida y propuesta en la prác-
tica social: el tiempo glacial. En la formulación original de Lash y Urry, la
noción de tiempo glacial implica que «la relación entre los humanos y la
naturaleza es a muy largo plazo y evolutiva. Retrocede desde la historia
humana inmediata y se proyecta a un futuro totalmente inespecificable»21
.
Desarrollando su elaboración, propongo la idea de que el movimiento
ecologista se caracteriza precisamente por el proyecto de introducir una
perspectiva de «tiempo glacial» en nuestra temporalidad, tanto en cuanto
a la conciencia como a la política. El pensamiento ecológico considera la
interacción de todas las formas de la materia en una perspectiva evolu-
cionista. La idea de limitar el uso de los recursos a los de carácter reno-
vable, central para el ecologismo, se predica precisamente en virtud de la
noción de que la alteración del equilibrio básico del planeta y del uni-
verso puede, con el tiempo, deshacer el delicado equilibrio ecológico, con
consecuencias catastróficas. La noción holística de la integración de hu-
manos y naturaleza, representada en los autores de la «ecología pro-
funda», no hace referencia a un culto ingenuo de los prístinos paisajes
naturales, sino a la consideración fundamental de que la unidad de expe-
riencia importante no es cada individuo ni las comunidades humanas
existentes en la historia. Para fundirnos con nuestro yo cosmológico, pri-
mero debemos cambiar la noción de tiempo, para sentir el «tiempo gla-
cial» discurrir en nuestras vidas, percibir la energía de las estrellas fluir
en nuestra sangre y asumir que los ríos de nuestros pensamientos se su-
mergen incesantemente en los océanos ilimitados de la materia viva mul-
tiforme. En términos personales muy directos, el tiempo glacial significa
Lash y Urry, 1994, pág. 243.
Kl rovcrdeciiiiiriilii ilcl yo: r l inovimicnlo ixnl<>)>ÍKtii Ifil
medir nuestra vida por la vida de nuestros hijos y de los hijos de los hijos
de nuestros hijos. Así, gestionar nuestras vidas e instituciones para ellos,
tanto como para nosotros, no es un culto de la Nueva Era, sino la forma
más tradicional de cuidar de nuestros descendientes, es decir, de la carne
de nuestra carne. Proponer el desarrollo sostenible como solidaridad in-
tergeneracional une el sano egoísmo con el pensamiento sistémico en
una perspectiva evolucionista. El movimiento antinuclear, una de las
fuentes más poderosas del movimiento ecologista, basa su crítica radical
de la energía nuclear en los efectos a largo plazo de los desechos radiacti-
vos, además de los problemas de seguridad inmediatos, con lo que se
ocupa de la seguridad de generaciones a miles de años de nosotros.
Hasta cierto punto, el interés en la conservación de las culturas indígenas
y el respeto a las mismas extienden hacia atrás la preocupación por todas
las formas de la existencia humana provenientes de tiempos diferentes,
afirmando que nosotros somos ellos y ellos, nosotros. Es esta unidad de
la especie y de la materia como un todo, y de su evolución espaciotempo-
ral, la que proclaman de forma implícita el movimiento ecologista y, de
forma explícita, los pensadores de la ecología profunda y el ecofemi-
nismo22
. La expresión material que unifica las diferentes demandas y te-
mas del ecologismo es su temporalidad alternativa, que exige la asunción
por parte de las instituciones de la sociedad de la lenta evolución de
nuestra especie en su entorno, sin un final para nuestro ser cosmológico,
mientras el universo siga expandiéndose desde el momento/lugar de su
comienzo común. Más allá de las orillas temporales del tiempo de reloj
sometido, que sigue experimentando la mayor parte de la gente del
mundo, tiene lugar la lucha histórica por la nueva temporalidad entre la
aniquilación del tiempo en los flujos recurrentes de las redes informáticas
y la percepción del tiempo glacial en la asunción consciente de nuestro
yo cosmológico.
Mediante estas batallas fundamentales sobre la apropiación de cien-
cia, espacio y tiempo, los ecologistas inducen la creación de una nueva
identidad, una identidad biológica, una cultura de la especie humana como
componente de la naturaleza. Esta identidad sociobiológica no supone la
negación de las culturas históricas. Los ecologistas respetan las culturas
populares y se recrean en la autenticidad cultural de diversas tradiciones.
No obstante, su enemigo objetivo es el nacionalismo estatal, porque el es-
tado-nación, por definición, está destinado a afirmar su poder sobre un
territorio determinado. Por lo tanto, rompe la unidad de la humanidad,
así como la interrelación de los territorios, que impide que compartamos
plenamente nuestro ecosistema global. En palabras de David McTaggart,
dirigente histórico de Greenpeace International: «La mayor amenaza que
debemos afrontar es el nacionalismo. En el próximo siglo, vamos a hacer
Diamond y Orenstein, 1990; McLaughlin, 1993.
IV lil puilii ilr In hli'iiliilml
h ente a temas que no pueden resolverse nación por nación. Lo que trata-
mos de hacer es trabajar juntos internacionalmente, pese a siglos de pre-
juicio nacionalista» 21
. En lo que sólo es una contradicción aparente, los
ecologistas son, a la vez, localistas y globalistas: globalistas en la gestión
del tiempo, localistas en la defensa del espacio. El pensamiento y la polí-
tica evolucionistas requieren una perspectiva global. La armonía de la
gente con su entorno comienza en su comunidad local.
Esta nueva identidad como especie, que es una identidad sociobioló-
gica, puede superponerse fácilmente a las tradiciones históricas, los len-
guajes y los símbolos culturales multifacéticos, pero es difícil que se mez-
cle con la identidad nacionalista estatal. Así pues, hasta cierto punto, el
ecologismo supera la oposición entre la cultura de la virtualidad real, que
subyace en los flujos globales de riqueza y poder, y la expresión de las
identidades fundamentalistas culturales o religiosas. Es la única identidad
global que se plantea en nombre de todos los seres humanos, prescin-
diendo de sus ligaduras específicas sociales, históricas o de género, o de
su fe religiosa. Sin embargo, puesto que la mayoría de la gente no vive su
vida de forma cosmológica y la asunción de una naturaleza compartida
con los mosquitos aún plantea algunos problemas tácticos, el asunto esen-
cial en cuanto a la influencia de la nueva cultura ecológica es su capacidad
para tejer los hilos de las culturas singulares en un hipertexto, compuesto
por la diversidad histórica y la comunidad biológica. Denomino a esta
cultura la cultura verde (por qué inventar otro término cuando millones
de personas ya la llaman así) y la defino en los términos de Petra Kelly:
«Hemos de aprender a pensar y actuar desde nuestros corazones, a reco-
nocer la interconexión de todas las criaturas vivientes y a respetar el valor
de cada hilo de la vasta trama de la vida. Es una perspectiva espiritual y la
base de toda la política verde [...] la política verde requiere de nosotros
que seamos tiernos y subversivos a la vez»24
. La ternura de la subversión,
la subversión de la ternura: estamos muy lejos de la perspectiva instru-
mentalista que ha dominado la era industrial, tanto en su versión capita-
lista como en la estatista. Y estamos en contradicción directa con la diso-
lución del significado en los flujos del poder sin rostro que constituyen la
sociedad red. La cultura verde, según se propone en un movimiento eco-
logista multifacético, es el antídoto de la cultura de la virtualidad real que
caracteriza los procesos dominantes de nuestras sociedades.
Así pues, es la ciencia de la vida contra la vida bajo la ciencia; el con-
trol local sobre los lugares contra un espacio de los flujos incontrolable; la
percepción del tiempo glacial contra la aniquilación del tiempo y la escla-
vitud continuada al tiempo de reloj; la cultura verde contra la virtualidad
real. Éstos son los retos fundamentales del movimiento ecologista a las
Entrevista en Ostertag, 1991, pág. 33.
Kelly, 1994, pág. 37.
til revcrdccimiriiio ilrl y<i: el movimiento ccologiNtn 153
estructuras dominantes de la sociedad red. Y por ello afronta los temas
que la gente percibe vagamente como la materia con la que están hechas
sus nuevas vidas. Resta decir que entre este «furioso fuego verde» y los
hogares de la gente se yerguen altos los bastiones de la sociedad, obli-
gando a los ecologistas a una larga marcha a través de las instituciones, de
la que, como en el caso de todos los movimientos sociales, no salen ilesos.
EL ECOLOGISMO EN ACCIÓN: LLEGAR A LAS MENTES, DOMAR AL
CAPITAL, CORTEJAR AL ESTADO, BAILAR CON LOS MEDIOS DE
COMUNICACIÓN
Gran parte del éxito del movimiento ecologista obedece al hecho de
que, más que ninguna otra fuerza social, ha sido capaz de adaptarse lo
mejor posible a las condiciones de la comunicación y la movilización en
el nuevo paradigma informacional25
. Aunque gran parte del movimiento
se basa en las organizaciones populares, la acción ecologista opera utili-
zando acontecimientos recogidos por los medios de comunicación.
Creando acontecimientos que llamen la atención de los medios, los eco-
logistas son capaces de alcanzar a una audiencia mucho más amplia que
sus partidarios directos. Además, la presencia constante de temas medio-
ambientales en los medios les ha prestado una legitimidad mayor que la
de cualquier otra causa. La orientación hacia los medios resulta obvia en
los casos de activismo ecologista global como Greenpeace, cuya lógica se
orienta hacia la creación de acontecimientos para movilizar la opinión
pública sobre temas específicos con el fin de presionar sobre los poderes
sociales. Pero también es el pan de cada día de las luchas ecologistas de
ámbito local. Las noticias locales de televisión, radio y prensa son la voz
de los ecologistas, hasta el punto de que las grandes empresas y los polí-
ticos suelen quejarse de que son los medios de comunicación, más que
los ecologistas, los responsables de la movilización medioambiental. La
relación simbiótica entre los medios y el ecologismo proviene de varias
fuentes. En primer lugar, las tácticas de acción directa no violenta, que
dominaron el movimiento desde comienzos de los años setenta, propor-
cionaron un buen material de información, sobre todo cuando las noti-
cias requieren imágenes frescas. Muchos activistas ecologistas han practi-
cado con gran imaginación las tácticas anarquistas francesas de l'action
exemplaire, un acto espectacular que impresiona, provoca el debate e in-
duce la movilización. El autosacrificio, como soportar la detención y la
cárcel, arriesgar la vida en el océano, encadenarse a los árboles, utilizar
sus cuerpos para bloquear una construcción indeseable o los transportes
25
Véanse Epstein, 1991; Horton, 1991; Ostertag, 1991; Costain y Costain, 1992; Gottlieb,
1993; Kanagy et ai, 1994.
I VI líl poileí de 111 idenliilíiil
perniciosos, interrumpir las ceremonias oficiales y tantas otras acciones
directas, emparejadas con la contención y la no violencia manifiesta, in-
troduce una actitud de testimonio que restaura la confianza y realza los
valores éticos en una era de cinismo generalizado. En segundo lugar, la
legitimidad de los temas suscitados por los ecologistas, al conectar direc-
tamente con los valores humanistas básicos que aprecia la mayoría de la
gente y con frecuencia distantes de la política partidista, preparó el te-
rreno para que los medios de comunicación asumieran el papel de la voz
del pueblo, con lo que aumentaron su propia legitimidad y los periodistas
se sintieron a gusto con ello. Además, en las noticias locales, la informa-
ción sobre los peligros para la salud o los trastornos medioambientales
en la vida de la gente plantea los problemas sistémicos de un modo más
vigoroso que cualquier discurso ideológico tradicional. Con frecuencia,
los propios ecologistas alimentan a los medios con imágenes preciosas
que dicen más que un grueso informe. Así, los grupos ecologistas estado-
unidenses han distribuido cámaras de vídeo a los grupos de base de todo
el mundo, de Connecticut a Amazonia, para que filmen las violaciones
explícitas de las leyes medioambientales, utilizando después la infraes-
tructura tecnológica del grupo para procesar y difundir las imágenes acu-
satorias.
Los ecologistas también han estado a la vanguardia de las nuevas tec-
nologías de comunicación como herramientas organizativas y moviliza-
doras, sobre todo en el uso de Internet26
. Por ejemplo, una coalición de
grupos ecologistas de los Estados Unidos, Canadá y Chile, formada en
torno a Friends of the Earth, Sierra Club, Greenpeace, Defenders of
Wildlife, Canadian Environmental Law Association y otros, se movilizó
contra la aprobación del Tratado de Libre Comercio debido a que care-
cía de suficientes provisiones de protección al medio ambiente. Utiliza-
ron Internet para coordinar acciones e información y crearon una red
permanente que trazó las líneas de batalla de la acción ecologista trans-
nacional en todo el continente americano durante los años noventa. Los
nodos de la World Wide Web se están convirtiendo en lugares de en-
cuentro para los ecologistas de todo el mundo, al igual que las páginas
establecidas en 1996 por organizaciones como Conservation Internatio-
nal y Rainforest Action Network para defender la causa de los pueblos
indígenas de las selvas tropicales. Food First, una organización con base
en California, se ha enlazado con una red de grupos ecologistas de los
países en desarrollo, conectando los problemas medioambientales y de la
pobreza. De este modo, a través de la red, fue capaz de coordinar su ac-
ción con Global South, una organización con base en Tailandia, que pro-
porciona una perspectiva ecologista desde el Asia de industrialización re-
ciente. Mediante estas redes, los grupos de base de todo el mundo son
26
Bartz, 1996.
II reverdecimii-nto del yo: el movimiento ecologista I ^
capaces de actuar globalmente, en un momento dado, en el ámbito
donde se crean los problemas principales. Parece que está surgiendo una
élite informatizada como núcleo global y coordinador de grupos popula-
res de acción ecologista de todo el mundo, un fenómeno que no es com-
pletamente distinto del papel desempeñado por los obreros tipógrafos y
los periodistas al comienzo del movimiento obrero, orientando, a través
de la información a la que tenían acceso, a las masas analfabetas que for-
maban la clase obrera del inicio de la industrialización.
El ecologismo no es sólo un movimiento de concienciación. Desde sus
comienzos, se ha centrado en hacer que las cosas cambien en la legisla-
ción y el gobierno. En efecto, el núcleo de las organizaciones ecologistas
(como el denominado Grupo de los Diez de los Estados Unidos) dirige
sus esfuerzos a presionar para obtener legislación y a apoyar o oponerse a
candidatos políticos atendiendo a su postura sobre ciertos temas. Hasta
las organizaciones orientadas a acciones no tradicionales, como Green-
peace, han dedicado cada vez más su atención a presionar a los gobiernos
e instituciones internacionales para obtener leyes, decisiones y la aplica-
ción de decisiones sobre temas específicos. De forma similar, a nivel local
y regional, los ecologistas han hecho campaña en favor de nuevas formas
de planificación urbana y regional, medidas de salud pública y el control
del desarrollo excesivo. Es este pragmatismo, esta actitud orientada a un
tema concreto, la que ha otorgado al ecologismo la delantera sobre la po-
lítica tradicional: la gente siente que puede hacer que las cosas sean dife-
rentes aquí y ahora, sin mediación o demora. No existe distinción entre
los medios y los fines.
En algunos países, sobre todo de Europa, los ecologistas han en-
trado en la competición política, presentado candidatos para cargos con
éxito diverso27
. Los datos muestran que a los partidos verdes les va mu-
cho mejor en las elecciones locales, donde aún existe una vinculación
directa entre el movimiento y sus representantes políticos. También ob-
tienen resultados bastante buenos en las elecciones internacionales, por
ejemplo, al Parlamento Europeo, porque, al ser una institución que sólo
ostenta un poder simbólico, los ciudadanos se sienten cómodos al ver
sus principios representados, con un pequeño coste de pérdida de in-
fluencia sobre la toma de decisiones. En la política nacional, los politó-
logos han expuesto que la suerte de los partidos verdes está menos in-
fluida por las convicciones medioambientales de la gente que por las
estructuras institucionales específicas que encuadran las oportunidades
de competencia política28
. En pocas palabras, cuanto más accesibles
sean los temas medioambientales y el voto de protesta en el marco de
los partidos establecidos, menores son las posibilidades para los verdes;
Poguntke, 1993; Dalton, 1994; Diani, 1995; Richardson y Rootes, 1995.
Richardson y Rootes, 1995.
IM) El poder de la identidad
cuanto mayores sean las oportunidades para un voto simbólico, sin con-
secuencias para elegir un líder político, mejores serán los resultados de
los candidatos verdes. En efecto, parece que Alemania fue la excepción,
no la regla, en el desarrollo de la política verde, como sostuve anterior-
mente. En general, parece que existe una tendencia mundial hacia el re-
verdecimiento de las corrientes mayoritarias de la política, si bien con
frecuencia de un verde muy pálido, junto con la autonomía sostenida
del movimiento ecologista. En cuanto al propio movimiento, su relación
con la política cada vez mezcla más el lobby, las campañas específicas
en favor o en contra de los candidatos y la influencia sobre los votantes
mediante movilizaciones orientadas a un tema concreto. A través de es-
tas tácticas diversas, el ecologismo se ha convertido en una importante
fuerza de opinión pública, con la que en muchos países tienen que con-
tar los partidos y candidatos. Por otra parte, la mayoría de las organiza-
ciones ecologistas se han institucionalizado mucho, esto es, han acep-
tado la necesidad de actuar en el marco de las instituciones existentes y
dentro de las reglas de la productividad y de una economía de mercado
global. Así pues, la colaboración con las grandes empresas se ha conver-
tido en la regla más que en la excepción. Las empresas suelen financiar
diversas actividades medioambientales y se han vuelto extremadamente
conscientes de su imagen verde, hasta el punto de que los temas medio-
ambientales son ahora imágenes normales en la publicidad empresarial.
Pero no todo es manipulación. Las empresas de todo el mundo también
se han visto influidas por el ecologismo y han tratado de adaptar sus
procesos y productos a la nueva legislación, los nuevos gustos y los nue-
vos valores, tratando, como es natural, de obtener beneficios al mismo
tiempo. Sin embargo, debido a que las unidades de producción reales
de nuestra economía ya no son empresas individuales sino redes trans-
nacionales integradas por varios componentes (véase vol. I, cap. 3), la
transgresión medioambiental se ha descentralizado a las pequeñas em-
presas y los países de industrialización reciente, con lo que se ha modi-
ficado la geografía y topología de la acción medioambiental en los años
venideros.
En general, con el aumento extraordinario de la conciencia, influen-
cia y organización medioambientales, el movimiento se ha diversificado
cada vez más, desde el punto de vista social y temático, alcanzando
de las salas de juntas de las empresas a los callejones periféricos de
las contraculturas, pasando por los ayuntamientos de las ciudades
y las cámaras parlamentarias. En el proceso, se han distorsionado los te-
mas y, en algunos casos, manipulado. Pero ésta es la marca de cualquier
movimiento social importante. En efecto, el ecologismo es un impor-
tante movimiento social de nuestro tiempo, ya que abarca una diversi-
dad de causas sociales bajo la bandera general de la justicia medioam-
biental.
I''I reverdecimienlo ilil yo: el movimiento ecologista 157
JUSTICIA MEDIOAMBIENTAL: LA NUEVA FRONTERA DE LOS ECOLOGISTAS
Desde los años sesenta, el ecologismo no se ha interesado sólo en ob-
servar pájaros, salvar selvas y limpiar el aire. Las campañas en contra del
vertido de desechos tóxicos, a favor de los derechos del consumidor, las
protestas antinucleares, el pacifismo, el feminismo y otros muchos temas
han confluido con la defensa de la naturaleza para arraigar el movimiento
en un paisaje amplio de derechos y demandas. Hasta tendencias contra-
culturales como la meditación de la Nueva Era y el neopaganismo se
mezclaron con el resto de los componentes del movimiento ecologista en
las décadas de los setenta y los ochenta.
En los años noventa, mientras que algunos temas importantes como
la paz y la protesta antinuclear han pasado a segundo plano, en parte de-
bido al éxito de las protestas y en parte debido al fin de la guerra fría,
una variedad de temas sociales se han convertido en parte de un movi-
miento cada vez más diversificado29
. Las comunidades pobres y las mino-
rías étnicas se han movilizado contra la discriminación medioambiental,
pues se ven expuestas más a menudo que la población en general a las
sustancias tóxicas, la contaminación, los peligros para la salud y la degra-
dación de los lugares donde viven. Los trabajadores se han rebelado con-
tra las causas de los accidentes laborales, viejas y nuevas, del envenena-
miento químico al estrés provocado por los ordenadores. Los grupos de
mujeres han mostrado que, siendo generalmente quienes gestionan la
vida familiar diaria, son las que sufren de forma más directa las conse-
cuencias de la contaminación, del deterioro de las instalaciones públicas
y del desarrollo incontrolado. La falta de techo es una de las causas prin-
cipales del declive de la calidad de la vida urbana. Y, a lo largo de todo
el mundo, se ha denunciado una y otra vez que la pobreza es una causa
de degradación medioambiental, de la roza de las selvas a la contamina-
ción de los ríos, lagos y océanos, y las epidemias arrasadoras. En efecto,
en muchos países en vías de industrialización, sobre todo de América La-
tina, han florecido los grupos ecologistas y se han vinculado con los gru-
pos defensores de los derechos humanos, los grupos de mujeres y las or-
ganizaciones no gubernamentales, formando coaliciones poderosas que
van más allá de la política institucional, pero que de ningún modo pres-
cinden de ella30
.
Así pues, el concepto de justicia medioambiental, como una noción
amplia que afirma el valor de uso de la vida, de todas las formas de vida,
contra los intereses de la riqueza, el poder y la tecnología, cada vez es
más influyente tanto en las mentes como en las políticas a medida que el
movimiento medioambiental entra en un nuevo estadio de desarrollo.
Gottlieb, 1993, págs. 207-320; Szasz, 1994; Epstein, 1995; Brulle, 1996.
Athanasiou, 1996; Borja y Castells, 1997.
158 El poder de la identidad
A primera vista, parecerían tácticas oportunistas. Dado el éxito y la le-
gitimidad de la etiqueta ecologista, otras causas menos populares se en-
vuelven en nuevas ideologías para obtener apoyo y atraer la atención. Y,
en efecto, algunos de los grupos de conservación de la naturaleza del mo-
vimiento ecologista cada vez recelan más de un enfoque tan amplio que
pueda desviar al movimiento de sus verdaderos objetivos. Después de
todo, los sindicatos han luchado por la legislación sobre salud laboral
desde los comienzos de la industrialización, y la pobreza es, y era, un
tema importante por derecho propio, sin tener que pintar de verde su os-
curidad siniestra. No obstante, lo que está pasando en el ecologismo va
más allá de las tácticas. El planteamiento ecológico de la vida, de la eco-
nomía y de las instituciones de la sociedad destaca el carácter holístico de
todas las formas de la materia y de todo el procesamiento de la informa-
ción. Así pues, cuanto más sabemos, más percibimos las posibilidades de
nuestra tecnología y más nos damos cuenta de la gigantesca y peligrosa
brecha que existe entre el incremento de nuestras capacidades producti-
vas y nuestra organización social primitiva, inconsciente y, en definitiva,
destructiva. Éste es el hilo objetivo que teje la conexión creciente de las
revueltas sociales, locales y globales, defensivas y ofensivas, reivindicati-
vas y culturales, que surgen en torno al movimiento ecologista. Ello no
quiere decir que hayan surgido de repente unos nuevos ciudadanos inter-
nacionalistas de buena voluntad y generosos. Aún no. Como se expone
en este volumen, antiguas y nuevas divisiones de clase, género, etnicidad,
religión y territorialidad actúan dividiendo y subdiviendo temas, conflic-
tos y proyectos. Pero sí quiere decir que las conexiones embriónicas entre
los movimientos populares y las movilizaciones de orientación simbólica
en nombre de la justicia medioambiental llevan la marca de los proyectos
alternativos. Estos proyectos esbozan una superación de los movimientos
sociales agotados de la sociedad industrial, para reanudar, en formas his-
tóricamente apropiadas, la antigua dialéctica entre dominación y resisten-
cia, entre Realpolitik y utopía, entre cinismo y esperanza.
4
EL FIN DEL PATRIARCADO: MOVIMIENTOS
SOCIALES, FAMILIA Y SEXUALIDAD EN LA ERA DE
LA INFORMACIÓN 
Si todos los que me han pedido ayuda
en este mundo,
todos los santos inocentes,
las esposas destrozadas y los lisiados,
los encarcelados, los suicidas,
si todos ellos me hubieran mandado un copec,
me habría hecho «más rica
que todo Egipto»...
Pero no me mandaron copecs,
sino que compartieron conmigo su fuerza,
y por eso nada en el mundo
es más fuerte que yo,
y puedo soportar todo, incluso esto.
Anna Ajmatova, Selected Poems1
.
El patriarcado es una estructura básica de todas las sociedades con-
temporáneas. Se caracteriza por la autoridad, impuesta desde la institu-
ciones, de los hombres sobre las mujeres y sus hijos en la unidad fami-
liar. Para que se ejerza esta autoridad, el patriarcado debe dominar toda
la organización de la sociedad, de la producción y el consumo a la polí-
tica, el derecho y la cultura. Las relaciones interpersonales y, por tanto,
la personalidad, están también marcadas por la dominación y la violencia
que se originan en la cultura y las instituciones del patriarcado. No obs-
tante, desde el punto de vista analítico y político, es esencial no olvidar
su enraizamiento en la estructura familiar y en la reproducción sociobio-
lógica de la especie, modificadas por la historia (cultura). Sin la familia
patriarcal, el patriarcado quedaría desenmascarado como una domina-
ción arbitraria y acabaría siendo derrocado por la rebelión de «la mitad
del cielo» mantenida bajo sometimiento a lo largo de la historia. En este
fin de milenio, la familia patriarcal, piedra angular del patriarcado, se ve
1
Ajmatova, 1985, pág. 84.
lili) I I poder de la identidad
desafiada por los procesos interrelacionados de la transformación del tra-
bajo y de la conciencia de las mujeres. Las fuerzas impulsoras que subya-
cen en estos procesos son el ascenso de una economía informacional glo-
bal, los cambios tecnológicos en la reproducción de la especie humana y
el empuje vigoroso de las luchas de las mujeres y de un movimiento fe-
minista multifacético, tres tendencias que se han desarrollado desde fina-
les de los años sesenta. La incorporación masiva de las mujeres al trabajo
remunerado aumentó su poder de negociación frente a los hombres y so-
cavó la legitimidad de su dominio como proveedores de la familia. Ade-
más, impuso una carga insoportable a las vidas de las mujeres por su cuá-
druple turno diario (trabajo remunerado, tareas del hogar, cuidado de
los hijos y turno nocturno para el esposo). Primero la contracepción, des-
pués la fertilización in vitro y la manipulación genética que se vislumbra
en el horizonte están otorgando a la mujer y a la sociedad un control cre-
ciente sobre la oportunidad y frecuencia de los embarazos. En cuanto a
las luchas de las mujeres, no esperaron hasta este fin de milenio para ma-
nifestarse. Han caracterizado todo el trayecto de la experiencia humana,
si bien en formas diversas que suelen estar ausentes de los libros de texto
y los registros escritos2
. He sostenido que muchas luchas urbanas históri-
cas y contemporáneas fueron, en realidad, movimientos de mujeres rela-
cionados con las demandas y la gestión de la vida cotidiana3
. Y el femi-
nismo como tal tiene una antigua historia, como ejemplifican las
sufragistas de los Estados Unidos. No obstante, creo que es justo decir
que sólo en el último cuarto de este siglo hemos presenciado lo que su-
pone una insurrección masiva de las mujeres contra su opresión en todo
el mundo, si bien con intensidad diferente según la cultura y el país. La
repercusión de estos movimiento se ha sentido con intensidad en las ins-
tituciones de la sociedad y, de forma más fundamental, en la conciencia
de las mujeres. En los países industrializados, una gran mayoría de muje-
res se consideran iguales a los hombres, con sus mismos derechos y, ade-
más, el del control sobre sus cuerpos y sus vidas. Esta conciencia se está
extendiendo rápidamente por todo el planeta. Es la revolución más im-
portante porque llega a la raíz de la sociedad y al núcleo de lo que somos4
.
Y es irreversible. Decir esto no significa que los problemas de discrimi-
nación, opresión y maltrato de las mujeres y sus hijos hayan desapare-
cido o ni siquiera disminuido en intensidad de forma sustancial. De he-
cho, aunque se ha reducido algo la discriminación legal, y el mercado de
trabajo muestra tendencias igualadoras a medida que aumenta la educa-
ción de las mujeres, la violencia interpersonal y el maltrato psicológico se
generalizan, debido precisamente a la ira de los hombres, individual y co-
2
Rowbotham, 1974.
3
Castells, 1983.
4
Mitchell, 1966.
II luí del piitiimviulo: iiKiviiiiicnlos sociales, lainiliii y sexualidad... K.l
lectiva, por su pérdida de poder. No es, y no será, una revolución de ter-
ciopelo. El paisaje humano de la liberación de la mujer y de la defensa
de los privilegios del hombre está lleno de cadáveres de vidas destroza-
das, como pasa en todas las auténticas revoluciones. Sin embargo, pese a
la severidad del conflicto, la transformación de la conciencia de las muje-
res y los valores sociales en la mayoría de las sociedades en menos de
tres décadas es asombrosa y tiene consecuencias fundamentales para
toda la experiencia humana, del poder político a la estructura de la
personalidad. "~
Sostengo que el proceso que resume y concentra esta transformación
es la crisis de la familia patriarcal. Si ésta se desmorona, de forma gradual
pero segura, todo el sistema del patriarcado, y el conjunto de nuestras vi-
das, se transformarán. Es una perspectiva pavorosa, y no sólo para los
hombres. Por eso, el desafío al patriarcado es uno de los factores inducto-
res más fuertes de los movimientos fundamentalistas que aspiran a res-
taurar el orden patriarcal, como los estudiados en los capítulos previos de
este volumen. En efecto, su reacción violenta podría alterar los procesos
actuales de cambio cultural, ya que ninguna historia está escrita de ante-
mano. No obstante, los indicadores presentes señalan un declive sustan-
cial de las formas tradicionales de la familia patriarcal. Comenzaré mi
análisis centrándome en algunos de estos indicadores. Las estadísticas,
por sí solas, no pueden contar la historia de la crisis del patriarcado, pero
cuando los cambios son tan amplios como para reflejarse en las estadísti-
cas nacionales comparadas, cabe asumir con certeza su profundidad y ra-
pidez.
Pero aún tenemos que explicar el momento histórico de esta transfor-
mación. ¿Por qué ahora? Las ideas feministas han estado presentes al me-
nos durante un siglo, si no más, aunque en su traducción histórica especí-
fica. ¿Por qué prendieron en nuestro tiempo?
Propongo la hipótesis de que la razón se encuentra en una combina-
ción de cuatro elementos: primero, la transformación de la economía y
del mercado laboral, en estrecha asociación con la apertura de las oportu-
nidades educativas para las mujeres5
. Por lo tanto, trataré de presentar
algunos de los datos que muestran esa transformación, vinculándolos con
las características de la economía informacional global y la empresa red,
presentadas en el volumen I. Segundo, la transformación tecnológica de
la biología, la farmacología y la medicina que ha permitido un control cre-
ciente sobre el embarazo y la reproducción de la especie humana, como
sostuve en el volumen I, capítulo 7. Tercero, en este contexto de transfor-
mación económica y tecnológica, el patriarcado ha sufrido el impacto del
desarrollo del movimiento feminista, en el periodo subsiguiente a los mo-
vimientos sociales de la década de los sesenta. No es que el feminismo
5
Saltzman-Chafetz, 1995.
I()2 El poder de la identidad
fuera un componente distintivo de estos movimientos. De hecho, co-
menzó después, a finales de los años sesenta o comienzos de los setenta,
entre las mujeres que habían formado parte del movimiento, como una
reacción al sexismo e incluso al maltrato (véase más adelante) que habían
tenido que sufrir en el movimiento. Pero el contexto de la formación del
movimiento social, que destacó «lo personal como político» y presentó te-
mas multidimensionales, abrió la posibilidad de pensar fuera de los cami-
nos instrumentales de los movimientos dominados por los hombres
(como el movimiento obrero o la política revolucionaria) y avanzar hacia
un planteamiento más experimental de las fuentes reales de opresión se-
gún se sentían, antes de que pudieran ser domesticadas por el discurso de
la racionalidad. El cuarto elemento inductor del desafío al patriarcado es
la rápida difusión de las ideas en una cultura globalizada y en un mundo
interrelacionado, donde la gente y la experiencia viajan y se mezclan, te-
jiendo un hipertapiz de voces de mujeres a lo largo de la mayor parte del
planeta. Así pues, tras investigar la transformación del trabajo de la mu-
jer, analizaré la formación de un movimiento feminista muy diversificado
y los debates que surgen de la experiencia colectiva de construcción/re-
construcción de la identidad de las mujeres.
La repercusión de los movimientos sociales, y sobre todo del femi-
nismo, en las relaciones de ¿enero desencadenó una vigorosa onda ex-
pansiva: se puso en entredicho la heterosexualidad como norma. Para las
lesbianas, la separación de los hombres como los sujetos de su opresión
era la consecuencia lógica, si no inevitable, de su consideración de que el
dominio masculino era la fuente de los problemas de las mujeres. Para los
hombres gays, el cuestionamiento de la familia tradicional y las relaciones
conflictivas entre hombres y mujeres representó una oportunidad para
explorar otras formas de relaciones interpersonales, incluidas nuevas for-
mas de familia, las familias gays. Para todos, la liberación sexual, sin lími-
tes institucionales, se convirtió en la nueva frontera de la expresión perso-
nal. No en la imagen homófoba de una promiscuidad absoluta, sino en la
afirmación del yo y en la experimentación con la sexualidad y el amor. La
repercusión de los movimientos de gays y lesbianas sobre el patriarcado
es, por supuesto, devastadora. No es que las formas de dominación inter-
personal dejen de existir. La dominación, como la explotación, siempre se
renuevan en la historia. Pero el patriarcado, que ha existido probable-
mente desde los albores de los tiempos humanos (pese a lo que diga Ca-
rolyn Merchant), se ha visto definitivamente sacudido por el debilita-
miento de la norma heterosexual. Así pues, exploraré los orígenes y el
horizonte de los movimientos de gays y lesbianas, viajando de San Fran-
cisco a Taipei, para destacar su creciente diversidad cultural y geográfica.
Por último, abordaré el tema de la transformación de la personalidad
en nuestra sociedad, resultado de la transformación de la estructura fami-
liar y de las normas sexuales, pues creo que cabe sostener que las familias
El fin del patriarcado: movimientos sociales, familia y sexualidad... 163
constituyen el mecanismo de socialización básico y la sexualidad tiene
algo que ver con la personalidad. Se trata de ver cómo nos transforma la
interacción del cambio estructural y los movimientos sociales, esto es, de
la sociedad red y el poder de la identidad.
LA CRISIS DE LA FAMILIA PATRIARCAL 
Por la crisis de la familia patriarcal hago referencia al debilitamiento
de un modelo de familia basado en el ejercicio estable de la autoridad/do-
minación sobre toda la familia del hombre adulto cabeza de familia. En la
década de los noventa, es posible encontrar indicadores de esa crisis en la
mayoría de las sociedades, sobre todo en los países más desarrollados. No
es obvia la utilización de indicadores estadísticos muy desiguales como
prueba de un rasgo, el patriarcado, que es político, cultural y psicológico.
No obstante, puesto que la conducta y cultura de la población suelen evo-
lucionar a un paso muy lento, la observación de tendencias que afectan la
estructura y dinámica de la familia patriarcal en las estadísticas nacionales
comparadas es, en mi opinión, un poderoso signo del cambio y, sostengo,
de la crisis de los modelos patriarcales, antes estables. Resumiré el argu-
mento antes de proceder a una rápida exploración estadística.
La disolución de los hogares de las parejas casadas, por divorcio o se-
paración, es un primer indicador de desafección a un modelo de familia
que se basaba en el compromiso, a largo plazo, de sus miembros. Sin
duda, puede haber un patriarcado sucesivo (de hecho, ésta es la regla): la
reproducción del mismo modelo con diferentes participantes. Sin em-
bargo, las estructuras de dominación (y los mecanismos de confianza) se
han visto debilitadas por la experiencia, tanto de las mujeres como de los
hijos, atrapados con frecuencia en lealtades en conflicto. Es más, con una
frecuencia cada vez mayor, la disolución de los hogares de parejas casa-
das lleva a la formación de hogares unipersonales o a hogares de un solo
progenitor, en general mujeres, poniendo fin en este caso a la autoridad
patriarcal de la familia, aun cuando la estructura de dominación se repro-
duzca mentalmente en el nuevo hogar.
En segundo lugar, la frecuencia creciente de las crisis matrimoniales y
la dificultad cada vez mayor para hacer compatibles matrimonio, trabajo
y vida parecen asociarse con otras dos fuertes tendencias: el retraso de la
formación de parejas y la vida en común sin matrimonio. De nuevo, la
falta de sanción legal debilita la autoridad patriarcal, tanto desde el punto
de vista institucional como psicológico.
En tercer lugar, como resultado de estas diferentes tendencias, junto
con factores demográficos como el envejecimiento de la población y las
tasas de mortalidad diferentes según el sexo, surge una variedad creciente
de estructuras de hogares, con lo que se diluye el predominio del modelo
lf>4 El poder de la identidad
clásico de la familia nuclear tradicional (parejas casadas en primeras nup-
cias y sus hijos) y se debilita su reproducción social. Proliferan los hogares
unipersonales y los de un solo progenitor.
En cuarto lugar, en las condiciones de inestabilidad familiar y con una
autonomía cada vez mayor de las mujeres en su conducta reproductiva, la
crisis de la familia patriarcal se extiende a la crisis de los patrones sociales
de reemplazo generacional6
. Por una parte, cada vez nacen más niños
fuera del matrimonio y suelen quedarse con sus madres (aunque hay una
proporción creciente de parejas no casadas que se ocupan de forma con-
junta de un hijo). Así pues, está asegurada la reproducción biológica,
pero fuera de la estructura familiar tradicional. Por otra parte, las muje-
res, con mayor conciencia y frente a tiempos duros, limitan el número de
hijos y retrasan el primero. Por último, en algunos círculos reducidos,
cuyo tamaño parece estar aumentando, las mujeres dan a luz hijos sólo
para ellas o adoptan niños ellas solas.
En conjunto, estas tendencias, al reforzarse unas a otras, ponen en
tela de juicio la estructura y los valores de la familia patriarcal. No es ne-
cesariamente el fin de la familia, ya que se están experimentando otras es-
tructuras familiares y se puede acabar reconstruyendo cómo vivimos con
el otro, cómo procreamos y cómo educamos, de modos diferentes, quizás
mejores7
. Pero las tendencias que menciono señalan el fin de la familia
como la hemos conocido hasta ahora. No sólo de la familia nuclear (un
artefacto moderno), sino la basada en la dominación patriarcal que ha
sido la regla durante milenios.
Echemos una ojeada a algunas estadísticas básicas. Aquí haré hinca-
pié en un planteamiento comparativo, mientras que reservaré para la úl-
tima parte del capítulo una revisión más sistemática de la crisis de la fami-
lia patriarcal en los Estados Unidos, donde el proceso parece estar más
adelantado8
. Aunque las tendencias indicadas son más pronunciadas en
los países desarrollados, existe un cambio general en la misma dirección
en gran parte del mundo. Así pues, me basaré en buena medida en el in-
forme elaborado en 1995 por el Population Council sobre la transforma-
ción de las familias en el mundo9
, que complementaré con otras fuentes
que cito. Me centraré en el periodo 1970-1995 por las razones que se pre-
sentan más adelante en este mismo capítulo.
6
En la Unión Europea, en 1995, la tasa de nacimientos era la más baja en tiempos de
paz del siglo xx: sólo había 290.000 nacimientos más que muertes. En Alemania e Italia, ha-
bía más muertes que nacimientos. La población de Europa Oriental descendió aún más, so-
bre todo en Rusia (The Economist, 19 de noviembre de 1996).
7
Stacey, 1990.
8
Véanse ONU, 1970-1995,1995; Saboulin y Thave, 1993; Valdés y Gomariz, 1993; Cho y
Yada, 1994; OCDE, 1994b; Alberdi, 1995; Bruce et al, 1995; De Vos, 1995; Masón y Jensen,
1995.
9
Bruce era/., 1995.
El fin del patriarcado: movimientos sociales, familia y sexualidad... 165
2,94
1,86
0,48
1,27
2,88
4,70
3,39
0,54
1,56
0,93
0,16
0,28
1,47
0,98
0,76
0,33
113
100
50
28
104
26
29
157
CUAORO 4.1 Tasa de cambio en la tasa bruta de divorcio para los países
seleccionados, 1971-1990.
Tasa de cambio
1971 1990 1971-1990
Tasa %
Canadá 1,38
Francia 0,93
Italia 0,32
Japón 0,99
Reino Unido 1,41
Estados Unidos 3,72
URSS 2,63
México 0,21
Egipto 2,09 1,42 -0,67 -32
Fuenfe.ONU, Demographic Yearbook, 1970-1995.
CUADRO 4.2 Tendencias en las tasas de divorcio de cada 100 matrimonios
en países desarrollados.
País 1970 1980 1990
(ant.) Alemania Or 12,2 22,7 29,2
Canadá 18,6 32,8 38,3
Checoslovaquia 21,8 26,6 32,0a
Dinamarca 25,1 39,3 44,0
Estados Unidos 42,3 58,9 54,8b
Inglaterra y Gales 16,2 39,3 41,7a
Francia 12,0 22,2 31,5a
Grecia 5,0 10,0 12,0
Hungría 25,0 29,4 31,0
Italia 5,0 3,2 8,0
Países Bajos 11,0 25,7 28,1
Suecia 23,4 42,2 44,1
Nota: Las tasas que se muestran son un índice sintético calculado mediante la suma
de las tasas de divorcio de vigencia específica de cada año. (La fuente original iden-
tifica incorrectamente las tasas como «de cada 1.000 matrimonios».)
a
1989.
b
1995.
Fuente: Alain Monnier y Catherine de Guibert-Lantoine (1993), «La conjoncture dé-
mographique: l'Europe et les pays développés d'outre-mer», Population 48(4), pági-
nas 1.043-1.067.
Recopilado y elaborado por Bruce et al., 1995.
El cuadro 4.1 muestra, con una excepción, un incremento considera-
ble en la tasa bruta de divorcios de los países seleccionados: se duplica
con creces en el Reino Unido, Francia, Canadá y México entre 1971 y
1(1(1 El podrí de In identidad
1990. Los incrementos menos pronunciados en los Estados Unidos (aún
un +26%) y la URSS (+29%) durante ese periodo se deben al hecho de
que presentaban las tasas más elevadas en 1971. Resulta muy interesante
que el único país musulmán que he seleccionado, con fines comparativos,
muestre un descenso en la tasa de divorcio (que probablemente refleje las
tendencias hacia la islamización de la sociedad), aunque siga siendo más
elevada, en 1990, que la de Italia, México o Japón.
El cuadro 4.2 muestra las tasas de divorcio por cada 100 matrimonios
de los países altamente industrializados seleccionados. Existe una discre-
pancia entre los niveles de divorcio para cada país, pero se da una tenden-
cia ascendente general entre 1970 y 1980 y entre 1980 y 1990, de nuevo
con la excepción de los Estados Unidos en 1990, en parte porque casi el
55% de los matrimonios acabaron en divorcio en este país en 1990.
° 8600- • — • Italia 1949-1953 
E Alemania 1934-1938 Qx
| 8400- D—D Alemania 1949-1953 
O
Suecia 1934-1938
8200-
O — O Suecia 1949-1953
8000-I 1 i 1 1 1 1 1 1 1 > ' ' ' •"
0 1 2 3 4 5 6 7 8 9 10 11 12 13 14
Años desde el primer alumbramiento
FIGURA 4.1 Curvas de supervivencia del matrimonio para Italia, Alemania
Occidental y Suecia: madres nacidas en 1934-1938 y 1949-1953.
Fuente: Blossfeld etal., 1995.
I I Un ili'l palnau julii IIIIIVIIMK'MIOK sociales, l'timiliii y sexualidad... 167
CUADRO 4.3 Porcentaje de primeros matrimonios disueltos por separa-
ción, divorcio o muerte entre mujeres de 40-49 años en países
en vías de desarrollo.
Región/país Fecha %
Asia
Indonesia 1987 37,3
SriLanka 1987 25,6
Tailandia 1987 24,8
América Latina/Caribe
Colombia 1986 32,5
República Dominicana 1986 49,5
Ecuador 1987 28,9
México 1987 25,5
Perú 1986 26,1
Oriente Próximo/África del Norte
Egipto 1989 22,8
Marruecos 1987 31,2
Túnez 1988 11,1
África subsahariana
Ghana 1988 60,8
Kenía 1989 24,2
Senegal 1986 42,3
Sudán 1989/1990 28,2
Fuentes: ONU, 1987, cuadro 47 en Fertility Behaviour in the Context of Development:
Evidence from the World Fertility Survey (Nueva York, ONU) y tabulaciones proce-
dentes de investigaciones demográficas y sanitarias compiladas y elaboradas por
Bruce ef al., 1995.
Las separaciones de fado no se incluyen en las estadísticas, ni tam-
poco las tasas de disolución de las uniones libres. Sin embargo, sabemos
por las investigaciones que los hogares de unión libre son más proclives a
separarse que las parejas casadas10
y que las separaciones están en rela-
ción directa con la tasa de divorcio, con lo que en realidad aumenta la ci-
fra general, y la proporción, de hogares disueltos ". Una investigación
global sobre los patrones de divorcio descubrió que una proporción cre-
ciente de éstos afecta a parejas con hijos pequeños, aumentando la proba-
bilidad de que la disolución material conduzca a la paternidad de un solo
progenitor n
. La figura 4.1 muestra la tasa decreciente de supervivencia
10
Bruce et ai, 1995.
11
Alberdi, 1995.
12
Goode, 1993.
I6K El poder ik- la ul<iili(l.id
Bélgica
Dinamarca
Alemania
1350
1250
1150-
1050-
950
850-
750
650
550
450
1350-
1250-
1150-
1050-
950-
850-
750-
650-
550-
450 J
1350-
1250-
1150
1050
950-
850
750-
650
550
450
1350
1250
1150-1
1050
950
850
750
650
550
450 J
1350-1 España
1250-
1150-
1050
950-
850
750
650
550-
450
Grecia
1350
1250-
1150
1050
950
850-
750-
650-
550
450
Francia
Irlanda (sin datos)
1960 65 70 75 80 85 90
Hombres
Mujeres
1350
1250
1150-
1050- ~
950
850
750
650
550-
450
Inglaterra y Gales
1960 65 70 75 80 85 90
FIGURA 4.2 Evolución del primer matrimonio en algunos países de la Unión Europea
desde 1960. Fuente: Alberdi, 1995.
Canadá
IGURA4.3Tasasbrutas
Francia
República
Federal
Alemana
República
Democrática
Alemana
s
§
o
£3
Italia
Japón
Reino Unido
o
o
o
o
aK
a.
o(Z3
*»i
c
ente.
O
2
C
tí
á
gra¡
s-
o
*:os
&O"
0
O
*"
H ^
VO
- J
o
Vi
Estados
Unidos
España
URSS
Indonesia
Corea
Argentina
México
Brasil
Argelia
Egipto
CO (O CD
<D 00 -vi
o o -»
691 "pBpi[BnX3S X CIjIlUBJ 'SSIBIOOS SOJU."ll((IIA<>l(l .(ipiMJIMJllld [Sp U¡ 13
170 El poder de la identidad
CUADRO 4.4 Tendencias porcentuales de las mujeres de 20-24 que nunca
se han casado.
Región/país Fecha anterior %
Países en vías de desarrollo
Asia
Indonesia 1976 20
Pakistán 1975 22
SriLanka 1975 61
Tailandia 1975 42
América Latina/Caribe
Colombia 1976 44
República Dominicana 1975 27
Ecuador 1979 43
México 1976 34
Perú 1978 49
Oriente P./África del N.
Egipto 1980 36
Marruecos 1980 36
Túnez 1978 57
África subsahariana
Ghana 1980 15
Kenia 1978 21
Senegal 1978 14
Países desarrollados
Checoslovaquia 1970 35
Austria 1971 45
Francia 1970 46
España 1970 68
Estados Unidos 1970 36
Fecha posterior %
1987
1990/91
1987
1987
1986
1986
1987
1987
1986
1989
1987
1988
1988
1989
1986
1980
1980
1980
1981
1980
36
39
58
48
39
39
41
42
56
40
56
64
23
32
23
33
57
52
59
51
Fuentes: para los países en vías de desarrollo, ONU, 1987, cuadro 43 en Fertility Be-
havíour in the Coníext of Development: Evidence from the World Fertility Survey,
Nueva York, ONU, y Charles F. Westoff, Ann K. Blanc y Laura Nyblade (1994), Ma-
rriage and Entry into Parenthood (Demographic and Health Surveys Comparative
Studies nfi
10, Calverton, Maryland, Macro International Inc); para los países desarro-
llados: compilado por la División Estadística de la ONU (1995), The World's Women
1970-1995: Trends and Statistics, Nueva York, ONU.
Compilado y elaborado por Bruce eí al., 1995.
del matrimonio entre cohortes de mujeres mayores y más jóvenes para
Italia, Alemania Occidental y Suecia13
.
13
Blossfeld, 1995.
Hl fin del piilriarciiclo: movimientos sociales, familia y sexualidad... 171
Esta tendencia no se limita en absoluto a los países industrializados.
E cuadro 4.3, para los países en vías de desarrollo seleccionados, muestra
tasas de disolución, por causas diferentes, del primer matrimonio de mu-
jeres de 40-49 años: con la excepción de Túnez, oscila entre el 22,8% y el
49,5%, con un pico del 60,8% en Ghana.
CUADRO 4.5 Nacimientos fuera del matrimonio como porcentaje de todos
los nacimientos por regiones (medias nacionales).
Región/país (núm. de países) 1970 1980 1990
Países desarrollados
Canadá n.d. 13,2 21,1a
Europa Oriental (6) 7,1 9,0 12,9
Europa del Norte (6) 8,8 19,5 33,3
Europa del Sur (5) 4,1 5,4 8,7
Europa Occidental (6) 5,6 8,3 16,3
Japón 1,0b
1,0° 1,0d
Oceanía(2) 9,0b
13,4C
20,2e
Estados Unidos 5,4b
14,2° 28,0
(antigua) URSS (14) 8,2 8,8 11,2
Países en vías de desarrollo
África (12) n.d. 4,8f
n.d.
Asia (13) n.d. 0,9f
n.d.
América Latina/Caribe (13) n.d. 6,5f
n.d.
n.d.= no disponible.
• 1989 c
1975 e
1985.
b
1965 d
1988 ' 1975-1980 (media).
Fuentes: para Europa Oriental, del Norte, del Sur y Occidental, (antigua) Unión So-
viética y Canadá, Council of Europe (1993), Recent Demographic Developments in
Europe and North America, 1992 (Estrasburgo: Council of Europe Press); para Esta-
dos Unidos, Oceanía y Japón, ONU (1992), Patterns of Fertility in Low Fertility Set-
tings (Nueva York, ONU), y US Department of Health and Human Services (1993),
Monthly Vital Statistics Report 42(3) suplemento; para los países en vías de desarro-
llo, ONU (1987), Fertility Behaviour in the Context of Development, Nueva York, ONU.
Compilado y elaborado por Bruce et al., 1995.
En la década de los noventa, se ha estabilizado en Europa el número
de divorcios frente a los matrimonios, pero se debe fundamentalmente a
la reducción del número de matrimonios desde 1960, así que la cifra total
y la proporción de hogares con dos progenitores casados ha descendido
de forma considerable 14
. La figura 4.2 muestra la tendencia general a la
reducción de los primeros matrimonios en los países de la Unión Europea
14
Alberdi, 1995.
172 El poder de la identidad
Q 1960-64
Blancas Negras Hispanas
(pueden ser de cualquier raza)
FIGURA 4.4 Porcentaje de mujeres (15-34 años) con un primer alumbramiento
después de su primer matrimonio, por raza y origen étnico, en los Estados Unidos,
1960-1989.
Fuente: Oficina del Censo de los Estados Unidos, 1992a.
y la figura 4.3 presenta la evolución de la tasa bruta de matrimonios para
los países seleccionados en zonas diferentes del mundo. Con la excepción
de México y Alemania, hay un descenso durante el periodo de veinte
años, con una caída significativa en Japón.
El retraso en la edad de matrimonio también es una tendencia casi
universal y particularmente importante en el caso de las mujeres jóvenes.
El cuadro 4.4 muestra el porcentaje de las mujeres de 20-24 años que
nunca se han casado. Las fechas posteriores son muy diversas, así que es
difícil establecer comparaciones, pero, con la excepción de Ghana y Sene-
gal, entre un tercio y dos tercios de las mujeres jóvenes no se han casado;
con la excepción de España y Sri Lanka, la proporción de mujeres no ca-
El fin del patriarcado: movimientos sociales, familia y sexualidad... 173
sadas de 20-24 años ha aumentado desde 1970. En el ámbito mundial, la
proporción de mujeres casadas de quince años y mayores descendió del
61 % en 1970 al 56% en 198515
.
Una proporción creciente de niños nacen fuera del matrimonio en los
países desarrollados (cuadro 4.5) y la observación más importante con-
cierne a la tendencia: en los Estados Unidos, la proporción saltó del 4,5%
del total de nacimientos en 1970 al 28% en 1990. El fenómeno presenta
una diferenciación étnica: alcanza el 70,3% para las mujeres afroamerica-
nas de la cohorte de 15-34 años (figura 4.4). En los países escandinavos,
los embarazos de hijos fuera del matrimonio en los años noventa suponen
cerca del 50% del total de embarazos16
.
CUADRO 4.6 Tendencias en los hogares monoparentales, como porcentaje
del total de hogares con hijos dependientes y al menos un
progenitor residente, en países desarrollados.
País Comienzos de los setenta Mediados de los ochenta
(ant.) Alemania Occ 8,0 11,4
Australia 9,2 14,9
Francia 9,5 10,2
Japón 3,6 4,1
Suecia 15,0 17,0
Reino Unido 8,0 14,3
Estados Unidos 13,0 23,9
(ant.) Unión Soviética 10,0 20,0
Nota: Los hogares de un solo progenitor son aquellos con hijos dependientes y un
progenitor residente.
Fuente: Ailsa Burns (1992), «Mother-headed families; an ¡nternational perspective
and trie case of Australia», Social Policy Report 6(1).
Compilado y elaborado por Bruce eí al., 1995.
CUADRO 4.7 Tendencias porcentuales de los hogares cuya cabeza de fami-
lia de jure es una mujer.
Región/país Fecha anterior % Fecha posterior %
Datos de investigación demográfica
Asia
Indonesia
Sri Lanka
Tailandia
1976
1975
1975
15,5
15,7
12,5
1987
1987
1987
13,6
17,8
20,8
15
ONU, 1991.
16
Alberdi, 1995; Bruce etal, 1995.
174 I íl poder de la identidad
CUADRO 4.7 (Cont.)
Región/país Fecha anterior
América Latina/Caribe
Colombia 1976
República Dominicana 1975
Ecuador 1979
México 1976
Perú" 1977/78
Trinidad y Tobago 1977
Oriente P./África del N.
Marruecos 1979/80
África subsahariana
Ghana 1960
Sudán 1978/79
Datos del censo
Asia
Hong Kong 1971
Indonesia 1971
Japón 1980
Corea 1980
Filipinos 1970
América Latina/Caribe
Brasil 1980
Costa Rica 1984
Panamá 1980
Perú 1981
Uruguay 1975
Venezuela 1981
África subsahariana
Burkina Faso 1975
Camerún 1976
Mali 1976
% Fecha posterior %
17,5
20,7
15,0
13,5
14,7
22,6
1986
1986
1987
1987
1986
1987
18,4
25,7
14,6
13,3
19,5
28,6
11,5
22,0
16,7
1987
1987
1989/90
17,3
29,0
12,6
23,5
16,3
15,2
14,7
10,8
14,4
17,5
21,5
22,1
21,0
21,8
5,1
13,8
15,1
1991
1980
1990
1990
1990
1989
1992
1990
1991
1985
1990
1985
1987
1987
25,7
14,2
17,0
15,7
11,3
20,1
20,0
22,3
17,3
23,0
21,3
9,7
18,5
14,0
Nota: de jure= cabeza de familia «usual».
" de facto= cabeza de familia el día de la entrevista.
Fuentes: Encuestas demográficas: para Ghana, Cynthia B. Lloyd y Anastasia J.
Gage-Brandon (1993), «Women's role in maintaining households: family welfare and
sexual ¡nequality in Ghana», Population Studies 47(1), págs. 115-131; para Ecuador,
Keiko Ono-Osaku, y A. R. Themme (1993), «Comparative analysis of recent changes
in households in Latin America», en IUSSP, Proceedings of Conference on the Ame-
ricas, Vera Cruz; para todos los demás países, Mohamed Ayad et al. fl994), Demo-
graphic Characteristics of Housesholds, Demographic and Health Surveys Compara-
tive Studies na
14, Calverton, Maryland, Macro International Inc; censos: ONU (1995),
The World's Women 1970-1995: Trends and Statistics, Nueva York, ONU.
Compilado y elaborado por Bruce et al., 1995.
II lili del pnlniímiilo: nmvimii-nlos sociales, lamilla y sexualidad 175
CUADRO 4.8 Indicadores de cambios recientes en la formación de la fami-
lia y el hogar: países occidentales seleccionados, 1975-1990.
Región y
país
Escandinavia
Suecia
Europa del N.
Alemania Oc. ...
Suiza
Bélgica
Europa del S.
España
Italia
Grecia
Malta
Norteamérica
Estados Unidos.
Oceanía
Australia
Nueva Zelanda.
Mujeres
20-24
en unión
libre
ca. 1985-90 (%)
—
44
43
28
26
23
24
24
18
—
—
18
4
7
3
3
1
8
15
6
12
Nacimientos
extramaritales
ca. 1988 <%)
52
52
45
34
19
11
25
26
10
23
6
12
10
13
14
8
6
2
2
1
26
21
19
25
Incremento de
nacimientos
extramaritales
1975-88 (%)
19
19
23
23
9
8
16
18
4
8
2
8
7
8
7
6
3
1
1
0
12
14
7
9
Hogares de
un solo
progenitor
con hijos
ca. 1985 <%l
—
32
26
23
15
19
14
10
13
15
9
18
15
7
—
11
16
—
28
26
15
Fuentes: Consejo de Europa (varios números); European Valúes Studies, 1990
Round; Moors y Van Nimwegen, 1990; ONU (varios años, 1990; comunicación per-
sonal de Larry Bumpass (Estados Unidos), Peter McDonald, Lincoln Day (Australia),
Thomas Burch (Canadá), lan Pool (Nueva Zelanda).
Compilado por Lesthaeghe, 1995.
17(1 El poder de la identidad
Como resultado tanto de las separaciones como de la maternidad indi-
vidual, la proporción de hogares de un solo progenitor con hijos depen-
dientes (por lo general, con una mujer como cabeza de familia) aumentó,
entre comienzos de los años setenta y mediados de los ochenta, en los paí-
ses desarrollados (cuadro 4.6) y la tendencia ascendente ha continuado en
la década de los noventa en los Estados Unidos (véase más adelante).
Para los países en vías de desarrollo, puede detectarse una tendencia si-
milar según las estadísticas sobre los hogares cuya cabeza de familia de
jure es una mujer. El cuadro 4.7 muestra una tendencia general ascen-
dente en la proporción de hogares cuya cabeza de familia es una mujer
entre mediados de los años setenta y mediados/finales de los ochenta (con
algunas excepciones, por ejemplo, Indonesia), destacando Brasil con más
del 20% de sus hogares en esta categoría en 1989, por encima del 14% de
1980.
CUADRO 4.9 Porcentaje de hogares de una persona sobre el total de hoga-
res de los países seleccionados, 1990-1993.
País Año Total Hogares de %
hogares una persona
(en miles) (en miles)
Alemania3
1993 36.230 12.379 34,2
Bélgica 1992 3.969 1.050 26,5
Dinamarca" 1993 2.324 820 35,3
Francia 1992 22.230 6.230 28,0
Grecia 1992 3.567 692 19,4
Gran Bretaña 1992 23.097 6.219 26,9
Irlanda 1991 1.029 208 20,2
Italia 1992 19.862 4.305 21,7
Luxemburgo 1992 144 34 23,6
Países Bajos 1992 6.206 1.867 30,1
Portugal 1992 3.186 399 12,5
España 1992 11.708 1.396 11,9
Estimaciones
Finlandia 1993 2.120 716 33,8
Austria 1993 3.058 852 27,9
Suecia 1990 3.830 1.515 39,6
Estados Unidos 1993 96.391 23.642 24,5
Japón 1993 41.826 9.320 22,3
a
Datos del microcenso, abrií de 1993.
b
No se incluyen los datos de las islas Feroe y Groenlandia.
Fuente: Statistisches Bundesamt 0995), Statistisches Jahrbuch 1995 fuer das Aus-
land, Wiesbaden, Metzer and Poeschell.
II tui del |ialtiauacln imivimicntos sociales, fiimiliii y scxuulkliul... 177
Uniendo los diversos indicadores de la formación de hogares, Lesthac-
ghe confeccionó el cuadro 4.8 para los países de la OCDE, cuyos datos
contrastan la Europa del Norte y Norteamérica con la Europa del Sur,
donde mejor resisten las estructuras de la familia tradicional. Aun así, ex-
cepto en Irlanda y Suiza, los hogares de un solo progenitor con hijos a me-
diados de los años ochenta representaban entre el 11 y el 32% del total.
El cuadro 4.9 muestra el porcentaje de los hogares de un solo miem-
bro para los países seleccionados a comienzos de los años noventa. Me-
rece una observación detenida: con la excepción de la Europa del Sur, os-
cila entre el 20% y el 39,6% del total, con el 26,9% para el Reino Unido,
el 24,5% para los Estados Unidos, el 22,3% para Japón, el 28,0% para
Francia, y el 34,2% para Alemania. Obviamente, la mayoría de estos ho-
gares están formados por un anciano solo, por lo cual el envejecimiento
de la población explica buena parte del fenómeno. De todos modos, el
hecho de que entre un quinto y más de un tercio de los hogares sean de
una sola persona pone en entredicho la difusión del modo de vida patriar-
cal. De paso, la resistencia de las familias patriarcales tradicionales en Ita-
lia y España se cobra su tributo: las mujeres la contrarrestan dejando de
tener hijos, de tal modo que ambos países son los que presentan la tasa de
fecundidad más baja del mundo, por debajo de la tasa de reemplazo gene-
racional (1,2 para Italia; 1,3 para España)I7
. Además, en España la edad
de emancipación es también la más alta de Europa: veintisiete años para
las mujeres, veintinueve para los hombres. El desempleo generalizado en-
tre los jóvenes y la aguda crisis de la vivienda contribuyen a mantener
unida a la familia tradicional, al coste de crear muy pocas familias y dete-
ner la reproducción de los españoles1S
.
De hecho, ésta es la consecuencia más evidente de la crisis de la fa-
milia patriarcal: el abrupto descenso de las tasas de fecundidad en los
países desarrollados, por debajo de la tasa de reemplazo generacional
(véase la figura 4.5 para los países europeos). En Japón, la tasa de fe-
cundidad total ha estado por debajo del nivel de reemplazo desde 1975,
alcanzando 1,54 en 199019
. En los Estados Unidos, la tasa total de fe-
cundidad ha descendido de forma pronunciada en las tres últimas déca-
das, desde su pico histórico más alto a finales de los años cincuenta,
para alcanzar un nivel inferior a la tasa de reemplazo durante las déca-
das de los setenta y los ochenta, hasta estabilizarse a comienzos de los
años noventa en torno al nivel de reemplazo de 2,1. Sin embargo, el nú-
mero de nacimientos aumentó debido a la llegada de las cohortes del
baby boom a la edad de la procreación (fig. 4.6). El cuadro 4.10 mues-
tra la tasa total de fecundidad por regiones principales del mundo, con
17
Alberdi, 1995.
18
Leal et ai, 1996.
19
Tsuya y Masón, 1995.
I/K lil pwtci ilc l¡i identidad
Irlanda
Luxemburgo
Suiza y
República Federal Alemana
1960 65 70 75 80 85 90 1960 65 70 75 80 85 90
4-
3.5-
3-
2.5-
2-
1.5-
1-j




 Irlanda



Noruega*
 
"""^  **
/y    
 /-. x
- ^ ' •vr ^  ^ /
Suecia    y .
Finlandia ^ - '
Dinamarca
3.5-
3-
2.5-
1.5
Yugoslavia
Portugal
Grecia
1 -I 1 i i 1 1 1—
1960 65 70 75 80 85 90
4H
3.5
2.5-
Polonia Rumania
V A/Checoslovaquia
Hungría V / Bulgaria
/
República Democrática Alemana
— i 1 1 1 1 1 —
1960 65 70 75 80 85 90
FIGURA 4.5 índice sintético de fecundidad en los países europeos desde 1960.
Fuente: Alberdi, 1995.
II lili deI piíliiaiciiilii tiioviiiiit'iilos sociales, hmuli.i y sexualidad...
Tasa total de tecundidad (por 1000 mujeres) Nacimientos (miles)
4500
4000 H
I7l
>
3500
3000
2500
2000
1500
5000
4500
-4000
-3500
3000
-2500
2000
1920
FIGURA 4.6 Tasa total de fecundidad y número de nacimientos en los Estados Unidos,
1920-1990 (tasa total de fecundidad = número de hijos que las mujeres tendrían al final
de su periodo fértil basado en las tasas de nacimientos por edades de un solo año).
Fuente: Oficina del Censo de los Estados Unidos, 1992a.
proyecciones hasta mediados de los años noventa. En general, ha des-
cendido en las dos últimas décadas y en las regiones más desarrolladas
ha caído por debajo de la tasa de reemplazo y ahí permanece. Sin em-
bargo, ha de tenerse en cuenta que no hay una ley de hierro de la po-
blación. Anna Cabré ha expuesto la relación que existe entre la recu-
peración de la tasa de fecundidad en Escandinavia durante los años
ochenta, la generosa política social y la tolerancia de la sociedad en esta
privilegiada zona del mundo20
. Por ello, más del 50% de los niños se
concibieron en una relación extramarital. En condiciones de respaldo
psicológico y material, y sin sufrir sanciones en su vida laboral, las mu-
jeres escandinavas volvieron a tener hijos y sus países presentaron en la
década de los ochenta la tasa de fecundidad más elevada de Europa.
Sin embargo, el cuadro reciente no es tan rosa. Las restricciones en el
estado de bienestar escandinavo redujeron el apoyo y, en consecuencia,
a comienzos de los años noventa, las tasas de fecundidad se estabiliza-
ron en los niveles de reemplazo21
. Asimismo, en diversos países, sobre
20
Cabré, 1990; Cabré y Domingo, 1992.
21
Alberdi, 1995.
180 El poder de la identidad
todo en los Estados Unidos, la tasa total de fecundidad está ascen-
diendo por la población inmigrante, con lo cual se está reforzando la
multietnicidad y el multiculturalismo. Una de las diferencias sociocultu-
rales más importantes podría ser la conservación del patriarcado entre
las comunidades inmigrantes de las minorías étnicas, en contraste con la
desintegración de las familias tradicionales entre los grupos étnicos au-
tóctonos (negro y blanco) en las sociedades industrializadas. Por su-
puesto, esta tendencia se autorreproduce, aun contando con una reduc-
ción de la tasa de nacimientos de las minorías inmigrantes tan pronto
como mejoran su economía y su educación.
CUADRO 4.10 Tasa total de fecundidad por principales regiones del mundo.
1970-75 1980-85 1990-95'
Mundo 4,4 3,5 3,3
Regiones desarrolladas 2,2 2,0 1,9
Regiones subdesarrolladas 5,4 4,1 3,6
África 6,5 6,3 6,0
Asia 5,1 3,5 3,2
Europa 2,2 1,9 1,7
América 3,6 3,1 —
Latina — — 3,1
del Norte — — 2,0
Oceanía 3,2 2,7 2,5
URSS 2,4 2,4 2,3
" 1990-1995 son proyecciones.
Fuentes: ONU, World Population Prospects, estimaciones efectuadas en 1984; Na-
ciones Unidas, World Population at the Turn ofthe Century, 1989, pág. 9; Fondo de
Población de Naciones Unidas, The State of World Population: Choices and Respon-
sibilities, 1994.
En general, parece que en la mayoría de los países desarrollados, con
las excepciones importantes de Japón y España, la familia patriarcal está
en proceso de convertirse en una forma minoritaria del modo de vida de
la gente. En los Estados Unidos, sólo en torno a un cuarto de los hogares
totales en los años noventa cumple con el tipo ideal de una pareja casada
con hijos (véase más adelante). Si añadimos la calificación «con los hijos
biológicos de la pareja», la proporción desciende notablemente. Sin duda,
no todo es liberación de las mujeres. La estructura demográfica tiene algo
que ver: otro cuarto de los hogares de los Estados Unidos son de una sola
persona y en su mayoría son de gente anciana, sobre todo de mujeres que
han sobrevivido a sus esposos. No obstante, un estudio estadístico reali-
II fin del putriuruado: movimientos sociales, familia y sexualidad... 181
/.ado por Antonella Pinelli sobre las variables que condicionan la nueva
conducta demográfica en Europa, concluye que:
vemos que la inestabilidad matrimonial, la unión libre y los nacimientos extrama-
ritales se dan donde se otorga un alto valor a los aspectos no materiales de la cali-
dad de vida y donde las mujeres disfrutan de independencia económica y un po-
der político relativamente grande. Debe hacerse hincapié en las condiciones de
las mujeres. El divorcio, la unión libre y la fertilidad extramarital están más exten-
didos allí donde las mujeres disfrutan de independencia económica y están en po-
sición de afrontar la posibilidad de ser una madre sola sin convertirse, por esta ra-
zón, en un sujeto social en riesgo22
.
Sin embargo, sus conclusiones han de corregirse con la observación de
que ésta es sólo parte de la historia. Los niños nacidos fuera del matrimo-
nio en los Estados Unidos son tanto resultado de la pobreza y la falta de
educación como de la autoafirmación de las mujeres. No obstante, la ten-
dencia general, como muestran unas cuantas ilustraciones estadísticas, se
dirige al debilitamiento y la disolución potencial de las formas de familia
tradicional de dominio patriarcal incuestionado, con la mujer y los hijos
agrupados en torno al esposo/padre.
En los países en vías de desarrollo, operan tendencias similares en las
áreas urbanas, pero las estadísticas nacionales, que principalmente son re-
flejo de sociedades rurales tradicionales (sobre todo en África y Asia),
minimizan el fenómeno, pese a lo cual aún se pueden detectar algunas
huellas. La excepción española está ligada fundamentalmente al desem-
pleo de los jóvenes y a una severa escasez de vivienda, que impide la for-
mación de nuevos hogares en las grandes áreas metropolitanas23
. En
cuanto a Japón, las tendencias culturales, como la vergüenza que despier-
tan los nacimientos extramaritales, ayudan a consolidar el patriarcado,
aunque las tendencias recientes parecen estar erosionando la ideología
patriarcal y la relegación de las mujeres al mercado laboral secundario24
.
Pero mi hipótesis sobre la excepcionalidad japonesa en la conservación
de la estructura patriarcal es que se debe, sobre todo, a la ausencia de un
movimiento feminista significativo. Como tal movimiento está aumen-
tando en los años noventa, me atrevo a pronosticar que en este asunto,
como en tantos otros, el fin de la singularidad japonesa es, hasta cierto
punto, cuestión de tiempo. Sin negar su especificidad cultural, las fuerzas
que operan en la estructura de la sociedad y en las mentes de las mujeres
son tales que hasta el propio Japón tendrá que habérselas con el desafío
al patriarcado por parte de las mujeres trabajadoras25
.
22
Pinelli, 1995, pág. 88.
23
Lealeía/., 1996.
24
Tsuya y Masón, 1995.
25
Gelb y Lief-Palley, 1994.
IK2 III poder ili-
lii KICIIIHIIKI
Si las tendencias actuales continúan expandiéndose por todo el mundo,
y mi hipótesis es que así será, las familias, según las hemos conocido, se con-
vertirán, en diversas sociedades, en una reliquia histórica no demasiado le-
jos en el horizonte temporal. Y el tejido de nuestras vidas se habrá transfor-
mado, puesto que ya sentimos, a veces dolorosamente, las palpitaciones de
este cambio. Pasemos ahora a analizar las tendencias que subyacen en las
raíces de esta crisis y, esperemos, también en la fuente de nuevas formas de
convivencia entre mujeres, niños, animales domésticos e incluso hombres.
MUJER Y TRABAJO
El trabajo, la familia y los mercados laborales han sufrido una profunda
transformación en el último cuarto de este siglo debido a la incorporación
masiva de las mujeres al trabajo remunerado, en la mayoría de los casos
fuera de su hogar26
. En el conjunto mundial, 854 millones de mujeres eran
económicamente activas en 1990, representando el 32,1% de la mano de
obra global. Entre las mujeres mayores de quince años, el 41% eran econó-
micamente activas27
. En los países de la OCDE, la tasa media de participa-
ción de las mujeres en la mano de obra ascendió del 48,3% en 1973 al
61,6% en 1993, mientras que la de los hombres descendió del 88,2% al
81,3% (véase el cuadro 4.11). En los Estados Unidos, la tasa de participa-
ción laboral de las mujeres ascendió del 51,1% en 1973 al 70,5% en 1994.
Las tasas de aumento del empleo para 1973-1993 también indican una ten-
dencia ascendente general para las mujeres (invertida en algunos países eu-
ropeos en la década de los noventa) y un diferencial positivo frente a los
hombres (cuadro 4.12). Cabe observar tendencias similares en todo el
mundo. Pasando a la clasificación estadística de «tasa de actividad econó-
mica» de la ONU (cuyos porcentajes son más bajos que los de la participa-
ción en la mano de obra), los cuadros 4.13 y 4.14 muestran una tendencia
ascendente similar en la tasa de actividad económica de las mujeres, con la
excepción parcial de Rusia, que ya tenía un elevado nivel en 1970.
La entrada masiva de las mujeres en la mano de obra remunerada se
debe, por una parte, a la informacionalización, la interconexión y la glo-
balización de la economía y, por la otra, a la segmentación por géneros
del mercado laboral, que aprovecha las condiciones sociales específicas
de las mujeres para incrementar la productividad, el control de gestión y,
en definitiva, los beneficios28
. Estudiemos algunos indicadores estadís-
ticos2<)
.
26
Kahne y Giele, 1992; Masón y Jensen, 1995.
21
ONU, 1995.
28
Kahne y Giele, 1992; Rubín y Riney, 1994.
29
Véase Blumstein y Schwartz, 1983; Cobble, 1993; OCDE, 1993-1995, 1994a, b, 1995;
Masón y Jensen, 1995; ONU, 1995.
CUADRO 4.11 Tasas de participación en la mano de obra por sexo (%).
Hombres Mujeres
1973 1979 1983 1992 1993 1994a
1973 1979 1983
Alemania 8ÍU3 84^9 82~6 79^0 78^6 — 50/3 52^2 52^5
Australia 91,1 87,6 85,9 85,3 85,0 84,9 47,7 50,3 52,1
Austria 83,0 81,6 82,2 80,7 80,8 — 48,5 49,1 49,7
Bélgica 83,2 79,3 76,8 72,6 — — 41,3 46,3 48,7
Canadá 86,1 86,3 84,7 78,9 78,3 — 47,2 55,5 60,0
Dinamarca 89,6 89,6 87,6 88,0 86,0 — 61,9 69,9 74,2
España 92,9 83,1 80,2 75,1 74,5 73,9 33,4 32,6 33,2
Estados Unidos 86,2 85,7 84,6 85,3 84,9 85,4 51,1 58,9 61,8
Finlandia 80,0 82,2 82,0 78,5 77,6 77,1 63,6 68,9 72,7
Francia 85,2 82,6 78,4 74,7 74,5 — 50,1 54,2 54,3
Grecia 83,2 79,0 80,0 73,0 73,7 — 31,1 32,8 40,4
Irlanda6
92,3 88,7 87,1 81,9 — — 34,1 35,2 37,8
Italia 85,1 82,6 80,7 79,1 74,8 — 33,7 38,7 40,3
Japón 90,1 89,2 89,1 89,7 90,2 90,1 54,0 54,7 57,2
Luxemburgo 93,1 88,9 85,1 77,7 — — 35,9 39,8 41,7
Noruega 86,5 89,2 87,2 82,6 82,0 82,3 50,6 61,7 65,5
Nueva Zelanda 89,2 87,3 84,7 83,0 83,3 — 39,2 45,0 45,7
Países Bajos 85,6 79,0 73,7 80,8 — — 29,2 33,4 40,3
Portugal — 90,9 86,9 82,3 82,5 82,8 — 57,3 56,7
Reino Unido 93,0 90,5 87,5 84,5 83,3 81,8 53,2 58,0 57,2
Suecia 88,1 87,9 85,9 81,8 79,3 78,1 62,6 72,8 77,6
Suiza 100,0 94,6 93,5 93,7 92,5 91,0 54,1 53,0 55,2
Norteamérica 86,2 85,8 84,6 84,6 84,2 — 44,7 48,6 49,8
Europa OCDEd
88,7 84,8 82,3 79,2 80,1 — 44,7 48,6 49,8
Total OCDEd
88,2 85,9 84,3 82,9 81,3 — 48,3 53,1 55,1
a
Estimaciones del Secretariado
b
1991 en lugar de 1992 para Irlanda y Luxemburgo.
c
Los datos de la mano de obra incluyen un número considerable de personas de menos de quince años.
d
Países citados solamente.
7992 7993 7994a
61,3
62,3
58,0
54,1
65,1
79,0
42,0
69,0
70,7
58,8
42,7
39,9
46,5
62,0
44,8
70,9
63,2
55,5
60,6
64,8
77,7
58,5
56,9
56,9
61,9
61,4
62,3
58,9
—
65,3
78,3
42,8
69,0
70,0
59,0
43,6
—
43,3
61,8
—
70,8
63,2
—
61,3
64,7
75,7
57,9
60,6
60,6
61,6
—
63,2
—
—
—
—
43,9
70,5
69,8
—
—
—
—
61,8
—
71,3
—
—
62,2
64,5
74,6
56,9
—
—
—
Fuente: OCDE, Employment Outlook, 1995.
Cuadro 4.12 Empleo total por sexo (tasa de crecimiento medio anual en porcentajes).
Hombres Mujeres
1973-75 1975-79 1979-83 1983-91 1992 1993 1973-75 1975-79 1979-83 1983-91 1992
Alemania ^ Ü 0^3 ^05 ÓlF ^0¿ — ^U¡ OS) -0$ 2 ^ T/T
Australia -0,3 0,6 -0,1 1,5d
-0,3 0,0 2,0 1,7 2,0 3,9d
0,6
Austria -1,1 0,8 0,9 0,7 0,8 — -1,2 1,0 0,8 2,1 3,3
Bélgica -0,4 -0,4 -1,8 0,0 -1,1 — 0,8 0,9 0,2 2,0 0,5
Canadá 1,9 1,8 -0,6 1,1 -1,2 1,2 4,7 4,5 2,6 2,8 -0,4
Dinamarca -1,8 0,7b
-1,7 0,9 — — -0,5 3,6b
1,9 -0,1 -6,5
España -0,2 -1,7" -1,8 0,8 -3,2 -5,4 -1,5 -1,3" -1,7 3,0 0,3
Estados U -0,6 2,5 -0,3 1,3 0,3 1,3 2,0 5,0 1,7 2,4 0,9
Finlandia 0,7 -0,6b
0,9 -0,5 -7,6 -5,9 2,0 -0,0b
1,9 -0,1 -6,5
Francia -0,4 -0,2 -0,7 -0,1 -1,2 — 0,8 1,6 0,7 1,4 0,5
Grecia -0,5 0,8 0,6 0,1 — — 1,6 1,1 4,1 0,7 —
Irlanda -0,2 1,5 -1,4 -0,5 — — 1,6 2,0 1,9 1,1 —
Italia 0,6 -0,1 0,0 0,1 -1,1 —h
2,4 2,7 1,3 1,6 0,3
Japón 0,5 0,7 0,8 1,1 1,1 0,6 -1,7 2,0 1,7 1,7 1,0
Luxemburgo 1,0 -0,7 -0,7 2,3' — — 4,6 1,5 1,8 3,3f
—
Noruega 0,9 1,1 -0,2 -0,4 -0,5 -0,5 2,9 4,4 1,8 1,4 -0,1
Nueva Zelanda 2,1 0,2 -0,3 -1,0" 0,4 — 5,2 2,7 0,8 1,3" 0,6
Países Bajos -1,5 0,3 -0,8 2,1 1,3 — 2,9 2,7 4,0 5,3 3,2
Portugal -1,3a
0,3 0,4° 1,0 —° -2,8 -1,5a
0,9 1,1c
3,0 —o
Reino Unido -1,0 -0,2 -2,3 0,4 -3,3 -2,8 1,5 1,2 -1,0 2,3 -1,0
Suecia 1,0 -0,3 -0,6 0,1c
-5,1 -7,9 4,2 2,0 1,3 0,9C
-3,5
Suiza -2,8 -0,5 0,8 0,8 -2,1 -2,5 -1,9 0,6 2,0 1,6 -2,4
Norteamérica -0,4 2,4 -0,4 1,2 0,2 1,3 2,2 4,9 1,8 2,4 0,8
Europa OCDE1
-0,8 -0,2 -0,8 0,4 -2,0 — 1,2 1,4 0,5 2,0 -0,3
Total OCDE¡
-0,4 0,9 -0,3 0,9 -1,4 — 1,0 2,8 1,2 2,2 -0,1
a
Interrupción en la serie entre 1973 y 1974.b
Interrupción en la serie entre 1975 y 1976. c
Interrupción en la serie entre 1982 y 1983.
d
Interrupción en la serie entre 1985 y 1986. e
Interrupción en la serie entre 1986 y 1987.f
Los datos se refieren a 1983-1990.
0
Interrupción en la serie entre 1991 y 1992.h
Interrupción en la serie entre 1992 y 1993.' Sólo los países citados.
1993a
0,8
1,1
-6,3
-2,4
1,5
-6,3
-0,3
0,5
-1,2
-1,3
-6,2
-2,5
1,5
Fuente: OCDE, Employment Outlook, 1995.
El fin del patriarcado: movimientos sociales, familia y sexualulíiol...
80 -,
i
8
•§. 70
E
a>
I8 50
i-30
Canadá
EE.UU
RU J^Dinamu i n a i i i . - ^ ^
Suecia
Finlandia
Turquía
30
x^ 50 60 70
Tasas de participación femenina
80
FIGURA 4.7 Aumento del empleo en el sector servicios y de las tasas de participación
femenina, 1980-1990.
Fuente: OCDE (1994b), Anexo estadístico, cuadros A y D.
Cuando analicé la transformación de la estructura del empleo en la
economía informacional (vol. I, cap. 4), expuse el incremento del empleo
en servicios y, dentro de los servicios, el papel estratégico desempeñado
por dos categorías distintivas de servicios: los servicios a la empresa y los
servicios sociales, característicos de la economía informacional, como pre-
vieron los primeros teóricos del postindustrialismo. La figura 4.7 muestra
la convergencia entre el incremento de los servicios y el del empleo feme-
nino en 1980-1990. La figura 4.8a presenta la concentración de mujeres en
empleos de servicios en diferentes zonas del mundo. Sin embargo, debe
tenerse en cuenta que, en la mayor parte del mundo, la mayoría del tra-
bajo sigue siendo agrícola (pero no por mucho tiempo) y, por lo tanto, la
mayor parte de las mujeres aún trabajan en la agricultura: el 80% de las
mujeres económicamente activas del África subsahariana y el 60% del sur
de Asia. En el conjunto mundial, en torno a la mitad de las mujeres eco-
nómicamente activas están en el sector servicios30
La proporción es mu-
cho más elevada en la mayoría de los países desarrollados y ha venido
creciendo a lo largo del tiempo, hasta alcanzar en torno al 85% de la
30
ONU, 1991.
I«> El poder de la identidad
CUADRO 4.13 Tasa de actividad económica, 1970-1990.
OCDE
Alemania
Canadá
EE.UU.
F. Rusa
Francia
Italia
Japón
(14+) Total
Hombres
Mujeres
(15+) Total
Hombres
Mujeres
(16+) Total
Hombres
Mujeres
(16+) Total
Hombres
Mujeres
(15+) Total
Hombres
Mujeres
(14+) Total
Hombres
Mujeres
(15+) Total
Hombres
Mujeres
Reino Unido (16+) Total
Asia
China
Corea
India
Indonesia
América Lati
Argentina
Brasil
México
Hombres
Mujeres
(15+) Total
Hombres
Mujeres
(15+) Total
Hombres
Mujeres
(15+) Total
Hombres
Mujeres
(15+) Total
Hombres
Mujeres
na
(14+) Total
Hombres
Mujeres
(10+) Total
Hombres
Mujeres
(12+) Total
Hombres
Mujeres
7970
43,9
59,2
30,0
40,9(71)
53,3
28,4
41,8
53,9
30,2
48,4
52,1
45,3
42,0(71)
55,2
29,4
36,6
54,7
19,3
51,0
63,4
39,1
42,5
51,7
33,0
44,25
33,0
42,8
23,2
32,9(71)
52,5
11,9
34,9(71)
47,3
22,8
38,5
57,9
19,4
31,7
10,5
13,1
26,9
43,6
10,2
7975
43,4
57,1
30,9
44,6(76)
55,6
33,8
44,5
55,6
33,9
42,6
55,1
30,5
35,4
52,2
19,4
48,6
62,3
35,2
52,3(82)
57,3
47,0
38,5
46,9
30,0
27,6
42,9
12,0
7980
44,9
58,4
32,6
49,1
56,8
41,8
51,7(79)
55,7
48,1
43,3
54,4
32,7
40,2
55,2
26,0
48,4
60,2
36,8
47,3(81)
59,4
35,8
37,9
46,3
29,3
35,5
48,1
23,5
38,5
55,1
22,0
36,3
53,1
19,8
33,0
48,2
18,2
1985
43,4(86)
52,6
34,6
41,1
54,6
28,2
51,5
63,6
39,8
37,5
55,3
19,9
1990
49,6
60,8
39,2
44,4(92)
50,2
55,0
45,8
44,8
51,6
38,2
42,0
54,3
30,3
51,7
62,4
41,3
50,3
58,4
42,6
37,5(91)
51,6
22,3
38,1
55,4
21,0
41,9
56,3
27,9
29,6
46,2
13,6
El fin del patriarcado: movimientos sociales, familia y sexualidad... 187
CUADRO 4.13 (Cont.)
1970 1975 1980 1985 1990
23,6
42,4
4,4
30,3
40,7
19,7
África
Argelia
Nigeria
(6+) Total
Hombres
Mujeres
(14+) Total
Hombres
Mujeres
Oriente Próximo
Egipto (6+) Total
Hombres
Mujeres
21,7(66)
42,2
1,8
27,9(71)
51,2
4,2
30,2(76)
54,2
5,5
31,6
49,3
13,5
Nota: Tasa de actividad económ¡ca= población económicamente activa/población
total.
Fuente: OIT, Yearbook of Labour Statistics, 1970-1994.
CUADRO 4.14 índice de aumento de la tasa de actividad económica de las
mujeres, 1970-1990.
7970 7990 Crecimiento (%)
Francia 29,4 38,2 29,9
Alemania 30,0 39,2 30,7
Italia 19,3 30,3 57,0
Japón 39,1 41,3 5,6
Reino Unido 33,0 42,6 29,1
Estados Unidos 30,2 44,4 47,0
Rusia 45,3 45,8 1,1
India 11,9 22,3 87,4
Argentina 19,4 21,0 8,2
México 10,2 13,6 33,3
Brasil 13,1 27,9 113,0
Argelia 1,8 4,4 144,4
Egipto 4,2 13,5 221,4
Nota: Tasa de actividad económica= población económicamente activa/población
total.
Fuente: OIT, Yearbook of Labour Statistics, 1970-1994.
IKH íi podt'i Je I» iilciilulud
o
oo
en
a>
T3
ro
"•
5Í.
' 3
E
a>
"O
CD
BC
CU
O
O
CL
Regiones
desarrolladas
Profesionales/técnicas
Oficina y servicios
África
y Caribe
América Latina Asia y Pacífico
DVentas
I Fabricación,
' transporte
Administración,
gestión
FIGURA 4.8a Porcentaje de mujeres en la mano de obra por tipo de empleo
Fuente: Preparado por la Oficina de Estadística del Secretariado de la ONU (1991) a
partir del Yearbook of Labour Statistics (varios años) de la Oficina Internacional de
Trabajo.
mano de obra femenina en los Estados Unidos y el Reino Unido. Sin em-
bargo, el aspecto más significativo es en qué tipo de servicios trabajan.
Como muestra el cuadro 4.15, en la mayoría de los países desarrollados,
el grueso del empleo femenino se encuentra en los servicios sociales y los
servicios personales. No obstante, si calculamos la tasa de crecimiento de
cada tipo de servicio en el empleo femenino total, para el periodo de 1973-
1993 (cuadro 4.16), observamos un incremento espectacular en servicios a
las empresas, seguido a cierta distancia por los servicios sociales/persona-
les. El empleo en comercio y restaurantes es el segmento menos dinámico
en la evolución del empleo de las mujeres en los países avanzados. Así
pues, existe una correspondencia directa entre el tipo de servicios vincula-
dos a la informacionalización de la economía y la expansión del empleo
de las mujeres en los países avanzados. Se llega a una conclusión similar
observando la evolución cambiante del empleo femenino por ocupa-
ciones, entre 1980 y 1989, en los países de la OCDE seleccionados (cua-
I I l'lii del ();ilri¡if< .!>!• • movimientos sociulcs, l.imilia y seximlidiid... IX1
;
% 100 1
o u
" La esposa forma parte de la mano
de obra remunerada
60- * « ^ _ ^ ^
La esposa no forma parte de '—•~>^_
la mano de obra remunerada ^ ^ - ^ "
40- _ - - " " "
20-
0 -| 1 1 1 1 1 1 1 1 1 —i—
1960 1963 1966 1969 1972 1975 1978 1981 1984 1987 1990
FIGURA 4.8b Familias de parejas casadas en las que la esposa forma parte de la mano
de obra, en los Estados Unidos, 1960-1990 (no se dispone de datos para 1983).
Fuente: Oficina del Censo de los Estados Unidos, 1992a.
dro 4.17). En general, las categorías profesional/técnica y administrati-
va/ejecutiva han aumentado más de prisa que el resto, aunque las trabaja-
doras de oficina siguen suponiendo en general el grupo mayor. Las muje-
res no se ven relegadas a los puestos de trabajo en servicios menos
cualificados: se las emplea en toda la estructura de cualificación y el au-
mento de los puestos de trabajo de las mujeres es mayor en el extremo
superior de la estructura ocupacional. Por ello, precisamente, existe dis-
criminación: porque realizan trabajos de cualificación similar a los hom-
bres con un salario más bajo, con una gran inseguridad laboral y con me-
nores posibilidades de hacer carrera hasta el nivel máximo.
La globalización también ha desempeñado un papel importante en la
inclusión de la mujer en la mano de obra en todo el mundo. La industria
electrónica, internacionalizada desde finales de los años sesenta, empleó
sobre todo a mujeres jóvenes no cualificadas en Asia31
. Las maquiladoras
del norte de México cuentan fundamentalmente con mano de obra feme-
nina. Y las economías de industrialización reciente han introducido en el
trabajo remunerado a mujeres mal pagadas en casi todos los niveles de la
estructura ocupacional32
. Al mismo tiempo, una proporción considerable
31
Salaff, 1981,1988.
32
Standing, 1990.
CUADRO 4.15 Empleo femenino en servicios por actividades y grado de intensidad informacional como porcentaje del
empleo total, 1973-1993.
(Grado de intensidad
informacionall
Canadá
EE.UU.
Japón
Alemania
Italia
R. Unido
España
1975
1983
1993
1973
1983
1993
1973
1983
1993
1973
1983
1993
1977
1983
1993
1973
1983
1993
1977
1983
1993
1
Servicios de
finanzas, seguros,
inmobiliarios
y empresariales
11,2
12,1
13,6
9,1
11,9
12,6
3,4
6,9
9,4
8,2
10,3
1,7
3,1
8,1
7,4
9,8
2,1
3,0
6,3
2
Servicios
sociales y
personales a
la comunidad
40,2
40,9
43,9
41,5
41,9
46,6
22,0
24,1
26,9
34,2
38,4
31,0
34,6
36,4
36,0
42,2
28,2
35,8
41,8
2
Transporte,
almacenamiento
y comunicaciones
4,0
4,2
3,7
3,5
3,3
3,5
2,0
1,9
2,5
3,3
3,6
1,8
2,0
2,7
2,8
2,8
1,5
1,7
2,2
3
Comercio mayorista
y minorista,
restaurantes y
hoteles
25,8
25,4
24,8
23,9
24,5
22,7
24,7
27,1
27,5
22,5
22,4
18,8
21,0
22,6
24,7
25,0
24,4
24,4
26,9
Actividades
sin definir
adecuadamente
0,2
0,2
0,4
0,1
Total
81,2
82,6
86,0
78,0
81,6
85,3
52,3
60,3
66,7
68,2
74,6
53,3
60,6
69,8
70,7
79,9
84,9
56,3
64,9
77,2
Fuente: OCDE, Labour Forcé Statistics, 1995, elaboración propia.
II lili del paliniu mío movimientos sociales, lamilla y sexualidad... l'M
CUADRO 4.16 Tasas de crecimiento para cada categoría de empleo feme-
nino en servicios como porcentaje del empleo femenino to-
tal, 1973-19933
.
Servicios Servicios Transporte, Comercio,
empresariales sociales y almacenamiento, hoteles,
personales comunicación restaurantes
País <%) (%) (%) <%)
EE. UU 38,5 12,2 0 -5,0
Japón 176,5 22,2 25 1,3
Alemania 25,6 12,3 9 -0,4
(1983-93)
Italia 376,5 17,4 50 -3,9
(1977-93)
Reino Unido 32,4 17,2 0 1,2
España 200,0 48,2 47 10,2
(1977-93)
" Siempre que no se indiquen otras fechas de cálculo.
Fuente: Elaboración de los datos del cuadro 4.15.
del empleo urbano para las mujeres en los países en vías de desarrollo si-
gue estando en el sector informal, sobre todo en el suministro de comida
y servicios para los habitantes de las metrópolis33
.
¿Por qué las mujeres? En primer lugar porque, en contraste con las in-
formaciones erróneas publicadas en los medios de comunicación, en ge-
neral ha habido una creación sostenida de puestos de trabajo en el
mundo durante las tres últimas décadas, con la excepción de Europa
(véase vol. I, cap. 4). Pero, incluso en Europa, la participación de la mu-
jer en la mano de obra ha aumentado, mientras que la del hombre ha des-
cendido. Por lo tanto, la entrada de las mujeres en el mercado de trabajo
no es sólo una respuesta a la demanda laboral. Asimismo, el desempleo
de las mujeres no siempre es tan elevado como el de los hombres: en 1994
era inferior al de los hombres en los Estados Unidos (6% frente a 6,2%) y
en Canadá (9,8% frente a 10,7%); y era mucho más bajo que el de los
hombres en 1993 en el Reino Unido (7,5% frente al 12,4%). Por otra
parte, era ligeramente superior en Japón y España, y considerablemente
más alto en Francia e Italia. Así pues, el aumento de la tasa de participa-
ción de las mujeres en la mano de obra es independiente de su diferencial
de desempleo frente a los hombres y del aumento de la demanda de
mano de obra.
33
Portes et al, 1989.
CUADRO 4.17 Distribución del empleo femenino por ocupación3
, 1980 y 1989 (%).
Profesional Administrativa Oficina y Vendedoras Trabajadoras Agricultura Producción
técnica y ejecutiva afines servicios y afines y afines
afines
País*
Alemania
1980
1986
índice(1980=100)
Bélgica
1993
1988
índice(1983=100)
Canadá
1980
1989
índice(1980=100)
España
1980
1989
índice(1980=100)
Estados Unidos
1980
1989
índice(1980=100)
14,1
16,2
118,0
25,9
28,2
118,0
19,1
20,9
143,0
8,7
15,2
202,0
16,8
18,1
136,0
1,3
1,5
115,0
1,4
1,4
113,0
5,4
10,7
185,0
0,2
0,4
280,0
6,9
11,1
202,0
30,7
29,8
99,0
24,4
27,3
122,0
34,5
30,5
114,0
13,2
18,2
160,0
35,1
27,8
99,0
12,9
12,8
102,0
13,7
14,6
116,0
10,0
9,9
123,0
15,4
15,4
116,0
6,8
13,1
243,0
16,3
16,1
102,0
18,6
14,4
84,0
18,3
17,0
122,0
25,6
25,2
114,0
19,5
17,7
115,0
6,9
5,5
83,0
2,8
2,1
86,0
2,8
2,2
98,0
18,2
11,1
70,0
1,2
1,1
115,0
15,9
13,3
86,0
13,2
11,6
95,0
9,9
8,9
113,0
18,7
14,4
89,0
13,8
11,1
101,0
í
5
a-o
o
O
I
" 3"
m a>
— 3
3 ' O
Q. 0)
ñ' 3
CD O "
Q3 Q .
I
* "O
0 CD
G. o
3> o
a> o
« 3
r+ CO
S a
0>_ (D
(D Q3
01 Q _
Q . O
CD '
!?O 2 .
Q . T 3
O Cu
m
(D"
O ™
w <0
-i
X! C
0) TJ
¡ñ' O
CD CO
</> Q_
"O CD
i»S> CD
— 3
O 0)
W i".
o °
SÜ 3
o —
« oí
o. 5)
CD 3
CD
3
Tl_
CD
0)
Q.
O
C/>
CD
3
1
i
Q .
CO-
CÍ
01
en
0]
o
c
CD
a
o
o
o
81
£°
O o
i.2
| ?
3 rt-
s- o'
CD
3
- O
c
CD
a
CD
a
3
O
O
c
T3
CU
O
5'
3
CU
C/5
c__ , o
a. & 8 * a. £ & <=
' - ' - C O C O T r ' i i C O O O c í )
CD O °> p «O 0 ( Q
ÍE.
CD
00
o
II
<D
CD
Sí.
~¿
(O
00
o
II
o
o
c_
0)
• _ » _ » X J
CD CD O -
0 0 0 0 3
CD O
O
- I - 3
Ql CD_
<D
0 0
O
II
O
o
3
Q .
o '
Cg_
CO
00
o
o
CD
« 5 CD O
0 0 0 0 ñ'
CO
0)
3
a.
o'
5L
t o
00
o
II
o
o
to to cu
00 00 3
CO O Q .
oí ¿* co
Í - M O
o o b>
* * W NJ
- > t o u
v i - »
to _» CO
o V b>
CJ1 _ » _ >
o> -t» o
o V Vi
v i
w -»
_> tfi
3 3
a. a. 00
00 00 tO
O O I M
(O
M O O
O 00 OÍ
OJ
p p po oo Vi
•t*
v i
o
- » N> NJ
.*" -r* ,-*
o lo b>
NJ _ » _ »
_ i CD CD
- • M M
(71 O) 00
O V ""-»
CO _» - J
- i * » N>
O OJ "tO
- » N i NJ
CO N5 - »
o Vi oo
K>
O CD 00
O U v i
_ * _k —¿
^ M M
O - ^ 00
O - > - >
* . J5. J i
o V* co
00 —'
00 O tO
O 00 O
•t» —>
CJ1 _-J 00
o ai b>
O Í - » M
OÍ CO N i
O M M
OJ M * •
O N ) 00 O CO CD
v i - >
v i - J
O V V i
a>
OS ,-»
O 00
o
OJ
to
o
v i
00 CO OÍ
o to to
to -»
tO ( D - »
a> oo to
o oo "-i
NJ
OÍ NJ M
p a> os
o a i a i
CO - »
v i - i tO
o ai Vi
CO 00 -P*
a i *». _ »
O O 0 5
o -» -»
-i», t o a i
v i _> NJ
JO O Í _M
O M U
O) - »
o> p> p
o tn bi
~ j _» _»
o o oí
t < i l | i i : p i | l i n x n s A l l l | u u i ' | 's.l|l)ini)S S D H I . I I I I I I A n u í II|III.IJIMI|I:II | . i | i t i l | | |
I'M II podrí ik l,i idi-iiliducl
Si la demanda de mano de obra, en términos puramente cuantitativos,
no explica que se acuda a las mujeres, su atractivo para quienes las em-
plean debe explicarse por otras características. Creo que está bien esta-
blecido en la literatura que es la vinculación social con el género de las la-
bores que realizan la que las hace, en conjunto, una bolsa de trabajo
atractiva34
. Sin duda, no tiene nada que ver con las características biológi-
cas: las mujeres han demostrado que pueden ser bomberas y estibadoras
en todo el mundo, y el agotador trabajo que realizaron en las fábricas
marcó la industrialización desde sus comienzos. Tampoco, a este res-
pecto, tiene nada que ver el empleo de mujeres jóvenes en la electrónica
con el mito de su destreza con los dedos, sino con la aceptación social de
que desgasten sus ojos en diez años de ensamblaje a través del microsco-
pio. Los antropólogos han documentado cómo en los orígenes del empleo
de las mujeres en las fábricas electrónicas del sureste asiático se encuen-
tra el modelo de la autoridad patriarcal, que se extendía del hogar fami-
liar a la fábrica, mediante el acuerdo de los directivos de la compañía y el
paterfamilias35
.
Tampoco parece que la razón para contratar mujeres tenga que ver
con su falta de sindicalización. La causalidad aparentemente funciona al
revés: las mujeres no están sindicalizadas porque suelen estar empleadas
en sectores donde apenas hay sindicalización, como servicios privados a
las empresas o fabricación electrónica. Aún así, constituyen el 37% de los
afiliados a sindicatos en los Estados Unidos, el 39% en Canadá, el 51%
en Suecia y el 30% en África, de media36
. Las obreras de la confección en
los Estados Unidos y España, las mujeres de las maquiladoras mexicanas
y las maestras y enfermeras de todo el mundo se han movilizado en de-
fensa de sus reivindicaciones, con mayor vehemencia que los sindicatos de
la siderurgia o la química, dominados por los hombres. La supuesta sumi-
sión de las trabajadoras es un mito duradero de cuya falacia se han comen-
zado a dar cuenta los directivos, bien a pesar suyo37
. Así pues, ¿cuáles son
los principales factores inductores de la explosión del empleo femenino?
El primer factor y el más obvio es la posibilidad de pagar menos por
un trabajo similar. Con la expansión de la educación universal, incluida la
universitaria, sobre todo en los países más desarrollados, las mujeres for-
maron una bolsa de cualificación que fue aprovechada de inmediato por
los empresarios. El diferencial de salario de las mujeres frente a los hom-
bres persiste en todo el mundo, mientras que, como hemos visto, en los
países desarrollados, las diferencias en el perfil ocupacional son peque-
ñas. En los Estados Unidos, las mujeres ganaban un 60-65% de los sala-
14
Spitz, 1988; Kahne y Giele, 1992; OCDE, 1994b.
,5
Salaff, 1981.
36
ONU, 1991.
17
Cobble, 1993.
El fin del}>.111 un-mln iiiiiviiiiiriiliis sociales, lamilla y Kcxiiiiliriikl... I')*i
rios de los hombres en los años sesenta y su porcentaje mejoró hasla el
72% en 1991, pero la principal razón de ello fue el descenso del salario
real de los hombres38
. En el Reino Unido, los ingresos de las mujeres
eran el 69,5% del de los hombres a mediados de los años ochenta. El
73,6% en Alemania en 1991, superando el 72% de 1980. Para Francia, las
cifras correspondientes son el 80,8% y por encima del 79%. El salario
medio de las mujeres es el 43% del de los hombres en Japón, el 51% en
Corea, el 56% en Singapur, el 70% en Hong Kong y varía en una amplia
escala entre el 44% y el 77% en América Latina39
.
Quiero destacar que, en la mayoría de los casos, las mujeres no están/
sufriendo descualificación ni se las está confinando a puestos de trabajo
insignificantes, sino más bien lo contrario. Con frecuencia, se las asciende
a puestos que requieren una preparación amplia, iniciativa y educación, a
medida que las nuevas tecnologías demandan una mano de obra autó-
noma, capaz de adaptarse y reprogramar sus propias tareas, como en el
caso específico de los seguros y la banca que resumí en el volumen I, capí-
tulo 4. De hecho, ésta es la segunda razón importante para contratar mu-
jeres, a un precio de ganga: su capacidad de relacionarse, cada vez más
necesaria en una economía informacional, donde la administración de las
cosas queda en segundo plano frente a la gestión de la gente. En este sen-
tido, hay una extensión de la división sexual del trabajo entre la produc-
ción tradicional de los hombres y la creación de hogar y relaciones socia-
les de las mujeres bajo el patriarcado. Sucede que la nueva economía
requiere cada vez más las destrezas que estaban confinadas al ámbito pri-
vado de las relaciones para llevarlas a la primera línea de la gestión y el
procesamiento de la información y la gente.
Pero hay algo más que creo que probablemente es el factor más impor-
tante en la expansión del empleo de las mujeres en los años noventa: su fle-
xibilidad como trabajadoras40
. En efecto, las mujeres representan el grueso
del empleo a tiempo parcial y temporal, y una proporción aún pequeña,
pero creciente, del empleo autónomo (cuadros 4.18 y 4.19). Relacionando
esta observación con los análisis presentados en el volumen I, capítulos 3 y
4, sobre la interconexión de la actividad económica y la flexibilización del
trabajo como rasgos importantes de la economía informacional, parece ra-
zonable sostener que la flexibilidad laboral de las mujeres en horario,
tiempo y entrada y salida del mercado laboral encaja con las necesidades
de la nueva economía41
. Esta coincidencia también está relacionada con el
género. Puesto que el trabajo de las mujeres se ha considerado tradicional-
mente complementario de los ingresos del hombre en la familia, y las muje-
38
Kim, 1993.
39
ONU, 1995.
40
Susser (en prensa).
41
Thurman y Trah, 1990; Duffy y Pupo, 1992.
E) |>ixlcr tic In uli-nlidiul
i
£
2?
O)
<o
2>
Sí
CJ>
S2
25
CD
CJ>
en
2>en
O)
£3
0>
¡5
CO
•.(N
•*
. 00 """" •
1
oo co
CM CM
CM^ !"»_ CM^ OO
ID" r-T «-* r-T
in co oa «-^ o •* cq
co" co" V CM" «-* ID" *t~
<t n co •- •» in -*
q n co i q N n co n •-_ co ,£, n in q N co lo I D ^ o r; ^_ r-_ ^_ co
cT CM" CN oo" co" i-T •>*" u> «-" co" - j - >-" r--"«-* io" oo" co" r--" uí oo" <-" <-" •*" o" oo"
C O * * C M C N C M C 0 « - C M « - C N ,
^ C M ^ - « - C O t - 0 0 ^ 1 - C O C D « - " * m ^ - " < > -
r ~ _ c q i n i - c q r ~ r ^ ^ ^ i n ^ c o o q i n c x 3 i n ^ r ^ c o ^ c v j r 0 ) - . o u >
o" oo" o" oo" in" co" co u í o ' ^ f «• oo" en" i-" •*" co" co" r--" ID" CM«-" »-" co" r-" co"
C O ^ - C N C N C N C O « - C M « - C N ' u
» - ,
t f « - C O i - C O ' " l - C O C O * - ^ ,
L n C O * *
O -í O p~ «-; f~-
o" CD" O " ai co" •»"
CO 00 CM «- CN "tf
co rj q in N co
c-" ID" oo" co co co"
CM CO «- r- CM •*
28,1
12,5
20,1
r- co o
co" o" |C
CM «- «-
CM"
1
15,5
oo"
<f q q
en cn" r-."
CM «-
qm<-_
o" r»" i-~"
> - M t -
cn •* <-^
•*" t-" o "
ID CO ID
t~ t- O
«-" en" •*"
ID CM •*
45,9
16,5
46,0
í- CM CD CM ^l-
r c o m o o )
M CM »- r- i-
00
CO"
CM
cn
CM" I
I ° *~« **
t' iri co
«- CM «-
o " | CM" en" CN" <-" co" t " oo" | CM" *-" [ e n o> •* •*" o» oo" | r-"
O) co iv co co q ^ oí c >-_ co B cn to * q co CD ^ co i n •-_ cq oí co_
N O T-" N ro r-' N" O CO" * ' (N ^ ' OÍ c i r-~ >-' O) CR O) CO~ ^" Ol" OÍ N lo"
q q cq r- co r- q cq in cq CD OÍ OJ OO q cv p-_ a) n co r-_ ^_ n co c¡
c>ro*-"cNcn"ocMOio"oo"cN"eocn"cN"o^"c»"cn"oco^OTco
i~ CM in o cq cq oo ID ID r- ^ <t co q u> o CM OO
«-" co"«-" CN" I--" CO" O" •*" CM" CO" CM" CM" r—~«-" «-" ID" I-." | CO"
l O C M L D O r ^ C M O CM ^ r-^ O ID O C O C n i D í D ' *
«-" I D «-" <-" •*" ID" I cn" CO" CM" I CM" I OO" r~" >-" o " •* ID" CM" to"
co
oo"
oo r^ •* o r^
<-" oo" «-" >-" t "
«9. I ^ .
00 I t -
r- oq o i cq co_
co" co" >-" I oo •*"
co
CM"
TO
co
co
3 f S
Vi (O
fii*ilf!ilS-si
•a¡
II1
co
co
3 CU CU
OÜ 3 3 i 5 . £ ¡ f - c : o : : j 5 J S - | í 3 ^ o . 5 5
< < < c Q U O u i u i u . u . O ¿ i ! ¡ ; - ) J 2 Z 2 l l . i
co _
Oí co
=> 'o
1/5
o
;g
'c
.ÍS ^
co 2. O
5 3 '<B
W I - CC
I piíliuiMwlii iiioviiiiiriilus soriiilcs, l;ill)lll;i y scxii;!liil;iil
cn co co r>- o> co o> *-; «-; «-^ r-^
o" •*" LO" I-." o" CM"
co r- r-- CO oo oo
ID (<) ^ n O) O) (O N t-_ (O (D N «_ lO N N r-_ U) N ^ n n I B IN ID
oí uí oí oo oí t " LCÍ co" co co >-"«-" o ' o r-T <r-" co o" •*" LO cd >-" CM" o" t "
o o r - o o c n c o r - r ~ C D C o o 3 c o r - o o i - - c o c n ' * 0 3 r - - r - c o o o o 3 L O O o
n q <o_ ^ i~; oo_ q •* n ^ ra in >-_ oq n oí n ^ n N CJ n r- n oi
crí ifí oí oí oí LO" r^ co" •*• co *-" CM CM" oí oí od co" o" co LCÍ oo" CM co oí **"
o o r ^ c o o o c o r - i ^ . c o c o o o c o r - o o c o c o o 3 ' * o o r - - r ^ c D o o o o L o c o
cn o «t- o co r~-
<o i~- oo cn «- cn
o • * oo • * • *
03 r~ CO CM CO 00 O^ CO
•* oí oo
CO r- 03
CO 03 CO
i~^ oí r*
r- r— r-
«o ,
-ID
00
, 03
-Oí
00
o f^ "* ** LO
oo c>
CM r-"
CM •*
co" <-"
U l < 0 0 0 0 ) 0 )
t- cn t - r a CM_ co cq IÍ5 cq r~-co oo cq •* «-_ cq en «-^ CM •* •* o> >-_ co co
LO" co" o CM" p~" co" co" r-~" oo" co" •*" o" r-" LO" <-" r-" •*" r-T«-" co" r-" ••*" oo" -=t" co"
«- t - CM CM CM CM CO CM CM CM CN
• * LO o_ • * r-_ i q oq LO o , LO 03 »-_ 03 cq LO o> o 01 cq LO CO cq 03 cq 03
•*" t " oí CM" CO" CN LO" r--" , 0 CM" •*" oí 1—* LO" O" CO" t " co" «-* CM" r»" V r-" oí CM"
<- CM «- »- CM T- ^* <- CM CM C M C M C M C O CM CM « - CM
CO LO rt- r- it 03
CM f- CO 00 LO CO
<- «- r- CM
^f cq cq LO cq
oí oí oí <¿" co"
«-
«o^.co
"* 55 co"
cq cq »*
OÍ LO T^
CM «- CM
00
*• *
CM
•<t_ cq <q cq LO_ r-_ •*_ r--_«-__ «-^ cq t_ cq
«-" irí r-~ co" CM" CM" I co co" 00 | n i | LÍÍ LO LCÍ
Í— T— <— CM « - r~
cq cq <q cq cq
r-^ co co r~" co
CM * - 1— CM
""".. ° "*.. °°-. '"""..o «-^ co" co oí
«l 1 cn
£ 1 LO"
o
cd
.Sí <o
§15.2
£ t ¿=
a <° m
.2 3 3
< < <
a>
n j « < S < ' > - o T 3 i i i _
o T5 £ ic ~ c ~ o
5 E S S.=> -É I•d) co ._
OQ O O
« c
co .—
•O ^
<o
•D _
c co
es o
- E
•- - ,ñ T: I ^ « => ^ -S -3 ™5
='=='»U . I L ( 3 ¿ ™ ± ; - > _ I I Z Z O - ( L ( / ) W I - I C
-o <B (0
S>N m
=,-„
o) co co o) 2
3 > CB 3 o ro
í I «1 t -
o - —
o
c
.co 3
o
2- °
O - OJ . "
» i - m n
I I fin del patriarcado: movimientos sociales, lamilla y sexualidad... 199
ios continúan siendo las responsables de sus hogares y, sobre todo, de la
c lianza de los hijos, la flexibilidad laboral se ajusta, también, a las estrate-
gias de supervivencia para ocuparse de ambos mundos al borde de un ata-
que de nervios42
. En efecto, en los países europeos (como en todas partes),
el matrimonio y los hijos son los factores más importantes que favorecen el
empleo a tiempo parcial (fig. 4.9). Así pues, el tipo de trabajador que re-
quiere la economía ínformacional interrelacionada encaja con los intereses
de supervivencia de las mujeres, que, en las condiciones del patriarcado,
datan de hacer compatible trabajo y familia, con poca ayuda de sus ma- /
lidos.
Este proceso de plena incorporación de las mujeres al mercado labo-
ral, y al trabajo remunerado, tiene consecuencias importantes para la fa-
milia. La primera es que, con fecuencia, la contribución financiera de la
mujer se vuelve decisiva para el presupuesto familiar. Así pues, el poder
de negociación femenino en el hogar aumenta de forma significativa. Para
empezar, en el patriarcado estricto, la dominación de las mujeres por
parte de los hombres afectaba a toda su existencia: su trabajo era crear
hogar. Así que la rebelión contra la autoridad patriarcal sólo podía ser
extrema y a menudo conducía a la marginalidad. Cuando las mujeres lle-
varon la paga a casa (por ejemplo, en los Estados Unidos) y los hombres
vieron descender sus salarios reales, los puntos de desacuerdo tuvieron
que discutirse sin el recurso de utilizar de forma inmediata la represión
patriarcal. Es más, la ideología que legitimaba la dominación patriarcal
basándose en el privilegio de quién mantenía a la familia resultó decisiva-
mente debilitada. ¿Por qué no iban a ayudar en casa los maridos si ambos
miembros de la pareja estaban igualmente ausentes durante largas horas
y si ambos contribuían por igual al presupuesto familiar? La pregunta se
hizo más acuciante cuando aumentó la dificultad de las mujeres para asu-
mir a la vez el trabajo remunerado, el trabajo doméstico, la crianza de los
hijos y el cuidado del marido, mientras que la sociedad seguía organizada
en torno a la asunción de un ama de casa a tiempo completo que ya ape-
nas existía. Sin guarderías apropiadas, sin planificación de la conexión es-
pacial entre la residencia, los trabajos y los servicios, y con unos servicios
sociales deteriorados43
, las mujeres tuvieron que afrontar la realidad: sus
queridos maridos/padres se estaban aprovechando de ellas. Y como su
trabajo fuera del hogar abría su mundo y ampliaba sus redes sociales y su
experiencia, con frecuencia marcada por la hermandad contra la dureza
cotidiana, comenzaron a plantearse cuestiones y a dar respuestas a sus
hermanas. El suelo estaba listo para sembrar las ideas feministas que es-
taban germinando de forma simultánea en los campos de los movimientos
socio-culturales.
42
Michelson, 1985
43
Servon y Castells, 1996.
Hl fin del patriáronlo: movimientos sociales, familia y sexualidad... 201
LA FUERZA DE SER HERMANAS: EL MOVIMIENTO FEMINISTA
El movimiento feminista, según se manifiesta en su práctica y discur-
sos, es extraordinariamente diverso. Su riqueza y profundidad aumenta
cuando analizamos su contorno en una perspectiva global y comparativa,
y cuando las historiadoras y teóricas feministas desentierran los registros
ocultos de la resistencia de las mujeres y el pensamiento feminista4A
. Li-
mitaré el análisis presentado aquí al movimiento feminista contemporá-
neo que surgió a finales de los años sesenta, primero en los Estados Uni-
dos y luego en Europa a comienzos de la década de los setenta, y se
difundió por todo el mundo en las dos décadas siguientes. También me
centraré en los rasgos comunes que hacen de él un movimiento social
transformador que desafía al patriarcado, dando cuenta al mismo tiempo
de la diversidad de las luchas de las mujeres y del multiculturalismo de su
expresión. Como definición operativa preliminar del feminismo, seguiré a
Jane Mansbridge al presentarlo en general como «el compromiso para
poner fin a la dominación masculina»45
También coincido con su plantea-
miento del feminismo como «un movimiento creado en el discurso». Ello
no implica que sea sólo discurso o que el debate feminista, como se ex-
presa en los escritos de teóricas y académicas, sea la manifestación pri-
mordial del feminismo. Lo que sostengo, de acuerdo con Mansbridge y
otras46
, es que la esencia del feminismo, según se ha practicado y narrado,
es la (re)definición de la identidad de la mujer: a veces afirmando la
igualdad entre hombres y mujeres, con lo que se elimina el género de las
diferencias biológicas/culturales, y en otros casos, por el contrario, afir-
mando la especificidad esencial de las mujeres, al mismo tiempo que fre-
cuentemente se afirma la superioridad de los modos de vida de las muje-
res como fuentes de realización humana; o también declarando la
necesidad de alejarse del mundo de los hombres y recrear la vida y la se-
xualidad en hermandad femenina. En todos los casos, a través de la igual-
dad, la diferencia o la separación, lo que se niega es la identidad alienada
de la mujer tal y como la definen los hombres y tal y como se conserva en
la familia patriarcal. Como escribe Mansbridge:
Este movimiento creado en el discurso es la entidad que inspira a las activistas del
movimiento y ante la que se sienten responsables [,..] Esta especie de responsabi-
lidad es una responsabilidad por la identidad [...] Requiere pensar en el colectivo
como una identidad valiosa y en una misma como parte de esa identidad. Las
identidades feministas suelen lograrse, no darse [...] Hoy, las identidades feminis-
tas se crean y refuerzan cuando las feministas se unen, actúan juntas y leen lo que
otras feministas han escrito. Hablar y actuar crea teoría de la calle y le otorga sig-
44
Rowbotham, 1974,1992; Kolodny, 1984; Spivak, 1990; Massolo, 1992.
45
Mansbridge, 1995, pág. 29.
46
Butler, 1990; Chodorow, 1994; Whittier, 1995.
202 El poder de la identidad
niíicado. Leer mantiene en contacto y hace que se continúe pensando. Ambas ex-
periencias, de transformación personal e interacción continua, hacen a las femi-
nistas «responsables interiormente» ante el movimiento feminista47
.
Así pues, bajo la diversidad del feminismo, se encuentra una comuni-
dad fundamental: el esfuerzo histórico, individual y colectivo, formal e in-
formal, para redefinir la condición de la mujer en oposición directa al pa-
triarcado.
Para valorar tal esfuerzo y proponer una tipología empírica de los mo-
vimientos feministas, recordaré, de forma sucinta, la trayectoria de dichos
movimientos en las tres últimas décadas. Para simplificar el argumento,
me centraré sobre todo en su lugar de renacimiento, los Estados Unidos,
y trataré de corregir el etnocentrismo potencial de este planteamiento
con breves observaciones sobre otras zonas del mundo, seguidas de un
comentario sobre el feminismo en una perspectiva comparativa.
Elfeminismo estadounidense: una continuidad discontinua^
El feminismo estadounidense tiene una larga historia en un país de
historia corta. Desde el nacimiento oficial del feminismo organizado en
1848, en una capilla de pueblo de Séneca Falis (Nueva York), las feminis-
tas estadounidenses emprendieron una lucha prolongada en defensa de
los derechos de las mujeres a la educación, el trabajo y el poder político,
que culminó con su conquista del derecho al voto en 1920. Luego, du-
rante más de medio siglo, el feminismo se mantuvo entre los bastidores
de la escena estadounidense. No es que las mujeres dejaran de pelear49
.
Una de las expresiones más célebres de las luchas de las mujeres, el boi-
cot a los autobuses de 1955 en Montgomery (Alabama), que podría consi-
derarse un preludio del movimiento por los derechos civiles en el Sur y
cambió la historia estadounidense para siempre, fue protagonizado pre-
dominantemente por mujeres afroamericanas que organizaron a sus co-
munidades50
. No obstante, no surgió un movimiento de masas explícita-
mente feminista hasta los años sesenta, a partir del componente de
derechos humanos y las tendencias revolucionarias y contraculturales de
47
Mansbridge, 1995, pág. 29.
48
Para un análisis excelente de la evolución y transformación del movimiento feminista
estadounidense en las tres últimas décadas, véase Whittier, 1995; para una visión general de
las organizaciones feministas en los Estados Unidos, véase Ferree y Martin, 1995; para una
recopilación bien organizada y útilmente comentada de los discursos feministas estadouni-
denses desde los años sesenta, véase Schneir, 1994. Otras fuentes utilizadas en el análisis se
citan de forma específica en el texto.
4
* Rupp y Taylor, 1987.
"" Barnctt, 1995.
El fin del patriarcado: movimientos sociales, familia y sexualidad... '03
los movimientos sociales de esa década51
. Por una parte, a raíz de los tra-
bajos de la Comisión Presidencial de John F. Kennedy sobre la Condición
Jurídica y Social de las Mujeres, en 1963, y de la aprobación del título VII
de la Ley de Derechos Civiles de 1964 sobre los derechos de la mujer, un
grupo de mujeres influyentes, encabezadas por la escritora Betty Friedan,
creó la National Organization of Women (NOW) el 29 de octubre de
1966. NOW se convertiría en la organización nacional más amplia en de-
fensa de los derechos de la mujer y durante las tres décadas siguientes,
demostró una importante habilidad política y perdurabilidad, pese a sus
crisis ideológicas y organizativas. Llegó a compendiar el denominado femi-
nismo liberal, centrándose en la igualdad de derechos para la mujer en to-
das las esferas de la vida social, económica e institucional.
Casi al mismo tiempo, las mujeres que participaban en diversos movi-
mientos sociales de carácter radical, sobre todo en SDS (Students for a
Democratic Society), comenzaron a organizarse por separado como reac-
ción contra el sexismo dominante y la dominación masculina en las orga-
nizaciones revolucionarias que llevaron, no sólo al maltrato personal de
las mujeres, sino a la ridiculización de las posturas feministas como bur-
guesas y contrarrevolucionarias. Lo que en diciembre de 1965 comenzó
como un taller sobre las «Mujeres en el movimiento» en la convención de
SDS y acabó articulándose como Women Liberation, en una convención
celebrada en 1967 en Ann Arbor (Michigan), generó un aluvión de gru-
pos de mujeres autónomos, la mayor parte de los cuales se separaron de
la política revolucionaria, dominada por los hombres, dando origen al fe-
minismo radical. En estos momentos fundacionales, es justo decir que el
movimiento feminista se encontraba dividido ideológicamente entre sus
componentes liberales y radicales. Mientras que la primera declaración
de NOW comenzaba diciendo: «Nosotros, HOMBRES Y MUJERES [en
mayúsculas en el original] que por la presente nos constituimos como la
National Organization for Women, creemos que ha llegado el tiempo de
un nuevo movimiento para la plena igualdad de los sexos, como parte
de la revolución mundial de los derechos humanos que está teniendo lu-
gar dentro y más allá de las fronteras nacionales» 52
, el Manifiesto de
Redstocking de 1969, que impulsó el feminismo radical en Nueva York,
afirmaba: «Identificamos a los hombres como los agentes de nuestra
opresión. La supremacía masculina es la forma de dominación más anti-
gua y básica. Todas las demás formas de explotación y opresión (racismo,
capitalismo, imperialismo, etc.) son extensiones de la supremacía mascu-
lina; los hombres dominan a las mujeres, unos cuantos hombres dominan
al resto»53
.
Evans, 1979.
Reproducido en Schneir, 1994, pág. 96.
Reproducido en Schneir, 1994, pág. 127.
?IM Hl poilt-r ilc la iilcnlulml
El feminismo liberal se centró en obtener la igualdad de derechos
para las mujeres, incluida la adopción de una enmienda constitucional
que, tras ser aprobada por el Congreso, no logró obtener la ratificación
requerida de dos tercios de los escaños y acabó siendo derrotada en 1982.
No obstante, el significado de esta enmienda era más simbólico que otra
cosa, ya que las batallas reales por la igualdad se ganaron en la legislación
federal y estatal, y en los tribunales, desde el derecho a una remuneración
igual por un trabajo igual, hasta los derechos reproductivos, incluido el
derecho al acceso a todas las ocupaciones e instituciones. Estos logros im-
presionantes, en menos de dos décadas, se obtuvieron mediante una hábil
presión política, campañas en los medios de comunicación y apoyo a las
candidatas femeninas o a los candidatos que defendían a las mujeres en
sus propuestas para ocupar cargos públicos. Fue particularmente impor-
tante la presencia en los medios de comunicación de mujeres periodistas
que eran feministas o apoyaban las causas feministas. Diversas publica-
ciones comerciales en cierto modo feministas, como Ms Magazine, fun-
dada en 1972, también fueron útiles para llegar a las mujeres estadouni-
denses más allá de los círculos feministas organizados.
Las feministas radicales, aunque participaron de forma activa en las
campañas por la igualdad de derechos, y sobre todo en las movilizaciones
para obtener y defender los derechos reproductivos, se centraron en crear
conciencia mediante la organización de grupos de concienciación sólo de
mujeres y la formación de instituciones de una cultura de la mujer autó-
noma. La defensa de las mujeres contra la violencia masculina (campañas
en contra de la violación, entrenamiento de defensa personal, albergues y
asesoramiento para mujeres maltratadas) proporcionó un vínculo directo
entre las preocupaciones inmediatas de las mujeres y la crítica ideológica
del patriarcado en acción. Dentro de la corriente radical, las feministas
lesbianas (una de cuyas primeras manifestaciones políticas públicas, la
«Amenaza lavanda», apareció en el Segundo Congreso para Unir a las
Mujeres, en mayo de 1970 en Nueva York) se convirtieron de inmediato
en una fuente de activismo militante, creatividad cultural e innovación te-
órica. El crecimiento incesante y la amplia influencia del feminismo les-
biano en el movimiento feminista iba a convertirse en una importante
fuerza y un desafío fundamental para el movimiento de mujeres, que tuvo
que hacer frente a su propio prejuicio interno sobre las formas de la se-
xualidad y encarar el dilema de dónde trazar la línea para la liberación de
la mujer (o si había que trazarla).
Durante un tiempo, las feministas socialistas trataron de asociar el de-
safío del feminismo radical con los temas más amplios de los movimientos
anticapitalistas, vinculándose cuando era necesario con la izquierda polí-
tica y enzarzándose en un enriquecedor debate con la teoría marxista. Al-
gunas de ellas trabajaron en los sindicatos. Por ejemplo, en 1972, se formó
una Coalición de Mujeres Sindicalizadas. Sin embargo, en los años no-
VA luí del | i.il i un i ,u li i movimientos sociales, familia v sexualidad. 205
venta, la desaparición, en Estados Unidos, de las organizaciones socialis-
tas y del socialismo como punto de referencia histórico, así como el de-
clive general de la teoría marxista, aminoró la repercusión del feminismo
socialista, que permaneció en general confinado al ámbito académico54
.
Sin embargo, la distinción entre feminismo liberal y radical quedó di-
fuminada en la práctica del movimiento y en la ideología de las feministas
individuales a partir de mediados de los años setenta. Varios factores con-
tribuyeron a superar las divisiones ideológicas en un movimiento femi-
nista que mantuvo su diversidad y vivió vibrantes debates, así como lu-
chas intestinas, pero que estableció puentes y coaliciones entre sus
componentes5S
. Por una parte, como Zillah Eisenstein señaló56
, los temas
que abordó el feminismo liberal, a saber, la igualdad de derechos y la de-
saparición del género de las categorías sociales, suponían tal grado de
transformación institucional que acabaría poniéndose en entredicho el
patriarcado, incluso dentro de la estrategia más restringida de ser realistas
acerca de lograr la igualdad de los géneros. En segundo lugar, la violenta
reacción antifeminista de la década de los ochenta, apoyada por la admi-
nistración republicana que gobernó los Estados Unidos en 1980-1992,
provocó la alianza de diferentes ramas del movimiento que, prescin-
diendo de sus estilos de vida y creencias políticas, se encontraron juntas
en las movilizaciones para defender los derechos reproductivos de las mu-
jeres o en la construcción de las instituciones de las mujeres para propor-
cionar servicios y afirmar la autonomía cultural. En tercer lugar, las orga-
nizaciones feministas más radicales habían desaparecido a finales de los
años setenta, cuando sus fundadoras agotaron sus fuerzas y sus utopías lo-
cales se enfrentaron a batallas diarias con «el patriarcado realmente exis-
tente». No obstante, como la mayoría de las feministas radicales nunca
renunciaron a sus valores básicos, encontraron refugio en las organizacio-
nes establecidas del feminismo liberal y en los enclaves que el feminismo
logró crear dentro de las instituciones convencionales, sobre todo en el
ámbito académico (programas de estudios sobre la mujer), en las funda-
ciones y en los comités de las asociaciones profesionales. Estas organiza-
ciones e instituciones necesitaron el respaldo militante para su tarea, cada
vez más difícil, cuando comenzaron a pasar de los abusos más evidentes
de los derechos humanos a esferas más polémicas, como la opción repro-
ductiva, la liberación sexual y el avance de la mujer en diversos reductos
masculinos. En efecto, cabe sostener que la presencia de las organizacio-
nes liberales ayudó a sobrevivir al feminismo radical como movimiento,
54
Para un análisis del ascenso y caída de una de las organizaciones feministas socialista
más dinámica e influyente, Chicago Women's Liberation Union (CWLU), véase Strobel,
1995.
55
Ferree y Hess, 1994; Ferree y Martin, 1995; Mansbridge, 1995; Spalter-Roth y Schrei-
ber, 1995; Whittier, 1995.
56
Eisenstein, 1981/1993.
2<K> El poder ele In identidad
mientras que la mayor parte de los movimientos contraculturales de lide-
razgo masculino que se originaron en los años sesenta, con la excepción
importante del ecologismo, desaparecieron o acabaron sometidos ideoló-
gicamente en la década de los ochenta. Como resultado de este proceso
múltiple, el liberalismo y el radicalismo, en sus ramas diferentes, acaba-
ron entrelazados en la práctica y en la mente de la mayoría de las mujeres
que respaldaban las causas y valores feministas. Hasta el lesbianismo
acabó siendo un componente aceptado del movimiento, aunque siguió
unido a cierto rechazo táctico dentro de la corriente dominante del femi-
nismo (Betty Friedan se oponía a él), como ejemplificaron las tensiones
dentro de NOW a finales de la década de los ochenta tras la «confesión»
de bisexualidad de su presidenta, Patricia Ireland.
Otras distinciones alcanzaron mayor importancia para el movimiento
feminista a medida que se fue desarrollando, diversificando y llegando, al
menos en sus mentes, a la mayoría de las mujeres estadounidenses, entre
mediados de la década de los setenta y mediados de la de los noventa. Por
una parte, había importantes distinciones en el tipo de organizaciones fe-
ministas. Por la otra, existían diferencias considerables entre lo que
Nancy Whittier denomina «generaciones políticas» dentro del movi-
miento feminista57
.
En lo referente a las organizaciones, Spalter-Roth y Schreiber58
pro-
ponen una útil tipología de base empírica que diferencia entre:
1. Organizaciones de carácter nacional que reivindican la igualdad
de derechos, como NOW o la Coalition of Labor Union Women,
fundada en 1972. Trataban de forma deliberada de evitar el len-
guaje feminista, mientras fomentaban la causa de la mujer en to-
dos los ámbitos de la sociedad, con lo que sacrificaban los princi-
pios por la efectividad para aumentar la participación de la mujer
en las instituciones dominadas por los hombres. Spalter-Roth y
Schreiber concluyen que «pese a las esperanzas de las dirigentes
de las organizaciones, que deseaban atraer tanto a las liberales
como a las radicales, el uso de un lenguaje políticamente más
«aceptable» oscureció las relaciones de dominación y subordina-
ción. Puede que sus esfuerzos no hayan logrado suscitar la con-
cienciación de las mismas mujeres a las que estas organizaciones
esperaban representar y dar poder»S9
.
2. Proveedoras de servicios directos, como Displaced Homemakers
Network (Red de Amas de Casa Desplazadas) y la National Coa-
lition against Domestic Violence (Coalición Nacional contra la
57
Whittier, 1995.
58
Spalter-Roth y Schreiber, 1995, págs. 106-108.
5
" Spalter-Roth y Schreiber, 1995, pág. 119.
El fin del piilriiiiviulii: movimientos sociales, l.iinih.i y sexii;ilul;ul... 207
Violencia Doméstica). Suelen ser redes de grupos locales que re-
ciben apoyo del gobierno y las empresas para sus programas. Su
principal problema es la contradicción entre ayudar a las mujeres
y darles poder: por lo general, la urgencia del problema tiene
prioridad sobre las metas a largo plazo de despertar la conciencia
y la autoorganización política.
3. Organizaciones que cuentan con mujeres expertas y dedicadas/
plenamente a las tareas organizativas, como Women's Legal Dé-
fence Fund (Fondo para la Defensa Legal de las Mujeres), el Ins-
titute for Women Policy Research (Insitituto para la Investiga-
ción de la Política sobre la Mujer), el Center for Women Policy
Studies (Centro de Estudios de la Política sobre la Mujer), el
Fund for Feminist Majority (Fondo para la Mayoría Feminista,
que apoya a las mujeres de las instituciones políticas), el National
Institute for Women of Color (Instituto Nacional para las Muje-
res de Color) o el National Committee for Pay Equity (Comité
Nacional para la Igualdad de Salarios). El reto de este tipo de or-
ganización es la ampliación del ámbito de los asuntos de que se
ocupan, a medida que entran en la esfera de influencia del movi-
miento más mujeres y que los temas feministas se diversifican más
étnica, social y culturalmente.
Más allá de las organizaciones mayoritarias, existe una miríada de or-
ganizaciones locales alternativas de la comunidad de mujeres, muchas de
ellas vinculadas en su origen con el feminismo radical, pero que luego
evolucionaron siguiendo una gran variedad de trayectorias. Clínicas, coo-
perativas de crédito, centros de formación, librerías, restaurantes, guarde-
rías, centros de prevención de la violencia contra las mujeres y para hacer
frente a sus heridas, grupos de teatro, grupos de música, clubes de escrito-
ras, talleres de arte, además de toda una gama de expresiones culturales,
pasaron por diversos altibajos y, por lo general, cuando lograron sobrevi-
vir, lo hicieron minimizando su carácter ideológico e integrándose en la
sociedad. En el sentido más amplio, son organizaciones feministas que, en
su diversidad y con su flexibilidad, han proporcionado las redes de apoyo,
la experiencia y los materiales discursivos para que surja una cultura de la
mujer, socavando de este modo el patriarcado donde es más poderoso: la
mente de las mujeres.
La otra distinción importante que ha de introducirse para comprender
la evolución del feminismo estadounidense es el concepto de Whittier de
las generaciones políticas y los microgrupos. En su interesante estudio so-
ciológico sobre la evolución del feminismo radical estadounidense du-
rante tres décadas, expone tanto la continuidad del feminismo como la
discontinuidad de los estilos feministas entre comienzos de los años se-
tenta, los años ochenta y los noventa:
20K El poder de la identidad
Las generaciones políticas son importantes para la continuidad de los movi-
mientos sociales de tres modos. En primer lugar, la identidad colectiva de una
generación política permanece a lo largo del tiempo, como ha sucedido con las
mujeres que participaron en el movimiento feminista de la década de los se-
tenta. En segundo lugar, cuando declina la protesta, un movimiento social conti-
núa teniendo repercusión si una generación de veteranos del mismo traslada sus
elementos clave a las instituciones y otros movimientos sociales. Las institucio-
nes e innovaciones establecidas por los activistas en estos otros escenarios, no
sólo sirven de agentes de cambio, sino que también pueden coadyuvar en el re-
surgimiento de una oleada futura de movilización. En tercer lugar, un movi-
miento social cambia a medida que entran en él nuevos participantes y redefi-
nen su identidad colectiva. La entrada continua de microgrupos construye una
identidad colectiva que se determina por su contexto y, por lo tanto, los activis-
tas que entran durante el resurgimiento, crecimiento y culminación del movi-
miento difieren unos de otros. Pese a los cambios graduales que ocurren conti-
nuamente dentro de los movimientos sociales, existen claramente cambios más
pronunciados en ciertos puntos. En esos momentos, una serie de microgrupos
convergen en una generación política, cuando sus similitudes mutuas sobrepasan
a las diferencias existentes en el conjunto de microgrupos que constituyen una
segunda generación política [...] Así, el paso de los movimientos sociales de una
generación a otra se vuelve clave para que el movimiento sobreviva a largo
plazo60
.
Whittier muestra, basándose en el caso específico de Columbus
(Ohio), así como en la revisión de los datos de fuentes secundarias, la
persistencia y renovación del movimiento feminista, incluido el femi-
nismo radical, durante tres décadas, de los años sesenta a los noventa.
Fundamenta su argumento en diversas fuentes61
. Parece que la «era
postfeminista» fue una manipulación interesada de ciertas tendencias a
corto plazo, excesivamente aireadas por los medios de comunicación62
.
Pero Whittier también destaca de forma convincente la profunda trans-
formación del feminismo radical, que llevó, a veces, a que existiera una
considerable dificultad para el entendimiento entre las generaciones:
«Las recién llegadas al movimiento de mujeres se están movilizando por
metas feministas de modos diferentes a los de las activistas más anti-
guas, que a veces consideran los esfuerzos de sus sucesoras apolíticos o
malencaminados [...] Las recién llegadas construyeron un modelo dife-
rente de sí mismas como feministas»63
. Como resultado de estas profun-
das diferencias,
es doloroso para las feministas veteranas ver que las que acaban de entrar en el
movimiento desechan sus creencias más queridas o cambian las organizaciones
60
Whittier, 1995, págs. 254-256.
61
Buechler, 1990; Staggenborg, 1991; Ferree y Hess, 1994; Ferree y Martin, 1995.
62
Faludi, 1991; Schneir, 1994.
63
Whittier, 1995, pág. 243.
El fin del patriarcado: movimientos sociales, familia y sexualidad... 209
por las que ellas lucharon. Los debates recientes dentro de la comunidad femi-
nista exacerban los sentimientos de muchas mujeres porque ellas y sus creencias
son vulnerables al ataque. En las «guerras de los sexos» en particular, las practi-
cantes lesbianas del sadomasoquismo, junto con mujeres heterosexuales y otras,
sostuvieron que las mujeres debían tener el derecho de actuar libremente acerca
de cualquier deseo sexual y acusaron a quienes enseñaban otra cosa de ser antise-
xuales, «tibias» o puritanas(A
. v
~-—--"
Las principales diferencias entre las generaciones políticas de feminis-
tas no parecen estar relacionadas con la antigua divisoria entre liberales y
radicales, ya que Whittier coincide en su observación con el desdibuja-
miento de esa definición ideológica en la acción colectiva de las mujeres
cuando se confrontan a una vigorosa reacción violenta del patriarcado.
Parece que tres temas diferentes, en cierta medida interrelacionados, in-
terfieren la comunicación entre las veteranas y las recién llegadas al movi-
miento feminista radical. El primero es la creciente importancia del les-
bianismo en el movimiento feminista. No es que estuviera ausente de él
en las épocas anteriores o que las feministas radicales se opusieran, sino
que los estilos de vida de las lesbianas, y su hincapié en romper el molde
de las familias heterosexuales, así como los problemas tácticos para llegar
a la corriente mayoritaria de las mujeres desde las trincheras de un movi-
miento con un núcleo central lesbiano, hizo que el componente no les-
biano del feminismo radical cada vez se sintiera menos a gusto con la no-
toriedad lesbiana. El segundo, una división mucho más pronunciada, es la
importancia que otorgan las nuevas generaciones de feministas a la ex-
presión sexual en todas sus formas. Incluye, por ejemplo, la ruptura del
código «clásico» del modo de vestirse feminista, que evitaba las trampas
de la feminidad, para resaltar el atractivo sexual y la expresión propia en
la presentación de las mujeres. También se extiende a la aceptación de to-
das las manifestaciones de la sexualidad de las mujeres, incluida la bise-
xualidad y la experimentación. La tercera división es consecuencia, en
realidad, de las otras dos. Más seguras de sí mismas y más separatistas en
sus valores culturales y políticos, las feministas radicales más jóvenes, y
sobre todo las lesbianas, se muestran más abiertas que las anteriores a co-
laborar con los movimientos sociales de los hombres y a relacionarse con
organizaciones de hombres, precisamente porque se sienten menos ame-
nazadas por esas alianzas, puesto que ya han construido su autonomía, a
menudo mediante el separatismo. El principal punto de alianza es el esta-
blecido entre las lesbianas y los gays (por ejemplo, en Queer Nation), que
comparten su opresión por parte de la homofobia y coinciden en su de-
fensa de la liberación sexual y en su crítica de la familia heterosexual/pa-
triarcal. Sin embargo, Whittier también expone que las feministas radica-
64
Whittier, 1995, pág. 239.
.'III I I poda de lu identidad
les anliguas y nuevas comparten valores fundamentales y coinciden en las
mismas luchas.
Otras tensiones internas del movimiento feminista se originan precisa-
mente por su expansión en todo el conjunto de clases y grupos étnicos de
los Estados Unidos65
. Aunque las pioneras de la década de los sesenta
que redescubrieron el feminismo eran en general blancas, de clase media
y tenían educación superior, en las tres décadas siguientes los temas femi-
nistas se vincularon con las luchas que las mujeres afroamericanas, latinas
o de otras minorías étnicas habían venido realizando tradicionalmente en
sus comunidades. Las mujeres trabajadoras, tanto a través de los sindica-
tos como de las organizaciones autónomas de mujeres trabajadoras, se
movilizaron en defensa de sus demandas, aprovechando el nuevo con-
texto de legitimidad para sus luchas. Siguió una diversificación creciente
de los movimientos de las mujeres y una cierta vaguedad en su autodefi-
nición feminista. No obstante, según las encuestas de opinión, desde me-
diados de los años ochenta, la mayoría de las mujeres se relacionaron po-
sitivamente con los temas y causas feministas, debido precisamente a que
el feminismo no se asociaba con ninguna postura ideológica particular66
.
El feminismo se convirtió en la palabra (y bandera) común para todas las
fuentes de opresión de las mujeres como tales, a la que cada mujer, o ca-
tegoría de mujeres, uniría su reivindicación personal o colectiva y su eti-
queta.
Así pues, mediante diversas prácticas y autoidentificaciones, muje-
res de orígenes diferentes y con metas diferentes, pero que compartían
una fuente de opresión común que las definía desde su exterior, cons-
truyeron una nueva identidad colectiva: esto es, de hecho, lo que hizo
posible la transición de las luchas de las mujeres al movimiento femi-
nista. Como escribe Whittier: «Propongo definir el movimiento de las
mujeres de acuerdo con la identidad colectiva asociada con él, en lugar
de hacerlo de acuerdo con sus organizaciones formales [...] Lo que
hace a esas organizaciones, redes e individuos parte de un movimiento
social es su fidelidad compartida a un conjunto de creencias, prácticas
y modos de identificarse que constituyen la identidad feminista colec-
tiva»67
.
¿Son pertinentes estas preguntas y respuestas, inspiradas por la ex-
periencia estadounidense, para el feminismo de otras culturas y países?
¿Pueden relacionarse, en general, con el feminismo los problemas de
las mujeres y sus luchas? ¿Hasta qué punto es colectiva esta identidad
colectiva cuando se considera a las mujeres en una perspectiva global?
M
Morgen, 1988; Matthews, 1989; Blum, 1991; Barnett, 1995; Pardo, 1995.
66
Stacey, 1990; Whittier, 1995.
67
Whittier, 1995, págs. 23 y 24.
II fin ilol palnimailo movimientos sociales, familia y sexualidad... .'II
¿Es global el feminismo?
Para adelantar una respuesta tentativa a esta pregunta tan fundamen-
tal, aunque sea superficialmente, debemos distinguir varias zonas del
mundo. En el caso de Europa Occidental, Canadá y Australia, parece evi-
dente que existe un movimiento feminista extendido, diverso y multifacé-
tico, en ascenso en la década de los noventa, si bien con intensidades y ca-
racterísticas diferentes. En Gran Bretaña, por ejemplo, tras un declive a
comienzos de los años ochenta, en buena parte motivado por el asalto neo-
conservador provocado por el thatcherismo, las ideas feministas y la causa
de las mujeres calaron toda la sociedad68
. Al igual que en los Estados
Unidos, por una parte, las mujeres lucharon por la igualdad y por obtener
poder propio en el trabajo, los servicios sociales, la legislación y la polí-
tica. Por otra parte, el feminismo cultural y el lesbianismo resaltaron la
especificidad de las mujeres y crearon organizaciones alternativas pro-
pias. Por su hincapié en las identidades singulares da la impresión de que
existe una fragmentación en el movimiento. No obstante, como escribe
Gabriele Griffin:
Es cierto que muchos grupos de mujeres se dan nombres que especifican ciertas
identidades [...] Esta identificación proporciona el ímpetu para su activismo. En
determinado nivel, el activismo feminista basado en la política de identidad lleva
a la fragmentación, que muchas feministas consideran típica del clima político ac-
tual y que se supone que está en contraste directo con la homogeneidad, el obje-
tivo común y la movilización de masas del Movimiento (de Liberación) de las Mu-
jeres, todo con letras mayúsculas. Esto me parece un mito, un planteamiento
retrospectivo nostálgico de una edad dorada del feminismo que probablemente
nunca existió. Las organizaciones feministas articuladas en torno a un solo pro-
blema o a una única identidad, que son tan comunes en los años noventa, puede
que tengan la desventaja de una política excesivamente singularizada, pero su pro-
pia especificidad también puede ser una garantía de su experiencia y su influencia,
de un trabajo intenso claramente definido dentro de un ámbito específico69
.
Así, diversas organizaciones monotemáticas pueden operar sobre
múltiples problemas de la mujer, y las mujeres pueden participar en dife-
rentes organizaciones. Son este entrelazamiento e interconexión de per-
sonas, organizaciones y campañas los que caracterizan a un movimiento
feminista vital, flexible y diverso.
En toda Europa, en cada país concreto, el feminismo tiene una amplia
presencia, tanto en las instituciones de la sociedad como en la constela-
ción de grupos, organizaciones e iniciativas feministas que se nutren mu-
tuamente, debaten entre sí (a veces acaloradamente) y mantienen un
68
Brown, 1992; Campbell, 1992; Griffin, 1995; Hester et al., 1995.
69
Griffin, 1995, pág. 4.
212 I'.I poik'i de In nliiilKhitl
flujo incesante de reivindicaciones, presiones e ideas sobre la condición,
los temas y la cultura de la mujer. En general, el feminismo, como en los
Estados Unidos y Gran Bretaña, se ha fragmentado y ninguna organiza-
ción o institución particular puede pretender hablar en nombre de las mu-
jeres. Más bien existe una línea transversal a lo largo de toda la sociedad
que destaca los intereses de las mujeres y sus valores, de los comités pro-
fesionales a las expresiones culturales y los partidos políticos, muchos de
los cuales han establecido un porcentaje mínimo de mujeres entre sus di-
rigentes (en general, la norma, raramente cumplida, determina un 25%
de dirigentes y diputados, de tal modo que las mujeres «sólo» están un
50% subrepresentadas).
Las antiguas sociedades estatistas presentan situaciones peculiares70
.
Por una parte, los países estatistas ayudaron/obligaron a la plena incorpo-
ración de la mujer al trabajo remunerado, abrieron el acceso a la educa-
ción y establecieron un extensa red de servicios sociales y guarderías,
aunque se prohibió el aborto durante largo tiempo y no se dispuso de
contracepción. Las organizaciones de mujeres estaban presentes en todas
las esferas de la sociedad, si bien bajo el control total del Partido Comu-
nista. Por otra parte, el sexismo era dominante y el patriarcado, omnipre-
sente en la sociedad, instituciones y política. Como resultado, maduró una
generación de mujeres muy fuertes que sentían su potencial pero que te-
nían que luchar a diario para abrirse camino y realizar parte de ese poten-
cial. Tras la desintegración del comunismo soviético, el feminismo como
movimiento organizado es débil y, hasta ahora, está limitado a unos pocos
círculos de intelectuales occidentalizadas, mientras que las antiguas orga-
nizaciones paternalistas están desapareciendo. No obstante, la presencia
de las mujeres en la esfera pública ha aumentado espectacularmente en la
década de los noventa. En Rusia, por ejemplo, el Partido de las Mujeres,
aunque bastante conservador en cuanto a sus posiciones y miembros, re-
cibió en torno a un 8% de los votos en las elecciones parlamentarias de
1995, mientras que varias mujeres iban camino de convertirse en figuras
políticas clave. Existe un sentimiento extendido en la sociedad rusa
acerca de que las mujeres podrían desempeñar un papel decisivo para re-
juvenecer el liderazgo político. En 1996, por primera vez en su historia,
una mujer fue elegida gobernadora del Distrito Nacional de los Coriacos.
Es más, las nuevas generaciones de mujeres, educadas en los valores de la
igualdad y con espacio para expresarse personal y políticamente, parecen
estar dispuestas para cristalizar su autonomía individual en la identidad y
acción colectivas. Es fácil predecir un importante desarrollo del movi-
miento de las mujeres en Europa Oriental, bajo sus propias formas de ex-
presión culturales y políticas.
En el Asia industrializada, sigue reinando el patriarcado, apenas cues-
70
Funk y Mueller, 1993.
II lili del pahiiin ailo iiuivimu'iilos socinlcs, l;innli;i y sc-xu.iliiliid... .' I I
tionado. Ello resulta particularmente sorprendente en Japón, una socie-
dad con una elevada tasa de participación femenina en la mano de obra,
una población femenina bien educada y una corriente vigorosa de movi-
mientos sociales en los años sesenta. Aún así, las presiones de los grupos
de mujeres y del Partido Socialista llevaron a que la legislación limitara la
discriminación laboral de éstas en 198671
. Pero, en general, el feminismo
se limita a los círculos académicos y las mujeres profesionales siguen su-
friendo una discriminación descarada. En Japón están plenamente pre-
sentes los rasgos estructurales necesarios para desatar una fuerte crítica
feminista, pero la ausencia, hasta ahora, de esa crítica a una escala sufi-
ciente para que tenga repercusión en la sociedad demuestra a las claras
que la especificidad social (en este caso, la fortaleza de la familia patriar-
cal japonesa y el cumplimiento por parte de los hombres de sus deberes
como patriarcas, en general) determina el desarrollo real de un movi-
miento, prescindiendo de las fuentes estructurales de descontento. Las
mujeres coreanas están aún más sometidas que las japonesas, aunque re-
cientemente han aparecido los embriones de un movimiento feminista72
.
China sigue al borde del modelo estatista contradictorio de apoyar los de-
rechos de la «mitad del cielo» mientras se la mantiene bajo el control de
la «mitad del infierno». Sin embargo, el desarrollo de un vigoroso movi-
miento feminista en Taiwan, desde finales de la década de los ochenta,
desmiente la idea de que la mujer debe estar sometida bajo la tradición
patriarcal del confucianismo (véase más adelante)73
.
A lo largo del denominado mundo en vías de desarrollo, la situación
es compleja, incluso contradictoria74
. El feminismo, como expresión ideo-
lógica o política autónoma, es claramente el coto vedado de una pequeña
minoría de mujeres profesionales e intelectuales, aunque su presencia en
los medios de comunicación amplifica su repercusión muy por encima de
su número. Además, en diversos países, sobre todo en Asia, las dirigentes
se han convertido en figuras destacadas de la política de sus países (en In-
dia, Paquistán, Bangladesh, Filipinas, Birmania y quizás Indonesia en un
futuro no muy lejano) y en símbolos de la democracia y el desarrollo.
Aunque el hecho de que sean mujeres no garantiza sus cualidades como
tales y la mayoría de las políticas operan dentro del marco de la política
patriarcal, no puede ignorarse su repercusión como modelos, sobre todo
para las jóvenes, y para romper los tabúes de la sociedad.
Sin embargo, el acontecimiento más importante, a partir de la dé-
cada de los ochenta, es el extraordinario ascenso de las organizaciones
71
Gelb y Lief-Palley, 1994.
72
Po, 1996.
73
Po, 1996.
74
Kahne y Giele, 1992; Massolo, 1992; Caipora Women's Group, 1993; Jaquette, 1994;
Kuppers, 1994; Blumberg etal., 1995.
214 II poilei ile l.l uli-iilidciil
populares, en general puestas en marcha y dirigidas por mujeres, en las
áreas metropolitanas del mundo en vías de desarrollo. Fueron estimula-
das por los procesos simultáneos de explosión urbana, crisis económica
y políticas de austeridad, que dejaron a la gente, y sobre todo a las mu-
jeres, con el dilema simple de luchar o morir. Junto con el aumento del
empleo de las mujeres, tanto en las nuevas industrias como en la econo-
mía informal urbana, ha transformado su condición, organización y con-
ciencia, como se ha demostrado, por ejemplo, en los estudios realizados
por Ruth Cardoso de Leite o Maria da Gloria Gohn en Brasil, Alejan-
dra Massolo en México o Helena Useche en Colombia75
. De estos es-
fuerzos colectivos, no sólo se han desarrollado organizaciones populares
que han tenido repercusión en las políticas y las instituciones, sino que
además ha surgido una nueva identidad colectiva, como mujeres dota-
das de poder. Así, Alejandra Massolo, para concluir su análisis de los
movimientos sociales urbanos basados en las mujeres de la Ciudad de
México, escribió:
La subjetividad femenina de las experiencias de lucha es una dimensión revela-
dora del proceso societal de construcción de nuevas identidades colectivas en el
escenario de la conflictividad urbana. Los movimientos urbanos de los años se-
tenta y principios de los ochenta hicieron visible, y por lo tanto distinguible, la
«insólita» identidad colectiva de segmentos de las clases populares. Las mujeres
han sido parte de la fabricación social de esta nueva identidad colectiva —desde
sus matrices territoriales cotidianas, reconvertidas en matrices de la acción colec-
tiva que emprendieron. Le otorgaron a la construcción del «nosotros» identidad
colectiva, la inherente pluralidad compleja de las motivaciones, significados y ex-
pectativas del género femenino que contienen los movimientos populares urba-
nos, aunque no emerjan de la problemática del género, aunque sean mixtos y las
dirigencias masculinas76
.
Es esta presencia masiva de las mujeres en la acción colectiva de
los movimientos populares en todo el mundo, y su autoidentificación ex-
plícita como actoras colectivas, la que está transformando su conciencia
y sus papeles sociales, incluso en ausencia de una ideología feminista ar-
ticulada.
Sin embargo, aunque el feminismo está presente en muchos países, y
se ha producido una explosión de luchas/organizaciones de las mujeres
por todo el mundo, el movimiento feminista muestra formas y orientacio-
nes muy diferentes de acuerdo con los contextos culturales, institucionales y
políticos donde surge. Por ejemplo, el feminismo en Gran Bretaña se vio
marcado desde su inicio a finales de los años sesenta por su estrecha rela-
ción con los sindicatos, el Partido Laborista, la izquierda socialista y, ade-
Cardoso de Leite, 1983; Gohn, 1991; Espinosa y Useche, 1992; Massolo, 1992.
Massolo, 1992, pág. 388.
II l'in del patrlamulo: movimientos sociales, familiii y sexualidad... 215
más, el estado de bienestar77
. Era más explícitamente político —esto es,
orientado hacia el estado— que el feminismo estadounidense y se conec-
taba de forma más directa con los problemas diarios de las mujeres traba-
jadoras. No obstante, debido a su proximidad con la política de izquierdas
y el movimiento obrero, sufrió durante los años setenta luchas internas
debilitadoras entre las diferentes ramas de feministas socialistas y radica-
les. Por ejemplo, la popular campaña de 1973 «Sueldos para las amas de
casa» fue criticada por algunas feministas debido a su aceptación implícita
de la posición subordinada de la mujer en el hogar, induciéndola poten-
cialmente a quedarse en su encierro doméstico. Esta vinculación contra-
dictoria con el sindicalismo y la política socialista afectó al mismo movi-
miento. Como escribió Rowbotham:
Probablemente existe cierta verdad en el argumento de que la importancia otor-
gada al apoyo sindical —más determinante en Gran Bretaña que en muchos otros
movimientos de liberación de la mujer— influyó en los términos en que se pre-
sentó la demanda del aborto. Los rancios salones de juntas de los sindicatos no
son los lugares más apropiados para peroratas ilustradas sobre la multiplicidad del
deseo femenino. Pero [...] creo que es más probable que sea, en parte, debido a
una evasión dentro del propio movimiento de liberación de la mujer. El movi-
miento quiso evitar contraponer heterosexualidad y lesbianismo, pero en el pro-
ceso, la esfera de la autodefinición personal se estrechó y toda discusión sobre el
placer heterosexual quedó relegada78
.
En parte como resultado de esta renuencia a afrontar su diversidad y
a desviarse de la racionalidad estratégica de la política tradicional, el fe-
minismo británico resultó debilitado por la fuerza inexorable del thatche-
rismo de la década de los ochenta. No obstante, tan pronto como una
nueva generación de feministas se sintió libre de los antiguos lazos de la
política partidista y la lealtad sindical, el feminismo resurgió en la década
de los noventa, no sólo como feminismo cultural, y como lesbianismo,
sino en una multiplicidad de expresiones que incluyen, pero no en una
posición hegemónica, al feminismo socialista y el feminismo instituciona-
lizado.
El feminismo español se vio aún más marcado por el contexto político
en el que nació, el movimiento democrático contra la dictadura de Franco
de mediados de los años setenta79
. La mayoría de las organizaciones de
77
Rowbotham, 1989.
78
Rowbotham, 1989, pág. 81.
79
Mi comprensión del feminismo español proviene de la experiencia y observación di-
rectas y personales, así como de conversaciones con diversas mujeres que desempeñaron un
papel significativo en el movimiento. Quiero dar las gracias a las mujeres de las que aprendí
tanto, sobre todo a Marina Subirats, Fran?oise Sabbah, Marisa Goñi, Matilde Fernández,
Carlota Bustelo, Carmen Martínez-Ten, Cristina Alberdi y Carmen Romero. Naturalmente,
la responsabilidad del análisis y la información presentados aquí es exclusivamente mía.
.'I<> I I j >< u íc l ilc lil iilrntlilml
mujeres estaban vinculadas con la oposición antifranquista semiclandes-
tina, como la Asociación de Mujeres Demócratas, influida por el Partido
Comunista, y la Asociación de Amas de Casa, organizada territorial-
mente. Cada tendencia política, sobre todo las de la izquierda revolucio-
naria, tenía su organización de «masas» de mujeres. En Cataluña y el País
Vasco, las organizaciones de mujeres y las feministas también tenían sus
organizaciones propias, que reflejaban las divisiones nacionales de la polí-
tica española. Hacia el fin del franquismo, en 1974-1977, comenzaron a
aparecer colectivos feministas autónomos en el clima de liberación cultu-
ral y política que caracterizó la España de los años setenta. Uno de los
más innovadores e influyentes fue el Frente de Liberación de la Mujer,
con base en Madrid. Tenía pocos miembros (menos de 100 mujeres), pero
centró su actividad en llamar la atención de los medios de comunicación,
utilizando su red de mujeres periodistas, con lo que obtuvo popularidad
para las reivindicaciones y discursos de las mujeres. Se centró en el dere-
cho al aborto, el divorcio (ambos ilegales por entonces en España) y la
libre expresión de la sexualidad de las mujeres, incluido el lesbianismo.
Estaba muy influido por el feminismo cultural y por las ideas france-
sas/italianas del feminisme de la différence, pero también participó en la
lucha por la democracia, junto a las organizaciones de mujeres comunis-
tas y socialistas. Sin embargo, con el establecimiento de la democracia en
España en 1977, y con la llegada al poder del Partido Socialista en 1982,
todos los movimientos feministas autónomos desaparecieron, precisa-
mente debido a su éxito institucional y político. En 1981 se legalizó el di-
vorcio y el aborto, con restricciones, en 1984. El Partido Socialista promo-
vió un Instituto de la Mujer, dentro del gobierno, que actuó como un
grupo de presión feminista frente al gobierno. Muchas activistas feminis-
tas, y sobre todo las del Frente de Liberación de la Mujer, se unieron al
Partido Socialista y ocuparon cargos dirigentes en el parlamento, la admi-
nistración y, en menor medida, el gobierno. Una destacada feminista so-
cialista del movimiento sindical, Matilde Fernández, fue nombrada minis-
tra de Asuntos Sociales y ejerció su influencia y vigorosa voluntad para
fortalecer las causas de las mujeres en la segunda mitad del régimen so-
cialista. En 1993 la reemplazó como ministra Cristina Alberdi, otra vete-
rana del movimiento feminista y prestigiosa jurista. Carmen Romero, la
esposa del presidente del gobierno, Felipe González, y militante socialista
desde hacía mucho tiempo como él, fue elegida al parlamento y desem-
peñó un papel importante en la modificación del sexismo tradicional del
partido. Por ejemplo, se aprobó una norma en los estatutos del partido
que reservaba el 25% de los cargos dirigentes a las mujeres (una promesa
que se cumplió en 1997). Así pues, por una parte, la repercusión del femi-
nismo fue importante para mejorar la condición legal, social y económica
de las mujeres españolas, así como para facilitar su entrada en cargos pro-
minentes de la política, las empresas y la sociedad en general. En las nue-
II luí del paliniK mío movimientos socmles, funiiliii y scxunlidud... 217
vas generaciones, las actitudes del machismo tradicional resultaron espec-
tacularmente erosionadas80
. Por otra parte, el movimiento feminista desa-
pareció prácticamente como movimiento autónomo, vaciado de sus cua-
dros y centrado por completo en la reforma institucional. Quedó poco
espacio para el feminismo lesbiano y para destacar la diferencia y la se-
xualidad. No obstante, la nueva tolerancia obtenida en la sociedad espa-
ñola ayudó a que creciera un nuevo feminismo, de orientación,má^ cultu-
ral, en los años noventa, más próximo a las tendencias feministas actuales
de Gran Bretaña o Francia, y distante de la política tradicional, excepto
en el País Vasco, donde mantuvo sus vínculos autodestructivos con el mo-
vimiento separatista radical. Así pues, el feminismo español ejemplifica el
potencial de utilizar la política y las instituciones para mejorar la condi-
ción de las mujeres, así como la dificultad de continuar siendo un movi-
miento social autónomo cuando se logra la institucionalización.
Nuestra última exploración de las variaciones del feminismo, en el
contexto más amplio en el que el movimiento se desarrolla, nos lleva a
Italia, donde tuvo lugar el que quizás fue el movimiento feminista de ma-
sas más potente e innovador de toda Europa durante la década de los se-
tenta 81
. Como escribe Bianca Beccalli: «De la investigación histórica del
feminismo italiano se desprenden dos temas claros: la estrecha asociación
entre el feminismo y la izquierda, y el significado particular del entrelaza-
miento de igualdad y diferencia»82
. En efecto, el feminismo contemporá-
neo italiano surgió, al igual que la mayoría de los movimientos feministas
de Occidente, de los vigorosos movimientos sociales que sacudieron a Ita-
lia a finales de la década de los sesenta y comienzos de la de los setenta.
Pero, a diferencia de sus equivalentes, el movimiento feminista italiano
incluyó una influyente corriente dentro del sindicalismo italiano y fue
bien recibido y apoyado por el Partido Comunista italiano, el mayor fuera
del mundo comunista, y el partido que contaba con mayor número de afi-
liados de Italia. Así pues, las feministas italianas lograron popularizar sus
temas, como feministas, entre grandes sectores de mujeres, incluidas las
de la clase obrera, durante los años setenta. Las demandas económicas y
de igualdad se entretejieron con la liberación de la mujer, la crítica del
patriarcado y la subversión de la autoridad, tanto en la familia como en la
sociedad. Sin embargo, la relación entre el feminismo y la izquierda, y so-
bre todo con la izquierda revolucionaria, no fue fácil. En efecto, en di-
80
Alonso Zaldívar y Castells, 1992.
81
Mi comprensión del movimiento feminista italiano proviene, en buena medida, de mi
amistad y conversaciones con Laura Balbo, así como de la observación personal de los mo-
vimientos sociales de Milán, Turín, Venecia, Roma y Ñapóles a lo largo de los años setenta.
Para un análisis más reciente, véase la excelente visión general de Bianca Beccalli, 1994. So-
bre el estadio formativo del movimiento y su evolución durante la década de los setenta, vé-
ase Ergas, 1985 y Birnbaum, 1986.
82
Beccalli, 1994, pág. 109.
218 El poder de ln identidad
ciembre de 1975, il servizio d'ordine (el servicio de orden) de Lotta Conti-
nua, la organización mayor y más radical de extrema izquierda, insistió en
proteger la manifestación de las mujeres de esta organización en Roma y
cuando éstas rechazaron su protección, les dieron una paliza, provocando
la secesión de las mujeres de la organización y la disolución de la propia
Lotta Continua unos cuantos meses después. La creciente autonomía de
la organización de inspiración comunista Unione delle Donne Italiane
(UDI) frente al partido acabó llevando a la autodisolución de la primera
en 1978. No obstante, en general, hubo muchos vínculos entre la organi-
zación de las mujeres, los sindicatos y los partidos políticos de izquierda
(excepto los socialistas), y mucha receptividad entre los dirigentes de los
partidos y los sindicatos hacia los problemas de las mujeres e incluso los
discursos feministas. Esta estrecha colaboración dio como resultado una
de las legislaciones más avanzadas de Europa sobre la mujer trabajadora,
así como la legalización del divorcio (mediante referéndum en 1974) y el
aborto. Durante un largo periodo, en la década de los setenta, esta cola-
boración política corrió pareja con la proliferación de colectivos de muje-
res que suscitaron los temas de la autonomía de las mujeres, su diferencia
cultural, su sexualidad y el lesbianismo como tendencias separadas que
interactuaron con el mundo de la política y la lucha de clases. Y, sin em-
bargo,
al finalizar la década [1970], el feminismo estaba en declive; y el comienzo de los
años ochenta presenció su desaparición casi total como movimiento. Dejó de es-
tar presente en las luchas políticas y se fragmentó y distanció aún más, a medida
que las activistas feministas fueron comprometiendo sus energías en proyectos y
experiencias privados, ya fueran de naturaleza individual o comunal. Así fue
como el «nuevo» movimiento feminista, siguiendo el ejemplo de otros «nuevos
movimientos sociales» de los años setenta, evolucionó para convertirse sólo en
otra forma de política de estilo de vida83
.
¿Por qué fue así? No utilizaré las palabras de Beccalli para dar mi in-
terpretación, aunque no creo que contradiga su relato. Por una parte, las
mujeres italianas conquistaron considerables reformas legales y económi-
cas, entraron masivamente en el mercado laboral y las instituciones edu-
cativas, debilitando el sexismo y, lo que es más importante, el poder tradi-
cional ejercido por la Iglesia católica sobre sus vidas. Así pues, se ganaron
las batallas abiertas y claras en las que la izquierda, los sindicatos y las
mujeres podían convergir fácilmente, aunque la victoria no siempre se ex-
plotó hasta sus últimas consecuencias, como en el caso de la Ley sobre la
Igualdad que, como sostiene Beccalli, no alcanzó a su modelo británica.
Al mismo tiempo, la estrecha conexión entre el movimiento de las muje-
Beccalli, 1994, pág. 86.
P.l fin del palriiirimlo: movimientos sociales, familia y sexualidad... .'19
res y la izquierda provocó la crisis del feminismo político junto con la cri-
sis de la propia izquierda. La izquierda revolucionaria, que vivía en una
fantasía marxista/maoísta (elaborada con una inteligencia e imaginación
notables, que hacían los paraísos artificiales aún más artificiales), se de-
sintegró en la segunda mitad de la década de los setenta. El movimiento
sindical, aunque no tuvo que vérselas con una reacción violenta del neo-
conservadurismo como en Gran Bretaña o los Estados Unidos, en los
años ochenta se enfrentó con las nuevas realidades de la globalización y
el cambio tecnológico y hubo de aceptar las limitaciones de la interdepen-
dencia internacional del capitalismo italiano. La economía red, que tomó
como modelo la Emilia Romagna, hizo a las firmas italianas dinámicas y
competitivas, pero al precio de socavar de forma decisiva el poder de ne-
gociación sindical, concentrado en las grandes fábricas y el sector público.
El Partido Comunista fue apartado del poder por un frente anticomunista
encabezado por el Partido Socialista. Y este último utilizó las palancas del
poder para financiarse ilegalmente y comprar su sueño de sorpasso (esto
es, sobrepasar a los comunistas en el voto popular): el sistema judicial co-
gió a los socialistas antes de que éstos pudieran alcanzar a los comunistas,
que, mientras tanto, habían dejado de ser comunistas y se habían unido a
la Internacional Socialista. Apenas resulta sorprendente que las feminis-
tas italianas, muy políticas, se fueran a casa. Pero no al hogar de sus espo-
sos/padres, sino a la Casa de las Mujeres, a una cultura de las mujeres di-
versa y vital que, a finales de los años ochenta, había reinventado el
feminismo, resaltando la differenza sin olvidar la egalitá. Luce Irigaray y
Adrienne Rich reemplazaron a Marx, Mao y Alexandra Kollontai como
puntos de referencia intelectuales. No obstante, en los años noventa, los
nuevos colectivos continuaron vinculando el discurso feminista y las rei-
vindicaciones de las mujeres, sobre todo en los gobiernos locales contro-
lados por la izquierda. Una de las campañas más innovadoras y activas se
ocupó de la reorganización del tiempo, del horario laboral al de atención
al público de los comercios y los servicios públicos, para hacerlos flexi-
bles, adaptados a las vidas múltiples de las mujeres. En la década de los
noventa, pese a la amenaza política de Berlusconi y los neofascistas, que
propugnaban la recuperación de los valores familiares tradicionales, la
llegada al poder de una coalición de centro-izquierda, incluido el ahora
socialista Partito Democrático di Sinistra (ex comunista) en 1996, abrió la
vía para una nueva renovación institucional. Esta vez basándose en un
movimiento feminista autónomo y descentralizado que había aprendido
las lecciones de «bailar con lobos».
Así pues, el feminismo, y las luchas de las mujeres, tienen altibajos a
lo largo de todo el paisaje de la experiencia humana en este fin de mile-
nio, volviendo siempre a la superficie con nuevas formas y cada vez más
vinculados con otras fuentes de resistencia a la dominación, a la vez que
mantienen la tensión entre la institucionalización política y la autonomía
.'.'(i I I |i(»k'i• ilr l.i identidad
cultural. Los contextos en los que se desarrolla el feminismo moldean al
movimiento en una serie de formas y discursos. Y, no obstante, sostengo
que hay un núcleo esencial (sí, he dicho esencial) de valores y fines cons-
tituyentes de identidad(es) que impregna toda la polifonía cultural del fe-
minismo.
Feminismo: una polifonía inductiva84
La fuerza y vitalidad del movimiento feminista radica en su diversi-
dad, en su adaptabilidad a las culturas y épocas. Por lo tanto, para tratar
de encontrar el núcleo fundamental de su fuerza de transformación, com-
partido por todos los movimientos, primero debemos reconocer su diver-
sidad. Para interpretar el sentido de esa diversidad, propongo una tipolo-
gía de los movimientos feministas basada en la catalogación de los
movimientos sociales de Touraine, presentada en el capítulo 2. El em-
pleo de esta tipología es analítico, no descriptivo. Es imposible reflejar el
perfil multifacético del feminismo a lo largo de los países y culturas en
los años noventa. Como todas las tipologías, es reduccionista, una cir-
cunstancia particularmente desgraciada en lo que se refiere a las prácti-
cas de las mujeres, ya que éstas han reaccionado justamente contra su ca-
talogación y etiquetado constantes en la historia como objetos, más que
como sujetos. Además, los movimientos feministas específicos, y las mu-
jeres concretas dentro de ellos, suelen transcender estas y otras catego-
rías, mezclando identidades, adversarios y objetivos en la definición pro-
pia de su experiencia y lucha. Asimismo, algunas de las categorías puede
que representen a segmentos muy reducidos del movimiento feminista, si
bien las considero pertinentes desde el punto de vista analítico. Pero, en
general, creo que puede ser útil considerar las distinciones presentadas
en el esquema 4.1 como un modo de abordar la diversidad de los movi-
mientos feministas y un paso necesario para investigar lo que tienen en
común.
Bajo estos tipos he incluido, al mismo tiempo, acciones colectivas y
discursos individuales que se debaten en el feminismo y su entorno. Ello
se debe a que, como expuse antes, el feminismo no se agota en las luchas
militantes. También es, y algunas veces de forma fundamental, un dis-
curso: un discurso que subvierte el papel de las mujeres en la historia de
84
Al valorar los principales temas del movimiento feminista, no pretendo hacer justicia
a la riqueza del debate feminista, ni puedo investigar, aun cuando la conociera, la gama
completa de teorías y posiciones de que se dispone para una compresión en profundidad de
las fuentes de la opresión de las mujeres y las vías de su liberación. Mi síntesis analítica se
orienta al objetivo teórico de este libro: interpretar la interacción de los movimientos so-
ciales que afirman la supremacía de la identidad y la sociedad red, como nueva estructura
de dominación en la era de la información. Si este descargo parece defensivo, es que lo es.
Fil fin ilt'l |>;ih I.III .iilu MIIH r u l o s s o n , i l i s , I.IIIHII.I y sc.u;iluhicl... .'.'I
los hombres, con lo que transforma la relación históricamente dominante
entre espacio y tiempo, como sugiere Irigaray:
Los dioses, Dios, primero crearon el espacio [...] El propio Dios sería tiempo, ex-
teriorizándose en su acción en el espacio, en lugares [...] ¿Acaso podrían inver-
tirse en la diferencia sexual, donde lo femenino se experimenta como espacio,
pero a menudo con connotaciones del abismo y la noche [...] mientras que lo mas-
culino se experimenta como tiempo? La transición a una nueva era requiere un
cambio en nuestra percepción y concepción del espacio-tiempo, de la forma de
habitar en los lugares, y de los continentes, o envoltorios de la identidad85
.
ESQUEMA 4.1 Tipología analítica de los movimientos feministas.
Tipo
Derechos de
las mujeres
(liberal,
socialista)
Feminismo
cultural
Feminismo
esencialista
(esplritualismo,
(ecofeminismo)
Feminismo
lesbiano
Identidades
específicas
de las mujeres
(étnica, nacional,
autodefinida;
ej.: feminista
lesbiana negra)
Feminismo
práctico
(trabajadoras.
defensa personal,
maternidad, etc.)
Identidad
Las mujeres
como seres
humanos
Comunidad de
mujeres
El ser mujer
Hermandad
sexual/
cultural
Identidad
autoconstruida
Mujeres/amas
de casa
explotadas/
maltratadas
Adversario
Estado
patriarcal y/o
capitalismo
patriarcal
Instituciones
y valores
patriarcales
El modo
masculino de
ser
Heterosexualidad
patriarcal
Dominación
cultural
Capitalismo
patriarcal
Objetivo
Igualdad de
derechos
(incluidos los
reproductivos)
Autonomía
cultural
Libertad
matriarcal
Abolición de
los géneros
mediante el
separatismo
Multiculturalismo
sin géneros
Supervivencia/
dignidad
85
Irigaray, 1984/1993, pág. 7.
222 Hl | ) i x l i i ili l.i l i l c ' l l l k l . u l
Esta transición y este cambio se están operando mediante un desplie-
gue de movimientos de mujeres, algunos de los cuales se presentan en el
esquema 4.1, cuyo contenido trataré de aclarar.
La defensa de los derechos de la mujer es lo primordial para el femi-
nismo. En efecto, todas las demás formas incluyen esta afirmación básica
de las mujeres como seres humanos, no como muñecas, objetos, cosas o
animales, en los términos de la crítica feminista clásica. En este sentido, el
feminismo es una extensión del movimiento por los derechos humanos.
Este movimiento se presenta en dos versiones, liberal y socialista, aunque
esta inclusión como variantes de un mismo tipo puede resultar sorpren-
dente dada su marcada oposición ideológica. En efecto, son diferentes,
pero, en lo referente a la identidad, ambos afirman los derechos de las
mujeres como iguales a los hombres. Difieren en su análisis de las raíces
del patriarcado y en su creencia o incredulidad en la posibilidad de refor-
mar el capitalismo y operar dentro de las reglas de la democracia liberal
mientras satisfaga los objetivos supremos de la igualdad. Ambos incluyen
en los derechos de las mujeres los económicos y los reproductivos. Y am-
bos consideran que la obtención de estos derechos es su objetivo, aunque
pueden divergir considerablemente en las prioridades tácticas y el len-
guaje. Las feministas socialistas consideran que la lucha contra el patriar-
cado está vinculada necesariamente con la superación del capitalismo,
mientras que el feminismo liberal plantea la transformación socioeconó-
mica con una perspectiva más escéptica, centrándose en el avance de la
causa de las mujeres con independencia de otras metas.
El feminismo cultural se basa en el intento de construir instituciones
de mujeres alternativas, espacios de libertad, dentro de la sociedad pa-
triarcal, cuyas instituciones y valores se consideran el adversario. A veces
se asocia con el «feminismo de la diferencia», aunque no supone esencia-
lismo. Comienza con la afirmación doble de que las mujeres son diferen-
tes, sobre todo debido a su historia diferencial, y de que en todo caso sólo
pueden reconstruir su identidad y encontrar sus propios caminos constru-
yendo su propia comunidad. En muchos casos esto implica el deseo de se-
paración de los hombres o al menos de las instituciones dominadas por
éstos. Pero no lleva necesariamente al lesbianismo o al separatismo de los
hombres. Pretende construir una autonomía cultural como base de resis-
tencia y, de este modo, orientar las demandas de las mujeres atendiendo a
valores alternativos, como la ausencia de competitividad y de violencia, la
colaboración y la multidimensionalidad de la experiencia humana, condu-
centes a una nueva identidad de las mujeres y de su cultura, que podría
inducir la transformación cultural de la sociedad en general.
El movimiento de «concienciación», en los orígenes del feminismo ra-
dical, se vinculó con el feminismo cultural y originó todo un conjunto de
redes de organizaciones e instituciones de mujeres que se convirtieron en
espacios de libertad, protección, apoyo y comunicación: librerías, clínicas
I I lili del piíliliui .i>l>i iniiv iimrntos snciiilcs, Imnilin y sexualidad... 223
sanitarias, cooperativas, todas de mujeres. Aunque estas organizaciones
proporcionaban servicios a las mujeres y se convirtieron en herramientas
organizativas para diversas movilizaciones en favor de sus derechos, tam-
bién generaron y difundieron una cultura alternativa que estableció la es-
pecificidad de sus valores.
El feminismo esencialista avanza un paso más y proclama, de forma si-
multánea, la diferencia esencial de las mujeres frente a los hombres, arrai-
gada en la biología y la historia, y la superioridad moral/cultural de la fe-
minidad como modo de vida. En la formulación de Fuss, «el esencialismo
invoca una feminidad pura u original, una esencia femenina, fuera de las
fronteras de lo social y, por lo tanto, no contaminada (aunque quizás re-
primida) por el orden patriarcal»86
. Por ejemplo, para Luce Irigaray, una
voz articulada e influyente del feminismo esencialista, «por nuestros la-
bios somos mujeres»87
.
¿Cómo puedo decir esto? Que somos mujeres desde el principio. Que no tenemos
que volvernos mujeres por ellos, etiquetadas por ellos, sacralizadas y profanadas
por ellos. Que eso ha pasado siempre, sin sus esfuerzos. Y que su historia, sus his-
torias, constituyen el lugar de nuestro desplazamiento [...] Sus propiedades son
nuestro exilio. Sus recintos, la muerte de nuestro amor. Sus palabras, la mordaza
sobre nuestros labios [...] Corramos a inventar nuestras propias frases. Para que
en todo lugar y por siempre podamos seguir abrazando [...] Nuestra fuerza radica
en la propia debilidad de nuestra resistencia. Durante largo tiempo han apreciado
lo que vale nuestra flexibilidad para sus propios abrazos e impresiones. ¿Por qué
no disfrutar nosotras mismas? Mejor que dejarnos someter a su herraje. Mejor
que ser fijadas, estabilizadas, inmovilizadas. Separadas [...] Podemos arreglárnos-
las sin modelos, normas o ejemplos. No nos demos órdenes, mandatos o prohibi-
ciones. Que nuestros imperativos sólo sean llamadas a movernos, a ser movidas,
juntas. Que nunca nos establezcamos leyes, ni moralicemos ni hagamos la guerra88
.
La liberación es «hacer "consciente" a cada mujer del hecho de que
lo que ha sentido en su experiencia personal es una condición compar-
tida por todas las mujeres, lo que permite la politización de esa experien-
cia»89
. Al aceptar la especificidad de sus cuerpos, las mujeres no quedan
atrapadas en la biología, sino que, por el contrario, escapan de su defini-
ción por parte de los hombres, que han ignorado su verdadera natura-
leza. En un orden masculino, las mujeres serán aniquiladas de forma per-
manente porque se las caracteriza desde fuera de su experiencia
corporal, primordial: sus cuerpos han sido reinterpretados y su experien-
cia reformulada por los hombres90
. Sólo reconstruyendo su identidad en
86
Fuss, 1989, pág. 2.
87
Irigaray, 1977/1985, pág. 210.
88
Irigaray, 1977/1985, págs. 215-217.
89
Irigaray, 1977/1985, pág. 164.
90
Fuss, 1989.
224 líl poder ilc la identidad
virtud de su especificidad biológica y cultural pueden convertirse las mu-
jeres en ellas mismas.
Por ejemplo, el renacimiento del feminismo italiano, a comienzos de
la década de los ochenta, lo marcó en cierto modo la afirmación de la di-
ferencia de las mujeres y la primacía otorgada a la reconstrucción de su
identidad atendiendo a su especificidad biológica/cultural, expresada en
el popular folleto Piú donne che uomini, publicado por la Librería de la
Mujer de Milán. Trataba de abordar la incapacidad de las mujeres para
actuar en la esfera pública, destacando su necesidad de trabajar de forma
independiente, en buena medida determinada por su especificidad bioló-
gica. Encontró un amplio eco entre las mujeres italianas91
.
Otra corriente de esencialismo enlaza la feminidad con la historia y la
cultura, y reclama el mito de una era dorada matriarcal en la que los valo-
res de las mujeres y el culto a la diosa aseguraban la armonía social92
. El
espiritualismo y el ecofeminismo también se encuentran entre las mani-
festaciones más vigorosas del esencialismo, uniendo biología e historia,
naturaleza y cultura, en la afirmación de una nueva era construida en
torno a los valores de las mujeres y su fusión con la naturaleza93
.
El esencialismo está sometido a un duro ataque en el movimiento fe-
minista, tanto de base política como por parte de las perspectivas intelec-
tuales opuestas. En lo referente a la política, se sostiene94
que las diferen-
cias esencialistas entre hombres y mujeres hacen el juego a los valores
tradicionales del patriarcado y justifican el mantenimiento de la mujer en
su dominio privado, en una posición necesariamente inferior. En cuanto
al aspecto intelectual, las feministas materialistas, como Christine Delphy
y Monique Wittig, consideran el sexo anatómico una construcción social95
.
Para ellas, el género no crea la opresión; más bien es la opresión la que
crea el género. La feminidad es una categoría masculina y la única libera-
ción consiste en quitar todo género a la sociedad, suprimiendo la dicoto-
mía hombre/mujer.
No obstante, la afirmación de la especificidad irreductible de las muje-
res y la propuesta de reconstruir la sociedad en torno a los valores feme-
ninos tiene un innegable atractivo entre las mujeres y las feministas, a la
vez que proporciona la vinculación con las vigorosas tendencias de espiri-
tualismo y ecologismo radical, características de la era de la información.
El feminismo lesbiano ha sido el componente de los movimientos fe-
ministas de los países desarrollados (y no sólo en los Estados Unidos) que
más de prisa ha crecido y el más militante en la última década, organizado
"' Beccalli, 1994.
92
Merchant, 19K0.
93
Spretnak, 1982; Epstein, 1991.
94
Beccalli, 1994.
95
Delphy, 1984; Wittig, 1992.
II Tin del | <;• 11 mi i inlt > iiioviinunlos sociales, linniliii y sexualidad... 21:
en diversos colectivos, así como en comités y tendencias dentro de moví
mientos feministas más amplios. No puede de ningún modo asimilarse a
una orientación sexual particular. Adrienne Rich propone la noción de
«continuo lesbiano» para incluir un amplio espectro de experiencias de
mujeres, marcadas por su opresión por parte de las instituciones insepara-
bles del patriarcado y la heterosexualidad obligatoria, y su resistencia a
las mismas96
. En efecto, el Manifiesto de las Lesbianas Radicales _cje los
Estados Unidos comienza con la declaración siguiente: «¿Quién es les-
biana? Una lesbiana es la rabia de todas las mujeres condensada en el
punto de explosión»97
. Desde esta perspectiva, el lesbianismo, como la se-
paración radical y consciente de las mujeres de los hombres como fuentes
de su opresión, es el discurso/práctica de la liberación. Ello explica el
éxito del lesbianismo electivo para muchas mujeres, como el modo de ex-
presar su autonomía frente al mundo de los hombres de una forma in-
transigente. En palabras de Monique Wittig:
La negativa a convertirse en heterosexual (o a seguir siéndolo) significa siempre
la negativa a convertirse en un hombre o una mujer, conscientemente o no. Para
una lesbiana, llega más lejos que la negación del papel de la «mujer». Es la nega-
ción del poder económico, ideológico y político del hombre [...] Somos fugitivas
de nuestra clase, del mismo modo que los esclavos fugados estadounidenses huían
de la esclavitud y se hacían libres. Para nosotras, es una necesidad absoluta; nues-
tra supervivencia exige que aportemos toda nuestra fuerza a la destrucción de la
clase de mujeres dentro de la cual los hombres se apropian de ellas. Y ello sólo
puede lograrse mediante la destrucción de la heterosexualidad como sistema social
que se basa en la opresión de las mujeres por los hombres y que produce la doc-
trina de la diferencia entre los sexos para justificar esta opresión98
.
Puesto que la heterosexualidad es el supremo adversario, el femi-
nismo lesbiano encuentra en el movimiento gay un aliado potencial, aun-
que ambivalente (véase más adelante).
Cada vez más, el movimiento feminista se está fragmentando en una
multiplicidad de identidades feministas que constituyen la definición pri-
mordial para muchas feministas. Como sostuve antes, ello no es una
fuente de debilidad, sino de fortaleza, en una sociedad caracterizada por
redes flexibles y alianzas variables en la dinámica de los conflictos socia-
les y las luchas de poder. Estas identidades son autoconstruidas aun
cuando suelan utilizar la etnicidad, y a veces la nacionalidad, para estable-
cer fronteras. El feminismo negro, el feminismo chicano, el feminismo ja-
ponés, el feminismo lesbiano negro, pero también el feminismo lesbiano
sadomasoquista, o autodefiniciones territoriales/étnicas, como las Sout-
96
Rich, 1980/1993.
97
Reproducido en Schneir, 1994, pág. 162.
98
Wittig, 1992, págs. 13-20. Las cursivas son mías.
226 El poder do la identidad
hall Black Sisters de Inglaterra ", no son sino ejemplos de las posibilida-
des infinitas de identidades autodefinidas mediante las cuales las mujeres
se ponen en movimiento 10
°. Al hacerlo, se oponen a la uniformidad del
feminismo, que consideran una nueva forma de dominación cultural, no
ajena a la lógica patriarcal de sobreimponer la oficialidad a la diversidad
real de las experiencias de las mujeres. En algunos casos, la identidad
propia comienza con un seudónimo, como en el de la escritora feminista
negra bell hooks: «Elegí el nombre de bell hooks porque era un nombre
de familia, porque tenía un sonido fuerte. Durante toda mi infancia, este
nombre se utilizó para hablar de la memoria de una mujer fuerte, una
mujer que dijo lo que pensaba [...] Reclamar este nombre era un modo de
enlazar mi voz con un legado ancestral de mujeres que hablan, de poder
de las mujeres»101
. Así pues, la construcción propia de la identidad no es
la expresión de una esencia, sino una apuesta de poder que las mujeres,
tal como son, movilizan para las mujeres tal como quieren ser. Reclamar
la identidad confiere poder.
He elegido de forma deliberada un término polémico, feministas prác-
ticas, para hacer referencia a la corriente más amplia y profunda de las lu-
chas de las mujeres en el mundo actual, sobre todo en el mundo en vías
de desarrollo, pero también entre las mujeres de la clase obrera y las or-
ganizaciones comunitarias de los países industrializados. Por supuesto, to-
das las feministas son prácticas en el sentido de que todas socavan a dia-
rio, de modos muy diferentes, los cimientos del patriarcado, ya sea
luchando por los derechos de la mujer o desmitificando los discursos pa-
triarcales. Pero también pudiera ser que muchas mujeres sean feministas
en la práctica, aunque no reconozcan la etiqueta, o ni siquiera tengan una
conciencia clara de oponerse al patriarcado. Así pues, surge la pregunta:
¿puede existir el feminismo sin una conciencia feminista? ¿No son en la
práctica feminismo las luchas y organizaciones de las mujeres a lo largo
de todo el mundo por sus familias (sobre todo por sus hijos), sus vidas, su
trabajo, su techo, su salud, su dignidad'? Francamente, estoy indeciso so-
bre este punto y mi trabajo sobre las comunidades urbanas latinoamerica-
nas y mis lecturas sobre otras zonas del mundo sólo agudizan mi ambiva-
lencia, así que lo más que puedo hacer es transmitirla102
.
Por una parte, sostengo la norma clásica de que «no hay clase sin con-
ciencia de clase» y el principio metodológico fundamental de definir los
movimientos sociales por los valores y fines que expresan. Desde esta
perspectiva, la aplastante mayoría de luchas y organizaciones de las muje-
99
Griffin, 1995, pág. 79.
m
Whittier, 1995; Jarrett-Macauley, 1996.
101
hooks, 1989, pág. 161.
1(12
Este tema ha sido discutido por algunas historiadoras feministas. Mi categoría de «fe-
minismo práctico» está próxima a lo que ellas denominan «feminismo social»; véase Offen,
1988; Cott, 1989.
I I lili del palrinmulii: movimientos socmk'v hnnilia y M/XUIIIUIÍHI... 227
res, en el mundo en vías de desarrollo y más allá, no expresan una con-
ciencia feminista y, lo que es más importante, no se oponen de forma ex-
plícita al patriarcado y la dominación masculina, ya sea en su discurso o
en los fines de sus movimientos. Los temas del feminismo cultural, del fe-
minismo lesbiano o de la liberación sexual raramente están presentes en-
tre los movimientos populares de mujeres, aunque tampoco están ausen-
tes, como expone la reveladora experiencia del movimiento de lesbianas-
taiwanés (véase más adelante). No obstante, el feminismo explícito de los
países en vías de desarrollo sigue siendo en general elitista, lo que nos de-
jaría con una división bastante fundamental entre feminismo y luchas de
las mujeres, que también tendrían una connotación Norte/Sur. En efecto,
el Foro de las Mujeres de la ONU celebrado en Pekín mostró algunas
pruebas de esta división, amplificada y aireada por algunas partes intere-
sadas, a saber, la «Cruzada de la Media Luna», formada por el Vaticano y
los islamistas, que luchan codo con codo contra el feminismo y los dere-
chos reproductivos de las mujeres.
Por otra parte, a través de su acción colectiva, las mujeres de todo el
mundo vinculan su lucha y su opresión con sus vidas cotidianas. Conside-
ran que la transformación de su condición en la familia está conectada
con su intervención en la esfera pública. Escuchemos las palabras de una
mujer que vive en una chabola de Bogotá, según las recoge Helena Use-
che en sus relatos de mujeres desde las trincheras de la investigación so-
cial activista:
De unos años para acá la mujer se ha hecho sentir y ahora nos valoran mucho, no
más el hecho de que el compañero no vea a la mujer como la que está allá en la
casa cocinando, lavando, planchando, sino como una compañera aportando tam-
bién económicamente, porque ahora es muy rarito el marido que le dice a la mu-
jer: yo trabajo y usted se queda en la casa. Ahí está la alternativa que dimos noso-
tras como jardines, ayudar a más mujeres, hacerlas conscientes de la situación del
pueblo; antes las mujeres no se interesaban ni por eso. Nos preocupamos no sola-
mente por ser mamas sino por saberlo ser103
.
¿Es esto feminismo? Quizá sea una cuestión de traducción cultural.
No entre lenguas o continentes, sino entre experiencias. Quizás el desarro-
llo paralelo de las luchas y organizaciones de las mujeres y los discursos y
debates feministas sea solamente un estadio en el desarrollo histórico de
un movimiento, cuya existencia global, una vez plenamente desplegada,
podría ser el resultado de la interacción y la transformación recíproca de
ambos componentes.
Si el feminismo es tan diverso que hasta posiblemente incluya a las
mujeres de movimientos que no se denominan a sí mismas feministas o
Espinosa y Useche, 1992, pág. 48.
lil piuki tic la identidad
incluso que pondrían objeciones al término, ¿tiene sentido mantener la
palabra (después de todo, inventada por un hombre, Charles Fourier) o
declarar la existencia de un movimiento feminista? Creo que sí, por una
importante razón teórica: en todos los tipos de feminismo, presentados en
el esquema 4.1, la tarea fundamental del movimiento, a través de las luchas
y los discursos, es de/re/construir la identidad de las mujeres despojando
del género a las instituciones de la sociedad. Se reclaman los derechos de
las mujeres, en su nombre, como sujetos autónomos de los hombres y de
los papeles que se les asignan bajo el patriarcado. El feminismo cultural
construye la comunidad de las mujeres para despertar la conciencia y re-
construir la personalidad. El feminismo esencialista afirma la especifici-
dad irreductible de las mujeres y proclama sus valores superiores autóno-
mos. El feminismo lesbiano, al rechazar la heterosexualidad, vacía de
significado la división sexual de la existencia que subyace tanto en la viri-
lidad como en la feminidad. Las identidades múltiples de las mujeres re-
definen los modos de ser atendiendo a su experiencia real, ya sea vivida o
fantaseada. Y las luchas de las mujeres por la supervivencia y la dignidad
les confiere poder, con lo que se subvierte a la mujer patriarcalizada, defi-
nida precisamente por su sumisión. Bajo diferentes formas y mediante ca-
minos diferentes, el feminismo diluye la dicotomía patriarcal hombre/mu-
jer tal como se manifiesta en las instituciones y la práctica sociales. Al
hacerlo, construye no una, sino muchas identidades, cada una de las cua-
les, mediante su existencia autónoma, se incauta de micropoderes en la
red mundial de las experiencias vitales.
LA FUERZA DEL AMOR: MOVIMIENTOS DE LIBERACIÓN DE LESBIANAS
Y GAYS m
Toda teoría de creación cultural/política que trata la existencia lesbiana como un fe-
nómeno marginal o menos «natural», como mera «preferencia sexual» o como la
104
El análisis que se presenta no incluye el estudio de los temas y valores gays y lesbia-
nos, ni su relación con las instituciones sociales. Se centra en los movimientos gays y de les-
bianas y en su repercusión sobre el patriarcado a través de la liberación sexual. Para ser es-
pecífico, estudiaré dos casos concretos, uno para cada movimiento. Por una parte, expondré
el surgimiento de un vigoroso movimiento de lesbianas en Taipei, en la década de los no-
venta, en interacción con el movimiento feminista y con el movimiento gay. Se trata de un
esfuerzo deliberado para alejarnos de las escenas norteamericanas y europeas occidentales
de liberación lesbiana y para resaltar la influencia creciente del lesbianismo en culturas tan
patriarcales como la china. Por otra parte, analizaré sucintamente la formación y el desarro-
llo de la comunidad gay de San Francisco, posiblemente una de las más poderosas y visibles
comunidades/movimientos gays del mundo. Mi presentación del movimiento de lesbianas en
Taipei se basa primordialmente en un excelente estudio realizado por mi alumna de docto-
rado de Berkeley Lan-chih Po, que además es militante activa del movimiento feminista
de Taipei (Po, 1996). También he utilizado para comprender el escenario de Taipei, además
I'l lili del pnliiiirnulo: movimientos sociales, fimnlwi y s<. n,ilui;ul... 22»
imagen rejlejada de las relaciones heterosexuales u homosexuales masculinas está
profundamente debilitada por ello [...] Hace mucho que debería haber surgido una
crítica feminista de la orientación heterosexual obligatoria para las mujeres.
Adrienne Rich, «Compulsory heterosexuality and
lesbian existence», pág. 229.
Nuestro movimiento puede que haya comenzado como la lucha de una minoría,
pero lo que ahora estamos tratando de «liberar» es un aspecto de las vidas persona-
les de todas las personas: la expresión sexual.
John d'Emilio, «Capitalism and gay identity», pág. 474.
El patriarcado requiere una heterosexualidad obligatoria. La civiliza-
ción, según se la conoce en la historia, se basa en tabúes y represión sexual.
La sexualidad, como sostuvo Foucault, es una construcción social105
. La
regulación del deseo sustenta las instituciones sociales y, de este modo,
canaliza la transgresión y organiza la dominación. Existe una espiral infi-
nita entre deseo, represión, sublimación, transgresión y castigo, que ex-
plica gran parte de la pasión, la satisfacción y el fracaso humanos, cuando
las epopeyas de la historia se observan desde el lado oculto de la expe-
riencia. Este sistema de dominación coherente, que vincula los corredores
del estado con el pulso de la libido mediante la maternidad, la paternidad
y la familia, tiene un eslabón débil: la asunción heterosexual. Si se pone
en entredicho esta asunción, todo el sistema se desmorona: se cuestiona la
vinculación entre el sexo controlado y la reproducción de la especie; se
hace posible la hermandad de las mujeres y, luego, su revuelta, desha-
ciendo la división sexual del trabajo que separa a las mujeres; y la intimi-
dad masculina amenaza la virilidad, con lo que se socava la coherencia
cultural de las instituciones dominadas por los hombres. Aunque los aná-
lisis históricos muestran la permisividad hacia la homosexualidad mascu-
lina en algunas culturas, sobre todo en la Grecia clásica106
, el lesbianismo
fue severamente reprimido durante la mayor parte de la experiencia hu-
mana, no pese, sino debido a la resistencia a la heterosexualidad. Como
escribe Adrienne Rich:
El hecho es que mujeres de todas las culturas y a lo largo de la historia han tra-
tado de tener una existencia independiente, no heterosexual y vinculada entre
de mi conocimiento personal, mis conexiones taiwanesas. A este respecto, doy las gracias a
You-tien Hsing y Chu-joe Hsia. En cuanto a San Francisco, me he basado en el estudio de
campo que realicé a comienzos de los años ochenta con la colaboración de Karen Murphy
(Castells y Murphy, 1982; Castells, 1983, págs. 138-172), añadiendo algunas observaciones
sobre hechos recientes. No hay espacio aquí para revisar la abundante e importante litera-
tura sobre los temas de los gays o las lesbianas. Para una visión general erudita de esta bi-
bliografía en lengua inglesa, consúltese el excelente Lesbian and Gay Studies Reatler, edi-
tado por Abelove et ai, 1993.
105
Foucault, 1976,1984a, b.
106
Halperine/a/., 1990.
230 El poder de la identidad
ellas, en la medida en que su contexto lo hacía posible, a menudo con la creencia
de que eran las «únicas» que lo habían hecho. Lo han intentado, a pesar de que
pocas mujeres se hallaban en posición económica de resistirse por completo al
matrimonio y pese a que los ataques contra las mujeres no casadas se extendieron
de la calumnia y la burla, al ginocidio deliberado, incluida la quema y tortura de
millones de viudas y solteronas durante la caza de brujas de los siglos xv, xvi y
xvii en Europa107
.
En general, la homosexualidad masculina se limitó, en el tiempo y el
espacio, a los impulsos adolescentes «ignorados a sabiendas» o las expre-
siones ocultas en contextos específicos (por ejemplo, en las órdenes reli-
giosas de la Iglesia católica). Debido a que los hombres conservaron sus
privilegios de género, clase y raza, la represión de los homosexuales en la
sociedad fue/es muy selectiva. No obstante, la norma fundamental del pa-
triarcado era, y es, la organización de la vida en torno a la familia hetero-
sexual, permitiendo de forma fortuita la expresión privada del deseo del
mismo sexo a los hombres, siempre que se mantenga en los callejones tra-
seros de la sociedad.
Aunque la resistencia a la heterosexualidad obligatoria ha existido en
todos la épocas y culturas, hasta las tres últimas décadas no se han desa-
rrollado en todo el mundo movimientos sociales en defensa de los dere-
chos de los gays y las lesbianas y afirmando la libertad sexual, que comen-
zaron en los Estados Unidos en 1969-1970, luego en Europa y
posteriormente en gran parte del planeta. ¿Por qué en este periodo? Pa-
rece haber algunos factores comunes y algunos elementos específicos
para cada uno de estos dos movimientos distintos, que explican la oportu-
nidad y las circunstancias de su desarrollo.
El lesbianismo es, en efecto, un componente del movimiento femi-
nista, como propuse anteriormente, si bien las lesbianas buscan alianzas
con los hombres gays para luchar contra la dominación cultural de las
mujeres heterosexuales. Una vez que la crítica feminista sobre el género
de las instituciones socavó la ortodoxia patriarcal, poner en tela de juicio
las normas sexuales era la línea de desarrollo lógica para aquellos secto-
res del movimiento feminista que querían expresar su identidad en todas
las dimensiones. Además, la identificación de los hombres como la fuente
de opresión de las mujeres hizo cada vez más difícil para éstas su asocia-
ción emocional y sexual con sus «enemigos de clase», con lo que se favo-
reció la expresión del lesbianismo latente que existía en muchas.
En lo que respecta a los hombre gays, su conversión en movimiento
parece haber sido inducida por tres factores concurrentes: el clima de re-
beldía de los movimientos de los años sesenta, en los que la expresión
personal y el cuestionamiento de la autoridad hicieron posible pensar y
107
Rich, 1980/1993, pág. 230.
El fin del piitniíuiulo movimientos sociales, lamilia v sexualidad... 231
hacer lo impensable, y, de este modo, salir a la luz pública; la repercusión
del feminismo sobre el patriarcado, poniendo en entredicho la categoría
de mujer y, por lo tanto, la de hombre, ya que sólo pueden existir en su
dicotomía; y la ferocidad de la represión por una sociedad homófoba que
radicalizó incluso a aquellos hombre gays que sólo querían un acomodo108
.
En mi opinión, hubo tres factores adicionales que propiciaron el des-
arrollo extraordinario, tanto del movimiento de liberación de los gays
como el de las lesbianas en los Estados Unidos y otros lugares. Uno es es^
tructural: la formación de una economía informacional avanzada en las
grandes áreas metropolitanas condujo a la creación de un mercado labo-
ral innovador y diversificado y a redes empresariales flexibles, y creó nue-
vos tipos de trabajo para todo tipo de cualificación, independientes de las
grandes empresas e instituciones, donde la conducta individual podía re-
gularse con mayor facilidad. El segundo factor se refiere a la popularidad
de la liberación sexual como tema de los movimientos de los años sesenta.
Por ejemplo, por haber sido testigo cercano del movimiento de Mayo del
68 en París (era profesor ayudante de sociología en el campus de Nante-
rre, donde comenzó el movimiento), puedo decir que la liberación sexual
y la expresión personal eran los fines supremos del movimiento estudian-
til radical: de hecho, el movimiento comenzó como una protesta conjunta
de hombres y mujeres para obtener el libre acceso a sus dormitorios en la
universidad. En torno a la bandera de la liberación sexual, que también
sostenía la moral cotidiana del movimiento, tanto en Francia como en los
Estados Unidos, el anhelo utópico de liberar el deseo fue la fuerza impul-
sora de los años sesenta, el grito de unión en torno al cual toda una gene-
ración sintió la posibilidad de una vida diferente. Pero la liberación se-
xual, si ha de ser una verdadera liberación, no tiene límites. Así pues,
condujo al rechazo del dictado de la heterosexualidad y, en muchos casos,
a la abolición de todos los límites del deseo, abriendo de lleno la explora-
ción de la transgresión, por ejemplo, en el movimiento sadomasoquista,
un movimiento muy articulado ideológicamente y que crece de prisa.
El tercer factor que, en mi opinión, indujo de forma paralela los movi-
mientos de lesbianas y gays es más polémico. Hace referencia a la separa-
ción, física y psicológica, creada entre hombres y mujeres por el reto fe-
minista al patriarcado. Con ello no quiero decir que las mujeres se
convirtieran en lesbianas y los hombres en gays debido a qúé^tenían pe-
leas con sus compañeros heterosexuales. De hecho, la homosexualidad
tiene su propia existencia y su pauta de desarrollo es independiente de la
heterosexualidad. No obstante, la profunda división que introdujo el
efecto conjunto del reto feminista, y la incapacidad de la mayoría de los
hombres para afrontar el fin de sus privilegios, reforzó la posibilidad de
108
D'Emilio, 1983.
lil poder ilr la identidad
redes de apoyo del mismo sexo, creando un entorno donde toda clase de
deseos podían expresarse con mayor facilidad.
Por último, aunque la liberación sexual está en el centro de los movi-
mientos de gays y lesbianas, la homosexualidad y el lesbianismo no pueden
definirse como preferencias sexuales. Son, fundamentalmente, identidades y,
de hecho, dos identidades distintas: lesbiana y gay. Como tales identidades,
no vienen dadas; no tienen su origen en cierta forma de determinación bio-
lógica. Aunque existe predisposición biológica, la mayor parte de los de-
seos homosexuales se mezclan con otros impulsos y sentimientos (véase fig.
4.10), de tal modo que la conducta real, las fronteras de la interacción social
y la identidad personal se construyen cultural, social y políticamente. Para
analizar de forma específica este proceso político de construcción de la
identidad, pasaré ahora a los estudios concretos del movimiento de lesbia-
nas de Taipei y de la comunidad gay de San Francisco.
Feminismo, lesbianismo y movimientos de liberación sexual en Taipeim
En Taipei, como en la mayor parte del mundo, el movimiento de les-
bianas surgió como un componente del movimiento feminista y así per-
maneció, si bien en los años noventa actuó en estrecha alianza con un mo-
vimiento de liberación sexual gay, igualmente vigoroso. El hecho de que
tal movimiento, con una extensa influencia entre las jóvenes de Taipei,
tuviera lugar en un contexto político cuasiautoritario y en el seno de una
cultura profundamente patriarcal muestra la ruptura de los moldes tradi-
cionales por las tendencias globales de la política de la identidad.
El movimiento feminista taiwanés comenzó en 1972, bajo la iniciativa
de una intelectual pionera, Hsiu-lien Lu, quien, cuando volvió a Taipei
tras terminar su licenciatura en los Estados Unidos, creo un grupo de mu-
jeres, estableció «líneas calientes de socorro» y fundó la Editorial Pionera
para editar libros relacionados con la mujer. El «nuevo feminismo» de Lu
se hizo eco de los temas clásicos del feminismo liberal, combinados con la
idea de modernizar el mercado laboral, desafiando la discriminación se-
xual y el confinamiento de las mujeres en ciertos papeles: «Las mujeres
primero deben ser humanas, luego mujeres»; «las mujeres deben salir de
la cocina»; «la discriminación sexual contra las mujeres debe desaparecer
y desarrollarse su potencial». Al mismo tiempo, resaltó el genuino carác-
"" Mi análisis del movimiento de lesbianas de Taipei sigue de cerca el estudio de Lan-
chih Po (1996). Además de sus observaciones, también se basa en parte en las ponencias (en
chino) presentadas a la conferencia sobre los «Nuevos mapas del deseo: literatura, cultura y
orientación sexual», organizada el 20 de abril de 1996 en la Universidad Nacional de Tai-
wan, Taipei, y en el número especial de la revista Despertar (1995, núm. 158-61) sobre la re-
lación entre el feminismo y el lesbianismo.
II luí i lo I |)iiliiairiiiln mnvimiailos sociiilcs, l.iiinli.i y sexualidad... 2 i i
ler chino de su movimiento y se opuso a algunos de los valores del femi-
nismo occidental, como la eliminación de las diferencias de género o el
rechazo del modo de vestirse femenino. Para Lu, «las mujeres deben ser
como son». A finales de los años setenta, las feministas se unieron al mo-
vimiento de oposición política y, tras la revuelta de Kaoshiung de 1979,
fueron reprimidas y Lu, encarcelada. El movimiento organizado no pudo
sobrevivir a la represión, pero sí las redes de mujeres, así que, a comienzos
de la década de los ochenta, se desarrolló una nueva oleada de feminismo.
En 1982, un pequeño grupo de mujeres creó la revista mensual Despertar
para dar voz a las opiniones de las mujeres y presionar en favor de sus de-
rechos. En enero de 1987, cientos de mujeres tomaron las calles de Taipei
en protesta contra la industria sexual de la ciudad. En ese mismo año, tras
el levantamiento de la ley marcial que había sometido a la oposición tai-
wanesa durante décadas, la Fundación Despertar se estableció formal-
mente: acabó convirtiéndose en la instancia coordinadora de las luchas de
las mujeres de Taiwan, mezclando temas liberales, causas radicales y res-
paldo para una amplia gama de iniciativas de las mujeres. En un movi-
miento en buena medida espontáneo, a finales de los años ochenta se for-
maron numerosos grupos de mujeres, como las asociaciones de mujeres
divorciadas, de amas de casa, grupos para rescatar a la juventud de la
prostitución y otros similares. Los medios de comunicación comenzaron a
informar sobre las actividades de estos grupos, aumentando su presencia
y atrayendo a un número creciente de mujeres, sobre todo entre los gru-
pos cultos y profesionales de Taipei.
Con el comienzo de la vida política democrática en la década de los
noventa (la oposición democrática conquistó el ayuntamiento de Taipei
en las elecciones locales), surgió en Taipei un movimiento social diversifi-
cado, orientado hacia el cambio cultural. El movimiento de mujeres au-
mentó en número e influencia y surgió una diferencia interna entre su lu-
cha por los derechos de la mujer, su defensa de las mujeres trabajadoras y
la expresión de las nuevas identidades de las mujeres, incluido el lesbia-
nismo. Los campus universitarios fueron literalmente tomados por el fe-
minismo. En mayo de 1995, la directora del «grupo de estudios sobre la
mujer» de la Universidad Nacional de Taiwan (la principal del país) fue
elegida presidenta del estamento estudiantil, desplazando tanto al candi-
dato del partido del gobierno como a los estudiantes dela^oposición polí-
tica. El apoyo que encontró el movimiento feminista fuera de la universi-
dad entre las mujeres, sobre todo entre las casadas, de la nueva sociedad
taiwanesa provocó una serie de debates, en particular en torno a la no-
ción de familia, cuando se revisaron las leyes al respecto en el parla-
mento.
En este contexto de efervescencia cultural y ascenso de las ideas femi-
nistas, varias jóvenes radicales feministas comenzaron a introducir el de-
bate sobre el lesbianismo en Taipei. El «Colectivo Eje» difundió las ideas
234 II piulri ili- l,i ulciitnliitl
Mujeres
Los tres (15%)
Identidad y deseo (1 "A i 
Identidad sólo (0%)
Conducta e identidad
(0%)
Conducta sólo (13%)
Deseo y conducta (13%) Deseo sólo (59%)
Hombres
Los tres (24%)
Identidad y deseo (1 %)
Identidad sólo (2%)
Conducta e identidad (0%;
Conducta sólo (22%;
Deseo sólo (44%)
Deseo y conducta (6%)
FIGURA 4.10 Interrelación de diferentes aspectos de la homosexualidad: para 150
mujeres (8,6% del total de 1.749) que informan de alguna forma de sexualidad adulta
del mismo género; para 143 hombres (10,1% del total de 1.410) que informan de al-
guna forma de sexualidad adulta del mismo género.
Fuente: Laumann et al, 1994.
I I Im del palriaiciiilii nioviiiik'iilos sociales, hundía y sexualidad... 235
de las feministas radicales y las teóricas lesbianas, como Audre Lorde,
Adrienne Rich, Gayle Rubin y Christine Delphy, y tradujeron algunos de
sus textos al chino. Siguiendo la noción de Lorde de lo «erótico como po-
der», se creó un nuevo campo de política de identidad, centrado en los
cuerpos y la sexualidad de las mujeres. Junto al surgimiento de los grupos
de mujeres en los campus, se formó el primer grupo explícitamente les-
biano en Taiwan en 1990: «Entre Nosotras Mujeres (chih-chien)».
El 22 de mayo de 1994, las feministas organizaron un «desfile contra el
acoso sexual» por las calles de Taipei, con unas 800 mujeres, sobre todo
estudiantes, que marcharon desde sus campus hasta el centro de la ciu-
dad. Durante la marcha, Ho, una académica feminista que había formu-
lado el discurso de la liberación sexual, improvisó un lema: «¡Quiero el
orgasmo sexual, no quiero el acoso sexual!», que fue coreado entusiasta-
mente por las participantes en la marcha y resonó con fuerza en las calles
de un Taipei patriarcal escandalizado. La mayoría de los periódicos lo pu-
blicaron en primera página. La publicidad otorgada a este incidente sus-
citó un debate fundamental dentro del movimiento feminista. Cuando es-
taba obteniendo legitimidad y aceptación, mejorando la condición de la
mujer y afirmando la igualdad de géneros, a muchas feministas les resultó
vergonzoso y potencialmente destructivo identificar el feminismo con la
liberación sexual en la opinión pública. Es más, algunas feministas tam-
bién sostuvieron que la liberación sexual de Occidente era una trampa
para las mujeres y que en realidad favorecía a los hombres. Por el contra-
rio, proponían luchar por el «derecho a la autonomía del cuerpo». Ho y
otras feministas, relacionadas con el movimiento de lesbianas, defendie-
ron la necesidad de un planteamiento feminista de la liberación sexual,
buscando al mismo tiempo la emancipación de las mujeres y la de su se-
xualidad. En su opinión, la liberación sexual es el modo radical de desa-
fiar la cultura patriarcal, manifestada en el control sobre el cuerpo de la
mujer. El movimiento de liberación sexual de las mujeres, que incluía,
aunque no exclusivamente, un fuerte componente de lesbianas, pasó a la
acción. En 1995, los grupos de estudios sobre la mujer de la Universidad
de Taiwan, movilizados para elegir su candidata al gobierno de la univer-
sidad, comenzaron a exhibir películas pornográficas en los dormitorios de
mujeres. De forma simultánea, se organizó un «festivaiBrótico pionero de
la mujer» en diferentes campus. Las actividades de estas mujeres, en su
mayoría muy jóvenes, tuvieron una gran repercusión en los medios de co-
municación, escandalizaron a la sociedad de Taipei y crearon una preocu-
pación considerable entre las dirigentes feministas, induciendo un agudo
debate, a veces cáustico, dentro del feminismo.
En este contexto de despertar feminista y liberación sexual fue donde
proliferaron los grupos de lesbianas y gays, rompiendo un tabú bien esta-
blecido en la cultura china. Además, en la década de los noventa, la mar-
ginalidad tradicional de los homosexuales en Taiwan se había reforzado y
I 1 |i.>.lci i l c 1.1 i<)<nti<l;i<i
racionalizado por el estigma del sida. Pero, tras la creación del grupo de
lesbianas «Entre Nosotras», siguió una explosión de colectivos de lesbia
ñas y gays, en su mayoría en los campus universitarios: grupos de lesbia
ñas como «Entre Nosotras», ALN, «Lambda» (Universidad de Taiwan) y
«I Bao»; y grupos gays como «Charla Gay» (Universidad de Taiwan),
«NCA» y «En Voz Alta». Otros grupos unieron sus fuerzas entre ambos:
«Taller Homosexual», «Nosotros Podemos» (Universidad de Chin-hua),
DV8 (Universidad de She-shin), «Quist» (Universidad de Chong-yung),
etc. Estos grupos crearon una comunidad homosexual. Aparecieron de
forma colectiva y vincularon la sexualidad, el placer y la política, redescu-
briendo que «lo personal es político». Los bares resultaron cruciales para
la información, la interconexión, la educación y, en definitiva, para la pro-
ducción de la cultura gay y lesbiana. Como escribe Po: «Al igual que los
pubs para la creación de la clase obrera británica, los bares gays desempe-
ñaron un papel importante en la formación de las comunidades gay/les-
biana en Taipei» no
.
No obstante, en la era de la información, en la que Taiwan está su-
mergida de lleno, los gays y las lesbianas no se limitan a los bares en sus
redes. Utilizan mucho Internet y los sistemas de tablones de anuncios in-
formáticos como formas de contacto, comunicación e interacción. Tam-
bién han creado «medios alternativos», sobre todo mediante diversas
emisoras de radio clandestinas gays/lesbianas. Además, en 1996 se emi-
tían dos programas para gays/lesbianas en las emisoras de radio principa-
les de Taipei.
Más allá de la comunicación, la interconexión y la expresión propias,
el movimiento de lesbianas, en estrecha alianza política con el movi-
miento gay, ha sido activo en diversas campañas, protestas sociales y de-
mandas políticas. Resultó particularmente significativa la movilización en
torno a la política sobre el sida. De un lado, las feministas, las lesbianas y
los gays tomaron las calles para protestar por la incriminación de los gays
por parte de las políticas del gobierno como responsables de la epidemia.
De otro, como las mujeres heterosexuales es el grupo de mayor creci-
miento de infectados por el VIH en Asia, el grupo feminista «Despertar»
abordó el tema como una cuestión de supervivencia de la mujer. En
efecto, en Taiwan, el grupo mayor de mujeres infectadas con el virus del
sida son amas de casa, víctimas indefensas de los hábitos de prostitución
de sus esposos. Los grupos de mujeres de Taiwan actuaron sobre la con-
tradicción de las medidas para prevenir la propagación del sida: ¿cómo
podían las mujeres evitar ser contagiadas por sus esposos si no podían
ejercer el control de sus vidas sexuales? Al bajar a la tierra los temas de la
liberación sexual y mostrar a las mujeres que se estaban enfrentando a
una opresión sexual mortal, el movimiento contra el sida, organizado por
110
Po, 1996, pág. 20.
I I hn <M pul i intitulo movimientos sociales, Innnliii y sexualidad... 237
feministas, lesbianas y gays, introdujo un desafío fundamental a la estruc-
tura patriarcal de la dominación sexual.
Una segunda línea de acción importante, emprendida por los movi-
mientos de lesbianas y gays en una sociedad extremadamente patriarcal,
fue la lucha contra el estigma tradicional y la ocultación. Los gays tuvie-
ron que combatir el estigma de anormalidad. Las lesbianas tuvieron que
luchar contra la ocultación. Para ambos, salir a la esfera pública se convir-
tió en la meta suprema para lograr una existencia social. Las actividades
culturales fueron esenciales para ese fin. En 1992, un festival cinemato-
gráfico sobre el «cine homosexual» fue el punto de partida para la autoa-
firmación pública y colectiva. Los públicos lesbiano y gay abarrotaron va-
rias salas de cine y las películas se presentaron con debates sobre «la
teoría homosexual». Por cierto, que los activistas de Taiwan y Hong Kong
han traducido creativamente al chino el término «marica» por «tong-
chii», que significa «camarada», de tal modo que «camarada» ya no hace
referencia a la fraternidad comunista, sino a la identidad de «homose-
xual». Comenzando con el festival de cine, diversas actividades culturales,
siempre comunales y festivas, modificaron de forma sustancial la percep-
ción de la cultura gay y lesbiana en Taiwan, hasta el punto de que, en
1996, el movimiento se sintió lo bastante fuerte como para señalar el día
de san Valentín votando por los diez principales «ídolos gays/lesbianos»
entre figuras destacadas del espectáculo, la sociedad y la política (sin
duda, no a todos los elegidos les entusiasmó su popularidad entre gays y
lesbianas).
En tercer lugar, y sin que sea una sorpresa, los movimientos de gays y
lesbianas han buscado controlar el espacio público, simbolizado por su lu-
cha en torno al Parque Nuevo de Taipei, que juraron «recuperar». El par-
que, próximo a la residencia presidencial, se había convertido en un «es-
pacio homosexual», un lugar importante de reunión y ligues para la
comunidad gay. En 1996, la nueva administración municipal democrática
estaba planeando la renovación de Taipei, incluido este parque. Temero-
sos de verse privados de su «espacio liberado», las lesbianas y los gays pi-
dieron participar en el proyecto de diseño, como grandes usuarios del
parque, y se organizaron en la red «Primera Línea del Espacio Cama-
rada», exigiendo el uso libre del parque par^sus actividades a la luz
del día y escapar de su posición social como «la comunidad de la oscuri-
dad».
Cuando las lesbianas aumentaron su influencia y militancia, surgió
una serie de conflictos entre ellas y el movimiento feminista en general.
El principal fue el concerniente a la revisión del derecho de familia en el
parlamento. Las lesbianas criticaron la propuesta de los grupos de muje-
res porque asumía la norma de la familia heterosexual, pasando por alto
los derechos de los homosexuales. Así pues, las lesbianas y los gays se
movilizaron activamente para obtener la sanción legal del matrimonio en-
II podrí ilr IM iilinl ul.ul
/;•(• miembros del mismo sexo, un tema fundamental, présenle en la mayor
parte de los movimientos de gays/lesbianas de todo el mundo y sobre el
que me extenderé más adelante. El conflicto estimuló la reflexión y el
debate en el movimiento feminista, sobre todo en la reconocida Funda-
ción Despertar. Las lesbianas criticaron la hipocresía de los lemas femi-
nistas tales como «las mujeres quieren a las mujeres» como expresiones
de solidaridad, mientras dejaban de lado la dimensión sexual de ese
amor. En 1996, las lesbianas salieron al descubierto dentro del movi-
miento feminista y sostuvieron con vehemencia sus derechos específicos a
ser reconocidas y defendidas como parte legítima del movimiento de mu-
jeres.
Hay varios elementos que merecen destacarse en esta narración sobre
el movimiento de las lesbianas en Taipei. Acabó con la idea preconcebida
de la perennidad del patriarcado y la heterosexualidad en culturas inspi-
radas por el confucianismo. Fue una extensión del movimiento feminista,
aunque, a la vez, se unió con el movimiento de liberación gay en un frente
para la defensa de los derechos a la sexualidad, bajo todas sus formas. Se
unió a la movilización contra el sida, relacionándola con las consecuencias
de la sumisión sexual de las amas de casa. Tendió un puente entre los de-
bates teóricos de vanguardia sobre el feminismo y el lesbianismo en el
mundo y las adaptaciones específicas a la cultura china y a las institucio-
nes sociales taiwanesas, en la década de los noventa. Utilizó toda una
gama de expresiones culturales para «aparecer colectivamente» ante la
opinión pública. Hizo un uso extensivo de Internet y de los medios de co-
municación alternativos, como las emisoras piratas. Vinculó los movi-
mientos sociales urbanos con las luchas políticas de ámbito local. Y pro-
fundizó la crítica de la familia patriarcal, participando en una batalla legal
y cultural para formular la noción de los matrimonios del mismo sexo y
las familias no heterosexuales. Me extenderé sobre estos temas cuando
recapitule la relación que existe entre los movimientos de gays y lesbianas
y su desafío al patriarcado.
Espacios de libertad: la comunidad gay de San Franciscom
Se suele considerar que el movimiento de liberación gay estadouni-
dense tuvo como punto de partida la Revuelta de Stonewall, en Green-
wich Village de Nueva York, el 27 de junio de 1969, cuando cientos de
gays lucharon contra la policía durante tres días como reacción a una bru-
tal redada, una más de las efectuadas en The Stonewall, un bar gay. A
partir de entonces, el movimiento creció a gran velocidad, sobre todo en
'" Para las fuentes y los métodos de mi estudio sobre la comunidad gay de San Fran-
cisco, véase Castells, 1983, sobre todo el apéndice metodológico, págs. 355-362.
I I Un ili'l |i;ifiimrmln IIMIVIIIIICIIIDS sociltlCN. hlllllll.i y scXlllllidml... 2V>
las grandes sircas metropolitanas, a medida que los gays salieron a la lux,
pública, tanto de forma individual como colectiva. En 1969, había unas 50
organizaciones de ámbito nacional; en 1973 el número había ascendido a
más de 800. Aunque en Nueva York y Los Angeles, debido á su tamaño,
residían el mayor número de gays, fue en San Francisco donde se formó
una comunidad gay visible, organizada y politizada, que durante las dos
décadas siguientes transformó el espacio de la ciudad, su cultura y su polí-
tica. Según mis cálculos (necesariamente aproximados, ya que, por for-
tuna, no hay datos estadísticos sobre la preferencia sexual), en torno a
1980, la población gay y lesbiana podía representar en torno al 17% de
los residentes adultos de la ciudad (dos tercios de ella, hombres gays) y en
elecciones locales importantes, debido a su alto índice de participación
pueden haber supuesto en torno al 30% de los votantes. Mi conjetura es
que, en la década de los noventa, a pesar de las numerosas muertes pro-
ducidas por la epidemia de sida de mediados de los ochenta, la población
gay y lesbiana de San Francisco ha aumentado, sobre todo debido a un in-
cremento de las lesbianas, la continua inmigración gay y la consolidación
de las parejas estables del mismo sexo. Y, lo que es más significativo, los
gays se asentaron predominantemente en ciertas zonas de la ciudad, for-
mando auténticas comunas, en las que las residencias, las empresas, las
propiedades inmobiliarias, los bares, los restaurantes, los cines, los cen-
tros culturales, las asociaciones vecinales, las reuniones y celebraciones
callejeras formaron un tejido de vida social y autonomía cultural: un espa-
cio de libertad. A partir de este espacio, los gays y las lesbianas se organi-
zaron políticamente y llegaron a ejercer una influencia considerable en el
gobierno local de San Francisco, incluido el reclutamiento obligatorio en-
tre gays y lesbianas de, al menos, el 10% de las fuerzas del departamento
de policía. Esta concentración espacial de poblaciones gays es una marca
de la cultura gay en la mayoría de las ciudades, si bien en la década de los
noventa, con la mayor tolerancia social y muchas más personas que reco-
nocen abiertamente su homosexualidad, se han difundido en la mayor
parte de la geografía metropolitana de los Estados Unidos, con gran
temor de los conservadores homófobos. La razón de esta concentración
geográfica en el estadio formativo de la cultura gay es doble: visibilidad
y protección. Como Harry Britt, dirigente político de los gays de San
Francisco, me dijo en una entrevista hace años: «Cuando los gay están di-
seminados espacialmente, no son gays debido a su invisibilidad». El acto
liberador fundamental para los gays fue/es «aparecer», expresar pública-
mente su identidad y su sexualidad, y luego resocializarse. Pero ¿cómo es
posible ser gay a las claras, en medio de una sociedad hostil y violenta
cada vez más insegura acerca de sus valores fundamentales de virilidad y
patriarcado? ¿Y cómo se puede aprender una nueva conducta, un nuevo
código y una nueva cultura en un mundo donde la sexualidad está implí-
cita en la presentación del yo de cada uno y donde la asunción general es
Z40 El |><iiUi d e ln H I I U I H I . H I
la hctcrosexuaüdad? Para expresarse, los gays siempre se lian reunido, cu
los tiempos modernos, en bares nocturnos y lugares codificados. Cuando
tuvieron suficiente conciencia y fuerza para «aparecer» colectivamente
marcaron lugares donde podían estar a salvo juntos e inventar nuevas vi
das. Las fronteras territoriales de sus lugares elegidos se convirtieron en
la base para la construcción de instituciones autónomas y la creación de
una autonomía cultural. Levine ha expuesto el modelo sistemático de las
concentraciones espaciales de los gays en las ciudades estadounidenses
durante la década de los setenta m
. Aunque él y otros utilizaron el tér
mino «gueto», los militantes gays hablan de «zonas liberadas»: y, en
efecto, existe una importante diferencia entre los guetos y las áreas gays,
ya que las últimas suelen estar construidas deliberadamente por personas
gays para crear su ciudad propia, en el marco de la sociedad urbana más
amplia. ¿Por qué San Francisco? Ciudad instantánea, asentamiento para
aventureros atraídos por el oro y la libertad, San Francisco siempre fue
un lugar de normas morales tolerantes. La Barbary Coast era un punto de
encuentro para marineros, viajeros, transeúntes, soñadores, estafadores,
empresarios, rebeldes y desviados, un entorno de encuentros casuales y
pocas reglas sociales, donde la línea divisoria de lo normal y lo anormal
era borrosa. No obstante, en los años veinte, la ciudad decidió volverse
respetable, surgiendo como la capital cultural del Oeste estadounidense y
creciendo elegantemente bajo la sombra autoritaria de la Iglesia católica,
con el apoyo de sus legiones de irlandeses e italianos de clase obrera.
Cuando el movimiento de reforma alcanzó al ayuntamiento y la policía en
los años treinta, los «desviados» fueron reprimidos y obligados a ocul-
tarse. Así pues, los orígenes pioneros de San Francisco como ciudad libre
no bastan para explicar su destino como escenario de la liberación gay. El
punto decisivo fue la Segunda Guerra Mundial. San Francisco fue el prin-
cipal puerto del frente del Pacífico. Pasaron por la ciudad unos 1,6 millo-
nes de hombres y mujeres jóvenes: solos, desarraigados, al borde de la
muerte y el sufrimiento y compartiendo la mayor parte del tiempo con
personas de su mismo sexo, muchos de ellos descubrieron, o eligieron, la
homosexualidad. Y muchos fueron licenciados con deshonor de la marina
y desembarcados en San Francisco. En lugar de volver a lugares como
lowa a soportar el estigma, se quedaron en la ciudad, y a ellos se unieron
otros miles de gays al final de la guerra. Se reunían en bares y formaron
redes de apoyo y participación. Desde finales de los años cuarenta, co-
menzó a surgir una cultura gay. Sin embargo, la transición de los bares a
las calles hubo de esperar más de una década, cuando florecieron en San
Francisco modos de vida alternativos, con la generación beatnik, y en
torno a los círculos literarios que se interconectaron en la librería City
Lights, con Ginsberg, Kerouac y los poetas de Black Mountain, entre
112
Levine, 1979.
II luí del paUíaiindo movimientos sociales, Lunilla y sexualidad... 241
oíros. Esta cultura se concentró espacialmente en la antigua zona italiana
ilc North Beach, cerca de la zona de tolerancia turística de Broadway.
I ,os gays fueron plenamente aceptados en este ambiente tolerante y expe-
rimental. Cuando los medios de comunicación se centraron en la cultura
heatnik, destacaron la amplia presencia de la homosexualidad cómo una
prueba de su desviación. Al hacerlo, dieron publicidad a San Francisco
como una meca gay, atrayendo a miles de gays de todos los Estados Uni-
dos. El ayuntamiento respondió con represión, lo que llevó a la forma-
ción, en 1964, de la Society of Individual Rights, que defendía a los gays,
en conexión con el Tavern Guild, una asociación comercial de gays y pro-
pietarios de bares bohemios que luchaba contra el acoso policial. Luego,
a finales de la década de los sesenta, la cultura hippy, el movimiento so-
cial que tuvo lugar en la zona de la bahía de San Francisco, sobre todo en
Berkeley/Oakland, y el surgimiento del movimiento de liberación gay en
todos los Estados Unidos, indujo un cambio cualitativo en el desarrollo
de la comunidad gay de San Francisco, apoyándose en las redes estableci-
das a lo largo de la historia. En 1971, por primera vez, el movimiento gay
de California tuvo fuerza suficiente para organizar una marcha sobre la
capital, Sacramento, en apoyo de sus derechos. En la década de los
setenta, en ciertos barrios de San Francisco, sobre todo en la zona de
Castro, floreció una comunidad gay que compró o alquiló casas en un
ruinoso distrito de clase obrera tradicional, que fue rehabilitado por
grupos de gays, corredores de fincas gays y compañías de restauración
gays. También se afincaron en la zona las empresas cuyos propietarios
eran homosexuales. Desde lugares dispersos, pasando por los bares y
las zonas contraculturales, ya en los años setenta, los gays fueron capaces
de concentrarse en un barrio que podían llamar suyo. La figura 4.11
muestra la expansión de las zonas residenciales gays en San Francisco, en-
tre los años cincuenta y ochenta, a partir de datos de mi investigación de
campo.
No obstante, la construcción de la comunidad gay no fue puramente
espontánea. También fue el resultado de una acción política deliberada,
sobre todo bajo el impulso del dirigente histórico de la comunidad gay
de San Francisco, Harvey Milk. Licenciado por la^Üniversidad Estatal
de Nueva York en Albany, no pudo dedicarse a la enseñanza después
de ser expulsado de la marina debido a su homosexualidad. Al igual
que miles de gays, emigró a San Francisco en 1969. Tras dejar un tra-
bajo como analista financiero, abrió una tienda de fotografía, Castro
Camera, en la calle de Castro. Concibió un plan para que los gays evo-
lucionaran de la comunidad a los negocios y el poder. Hizo un llama-
miento para que «los gays compraran gay», de tal modo que Castro se
convirtiera en algo más que un lugar de ligue, en un lugar propiedad de
los gays, donde vivieran y disfrutaran como tales. Luego, si los gays po-
dían comprar gay, y vivir como gays, también podrían votar gay. En
242 II poder di- l;i ¡dcntiducl
Golden Gate
Íi:jjj:;3 ^ Q Q ^ | l BSKtt3SÍl H ^
década década Com. de la Med. de la Finales de la
de 1950 de 1960 déc. de 1970 déc. de 1970 década de 1970
FIGURA 4.11 Zonas residenciales gays en San Francisco.
Fi«'/íft<: Castells, 1983.
1973, se presentó a supervisor (miembro del consejo municipal) de la
ciudad de San Francisco, explícitamente como candidato gay. Le fue
bien, pero no salió elegido. Siguió trabajando para crear una base polí-
tica, fortaleciendo los clubes políticos gays, vinculándolos con el Partido
Demócrata y ampliando su programa para abordar temas de política ur-
bana local, como el control de la especulación inmobiliaria. Un aconte-
cimiento político cambió su destino. En 1975, un senador liberal de Ca-
lifornia, George Moscone, fue elegido alcalde de San Francisco por un
estrecho margen. Para asegurarse el respaldo de la ya para entonces po-
derosa comunidad gay, Moscone nombró a Milk para un puesto impor-
tante en la administración local. Por primera vez, un dirigente abierta-
mente gay se convirtió en un alto cargo de la ciudad. En torno a las
mismas fechas, el poderoso movimiento vecinal de San Francisco ob-
tuvo una reforma de la ley electoral que establecía las elecciones para
Hl fin del pulíinniulii movimientos sociales, lamilla y sexualidad... 24.1
el consejo municipal de la ciudad (Junta de supervisores) por distritos
locales, en lugar de votar en la ciudad en general. Luego en el territorio
que la comunidad gay había conquistado en la zona de Castro, que se
convirtió en un distrito electoral, Harvey Milk fue elegido supervisor en
1977. Desde esta nueva plataforma, movilizó el poder gay en ííjda la
ciudad y el estado. En 1978 se presentó una propuesta conservadora a
los votantes de California para prohibir a los homosexuales enseñar en
las escuelas públicas. Los votantes la rechazaron por un 58% de los vo-
tos en California, el 75% en San Francisco. Harvey Milk, con una hábil
actuación en los medios de comunicación, fue el dirigente de la cam-
paña. En abril de 1978, la Junta de Supervisores aprobó una Ordenanza
de Derechos Gays muy liberal. Al mismo tiempo, dos dirigentes lesbia-
nas, Del Martin y Phyllis Lyon, que ocupaban cargos en el servicio de
correos del ayuntamiento, recibieron de la ciudad de San Francisco un
diploma de honor por sus servicios cívicos —incluido el apoyo a las les-
bianas— y por sus veinticinco años de vida juntas. Este y otros avances
gays eran más de lo que la cultura homófoba podía tolerar. El 27 de no-
viembre de 1978, un supervisor conservador de la ciudad, Dan White,
un ex policía que había hecho campaña contra la tolerancia hacia «los
desviados sexuales», mató a tiros al alcalde George Moscone y al super-
visor Harvey Milk en sus despachos del ayuntamiento. Después se en-
tregó a sus antiguos compañeros del departamento de policía. El duelo
por Moscone y Milk fue una de las manifestaciones políticas más impre-
sionantes jamás vistas en San Francisco: 20.000 personas marcharon con
velas, en silencio, tras escuchar a los oradores, que pidieron al movi-
miento que siguiera luchando del modo que había enseñado Harvey
Milk. La nueva alcaldesa, Dianne Feinstein, nombró a otro dirigente
gay, Harry Britt, socialista, para reemplazar a Harvey Milk en su
puesto, y después fue elegido supervisor. Durante la década siguiente,
los dirigentes homosexuales aumentaron su representación en la Junta
de Supervisores de la ciudad y, aunque perdieron unas elecciones en
1992 en favor de un alcalde conservador, volvieron a ser un compo-
nente importante de la coalición que apoyó la elección de Willie
Brown, veterano dirigente demócrata negro, corao alcalde de San Fran-
cisco en 1996. Una anécdota de la campaña de ^996 revela el estado de
confusión mental de la cultura homófoba en San Francisco, perdida en
la incertidumbre de los valores tanto tiempo estimados. El alcalde titu-
lar, ex jefe de policía, puede que perdiera su reelección tras un impor-
tante error político. Al rezagarse en las encuestas, trató de encontrar un
modo de congraciarse con la audiencia gay y se dejó fotografiar des-
nudo, mientras concedía una entrevista en la ducha a un periodista de
la radio también desnudo. La violenta respuesta de los ofendidos votan-
tes, tanto gays como heterosexuales, le hizo perder todas sus posibilida-
des. El nuevo alcalde renovó el compromiso de dos décadas, por parte
?4-l til poder ele la identidad
de la ciudad, de respetar y mejorar los derechos de los gays y su cul-
tura, y que fue objeto de varias celebraciones y desfiles ese año.
Sin embargo, la comunidad gay de los años noventa no es la misma
que la formada en los setenta, debido a la aparición del sida a comien-
zos de la década de los ochenta l13
. En diez años, murieron unas 15.000
personas por su causa en San Francisco y a varios miles se les diagnos-
ticó infección por el VIH. La reacción de la comunidad gay fue notable,
ya que San Francisco se convirtió en un modelo para todo el mundo en
cuanto a autoorganización, prevención y acción política orientada a con-
trolar la epidemia de sida, un peligro para la humanidad. Creo que es
exacto decir que el movimiento gay más importante de la década de los
ochenta/noventa es el componente gay del movimiento contra el sida,
en sus diferentes manifestaciones, de las clínicas a los grupos militantes
como ACT UP!. En San Francisco, la primera iniciativa se dirigió a
ayudar a los enfermos y evitar que se extendiera la enfermedad. Se em-
prendió un esfuerzo a gran escala para educar a la comunidad, ense-
ñando y difundiendo procedimientos para mantener unas relaciones
sexuales seguras. Tras unos cuantos años, los resultados fueron especta-
culares. En la década de los noventa, en San Francisco, y en California,
la incidencia de nuevos casos de sida es mucho mayor en la población
heterosexual, como resultado del uso de drogas, la prostitución, la infec-
ción de las mujeres por hombres imprudentes y, en algunos casos, ban-
cos de sangre contaminados, mientras que la población gay, más edu-
cada y mejor organizada, ha visto descender de forma significativa las
nuevas infecciones. Se organizó el cuidado de los enfermos a todos los
niveles, el Hospital General de San Francisco se convirtió en el primero
en establecer una sección permanente de sida y una red completa de
voluntarios proporcionó "ayuda y alivio a las personas, en el hospital y
en casa. Las presiones de los militantes para aumentar los fondos para
las investigaciones y para acelerar la obtención de la aprobación de las
medicinas experimentales en cuanto se obtenían produjeron resultados
considerables. El Hospital de la Universidad de California en San Fran-
cisco se convirtió en uno de los centros principales de investigación so-
bre el sida. En una perspectiva más amplia, la Conferencia Mundial
sobre el Sida celebrada en Vancouver en 1996 anunció avances poten-
ciales para controlar la enfermedad y, tal vez, para disminuir su carácter
letal en el futuro.
Pero quizás el esfuerzo más importante de la comunidad gay, en San
Francisco y en otros lugares, fue la batalla cultural para desmitificar el
sida, para quitarle el estigma y para convencer al mundo de que no lo
113
Para una exposición de la relación entre el movimiento gay, la lucha contra el sida y
las reacciones de la sociedad, véanse Coates et ai, 1988; Mass, 1990; Heller, 1992; Price y
Hsu, 1992; Herek y Greene, 1995; Lloyd y Kuselewickz, 1995.
Kl fin del palriamulo: muvimicnlos sociales, familia y sexualidad... 245
producía la homosexualidad o la sexualidad. Las redes de contacto, que
incluían el contacto sexual pero comprendían muchas otras formas, eran
los mensajeros letales, no la homosexualidad 114
. Y la desconexión de
esas redes, con lo que se controlaría la epidemia, no se lograría/íne-
diante el confinamiento, sino con educación, organización y responsabi-
lidad, respaldadas tanto por las instituciones de salud pública como por
la conciencia cívica. Que la comunidad gay, comenzando en San Fran-
cisco, pudiera ganar esta penosa batalla fue una contribución decisiva
para la humanidad. No sólo porque se evitó un nuevo crimen contra
ella, cuando el movimiento combatió con éxito los llamamientos para
detectar y confinar a los portadores del virus. Lo fundamental que es-
taba en juego era la capacidad del mundo para mirar al sida directa-
mente a sus ojos aterradores y afrontar la epidemia, atendiendo a las
características del (los) virus y no a nuestros prejuicios y pesadillas. En
todo el mundo, se estuvo a punto de considerarlo un castigo divino me-
recido contra la Nueva Sodoma y, por lo tanto, de no tomar las medi-
das necesarias para evitar una expansión aún mayor de la enfermedad
hasta que hubiera sido demasiado tarde para controlarla. Que no lo hi-
ciéramos, que las sociedades aprendieran a tiempo que no se trataba de
una enfermedad homosexual y que las fuentes y vehículos de su expan-
sión debían combatirse en la sociedad en general, fue obra, en buena
medida, del movimiento de lucha contra el sida, centrado en la comuni-
dad gay, con sus pioneros (muchos de ellos camino de la muerte) en la
ciudad liberada de San Francisco.
Hasta cierto punto relacionada con la epidemia de sida, otra impor-
tante tendencia se manifestó en la década de los noventa en la comuni-
dad gay de San Francisco. Los patrones de interacción sexual se volvie-
ron más estables, en parte como un signo del envejecimiento y
maduración de algunos segmentos de la comunidad, en parte como modo
de canalizar la sexualidad en pautas más seguras. El anhelo de familias
del mismo sexo se convirtió en una de las tendencias culturales más in-
tensas entre los gays y, aún más, entre las lesbianas. La comodidad de
una relación duradera y monógama se volvió el modelo predominante
entre los gays y las lesbianas de mediana edad. En consecuencia, brotó
un nuevo movimiento en la comunidad gay para obtener el reconoci-
miento institucional de esas relaciones estables como familias. Así pues,
se buscó la certificación como parejas de hecho de los gobiernos locales y
estatales, que conllevaba el derecho a los beneficios del cónyuge. Es más,
la legalización de los matrimonios del mismo sexo se convirtió en una im-
portante demanda del movimiento, tomando la palabra a los conservado-
res en la promoción de los valores familiares y extendiendo el valor de la
familia a las formas de amor, de compartir y de criar a los hijos no tradi-
114
Castells, 1992c.
d " I I |)(lll('l (le l.l kli'llllil.ul
cionales y no heterosexuales. Lo que comenzó como un movimiento de
liberación sexual cerró el círculo en torno a la familia patriarcal, ata
cando sus raíces heterosexuales y subvertiendo su apropiación exclusiva
de los valores familiares.
Como toda acción acarrea una reacción, la domesticación relativa de
la sexualidad en las nuevas familias gays y lesbianas indujo paralela
mente el desarrollo de culturas sexuales minoritarias (tanto heterosexua
les como homosexuales), como el movimiento sadomasoquista y las re
des de esclavitud sexual voluntaria, un fenómeno significativo en la
escena de San Francisco, sobre todo en la zona de South of Market, en la
década de los noventa, aunque identifiqué la importancia de esta re-
vuelta cultural/personal en mi trabajo de campo hace quince años. Los
sadomasoquistas, cuya cultura incluye a algunos intelectuales muy elo-
cuentes, critican a los gays de la corriente dominante por tratar de definir
nuevas formas de lo «socialmente aceptable», con lo que reproducen la
lógica de dominación que ha oprimido a los gays y las lesbianas a lo largo
de la historia. Para los sadomasoquistas, el viaje no tiene fin. Así pues,
la violencia controlada, la humillación aceptada, las subastas de esclavos,
el placer doloroso, la ropa de cuero, los emblemas nazis, las cadenas
y los látigos son más que estímulos sexuales. Son expresiones cultura-
les de la necesidad de destruir cualquier valor moral que la sociedad
recta les haya dejado, ya que estos valores se han usado tradicionalmente
para estigmatizar y reprimir la homosexualidad y la sexualidad. La ver-
güenza considerable que esta minoría cultural causa a la mayoría de gays
y lesbianas es síntoma de que abordan un tema importante, aunque di-
fícil.
Recluida en su gueto cultural, no es probable que la comunidad gay
logre la revolución sexual y la subversión del patriarcado que, de forma
implícita, son las metas del movimiento, aun cuando no las apoye el seg-
mento creciente de élites masculinas que consumen, más que producen,
el movimiento gay. Para alcanzar la liberación gay, parece ser una condi-
ción necesaria establecer alianzas estratégicas con las lesbianas y con el
movimiento feminista en general. Pero los gays son hombres y su sociali-
zación como tales y los privilegios que disfrutan, sobre todo si son blan-
cos y de clase media, limita su incorporación plena a una alianza antipa-
triarcal. Por ello, en San Francisco, en los años noventa, existe una
división creciente entre una alianza de orientación radical entre gays y
lesbianas y una élite gay respetable que se ha establecido como un grupo
de interés para defender los derechos gays, como minoría tolerada, den-
tro de las instituciones del patriarcado. No obstante, si esta diversidad
puede expresarse dentro de un movimiento más amplio que permite a la
gente la libertad de elegir a quién amar, en contradicción con la norma
heterosexual, es debido a que Harvey Milk y otros pioneros construye-
ron una vez una comuna libre en el Oeste.
I I lin i lo I pul uniendo IIIIIMIIIU'IIUIS M iciiiIcs, liiiiuliii y sexualidad... 247
Recapitulación: identidad sexual y familia patriarcal
El movimiento gay y el de las lesbianas no defienden simplemente los
derechos humanos básicos de elegir a quién amar y cómo hacerlo. Son
además vigorosas expresiones de identidad sexual y, por lo tanto, de libe-
ración sexual. Por eso, desafían algunos de los cimientos milenarios sobre
los que las sociedades se construyeron en la historia: la represión sexual y
la heterosexualidad obligatoria.
Cuando las lesbianas, en un medio institucional tan represivo y pa-
triarcal como la cultura china de Taipei, fueron capaces de expresar fran-
camente su sexualidad y reclamar la inclusión de los matrimonios del
mismo sexo en el código familiar, se abrió una brecha fundamental en el
andamiaje institucional construido para controlar el deseo. Si la comuni-
dad gay es capaz de superar la estigmatización ignorante y ayudar a evitar
la epidemia del sida, significa que las sociedades se han vuelto capaces de
extraerse de su oscuridad y de mirar toda la diversidad de la experiencia
humana sin prejuicios y sin violencia. Y si a las campañas electorales pre-
sidenciales, en los Estados Unidos por el momento, no les ha quedado
más remedio que tener en cuenta los debates sobre los derechos gays,
quiere decirse que ya no se puede dejar de lado o simplemente reprimir
el desafío de los movimientos sociales a la heterosexualidad. No obstante,
es imposible confinar las fuerzas transformadoras que han liberado los
movimientos de identidad sexual dentro de los límites de la tolerancia y el
respeto a los derechos humanos. Ponen en movimiento una crítica corro-
siva de la normalización sexual y de la familia patriarcal. Su reto es parti-
cularmente aterrador para el patriarcado porque tiene lugar en un tiempo
histórico en el que la investigación biológica y la tecnología médica per-
miten la disociación de heterosexualidad, patriarcado y reproducción de
la especie. Las familias del mismo sexo que no renuncian a la crianza de
los hijos son la expresión más franca de esta posibilidad.
Por otra parte, el desdibujamiento de las fronteras sexuales, desaco-
plando familia, sexualidad, amor, género y poder, introduce una crítica
cultural fundamental en el mundo tal como lo hemos conocido. Por ello,
el desarrollo futuro de los movimientos de liberación sexual no será fácil.
Al pasar de la defensa de los derechos humanos a la reconstrucción de la
sexualidad, la familia y la personalidad, tocan los centros nerviosos de la
represión y la civilización, y serán respondidos del mismo modo. El movi-
miento gay y el de lesbianas tienen por delante un horizonte tormentoso
y el sida no será el único rostro espantoso del ataque antisexual. No obs-
tante, si la experiencia del último cuarto de siglo tiene algún valor indica-
tivo, el poder de la identidad parece tornarse mágico cuando es tocado
por la fuerza del amor.
2AK II |>in|{ i ilc ln KICIIIKIÍKI
FAMILIA, SEXUALIDAD Y PERSONALIDAD EN LA CRISIS DEL
PATRIARCADO115
En la sociedad que se separa y divorcia, la familia nuclear genera una diversidad de
nuevos lazos de parentesco asociados, por ejemplo, con las denominadas familias
recombinadas. Sin embargo, la naturaleza de estos lazos cambia en la medida en
que están sometidos a una mayor negociación que antes. Las relaciones de paren-
tesco solían darse por sentadas sobre la base de la confianza; ahora la confianza ha
de negociarse y concertarse, y el compromiso es un tema importante tanto en esto
como en las relaciones sexuales.
Anthony Giddens, The Transformation oflntimacy, pág. 96.
La transformación de la familia
La crisis del patriarcado, inducida por la interacción entre el capita-
lismo informacional y los movimientos sociales feminista y de identidad
sexual, se manifiesta en la diversidad creciente de formas de asociación
entre la gente para compartir la vida y criar a los hijos. Ilustraré este
punto utilizando los datos estadounidenses para simplificar el argumento.
Sin embargo, no quiero dar a entender que, por definición, todos los paí-
ses y culturas sigan esta evolución. Pero si las tendencias sociales, econó-
micas y tecnológicas que subyacen en la crisis del patriarcado están pre-
sentes a lo largo del mundo, es plausible que la mayoría de las sociedades
reconstruyan o reemplacen sus instituciones patriarcales, si bien a partir
de las condiciones específicas de su cultura e historia. La exposición que
sigue, basada empíricamente en las tendencias estadounidenses, pretende
identificar los mecanismos sociales que conectan la crisis de la familia pa-
triarcal y la transformación de la identidad sexual con la redefinición so-
cial de la vida familiar y, de este modo, con los sistemas de personalidad.
No se trata de la desaparición de la familia, sino de su profunda diver-
sificación y del cambio en su sistema de poder. En efecto, la mayoría de la
gente continúa casándose: el 90% de los estadounidenses lo hacen a lo
largo de su vida. Cuando se divorcian, el 60% de las mujeres y el 75% de
los hombres vuelven a casarse, como media, dentro de los tres años si-
guientes. Y los gays y las lesbianas luchan por su derecho al matrimonio
legal. No obstante, los matrimonios tardíos, la frecuencia de las parejas de
hecho y las altas tasas de divorcio (estabilizadas en torno a la mitad de los
matrimonios totales) y separación se combinan para producir un perfil
1,5
Los datos que se ofrecen en esta sección proceden de la Oficina del Censo estadouni-
dense y de The World Almanac and Book ofFacts (1996), a menos que se señale otra cosa.
Las publicaciones de la Oficina del Censo utilizadas para recopilar estos datos son: Departa-
mento de Comercio, Administración de Economía y Estadística, Oficina del Censo (1989,
1991,1992a-d).
1.1 lili i k l j >,'11 r i, 11 > j111< > movimientos sociales. I;u))ilin y sexiüilidml..
Núm. de hogares
53 mili. 63 mili. 81 mili.
44,2
30,3
4,4
6,4
1,7
1960
40,3
30,3
5,0
5,6
5,6
11,5
1,7
1970
30,9
29,9
7,5
5,4
8,6
14,0
:"u :
1980
93 mili.
I | Hogares de familia g ¡ Hogares sin familia
26,3
29,8
8,3
6,5
97
T¡
14,9
4,6
1990
Parejas casadas
"con hijos
Parejas casadas
"sin hijos
Otras familias
con hijos
Otras familias
sin hijos
: Hombres que viven
solos
Mujeres que viven
"solas
Otros hogares sin
familia
FIGURA 4.l2a Composición de los hogares en los Estados Unidos, 1960-1990
(porcentaje).
(hijos= hijos propios menores de dieciocho años)
Fuente: Oficina del Censo estadounidense, 1992a.
cada vez más diverso de vida familiar y no familiar (las figuras 4.12 y
4.12b compendian estas tendencias para 1960-1990 y para 1970-1995). Los
denominados «hogares no familiares» se duplicaron entre 1960 y 1995,
aumentando del 15% al 29% de los hogares, incluyendo, naturalmente, a
los ancianos solos, con lo que reflejan una tendencia demográfica al
mismo tiempo que un cambio cultural. Las mujeres representan dos ter-
cios de los hogares de un solo miembro. Lo que es más significativo, la ca-
tegoría arquetípica «parejas casadas con hijos» descendió del 44,2% de
los hogares en 1960 al 25,5% en 1995. Así pues, el «modelo» de la familia
nuclear patriarcal es real sólo para algo más de un cuarto de los hogatcs
2MI El poder ík : identidad
1990
H Parejas casadas con hijos
</| Parejas casadas sin hijos
H I Otras familias con hijos
£¡S3 Otras familias sin hijos
i Ü Personas que viven solas
| | Otros (personas sin parentesco)
FIGURA 4.12b Composición de los hogares en los Estados Unidos, 1970-1995
(porcentaje).
Fuente: Oficina del Censo estadounidense, 1996.
estadounidenses. Stacey cita fuentes que indican que si consideramos la
versión más tradicional del patriarcado, es decir, la pareja casada con hi-
jos, en la que el único que gana el sustento es el varón y la esposa es ama
de casa a tiempo completo, la proporción desciende hasta el 7% del total
de hogares116
.
La vida de los niños se ha transformado. Como muestra la figura 4.13,
más de un cuarto de los niños no vivían con sus dos progenitores en 1990,
en contraste con menos de un 13% en 1960. Es más, según un estudio de
la Oficina del Censo estadounidense, en 1991 la proporción de hijos que
Stacey, 1990, pág. 28.
El fin del piilrimvmlo: movimientos sociales, familia y sexualidad... 251
1960
| | Otros
¡¡¡| Sólo padre
1970 1980
Isólo madre
¡Dos progenitores
1990
FIGURA 4.13 Organización de la vida de los hijos menores de diecieeho años, por la
presencia de los progenitores, en los Estados Unidos, 196CK1990 (distribución
porcentual).
Fuente: Oficina del Censo estadounidense (1992a).
vivían con sus dos padres biológicos era sólo del 50,8%U1
. Otras fuentes
también calculan que «cerca del 50% del total de los niños no viven con
117
Oficina del Censo estadounidense, 1994.
252 I I |)ixlci de l.i identidad
ambos padres genéticos» llK
. Las adopciones han aumentado de forma
sustancial en las dos últimas décadas y 20.000 niños han nacido mediante
la fertilización in vitro119
. Las tendencias, todas apuntando en la misma di-
rección de la desaparición de la familia nuclear patriarcal, son las que
realmente cuentan: la proporción de niños que viven con un solo progeni-
tor se duplicó entre 1970 y 1990, alcanzando el 25% del total. Entre estos
niños, la proporción de los que vivían con una madre casada de nuevo au-
mentó del 7% en 1970 al 31% en 1990. Los hogares cuya cabeza de fami-
lia es una madre sola con hijos aumentó un 90,5% en los años setenta y
un 21,2% adicional en los ochenta. Los hogares cuyo cabeza de familia es
un padre solo con hijos, aunque sólo suponían el 3,1% del total en 1990,
crecen aún más de prisa: un 80,6% en la década de los setenta y un 87,2%
en la de los ochenta. Las familias cuya cabeza de familia es una mujer sin
esposo presente crecieron del 11% del total de las familias en 1970 al
18% en 1994. El porcentaje de niños que viven con su madre se duplicó
entre 1970 y 1994, del 11 al 22%, mientras que la proporción de los que
viven sólo con su padre se triplicó en el mismo periodo, pasando del 1 al
3%.
Los nuevos perfiles de la organización de la vida se multiplican 120
. En
1980, había 4 millones de familias recombinadas (que incluyen los niños
de matrimonios previos); en 1990, 5 millones. En 1992, un cuarto de las
mujeres solteras mayores de dieciocho años tenían hijos; en 1993, había 3
millones y medio de parejas no casadas, de las cuales el 35% tenían niños
en el hogar; el número de padres no casados con hijos se duplicó de 1980
a 1992; un millón de niños vivían con sus abuelos en 1990 (un 10% más
desde los años sesenta), de un total de 3 millones y medio de niños que
compartían su hogar con un abuelo. Los matrimonios precedidos por co-
habitación ascendieron del 8% de finales de los años sesenta al 49% de
mediados de los ochenta y la mitad de las parejas de hecho tienen hijos121
.
Además, con la entrada masiva de la mujer en el mercado de trabajo y su
papel indispensable como proveedora de la familia, pocos niños pueden
disfrutar del cuidado a tiempo completo de sus madres o de sus padres.
En 1990, tanto el esposo como la esposa trabajaban fuera del hogar en
cerca de un 70% de las familias de parejas casadas y el 58% de las madres
con hijos pequeños trabajaban fuera del hogar. El cuidado de los hijos es
un problema importante para las familias y se realizaba en sus hogares
por parientes o vecinos en el caso de dos tercios de los niños122
, a los cua-
les debemos añadir las ayudas domésticas sin registrar. Las mujeres po-
lls
Buss, 1994, pág. 168.
"' Reigot y Spina, 1996, pág. 238.
12,1
Reigot y Spina, 1996.
121
Coleman y Ganong, 1993, pág. 113.
122
Farnsworth Riche, 1996.
lil fin clrl |)iitniirciiili> i i i o n n m utos MU -lali-s, Í.IIIIIII.I y scxUHlul.ul... ."I l
 , •• __ so-
bres, a (as que es imposible pagar por el cuidado de sus hijos, se enfrentan
a la elección de separarse de ellos o renunciar al trabajo, cayendo luego
en la trampa de la beneficencia, que puede llevar a que les quiten a sus
hijos m
.
Existen escasas estimaciones fiables sobre los hogares y familias del
mismo sexo. Una de las pocas es la realizada por Gonsioreck y Weinrich,
según los cuales, un 10% de la población masculina estadounidense es
gay y entre un 6 y un 7% de la población femenina es lesbiana124
. Calcu-
lan que en torno a un 20% de la población masculina gay estuvo casada
alguna vez y que, entre un 20 y un 50% de ella, tuvo hijos. Las lesbianas
suelen ser madres, muchas de ellas de matrimonios heterosexuales pre-
vios. Una valoración de ámbito muy amplio propone la cifra de niños que
viven con sus madres lesbianas entre 1,5 y 3,3 millones. El número de ni-
ños que viven con sus progenitores gays o lesbianas se estima entre 4 y 6
millones125
. Entre los hogares sin familia, la categoría de crecimiento más
rápido es «otros hogares sin familia», que aumentó del 1,7% del total de
hogares en 1970 al 5% en 1995. En este grupo, según el censo estadouni-
dense, se encuentran quienes comparten casa, los amigos y las personas
sin parentesco. De hecho, esta categoría incluiría tanto a las parejas hete-
rosexuales como a las homosexuales que cohabitan sin hijos.
En cuanto a las proyecciones para el futuro inmediato, utilizando las
estimaciones de la Universidad de Harvard sobre la formación de los ho-
gares hasta el año 2000, como porcentaje del total de hogares, las parejas
casadas con hijos se espera que desciendan aún más, del 31,5% en 1980 al
23,4% en 2000, mientras que los hogares de una sola persona pueden au-
mentar del 22,6% al 26,6%, superando estadísticamente al hogar tipo de
parejas casadas con hijos126
. Los padres solos ascenderían ligeramente del
7,7% al 8,7%. Las parejas casadas sin hijos se convertirían en el tipo de
hogar más numeroso, pero no predominante, permaneciendo en torno al
29,5% del total, un efecto de la supervivencia mayor de ambos cónyuges,
junto con el reemplazo de estas antiguas parejas casadas con hijos por
una gama más diversificada de formas de hogar. En efecto, lo que deno-
minan «otros hogares», que comprende modos de organizar la vida hete-
123
Susser, 1991. V
124
Gonsioreck y Weinrich, 1991. La atribución del 10% de homosexualidad para la po-
blación en general es un mito demográfico inspirado por una lectura superficial del Informe
Kinsey de hace medio siglo (que en realidad informaba de los varones blancos estadouni-
denses). Como sugiere Laumann et al. (1994), con una sólida base empírica, no existe una
frontera clara de la homosexualidad que pueda retrotraerse hasta un impulso biológico dis-
tintivo. La extensión de la conducta homosexual, en sus diferentes manifestaciones, evolu-
ciona de acuerdo con las normas culturales y los contextos sociales. Para una exposición del
tema, véase Laumann et ai, 1994, págs. 283-320.
125
Reigot y Spina, 1996, pág. 116.
126
Masnick y Ardle, 1994; Masnick y Kim, 1995.
254 i I poder di- hi identidad
rogéneos, se proyecta que aumenten su proporción del 8,8% en 1980 al
11,8% en 2000. En general, en las estimaciones y proyecciones de la Uni-
versidad de Harvard, mientras que en 1960 tres cuartos de los hogares es-
tadounidenses estaban formados por parejas casadas y los hogares no fa-
miliares representaban sólo el 15% del total, en el año 2000, las parejas
casadas supondrán en torno al 53% y los hogares no familiares aumenta-
rán su proporción al 38%. De este panorama estadístico surge un cuadro
de diversificación, de fronteras movibles en la asociación de las personas,
con una proporción mayor y en aumento de niños que se socializan en
formas familiares que eran marginales, o hasta impensables, sólo hace
tres décadas, un instante medido en tiempo histórico127
. Así que, ¿cuáles
son estos nuevos modos de organizarse? ¿Cómo vive ahora la gente,
fuera y dentro de la familia, más allá de las fronteras del patriarcado? Sa-
bemos algo sobre ello, tras los estudios pioneros realizados por Stacey,
Reigot y Spina, Susser, y otros128
. Como escribe Stacey:
Las mujeres y los hombres han estado rehaciendo creativamente la vida familiar
estadounidense durante las tres últimas décadas de convulsión postindustrial. De
las cenizas y residuos de la familia moderna, han sacado un conjunto diverso, a
menudo incongruente, de recursos culturales, políticos, económicos e ideológicos,
creando nuevas estrategias de género y parentesco para afrontar los retos, las car-
gas y las oportunidades postindustriales12
')
.
En el estudio de Reigot y Spina sobre las nuevas formas de las fami-
lias, se alcanzan conclusiones similares 13
°. No ha surgido un nuevo tipo
prevaleciente de familia: la diversidad es la regla. Pero algunos elemen-
tos parecen ser cruciales en los nuevos modos de organizarse: redes de
apoyo, concentración creciente en torno a la mujer, sucesión de parejas y
modelos a lo largo del ciclo vital. Las redes de apoyo, a menudo entre
los miembros de familias de parejas divorciadas, son una forma nueva e
importante de sociabilidad y división de la carga, sobre todo cuando los
hijos han de compartirse y mantenerse entre los dos padres, una vez
que ambos forman nuevos hogares. Así pues, un estudio sobre las pare-
jas divorciadas de clase media de los suburbios de San Francisco descu-
brió que un tercio de ellas sostenían lazos de parentesco con las ante-
127
Según los datos citados por Ehrenreich (1983, pág. 20), en 1957, el 53% de los estado-
unidenses creían que la gente sin casar eran «enfermos», «inmorales» o «neuróticos» y sólo
el 37% los consideraba «neutralmente». En 1976, ya sólo el 33% tenía actitudes negativas
hacia los no casados y el 15% percibía de forma favorable a la gente que permanecía soltera.
128
Stacey, 1990; Susser, 1991, 1996; Reigot y Spina, 1996; véanse también Bartholet,
1990; Gonsíoreck y Weinrich, 1991; Brubaker, 1993; Rubin y Riney, 1994; Fitzpatrick y Va-
gelisti, 1995.
129
Stacey, 1990, pág. 16.
130
Reigot y Spina, 1996.
I I lili del pnliniK iiiln movimientos sociales, lamilla y sexualidad... 2.15
riores esposas y sus familiares l31
. Las redes de apoyó de mujeres son
cruciales para las madres solas, así como para las madres que trabajan a
tiempo completo, según los casos estudiados tanto por Reigot y Spina,
Susser, y Coleman y Ganong132
. En efecto, como escribe Stacey, «si hay
una crisis familiar, es una crisis familiar masculina» 133
. Además, puesto
que la mayor parte de la gente sigue tratando de formar familias, a pe-
sar de los desengaños o de las elecciones equivocadas, las familias con
padrastros o madrastras y una sucesión de parejas se convierten en la
norma. Debido tanto a la experiencia vital como a la complejidad de los
hogares, los modos de organizarse dentro de la familia, con la distribu-
ción de papeles y responsabilidades, ya no se ajustan a la tradición: de-
ben negociarse. Así, Coleman y Ganong, tras observar la ruptura gene-
ralizada de la familia, concluyen: «¿Significa ello el fin de la familia?
No. Significa, sin embargo, que muchos de nosotros viviremos en nue-
vas familias, más complejas. En estas nuevas familias, los papeles, las
reglas y las responsabilidades puede que hayan de negociarse más que
darse por sentados, como es típico en las familias más tradicionales»134
.
Así pues, el patriarcado en la familia se está eliminando por completo
en el caso de la proporción creciente de hogares cuya cabeza de familia es
una mujer y desafiando seriamente en la mayoría del resto, debido a las
negociaciones y condiciones pedidas por las mujeres y los niños en el ho-
gar. Asimismo, otra proporción creciente de hogares, que quizás pronto
alcance casi el 40%, no se refiere a familias, con lo que se evita el signifi-
cado de la familia patriarcal como una institución en gran parte de la
práctica de la sociedad, pese a su imponente presencia como mito.
En estas condiciones, ¿qué sucede con la socialización de los niños,
subyacente en la reproducción de la división de géneros de la sociedad y,
por lo tanto, en la reproducción del mismo patriarcado?
La reproducción del «maternaje» bajo la no reproducción
del patriarcado
No hay espacio dentro de los límites de este capítulo para entrar en
detalle en unos datos empíricos complejos, diversificados y polémicos,
la mayoría de los cuales están ocultos en los archivos clínicos de los psi-
cólogos infantiles, sobre la transformación de la socialización familiar en
el nuevo entorno familiar. Pero creo que pueden adelantarse varias hi-
pótesis atendiendo a la obra clásica de la psicoanalista feminista Nancy
131
Citado en Stacey, 1990, pág. 254.
132
Coleman y Ganong, 1993; Reigot y Spina, 1996; Susser, 1996.
133
Stacey, 1990, pág. 269.
134
Coleman y Ganong, 1993, pág. 127.
256 I I (IIKICI de ln idcillicliul
Chodorow. Iin su Reproduction <>f Mothering, propone un modelo psi-
coanalítico simple, elegante y poderoso de la producción/reproducción
del género, un modelo que depuró y complementó en sus escritos pos-
teriores l35
. Aunque su teoría es polémica, y el psicoanálisis no es sin
duda el único planteamiento para comprender los cambios de personali-
dad en la crisis del patriarcado, proporciona, a mi parecer, un útil punto
de partida para teorizar esos cambios. Comencemos resumiendo el mo-
delo analítico de Chodorow con sus propias palabras, para luego desa-
rrollar las implicaciones de este modelo para la personalidad y el gé-
nero en las condiciones de la crisis del patriarcado. Siguiendo a
Chodorow, la reproducción del «maternaje» es central para la reproduc-
ción del género. Sucede a través de un proceso psicológico inducido so-
cioestructuralmente, que no es producto de la biología, ni de la ense-
ñanza de roles. En sus palabras:
Las mujeres, como madres, producen hijas con capacidades maternales y el de-
seo de ser madres. Estas capacidades y necesidades se construyen y crecen en la
misma relación madre-hija. En contraste, las mujeres como madres (y los hom-
bres como no madres) producen hijos cuyas capacidades y necesidades de
crianza han sido recortadas y reprimidas de forma sistemática. Ello prepara a
los hombres para su papel familiar afectivo posterior y para su participación pri-
mordial en el mundo impersonal y extrafamiliar del trabajo y la vida pública. La
división sexual y familiar del trabajo, en la que las mujeres son madres y partici-
pan más en las relaciones interpersonales y afectivas que los hombres, produce
en las hijas e hijos una división de las capacidades psicológicas que los lleva a
reproducir esta división sexual y familiar del trabajo [...] La principal responsa-
bilidad de las mujeres es el cuidado de los niños dentro y fuera de las familias;
las mujeres en general quieren ser madres y se sienten gratificadas por su «ma-
ternaje»; y con todos los conflictos y contradicciones, las mujeres han tenido
éxito en el «maternaje»136
.
Este modelo de reproducción tiene una repercusión extraordinaria en
la sexualidad y, por lo tanto, en la personalidad y la vida familiar: «Como
las mujeres son madres, el desarrollo de la elección de objeto heterose-
xual difiere para hombres y mujeres» 137
. Los niños conservan a sus ma-
dres como el primer objeto de amor en su niñez y, debido al tabú funda-
mental, tienen que pasar por el proceso clásico de separación y resolución
de su complejo de edipo, mediante la represión de su unión a la madre.
Cuando se hacen adultos, los hombres están dispuestos para encontrar
una primera relación con alguien como su madre (cursivas de Chodorow).
Las cosas son diferentes para las niñas:
135
Chodorow, 1989, 1994.
m
Chodorow. 1978, pág. 7.
137
Chodorow, 1978, pág. 191.
¿ E l C M n i l o 11111 >> >t<' 111 273
El núcleo Iransnacional de las economías nacionales  - _ ^
La interdependencia de los mercados financieros y de divisas de
todo el mundo, que operan como una unidad en tiempo real, vincula las
divisas nacionales. El cambio constante entre dólares, yenes y las divisas
de la Unión Europea (euros en el futuro) obliga a la coordinación sisté-
mica de esas divisas como única medida capaz de mantener cierto grado
de estabilidad en el mercado de divisas y, de este modo, en la inversión
y comercio globales. El resto de las divisas del mundo han quedado li-
gadas, para todos los fines prácticos, a este triángulo de riqueza. Si el
tipo de cambio es sistémicamente interdependiente, también lo son, o lo
serán, las políticas monetarias. Y si las políticas monetarias siguen cierta
coordinación supranacional, también lo hacen, o lo harán, los tipos de
interés preferencial y, en definitiva, las políticas presupuestarias. De ello
se deduce que los estados-nación individuales están perdiendo y perde-
rán el control sobre elementos fundamentales de sus políticas económi-
cas5
. De hecho, ya sucedió en los países en vías de desarrollo en la dé-
cada de los ochenta y en los europeos durante los comienzos de los
años noventa. Barbara Stallings ha mostrado cómo las políticas econó-
micas de los países en vías de desarrollo fueron moldeadas durante la
década de los ochenta por las presiones internacionales, ya que las insti-
tuciones financieras internacionales y los bancos privados se moviliza-
ron para estabilizar las economías en desarrollo como un prerrequisito
para el comercio y la inversión internacionales6
. En la Unión Europea,
el Bundesbank ya es de facto el banco central europeo. Por ejemplo,
cuando, para controlar la inflación alemana, tras la irresponsable deci-
sión del gobierno de establecer el tipo de cambio de un marco occiden-
tal por un marco oriental para unificar Alemania, restringió los tipos de
interés, forzó a una deflación en toda Europa, independientemente de
la marcha de las economías nacionales. En 1992, el Bundesbank llegó
tan lejos como para filtrar a los medios de comunicación sus críticas a la
política monetaria británica con el fin de forzar la devaluación de la li-
bra, como acabó ocurriendo.
trastara los procesos actuales de interacción de tecnología, glebajización de la economía y
las comunicaciones, e instituciones políticas con una experiencia pasada de una transforma-
ción similar. Confío en que algunos colegas emprendan tal esfuerzo, sobre todo los historia-
dores, y estaría más que feliz de rectificar mis afirmaciones teóricas en virtud de los resulta-
dos de esa investigación. Hasta el momento, los escasos intentos que conozco en esa
dirección prestan, en mi opinión, una atención insuficiente a los procesos radicalmente nue-
vos en la tecnología, las finanzas, la producción, las comunicaciones y la política, de tal
modo que, aunque puedan estar en lo cierto en cuanto a los datos históricos, no queda claro
por qué el presente es sólo una repetición de la experiencia pasada, más allá de la opinión
bastante pedestre de que no hay nada nuevo bajo el sol.
5
Moreau Deffarges, 1993; Business Week, 1995a; Orstrom Moller, 1995; Cohén, 1996.
6
Stallings, 1992.
25K l'.l podi-i de I» identidad
mujeres, las relaciones afectivas profundas con otras mujeres son difíciles de con-
seguir de una forma rutinaria, diaria y continuada. Las relaciones lesbianas sí que
tienden a recrear madres-hijas, pero la mayoría de las mujeres son heterosexuales
[...] Existe una segunda alternativa [...] Dada la situación triangular y la asimetría
emocional de su propia crianza, la relación de una mujer con un hombre requiere
en el nivel de la estructura psíquica una tercera persona, ya que se estableció ori-
ginalmente en un triángulo [...] Luego un hijo completa el triángulo relacional
para una mujer142
.
En efecto, «las mujeres llegan a querer y necesitar una relación pri-
mordial con los hijos»143
. Para los hombres, una vez más, es diferente, de-
bido a su unión primordial con sus madres y, después, con la figura seme-
jante a sus madres: «Para los hombres, en contraste, sólo la relación
heterosexual recrea el primer lazo con su madre; un hijo la interrumpe
[las cursivas son mías]. Los hombres, además, no se definen en la relación
y han llegado a suprimir las capacidades relaciónales y a reprimir la nece-
sidad de relacionarse. Esto los prepara para participar en el mundo dene-
gador de afecto del trabajo alienado, pero no para satisfacer las necesida-
des de intimidad y relaciones fundamentales de las mujeres»144
. Así pues,
«la falta de disponibilidad emocional de los hombres y el compromiso he-
terosexual menos exclusivo de las mujeres ayuda a asegurar el "mater-
naje" de estas últimas». En definitiva,
los rasgos institucionalizados de la estructura familiar y las relaciones sociales de
reproducción se reproducen a sí mismos. Una investigación psicoanalítica muestra
que las capacidades maternales y los compromisos de las mujeres, así como las ca-
pacidades y necesidades psicológicas generales que son la base del funciona-
miento de sus emociones, se incorporan a la personalidad femenina durante su
desarrollo. Como el «maternaje» de las mujeres lo realizan mujeres, crecen con
las capacidades y necesidades, y la definición psicológica de ser-en relación, que
las compromete con la maternidad. Los hombres, puesto que reciben el «mater-
naje» de las mujeres, no saben «maternar». Las mujeres «maternan» hijas que,
cuando se convierten en mujeres, son madres145
.
El modelo de Chodorow ha sido criticado, de forma particular por las
teóricas lesbianas y las feministas materialistas, y acusado de minimizar la
homosexualidad, de fijar el patriarcado y de predeterminar la conducta
individual. En realidad no es así. La propia Chodorow ha aclarado su
punto de vista: «Declaro —contra la generalización— que los hombres y
las mujeres aman de tantos modos como hombres y mujeres hay»146
. Y ha
142
Chodorow, 1978, pág. 201.
143
Chodorow, 1978, pág. 203.
144
Chodorow, 1978, pág. 207.
145
Chodorow, 1978, pág. 209.
146
Chodorow, 1994, pág. 71.
I-I lin del patrian .i.l" movimientos sociales, familia y sexualidad... 259
depurado su análisis destacando que «la diferenciación no es distinción y
separación, sino un modo particular de relacionarse con los otros» l47
. Sos-
tiene, y estoy de acuerdo, que el problema de las mujeres no es reclamar
su identidad femenina, sino su identificación con una identidad que ha
sido socialmente devaluada bajo el patriarcado. Lo que Chodorow ana-
liza no es un proceso biológico eterno de especificidad masculina/feme-
nina, sino un mecanismo fundamental de reproducción del género y, por
lo tanto, de la identidad, sexualidad y personalidad, en las condiciones del
patriarcado y la heterosexualidad, como ha afirmado repetidas veces.
Mi pregunta, entonces, es si este modelo institucional/psicoanalítico
puede ayudarnos a comprender lo que ocurre cuando la familia patriarcal
se desintegra. Trataré de enlazar mis observaciones sobre las nuevas for-
mas familiares y los modos de organizar la vida con la teoría de Chodo-
row148
. En la condición clásica patriarcal/heterosexual ahora en desapari-
ción, las mujeres heterosexuales se relacionan primordialmente con
cuatro tipos de objetos: los hijos como objeto de su «maternaje», las redes
de mujeres como su principal apoyo emocional, los hombres como obje-
tos eróticos y los hombres como proveedores de la familia. En las condi-
ciones actuales, para la mayoría de las familias y mujeres, el cuarto objeto
ha sido suprimido como proveedor exclusivo. Las mujeres pagan un alto
precio, en tiempo de trabajo y en pobreza, por su independencia econó-
mica o por su papel indispensable como proveedoras de la familia, pero,
en general, la base económica de la familia patriarcal se ha erosionado, ya
que la mayor parte de los hombres también necesitan los ingresos de las
mujeres para alcanzar un nivel de vida aceptable. Como los hombres ya
eran secundarios como elementos de apoyo emocional, esto los deja pri-
mordialmente con su papel de objetos eróticos, una fuente menguante de
interés para las mujeres en una época de amplio desarrollo de sus redes
de apoyo (incluidas las expresiones de afecto en un «continuo lesbiano»)
y teniendo en cuenta el trabajo que ya tienen para combinar la materni-
dad con sus vidas laborales.
Así pues, el primer modo de organizar la vida, resultado de la crisis
del patriarcado, correspondiendo a la lógica del modelo de Chodorow, es
la formación de familias de madre/hijos, que se basan ep el apoyo de las
redes de mujeres. Estas «comunas de madres/hijos» experimentan de vez
en cuando la visita de los hombres, en el caso de las mujeres heterosexua-
les, en un patrón de parejas sucesivas que dejan tras de sí más hijos y más
razones para el separatismo. Cuando las madres envejecen, las hijas se
147
Chodorow, 1989, pág. 107.
148
Debo recordar al lector que Chodorow es ante todo una psicoanalista, centrada en la
teoría del desarrollo basada en datos clínicos. Por lo tanto, este uso de su cauto plantea-
miento psicoanalítico para construir mis amplias generalizaciones sociológicas va más allá
de sus límites habituales y, naturalmente, se acomete bajo mi responsabilidad exclusiva.
262 1:1 poder de ln identidad
que cada vez están mas desamparados en las condiciones actuales de cri-
sis familiar. Su situación puede empeorar, tanto debido a que las mujeres
se quedan con ellos en situaciones materiales difíciles, como a que, al bus-
car autonomía y supervivencia personal, comienzan a descuidarlos del
mismo modo que lo hacen los hombres. Puesto que el apoyo del estado
de bienestar está disminuyendo, se deja a los hombres y las mujeres la so-
lución de los problemas de sus hijos, mientras pierden el control de sus
propias vidas. El aumento dramático del maltrato de niños en muchas so-
ciedades, sobre todo en los Estados Unidos, podría muy bien ser una ex-
presión del desconcierto de la gente acerca de su vida familiar. Al expre-
sarme así, no abrazo en absoluto el argumento neoconservador que culpa
al feminismo, o a la liberación sexual, de los problemas de los niños. Es-
toy llamando la atención sobre un tema fundamental de nuestra sociedad
que ha de abordarse sin prejuicios ideológicos: se está descuidando masi-
vamente a los niños, como documentan los científicos sociales y los perio-
distas 154
. La solución no es el regreso imposible a una familia patriarcal
obsoleta y opresiva. La reconstrucción de la familia bajo relaciones iguali-
tarias y la responsabilidad de las instituciones públicas para proporcionar
apoyo material y psicológico a los niños son modos posibles de alterar el
curso hacia la destrucción masiva de la psique humana que está implícita
en la actual inestabilidad vital de millones de niños.
La identidad corporal: la (re)construcción de la sexualidad
Se está produciendo una revolución sexual, pero no la anunciada y
pretendida por los movimientos sociales de los años sesenta/setenta, aun-
que han sido factores importantes para inducir la realmente existente. Se
caracteriza por la desvinculación de matrimonio, familia, heterosexualidad
y expresión sexual (o deseo, como yo lo denomino). Estos cuatro factores,
vinculados en el patriarcado moderno de los dos últimos siglos, ahora es-
tán en proceso de hacerse autónomos, como parecen mostrar diversas ob-
servaciones presentadas en este capítulo. En palabras de Giddens:
Superficialmente, el matrimonio heterosexual parece retener su posición central
en el orden social. En realidad, se ha visto socavado en buena medida por el surgi-
miento de la relación pura y la sexualidad plástica. Si el matrimonio ortodoxo aún
no se considera ampliamente sólo un modo de vida entre otros, como en realidad
ya es, se debe en parte al resultado de la mezcla complicada de atracción y repul-
sión que el desarrollo psíquico de cada sexo crea con respecto al otro [...] Puede
que aún se contraigan algunos matrimonios, o que se sostengan, sobre todo en
aras de producir o criar hijos. No obstante [...] es probable que la mayoría de los
154
Susser, 1996.
I;
l lili clcl pal i liiiiiitlo iiioviiniciilos sociales, familia y sexualidad... .!().(
matrimonios heterosexuales (y muchas uniones homosexuales) que no se aproxi-
man a la relación pura evolucionen en dos direcciones, si no caen en la codepen-
dencia. Una es una suerte de matrimonio entre compañeros. El grado de partici-
pación sexual de los esposos es bajo, pero la relación incorpora cierto grado de
igualdad y simpatía mutuas [...] La otra forma es cuando el matrimonio se usa
como un hogar base para ambos cónyuges, que sólo tienen un ligero interés emo-
cional el uno en el otro155
.
En ambos casos, la sexualidad se desvincula del matrimonio. Éste ha
sido, en efecto, el caso de la mayoría de las mujeres a lo largo de la histo-
ria I56
, pero la afirmación de la sexualidad de las mujeres, de la homose-
xualidad tanto de hombres como de mujeres y de la sexualidad electiva
están induciendo una distancia creciente entre el deseo de las personas y
sus vidas familiares. Sin embargo, esto no se traduce en liberación sexual,
sino que, para la mayoría de la población, asustada por las consecuencias
de la infidelidad (por la cual ahora también los hombres deben pagar), y,
en las décadas de los ochenta y los noventa, por la epidemia de sida, la
consecuencia es la pobreza sexual, cuando no la miseria. Al menos eso es
lo que cabe inferir de la investigación empírica más amplia y reciente so-
bre la conducta sexual en los Estados Unidos, realizada en 1992 sobre una
muestra nacional representativa157
. U n 35,5% de los hombres indicó que
practicaba el sexo tan sólo unas pocas veces al mes y otro 27,4%, unas po-
cas veces al año o ninguna vez. En cuanto a las mujeres, los porcentajes
respectivos fueron del 37,2% y del 29,7%. Sólo el 7,7% de los hombres y
el 6,7% de las mujeres informó que practicaba el sexo cuatro veces o más
a la semana, e incluso en la cohorte de 18-24 años (la más activa sexual-
mente) el porcentaje de frecuencia elevada fue del 12,4% tanto para
hombres como para mujeres. Las tasas de actividad elevada (más de cua-
tro veces semanales) es ligeramente inferior para las parejas casadas que
para la población en general (7,3% para los hombres; 6,6% para las muje-
res). Estos datos también confirman la brecha del género en los orgasmos
que se comunican: el 75% de los encuentros sexuales para los hombres,
sólo el 29% para las mujeres, si bien la brecha es más estrecha al informar
del «placer»15S
. El número de parejas sexuales en los doce últimos meses
muestra una gama limitada de emparejamientos p*(ra la gran mayoría de
la población: el 66,7% de los hombres y el 74,7% de las mujeres habían
tenido sólo una pareja; y el 9,9% y el 13,6%, respectivamente, no tenían
ninguna. Así que no cabe hablar de revolución sexual en los Estados Uni-
dos a comienzos de la década de los noventa.
No obstante, bajo la superficie de tranquilidad sexual, la rica base de
155
Giddens, 1992, págs. 154 y 155.
156
Buss, 1994.
157
Laumann et al., 1994.
158
Laumann et al., 1994, pág. 116.
.'NO I I poder di- l,i ulciilidad
]
]
i 1 1 1 1 1 r
0 5 10 15 20 25 30
costes no salariales f~ Salarios directos
FIGURA 5.2 Costes salariales en la industria, 1994 (dólares por hora).
Fuente: Federación de Empresarios suecos, elaborado por The Economist, 27 de enero
de 1996.
1. Pese a cierta desconexión del estado con la economía, sobre todo
en lo referente al empleo directo y la regulación, aún tiene un pa-
pel económico considerable que requiere una financiación adicio-
nal aparte de los impuestos, aumentando así los pasivos financie-
ros del estado, exceptuando al Reino Unido (véase figura 5.1).
2. El endeudamiento del gobierno, con la importante excepción de
Japón, cada vez depende más del crédito exterior, hasta tal punto
que ya supera las reservas de divisas de los bancos centrales y en-
sombrece los resultados de las exportaciones. Refleja el fenó-
meno más amplio de la brecha creciente entre un crecimiento de
los mercados financieros globales más rápido que el aumento del
comercio global.
3. El estado japonés ha logrado establecer cierta autonomía fiscal
frente al capital extranjero. Sin embargo, lo ha hecho basándose en
el endeudamiento interno, financiado con los ingresos de las grandes
compañías japonesas, procedentes del proteccionismo y los resulta-
dos de la exportación; de este modo, la economía y el estado japone-
ses se han hecho adictos a los excedentes comerciales y al reciclaje de
los beneficios en suelo japonés. Este estado de cosas condujo a la
«economía de burbuja» de finales de los años ochenta y, después,
cuando la burbuja estalló, a la recesión de comienzos de los noventa.
i' l'l i'Slililo niipolt'llli ' mi
En general, el entrelazamiento de las economías nacionales, y la de*—
pendencia de las finanzas del gobierno de los mercados globales y del cré-
dito exterior, ha creado las condiciones para una crisis fiscal internacional
de los estados-nación, incluidos los más ricos y poderosos.
La globalización y el estado de bienestar
La globalización de la producción y la inversión también amenaza al
estado de bienestar, un elemento clave de las políticas del estado-nación
en el medio siglo pasado, y probablemente el componente básico de su
legitimidad en los estados industrializados n
. Ello es así porque cada vez
resulta más contradictorio para las empresas operar en los mercados glo-
balizados e integrados, mientras experimentan importantes diferenciales
de costes en prestaciones sociales, así como diferentes grados de regula-
ción entre los países. No sólo ocurre entre Norte y Sur, sino también en-
tre los diferentes países de la OCDE; por ejemplo, los costes laborales
relacionados con las prestaciones sociales son mucho más bajos en los
Estados Unidos que en Alemania (véase la figura 5.2). Pero lo que es
una ventaja comparativa de la localización de los Estados Unidos frente
a Alemania, se convierte en una desventaja frente a México, tras la en-
trada en vigor del TLC. Puesto que las empresas, debido a la tecnología
de la información, pueden localizarse en muchos lugares diferentes y se-
guir enlazadas a las redes y mercados globales de producción (véase vol.
I, cap. 6), se produce entonces una espiral descendente de reducción de
los costes sociales. Los límites a esa «competitividad negativa» en el pa-
sado fueron dobles: por una parte, el desfase en cuanto a productividad y
calidad entre los países protegía a los trabajadores de las economías
avanzadas frente a los competidores menos desarrollados; por la otra, la
presión interna inducía al proteccionismo, de modo que, mediante los
aranceles, se aumentaba el precio de las importaciones hasta un nivel en
el que se anulara la ventaja comparativa del abastecimiento externo.
Ambos límites están desapareciendo. La nueva Organización Mundial de
Comercio está estableciendo un sistema de vigilancia-para detectar y pe-
nalizar las barreras al libre comercio. Aunque la política del comercio in-
ternacional condiciona la repercusión real de esos controles, parecería
que, a menos que se produzca una inversión espectacular en el proceso
de integración económica global, el proteccionismo flagrante a gran es-
cala cada vez se encontrará más sometido a las represalias del resto de
los países. En lo que respecta al retraso en cuanto a calidad y productivi-
dad, el estudio de Harley Shaiken sobre las fábricas de automóviles esta-
dounidenses en México ha mostrado que la rápida puesta al día de los
11
Wilensky, 1975; Janowitz, 1976; Navarro, 1994,1995; Castells, 1996.
.'(I<> 1:1 poder de la identidad
Hombres
CB
« ?
<o o
£ °
o a>
*íO" co
.© g
cu a>
c =
8 ?
o ""
100
90
80
70
60
50
Mujeres
100
Activo o receptivo
Tanto activo como receptivo
1933-37 38-42 43-47 48-52 53-57 58-62
Cohortes por fecha de nacimiento
63-67 68-74
3 2
§ °
c _
— <D
O "O
.® g
ai a>
11o *~a.
90
80
70
60
50
40
30
Activa o receptiva
Tanto activa como receptiva
1 i 1 1 1 1 1 1 —
1933-37 38-42 43-47 48-52 53-57 58-62 63-67 68-74
Cohortes por fecha de nacimiento
FIGURA 4.14 Frecuencia a lo largo de la vida del sexo oral por cohortes: hombres y
mujeres.
Fuente: Laumann et al, 1994.
prana a la necesidad de adaptarse a diferentes entornos y diferentes pape-
les de adultos. En términos sociológicos, el nuevo proceso de socializa-
ción minimiza hasta cierto punto las normas institucionales de la familia
patriarcal y diversifica los papeles dentro de la familia. En su aguda ex-
ploración del tema, Hage y Powers proponen que, como resultado de ta-
les procesos, surgen nuevas personalidades más complejas, menos seguras
El fin del palrimciiilo: movimientos sociales, familia y sexualidad... 267
y, sin embargo, más capaces de adaptarse a los roles cambiantes de los
contextos sociales, a medida que las nuevas experiencias desencadenan
mecanismos adaptativos a una edad temprana 163
. La individualización
creciente de las relaciones dentro de la familia tiende a resaltar la impor-
tancia de las demandas personales más allá de las reglas de las institucio-
nes. Así pues, la sexualidad se convierte, en el ámbito de los valores so-
ciales, en una necesidad personal que no tiene que ser canalizada e
institucionalizada necesariamente dentro de la familia. Cuando la mayo-
ría de la población adulta y un tercio de los niños viven fuera de los lími-
tes de la familia nuclear tradicional, y cuando las proporciones van en au-
mento, la construcción del deseo opera cada vez más sobre las relaciones
interpersonales fuera del contexto familiar tradicional: se convierte en
una expresión del yo. La socialización de los adolescentes en estos nuevos
patrones culturales conduce a un grado más elevado de libertad sexual
que el de las generaciones previas, incluidas las de los liberales años se-
senta, pese a la amenaza de la epidemia de sida.
Así pues, la revuelta de las mujeres contra su condición, inducida y
permitida por su integración masiva en la mano de obra informacional, y
los movimientos sociales de identidad sexual han puesto en entredicho a
la familia nuclear patriarcal. Esta crisis ha tomado la forma de una sepa-
ración creciente de las diferentes dimensiones que antes se mantenían
juntas en la misma institución: la relación interpersonal de ambos miem-
bros de la pareja; la vida laboral de cada miembro del hogar; la asociación
económica entre los miembros del hogar; la realización de las labores do-
mésticas; la crianza de los hijos; la sexualidad; el apoyo emocional. La di-
ficultad de desempeñar todos estos roles al mismo tiempo, una vez que ya
no están fijados en una estructura formal institucionalizada, como la fami-
lia patriarcal, explica la dificultad de mantener relaciones sociales esta-
bles dentro del hogar basado en la familia. Para que éstas sobrevivan, han
de surgir nuevas formas institucionalizadas de relación social, de acuerdo
con las relaciones transformadas entre los géneros.
Al mismo tiempo, el cambio tecnológico en la reproducción biológica
ha permitido disociar la reproducción de la espacie de las funciones socia-
les y personales de la familia. Las posibilidades de la fecundación in vitro,
de los bancos de esperma, de las madres de alquiler, de los bebés de la in-
geniería genética, abren todo un campo de experimentación que la socie-
dad tratará de controlar y reprimir lo más posible debido a su amenaza
potencial a nuestros cimientos morales y legales. No obstante, el hecho de
que las mujeres puedan tener hijos propios sin ni siquiera conocer al pa-
dre, o que los hombres, incluso tras la muerte, puedan utilizar madres de
alquiler para tener a sus hijos, corta la relación fundamental entre biolo-
Hage y Powers, 1992.
.'K4 El poder de la identidad
tacular entre mediados de la década de los ochenta y mediados de la de
los noventa21
. La televisión y la radio se privatizaron a gran escala, y las
cadenas gubernamentales que quedaron con frecuencia acabaron no dis-
tinguiéndose de la televisión privada, ya que se sometieron a la disciplina
de los índices de audiencia y a los ingresos de la publicidad22
. Los periódi-
cos se concentraron en grandes consorcios, a menudo con el respaldo de
grupos financieros. Y, lo que es más importante, los negocios de los me-
dios de comunicación se hicieron globales, con el capital, el talento, la tec-
nología y la propiedad de las empresas girando por todo el mundo, fuera
del alcance de los estados-nación (véase fig. 5.3). No se deduce de ello
que los estados no tengan una influencia en los medios de comunicación.
Los gobiernos siguen controlando medios importantes, poseen acciones y
tienen mecanismos de influencia en una amplia gama de los medios de
comunicación del mundo*. Y el mundo de los negocios se cuida mucho de
irritar a los guardianes de los mercados potenciales: cuando el Star Chan-
nel de Murdoch fue reprendido por el gobierno de China debido a sus
opiniones liberales sobre la política china, Star se congració con él cance-
lando el servicio de noticias de la BBC de la programación china del canal
e invirtiendo en una edición telefónica del Diario del Pueblo. Pero si los
gobiernos siguen conservando influencia sobre los medios, han perdido
gran parte de su poder, excepto en los medios que se encuentran bajo el
control directo de los estados autoritarios. Es más, los medios necesitan
mostrar su independencia como un ingrediente clave de su credibilidad,
no sólo frente a la opinión pública, sino con respecto a la pluralidad de
ostentadores del poder y anunciantes, ya que el sector de la publicidad es
el cimiento económico de las empresas de medios de comunicación. Si un
medio determinado se liga demasiado a una opción política explícita o re-
prime de forma sistemática cierto tipo de información, restringirá su au-
diencia a un segmento relativamente pequeño, apenas será capaz de obte-
ner beneficios en el mercado y no atraerá el interés de la mayoría del
público. Por otra parte, cuanto más independiente, abierto y creíble es un
medio, más atrae información, vendedores y compradores de un amplio
espectro. La independencia y profesionalidad no sólo son ideologías gra-
tificantes para los medios de comunicación: también se traducen en bue-
nos negocios, incluida a veces la posibilidad de vender su independencia a
un precio más elevado cuando surge la ocasión.
Una vez que se reconoce la independencia de los medios, y una vez
21
MacDonald, 1990; Doyle, 1992; Pérez-Tabernero et al., 1993; Instituto Dentsu de Es-
tudios Humanos, 1994; The Economist, 1994,1996.
22
Pérez-Tabernero et al, 1993.
Es revelador, en este sentido, el esfuerzo del gobierno del Partido Popular en Es-
paña en 1997 para controlar la televisión digital, favoreciendo a un grupo empresarial
afín, en contra del proyecto más avanzado del grupo PRISA, por considerarlo hostil a su
partido.
5
•EL ESTADO IMPOTENTE?
En 1978, Nicos Poulantzas escribió: «Lo específico del estado capita-
lista es que absorbe el tiempo y espacio sociales, establece sus matrices y
monopoliza su organización, convirtiéndolos, por su acción, en redes de
dominio y poder. Por eso, la nación moderna es producto del estado»1
.
Ya no es así. El control estatal sobre el espacio y el tiempo se ve supe-
rado cada vez más por los flujos globales de capital, bienes, servicios, tec-
nología, comunicación y poder. La captura, por parte del estado, del
tiempo histórico mediante su apropiación de la tradición y la (recons-
trucción de la identidad nacional es desafiatkupor las identidades plura-
les definidas por los sujetos autónomos. El intento del estado de reafir-
mar su poder en el ámbito global desarrollando instituciones
supranacionales socava aún más su soberanía. Y su esfuerzo por restau-
rar la legitimidad descentralizando el poder administrativo regional y lo-
cal refuerza las tendencias centrífugas, al acercar a los ciudadanos al go-
bierno pero aumentar su desconfianza hacia el estado-nación. Así pues,
mientras que el capitalismo global prospera y las ideologías nacionalistas
explotan por todo el mundo, el estado-nación, tal y como se creó en la
Edad Moderna de la historia, parece estar perdiendo su poder, aunque, y
1
Poulantzas, 1978, pág. 109; la traducción es mía.
2HH 1'] poda ilc l.i identidad
su derrota final, llegará la pérdida de una piedra angular del poder esta-
tal.
En general, la globalización/localización de los medios y de la comuni-
cación electrónica equivale a la desnacionalización y desestatificación de
la información, siendo las dos tendencias inseparables hasta el momento.
¿ Un mundo sin ley?
La globalización del crimen subvierte aún más el estado-nación, trans-
formando profundamente los procesos de gobierno y paralizando en mu-
chos casos al estado. Ésta es una tendencia crucial que se reconoce con
tanta facilidad como se hace caso omiso de sus consecuencias28
. Un capí-
tulo completo (en el volumen III, cap. 3) analiza la que es una de las ten-
dencias más importantes de nuestro mundo, y distintiva con respecto a
otros periodos, pero es necesario, en este punto del argumento, incluir
una tendencia tan crucial en nuestra compresión de la crisis actual del es-
tado-nación. No es nueva la capacidad de penetración del crimen y su re-
percusión en la política, pero sí la vinculación global del crimen organi-
zado, su condicionamiento de las relaciones internacionales, tanto
económicas como políticas, debido a la escala y el dinamismo de la econo-
mía criminal. Es nueva la profunda penetración, y eventual desestabiliza-
ción, de los estados nacionales en una variedad de contextos, bajo la in-
fluencia del crimen transnacional. Aunque el tráfico de drogas es el sector
industrial más significativo en la nueva economía criminal, toda clase de
tráficos ilícitos se unen en este sistema en la sombra que extiende su al-
cance y poder sobre el mundo: armas, tecnología, materiales radioactivos,
obras de arte, seres humanos, órganos humanos, asesinos de alquiler y
contrabando de cualquier artículo rentable de un lugar a otro, se conec-
tan a través de la madre de todos los delitos: el blanqueo de dinero. Sin
él, la economía criminal no sería global ni muy rentable. Y, a través del
blanqueo de dinero, la economía criminal se conecta con los mercados fi-
nancieros globales, de los cuales es un componente considerable y una
fuente de especulación constante. Según la Conferencia de la ONU sobre
la Economía Criminal Global celebrada en Ñapóles en octubre de 199429
,
un cálculo razonable establecería la cifra del capital procedente de fuen-
tes ilegales que se blanquea en el sistema financiero global en torno a los
750.000 millones de dólares anuales. Estos flujos de capital deben ser pro-
cesados con mayor movilidad y flexibilidad que los que se originan en
cualquier otra industria, ya que su circulación constante es lo que les per-
28
Arrieta et al, 1991; Roth y Frey, 1992; Smith, 1993; Lodato, 1994; Sterling, 1994; Gol-
den, 1995; Handelman, 1995; Johnson, 1995; WuDunn, 1996.
29
ONU, Consejo Económico y Social, 1994.
¿El estado inipoicnieV 273
El núcleo transnacional de las economías nacionales
La interdependencia de los mercados financieros y de divisas de
todo el mundo, que operan como una unidad en tiempo real, vincula las
divisas nacionales. El cambio constante entre dólares, yenes y las divisas
de la Unión Europea (euros en el futuro) obliga a la coordinación sisté-
mica de esas divisas como única medida capaz de mantener cierto grado
de estabilidad en el mercado de divisas y, de este modo, en la inversión
y comercio globales. El resto de las divisas del mundo han quedado li-
gadas, para todos los fines prácticos, a este triángulo de riqueza. Si el
tipo de cambio es sistémicamente interdependiente, también lo son, o lo
serán, las políticas monetarias. Y si las políticas monetarias siguen cierta
coordinación supranacional, también lo hacen, o lo harán, los tipos de
interés preferencial y, en definitiva, las políticas presupuestarias. De ello
se deduce que los estados-nación individuales están perdiendo y perde-
rán el control sobre elementos fundamentales de sus políticas económi-
cas5
. De hecho, ya sucedió en los países en vías de desarrollo en la dé-
cada de los ochenta y en los europeos durante los comienzos de los
años noventa. Barbara Stallings ha mostrado cómo las políticas econó-
micas de los países en vías de desarrollo fueron moldeadas durante la
década de los ochenta por las presiones internacionales, ya que las insti-
tuciones financieras internacionales y los bancos privados se moviliza-
ron para estabilizar las economías en desarrollo como un prerrequisito
para el comercio y la inversión internacionales6
. En la Unión Europea,
el Bundesbank ya es de facto el banco central europeo. Por ejemplo,
cuando, para controlar la inflación alemana, tras la irresponsable deci-
sión del gobierno de establecer el tipo de cambio de un marco occiden-
tal por un marco oriental para unificar Alemania, restringió los tipos de
interés, forzó a una deflación en toda Europa, independientemente de
la marcha de las economías nacionales. En 1992, el Bundesbank llegó
tan lejos como para filtrar a los medios de comunicación sus críticas a la
política monetaria británica con el fin de forzar la devaluación de la li-
bra, como acabó ocurriendo. J
trastara los procesos actuales de interacción de tecnología, globalización de la economía y
las comunicaciones, e instituciones políticas con una experiencia pasada de una transforma-
ción similar. Confío en que algunos colegas emprendan tal esfuerzo, sobre todo los historia-
dores, y estaría más que feliz de rectificar mis afirmaciones teóricas en virtud de los resulta-
dos de esa investigación. Hasta el momento, los escasos intentos que conozco en esa
dirección prestan, en mi opinión, una atención insuficiente a los procesos radicalmente nue-
vos en la tecnología, las finanzas, la producción, las comunicaciones y la política, de tal
modo que, aunque puedan estar en lo cierto en cuanto a los datos históricos, no queda claro
por qué el presente es sólo una repetición de la experiencia pasada, más allá de la opinión
bastante pedestre de que no hay nada nuevo bajo el sol.
5
Moreau Deffarges, 1993; Business Week, 1995a; Orstrom Moller, 1995; Cohén, 1996.
6
Stallings, 1992.
274 II |ioilri de l,i iilrnlnlml
La política económica japonesa se determina esencialmente por la
relación entre la balanza comercial y el tipo de cambio con Estados
Unidos. En cuanto a éste último, la economía más autosuficiente, sólo
pudo seguir siéndolo, pese a un considerable déficit comercial durante
la década de los ochenta, financiando el aumento del gasto guberna-
mental mediante la deuda, en buena medida de préstamos de capital
extranjero. Al hacerlo así, la prioridad de la política económica esta-
dounidense de los años noventa pasó a ser la reducción del gigantesco
déficit presupuestario, que amenazaba con convertirse en el agujero ne-
gro de la economía mundial. Su independencia económica era una ilu-
sión, que probablemente se disipará en el futuro, cuando los niveles de
vida reflejen la competitividad en la economía global, una vez que se le-
vante el colchón de los préstamos masivos al gobierno, que quedaron
fuera de control durante el mandato del presidente Reagan7
. Cabe sos-
tener que el grado de libertad que tienen los gobiernos para establecer
su política económica se ha reducido de forma drástica en los años no-
venta, pues su política presupuestaria se ve atrapada entre los derechos
automáticos heredados del pasado y la elevada movilidad del capital
experimentada en el presente, y que probablemente aumentará en el
futuro8
.
Esta dificultad creciente del gobierno para controlar la economía
(un hecho celebrado por muchos economistas liberales) se ve acen-
tuada por el aumento de la transnacionalización de la producción, no
sólo debido a la repercusión de las empresas multinacionales, sino so-
bre todo a las redes de producción y comercio en las que las empresas
están integradas9
. De ahí se infiere que desciende la capacidad de los
gobiernos para asegurar en sus territorios la base productiva para gene-
rar ingresos. Cuando las empresas y las personas ricas encuentran para-
ísos fiscales en todo el mundo y cuando la contabilidad del valor aña-
dido en un sistema de producción internacional se vuelve cada vez más
dificultosa, surge una nueva crisis fiscal del estado, como expresión de
una contradicción creciente entre la internacionalización de la inver-
sión, la producción y el consumo, por una parte, y las bases nacionales
de los sistemas fiscales, por la otra10
. ¿Es un accidente que los dos paí-
ses más ricos del mundo, en términos per cápita, sean Luxemburgo y
Suiza? Muy bien pudiera ser que una de las últimas batallas del estado-
nación se estuviera luchando en el espacio de la cibercontabilidad, en-
tre los concienzudos inspectores fiscales y los sofisticados abogados
transnacionales.
7
Thurow, 1992; Cohén, 1993.
8
Chesnais, 1994; Nunnenkamp et al., 1994.
* Buckley, 1994.
10
Guehenno, 1993.
¿i oslado mi|ii>lnili'7 275
Un intento de evaluación estadística de la nueva crisis fiscal del estadó^n la
economía global
En este punto del análisis, puede que sea útil observar la evolución de
las finanzas de los gobiernos en el periodo de aceleración de la globaliza-
ción de las economías nacionales, entre 1980 y comienzos de los años no-
venta. Para limitar la complejidad del análisis, he seleccionado seis países:
las tres economías de mercado mayores (Estados Unidos, Japón y Alema-
nia); la más abierta de las economías europeas mayores (Reino Unido);
otro país europeo, España, que, aunque es la décima economía de mer-
cado del mundo, presenta un grado de desarrollo económico/tecnológico
inferior al de los países del G-7; y una importante economía del mundo
de industrialización reciente, la India. A partir de las estadísticas compila-
das y elaboradas por mi ayudante Sandra Moog, se han confeccionado los
cuadros 5.1 y 5.2, que presentan una visión general de algunos indicado-
res de las finanzas públicas y de la actividad económica relacionados con
el proceso de internacionalización de las economías. No entraré en deta-
lles, sino que utilizaré estos cuadros para ampliar y especificar el argu-
mento sobre la globalización y el estado presentado en las páginas prece-
dentes.
Examinemos primero el grupo de los cuatro países (Estados Unidos,
Reino Unido, Alemania y España) que parecen seguir, en términos muy
amplios, líneas similares, si bien con diferencias que resaltaré. Los gastos
gubernamentales han aumentado y ahora representan entre un cuarto y
más del 40% del PIB. Los puestos de trabajo en la administración han
descendido en todas partes. La proporción del consumo del gobierno ha
disminuido en los tres países principales, mientras que ha ascendido en
España. La proporción de la formación de capital del gobierno ha aumen-
tado en los Estados Unidos y descendido en Alemania. Los ingresos fisca-
les de los gobiernos centrales han disminuido en los Estados Unidos,
mientras que han subido en el resto de los países, de forma .considerable
en España. El déficit gubernamental ha aumentado, y lo ha hecho sustan-
cialmente en los Estados Unidos y Alemania. La deuda del gobierno ha
descendido en el Reino Unido, aunquejiún representa en torno al 34%
del PIB, y ha aumentado de forma espectacular en España, Alemania y
los Estados Unidos, donde en 1992 representaba el 52,2% del PIB. La fi-
nanciación del déficit gubernamental ha llevado a los cuatro países a in-
crementar, en algunos casos de forma cuantiosa, la dependencia de la
deuda externa y el crédito neto exterior. La relación de la deuda externa
y el crédito neto exterior con el PIB, las reservas de divisas de los bancos
centrales, los gastos del gobierno y las exportaciones de los países mues-
tran, en términos generales, una dependencia creciente de los gobiernos de
los mercados de capital globales. Así pues, para los Estados Unidos, entre
1980 y 1993, la deuda externa del gobierno como porcentaje del PIB se
27K El poder de la identidad
duplicó con creces; como porcentaje de las reservas de divisas, aumentó
hasta un 20% y, en 1993, representaba casi diez veces el nivel de las reser-
vas de divisas totales; como porcentaje de las exportaciones, ascendió
hasta un 133%; y como porcentaje de los gastos gubernamentales, casi se
duplicó, para alcanzar el 41,7% de los gastos totales. En cuanto al crédito
neto exterior, ascendió en estos catorce años hasta un asombroso 456%,
aumentando un 203% su relación con el gasto gubernamental, para alcan-
zar un nivel equivalente al 6% del gasto gubernamental. Como la inver-
sión directa en el extranjero de los Estados Unidos aumentó hasta un
52,8%, mientras que la afluencia de inversión extranjera directa dismi-
nuyó hasta un 35,5%, cabe sostener que el gobierno federal de los Esta-
dos Unidos se ha vuelto en buena medida dependiente de los mercados
de capital globales y el crédito exterior.
La historia es algo diferente para el Reino Unido, Alemania y España,
pero las tendencias son similares. Es importante tener en cuenta que,
mientras que el Reino Unido parece ser menos dependiente, Alemania
está aumentando su dependencia del capital extranjero mucho más de-
prisa que los Estados Unidos, como muestran varios indicadores: la deuda
externa del gobierno en relación con el PIB (aumento del 538,5%), en re-
lación con las reservas de divisas (aumento del 325,3%) y en relación con
las exportaciones (aumento del 590,8%). El crédito neto exterior del go-
bierno alemán ha alcanzado un nivel que supera el 15% del gasto guber-
namental y su deuda externa es equivalente al 44,5% del gasto guberna-
mental, en ambos casos porcentajes más elevados que los de los Estados
Unidos. Así pues, pese a unos buenos resultados de las exportaciones en la
década de los ochenta, Alemania, a diferencia de Japón, ha incrementado
de forma considerable la dependencia internacional de su estado nacional.
Resulta bastante interesante que India, pese a haber aumentado el
gasto del gobierno, el consumo y el endeudamiento, parezca ser mucho
menos dependiente de la deuda externa: en efecto, todos sus indicadores
de dependencia financiera muestran un crecimiento negativo para el pe-
riodo, con la excepción de la relación entre el crédito exterior del go-
bierno y el gasto gubernamental, que se sigue manteniendo a un nivel
modesto. Un aumento considerable de la proporción de los ingresos fisca-
les en el PIB es sólo parte de la explicación, siendo la principal, la sustan-
cial aceleración del crecimiento económico en India en la última década.
Sin embargo, debe destacarse que, aunque el tipo de cambio de los indi-
cadores de la dependencia financiera del gobierno en India haya sido ne-
gativo durante el periodo, el grado de dependencia sigue siendo muy ele-
vado (la deuda externa representa más del 70% de las exportaciones y
casi el 150% de las reservas de divisas).
Como suele ocurrir, Japón es diferente. Su gobierno no se vio afec-
tado por el crédito exterior durante la década de los ochenta. Su déficit
presupuestario en relación con el PIB es, con mucho, el más bajo y des-
¿El estado iin|>tilcnle7 279
Bélgica
Italia
Grecia
Canadá
Irlanda
Japón
Suecia
Estados Unidos
Alemania
Francia
Gran Bretaña
• - -
1
1
i
1
1
1
1 1 1 1 1 1 1
0 20
| | 1985
40 60
S 1995 estim.
80 100 120 140
FIGURA 5.1 Pasivos financieros netos del gobierno (porcentaje del PIB).
Fuente: OCDE, elaborado por The Economista 20 de enero de 1996.
cendió de forma considerable durante el periodo 1980-1993. Por otra
parte, el consumo del gobierno aumentó, al igual que su deuda, y Japón
presenta una relación entre la deuda y el PIB (más del 50%) tan elevada
como la estadounidense. Estas observaciones indican que las finanzas del
gobierno japonés se sustentan en el endeudamiento interno. También re-
flejan la mayor competitividad de la economía japonesa y el considerable
superávit en las balanzas comercial y de pagos acumulado por el país. Así
que el estado japonés es mucho más autónomo que otros frente al resto
del mundo, pero su economía es mucho más dependiente de los resulta-
dos del comercio internacional, ya que el capital japonés financia a su go-
bierno con las ganancias de su competitividad. De este modo, lo que pa-
rece ser una excepción a la regla de la dependencia del gobierno y su
creciente déficit, no lo es. Las grandes empresas japonesas dominan la
economía mundial y su competitividad financia al estado, cuyo consumo
ha aumentado mucho más de prisa que en cualquiera de los demás países
estudiados. El estado japonés muestra una dependencia financiera de se-
gundo orden respecto a los movimientos de la economía internacional,
vía su endeudamiento con los bancos japoneses, que acumulan los benefi-
cios de sus keiretsu.
Cabe subrayar tres grandes tendencias en lo que respecta a los argu-
mentos presentados en este capítulo:
.'NO El poder de la identidad
]
]
| , , , , , P
0 5 10 15 20 25 30
costes no salariales [~ Salarios directos
FIGURA 5.2 Costes salariales en la industria, 1994 (dólares por hora).
Fuente: Federación de Empresarios suecos, elaborado por The Economist, 27 de enero
de 1996.
1. Pese a cierta desconexión del estado con la economía, sobre todo
en lo referente al empleo directo y la regulación, aún tiene un pa-
pel económico considerable que requiere una financiación adicio-
nal aparte de los impuestos, aumentando así los pasivos financie-
ros del estado, exceptuando al Reino Unido (véase figura 5.1).
2. El endeudamiento del gobierno, con la importante excepción de
Japón, cada vez depende más del crédito exterior, hasta tal punto
que ya supera las reservas de divisas de los bancos centrales y en-
sombrece los resultados de las exportaciones. Refleja el fenó-
meno más amplio de la brecha creciente entre un crecimiento de
los mercados financieros globales más rápido que el aumento del
comercio global.
3. El estado japonés ha logrado establecer cierta autonomía fiscal
frente al capital extranjero. Sin embargo, lo ha hecho basándose en
el endeudamiento interno, financiado con los ingresos de las grandes
compañías japonesas, procedentes del proteccionismo y los resulta-
dos de la exportación; de este modo, la economía y el estado japone-
ses se han hecho adictos a los excedentes comerciales y al reciclaje de
los beneficios en suelo japonés. Este estado de cosas condujo a la
«economía de burbuja» de finales de los años ochenta y, después,
cuando la burbuja estalló, a la recesión de comienzos de los noventa.
¿El estado impotente? 28 K
En general, el entrelazamiento de las economías nacionales, y la de-
pendencia de las finanzas del gobierno de los mercados globales y del cré-
dito exterior, ha creado las condiciones para una crisis fiscal internacional
de los estados-nación, incluidos los más ricos y poderosos.
La globalización y el estado de bienestar
La globalización de la producción y la inversión también amenaza al
estado de bienestar, un elemento clave de las políticas del estado-nación
en el medio siglo pasado, y probablemente el componente básico de su
legitimidad en los estados industrializados n
. Ello es así porque cada vez
resulta más contradictorio para las empresas operar en los mercados glo-
balizados e integrados, mientras experimentan importantes diferenciales
de costes en prestaciones sociales, así como diferentes grados de regula-
ción entre los países. No sólo ocurre entre Norte y Sur, sino también en-
tre los diferentes países de la OCDE; por ejemplo, los costes laborales
relacionados con las prestaciones sociales son mucho más bajos en los
Estados Unidos que en Alemania (véase la figura 5.2). Pero lo que es
una ventaja comparativa de la localización de los Estados Unidos frente
a Alemania, se convierte en una desventaja frente a México, tras la en-
trada en vigor del TLC. Puesto qué las empresas, debido a la tecnología
de la información, pueden localizarse en muchos lugares diferentes y se-
guir enlazadas a las redes y mercados globales de producción (véase vol.
I, cap. 6), se produce entonces una espiral descendente de reducción de
los costes sociales. Los límites a esa «competitividad negativa» en el pa-
sado fueron dobles: por una parte, el desfase en cuanto a productividad y
calidad entre los países protegía a los trabajadores de las economías
avanzadas frente a los competidores menos desarrollados; por la otra, la
presión interna inducía al proteccionismo, de modo que, mediante los
aranceles, se aumentaba el precio de las importaciones hasta un nivel en
el que se anulara la ventaja comparativa del abastecimiento externo.
Ambos límites están desapareciendo. La nueva Organización Mundial de
Comercio está estableciendo un sistema de vigilancia para detectar y pe-
nalizar las barreras al libre comercio. Aunque la política del comercio in-
ternacional condiciona la repercusión real de esos controles, parecería
que, a menos que se produzca una inversión espectacular en el proceso
de integración económica global, el proteccionismo flagrante a gran es-
cala cada vez se encontrará más sometido a las represalias del resto de
los países. En lo que respecta al retraso en cuanto a calidad y productivi-
dad, el estudio de Harley Shaiken sobre las fábricas de automóviles esta-
dounidenses en México ha mostrado que la rápida puesta al día de los
11
Wilensky, 1975; Janowitz, 1976; Navarro, 1994,1995; Castells, 1996.
II |KMII'I ilc In iiltnlulml
trabajadoras mexicanos igualaba la productividad de los estadounidenses
en unos dieciocho meses. Se han observado procesos similares en Asia '•'.
Y (los europeos deberían recordarlo) la productividad laboral estadouni-
dense sigue siendo la más alta del mundo, eliminando así un diferencial
potencial de competitividad europea que aún podría permitir un gene-
roso estado de bienestar. En una economía cuyos mercados centrales de
capital, bienes y servicios se integran cada vez más a escala global, queda
poco espacio para estados de bienestar muy diferentes en economías con
niveles relativamente similares de productividad laboral y calidad pro-
ductiva. Sólo un contrato social global (que redujera la brecha sin igualar
necesariamente las condiciones sociales y laborales), ligado a acuerdos
arancelarios internacionales, podría evitar la desaparición de los estados
de bienestar más generosos. No obstante, puesto que en la nueva econo-
mía global, liberalizada e interconectada, ese contrato de largo alcance es
improbable, los estados de bienestar están reduciendo su tamaño a un
denominador común inferior que mantiene la marcha en espiral hacia
abajo13
. Al hacerlo, se desvanece un componente fundamental de la legi-
timidad y estabilidad del estado-nación, no sólo en Europa, sino en todo
el mundo, desde los estados de bienestar de las clases medias de Chile o
México hasta los restos de los estados de bienestar estatistas de Rusia,
China o India, o el estado de bienestar urbano en los Estados Unidos in-
ducido por las luchas sociales de los años sesenta.
Así pues, el estado-nación cada vez es más impotente para controlar
la política monetaria, decidir su presupuesto, organizar la producción y el
comercio, recabar los impuestos sobre sociedades y cumplir sus compro-
misos para proporcionar prestaciones sociales. En suma, ha perdido la
mayor parte de su poder económico, si bien aún cuenta con cierta capaci-
dad regulatoria y un control relativo sobre sus subditos.
Redes globales de comunicación, audiencias locales y reguladores estatales
Las perspectivas de una regulación y control nacionales no son mucho
mejores en otro ámbito decisivo del poder estatal: los medios y la comuni-
cación. El control de la información y el entretenimiento y, mediante
ellos, de las opiniones e imágenes ha sido, a lo largo de la historia, el ins-
trumento de sostén del poder estatal, que se perfeccionaría en la era de
los medios de comunicación de masasM
. En este ámbito, el estado-nación
se enfrenta a tres importantes retos interconectados: la globalización y el
entrecruzamiento de la propiedad; la flexibilidad y la penetración de la
12
Shaiken, 1990; Rodgers, 1994.
13
Sengenberger y Campbell, 1994; Navarro, 1995; Castells, 1996.
14
Mattelart, 1991.
, II cstmlo nii|)(iionlcV 28í
tecnología; la autonomía y la diversidad de los medios de comunicación
(véase vol. I, cap. 5). De hecho, ya se ha rendido a ellos en la mayoría de
los países l5
. Hasta comienzos de los años ochenta, con la excepción im-
portante de los Estados Unidos, la mayoría de las televisiones del mundo
estaban controladas por el gobierno, y las radios y los periódicos estaban
bajo la coacción potencial de la buena voluntad del gobierno, incluso en
los países democráticos. Hasta en los Estados Unidos, la Comisión Fede-
ral de Comunicaciones ejercía un estrecho control sobre los medios elec-
trónicos, no siempre exento de sesgos de intereses especiales16
, y las tres
principales cadenas de televisión monopolizaban el 90% de la audiencia,
encuadrando, si no moldeando, la opinión pública. Todo cambió en una
década17
, por el impulso de la tecnología. La diversificación de los modos
de comunicación, el enlace de todos los medios en un hipertexto digital,
que abrió la vía para el multimedia interactivo, y la incapacidad para con-
trolar las emisiones de los satélites a través de las fronteras o la comu-
nicación por ordenador mediante línea telefónica, acabaron con las
formas tradicionales de defensa reguladora. La explosión de las teleco-
municaciones y el desarrollo del cable proporcionaron los vehículos para
un poder de emisión sin precedentes. El mundo de los negocios observó
la tendencia y aprovechó la oportunidad. Se realizaron megafusiones y se
movilizó capital a lo largo del mundo para tomar posición en la industria
de los medios, una industria que podía unir el poder en las esferas econó-
mica, cultural y políticaw
. Durante la década de los ochenta, se presionó a
los gobiernos nacionales de varias formas19
: opinión pública, o publicada,
que clamaba por la libertad y la diversidad de los medios de comunica-
ción; compra de los medios nacionales en dificultades; distribución en di-
versos medios de comunicación de opiniones de columnistas que escri-
bían la apología de la comunicación sin cortapisas; promesas de
complacencia política, si no apoyo, para casi todos los que estaban en el
poder o que tuvieran la posibilidad de estarlo en el futuro; y, no menos
importante, beneficios personales para aquellos cargos públicos que fue-
ran condescendientes. La política simbólica, al asimilar la liberalización
de los medios con la modernización tecnológica, desempeñó un impor-
tante papel para inclinar la opinión déla élite en favor del nuevo sistema
de medios de comunicación20
. Apenas hay un país, con excepción de
China, Singapur y el mundo fundamentalista islámico, donde la estructura
institucional y comercial de los medios no experimentara un giro espec-
15
Blumenfield, 1994; Brenner, 1994; Chong, 1994; Graf, 1995.
16
Cohén, 1986.
17
Doyle, 1992; Irving et al., 1994; Negroponte, 1995; Scott et al., 1995; Campo Vidal,
1996.
18
MacDonald, 1990.
19
Gerbner et al., 1993; Campo Vidal, 1996.
ffl
Vedel y Dutton, 1990.
2K4 Ei poder ilc la identidad
tacular entre mediados de la década de los ochenta y mediados de la de
los noventa21
. La televisión y la radio se privatizaron a gran escala, y las
cadenas gubernamentales que quedaron con frecuencia acabaron no dis-
tinguiéndose de la televisión privada, ya que se sometieron a la disciplina
de los índices de audiencia y a los ingresos de la publicidad22
. Los periódi-
cos se concentraron en grandes consorcios, a menudo con el respaldo de
grupos financieros. Y, lo que es más importante, los negocios de los me-
dios de comunicación se hicieron globales, con el capital, el talento, la tec-
nología y la propiedad de las empresas girando por todo el mundo, fuera
del alcance de los estados-nación (véase fig. 5.3). No se deduce de ello
que los estados no tengan una influencia en los medios de comunicación.
Los gobiernos siguen controlando medios importantes, poseen acciones y
tienen mecanismos de influencia en una amplia gama de los medios de
comunicación del mundo*. Y el mundo de los negocios se cuida mucho de
irritar a los guardianes de los mercados potenciales: cuando el Star Chan-
nel de Murdoch fue reprendido por el gobierno de China debido a sus
opiniones liberales sobre la política china, Star se congració con él cance-
lando el servicio de noticias de la BBC de la programación china del canal
e invirtiendo en una edición telefónica del Diario del Pueblo. Pero si los
gobiernos siguen conservando influencia sobre los medios, han perdido
gran parte de su poder, excepto en los medios que se encuentran bajo el
control directo de los estados autoritarios. Es más, los medios necesitan
mostrar su independencia como un ingrediente clave de su credibilidad,
no sólo frente a la opinión pública, sino con respecto a la pluralidad de
ostentadores del poder y anunciantes, ya que el sector de la publicidad es
el cimiento económico de las empresas de medios de comunicación. Si un
medio determinado se liga demasiado a una opción política explícita o re-
prime de forma sistemática cierto tipo de información, restringirá su au-
diencia a un segmento relativamente pequeño, apenas será capaz de obte-
ner beneficios en el mercado y no atraerá el interés de la mayoría del
público. Por otra parte, cuanto más independiente, abierto y creíble es un
medio, más atrae información, vendedores y compradores de un amplio
espectro. La independencia y profesionalidad no sólo son ideologías gra-
tificantes para los medios de comunicación: también se traducen en bue-
nos negocios, incluida a veces la posibilidad de vender su independencia a
un precio más elevado cuando surge la ocasión.
Una vez que se reconoce la independencia de los medios, y una vez
21
MacDonald, 1990; Doyle, 1992; Pérez-Tabernero et al, 1993; Instituto Dentsu de Es-
tudios Humanos, 1994; The Economist, 1994,1996.
22
Pérez-Tabernero et al, 1993.
Es revelador, en este sentido, el esfuerzo del gobierno del Partido Popular en Es-
paña en 1997 para controlar la televisión digital, favoreciendo a un grupo empresarial
afín, en contra del proyecto más avanzado del grupo PRISA, por considerarlo hostil a su
partido.
2H(> II poder de la identidad
que el estado-nación acepta esta cualidad como prueba esencial de su ca-
rácter democrático, se cierra el círculo: todo intento de recortar la liber-
tad de los medios tendrá un coste político, ya que la ciudadanía, no nece-
sariamente quisquillosa en cuanto a la precisión de las noticias, defiende
celosamente el privilegio de recibir información de fuentes que no estén
sometidas al estado. Por este motivo, hasta los estados autoritarios están
perdiendo la batalla sobre los medios de comunicación en la era de la in-
formación. La capacidad de la información y las imágenes de difundirse
vía satélite, videocasete o Internet se ha expandido de forma espectacu-
lar, de tal modo que la censura de noticias cada vez resulta menos efec-
tiva en los principales centros urbanos de los países autoritarios, precisa-
mente los lugares donde viven las élites ilustradas alternativas. Es más,
puesto que los gobiernos de todo el mundo quieren también «hacerse glo-
bales» y los medios de comunicación globales son su herramienta de ac-
ceso, con cierta frecuencia entran en tratos con sistemas de comunicación
de doble sentido que, aun cuando avanzan despacio y con cautela, acaban
minando su dominio sobre la comunicación.
En un movimiento paralelo a la globalización de los medios, también
ha habido en muchos países, gracias a las nuevas tecnologías de la comu-
nicación como la transmisión por satélite de costes compartidos, un extra-
ordinario crecimiento de los medios locales, sobre todo de la radio y la te-
levisión por cable. La mayoría de estos medios de comunicación locales,
que suelen compartir la programación, han establecido una fuerte cone-
xión con públicos populares específicos, dejando a un lado las opiniones
estandarizadas de los medios de comunicación de masas. Al hacerlo, se
escapan de los canales tradicionales de control (ya sean directos o indirec-
tos) que los estados-nación han establecido frente a las cadenas de televi-
sión y los principales periódicos. La creciente autonomía política de los
medios locales y regionales, que utilizan las tecnologías flexibles de comu-
nicación, es una tendencia tan importante como la globalización de los
medios para conformar las actitudes públicas. Es más, ambas tendencias
convergen en muchos casos, cuando las grandes empresas globales de
medios de comunicación compran nichos de mercado con la idea de cap-
tar la especificidad de las audiencias formadas en torno a los medios lo-
cales23
.
La comunicación a través del ordenador también se escapa del control
del estado-nación, marcando la entrada en una nueva era de comunica-
ción extraterritorial24
. La mayoría de los gobiernos parecen estar aterrori-
zados ante tal perspectiva. En enero de 1996, el ministro de Tecnología
de la Información francés anunció la intención de su gobierno de propo-
21
Levin, 1987; Abramson etal., 1988; Scheer, 1994; Spragen, 1995; Fallows, 1996.
24
Kahn, 1994; Financial Technology International Bulletin, 1995; Kuttner, 1995; Ubois,
1995.
¿El estado impotente? .'87
ner a la Unión Europea una serie de medidas para prohibir el libre acceso
a Internet. El suceso que provocó este plan de censura tecnológica desde
el país que alentó los ideales revolucionarios de libertad en Europa, así
como Minitel, fue la última batalla de Mitterrand. Tras su muerte, su mé-
dico publicó un libro que revelaba que Mitterrand padeció cáncer de
próstata durante los catorce años de su mandato presidencial. El libro fue
prohibido en Francia, a petición de la familia de Mitterrand, pero todo el
mundo pudo leerlo en la red. La furia del gobierno francés fue más lejos
de este caso particular. Estaba claro que ya no podían hacerse cumplir las
decisiones del gobierno o los tribunales sobre la información. Y el control
de la información había sido, mucho antes de la era de la información, la
base del poder estatal25
. Hubo tentativas similares, en torno a las mismas
fechas, de los gobiernos chino, alemán y estadounidense sobre una varie-
dad de temas que iban de la información financiera y política en China a
la pornografía infantil en los Estados Unidos26
. El meollo de la cuestión
eran los flujos de información transnacionales, que hacían difícil tomar
medidas legales contra la fuente de información aun cuando fuera detec-
tada. Todavía sigue debatiéndose cuáles son las posibilidades técnicas
reales para recortar el acceso a Internet sin dejar fuera de la red a todo un
país. Parecería que la censura y los castigos ex post facto, así como los me-
canismos de protección que cada cual aplique, resultan más factibles que
interferir la comunicación. Pero aun cuando las medidas externas de pro-
tección fueran efectivas, mermarían la red, dificultando el acceso a mucha
información útil y disminuyendo la extensión y el ámbito de la interactivi-
dad. Además, para poder limitar la red de forma selectiva, todos los paí-
ses conectados a ella tendrían que llegar a un acuerdo sobre los temas que
quieren que se prohiban y luego establecer un sistema de seguimiento
conjunto, que sin duda sería puesto en tela de juicio en los países demo-
cráticos por inconstitucional. En efecto, en los Estados Unidos, en junio
de 1996, una comisión judicial federal de Pensilvania declaró inconstitu-
cional la mayor parte de la nueva ley federal que pretendía regular el ma-
terial pornográfico difundido en la red. En una decisión contundente, los
tres jueces escribieron: «Del mismo modo que la fuerza de Internet es el
caos, la fuerza de nuestra libertad depende del caos y la disonancia de la
expresión sin restricciones que la Primera Enmienda protege»27
. En 1997
el Tribunal Suprer^o de los Estados Unidos confirmó la inconstitucionali-
dad de dicha ley y consagró el principio de libre expresión en Internet.
Así pues, en los años venideros, los estados-nación lucharán para contro-
lar la circulación de la información en las redes de telecomunicaciones in-
terconectadas a escala global. En mi opinión es una batalla perdida y, con
25
Couch, 1990.
26
Berman y Weitzner, 1995; Faison, 1996; Lewis, 1996a.
27
Citado por Lewis, 1996b.
2HH I I poder ele la íil> 1111.11.1
su derrota final, llegará la pérdida de una piedra angular del poder csl.i
tal.
En general, la globalización/localización de los medios y de la coiiiuin
cación electrónica equivale a la desnacionalización y desestatificación de
la información, siendo las dos tendencias inseparables hasta el móntenlo.
¿ Un mundo sin ley?
La globalización del crimen subvierte aún más el estado-nación, trans
formando profundamente los procesos de gobierno y paralizando en mu
chos casos al estado. Ésta es una tendencia crucial que se reconoce con
tanta facilidad como se hace caso omiso de sus consecuencias28
. Un capí
tulo completo (en el volumen III, cap. 3) analiza la que es una de las ten
dencias más importantes de nuestro mundo, y distintiva con respecto :
otros periodos, pero es necesario, en este punto del argumento, incluii
una tendencia tan crucial en nuestra compresión de la crisis actual del es-
tado-nación. No es nueva la capacidad de penetración del crimen y su re-
percusión en la política, pero sí la vinculación global del crimen organi-
zado, su condicionamiento de las relaciones internacionales, tanto
económicas como políticas, debido a la escala y el dinamismo de la econo-
mía criminal. Es nueva la profunda penetración, y eventual desestabiliza-
ción, de los estados nacionales en una variedad de contextos, bajo la in-
fluencia del crimen transnacional. Aunque el tráfico de drogas es el sector
industrial más significativo en la nueva economía criminal, toda clase de
tráficos ilícitos se unen en este sistema en la sombra que extiende su al-
cance y poder sobre el mundo: armas, tecnología, materiales radioactivos,
obras de arte, seres humanos, órganos humanos, asesinos de alquiler y
contrabando de cualquier artículo rentable de un lugar a otro, se conec-
tan a través de la madre de todos los delitos: el blanqueo de dinero. Sin
él, la economía criminal no sería global ni muy rentable. Y, a través del
blanqueo de dinero, la economía criminal se conecta con los mercados fi-
nancieros globales, de los cuales es un componente considerable y una
fuente de especulación constante. Según la Conferencia de la ONU sobre
la Economía Criminal Global celebrada en Ñapóles en octubre de 199429
,
un cálculo razonable establecería la cifra del capital procedente de fuen-
tes ilegales que se blanquea en el sistema financiero global en torno a los
750.000 millones de dólares anuales. Estos flujos de capital deben ser pro-
cesados con mayor movilidad y flexibilidad que los que se originan en
cualquier otra industria, ya que su circulación constante es lo que les per-
28
Arrieta et al., 1991; Roth y Frey, 1992; Smith, 1993; Lodato, 1994; Sterling, 1994; Gol-
den, 1995; Handelman, 1995; Johnson, 1995; WuDunn, 1996.
2
* ONU, Consejo Económico y Social, 1994.
I,l>. catado impotente? 2H9
tnitc evitar que los departamentos encargados de la aplicación de la ley
los localicen.
La repercusión de estas tendencias en los estados nacionales se pro-
duce a lo largo de tres líneas principales:
1. En muchos casos, toda la estructura del estado, que a menudo in-
cluye las esferas más altas, está penetrada por vínculos criminales,
ya sea mediante corrupción, amenazas o financiamiento político
ilegal, con lo que se causan estragos en la gestión de los asuntos
públicos.
2. Las relaciones internacionales entre los estados-nación, en mu-
chos países, acaban dependiendo en grados diferentes de la bue-
na o mala colaboración en la lucha contra la economía criminal.
El caso típico hasta ahora ha sido el de las relaciones entre los
Estados Unidos y algunos países latinoamericanos (Colombia,
Bolivia, México, Paraguay, Panamá), pero se está convirtiendo
en un fenómeno más amplio, a medida que la economía crimi-
nal se diversifica (por ejemplo, la preocupación alemana con el
tráfico de materiales radiactivos organizado por la mafia rusa; o
la inquietud del gobierno ruso sobre la participación creciente
de la mafia siciliana y los cárteles de Colombia en la mafia
rusa).
3. Los flujos financieros de origen criminal, cada vez más importan-
tes, son elementos clave para estimular o desestabilizar econo-
mías nacionales enteras, de tal modo que la política económica ya
no puede gestionarse en muchos países y zonas del mundo sin in-
cluir en escena este factor altamente impredecible.
Antes, los gobiernos nacionales muy afectados por las intrigas de la
economía criminal eran un puñado de sospechosos habituales, como Ita-
lia o Colombia. Ya no es así. La importancia del fenómeno, su alcance
global, el volumen de su riqueza e influencia y su conexión afianzada con
las finanzas internacionales hacen que los lazos criminales con la corrup-
ción política sean un rasgo frecuente en los principales países. Por ejem-
plo, los yakuzas (báñelas japonesas de delincuencia organizada) han inter-
nacionalizado recienteinente sus conexiones. Y los lazos francos y menos
francos de los yakuzas con los dirigentes gubernamentales japoneses son
bien conocidos, hasta el punto de que el Ministerio de Obras Públicas fue
considerado, durante largo tiempo, la vía de intercambio de contratos gu-
bernamentales por generosas aportaciones de las empresas patrocinadas
por los yakuzas al Partido Liberal Democrático, un sistema no demasiado
distinto de los programas de desarrollo del Mezzogiorno de los democris-
tianos italianos en relación con la Mafia. O, cuando en 1996 una serie de
crisis bancarias estremecieron Japón, dando como resultado el impago de
290 El poder de la identidad
préstamos de miles de millones de dólares, se suscitaron serias sospechas
sobre el papel de los yakuzas para obligar a los directores de los bancos a
conceder esos préstamos, incluida la muerte de dos banqueros30
. En otro
contexto, la presunta penetración de las organizaciones criminales rusas,
con conexiones internacionales, en varias esferas del gobierno de uno de
los estados más poderosos del mundo es un hecho preocupante. Y la ca-
dena de escándalos políticos que han sacudido a los gobiernos de todo el
mundo en la década de los noventa (un tema que analizaré en el capítulo
6) no deja de estar relacionada, en muchos casos, con la lucha de poder
continua entre las estructuras del crimen organizado y las estructuras de
los estados-nación. Es más, hasta los principales gobiernos, que se creen
relativamente inmunes a la penetración del crimen en sus niveles más ele-
vados, sufren las sacudidas de las maniobras políticas criminales. Por
ejemplo, cuando en 1994-1995 la economía mexicana se derrumbó, pese a
los préstamos masivos estadounidenses, debido a una crisis política pro-
vocada en parte, como sostendré más adelante, por la penetración de los
traficantes de drogas en la cúpula del partido gobernante mexicano, el
dólar sufrió un descenso considerable y el marco se disparó en los merca-
dos de divisas. Ello desestabilizó el sistema monetario europeo, por el te-
mor de los inversores a que el déficit del gobierno estadounidense au-
mentara debido al esfuerzo necesario para levantar a México de su
quiebra potencial. En este torbellino de crimen, capital y poder, no existe
un lugar seguro. Ni instituciones nacionales seguras.
Así pues, la globalización, en sus diferentes dimensiones, socava la au-
tonomía y el poder de tomar decisiones del estado-nación. Y esto ocurre
en el momento preciso en que el ejercicio del poder estatal en el ámbito
internacional también está sujeto a las limitaciones del multilateralismo
en defensa, política exterior y política pública global, como la política me-
dioambiental.
EL ESTADO-NACIÓN EN LA ERA DEL MULTILATERALISMO
El periodo posterior a la guerra fría se caracteriza por una interde-
pendencia multilateral creciente entre los estados-nación31
. Ello se debe
fundamentalmente a tres factores: la disolución o relajación de los blo-
ques militares construidos en torno a las dos superpotencias, la espec-
tacular repercusión de la nueva tecnología en la guerra y la percepción
social del carácter global de los desafíos de la humanidad debido al ma-
x
WuDunn, 1996.
31
Baylis y Rengger, 1992; McGrew et al, 1992; Falk, 1995; Orstrom Moller, 1995,
Alonso Zaldívar, 1996.
¿El estado impotente? 291
yor conocimiento e información, como en el caso de la seguridad medio-
ambiental.
Con la desaparición de la Unión Soviética, y prescindiendo de las po-
sibles tensiones futuras entre Rusia, China y la OTAN, también desapa-
recieron los principales mecanismos que estabilizaban los lazos estratégi-
cos de la mayoría de los estados-nación en torno a las dos superpotencias32
.
Aunque la OTAN continúa organizándose en torno a la alianza de Occi-
dente encabezada por los Estados Unidos, sus funciones se están redefi-
niendo en la segunda mitad de la década de los noventa hacia el cumpli-
miento de tareas de seguridad, en nombre de un amplio consorcio de
naciones, en asociación, siempre que sea posible, con la ONU. La nueva
noción de seguridad global y colectiva33
, que surgió por primera vez con
la Guerra del Golfo para hacer frente a la amenaza común al suministro
de petróleo de Oriente Próximo, implica una relación simbiótica entre las
fuerzas militares más capaces (los ejércitos profesionales de los Estados
Unidos y el Reino Unido), los financiadores de las operaciones (Japón,
Alemania y los emiratos árabes en primer lugar) y las declaraciones retó-
ricas en nombre del mundo civilizado (a menudo realizadas por los diri-
gentes franceses). El intento deliberado de esta alianza basada en la
OTAN de hacer participar a Rusia en operaciones conjuntas, como en el
caso de Bosnia, es indicativo de la transformación de los objetivos de las
alianzas militares, de la dominación de las superpotencias a la vigilancia
conjunta de un orden mundial vacilante contra las potenciales amenazas
impredecibles al sistema. El nuevo sistema de seguridad se está constru-
yendo, fundamentalmente, contra bárbaros del exterior que aún no tie-
nen nombre34
. Al hacerlo, los estados-nación, incluidos los más podero-
sos, se ven envueltos en redes de intereses y negociaciones que se
rearticulan en formatos diferentes según cada tema. Sin la necesidad de
poseer una capacidad de decisión trascendental en situaciones de vida o
muerte, como era el caso en la confrontación potencial de las superpoten-
cias y sus aliados en la era nuclear de la guerra fría, el ir saliendo del paso
en una política exterior con geometría variable se traduce en la creciente
incapacidad de cualquier estado para actuar por sí mismo en el ámbito in-
ternacional. Por esencia, la política exterior es multilateral en este fin de
milenio35
. Dos importantes excepciones afectan al grado de integración
en este sistema de seguridad colectiva: Rusia, aún una superpotencia nu-
clear, y China, en vías de convertirse en una superpotencia36
. No obs-
tante, puesto que no es probable que ninguna de ellas organice a un con-
junto de aliados permanentes en torno a sus intereses (pese a los lazos de
32
Alonso Zaldívar, 1996; McGrew, 1992b.
33
McGrew, 1992a; Mokhtari, 1994.
34
Rosenau, 1990; Berdal, 1993; Guehenno, 1993.
35
Frankel, 198ÍÍ; McGrew eí al., 1992.
36
Boardmann, 1994; Alonso Zaldívar, 1996.
I I |>mlrr de I» idcnlliln >
China con Pakistán), su aislamiento relativo y la profunda desconli;tn/n
mutua no contradicen el carácter multilateral del nuevo sistema de «>•.»
ridad, sino que sólo le añade complejidad.
Los rápidos cambios en la tecnología militar también están debili
tando la capacidad del estado-nación para decidir en solitario ". Ahora, lu
guerra depende esencialmente de la electrónica y la tecnología de la co
municación, como demostró la Guerra del Golfo. La devastación masivn
que puede infligirse a distancia, mediante el lanzamiento de misiles y ata
ques aéreos, es capaz de dejar fuera de juego en pocas horas a un ejército
considerable, sobre todo si sus defensas se inutilizan mediante contramo
didas electrónicas y si los blancos se han identificado por satélite y proce-
sado por ordenadores a miles de kilómetros para dirigir el fuego real en
esta guerra invisible. La guerra electrónica depende, como siempre lo ha
hecho la guerra, de la tecnología. La diferencia en el periodo actual es,
por una parte, la velocidad del cambio tecnológico, que vuelve obsoletas
las armas en muy poco tiempo38
. Ello obliga a la mejora continua de los
sistemas de armas si se pretende que los ejércitos vayan a combatir real-
mente con otros ejércitos, en lugar de controlar a su propio pueblo, como
sucede aún en gran parte de la humanidad. Los ejércitos con baja tecnolo-
gía no son tales, sino fuerzas de policía disfrazadas. Por otra parte, el ca-
rácter de la nueva tecnología militar requiere un ejército profesional cuyo
personal disponga de los conocimientos necesarios para manipular arma-
mento informatizado y sistemas de comunicación. Esto proporciona una
ventaja a los países con un nivel tecnológico avanzado, independíente-
mente del tamaño de sus fuerzas armadas, como ilustran los casos de Is-
rael y Singapur. Debido al papel esencial de la tecnología, los estados-na-
ción que aún esperan afirmar su capacidad para ejercer la violencia
acaban dependiendo permanentemente de los suministradores de tecno-
logía, no sólo de hardware, sino de recursos humanos. Sin embargo, esta
dependencia ha de situarse en el contexto de una diversificación creciente
de las armas bélicas convencionales, a medida que los países se industria-
lizan y la tecnología se difunde39
. Así pues, Brasil e Israel pueden ser pro-
veedores eficientes de equipo bélico avanzado. Francia, el Reino Unido,
Alemania, Italia y China han aumentado su papel, junto con los Estados
Unidos y Rusia, como proveedores de los ejércitos del mundo. Y surge un
patrón cada vez más complejo de colaboración y competencia, en el que
China compra cazas avanzados a Rusia y tecnología de comunicaciones a
los Estados Unidos, y Francia vende misiles a quien quiera comprarlos,
con un servicio postventa de entrenamiento y mantenimiento incluidos.
Además, han proliferado los mercados globales ilegales de armas, de todo
Mclnncs, 1992.
Mclnnes y Sheffield, 1988; Grier. 1995.
McGrew, 1992b.
i I ritmlo impolcnli ' 293
li|io ilc armas, haciendo posible la amplia difusión de cualquier tecnolo-
Hin, desde los «Stingers» hasta los «Patriots», del gas nervioso a los meca-
iilNinns de bloqueo electrónico. Ello conlleva que, a diferencia de otros
|U'i'iodos históricos, ningún estado sea autosuficiente en la producción de
equipo bélico, con la excepción esencial de los Estados Unidos (ya que
l< usia ahora depende tecnológicamente en microelectrónica y comunica-
nones). Pero ello no implica que todos los estados-nación estén condena-
dos a convertirse en colonias estadounidenses. Más bien es lo contrario.
I ¡i falta de un claro adversario ha relajado los controles tecnológicos del
Departamento de Defensa estadounidense y puede disponerse amplia-
mente de las tecnologías más esenciales y de las armas convencionales.
('orno los estados-nación no pueden controlar las fuentes de suministro
del equipo último modelo, dependen permanentemente, en el ejercicio
potencial de su poder bélico, no de los Estados Unidos, sino de diversas
redes globales de suministro. El hecho de que los Estados Unidos sean
nutosuficientes en cuanto a tecnología (y sólo debido al esfuerzo del Pen-
tágono para dejar de depender de la fabricación japonesa de semiconduc-
tores) les otorga el título de ser la única superpotencia verdadera. No obs-
tante, ni siquiera este hecho se traduce en una soberanía plena sobre su
política exterior debido a su débil posición financiera y política en cuanto
al envío de sus fuerzas al exterior40
. Es más, como sostiene Mclnnes, «el
carácter de la guerra moderna ha llevado a los pensadores militares a pre-
guntarse si un conflicto de alta intensidad podría merecer los costes que
supone (prescindiendo de si se utilizan armas nucleares o no) y si, aun
cuando dicha guerra ocurriera, podría sostenerse durante algún tiempo
[dado lo caras que resultan las armas de alta tecnología y lo rápido que
pueden destruirse]»41
.
La evolución tecnológica da un nuevo giro a las relaciones internacio-
nales hacia el multilateralismo. La industrialización de nuevas regiones
del mundo, la difusión del conocimiento científico y tecnológico, y el trá-
fico ilegal de todo ha impulsado, y sigue haciéndolo, la proliferación de
las capacidades de la guerra nuclear, química y biológica42
. Así pues, aun-
que los estados-nación dependen cada vez más de la tecnología de van-
guardia en la guerra convencional, también tienen acceso a lo que deno-
minaría «tecnologías de vetoj», esto es, armas de destrucción masiva que
por su propia existencia pueden disuadir a un estado más poderoso de ga-
nar. El «equilibrio del terror»global está en proceso de descentralizarse
en muchos «equilibrios del terror» locales. Esta tendencia obliga, por un
parte, a las principales potencias a emprender una acción concertada y
multilateral para evitar el control de esas armas por parte de nuevos paí-
40
Savigear, 1992.
41
Mclnnes, 1992, pág. 156.
42
McGrew, 1992b.
."M El poder de la identid.id
sos, fuerzas políticas o grupos terroristas. Por otra parte, una vez que al-
gunos países llegan de todos modos a poseer estas armas, el sistema de se-
guridad global se ve obligado a intervenir para equilibrar las fuerzas de
destrucción de cada zona del mundo, con el fin de evitar peligrosas con-
frontaciones locales43
. Sigue una compleja y enmarañada red de niveles
diferentes de poder destructivo, que se controlan mutuamente con acuer-
dos específicos y procesos negociados de desarme y retirada. En esa red,
ningún estado-nación, ni siquiera los Estados Unidos, es ya libre, puesto
que un cálculo equivocado o un exceso en el ejercicio de su poder supe-
rior podría desatar un holocausto nuclear o bacteriológico local. La hu-
manidad vivirá durante un largo tiempo con los monstruos de la destruc-
ción que hemos creado, ya sea para la aniquilación masiva estandarizada
o miniaturizada para una matanza personalizada. En tales circunstancias,
la tarea fundamental de los estados-nación (y no sólo de las superpoten-
cias, como en el periodo de la guerra fría) consiste ahora en limitar el
ejercicio real de su propio poder militar, con lo que se debilita su razón
de ser original.
Los estados-nación también se enfrentan a los límites de su legitimi-
dad y, en definitiva, de su poder, con respecto a la gestión global del en-
torno planetario44
. Debido a la creciente capacidad de la informática, la
ciencia y la tecnología aportan conocimientos sin precedentes sobre la de-
gradación de la naturaleza y sobre sus consecuencias para nuestra espe-
cie. En una evolución afín, como se mostró en el capítulo 3, el movi-
miento ecologista ha despertado la conciencia ecológica de sociedades de
todo el mundo, haciendo presión sobre la responsabilidad de los gobier-
nos de detener la marcha hacia la catástrofe. No obstante, los estados-na-
ción individuales son impotentes, por sí mismos, para actuar sobre temas
como el calentamiento global, la capa de ozono, la deforestación del pla-
neta, la contaminación de las reservas de agua, el agotamiento de la vida
oceánica y demás. Por lo general, los esfuerzos de los estados para unirse
toman la forma de espectáculos internacionales y retórica solemne, más
que de una aplicación real de programas de acción conjunta. Lipschutz y
Coca escriben, para concluir su investigación global sobre las políticas
medioambientales concertadas:
La posibilidad de que exista una dirección hegemónica o de que surja una autori-
dad central coordinadora parece remota con respecto a los asuntos medioambien-
tales. Y la probabilidad de una coordinación multilateral efectiva parece también
lejana, debido a importantes incertidumbres acerca de los costes y beneficios de la
protección y gestión del medio ambiente. A estas barreras y condiciones añadiría-
mos diversos factores cuyo origen está en la naturaleza del propio estado: la inca-
Daniel y Hayes, 1995.
Rowlands, 1992; Vogler, 1992; Morin y Kern, 1993; Wapner, 1995; Hempel, 1996.
¿El estado impotente? 295
paridad fundamental de los gobiernos para controlar los procesos destructivos en
juego, la escasez de palancas políticas efectivas y la importancia de la extracción
de recursos básicos (y de ahí la destrucción medioambiental) para las alianzas so-
ciales clave del estado45
.
Ello no obedece necesariamente a la ignorancia o mala fe de los go-
biernos, sino a que cada estado-nación continúa actuando en nombre de
sus intereses propios o de los intereses de los grupos de votantes que va-
lora más46
. Al hacerlo, el multilateralismo se convierte en un foro de de-
bate y en un ámbito de negociación, más que en una herramienta para
ejercer la responsabilidad colectiva. Siguiendo una lógica habermasiana
de «desplazamiento de la crisis», «la contradicción medioambiental-eco-
nómica fundamental y global queda desplazada al nivel del estado-na-
ción»47
. Paradójicamente, esta obstinación de los estados-nación conduce
a su debilitamiento como instituciones políticas viables, a medida que los
ciudadanos de todo el mundo se dan cuenta de la incapacidad de estos
aparatos tan caros y engorrosos para abordar los principales problemas
que tiene la humanidad. Así pues, para superar su inoperancia creciente,
los estados-nación se asocian cada vez más, orientándose hacia un nuevo
orden de gobierno supranacional.
EL GOBIERNO GLOBAL Y EL SUPER ESTADO-NACIÓN
Como escribieron Streeck y Schmitter, «si se quiere una explicación
sintética del impulso renovado de la integración europea a mediados de la
década de los ochenta, probablemente se diría que es el resultado de un
alineamiento entre dos tipos de intereses: los de las grandes firmas eu-
ropeas, que pugnan por superar las ventajas competitivas percibidas en
relación con el capital japonés y estadounidense, y los de las élites estata-
les, que tratan de restablecer, al menos, parte de la soberanía política que
han perdido de forma gradual en el ámbito nacional como resultado de la
creciente interdependencia internacional»48
. En ambos supuestos, por in-
tereses comerciales e intereses políticos, lo que se buscaba no era la su-
pranacionalidad, sino la reconstrucción del poder estatal basado en la na-
ción a un nivel más elevado, un nivfel en el que pueda ejercerse cierto
grado de control sobre los flujos de riqueza, información y poder. La for-
mación de la Unión Europea (como sostendré en el volumen III) no es un
proceso de construcción del estado federal europeo delfuturo, sino la cons-
45
Lipschutz y Coca, 1993, pág. 332.
46
Castells (en prensa).
47
Hay, 1994, pág. 87.
48
Streeck y Schmitter, 1991, pág. 148.
2% El poder de la identidad
tracción de un cártelpolítico, el cártel de Bruselas, en el que los estados-na-
ción europeos puedan seguir haciéndose, de forma colectiva, con cierto
grado de soberanía en el nuevo desorden global, y luego distribuir los be-
neficios entre sus miembros, bajo reglas incesantemente negociadas. Por
este motivo, en lugar del comienzo de la era de la supranacionalidad y de
la gobernación global, estamos presenciando la aparición del super es-
tado-nación, es decir, de un estado que expresa, en una geometría varia-
ble, los intereses agregados de sus miembros constituyentes49
.
Cabe extrapolar un argumento similar para la pluralidad de institucio-
nes internacionales que comparten la gestión de la economía, de la segu-
ridad, del desarrollo y del medio ambiente en este mundo de fin de mile-
nio 50
. La Organización Mundial de Comercio ha sido establecida para
hacer compatible el comercio libre con las restricciones comerciales en un
mecanismo continuo de control y negociación. La ONU compite para es-
tablecer su nuevo papel doble como fuerza de vigilancia legítima en nom-
bre de la paz y los derechos humanos y como centro de los medios de co-
municación del mundo, organizando conferencias cada seis meses sobre
los titulares de la humanidad: medio ambiente, población, exclusión so-
cial, mujeres, ciudades y temas similares. El club de los países del G-7 se
ha autodesignado supervisor de la economía global, permitiendo, por si
acaso, que Rusia mire por la ventana e indicando al Fondo Monetario In-
ternacional y al Banco Mundial que mantengan la disciplina en los merca-
dos financieros y las divisas, tanto global como localmente. La OTAN,
después de la guerra fría, ha surgido como el núcleo de una poderosa
fuerza militar para vigilar el nuevo desorden mundial. El TLC está afian-
zando la integración económica del hemisferio occidental, con la incorpo-
ración potencial de Chile, que desmiente su etiqueta de norte (en las si-
glas inglesas). Por otra parte, MERCOSUR está afirmando la
independencia de América del Sur, incrementado su comercio con Eu-
ropa y no con los Estados Unidos. Varias instituciones internacionales de
cooperación del Pacífico tratan de construir una comunidad de intereses,
superando la desconfianza histórica que existe entre los principales acto-
res del Pacífico asiático (Japón, China, Corea y Rusia). Los países de todo
el mundo utilizan las antiguas instituciones, como ASEAN (Asociación
de Naciones del Sureste Asiático) o la Organización de la Unidad Afri-
cana, o incluso las instituciones postcoloniales, como la Commonwealth
británica o el sistema de cooperación francés, como plataformas para esta-
blecer empresas en común con una diversidad de objetivos que apenas
podrían alcanzar los estados-nación independientes. La mayoría de las
valoraciones de este proceso creciente de internacionalízación de las polí-
49
Orstrom Moller, 1995.
50
Berdal, 1993; Rochester, 1993; Bachr y Gordenker, 1994; Dunaher, 1994; Falk, 1995;
Kraus y Knight, 1995; supervisión del FMI/Banco Mundial, 1995.
¿El estado impotente? 297
ticas estatales parecen dudar de la posibilidad de un gobierno global
como una soberanía plenamente compartida, pese al interés potencial de
la idea. Más bien, el gobierno mundial suele considerarse la convergencia
negociada de los intereses y políticas de los gobiernos nacionales51
. Los
estados-nación y sus élites son demasiado celosos de sus privilegios para
rendir la soberanía, excepto bajo la promesa de beneficios tangibles. Ade-
más, según los sondeos de opinión, es muy improbable que, en el futuro
previsible, la mayoría de los ciudadanos de un país acepten la integración
plena en un estado federal supranacional52
. La experiencia estadouni-
dense de construcción de una nación federal es tan específica en la histo-
ria que, pese a su atractivo innegable, difícilmente puede ser un modelo
para los federalistas de fin de milenio de otras regiones del mundo.
Además, la creciente incapacidad de los estados para tratar los pro-
blemas globales que tienen repercusión en la opinión pública (desde el
destino de las ballenas hasta la tortura de los disidentes en todo el
mundo) lleva a que las sociedades civiles tomen en sus manos cada vez
más las responsabilidades de la ciudadanía global. De este modo, Amnis-
tía Internacional, Greenpeace, Médicos Sin Fronteras, Oxfam y tantas
otras organizaciones humanitarias no gubernamentales se han convertido
en una importante fuerza en el ámbito internacional en la década de los
noventa, atrayendo con frecuencia más fondos, actuando con mayor efi-
cacia y recibiendo una mayor legitimidad que los esfuerzos internaciona-
les patrocinados por los gobiernos. La «privatización» del humanitarismo
global hace cada vez más débil uno de los últimos razonamientos sobre la
necesidad del estado-nación53
.
En suma, lo que estamos presenciando es, al mismo tiempo, la sobera-
nía compartida en la gestión de los principales temas económicos, medio-
ambientales y de seguridad, y, por otra parte, el atrincheramiento de los
estados-nación como componentes básicos de esta enmarañada red de
instituciones políticas. Sin embargo, el resultado de este proceso no es el
reforzamiento de los estados-nación, sino la erosión sistémica de su poder
a cambio de su perduración. Ello se debe, sobre todo, a que los procesos
de conflicto, alianza y negociación constantes hacen a las instituciones in-
ternacionales poco efectivas, de tal ^nodo que la mayor parte de su ener-
gía política se gasta en el proceso y nx^en el producto, lo cual ralentiza se-
riamente la capacidad de intervención de los estados, incapaces de actuar
por sí mismos, pero paralizados cuando tratan de hacerlo colectivamente.
Es más, las instituciones internacionales, en parte para escapar de esa pa-
rálisis, en parte a causa de la lógica inherente a toda burocracia grande,
tienden a tener vida propia. Al hacerlo, definen su mandato de tal modo
51
Comisión sobre la Gobernación Global de la ONU, 1995.
52
Orstrom Mollcr, 1995.
>3
Guehenno, 1993; Rubert de Ventos, 1994; Falk, 1995.
:>>n II poder ele l;i iilcnfiílml
que tienden a suplantar el de sus estados constituyentes, instituyendo de
jacto una burocracia global. Por ejemplo, es completamente falso, como
las críticas de la izquierda suelen sostener, que el Fondo Monetario Inter-
nacional sea un agente del imperialismo estadounidense o de cualquier
imperialismo. Es un agente de sí mismo, movido fundamentalmente por
la ideología de la ortodoxia económica neoclásica y por la convicción de
ser el baluarte de la mesura y la racionalidad en un mundo peligroso
construido sobre esperanzas irracionales. La sangre fría que he presen-
ciado personalmente en la conducta de los teenócratas del FMI para ayu-
dar a destruir la sociedad rusa en los momentos críticos de la transición
en 1992-1995 no tenía nada que ver con la dominación capitalista. Era,
como en el caso de África y de América Latina, un honrado y firme com-
promiso ideológico de enseñar racionalidad financiera a los pueblos del
mundo, como única base sólida para construir una nueva sociedad. Al
proclamar la victoria en la guerra fría para el capitalismo liberal (una
afrenta histórica para los duros combates de la socialdemocracia contra el
comunismo soviético), los expertos del FMI no actúan bajo la guía de los
gobiernos que los nombran, o de los ciudadanos que los pagan, sino como
cirujanos que desmembran diestramente los restos de los controles políti-
cos sobre las fuerzas de mercado. Al hacerlo, pueden despertar un pro-
fundo resentimiento entre los ciudadanos de todo el mundo, que sienten
el pleno impacto de estas instituciones globales sobre sus vidas, soca-
vando a sus estados-nación obsoletos.
Así pues, el papel creciente desempeñado por las instituciones inter-
nacionales y los consorcios supranacionales en las políticas mundiales no
puede equipararse con la desaparición del estado-nación. Pero el precio
que pagan los estados-nación por su supervivencia precaria como seg-
mentos de redes de estados es el de su pérdida de importancia, con lo
que se debilita su legitimidad y, en última instancia, se fomenta su impo-
tencia.
IDENTIDADES, GOBIERNOS LOCALES Y DECONSTRUCCIÓN DEL ESTADO-
NACIÓN
El 25 de diciembre de 1632, el Condeduque de Olivares escribió a su
rey, Felipe IV:
Tenga V. Majd. por el negocio más importante de su Monarquía el hacerse rey de
España; quiero decir, señor, que no se contente V. Majd. con ser rey de Portugal,
de Aragón, de Valencia, conde de Barcelona, sino que trabaje y piense con con-
sejo maduro y secreto por reducir estos reinos de que se compone España al estilo
y leyes de Castilla, sin ninguna diferencia en todo aquello que mira de dividir lími-
tes, puertos secos, el poder de celebrar cortes de Castilla, Aragón y Portugal en la
¿El estado impotente? 299
parte que quisiere, a poder introducir V. Majd. acá y allá ministros de las naciones
promiscuamente [...] que si V. Majd. lo alcanza será el príncipe más poderoso del
mundo54
.
El rey siguió su consejo, con lo que indujo un proceso que acabó lle-
vando a la revuelta de los Segadores en Cataluña, a la revuelta contra el
estanco de la sal en el País Vasco y a la rebelión e independencia final de
Portugal. Al mismo tiempo, también puso, en el proceso, los cimientos
del estado-nación español moderno y centralizado, si bien de una manera
tan precaria que provocó casi tres siglos de levantamientos, represiones,
guerras civiles, terrorismo e inestabilidad institucional55
. Aunque el es-
tado español, hasta 1977, representaba una situación extrema de homoge-
neidad impuesta, la mayoría de los estados-nación modernos, sobre todo
el estado revolucionario francés, se han construido sobre la negación de
las identidades históricas/culturales de sus constituyentes en beneficio de
la identidad que mejor se acopla a los intereses de los grupos sociales do-
minantes que se encuentran en los orígenes del estado. Como sostuve en
el capítulo 1, el estado, no la nación (definida cultural o territorialmente,
o de ambos modos), creó el estado-nación en la Edad Moderna56
. Una
vez que se establecía una nación, bajo el control territorial de un estado
dado, la historia compartida sí indujo lazos sociales y culturales, así como
intereses económicos y políticos, entre sus miembros. No obstante, la re-
presentación desigual de intereses sociales, culturas y territorios en el es-
tado-nación sesgó las instituciones nacionales hacia los intereses de las
élites que lo originaron y su geometría de alianzas, abriendo paso a crisis
institucionales cuando las identidades sometidas, arraigadas en la historia
o restauradas ideológicamente, fueron capaces de movilizarse para obte-
ner una renegociación de su contrato nacional histórico57
.
La estructura del estado-nación presenta una diferenciación territo-
rial que, al compartir o no compartir los poderes, expresa alianzas y opo-
siciones entre los intereses sociales, las culturas, las regiones y las nacio-
nalidades que componen el estado. Como aduje en otro lugar58
, la
diferenciación territorial de las instituciones estatales explica en buena
medida el misterio aparente de por qué los estados suelen estar goberna-
dos en nombre de los intereses de una minoría, aunque no se basen nece-
sariamente en la opresión. Los grupos soQÍales subordinados y las mino-
rías culturales, nacionales y regionales sí tienen acceso al poder en los
niveles inferiores del estado, en los territorios donde viven. Así pues,
54
Citado por Elliot y De la Peña, 1978, pág. 95.
55
Alonso Zaldívar y Castells, 1992.
56
Norman, 1940; Halperin Donghi, 1969; Tilly, 1975; Gellner, 1983; Giddens, 1985; Ru-
bert de Ventos, 1994.
57
Hobsbawm, 1990; Blas Guerrero, 1994.
58
Castells, 1981.
ton El poillT lie 1II illflllill.nl
surge una geometría compleja en la relación entre el estado, las clases so-
ciales, los grupos sociales y las identidades presentes en la sociedad civil.
En cada comunidad y en cada región, las alianzas sociales y su expresión
política son específicas, correspondiendo a la relación de poder local/re-
gional existente, la historia del territorio y su estructura económica espe-
cífica. Esta diferenciación de alianzas de poder según las distintas regio-
nes y comunidades es un mecanismo esencial para mantener en
equilibrio, en general, los intereses de diversas élites que se benefician
conjuntamente de las políticas del estado, si bien en proporciones, di-
mensiones y territorios diferentes59
. Los notables locales y regionales in-
tercambian el poder en su territorio por su fidelidad a las estructuras de
dominación nacional, donde los intereses de las élites nacionales o globa-
les son más fuertes. Los notables locales son los intermediarios entre las
sociedades locales y el estado nacional: son, al mismo tiempo, negocian-
tes políticos y jefes locales. Como los acuerdos que se alcanzan entre los
actores sociales en los gobiernos locales no suelen corresponder a las
alianzas políticas que se establecen entre los diversos intereses sociales
en el ámbito nacional, el sistema de poder local no se desarrolla fácil-
mente a lo largo de líneas de partido estrictas, ni siquiera en la situación
europea de democracias dominadas por los partidos. Las alianzas socia-
les locales y regionales suelen ser acuerdos específicos, articulados en
torno al liderazgo local. Así pues, los gobiernos locales y regionales son,
al mismo tiempo, la manifestación del poder estatal descentralizado, el
punto de contacto más cercano entre el estado y la sociedad civil, y la ex-
presión de identidades culturales que, aunque hegemónicas en un territo-
rio determinado, están escasamente representadas en las élites dirigentes
del estado-nación60
.
En el capítulo 1 he sostenido que la creciente diversificación y frag-
mentación de los intereses sociales en la sociedad red da como resultado
su agregación en la forma de identidades (re)construidas. Así pues, una
pluralidad de identidades transmiten al estado-nación las aspiraciones,
demandas y objeciones de la sociedad civil. La incapacidad creciente del
estado-nación para responder simultáneamente a este vasto conjunto de
demandas provoca lo que Habermas denomina una «crisis de legitima-
ción»61
o, en el análisis de Richard Sennett, «la caída del hombre público»62
,
la figura que constituye la base de la ciudadanía democrática. Para supe-
rar esta crisis de legitimación, los estados descentralizan algo de su poder
a las instituciones políticas locales y regionales. Este movimiento oca-
59
Dulong, 1978; Tarrow, 1978.
M
Gremion, 1976; Ferraresi y Kemeny, 1977; Rokkan y Urwín, 1982; Borja, 1988; Zic-
cardi, 1995; Borja y Castells, 1996.
61
Habermas, 1973.
62
Sennett, 1978.
¿El estado impotente? 301
siona dos tendencias convergentes. Por una parte, debido a la diferencia-
ción territorial de las instituciones estatales, las identidades de las mino-
rías regionales y nacionales encuentran su expresión más fácil en los ám-
bitos local y regional. Por otra parte, los gobiernos nacionales tienden a
centrarse en controlar los desafíos estratégicos planteados por la globali-
zación de la salud, la comunicación y el poder, dejando, por lo tanto, que
los niveles inferiores de gobierno asuman la responsabilidad de vincularse
con la sociedad en la gestión de los asuntos de la vida cotidiana, para re-
construir la legitimidad mediante la descentralización. Sin embargo, una
vez que tiene lugar esta descentralización de poder, los gobiernos locales
y regionales pueden tomar la iniciativa en nombre de sus poblaciones y
pueden participar en estrategias de desarrollo frente al sistema global,
con lo que acaban entrando en competencia con sus propios estados ma-
trices.
Esta tendencia aparece en todo el mundo en la década de los no-
venta. En los Estados Unidos, la desconfianza creciente hacia el gobierno
federal corre parejas con un resurgimiento de los gobiernos locales y es-
tatales como lugares de atención pública. En efecto, según las encuestas
de opinión de mediados de los años noventa63
, esta relocalización del go-
bierno ofrece la vía más inmediata para la relegitimación de la política,
ya sea en la forma de populismo ultraconservador, como en el movi-
miento de los «derechos de los condados», o en la del renacido Partido
Republicano, que construye su hegemonía atacando al gobierno federal64
.
En la Unión Europea, aunque se han transferido a Bruselas considera-
bles áreas de soberanía, la responsabilidad de muchos asuntos de la vida
cotidiana, incluidos, en muchos países, la educación, la política social, la
cultura, la vivienda, el medio ambiente y los servicios urbanos, ha pasado
a los gobiernos regionales y locales65
. Es más, las regiones y ciudades de
Europa se han unido en redes institucionales que sortean a los estados
nacionales y constituyen uno de los grupos de presión más formidables,
actuando de forma simultánea en las instituciones europeas y en sus go-
biernos nacionales respectivos. Además, las ciudades y regiones partici-
pan activamente en las negociaciones directas con las empresas multina-
cionales y se han convertido en los agentes más importantes de las
políticas de desarrollo económico, yaque los gobiernos nacionales están
limitados en sus acciones por las regulaciones de la Unión Europea66
. En
América Latina, la reestructuración de la política pública para superar la
crisis de la década de los ochenta dio un nuevo ímpetu a los gobiernos
municipales y estatales, cuyo papel había sido tradicionalmente ensom-
63
Encuesta de opinión pública del Roper Center, 1995.
64
Balz y Brownstein, 1996.
65
Orstrom Moller, 1995.
66
Borja etai, 1992; Goldsmith, 1993; Graham, 1995.
.MI2 P.l poiki kW . itleiilkliul
brecido por su dependencia del gobierno nacional, con la importante ex-
cepción de Brasil. Los gobiernos locales, provinciales y estatales de Mé-
xico, Brasil, Bolivia, Ecuador, Argentina y Chile se beneficiaron, en las
décadas de los ochenta y los noventa, de la descentralización del poder y
los recursos, y emprendieron una serie de reformas sociales y económicas
que están transformando la geografía institucional de América Latina. Al
hacerlo, no sólo compartían el poder con el estado-nación, sino, lo que es
más importante, creaban la base para una nueva legitimidad política en
favor del estado local67
.
China está experimentado una transformación fundamental similar,
en la que Shanghai y Guandong controlan las principales vías de acceso a
la economía global, y muchas ciudades y provincias de todo el país orga-
nizan sus lazos propios con el nuevo sistema de mercado. Aunque Pekín
parece mantener el control político con mano de hierro, en realidad, el
poder del Partido Comunista chino se basa en un delicado equilibrio en-
tre el poder compartido y la distribución de riqueza entre las élites nacio-
nales, provinciales y locales. Esta articulación central/provincial/local del
estado chino en el proceso de acumulación primitiva muy bien puede ser
el elemento clave para asegurar una transición ordenada del estatismo al
capitalismo68
. Cabe observar una situación similar en la Rusia postcomu-
nista. El equilibrio de poder entre Moscú y las élites locales y regionales
ha sido crucial para la estabilidad relativa del estado ruso en medio de
una economía caótica, como en el caso del reparto de poder y beneficios
entre el gobierno federal y los «generales del petróleo» de Siberia Occi-
dental; o entre las élites moscovitas y las élites locales, tanto en la Rusia
europea como en el Lejano Oriente69
. Por otra parte, cuando las deman-
das de una identidad nacional no se reconocieron como se debía y acaba-
ron tratándose torpemente, como en el caso de Chechenia, la guerra que
siguió fue en buena medida responsable del descarrilamiento de la transi-
ción rusa70
. Así pues, del esplendor de Barcelona a la agonía de Grozni,
la identidad territorial y los gobiernos locales/regionales se han conver-
tido en las fuerzas decisivas en el destino de los ciudadanos, en las rela-
ciones entre el estado y la sociedad y en la remodelación de los estados-
nación. Una investigación sobre los datos comparativos de la
descentralización política parece apoyar el dicho popular según el cual los
gobiernos nacionales en la era de la información son demasiado pequeños
para manejar las fuerzas globales, pero demasiado grandes para manejar
las vidas de la gente71
.
Ziccardi, 1991,1995; Laserna, 1992.
Cheung, 1994; Li, 1995; Hsing, 1996.
Kiselyova y Castells, 1997.
Khazhanov, 1995.
Borja y Castells, 1996.
;,l''l cslmlo impoli'iilr 303
LA IDENTIFICACIÓN DEL ESTADO
La institucionalización selectiva de la identidad en el estado tiene un
efecto indirecto muy importante sobre la dinámica general del estado y
la sociedad. A saber, no todas las identidades son capaces de encontrar
refugio en las instituciones de los gobiernos locales y regionales. De he-
cho, una de las funciones de la diferenciación territorial del estado es
mantener el principio de la igualdad universal, mientras organiza su apli-
cación como desigualdad segregada. Separados y desiguales es la norma
que subyace, por ejemplo, en la vigorosa autonomía local de los gobier-
nos locales de los Estados Unidos72
. La concentración de los pobres y las
minorías étnicas en el centro de las ciudades estadounidenses o en las
banlieues periféricas francesas tiende a establecer un confinamiento es-
pacial de los problemas sociales, mientras disminuye el grado de recursos
públicos disponibles, precisamente a causa de la autonomía local. La au-
tonomía local/regional refuerza territorialmente a las élites e identidades
dominantes, mientras despoja a aquellos grupos sociales que no están re-
presentados en esas instituciones autónomas de gobierno o que están ais-
lados y confinados en un gueto73
. En esas condiciones, pueden tener lu-
gar dos procesos diferentes. Por una parte, las identidades que tienden a
ser inclusoras utilizan su control de las instituciones regionales para am-
pliar las bases sociales y demográficas de su identidad. Por la otra, las so-
ciedades locales atrincheradas en una posición defensiva construyen sus
instituciones autónomas como mecanismos de exclusión. Un ejemplo del
primer proceso es la Cataluña democrática: está gobernada por catalanes
en catalán, aunque en la década de los noventa la mayoría de la pobla-
ción adulta no nació en Cataluña, ya que tradicionalmente las mujeres
catalanas de origen han procreado por debajo de la tasa de reposición.
Pero el proceso de integración cultural y asimilación social para los inmi-
grantes del sur de España es relativamente suave, de tal modo que sus
hijos serán catalanes culturales (véase el capítulo 1). Lo que es impor-
tante en este ejemplo es observar cómo una identidad cultural/nacional
determinada, ser catalán, utiliza el control del estado local/regional para
sobrevivir como identidad, tanto reforzando su posición de negociación
frente al estado-nación español como, utilizando su dominio de las insti-
tuciones regionales/locales para integraKaJos no catalanes, con lo que los
produce como catalanes y reproduce a Cataluña mediante familias susti-
tuías.
Surge una situación totalmente diferente cuando las identidades e in-
tereses que dominan las instituciones locales rechazan la noción de inte-
gración, como en las comunidades divididas por la etnia. La mayoría de
72
Blakely y Goldsmith, 1993.
73
Smith, 1991.
,11 H II lindel de In identulml
las veces, el rechazo de la cultura oficial es contestado por los excluidos
enorgulleciéndose su identidad excluida, como en muchas comunidades
latinas de las ciudades estadounidenses o en el caso de los jóvenes bcurs
de los guetos franceses de norteafricanos74
. Estas minorías étnicas exclui-
das no pretenden acceder al estado local, sino apelar al estado nacional
para que sus derechos sean reconocidos y sus intereses defendidos, por
encima y contra los gobiernos locales/estatales, como en el caso de las mi-
norías estadounidenses que reclaman programas de «acción afirmativa»
para paliar siglos de discriminación institucional y social. Sin embargo, el
estado-nación, para sobrevivir a su crisis de legitimidad frente a la «mayo-
ría», va cediendo más poder y recursos a los gobiernos locales y regiona-
les. Al hacerlo, cada vez es menos capaz de igualar los intereses de las di-
versas identidades y grupos sociales representados en el estado-nación
general. Así pues, el aumento de las presiones sociales amenaza el equili-
brio de todo el estado. La creciente incapacidad del estado-nación para
responder a tales presiones, a causa de la descentralización de su poder,
deslegitima aún más su papel protector y representativo frente a las mino-
rías discriminadas. En consecuencia, estas minorías buscan refugio en sus
comunidades locales, en estructuras no gubernamentales de autocontrol75
.
Así pues, lo que comenzó como un proceso de relegitimación del estado,
mediante el paso del poder nacional al local, puede acabar profundizando
la crisis de legitimación del estado-nación y la tribalización de la sociedad
en comunidades construidas en torno a identidades primarias, como se
expuso en el capítulo 1.
En el límite, cuando el estado-nación no representa a una identidad
fuerte, o no deja espacio para que una coalición de intereses sociales con-
siga poder bajo una identidad (re)construida, una fuerza social/política
definida por una identidad particular (étnica, territorial, religiosa) puede
tomar el estado a fin de hacerlo la expresión exclusiva de esa identidad.
Éste es el proceso de formación de los estados fundamentalistas, como la
República Islámica de Irán o las instituciones de gobierno estadouniden-
ses propuestas por la Coalición Cristiana en la década de los noventa. A
primera vista, parecería que el fundamentalismo otorga un nuevo y vigo-
roso aliento al estado-nación, en una versión histórica actualizada. Pero,
en realidad, es la manifestación más profunda de su defunción. Como ex-
puse en el capítulo 1, la expresión del islam no es, y no puede ser, el es-
tado-nación (una institución secular), sino la umma, la comunidad de cre-
yentes. La umma es, por definición, transnacional y debe alcanzar a todo
el universo. Éste es también el caso de la Iglesia católica, un movimiento
transnacional y fundamentalista que pretende convertir a todo el planeta
al único Dios verdadero, utilizando, cuando es posible, el apoyo de cual-
Sánchez Jankowski, 1991; Wieviorka, 1993.
Wacquant, 1994; Trend, 1996.
,'11 CNllldo llll|»ilrnl 305
quicr estado. Ücsdc esta perspectiva, un estado lundamentalista no es un
estado-nación, tanto en su relación con el mundo como en su relación con
la sociedad que vive en el territorio nacional. Frente al mundo, el estado
lundamentalista tiene que maniobrar, en alianza con otros aparatos de
creyentes, sean estados o no, hacia la expansión de la fe, hacia la recons-
trucción de las instituciones nacionales, internacionales y locales en torno
a los principios de la fe: el proyecto fundamentalista es una teocracia
global, no un estado nacional religioso. Frente a la sociedad definida por
el territorio, el estado fundamentalista no pretende representar los inte-
reses de todos los ciudadanos y de todas las identidades presentes en
él, sino ayudar a esos ciudadanos, en sus distintas identidades, a encontrar
la verdad de Dios, la única verdad. Por lo tanto, el estado fundamenta-
lista, aunque desencadena la última oleada de poder absoluto del estado,
lo hace, en realidad, negando la legitimidad y durabilidad del estado-
nación.
Así pues, la danza de la muerte actual entre identidades, naciones
y estados deja, por una parte, estados-nación vacíos de historia que van
a la deriva en el altamar de los flujos globales de poder; y por la otra,
identidades nacionales atrincheradas en sus comunidades o movilizadas
por la conquista de un estado-nación asediado; en medio, los estados lo-
cales se esfuerzan por reconstruir la legitimidad e instrumentalidad nave-
gando por las redes transnacionales e integrando a las sociedades civiles
locales.
Ilustremos el significado concreto de esta proposición centrándonos
en la evolución reciente de dos importantes estados-nación que sufren
(como muchos otros del mundo) una crisis estructural en la década de los
noventa: México y los Estados Unidos.
CRISIS CONTEMPORÁNEAS DE LOS ESTADOS-NACIÓN: EL ESTADO PRIÍSTA
MEXICANO Y EL GOBIERNO FEDERAL DE LOS ESTADOS UNIDOS EN LA
DÉCADA DE LOS NOVENTA
El análisis de la crisis del estado-nación, como se presenta en este ca-
pítulo, puede resultar más claro ilustrándolo con un sucinto estudio de
crisis específicas. Sin embargo, el lector debe tener en cuenta que las ob-
servaciones e interpretaciones que se presentan aquí no pretenden ser es-
tudios completos de crisis del estado, dados los límites de este capítulo,
aun cuando se basen en un conocimiento empírico del tema. De una am-
plia gama de posibilidades a lo largo de todo el mundo, he seleccionado,
en parte por razones de conocimiento personal, dos casos importantes.
En primer lugar, el estado priísta mexicano, porque, tras haber sido uno
de los regímenes políticos más estables del mundo durante cerca de seis dé-
cadas, se desintegró en unos cuantos años bajo el impacto combinado, se-
M)(< 11 poder de l.i klcnlidiid
gún sostengo, de la globalización, la identidad y una sociedad civil trans-
formada. En segundo lugar, considero importante explorar los efectos ac-
tuales de los procesos descritos más arriba sobre el gobierno federal de
los Estados Unidos, aun cuando sea un caso excepcional debido al ta-
maño de su economía, la flexibilidad de su política y el alto grado de des-
centralización de la estructura estatal. Porque es precisamente esta excep-
cionalidad76
la que hace pertinente desde el punto de vista analítico la
observación del estado-nación estadounidense, pues SÍ hasta un estado
con un alcance global, arraigado en un federalismo flexible, entra en crisis
como consecuencia de las tendencias actuales presentadas en este capítulo,
cabría considerar que el análisis propuesto tiene un valor general.
TLC, Chiapas, Tijuana y la agonía del estado priísta11
Tras dos décadas de inestabilidad postrevolucionaria, México pasó a
construir uno de los estados más efectivos, si no más democráticos, del
mundo. Se organizó en torno al que acabó conociéndose como el Partido
Revolucionario Institucional (PRI), resaltando de forma literal el pro-
yecto político de institucionalizar la revolución de 1910-1917 en la diversi-
dad de sus actores e ideales. El estado priísta fue capaz de someter a los
centros de poder competidores que condicionaban la política latinoameri-
cana en la mayoría de los países de la región: el ejército y la Iglesia cató-
lica. Sobrevivió diestramente a su conexión íntima e inexcusable con los
Estados Unidos, manteniendo vivo el nacionalismo mexicano y afir-
mando la autonomía política mientras disfrutaba, en general, de buenas
relaciones con su poderoso vecino. Se las arregló para construir una
fuerte identidad nacional indígena, tendiendo un puente a la memoria de
las civilizaciones precolombinas, mientras mantenía en la marginación y
el olvido a su 10% de población india. También logró fomentar un consi-
derable crecimiento económico entre 1940 y 1974, para crear la duodé-
cima mayor economía del mundo en los años noventa. Y con la excepción
de los asesinatos ordenados por los terratenientes y caciques, las matan-
zas políticas ocasionales (por ejemplo, Tlatelolco en 1968) y algunas ac-
ciones limitadas de las guerrillas izquierdistas, la violencia era rara en la
76
Lipset, 1996.
77
El análisis de México presentado aquí se basa en tres conjuntos de fuentes: a) periódi-
cos y revistas mexicanos y de otros países, así como la Revista Mexicana de Sociología; b) di-
versas fuentes publicadas, que incluyen Mejía Barquera et al, 1985; Berins Collier, 1992; Gil
et al., 1993; Cook et al., 1994; Partido Revolucionario Institucional, 1994; Trejo Delarbre,
1994a,b; Aguirre etal, 1995; Business Week, 1995c; Golden, 1995; Márquez, 1995; Pérez Fer-
nández del Castillo et al., 1995; Summers, 1995; The Economist, 1995b,c; Tirado y Luna,
1995; Woldenberg, 1995; Ziccardi, 1995; Moreno Toscano, 1996; y c) mi conocimiento perso-
nal de México después de veinticinco años de estudio regular de ese país.
¿El estado impolcntc? 307
política mexicana. En efecto, la transmisión del poder de un presidente a
otro era ordenada, predecible e incuestionable. Cada presidente desig-
naba a su sucesor y salía de la escena política para siempre. Y cada presi-
dente traicionaba a su predecesor, pero nunca lo criticaba ni investigaba
sus acciones. La extendida corrupción sistémica era ordenada, seguía
unas reglas y, en realidad, era un importante elemento estabilizador en la
política mexicana: cada presidente renovaba la distribución de los cargos
políticos en toda la estructura del estado, lo que llevaba a decenas de mi-
les de nombramientos cada seis años. Mientras estaban en el cargo, los
nombrados tenían la posibilidad de beneficiarse personalmente de su po-
sición, bajo formas diferentes. Esta rotación colectiva de élites políticas,
en un sistema muy beneficioso, aseguraba la disciplina colectiva, ya que
cada uno esperaba su oportunidad, que probablemente llegaría siempre
que se respetaran las reglas del juego. El castigo por romper las reglas de
la disciplina, el silencio, la paciencia y, sobre todo, la jerarquía, era el exi-
lio eterno de toda posición importante de poder y riqueza en el país, in-
cluida la presencia en los medios de comunicación y los cargos académi-
cos significativos. Dentro del PRI, diferentes fracciones políticas
(camarillas) competían por el poder, pero nunca rompían la disciplina co-
lectiva de partido y nunca objetaban la autoridad del presidente, quien
decidía en última instancia toda disputa. Pero la clave de la estabilidad so-
cial y política del estado mexicano estaba en el elaborado sistema de co-
nexiones entre el PRI y la sociedad civil. Se basaba en la incorporación
orgánica de los sectores populares, sobre todo mediante los sindicatos
(Confederación de Trabajadores Mexicanos, CTM), que controlaban a la
clase obrera; la Confederación Nacional Campesina (CNC), que contro-
laba a los campesinos, en su mayoría en un sistema de uso comunal de la
tierra de propiedad estatal (ejidos), establecido por la revolución agraria;
y la Confederación Nacional de Organizaciones Populares (CNOP), que
trataba de organizar a sectores populares heterogéneos, aunque con mu-
cho menor éxito. Este sistema de clientelismo político no se basaba, en su
mayor parte, en la manipulación y la represión, sino en la entrega real de
puestos de trabajo, salarios, subsidios sociales, bienes (incluida la tierra) y
servicios (incluidos los servicios urbanos) en un amplio plan populista. La
burguesía mexicana y el capital extranjero estaban esencialmente exclui-
dos del sistema de poder, aunque el PRI solía representar sus intereses,
puesto que sin duda era un partido pro capitalista, si bien en una versión
nacional populista. En efecto, la mayoría de los grupos empresariales, con
la excepción del grupo autónomo de Monterrey, eran fruto del estado
mexicano. Por último, y menos importante, las elecciones se amañaban
sistemáticamente mediante fraude e intimidación cuando era necesario.
Pero, en la mayoría de los casos, el PRI habría ganado (aunque no en to-
dos los casos y en todas las elecciones, como sucedía) debido a la efectivi-
dad de un sistema populista fraguado en la sociedad mediante redes, fa-
M)H lil p o d l T llí' l.'l illl'lllillilíl
milismo y lealtades personales en una cadena vertical de reciprocidades
que abarcaban todo el país. En este sentido, el sistema priísta no era sólo
un régimen político, sino la propia estructura del estado mexicano, según
existía en el siglo xx.
Luego, todo se vino abajo en menos de una década, entre mediados
de los años ochenta y mediados de los noventa. Incluso en el caso impro-
bable de que el primer presidente mexicano del siglo xxi fuera de nuevo
un candidato del PRI, presidiría un estado muy diferente, puesto que el
sistema político descrito ya se ha derrumbado. En 1994, el primer año de
existencia legal del TLC, expresión institucional de la globalización plena
de la economía mexicana, tuvieron lugar los siguientes hechos: los zapa-
tistas se sublevaron en Chiapas, el primer día del año; el candidato presi-
dencial del PRI, Luis Donaldo Colosio, fue asesinado (la primera vez que
sucedía algo así en medio siglo); el peso mexicano se derrumbó y México
casi incumple el pago de sus obligaciones, a pesar del respaldo sin prece-
dentes de los Estados Unidos y del FMI, enviando ondas sísmicas a toda
la economía mundial; el secretario general del PRI, José Francisco Ruiz
Massieu (cuya primera esposa eran hermana del presidente Salinas) fue
asesinado y su hermano, procurador general de la república suplente, fue
declarado sospechoso de encubrir el asesinato y huyó del país; Raúl Sali-
nas, hermano del entonces presidente Carlos Salinas y estrecho colabora-
dor en los negocios presidenciales, fue acusado de dirigir el asesinato de
Ruiz Massieu y encarcelado; las conexiones de Raúl Salinas con los cárte-
les de la droga y con el blanqueo de miles de millones de dólares salieron
a la luz pública; el presidente Carlos Salinas, unos días antes de dejar el
cargo en diciembre de 1994, rechazó todas las fechorías de que se le acu-
saba, manteniendo una huelga de hambre de veinticuatro horas y, tras re-
cibir el consuelo cortés de su sucesor, el presidente Zedillo, dejó el país;
su partida abrió, por primera vez hasta entonces, un aluvión de denuncias
públicas y acusaciones recíprocas de políticos mexicanos de todas las fac-
ciones, incluidos antiguos presidentes, que decidieron jugarse el todo por
el todo. Aunque las elecciones presidenciales de agosto de 1994 las ganó
el PRI, en un proceso electoral relativamente limpio, el miedo generali-
zado a la inestabilidad y la violencia si este partido resultaba derrotado
fueron cruciales para la victoria. Los resultados electorales en las eleccio-
nes estatales, municipales y al Congreso celebradas con posterioridad in-
dicaron una clara tendencia ascendente de los votos hacia la oposición
conservadora, el Partido de Acción Nacional (PAN) y hacia los críticos
de izquierda organizados en torno al Partido de la Revolución Democrá-
tica (PRD). El presidente Zedillo cedió una parte considerable de control
sobre la máquina electoral, nombró a independientes y miembros del
PAN para altos cargos de su gobierno y parecía estar preparado para ser
el presidente de la transición hacia un tipo diferente de régimen y, quizás,
de estado. Pero el PRI parecía pensar otra cosa. En noviembre de 1996,
/,lil i'sliiilo iiiipniciilrV 30l
>
rechazó el consenso con los otros partidos sobre ley de la reforma política.
En julio de 1997, el PRI perdió, por primera vez, la mayoría absoluta en la
Cámara de representantes, el PAN se hizo con varios gobiernos regionales
y, sobre todo, el líder del PRD, Cuauhtémoc Cárdenas, se convirtió en el
primer alcalde (regente) elegido por el pueblo en Ciudad de México.
El futuro político de México es aún incierto, con las fuerzas políticas y
los dirigentes políticos de varios orígenes e ideologías buscando posicio-
nes de cara a la nueva era política. La única certeza es que el PRI ha fina-
lizado su curso histórico78
. Y la pregunta es por qué y cómo este impor-
tante acontecimiento político se relaciona con el argumento general,
presentado aquí, sobre la crisis del estado-nación como resultado de los
conflictos inducidos por las contradicciones existentes entre la globaliza-
ción y la identidad.
La transformación actual de México y la crisis de su estado-nación
comenzaron en 1982, cuando México fue incapaz de pagar los intereses
de su deuda exterior, pese a que su producción de petróleo se multiplicó
justo en el momento en que las dos crisis de suministro de crudo de 1974
y 1979 aumentaron de forma considerable sus precios en el mundo. Des-
pués de que el gobierno de López Portillo (1976-1982) terminara con la
repentina nacionalización de la banca mexicana, en un intento desespe-
rado de reafirmar el control estatal sobre una economía que se interna-
cionalizaba rápidamente, las élites políticas y empresariales del país, los
Estados Unidos y los intereses empresariales internacionales decidieron,
de algún modo (no sé exactamente cómo), que México era un país de-
masiado importante para que se dejara que lo gobernaran los populistas
tradicionales. Una nueva generación de técnicos, más que políticos, llegó
al poder, sustituyendo con economistas, financieros y politólogos forma-
dos en los Estados Unidos a los licenciados de la Facultad de Derecho
de la Universidad Nacional Autónoma de México, como era la tradición.
No obstante, las nuevas élites aún tenían que ser además licenciados de
la UNAM y pertenecer al linaje de alguna de las familias políticas tradi-
cionales del PRI. En el caso de Carlos Salinas, era la red del anterior
presidente Miguel Alemán, vía el padre de Salinas, secretario de Comer-
cio en 1958-1964, y el tío de Salinas, Ortiz Mena, secretario de Hacienda
entre 1958 y 1982. Miguel de la Madrid, un tecnócrata vinculado a los
círculos integristas católicos, fue el presidente de transición, de 1982 a
1988, encargado de poner en orden las finanzas mexicanas y preparar el
nuevo equipo de dirigentes jóvenes, técnicamente competentes y osados
en política, que crearían un nuevo país y un nuevo estado a partir del
PRI: las figuras principales fueron Carlos Salinas, graduado de Harvard,
78
En noviembre de 1996, las elecciones locales de los estados de México e Hidalgo fue
ron ganadas arrolladoramente por los partidos de oposición. Las elecciones locales, regiona^
les y legislativas de julio de 1997 infligieron una decisiva derrota al PRI.
310 El poder de la idcnlidad
secretario de Presupuesto, y Manuel Camacho, graduado de Princeton,
secretario de Desarrollo Urbano. Pero el programa de austeridad apli-
cado por De la Madrid en la década de los ochenta hundió a México en
la recesión y rompió el pacto social con los sindicatos y los sectores po-
pulares urbanos. Los dirigentes sindicales tuvieron cuidado de no poner
en peligro sus privilegios, pero los obreros industriales, los empleados
del sector público y las vecindades populares sintieron el dolor de la re-
estructuración. Después, en 1985, un terremoto asoló Ciudad de México,
derrumbando hogares y empresas, y desatando protestas sociales. Se
puso en movimiento una coalición política alternativa, organizada por
Cuauhtémoc Cárdenas (hijo del general Cárdenas, el dirigente populista
histórico del PRI de los años treinta), atrayendo a la izquierda del PRI,
de donde procedía él mismo. El PRI a duras penas sobrevivió a las elec-
ciones presidenciales de 1988: Ciudad de México, Guadalajara y Ciudad
Juárez votaron contra él. Carlos Salinas, candidato priísta, fue elegido
debido al fraude, siendo esta vez la diferencia de votos lo suficiente-
mente pequeña como para que éste se convirtiera en el factor decisivo.
Salinas, hombre inteligente y de buena formación, entendió el mensaje.
Nombró a su antiguo amigo Manuel Camacho regente de Ciudad de Mé-
xico y le dejó dar rienda suelta a sus instintos: programas sociales, nego-
ciación con la sociedad civil, democratización. El nuevo presidente (con
la influyente ayuda del «Rasputín mexicano», el asesor internacional
José Córdoba, francés de nacimiento pero de padres españoles) se cen-
tró en asegurar la plena integración de México en la economía global.
Sus opiniones eran claras: «Contemplamos una intensa globalización
económica de los mercados y la revolución del conocimiento y la tecno-
logía nos hace vivir, más que nunca, una historia universal única»79
. En
efecto, su meta profesional (y candidatura semioficial) para cuando
abandonara la presidencia era convertirse en el primer secretario general
de la Organización Mundial de Comercio, de reciente institución. En
consecuencia, apretó el cinturón de México, redujo abruptamente el
gasto público, modernizó la infraestructura de las comunicaciones y las
telecomunicaciones, privatizó la mayoría de las empresas públicas, inter-
nacionalizó la banca, liberalizó el comercio y abrió el país a la inversión
extranjera. Mientras que los niveles de vida cayeron en picado para la
mayoría de la gente, la inflación se redujo considerablemente, la econo-
mía mexicana creció de forma sustancial, las exportaciones se incremen-
taron y afluyó la inversión extranjera, de tal modo que en 1993 México
se convirtió en el país con la mayor cantidad de inversión extranjera di-
recta del mundo. Las reservas de divisas se acumulaban de prisa. Los pa-
gos de la deuda externa estaban bajo control. Funcionaba la globaliza-
ción. Salinas también lanzó un ataque sin precedentes contra los
Citado por Berins Collier, 1992; pág. 134.
¿Bl csljiclo ¡inpolfiik/ 311
dirigentes sindicales corruptos (en realidad, un aviso para toda la organi-
zación sindical) y prometió luchar contra la corrupción y el tráfico de
drogas, aunque, en esos temas, la historia puede que juzgue pronto sus
logros reales. En el proceso, redujo de forma espectacular los salarios
reales de los obreros mexicanos y empobreció a grandes sectores de la
población. También lanzó un programa nacional de solidaridad, Prona-
sol, dirigido por uno de sus colaboradores más cercanos, Luis Donaldo
Colosio, mientras que encargaba a Camacho ocuparse de los inquietos
habitantes de Ciudad de México y a Ernesto Zedillo, de modernizar el
sistema educativo. Contra el telón de fondo de un gran sufrimiento hu-
mano, la economía mexicana fue transformada en unos años, hasta el
punto de que los Estados Unidos y los inversores internacionales deci-
dieron que había llegado el momento de licenciar a México, dando la
bienvenida a esta nación de más de 90 millones de habitantes al Club del
Primer Mundo (la OCDE), aun cuando más del 50% de sus ciudadanos
estuvieran viviendo por debajo del umbral de pobreza y en torno a un
30% en la pobreza absoluta. La firma del TLC, en 1993, fue la cota más
alta de esta estrategia de integración de México en la economía mundial.
Era el momento del triunfo de Salinas. También era el momento de de-
signar quién sería el próximo presidente. En lugar de elegir a Camacho,
el más fuerte y popular de su círculo interno, se decidió por Colosio,
otro joven técnico que, aunque no pertenecía a la vieja guardia del PRI,
era presidente del partido y considerado más abierto al compromiso por
el aparato. Resulta irónico que el mejor amigo de Camacho en el PRI,
Ruiz Massieu, fuera el secretario general del partido. Pero estaba allí pre-
cisamente para combatir a los «dinosaurios», la vieja guardia. Camacho se
sintió contrariado por su relegación, tanto por razones personales como
políticas, y, por primera vez en la política mexicana, comunicó sus pensa-
mientos al presidente y en público. Pero no tuvo opción. A finales de
1993, parecía que todo estaba bajo control y que Salinas había logrado su
perestroika precisamente evitando el error que, en su opinión, había co-
metido Gorbachov: reformar la política antes de reformar la economía.
Entonces, el 1 de enero de 1994, el primer día de la era del TLC, ata-
caron los zapatistas. Ya he analizado las causas, las circunstancias y el sig-
nificado del movimiento zapatista (capítulo 2), así que sólo voy a conside-
rar aquí la repercusión del movimiento en la crisis del estado mexicano.
Fue devastadora. No debido a que pusiera realmente en peligro el poder
estatal desde el punto de vista militar, sino porque en seguida se convirtió
en el grito de unión de una sociedad civil que, en su gran mayoría, estaba
herida en lo económico y alienada en lo político. Además, una rebelión
genuinamente india y campesina asestaba un importante golpe a la mito-
logía del PRI. Los pobres, los campesinos, los indios no eran los benefi-
ciarios sometidos y agradecidos de la revolución, sino los excluidos, y lu-
chaban por ello. El velo de hipocresía tras el que México había estado
312 El poder de la idcnlidnd
viviendo durante décadas se había rasgado irreversiblemente. El rey es-
taba desnudo, al igual que lo estaba el PRI.
Segundo acto. Salinas, nervioso por la reacción de Camacho, decidió
solicitar de nuevo sus servicios (con propósitos e intenciones que me son
desconocidos) para reparar el daño hecho en Chiapas. Camacho fue nom-
brado comisionado para la paz del presidente. Su hábil negociación conci-
liatoria y la popularidad de los zapatistas desató una nueva ronda de intri-
gas en el PRI a comienzos de 1994. Como la campaña de Colosio tardaba
en despegar, la posibilidad de que el presidente diera marcha atrás a su
decisión y nombrara a Camacho en vez de Colosio se convirtió en un ru-
mor generalizado. Colosio, el candidato presidencial, un teenócrata capaz
y bien intencionado (planificador regional formado en la Universidad de
Pensilvania), no era miembro de la vieja guardia. El aparato del partido
ya estaba tenso por el nombramiento de Colosio, pero Camacho era de-
masiado: astuto políticamente, tenía sus propias conexiones en el partido,
apoyo de las bases populares, buenos resultados en los sondeos de opi-
nión y una actitud inflexible. Tanto Colosio como Camacho supondrían
serios problemas para el aparato del partido si llegaban a convertirse en
presidentes. Pero aún peor que uno u otro era la incertidumbre acerca de
cuál de ellos sería nombrado e incluso la posibilidad de una alianza entre
ambos. A medida que continuaban las negociaciones en Chiapas, y a me-
dida que la campaña de Colosio se empantanaba, se intensificaban las
tensiones en el aparato del partido, sobre todo en algunos sectores con in-
tereses muy concretos y mucho que perder.
Una vez alcanzado este punto del análisis, he de introducir un nuevo
elemento que, en mi opinión informada, es absolutamente decisivo, aun
cuando carezco de pruebas sólidas: el nuevo papel de México en el crimen
organizado global. Desde los años sesenta, México cultivó y exportó ma-
rihuana, pero no más (en realidad, menos) que algunas zonas de los Es-
tados Unidos, como California del Norte y Kentucky. La producción de
heroína comenzó a escala limitada en la década de los setenta. Pero el
gran cambio se produjo en los años ochenta, cuando la formación de las
redes de droga globales y el aumento de la presión estadounidense sobre
las rutas caribeñas y centroamericanas llevó a los cárteles colombianos a
compartir parte del comercio vinculado con los Estados Unidos con los
cárteles mexicanos, proporcionándoles una cantidad de cocaína equiva-
lente a la que fueran capaces de pasar de contrabando a los Estados Uni-
dos al servicio de los colombianos. El tráfico se disparó y se organizaron
poderosos cárteles mexicanos: en Tamaulipas y en el Golfo, en torno a
García Ábrego; en Ciudad Juárez, en torno a Amado Carrillo; en Ti-
juana, en torno a los hermanos Arellano Félix, entre otros. Añadieron el
provechoso cultivo de la heroína y su tráfico. Luego, las anfetaminas.
Después, todo. En miles de millones de dólares. Para trabajar de forma
prudente y profesional, siguieron el modelo de Cali y no el de Medellín.
¿El estado impotente? 31.1
Evitar las muertes innecesarias, ser discretos. Ser fríos, eficientes, com-
prar a quien se necesite: policía, investigadores de drogas, jueces, fiscales,
cargos locales y estatales y jefes del PRI lo más elevados posible. Cada
dólar invertido en corrupción es rentable porque crea una red que, al ex-
tenderse, multiplica el respaldo y asegura el silencio. Así pues, mientras
la nueva élite tecnopolítica de México se afanaba por vincularse a la eco-
nomía global, importantes sectores del aparato priísta, junto con autori-
dades estatales y locales de diversas filiaciones políticas, establecieron su
propia conexión con la «otra economía global». Para 1994, la nueva «ma-
fiocracia» ya era lo bastante fuerte como para defender sus intereses,
pero no estaba lo bastante establecida como para hacerlos efectivos y
desaparecer en las avenidas financieras del blanqueo de dinero. Necesita-
ban más tiempo, tiempo predecible. Y tanto Colosio como Camacho
eran impredecibles y peligrosos para sus intereses. Decidieron matarlos:
a Colosio, con una bala; a Camacho, con una campaña de opinión bien
organizada que le culpara moralmente del destino de Colosio. Tuvieron
éxito. No por casualidad, Colosio fue asesinado en Tijuana. Zedillo, or-
ganizador de la campaña de Colosio y uno de los cuatro miembros del
círculo interno de Salinas (otro era Pedro Aspe, ministro de Hacienda),
tomó su lugar. Es un economista competente y bien formado, graduado
de Yale. No obstante, sus conexiones políticas eran tenues y su destreza
como político no estaba probada. No es que la conexión criminal se sa-
liera plenamente con la suya, pero al menos había cambiado las reglas
del juego. Cualquiera que se adentrara en su territorio, lo haría a su pro-
pio riesgo.
El siguiente de la fila fue el secretario general del PRI, que parecía ir
demasiado lejos en la investigación de la muerte de Colosio, aún sin resol-
ver cuando se escribió este texto. Esta vez, la pista del asesino del secreta-
rio general José Francisco Ruiz Massieu llegó hasta un prominente parla-
mentario priísta, hasta el cártel de Tamaulipas y, en última instancia,
hasta Raúl Salinas, hermano y estrecho colaborador del presidente. Por
extraño que parezca, el hermano de Ruiz Massieu, que era el fiscal espe-
cial del estado contra el tráfico de drogas, ha sido formalmente acusado
de estar en la nómina de los cárteles. Es demasiado pronto para afirmar
más allá de toda duda qué hacía cada cual y, ciertamente, más allá de mi
conocimiento y competencia. No obstante, lo que resulta pertinente para
el análisis es que, en la decisiva crisis política de 1994, la conexión trafi-
cantes de drogas-PRI desempeñó un importante papel en los asesinatos,
intimidaciones y encubrimientos que destruyeron las reglas tradicionales
del juego político y abrieron el camino para la defunción del estado
priísta. Debe destacarse que no era un caso típico de infiltración política
de la mafia. Fue el alcance global de estas redes criminales, su implicación
en las relaciones entre los Estados Unidos y México, y la participación de
los niveles más elevados del estado los que hicieron significativa la crisis
.114 El poder de la identidad
como ejemplo del modo en que la globalización del crimen desestabiliza a
estados-nación poderosos y estables.
Los asesinatos políticos, la infiltración obvia de elementos criminales
en el estado, el desafío de los zapatistas, apoyados por la mayoría de la
opinión pública, y los conflictos internos del PRI debilitaron la confianza
de los inversores extranjeros en la estabilidad del mercado emergente
mexicano. Las salidas de capital comenzaron en marzo de 1994, tras el
asesinato de Colosio el 23 de marzo. Pese a ello, Salinas y su secretario
Aspe decidieron mantener el tipo de cambio fijo, utilizando las abundan-
tes reservas de México para compensar las pérdidas de capital extranjero.
Contaban con invertir la tendencia, pero eso no sucedió. Cuando Zedillo
tomó el control, el 1 de diciembre de 1994, sintió pánico ante la situación
real, reflejada en los libros de contabilidad secretos. Apresuró una deva-
luación que empeoró las cosas. La huida de capital que siguió dejó a Mé-
xico al borde del incumplimiento de pagos y sacudió los mercados de
Buenos Aires y Sao Paulo. El presidente de los Estados Unidos vino al
rescate, en el marco del TLC, y llegó a saltarse al Congreso para aportar
20.000 millones como garantía, sacados de las reservas federales. El FMI
también arrimó el hombro con un préstamo de 8.000 millones (el más
grande jamás concedido) y concertó varios tratos, de tal modo que, a me-
diados de 1995, México ya se encontraba con un colchón de 50.000 millo-
nes de dólares, a cambio de los cuales perdió para siempre su indepen-
dencia económica.
Más allá de la reestructuración económica, con su elevado coste so-
cial, y los nuevos vínculos con el crimen global, otro elemento esencial en
la defunción del estado priísta fue la movilización de la sociedad civil me-
xicana, sobre todo en los principales centros urbanos. Esta movilización
fue ambigua porque la componían intereses sociales, culturas y proyectos
sociales muy diferentes. Unió a importantes sectores de la clase media
profesional, que se beneficiaba de las perspectivas de una economía diná-
mica, pero anhelaba la democratización, un gobierno limpio y unos lími-
tes a la burocracia. Pero también arrojó a la batalla contra el estado
priísta a los empleados del sector público, que veían amenazada su seguri-
dad; a los barrios populares urbanos, temerosos del desmoronamiento de
los mecanismos de redistribución de tierra y servicios; a los estudiantes,
que se movilizaron en torno a símbolos renovados de cambio social; y a
los pobres, millones de ellos, en las ciudades y el campo, que luchaban
por sobrevivir por todos los medios. Y aunque el escepticismo político va
en ascenso, y no muchos mexicanos creen verdaderamente que su destino
dependa de la alternancia de los partidos políticos, existe consenso sobre
la incapacidad absoluta del estado priísta. La desintegración de la legiti-
midad populista equivale al fin de las alianzas orgánicas populistas, que
constituyen el núcleo del sistema.
El limitado esfuerzo democratizador emprendido durante el gobierno
¿El estado impotente? 31.1
de Salinas tomó la forma de la devolución de poder y recursos a los go-
biernos locales y estatales, junto con la tolerancia de las victorias electo-
rales de la oposición en diversos estados y ciudades importantes, sobre
todo en el norte. La serie de monografías sobre los gobiernos municipales
en la década de los noventa, coordinada por Alicia Ziccardi80
, muestra
mejoras notables en la administración local, sobre todo en León, Du-
rango, Torreón y México D.F., entre otros. No obstante, la repercusión
política de estos éxitos relativos fue el debilitamiento aún mayor del es-
tado priísta, ya que en todos los casos se estableció una conexión más
fuerte entre las administraciones municipales, en muchos casos, en manos
de los partidos de oposición, y las sociedades civiles locales. Hasta en Mé-
xico D.F., el gobierno municipal del representante presidencial, el regente
Manuel Camacho, acabó estableciendo sus propias bases electorales entre
la población, sorteando al aparato tradicional del PRI. Así pues, en gene-
ral, el esfuerzo por democratizar y descentralizar el poder en los niveles
inferiores del estado, mientras el presidente y sus tecnócratas dirigían la
economía global, creó una distancia mayor entre todos los segmentos de
la población y las dependencias presidenciales. Puesto que la esencia del
estado mexicano era la posición divina del presidente mientras ocupaba
el cargo, la falta de reverencia general, incluso en los momentos del
triunfo de Salinas, tocaba las campanas por uno de los regímenes políticos
más duraderos de este siglo.
El estado-nación mexicano proseguirá, en un nuevo curso histórico,
porque las raíces del nacionalismo están sólidamente plantadas en los co-
razones de los mexicanos. Sin embargo, no será el mismo estado-nación
creado por el PRI y aunque aún es influyente y hábil, me atrevo a afirmar
que cada vez será más impotente.
Desde la perspectiva económica, México y el mundo han entrado en
una nueva era, de la cual el primero es probablemente un pionero. Larry
Summers, uno de los expertos en finanzas internacionales más destaca-
dos y actor clave en el relanzamiento mexicano, escribió a finales de
1995, con la perspectiva que proporciona el paso del tiempo: «La crisis
de México [en 1994] fue inducida por las innovaciones financieras de los
años recientes, y los avances en la tecnología de la información y las co-
municaciones hicieron que se propagara de un modo sin precedentes.
Luego no es de extrañar que Michel Camdessus, del Fondo Monetario
Internacional, la haya definido como la primera crisis del siglo xxi»81
.
Ello se tradujo en el hecho de que la política económica mexicana en el
futuro, toda clase de política, tendrá que estar estrechamente coordinada
con la política económica estadounidense y con los mercados financieros
internacionales.
80
Ziccardi, 1991,1995.
81
Summers, 1995, pág. 46.
u<> I I | » n l v l de l.i HII'IIIHIIKI
En cuanto a la política, México habrá de habérselas, do ahora en ade-
lante, con la penetración de su aparato estatal, a todos los niveles, por las
redes criminales globales. Resulta dudoso que su policía y sistema judicial
sean inmunes a esa penetración, con lo cual se hace extremadamente difí-
cil la recuperación de la plena autonomía estatal frente al crimen. En
efecto, parece que la mayor parte de las revelaciones acerca de las cone-
xiones de la droga con el sistema político, incluidas las que se refieren a
Raúl Salinas, proceden de la labor investigadora del servicio de informa-
ción estadounidense, lo que hace depender de éste a los dirigentes mexi-
canos.
En la política interna, una sociedad civil más culta y movilizada está
experimentando nuevos modos de expresión y organización, en contra-
dicción directa con el estado priísta y a menudo más desarrollados en el
ámbito local. La globalización y segmentación crecientes de los medios de
comunicación están socavando el dominio que el grupo Televisa, un im-
perio multimedia aliado tradicionalmente con el estado priísta, tenía so-
bre el «infoentretenimiento».
Y, simbólicamente, el poder de la identidad, declarado por Marcos y
los zapatistas, ha hecho algo más que quitar el velo a la autocomplacencia
ideológica de México: ha tendido puentes entre los verdaderos indios, los
verdaderos pobres y los sectores urbanos educados en busca de nuevas
utopías movilizadoras. En el proceso, la nación mexicana volvió a unirse,
esta vez contra el estado priísta.
El pueblo contra el estado: la crisis de legitimidad del gobierno federal de
los Estados Unidos82
La crisis del estado estadounidense en la década de los noventa es una
crisis de legitimidad que, sostengo, va más allá de la corriente libertaria
tradicional en la política estadounidense. Se inicia en las profundidades
de la sociedad civil, expresando su descontento sobre varios temas distin-
tos que convergen en el cuestionamiento del papel, la función y el poder
del gobierno federal, afirmado por el Tribunal Supremo desde sus deci-
82
Uno de los mejores relatos sobre los acontecimientos políticos de los Estados Unidos
en la primera mitad de la década de los noventa es el realizado por Balz y Brownstein, 1996.
Remito a ese libro para fuentes adicionales. Para situar la cultura antigubernamental esta-
dounidense en una perspectiva histórica, véanse Lipset, 1996 y Kazin, 1995. Para una útil in-
formación complementaria y análisis sobre los asuntos tratados en esta sección, véanse Stan-
ley y Niemi, 1992; Davidson, 1993; Bennett, 1994; Black y Black, 1994; Murray y Herrnstein,
1994; Woodward, 1994; Barone y Ujifusa, 1995; Campbell y Rockman, 1995; Greenberg,
1995; Himmelfarb, 1995; Pagano y Bowman, 1995; Roper Center of Public Opinión and Po-
lling, 1995; Dionne, 1996; Fallows, 1996. Para una rigurosa crítica sociológica de las tesis de
Murray, véase Fischer et al, 1995.
¿H cstiulo iiii|nili'iilrV V 317
siones memorables de 1810 y 1819. La repercusión política inmediata de
esta desconfianza renovada hacia el gobierno es la creciente influencia de
un Partido Republicano reconstruido, claramente inclinado hacia la dere-
cha, como proclamó en las elecciones del Congreso y de gobernadores en
1994, y confirmó hasta cierto punto en las del Congreso de 1996 que man-
tuvieron al Grand Oíd Party (GOP) en el control de ambas cámaras. No
obstante, la influencia de los sentimientos antiestatales va más allá del
electorado republicano para abarcar a los votantes independientes, como
los representados por Ross Perot, que rechazan en su conjunto el sistema
de partidos actual. La postura antiestado también incluye a un creciente
número de grupos demócratas, de tal modo que el presidente Clinton, en
su discurso de 1996 sobre el estado de la nación, llegó a anunciar «el fin
del gran gobierno».
En efecto, la reelección de Clinton en 1996 se debió, en buena parte, a
que asumió muchos de los temas republicanos contra el estado de bienes-
tar y el gasto gubernamental, junto con una postura firme sobre la ley y el
orden, y la promesa de conservar los programas sociales para la clase me-
dia, con lo que hábilmente pasó a ocupar el centro-derecha del espectro
político. Como afirmó Theda Skocpol al comentar los resultados de las
elecciones presidenciales de 1996, «independientemente del balance par-
tidista, algo del cambio del debate que se registró en 1994 va a permane-
cer con nosotros. Es simplemente la idea de que no se puede utilizar al
gobierno federal para grandes iniciativas aun cuando los problemas na-
cionales sean grandes»8
 Además, las elecciones de 1996 registraron una
desafección creciente del electorado hacia todos los candidatos políticos:
sólo el 49% de los ciudadanos con derecho a voto lo ejercieron y Clinton
obtuvo sólo el 49% de ese 49%. Mantener los poderes ejecutivo y legisla-
tivo en manos políticas diferentes parece ser el resultado de una voluntad
colectiva implícita de reforzar el sistema de controles y equilibrios, de
modo que ningún gobierno tenga un poder excesivo.
Por el momento, esta fuerte tendencia antiestatal afecta profunda-
mente a la política, pero no a la estructura del estado. Pero parece estar
camino de transformar la base institucional y el programa político del go-
bierno en los Estados Unidos. Si las propuestas aprobadas por el Con-
greso republicano en 1995 o la versión modificada de esas políticas llegan
a entrar en vigor, como es posible que ocurra, el gobierno federal trasferi-
ría a los gobiernos estatales, para el año 2002, la responsabilidad y los
fondos para gestionar docenas de importantes programas, incluidos la
asistencia social, Medicaid, la formación laboral y la protección medioam-
biental, por una cantidad estimada de 200.000 millones de dólares de gasto
anual84
. Además, los fondos se proporcionarían como transferencias en
Citado por Toner, 1996.
Business Week, 1995e.
<IK El poder de la identidad
% 80 i
70
60"
50-
40-
30
20
Gobierno menor/menos servicios
63%
27%
Gobierno mayor/muchos servicios
1984 1988
7P"
1992 2/93 6/93 1995
FIGURA 5.4 Actitudes de la opinión pública acerca del tamaño del gobierno y la pres-
tación de servicios en los Estados Unidos, 1984-1995 (resultados de la pregunta: «¿Pre-
feriría un gobierno menor con menos servicios o un gobierno mayor con muchos
servicios?»).
Fuente: Encuestas realizadas por ABC News/77ie Washington Post, 1984,1988,1992 y
febrero de 1993; y The Los Angeles Times, junio de 1993 y enero de 1995.
bloque, de tal modo que la decisión final sobre su uso estaría en las ma-
nos de los estados, aunque con algunas condiciones, cuyo contenido es
objeto de luchas feroces en el Congreso. El gobierno del presidente Clin-
ton también pensaba ceder una responsabilidad creciente a los estados en
varias áreas importantes, incluida la política de transportes. Asimismo,
los esfuerzos para recortar el déficit presupuestario en siete años, tanto
por parte de los republicanos como del presidente Clinton, llevarán a una
reducción sustancial del gasto, tanto en el ámbito federal como estatal. El
gasto de Medicaid puede reducirse hasta un 30% (esto es, 270.000 millo-
nes de dólares) entre 1995 y 2002. Los organismos federales que desem-
peñan un importante papel en la regulación del gobierno, como la Agen-
cia de Protección del Medio Ambiente y la Comisión Federal de
Comunicaciones, probablemente verán muy recortados su poder y finan-
ciación. En efecto, la reducción del déficit presupuestario, basada en un
razonamiento económico, se ha convertido en la herramienta más pode-
rosa para disminuir el gobierno federal, que contabilizó un déficit anual
de 203.000 millones de dólares en 1995. El movimiento combinado hacia
la devolución del poder a los estados y condados, la desregulación, la pér-
dida de derechos a la asistencia social, la reducción drástica del gasto y los
¿El eslailo iiii|inii nú-",' 31')
créditos, y los recortes de impuestos (incluida la posibilidad, en el futuro,
de una auténtica revolución fiscal) están operando una redefinición fun-
damental del poder y los objetivos del gobierno federal y, de este modo,
del estado estadounidense.
Las fuerzas que impulsan esta transformación del papel del gobierno
en los Estados Unidos surgen de un rechazo profundo y explícito al go-
bierno federal por parte de una gran mayoría de estadounidenses en la
década de los noventa (véase la figura 5.4). Balz y Brownstein resumen
los datos de los sondeos de opinión y los estudios políticos sobre el tema
del modo siguiente:
El descontento hacia el gobierno se manifiesta ahora en dos fuertes corrientes.
Por una parte, la gran mayoría de los estadounidenses suscriben una crítica popu-
lista que ataca a Washington por derrochador, ineficaz, estar al servicio de intere-
ses especiales y abarrotado de políticos arteros e interesados que dirían cualquier
cosa con tal de ser elegidos. (Este alejamiento populista del gobierno es más
fuerte entre los votantes blancos de clase obrera, el mismo grupo que ha afron-
tado la mayor presión económica durante las dos últimas décadas). Desde un se-
gundo frente, un número menor, pero aún considerable, de estadounidenses cen-
suran al gobierno sobre bases ideológicas, como una imponente bestia que todo lo
abarca y erosiona la libertad individual y la confianza en uno mismo, oponiéndose
a la religión y favoreciendo a las minorías y los pobres. La desconfianza hacia
Washington ha resultado ser un ingente obstáculo para los esfuerzos demócratas
por recabar apoyo para las nuevas iniciativas gubernamentales, hasta para aque-
llas orientadas a combatir la inseguridad económica mediante la extensión de la
formación laboral o una asistencia sanitaria garantizada. La hostilidad hacia Was-
hington es ahora parte de la cultura estadounidense tanto como la reverencia a la
bandera85
.
Es precisamente esta divisoria entre la lealtad renovada al símbolo de
la nación (la bandera) y la desobediencia creciente a las instituciones fe-
derales (Washington) la que caracteriza a una crisis de legitimidad.
En el capítulo 2, al tratar los movimientos sociales, analicé breve-
mente la sublevación contra el nuevo orden global en los Estados Unidos,
adelantando diversas ideas sobre las raíces y características de movimien-
tos como la milicia estadounidense, «los derechos de los condados», el
movimiento del «uso sensato» y movilizaciones heterogéneas de «patrio-
tas» antigubernamentales. En este capítulo, me centro en el impacto de
tales movimientos y de tendencias más amplias en la opinión pública so-
bre la política y el estado. No cabe reducir los sentimientos antiestatales
en la sociedad estadounidense de la década de los noventa a su manifesta-
ción más extrema, aunque el movimiento patriota sí compendia los valo-
Balz y Brownstein, 1996, pág. 13.
320 II {xiiki «Ir l.i klcillidml
res y la ira expresados en grandes sectores de la sociedad, de los que se
hacen eco las diatribas radiofónicas de Rush Limbaugh. Los sentimientos
y la política contra el gobierno federal son el punto de convergencia de
una vasta gama de tendencias ideológicas, económicas y sociales tan pro-
fundamente arraigadas en la relación entre la globalización, la construc-
ción de la identidad y la política, no es arriesgado predecir que indepen-
dientemente del partido que gane las elecciones en el año 2000, ya sea el
GOP o un Partido Demócrata renovado, se verá empujado a un reacondi-
cionamiento de las instituciones políticas estadounidenses en el siglo xxi.
Una revisión de los principales componentes de este populismo conserva-
dor de los años noventa ayudará a comprender la complejidad del pro-
ceso y la extensión de la crisis que se cierne en el horizonte, más allá de
las variaciones del ciclo político.
Una primera y vigorosa tendencia es una nueva clase de populismo
económico en reacción contra la marginación de una alta proporción de
los trabajadores estadounidenses que sufren el impacto de la reestructu-
ración económica global. Los beneficios de las grandes empresas y de la
bolsa de valores en 1996 y 1997 fueron los más elevados de la historia,
aunque el índice Dow Jones caía bruscamente cada vez que se anunciaba
una creación de puestos de trabajo sustancial. La tecnología está indu-
ciendo, de forma lenta pero segura, un aumento de la productividad. La
mayor parte de las mujeres ahora obtienen ingresos. La creación de pues-
tos de trabajo no tiene precedentes (11 millones de nuevos puestos du-
rante el gobierno del presidente Clinton). No obstante, la profunda insa-
tisfacción e inseguridad son un reflejo del estancamiento o descenso de
los niveles de vida para la mayoría de la población, junto con la inestabili-
dad estructural introducida en el mercado laboral por el trabajo flexible,
la interconexión de las firmas y la creciente dependencia de los modelos
de inversión, producción y comercio transnacionales (véase el volumen I).
Sin duda, este sentimiento es más contra las grandes empresas que contra
el estado y, de hecho, demanda implícitamente una intervención guberna-
mental más activa, como en la campaña por el proteccionismo. Pero aviva
la ira contra el gobierno federal porque se considera a Washington, acer-
tadamente, el gestor de la globalización, sobre todo tras la firma del TLC,
que pasó a simbolizar la creciente interdependencia económica de los Es-
tados Unidos. Los temas políticos contenidos en este movimiento encami-
nan, en potencia, al proteccionismo económico, la restricción de la inmi-
gración y la discriminación contra los inmigrantes. Sus implicaciones
conducen a una oposición frontal a los intereses empresariales, para los
que el libre comercio y el libre movimiento del capital, y de la mano de
obra muy cualificada, son esenciales. Ello introduce una contradicción ex-
plosiva dentro del Partido Republicano, como se demostró en las prima-
rias presidenciales de 1996, con la alarma del liderazgo del GOP ante el
éxito inicial de la candidatura populista de Buchanan. También existe una
;,E1 estado impotente? 321
contradicción similar en el Partido Demócrata, pues la mayor parte de los
sindicatos y muchos grupos minoritarios se oponen al TLC y a la plena
movilidad de capital y puestos de trabajo en una economía global abierta,
agenda que en general apoyan los dirigentes demócratas y sin duda fo-
mentan Clinton y Gore.
Otra corriente de opinión pública, en parte coincidente con el protec-
cionismo económico, es la que propone el aislacionismo, manifestada por
una amplia oposición popular a enviar tropas estadounidenses al exterior
en ausencia de una amenaza claramente percibida a la seguridad nacio-
nal interna, condición que no cumplían Somalia ni Bosnia. Con el desva-
necimiento de la Unión Soviética, la lógica de la movilización nacional se
perdió en las mentes y los corazones de la gente, y el ejercicio regular de
la posición de superpotencia militar, tan atrayente para las élites econó-
micas, intelectuales y políticas, no parece justificar el coste ni el sufri-
miento. El rechazo a que las tropas estadounidenses presten servicio bajo
la bandera de la ONU se convirtió en el punto de encuentro contra el
multilateralismo y contra la pérdida de la soberanía estadounidense en la
compleja red de instituciones internacionales que caracterizan la era pos-
terior a la guerra fría, como la Organización Mundial de Comercio.
Una tercera corriente de opinión hace referencia a un amplio rechazo
hacia lo que se considera una interferencia del gobierno en las vidas pri-
vadas, la familia y las comunidades locales. Es el caso del «movimiento de
la escuela en el hogar», frecuentemente asociado con el fundamentalismo
cristiano, en el cual los padres se niegan a enviar a sus hijos a la escuela y
rechazan la necesidad de un certificado de estudios. O los movimientos
de «los derechos de los condados» o «el uso sensato» contra la regulación
medioambiental, mezclando la defensa de la autonomía local, sobre todo
en el Oeste, con los intereses de las compañías madereras y mineras. O la
preocupación creciente y extendida por las amenazas a la intimidad desde
el estado informatizado, alimentando tendencias libertarias de diferentes
tipos, según los niveles de educación y el contexto social.
Los movimientos en favor de los valores familiares y contra el aborto,
las campañas antigays y el fundamentalismo religioso (con mucha fre-
cuencia de evangélicos blancos) forman la base de una corriente social ex-
tensa y diversificada, de la cual, como se mencionó en los capítulos 1 y 2,
la Coalición Cristiana es la expresión política más potente y organizada,
con un millón y medio de miembros y 1.200 secciones en 50 estados. En
efecto, se ha convertido, a mediados de la década de los noventa, en el
bloque de votantes más importante del Partido Republicano y en la
fuerza decisoria en muchas elecciones locales, estatales y federales, reco-
nocida como el equivalente funcional de lo que los sindicatos solían ser
en el Partido Demócrata. En principio, el fundamentalismo cristiano no
es un movimiento antiestatal. En efecto, su sueño sería ser una teocracia,
una nación en la que mora Dios, con un gobierno que aplica las leyes de
<22 I I (HKICI de lu KICIIIUIIKI
Dios, como han hecho en algunas juntas escolares que llegaron a con!ro-
lar en California, o en la decisión del Senado de Tennessee en febrero de
1996 de colocar los Diez Mandamientos en las oficinas y las escuelas pú-
blicas, requiriendo su observancia. No obstante, bajo el régimen constitu-
cional actual de libertad religiosa y separación de la Iglesia y el estado, la
reconstrucción de la nación cristiana exige en primer lugar el desmantela-
miento del estado secularizado tal como es hoy día. El desarrollo extra-
ordinario del fundamentalismo cristiano en la última década en los Esta-
dos Unidos y su conversión en una fuerza política bien organizada
pueden relacionarse con la reconstrucción de la identidad y con la resis-
tencia a la desintegración de la familia tradicional. Es un rechazo del fe-
minismo, la liberación gay y el fin del patriarcado. Y de los esfuerzos del
gobierno para aplicar las leyes que apoyan la elección de las mujeres, la
igualdad de los géneros y la tolerancia cultural. Pero más allá de esa reac-
ción, arraigada en la inseguridad personal, hay un intento de reconstruir
la identidad y el significado en virtud de un pasado idealizado, el pasado
de la familia y la comunidad en una sociedad homogénea que ahora se
está reconstruyendo en los nuevos suburbios y en los pueblecitos de una
vida rural que se extingue. Esta reacción es especialmente espectacular si
se observa contra el telón de fondo del derrumbamiento actual de la fa-
milia patriarcal en los Estados Unidos (véase el capítulo 4). La pugna
contra la crisis del patriarcado es tan vigorosa como la oposición al nuevo
orden económico global en su desafío de los valores liberales y la clase
política, deslegitimando, de este modo, al que perciben como su represen-
tante, el gobierno federal.
La crítica de las leyes e instituciones federales se vuelve aún más viru-
lenta cuando se vincula con la hostilidad clasista y racial hacia los pobres
y las minorías raciales. Por ello, la deslegitimación selectiva del estado de
bienestar, ya combatido por las tendencias económicas, cristaliza el senti-
miento popular, las votaciones políticas y la hostilidad antigubernamen-
tal. Digo selectivo porque la seguridad social y Medicare (que suponen en
torno a los dos tercios del presupuesto del estado de bienestar estadouni-
dense) continúan recibiendo el apoyo de una gran mayoría de la pobla-
ción, de tal modo que resulta muy difícil reformar el sistema (véase la fi-
gura 5.5). Por otra parte, los programas de asistencia social, los subsidios
sociales para los pobres, los programas de formación y la acción afirma-
tiva para las minorías soportan el ataque de una mayoría que se niega a
pagar impuestos para sostener «a los otros» y estigmatiza a los pobres,
culpándolos de su conducta, por ejemplo, atribuyendo a los subsidios de
la asistencia social el crecimiento exponencial del número de «niños naci-
dos de niñas». En las «teorías» presentadas por los asesores académicos
del movimiento en contra de la asistencia social, la Inglaterra victoriana y
su moralidad rigurosa se convierten en el modelo, y los pobres y las mino-
rías son sentenciados a una permanente posición inferior por su coefi-
¿líl estado impotente? 323
Más Importante: Reducir el déficit federal (%) Evitar recortes del
programa (%)
Financiación de las artes
Programas de asistencia
social en general
Vales de comida
Gasto en defensa
Ayuda a los granjeros
Préstamos a los estudiantes
universitarios
Medicaid (programa sanitario
federal para los pobres)
Subv. a las ciudades para que
pongan más policía en las calles
Programas de almuerzo escolar
Seguridad social
Medicare (programa federal
para los ancianos)
FIGURA 5.5 Actitudes hacia los programas del gobierno federal y la reducción del dé-
ficit presupuestario federal en los Estados Unidos, 1995 (resultados de la pregunta:
«Para cada uno de los programas siguientes, ¿piensa que es más importante reducir el
presupuesto federal o evitar que el programa sea recortado de forma considerable?»).
Fuente: Encuesta de Gallup Organization para CNN/tASVl Today, 24-26 de febrero de
1995.
cíente intelectual determinado biológicamente86
. Una manifestación más
de la ruptura de la solidaridad social es la cólera especial mostrada por los
«varones blancos airados» que extienden su rechazo hacia la acción afir-
mativa para las mujeres, con lo que provocan una división potencial más
entre los ciudadanos desafectos. La movilización de una proporción con-
siderable de la sociedad civil contra el estado de bienestar en los Estados
Unidos lleva, al mismo tiempo, a la segmentación de la sociedad y al debi-
litamiento del estado, cada vez más presionado para que se convierta en
un aparato represivo del ascenso de las «clases peligrosas». El hincapié en
el voluntariado comunitario y la caridad como sustitutos del estado de
bienestar, aunque refuerza la importancia de una sociedad civil solidaria,
es sobre todo una pantalla ideológica para no afrontar el abandono cínico
de una responsabilidad colectiva con el pretexto de ejercer la responsabi-
lidad individual.
Murray y Herrnstein, 1994; Himmelfarb, 1995.
29
30
35
43
52
65
66
68
69
77
78
324 Hl poder de la identidad
Todas estas dimensiones de la revuelta de los ciudadanos a veces coin-
ciden con los intereses sin restricciones del capitalismo empresarial (como
en la crítica de la asistencia social o el ecologismo) y otras veces están en
franca oposición a ellos (como en la crítica de la globalización y la flexibi-
lidad laboral). Pero, a pesar de ser muy diferentes y provenir de distintas
fuentes, todas convergen en una oposición frontal al papel importante del
gobierno federal, que caracteriza al estado-nación estadounidense según
estaba constituido en el último medio siglo.
Pero aclaremos este punto. En su conjunto, el populismo conservador
estadounidense de la década de los noventa no es un movimiento liberta-
rio y no se hace eco de la tradición del republicanismo antigubernamen-
tal. Algunos de sus componentes más importantes, como se ha descrito
antes, demandan en realidad políticas muy estatistas, haciendo que el es-
tado imponga los valores de algunos segmentos organizados de la socie-
dad sobre los individuos y las familias. Éste es sin duda el caso de los fun-
damentalistas cristianos, cuya creciente influencia en los gobiernos locales
y estatales se considera un medio de imponer la conducta piadosa sobre
toda la sociedad que se encuentra bajo su jurisdicción. Igual sucede con
las políticas económicas proteccionistas, cuya aplicación plena requeriría
un esfuerzo decisivo por parte del gobierno federal para controlar y
orientar toda la economía estadounidense. Así pues, la crisis del estado-
nación no proviene sólo de la hegemonía cultural de los valores antiestata-
les, sino de la convergencia de desafíos de varias ideologías e intereses en el
cuestionamiento del gobierno federal de los Estados Unidos, según se ha
constituido en la historia, ya sea para reducir radicalmente su papel (liber-
tarismo tradicional) o para ocuparlo en nombre de una nueva misión de
reconstruir la nación estadounidense bajo la guía de Dios y apartados del
nuevo orden global. Por ello, esta crisis de legitimidad, aunque subyace
en la «revolución republicana» de 1994, no puede equipararse a ella.
Transciende partidos y grupos de votantes, y afecta a los obreros indus-
triales tanto como a los granjeros, a los varones airados tanto como a los
contribuyentes irritados.
Estas corrientes tan diversas y vigorosas suelen organizarse en torno
a dos temas que se convierten en la bandera común: rechazar los im-
puestos y llevar armas. Al privar al gobierno, y en particular al federal,
de los ingresos fiscales, la acción estatal se acaba limitando gradual-
mente. En una sociedad y una economía de demandas crecientes frente
a las políticas públicas, la reducción de la base impositiva fuerza al es-
tado a concentrarse en sus funciones esenciales, sobre todo mantener la
ley y el orden y proporcionar la infraestructura de la nueva economía
informacional global, mientras paga los intereses de una deuda here-
dada de la guerra fría de Reagan. Así pues, se vuelve incapaz de reali-
zar las otras funciones y, de este modo, se ve obligado a «dejar en paz a
la gente».
¿El estado impotente? 325
Por otra parte, en opinión de una parte importante de la población, el
derecho a llevar armas es el cimiento fundamental de la libertad ciuda-
dana, reconocido en la constitución estadounidense. Aunque muchos es-
tadounidenses no están de acuerdo con este estado de cosas, el hecho es
que hay 300 millones de armas en los hogares estadounidenses y se dis-
pone de armamento bélico en el mercado.
Poderosas organizaciones y grupos de presión como Americans for
Tax Reform, la National Federation of Independent Business y la legen-
daria Asociación Nacional del Rifle luchan con éxito para socavar el con-
trol del estado sobre el dinero y las armas. Mi Dios, mi familia, mi comu-
nidad, mi dinero, mi arma parecen ser los valores que moldean la
conciencia y la conducta de una proporción cada vez más importante del
pueblo estadounidense, en oposición directa a las reglas, los programas y
los funcionarios del gobierno federal y con una hostilidad creciente hacia
las empresas globales y el multilateralismo institucional.
La difusión de estos temas y actitudes en la sociedad estadouni-
dense se ha visto ayudada por la creciente localización, segmentación y
diferenciación de los medios de comunicación y por la extensión de la
comunicación electrónica interactiva. En este sentido, la clave ha sido
la creciente influencia de la radio local, que emite programas de varias
emisoras, y la explosión de las charlas y consultas radiofónicas. Entre
1988 y 1995, el número de emisoras especializadas en charlas radiofó-
nicas se duplicó, alcanzando 1.200. La nueva tecnología por satélite y
la relajación de la reglamentación sobre falsas imputaciones contribu-
yeron a su desarrollo e influencia. Rush Limbaugh, la estrella de las
charlas radiofónicas, tenía una audiencia semanal de 20 millones en
600 emisoras en todo el país, convirtiéndose así en una fuerza política
potencial. En 1994, el nuevo GOP rindió homenaje, en una comida
pública, a Limbaugh, el hombre que, más que ningún otro, había po-
pularizado la causa del ultraconservadurismo y las posturas antiguber-
namentales por todo el país. Además de la radio, el nuevo movimiento
populista, como se indicó en el capítulo 2, utilizó todo el potencial de
las nuevas tecnologías de la comunicación, incluido Internet, pero tam-
bién el fax, para coordinar sus acciones e ideas y para difundirlos en-
tre receptores seleccionados y cargos electos. La desmasificación de los
medios sorteó los tradicionales canales de control indirecto entre la
clase política y la audiencia, desencadenando la difusión de todo tipo
de información e ideas, incluidas las más escandalosas, distorsionadas e
injustas, entre millones de personas. El límite entre la publicación de
lo adecuado y lo inaceptable, establecido cuidadosamente durante dé-
cadas por una libertad de prensa en general responsable, quedó irre-
versiblemente borroso.
Pese a la distorsión de las expresiones de ira, estas tendencias sociales
no son caprichos temporales de la opinión pública. Los sondeos de opi-
»2f> II poder ele In iik iilnhid
nión disponibles en la década de los noventa muestran su persistencia y
su profundidad (véase el capítulo 6). Están arraigadas en importantes
transformaciones estructurales, presentadas en este libro, y se procesan
en la cultura e instituciones específicas de la sociedad estadounidense.
Como escriben Balz y Brownstein:
Tras todos estos movimientos de la derecha que se arremolinan e hinchan está
el miedo a un mundo que se escapa de control [...] Cuando la economía se re-
estructura bajo las presiones de la globalización y de la nueva tecnología, y la
estructura cultural de la sociedad se resiente bajo el desmoronamiento de la fa-
milia de dos progenitores, estamos en una de esas épocas fen las que gran nú-
mero de estadounidenses se sientes desarraigados por acontecimientos que no
pueden comprender ni controlar]. «La gente siente que no controla su propia
vida», dijo el encuestador republicano Frank Luntz. «Que ya no puede moldear
su futuro»87
.
Y culpan de ello al estado que han construido durante el último medio
siglo, anhelando retomar el control sobre sus vidas en sus comunidades y
en sus familias, y separándose del gobierno. En este proceso, son ayuda-
dos por un Partido Republicano que había estado fuera del poder parla-
mentario durante tres décadas y entonces vio la oportunidad de afirmarlo
para las décadas venideras. Pero lo está haciendo surcando las olas de
sentimientos antigubernamentales y antiestablishment, así que está ju-
gando con fuego. Como concluyen Balz y Brownstein: «Toda la energía
intelectual del Partido Republicano se enfoca ahora a encontrar nuevos
modos de reducir el ámbito y alcance del gobierno federal»88
. Sin em-
bargo, puesto que este partido también representa poderosos intereses
empresariales, incorporados a la economía global y a las instituciones in-
ternacionales, al convertirse en el instrumento del populismo antiestatal
construye una explosiva contradicción interna entre su base popular anti-
gubernamental y fundamentalista, y su papel tradicional de representante
del capitalismo empresarial y de defensa del establishment. La percepción
franca de esa contradicción y la probable desafección consiguiente de una
profunda tendencia populista, que transciende las líneas del partido,
puede provocar una crisis fundamental en el sistema político estadouni-
dense. Muy bien pudiera desestabílizar el cuidadoso equilibrio que los pa-
dres fundadores y el Tribunal Supremo habían establecido a lo largo de la
historia entre lo local y lo federal, entre el gobierno y la sociedad, lo cual
desataría potencialmente la crisis del estado-nación estadounidense.
Balz y Brownstein, 1996, pág. 173.
Balz y Brownstein, 1996, pág. 295.
¿El estado impolrnlc? 327
Estructura y proceso en la crisis del estado
Destaquemos los elementos analíticos importantes que se derivan de
estos sucintos estudios específicos de crisis estatales. Tanto en México
como en los Estados Unidos observamos el impacto directo de la globali-
zación y la reestructuración capitalista sobre la legitimidad del estado,
mediante el desmantelamiento parcial del estado de bienestar, la disolu-
ción de las estructuras productivas tradicionales, la inestabilidad laboral
creciente, la extrema desigualdad social y la vinculación de los segmentos
valiosos de la economía y la sociedad en redes globales, mientras que
grandes sectores de la población y del territorio quedan desconectados
del sistema dinámico globalizado: todos los procesos que he analizado en
el volumen I y que, como hemos visto, cobran su tributo en la capacidad
del estado para responder a las demandas sociales y, en definitiva, en la
legitimidad del estado. Es más, la estrecha conexión de la economía mexi-
cana con la estadounidense, institucionalizada por el TLC, y la vincula-
ción electrónica de sus mercados financieros con los mercados globales en
tiempo real, hizo que el derrumbamiento del peso en 1994-1995 fuera
muy diferente de cualquier crisis económica previa, ejemplificando en
realidad, como ya se indicó, «la primera crisis financiera del siglo xxi».
Además, en el caso de México, la penetración en el estado de la econo-
mía criminal global añade un sesgo pronunciado a la desorganización de
las instituciones políticas y a su crisis de legitimidad.
En el caso de los Estados Unidos (aún no en el de México), la cri-
sis del patriarcado, con sus raíces en la economía informacional y en el
desafío de los movimientos sociales, profundizó la inseguridad y el te-
mor entre grandes sectores de la población, provocando el alejamiento
del estado secular y de las instituciones legales y políticas que se mos-
traban receptivas a los derechos de las mujeres. Para un sector significa-
tivo de la población, ello condujo al atrincheramiento en la afirmación
de Dios, la familia y la comunidad como valores eternos e incuestio-
nables.
En ambos casos, las crisis estructurales que socavaron la legitimidad
del estado interactuaron con el desarrollo de movimientos sociales que,
bajo formas específicas para cada sociedad, afirmaban identidades alter-
nativas y rechazaban de forma explícita la legitimidad del gobierno fede-
ral. Aunque estos movimientos basados en la identidad sólo implicaban a
una minoría de activistas, sus demandas y reclamaciones fueron procesa-
das por el sistema político y encontraron un eco, hay que admitir que dis-
torsionado, en la población en general. Existe una conexión innegable en-
tre la repercusión simbólica de los zapatistas y el rechazo generalizado al
estado priísta en la sociedad mexicana, poniendo fin al que una vez fue el
sistema político más duradero del mundo. En cuanto a los Estados Uni-
dos, aunque los patriotas son más un síntoma que una causa, la crisis de
I.'N II poder ele la identidad
legitimidad se manifiesta en la amplia desconfianza hacia el gobierno, so-
bre todo el gobierno federal, y hacia los políticos y partidos, sobre todo
hacia aquellos vinculados con la política establecida. El ascenso de la po-
pularidad de los republicanos conservadores a mediados de la década de
los noventa está ligado, en buena medida, a su campaña políticamente
suicida contra las mismas instituciones del gobierno que quieren con-
trolar.
En ambos casos, México y los Estados Unidos, los nuevos sistemas de
comunicación electrónica han sido decisivos para amplificar la repercu-
sión de movimientos relativamente pequeños sobre la opinión pública en
general, al alimentar a los medios de comunicación y por su interconexión
horizontal sin restricciones.
Así pues, existe una conexión empíricamente observable y significa-
tiva desde el punto de vista analítico entre la globalización, la informa-
cionalización, la reestructuración capitalista, los movimientos basados en
la identidad y la crisis de la legitimidad política tanto en el estado mexi-
cano como en el estadounidense, si bien con formas diferentes, específi-
cas de cada sociedad. Qué es lo primero en la inducción de la causalidad
es, desde la perspectiva metodológica, una pregunta errónea, porque la
estructura y el proceso interactúan de forma inseparable en la secuencia
que lleva a la crisis del estado. Sería difícil imaginar el impacto de los za-
patistas en México sin el profundo impacto de la globalización en la eco-
nomía y la sociedad. Pero los zapatistas no eran el resultado de la crisis
económica: existían antes, en las luchas de los indios y los campesinos
apoyadas por los sacerdotes católicos y en la voluntad revolucionaria de
los refugiados de los movimientos de la izquierda radical de la década de
los setenta. El libertarismo en los Estados Unidos tiene una larga tradi-
ción y el aislacionismo es una tentación perenne de un poderoso país del
tamaño de un continente, como lo es la tentación opuesta hacia el impe-
rialismo. Que uno u otro prevalezca en un periodo histórico particular no
está escrito de antemano, ya que el resultado preciso de la interacción en-
tre los elementos que he identificado, que constituyen al mismo tiempo la
estructura y el proceso, es en buena medida indeterminado. Así que, pese
a la revolución republicana de 1994, Clinton volvió a ganar en las eleccio-
nes presidenciales de 1996, debido en buena parte a las contradicciones
internas del electorado republicano al ser movilizado, al mismo tiempo,
en nombre de los intereses empresariales y de los temas del populismo de
derechas. No obstante, el propio Clinton, para ganar, tuvo que apartarse
mucho de la plataforma demócrata tradicional, con lo que fomentó la dis-
tancia entre las esperanzas de muchos demócratas y las realidades de la
política.
El hecho de que la respuesta social y política al nuevo desorden glo-
bal proviniera de «la izquierda» en México y de «la derecha» en los Esta-
dos Unidos se debe, en parte, a la especificidad histórica de los sistemas
¿El estado impolcnlc? .129
políticos y, en parte, a las características de la crisis que tenían que sol-
ventar. Es decir, puesto que el estado en ambos casos era incapaz de pro-
porcionar la protección prometida y, en lugar de ello, se convirtió en el
gestor activo del proceso de globalización/reestructuración, el desafío
contra el estado se organizó desde fuera de la base de apoyo tradicional
a las reformas emprendidas por el gobierno: los demócratas del gobierno
profederal en los Estados Unidos; el sistema populista priísta en México.
Ello no descarta que, en el futuro, pueda desarrollarse un movimiento de
izquierda a favor del estado de bienestar y del gobierno en ambos países,
pero tendría que prosperar fuera de los salones de la clase política, de-
bido precisamente a su crisis de legitimidad.
Esta indeterminación de los procesos políticos no invalida el interés
de una comprensión analítica general, porque los materiales que hemos
sacado a la luz y sus vinculaciones son la materia de que están hechas las
instituciones políticas y los procesos políticos de nuestro tiempo. En
cuanto al análisis de la relación que existe entre las fuentes de la crisis
del estado y las nuevas formas de lucha y competencia política, es nece-
sario considerar, primero, la dinámica específica de los actores políticos
en el nuevo paradigma informacional, un ejercicio que intentaré en el ca-
pítulo 6.
EL ESTADO, LA VIOLENCIA Y LA VIGILANCIA: DEL GRAN HERMANO
A LAS HERMANAS PEQUEÑAS
¿Es realmente impotente el estado en la sociedad red? ¿No estamos
presenciando, por el contrario, el resurgir de la violencia y la represión
por todo el mundo? ¿No se está enfrentando la privacidad a los mayores
peligros de la historia humana, debido a la penetración de las nuevas tec-
nologías de la información? ¿No llegó el Gran Hermano, como predijo
Orwell, en torno a 1984? ¿Y cómo puede ser impotente el estado cuando
posee una capacidad tecnológica formidable y controla una cantidad de
información sin precedentes?89
Estas preguntas esenciales y habituales mezclan datos contradictorios
con una teoría confusa. No obstante, su tratamiento es fundamental para
comprender la crisis del estado. En primer lugar, la imaginería del Gran
Hermano debe desecharse empíricamente cuando hace referencia a la
conexión entre nuestras sociedades y la profecía orwelliana. En efecto,
George Orwell muy bien podría haber estado en lo cierto respecto al ob-
jeto de su profecía, el estalinismo, no el estado capitalista liberal, si la
historia política y la tecnología hubieran seguido una trayectoria dife-
rente en el último medio siglo, algo que sin duda estaba dentro del ám-
89
Burnham, 1983; Lyon, 1994.
.uo T.l pi)dcr de la identidad
bito de lo posible. Pero el estatismo se desintegró en contacto con las
nuevas tecnologías de la información, en lugar de ser capaz de dominar-
las (véase el volumen III), y éstas liberaron el poder de la interconexión
y la descentralización, socavando realmente la lógica centralizadora de
las instrucciones de un solo sentido y la vigilancia burocrática vertical
(véase el volumen I). Nuestras sociedades no son prisiones ordenadas,
sino junglas desordenadas.
Sin embargo, las nuevas y poderosas tecnologías de la información
pueden ponerse al servicio de la vigilancia, el control y la represión por
parte de los aparatos del estado (policía, cobro de impuestos, censura, su-
presión de la disidencia política y cosas similares). Pero también pueden
ser utilizadas por los ciudadanos para mejorar su control sobre el estado,
mediante el acceso legítimo a la información de los bancos de datos públi-
cos, interactuando con sus representantes políticos por línea telefónica,
viendo las sesiones políticas en directo y, finalmente, comentándolas en
directo90
. Asimismo, las nuevas tecnologías pueden permitir a los ciuda-
danos grabar sucesos, con lo cual proporcionan pruebas visuales de los
excesos cometidos, como en el caso de las organizaciones ecologistas glo-
bales que distribuyen el poder del vídeo a los grupos locales de todo el
mundo para que informen de los delitos medioambientales y, de este
modo, presionar a los culpables ecológicos. Lo que hace el poder de la
tecnología es reforzar de forma extraordinaria las tendencias arraigadas
en la estructura y las instituciones sociales: las sociedades opresivas pue-
den serlo más con las nuevas herramientas de vigilancia, mientras que las
sociedades democráticas y participativas pueden incrementar su apertura
y representatividad distribuyendo más el poder político con el poder de la
tecnología. Así pues, el impacto directo de las nuevas tecnologías de la in-
formación sobre el poder y el estado es un asunto empírico, sobre el cual
los datos son muy diversos. Pero hay una tendencia más profunda y fun-
damental en marcha, que debilita realmente el poder del estado-nación:
la difusión creciente tanto de la capacidad de vigilancia como del poten-
cial de violencia fuera de las instituciones del estado y más allá de las
fronteras de la nación.
Los informes sobre la amenaza creciente a la intimidad conciernen
menos al estado como tal que a las organizaciones empresariales y las re-
des de información privadas o, en su caso, las burocracias públicas que si-
guen su propia lógica como aparatos, en lugar de actuar en nombre del
gobierno. Los estados, a lo largo de la historia, han reunido información
sobre sus subditos, muy a menudo mediante medios brutales, rudimenta-
rios pero muy efectivos. Sin duda, los ordenadores cambiaron de forma
cualitativa la capacidad de cruzar la información, combinando datos so-
bre la seguridad social, la salud, el carnet de identidad, la residencia y el
Anthes, 1993; Betts, 1995; Gleason, 1995.
¡: cMaclo ini|»ilcriU'.' 3.M
empleo. Pero con la excepción limitada de los países anglosajones, arrai-
gados en una tradición libertaria, la gente de todo el mundo, de la Suiza
democrática a la China comunista, se ha pasado la vida pendiente de los
archivos de información sobre la residencia, el trabajo y cualquier aspecto
de su relación con el gobierno. Por otra parte, si es cierto que el trabajo
policial se ha visto facilitado por las nuevas tecnologías, también se ha
vuelto extraordinariamente complicado por la sofisticación similar, y a
veces superior, del crimen organizado en la utilización de las nuevas tec-
nologías (por ejemplo, la interferencia de las comunicaciones de la poli-
cía, la conexión electrónica, el acceso a los datos informáticos, etc.). La
cuestión real es otra: es el acopio de información sobre los individuos por
parte de las firmas comerciales y las organizaciones de todo tipo, y la crea-
ción de un mercado para esta información. La tarjeta de crédito, más que
el carnet de identidad, está acabando con la intimidad. Es el instrumento
mediante el cual las vidas de la gente pueden ser clasificadas, analizadas y
seleccionadas con fines de mercadotecnia (o chantaje). Y la noción de la
tarjeta de crédito como fe de vida en el registro civil debe extenderse a
una variedad de ofertas comerciales, desde los programas para pasajeros
habituales a los servicios al consumidor de todo artículo posible y la per-
tenencia a asociaciones diversas. Más que un «Gran Hermano» opresivo,
son una miríada de «hermanas pequeñas» bien intencionadas, que se rela-
cionan con cada uno de nosotros de forma personal porque saben quiénes
somos. Son ellas las que han invadido todos los ámbitos de la vida. En
efecto, lo que hacen los ordenadores es posibilitar la reunión, el procesa-
miento y el uso para fines específicos de gran cantidad de información in-
dividual, de tal modo que nuestro nombre pueda imprimirse y la oferta,
personalizarse o enviarse por correo o transmitirse a millones de indivi-
duos. O, en un ejemplo elocuente de la nueva lógica tecnológica, el
V-chip, implantado en los televisores estadounidenses en 1997, que per-
mite a los hogares programar la censura, de acuerdo con un sistema de
códigos que también se implanta en las señales de televisión emitidas
desde los canales. Así, se descentraliza la vigilancia en lugar de centrali-
zar el control.
David Lyon, en su interesante libro sobre el tema, ha insistido en el
desarrollo crucial de esta extensión de la vigilancia más allá de las fronte-
ras del estado91
. Lo que denomina «el ojo electrónico» es una sociedad de
«vigilancia» más que un «estado de vigilancia». Después de todo, éste es
el núcleo de la teoría de Foucault sobre los micropoderes, aunque con-
fundió a muchos de sus lectores superficiales al denominar «estado» al
que, según su propia opinión, en realidad es «el sistema»; es decir, la red
de fuentes de poder en varios dominios de la vida social, incluido el poder
en la familia. Si, en la tradición weberiana, restringimos el concepto de es-
51
Lyon, 1994.
332 lil poder de la identidad
tado al conjunto de instituciones que ostentan el monopolio legítimo de
los instrumentos de la violencia, y por estado-nación, la delimitación te-
rritorial de ese poder92
, parecería que, en realidad, estamos presenciando
la difusión del poder de vigilancia y violencia (simbólica o física) en la so-
ciedad en general.
Esta tendencia es aún más evidente en la nueva relación entre el
estado y los medios de comunicación. Dada la creciente interdepen-
dencia legal y financiera de los medios, el aumento de la capacidad
tecnológica pone en manos de los medios la posibilidad de espiar al
estado y de hacerlo en nombre de la sociedad o de grupos de interés
específicos (véase el capítulo 6). Cuando, en 1991, una emisora de ra-
dio española grabó la conversación mantenida a través de teléfonos ce-
lulares por dos cargos socialistas, la emisión de sus comentarios, muy
críticos con el presidente socialista, desencadenó una crisis política. O
cuando, en Inglaterra, el príncipe Carlos y su amiga se recrearon al te-
léfono en elaboraciones postmodernas sobre el Tampax y asuntos rela-
cionados, la publicación en la prensa amarilla de estas conversaciones
conmocionó a la corona británica. Sin duda, las revelaciones de los
medios de comunicación, o las murmuraciones, siempre han sido una
amenaza para el estado y una defensa de los ciudadanos. Pero las nue-
vas tecnologías y el nuevo sistema de medios de comunicación han au-
mentado de forma exponencial la vulnerabilidad del estado ante los
medios y, por lo tanto, ante el mundo empresarial y la sociedad en ge-
neral. En términos históricos relativos, hoy el estado es más vigilado
que vigilante.
Es más, aunque el estado-nación conserva la capacidad de ejercer la
violencia93
, está perdiendo su monopolio porque sus principales contrin-
cantes están organizándose en redes transnacionales de terrorismo o gru-
pos comunales que recurren a la violencia suicida. En el primer caso, el
carácter global del terrorismo (político, criminal o ambos) y de sus redes
suministradoras de información, armas y financiación requiere una coo-
peración sistémica entre la policía de los estados-nación, de tal modo que
la unidad operativa es cada vez más una fuerza policial transnacional94
.
En el segundo caso, cuando los grupos comunales, o las bandas locales,
renuncian a su pertenencia al estado-nación, el estado cada vez se hace
más vulnerable a la violencia arraigada en la estructura social de su socie-
dad, como si los estados fueran a verse permanentemente envueltos en
una guerra de guerrillas95
. Así, el estado se enfrenta a una contradicción:
si no usa la violencia, desaparece como estado; si la utiliza de forma casi
92
Giddens, 1985.
91
Tilly, 1995.
94
Fooner, 1989.
95
Wieviorka, 1988.
¿El estílelo mipolrnlcV 11.1
permanente, pierde una buena parte de sus recursos y legitimidad, puesto
que supondría un estado de excepción interminable. Así que el estado
sólo puede aplicarla siempre y cuando esté en juego la supervivencia de la
nación o del estado-nación. Debido a la resistencia creciente de las socie-
dades a apoyar el uso continuado de la violencia, excepto en situaciones
extremas, la dificultad del estado para recurrir a ella, a una escala sufi-
ciente para que sea efectiva, conduce a la disminución de su capacidad de
hacerlo frecuentemente y, de este modo, a la pérdida gradual de su privi-
legio como poseedor de los instrumentos de la violencia.
Así pues, la capacidad de vigilancia se difunde en la sociedad, el mo-
nopolio de la violencia se ve desafiado por las redes transnacionales no
estatales y la capacidad de reprimir la rebelión es erosionada por el co-
munalismo y tribalismo endémicos. Aunque el estado-nación aún resulta
imponente en su uniforme reluciente y los cuerpos y las almas de la gente
siguen siendo torturados de forma rutinaria en todo el mundo, los flujos
de información sortean y a veces someten al estado; las guerras terroristas
atraviesan las fronteras nacionales; y las turbas comunales agotan a la pa-
trulla de la ley y el orden. El estado aún se basa en la violencia y la vigi-
lancia, pero ya no posee su monopolio ni puede ejercerlas desde sus lími-
tes nacionales.
L A CRISIS DEL ESTADO-NACIÓN Y LA TEORÍA DEL ESTADO
En su artículo fundamental sobre la democracia, el estado-nación y el
sistema global, David Held resume su análisis escribiendo que
el orden internacional se caracteriza hoy tanto por la persistencia del sistema
del estado soberano como por el desarrollo de estructuras de autoridad plura-
les. Las objeciones a ese sistema híbrido son rigurosas. Queda la incógnita de si
ofrece soluciones a los problemas fundamentales del pensamiento político mo-
derno, que se ha venido preocupando, entre otras cosas, de las razones y la base
del orden y la tolerancia, de la democracia y la responsabilidad, y del gobierno
legítimo96
.
Aunque prosigue ofreciendo su propuesta optimista para legitimar
al estado en su reencarnación postnacional, los vigorosos argumentos
en contra de la continuidad de la soberanía del estado que adelanta en
las páginas precedentes explican su dubitativo renglón final: «Existen
buenas razones para ser optimista acerca de los resultados, y pesi-
mista» 97
. En este contexto, no estoy seguro de qué significa «opti-
96
Held, 1991, pág. 161.
97
Held, 1991, pág. 167.
II puilci de la ule-ululad
mista» ni «pesimista». No tengo una simpatía particular por los esta-
dos-nación modernos que movilizaron a sus pueblos en matanzas masi-
vas en el siglo más sangriento de la historia humana, el siglo xx "N
.
Pero es un asunto de opinión. Lo que realmente importa es que el
nuevo sistema de poder se caracteriza, y en eso estoy de acuerdo con
David Held, por la pluralidad de las fuentes de autoridad (y, añadiría,
de poder), siendo el estado-nación sólo una de ellas. De hecho, ésta pa-
rece haber sido la regla histórica, más que la excepción. Como sostiene
Spruyt, el estado-nación moderno tenía diversos «competidores» (las
ciudades-estado, los pactos comerciales, los imperios)", así como, aña-
diría, alianzas militares y diplomáticas, que no desaparecieron, sino
que coexistieron con el estado-nación a lo largo de su desarrollo en la
Edad Moderna. Sin embargo, lo que parece estar surgiendo ahora, por
las razones presentadas en este capítulo, es la pérdida de peso relativo
del estado-nación dentro del ámbito de la soberanía compartida que
caracteriza al escenario de la política mundial actual. Hirst y Thomp-
son, cuya vigorosa crítica de los enfoques simplistas sobre la globaliza-
ción resalta la importancia continuada de los estados-nación, recono-
cen, no obstante, el nuevo papel del estado:
Las formas emergentes de gobierno de los mercados internacionales y otros
procesos económicos incluyen a los principales gobiernos nacionales, pero
en un nuevo papel: los estados funcionan menos como entidades «soberanas»
y más como componentes de un «sistema de gobierno» internacional. Las
funciones centrales del estado-nación serán proporcionar legitimidad y asegu-
rar la responsabilidad de los mecanismos de gobierno supranacionales y
subnacionales m
.
Es más, aparte de su compleja relación con las expresiones heterogé-
neas de poder/representación política, el estado-nación cada vez está más
sometido a la competencia más sutil y más preocupante de fuentes de po-
der que no están definidas y, a veces, son indefinibles. Son redes de capi-
tal, producción, comunicación, crimen, instituciones internacionales, apa-
ratos militares supranacionales, organizaciones no gubernamentales,
religiones transnacionales y movimientos de opinión pública. Y por de-
bajo del estado están las comunidades, las tribus, las localidades, los cul-
tos y las bandas. Así que, aunque los estados-nación continúan exis-
tiendo, y seguirán haciéndolo en el futuro previsible, son, y cada vez lo
serán más, nodos de una red de poder más amplia. Con frecuencia se en-
frentarán a otros flujos de poder de la red, que contradicen directamente
el ejercicio de su autoridad, como les sucede en la actualidad a los ban-
98
Tilly, 1995.
99
Spruyt, 1994.
100
Hirst y Thompson, 1996, pág. 171.
¿lil CNlilllo Il1l|llll('lllc'' 115
eos centrales siempre que tienen la ilusión de oponerse al asedio de una
divisa determinada por los mercados globales. O, a este respecto, cuando
los estados-nación, juntos o por separado, deciden erradicar la produc-
ción, el tráfico o el consumo de drogas, una batalla perdida repetidas ve-
ces durante las dos últimas décadas en todas partes, excepto en Singapur
(con todas las implicaciones que conlleva esta observación). Los estados-
nación han perdido su soberanía porque el propio concepto de sobera-
nía, desde Bodin, supone que no es posible perder «un poquito de sobe-
ranía»: precisamente éste era el casus belli tradicional. Los
estados-nación puede que retengan su capacidad de toma de decisiones,
pero, al convertirse en partes de una red de poderes y contrapoderes, son
en sí mismos impotentes: dependen de un amplio sistema de aplicación
de la autoridad y la influencia de múltiples fuentes. Esta afirmación, que
creo que es coherente con las observaciones y elaboraciones presentadas
en este capítulo, tiene serias consecuencias para la teoría y la práctica del
estado.
Durante décadas, la teoría del estado ha estado dominada por el de-
bate entre el institucionalismo, el pluralismo y el instrumentalismo en
sus diferentes versiones101
. Los institucionalistas, en la tradición webe-
riana, han destacado la autonomía de las instituciones del estado, si-
guiendo la lógica interna de un estado determinado en la historia una
vez que los vientos de ésta plantaron sus semillas en un territorio que
se convirtió en su base nacional. Los pluralistas explican la estructura y
la evolución del estado como el resultado de una variedad de influen-
cias en una (re)forma incesante de éste, de acuerdo con la dinámica de
una sociedad civil plural, en una práctica constante del proceso constitu-
cional.
Los instrumentalistas, marxistas o historicistas consideran al estado la
expresión de los actores sociales que persiguen sus intereses y logran el
dominio, ya sea sin oposición dentro del estado («el comité ejecutivo de
la burguesía») o como el resultado inestable de luchas, alianzas y compro-
misos. Pero, como Giddens, Guehenno y Held sostienen, en todas las es-
cuelas de pensamiento, la relación entre el estado y la sociedad, y, de este
modo, la teoría del estado, se considera en el contexto de la nación y tiene
al estado-nación como marco de referencia. ¿Qué sucede cuando, en la
formulación de Held, la «comunidad nacional» ya no es la «comunidad
relevante» como tal marco de referencia?102
¿Cómo podemos concebir in-
tereses sociales no nacionales y diversificados representados en el estado
o que luchan por él? ¿Todo el mundo? Pero la unidad relevante para los
flujos de capital no es la misma que para el trabajo, para los movimientos
sociales o para las identidades culturales. ¿Cómo enlazar los intereses y
101
Carnoy, 1984.
102
Held, 1991, pág. 142 y 143.
H<> lil poder de ln idcntidiul
valores expresados, de forma global y local, en una geometría variable, en
la estructura y las políticas del estado-nación? Así pues, desde el punto de
vista de la teoría, debemos reconstruir las categorías para comprender las
relaciones de poder sin presuponer la intersección necesaria de la nación
y el estado, esto es, separando la identidad de la instrumentalidad. Las
nuevas relaciones de poder, más allá del estado-nación impotente, deben
comprenderse como la capacidad de controlar las redes instrumentales
globales en virtud de identidades específicas o, desde la perspectiva de las
redes globales, de someter toda identidad en el cumplimiento de las me-
tas instrumentales transnacionales. El control del estado-nación, de un
modo o de otro, se convierte sólo en un medio más de afirmar el poder; es
decir, en la capacidad de imponer una voluntad/interés/valor determina-
dos, prescindiendo del consenso. La teoría del poder, en este contexto,
reemplaza a la teoría del estado, como expondré en la conclusión a este
volumen.
Sin embargo de esto no se deduce que el estado-nación se haya
vuelto irrelevante y que vaya a desaparecer. En la mayoría de los casos,
no lo hará, al menos durante un largo tiempo, debido a razones paradóji-
cas que tienen más que ver con el comunalismo que con el estado. En
efecto, en un mundo de redes globales aculturales y transnacionales, las
sociedades tienden, como se ha propuesto en los capítulos precedentes, a
atrincherarse en las identidades y a construir/reconstruir las instituciones
como expresiones de esas identidades. Por ello, estamos presenciando, al
mismo tiempo, la crisis del estado-nación y la explosión de los nacionalis-
mos l(n
. El fin explícito de la mayoría de estos nacionalismos, pero no de
todos, es construir o reconstruir un nuevo estado-nación, basado en la
identidad, no sólo en la herencia histórica del control territorial. Al ha-
cerlo, en muchos casos, los nacionalismos desafían y acaban llevando a la
crisis a los estados-nación existentes que se construyeron sobre alianzas
históricas o sobre la negación, total o parcial, de algunas de las identida-
des de los grupos que lo conforman. Así pues, los nacionalismos contem-
poráneos son, de hecho, un factor importante para provocar la crisis de
los estados-nación constituidos a lo largo de la historia, como ilustran las
experiencias recientes de la Unión Soviética, Yugoslavia y África, y
como quizás suceda en el futuro de Asia (India, Sri Lanka, Birmania,
Malaisia, Indonesia) e incluso (¿quién sabe?) de Europa (España, Reino
Unido, Italia, Bélgica). Cuando estos nuevos nacionalismos basados en la
identidad alcancen la fase de estados, encontrarán los mismos límites que
los estados-nación actuales frente a los flujos de poder globales. Sin
embargo, su construcción no se orientará a afirmar la soberanía, sino a
oponerse a la soberanía de otros estados, mientras navegan en el sistema
global en un proceso interminable de negociación y ajuste. Algunos auto-
103
Cohén, 1996.
¿1-il estado iin|iiili'nli 337
res utilizan el concepto de «forma neomedieval de orden político univer-
sal»m
. Como sucede con toda caracterización «neo», sospecho que falsea
la historia. Sin embargo, es una interesante imagen para transmitir la no-
ción de unos estados autónomos e impotentes que, sin embargo, siguen
siendo instrumentos de iniciativa política y fuentes de autoridad condi-
cional.
Los estados-nación que se mantienen fuertes en medio de la turbulen-
cia histórica, como Japón o Corea del Sur, también lo hacen basándose en
la homogeneidad social y la identidad cultural. Pero incluso en esos casos
está surgiendo una contradicción creciente entre los intereses de las gran-
des empresas multinacionales japonesas o coreanas, que ahora se están
haciendo realmente globales para sobrevivir a la competencia feroz, y el
dominio territorial y los intereses políticos de los estados japonés o coreano,
con lo que se socava lo que constituyó la base histórica del próspero es-
tado desarrollista105
.
Así pues, el comunalismo construye/mantiene a los estados en la so-
ciedad recientemente globalizada, pero, con el tiempo, los debilita de
forma decisiva tal y como estaban constituidos en la Edad Moderna y qui-
zás cuestione la propia idea de estado-nación al atraparlo en identidades
específicas m
.
CONCLUSIÓN: EL REY DEL UNIVERSO, SUN TZU Y LA CRISIS DE LA
DEMOCRACIA
Así que, ¿está desapareciendo el estado en tanto que práctica histó-
rica? Martin Carnoy responde a esta pregunta con una negativa rotun-
da 107
. Sostiene, y coincido con él, que la competitividad nacional sigue
siendo una función de las políticas nacionales y el atractivo de las econo-
mías para las multinacionales extranjeras es una función de las condicio-
nes económicas locales, que las multinacionales dependen mucho de sus
estados de origen para obtener protección directa o indirecta, y que las
políticas nacionales sobre recursos humanos-capital son esenciales para la
productividad de las unidades económicas localizadas en un territorio na-
cional. Apoyando este argumento, Hirst y Thompson exponen que, si
además de la relación entre las empresas multinacionales y el estado, in-
cluimos la amplia gama de políticas mediante las cuales los estados-na-
ción pueden utilizar sus poderes reguladores para facilitar o bloquear los
movimientos de capital, trabajo, información y bienes, resulta evidente
m
Bull, 1977, pág. 254, citado por Held, 1991.
105
Johnson, 1982; Castells, 1992a.
106
Guehenno, 1993.
107
Carnoy, 1993, pág. 88.
xw II poder de l.i iclciiliihid
que, en este punto de la historia, el desvanecimiento del estado-nación es
una falacia108
.
Sin embargo, en la década de los noventa, los estados-nación han
sido transformados de sujetos soberanos en actores estratégicos, ocu-
pándose de sus intereses y de los que se supone que representan, en un
sistema global de interacción, en una situación de soberanía compartida
sistémicamente. Ostentan una considerable influencia, pero apenas tie-
nen poder por sí mismos, aislados de las macrofuerzas supranacionales
y los microprocesos subnacionales. Es más, cuando actúan estratégica-
mente en el ámbito internacional, están sometidos a una tremenda ten-
sión interna. Por una parte, para fomentar la productividad y competiti-
vidad de sus economías, deben aliarse estrechamente con los intereses
económicos globales y guiarse por las reglas globales favorables a los
flujos de capital, mientras piden a sus sociedades que esperen paciente-
mente el goteo de los beneficios creados por la iniciativa empresarial.
Asimismo, para ser buenos ciudadanos de un orden mundial multilate-
ral, los estados-nación han de cooperar entre sí, aceptar la ley del más
fuerte en la geopolítica y contribuir debidamente al sometimiento de las
naciones renegadas y los agentes de un desorden potencial, prescin-
diendo de los sentimientos reales de sus ciudadanos, por lo general, es-
trechos de miras. Pero, por otra parte, los estados-nación sobreviven
más allá de la inercia histórica debido al comunalismo defensivo de las
naciones y los pueblos de su territorio, aferrándose a su último refugio
para no ser arrastrados por el torbellino de los flujos globales. Así pues,
cuanto más resaltan los estados la identidad, menos efectivos resultan
como coagentes de un sistema global de poder compartido. Cuanto más
triunfan en la escena planetaria, en estrecha asociación con los agentes
de la globalización, menos representan a sus grupos nacionales. En casi
todo el mundo, la política del fin de milenio está dominada por esta
contradicción fundamental.
De este modo, muy bien pudiera ser que los estados-nación estén al-
canzando la posición del rey del universo de Saint-Exupéry, con el poder
de ordenar al sol que salga cada día. Desde el este. Pero, al mismo
tiempo, mientras pierden soberanía, surgen como importantes actores in-
termediarios, en un mundo puramente estratégico como del que infor-
maba el tratado de guerra de Sun Tzu, hace 2.500 años:
Es deber de un general ser reservado y, así, asegurar el secreto; recto y justo y, así,
mantener el orden. Debe ser capaz de confundir a sus oficiales y hombres me-
diante falsos informes y apariencias, y, así, mantenerlos en la ignorancia total. Al-
terando sus disposiciones y cambiando sus planes, mantiene al enemigo sin un co-
nocimiento definido. Cambiando su campamento y tomando rutas sinuosas evita
Hirst y Thompson, 1996.
¿El estado ¡mpoUMiir'.' uj)¿ '
que el enemigo prevea su propósito. En el momento crítico, el caudillo de un ejér-
cito actúa como aquel que ha trepado hasta la cima y luego arroja la escalera iras
de sí109
.
Así es como los estados impotentes pueden aún salir victoriosos y, de
este modo, aumentar su influencia. A condición de que se desprendan
de la escalera de sus naciones, con lo cual inducen la crisis de la demo-
cracia.
109
Sun Tzu (c. 505-496 a.C), 1988, págs. 131-133.
6
LA POLÍTICA INFORMACIONAL Y LA CRISIS DE LA
DEMOCRACIA
INTRODUCCIÓN: LA POLÍTICA DE LA SOCIEDAD
El poder solía estar en manos de los príncipes, las oligarquías y las élites dirigentes;
se definía como la capacidad de imponer la voluntad propia sobre los otros para
modificar su conducta. Esta imagen ya no se adecúa a nuestra realidad. El poder
está en todas partes y en ninguna: en la producción en serie, en los flujos financie-
ros, en los modos de vida, en el hospital, en la escuela, en la televisión, en las imáge-
nes, en los mensajes, en las tecnologías [...] Puesto que el mundo de los objetos se
escapa de nuestra voluntad, nuestra identidad ya no se define por lo que hacemos
sino por lo que somos y, de este modo, se hace a nuestras sociedades algo más pró-
ximas a la experiencia de las llamadas sociedades tradicionales, buscando el equili-
brio más que el progreso. Ésta es la pregunta central a la que deben responder la
acción y el pensamiento políticos: cómo restablecer un vínculo entre el espacio ex-
cesivamente abierto de la economía y el mundo excesivamente cerrado y fragmen-
tado de las culturas [...] Lo fundamental no es tomar el poder, sino recrear la socie-
dad, inventar de nuevo la política, evitar el conflicto ciego entre los mercados
abiertos y las comunidades cerradas, superar el colapso de las sociedades en las que
aumenta la distancia entre los incluidos y los excluidos, los de dentro y los de fuera.
Alain Touraine, «Lettre a Lionel», págs. 36-38, 42.
El desdibujamiento de las fronteras del estado-nación confunde la de-
finición de ciudadanía. La ausencia de una sede clara de poder diluye el
control social y difunde los desafíos políticos. El ascenso del comunalismo
M2 Kl p o d a ele : uli-nliilml
en sus diferentes formas debilita el principio de participación política en
el que se basa la política democrática. La creciente incapacidad del estado
para controlar los flujos de capital y garantizar la seguridad social dismi-
nuye su importancia para el ciudadano medio. El hincapié en las institu-
ciones locales de gobierno aumenta la distancia entre los mecanismos de
control político y la gestión de los problemas globales. El vaciamiento del
contrato social entre el capital, los sindicatos y el estado manda a todo el
mundo a casa para luchar por sus intereses individuales, contando exclusi-
vamente con sus fuerzas propias. Como escribe Guehenno:
La democracia liberal se basaba en dos postulados, puestos en entredicho en la ac-
tualidad: la existencia de una esfera política, sede del consenso social y el interés
general, y la existencia de actores provistos de su propia energía que ejercían sus
derechos y manifestaban sus poderes incluso antes de que la sociedad los constitu-
yera como sujetos autónomos. Hoy, en lugar de sujetos autónomos, sólo hay situa-
ciones efímeras, que sirven de soporte a alianzas provisionales apoyadas por las ca-
pacidades movilizadas para cada ocasión. En lugar de un espacio político, sede de
la solidaridad colectiva, sólo hay percepciones dominantes, tan efímeras como los
intereses que las manipulan. Hay una atomización y homogeneización simultáneas.
Una sociedad que se fragmenta interminablemente, sin memoria ni solidaridad,
una sociedad que recobra su unidad sólo en la sucesión de imágenes a las que los
medios vuelven cada semana. Es una sociedad sin ciudadanos y, en definitiva, una
no sociedad. Esta crisis no es —como les gustaría a los europeos con la esperanza
de escapar de ella— la crisis de un modelo particular, el modelo estadounidense.
Sin duda, los Estados Unidos llevan a su extremo la lógica de confrontación de in-
tereses que disuelve la idea de un interés común; y la gestión de las percepciones
colectivas alcanza en los Estados Unidos un grado de complejidad sin paralelo en
Europa. No obstante, los casos límite nos ayudan a comprender las situaciones me-
dias, y la crisis estadounidense revela nuestro futuro1
.
La transformación de la política y de los procesos democráticos en
la sociedad red es aún más profunda que la presentada en estos análisis.
Porque, a los procesos citados arriba, he de añadir, como principales
factores inductores de esta transformación, las consecuencias directas de
las nuevas tecnologías de la información sobre el debate político y las
estrategias de búsqueda del poder. Esta dimensión tecnológica interac-
túa con las tendencias más amplias características de la sociedad red y
con las reacciones comunales a los procesos dominantes que surgen de
esta estructura social. Pero añade un toque poderoso a esta transforma-
ción, induciendo la que denomino política informacional. Así pues, aun-
que Bobbio está en lo cierto al apuntar las diferencias persistentes entre
la derecha y la izquierda política en todo el mundo (debido básicamente
a su preocupación muy divergente por la igualdad social)2
, la derecha,
1
Guehenno, 1993, pág. 46. La traducción es mía.
2
Bobbio, 1994.
1.a política nilniMiiicHnuil y I" crisis de la democracia 343
la izquierda y el centro deben procesar sus proyectos y estrategias a tra-
vés de un medio tecnológico similar si quieren llegar a la sociedad y de
este modo asegurarse el apoyo de suficientes ciudadanos para lograr el
acceso al estado. Sostengo que este medio tecnológico induce nuevas
reglas de juego que, en el contexto de las transformaciones sociales, cul-
turales y políticas presentadas en este libro, afectan de forma impor-
tante a la sustancia de la política. El punto clave es que los medios elec-
trónicos (incluidas no sólo la televisión y la radio, sino todas las formas
de comunicación, como los periódicos e Internet) se han convertido en
el espacio privilegiado de la política. No es que toda la política pueda
reducirse a imágenes, sonidos o manipulación simbólica, pero, sin ellos,
no hay posibilidad de obtener o ejercer el poder. Así pues, todos aca-
ban jugando al mismo juego, aunque no del mismo modo ni con el
mismo propósito.
En aras de la claridad, he de prevenir al lector, desde el comienzo de
este análisis, contra dos versiones simplistas y erróneas de la tesis según
la cual los medios electrónicos dominan la política. Por una parte, a veces
se sostiene que los medios imponen sus elecciones políticas a la opinión
pública. No es así porque, como expondré más adelante, los medios son
extremadamente diversos. Sus vínculos con la política y la ideología son
muy complejos e indirectos, si bien con obvias excepciones, cuya frecuen-
cia depende de los países, periodos y medios específicos. De hecho, en
muchos casos, las campañas de los medios pueden apoyar al público con-
tra la clase política, como sucedió en los Estados Unidos durante la crisis
del Watergate o en la década de 1990 en Italia, cuando la mayor parte de
los medios apoyaron la campaña judicial anticorrupción tanto contra los
partidos políticos tradicionales como contra Berlusconi, pese a que éste
poseía los tres canales privados de televisión. Por otra parte, la opinión
pública se considera a menudo un recipiente pasivo de mensajes, fácil-
mente abierto a la manipulación. Una vez más, los datos empíricos lo
contradicen. Como sostuve en el volumen I, capítulo 5, hay un proceso
de interacción de doble sentido entre los medios y su audiencia en
cuanto al impacto real de los mensajes, que son deformados, apropiados
y ocasionalmente subvertidos por la audiencia. En el contexto estadouni-
dense, el análisis de Page y Saphiro de las actitudes ciudadanas hacia los
temas políticos, en una perspectiva de largo plazo, muestra la indepen-
dencia y el sentido común de la opinión pública colectiva en la mayoría
de las circunstancias3
. En general, los medios están arraigados en la so-
ciedad y su interacción con el proceso político es muy indeterminada, de-
pendiendo del contexto, las estrategias de los actores políticos y la inte-
racción específica entre un conjunto de rasgos sociales, culturales y
políticos.
3
Page y Shapiro, 1992.
MA 11 poder de I» idonlnl.nl
Al señalar el papel crucial de los medios electrónicos en la política
contemporánea, afirmo algo diferente. Afirmo que, debido a los electos
convergentes de la crisis de los sistemas políticos tradicionales y del es-
pectacular aumento de la penetración de los nuevos medios, la comunica-
ción y la información políticas han quedado capturadas en el espacio de
los medios. Fuera de su esfera sólo hay marginalidad política. Lo que
pasa en este espacio político dominado por los medios no está determi-
nado por ellos: es un proceso social y político abierto. Pero la lógica y la
organización de los medios electrónicos encuadra y estructura la política.
Sostendré, basándome en algunos datos y con la ayuda de diversos ejem-
plos transculturales, que este encuadre de la política por su captura en el
espacio de los medios (una tendencia característica de la era de la infor-
mación) repercute no sólo en las elecciones, sino en la organización polí-
tica, en la toma de decisiones y en el gobierno, modificando en definitiva
la naturaleza de la relación existente entre el estado y la sociedad. Y
como los sistemas políticos se siguen basando en formas organizativas y
estrategias políticas de la era industrial, se han quedado obsoletos en
cuanto a política y ven negada su autonomía por los flujos de información
de los que dependen. Ésta es una fuente fundamental de la crisis de la de-
mocracia en la era de la información.
Para explorar sus contornos, utilizaré datos y ejemplos de varios paí-
ses. Estados Unidos es la democracia que alcanzó primero este estadio
tecnológico, en un sistema político muy abierto y desestructurado, por lo
que manifiesta muy bien la tendencia más amplia. Sin embargo, rechazo,
por supuesto, la idea de que el «modelo estadounidense» tenga que ser
seguido por los demás países del mundo. Nada tiene un arraigo más es-
pecífico en la historia que las instituciones políticas y los actores políti-
cos. No obstante, del mismo modo que los hábitos y procedimientos de-
mocráticos originados en Inglaterra, Estados Unidos y Francia se
difundieron por todo el mundo en los dos últimos siglos, sostendría que
la política informacional, según se practica en los Estados Unidos (por
ejemplo, el dominio de la televisión, la mercadotecnia política informati-
zada, el sondeo inmediato como instrumento de navegación política, la
difamación como estrategia política, y así sucesivamente) es un buen in-
dicador de los tiempos que vendrán, con todas las traducciones cultura-
les/institucionales debidas. Para ampliar el ámbito del análisis, también
expondré ejemplos de los recientes procesos políticos en el Reino Unido,
Rusia, España, Italia y Japón, y en un esfuerzo por abarcar las nuevas
democracias de los países en vías de desarrollo, me centraré en el caso de
Bolivia. Basándome en estas observaciones, trataré de enlazar los proce-
sos de transformación social, institucional y tecnológica que se encuen-
tran en las raíces de la crisis de la democracia en la sociedad red. Para
concluir, exploraré el potencial de las nuevas formas de «democracia in-
formacional».
LÍI polllu .1 iiilDiiiiiu'iiiiial y l¡i crisis de la democracia M.S
LOS MEDIOS DE COMUNICACIÓN COMO ESPACIO DE LA POLÍTICA EN LA
ERA DE LA INFORMACIÓN
La política y los medios: la conexión ciudadana
Voy a exponer mi argumento antes de elaborarlo empíricamente. En
el contexto de la política democrática, el acceso a las instituciones del es-
tado depende de la capacidad para movilizar una mayoría de votos de los
ciudadanos. En las sociedades contemporáneas, la gente recibe la infor-
mación y forma su opinión política esencialmente a través de los medios,
sobre todo de la televisión (cuadros 6.1 y 6.2). Es más, al menos en los Es-
tados Unidos, la televisión es la fuente de noticias más creíble y su credi-
bilidad ha aumentado con el paso del tiempo (figura 6.1). Así pues, para
actuar en las mentes y voluntades de la gente, las opciones políticas en
conflicto, encarnadas en partidos y candidatos, utilizan los medios como
vehículo fundamental de comunicación, influencia y persuasión. Al ha-
CUADRO 6.1 Fuentes de noticias en los Estados Unidos, 1959-1992 (%)
Fecha Televisión Periódicos Radio Revistas Gente
Diciembre 1959 51 57 34 8 4
Noviembre 1961 52 57 34 9 5
Noviembre 1963 55 53 29 6 4
Noviembre 1964 58 56 26 8 5
Enero 1967 64 55 28 7 4
Noviembre 1968 59 49 25 7 5
Enero 1971 60 48 23 5 4
Noviembre 1972 64 50 21 6 4
Noviembre 1974 65 47 21 4 4
Noviembre 1976 64 49 19 7 5
Diciembre 1978 67 49 20 5 5
Noviembre 1980 64 44 18 5 4
Diciembre 1982 65 44 18 6 4
Diciembre 1984 64 40 14 4 4
Diciembre 1986 66 36 14 4 4
Noviembre 1988 65 42 14 4 5
Diciembre 1990 69 43 15 3 7
Febrero 1991 81 35 14 4 6
Noviembre 1992 69 43 16 4 6
Nota: La pregunta era: «¿Dónde suele obtener la mayoría de las noticias acerca de lo
que sucede hoy en el mundo: en los periódicos, la radio, la televisión, las revistas,
hablando con la gente o dónde?» (se permitían múltiples respuestas).
Fuente: Encuestas de Roper Organization para el Servicio Informativo de Televisión
(varios años).
346 El poder de la identidad
CUADRO 6.2 Fuentes de información política de los residentes de
Cochabamba, Bolivia, 1996
Fuente de % que declara la % que expresa
información principal fuente preferencia por
de información una fuente
Periódicos 32,0 8,7
Radio 43,3 15,7
Televisión 51,7 46,0
Otros 4,7 —
Fuente: Encuesta sobre las fuentes de información de los residentes de Cocha-
bamba, Centro de Estudios de la Realidad Económica y Social, Cochabamba, 1996.
cerlo, en la medida en que los medios son relativamente autónomos del
poder político, los actores políticos tienen que guiarse por las reglas, la
tecnología y los intereses de éstos. Los medios encuadran la política. Y
puesto que el propio gobierno depende de la reelección o elección para
un cargo se vuelve dependiente de la valoración diaria del impacto polí-
tico de sus decisiones sobre la opinión pública, medido por las encuestas
de opinión, los grupos seleccionados y los análisis de imagen. Además, en
un mundo cada vez más saturado de información, los mensajes más efec-
tivos son los más simples y los más ambivalentes, que dejan lugar para las
propias proyecciones de la gente. Las imágenes son las que mejor se ade-
cúan a esta caracterización. Los medios audiovisuales son los principales
alimentadores de las mentes de la gente en lo que respecta a los asuntos
públicos.
Pero ¿quiénes son los medios? ¿Cuál es la fuente de su autonomía
política? ¿Y cómo encuadran la política? En las sociedades democráticas,
los medios mayoritarios son, esencialmente, grupos empresariales cada
vez más concentrados e interconectados a escala global, aunque, al
mismo tiempo, están muy diversificados y se orientan hacia mercados
segmentados (véase el capítulo 5 y el volumen I, capítulo 5). En la última
década, la televisión y la radio de propiedad estatal han aproximado su
conducta a la de los grupos de medios de comunicación privados para so-
brevivir a la competencia global y, de este modo, dependen igualmente
de los índices de audiencia4
. Éstos resultan esenciales porque la principal
fuente de ingresos de las empresas de medios de comunicación es la
publicidad5
. Para obtener unos buenos resultados de audiencia, se re-
quiere un medio atractivo y, en el caso de las noticias, credibilidad. Sin
credibilidad, las noticias carecen de valor, ya sea en términos de dinero o
4
Pérez-Tabernero et al., 1993.
' MacDonald, 1990.
La política informacional y la crisis de la democracia .147
% 60
40
20
Televisión (O)
Periódicos (A)
Radio (O)
Revistas (D)
1950 1960 1970 1980 1990 2000 |
FIGURA 6.1 Credibilidad de las fuentes de noticias en los Estados Unidos, 1959-1991.
Fuente: Roper Organization, America's Watching: Public Attitudes toward Televisión,
Nueva York, 1991.
de poder. La credibilidad requiere una distancia relativa frente a las op-
ciones políticas, dentro de los parámetros de los valores morales y políti-
cos mayoritarios. Es más, sólo desde una posición de independencia creí-
ble puede esta independencia apostarse de forma ocasional a un apoyo
político franco y oportunista o a un trato financiero oculto a cambio de
respaldo, mediante la difusión o supresión de información. Esta autono-
mía de los medios, arraigada en sus intereses comerciales, también encaja
bien con la ideología de la profesión y con la legitimidad y la dignidad de
los periodistas. Ellos informan, no toman partido. La información es fun-
damental, los análisis de las noticias deben estar documentados, la opi-
nión debe estar regulada y el distanciamiento es la regla. Este doble lazo
de independencia, de las empresas y de los profesionales, se ve reforzado
por el hecho de que el mundo de los medios de comunicación está some-
tido a una competencia constante, aun cuando sea cada vez más una
competencia oligopólica. Si una cadena de televisión o un periódico
pierde credibilidad, la competencia le quitará su cuota de audiencia
UH I I |Ki(lci (Ir L'l liknllilnil
(mercado). Así pues, por una parte, los medios deben estar próximos a la
política y al gobierno, lo bastante próximos como para acceder a la in-
formación, para beneficiarse de la regulación y, en muchos países, para
recibir subsidios considerables. Por otra parte, deben ser lo suficiente-
mente neutrales y distantes como para mantener su credibilidad, siendo
de este modo los intermediarios entre ciudadanos y partidos en la pro-
ducción y consumo de flujos de información e imágenes, que son la base
de la formación de la opinión pública, el voto y la toma de decisiones po-
líticas.
Una vez que la política es apresada en el espacio de los medios, los
propios actores políticos cierran el campo de la política de los medios or-
ganizando la acción política fundamentalmente en torno a los medios: por
ejemplo, filtrando información para favorecer un proyecto personal o po-
lítico determinado. De forma inevitable, esto conduce a contrafiltracio-
nes, con lo cual los medios se convierten en el campo de batalla en el que
las fuerzas y personalidades políticas, así como los grupos de presión, tra-
tan de debilitarse mutuamente, para recoger los beneficios en las encues-
tas de opinión, en las urnas, en los votos parlamentarios y en las decisio-
nes del gobierno.
Naturalmente, la política de los medios no excluye otras formas de ac-
tividad política. Las campañas populares han demostrado su vitalidad en
los años recientes, como muestran la Coalición Cristiana en los Estados
Unidos, el Partido Verde en Alemania o el Partido Comunista en Rusia.
Los mítines masivos y las manifestaciones callejeras siguen siendo rituales
esenciales en las campañas políticas españolas, francesas, italianas o brasi-
leñas. Y los candidatos aún deben viajar, aparecer, estrechar manos, ir a
mítines, besar a los niños (pero con cuidado), dirigirse a los estudiantes, a
los policías y a todo grupo étnico posible (pero no en Francia). No obs-
tante, con la excepción de las actividades para recoger fondos, el objetivo
principal de estas formas de política individualizada es presentar a la per-
sona, o el mensaje, en los medios, ya sea en las noticias de televisión de la
franja de mayor audiencia, una tertulia radiofónica o un artículo de pri-
mera plana en un periódico influyente. En las campañas políticas españo-
las (y supongo que también en las de otros países), a los principales candi-
datos que hablan en un mitin público se les advierte con una luz roja en el
micrófono cuando hay cobertura en directo de la televisión (durante uno
o dos minutos) y entonces pasan de forma automática a un texto prepro-
gramado sobre un tema de su elección, sin tener en cuenta lo que estuvie-
ran diciendo al público que tienen delante. En las elecciones estadouni-
denses, los mítines en las ciudades, las reuniones en las escuelas infantiles,
las paradas a lo largo de la ruta del autobús, tren o avión del candidato se
determinan de acuerdo con los tiempos y lugares de cobertura potencial
de los medios. Salen a escena aclamadores y abucheadores para crear es-
pectáculo.
I ;i ptiKlica Mil01 muí IUIIIII v I" crisis d f I;i IICIMOLTÍICÍÍI 3<W
Sin embargo, vuelvo a repetir, decir que los medios de comunicación
son el espacio de la política no significa que la televisión dicte lo que la
gente decide o que la capacidad de gastar dinero en la publicidad televi-
siva o de manipular las imágenes, por sí misma, sea un factor decisivo.
Todos los países, y sobre todo los Estados Unidos, están llenos de ejem-
plos en los que el aluvión de propaganda televisiva no fue suficiente para
elegir a un candidato o una mediocre actuación en los medios no evitó
que un candidato ganara (aunque también abundan los ejemplos de la
notable repercusión de la presencia en la televisión para lanzar y soste-
ner a un político; por ejemplo, Ronald Reagan o Ross Perot en los Esta-
dos Unidos, Felipe González en España, Berlusconi en Italia, Zhiri-
novski en Rusia en 1993, Aoshima en Tokio en 1995). En el Brasil de la
década de los noventa, CoUor de Mello fue elegido presidente desde la
nada debido a su magistral actuación televisiva, pero el pueblo tomó las
calles para obligarlo a dimitir cuando resultó evidente que era un sinver-
güenza que saqueaba al estado. Tres años después, Fernando Henrique
Cardoso, que no carece de habilidad en televisión, pero al que obvia-
mente disgustan los artificios televisivos, fue elegido presidente por una
mayoría abrumadora porque, como ministro de Hacienda, había sido ca-
paz de controlar la hiperinflación por primera vez en décadas, aunque el
apoyo de O Globo Televisáo a su candidatura ayudó sin duda. Ni la tele-
visión ni otros medios determinan los resultados políticos por sí mismos,
debido precisamente a que la política de los medios es un ámbito contra-
dictorio, donde actúan diversos actores y estrategias, con diferentes habi-
lidades y resultados varios, a veces con consecuencias inesperadas. La
mediocracia no contradice la democracia porque es tan plural y competi-
tiva como el sistema político. Es decir, no mucho. No obstante, si consi-
deramos el sistema previo de una democracia dominada por los partidos,
donde las organizaciones de éstos, en buena parte aisladas de la mayoría
de los ciudadanos, decidían por completo los programas y los candidatos
políticos, es discutible cuál sistema proporciona una participación más
amplia de los ciudadanos, al menos una vez que hemos pasado los tiem-
pos mitológicos de las reuniones comunales como mecanismos de deci-
sión.
No obstante, el tema crucial es que, sin una presencia activa en los me-
dios, las propuestas o candidatos políticos no tienen posibilidad de reunir
un apoyo amplio. La política de los medios no es toda la política, pero
toda la política deber pasar a través de los medios para influir en la toma
de decisiones. Al hacerlo, queda fundamentalmente encuadrada en su con-
tenido, organización, proceso y liderazgo por la lógica inherente del siste-
ma de medios, sobre todo por los nuevos medios electrónicos. En cuanto al
modo exacto como ocurre, será de ayuda examinar la evolución real de la
política de los medios, comenzando con la experiencia estadounidense de
las tres últimas décadas.
IMI I I pocll'1 de' lll lllcillulllll
La política espectáculo y el marketing político: el modelo estadounidense
La transformación de la política estadounidense en las tres últimas dé-
cadas del siglo xx ha sido el resultado de tres procesos interconectados: a)
el declive de los partidos políticos y de su papel para seleccionar candida-
tos; b) el surgimiento de un sistema de medios de comunicación complejo,
centrado en la televisión pero con una diversidad creciente de medios fle-
xibles, interconectados electrónicamente; y c) el desarrollo del marketing
político, con encuestas de opinión constantes, sistemas de retroalimenta-
ción entre la votación y la política, comentarios en los medios de comuni-
cación, propaganda selectiva por correo informatizado y bancos de teléfo-
nos, y los ajustes en tiempo real, de los candidatos y los temas, al formato
que puede ganar6
.
Aunque la transformación del sistema político estadounidense tiene
profundas raíces en tendencias sociales y culturales, la manifestación más
directa de estas transformaciones fueron las reformas electorales del Co-
mité McGovern-Frazer en respuesta a la Convención Nacional Demó-
crata de 1968, donde el aparato del partido eligió a Humphrey como can-
didato presidencial y no a Eugene McCarthy, más popular. Con el nuevo
sistema, los delegados a la convención se eligieron, en su vasta mayoría,
mediante primarias directas entre los contendientes presidenciales7
. Así,
mientras que en la década de los cincuenta el 40% de los delegados fue-
ron elegidos por este método, en la de 1990 la proporción alcanzó el 80%8
.
Además, una serie de reformas en la financiación de las campañas han
obligado a los candidatos a contar más con su destreza para recabar fon-
dos y los contactos directos con la sociedad, y mucho menos con el res-
paldo del partido. Los grupos de interés y los ciudadanos en general han
empujado a las organizaciones de los partidos a los bastidores de la polí-
tica estadounidense9
. Ambas tendencias han reforzado de forma extra-
ordinaria el papel de los medios de comunicación: se han convertido en
los intermediarios privilegiados entre los candidatos y el público, influ-
yendo decisivamente en las primarias presidenciales, así como en las elec-
ciones para el congreso y los gobernadores. Y como la publicidad en los
medios y las campañas orientadas a éstos son muy caras, los candidatos
han de acudir al apoyo de donantes privados y comités de acción política
externos al sistema de partidos10
.
El papel político de los medios de comunicación ha evolucionado
considerablemente en las tres últimas décadas, tanto en cuanto a tecnolo-
6
Abramson et al, 1988; Patterson, 1993; Roberts y McCombs, 1994; Balz y Brownstein,
1996.
7
Patterson, 1993, pág. 30-33.
8
Ansolabehere et al, 1993, pág. 75.
9
Magleby y Nelson, 1990.
10
Garber, 1984,1996; Gunlicks, 1993.
l.ii |HIIIIRII iiilonniii ÍMIWII v ln crisis de l.i (Icinomicin i-i I
gía como en cuanto a organización. Los expertos consideran que el mo-
mento decisivo en la relación entre los medios, las encuestas y la política
fue la campaña de John Kennedy en 1960n
. Kennedy no sólo basó por
primera vez su campaña en las encuestas y la estrategia televisiva, sino
que su victoria se debió en buena medida a su debate televisado con Ni-
xon (el primero del género), que dominó, mientras que la audiencia ra-
diofónica del mismo debate eligió a Nixon como ganador n
. A partir de
entonces, la televisión se convirtió en el mecanismo que establecía el
programa de la política estadounidense. Aunque periódicos influyentes
como The New York Times o The Washington Post son fuentes cruciales
de información de investigación y de tendencias de opinión, sólo los
acontecimientos que se presentan en la televisión alcanzan una audiencia
lo bastante grande como para establecer o invertir una tendencia en la
opinión pública. Así pues, la televisión, los periódicos y la radio operan
como un sistema, en el que los periódicos suelen informar de un hecho y
desarrollarlo, la televisión lo digiere y lo difunde a una audiencia amplia
y las tertulias radiofónicas proporcionan una oportunidad para la interac-
ción de los ciudadanos y para el debate partidista personalizado sobre los
temas suscitados por la televisión13
. Este papel político cada vez más im-
portante de la televisión ha inducido dos importantes rasgos. Por una
parte, el gasto político en la televisión se ha disparado: a comienzos de la
década de los sesenta, se gastaba en publicidad televisiva en torno al 9%
del presupuesto de las campañas políticas nacionales, mientras que en la
de 1990 la proporción se acercaba al 25% de unos presupuestos mucho
mayores; en 1990 unos 203 millones de dólares fueron a tiempo de emi-
sión de publicidad política w
; y en 1994, se gastaron 350 millones de dóla-
res en anuncios políticos televisivos 15
. La cifra de las elecciones de 1996
puede haber superado los 800 millones. Por otra parte, la labor de los
asesores de los candidatos se ha convertido en un factor esencial en las
campañas políticas, así como para obtener apoyo u oposición para las de-
cisiones del gobierno. Lo que realmente importa no es tanto el hecho del
que se informa, sino el debate que se crea a su alrededor, cómo se de-
bate, quién lo debate y durante cuánto tiempo se debate. La victoria, no
la explicación o la aclaración, se vuelve el tema fundamental. Por ejem-
plo, en 1993-1994, tras meses de enconado debate sobre la propuesta de
reforma del plan de sanidad de Clinton, que ocupó de forma extensa la
atención de los medios, las encuestas indicaron que la gran mayoría de
los estadounidenses estaban confusos e inseguros acerca del contenido
11
Jacobs y Shapiro, 1995.
12
Ansolabehere et al., 1993, pág. 73.
13
Friedland, 1996.
14
Ansolabehere et ai, 1993, pág. 89.
15
Freeman, 1994.
352 fil poder de la identidad
de la propuesta y del fondo de las críticas contra el plan. No importa. Lo
que el bombardeo de la controversia en los medios, alimentada por las
compañías de seguros, las asociaciones médicas y la industria farmacéu-
tica, logró hacer fue acabar con la propuesta incluso antes de que llegara
al Congreso para ser votada, y menos aún fuera discutida por la ciudada-
nía 16
. Los medios de comunicación se han convertido en el principal es-
cenario político.
La tecnología ha transformado el papel político de los medios, no
sólo por sus efectos en los mismos, sino al vincular el sistema de medios
en tiempo real con el marketing político17
. Desde finales de la década de
los sesenta, la introducción de los ordenadores en la tabulación de las en-
cuestas condujo al «sondeo estratégico», que probaba diferentes estrate-
gias políticas en grupos seleccionados de votantes potenciales para modi-
ficar la estrategia, la forma e incluso el contenido del mensaje a medida
que se desarrollaba la campaña18
. En las dos décadas siguientes, los espe-
cialistas en encuestas como Patrick Caddell, Peter Hart y Robert Teeter
influyeron de forma decisiva en la estrategia de las campañas y se convir-
tieron en intermediarios clave entre los candidatos, los ciudadanos y los
medios de comunicación. Junto con los asesores de imagen y los publicis-
tas políticos, crearon campañas, programas, temas y personas, retroali-
mentando las tendencias de opinión en los informes de los medios de co-
municación y viceversa 19
. A medida que la tecnología aceleraba los
informes de los medios y aumentaba la velocidad y flexibilidad de los sis-
temas de información, los efectos de la retroalimentación y de los co-
mentarios se convirtieron en actividades diarias, de tal modo que en la
mayoría de los despachos de los altos cargos políticos, comenzando por
la Casa Blanca, los estrategas de la comunicación se reúnen cada día a
primeras horas de la mañana para seguir el pulso de la nación, dispuestos
a intervenir en tiempo real, incluso cambiando mensajes y programas de
actividades de la mañana a la tarde según la información de las fuentes
principales (CNN, cadenas de televisión, principales periódicos de la ma-
ñana)20
. El hecho de que los propios medios sean capaces de dar una no-
ticia en cualquier momento mediante la información ininterrumpida sig-
nifica que los guerreros de la comunicación deben estar constantemente
alerta, codificando y traduciendo toda decisión política al lenguaje de la
política de los medios y midiendo los efectos con encuestas y grupos se-
leccionados. Los expertos en encuestas y los asesores de imagen se han
convertido en actores políticos decisivos, capaces de hacer y deshacer
16
Fallows, 1996.
17
D. West, 1993.
18
Moore, 1992, págs. 128 y 129.
19
Mayer, 1994.
20
Fallows, 1996.
La política inloi IIIIH 101111I y lii crisis de la democracia 353
presidentes, senadores, congresistas y gobernadores, mezclando tecnolo-
gía de la información, mediología, astucia política y magia arrogante. Y
cuando se equivocan, por ejemplo, en sus encuestas, siguen siendo influ-
yentes porque sus errores cambian las tendencias políticas, como en el
caso de las primarias republicanas de New Hampshire en 1996, en la que
los errores de las encuestas empeoraron los resultados de Forbes al me-
dir sus votos contra las equivocadas predicciones alcistas de los sondeos
de los días previos21
.
A medida que los medios diversificaron y descentralizaron su alcance
en la década de los noventa, su dominio de las actitudes y conductas polí-
ticas se hizo más amplio22
. La televisión local por cable y las tertulias ra-
diofónicas personalizaron las audiencias y permitieron que los políticos
orientaran mejor su mensaje, mientras que los grupos de interés y los sec-
tores ideológicos del electorado tuvieron mayor capacidad para presentar
sus argumentos sin el filtro cauto de los medios mayoritarios. Los apara-
tos de vídeo se convirtieron en herramientas esenciales para distribuir los
mensajes grabados en este medio en los mítines de las ciudades y en los
hogares particulares mediante el correo selectivo. La cobertura de veinti-
cuatro horas de C-Span y CNN permitió la distribución inmediata de no-
ticias e informaciones políticas preparadas. Por ejemplo, el dirigente re-
publicano Newt Gingrich pudo televisar (por C-Span) un apasionado
discurso antiliberal en el hemiciclo del Congreso sin miedo de suscitar re-
acciones hostiles ya que, más allá del alcance de las cámaras, la sala es-
taba vacía. La restricción de la emisión de mensajes a ciertas zonas o gru-
pos sociales, a través de las emisoras locales, está fragmentando la política
nacional y socavando la influencia de las cadenas de televisión, pero a la
vez abarca una proporción aún mayor de expresiones políticas en el uni-
verso de los medios electrónicos. Además, Internet se ha convertido, a
mediados de los años noventa, en el vehículo para la propaganda de cam-
paña, los foros de debate controlados y la conexión con los militantes23
.
Con frecuencia, los programas o anuncios de televisión hacen referencia a
una dirección de Internet donde puede encontrarse información o am-
pliación de los argumentos, mientras que la comunicación a través del or-
denador recoge los acontecimientos de los medios o de la publicidad polí-
tica televisada para establecer un anzuelo electrónico para los ciudadanos
interesados.
Al incorporar la política a su espacio electrónico, los medios encua-
dran de forma decisiva el proceso, los mensajes y los resultados, prescin-
diendo del objetivo real o de la efectividad de los mensajes específicos.
No es que el medio sea el mensaje, porque las opciones políticas difieren
21
Mundy, 1996.
22
Garber, 1996; Hacker, 1996.
23
Klinenberg y Perrin, 1996.
M4 F.l poder de ln identidad
y las diferencias importan, pero, al entrar en el espacio de los medios, los
proyectos políticos y los políticos se moldean en forma particular24
. ¿En
qué forma?
Para comprender cómo la lógica de los medios encuadra la política, de-
bemos hacer referencia a los principios generales que gobiernan las noticias
de los medios: la carrera de los índices de audiencia, en competencia con el
entretenimiento; el distanciamiento necesario de la política para inducir cre-
dibilidad. Todo ello se traduce en las asunciones tradicionales de la cober-
tura de noticias, tal como las identifica Gitlin: «A las noticias les interesa el
acontecimiento, no la condición subyacente; la persona, no el grupo; el
conflicto, no el consenso; el hecho que "adelanta la noticia", no el que la
explica»25
. Sólo las «malas noticias» relativas a un conflicto, drama, tratos
ilegales o conducta objetable son noticias interesantes. Puesto que las noti-
cias se construyen cada vez más para que se equiparen a los espectáculos
de entretenimiento o a los acontecimientos deportivos (y compitan con
ellos), su lógica también lo hace. Requiere drama, suspense, conflicto, ri-
validades, codicia, engaño, ganadores y perdedores y, si es posible, sexo y
violencia. Siguiendo el ritmo y el lenguaje de los deportes, se informa «de
la política como carrera de caballos», como de un juego interminable de
ambiciones, maniobras, estrategias, contraestrategias, con la ayuda de con-
fidencias privilegiadas y encuestas constantes de opinión de los mismos
medios. Éstos proporcionan una atención decreciente a lo que los políticos
tienen que decir: el tiempo medio de declaraciones políticas transmitidas
por noticia descendió de 42 segundos en 1968 a menos de 10 segundos en
199226
. La actitud distante de los medios se convierte en cinismo cuando li-
teralmente todo se interpreta como un puro juego estratégico. La informa-
ción de noticias proporciona la base para esos análisis, pero resultan
considerablemente reforzados por los espectáculos de expertos (como
Crossfire de CNN), que se construyen en torno a unos comentaristas voci-
ferantes, maleducados y opuestos en todo que, por supuesto, sonríen y se
estrechan las manos al final, subrayando de este modo que todo es un es-
pectáculo. Como sostiene James Fallows, las valoraciones rápidas, estri-
dentes y sumarias de la política efectuadas por expertos de la televisión,
cada vez más populares, repercuten de forma directa en la cobertura de
los acontecimientos en las noticias de la televisión y en los periódicos27
.
En otras palabras, las afirmaciones de los medios sobre la política se con-
vierten en acontecimientos políticos por sí mismos, con anuncios semana-
les de ganadores y perdedores en la carrera política. Como escribe Sandra
Moog:
24
Patterson, 1993; Balz y Brownstein, 1996; Fallows, 1996.
25
Gitlin, 1980, pág. 28.
26
Patterson, 1993, pág. 74.
27
Fallows, 1996.
La política inloinim lonnl y la crisis de la democracia }>55
Los relatos de las noticias tienden a convertirse en meras discusiones de las reac-
ciones públicas ante la cobertura de noticias recientes. Quiénes son los ganadores
y los perdedores, qué índices de popularidad han ascendido y cuáles han caído
como resultado de los acontecimientos políticos del último mes, la última semana
o el último día. Las frecuentes encuestas de opinión pública realizadas por las
agencias de noticias hacen posible este tipo de hiperreflexión, al proporcionar una
base, supuestamente objetiva, para las especulaciones de los periodistas acerca de
las repercusiones de las acciones políticas y las reacciones periodísticas a esas ac-
ciones, sobre la valoración pública de los diferentes políticos28
.
Un encuadre adicional y esencial de la información de las noticias po-
líticas es la personalización de los acontecimientos29
. Los políticos, no la
política, son los actores del drama. Y como pueden cambiar sus propues-
tas programáticas mientras surcan las aguas políticas, lo que queda en la
mente de la mayoría de la gente es la motivación personal y las imágenes
personales como fuente de la política. Así pues, las cuestiones de carácter
pasan al primer plano de la agenda política: el mensajero se convierte en
el mensaje.
El encuadre de las noticias políticas se extiende al encuadre de la pro-
pia política cuando los estrategas juegan con los medios para influir en los
votantes. Así pues, como sólo las malas noticias son noticia, la publicidad
política se concentra en los mensajes negativos, orientados a destruir las
propuestas del oponente, mientras el programa propio se presente en tér-
minos muy generales. En efecto, los experimentos de la ciencia política
muestran que es mucho más probable que se retengan los mensajes nega-
tivos y que influyan en la opinión política30
. Es más, como la política está
personalizada en un mundo de creación de imagen y culebrones, la difa-
mación se convierte en el arma más potente31
. Los proyectos políticos, las
propuestas del gobierno y las carreras políticas pueden socavarse e in-
cluso destruirse con la revelación de una conducta impropia (el Water-
gate de Nixon inauguró la nueva era); con la exposición de una vida pri-
vada alejada de las normas morales estrictas y el encubrimiento de la
información (Gary Hart); o con la acumulación de acusaciones, rumores
o insinuaciones, que los medios airean una tras otra tan pronto como el
impacto de una acusación comienza a desvanecerse (¿Bill y Hillary Clin-
ton?). En algunos casos, las acusaciones no probadas tienen consecuen-
cias personales dramáticas, como el suicidio del político implicado (por
ejemplo, el ministro de Hacienda socialista francés Pierre Beregovoy en
1993). Así pues, el seguimiento diario de los ataques personales y los con-
traataques, o la amenaza de hacerlo con acusaciones similares, se con-
28
Moog, 1996, pág. 20.
29
Ansolabehere etal, 1993; Fallows, 1996.
30
Ansolabehere e Iyengar, 1995.
31
Garramone et al, 1990; Fallows, 1996.
3.16 11 poild di' 1,1 ¡dciiliilml
vierte en una parte fundamental de la vida política. En electo, en la cam-
paña presidencial de 1992, los asesores de Clinton obligaron a los republi-
canos a minimizar su interés en la aventura extramarital de Clinton ame-
nazando con explayarse en la supuesta relación de Bush con una antigua
ayudante suya de la Casa Blanca: habían encontrado otra Jennifer32
. Los
estrategas de la comunicación y los portavoces son los centros de la polí-
tica informacional.
La creciente restricción de la exposición en los medios del contenido
de las propuestas políticas (excepto en los medios segmentados ajenos a
la audiencia de masas; por ejemplo, la televisión pública o los extensos in-
formes especiales de los periódicos) lleva a una simplificación extrema de
los mensajes políticos. Se escudriñan los complejos programas políticos
para seleccionar unos cuantos temas clave que se destacarán para una
amplia audiencia en términos dicotómicos: pro vida o pro planificación
familiar; derechos de los gays o ataque a los gays; seguridad social y défi-
cit presupuestario contra presupuesto equilibrado y desmantelamiento
del seguro médico. La política de referéndum imita los concursos de la te-
levisión, con la bocina electoral anunciando los ganadores y los perdedo-
res, y las campanas (encuestas) preelectorales anunciando advertencias.
Imágenes, mensajes codificados y política de carrera de caballos entre hé-
roes y villanos (cambian los papeles de forma periódica), en un mundo de
pasiones falsificadas, ambiciones ocultas y apuñalamientos por la espalda:
tal es la política estadounidense, encuadrada por los medios electrónicos
y, de este modo, transformada en virtualidad real política, que determina
el acceso al estado. ¿Podría ser este «modelo estadounidense» el prece-
dente de una tendencia política más amplia, característica de la era de la
información?
¿Se está «americanizando» la política europea?
No y sí. No, porque los sistemas políticos europeos se basan mucho
más en los partidos políticos, con una larga tradición bien establecida y
considerables raíces en su historia, cultura y sociedad específicas. No, por-
que las culturas nacionales tienen su importancia y lo que es admisible en
los Estados Unidos sería inadmisible en la mayor parte de Europa y en
realidad al supuesto agresor le acabaría saliendo el tiro por la culata: por
ejemplo, era un hecho conocido que Mitterrand mantuvo una duradera
relación extramarital, de la que tuvo una hija. Nunca se utilizó contra él,
pese a sus muchos enemigos, y si se hubiera hecho, a la mayoría de los
ciudadanos le habría parecido ignominioso inmiscuirse en la vida privada
del presidente (los medios de comunicación del Reino Unido ocupan una
32
Swan, 1992.
I .» polllicii intuí muí ioiinl v I" crisis de la ilcmocraciii 357
posición intermedia entre los Estados Unidos y la mayor parte de Europa
en cuanto al respeto a la vida privada de los dirigentes políticos). Asi-
mismo, hasta finales de la década de los ochenta, la mayor parte de la te-
levisión europea estaba controlada por el gobierno, por lo cual el acceso
político a ella estaba regulado y la publicidad pagada sigue estando prohi-
bida. Incluso con la liberalización y privatización de la televisión, las ca-
denas privadas (por ejemplo, ITV británica o Antena-3 española) siguen
una norma autorreguladora de equilibrio político para conservar su credi-
bilidad. Así pues, existen diferencias sustanciales tanto en los medios
como en sus relaciones con los sistemas políticos en los Estados Unidos y
Europa33
.
Por otra parte, aunque los candidatos y programas los seleccionan y
deciden los partidos, los medios de comunicación se han vuelto tan im-
portantes en Europa como en los Estados Unidos para decidir los resulta-
dos de las candidaturas políticas34
. Los medios (y sobre todo la televisión)
son la fuente fundamental de información y opinión política de la gente, y
los principales atributos de la política informacional, identificados en los
Estados Unidos, caracterizan también a la política europea: simplificación
de los mensajes, publicidad y sondeos profesionales como herramientas
políticas, personalización de las opciones, negativismo como arma polí-
tica, creación de imagen y comentarios en los medios como mecanismos
esenciales para conquistar el poder y mantenerlo. Revisemos brevemente
algunos datos comparativos.
En el Reino Unido*, la televisión era la principal fuente de noticias
políticas para el 58% de la gente en la década de los ochenta: aumentó
hasta el 80% en la década de los noventa35
, siendo los periódicos la prin-
cipal fuente para el 20% restante. Sin embargo, la publicidad televisiva
pagada es ilegal en Gran Bretaña y se otorga a los partidos emisiones gra-
tuitas tanto durante la campaña como fuera de ellas. No obstante, la des-
regulación, la privatización y la multiplicación de fuentes de información
televisada han alejado a la audiencia de la publicidad política formal y la
han dirigido hacia los reportajes políticos36
. Los comentarios sobre la pu-
blicidad de los partidos en los programas habituales se volvieron más in-
fluyentes que la propia publicidad. Por ejemplo, en 1992, el Partido Labo-
rista emitió un espacio sobre Jennifer, una joven que tenía que esperar un
año para que la operaran del oído debido a la crisis del sistema sanitario.
Cuando su identidad (mantenida en el anonimato) fue revelada, el tema
33
Siune y Truetzschler, 1992; Kaid y Holtz-Bacha, 1995.
34
Guehenno, 1993; Kaid y Holtz-Bacha, 1995.
35
Moog, 1996.
* Este texto se escribió antes de las elecciones británicas de 1997. No ha habido necesi-
dad de cambiarlo porque, desde el punto de vista analítico, se ha verificado el argumento
presentado.
36
Berry, 1992.
35K El poder de la identidad
real acabó siendo la incapacidad de los laboristas para guardar informa-
ción confidencial, lo que socavó su capacidad para que se confiara en
ellos como gobierno37
. La publicidad negativa, sobre todo de los tories, se
convirtió en el centro de la campaña de 1992 y desempeñó un papel im-
portante en la victoria conservadora38
. Las encuestas inmediatas, el co-
rreo selectivo, el empleo de publicidad profesional y de empresas de rela-
ciones públicas, los acontecimientos y discursos orientados a la creación
de imágenes y frases aisladas, los sofisticados anuncios profesionales con
actores y montajes fotográficos, el enfoque en la imagen y no en la polí-
tica son los ingredientes básicos de la política británica de los años no-
venta, tanto como lo son en los Estados Unidos39
. La personalización de
la política tiene una larga tradición en Gran Bretaña, con dirigentes tan
contundentes como Winston Churchill, Harold Wilson o Margaret That-
cher. Sin embargo, la nueva ola de personalización no tiene relación con
los dirigentes históricos y carismáticos, sino con cualquiera que se pre-
sente para el puesto de primer ministro. Así pues, en 1987, los laboristas
centraron su campaña sobre una pareja «joven y atractiva», Neil y Glenys
Kinnock, y presentaron como principal emisión del partido para las elec-
ciones una biografía televisada titulada Kinnock, producida por Hugh
Hudson, el director de Carros de fuego40
. En 1992, dos de las cinco emi-
siones conservadoras para las elecciones se centraron en John Major
(Major-The Journey, producida por Schlesinger, director de Cowboy de
medianoche, presentando el ascenso de Major de la clase obrera de Brix-
ton41
). La personalización lleva a la difamación como estrategia política, y
ése ha sido el caso también en la política británica reciente: en la cam-
paña de 1992, Kinnock fue atacado en los tabloides tories (y luego los re-
latos fueron retomados por las noticias de la televisión) con imputaciones
que iban de sus supuestas conexiones con la mafia a su vida privada (el
denominado «asunto Boyo»). Paddy Ashdown, dirigente demócrata libe-
ral, fue atacado públicamente por su vida sexual. Y aunque Axford y
otros sugieren que tras las elecciones de 1992 los medios británicos pare-
cían dispuestos a refrenarse en el uso de «trucos sucios», esta disciplina
recién profesada no parece haber excluido a la Familia Real42
. En efecto,
escribiendo en 1996, parece seguro predecir que las nuevas elecciones ge-
nerales británicas, marcadas por la probabilidad de una victoria laborista,
se caracterizarán por una explosión de intentos de difamación contra el li-
derazgo emergente de Tony Blair.
El advenimiento de la democracia rusa también supuso la introduc-
Scammell y Semetko, 1995.
Berry, 1992; Scammell y Semetko, 1995.
Axford et ai, 1992; Philo, 1993; Franklin, 1994.
Philo, 1993, pág. 411.
Scammell y Semetko, 1995, pág. 35.
Axford et al, 1992.
La política informacional y la crisis de la democracia 359
ción de las campañas orientadas a la televisión de estilo estadounidense
desde las elecciones parlamentarias de diciembre de 199343
. En las deci-
sivas elecciones presidenciales de 1996, Yeltsin fue capaz de recobrar el
control del electorado, en peligro de pasarse a Ziuganov debido a la
desesperación popular, en las últimas semanas de la campaña, mediante
un bombardeo en los medios de comunicación y la utilización, por pri-
mera vez en Rusia, del correo selectivo informatizado, las encuestas di-
rigidas y la propaganda segmentada. La campaña de Yeltsin combinó
viejas y nuevas estrategias en el uso de los medios pero, en ambas, la te-
levisión fue el centro. Por una parte, los canales gubernamentales y pri-
vados se alinearon con Yeltsin y utilizaron las noticias y la programa-
ción como vehículos de propaganda anticomunista, incluida la emisión
de varias películas sobre los horrores del estalinismo en las semanas an-
teriores a la votación. Por otra parte, se diseñó cuidadosamente la publi-
cidad política de Yeltsin. Una compañía de asesoría política, Niccoló M.
(M. de Maquiavelo) desempeñó un papel importante en la concepción
de una estrategia mediática en la que Yeltsin aparecería en las noticias
regulares de televisión, mientras que la publicidad política se centraría
en personas reales (conozco a una de ellas) que explicarían su apoyo a
éste. Los anuncios terminaban con las palabras «Yo creo, quiero y es-
pero», seguidas de la firma de Yeltsin, su única presencia en ellos. Ye-
katerina Yegorova, directora de Niccoló M., entendía que, en sus pro-
pias palabras: «La idea que respalda su ausencia es que Yeltsin, como
presidente, aparece con tanta frecuencia en la pantalla [en las noticias
regulares] que si también estuviera en los anuncios, la gente acabaría
harta de él»44
. Así pues, la «personalización ausente», al combinar dife-
rentes formas de mensajes mediáticos, se convirtió en una nueva estra-
tegia sutil en un mundo saturado de propaganda audiovisual. Algunos
asesores republicanos de California también desempeñaron un papel
consultivo sobre la tecnología política en la campaña de Yeltsin (si bien
muy inferior a lo que proclaman), así como diversos consejeros políticos
y mediáticos, lanzando a Rusia a la política informacional antes de que
tuviera tiempo de convertirse en una sociedad informacional. Funcionó:
escasos de fondos, poder y tecnología, los comunistas se basaron en la
organización popular a gran escala, un medio demasiado primitivo para
contrarrestar la alianza de la televisión, la radio y los principales perió-
dicos, que se unieron en torno a Yeltsin. Aunque hubo otros factores
que desempeñaron un papel en las elecciones rusas (rechazo del comu-
nismo, miedo al desorden, demagogia electoral, hábiles decisiones presi-
denciales de último minuto, sobre todo acerca de Chechenia, la incorpo-
ración de Lébed al gobierno de Yeltsin antes de la segunda vuelta de las
41
Hughes, 1994.
44
Mosa>w Times, I WMi, pííg. I.
too Fil pddc'i de la iilciituhnl
elecciones), los sistemas políticos antiguo y nuevo se enfrentaron y el re
sultado fue una victoria aplastante de Yeltsin, después de ir muy rc/.ii
gado en las encuestas cuatro meses antes.
La joven democracia española también aprendió deprisa las nuevir-
artes de la política informacional45
. En las elecciones generales de 1 9K,',
el diestro uso de los medios de comunicación y la personalización en
torno a la figura de un dirigente extraordinario, Felipe González, llevó ;t
los socialistas (PSOE) a un triunfo electoral sin precedentes. Después, en
1986 y 1989, los socialistas de González fueron reelegidos dos veces con
mayoría absoluta e incluso ganaron en 1985 un referéndum nacional parn
unirse a la OTAN en las condiciones más difíciles. Además de los méritos
propios de la política socialista, tres importantes factores contribuyeron al
aplastante dominio político del Partido Socialista en la década de los
ochenta: la carismática personalidad de Felipe González y su vigorosa
presencia en los medios de comunicación, sobre todo en televisión, ya
fuera en debates frente a frente, en entrevistas periodísticas o en aconte-
cimientos políticos televisados; la sofisticación tecnológica de los estrate-
gas políticos socialistas que, por primera vez en España, utilizaron grupos
seleccionados, sondeos constantes, análisis/diseño de imagen y selección
de temas en tiempo y espacio, en una estrategia coherente y sostenida de
propaganda política que no se detuvo después del día de las elecciones; y
el monopolio gubernamental de la televisión, que proporcionó una clara
ventaja al gobierno hasta que las críticas constantes de la oposición sobre
la cobertura televisiva, así como las convicciones democráticas de Gonzá-
lez, condujeron a la liberalización y privatización parcial de la televisión
en la década de los noventa. Por otra parte, fue la pérdida de la batalla en
los medios de comunicación en los años noventa la que primero erosionó
al gobierno socialista en España en 1993 y después llevó al poder a un go-
bierno de derecha en 1996. En la sección siguiente, me extenderé sobre
los escándalos políticos y la política de la corrupción como una estrategia
esencial de la política informacional, utilizando de nuevo, entre otros ca-
sos, este ejemplo español contemporáneo tan revelador. Pero es impor-
tante subrayar, mientras se expone la posible extrapolación de la política
de estilo estadounidense a Europa, que la España contemporánea no
tiene nada que aprender de los Estados Unidos en cuanto a técnicas de
politiqueo mediático, difamación y efectos de retroalimentación entre en-
cuestas, informaciones y actuaciones.
Aunque de un modo menos espectacular (después de todo, España es
un país de intenso dramatismo), la política de la mayoría de las democra-
cias europeas ha acabado dominada por procesos similares. Así pues, los
observadores de Francia se rebelaron contra la «telecracia»46
, mientras
Alonso Zaldívar y Castells, 1992.
Esprit, 1994, págs. 3 y 4.
I ii |i()litu;i II 111 <• imu n nuil y la crisln di- IÍI democracia Vil
que otros destacan la llegada de la «democracia virtual»47
. El repentino
ascenso al poder de Berlusconi en Italia se vinculó directamente con el
nuevo papel desempeñado por los medios en la política italiana48
. El aná-
lisis comparativo de otros países europeos en la década de los noventa49
describe una situación de transición compleja, de medios de comunica-
ción que dominan la difusión de la información, mientras los partidos es-
tán faltos de equipo y fondos, y regulados de forma estricta, por lo que les
resulta difícil adaptarse al nuevo entorno tecnológico. El resultado parece
ser que, por una parte, los partidos políticos mantienen en general su au-
tonomía frente a los medios con el apoyo del estado. Por otra, debido al
acceso restringido de los partidos a los medios, la gente forma cada vez
más sus opiniones políticas a partir de fuentes externas al sistema político,
con lo que se acentúa la distancia entre partidos y ciudadanos5Ü
. Así pues,
mientras que las instituciones, la cultura y la historia hacen a la política
europea muy específica, la tecnología, la globalización y la sociedad red
incitan a los actores e instituciones políticas a participar en la política in-
formacional impulsada por la tecnología. Sostengo que ésta es una ten-
dencia histórica nueva, que afectará en oleadas sucesivas a todo el
mundo, si bien en condiciones históricas específicas que introducen varia-
ciones sustanciales en la competición política y en la conducción de la po-
lítica. Bolivia proporciona una oportunidad excepcional para probar esta
hipótesis.
El populismo electrónico de Bolivia: el compadre Palenque y la llegada de
Jach'a Uru5i
Si tuviéramos que seleccionar el país con más posibilidades del
mundo de resistirse a la globalización de la cultura y de afirmar la polí-
tica populista, Bolivia sería un candidato obvio. Su identidad india está
muy presente en la memoria colectiva de su población (aun cuando el
67% se considere mestiza) y mucha gente habla el aymara y el quechua.
El nacionalismo es la ideología suprema de todos los partidos políticos.
Desde la revolución de 1952, los sindicatos mineros y campesinos bolivia-
47
Scheer, 1994.
48
Di Marco, 1994; Santoni Rugiu, 1994; Walter, 1994.
49
Kaid y Holtz-Bacha, 1995.
50
Di Marco, 1993.
51
Estoy en deuda, por su ayuda en la elaboración de esta sección sobre la política me-
diática boliviana, con Fernando Calderón, de La Paz, y con Roberto Laserna, de Cocha-
bamba. El análisis se basa en los siguientes estudios realizado por investigadores bolivianos:
Mesa, 1986; Archondo, 1991; Contreras Basnipeiro, 1991; Saravia y Sandoval, 1991; La-
serna, 1992; Albo, 1993; Mayorga, 1993; Pérez Iribarne, 1993a, b; Ardaya y Verdesoto, 1994;
Calderón y Laserna, 1994; Bilbao La Vieja Díaz et al, 1996; Szmukler, 1996.
Ki2 II poder ilr l.i idcntiitail
nos se encuentran entre los actores sociales y militantes más conciencia-
dos y organizados de América Latina. El principal partido nacionalista-
populista, el Movimiento Nacionalista Revolucionario, ha estado en el
poder, y fuera de él, las cuatro últimas décadas y sigue manteniendo la
presidencia en 1996, con el apoyo de la izquierda nacionalista del Movi-
miento Bolivia Libre y del movimiento katarista (indigenista)*. Las ten-
siones sociales y la militancia política provocaron frecuentes golpes mili-
tares, que no siempre disgustaron a la embajada estadounidense, hasta
que la participación abierta de militares de alta graduación en el tráfico
de drogas a finales de los años setenta y el cambio de política con Cárter
modificaron la actitud estadounidense, facilitando la restauración de una
democracia estable en 1982, con la llegada al poder de una coalición de
izquierda. Desde entonces, aunque aumentaron las tensiones sociales de-
bido a las políticas de ajuste estructural introducidas por el MNR en 1985
(que después proseguirían otros gobiernos), la democracia parece estar
sólidamente establecida. Se desarrolló una viva lucha política, en la que
los partidos se formaban, dividían y reformaban, y se forjaron las alian-
zas políticas más inverosímiles para alcanzar el poder estatal. Así pues, la
movilización social y la política democrática estaban y están vivas y go-
zan de buena salud en Bolivia, dejando, en apariencia, poco espacio para
que una variante andina de política informacional transforme el escena-
rio político. Y sin embargo, desde 1989, la política de La Paz-El Alto (la
capital boliviana y su periferia de asentamientos populares) ha estado
dominada por un movimiento político organizado en torno a Carlos Pa-
lenque, un antiguo músico folclórico de origen humilde que se convirtió
en presentador de radio y televisión, luego en propietario de una red de
medios de comunicación (RTP, Radio Televisión Popular) y por último
en dirigente de Conciencia de Patria (Condepa), fundada el 21 de sep-
tiembre de 1988 en Tihuanaco, la antigua capital del mundo aymara.
Aunque la historia pueda parecer conocida, en realidad, es inusual, com-
pleja y reveladora.
La saga de Palenque comenzó en 1968, cuando en torno a su grupo
folclórico Los Caminantes creó un programa de radio que incorporó de
forma gradual el contacto directo con la audiencia, utilizando un lenguaje
popular, con una mezcla de español y aymara, que ayudaba a la gente de
los estratos urbanos pobres a comunicarse sin sentirse intimidada por el
formalismo de los medios. En 1978, comenzó un programa de televisión,
donde ofrecía una plataforma para que la gente expresara sus quejas. Se
presentó como el compadre de su audiencia y también se refería a sus in-
terlocutores como compadres y comadres, con lo que nivelaba el ámbito
* En 1997 obtuvo la presidencia por mayoría popular el derechista y ex dictador Hugo
Banzer, con el apoyo del dirigente de izquierda socialdemócrata Jaime Paz Zamora, que fue
nombrado primer ministro.
La polfticn InliiriuiK'iniiiil y I» crisis de la democracia 3(tt
de la comunicación e introducía una referencia a una comunidad funda-
mental, arraigada en las tradiciones aymara y católica52
. En 1980 logró
comprar Radio Metropolitana y después el Canal 4, una emisora de tele-
visión de La Paz. Pronto se convirtieron en los medios más escuchados de
la zona de La Paz y siguen siéndolo: el 25% de la audiencia radiofónica
declaró que sólo escuchaba la Metropolitana.
En la estrategia comunicativa de Palenque hay cinco elementos cru-
ciales. El primero es la personalización de los espectáculos, con compa-
dres y comadres enérgicos que representan diversos grupos, como la co-
madre Remedios Loza, una mujer común (mujer de pollera), un tipo
humano nunca antes visto en televisión, pese a ser la imagen misma de las
familias populares de La Paz; o el compadre Paco, cercano a la clase me-
dia; o su esposa, Mónica Medina de Palenque, una antigua bailarina de
flamenco que asume el papel de la mujer prudente por naturaleza. La
personalización de la interacción con la audiencia no se detiene en los
programas en vivo, sino que se extiende a gran parte de la programación.
Por ejemplo, aunque el Canal 4 emite los mismos culebrones latinoameri-
canos que captan la atención en todo el mundo de habla hispana, el com-
padre Palenque y su equipo comentaban personalmente los aconteci-
mientos y dramas de varios episodios y participaban con su audiencia
para relacionar el relato de los culebrones con las vidas diarias de los pa-
ceños. En segundo lugar está la orientación hacia las mujeres, sobre todo
las de clases inferiores, y su prominente presencia en los programas. En
tercer lugar, existe una conexión directa con las preocupaciones y alegrías
de la gente, con programas como «Los sábados del pueblo» que se emiten
en directo con la participación de cientos de personas en los barrios urba-
nos; o «La tribuna del pueblo», en la que la gente denuncia en directo los
abusos que sufre. En cuarto lugar está la disposición a escuchar las quejas
de la gente, dando oído a los lamentos que surgen de la dolorosa integra-
ción de la vida rural e india en la descontrolada periferia urbana de La
Paz. Y, en quinto lugar, aparece la referencia religiosa, que legitima la es-
peranza como voluntad de Dios, con la promesa de la llegada de Jach'a
Uru, el día en que, según la tradición aymara, todos los sufrimientos ten-
drán fin.
Sin embargo, no fue un camino llano el que llevó a Palenque a una
posición de relieve. Debido a su crítica de las autoridades, con el pre-
texto de una entrevista radiofónica con un importante traficante de dro-
gas, la red RTP fue clausurada dos veces por el gobierno, en junio y no-
viembre de 1988. Pero la protesta masiva y la decisión del Tribunal
52
Compadre y comadre son términos que significan pertenencia a la comunidad. Aunan
elementos de la tradición aymara y la celebración católica (por ejemplo, los padrinos y las
madrinas de los niños bautizados). Como tales, se espera de los compadres y las comadres
que comprendan, colaboren, compartan y asuman la reciprocidad.
I(l.l II poder di' ln identulml
Supremo propiciaron su reapertura unos meses después. La respuesta de
Palenque fue crear un partido (Condepa) y presentarse a presidente. I'.n
las primeras elecciones en las que participó, en mayo de 1989, Condepa
se convirtió en el cuarto partido nacional y el primero de la capital. En
las elecciones municipales, ganó la alcaldía de El Alto (la cuarta área ur-
bana más grande de Bolivia) y entró en el concejo municipal de La Paz.
En las elecciones municipales siguientes, Mónica Medina de Palenque se
convirtió en alcaldesa de La Paz, puesto que mantuvo hasta 1996. Con-
depa también está presente en el Congreso Nacional: entre otros diputa-
dos, la comadre Remedios desempeñó un notable papel para impulsar la
legislación en favor de la mujer boliviana. Pese a su populismo, Condepa
no desarrolló una actitud de confrontación con los diversos gobiernos.
En 1989 sus votos ayudaron a elegir en el Congreso al presidente Jaime
Paz Zamora, a pesar de su tercer lugar en el voto popular. Y cuando en
1993 fue elegido un nuevo presidente del MNR, Sánchez de Losada,
Condepa, aunque no participó en el gobierno, colaboró con él en varias
iniciativas legislativas*.
El éxito del compadre Palenque no ocurrió en un vacío social. Po-
seía un mensaje de libertad, no sólo un medio de comunicación, que
parecía encajar bien con la experiencia real de las masas urbanas de
La Paz. Apeló a la identidad cultural de los inmigrantes recientes me-
diante el uso del lenguaje, el hincapié en las tradiciones aymarás y la
referencia al folclore y la religión. Contra las medidas de ajuste econó-
mico y la integración en la economía global, expuso el sufrimiento dia-
rio de los obreros desplazados y los pobres urbanos, los abusos a los
que eran sometidos con el pretexto de la racionalidad económica. El
compadre Palenque se convirtió en la voz de los que carecían de ella.
Utilizando los medios como plataforma, pero vinculándolos con las ins-
tituciones locales donde Condepa estaba presente, Palenque dirigió
una serie de programas sociales, uno de los más logrados orientado a
ayudar a los trabajadores industriales desplazados por la reestructura-
ción y privatización de la economía. Rechazando el imperativo categó-
rico de la globalización, el compadre Palenque propuso (si bien en tér-
minos bastante vagos) un modelo de «desarrollo endógeno», basado en
los recursos propios de Bolivia y contando con el espíritu comunal de
su pueblo. Así pues, la influencia de Condepa no es sólo una manipu-
lación de los medios de comunicación: sus temas hacen referencia al
sufrimiento real de la gente de La Paz y su lenguaje se comunica di-
rectamente con la identidad cultural y local de los estratos populares
de La Paz y El Alto (hasta el punto de que el movimiento sigue
* En 1997, el compadre Palenque sufrió una crisis matrimonial que acabó con el divorcio
de su mujer, la ex alcaldesa de La Paz. Poco después, Carlos Palenque murió de un infarto.
Pero el movimiento sigue, con la comadre Remedios al frente.
I ;i polfticn mi. ii ni i. i.iii.il v la crisis ele la democracia 365
siendo en general local, autorizando a algunos especialistas a hablar de
un «ayllu metropolitano»)53
. Sin embargo, sin el poder de los medios y
sin una estrategia de comunicación perspicaz, que mezcla la radio y la
televisión de entretenimiento con un espacio para las quejas públicas y
con la construcción de una confianza carismática entre los dirigentes y
la audiencia, Condepa se habría visto reducido a un papel menor,
como pasó con otros movimientos populistas en Bolivia, como la Uni-
dad Cívica Solidaridad de Max Fernández. En efecto, en 1996, los bo-
livianos confían en los medios más que en sus representantes políticos
(cuadro 6.3).
CUADRO 6.3 Opinión de los ciudadanos bolivianos sobre qué instituciones
representan sus intereses
Institución % de opinión favorable
Congreso de diputados 3,5
Cualquier partido político 3,4
Presidente 3,3
Alcalde 6,9
Comités vecinales 11,3
Sindicatos 12,6
Medios de comunicación de masas 23,4
Nota: Respuestas a la pregunta: «¿Cree que las siguientes instituciones representan
sus intereses?» (porcentaje de todos los ciudadanos encuestados; muestra repre-
sentativa nacional).
Fuente: varios autores, 1996.
Así que la política mediática no tiene por qué ser monopolio de los
grupos de interés influyentes o de partidos políticos establecidos que
usan el poder de la tecnología para perfeccionar la tecnología del poder.
Como la influencia del compadre Palenque parece indicar, el comuna-
lismo basado en la identidad y los movimientos de la gente pobre, a ve-
ces bajo la forma de milenarismo religioso, pueden acceder a la política
mayoritaria mediante la utilización de los medios. Al hacerlo, obligan a
otros actores políticos a jugar a un juego similar (como en el caso de Bo-
livia en la década de los noventa), con lo que contribuyen a encerrar la
política en el espacio de los medios, si bien con características específicas
que encajan con la tradición cultural, las condiciones económicas y la di-
námica política bolivianas. Es más, pese a la orientación comunal de
Condepa, en la experiencia del compadre Palenque encontramos una se-
53
Ayllu es la forma tradicional de una comunidad territorial/cultural en la tradición ay-
mara.
<()(, El poder de la identidad
rie de rasgos que no son distintos de las tendencias más amplias de la po-
lítica informacional, descrita anteriormente: la extremada personaliza-
ción del liderazgo; la simplificación de los mensajes en términos dicotó-
micos: bueno y malo; la preeminencia de los juicios morales y religiosos
como marco de una vida pública y personal; la importancia decisiva del
lenguaje, las imágenes y los símbolos emitidos electrónicamente para
movilizar la conciencia y decidir la política; la volatilidad del talante pú-
blico, perdido en la sensación de que el mundo gira fuera de control; la
dificultad de encajar estas nuevas expresiones políticas en las categorías
políticas tradicionales (hasta el punto de que algunos analistas bolivianos
hacen referencia al surgimiento de una «política informal» paralela a la
«economía informal»)54
; y, en última instancia, también encontramos, en-
tre estos compadres y comadres, una dependencia de su capacidad finan-
ciera para apoyar la política mediática, con lo que se crea un círculo de
retroalimentación (o un círculo vicioso) entre el poder, los medios y el
dinero. Aunque la «resurrección de un ayllu metropolitano»55
muestra
los límites de la globalización, es habitando en el espacio de los flujos
mediáticos como las culturas tradicionales y los intereses populares afir-
man su poder. Al hacerlo, sobreviven, pero se transforman al mismo
tiempo, entrando en un nuevo mundo de sonidos e imágenes, de charan-
gos de modulación electrónica, de cóndores protegidos y de un Jach'a
Uru con guión televisivo.
LA POLÍTICA INFORMACIONAL EN ACCIÓN: LA POLÍTICA DEL ESCÁNDALO X
En la última década, se han visto sacudidos sistemas políticos de todo
el mundo y han sido destruidos numerosos dirigentes políticos en una su-
cesión constante de escándalos. En algunos casos, se han derrumbado
54
Ardaya y Verdesoto, 1994.
55
Archondo, 1991.
56
Esta sección se basa en parte en una lectura de los periódicos y revistas de diferentes
países, así como en el conocimiento personal de algunos acontecimientos. Considero innece-
sario proporcionar referencias detalladas para hechos que son del conocimiento público.
Una visión general internacional de los escándalos políticos se proporciona en Longman,
1990, Potttical Scandals and Causes Célebres since 1945. Un importante volumen compara-
tivo sobre el tema es Heidenheimer et ai, 1989. Pueden encontrarse relatos históricos sobre
los escándalos políticos estadounidenses en Fackler y Lin, 1995 y Ross, 1988. Balz y Browns-
tein (1996, pág. 27 ss.) proporcionan un relato reciente de los escándalos del Congreso en
los Estados Unidos. En Johansen (1990) se encuentra una bibliografía anotada de la corrup-
ción estadounidense. Fuentes adicionales utilizadas en esta sección son: King, 1984; Marko-
vits y Silverstein, 1988a; Bellers, 1989; Ebbinghausen y Neckel, 1989; Bouissou, 1991; Mo-
rris, 1991; Sábato, 1991; Barker. 1992; CQ Researcher, 1992; Meny, 1992; Phillips, 1992;
Swan, 1992; Tranfaglia, 1992; Barber, 1993; Buckler, 1993; DeLeon, 1993; Grubbe, 1993; Ro-
mán, 1993; Esprit, 1994; Gumbel, 1994; Walter, 1994; Arlachí, 1995; Fackler y Lin, 1995;
García Cotarelo, 1995; Johnson, 1995; Sechi, 1995; Thompson, 1995.
La política infonnm ion.il y la crisis de la democracia 367
partidos políticos atrincherados sólidamente en el poder durante casi me-
dio siglo, llevándose consigo en su desaparición el régimen político que
habían moldeado en su interés. Entre los ejemplos importantes de esta
evolución están los democristianos italianos, que se desintegraron literal-
mente en la década de los noventa; el Partido Liberal Democrático japo-
nés, que se dividió y perdió el gobierno por primera vez en 1993, aunque
el partido como tal sobrevivió y sigue gobernando en coalición o en mino-
ría; o el Partido del Congreso de India que, tras gobernar la mayor demo-
cracia del mundo durante cuarenta y cuatro años de los más de cuarenta y
ocho desde la Independencia, sufrió una derrota humillante en beneficio
de los nacionalistas hindúes en las elecciones de 1996, después de un im-
portante escándalo que involucró al dirigente del Congreso Narasimha
Rao, poniendo fin, en apariencia, a un sistema político construido en
torno al dominio incontestado de los sucesores de Nehru. Con la excep-
ción de las democracias escandinavas y unos cuantos países pequeños, no
sé de ningún país de Norteamérica, América Latina, Europa Oriental y
Occidental, Asia o África donde no hayan estallado en los años recientes
importantes escándalos políticos con consecuencias significativas y a ve-
ces dramáticas57
.
En unos cuantos casos, los escándalos se referían a la moralidad per-
sonal de un dirigente (por lo general, un hombre impulsado de forma im-
propia por la sexualidad o la embriaguez). Pero, en la mayoría de los ca-
sos, el tema era la corrupción política, es decir, según la definición de Cari
Friedrich: «Siempre que alguien ostenta el poder y está encargado de ha-
cer ciertas cosas, esto es, es un funcionario responsable u ocupa un cargo,
es inducido por recompensas monetarias o de otro tipo, no legales, a em-
prender acciones que favorecen a quienquiera que proporciona las re-
compensas y, por lo tanto, perjudican al público y sus intereses»58
. En al-
gunos casos, los cargos gubernamentales sólo tomaron el dinero, sin
necesidad de correr. O eso creyeron. Desde el presidente Roh de Corea
del Sur hasta el de Brasil Collor de Mello y de algunos miembros del ejér-
cito ruso o del Congreso de los Estados Unidos a algunos altos cargos de
los gobiernos socialistas español y francés, oleada tras oleada de escánda-
los políticos relacionados con la corrupción se han convertido en el ingre-
diente básico de la vida pública en todo el mundo en la década de los no-
venta. ¿Por qué es así? ¿Son nuestros sistemas políticos los más corruptos
de la historia? Lo dudo. El uso y abuso del poder en beneficio personal es
uno de esos rasgos que consideraría propios de la «naturaleza humana» si
tal entidad existiera59
. Ésta es precisamente una de las razones por las
57
Heidenheimer et al, 1989; Longman, 1990; Garment, 1991; CQ Researcher, 1992;
Meny, 1992; Grubbe, 1993; Román, 1993; Gumbel, 1994; Walter, 1994; Thompson, 1995.
58
Friedrich, 1966, pág. 74.
59
Leys, 1989.
368 El poder de la identidml
que la democracia se inventó y se convirtió en la forma de gobierno mas
buscada, si no ideal. Entre bastidores, en las situaciones en que el estado
controlaba la información, las élites políticas, tanto en los tiempos anti-
guos como en épocas recientes, establecían alegremente su sistema impo-
sitivo personalizado sobre sujetos y grupos de interés, estando las princi-
pales diferencias en el grado de arbitrariedad de los sobornos y en la
disfuncionalidad variable de las contribuciones ocultas para la conducción
de los asuntos públicos. Así, una primera observación apunta al hecho de
que la denuncia de la corrupción podría ser precisamente un buen indica-
dor de una sociedad democrática y de la libertad de prensa60
. Por ejem-
plo, bajo la dictadura de Franco, España sufrió el saqueo directo del país
a manos del entorno del dictador, comenzando con las famosas visitas de
doña Carmen a joyerías cuyos propietarios nunca se atrevieron a mandar
la cuenta a su excelencia. Ningún observador serio afirmaría que la co-
rrupción política en España fue más importante durante el gobierno so-
cialista de la década de los ochenta que bajo Franco61
. Y, sin embargo,
mientras que durante la dictadura la corrupción era sobre todo un cotilleo
entre amigos de confianza, la vida política en la democracia española de
los noventa se vio alterada por completo por las revelaciones y las acusa-
ciones de corrupción gubernamental y conducta ilegal. Es más, en las de-
mocracias establecidas desde hace tiempo, con libertad de prensa, como
en los Estados Unidos, la frecuencia de la corrupción política, según se in-
forma en la prensa, sube y baja, sin una tendencia clara a largo plazo,
como cabe observar en la figura 6.2, elaborada por Fackler y Lin para los
cien últimos años62
. Sin embargo, hay un aumento muy espectacular de
información sobre la corrupción en torno a la época del Watergate de Ni-
xon, precisamente el hecho que impresionó la imaginación de periodistas
y políticos por la posibilidad de hacer caer al cargo más poderoso de la
tierra, obteniendo y difundiendo información perjudicial. El estudio his-
tórico realizado por King sobre la corrupción política en Gran Bretaña63
durante el siglo xix muestra la capacidad de penetración del fenómeno,
que provocó la Ley de Reforma de 1867 para recortar esas prácticas, se-
gún progresaba la democracia. Y Bouissou informa de que, en 1890, la
prensa japonesa denunció un fraude electoral generalizado cuando el pe-
riódico Asahi escribió que «quienquiera que compre estas elecciones es-
tará en venta una vez elegido»64
. Además, en un análisis muy perspicaz,
Barker ha mostrado que, cuando los actos ilegales cometidos por los polí-
ticos no proporcionan suficiente munición para desacreditarlos, otros ti-
pos de conducta (por ejemplo, el sexo impropio) se convierten en la ma-
60
Markovits y Silverstein, 1988.
61
Alonso Zaldívar y Castells, 1992.
62
Fackler y Lin, 1995.
63
King, 1989.
64
Bouissou, 1991, pág. 84.
La polílicu intnnmu'iKMiil y In crisis ilc U democracia Mi1
)
a>a.
a
o
o
E
o
<5
E
Z
1895 1905 1915 1925 1935 1945 1955 1965 1975 1985 1995
FIGURA 6.2 Número medio de relatos de corrupción por periódico en los Estados
Unidos, 1890-1992
Fuente: Fackler y Lin, 1995.
teria prima del escándalo político65
. Así, utilizando la serie internacional
de Longman de escándalos políticos66
, calculó que la proporción de es-
cándalos políticos ilegales y no ilegales para todos los países (73:27) se
acercaba relativamente a la proporción de los Estados Unidos o Francia,
pero era muy diferente en el Reino Unido (41:59), de tal modo que el
sexo y el espionaje se habían convertido allí en el equivalente funcional
de las comisiones y los sobornos de otros países. La corrupción en sí pa-
rece ser menos significativa que los escándalos (esto es, corrupción o fe-
chorías reveladas) y su repercusión política67
.
Así que, ¿por qué ahora? Si no es probable que la corrupción esté en
su punto más alto de la historia, ¿por qué estalla en todos los medios y
por qué afecta de forma tan devastadora a los sistemas y actores políticos
en la década de los noventa? Hay diversos factores institucionales y ten-
65
Barker, 1992.
66
Longman, 1990.
67
Lowi, 1988.
l/ll I I [KKIC-I de l,i ick'iilkliiil
ciencias macropolíticas que han debilitado los sistemas políticos, luición
dolos más vulnerables a la confusión creada en la opinión pública, L.i
competencia política y la lucha por influir en el centro del espectro poli
tico del electorado han minimizado el contraste ideológico a medida que
los partidos/coaliciones, una vez asegurado su núcleo de partidarios, se es
fuerzan todo lo posible por arrebatar los temas y posiciones a sus advci
sarios. Esto se traduce en un desdibujamiento de las posiciones políticas
y en la tendencia, por parte de los ciudadanos, de ser más sensibles a la
fiabilidad de los partidos y candidatos que a sus posiciones ante los pro-
blemas. La personalización de la política también centra la atención en
los dirigentes y en su carácter, con lo que se abre la vía para los ataques
precisamente sobre esas cualidades como forma de ganar votos. La po-
tente economía criminal global en ascenso se ha infiltrado en las institu-
ciones estatales de muchos países, con frecuencia en los niveles más ele-
vados del gobierno, lo que proporciona munición para crear escándalos y
también se utiliza la información para amenazar a los políticos y lograr su
sumisión. Los factores geopolíticos también desempeñan su papel: así, los
sistemas políticos italiano y japonés, organizados en torno a la Democra-
cia Cristiana y el Partido Liberal Democrático respectivamente, se esta-
blecieron a raíz de la Segunda Guerra Mundial con una ayuda e influen-
cia considerables de los Estados Unidos, para instalar un baluarte contra
el comunismo en dos democracias que eran cruciales en el contexto de la
guerra fría y donde los partidos comunista y socialista eran fuertes68
. Las
conexiones antiguas y bien conocidas de algunos notables democristianos
con la Mafia69
y de algunos liberales demócratas con la Yakuza10
no fue-
ron un obstáculo para el apoyo incesante de las fuerzas internacionales e
internas a esos partidos, en la medida en que su reemplazo era una opera-
ción excesivamente arriesgada. En el contexto posterior a la guerra fría,
cada partido queda abandonado a su suerte, a los movimientos del mer-
cado político de cada país; la disciplina interna de los partidos se vuelve
menos estricta, porque es más fácil permitir una competencia feroz en au-
sencia de un enemigo exterior. Guehenno también ha sugerido que, en un
mundo de estados-nación evanescentes y compromisos ideológicos incier-
tos, las recompensas por ocupar un cargo ya no son diferentes de las ofre-
cidas en la sociedad en general, es decir, en definitiva, dinero, como la
clave de los proyectos personales u organizativos, desde disfrutar de la
vida hasta proporcionar el sustento a la familia o ayudar a causas humani-
tarias71
.
Todos estos factores parecen contribuir a que los sistemas políticos
Johnson, 1995.
Tranfaglia, 1992.
Bouissou, 1991; Johnson, 1995.
Guehenno, 1993.
1.a polftic» iulnimiH IIIIIIII v la crisis de la democracia 371
sean vulnerables a la corrupción. Pero hay algo más, algo que, en mi opi-
nión, cambia la naturaleza de los sistemas políticos en las sociedades con-
temporáneas. Sostengo que la política de los escándalos es el arma elegida
para luchar y competir en la política informacional. El argumento puede
resumirse así: en general, la política se ha encerrado en el espacio de los
medios. Los medios se han vuelto más poderosos que nunca, tecnológica,
financiera y políticamente. Su alcance global y su interconexión les permi-
ten escapar de los controles políticos estrictos. Su capacidad para hacer
periodismo de investigación y su autonomía relativa frente al poder polí-
tico los convierte en la fuente principal de información y de opinión para
la sociedad en general. No es que los medios sean el Cuarto Poder: son
más bien el campo de las luchas por el poder. La política mediática es una
operación cada vez más cara, encarecida aún más por toda la parafernalia
de la política informacional: encuestas, publicidad, marketing, análisis,
creación de imagen y procesamiento de la información. Los sistemas insti-
tucionales actuales de financiación política no están a la altura de la tarea.
Los actores políticos padecen una infrafinanciación crónica y la brecha
entre los gastos necesarios y los ingresos legales ha aumentado de forma
exponencial, y continúa haciéndolo72
. Así pues, tras agotar todas las fuen-
tes legales, las aportaciones personales y los tratos comerciales, los parti-
dos y los políticos suelen recurrir a la única fuente real de dinero: contri-
buciones bajo cuerda del mundo empresarial y los grupos de interés, a
cambio, obviamente, de decisiones del gobierno en favor de sus intereses73
.
Ésta es la matriz de la corrupción política sistémica, a partir de la cual se
desarrolla una red en la sombra de negocios e intermediarios. Una vez que
la corrupción se extiende y después de que unas cuantas personas añaden
su comisión personal a los canales de financiación política, todo el mundo
de la política y los medios de comunicación sabe (o cree que sabe) que, si
se mira de cerca y durante el tiempo suficiente, puede encontrarse infor-
mación perjudicial sobre casi todos. Entonces comienza la caza y los ase-
sores políticos preparan la munición para atacar o defenderse; los perio-
distas cumplen su labor como informadores de investigación, buscando
material para incrementar su público y sus ventas; los mercenarios y
chantajistas rastrean información que pueda utilizarse en un posible so-
borno o para vender a las partes interesadas. De hecho, la mayoría del
material perjudicial publicado por los medios es filtrado por los propios
actores políticos o por intereses comerciales asociados. Por último, una
vez que se crea el mercado para la información política perjudicial, si no
existe suficiente material bien definido, pueden aparecer las alegaciones,
insinuaciones e incluso invenciones, dependiendo, por supuesto, de la
ética individual de los políticos, periodistas y medios de comunicación. En
72
Weinberg, 1991; Freeman, 1994; Pattie etai, 1995.
73
Meny, 1992.
372 I I poder ilt' l.l lclrnlHl.nl
efecto, la estrategia de la política de los escándalos no pretende necesa-
riamente dar un golpe inmediato a partir de un escándalo. Es el flujo
constante de varios escándalos de diversas clases y con grados diferentes
de verosimilitud, de la información seria sobre un incidente menor a ale-
gaciones dudosas sobre un tema importante, el que teje el hilo donde las
ambiciones políticas acaban estranguladas y los sueños políticos agosta-
dos, a menos que se haga un trato, con lo que se retroalimenta el sistema.
Lo que cuenta es la repercusión final sobre la opinión pública, por la acu-
mulación de muchos impactos diferentes74
. Como en el antiguo dicho
ruso, «no puedo recordar si ella robó un abrigo o si se lo robaron a ella».
El estadio superior de la política de los escándalos es la investigación
judicial o parlamentaria, que lleva al procesamiento y, cada vez con ma-
yor frecuencia, al encarcelamiento de dirigentes políticos75
. Los jueces,
fiscales y miembros de las comisiones de investigación entran en una rela-
ción simbiótica con los medios de comunicación. Protegen a los medios
(asegurando su independencia) y con frecuencia los alimentan con filtra-
ciones calculadas. A cambio, son protegidos por los medios, se convierten
en sus héroes y, a veces, en políticos de éxito con su apoyo. Juntos, luchan
por la democracia y un gobierno transparente, controlan los excesos de
los políticos y, en definitiva, sacan el poder del proceso político, difun-
diéndolo en la sociedad. Al hacerlo, también pueden deslegitimar a los
partidos, a los políticos, a la política y, en última instancia, a la democra-
cia en su encarnación actual76
.
La política del escándalo, practicada en la década de los noventa con-
tra el partido socialista español en el gobierno ofrece una ilustración inte-
resante de este análisis*. Tras la victoria socialista en las elecciones de
1989 (la tercera consecutiva), una coalición de grupos de interés entre
bambalinas decidió que era el momento de poner fin al dominio incontes-
tado de los socialistas en la vida política española, un dominio que podía
preverse que llegaría hasta el siglo XXI. Para evitarlo, desde distintos ám-
bitos, se procedió a la demolición de la influencia y la imagen socialista en
la opinión de los ciudadanos77
. Esta heteróclita coalición de intereses se
vio favorecida por dos factores. Por un lado, el factor fundamental sin el
cual dicha estrategia política no hubiera sido factible: la corrupción e ile-
galidad que caracterizaron algunas actuaciones de la administración, so-
74
Barker, 1992; CQ Researcher, 1992.
75
Garment, 1991; García Cotarelo, 1995; Thompson, 1995.
76
Bellers, 1989; Arlachi, 1995; García Cotarelo, 1995; Fallows, 1996.
* Los siguientes párrafos han sido añadidos a la edición española y escritos por el autor
en el verano de 1997, para tener en cuenta nuevos datos conocidos con posterioridad a la re-
dacción del original inglés.
77
Cacho, 1994; García Cotarelo, 1995; Temas, 1995; Miralles, 1992; Cacho y García-
Abadillo, 1992; Cerdán y Rubio, 1995; Chomon y Calvo, 1994; Díaz Herrera y Tijeras, 1991;
Rubio y Cerdán, 1997.
I .1 |Hilllíca uilniiihu ICIIIHI y ln 11 IMS de l.i democracia 17.1
IHC lodo socialista, por ser la que ostentaba más poder, pero también con-
servadora (por ejemplo, en Burgos y en las Baleares). En particular, la
corrupción de altos niveles de la seguridad (Ministerio del Interior, Guar-
dia Civil) y de los altos niveles de la gestión económica (Gobernador del
Manco de España) pusieron en cuestión la integridad del conjunto del go-
bierno. Y pronto se hizo evidente que los partidos políticos, y en particu-
lar el partido socialista, recurrían a métodos ilegales de financiación.
Por otro lado, el periodismo de investigación, que se desarrolló en Es-
paña en las dos últimas décadas amparado en la protección judicial y en el
nuevo clima democrático, proporcionó un instrumento esencial para ai-
rear los trapos sucios de cualquiera cuando conviniese. Una llamada de
teléfono de algún despechado en alguna trama, o la filtración interesada
por alguna de las partes implicadas ponía en marcha a avezados reporte-
ros para quienes el descubrimiento de un escándalo se convertía en un
trampolín profesional77a
La mayor parte de los escándalos antisocialistas fueron publicados ini-
cialmente por un periódico de nueva creación, El Mundo, un periódico de
excelente nivel profesional y escasos escrúpulos políticos, que nació con
la mirada puesta en la destrucción del gobierno socialista. Se ha especu-
lado sobre qué intereses podía haber tras tal empeño. Cierto es que el no-
torio aventurero de las finanzas Mario Conde había invertido en ese pe-
riódico, pero también lo había hecho en otros medios de comunicación,
en aras de su estrategia de influencia política. El principal accionista de El
Mundo era, y es, una empresa editorial italiana controlada por el mítico
Agnelli, el patrón de la FIAT y de múltiples negocios, no siempre diáfa-
nos, con conexiones históricas en los sectores más conservadores de la
Democracia Cristiana italiana, un partido atravesado por oscuras tramas.
Sin embargo, no está claro cuál podría ser el interés directo de Agnelli en
la destrucción del socialismo español.
El análisis del proceso parece que debe hacerse en sentido inverso: el
nuevo medio de comunicación surge de una iniciativa personal empresa-
rial que gana un mercado que surgía en esos momentos: el mercado del
cerco informativo a la corrupción socialista. Su director y fundador es un
profesional de relieve, influido por el buen periodismo estadounidense,
que decidió vengarse de su expulsión de su anterior periódico, Diario 16,
expulsión que él atribuyó a círculos del gobierno. Una vez creado un ins-
trumento de expresión que pronto probó su eficacia, empezó a recibir
«encargos», o sea filtraciones e informaciones confidenciales que, conve-
nientemente aderezadas y dosificadas, se convirtieron en campañas de
denuncia que pronto cubrieron todo el espectro de la administración so-
cialista. Otros órganos de prensa, desde el conservador ABC hasta el pro-
77a
Véase el interesante reportaje sobre el periodismo de investigación relativo a los es-
cándalos políticos: Nieto, 1997.
374 El poder de la idenlidiid
gresista El País, adoptaron una estrategia informativa similar, adaptada a
las estrategias político-comerciales propias de cada medio. A partir de los
datos del periodismo de investigación, así como de rumores presentados
como datos, publicaciones sensacionalistas y tertulias radiofónicas (en
particular en la cadena COPE, propiedad de la Iglesia Católica), bombar-
dearon a la audiencia con denuncias de todos los tonos, hasta que la tele-
visión, incluida la televisión gubernamental, se hizo eco de las mismas, di-
fundiéndolas a toda la opinión pública.
Aunque hubo diversos escándalos a lo largo de los ochenta, el punto
inicial de la campaña antisocialista surge en enero de 1990 con la de-
nuncia (primero en la prensa de Andalucía, luego en la de Madrid) del
tráfico de influencias por parte de uno de los hermanos del vicepresi-
dente del gobierno y número dos del partido socialista. Aunque las fe-
chorías de este sinvergüenza de poca monta no eran de gran importan-
cia, y aunque los tribunales absolvieron al vicepresidente de toda culpa,
el «asunto Guerra» ocupó los titulares de los medios españoles durante
dos años, provocando, en enero de 1991, la dimisión del vicepresidente,
que se negó tozudamente a condenar en público a su hermano. El caso
Guerra fue, tácticamente, una brillante iniciativa para abrir brecha en la
credibilidad pública socialista porque en la defenestración política del
vicepresidente convergieron las fuerzas antisocialistas y los antiguerris-
tas del propio partido socialista, haciendo frente común en contra de la
dictadura interna que, según ellos, imponía el vicesecretario general
desde el aparato del partido. De modo que, por distintos caminos, se
llegó a una casi unanimidad mediática en la condena y censura de Gue-
rra y del llamado «guerrismo» dentro del partido. Pero esta fácil victo-
ria fue el principio, no el fin, del proceso de hostigamiento informativo
al sistema de poder socialista, en último término encarnado por Felipe
González.
La nueva campaña se centró en la denuncia de la financiación ilegal
del Partido Socialista mediante un entramado de empresas que recibían
fondos, sin aparente justificación, por parte de bancos y grandes compa-
ñías. La denuncia se inició a partir de las revelaciones de un contable de
una de esas empresas, despechado por haber sido despedido y no haber
obtenido la compensación que reclamaba. Así se inició el «caso Filesa»,
que desembocó en una investigación judicial que llevó al procesamiento
de varios dirigentes socialistas y apartamiento político de varios cuadros
importantes de la dirección del partido. Cuando, pese a todas estas acusa-
ciones, a la división interna suscitada en el partido y al desprestigio en
amplios sectores de la opinión pública, los socialistas aún consiguieron su-
ficientes escaños para formar gobierno una cuarta vez, en 1993, se aceleró
el ritmo de los escándalos políticos en los medios de comunicación y en la
escena judicial. El gobernador del Banco de España, Mariano Rubio, fue
descubierto en el centro de una red financiera que utilizaba información
La pollina iiifoniim IOIIUI v ln crisis de la democracia .17.5
privilegiada en su propio beneficio, red que incluía a destacados miem-
bros de la élite financiera cercana al poder económico socialista, entre
ellos el ex Superministro de Economía Miguel Boyer: en enero de 1997 la
Audiencia Nacional acabó imputando a Rubio y a su asociado Manuel de
la Concha, ex síndico de la Bolsa de Madrid, delitos de falsedad, cohecho,
negociaciones prohibidas a los funcionarios públicos, tráfico de influen-
cias, fraude fiscal y uso de información privilegiada. El primer civil nom-
brado Director General de la legendaria Guardia Civil resultó ser un
truhán que cobraba comisiones, especulaba con la construcción de cuarte-
les y se apropiaba los fondos reservados del gobierno, acumulando una
fortuna personal en un tiempo récord hasta que lo descubrieron (también
por filtración desde dentro de la Guardia Civil por guardias corruptos re-
presaliados), huyó a Laos y fue finalmente detenido en Bangkok y repa-
triado a una cárcel española en un episodio tragicómico que hizo sentir
vergüenza propia a todo el país. Más aún: un oficial resentido del CESID
(el servicio de espionaje español) filtró documentos altamente compro-
metedores, entre ellos pruebas de escuchas ilegales a diversas personali-
dades, incluido el rey. Y para completar la desintegración de la moral pú-
blica, policías encarcelados por su participación en la creación de los
GAL, los grupos de asesinos contratados por la policía española para lle-
var a cabo la guerra sucia contra ETA, fueron persuadidos por periodis-
tas, políticos y jueces para declarar sobre el origen de las órdenes recibi-
das. A partir de ahí, la plana mayor del primer ministerio del Interior
socialista pasó a ser acusada y algunos de sus miembros encarcelados,
como inductores y organizadores de secuestros y asesinatos, con cargo a
fondos públicos.
De importancia capital en este proceso político fue la actitud de los
jueces, que mostraron una gran independencia con respecto al gobierno
y, en varios casos individuales, no desperdiciaron oportunidad de hostigar
a la administración socialista. Las cosas fueron de mal en peor para los
socialistas como resultado de una arriesgada y teóricamente brillante ma-
niobra de Felipe González. En 1993 consiguió reclutar al más famoso, y
probablemente más incisivo, de los jueces de la Audiencia Nacional para
las listas electorales socialistas como diputado independiente, en prueba
de la voluntad de lucha contra la corrupción y con la promesa de un alto
cargo en el ministerio de Justicia. Fue un desastre. Ya fuera porque el
puesto (responsable del Plan Nacional antidroga) no era lo bastante ele-
vado (versión socialista) o porque el juez se decepcionó por lo que vio
(versión del juez), éste dejó el gobierno y el parlamento, se reintegró a su
puesto en la Audiencia Nacional y se convirtió en el más ferviente perse-
guidor de toda potencial fechoría a los niveles más elevados del gobierno.
Mediante esta auténtica oleada de investigaciones judiciales y parlamen-
tarias, algunas de las cuales llevaron a procesamientos, otras a condenas,
y otras se desvanecieron por falta de pruebas, los escándalos políticos
17(1 El poder de la identidml
ocuparon las primeras planas de los medios de comunicación españoles
diariamente durante seis años, paralizando literalmente la acción de go
bierno, destruyendo figuras políticas y empresariales, y socavando decisi
vamente al PSOE, la fuerza política más importante del país.
Los socialistas acabaron perdiendo las elecciones de 1996, aunque por
poco, merced a la extraordinaria credibilidad de su líder, Felipe Gonzá-
lez. Pero fue una última victoria en la derrota: un año más tarde, González,
agotado por las embestidas sufridas desde fuera y desde dentro de su ám-
bito, dimitió como secretario general, aunque su proyección política, na-
cional e internacional, sigue siendo considerable, mostrando así los límites
de la capacidad destructiva de la política del escándalo.
Por qué y cómo ocurrió en España este bombardeo antisocialista me-
diático/judicial, que acabó cambiando el curso político del país, es un
tema complejo sobre el que no existen datos fiables más allá de las teorías
conspirativas simplistas de los propios afectados. Como siempre, la reali-
dad es más compleja que cualquier hipótesis reduccionista. Puede aventu-
rarse que se trata de una serie de factores entrelazados. Por un lado, y
esto es esencial, hay una materia prima: muchos de los hechos «escanda-
losos» tenían una base real. La financiación ilegal de los partidos, de to-
dos los partidos, es una gangrena de la democracia y se traduce en el trá-
fico de influencias como medio para mantenerse en el poder o para
volver a él cuando se pierde. Al amparo de la hegemonía socialista en to-
dos los niveles de la administración florecieron prácticas de corrupción de
distinto tipo, desde el ladronzuelo municipal hasta el tiburón financiero, y
los controles fueron obviamente ineficaces en muchos casos. Un factor
significativo para entender la amplitud de la corrupción se refiere a la cul-
tura del dinero fácil (frecuentemente confundida con el triunfo del mer-
cado) en los años felices del auge socialista. Quienes estaban cerca de las
fuentes de enriquecimiento pero no podían beneficiarse directamente tu-
vieron que asumir una santidad cotidiana que era tanto más heroica cuan-
to la mayoría de cuadros socialistas de la administración carecían de ver-
dadera motivación ideológica y eran, en su gran mayoría, recién llegados
a la política, al transformarse el PSOE en un partido de aluvión por su rá-
pido éxito en los albores de la democracia. Por otro lado, la escasa trans-
formación del aparato policial y militar heredado del franquismo tuvo su
secuela no sólo en la persistencia de prácticas de terrorismo de estado,
sino en la alianza de dirigentes socialistas con un sector de dicho aparato
contra el sector más reaccionario, alianza por la que hubo que pagar un
tributo: el de condonar en la práctica, al menos en los primeros tiempos,
la tortura, la venganza y la represión policial al margen de la ley.
Sobre este trasfondo de actos ilegales o en los márgenes de la ley, y en
todo caso moralmente condenables por la mayoría de los ciudadanos, ju-
garon estrategias de información/desinformación que conectaron los ma-
teriales susceptibles de escándalo con la opinión pública mediante la utili-
La política infornincional y la crisis de la democracia 377
zación de los medios de comunicación, que, a su vez, buscaron esos mate-
riales, y su difusión, como medio de acrecentar su influencia, sus ventas y
su prestigio profesional. Sí parece que hubo conspiraciones, si por ello en-
tendemos grupos de intereses organizados que diseñaron estrategias de
difusión de informaciones (verdaderas, falsas o medias verdades) para fa-
vorecer sus intereses. Pero probablemente (no tengo datos comunicables
para afirmarlo) no hubo una gran conspiración, sino muchas conspiracio-
nes parciales, entrecruzadas, aliadas u opuestas según los momentos y se-
gún los casos. Como mínimo, pueden identificarse las siguientes fuentes
de «informaciones escandalosas» en torno a estrategias políticas conver-
gentes contra el poder socialista:
—Las fuerzas conservadoras tradicionales, en un amplio arco que va
desde los restos del franquismo hasta importantes sectores de la Iglesia
Católica, incluyendo el Opus Dei.
—Las fuerzas políticas de derechas, que probablemente desempeña-
ron un papel aglutinante en los años noventa, como instrumento de alter-
nativa política, en el que finalmente debían converger los efectos de la de-
molición de los socialistas en la opinión pública.
—Las tendencias internas del Partido Socialista, pugnando entre sí
para ganar cuotas de poder y, sobre todo, para desprestigiar a los adver-
sarios dentro del partido en la opinión de Felipe González, líder indiscuti-
ble que en última instancia decidía el reparto de las cuotas de poder.
Tanto unas tendencias como otras parecen haber desempeñado un papel
importante en la filtración de informaciones y en la predisposición de al-
gunos medios de comunicación en contra de la tendencia rival. En este
sentido, no puede hablarse con propiedad de una conspiración antisocia-
lista, puesto que los socialistas también conspiraron los unos contra los
otros, participando en coalición con adversarios del socialismo en contra
de sus «compañeros de partido», en una buena demostración de la fragili-
dad de las fronteras doctrinales como delimitación de redes de poder.
—La lucha entre grandes grupos financieros, en particular la lucha en-
tre el núcleo tradicional de la Banca española, aliado con el Banco de Es-
paña, y los advenedizos de la especulación financiera, de los que Mario
Conde y su Banesto eran un símbolo, pero cuyas redes empezaban a mul-
tiplicarse, cercando a la oligarquía tradicional, en alianza con agentes es-
peculativos internacionales. Las alianzas cambiantes entre estos grupos fi-
nancieros, los medios de comunicación, los partidos políticos y las
tendencias internas en el Partido Socialista es un tema tan poco conocido
como decisivo a la hora de interpretar la recomposición del sistema de
poder por la política del escándalo.
—Tampoco hay que olvidar el factor personal. Las rencillas y descon-
tentos acumulados a través de los años por quienes ven frustradas sus am-
biciones personales de medrar a la sombra del poder. Tal es el caso de nu-
(7K líl poder de la ulciUtdutl
merosos intelectuales y comentaristas transformados en contertulios ra-
diofónicos y editorialistas virulentos en contra de un poder socialista que,
en su opinión, les relegó en beneficio de protegidos políticos mucho menos
listos y capacitados. O el caso de algunos empresarios, como Ruiz Mateos,
que atribuyeron su ruina al gobierno socialista y juraron venganza, incluso
dedicando a ello su vida y su fortuna, como en el caso del susodicho.
—Las grandes maniobras de competencia y alianza entre los grupos
de comunicación, en un momento de constitución del nuevo sistema au-
diovisual español, aparecen como decisivas en la determinación de qué
escándalos se publican, cuándo y dónde. En este sentido, los intrépidos
periodistas investigadores son, esencialmente, peones a pesar suyo de es-
trategias más amplias entre grupos tales como Prensa Española, PRISA,
Zeta, La Vanguardia, El Correo, Grupo 16, El Mundo o la Iglesia Cató-
lica. El control de concesiones de licencias de radio y televisión, el acceso
a la publicidad pública y las facilidades de crédito han sido elementos de-
terminantes en la participación o no de los medios en las campañas perio-
dístico-políticas, en el tono adoptado y en la evolución de su actitud. En
cuanto una tendencia política pierde (por ejemplo, el guerrismo en el
PSOE), todos los medios se ceban sobre el árbol caído, a la vez como
prueba de su independencia y como elemento de advertencia hacia los
nuevos (y transitorios) dirigentes.
—Y, en fin, una opinión pública difusa, tanto en el mundo mediático
como en otros sectores de la vida española, según la cual el dominio so-
cialista era excesivo y la arrogancia de algunos de sus dirigentes intolera-
ble, por lo cual las élites sociales informadas debían reaccionar y exponer
el verdadero rostro de los socialistas a un electorado seducido que, en su
mayoría, siguió votando socialista en cuatro elecciones consecutivas.
Así pues, en definitiva y prescindiendo de la motivación personal o in-
tereses empresariales específicos, los medios de comunicación afirmaron
su poder de forma colectiva y, en alianza con el poder judicial, trataron de
que la clase política española, incluido el Partido Popular, aprendieran la
lección para el futuro.
Los vericuetos de la política, sin embargo, son difícilmente predecibles,
de modo que, en realidad, en 1997 el Partido Popular en el Gobierno, sacó
la lección contraria. En lugar de aceptar el poder de los medios decidió,
con el apoyo de alguno de ellos, y en particular de El Mundo, controlar di-
rectamente los medios de comunicación, atacando frontalmente al grupo
considerado como hostil a las fuerzas conservadoras, el grupo PRISA.
Para ello, utilizando su control de la Compañía Telefónica, el gobierno
tomó el control de Antena 3 Televisión, uno de los dos únicos canales pri-
vados de televisión, y apoyó la creación de una plataforma de televisión
digital afín, Vía Digital, favoreciéndola desde el gobierno en contra de su
competidor Canal Digital, del grupo PRISA. Todo ello a pesar de las re-
I ,;i polilii ,i IIII.II inai ion.il  l,i cusís tío la dcmoci.uM .17')
criminaciones recibidas desde Bruselas por los organismos de la Comisión
Europea encargados de velar por la libre competencia.
En el momento de escribir este texto, en el verano de 1997, pareciera
que la antigua estrategia del ordeno y mando estatal sobre los medios de
comunicación en el caso español confirma la pervivencia del poder del
Estado sobre la lógica propia del ámbito mediático. Ello me permite pro-
poner una hipótesis al lector, hipótesis verificable en el plazo de meses o
de unos pocos años: el efecto político contraproducente de dicha estrate-
gia, al igual que ocurrió con Berlusconi cuando obtuvo el control de los
seis canales nacionales de televisión en Italia. La razón es triple:
—La falta de credibilidad de un sistema mediático que repite el mismo
mensaje en todas sus manifestaciones lleva a la aparición de medios alter-
nativos (incluidas las televisiones autonómicas de distinta tendencia polí-
tica) o a su inutilización como canal de formación de opiniones políticas.
—La autonomía de los profesionales de los medios tiende a crear ex-
presiones no controladas, con el apoyo y solidaridad de los profesionales
en los casos de represión empresarial, como ocurrió en los medios de co-
municación durante la dictadura franquista.
—Y, en fin, la situación de monopolio informativo a través de la tele-
visión tradicional tiene los años contados, incluso en España, en la me-
dida en que la televisión por cable y por satélite desarrolle su implanta-
ción, proponiendo alternativas, en parte mediante emisiones situadas
fuera del control territorial del gobierno español.
En suma, la estrategia de control absoluto de la televisión por parte
del gobierno del Partido Popular más bien parece ser un ordago político
coyuntural para intentar alcanzar una mayoría absoluta en las siguientes
elecciones que un proyecto estatista perdurable. La historia dirá, a muy
corto plazo.
En cualquier caso, lo verdaderamente pertinente para nuestro propó-
sito analítico es la utilización de los escándalos políticos y de su difusión
en los medios de comunicación como el arma fundamental de actores po-
líticos, sectores empresariales y grupos de interés para luchar entre sí. Al
hacerlo, transformaron la política española para siempre, situándola pre-
ferentemente en el ámbito de los medios de comunicación.
Lo característico de la política del escándalo es que todos los actores
políticos que la practican quedan atrapados en la misma trama. El caza-
dor de hoy es la presa de mañana. Un ejemplo que viene al caso es la
aventura de Berlusconi en Italia. Los hechos son conocidos: explotó su
control de las tres cadenas de televisión privadas para montar una cam-
paña devastadora contra el corrupto sistema político italiano78
. Luego
78
Walter, 1994.
IHO II (xxlcí ilc la uKiilHlad
creó, en tres meses, un «partido» a medida (For/a Italia, bautizado así por
el grito de ánimo de los hinchas del equipo nacional de fútbol italiano) y,
en alianza con el partido neofascista y la Liga Norte, ganó las elecciones
generales de 1994 y se convirtió en primer ministro. En teoría, el control
del gobierno le daba autoridad sobre las otras tres cadenas de televisión
gubernamentales. Pero la autonomía de los medios y de los periodistas
fue sólidamente afirmada. Pese a la abrumadora presencia de Berlusconi
en las empresas mediáticas (en periódicos y revistas, así como en televi-
sión), tan pronto como se convirtió en primer ministro, el poder judicial y
los medios, de nuevo juntos, lanzaron un resuelto asalto sobre sus fraudes
financieros y comisiones ocultas, socavando sus negocios, llevando a la
justicia a algunos de sus socios, procesándolo a él mismo y, en definitiva,
perjudicando su imagen de tal modo que el parlamento censuró su go-
bierno. Luego, en 1996, el electorado lo rechazó, eligiendo en su lugar a
la coalición de centro-izquierda L' Ulivo, cuyo principal componente, el
Partito Democrático di Sinistra, ex comunista y ahora socialista, todavía
no había estado en el gobierno nacional y, de este modo, había salvado su
reputación.
La lección, extremadamente importante, de esta evolución de la polí-
tica italiana es que la influencia empresarial abrumadora en los medios no
equivale al control político en la política informacional. El sistema mediá-
tico, con sus vinculaciones simbólicas con las instituciones judiciales y
procesales de la democracia, establece su ritmo propio y recibe señales de
todo el espectro del sistema político, para transformarlas en ventas e in-
fluencia, sin que importe el origen y el destino de las repercusiones políti-
cas. La regla de oro es que lo más valioso es lo que tiene mayor repercu-
sión en una situación determinada. Una vez que un político o partido
pierde la importancia, no vuelve a ser tema de las noticias. El sistema po-
lítico queda absorbido en la turbulencia interminable de los informes, las
filtraciones, las contrafiltraciones y la creación de escándalos de los me-
dios. Sin duda, algunos osados estrategas políticos tratan de montar al ti-
gre, situándose ellos mismos en las empresas mediáticas, estableciendo
alianzas y seleccionando y cronometrando las descargas de información.
Esto es exactamente lo que trató de hacer Berlusconi. Su destino acabó
siendo similar al de aquellos especuladores financieros que pretendieron
conocer el curso de la navegación en los impredecibles mercados finan-
cieros globales. En la política del escándalo, como en otros ámbitos de la
sociedad red, el poder de los flujos arrolla a los flujos de poder.
LA CRISIS DE LA DEMOCRACIA
Unamos los distintos hilos que hemos identificado sobre la transfor-
mación del estado-nación y el proceso político en las sociedades contem-
I .1 pulfliui mloi IIIIH loiinl v ln crisis do la democracia 381
poráneas. Cuando se tejen en una urdimbre histórica, revelan la crisis de
la democracia como la hemos conocido en este siglo79
.
El estado-nación, definidor del dominio, los procesos y el objeto de la
ciudadanía, ha perdido gran parte de su soberanía, socavada por las diná-
micas de los flujos globales y las redes transorganizativas de riqueza, in-
formación y poder. Particularmente crítica para su crisis de legitimidad es
la incapacidad del estado para cumplir sus compromisos como estado de
bienestar, debido a la integración de la producción y el consumo en un
sistema global interdependiente y los procesos relacionados de reestruc-
turación capitalista. En efecto, el estado de bienestar, en sus diferentes
manifestaciones, según la historia de cada sociedad, fue una fuente crucial
de legitimidad política en la reconstitución de las instituciones de go-
bierno tras la Gran Depresión de la década de los treinta y la Segunda
Guerra Mundial80
. El rechazo del keynesianismo y el declive del movi-
miento obrero pueden acentuar la desaparición del estado-nación sobe-
rano debido al debilitamiento de su legitimidad.
La (re)construcción del significado político atendiendo a identidades
específicas cuestiona de modo fundamental el propio concepto de ciuda-
danía. El estado sólo puede cambiar la fuente de su legitimidad de repre-
sentar la voluntad del pueblo y proporcionarle bienestar a la afirmación
de una identidad colectiva, mediante su identificación con el comuna-
lismo, excluyendo otros valores e identidades minoritarias. En efecto,
éste es el origen de los estados nacionalistas fundamentalistas, étnicos, te-
rritoriales o religiosos, que parecen surgir de las crisis políticas de legiti-
midad actuales. Sostengo que no pueden, y no lo harán, sostener la demo-
cracia (es decir, la democracia liberal), porque los propios principios de
representación entre los dos sistemas (ciudadanía nacional, identidad sin-
gular) son contradictorios.
A la crisis de legitimidad del estado-nación debemos añadir la crisis
de credibilidad del sistema político, basada en una competencia abierta
entre los partidos políticos. Atrapado en el ámbito de los medios, redu-
cido a un liderazgo personalizado, dependiente de una compleja manipu-
lación tecnológica, empujado a una financiación ilegal, arrastrado por los
escándalos políticos, el sistema de partidos ha perdido su atractivo y su
fiabilidad y, a todos los fines prácticos, es un resto burocrático, privado de
la confianza pública81
.
Como resultado de estos tres procesos convergentes e interactuantes,
la opinión pública y las expresiones individuales y colectivas muestran
una desafección creciente y fundamental hacia los partidos, los políticos y
79
Mine, 1993; Guehenno, 1993; Patterson, 1993; Ginsborg, 1994; Touraine, 1995b; Katz-
nelson, 1996; Weisberg, 1996.
80
Navarro, 1995.
81
West, 1993; Anderson y Comiller, 1994; Mouffe, 1995; Navarro, 1995; Salvali,1995;
Balz y Brownstein, 1996.
Pngunta: ¿Aprutbl O daaaprueba al modo en qun Mili
Clinton deeempefla lu pueata como prealdente?
Eatado* Unido*
No sabe/
no contesta
Aprueba
Desaprueba
Nora: En una encuesta de CBS News/New York Times re-
alizada justo antes de las elecciones de noviembre de
1992, el 37% de las respuestas aprobaban el modo en
que Bush desempeñaba su puesto como presidente. Ei
56% lo desaprobaban.
Fuente: Encuesta realizada por CBS News/New York Ti-
mes, 21 -24 de junio de 1993.
PrmgunlK ¿Ella ueled latlafecho o deaoonfanlo con ni un
ñor Mujor como prlmtr ministro?
Oran Bretaña
6% No sabe
Satisfecho
Descontento
Nota: El porcentaje que dice estar satisfecho es el más
bajo para un primer ministro británico atendiendo a los da-
tos de las encuestas disponibles.
Fuente: Encuesta realizada por Social Surveys (Gallup
Poli) Ltd., 26-31 de mayo de 1993.
Pregunta: ¿Está satisfecho o descontento con Francois Pregunta: ¿Aprueba o desaprueba el modo en que Brian
Mitterrand como presidente de la República? Mulroney desempeña su puesto como primer ministro?
Sin opinión
Descontente
Francia
Satisfecho
Canadá
7% No sabe
Desaprue'
©
Aprueba
Fuente: Encuesta realizada por el Institut Frangals d'Opi- Nota: Brian Mulroney ¡un suutsuiuu cumo primer ministro
nion Publique et d'Etude de Marches (IFOP) para Le Jour- por Kim Campbell el 25 de junio de 1993.
naldu Dimanche, 6-13 de mayo de 1993. Fuente: Encuesta realizada por Gallup Canadá, 13-18 de
enero de 1993.
Pregunta: ¿Apoya al gabinete de Miyawaza?
Japón
Pregunta: ¿Está contento o descontento con el trabajo
realizado, durante el último mes, por Giuliano Amato
como presidente del gabinete?
Italia
5% No está seguro/
otros
Descontento
Contento
Fuente: Encuesta reauzaoa por romtun Shimbun, mayo Fuen1e: Encuesta realizada por DOXA, 19 de enero de
de 1993. 1 9 g 3 i
FIGURA 6.3 Valoración de la aprobación que reciben diversos gobiernos, c. 1993.
Fuente: Compilado y elaborado por el Roper Center of Public Opinión and Polling, 1995.
I ;i pollliin inloimili IIMIHI v l'i crisis do la democracia 383
la política profesional. Así pues, en los Estados Unidos, según una en-
cuesta del Times Mirror Center realizada en septiembre de 1994: «Miles
de entrevistas mantenidas con los votantes estadounidenses este verano
no muestran una dirección clara en el pensamiento político del público
que no sea la frustración con el sistema actual y una viva receptividad ha-
cia soluciones e instancias políticas alternativas»82
. En 1994, el 82% de
quienes respondieron a una encuesta nacional de Harris no pensaban que
el gobierno representara sus intereses (contra el 72% en 1980) y el 72%
consideraba que en realidad el gobierno representaba a los grupos de in-
terés (el 68% identificaba estos grupos como intereses comerciales); en la
misma línea, una encuesta Roper de 1995 descubría que el 68% de quie-
nes respondían pensaban que no había muchas diferencias entre republi-
canos y demócratas y el 82% deseaba que se creara un nuevo partido83
.
La figura 6.3 muestra la amplia desafección a los gobiernos de todas las
afiliaciones políticas en seis de ios siete países miembros del club del G-7,
según se refleja en las encuestas de opinión pública.
Sin embargo, este escepticismo hacia los partidos mayoritarios y la po-
lítica no significa necesariamente que la gente ya no vote o que no le pre-
ocupe la democracia. Porque, en gran parte del mundo, la democracia no
se ha alcanzado hasta hace poco, después de un esfuerzo tremendo, con-
quistada con sangre, sudor y lágrimas, así que la gente no está muy dis-
puesta a renunciar a la esperanza. En efecto, cuando percibe la posibili-
dad de una acción política significativa, se moviliza con entusiasmo, como
lo hizo en torno a la elección de Fernando Henrique Cardoso como presi-
dente de Brasil en 1994. Incluso en las democracias veteranas, donde se
han venido practicando los rituales de las elecciones libres durante dos-
cientos años (excepto para la mitad del pueblo, las mujeres) la participa-
ción política pasa por altibajos. No se vota mucho en los Estados Unidos
(49% en las elecciones presidenciales de 1996; 54% en las de 1992; 51%
en las de 1984; 68% en las de 1968), pero las tasas de participación suelen
ser elevadas (entre el 65% y el 80%) en Francia, Italia, España, Alemania
y la mayoría de los países europeos (véase el cuadro 6.4). No obstante, los
europeos no confían en sus políticos más que los estadounidenses84
. Pare-
cería que el individualismo, más que la desafección política, explica la ex-
cepcionalidad estadounidense85
.
Existen, sin embargo, claras expresiones de un alejamiento de la polí-
tica creciente en todo el mundo, a medida que la gente observa la inca-
pacidad del estado para resolver sus problemas y experimenta el instru-
mentalismo cínico de los políticos profesionales. Una de estas
82
Citado por Balz y Brownstein, 1996, pág. 28.
83
Citado por Navarro, 1995, pág. 55.
84
Eurobarometer (varios años).
85
Lipset, 1996.
.«•I I I |)o<l('i ilc la uUllllilllil
CUADRO 6.4 Número de votantes en las elecciones a la cámara baja del
parlamento: cifras recientes comparadas con las tasas de las
décadas de 1970 y 1980 (%)
Décadas 1970-1980
Porcentaje medio Rango Década 1990
de votantes de votantes (unas elecciones)
Alemania 88,6 84,3-91,1 79,1(1994)
Francia (1a
vot.) 76,0 66,2-83,2 68,9(1993)
España 73,9 70,6-77,0 77,3(1993)
Estados Unidos 42,6 33,4-50,9 50,8(1992)
36,0 (1994)
Italia 91,4 89,0-93,2 86,4(1992)
Japón 71,2 67.9-74,6 67,3(1993)
Reino Unido 74,8 72,2-78,9 75,8(1992)
Fuentes: Para las décadas de 1970 y 1980, The International Almanac of Electoral
History, 3a
ed. rev., Thomas T. Mackie y Richard Rose, Washington, DC, Macmillan
Press, 1991; para las elecciones recientes, The Statesman's Yearbook, 1994-1995 y
1995-1996, Brian Hunter, ed., Nueva York, St Mantin's Press, 1994, 1995; Estados
Unidos, Vital Statistics on American Politics, 4a
ed., Harold W. Stanley y Richard G.
Niemi, Washington, DC, CQ Press, 1994.
Compilado por Sandra Moog.
expresiones es el creciente apoyo que recibe una variedad de fuerzas de
«tercer partido» y de partidos regionales, ya que, en la mayoría de los sis-
temas políticos, la confrontación final para tomar el poder ejecutivo na-
cional tiene lugar entre dos candidatos que representan dos coaliciones
amplias. Así pues, votar por una tercera vía se convierte en un voto de
protesta contra el sistema político general y quizás en un intento de cons-
truir una alternativa diferente, a menudo de base local o regional. Sandra
Moog y yo hemos elaborado un índice de voto para los partidos mayori-
tarios de algunas democracias importantes de continentes diferentes, mi-
diendo su evolución en varios momentos durante las décadas de los
ochenta y los noventa86
. Como se muestra en la figura 6.4, la tendencia
general parece confirmar la proporción decreciente del voto para los par-
tidos mayoritarios a lo largo del tiempo. Sin embargo, hay algunas infle-
xiones de la tendencia cuando algún partido logra movilizar a su electo-
rado, como lo hizo el Partido Popular en España en las elecciones de
1996. Los ritmos políticos específicos introducen variaciones en la ten-
dencia general. No obstante, en conjunto, la tendencia pronosticada pa-
rece surgir claramente. Aunque la mayoría de los votantes siguen orien-
tados hacia el voto útil —esto es, apoyar a los candidatos con una
Para fuentes, definiciones y métodos de cálculo, véase el apéndice metodológico.
1.« política intoinmcUut»! y la crisis tic la democracia .(85
% 100 99,3% 99%
84,8%
-i 1 1 1 1 i
1980 81 82 83 84 85 86 87 88 89 90 91 92 93 94
FIGURA 6.4 Grado de apoyo a los partidos mayoritarios en las elecciones nacionales,
1980-1994 (las cifras de los Estados Unidos son las de las elecciones presidenciales; el
resto son los resultados de la cámara baja del parlamento).
Fuente: véase el apéndice metodológico para cifras y fuentes; compilado y elaborado
por Sandra Moog.
posibilidad real de ser elegidos—, la erosión de su apoyo afecta a la pro-
pia capacidad de predecir las posibilidades electorales, con lo que se re-
fuerza la crisis de credibilidad de las principales coaliciones y se acaba
precipitando su desaparición, como sucedió en la política italiana (demo-
cristianos, socialistas) y en la estadounidense (el Congreso demócrata) en
1994. Sin embargo, Zaller y Hunt, en su excelente análisis de la campaña
presidencial de Ross Perot durante 1992, advierten de los límites de la
política del «tercer partido». Según escriben:
386 El poder de la identidad
Incluso en una democracia de masas como la de Estados Unidos, ser un gran co-
municador no es suficiente para obtener el puesto más elevado de la nación. Ade-
más es necesario ser aceptado por los poderes existentes. El sistema estadouni-
dense de elegir presidentes, a pesar de la volatilidad inherente a un proceso de
nominación que otorga la autoridad final a masas de votantes volátiles y a me-
nudo desentendidas de la política, sigue siendo una fuerza institucional poderosa,
capaz de obligar a los candidatos a pasar por ella en lugar de rodearla87
.
La pregunta es: ¿hasta cuando? ¿Cuánta distancia, y cuánto tiempo,
puede mantenerse entre el anhelo del electorado de opciones políticas al-
ternativas y su formulación por las instituciones de la política mayoritaria,
en una situación en la que la política mediática puede lanzar (y extinguir)
nuevas estrellas en cuestión de horas?
No obstante, por ahora, la mayoría de la gente de la mayor parte de
los países sigue constreñida en sus elecciones por el peso de las institucio-
nes, las maquinarias políticas y las tradiciones políticas. En estas circuns-
tancias, un indicador adicional de desafección política al sistema de parti-
dos tradicional es la volatilidad del electorado en todo el mundo, que
hace caer partidos gobernantes y acelera el tempo de la alternancia polí-
tica. Tan sólo en cinco años, en 1992-1997, los votantes cambiaron de los
republicanos a los demócratas en las elecciones presidenciales estadouni-
denses de 1992, de los demócratas a los republicanos en las elecciones al
Congreso de 1994, y de nuevo a Clinton (después de que pusiera de re-
lieve su imagen de «nuevo demócrata») en 1996 (pero no volvieron a los
demócratas en el Congreso); de los socialistas a los conservadores en las
presidenciales francesas; de los socialistas a los conservadores y de vuelta
a los socialistas en las legislativas francesas; del centro a la derecha, luego
al centro-izquierda en Italia; de los socialistas+nacionalistas a los conser-
vadores+nacionalistas en España; de los conservadores a una coalición
múltiple, luego a los conservadores en un gobierno en minoría en Japón;
de los socialistas a los conservadores y de nuevo a los socialistas el Gre-
cia; de nada a Fernando Henrique Cardoso en Brasil; de los demócratas a
los comunistas en las elecciones parlamentarias de Rusia, luego otra vez a
Yeltsin en las elecciones presidenciales; y de los tories a los laboristas en
el Reino Unido en 1997. Así pues, la gente, descontenta y descorazonada,
cambia de una opción a otra con velocidad creciente, experimentando, en
la mayoría de los casos, desengaños sucesivos. Con cada nueva decepción,
se deteriora la moral, se consolida el cinismo y se desvanece la esperanza.
Como resultado de las tendencias presentadas, está apareciendo otro
rasgo importante: la fragmentación creciente del sistema político. Así,
aun cuando las elecciones indias de 1996 marcaron probablemente el fin
de una era de dominio del Partido del Congreso, los nacionalistas indios,
87
Zaller y Hunt, 1994, pág. 386.
La política informacional y la crisis de la democracia 387
ganadores de las elecciones, no pudieron mantener el gobierno al contar
sólo con un tercio de los escaños. En mayo de 1996 se constituyó un
«frente unido» heterogéneo para llevar al gobierno a una alianza incierta
de partidos de izquierda, partidos regionales y partidos de las castas infe-
riores, cuyo surgimiento en las elecciones fue la principal razón para la
crisis del régimen político. India, cuya estabilidad política democrática era
la envidia del mundo en vías de desarrollo, puede que haya entrado en
una situación de fragmentación política estructural y de regionalización
de la política.
Entre las principales democracias, sólo Alemania parece mantener la
estabilidad política en la década de los noventa, pero eso era así antes de
que Kohl emprendiera en 1996, bajo las presiones de la competencia glo-
bal, la reducción del estado de bienestar y la reforma de la cogestión in-
dustrial, temas nucleares del consenso político alemán. Es posible que las
> elecciones de 1998 marquen el fin de Kohl, el padre del euro.
Como consecuencia de estos hechos, en términos generales, no esta-
mos asistiendo a la retirada de la gente de la escena política, sino a la pe-
netración del sistema político por la política simbólica, las movilizaciones
por problemas concretos, el localismo, la política de referéndum y, sobre
todo, el apoyo específico al liderazgo personalizado. Con los partidos po-
líticos desvaneciéndose, ha llegado el tiempo de los salvadores. Ello intro-
duce una impredecibilidad sistémica. Podría resultar en una regeneración
personalizada de la política, como en el caso de Fernando Henrique Car-
doso, o quizás con Colin Powell (sería irónico, pero estimulante desde el
punto de vista histórico, ver a un afroamericano republicano, hijo de un
inmigrante jamaicano, relegitimar la política estadounidense). Pero tam-
bién podría acabar en una llamarada demagógica que desintegrara las ins-
tituciones políticas, pusiera en peligro la estabilidad mundial o lanzara un
nuevo asalto a la razón.
Cualquiera que sea el futuro, lo que la observación del presente pa-
rece indicar es que, bajo formas diferentes y en los distintos procesos que
he abordado en este capítulo y los previos, estamos presenciando la frag-
mentación del estado, el carácter impredecible del sistema político y la
singularización de la política. Puede que siga existiendo libertad política,
ya que la gente continuará luchando por ella. Pero la democracia política,
tal y como la concibieron las revoluciones liberales del siglo xvm y se di-
fundió por el mundo en los siglos xix y xx, se ha convertido en un casca-
rón vacío. No es que sea una «democracia formal»: la democracia vive de
esas mismas «formas», como el el sufragio universal secreto y el respeto a
las libertades civiles88
, pero las nuevas condiciones institucionales, cultu-
rales y tecnológicas del ejercicio democrático han vuelto obsoleto el sis-
tema de partidos existente y el régimen actual de política competitiva,
«" Kiil/iu-lsoii. I'»<«).
IKH El poder de la identidad
como mecanismos adecuados de representación política en la sociedad
red. La gente lo sabe y lo siente, pero también sabe, en su memoria colec-
tiva, lo importante que es evitar que los tiranos ocupen el espacio evanes-
cente de la política democrática. Los ciudadanos aún son ciudadanos,
pero dudan de qué ciudad y de quién es la ciudad.
CONCLUSIÓN: ¿RECONSTRUIR LA DEMOCRACIA?
Son éstas sin duda palabras alarmantes. En este punto, resulta tenta-
dor aprovechar la oportunidad para ofrecer una disertación sobre mi mo-
delo personal de democracia informacional. No se preocupe. Por razones
que presentaré en la conclusión general de este libro (en el volumen III),
me he prohibido las prescripciones normativas y la admonición política.
Sin embargo, en estricta equidad hacia la esperanza política, concluiré co-
mentado los caminos potenciales de la reconstrucción democrática, tal y
como se manifiestan en la práctica observada de las sociedades a mediados
de la década de los noventa, prescindiendo de mis opiniones personales
sobre su bondad. Como, afortunadamente, los embriones de la nueva po-
lítica democrática son numerosos y diversos a lo largo del mundo, restrin-
giré mi comentario a tres tendencias que considero particularmente im-
portantes para el futuro de la política informacional.
La primera es la recreación del estado local. En muchas sociedades
de todo el mundo, la democracia local, por las razones expuestas en el
capítulo 5, parece estar floreciendo, al menos en términos relativos a la
democracia política nacional. Ello es particularmente cierto cuando los
gobiernos regionales y locales colaboran mutuamente y extienden su al-
cance a la descentralización vecinal y la participación ciudadana.
Cuando se suman los medios electrónicos (la comunicación a través del
ordenador o las emisoras de radio y televisión locales) para extender la
participación y la consulta de los ciudadanos (por ejemplo, en Amster-
dam o en la Prefectura de Fukuoka), las nuevas tecnologías contribuyen
a aumentar la participación en el gobierno local. Las experiencias de
autogestión local, como la desarrollada por la municipalidad de Cuiaba,
en el Mato Grosso brasileño, muestran la posibilidad de reconstruir vín-
culos de representación política para compartir (si no controlar) los
desafíos de la globalización económica y el carácter impredecible de la
política. Existen límites obvios a este localismo, ya que acentúa la frag-
mentación del estado-nación. Pero, estrictamente por lo que se puede
observar, las tendencias más vigorosas de legitimación de la democracia
a mediados de la década de los noventa se están dando, en todo el mundo,
en el ámbito local89
.
89
Cooke, 1994; Graham, 1995; Ziccardi, 1995; Borja y Castells, 1996.
La política liitnimiulomil y In crisis de la democracia 3K9
Una segunda perspectiva que suele discutirse en la literatura<x
' y en los
medios de comunicación91
es la oportunidad que ofrece la comunicación
electrónica para incrementar la participación política y la comunica-
ción horizontal entre los ciudadanos. En efecto, el acceso a la información
por línea telefónica y la comunicación a través del ordenador facilita la di-
fusión y recuperación de información y ofrece posibilidades de interacción
y debate en un foro electrónico autónomo, sorteando el control de los
medios. Los referendos indicativos sobre una gran variedad de temas
pueden proporcionar una útil herramienta cuando se usan con cuidado,
sin ceder a la estructura demasiado simplificada de la política de referén-
dum. Lo que es más importante, los ciudadanos podrían formar, y están
formando, sus propias constelaciones políticas e ideológicas, evitando las
estructuras políticas establecidas y creando, de este modo, un ámbito po-
lítico adaptable. Sin embargo, a las perspectivas de una democracia elec-
trónica se le pueden dirigir serias críticas, como ya se está haciendo92
. Por
una parte, si esta forma de política democrática surgiera como un instru-
mento de debate, representación y decisión importante, sin duda institu-
cionalizaría una forma de «democracia ateniense» tanto nacional como
internacionalmente. Es decir, mientras que una élite relativamente pe-
queña, culta y rica de unos cuantos países y ciudades tendría acceso a una
herramienta extraordinaria de información y participación política que
mejoraría realmente la ciudadanía, las masas incultas y desconectadas del
mundo y del país permanecerían excluidas del nuevo núcleo democrático,
como lo estuvieron los esclavos y los bárbaros en los inicios de la demo-
cracia en la Grecia clásica. Por otra parte, la volatilidad del medio podría
inducir una acentuación de la «política espectáculo», con sus explosio-
nes de modas y mitos, una vez que el poder racionalizador de los partidos
y las instituciones fuera sorteado por los flujos de talantes políticos re-
pentinamente convergentes y divergentes. En otras palabras, la política
por línea telefónica podría empujar a la individualización de la política y
de la sociedad hasta un punto en que la construcción de la integración, el
consenso y las instituciones se volviera peligrosamente difícil de al-
canzar.
Para explorar este tema, mis alumnos del seminario de doctorado en
Sociología de la Sociedad Informacional de Berkeley hicieron un segui-
miento en línea de Internet en la primavera de 1996. Los resultados de su
análisis revelan algunas tendencias interesantes. Así, Klinenberg y Perrin
observaron que, en las primarias republicanas presidenciales de los Esta-
dos Unidos de 1996, la utilización de Internet desempeñó un papel impor-
tante para difundir información sobre los candidatos (Dole), así como
90
Ganley, 1991.
91
The Economist, 1995a.
92
Grupo de Expertos de Alto Nivel, 1996.
('MI I I poik-i <lc l;i lilcliliil;ul
para buscar apoyo (Buchanan) y contribuciones (todos los candidatos)'".
No obstante, los canales de comunicación eran inspeccionados y controla-
dos muy estrechamente, por lo que, en realidad, se convirtieron en un sis-
tema de comunicación de sentido único, más potente y flexible que la te-
levisión, pero no más abierto a la participación ciudadana. Esto podría
cambiar en el futuro, pero parece que la lógica de la política informacional
restringe la apertura del sistema, ya que los candidatos deben controlar los
mensajes de sus redes para que no se les haga responsables de posturas o
declaraciones que sean perjudiciales o que no conecten con el electorado.
Un control político estricto y la apertura electrónica parecen excluirse mu-
tuamente en el sistema presente. Así pues, mientras los partidos políticos y
las campañas organizadas controlen el proceso político, la participación
electrónica de los ciudadanos será relegada en la política informacional en
lo referente a las elecciones formales y la toma de decisiones.
Por otra parte, Steve Bartz, en el caso del movimiento ecologista, y
Matthew Zook, en el de la milicia estadounidense, descubrieron un pro-
ceso de obtención de poder de los grupos populares que utilizaban Inter-
net como un instrumento de información, comunicación y organización94
.
Parece que es en el ámbito de la política simbólica y en el desarrollo de
las movilizaciones orientadas hacia un tema concreto de grupos e indivi-
duos ajenos al sistema político mayoritario, donde la nueva comunicación
electrónica puede tener los efectos más espectaculares. Su repercusión so-
bre la democracia no está clara. Por un lado, permitir que la movilización
por problemas concretos se desarrolle al margen de la política formal
puede socavar aún más las instituciones de la democracia. Por el otro, si
la representación política y la toma de decisiones pudieran encontrar un
vínculo con estas nuevas fuentes de participación de los ciudadanos preo-
cupados, sin quedar en manos de una élite entendida en tecnología, po-
dría reconstruirse una nueva clase de sociedad civil, con lo que se permiti-
ría una popularización electrónica de la democracia.
El desarrollo de la política simbólica y de la movilización en torno a
causas «no políticas», sea electrónicamente o de otro modo, es la tercera
tendencia que puede darse en el proceso de reconstrucción de la demo-
cracia en la sociedad red. Las causas humanitarias, como las apoyadas por
Amnistía Internacional, Médicos sin Fronteras, Greenpeace, Oxfam,
Food First y cientos de miles de grupos activistas y organizaciones no gu-
bernamentales, tanto locales como globales de todo el mundo, son el fac-
tor movilizador proactivo más vigoroso en la política informacional95
. Es-
tas movilizaciones se desarrollan en torno a temas que gozan de un
amplio consenso y que no están necesariamente alineados con uno u otro
Klinenberg y Perrin, 1996.
Bartz, 1996; Zook, 1996.
Guehenno, 1993.
la poliin ,i iiit< ii iiuii'itnuil y la crisis de la democracia 391
partido político. En efecto, en lo referente a su posición oficial, la mayo-
ría de los partidos políticos parecen apoyar la mayor parte de estas cau-
sas. Y la mayoría de las organizaciones humanitarias se abstienen de res-
paldar a un partido político determinado, excepto en temas y momentos
específicos. Buena parte de estas movilizaciones se encuentran entre los
movimientos sociales y las acciones políticas, ya que se dirigen a los ciu-
dadanos, pidiéndoles que presionen a las instituciones públicas o a las
empresas privadas que pueden cambiar las cosas en el tema particular de
que se ocupa la movilización. En otros casos sí apelan directamente a la
solidaridad de la gente. En definitiva, su horizonte es actuar sobre el pro-
ceso político; es decir, influir en la gestión de la sociedad que realizan los
representantes de ésta. Pero no utilizan necesariamente y, de hecho, no lo
hacen con mucha frecuencia, los canales de representación política y
toma de decisiones, por ejemplo, eligiendo sus candidatos para el puesto.
Estas formas de movilización política, que podrían definirse como política
no partidista, orientada a un tema concreto, parecen obtener cada vez
mayor legitimidad en todas las sociedades y condicionar las reglas y resul-
tados de la competición política formal. Relegitiman la preocupación por
los asuntos públicos en las mentes y vidas de la gente. Lo hacen introdu-
ciendo nuevos procesos políticos y nuevos temas políticos, con lo que
contribuyen a la crisis de la democracia liberal clásica, mientras que fo-
mentan la aparición de la democracia informacional, aún por descubrirse.
Conclusión:
EL CAMBIO SOCIAL EN LA SOCIEDAD RED
En los albores de la era informacional, una crisis de legitimidad está
vaciando de significado y función a las instituciones de la era industrial.
Superado por las redes globales de riqueza, poder e información, el es-
tado-nación moderno ha perdido buena parte de su soberanía. Al tratar
de intervenir estratégicamente en este escenario global, el estado pierde
capacidad de representar a sus electorados, arraigados en un territorio
histórico. En un mundo donde el multilateralismo es la regla, la separa-
ción entre naciones y estados, entre la política de representación y la polí-
tica de intervención, desorganiza la unidad contable sobre la que se cons-
truyó la democracia liberal y se ejerció en los dos últimos siglos. La
privatización de los organismos públicos y el declive del estado de bienes-
tar, aunque alivian a las sociedades de algunas cargas burocráticas, empe-
oran las condiciones de vida para la mayoría de los ciudadanos, rompen
el contrato social entre el capital, el trabajo y el estado, y eliminan buena
parte de la red de seguridad social, el sostén del gobierno legítimo para el
ciudadano de a pie. Desgarrado por la internacionalización de las finan-
zas y la producción, incapaz de adaptarse a la interconexión de las empre-
sas y la individualización del trabajo, y cuestionado por la feminización
del empleo, el movimiento obrero se desvanece como una fuente impor-
tante de cohesión social y representación de los trabajadores. No desapa-
rece, pero se convierte, primordialmente, en un agente político integrado
y>4 El poder de lii idcnlidml
en el ámbito de las instituciones públicas. Las iglesias mayoritarias, que
practican una forma de religión secularizada dependiente tanto del estado
como del mercado, pierden mucha de su capacidad de imponer una con
ducta a cambio de proporcionar consuelo y vender suelo celestial. El reto
al patriarcado y la crisis de la familia patriarcal alteran la secuencia de
transmisión ordenada de los códigos culturales de generación en genera-
ción y sacuden los cimientos de la seguridad personal, obligando a los
hombres, las mujeres y los niños a encontrar nuevos modos de vida. Las
ideologías políticas que emanan de las instituciones y organizaciones in-
dustriales, del liberalismo democrático basado en el estado-nación al so-
cialismo basado en el trabajo, se ven privados de significado real en el
nuevo contexto social. Por lo tanto, pierden su atractivo y, para tratar de
sobrevivir, se embarcan en una serie de adaptaciones interminables, co-
rriendo detrás de la nueva sociedad enarbolando banderas polvorientas
de guerras olvidadas.
Como resultado de estos procesos convergentes, se drenan las fuentes
de las que denomino en el capítulo 1 identidades legitimadoras. Las insti-
tuciones y organizaciones de la sociedad civil, que se construyeron en
torno al estado democrático y al contrato social entre capital y trabajo, se
han convertido, en general, en caparazones vacíos, cada vez menos capa-
ces de relacionarse con las vidas y los valores de la gente en la mayoría de
las sociedades. Es, en efecto, una ironía trágica que cuando la mayoría de
los países del mundo han logrado finalmente el acceso a las instituciones
de la democracia liberal (en mi opinión, la base de toda democracia polí-
tica), estas instituciones están tan distantes de la estructura y los procesos
con importancia real, que aparecen ante la mayoría de la gente como una
mueca sarcástica en el nuevo rostro de la historia. En este fin de milenio,
el rey y la reina, el estado y la sociedad civil, están ambos desnudos, y sus
hijos ciudadanos vagan a través de diversos hogares adoptivos.
La disolución de las identidades compartidas, que equivale a la disolu-
ción de la sociedad como sistema social significativo, muy bien pudiera
ser el estado de cosas de nuestro tiempo. Nada dice que tengan que surgir
nuevas identidades, que nuevos movimientos sociales tengan que recrear
la sociedad y que se reconstruirán nuevas instituciones en unos lende-
mains qui chantent. A primera vista, estamos siendo testigos del surgi-
miento de un mundo hecho exclusivamente de mercados, redes, indivi-
duos y organizaciones estratégicas, aparentemente gobernados por
modelos de «expectativas racionales» (la nueva e influyente teoría econó-
mica), excepto cuando esos «individuos racionales» disparan de repente a
su vecino, violan a una pequeña o envenenan el aire del metro con gas
nervioso. No hay necesidad de identidades en este nuevo mundo: instin-
tos básicos, impulsos de poder, cálculos estratégicos centrados en uno
mismo y, en el nivel macrosocial, «los rasgos claros de una dinámica nó-
mada y bárbara, de un elemento dionisiaco que amenaza con inundar to-
Conclusión II elimino MK-IIII CU la socicclml red .w>
das las fronteras y volver problemáticas las normas políticas-legales y civi-
lizadas internacionales»'. Un mundo cuyo contrapunto podría ser, como
ya estamos viendo en diversos países, una reafirmación nacionalista por
parte de los restos de las estructuras estatales, abandonando toda preten-
sión de legitimidad y recuperando de la historia el principio del poder por
el poder, a veces envuelto en retórica nacionalista. En los paisajes que he-
mos explorado en los dos primeros volúmenes de este libro, hemos perci-
bido las semillas de una sociedad cuya Weltanschauung se dividiría entre
la antigua lógica de Macht y una nueva lógica de Selbstanschauung2
.
Sin embargo, también hemos observado la aparición de vigorosas
identidades de resistencia, que se atrincheran en los paraísos comunales y
se niegan a ser barridas por los flujos globales y el individualismo radical.
Construyen sus comunidades en torno a los valores tradicionales de Dios,
patria y familia, y aseguran los cercados de sus campamentos con emble-
mas étnicos y defensas territoriales. Las identidades de resistencia no se
limitan a los valores tradicionales. También pueden construirse en torno a
movimientos sociales proactivos, que optan por establecer su autonomía
en su resistencia comunal mientras no tengan la fuerza suficiente para lle-
var a cabo un asalto a las instituciones opresivas a las que se oponen. En
general, éste es el caso del movimiento de las mujeres, que construyen su
espacio donde surge una nueva conciencia antipatriarcal; y es sin duda el
caso de los movimientos de liberación sexual, cuyos espacios de libertad,
de los bares a los barrios, son mecanismos esenciales de autorreconoci-
miento. Incluso el movimiento ecologista, cuyo horizonte último es cos-
mológico, a menudo comienza en los patios traseros y las comunidades de
todo el mundo, protegiendo espacios antes de emprender la conquista del
tiempo.
Así pues, las identidades de resistencia son tan decisivas en la socie-
dad red como lo son los proyectos individualistas que resultan de la diso-
lución de las antiguas identidades legitimadoras que solían constituir la
sociedad civil de la era industrial. Sin embargo, estas identidades resisten,
apenas se comunican. No se comunican con el estado, excepto para luchar
y negociar en nombre de sus intereses/valores específicos. Rara vez se co-
munican entre sí porque se construyen en torno a principios muy distintos
que definen un «dentro» y un «fuera». Y como la lógica comunal es la
clave de su supervivencia, no se aceptan las autodefiniciones individuales.
Así, por una parte, las élites globales dominantes que habitan el espacio
de los flujos tienden a estar formadas por individuos sin identidad («ciu-
dadanos del mundo»); mientras que, por otra parte, la gente que se resiste
1
Panarin, 1994, pág. 37.
2
Macht= Potencia; Weltanschauung= visión del mundo centrada en la cultura. Selbstan-
schauung (neologismo propuesto) = visión del mundo centrada en el yo.
w> El poder de IH HICIUKIIUI
a la privación de derechos económicos, culturales y políticos tiende a sen-
tirse atraída hacia la identidad comunal.
Debemos, entonces, añadir otra capa al dinamismo social de la socie-
dad red. Junto con los aparatos del estado, las redes globales y los indivi-
duos centrados en sí mismos, también hay comunidades formadas en
torno a la identidad de resistencia. Sin embargo, todos estos elementos no
se articulan juntos, sus lógicas se excluyen mutuamente y su coexistencia
no es probable que sea pacífica.
Por lo tanto, el surgimiento de las identidades proyecto (véase el capí-
tulo 1) se convierte en la cuestión clave, capaz en potencia de reconstruir
una nueva suerte de sociedad civil y, a la larga, un nuevo estado. A este
respecto, no seré prescriptivo ni profético, sino que más bien me exten-
deré sobre los resultados provisionales de mi observación de los movi-
mientos sociales y los procesos políticos. Mi análisis no excluye la posibili-
dad de que unos movimientos sociales bastante diferentes a los
considerados aquí puedan tener un importante papel en la constitución
de la sociedad futura. Pero, a fecha de hoy, fines de 1996, no he detectado
sus señales.
Las nuevas identidades proyecto no parecen surgir de antiguas identi-
dades de la sociedad civil de la era industrial, sino del desarrollo de las
identidades de resistencia actuales. Creo que existen razones teóricas, así
como argumentos empíricos, para esa trayectoria en la formación de nue-
vos sujetos históricos. Pero, antes de proponer algunas ideas sobre el
tema, he de aclarar cómo las identidades proyecto surgen de las identida-
des de resistencia que hemos observado.
El hecho de que una comunidad se construya en torno a una identidad
de resistencia no significa que probablemente evolucione hacia la cons-
trucción de una identidad proyecto. Puede muy bien mantenerse como
una comunidad defensiva. O, también, puede convertirse en un grupo de
interés y unirse a la lógica de la negociación generalizada, la lógica domi-
nante en la sociedad red. No obstante, en otros casos, las identidades de
resistencia pueden generar identidades proyecto, orientadas hacia la
transformación de la sociedad en su conjunto, en continuidad con los va-
lores de una resistencia comunal a los intereses globales establecidos por
los flujos globales de capital, poder e información.
Las comunidades religiosas pueden convertirse en movimientos fun-
damentalistas religiosos que pretenden la remoralización de la sociedad,
el restablecimiento de los valores eternos y divinos y la reunión de todo el
mundo, o al menos de los barrios cercanos, en una comunidad de creyen-
tes, fundando de este modo una nueva sociedad.
La trayectoria del nacionalismo en la era de la información es más in-
determinada, según la observación de la experiencia reciente. Por una
parte, puede conducir al atrincheramiento en un estado-nación recons-
truido, relegitimándolo en nombre de la nación más que del estado. Por
Conclusión: F.l cniuhln «ociul en la sociedad red 397
la otra, puede reemplazar al estado-nación moderno afirmando las nacio-
nes más allá del estado y construyendo redes multilaterales de institucio-
nes políticas en una geometría variable de soberanía compartida.
La etnicidad, aunque es un ingrediente esencial tanto de la opresión
como de la liberación, parece que suele formularse en apoyo de otras
identidades comunales (religiosa, nacional, territorial), más que inducir a
la resistencia o a nuevos proyectos por sí misma.
La identidad territorial está en las raíces del alza mundial de gobier-
nos locales y regionales como actores significativos de representación e
intervención, más apropiados para adaptarse a la variación interminable
de los flujos globales. La reinvención de la ciudad-estado es una caracte-
rística sobresaliente de esta nueva era de globalización, tal y como ocu-
rrió durante el ascenso de una economía mercantil internacional en el ori-
gen de la Edad Moderna.
Las comunas de mujeres y los espacios de libertad de identidad sexual
se proyectan en la sociedad en general, socavando el patriarcado y re-
construyendo la familia de un modo nuevo e igualitario que implica la
pérdida de género de las instituciones sociales, en oposición al capita-
lismo patriarcal y al estado patriarcal.
El ecologismo pasa de la defensa del entorno, la salud y el bienestar
propios, al proyecto ecológico de integrar humanidad y naturaleza basán-
dose en la identidad sociobiológica de la especie y asumiendo el signifi-
cado cosmológico de la humanidad.
Estos proyectos de identidad surgen de la resistencia comunal más
que de la reconstrucción de las instituciones de la sociedad civil, debido a
la crisis de estas instituciones y a la aparición de identidades de resisten-
cia, originadas precisamente en las nuevas características de la sociedad
red que socavan las primeras e inducen las últimas. A saber, la globaliza-
ción, la reestructuración capitalista, la interconexión organizativa, la cul-
tura de la virtualidad real y la primacía de la tecnología por la tecnología,
los rasgos clave de la estructura social de la era de la información, son las
fuentes mismas de la crisis del estado y de la sociedad civil tal y como es-
taban constituidos en la era industrial. También son las fuerzas contra las
que se organiza la resistencia comunal, con nuevos proyectos de identidad
surgiendo potencialmente en torno a esas resistencias. La resistencia y los
proyectos contradicen la lógica dominante de la sociedad red, empren-
diendo luchas defensivas y ofensivas en torno a los tres ámbitos fundacio-
nales de esta nueva estructura social: espacio, tiempo y tecnología.
Las comunidades de resistencia defienden su espacio, sus lugares, con-
tra la lógica sin lugares del espacio de los flujos que caracteriza el domi-
nio social en la era de la información (volumen I, capítulo 6). Reclaman
su memoria histórica y afirman la permanencia de sus valores contra la
disolución de la historia en el tiempo atemporal y la celebración de lo efí-
mero en la cultura de la virtualidad real (volumen I, capítulo 7). Utilizan
398 El poder de la iilcnlulml
la tecnología de la información para la comunicación horizontal de la
gente y la plegaria comunal, mientras que rechazan la nueva idolatría de
la tecnología y conservan los valores trascendentales contra la lógica de-
constructora de las redes informáticas autorreguladoras.
Los ecologistas afirman el control de los usos del espacio en nombre
tanto de la gente como de la naturaleza contra la lógica antinatural y abs-
tracta del espacio de los flujos. Proponen la visión cosmológica del
tiempo glacial, integrando a la especie humana en su entorno evolutivo, y
rechazan la aniquilación del tiempo por la pérdida de las secuencias, ló-
gica inserta en el tiempo atemporal (volumen I, capítulo 7). Y apoyan el
uso de la ciencia y la tecnología para la vida, mientras que se oponen al
dominio de la vida por la ciencia y la tecnología.
Las feministas y los movimientos de identidad sexual afirman el con-
trol de sus espacios más inmediatos, sus cuerpos, sobre la desencarnación
del espacio de los flujos, influido por el patriarcado, donde las imágenes
reconstruidas de la mujer y los fetiches de la sexualidad disuelven su hu-
manidad y niegan su identidad. También luchan por el control de su
tiempo, ya que la lógica atemporal de la sociedad red amontona papeles y
funciones sobre las mujeres, sin adaptar sus nuevas vidas a una nueva me-
dida del tiempo; de tal modo que el horario alienado se convierte en la
expresión más concreta de las tareas de una mujer liberada en una orga-
nización social no liberada. Los movimientos de mujeres y de identidad
sexual también pretenden utilizar la tecnología para mejorar sus derechos
(por ejemplo, sus derechos reproductivos y el derecho a controlar sus
cuerpos) contra los usos patriarcales de la ciencia y la tecnología, expresa-
dos en la sumisión de la mujer a los rituales y prejuicios médicos arbitra-
rios, o en la falta temporal de voluntad de algunas instituciones científicas
para combatir el sida mientras se consideró que era una enfermedad ho-
mosexual. En el momento en que la humanidad alcanza la frontera tecno-
lógica del control social sobre la reproducción biológica de la especie, se
libra una batalla fundamental entre los cuerpos como identidades autóno-
mas y los cuerpos como artefactos sociales. Por ello, la política de la iden-
tidad comienza con nuestros cuerpos.
Así pues, la lógica dominante en la sociedad red pTovoca sus propios
desafíos en la forma de identidades de resistencia comunales y de identi-
dades proyecto que surgen potencialmente de esos espacios, en condicio-
nes y mediante procesos que son específicos de cada contexto institucional
y cultural. La dinámica contradictoria resultante se encuentra en el centro
del proceso histórico mediante el cual se está constituyendo una nueva es-
tructura social y la carne y hueso de nuestras sociedades. ¿Dónde está el
poder en esta estructura social? ¿Y qué es el poder en estas condiciones?
El poder, como se sostuvo y mostró en cierta extensión en este volu-
men y en el primero de este libro, ya no se concentra en las instituciones
(el estado), las organizaciones (empresas capitalistas) o los controladores
Conclusión: Id camino social en la sociedad red W
simbólicos (empresas mediáticas, iglesias). Se difunde en redes globales
de riqueza, poder, información e imágenes, que circulan y se transmutan
en un sistema de geometría variable y geografía desmaterializada. Pero
no desaparece. El poder sigue rigiendo la sociedad; todavía nos da forma y
nos domina. No sólo porque los aparatos de distintos tipos aún pueden
disciplinar los cuerpos y silenciar las mentes. Esta forma de poder es
eterna y, al mismo tiempo, se está desvaneciendo. Es eterna porque los
humanos somos, y seremos, predadores. Pero, en su forma actual de exis-
tencia, se está desvaneciendo: el ejercicio de este tipo de poder es cada
vez menos efectivo para los intereses que pretende servir. Los estados
pueden disparar, pero puesto que el perfil de sus enemigos y el paradero
de sus contendientes son cada vez menos claros, tienden a hacerlo al azar,
con la probabilidad de dispararse ellos mismos.
El nuevo poder reside en los códigos de información y en las imágenes
de representación en torno a los cuales las sociedades organizan sus institu-
ciones y la gente construye sus vidas y decide su conducta. La sede de este
poder es la mente de la gente. Por ello, en la era de la información, el po-
der es al mismo tiempo identificable y difuso. Sabemos lo que es, pero no
podemos hacernos con él porque es una función de una batalla intermina-
ble en torno a los códigos culturales de la sociedad. Quien gane la batalla
de la mente de la gente gobernará, porque los aparatos rígidos y potentes
no serán un rival, en un espacio de tiempo razonable, para las mentes mo-
vilizadas en torno al poder de redes alternativas y flexibles. Pero puede
que las victorias sean efímeras, ya que la turbulencia de los flujos de in-
formación mantendrá a los códigos en un torbellino constante. Por este
motivo son tan importantes las identidades y, en definitiva, tan poderosas
en esta estructura de poder en cambio constante, porque construyen inte-
reses, valores y proyectos en torno a la experiencia y se niegan a disol-
verse, estableciendo una conexión específica entre naturaleza, historia,
geografía y cultura. Las identidades fijan el poder en algunas zonas de la
estructura social y desde allí organizan su resistencia o sus ofensivas en la
lucha informacional sobre los códigos culturales que construyen la con-
ducta y, de este modo, las nuevas instituciones.
En estas condiciones, ¿quiénes son los sujetos de la era de la informa-
ción? Ya conocemos, o al menos así lo sugiero, las fuentes de las que pro-
bablemente surgen. También añadiría que creo que conocemos de dónde
no es probable que se desarrollen. Por ejemplo, el movimiento obrero pa-
rece estar superado en la historia. No es que vaya a desaparecer por com-
pleto (aunque se está debilitando en buena parte del mundo) o que haya
perdido toda su importancia. De hecho, los sindicatos son actores políti-
cos influyentes en muchos países. Y en muchos casos son la principal he-
rramienta, o la única, de los trabajadores para defenderse de los abusos
del capital y el estado. Pero debido a los rasgos estructurales y los proce-
sos históricos que he tratado de transmitir en los dos primeros volúmenes
4<H) I I poder de la klcnlklail
de este libro, el movimiento obrero no parece adecuado para generar, por
sí mismo y a partir de él, una identidad proyecto capaz de reconstruir el
control social y las instituciones sociales en la era de la información. Los
militantes sindicales serán sin duda parte de la nueva dinámica social
transformadora. Estoy menos seguro de que los sindicatos vayan a serlo.
Los partidos políticos también han agotado su potencial como agentes
autónomos de cambio social, atrapados en la lógica de la política informa-
cional y cuando su principal plataforma, las instituciones del estado-na-
ción, han perdido gran parte de su importancia. Sin embargo, siguen
siendo instrumentos esenciales para procesar las demandas de la socie-
dad, encabezadas por los movimientos sociales, en el ámbito de la política
nacional, internacional y supranacional. En efecto, aunque los movimien-
tos sociales son los que tendrán que proveer los nuevos códigos bajo los
cuales puedan repensarse las sociedades y restablecerse partidos políticos
de algún tipo (quizás en nuevas encarnaciones informacionales), los parti-
dos siguen siendo entidades cruciales para institucionalizar la transforma-
ción social. Son negociadores influyentes más que innovadores podero-
sos.
Así pues, los movimientos sociales que surgen de la resistencia comu-
nal a la globalización, la reestructuración capitalista, la organización en
red, el informacionalismo incontrolado y el patriarcado —esto es, hasta el
momento, ecologistas, feministas, fundamentalistas religiosos, nacionalis-
tas y localistas— son los sujetos potenciales de la era de la información.
¿De qué forma se expresan? Aquí mi análisis es necesariamente más es-
peculativo, aunque me siento obligado a sugerir algunas hipótesis, basa-
das lo más posible en las observaciones presentadas en este volumen.
Las entidades que expresan proyectos de identidad orientados a cam-
biar los códigos culturales deben ser movilizadoras de símbolos. Han de
actuar sobre la cultura de la virtualidad real que encuadra la comunica-
ción en la sociedad red, subvirtiéndola en nombre de valores alternativos
e introduciendo códigos que surgen de proyectos de identidad autóno-
mos. He observado dos clases principales de estas entidades potenciales.
A la primera la denominaré los profetas. Son personalidades simbólicas
cuyo papel no es el de los dirigentes carismáticos o el de los estrategas sa-
gaces, sino el de dar un rostro (o una máscara) a una sublevación simbó-
lica, de tal modo que hablen en nombre de los insurgentes. Así, los rebel-
des sin voz la adquieren y su identidad puede entrar en el ámbito de las
luchas simbólicas y tener posibilidad de lograr el poder, en la mente de la
gente. Por supuesto, éste es el caso del Subcomandante Marcos, dirigente
de los zapatistas mexicanos. Pero también del compadre Palenque de La
Paz-El Alto. O de Asahara, el gurú del culto asesino japonés. O, para
destacar la diversidad de expresión de esos oráculos potenciales, el caso
del dirigente nacionalista catalán Jordi Pujol, cuya moderación, racionali-
dad e ingenio estratégico oculta a menudo su determinación paciente de
('(inclusión I I. .miliMi MI. ul cu l.i sociedad red 401
insertar a Cataluña como una nación entre las otras naciones europeas,
hablando en su nombre y reconstruyendo su identidad carolingia. Puede
ser la voz de un nuevo y original tipo de nacionalismo sin estado en la Eu-
ropa informacional. En otro ejemplo diferente, la conciencia ecológica
suele ser representada por cantantes de rock populares, como Sting en su
campaña por salvar la Amazonia. Una clase diferente de profeta podría
ser el neoludita Unabomber en los Estados Unidos, vinculando la tradi-
ción anarquista con la defensa violenta de la naturaleza esencial contra
los males de la tecnología. En los movimientos fundamentalistas islámicos
o cristianos, diversos líderes religiosos (no daré nombres) asumen un pa-
pel dirigente similar, al interpretar los textos sagrados para exponer la
verdad de Dios con la esperanza de que alcance y conmueva las mentes y
las almas de los futuros creyentes. Los movimientos de los derechos hu-
manos también suelen depender de la actuación de personalidades simbó-
licas inflexibles, como es el caso de la tradición de los disidentes rusos, re-
presentados en la historia por Sájarov y ejemplificados en la década de
los noventa por Sergéi Kovalov. He optado de forma deliberada por mez-
clar los géneros en mis ejemplos para indicar que hay «buenos» y «malos»
profetas según las preferencias individuales, incluida la mía. Pero todos
ellos son profetas en el sentido de que señalan el camino, afirman los va-
lores y actúan como emisores de símbolos, convirtiéndose a su vez en sím-
bolos, de tal modo que el mensaje es inseparable del mensajero. Las tran-
siciones históricas, a menudo operadas en medio de instituciones que se
desmoronan y de formas políticas exhaustas, siempre han sido el tiempo
de los profetas. Y debe serlo aún más en la transición a la era de la infor-
mación, es decir, a una estructura social organizada en torno a los flujos
de información y la manipulación de símbolos.
Sin embargo, la segunda yprincipal entidad detectada en nuestro viaje
por las tierras habitadas por los movimientos sociales es una forma de or-
ganización e intervención interconectada y descentralizada, característica
de los nuevos movimientos sociales, que refleja y contrarresta la lógica in-
terconectada de dominio de la sociedad informacional. Éste es clara-
mente el caso del movimiento ecologista, construido en torno a redes na-
cionales e internacionales de actividad descentralizada. Pero también he
mostrado que es el caso entre los movimientos de mujeres, los movimien-
tos rebeldes contra el orden global y los movimientos fundamentalistas
religiosos. Estas redes hacen algo más que organizar la actividad y com-
partir la información. Son los productores y distribuidores reales de códi-
gos culturales. No sólo en la Red, sino en sus múltiples formas de inter-
cambio e interacción. Su repercusión en la sociedad raramente proviene
de una estrategia concertada, manipulada por un centro. Sus campañas de
mayor éxito, sus iniciativas más llamativas, suelen resultar de «turbulen-
cias» en la red interactiva de comunicación de múltiples capas, como en la
producción de una «cultura verde» por parte de un foro universal en el
•102 lil |)ii(lcr de l<i ick-iiiichid
que se unen las experiencias de conservar la naturaleza y sobrevivir al ca
pitalismo al mismo tiempo. O en la desaparición del patriarcado como re-
sultado del intercambio de las experiencias de las mujeres en los grupos
de mujeres, las revistas de mujeres, las librerías de mujeres, las películas de
mujeres, las clínicas de mujeres y las redes de apoyo de mujeres para criar
a los hijos. Es este carácter descentralizado y sutil de las redes de cambio
social el que hace tan difícil percibir e identificar los nuevos proyectos de
identidad que están en camino. Como nuestra visión histórica está tan
acostumbrada a los batallones ordenados, las banderas al viento y las pro-
clamas de cambio social que siguen un guión, nos sentimos perdidos
cuando nos enfrentamos a la sutil penetración de los cambios increménta-
les de símbolos procesados a través de redes multiformes, fuera de las se-
des del poder. En estos callejones traseros de la sociedad, ya sea en redes
electrónicas alternativas o en redes populares de resistencia comunal, es
donde he percibido los embriones de una nueva sociedad, labrados en los
campos de la historia por el poder de la identidad.
Continuará.
APÉNDICE METODOLÓGICO
APÉNDICE PARA LOS CUADROS 5.1 Y 5.2
Los ratios y tipos de cambio de los cuadros 5.1 y 5.2 se calcularon utilizando
datos provenientes de varias fuentes estadísticas diferentes. Los cuadros que si-
guen se han organizado para mostrar las cifras reales utilizadas en los cálculos, así
como los ratios y tipos de cambio que se calcularon utilizando esos datos. En las
filas en las que se presentan los datos originales, se han indicado las fuentes en la
columna del extremo derecho, utilizando las abreviaturas siguientes:
GFSY = Government Finance Statistics Yearbook, vol. 18, Washington
DC, FMI, 1994.
IFSY = International Financial Statistics Yearbook, vol. 48, Washington
DC, FMI, 1995.
EWY = The Europa World Yearbook, Londres, Europa Publications,
1982,1985,1995.
OECDNA = National Accounts: Detailed Tables, 1980-1992, vol. 2, París,
OCDE, 1994.
WT = World Tables, 1994, Banco Mundial, Baltimore, The Johns Hop-
kins University Press, 1994.
Los cuadros se han dispuesto en orden alfabético por países. Para cada país, el
cuadro 5.1A proporciona los datos, los cálculos y las fuentes para el cuadro 5.1,
mientras que el cuadro 5.2A proporciona información para el cuadro 5.2.
A continuación se presenta una lista de definiciones y explicaciones de nuestros
cálculos. En los apéndices de los materiales utilizados como fuentes, pueden encon-
trarse las definiciones completas de todas las categorías incluidas en estos cuadros y
las descripciones de las fuentes de datos originales y los métodos de cálculo.
Tipos de cambio
Reservas de divisas
Exportaciones
Deuda externa
medias del periodo de los tipos de cambio de mercado y
de los tipos de cambio oficiales.
reservas que no sean de oro según la valoración nacional,
exportaciones de mercancía, franco a bordo,
distinguida de la deuda interna según la residencia del
prestamista cuando es posible y, si no, según la divisa en
la que se denominan los instrumentos de la deuda.
Inversión interna = calculada multiplicando las cifras de cada país del cuadro
mundial de «Inversión como porcentaje del PIB» del
IFSY por la del PIB del país. La inversión comprende la
formación bruta de capital fijo y el aumento de los stocks.
Una (p) después de una cifra indica que es preliminar.
Una (f) indica una cifra final.
Un * indica que hay un cambio en los métodos de cálculo en relación con las figu-
ras de los años previos.
Los cuadros 5.1 y 5.2, y estos apéndices han sido compilados y elaborados por
Sandra Moog.
430 El poder de la ¡dentidHcl
APÉNDICE PARA LA FIGURA 6.4: GRADO DE APOYO A LOS PARTIDOS
MAYORITARIOS EN LAS ELECCIONES NACIONALES, 1980-1994
Los porcentajes de la figura 6.4 se han calculado utilizando los resultados elec-
torales de las elecciones a la cámara baja del parlamento, excepto en el caso de
los Estados Unidos, donde se usaron los resultados de las elecciones presidencia-
les. Los partidos se consideraron mayoritarios si habían participado en el go-
bierno, con las excepciones del Partido Comunista Francés y del Partido Comu-
nista Italiano.
Para las fuentes, véase la última fila del cuadro de cada país. Todos los datos
proceden de una de las fuentes siguientes:
EWY = Europa World Yearbook, Londres, Europa Publications, 1982-1995.
SY = Statesman's Yearbook, ed. Brian Hunter, Nueva York, St Martin's
Press, 1994-1995,1995-1996.
MDI = Ministerio del Interior, cita
Castellsmanuel laeradelainformaciontomo2-121126161306-phpapp02
Castellsmanuel laeradelainformaciontomo2-121126161306-phpapp02
Castellsmanuel laeradelainformaciontomo2-121126161306-phpapp02
Castellsmanuel laeradelainformaciontomo2-121126161306-phpapp02
Castellsmanuel laeradelainformaciontomo2-121126161306-phpapp02
Castellsmanuel laeradelainformaciontomo2-121126161306-phpapp02
Castellsmanuel laeradelainformaciontomo2-121126161306-phpapp02
Castellsmanuel laeradelainformaciontomo2-121126161306-phpapp02
Castellsmanuel laeradelainformaciontomo2-121126161306-phpapp02
Castellsmanuel laeradelainformaciontomo2-121126161306-phpapp02
Castellsmanuel laeradelainformaciontomo2-121126161306-phpapp02
Castellsmanuel laeradelainformaciontomo2-121126161306-phpapp02
Castellsmanuel laeradelainformaciontomo2-121126161306-phpapp02
Castellsmanuel laeradelainformaciontomo2-121126161306-phpapp02
Castellsmanuel laeradelainformaciontomo2-121126161306-phpapp02
Castellsmanuel laeradelainformaciontomo2-121126161306-phpapp02
Castellsmanuel laeradelainformaciontomo2-121126161306-phpapp02
Castellsmanuel laeradelainformaciontomo2-121126161306-phpapp02
Castellsmanuel laeradelainformaciontomo2-121126161306-phpapp02
Castellsmanuel laeradelainformaciontomo2-121126161306-phpapp02
Castellsmanuel laeradelainformaciontomo2-121126161306-phpapp02
Castellsmanuel laeradelainformaciontomo2-121126161306-phpapp02
Castellsmanuel laeradelainformaciontomo2-121126161306-phpapp02
Castellsmanuel laeradelainformaciontomo2-121126161306-phpapp02
Castellsmanuel laeradelainformaciontomo2-121126161306-phpapp02
Castellsmanuel laeradelainformaciontomo2-121126161306-phpapp02
Castellsmanuel laeradelainformaciontomo2-121126161306-phpapp02
Castellsmanuel laeradelainformaciontomo2-121126161306-phpapp02
Castellsmanuel laeradelainformaciontomo2-121126161306-phpapp02
Castellsmanuel laeradelainformaciontomo2-121126161306-phpapp02
Castellsmanuel laeradelainformaciontomo2-121126161306-phpapp02
Castellsmanuel laeradelainformaciontomo2-121126161306-phpapp02
Castellsmanuel laeradelainformaciontomo2-121126161306-phpapp02
Castellsmanuel laeradelainformaciontomo2-121126161306-phpapp02
Castellsmanuel laeradelainformaciontomo2-121126161306-phpapp02
Castellsmanuel laeradelainformaciontomo2-121126161306-phpapp02
Castellsmanuel laeradelainformaciontomo2-121126161306-phpapp02
Castellsmanuel laeradelainformaciontomo2-121126161306-phpapp02
Castellsmanuel laeradelainformaciontomo2-121126161306-phpapp02
Castellsmanuel laeradelainformaciontomo2-121126161306-phpapp02
Castellsmanuel laeradelainformaciontomo2-121126161306-phpapp02
Castellsmanuel laeradelainformaciontomo2-121126161306-phpapp02
Castellsmanuel laeradelainformaciontomo2-121126161306-phpapp02
Castellsmanuel laeradelainformaciontomo2-121126161306-phpapp02
Castellsmanuel laeradelainformaciontomo2-121126161306-phpapp02
Castellsmanuel laeradelainformaciontomo2-121126161306-phpapp02
Castellsmanuel laeradelainformaciontomo2-121126161306-phpapp02
Castellsmanuel laeradelainformaciontomo2-121126161306-phpapp02
Castellsmanuel laeradelainformaciontomo2-121126161306-phpapp02
Castellsmanuel laeradelainformaciontomo2-121126161306-phpapp02
Castellsmanuel laeradelainformaciontomo2-121126161306-phpapp02
Castellsmanuel laeradelainformaciontomo2-121126161306-phpapp02
Castellsmanuel laeradelainformaciontomo2-121126161306-phpapp02
Castellsmanuel laeradelainformaciontomo2-121126161306-phpapp02
Castellsmanuel laeradelainformaciontomo2-121126161306-phpapp02
Castellsmanuel laeradelainformaciontomo2-121126161306-phpapp02
Castellsmanuel laeradelainformaciontomo2-121126161306-phpapp02
Castellsmanuel laeradelainformaciontomo2-121126161306-phpapp02
Castellsmanuel laeradelainformaciontomo2-121126161306-phpapp02
Castellsmanuel laeradelainformaciontomo2-121126161306-phpapp02
Castellsmanuel laeradelainformaciontomo2-121126161306-phpapp02
Castellsmanuel laeradelainformaciontomo2-121126161306-phpapp02
Castellsmanuel laeradelainformaciontomo2-121126161306-phpapp02
Castellsmanuel laeradelainformaciontomo2-121126161306-phpapp02
Castellsmanuel laeradelainformaciontomo2-121126161306-phpapp02

Castellsmanuel laeradelainformaciontomo2-121126161306-phpapp02

  • 2.
  • 3.
  • 4.
  • 5.
    LA ERA DELA INFORMACKÉSTÍ Economía, sociedad y cmmra Volumen II: EL PODER DE LA IDENTIDAD por MANUEL CASTELLS siglo veintiuno editores
  • 6.
    )*asiglo veintiuno editores,s.a. de c.v. Cl UNO 1)1 I AIWA 248. 0 1 I I GACION COYOACAN. 04310. Mt.XICÜ, D F siglo xxi editores argentina, s.a. LAVALLE 1634 PISO 11-A C-1048AAN. BUENOS AIRES, ARGENTINA portada de patricia reyes baca primera edición en español, 1999 tercera edición en español, 2001 © siglo xxi editores, s.a. de c.v. isbn 968-23-2167-0 (obra completa) isbn 968-23-2169-7 (volumen 2) © manuel castells, 1998, por cortesía de alianza editorial, s.a. © carmen martínez gimeno, 1998, por la traducción, cedida por alianza editorial, s.a. primera edición en inglés, 1997 ©manuel castells, 1997 © blackwell publishers inc, Cambridge, massachusetts título original: the information age: economy, socwty and culture. vol. ii: the power of identity derechos reservados conforme a la ley impreso y hecho en méxico/printed and made in mexico
  • 7.
    Para Irene CastellsOlivan, historiadora de utopías
  • 9.
    ÍNDICE t índice resumido delos volúmenes I y III 13 Lista de cuadros 15 Lista de figuras 17 Lista de esquemas 19 Agradecimientos 21 Introducción: Nuestro mundo, nuestras vidas 23 1. Paraísos comunales: identidad y sentido en la sociedad red 27 Preámbulo 27 La construcción de la identidad 28 Los paraísos de Dios: el fundamentalismo religioso y la identidad cul- tural 34 La umma contra el yahilíia: el fundamentalismo islámico 36 ¡Dios me salve a mí!: el fundamentalismo cristiano estadounidense... 43 Naciones y nacionalismos en la era de la globalización: ¿comunidades imaginadas o imágenes comunales? 50 Las naciones contra el estado: la desintegración de la Unión Sovié- tica y la Comunidad de Estados Imposibles (Sojuz Nevozmoznij Gosudarstv) 55
  • 10.
    I I |>..<l,i ,1, l.i ICICIIIMIIIÜ Naciones sin eslaclo: Catalunya 65 I ,as naciones de la era de la información 73 I /. desvinculación étnica: raza, clase e identidad en la sociedad red 75 Idenlidades lerriloriales: Ja comunidad local 83 Conclusión: Las comunas culturales de la era de la información 88 La otra cara de la Tierra: movimientos sociales contra el nuevo orden global 91 Globalización, informacionalización y movimientos sociales 91 Los zapatistas de México: la primera guerrilla informacional 95 ¿Quiénes son los zapatistas? 96 El sistema de valores de los zapatistas: identidad, adversarios y obje- tivos 99 La estrategia de comunicación de los zapatistas: Internet y los me- dios de comunicación 101 La relación contradictoria entre movimiento social e institución po- lítica 104 El levantamiento en armas contra el nuevo orden mundial: la milicia estadounidense y el movimiento patriota en los años noventa 106 Las milicias y los patriotas: una red de información multitemática 110 Las banderas de los patriotas 115 ¿Quiénes son los patriotas? 118 La milicia, los patriotas y la sociedad estadounidense en la década de los noventa 119 Los lamas del Apocalipsis: Aum Shinrikyo 120 Asahara y el desarrollo de Aum Shinrikyo 121 Creencias y metodología de Aum 124 Aum y la sociedad japonesa 125 El sentido de las sublevaciones contra el nuevo orden global 128 Conclusión: El desafío a la globalización 132 El reverdecimiento del yo: el movimiento ecologista 135 La cacofonía creativa del ecologismo: una tipología 136 El sentido del reverdecimiento: temas sociales y desafío ecologista 146 El ecologismo en acción: llegar a las mentes, domar al capital, cortejar al estado, bailar con los medios de comunicación 153 Justicia medioambiental: la nueva frontera de los ecologistas 157 El fin del patriarcado: movimientos sociales, familia y sexualidad en la era de la información 159 La crisis de la familia patriarcal 163 Mujer y trabajo 182 La fuerza de ser hermanas: el movimiento feminista 201 El feminismo estadounidense: una continuidad discontinua 202 ¿Es global el feminismo? 211 Feminismo: una polifonía inductiva 220 La fuerza del amor: movimientos de liberación de lesbianas y gays 228 Feminismo, lesbianismo y movimientos de liberación sexual en Taipei. 232
  • 11.
    Espacios de libertad:la comunidad gay de San Francisco 23K Recapitulación: identidad sexual y familia patriarcal 247 Familia, sexualidad y personalidad en la crisis del patriarcado 248 La transformación de la familia 248 La reproducción del «maternaje» bajo la no reproducción del pa- triarcado 255 La identidad corporal: la (re)construcción de la sexualidad 262 Personalidades flexibles en un mundo postpatriarcal 265 ¿El fin del patriarcado? 269 ¿El estado impotente? 271 La globalización y el estado 272 El núcleo transnacional de las economías nacionales 273 Un intento de evaluación estadística de la nueva crisis fiscal del es- tado en la economía global 275 La globalización y el estado de bienestar 281 Redes globales de comunicación, audiencias locales y reguladores estatales 282 ¿Un mundo sin ley? 288 El estado-nación en la era del multilateralismo 290 El gobierno global y el super estado-nación 295 Identidades, gobiernos locales y deconstrucción del estado-nación 298 La identificación del estado 303 Crisis contemporáneas de los estados-nación: el estado priísta mexi- cano y el gobierno federal de los Estados Unidos en la década de los noventa 305 TLC, Chiapas, Tijuana y la agonía del estado priísta 306 El pueblo contra el estado: la crisis de legitimidad del gobierno fe- deral de los Estados Unidos 316 Estructura y proceso en la crisis del estado 327 El estado, la violencia y la vigilancia: del Gran Hermano a las herma- nas pequeñas 329 La crisis del estado-nación y la teoría del estado 333 Conclusión: El rey del universo, Sun Tzu y la crisis de la democracia .... 337 La política informacional y la crisis de la democracia 341 Introducción: La política de la sociedad 341 Los medios de comunicación como espacio de la política en la era de la información 345 La política y los medios: la conexión ciudadana 345 La política espectáculo y el marketing político: el modelo estadouni- dense 350 ¿Se está «americanizando» la política europea? 356 El populismo electrónico de Bolivia: el compadre Palenque y la lle- gada de Jach'a Uru 361 La política informacional en acción: la política del escándalo 366 La crisis de la democracia 380 Conclusión: ¿Reconstruir la democracia? 388
  • 12.
    I ' II |....l. i >U l.i iilrnliil¿nl Conclusión: El camino «odal en la sodedad red 393 Apéndice metodológico 403 ItihlioKrafía 437 índice analítico 471
  • 13.
    ÍNDICE RESUMIDO DE LOSVOLÚMENES I YIII A lo largo de este volumen se han hecho referenc ias a los temas presentados en el volumen I y el volumen II. A continuación si- presenta un esbozo de su contenido. Volumen I: LA SOCIEDAD RED Prólogo: La red y el yo 1. La revolución de la tecnología de la información 2. La economía informacional y el proceso de globalización 3. La empresa red: cultura, instituciones y organizaciones de la economía in- formacional 4. La transformación del trabajo y el empleo: trabajadores en red, desem- pleados y trabajadores a tiempo flexible 5. La cultura de la virtualidad real: la integración de la comunicación elec- trónica, el fin de la audiencia de masas y el desarrollo de las redes interac- tivas 6. El espacio de los flujos 7. La orilla de la eternidad: el tiempo atemporal Conclusión: la sociedad red Volumen III: FIN DE MILENIO Introducción: Un tiempo de cambio 1. La crisis del estatismo industrial y el colapso de la Unión Soviética
  • 14.
    I I II |Miilci de l.i iilrnliiljtl 2. líl Cuarto Mundo: capitalismo informacional, pobreza y exclusión social 3. La conexión perversa: la economía criminal global 4. ¿Hacia la era del Pacífico? La fundación multicultural de la interdepen- dencia económica 5. La unificación de Europa: globalización, identidad y estado red Conclusión: Entender nuestro mundo
  • 15.
    LISTA DE CUADROS •1.1Tasa de cambio en la tasa bruta de divorcio para los países seleccio- nados, 1971-1990 165 •1..'. Tendencias en las tasas de divorcio de cada 100 matrimonios en paí- ses desarrollados 165 I. Porcentaje de primeros matrimonios disueltos por separación, divor- cio o muerte entre mujeres de 40-49 años en países en vías de des- arrollo 167 4.4 Tendencias porcentuales de las mujeres de 20-24 años que nunca se han casado 170 4.v > Nacimientos fuera del matrimonio como porcentaje de todos los na- cimientos por regiones (medias nacionales) 171 4.6 Tendencias en los hogares monoparentales como porcentaje del to- la! de hogares con hijos dependientes y al menos un progenitor resi- dente en países desarrollados 173 tendencias porcentuales de los hogares cuyo cabeza de familia de jure es una mujer 173 Indicadores de cambios recientes en la formación de la familia y el hogar: países occidentales seleccionados, 1975-1990 175 Porcentaje de hogares de una persona sobre el total de hogares de los países seleccionados, 1990-1993 176 Tasa total de fertilidad por principales regiones del mundo 180 Tasas de participación en la mano de obra por sexo (%) 183
  • 16.
    16 I Ipnilci de lo identidad 4.12 Empleo total por sexo (tasa de crecimiento medio anua! cu porcen- tajes) 184 4.13 Tasa de actividad económica, 1970-1990 186 4.14 índice de aumento de la tasa de actividad económica de las mujeres, 1970-1990 187 4.15 Empleo femenino en servicios por actividades y grado de intensidad informacional como porcentaje del empleo total, 1973-1993 190 4.16 Tasas de crecimiento para cada categoría de empleo femenino en servicios como porcentaje del empleo femenino total, 1973-1993 191 4.17 Distribución del empleo femenino por ocupación, 1980 y 1989 (%)... 192 4.18 Volumen y composición del empleo a tiempo parcial, 1973-1994 (%). 196 4.19 Porcentaje del empleo autónomo en el empleo total por sexo y acti- vidad 198 5.1 Internacionalización de la economía y las finanzas públicas: tipos de cambio porcentuales, 1980-1993 (y ratios de 1993 a menos que se in- dique lo contrario) 276 5.2 Papel del gobierno en la economía y las finanzas públicas: tipos de cambio porcentuales, 1980-1993 (y ratios de 1992, a menos que se in- dique lo contrario) 277 6.1 Fuentes de noticias en los Estados Unidos, 1959-1992 (%) 345 6.2 Fuentes de información política de los residentes de Cochabamba, Bolivia,1996 346 6.3 Opinión de los ciudadanos bolivianos sobre qué instituciones repre- sentan sus intereses 365 6.4 Número de votantes en las elecciones a la cámara baja del parla- mento: cifras recientes comparadas con las tasas de las décadas de 1970 y 1980 (%) 384
  • 17.
    LISTA DE FIGURAS 2.1Distribución geográfica de los grupos patriotas en los Estados Uni- dos por su número y campos de entrenamiento paramilitar en cada estado, 1996 111 4.1 Curvas de supervivencia del matrimonio para Italia, Alemania Occi- dental y Suecia: madres nacidas en 1934-1938 y 1949-1953 166 4.2 Evolución del primer matrimonio en algunos países de la Unión Eu- ropea desde 1960 168 4.3 Tasas brutas de matrimonio en los países seleccionados 169 4.4 Porcentaje de mujeres (15-34 años) con un primer alumbramiento después de su primer matrimonio, por raza y origen étnico, en los Estados Unidos, 1960-1989 172 4.5 índice sintético de fertilidad en los países europeos desde 1960 178 4.6 Tasa total de fecundidad y número de nacimientos en los Estados Unidos, 1920-1990 179 4.7 Aumento del empleo en el sector servicios y de las tasas de partici- pación femenina, 1980-1990 185 4.8a Porcentaje de mujeres en la mano de obra por tipo de empleo 188 4.8b Familias de parejas casadas en las que la esposa forma parte de la mano de obra, en los Estados Unidos, 1960-1990 189 4.9 Mujeres con empleo a tiempo parcial por posición familiar en los es- tados miembros de la Comunidad Europea, 1991 200 4.10 l/iicrrelación de diferentes aspectos de la homosexualidad 234
  • 18.
    IK I I|>l>llll lll' lll llll'Mllll.lll 4.11 Zonas residenciales gays en San Francisco 242 4.12a Composición de los hogares en los listados Unidos, 1960 1990 249 4.12b Composición de los hogares en los Estados Unidos, 1970-1995 250 4.13 Organización de la vida de los hijos menores de dieciocho años, por la presencia de los progenitores, en los Estados Unidos, 1960-1990.... 251 4.14 Frecuencia a lo largo de la vida del sexo oral por cohortes: hombres y mujeres 266 5.1 Pasivos financieros netos del gobierno 279 5.2 Costes salariales en la industria, 1994 280 5.3 Volumen y localización de las actividades de las 15 mayores multi- nacionales de edición y medios de comunicación 285 5.4 Actitudes de la opinión pública acerca del tamaño del gobierno y la prestación de servicios en los Estados Unidos, 1984-1995 318 5.5 Actitudes hacia los programas del gobierno federal y la reducción del déficit presupuestario federal en los Estados Unidos, 1995 323 6.1 Credibilidad de las fuentes de noticias en los Estados Unidos, 1959- 1991 347 6.2 Número medio de relatos de corrupción por periódico en los Esta- dos Unidos, 1890-1992 369 6.3 Valoración de la aprobación que reciben diversos gobiernos, c. 1993. 382 6.4 Grado de apoyo de los partidos mayoritarios en las elecciones nacio- nales, 1980-1994 385
  • 19.
    LISTA DE ESQUEMAS 2.1Estructura de los valores y creencias de los movimientos insurgentes contra la globalización 129 3.1 Tipología de los movimientos ecologistas 137 4.1 Tipología analítica de los movimientos feministas 221
  • 21.
    AGRADECIMIENTOS I ,as ideasy los análisis presentados en este volumen son el resultado ilo veinticinco años de estudios sobre movimientos sociales y procesos po- líticos que he realizado en varias áreas del mundo, aunque ahora se han reelaborado e integrado en una teoría más amplia sobre la Era de la In- formación, presentada en los tres volúmenes de este libro. Diversas insti- tuciones académicas fueron los entornos esenciales para el desarrollo de mi labor en este campo específico de la investigación. La más importante ilo todas fue el Centre d'Étude des Mouvements Sociaux de la École des I Imites Études en Sciences Sociales de París, fundado y dirigido por Alain Toui aine, donde trabajé como investigador de 1965 a 1979. Otras institu- ciones de investigación que me ayudaron en mi estudio sobre los movi- mientos sociales y políticos fueron el Centro Interdisciplinario de Des- arrollo Urbano de la Universidad Católica de Chile; el Instituto de Investigaciones Sociales de la Universidad Nacional Autónoma de Mé- xico; el Centro de Estudios Urbanos de la Universidad de Hong Kong; el Instituto de Sociología de Nuevas Tecnologías de la Universidad Autó- noma de Madrid; la Facultad de Ciencias Sociales de la Universidad Hi- totsubashi de Tokio. La elaboración y redacción finales del material que so presenta se realizó en la década de los noventa en el que ha sido, desde 1979, mi hogar intelectual, la Universidad de California en Berkeley. Mu- chas de las ideas se discutieron y pulieron en mi seminario de doctorado
  • 22.
    22 El poderde la identidad sobre la Sociología de la Sociedad de la Información. Por ello, doy las gracias a mis alumnos, una fuente constante de inspiración y crítica para mi trabajo. Este volumen se ha beneficiado de la excepcional ayuda en la investigación de Sandra Moog, alumna de doctorado de Sociología de Berkeley y una futura universitaria destacada. Po Lan-chih, alumna de doctorado en planificación urbana y regional de Berkeley, también pro- porcionó una valiosa colaboración en la investigación. Al igual que en el caso de los restantes volúmenes de este libro, Emma Kiselyova fue de gran ayuda al facilitarme el acceso a lenguas que desconozco, así como por su análisis y comentarios de varias secciones del volumen. Diversos colegas leyeron borradores de todo el volumen o de capítu- los específicos, los comentaron extensamente y me ayudaron a corregir algunos errores y a ajustar el análisis, aunque, como es natural, asumo plena responsabilidad de la interpretación final. Vaya mi gratitud a Ira Katznelson, Ida Susser, Alain Touraine, Anthony Giddens, Martin Car- noy, Stephen Cohén, Alejandra Moreno Toscano, Roberto Laserna, Fer- nando Calderón, Rula Sadik, You-tien Hsing, Shujiro Yazawa, Chu-joe Hsia, Nancy Whittier, Barbara Epstein, David Hooson, Irene Castells, Eva Serra, Tim Duane y Elsie Harper-Anderson. Deseo manifestar un agradecimiento especial a John Davey, director editorial de Blackwell, que con su visión experta me proporcionó sugerencias precisas sobre va- rias secciones clave del volumen. Con todo ello quiero expresar que, como en el resto de los volúmenes de este libro, el proceso de pensar y escribir es en buena medida una em- presa colectiva, si bien se acaba asumiendo en la soledad de la autoría. Berkeley, California Noviembre de 1996
  • 23.
    INTRODUCCIÓN: NUESTRO MUNDO, NUESTRASVIDAS Alzad vuestros rostros, tenéis una necesidad imperiosa de esta brillante mañana que amanece para vosotros. La historia, a pesar de su desgarrador dolor no puede borrarse y si se afronta con valor, no es necesario vivirla de nuevo. Alzad los ojos a este día que se abre para vosotros. Volved a conceb'r sueños. Maya Angelou, «On the pulse of Morningx » La oposición entre globalización e identidad está dando forma a nues- tro mundo y a nuestras vidas. La revolución de las tecnologías de la infor- mación y la reestructuración del capitalismo han inducido una nueva forma de sociedad, la sociedad red, que se caracteriza por la globalización de las actividades económicas decisivas desde el punto de vista estraté- gico, por su forma de organización en redes, por la flexibilidad e inestabi- lidad del trabajo y su individualización, por una cultura de la virtualidad real construida mediante un sistema de medios de comunicación omni- presentes, interconectados y diversificados, y por la transformación de los cimientos materiales de la vida, el espacio y el tiempo, mediante la consti- tución de un espacio de flujos y del tiempo atemporal, como expresiones de las actividades dominantes y de las élites gobernantes. Esta nueva forma de organización social, en su globalidad penetrante, se difunde por todo el mundo, del mismo modo que el capitalismo industrial y su ene- migo gemelo, el estatismo industrial, lo hicieron en el siglo xx, sacu- diendo las instituciones, transformando las culturas, creando riqueza e in- duciendo pobreza, espoleando la codicia, la innovación y la esperanza, Poema para la investidura del presidente de los Estados Unidos, 22 de enero de 1993.
  • 24.
    24 I Ipoder de la idcniKl.id mientras que a la vez impone privaciones e instila desesperación. Feliz o no, es, en efecto, un nuevo mundo. Pero esta no es toda la historia. Junto con la revolución tecnológica, la transformación del capitalismo y la desaparición del estatismo, en el úl- timo cuarto de siglo hemos experimentado una marejada de vigorosas ex- presiones de identidad colectiva que desafían la globalización y el cosmo- politismo en nombre de la singularidad cultural y del control de la gente sobre sus vidas y entornos. Estas expresiones son múltiples, están muy di- versificadas y siguen los contornos de cada cultura y de las fuentes históri- cas de la formación de cada identidad. Incluyen los movimientos proacti- vos que pretenden transformar las relaciones humanas en su nivel más fundamental, como el feminismo y el ecologismo, pero también todo un conjunto de movimientos reactivos que construyen trincheras de resisten- cia en nombre de Dios, la nación, la etnia, la familia, la localidad, esto es, las categorías fundamentales de la existencia milenaria, ahora amenaza- das bajo el asalto combinado y contradictorio de las fuerzas tecnoeconó- micas y los movimientos sociales transformadores. Atrapado entre estas dos tendencias opuestas, se pone en entredicho al estado-nación, arras- trando en su crisis a la noción misma de democracia política, fundamen- tada en la construcción histórica de un estado-nación soberano y represen- tativo. Generalmente, los nuevos y poderosos medios de comunicación tecnológicos, tales como las redes de telecomunicaciones interactivas mundiales, son utilizados por varios contendientes, amplificando y agudi- zando su lucha, como, por ejemplo, cuando Internet se convierte en un instrumento de los ecologistas internacionales, los zapatistas mexicanos, o la milicia estadounidense, respondiendo con sus mismas armas a la globa- lización informatizada de los mercados financieros y al procesamiento de la información. Éste es el mundo explorado en este libro, centrado sobre todo en los movimientos y políticas sociales que resultan de la interacción de la glo- balización inducida por la tecnología, el poder de la identidad (de género, religiosa, nacional, étnica, territorial, sociobiológica) y las instituciones del estado. Invito al lector a este viaje intelectual por los paisajes de las luchas sociales y los conflictos políticos contemporáneos. Comenzaré con unas cuantas observaciones que pueden ser de ayuda durante el reco- rrido. Este libro no trata de libros. Por lo tanto, no expondré las teorías que existen sobre cada tema, ni citaré toda fuente posible sobre las materias que se presentan. En efecto, sería pretencioso intentar ofrecer, aunque fuera de modo superficial, la relación erudita de todo el ámbito de temas que abarca. Las fuentes y autores que utilizo para cada tema son materia- les que considero importantes para construir las hipótesis que propongo, así como para apuntar el significado de estos análisis para una teoría más amplia del cambio social en la sociedad red. Los lectores interesados en la
  • 25.
    Introducción: Nm-stro mundo,nuestras vidas 25 bibliografía y en su valoración crítica deben consultar los abundantes y buenos libros de texto que existen sobre cada materia. Hl método que he seguido pretende comunicar una teoría mediante el análisis de la práctica, en observaciones sucesivas de los movimientos so- ciales en diversos contextos culturales e institucionales. Así pues, se uti- liza el análisis empírico fundamentalmente como un instrumento de co- municación y como un método para disciplinar mi discurso teórico, para hacer difícil, si no imposible, decir algo que la acción colectiva observada desmienta en la práctica. Sin embargo, he tratado de proporcionar unos cuantos elementos empíricos, dentro de las limitaciones espaciales de este volumen, para hacer plausible mi interpretación y para permitir al lector juzgar por sí mismo. En este libro existe una obsesión deliberada con el multiculturalismo, con la exploración del planeta, en sus manifestaciones sociales y políticas diversas. Este planteamiento proviene de mi punto de vista de que el pro- ceso de globalización tecnoeconómica que está moldeando nuestro mundo está siendo desafiado, y acabará siendo transformado, desde una gran diversidad de fuentes, según culturas, historias y geografías diferen- tes. Así pues, el recorrido temático entre Estados Unidos, Europa Occi- dental, Rusia, México, Bolivia, el mundo islámico, China o Japón que hago en este volumen tiene la finalidad específica de utilizar la misma es- tructura analítica para comprender procesos sociales muy diferentes que, cuando menos, se interrelacionan en su significado. También me gustaría, dentro de los límites obvios de mi conocimiento y experiencia, acabar con el planteamiento etnocéntrico que aún domina gran parte de las ciencias sociales en el momento preciso en que nuestras sociedades han quedado interconectadas globalmente y entrelazadas culturalmente. Unas palabras sobre teoría. La teoría sociológica que informa este li- bro se diluye, para facilitar su digestión, en la presentación de los temas de cada capítulo. También se mezcla con el análisis empírico hasta donde es posible. Sólo cuando sea inevitable someteré al lector a una breve di- gresión teórica, ya que, para mí, la teoría social es una herramienta para comprender el mundo, no un fin para el autodisfrute intelectual. En la conclusión al volumen, trataré de ceñir el análisis de un modo más formal y sistemático, reuniendo los diferentes hilos tejidos en cada capítulo. Sin embargo, puesto que el libro se centra en los movimientos sociales y existe un gran desacuerdo sobre el significado del concepto, adelanto mi definición como las acciones colectivas conscientes cuyo impacto, tanto en caso de victoria como de derrota, transforma los valores y las institu- ciones de la sociedad. Como no existe un sentido de la historia que no sea la historia que sentimos, desde una perspectiva analítica, no hay movi- mientos sociales «buenos»y «malos», progresistas o regresivos. Todos son síntomas de quiénes somos y caminos de nuestra transformación, ya que la transformación puede conducir por igual hacia una gama completa de
  • 26.
    El poder dela idcnlid;ul ciclos, infiernos o infiernos celestiales. Ésta no es una observación for- tuita, ya que en nuestro mundo los procesos de cambio social toman con frecuencia formas de fanatismo y violencia que no solemos asociar con el cambio social positivo. Y, no obstante, éste es nuestro mundo, éstos so- mos nosotros, en nuestra pluralidad contradictoria, y esto es lo que hemos de entender, incluso para afrontarlo y superarlo. En cuanto al significado de esto y nosotros, por favor, anímese a seguir leyendo.
  • 27.
    1 PARAÍSOS COMUNALES: IDENTIDADY SENTIDO EN LA SOCIEDAD RED PREÁMBULO La capital está establecida cerca de la montaña Zhong; Los palacios y fortalezas son brillantes y resplandecientes; Los bosques y jardines son fragantes y floridos; Los epidendrum y las casias se complementan en belleza. JH palacio prohibido es magnífico; Los edificios y pabellones tienen cien pisos. Los salones y puertas son bellos y lustrosos; Las campanas y carillones suenan musicalmente. Las torres llegan hasta el cielo; Sobre los altares se queman los animales de sacrificio. Limpios y purificados, Ayunamos y nos bañamos. Somos respetuosos y devotos en el culto, Dignos y serenos en la oración. Suplicando con fervor, Cada uno busca la felicidad y la dicha. Los pueblos incivilizados de la frontera ofrecen tributo, Y todos los bárbaros son sumisos. No importa que el territorio sea muy vasto, Todos acabarán estando bajo nuestro dominio. Hong Xiuquan Éstos eran los términos del «Relato de las mil palabras escrito impe- rialmente», compuesto por Hong Xiuquan, el guía y profeta de la rebe- lión de Taiping, tras establecer su reino celestial en Nanjing en 1853l . La sublevación de Taiping Tao (Camino de la Gran Paz) aspiraba a crear un reino comunal fundamentalista neocristiano en China. Durante más de una década, el reino se organizó en conformidad con la revelación de la 1 Citado por Spence, 1960, págs. 190 y 191.
  • 28.
    2K El poderde la identidad Biblia que, según su propio relato, Hong Xiuquan recibió de su hermano mayor, Jesucristo, después de haber sido iniciado al cristianismo por los misioneros evangélicos. Entre 1845 y 1864, las oraciones, enseñanzas y ejércitos de Hong sacudieron a China y al mundo, ya que obstaculizaron el creciente control extranjero del Imperio Medio. El reino de Taiping pereció como vivió, a sangre y fuego, causando la muerte de 20 millones de chinos. Anhelaba establecer un paraíso terrenal combatiendo a los de- monios que se habían apoderado de China, de modo que «toda la gente pueda vivir junta en dicha perpetua, hasta que por fin sean elevados al Cielo para presentarse ante su Padre»2 . Era un tiempo de crisis para las burocracias estatales y las tradiciones morales, de globalización del co- mercio, de tráfico de drogas, de rápida industrialización que se extendió por el mundo, de misiones religiosas, de campesinos empobrecidos, de cri- sis de las familias y comunidades, de bandidos locales y ejércitos interna- cionales, de difusión de la imprenta y analfabetismo generalizado, un tiempo de incertidumbre y desesperanza, de crisis de identidad. Era otro tiempo. ¿O no lo era? LA CONSTRUCCIÓN DE LA IDENTIDAD La identidad es la fuente de sentido y experiencia para la gente. Como escribe Calhoun: No conocemos gente sin nombre, ni lenguas o culturas en las que no se establez- can de alguna manera distinciones entre yo y el otro, nosotros y ellos. [...] El co- nocimiento de uno mismo —siempre una construcción pese a que se considere un descubrimiento— nunca es completamente separable de las exigencias de ser co- nocido por los otros de modos específicos3 . Por identidad, en lo referente a los actores sociales, entiendo el pro- ceso de construcción del sentido atendiendo a un atributo cultural, o un conjunto relacionado de atributos culturales, al qué se da prioridad sobre el resto de las fuentes de sentido. Para un individuo determinado o un ac- tor colectivo puede haber una pluralidad de identidades. No obstante, tal pluralidad es una fuente de tensión y contradicción tanto en la represen- tación de uno mismo como en la acción social. Ello se debe a que la iden- tidad ha de distinguirse de lo que tradicionalmente los sociólogos han denominado roles y conjuntos de roles. Los roles (por ejemplo, ser traba- jadora, madre, vecina, militante socialista, sindicalista, jugadora de balon- cesto, feligresa y fumadora al mismo tiempo) se definen por normas es- 2 Spence, 1996, pág. 172. 3 Calhoun, 1994, págs. 9 y 10.
  • 29.
    Paraísos comunales: identidady sentido en la sociedad red "I tructuradas por las instituciones y organizaciones de la sociedad. Su peso relativo para influir en la conducta de la gente depende de las negociacio- nes y acuerdos entre los individuos y esas instituciones y organizaciones. Las identidades son fuentes de sentido para los propios actores y por ellos mismos son construidas mediante un proceso de individualización4 , Aun- que, cómo sostendré más adelante, las identidades pueden originarse en las instituciones dominantes, sólo se convierten en tales si los actores so- ciales las interiorizan y construyen su sentido en torno a esta interioriza- ción. Sin duda, algunas autodefiniciones también pueden coincidir con los roles sociales, por ejemplo, cuando ser padre es la autodefinición más im- portante desde el punto de vista del actor. No obstante, las identidades son fuentes de sentido más fuertes que los roles debido al proceso de au- todefinición e individualización que suponen. En términos sencillos, las identidades organizan el sentido, mientras que los roles organizan las fun- ciones. Defino sentido como la identificación simbólica que realiza un ac- tor social del objetivo de su acción. También propongo la idea de que, en la sociedad red, por razones que desarrollaré más adelante, para la mayo- ría de los actores sociales, el sentido se organiza en torno a una identidad primaria (es decir, una identidad que enmarca al resto), que se sostiene por sí misma a lo largo del tiempo y el espacio. Aunque este plantea- miento se aproxima a la formulación de la identidad de Erikson, me cen- traré fundamentalmente en la identidad colectiva y no en la individual. Sin embargo, el individualismo (diferente de la identidad individual) tam- bién puede ser una forma de «identidad colectiva», como se analiza en la «cultura del narcisismo» de Lasch5 . Es fácil estar de acuerdo sobre el hecho de que, desde una perspectiva sociológica, todas las identidades son construidas. Lo esencial es cómo, desde qué, porerei^n y para qué. La construcción de las identidades uti- liza materiales de la historia, la geografía, la biología, las instituciones productivas y reproductivas, la memoria colectiva y las fantasías persona- les, los aparatos de poder y las revelaciones religiosas. Pero los indivi: dúos, los grupos sociales y las sociedades procesan todos esos materiales y ios reordenan en su sentido, según las determinaciones sociales y los pro- yectos culturales implantados en su estructura social y en su marco espa- cial/temporal. Propongo como hipótesis que, en términos generales, quién construye la identidad colectiva, y para qué, determina en buena medida su contenido simbólico y su sentido para quienes se identifican con ella ó* se colocan fuera de ella. Puesto que la construcción social de la identidad siempre tiene lugar ett un contexto marcado por las relaciones de poder,, propongo una distinción entre tres formas y orígenesfelei ]á~cbnstruccióñ de la identidad. ' Giddens, 1991. 5 Lasch, 1980.
  • 30.
    1(1 II poderde b UICIIIKIMII — Identidad legitimadora: introducida por las instituciones dominan- tes de la sociedad para extender y racionalizar su dominación frente a los actores sociales, un tema central en la teoría de la autoridad y la domina- ción de Sennett6 , pero que también se adecúa a varias teorías del nacio- nalismo7 . — Identidad de resistencia: generada por aquellos actores que se en- cuentran en posiciones/condiciones devaluadas o estigmatizadas por la ló- gica de la dominación, por lo que construyen trincheras de resistencia y supervivencia basándose en principios diferentes u opuestos a los que im- pregnan las instituciones de la sociedad, como Calhoun propone cuando explica el surgimiento de las políticas de identidad8 . — Identidad proyecto: cuando los actores sociales, basándose en los materiales culturales de qué disponen, construyen una nueva identidad que redefine su posición en la sociedad y, al hacerlo, buscan la transfor- mación de toda la estructura social. Es el caso, por ejemplo, de las femi- nistas cuando salen de las trincheras de resistencia de la identidad y los derechos de las mujeres para desafiar al patriarcado y, por lo tanto, a la familia patriarcal y a toda la estructura de producción, reproducción, se- xualidad y personalidad sobre la que nuestras sociedades se han basado a lo largo de la historia. Naturalmente, las identidades que comienzan como resistencia pue- den inducir proyectos y, también, con el transcurrir de la historia, conver- tirse en dominantes en las instituciones de la sociedad, con lo cual se vuel- ven identidades legitimadoras para racionalizar su dominio. En efecto, la dinámica de las identidades a lo largo de esta secuencia muestra que, desde el punto de vista de la teoría social, ninguna identidad puede ser una esencia y ninguna identidad tiene, per se, un valor progresista o re- gresivo fuera de su contexto histórico. Un asunto diferente, y muy impor- tante, son los beneficios de cada identidad para la gente que pertenece a ella. En mi opinión, cada tipo de proceso de construcción de la identidad conduce a un resultado diferente en la constitución de la sociedad. Las identidades legitimadoras generan una sociedad civil, es decir, un con- junto de organizaciones e instituciones, así como una serie de actores so- ciales estructurados y organizados, que reproducen, si bien a veces de modo conflictivo, la identidad que racionaliza las fuentes de la domina- ción estructural. Esta afirmación puede resultar sorprendente para algu- nos lectores, ya que la sociedad civil sugiere por lo general una connota- ción positiva de cambio social democrático. Sin embargo, ésta es de 6 Sennett, 1986. 7 Andeison, 1983; Gellner, 1983. 8 Calhoun, 1994, pág. 17.
  • 31.
    I'iii¡Usos i'oninii.ili's: kli'llllihiily scMlulo cu l.i .cu i< J.ICI H M liecho la concepción original de la sociedad civil, según la formuló Gramsci, padre intelectual de este ambiguo concepto. En efecto, en la concepción de Gramsci, la sociedad civil está formada por una serie de «aparatos», como la(s) Iglesia(s), los sindicatos, los partidos, las coopera- tivas, las asociaciones cívicas, etc., que, por una parte, prolongan la diná- mica del estado pero, por otra, están profundamente arraigados entre la gente9 . Precisamente este doble carácter de la sociedad civil es el que la hace un terreno privilegiado para el cambio político al posibilitar la toma del estado sin lanzar un asalto directo y violento. La conquista del estado por las fuerzas del cambio (digamos las fuerzas del socialismo en la ideo- logía de Gramsci), presentes en la sociedad civil, se hace posible, precisa- mente, por la continuidad que existe entre las instituciones de la socie- dad civil y los aparatos de poder del estado, organizados en torno a una identidad similar (ciudadanía, democracia, politización del cambio social, restricción del poder al estado y sus ramificaciones, y demás). Donde Gramsci y Tocqueville ven democracia y civilidad, Foucault o Sennett, y antes de ellos Horkheimer o Marcuse, ven dominación interiorizada y le- gitimación de una identidad normalizadora sobreimpuesta e indiferen- ciada. El segundo tipo de construcción de la identidad, la identidad para la resistencia, conduce a la.formación de comunas o comunidades, en la formulación de Etzioni10 . Puede que éste sea el tipo más importante de construcción de la identidad en nuestra sociedad. Construye formas de resistencia colectiva contra la opresión, de otro modo insoportable, por lo común atendiendo a identidades que, aparentemente, estuvieron bien definidas por la historia, la geografía o la biología, facilitando así que se expresen como esencia las fronteras de la resistencia. Por ejem- plo, el nacionalismo basado en la etnicidad, como Scheff propone, «surge con frecuencia de un sentimiento de alienación, por una parte, y resentimiento contra la exclusión injusta, ya sea política, económica o social» n . El fundamentalismo religioso, las comunidades territoriales, la autoafirmacíón nacionalista o incluso el orgullo de la autodenigra- ción, al invertir los términos del discurso opresivo (como en la «cul- tura queer [homosexual]» de algunas tendencias del movimiento gay) son todos expresiones de lo que denomino la exclusión de los excluso- res por los exduidos. Es decir, la construcción de una identidad defen- siva en los términos de las instituciones/ideologías dominantes, invir- tiendo el juicio de valor mientras que se refuerza la frontera. En este caso, surge el tema de la comunicabilidad recíproca entre estas identi- dades excluidas/excluyentes. La respuesta a esta cuestión, que sólo 9 Buci-Glucksman, 1978. 10 Etzioni, 1993. 11 Scheff, 1994, pág. 281.
  • 32.
    n II |iii(lcide la ulc'nliil.ul puede ser empírica e histórica, determina si las sociedades siguen siendo tales o se fragmentan en una constelación de tribus, a las que algunas veces se vuelve a llamar eufemísticamente comunidades. El tercer proceso de construcción de la identidad, la identidad pro,;- yecto, produce sujetos, según los define Alain Touraine: Denomino sujeto al deseo de ser un individuo, de crear una historia personal, de otorgar sentido a todo el ámbito de las experiencias de la vida individual [...] La transformación de los individuos en sujetos es el resultado de la combinación ne- cesaria de dos afirmaciones: la de los individuos contra las comunidades y la de los individuos contra el mercado12 . Los sujetos no son individuos, aun cuando estén compuestos por indi- viduos. Son el actor social colectivo mediante el cual los individuos alcan- zan un sentido holístico en su experiencia13 . En este caso, la construcción, de la identidad es un proyecto de una vida diferente, quizás basado en una identidad oprimida, pero que se expande hacia la transformación deu. la sociedad como la prolongación de este proyecto de identidad, como en el ejemplo arriba mencionado de una sociedad postpatriarcal, liberando a las mujeres, los hombres y los niños mediante la afirmación de la identi- dad de las mujeres. O, en una perspectiva muy diferente, la reconciliación final de todos los seres humanos como creyentes, hermanos y hermanas, bajo la guía de la ley divina, ya sea de Alá o Jesús, como resultado de la conversión religiosa de las sociedades ateas, contrarias a la familia y ma- terialistas, incapaces por otra parte de satisfacer las necesidades humanas y cumplir el designio de Dios. Cómo se construyen los diferentes tipos de identidades, por quiénes y con qué resultados no puede abordarse en términos generales y abstrac- tos: depende del contexto social. La política de la identidad, como escribe Zaretsky, «debe situarse en la historia»14 . Así pues, nuestra exposición ha de referirse a un contexto específico, el ascenso de la sociedad red. La dinámica de la identidad en este con- texto puede comprenderse mejor si se contrasta con la caracterización efectuada por Giddens de la identidad en la «modernidad tardía», pe- riodo histórico que, creo, está llegando a su fin, con lo cual no pretendo sugerir que estemos en cierto sentido llegando al «fin de la historia», como se postuló en algunas divagaciones postmodernas. En una vigorosa teorización, cuyas líneas principales comparto, Giddens afirma que «la identidad propia no es un rasgo distintivo que posee el individuo. Es el yo entendido reflexivamente por la persona en virtud de su biografía». En efecto, «ser un ser humano es comprender [...] tanto lo que se está ha- Touraine, 1995, págs. 29 y 30. La traducción es mía. Touraine, 1992. Zaretsky, 1994, pág. 198.
  • 33.
    t'.i¡;iís<ÍS coiniiiiiilt's: KICIIIKI.KIy si'iilulo cu :i •«K'k'fl.iJ i< <! 11 riendo como por que se está haciendo |...| Un el contexto del orden pos- 11 adicional, el yo se convierte en un proyecto reflexivo»IS . ¿Cómo incorpora la «modernidad tardía» este proyecto reflexivo? Se- gún lo expone Giddens, uno de los rasgos distintivos de la modernidad es la interconexión creciente entre los dos extremos de la extensionalidad y la intencionalidad: las influencias globali- zadoras, por una parte, y las disposiciones personales, por la otra [...] Cuanto más pierden su dominio las tradiciones y la vida diaria se reconstituye en virtud de la interacción dialéctica de lo local y lo global, más se ven forzados los individuos a negociar su elección de tipo de vida entre una diversidad de opciones [...] La pla- nificación de la vida organizada de forma reflexiva [...] se convierte en el rasgo central de la estructuración de la identidad propia16 . Aunque estoy de acuerdo con la caracterización teórica de Giddens de la construcción de la identidad en el periodo de la «modernidad tardía», sostengo, basándome en los análisis presentados en el volumen primero de este libro, que el ascenso de la sociedad red pone en tela de juicio los procesos de construcción de la identidad durante ese pe- riodo, con lo que induce nuevas formas de cambio social. Ello se debe a que la sociedad red se basa en la disyunción sistémica de lo local y lo global para la mayoría de los individuos y grupos sociales. Y, aña- diría, por la separación en diferentes marcos temporales del poder y la experiencia (vol. I, caps. 6 y 7). Así pues, la planificación reflexiva de la vida se vuelve imposible, excepto para la élite que habita el es- pacio atemporal de los flujos de las redes globales y sus localidades su- bordinadas. Y la construcción de la intimidad basada en la confianza requiere una redefinición de la identidad completamente autónoma frente a la lógica interconectora de las instituciones y organizaciones dominantes. En estas nuevas condiciones, las sociedades civiles se reducen y de- sarticulan porque ya no hay continuidad entre la lógica de la creación de poder en la red global y la lógica de la asociación y la representación en las sociedades y culturas específicas. Así que la búsqueda de sentido tiene lugar en la reconstrucción de identidades defensivas en torno a los principios comunales. La mayoría de la acción social se organiza en la oposición que existe entré los flujos no identificados y las identidades ais- ladas. En cuanto a la génesis de las identidades proyecto, aún se da, o puede darse, dependiendo de las sociedades. Pero propongo la hipótesis de que la constitución de sujetos, en el núcleo del proceso de cambio so- cial, toma un camino diferente al que conocíamos durante la modernidad y la modernidad tardía, a saber, los sujetQs, cuando seconsJruyen,ja no 15 Giddens, 1991, págs. 53,35, 32. 16 Giddens, 1991, págs. 1,5.
  • 34.
    *4 El poderde la identidad lo hacen basándose en las sociedades civiles, que están en prpceso de de- sintegración, sino como una prolongación de la resistencia comunal. Aun- que en la modernidad (temprana o tardía) la identidad proyecto se cons- tituyó a partir de la sociedad civil (como en el caso del socialismo, que se , basó en el movimiento obrero), en la sociedad red, la identidad proyecto, en caso de que se desarrolle, surge de la resistencia comunal. Este es el . sentido real de la nueva primacía de la política de la identidad en la stfej ciedad red. El análisis de los procesos, las condiciones y los resultados de j la transformación de la resistencia comunal en sujetos transformadores es el ámbito preciso para una teoría del cambio social en la era de la in- formación. Una vez alcanzada una formulación tentativa de mi hipótesis, iría contra los principios metodológicos de este libro avanzar más por el ca- mino de la teorización abstracta, que podría convertirse rápidamente en comentario bibliográfico. Trataré de sugerir las implicaciones precisas de mi análisis, centrándome en varios procesos clave de construcción de la identidad colectiva seleccionados por su importancia particular para el proceso de cambio social en la sociedad red. Comenzaré con el fun- damentalismo religioso, tanto en sus versiones islámica como cristiana, si bien ello no supone que otras religiones (por ejemplo, el hinduismo, el budismo, el judaismo) sean menos importantes o menos proclives al fundamentalismo. Continuaré con el nacionalismo, considerando, tras un repaso del tema, dos procesos muy diferentes pero significativos: el papel del nacionalismo en la desintegración de la Unión Soviética y en las repúblicas postsoviéticas, y la formación y resurgimiento del na- cionalismo catalán. Luego pasaré a la identidad étnica, centrándome en la identidad afroamericana contemporánea. Y terminaré considerando, brevemente, la identidad territorial, basándome en mi observación de los movimientos urbanos y las comunidades locales de todo el mundo. Para concluir, intentaré una síntesis sucinta de las principales líneas de indagación que surgirán del examen de los diversos procesos contem- poráneos de (re)construcción deTa. identidad basada en la resistencia cr>_ munal. LOS PARAÍSOS DE DIOS: EL FUNDAMENTALISMO RELIGIOSO Y LA IDENTIDAD CULTURAL Es un atributo de nuestra sociedad, y me atrevería a decir de la natu- raleza humana, si tal entidad existiera, encontrar consuelo y refugio en la religión. El miedo a la muerte, el dolor de la vida, necesitan a Dios y la fe en Dios, sean cuales fueren sus manifestaciones, sólo para que la gente pueda continuar. En efecto, fuera de nosotros, Dios no tendría dónde vivir.
  • 35.
    Paraísos comunales: identidady sentido un la socicduil red 35 El fundamentalismo religioso es algo más. Y sostengo que ese «algo más» es una fuente muy importante de construcción de la identidad en la sociedad red por razones que serán más evidentes, espero, en las páginas siguientes. En cuanto a su contenido real, las experiencias, opiniones, his- toria y teorías son tan diversas como para desafiar una síntesis. Por suerte, a finales de la década de 1980, la American Academy of Arts and Sciences emprendió un importante proyecto comparativo que pretendía observar los fundamentalismos en varios contextos sociales e instituciona- les 17 . Así, sabemos que el «fundamentalismo es siempre reactivo, reaccio- nario» 18 , y que los fundamentalistas son selectivos. Quizás consideren que están adoptando todo el pasado completo, pero en realidad dedican sus energías a aquellos rasgos que mejor refuercen su identidad, conserven unido su movimiento, construyan defen- sas en torno a sus fronteras y mantengan a distancia a los otros [...] Los funda- mentalistas luchan bajo Dios —en el caso de la religión teísta— o bajo los signos de alguna referencia transcendente19 . Para ser más preciso —y coherente con los ensayos reunidos en el Proyecto de los «Fundamentalismos Observados»—, definiré el funda- mentalismo, según mi propio entendimiento, como la construcción de la identidad colectiva a partir de la identificación de la conducta individual y las instituciones de la sociedad con las normas derivadas de la ley de Dios, interpretada por una autoridad definida que hace de intermediario entre Dios y la humanidad. Así, como escribe Marty, «es imposible que los fun- damentalistas razonen o resuelvan nada con la gente que no comparte su sometimiento a una autoridad, ya sea una Biblia inerrable, un papa infali- ble, los códigos de la sharia en el islam o las implicaciones de la halakáén el judaismo»20 . Por supuesto, el fundamentalismo religioso ha existido durante toda la historia humana, pero parece ser sorprendentemente fuerte e influ- yente como fuente de identidad en este fin de milenio. ¿Por qué es así? Mis análisis del fundamentalismo islámico y del fundamentalismo cris- tiano en esta sección tratarán de proponer algunas pistas para compren- der una de las tendencias más definitorias en la creación de nuestra época histórica21 . 17 Marty y Appleby, 1991. 18 Marty, 1988, pág. 20. " Marty y Appleby, 1991, págs. ix y x. 20 Marty, 1988, pág. 22. 21 Véase también Misztal y Shupe, 1992a.
  • 36.
    Ifl I Ipoder tic lu idcntidud l.a umma contra el yahilíia: el fundamentalismo islámico 1:1 único camino para acceder a la modernidad es nuestra propia senda, la que ha sido trazada para nosotros por nuestra religión, nuestra historia y nuestra civiliza- ción. Rached Gannouchin La década de 1970, fecha del nacimiento de la revolución de las tecno- logías de la información en Silicon Valley, y punto de partida de la rees- tructuración capitalista global, tuvo un significado diferente para el mundo musulmán: marcó el inicio del siglo xiv de la Hégira, un periodo de renacimiento, purificación y fortalecimiento islámicos, como al co- mienzo de cada nuevo siglo. En efecto, en las dos décadas siguientes se extendió por todas las tierras musulmanas una auténtica revolución cultu- ral/religiosa, a veces victoriosa, como en Irán, a veces sometida, como en Egipto, en ocasiones desencadenante de la guerra civil, como en Argelia, o reconocida formalmente en las instituciones del estado, como en Sudán o Bangladesh, pero la mayoría de las veces estableciendo una difícil coe- xistencia con un estado-nación formalmente islámico, plenamente inte- grado en el capitalismo global, como en Arabia Saudí, Indonesia o Ma- rruecos. En general, se está luchando por la identidad cultural y el destinó político de casi mil millones de personas en las mezquitas y los barrios de las ciudades musulmanas, atestadas por la urbanización acelerada y desin- tegradas por el fracaso de la modernización. El fundamentalismo islá- mico, como identidad reconstruida y proyecto político, se encuentra en el centro de un proceso muy decisivo, que en buena medida condiciona el futuro del mundo23 . Pero, ¿qué es el fundamentalismo islámico? Islam, en árabe, significa estado de sometimiento y un musulmán es aquel que se ha sometido a Alá. Por lo tanto, según la definición de fundamentalismo que presenté anteriormente, parecería que todo el islam es fundamentalista: las socie- dades y sus instituciones estatales deben organizarse en torno a unos prin- cipios religiosos incontestados. Sin embargo, diversos estudiosos destaca- dos24 sostienen que, aunque la primacía de los principios religiosos, según se formulan en el Corán, son comunes a todo el islam, las sociedades e instituciones islámicas también se basan en una interpretación multívoca. Además, en las sociedades islámicas más tradicionales, la preeminencia de los principios religiosos sobre la autoridad política era puramente for- 12 Rached Gannouchi, entrevista con Jeune Afrique, julio de 1990. Gannouchi es un im- portante intelectual del movimiento islamista tunecino. 23 Hiro, 1989; Balta, 1991; Sisk, 1992; Choueri, 1993; Juergensmayer, 1993; Dekmejian, 1995. 24 Véase, por ejemplo, Basam Tibi, 1988,1992a; Aziz Al Azmeh, 1993; Farhad Khosrok- havar, 1995, entre otros.
  • 37.
    I'iiniísos eoiminak'v identidady sentido en la soi udiid red M mal. En efecto, la sharia (la ley divina, formada por el Corán y ó$< hadices) se relaciona en la lengua árabe clásica con el verbo sarama, cami- nar hacia una fuente. Así pues, para la mayoría de los musulmanes, la sharia no es una orden rígida e invariable, sino una guía para caminar ha- cia Dios, con las adaptaciones requeridas por cada contexto histórico y social25 . En contraste con esta apertura del islam, el fundamentalismo is- lámico supone la fusión de la sharia y elfiqh, o interpretación y aplicación por los juristas y autoridades, bajo el dominio absoluto de la sharia. Natu- ralmente, el significado real depende del proceso de interpretación y de quién interpreta. Por lo tanto, hay una amplia gama de matices entre el fundamentalismo conservador, como el representado por la Casa de Saúd, y el fundamentalismo radical, como el elaborado en los escritos de AI Mawdudi o Sayyid Qtub en las décadas de 1950 y 196026 . También existen considerables diferencias entre la tradición shií, que inspiró a Jomeini, y la tradición suní, que constituye la fe de cerca del 85% de los musulmanes, incluidos movimientos revolucionarios como el Front Isla- mique de Salvation (FIS) de Argelia o el Takfir wal-Hijrah de Egipto. No obstante, en la visión de los escritores que constituyen el pensamiento is- lamista de este siglo, como Hassan al Banna y Sayyid Qtub de Egipto, Ali al Nadawi de India o Sayyid Abul al Mawdudi de Pakistán, la historia del islam se ha reconstruido para mostrar el sometimiento perenne del estado a la religión27 . Para un musulmán, el apego fundamental no es a la watan (tierra natal), sino a la umma o comunidad de creyentes, todos igualados en su sumisión a Alá. Esta confraternidad universal reemplaza a las insti- tuciones del estado-nación, que se ve como una fuente de división entre los creyentes28 . Porque para que viva la umma y se expanda hasta abarcar a toda la humanidad, ha de cumplir una tarea divina: emprender una vez más la lucha contra el yahüíia (el estado de ignorancia o la falta de obser- vancia de las enseñanzas de Dios) en el que las sociedades han vuelto a caer. Para regenerar a la humanidad, la islamización debe avanzar pri- mero en las sociedades musulmanas que se han secularizado y se han apartado de la estricta obediencia arla ley de Dios, luego en el mundo en- tero. Este proceso debe comenzar con un renacimiento espiritual basado en al sirat al mustaqin (camino recto), construido según el modelo de la comunidad organizada por el profeta Mahoma en Medina. No obstante, para vencer a las fuerzas impías, quizás sea necesario emplear la yihad (lucha en nombre del islam) contra los infieles, que puede incluir, en los casos extremos, el recurso a la guerra santa. En la tradición shií, el marti- rio, restableciendo el sacrificio del imán Alí en 681, constituye, en efecto, 25 Garaudy, 1990. 26 Carre, 1984; Choueri, 1993. 27 Hiro, 1989; Al Azmeh, 1993; Choueri, 1993; Dekmejian, 1995. 28 Oumlil, 1992.
  • 38.
    IS El poderde la identidad el núcleo de la pureza religiosa. Perojíl conjunto del islam comparteja^ alabanza de los sacrificios necesarios para responder a la llamada de Dios (al da'wah). Como afirmó Hassan al Baña, fundador y dirigente de ta^ Hermandad NTu^Tmaña, asesinado en 1949:, «El Corán es nuestra consti- tución, el Profeta es nuestro"guía; la muerte por la gloria de Alá es nues- tra mayor ambición»29 . El fin último de todas las acciones humanas debe ser el establecimiento de la ley de Dios sobre el conjunto de la humani- dad, con lo que se pondrá fin a la oposición actual entre Dar al Islam (el mundo musulmán) y Dar al Harb (el mundo no musulmán). En este marco cultural/religioso/político, la identidad islámica se cons- truye en virtud de una deconstrucción doble, efectuada por los actores so- ciales y por las instituciones de la sociedad. Los actores sociales deben deconstruirse como sujetos, ya sea como individuos, como miembros de un grupo étnico o como ciudadanos de una nación. Además, las mujeres deben someterse a sus hombres guardia- nes, ya que se las induce a que se realicen primordialmente en el marco de la familia: «Los hombres son los protectores y mantenedores de las muje- res porque Dios ha otorgado a los unos mayor (fuerza) que a las otras y porque las mantienen con sus medios»30 . Como escribe Bassam Tibi, «el principio de la subjetividad de Habermas es una herejía para los funda- mentalistas islámicos»31 . Sólo en la umma puede el individuo ser plena- mente él mismo, como parte de la confraternidad de los creyentes, meca- nismo básico igualador que proporciona sostén y solidaridad mutuos y un sentido compartido. Por otra parte, el mismo estado-nación debe negar su identidad: al dawla islamiyya (el estado islámico), basado en la sharia, tiene prioridad sobre el estado-nación (al dawla qawmiyya). Esta proposi- ción es particularmente efectiva en el Oriente Próximo, región donde, se- gún Tibi, «el estado-nación es ajeno y virtualmente impuesto a sus partes [...] La cultura política del nacionalismo secular no es sólo una novedad en el Oriente Próximo, sino que incluso permanece en la superficie de las sociedades implicadas»32 . Sin embargo, y esto es esencial, el fundamentalismo islámico no es un movimiento tradicionalista. A pesar de todos los esfuerzos de exégesis para arraigar la identidad islámica en la historia y los textos sagrados, los islamistas, por motivo de la resistencia social y la sublevación política, prosiguieron con una reconstrucción de la identidad cultural que, de he- cho, es hipermoderna33 . Como escribe Al Azmeh, «la politización de lo sagrado, la sacralización de la política y la transformación de las institu- 29 Citado por Hiro, 1989, pág. 63. 30 Corán, sura IV, v. 34 (trad. de Abdullah Yusuf Alí, 1988. Véase Hiro, 1989, pág. 202); Delcroix, 1995; Gerami, 1996. 31 Tibi, 1992b, pág. 8. 52 Tibi, 1992b, pág. 5. 33 Gole, 1995.
  • 39.
    Piirnlsos comumilcs: identidady sentido en l< soeiedsid red 39 i iones islámicas pseudolegales en "devociones sociales" son todos medios de ejecutar la política del ego auténtico, una política de identidad y, por lo tanto, los medios para la formación misma, de hecho la invención, de esta identidad»34 . Pero si el islamismo (aunque basado en los escritos de los reformistas y renovadores islámicos del siglo xix, como Al Afghani) es esencialmente una identidad contemporánea, ¿por qué ahora? ¿Por qué ha detonado en las dos últimas décadas, tras haber sido repetidamente sometido por el nacionalismo en el periodo postcolonial, como ejemplifican la represión tic los Hermanos Musulmanes en Egipto y Siria (incluida la ejecución de Otub en 1966), el ascenso de Sukarno en Indonesia o el Front de Libera- tion Nationale en Argelia35 ? Para Tibi, «el ascenso del fundamentalismo islámico en el Oriente Próximo se interrelaciona con la exposición de esta parte del mundo del islam, que se percibe como una entidad colectiva, a los procesos de globa- lización, al nacionalismo y el estado-nación como principios de organiza- ción globalízadps»36 . En efecto, la explosión de los movimientos islámicos parece relacio- narse, tanto con lajcrisis de las sociedades tradicionales (incluido el debili- tamiento del poder del clero tradicional) como con el fracaso del estado- nación, creado por los movimientos nacionalistas, para lograr la modernización, desarrollar la economía y distribuir los beneficios del cre- cimiento económico entre la población en general. Así pues, la identidad islámica es (re)construi s por los islamístas en oposición al capitalismo, al socialismo y al nacionalismo, árabe o cualquier otro, que considera ideo- logías fracasadas del orden postcolonial. Un caso que viene a propósito, es por supuesto, el de Irán37 . La Revo- lución Blanca del sha, lanzada en 1963, fue un intento muy ambicioso de modernizar la economía y la sociedad, con el respaldo de los Estados Unidos, y con el proyecto deliberado de conectarse con el nuevo capita- lismo global que estaba en marcha. Al hacerlo, socavó las estructuras bá- sicas de la sociedad tradicional de la agricultura al calendario. En efecto, surgió un importante conflictp entre el sha y los ulemas sobre el tiempo cuando, el 24 de abril de 1976, el primero cambió el calendario islámico por el preislámico de la dinastía aqueménida. Cuando Jomeini aterrizó en Teherán el 1 de febrero de 1979 para encabezar la revolución, volvió como representante del imán Nacoste, Señor del Tiempo (yvali al zamari) para afirmar la preeminencia de los principios religiosos. La revolución is- M Al Azmeh, 1993, pág. 31. w Piscatori, 1986; Moen y Gustafson, 1992; Tibi, 1992a; Burgat y Dowell, 1993; Juergens- mayer, 1993; Dekmejian, 1995. " Tibi, 1992b, pág. 7. " Hiro, 1989; Bakhash, 1990; Esposito, 1990; Khosrokhavar, 1995.
  • 40.
    •10 El poderde la identidud lámica se opuso a la vez a la institución de la monarquía (Jomeini: «El is- lam se opone fundamentalmente a toda noción de monarquía»)38 ; al es- tado-nación (artículo 10 de la nueva Constitución iraní: «Todos los musul- manes forman una única nación»); y a la modernización como una expresión de la occidentalización (el artículo 43 de la Constitución iraní estipula la «prohibición de la extravagancia y el derroche en todos los asuntos relacionados con la economía, incluidos el consumo, la inversión, la producción, la distribución y los servicios»). Los ulemas, los blancos principales de las reformas institucionales del sha, conservaron su poder como los intermediarios entre la sharia y la sociedad. La radicalización del régimen islámico, tras el ataque de Irak en 1980 y la atroz guerra que siguió, llevó a la purificación de la sociedad y al establecimiento de jueces religiosos especiales para reprimir los actos impíos tales como «el adulte- rio, la homosexualidad, el juego, la hipocresía, la compasión por los ateos y los hipócritas, y la traición» 39 . Siguieron cientos de encarcelamientos, flagelaciones y ejecuciones por distintos motivos. El círculo del terror, di- rigido particularmente hacia los izquierdistas críticos y las guerrillas mar- xistas, cerró el círculo de la lógica fundamentalista en Irán. ¿Cuáles son las bases sociales del fundamentalismo? En Irán, donde otras fuerzas revolucionarias participaron en las largas y cruentas movili- zaciones para derrocar la sangrienta dictadura Pahlevi, los dirigentes fue- ron los clérigos y en las mezquitas se reunieron los comités revoluciona- rios que organizaron la insurgencia popular. En cuanto a los actores sociales, la fuerza del movimiento estaba en Teherán y otras grandes ciu- dades, sobre todo entre los estudiantes, los intelectuales y los comercian- tes y artesanos de los bazares. Cuando el movimiento llegó a las calles, se unieron las masas de inmigrantes rurales recientes que construyeron sus poblados de chabolas en Teherán en la década de 1970, después de que la modernización de la agricultura los expulsara de sus aldeas. Los islamistas de Argelia y Túnez parecen presentar un perfil similar, según algunos datos dispersos: el apoyo al FIS se originó en un grupo he- terogéneo de intelectuales cultos, profesores de universidad y funciona- rios de nivel bajo, a quienes se unieron los pequeños comerciantes y los artesanos. Sin embargo, estos movimientos, ocurridos en la década de 1980, también tuvieron sus raíces sociales en el éxodo rural. Una encuesta realizada en Túnez descubrió que el 48% de los padres de los militantes eran analfabetos, ya que emigraron a las ciudades en la década de 1970 desde las regiones rurales empobrecidas. Los propios militantes eran jó- venes: en Túnez, la edad media de 72 militantes sentenciados en un im- portante juicio celebrado en 1987 era de 32 años40 . En Egipto, el isla- 38 Hiro, 1989, pág. 161. 39 Documentos oficiales presentados en la prensa, citado por Hiro, 1989, pág. 190. 40 Datos aportados por Burgat y Dowell, 1993.
  • 41.
    Tul.usos i oiiiiiii.ilcs,iilriilul.ul v scnliilo r n l-i :<H II tl.nl u-il 4 ] mismo predomina entre los estudiantes universitarios (la mayor parte de los sindicatos de estudiantes han estado bajo dirección fundamentalista is- lámica desde mediados de la década de 1980) y recibe respaldo de emple- ados gubernamentales, sobre todo maestros, al tiempo que desarrolla una influencia creciente en la policía y el ejército41 . Las bases sociales del fundamentalismo radical parecen derivarse de la combinación del éxito de la modernización dirigida por el estado du- rante las décadas de 1950 y 1960 y el fracaso de la modernización econó- mica en la mayoría de los países musulmanes durante las décadas de 1970 y 1980, cuando sus economías no pudieron adaptarse a las nuevas condi- ciones de la competencia global y la revolución tecnológica del último pe- riodo. AjjLpue&r una.joyen población urbana, con un alto nivel educativo como resultado de la primera ola de modernización, se vio frustrada en sus expectativas cuando la economía entró en crisis y se consolidaron las nuevas formas de dependencia cultural. A su descontento se unieron las masas empobrecidas, expulsadas de las zonas rurales a las ciudades por la modernización desequilibrada de la agricultura. Esta mezcla social se hizo explosiva por la crisis del estado-nación, cuyos empleados, incluido el. personal militar, sufrieron el descenso de su nivel de vida y perdieron la fe en el proyecto nacionalista. La crisis de legitimidad del estado-nación fue el resultado de su corrupción generalizada, ineficacia y dependencia de las potencias extranjeras y, en el Oriente Próximo, de la repetida hu- millación militar a manos de Israel, seguida de la reconciliación con el enemigo sionista. La construcción de la identidad islámica contemporá- nea avanzó como una reacción contra la modernización inalcanzable (ya fuera capitalista o socialista), las perversas consecuencias de la globaliza- ción y el derrumbamiento del proyecto nacionalista postcolonial. Por ello, el desarrollo diferencial del fundamentalismo en el mundo islámico pa- rece estar ligado a las variaciones de la capacidad del estado-nación de inT tegrar en su proyecto tanto a las masas urbanas, mediante el bienestar económico, como al clero musulmán, mediante la sanción oficial de su po- der religioso bajo la égida del estado, como había ocurrido en el califato, omeya o en el imperio otomano42 . Así pues, aunque Arabia Saudí es for- malmente una monarquía islámica, los ulemas están en la nómina de la Casa de Saúd, que logró,al mismo tiempo, ser la guardiana de los santos lugares y del petróleo occidental. Indonesia y Malaisia parecen ser capa- ces de integrar las presiones islamistas dentro de sus estados-nación auto- ritarios al asegurar un rápido crecimiento económico y, por lo tanto, ofre- cer algunas perspectivas prometedoras a sus subditos, aunque las ciudades indonesias están acumulando tensiones sociales. Por otra parte, los proyectos nacionalistas de Egipto, Argelia y Túnez algunos de los paí- 41 Hiro, 1989; Dekmejian, 1995. 42 Balta, 1991.
  • 42.
    42 El poderde la identidad scs musulmanes más occidentalizados, se derrumbaron en general en la década de 1980, con lo que dieron paso a tensiones sociales que fueron recogidas predominantemente por los islamistas en versiones moderadas (Ifermandad Musulmana), radicales (Jama'ah al Islamiyya) o democrá- tico-radicales (FIS de Argelia)43 . En la década de 1990, el desafío de Ha- más al protoestado palestino constituido en torno a Yasser Arafat, en co- laboración con Israel, quizás constituya uno de los cismas más dramáticos entre el nacionalismo árabe (cuyo epítome es el movimiento palestino) y el fundamentalismo radical islámico. Cuando se invalidaron las victorias electorales de los islamistas, como en Argelia en diciembre de 1991, mediante la represión militar, sobrevi- nieron la violencia generalizada y la guerra civil44 . Hasta en el país musul- mán más occidentalizado, Turquía, la herencia nacionalista secular de Ke- mal Ataturk sufrió un desafío histórico cuando, en las elecciones de 1995, los islamistas se convirtieron en la primera fuerza política del país, en vir- tud del voto de los intelectuales radicalizados y los pobres urbanos, y for- maron gobierno en 1996. El islamismo político y la identidad fundamentalista islámica parecen estar expandiéndose en la década de los noventa en una variedad de con- textos sociales e institucionales, siempre relacionados con las dinámicas de la exclusión social y la crisis del estado-nación. Así pues, la segrega- ción social, la discriminación y el desempleo entre la juventud francesa de origen magrebí, entre los jóvenes turcos nacidos en Alemania, entre los paquistaníes de Gran Bretaña o entre la juventud de los guetos estado- unidenses (por ejemplo, los seguidores de Farrakhan), provocó el surgi- miento de una nueva identidad islámica entre la juventud desafecta, en una espectacular transferencia del islamismo radical a las zonas social- mente excluidas de las sociedades capitalistas avanzadas45 . Por otra parte, el derrumbamiento del estado soviético desencadenó la aparición de mo- vimientos islámicos en el Cáucaso y Asia Central, e incluso la formación de un Partido de Renacimiento Islámico en Rusia, amenazando con hacer realidad los temores de que se extiendan las revoluciones islámicas de Af- ganistán e Irán a las antiguas repúblicas soviéticas46 . Mediante una variedad de procesos políticos, dependiendo de las di- námicas de cada estado-nación y la forma de articulación global de cada economía, ha surgido un proyecto fundamentalista islámico en todas las sociedades musulmanas, y entre las minorías musulmanas de las socieda- des no musulmanas. Se está construyendo una nueva identidad, no me- diante el retorno a la tradición, sino mediante la elaboración de los mate- 43 Sisk, 1992. 44 Nair, 1996. 45 Luecke, 1993; Kepel, 1995. 46 Mikulsky, 1992.
  • 43.
    I"imi(sos comunales: identidady sentido cu la sociedad red 41 ríales tradicionales para formar un nuevo mundo divino y comunal, donde las masas desposeídas y los intelectuales desafectos puedan recons- truir el sentido en una alternativa global al orden global exclusionista47 . Además, como escribe Khosrokhavar: Cuando el proyecto de constituir individuos que participen plenamente en la mo- dernidad revela su absurdo en la experiencia real de la vida cotidiana, la violencia se convierte en la única forma de autoafirmación del nuevo sujeto [...] La neoco- munidad se convierte entonces en una necrocomunidad. La exclusión de la mo- dernidad adquiere un significado religioso: de este modo, la autoinmolación se convierte en la vía para luchar contra la exclusión4S . Mediante la negación de la exclusión, incluso en la forma extrema del autosacrificio, surge una nueva identidad islámica en el proceso de cons- truir la umma, el paraíso comunal para los verdaderos creyentes. ¡Dios me salve a mí!: elfundamentalismo cristiano estadounidense Hemos llegado a una oscura era electrónica, en la que las nuevas hordas paganas, con todo el poder de la tecnología a sus órdenes, están a punto de arrasar las últi- mas fortalezas de la humanidad civilizada. Ante nosotros se extiende una visión de muerte. Cuando dejamos atrás las orillas del hombre occidental cristiano, sólo se extiende por delante un mar oscuro y turbulento de desesperación... a menos que contraataquemos. Francis Schaeffer, Time for Anger49 El fundamentalismo cristiano es un rasgo perenne en la historia esta- dounidense, desde las ideas de federalistas postrevolucionarios como Ti- mothy Dwight y Jedidiah Morse, hasta la escatología premilenarista de Pat Robertson, a través de los renovadores religiosos de 1900 como Dwight L. Moody y los reconstruccionistas de la década los setenta inspi- rados por Rousas J. Rushdoony50 . Una sociedad constantemente en la frontera del cambio social y la movilidad individual está abocada a dudar de forma periódica de los beneficios de la modernidad y la secularización, anhelando la seguridad de los) valores e instituciones tradicionales basa- dos en la verdad eterna de Dios. En efecto, el mismo término de «funda- 47 Tibi, 1992a, b; Gole, 1995. 48 Khosrokhavar, 1995, págs. 249 y 250. La traducción es mía. 4 ' Schaeffer, 1982, pág. 122. Francis Schaeffer es uno de los principales inspiradores del fundamentalismo cristiano estadounidense. Su Christian Manifestó, publicado en 1981, poco después de su muerte, fue el folleto más influyente en el movimiento antiabortista de la dé- cada de los ochenta en los Estados Unidos. 50 Marsden, 1980; Ammerman, 1987; Misztal y Shupe, 1992b; Wilcox, 1992.
  • 44.
    4.) I Ipodo de l.i ick nliclml mentalisnio», ampliamente utilizado en todo el mundo, se originó en los Estados Unidos, en referencia a una serie de diez volúmenes titulados The Fundamentáis, publicados privadamente por dos hermanos, hombres de negocios, entre 1910 y 1915, para reunir los textos sagrados editados por los teólogos evangélicos conservadores a finales de siglo. Aunque la influencia fundamentalista ha variado en diferentes periodos históricos, nunca se ha eclipsado. Y en las décadas de los ochenta y los noventa, sin duda experimentó un vertiginoso aumento. Aunque la desintegración de la Mayoría Moral de Jerry Falwell en 1989 condujo a algunos observado- res a anunciar el declive del fundamentalismo (paralelo al fin del Satán comunista, cuya oposición era una importante fuente de legitimación y fi- nanciación para los fundamentalistas), en seguida se hizo evidente que era la crisis de una organización y de una aventura política más que la de la identidad fundamentalista51 . En la década de los noventa, a raíz de la victoria presidencial de Clinton en 1992, el fundamentalismo llegó al pri- mer plano de la escena política, esta vez en la forma de la Coalición Cris- tiana encabezada por Pat Robertson y Ralph Reed, que afirman tener un millón y medio de miembros organizados y cuentan con una considerable influencia política entre el electorado republicano. Además, las ideas y la visión del mundo de los fundamentalistas parecen encontrar un eco consi- derable en los Estados Unidos del fin-de-siécle. Por ejemplo, según una encuesta de Gallup sobre una muestra nacional de 1979, uno de cada tres adultos declaraba que había tenido una experiencia de conversión reli- giosa; casi la mitad de ellos creían que la Biblia era infalible; y más del 80% pensaba que Jesucristo era divino52 . Sin duda, los Estados Unidos siempre han sido, y siguen siendo, una sociedad muy religiosa, mucho más, por ejemplo, que Europa Occidental o Japón. Pero este sentimiento religioso parece tomar un tono cada vez más restaurador, deslizándose hacia una poderosa corriente fundamentalista. Según Simpson: el fundamentalismo, en su sentido original, es un conjunto de creencias y expe- riencias cristianas que incluyen 1) reconocimiento de la inspiración literal y com- pleta de la Biblia y su infalibilidad; 2) salvación personal mediante Cristo y su aceptación como Salvador personal (naciendo de nuevo) a causa de su eficaz ex- piación sustitutiva del pecado con su muerte y resurrección; 3) la esperanza del regreso antes del milenio de Cristo a la tierra desde el cielo; 4) el respaldo a doc- trinas cristianas ortodoxas protestantes tales como el nacimiento de la Virgen y la trinidad53 . No obstante, el fundamentalismo cristiano es una tendencia tan am- plia y diversificada que desafía una definición simple que transcienda las 51 Lawton, 1989; Moen, 1992; Wilcox, 1992. 52 Lienesch, 1993, pág. 1. 53 Simpson, 1992, pág. 26.
  • 45.
    I'imiínos lomimiilcs: idcnlidiidy si-nlido en lii Mick-dml icil 45 divisiones existentes entre los evangélicos pentecoslales y carismáticos, los prcmilenaristas y postmilenaristas, los pietistas y los activistas. Por suerte, contamos con una excelente síntesis académica bien documentada tic Michael Lienesch sobre los escritos y doctrinas de los fundamentalistas estadounidenses, basándome en la cual, y con el respaldo de otras fuentes que confirman en términos generales sus datos y argumentos, trataré de re- construir los rasgos principales de la identidad fundamentalista cristiana54 . Como escribe Lienesch, «en el centro del pensamiento conservador cristiano, dando forma a su sentido del ser, se encuentra el concepto de la conversión, el acto de fe y perdón mediante el cual los pecadores son lle- vados del pecado a un estado de salvación eterna»55 . A través de esta ex- periencia personal de nacer de nuevo, toda la personalidad se reconstruye y se convierte en «el lugar de comienzo para la construcción de un sentido no sólo de autonomía e identidad, sino también de orden social y de pro- pósito político»56 . La vinculación entre personalidad y sociedad pasa por la reconstrucción de la familia, la institución central de la sociedad, que antes era el refugio contra el mundo duro y hostil y ahora está desmoro- nándose en nuestra sociedad. Esta «fortaleza de la vida cristiana» ha de reconstruirse afirmando el patriarcado, es decir, la santidad del matrimo- nio (excluyendo el divorcio y el adulterio) y, sobre todo, la autoridad de los hombres sobre las mujeres (como está establecido literalmente en la Biblia: Génesis 1; Efesios 5, 22-23) y la estricta obediencia de los hijos, si es necesario imponiéndola mediante zurras. En efecto, los hijos nacen en el pecado: «Es muy beneficioso para el padre cuando se da cuenta de que es natural que su hijo tenga deseo del mal»57 . Por lo tanto, es esencial para la familia educar a los hijos en el temor de Dios y el respeto a la au- toridad paterna, y contar con el respaldo pleno de una educación cristiana en la escuela. Como una consecuencia obvia de esta visión, las escuelas públicas se convierten en el campo de batalla entre el mal y el bien, entre la familia cristiana y las instituciones del laicismo. Numerosas recompensas terrenales esperan al cristiano que se atreve a defender estos principios y escoge los planes de Dios sobre su propia planificación imperfecta de la vida. Para comenzar, una magnífica vida se- xual en el matrimonio. Los autores de grandes ventas Tim y Beverly La Haye proponen sus manuales sobre el sexo como «plenamente bíblicos y muy prácticos»58 , y muestran,^;on el apoyo de ilustraciones, todos los go- ces de la sexualidad que, una vez santificados y canalizados hacia la pro- creación, están de estricto acuerdo con el cristianismo. En tales condicio- 54 Zeskind, 1986; Jelen, 1989, 1991; Barron y Shupe, 1992; Lienesch, 1993; Riesebrodt, 1993; Hicks, 1994. 55 Lienesch, 1993, pág. 23. 56 Lienesch, 1993, pág. 23. 57 Beverly La Haye, citado en Lienesch, 1993, pág. 78. 58 Citado en Lienesch, 1993, pág. 56.
  • 46.
    4<> II poderilc líi iiliiiliihul nes, los hombres pueden volver a serlo; en vez de los «cristianillos» actua- les, los hombres deben parecer hombres y actuar como tales, otra tradi- ción cristiana: «Jesús no era amariconado» Sí> . En efecto, la canalización de la sexualidad agresiva masculina en un matrimonio satisfactorio es esencial para la sociedad, tanto para el control de la violencia como por- que es la fuente de la «ética laboral protestante» y, por lo tanto, de la pro- ductividad económica. En este planteamiento, la sublimación sexual es el cimiento de la civilización. En cuanto a las mujeres, la biología las deter- mina a ser madres y el complemento emocional de los hombres racionales (según Phyllis Schlafly). Su sumisión las ayudará a lograr un sentimiento de autoestima. Las mujeres afirman su identidad independiente de los hombres mediante el sacrificio. Así, Beverly La Haye escribe: «no tengas miedo de dar y dar y dar»60 . El resultado será la salvación de la familia, «esa pequeña mancomunidad, de cuyos cimientos se levantan todas las sociedades»fil . Con la salvación garantizada, mientras se observe estrictamente la Bi- blia como cristiano y se cuente con una familia patriarcal estable como sólida base para la vida, los negocios también marcharán bien, siempre que el gobierno no interfiera en la economía, deje a su suerte a los pobres indignos, y ponga los impuestos dentro de unos límites razonables (en torno a un 10% de los ingresos). En efecto, a los fundamentalistas cristia- nos no parece preocuparles la contradición que existe entre ser teócratas morales y libertarios económicos62 . Es más, Dios ayudará al buen cris- tiano en su vida mercantil: después de todo, tiene que mantener a su fa- milia. El mismo dirigente de la Coalición Cristiana, Pat Robertson, afa- mado telepredicador, ofrece con su propio relato una prueba viviente de ello. Tras su conversión, armado de su confianza en sí mismo como cris- tiano, fue a comprar una empresa: «Dios me ha enviado aquí para com- prar su canal de televisión» y ofreció una suma, basada en la «cifra de Dios»: «El Señor habló: "No pases de dos millones y medio"»63 . Después de todo, resultó ser un buen negocio, por el cual Pat Robertson da las gracias a Dios semanalmente en su programa de televisión «Club 700». No obstante, no se puede llevar una vida cristiana de forma individual porque las instituciones de la sociedad y, sobre todo, el gobierno, los me- dios de comunicación y los sistemas de educación pública están controla- dos por humanistas de diversos orígenes, asociados, según las diferentes versiones fundamentalistas, con comunistas, banqueros, herejes y judíos. Los enemigos más insidiosos y peligrosos son las feministas y los homose- 59 Edwin L. Colé, citado en Lienesch, 1993, pág. 63. 60 Beverly La Haye, citado en Lienesch, 1993, pág. 77. 61 Lienesch, 1993, pág. 77. 62 Hicks, 1994. 6:1 Comunicado por Pat Robertson y citado en Lienesch, 1993, pág. 40.
  • 47.
    I'aiiilsos COIIIIIIIHICN: iilcnliil;iily s i n l i d o cu ln s<>< iiitutl iril 47 xualcs poique son quienes están socavando la familia, la principal fuente de- estabilidad social, de vida cristiana y de realización personal. Phyllis Schlafly se ha referido a «la enfermedad llamada liberación de las muje- res»''1 . La lucha contra el aborto simboliza todas las luchas para preservar la familia, la vida y el cristianismo, tendiendo un puente a las otras fes cristianas. Éste es el motivo por el cual el movimiento pro vida (antia- borto) es la expresión más militante e influyente del fundamentalismo cristiano en los Estados Unidos. La lucha debe intensificarse y han de lograrse los compromisos políti- cos necesarios con la política institucional porque se está acabando el tiempo. Se aproxima «el fin de los tiempos» y tenemos que arrepentimos y limpiar nuestra sociedad para estar preparados para la Segunda Venida de Jesucristo, que abrirá una nueva era, un nuevo milenio de paz y pros- peridad sin precedentes. No obstante, es un paso peligroso porque ten- dremos que sufrir la atroz Batalla de Armagedón, que se originará en el Oriente Próximo y luego se expandirá a todo el mundo. Israel y la Nueva Israel (Estados Unidos) acabarán prevaleciendo sobre sus enemigos, pero a un coste terrible y sólo contando con la capacidad de nuestra sociedad para regenerarse. Por ello, la transformación de la sociedad (mediante la política cristiana de base) y la regeneración del yo (mediante una vida fa- miliar pía) son tanto necesarias como complementarias. ¿Quiénes son los fundamentalistas estadounidenses contemporáneos? Clyde Wilcox proporciona algunos datos interesantes sobre las caracterís- ticas demográficas de los evangélicos, comparados con el conjunto de la población, en 198865 . Teniendo en cuenta las características de los evan- gélicos doctrinales, parecería que tienen menor educación, son más po- bres, más influyentes entre las amas de casa, residen con mayor frecuen- cia en el sur, son significativamente más religiosos y el cien por ciento de ellos considera que la Biblia es infalible (comparado con el 27% de la po- blación en general). Según otras fuentes66 , la reciente expansión del fun- damentalismo cristiano es particularmente vigorosa en los suburbios del nuevo sur y suroeste y de California del Sur, entre la clase media-baja y los trabajadores de servicios, emigrados recientes a los nuevos suburbios de las áreas metropolitanas en rápida expansión. Esto lleva a Lienesch a plantear la hipótesis de que quizás represente «la primera generación mo- dernizada de emigrantes tradicionales recientes que mantienen los valo- res rurales en una sociedad urbana secular»67 . Sin embargo, parece que los valores, creencias y posiciones políticas son más importantes que las características demográficas, ocupacionales o residenciales, para estimu- 64 Citado por Lienesch, 1993, pág. 71. 65 Wilcox, 1992. 66 Citado por Lienesch, 1993. 67 Lienesch, 1993, pág. 10.
  • 48.
    4K II poilcrilc la idcntiilml lar el fundamentalismo cristiano. Tras revisar un conjunto considerable de datos disponibles sobre el tema, Wilcox concluye que «demuestran que las mejores predicciones del apoyo a la Derecha Cristiana son las identidades, las doctrinas, las conductas, las afiliaciones y las creencias políticas religiosas»68 . El fundamentalismo no parece ser una racionaliza- ción de intereses de clase o de posicionamiento territorial. Más bien actúa sobre el proceso político en defensa de los valores morales cristianos69 . Como la mayoría de los fundamentalismos en la historia, es un movi- miento reactivo, que pretende construir una identidad social y personal basándose en imágenes del pasado y proyectándolas en un futuro utópico para superar los insoportables tiempos presentes. Pero es una reacción ¿a qué? ¿Qué es insoportable? Dos parecen ser las fuentes más inmediatas del fundamentalismo cristiano: la amenaza de la globalización y la crisis del patriarcado. Como escriben Misztal y Shupe, «la dinámica de la globalización ha promovido la dinámica del fundamentalismo de modo dialéctico» 70 . Lechner elabora más las razones de esta dialéctica: En el proceso de globalización, las sociedades han quedado institucionalizadas como hechos globales. Como organizaciones, operan en términos seculares; en sus relaciones, siguen reglas seculares; apenas ninguna tradición religiosa atribuye un significado transcendente a las sociedades mundanas en su forma presente [...] Para los parámetros de la mayoría de las tradiciones religiosas, el societalismo ins- titucionalizado supone la idolatría. Pero ello significa que la vida dentro de la so- ciedad también se ha convertido en un desafío para la religión tradicional [...] Pre- cisamente porque el orden social es un orden normativo institucionalizado, es plausible que surja cierta búsqueda de una base «última», de alguna realidad transcendente más allá de este mundo en relación con la cual éste pueda definirse con mayor claridad71 . Además, mientras que la amenaza comunista proporcionó una base para que se estableciera la identificación entre los intereses del go- bierno estadounidense, el cristianismo y los Estados Unidos como la nación elegida, el derrumbamiento de la Unión Soviética y el surgi- miento de un nuevo orden global crearon una incertidumbre amenaza- dora sobre el control del destino de los Estados Unidos. Un tema re- currente del fundamentalismo cristiano estadounidense durante la década de los noventa es la oposición al control del país por un «go- bierno mundial» que suplante al gobierno federal (al que considera cómplice de esta tendencia), promulgado por la ONU, el Fondo Mone- 68 Wilcox, 1992, pág. 223. 69 Jelen, 1991. 70 Misztal y Shupe, 1992a, pág. 8. 71 Lechner, 1991, págs. 276 y 277.
  • 49.
    I'/IIIIIHOS IDIIIIIIIJIICN: itlt-nlidmly sentido en la Nocicdml ii'd •)<> liirio lnlcrn;icion;il y la Organización Mundial de Comercio, entre olios organismos internacionales. En algunos escritos escatológicos, csle nuevo «gobierno mundial» se asimila con el Anticristo, y sus sím- bolos, incluido el microchip, son la Marca de la Bestia que anuncia el ••lili de los tiempos». La construcción de la identidad fundamentalista cristiana parece ser un intento de reafirmar el control sobre la vida y sobre el país, en respuesta directa a los procesos incontrolables de la globalización que cada vez se sienten más en la economía y los medios de comunicación. No obstante, probablemente la fuente más importante del fundamen- talismo cristiano en las décadas de los ochenta y los noventa sea la reac- ción contra el cuestionamiento del patriarcado, derivado de las revueltas de los años sesenta y expresado en los movimientos de mujeres, de les- bianas y de gays72 . Además, la batalla no es sólo ideológica. La familia patriarcal estadounidense está sin duda en crisis, según todos los indica- dores de divorcio, separación, violencia en la familia, hijos nacidos fuera del matrimonio, matrimonios aplazados, disminución de la maternidad, estilos de vida de soltería, parejas gays y lesbianas, y un rechazo exten- dido a la autoridad patriarcal (véase el capítulo 4). Existe una reacción obvia por parte de los hombres para defender sus privilegios, a los que conviene más la legitimidad divina, una vez que su papel menguante como los únicos ganadores del pan debilitara las bases materiales e ideo- lógicas del patriarcado. Pero hay algo más, compartido por hombres, mu- jeres y niños. Un miedo profundamente asentado a lo desconocido, que se vuelve más amedrentador cuando tiene que ver con la base cotidiana de la vida personal. Incapaces de vivir bajo el patriarcado secular, pero aterrorizados por la soledad y la incertidumbre en una sociedad indivi- dualista y ferozmente competitiva, donde la familia, como mito y reali- dad, representaba el único paraíso seguro, muchos hombres, mujeres y niños rezan a Dios para que los vuelva al estado de inocencia en el que puedan contentarse con el patriarcado benevolente bajo las reglas divi- nas. Y al rezar juntos se hacen capaces de vivir juntos otra vez. Por ello, el fundamentalismo estadounidense está profundamente marcado por las características de su cultura, por su individualismo familiarista, por su pragmatismo y por la relación personalizada con Dios y con el designio de Dios, como una metodología para resolver los problemas personales en una vida cada vez mas imprevisible e incontrolable. Como si el devoto fundamentalista fuera a recibir por la gracia de Dios la restauración del desaparecido modo de vida estadounidense, a cambio del compromiso por parte del pecador de arrepentirse y dar testimonio cristiano. Lamberts-Bendroth, 1993.
  • 50.
    !S() II poderele l.i identidad NACIONES Y NACIONALISMOS EN LA ERA DE LA GLOBALIZACIÓN: ¿COMUNIDADES IMAGINADAS O IMÁGENES COMUNALES? Sólo cuando todos —todos— hayamos recuperado la memoria, podremos unos y otros dejar de ser nacionalistas. Rubert de Ventos, Nacionalismosn La era de la globalización es también la del resurgimiento naciona- lista, expresado tanto en el desafío a los estados-nación establecidos, como en la extensa (re)construcción de la identidad atendiendo a la na- cionalidad, siempre afirmada contra lo ajeno. Esta tendencia histórica ha sorprendido a algunos observadores, después de que se hubiera declarado la defunción del nacionalismo de una muerte triple: la globalización de la economía y la internacionalización de las instituciones políticas; el univer- salismo de una cultura en buena parte compartida, difundida por los me- dios de comunicación electrónicos, la educación, la alfabetización, la ur- banización y la modernización; y el asalto teórico al concepto mismo de naciones, declaradas «comunidades imaginadas»74 en las versiones tibias de la teoría antinacionalista o incluso «invenciones históricas arbitrarias» en la enérgica formulación de Gellner75 , que surgen de un movimiento nacionalista dominado por la élite en su camino para construir el estado- nación moderno. En efecto, para Gellner, «los nacionalismos son simple- mente aquellos tribalismos o, a este respecto, cualquier otro tipo de grupo, que mediante suerte, esfuerzo o circunstancia, logran convertirse en una fuerza efectiva en las circunstancias modernas»76 . Lograrlo signi- fica, tanto para Gellner como para Hobsbawm77 , la construcción de un estado-nación moderno y soberano. Por lo tanto, en este planteamiento, los movimientos nacionalistas, como racionalizadores de los intereses de una cierta élite, inventan una identidad nacionalista que, si tiene éxito, es conservada por el estado-nación y luego difundida mediante la propa- ganda entre sus subditos, hasta el punto de que los «nacionales» estarán dispuestos a morir por sus naciones. Hobsbawm acepta las pruebas histó- ricas del nacionalismo que surgió de abajo arriba (al compartir atributos lingüísticos, territoriales, étnicos, religiosos y políticos históricos), pero lo denomina «protonacionalismo», puesto que sólo cuando se constituye el estado-nación, adquieren existencia las naciones y el nacionalismo, ya sea como expresión de este estado-nación o como un desafío a él en nombre de un futuro estado. Ahora bien, la explosión de los nacionalismos en este fin de milenio, en estrecha relación con el debilitamiento de los esta- 73 Rubert de Ventos, 1994, pág. 241. 14 Anderson, 1983. 75 Gellner, 1983, pág. 56. 76 Gellner, 1983, pág. 87. 77 Hobsbawm, 1992.
  • 51.
    I'JII uísos comunales:identidad y sentido en la sociedad icd .SI dos-nación existentes, no encaja bien en este modelo teórico que asimila naciones y nacionalismos al surgimiento y la consolidación del estado-na- ción moderno tras la Revolución francesa, que funcionó en gran parte del mundo como modelo para su fundación. No importa. Para Hobsbawn, esle resurgimiento aparente es, en realidad, el producto histórico de los problemas nacionales no resueltos, creados en la reestructuración territo- rial de Europa entre 1918 y 192178 . Sin embargo, como escribe David Ho- oson en su prólogo a la investigación global que editó sobre Geography and National Identity: 1.a última mitad del siglo xx pasará a la historia como una nueva era de multipli- cación de nacionalismos desenfrenados de una naturaleza más duradera que las Icrribles tiranías ya desaparecidas que también han caracterizado nuestro siglo |...| El impulso de expresar la identidad propia y de hacerla reconocer tangible- mente por los otros cada vez es más contagioso y ha de reconocerse como una fuerza elemental hasta en el mundo encogido de alta tecnología, aparentemente liomogeneizante, de finales del siglo xx79 . Y, como Eley y Suny escriben en el prólogo a su importante antología, Becoming National: ¿El acento en la subjetividad y la conciencia elimina toda base «objetiva» para la existencia de la nacionalidad? Sin duda, un planteamiento tan radicalmente subje- tivista sería absurdo. Los nacionalismos con mayor éxito presuponen cierta comu- nidad de territorio, lengua o cultura anterior, que proporciona la materia prima para el proyecto intelectual de la nacionalidad. No obstante, no debemos «natura- lizar» esas comunidades anteriores como si siempre hubieran existido de algún modo esencial o simplemente hubieran prefigurado una historia aún por llegar [...] La cultura es, con mayor frecuencia, no lo que la gente comparte, sino aquello por lo que elige combatir80 . En mi opinión, la incongruencia entre cierta teoría social y la práctica contemporánea proviene del hecho de que el nacionalismo, y las nacio- nes, tienen vida propia, independiente de la condición de estado, si bien incorporada en construcciones culturales y proyectos políticos. Pese a lo atractiva que pueda resultar la influyente noción de «comunidades imagi- nadas» es obvia o inadecuada desde el punto de vista empírico. Obvia para un científico social si quiere decir que todo sentimiento de pertenen- cia, todo culto a los iconos, se construye desde la cultura. Las naciones no serían una excepción a esto. La oposición entre comunidades «reales» e «imaginadas» es de escaso uso analítico más allá del laudable esfuerzo de desmitificar las ideologías del nacionalismo esencialista a la Michelet. Hobsbawm, 1992, págs. 173-202. Hooson, 1994b, págs. 2 y 3. Eley y Suny, 1996, pág. 9.
  • 52.
    II poder dela identidad Tero si el significado de la afirmación es, como resulta explícito en la teo- ría de Gellner, que las naciones son puros artefactos ideológicos, cons- truidos mediante la manipulación arbitraria de mitos históricos por parte de los intelectuales para el interés de las élites social y económica, enton- ces los datos históricos parecen desmentir un deconstruccionismo tan ex- cesivo81 . Sin duda, la etnicidad, la religión, la lengua, el territorio, per se, no son suficientes para construir naciones e inducir el nacionalismo. Sí lo es la experiencia compartida: tanto los Estados Unidos como Japón son países con una fuerte identidad nacional y la mayoría de sus ciudadanos nacionales experimentan y expresan fuertes sentimientos patrióticos. No obstante, Japón es una de las naciones más homogéneas desde el punto de vista étnico de la tierra, mientras que los Estados Unidos es una de las más heterogéneas. Pero en ambos casos, existe una historia y un proyecto compartidos y sus narrativas históricas se construyeron sobre una expe- riencia social, étnica, territorial y de género diversificada, pero común a la gente de cada país por muchas razones. Otras naciones y nacionalismos no alcanzaron la condición de estados-nación modernos (por ejemplo, Es- cocia, Cataluña, Quebec, Kurdistán, Palestina) y sin embargo muestran, y algunos lo han hecho durante varios siglos, una fuerte identidad cultural/territorial que se expresa como un carácter nacional. Así pues, cuando se investiga el nacionalismo contemporáneo, deben destacarse cuatro puntos analíticos principales con referencia a las teorías sociales del nacionalismo. Primero, el nacionalismo contemporáneo puede, o no, orientarse hacia la construcción de un estado-nación sobe- rano y, por lo tanto, las naciones son, desde el punto de vista histórico y analítico, entidades independientes del estado82 . Segundo, las naciones y los estados-naciones no están históricamente limitados al estado-nación moderno constituido en Europa en los doscientos años posteriores a la Revolución francesa. La experiencia política actual parece rechazar la idea de que el nacionalismo se vincule exclusivamente al periodo de for- mación del estado-nación moderno, con su climax en el siglo xix, repe- tido en el proceso de descolonización de mediados del siglo xx por la im- portación del estado-nación occidental al Tercer Mundo83 . Afirmar tal cosa, como se ha puesto de moda, es simple eurocentrismo, como sostiene Chatterjee84 . Panarin afirma: El malentendido del siglo fue la confusión de, la autodeterminación de los pueblos con la autodeterminación de la nación. La transferencia mecánica de ciertos prin- 81 Moser, 1985; Smith, 1986; Johnston et al, 1988; Touraine, 1988; Pérez-Argote, 1989; Chatterjee, 1993; Blas Guerrero, 1994; Hooson, 1994b; Rubert de Ventos, 1994; Eley y Suny, 1996. 82 Keating, 1995. "' Badie, 1992. 84 Chatterjee, 1993.
  • 53.
    I',ii,usos ilumínales: identidady sentido m l.i so, i. <l.nl i. <l 5.1 opios ilc Europa Occidental al suelo de culturas no europeas con frecuencia ge- neró monstruos. Uno de esos monstruos lúe el concepto de soberanía nacional trasplantado a suelo no europeo [...] El sincretismo del concepto de nación en el léxico político de Europa impide a los europeos hacer diferenciaciones extrema- damente importantes referentes a la «soberanía del pueblo», la «soberanía nacio- nal» y los «derechos de una etnia»85 . En efecto, el análisis de Panarin queda justificado por el desarrollo de los movimientos nacionalistas en muchas zonas del mundo, que siguen una amplia variedad de orientaciones culturales y proyectos políticos ha- cia el fin del siglo xx. Tercero, el nacionalismo no es necesariamente un fenómeno de élite y, de hecho, el actual suele ser una reacción contra las élites globales. Sin duda, como en el caso de todos los movimientos sociales, los diri- gentes tienden a tener más educación y conocimientos (especialmente tic informática en nuestro tiempo) que las masas populares que se mo- vilizan en torno a los objetivos nacionalistas, pero ello no reduce el atractivo y significado del nacionalismo a la manipulación de las masas por parte de las élites en su interés propio. Como escribe Smith con ob- vio pesar: Mediante una comunidad de historia y destino, pueden mantenerse vivos los re- cuerdos y las acciones conservan su gloria. Porque sólo en la cadena de las gene- raciones de aquellos que comparten un lazo histórico y cuasi familiar pueden los individuos esperar lograr un sentimiento de inmortalidad en épocas de horizontes puramente terrenales. En este sentido, la formación de las naciones y el surgi- miento de los nacionalismos étnicos parece más probable que responda a la insti- tucionalización de la «religión sustituida» que a una ideología política y, por lo tanto, será mucho más durable y potente de lo que nos interesa admitir86 . Cuarto, debido a que el nacionalismo contemporáneo es más reactivo que proactivo, tiende a ser más cultural que político y, por ello, se orienta más hacia la defensa de una cultura ya institucionalizada que hacia la construcción o defensa de un estado. Cuando se crean, o recrean, nuevas instituciones políticas, son trincheras defensivas de la identidad, más que plataformas de lanzamiento de la soberanía política. Por ello, pienso que un punto teórico de partida muy apropiado para comprender el naciona- lismo contemporáneo es el análisis realizado por Kosaku Yoshino del na- cionalismo cultural en Japón: El nacionalismo cultural pretende regenerar la comunidad nacional mediante la creación, conservación o fortalecimiento de una identidad cultural del pueblo 85 Panarin, 1994/1996, pág. 37. 86 Smith, 1989/1996, pág. 125.
  • 54.
    I El poderde la identidad cuando se siente que falta o está amenazada. El nacionalismo cultural considera a la nación un producto de su historia y cultura únicas, y como una solidaridad co- lectiva dotada de atributos únicos. En pocas palabras, al nacionalismo cultural le preocupa el carácter distintivo de la comunidad cultural como la esencia de la na- ción87 . Así pues, el nacionalismo se construye por la acción y reacción social, tanto por parte de las élites como de las masas, como sostiene Hobsbawn, contradiciendo la importancia otorgada por Gellner a la «cultura ele- vada» como el origen exclusivo del nacionalismo. Pero, contra la opinión de Hobsbawn o Anderson, el nacionalismo, como fuente de identidad, no puede reducirse a un periodo histórico particular y a las operaciones del estado-nación moderno. Reducir las naciones y nacionalismos al proceso de construcción del estado-nación hace imposible explicar el ascenso si- multáneo del nacionalismo y el declive del estado moderno. Rubert de Ventos, en una versión depurada y puesta al día de la pers- pectiva clásica de Deutsch88 , ha sugerido una teoría más compleja que contempla el surgimiento de la identidad nacional mediante la interacción histórica de cuatro series de factores: factores primarios, como la etnici- dad, el territorio, la lengua, la religión, y cosas semejantes; factores gene- rativos, como el desarrollo de las comunicaciones y la tecnología, la for- mación de las ciudades, el surgimiento de ejércitos modernos y monarquías centralizadas; factores inducidos, como la codificación del lenguaje en gramáticas oficiales, la expansión de las burocracias y el esta- blecimiento de un sistema de educación nacional; y factores reactivos, es decir, la defensa de las identidades oprimidas y los intereses sometidos por un grupo social dominante o un aparato institucional, desencade- nando la búsqueda de identidades alternativas en la memoria colectiva del pueblo89 . Qué factores desempeñan los diversos papeles en la forma- ción de cada nacionalismo y de cada nación depende de los contextos his- tóricos, de los materiales que tiene a su disposición la memoria colectiva y de la interacción de las estrategias de poder en conflicto. Así pues, el na- cionalismo se construye cultural y políticamente, pero lo que importa realmente, tanto desde la perspectiva teórica como desde la práctica, es, lo mismo que en todas las identidades, cómo, a partir de qué, por quién y para qué se construye. En este fin de siécle, la explosión de los nacionalismos, algunos de ellos deconstruyendo estados multinacionales, otros construyendo entida- des plurinacionales, no está asociada con la formación de los estados mo- dernos clásicos y soberanos. Más bien el nacionalismo parece ser una im- Yoshino, 1992, pág. 1. Deutsch, 1953; Rubert de Ventos, 1994. Rubert de Ventos, 1994, págs. 139-200.
  • 55.
    I'.II ;I(NON comunalesidentidad y sentido en In sociedad led 55 portante l'ucr/a que subyace en la constitución de cuasi-estados; es decir, entidades políticas que comparten la soberanía, ya sea en el federalismo avanzado (como en la (re)constitución canadiense en proceso, o en la «nación de nacionalidades» proclamada en la Constitución española de ll )7X, y ampliamente extendida en su práctica en la década de los no- venta); o el multilateralismo internacional (como en la Unión Europea o en la renegociación de la Comunidad de Estados Independientes de las repúblicas ex soviéticas). Los estados-nación centralizados, que se resis- ten a esta tendencia de movimientos nacionalistas en búsqueda de un ca- rácter casi estatal como una nueva realidad histórica (por ejemplo, Indo- nesia, Nigeria, Sri Lanka e incluso India), pueden caer víctimas de este error mortal de asimilar la nación al estado, como descubrió un estado lan fuerte como Pakistán tras la secesión de Bangladesh. Para explorar la complejidad de la (re)construcción de la identidad nacional en nuestro nuevo contexto histórico, me extenderé brevemente sobre dos casos que representan los dos polos de la dialéctica que pro- pongo como característica de este periodo: la deconstrucción de un es- tado multinacional centralizado, la antigua Unión Soviética, y la forma- ción siguiente de lo que considero que son cuasi-estados-nación; y el surgimiento del cuasi-estado nacional en Cataluña a través del doble mo- vimiento de federalismo en España y de confederalismo en la Unión Eu- ropea. Tras ilustrar el análisis con estos dos casos específicos, ofreceré al- gunas sugerencias sobre las nuevas vías históricas del nacionalismo como fuente renovada de identidad colectiva. Las naciones contra el estado: la desintegración de la Unión Soviética y la Comunidad de Estados Imposibles (Sojuz Nevozmoznij Gosudarstv) El pueblo ruso de las ciudades y las aldeas, bestia medio salvaje, estúpido, casi ate- rrador, morirá para hacer sitio a una nueva raza humana. Maxim Gorki, «Sobre el campesinado ruso»90 La revuelta de las naciones constituyentes contra el estado soviético fue un factor importante, si bien no el único, en el sorprendente derrum- bamiento de la Unión Soviética, como sostienen Helene Carrere d'En- causse y Ronald Grigor Suny91 , entre otros estudiosos. Voy a analizar (en el volumen III) el complejo entrelazamiento de elementos económicos, tecnológicos, políticos y de identidad nacional que, juntos, explican uno de los acontecimientos más extraordinarios de la historia, ya que la Revo- * 1992, en SSR vnutrennie protivorechiia, Tchalidze Publications, 1987, pág. 128, según cita de Carrere d'Encausse, 1993, pág. 173. 91 Carrere d'Encausse, 1993; Suny, 1993.
  • 56.
    % El poderde la identidad lución rusa ha abierto y cerrado el espacio político del siglo xx. No obs- tante, al exponer la formación de la identidad nacional y sus nuevos con- tornos en la década de los noventa, es esencial referirse a la experiencia soviética y sus secuelas, porque es un terreno privilegiado para observar la interacción de las naciones y el estado, dos entidades que, en mi opi- nión, son distintas histórica y analíticamente. En efecto, la revuelta nacio- nalista contra la Unión Soviética fue particularmente significativa porque era uno de los pocos estados modernos construido de forma explícita como un estado plurinacional, con nacionalidades afirmadas tanto para los individuos (cada ciudadano soviético tenía adjudicada la nacionalidad escrita en su pasaporte) como en la administración territorial de la Unión Soviética. El estado soviético estaba organizado en un complejo sistema de 15 repúblicas federales, a las que se sumaban repúblicas autónomas dentro de las repúblicas federales, territorios (/era/) y distritos autóctonos autónomos (okrag), comprendiendo además cada república varias provin- cias (oblasti). Cada república federal, así como las repúblicas autónomas dentro de ellas, se basaba en un principio de nacionalidad territorial. Esta construcción institucional no era una simple ficción. Ciertamente, se re- primieron con rudeza las expresiones de los nacionalistas autónomos que contradecían la voluntad del Partido Comunista Soviético, sobre todo du- rante el periodo estalinista, y millones de ucranianos, estonios, letones, li- tuanos, alemanes del Volga, tártaros de Crimea, chechenos, meshchers, inguches, balearios, karachái y kalmikos fueron deportados a Siberia y Asia Central para impedir su colaboración con los invasores alemanes o con otros enemigos potenciales, o simplemente para despejar la tierra para proyectos estratégicos del estado. Pero también lo fueron millones de rusos por diversas razones, con frecuencia designados al azar. No obs- tante, la realidad de los gobiernos basados en la nacionalidad fue más allá de los nombramientos simbólicos de las élites nacionales para los puestos dirigentes en el gobierno de las repúblicas92 . Las políticas indigenistas (korenizatsiya) fueron apoyadas por Lenin y Stalin hasta la década de 1930 y renovadas en la de 1960. Fomentaron las lenguas y costumbres au- tóctonas, aplicaron programas de «acción positiva», favorecieron el reclu- tamiento y la promoción de nacionalidades no rusas dentro del estado y de los aparatos del partido de las repúblicas, así como en las instituciones educativas, y fomentaron el desarrollo de élites culturales nacionales, na- turalmente con la condición de subordinarse al poder soviético. Como Suny escribe: Hasta qué punto los largos y difíciles años de gobierno del Partido Comunista continuaron realmente la «creación de naciones» del periodo prerrevolucionario es algo que está perdido en la vigorosa retórica nacionalista [...] Ello aumentó la 92 Slezkine, 1994.
  • 57.
    I'iirulüos comunales: identidady sentido en la aucicdud red 57 Mtliüaridad ótnica y la conciencia nacional en las repúblicas no rusas, aun cuando frustró la plena articulación de una planificación nacional al requerir la conformi- dad a un orden político impuesto93 . Las razones de esta aparente apertura a la autodeterminación nacio- nal (encarnada en la Constitución soviética en el derecho de las repúbli- cas a separarse de la Unión) subyacen en la historia y la estrategia del es- lado soviético94 . El federalismo plurinacional soviético fue el resultado de un compromiso que siguió a los intensos debates políticos e ideológicos mantenidos durante el periodo revolucionario. Originalmente, la posición bolchevique, en línea con el pensamiento marxista clásico, negó la impor- tancia de la nacionalidad como criterio significativo para construir el nuevo estado: el internacionalismo proletario se ideó para sustituir las di- ferencias «artificiales» o «secundarias» entre las clases obreras, manipula- das en sus sangrientas confrontaciones interétnicas por los intereses impe- rialistas, como mostró la Primera Guerra Mundial. Pero en enero de I( > IK, la urgencia de encontrar alianzas militares en la guerra civil y en la resistencia contra la invasión extranjera, convenció a Lenin de la necesi- dad de lograr el apoyo de las fuerzas nacionalistas de fuera de Rusia, so- bre todo de Ucrania, tras observar la vitalidad de la conciencia nacional, l'l Tercer Congreso Panruso de los Soviets adoptó la «Declaración de los Derechos de los Pueblos Obreros y Explotados», transformando las rui- nas del imperio ruso en la «unión fraternal de Repúblicas Soviéticas de Rusia que se reunían libremente de forma interna». A esta «federaliza- ción interna» de Rusia los bolcheviques añadieron, en abril, la petición de una «federalización externa» de otras naciones, nombrando explícita- mente a los pueblos de Polonia, Ucrania, Crimea, Transcaucasia, Tur- i|iicstán, Kirguizistán «y otros»95 . El debate crítico versó sobre el princi- pio bajo el cual se reconocería la identidad nacional en el nuevo estado federal. Los partidarios de la confederación y otras tendencias socialistas querían que las culturas nacionales se reconocieran en toda la estructura del estado, sin distinguirlas territorialmente, ya que el fin de la revolución era, precisamente, transcender las ancestrales ataduras de la etnicidad y el territorio en nombre del nuevo socialismo universalista basado en la clase. A este planteamiento, Lenin y Stalin opusieron el principio de la te- rritorialidad como la base del carácter de nación. El resultado fue la es- I ructura nacional de múltiples capas del estado soviético: la identidad na- cional se reconoció en las instituciones de gobierno. Sin embargo, en aplicación del principio del centralismo democrático, esta diversidad de subditos territoriales estaría bajo el control de los aparatos dominantes Suny, 1993, págs. 101,130. Pipes, 1954; Conquest, 1967; Carrere d'Encausse, 1987; Suny, 1993; Slezkine, 1994. Singh, 1982,pág.61.
  • 58.
    ™ El poderde l;i identidad del Partido Comunista Soviético y del estado soviético. De este modo, la Unión Soviética se construyó en torno a una identidad doble: por una parte, las identidades étnicas/nacionales (incluida la rusa); por la otra, la identidad soviética como el cimiento de la nueva sociedad: sovetskü narod (el pueblo soviético) sería la nueva identidad cultural que habría de lo- grarse en el horizonte histórico de la construcción comunista. También hubo razones estratégicas en esta conversión de los interna- cionalistas proletarios en nacionalistas territoriales. A. M. Salmin ha pro- puesto un interesante modelo para interpretar la estrategia leninista-stali- nista que subyace en el federalismo soviético96 . La Unión Soviética era un sistema institucional centralizado, pero flexible, cuya estructura debía permanecer abierta y adaptable a recibir a nuevos países como miembros de la Unión, a medida que la causa del comunismo avanzara por todo el mundo. Se diseñaron cinco círculos concéntricos que al mismo tiempo constituirían zonas de seguridad y olas de expansión del estado soviético como vanguardia de la revolución. La primera fue Rusia y sus repúblicas satélites, organizada en la RSFSR. Paradójicamente, Rusia, y la Federa- ción Rusa, fue la única república sin un partido comunista autónomo, sin presidente del Soviet Supremo republicano y con el menor desarrollo de las instituciones republicanas: fue el dominio exclusivo del Partido Comu- nista Soviético. Para hacer más seguro este bastión, Rusia no tenía fronte- ras terrestres con el mundo capitalista potencialmente agresor. Así pues, en torno a ella se organizaron repúblicas soviéticas en los límites distantes de la Unión Soviética, de modo que a la larga protegieran, a la vez, el po- der soviético y su independencia nacional. Este es el motivo por el que al- gunas zonas con base étnica, como Azerbaiyán, se convirtieron en repú- blicas soviéticas, pues eran frontera con el mundo exterior, mientras que otras, con una composición étnica igualmente característica, como Che- chenia, se mantuvieron en la Federación Rusa, ya que geográficamente estaban más cerca del núcleo. El tercer anillo de la geopolítica soviética lo constituyeron las democracias del pueblo bajo el poder militar soviético: éste fue en principio el caso de Jorezm, Bujara, Mongolia y Tanu-Tura, y se convirtió en el precedente para la incorporación de Europa Oriental después de la Segunda Guerra Mundial. El cuarto círculo lo formarían los países socialistas distantes, como, años más tarde, Cuba, Corea del Norte o Vietnam. China nunca se consideró parte de esta categoría debido a la profunda desconfianza de la futura potencia. Por último, los gobiernos progresistas aliados y los movimientos revolucionarios de todo el mundo constituían el quinto círculo y su potencialidad dependería de que fueran capaces de mantener el equilibrio entre su internacionalismo (esto es, su postura pro soviética) y su representatividad nacional. Esta tensión cons- tante entre el universalismo de la clase obrera de la utopía comunista y 96 Salmin, 1992.
  • 59.
    l'timfNO» comunale»: idcntidtidy sentido cu l/i S<IÍK<I,I<I I OÍI y> los intereses geopolíticos basados en las identidades étnicas/nacionales de los aliados potenciales fue la que determinó la esquizofrenia de la política soviética hacia la cuestión nacional. lil resultado de estas contradicciones a lo largo de toda la atormen- liula historia de la Unión Soviética fue una unión incoherente de retazos de pueblos, nacionalidades e instituciones estatales97 . Las más de cien nacionalidades y grupos étnicos de la Unión soviética se dispersaron a lo largo de su inmensa geografía, siguiendo estrategias geopolíticas, castigos y recompensas colectivos, y caprichos individuales. De este modo, Na- jjomo-Karabaj, poblada por armenios, fue incluida por Stalin en Azer- Iwiiyán para complacer a Turquía, poniendo a sus enemigos ancestrales bajo el control azerí (los azeríes son un pueblo turco); los alemanes del Volga acabaron en Kazajstán, en cuyos territorios septentrionales son ahora la fuerza económica impulsora, respaldados por subsidios germa- nos para mantenerlos fuera de Alemania; los asentamientos cosacos pro- lilcraron en Siberia y el Lejano Oriente; los osetos se dividieron entre Rusia (norte) y Georgia (sur), mientras que los inguches se distribuyeron entre Chechenia, Osetia Septentrional y Georgia; Crimea, tomada por Kusia a los tártaros en 1783, y desde donde estos últimos fueron deporta- dos por Stalin durante la Segunda Guerra Mundial, fue transferida por Jruschov (que era ucraniano) a Ucrania en 1954 para conmemorar los 300 años de amistad ruso-ucraniana, según se cuenta, después de una no- che de borrachera. Además, se enviaron rusos a todo el territorio de la Unión Soviética, por lo general como trabajadores cualificados o pione- ros voluntarios, a veces como gobernantes y otras como exiliados. Así pues, cuando se desintegró ésta, el principio de la nacionalidad territorial atrapó en las nuevas repúblicas independientes a decenas de millones de repentinos «nacionales extranjeros». El problema parece ser particular- mente agudo para los 25 millones de rusos que viven fuera de las nuevas fronteras rusas. Una de las mayores paradojas del federalismo soviético es que Rusia lúe probablemente la nacionalidad más discriminada. La Federación Rusa tuvo mucha menor autonomía política del estado central soviético que cualquier otra república. Los análisis realizados por los economistas regionales demostraron que, en términos generales, hubo una transferen- cia neta de riqueza, recursos y formación de Rusia al resto de las repúbli- cas (Siberia, que es la zona más rusa desde el punto de vista étnico de la Federación Rusa, fue la fuente fundamental de las exportaciones y, por lo tanto, de divisas para la Unión Soviética)98 . En cuanto a la identidad na- cional, fueron la historia, la religión y la identidad tradicional rusas las que se convirtieron en el blanco principal de la represión cultural sovié- 97 Kozlov, 1988; Suny, 1993; Slezkine, 1994. 98 Granberg y Spehl, 1989; Granberg, 1993.
  • 60.
    <>u El poderde la identidad tica, como documentaron en la década de 1980 escritores e intelectuales rusos como Lijachev, Belov, Astafiev, Rasputín, Solujin o Zalygin". Des- pués de todo, la nueva identidad soviética había de construirse sobre las ruinas de la identidad histórica rusa, con algunas excepciones tácticas du- rante la Segunda Guerra Mundial, cuando Stalin necesitó movilizar todo contra los alemanes, incluida la memoria de Alexander Nevsky. Así pues, aunque hubo en efecto una política de rusificación de la cultura por toda la Unión Soviética (de hecho, contradictoria con la tendencia paralela de korenizatsiya) y los rusos étnicos tomaron el control del partido, el ejér- cito y la KGB (aunque Stalin era georgiano y Jruschov, ucraniano), la identidad rusa como identidad nacional fue reprimida en mucho mayor grado que el resto de las nacionalidades, alguna de las cuales revivieron simbólicamente en virtud del federalismo plurinacional. Esta constitución paradójica del estado soviético se expresó en la re- vuelta contra la Unión Soviética, utilizando el respiro proporcionado por la glasnost de Gorbachov. Las repúblicas bálticas, anexionadas a la fuerza en 1940 desafiando el derecho internacional, fueron las primeras en reclamar su derecho a la autodeterminación. Pero las siguió de cerca un fuerte movimiento nacionalista ruso que, de hecho, fue la fuerza mo- vilizadora más vigorosa contra el estado soviético. Fue la fusión de la lucha por la democracia y la recuperación de la identidad nacional rusa bajo el liderazgo de Yeltsin en 1989-1991 la que creó las condiciones para la desaparición del comunismo soviético y la desintegración de la Unión Soviética 10 °. En efecto, las primeras elecciones democráticas del jefe del estado en la historia rusa, con el triunfo de Yeltsin el 12 de ju- nio de 1991, marcaron el comienzo de la nueva Rusia y, con ello, el fin de la Unión Soviética. La bandera tradicional rusa encabezó la resisten- cia al golpe comunista en agosto de 1991. Y fue la estrategia de Yeltsin de desmantelar el estado soviético, mediante la concentración del poder y los recursos en las instituciones republicanas, la que condujo al acuerdo con otras repúblicas, en primer lugar con Ucrania y Bielorrusia, en diciembre de 1991, para poner fin a la Unión Soviética y transformar a las ex repúblicas soviéticas en estados soberanos, confederados de forma flexible en la Comunidad de Estados Independientes (Sojuz Ne- zavisimyj Gosudarstv). El asalto al estado soviético no fue dirigido sólo por los movimientos nacionalistas: se enlazó con las demandas de los demócratas y con los intereses de las élites políticas de diversas re- públicas, labrando un espacio propio entre las ruinas de un imperio que se desmoronaba. Pero tomó una forma nacionalista y recibió el apoyo popular en nombre de la nación. Lo que interesa destacar es que el nacionalismo fue mucho menos activo en las repúblicas con etnias más 99 Carrere d'Encausse, 1993, cap. 9. 100 Castells, 1992b; Carrere d'Encausse, 1993.
  • 61.
    l'iirafHON comunales: identidady sentido en la sociedad red 61 dislinlivas (por ejemplo, en Asia Central) que en los estados bálticos y Rusia "". Los primeros años de existencia de este nuevo conglomerado de esta- dos independientes revelaron la fragilidad de su construcción, así como el carácter duradero de las nacionalidades con base histórica de un lado a otro de las fronteras heredadas de la desintegración de la Unión Soviéti- ca "' La guerra de Chechenia se convirtió en el problema más espinoso tic Rusia. Las repúblicas bálticas practicaron la discriminación contra su población rusa, induciendo nuevos conflictos interétnicos. Ucrania con- templó la revuelta pacífica de la mayoría rusa en Crimea contra el go- bierno ucraniano y continuó experimentando la tensión entre el fuerte si-nlimiento nacionalista de Ucrania occidental y los sentimientos panes- líivicos de la oriental. Moldavia se desgarró entre su identidad histórica nunana y el carácter ruso de su población oriental, que trató de crear la República de Dniéster. Georgia explotó en una sangrienta confrontación nitre sus múltiples nacionalidades (georgianos, abjazos, armenios, osetos, mljaros, meshchers, rusos). Azerbaiyán continuó luchando intermitente- mente contra los armenios en Bakú y Nagorno-Karabaj. Y las repúblicas musulmanas de Asia Central se vieron desgarradas entre sus lazos históri- cos con Rusia y la perspectiva de unirse al torbellino fundamentalista islá- mico que se extendía desde Irán y Afganistán. Como resultado, Tayikis- Inn sufrió una guerra civil a gran escala y otras repúblicas islamizaron sus instituciones y educación para integrar el islamismo radical antes de que fuera demasiado tarde. Así pues, los datos históricos parecen mostrar que f I reconocimiento artificial e indiferente de la cuestión nacional por parte del marxismo-leninismo no sólo no resolvió los conflictos históricos, sino que en realidad los hizo más virulentos103 . Varios temas clave de impor- tancia teórica que se reflejan en este extraordinario episodio y sus secue- las en la década de los noventa merecen un comentario. Kn primer lugar, uno de los estados más poderosos en la historia de la humanidad no fue capaz, tras setenta y cuatro años, de crear una nueva identidad nacional. Sovestskii narod no era un mito, a pesar de lo que titee Carrere d'Encausse104 . Tuvo cierta realidad en las mentes y vidas de las generaciones nacidas en la Unión Soviética, en la realidad de la gente t|tie formó familias con miembros de otras nacionalidades y que vivió y trabajó a lo largo de todo el territorio soviético. La resistencia al inexora- ble poderío nazi reunió a los pueblos en torno a la bandera soviética. Una ve/, que remitió el terror estalinista, a finales de los años cincuenta, y cuando las condiciones materiales mejoraron, en los años sesenta, se de- "" Carrere d'Encausse, 1993; Starovoytova, 1994. "" Hooson, 1994b; Lyday, 1994; Stebelsky, 1994; Jazanov, 1995. "" Twinning, 1993; Panarin, 1994; Jazanov, 1995 1,14 Carrere d'Encausse, 1993, pág. 234.
  • 62.
    <>.' El poderde la identidad sarrolló un cierto orgullo por formar parte de una nación superpoderosa. Y, pese al cinismo y repliegue generalizados, la ideología de la igualdad y la solidaridad humana echó raíces en la ciudadanía soviética, de modo que, en general, comenzó a surgir una nueva identidad soviética. Sin em- bargo, era tan frágil y dependía tanto de la falta de información sobre la situación real del país y del mundo, que no resistió los golpes del estanca- miento económico y del conocimiento de la verdad. En la década de los ochenta, los rusos que se atrevían a proclamarse «ciudadanos soviéticos» eran ridiculizados como sovoks por sus compatriotas. Aunque sovetskü narod no era un proyecto de identidad abocado necesariamente al fra- caso, se desintegró antes de que pudiera asentarse en las mentes y las vi- das de la gente de la Unión Soviética. De este modo, la experiencia sovié- tica desdice la teoría según la cual el estado puede construir la identidad nacional por sí mismo. El estado más poderoso, utilizando el aparato ideológico más ubicuo de la historia durante más de siete décadas, fracasó en su intento de recombinar los materiales históricos y los mitos proyecta- dos para crear una nueva identidad. Pueden imaginarse comunidades, pero no necesariamente creerse. En segundo lugar, el reconocimiento formal de las identidades nacio- nales en la administración territorial del estado soviético, así como las po- líticas de «indigenización», no lograron integrar estas nacionalidades en el sistema soviético, con una excepción significativa: las repúblicas musul- manas de Asia Central, precisamente aquellas que se distinguían más de la cultura eslava dominante. Estas repúblicas dependían tanto del poder central para su supervivencia cotidiana que sólo en los últimos momentos de la desintegración de la Unión Soviética sus élites se atrevieron a enca- bezar el movimiento de independencia. En el resto de la Unión Soviética, las identidades nacionales no pudieron encontrarse expresadas en las ins- tituciones artificialmente construidas del federalismo soviético. Viene al caso lo ocurrido con Georgia, un rompecabezas multiétnico que se cons- truyó basándose en un reino histórico. Los georgianos representan en torno al 70% de los cinco millones y medio de población. En general, per- tenecían a la Iglesia Ortodoxa de Georgia. Pero tenían que coexistir con los osetos, en su mayoría ortodoxos rusos, cuya población se divide entre la República Autónoma de Osetia Septentrional (en Rusia) y el Oblast Autónomo de Osetia Meridional (en Georgia). En el extremo norocci- dental de Georgia, estaban los abjazos, un pueblo turco musulmán suní, que alcanza sólo en torno a las 80.000 personas, pero que constituían el 17% de la República Socialista Autónoma de Abjasia, creada dentro de Georgia como un contrapunto al nacionalismo georgiano. Y se logró: en la década de los noventa, los abjazos, con el apoyo de Rusia, lucharon para conseguir la cuasi independencia de su territorio, pese a ser una mi- noría de la población. La segunda república autónoma de Georgia, Adja- ria, también es musulmana suní, pero georgianos desde el punto de vista
  • 63.
    I'.u .usos i'oiiiiui.ilis. KICIIIÍIIIKI y MIIUCIO c u lia sin irilnil tiil (>.l cínico, con lo que apoyan a Georgia mientras buscan su autonomía. Los manches musulmanes están en conflicto con los osetos en las zonas fron- terizas entre Georgia, Osetia y Chechenia-Inguchetia. Además, los turcos meshchers, deportados por Stalin, están volviendo a Georgia, y Turquía ha expresado su disposición para protegerlos, provocando la desconfianza de la población armenia de Georgia. El resultado neto de esta historia de enmarañamiento territorial fue que, en 1990-1991, cuando Gamsajurdia encabe/ó un movimiento nacionalista radical georgiano y proclamó la in- dependencia sin considerar los intereses de las minorías nacionales y sin respetar las libertades civiles, desencadenó una guerra civil (en la que murió), tanto entre sus fuerzas y los demócratas georgianos, como entre las fuerzas georgianas, abjazas y osetas. La intervención de Rusia y el pa- pel pacificador de Shevardnadze, elegido presidente en 1991 como último recurso para salvar al país, llevó a la región una paz inestable, sólo para contemplar cómo la vecina Chechenia explotaba en una atroz y debilita- dora guerra de guerrillas. Así pues, el fracaso en la integración de las identidades nacionales en la Unión Soviética no provino de su reconoci- miento, sino del hecho de que su institucionalización artificial, al seguir una lógica burocrática y geopolítica, no prestó atención a la identidad his- tórica y cultural/religiosa real de cada comunidad nacional y su especifici- dad geográfica. Ello autoriza a Suny a hablar de «la venganza del pasa- do» "l5 o a David Hooson a escribir: I M cuestión de la identidad es claramente la más insistente que ha salido a la su- perficie tras la larga congelación [de la antigua Unión Soviética], Pero no basta con tratarlo como un asunto puramente étnico o cultural. Implica una rebúsqueda de las regiones reales de las culturas, economías y entornos que significan algo (o, en algunos casos, todo) para los pueblos que las habitan. El proceso de cristaliza- ción de estas regiones, más allá de las fronteras francas e imperfectas de las «repú- blicas» actuales, promete ser largo y doloroso, pero inevitable y en última instan- cia acertado106 . En tercer lugar, el vacío ideológico creado por el fracaso del mar- xismo-leninismo para adoctrinar realmente a las masas fue reemplazado, en los años ochenta, cuando el pueblo fue capaz de expresarse, por la única fuente de identidad que se conservaba en la memoria colectiva: la identidad nacional. Por ello, la mayoría de las movilizaciones antisoviéti- cas, incluidos los movimientos democráticos, se llevaron a cabo bajo las respectivas banderas nacionales. Es cierto, como se ha sostenido, y yo he sostenido, que las élites políticas de Rusia y las repúblicas federales utili- zaron el nacionalismo como la última arma contra la ideología comunista en declive, para debilitar al estado soviético y tomar el poder en las insti- 105 Suny, 1993. 106 Hooson, 1994a, pág. 140.
  • 64.
    (.•I I I|X«llT llr lil illl'lllllliul Iliciones de cada república uyi . Sin embargo, utilizaron esta estrategia por- que era efectiva, porque la ideología nacionalista resonaba más en las mentes del pueblo que los atractivos abstractos de la democracia o las vir- tudes del mercado, con frecuencia asimilado con la especulación en la ex- periencia personal de la gente. Por lo tanto, el resurgimiento del naciona- lismo no puede explicarse por la manipulación política; más bien su uso por parte de las élites es una prueba de la perdurabilidad y vitalidad de la identidad nacional como principio movilizador. Cuando, tras setenta y cuatro años de repetición incesante de la ideología socialista oficial, la gente descubrió que el rey estaba desnudo, la reconstrucción de su identi- dad sólo podía efectuarse en torno a las instituciones básicas de su memo- ria colectiva: la familia, la comunidad, el pasado rural, a veces la religión y, sobre todo, la nación. Pero no se quiso que la nación fuera el equiva- lente de la condición de estado y la oficialidad, sino una autoidentifica- ción personal en su confuso mundo actual: soy ucraniano, soy ruso, soy armenio, se convirtió en el grito de reagrupación, el cimiento perenne a partir del cual reconstruir la vida en colectividad. Por ello, la experiencia soviética es un testimonio de la perdurabilidad de las naciones más allá, y a pesar, del estado. Quizás la mayor paradoja de todo sea que cuando, al final de este re- corrido histórico, surjan los nuevos estados-nación para afirmar sus iden- tidades reprimidas, no es probable que puedan funcionar realmente como estados soberanos plenos. Ello se debe, en primer lugar, al entrelaza- miento de un mosaico de nacionalidades e identidades históricas dentro de las fronteras actuales de los estados independientes 108 . El tema más obvio son los 25 millones de rusos que viven bajo una bandera diferente. Pero la Federación Rusa (aunque poblada ahora por un 82% de rusos ét- nicos) también está compuesta por más de 60 grupos étnicos/nacionales diferentes, algunos de los cuales están asentados sobre una gran riqueza de recursos naturales y minerales, como es el caso de los sajalo-yakutos o los tártaros. En lo que respecta al resto de las repúblicas, además del ilus- trativo caso de Georgia, los kazajos son sólo una minoría en Kazajstán; Tayikistán tiene un 62% de tayikos y un 24% de uzbecos; los kirguises su- ponen sólo el 52% de la población de Kirguizistán; Uzbekistán tiene un 72% de uzbekos y una amplia diversidad de nacionalidades diferentes; el 14% de los residentes de Moldavia son ucranianos y el 13%, rusos. Los ucranianos representan sólo el 73% de la población de Ucrania. Los leto- nes son el 52% de Letonia y los estonios, el 62% de Estonia. Así pues, toda definición estricta de intereses nacionales en torno a la nacionalidad dominante desde el punto de vista institucional conduciría a conflictos graves en todo el continente eurásico, como reconoció Shevardnadze, ex- Castells, 1992b; Hobsbawm, 1994. Twinning, 1993; Hooson, 1994b.
  • 65.
    I'IIIIIIMIS <oiiiuimlrs: idcnlidmly sinhdo >n In soiicilml inl pilcando su disposición a colaborar con Rusia, tras su hostilidad inicial. Además, la inlerpenetración de las economías y la infraestructura com- partida, de la red eléctrica a los oleoductos y el suministro de agua, hace extremadamente costoso el desenmarañamiento de los territorios de la antigua Unión Soviética y otorga mayor importancia a la colaboración. Aún más en un proceso de integración multilateral en la economía global, (pie requiere enlaces interregionales para operar con eficacia. Natural- mente, los temores profundamente arraigados hacia una nueva forma de imperialismo ruso se cernirán durante mucho tiempo sobre la evolución lutura de estos nuevos estados. Por ello, no habrá una reconstrucción de la Unión Soviética, prescindiendo de quién gobierne en Rusia. No obs- tante, el reconocimiento pleno de la identidad nacional no puede expre- sarse en la independencia plena de los nuevos estados, precisamente de- bido a la fuerza de las identidades que transcienden las fronteras estatales. I'or este motivo, propongo como el futuro más probable y sin duda pro- metedor la noción de una Comunidad de Estados Inseparables (Sojuz Nerazdelimyj Gosudarstv); es decir, de una red de instituciones con la su- ficiente flexibilidad y dinámica para articular la autonomía de la identi- dad nacional y compartir la instrumentalidad política en el contexto de la economía global. De lo contrario, la afirmación de un poder estatal abso- luto sobre un mapa fragmentado de identidades históricas sería una cari- catura del nacionalismo europeo del siglo xix: conduciría en la práctica a una Comunidad de Estados Imposibles (Sojuz Nevozmoznyj Gosu- darstv). Naciones sin estado: Catalunya El estado debe diferenciarse fundamentalmente de la nación porque el estado es una organización política, un poder independiente en lo externo, un poder supremo en lo interno, con fuerzas materiales de recursos humanos y dinero para mantener su independencia y autoridad. No podemos identificar el uno con la otra, como era habitual, incluso por parte de los mismos patriotas catalanes que hablaban o escri- bían de la nación catalana en el sentido de un estado catalán independiente [...] Ca- talunya continuó siendo Catalunya tras siglos de haber perdido su autogobierno. Por lo tanto, hemos alcanzado una idea clara y precisa de la nacionalidad, el con- cepto de una unidad social primaria y fundamental, destinada a ser en la sociedad mundial, en la Humanidad, lo que el hombre es para la sociedad civil. Enríe Prat de la Riba, La nacionalitat catalana m Si el análisis de la Unión Soviética muestra la posibilidad de que los estados, a pesar de ser poderosos, no logren producir naciones, la expe- riencia de Cataluña nos permite reflexionar sobre las condiciones bajo las Publicado originalmente en 1906; esta edición es de 1978, págs. 49 y 50.
  • 66.
    (1(1 El poderde la identidad que existen las naciones y se (re)construyen en la historia, sin un estado- nación y sin buscar establecerlo "°. En efecto, como declara el presidente actual y dirigente nacionalista de Cataluña durante el último cuarto del si- glo xx, Jordi Pujol, «Cataluña es una nación sin estado. Pertenecemos al estado español, pero no tenemos ambiciones secesionistas. Esto debe afir- marse claramente [...] El caso de Cataluña es peculiar: tenemos nuestra lengua y cultura propias, somos una nación sin un estado»m . Para aclarar esta aserción y para extendernos en sus implicaciones analíticas más am- plias, resulta necesario un breve recordatorio histórico. Puesto que no to- dos los lectores conocen la historia catalana, expondré, de forma sucinta, los elementos históricos que autorizan a hablar de la continuidad de Cata- luña como una realidad nacional distintiva, vivida materialmente y atesti- guada, entre otros indicadores, por la persistencia de su lengua y su am- plio uso contemporáneo en circunstancias adversas112 . Su nacimiento oficial como nación suele fecharse en 988, cuando el conde Borrell cortó finalmente los lazos con los restos del Imperio Caro- lingio que, hacia el año 800, había tomado las tierras y los habitantes de esta frontera meridional del imperio bajo su protección para contrarrestar la amenaza de los invasores árabes a la Septimania. A finales del siglo ix, el conde Guifré el Pelos, que había combatido con éxito la dominación árabe, recibió del rey francas los condados de Barcelona, Urgell, Cer- danya-Conflent y Girona. Sus herederos se convirtieron en condes por derecho propio, sin necesidad de ser nombrados por los reyes franceses, con lo que se aseguró la hegemonía del Casal de Barcelona sobre las tie- rras limítrofes que se llamarían Cataluña en el siglo xn. Así pues, mien- tras que la mayoría de la España cristiana participó en la «Reconquista» contra los árabes durante ocho siglos, construyendo en el proceso el reino de Castilla y León, Cataluña, tras un periodo de dominación árabe en los siglos vin y ix, evolucionó de sus orígenes carolingios para convertirse, entre comienzos del siglo xm y mediados del xv, en un imperio medite- rráneo. Se extendió hasta Mallorca (1229), Valencia (1238), Sicilia (1282), parte de Grecia, con Atenas (1303), Cerdeña (1323) y Ñapóles (1442), in- cluyendo también territorios franceses más allá de los Pirineos, particu- larmente el Rosellón y la Cerdaña. Aunque Cataluña poseía un interior rural significativo, era sobre todo un imperio comercial, gobernado por la alianza de la nobleza y la élite comerciante urbana, según líneas similares a las de las repúblicas mercantiles del norte de Italia. Preocupados por la 110 Keating, 1995. 111 1986; citado en Pi, 1996, pág. 254. 112 Para fuentes históricas, véase el compendio de historia catalana en Vilar, 1987-1990; y el número especial de L'Aveng: Revista d'História, 1996. Véanse también Vicens Vives y Llorens, 1958; Vicens Vives, 1959; Vilar, 1964; Jutglar, 1966; Solé Tura, 1967; McDonogh, 1986; Rovira i Virgili, 1988; Azevedo, 1991; Nadal, Farreras y Wolff, 1992; García-Ramón y Nogué-Font, 1994; Keating, 1995; Salrach, 1996.
  • 67.
    I'.II.IIMIS i oiiiiiiiiilcs:klrnliilml y srnlHlo i-n In stnicilml iril <v7 potencia militar de Castilla, los prudentes catalanes aceptaron la fusión propuesta por el pequeño pero bien situado reino de Aragón en 1137. Hasta finales del siglo xv, tras la fusión voluntaria con la Castilla pro- loimperial mediante el matrimonio de Fernando, rey de Aragón, Cata- luña y Valencia, con Isabel, reina de Castilla, en aplicación del Compro- miso de Caspe (1412), Cataluña no dejó de ser una entidad política soberana. Se suponía que la unión de las dos naciones iba a respetar la lengua, las costumbres y las instituciones, así como a compartir la riqueza. No obstante, el poder y la riqueza de la corona española y su nobleza te- rrateniente, así como la influencia de la Iglesia fundamentalista cons- truida en torno a la Contrarreforma, encauzaron el curso histórico en una dirección diferente, subyugando a los pueblos no castellanos, en Europa y en la Península Ibérica, así como en América. Cataluña, como el resto de l.uropa, fue excluida del comercio con las colonias americanas, una im- portante fuente de riqueza para el reino español. Reaccionó desarro- llando su propia industria de bienes de consumo y comerciando en su en- torno regional, con lo cual desencadenó un proceso de industrialización y acumulación de capital incipientes desde la segunda mitad del siglo xvi. Mientras tanto, Castilla, tras aplastar, en 1520-1523, las ciudades libres castellanas (Comunidades) donde estaban surgiendo una clase artesana y una protoburguesía, prosiguió construyendo una economía rentista para financiar un estado guerrero-teocrático con las ganancias de sus colonias americanas y con los impuestos sobre sus subditos. La colisión de la cul- tura y las instituciones se aceleró en el siglo xvn, cuando Felipe IV, nece- sitado de ingresos fiscales adicionales, incrementó el centralismo, provo- cando la insurrección de Portugal y Cataluña (donde tuvo lugar la Revuelta de los Segadores) en 1640. Portugal, con el apoyo de Inglaterra, recuperó su independencia. Cataluña fue derrotada y perdió la mayoría de sus libertades. De nuevo, entre 1705 y 1714, luchó por su autonomía respaldando la causa de los Austrias contra Felipe V, de la dinastía bor- bónica, en la Guerra de Sucesión española. Un indicio del carácter cata- lán es que su derrota y la entrada de los ejércitos de Felipe V en Barce- lona el 11 de septiembre de 1714 ahora se celebra como el día nacional de Cataluña. Perdió todas sus instituciones políticas de autogobierno, esta- blecidas desde la Edad Media: el gobierno municipal basado en los conse- jos democráticos, el parlamento, el gobierno soberano catalán (Generali- tat). Las nuevas instituciones, establecidas por el Decreto de Nueva Planta emitido por Felipe V, concentraron la autoridad en las manos del mando militar, o capitán general de Cataluña. Siguió un largo periodo de franca represión institucional y cultural por parte de los poderes centra- les, que, como han documentado los historiadores, pretendieron delibera- damente la eliminación gradual de la lengua catalana, que primero fue prohibida en la administración, luego en las transacciones comerciales y, por último, en las escuelas, reduciendo su práctica a los dominios de la fa-
  • 68.
    (>H Kl poderele la iiiciilnl.nl milia y la Iglesia " Una vez más, los catalanes reaccionaron desenten- diéndose de los asuntos estatales y volviendo al trabajo, según se dice, justo dos días después de la ocupación de Barcelona, en una actitud con- certada. Así, Cataluña se industrializó a finales del siglo xvm y fue, du- rante más de un siglo, la única zona realmente industrial de España. La fortaleza económica de la burguesía catalana y el nivel educativo y cultural relativamente alto de la sociedad en general contrastaron durante todo el siglo xix con su marginalidad política. Luego, cuando la política económica de Madrid comenzó a amenazar a la industria catalana aún frágil, que requería proteccionismo, se desarrolló un vigoroso movi- miento nacionalista catalán desde finales del siglo xix, inspirado por ideó- logos elocuentes como el nacionalista pragmático Enric Prat de la Riba o los federalistas Valentí Almirall y Francesc Pi y Margall, cantado por poetas nacionales como Joan Maragall, recogido por historiadores como Rovira i Virgili, y respaldado, más tarde por la obra de filólogos como Pompeu Fabra, que codificó la lengua catalana moderna en el siglo xx. No obstante, la clase política de Madrid nunca aceptó realmente la alianza con los nacionalistas catalanes, ni siquiera con la Luga Regiona- lista, un partido claramente conservador, probablemente el primer par- tido político moderno de España, creado en 1901 como reacción al con- trol de las elecciones por parte de los caciques locales en nombre del gobierno central. Por otra parte, la expansión de un vigoroso movimiento de clase obrera, sobre todo anarcosindicalista, en el primer tercio del siglo xx, empujó a los nacionalistas catalanes, dominados en general por su ala conservadora hasta los años veinte, a contar con la protección de Madrid contra las demandas de los trabajadores y las amenazas de revolución so- cial "4 . Sin embargo, cuando se proclamó la república en España en 1931, los republicanos de izquierda (Esquerra republicana de Catalunya) fue- ron capaces de tender un puente entre la clase obrera catalana, la pe- queña burguesía y los ideales nacionalistas, y se convirtieron en la fuerza dominante del nacionalismo catalán. Bajo el liderazgo de Lluís Com- panys, abogado laboralista elegido presidente de la Generalitat restau- rada, Esquerra estableció una alianza con los republicanos, socialistas y comunistas, y con los sindicatos obreros (anarquistas y socialistas). En 1932, bajo la presión popular reflejada en un referéndum, el gobierno es- pañol aprobó un Estatuto de Autonomía que restablecía las libertades, el autogobierno y la autonomía cultural/lingüística de Cataluña. Sin duda, la satisfacción de las demandas nacionalistas de ésta y el País Vasco por parte de la República española fue uno de los principales desencadenan- tes de la insurrección militar que provocó la guerra civil de 1936-1939. Tras la guerra civil, la represión sistemática de las instituciones, la lengua, 113 Ferrer i Girones, 1985. 114 Solé Tura, 1967.
  • 69.
    I'itnifsos comunales: identidady sentido en la sociedad red (><> la cultura, la identidad y los dirigentes políticos catalanes (comenzando ion la ejecución de Companys en 1940, después de haber sido entregado ;i Tranco por la Gestapo) se convirtió en el sello distintivo de la dictadura de Franco. Incluyó la eliminación deliberada de los maestros catalanes de las escuelas para que fuera imposible la enseñanza en catalán. En un mo- vimiento correspondiente, el nacionalismo se convirtió en el grito de unión para las fuerzas antifranquistas, en Cataluña al igual que en el País Vasco, hasta el punto de que todas las fuerzas políticas democráticas, de los cristianodemócratas y liberales a los socialistas y comunistas, también eran nacionalistas catalanas. Ello significó, por ejemplo, que todos los partidos políticos en Cataluña, tanto en la clandestinidad como desde el establecimiento de la democracia española en 1977, fueran y sean catala- nes y no españoles, aunque en la mayoría de los casos están federados con partidos similares de España, si bien conservan su autonomía como partidos (por ejemplo, el Partit Socialista de Catalunya está vinculado al l'SOE español; el Partit Socialista Unificat de Catalunya, con los comu- nistas, etc.). La única excepción es el conservador Partido Popular creado en los años ochenta. En 1978, el artículo 2 de la nueva Constitución espa- ñola declaró a España una «nación de nacionalidades» y, en 1979, el Esta- tuto de Autonomía de Cataluña proporcionó la base institucional para la autonomía catalana, dentro del marco de España, incluyendo la declara- ción del bilingüismo oficial y estableciendo el catalán como «la lengua propia de Cataluña». En las elecciones regionales, la coalición naciona- lista catalana (Convergencia i Unió), encabezada por el más popular líder contemporáneo de Cataluña, un médico culto y cosmopolita de orígenes modestos, Jordi Pujol, obtuvo la mayoría cinco veces consecutivas, y sigue en el poder en 1997. La Generalitat fue fortalecida y se convirtió en una institución dinámica que persigue una política autónoma en todos los frentes, incluido el ámbito internacional. En la década de 1990, Jordi Pu- jol es el presidente de la Asociación de Regiones Europeas. La ciudad de Barcelona también se movilizó, liderada por otra figura carismática, el al- calde socialista catalán Pasqual Maragall, profesor de economía urbana y nieto del gran poeta nacional catalán. Barcelona se proyectó en el mundo, utilizando diestramente los Juegos Olímpicos de Verano de 1992 para surgir internacionalmente como un importante centro metropolitano, en- lazando la identidad histórica con la modernidad informacional. Significa- tivamente, en los años noventa Pasqual Maragall ha sido presidente de la Federación Europea de Municipios y del Comité de Regiones de Europa, cámara regional consultiva de la Unión Europea. En los años noventa, la coalición nacionalista catalana llegó a desem- peñar un importante papel en la política española. La incapacidad del Partido Socialista (1993) o del Partido Popular (1996) para obtener la ma- yoría absoluta en las elecciones generales hizo de Jordi Pujol el socio in- dispensable de cualquier coalición parlamentaria de gobierno. Primero
  • 70.
    70 El poderde la identidad apoyó a los socialistas y luego a los conservadores, con un precio. Cata- luña recibió la gestión del 30% de su impuesto sobre la renta, así como la competencia exclusiva en educación (que se imparte en catalán en todos los niveles), salud, medioambiente, comunicaciones, turismo, cultura, ser- vicios sociales y la mayoría de las funciones policiales. Lentamente, pero de forma segura, Cataluña, junto con el País Vasco, están forzando a Es- paña a convertirse, a su pesar, en un estado federal muy descentralizado, ya que el resto de las regiones reclaman el mismo grado de autonomía y recursos que obtienen catalanes y vascos. Y, no obstante, con la excep- ción de un pequeño, democrático y pacífico movimiento proindependen- tista, en su mayoría apoyado por intelectuales jóvenes, los catalanes y la coalición nacionalista catalana rechazan la idea del separatismo, decla- rando que sólo necesitan instituciones para existir como nación, no para convertirse en un estado-nación soberano115 . ¿Qué es, entonces, esta nación catalana, capaz de sobrevivir a siglos de negación y que, pese a todo, se abstiene de entrar en el ciclo de cons- truir un estado contra otra nación, España, que también se convirtió en parte de la identidad histórica de Cataluña? Para Prat de la Riba, proba- blemente el ideólogo más lúcido del nacionalismo conservador catalán en su estadio formativo, «Cataluña es la larga cadena de generaciones, uni- das por la lengua y la tradición catalanas, que se sucedieron en el territo- rio donde vivimos» m . Jordi Pujol también insiste en la lengua como el cimiento de la identidad catalana, al igual que la mayoría de los obser- vadores: «La identidad de Cataluña es, en buena medida, lingüística y cul- tural. Cataluña nunca ha reclamado una especificidad étnica o religiosa ni ha insistido en la geografía o ha sido estrictamente política. Hay mu- chos componentes en nuestra identidad, pero la espina dorsal son la lengua y la cultura»117 . En efecto, durante más de 2.000 años, el territorio de Cataluña fue una tierra de paso y migraciones entre varios pueblos eu- ropeos y mediterráneos, por lo que sus instituciones se forjaron en inte- racción con diversas culturas, de las que ya estaba claramente diferen- ciada a comienzos del siglo xn, cuando el nombre de Cataluña aparece por primera vez118 . Según el historiador francés más importante de la his- toria catalana, Pierre Vilar, lo que distinguió a los catalanes como pueblo desde una época muy temprana (en los siglos xm y xiv) fue la lengua, cla- ramente distinta del castellano o el francés, con una literatura desarro- llada ya en el siglo xm, ejemplificada por los escritos de Raimon Llull (1235-1315), utilizando el catalanesc, que evolucionó del latín de forma paralela al español y el provenzal. La lengua como identidad se volvió 115 Keating, 1995. 116 Prat de la Riba, 1894, citado en Solé Tura, 1967, pág. 187. La traducción es mía. 117 Pujol, 1995, citado en Pi, 1996, pág. 176. La traducción es mía. 118 Salrach, 1996.
  • 71.
    I'unilttos comunales: identidady sentido en ln sonrdad red 71 particularmente importante en la segunda mitad del siglo xx, cuando la lasa de natalidad tradicionalmente baja de los catalanes en los tiempos modernos, emparejada a la industrialización diferencial de Cataluña, con- dujo a una migración masiva del sur de España empobrecido, con lo que los hablantes catalanes, aún en lucha contra la prohibición de su lengua, se vieron sumergidos por una oleada tras otra de trabajadores de lengua castellana que se establecieron en Cataluña, sobre todo en los barrios de las afueras de Barcelona. Así pues, una vez que recuperó su autonomía con la Constitución española de 1978, en 1983 el Parlamento catalán votó por unanimidad una Ley de Normalización Lingüística que introdujo la enseñanza del catalán en todas las escuelas y universidades públicas, así como su utilización en las administraciones, en los lugares públicos, las calles, las carreteras y la televisión pública119 . La política explícita era al- canzar con el tiempo la plena integración de la población no catalana a la cultura catalana, de modo que no se crearan guetos culturales que proba- blemente fracturarían la sociedad en líneas de clase. Por lo tanto, en esta estrategia, el estado se utiliza para reforzar/producir a la nación, sin recla- mar la soberanía del estado español. ¿Por qué es tan importante la lengua en la definición de la identidad catalana? Una respuesta es histórica: ha sido, durante cientos de años, el signo de identificación de ser catalán, junto con las instituciones políticas democráticas de autogobierno cuando no fueron suprimidas. Aunque los nacionalistas catalanes definen como catalán a todo aquel que vive y tra- baja en Cataluña, también añaden «y quiere ser catalán». Y el signo de «querer ser» es hablar la lengua o tratar de hacerlo (de hecho, «tratar de hacerlo» es incluso mejor porque es un signo real de disposición de serlo). Otra respuesta es política: es el modo más fácil de extender y reproducir la población catalana sin recurrir a criterios de soberanía territorial que colisionarían necesariamente con la territorialidad del estado español. No obstante, una respuesta adicional y más fundamental quizás esté ligada a lo que representa la lengua como un sistema de códigos, cristalizando his- tóricamente una configuración histórica que permite compartir símbolos sin adorar otros iconos que los que surgen en la comunicación de la vida cotidiana. Muy bien pudiera ser que las naciones sin estados se organiza- ran en torno a comunidades lingüísticas —una idea que desarrollaré más adelante— aunque, como es obvio, una lengua común no hace una na- ción. Sin duda, las naciones latinoamericanas pondrían objeciones a este planteamiento, al igual que el Reino Unido y los Estados Unidos. Pero, por el momento, quedémonos en Cataluña. Espero que, tras este recordatorio histórico, pueda concederse que no es una identidad inventada. Al menos durante mil años, una comunidad humana determinada, organizada primordialmente en torno a la lengua, Puiggene i Riera et al, 1991.
  • 72.
    72 El poderde la identidad pero también con una buena medida de continuidad territorial, y con una tradición de democracia política y autogobierno autóctonos, se ha identi- ficado como nación en diferentes contextos, contra adversarios diferen- tes, formando parte de diferentes estados, contando con su estado propio, buscando la autonomía sin amenazar al estado español, integrando a los inmigrantes, soportando la humillación (de hecho, conmemorándola to- dos los años) y existiendo aún como Cataluña. Algunos analistas han in- tentado identificar el catalanismo con las aspiraciones históricas de una burguesía industrial frustrada, asfixiada por una monarquía española bu- rocrática y precapitalista120 . Sin duda, éste fue un elemento importante presente en el movimiento catalanista de finales del siglo xix y en la for- mación de la Lligam . Pero el análisis de clase no puede explicar la conti- nuidad del discurso explícito de la identidad catalana a lo largo de la his- toria, pese a todos los esfuerzos del centralismo español para erradicarla. Prat de la Riba negó que Cataluña fuera reducible a los intereses de clase, y estaba en lo cierto, aunque su Lliga fuera primordialmente un partido burgués122 . El catalanismo se ha solido asociar con el romanticismo del si- glo xix, pero también se conectó con el movimiento modernista de finales de siglo, orientado hacia Europa y el movimiento internacional de ideas, y ausente del regeneracionismo tradicional español en busca de una nueva fuente de valores transcendentes tras la pérdida de los restos del imperio en 1898. Comunidad cultural, organizada en torno a la lengua y una historia compartida, Cataluña no es una entidad imaginada, sino un producto histórico constantemente renovado, aun cuando los movimien- tos nacionalistas construyan/reconstruyan sus iconos de autoidentifica- ción con códigos específicos de cada contexto histórico y en relación con sus proyectos políticos. Una caracterización decisiva del nacionalismo catalán es la concer- niente a su relación con el estado-nación ,23 . Al declarar a Cataluña al mismo tiempo europea, mediterránea e hispánica, los nacionalistas cata- lanes, aunque rechazan el separatismo de España, buscan un nuevo tipo de estado. Sería uno de geometría variable, que uniría el respeto por el estado español heredado de la historia con la creciente autonomía de las instituciones catalanas para dirigir los asuntos públicos y la integración tanto de España como de Cataluña en una entidad más amplia, Europa, que se traduce no sólo en la Unión Europea, sino en varias redes de go- biernos regionales y municipales, así como en asociaciones cívicas, que multiplican las relaciones horizontales por toda Europa bajo el débil ar- mazón de los estados-nación modernos. No son sólo tácticas hábiles de la 120 Jutglar, 1966. 121 Solé Tura, 1967. 122 Prat de la Riba, 1906. 123 Keating, 1995; Pi, 1996; Trias, 1996.
  • 73.
    r irn(»oN comunales:identidad y sentido en In sociedad red 73 • Idcuda de los noventa. Provienen de las centenarias posturas proeuro- I'OHS de las élites catalanas, en contraste con el espléndido aislamiento i ultural practicado por la mayoría de las élites castellanas en la mayor parle de los periodos históricos. También está explícito en el pensamiento de algunos de los escritores o filósofos catalanes más universales, como losep Ferrater Mora, quien pudo escribir en 1960: «La catalanización de < 'ataluña quizás sea la última oportunidad histórica para hacer de los ca- talanes "buenos españoles" y para hacer de los españoles "buenos eu- mpcos"» l24 . Y ello porque sólo una España que sea capaz de aceptar su identidad plural —siendo Cataluña una de las más distintivas— podría iluirse plenamente a una Europa democrática y tolerante. Y, para que iiceda, los catalanes tienen primero que sentirse a gusto dentro de la so- lu'ranía territorial del estado español, siendo capaces de pensar y hablar < n catalán y así crear su comuna dentro de una red más amplia. Esta dife- icnciación entre la identidad cultural y el poder del estado, entre la sobe- lam'a incontestable de los aparatos y la interconexión de las instituciones i|iic comparten el poder, es una innovación histórica en relación con la mayoría de los procesos de construcción de los estados-nación, plantada •ólidamente en suelo inestable. Parece relacionarse mejor que las nocio- nes tradicionales de soberanía con una sociedad basada en la flexibilidad v la adaptabilidad, con una economía global, con la interconexión de los medios de comunicación, con la variación y la interpenetración de las culturas. Al no buscar un nuevo estado, sino luchar para conservar su na- ción, los catalanes quizás hayan recorrido un ciclo completo desde sus orí- genes como pueblo de identidad cultural/lingüística y comercio sin fronte- ras, y de instituciones de gobierno flexibles, rasgos todos que parecen caracterizar a la era de la información. Las naciones de la era de la información Nuestra digresión sobre los dos extremos opuestos de Europa aporta algún conocimiento sobre la nueva función de las naciones y el naciona- lismo como fuente de significado en la era de la información. En aras de la claridad, definiré las naciones, de acuerdo con los argumentos y las ex- plicaciones presentadas anteriormente, como comunas culturales construi- das en las mentes de los pueblos y la memoria colectiva por el hecho de compartir la historia y los proyectos políticos. La cantidad de historia que debe compartirse para que una colectividad se convierta en una nación varía con los contextos y periodos, como también son variables los ingre- dientes que predisponen a la formación de tales comunas. Así pues, la na- cionalidad catalana se fue destilando a lo largo de mil años de compartir, 124 Ferrater Mora, 1960, pág. 120.
  • 74.
    II |xi(k'i' del,i idi iilid.nl mientras que los Estados Unidos de América forjaron una identidad na- cional muy fuerte pese, o debido, a su multietnicidad en sólo dos siglos. Lo que resulta esencial es la distinción histórica entre naciones y estados, que sólo llegaron a fundirse, y no en el caso de todas las naciones, en la era moderna. De este modo, desde la posición ventajosa que nos confiere la perspectiva de nuestro fin de milenio, sabemos de naciones sin estados (por ejemplo, Cataluña, el País Vasco, Escocia o Quebec), de estados sin naciones (Singapur, Taiwan o Sudáfrica) o de estados plurinacionales (la antigua Unión Soviética, Bélgica, España o el Reino Unido, y quizás ser- bios, croatas y musulmanes bosnios en una futura Bosnia-Herzegovina), de estados uninacionales (Japón), de naciones divididas por estados (Co- rea del Sur y Corea del Norte) y de estados que comparten naciones (sue- cos en Suecia y Finlandia, irlandeses en Irlanda y el Reino Unido). Lo que está claro es que la ciudadanía no es igual a la nacionalidad, al menos a la nacionalidad exclusiva, ya que los catalanes se sienten catalanes en primer lugar pero, al mismo tiempo, la mayoría se declaran españoles e incluso también europeos. Por lo tanto, la asimilación de naciones y esta- dos al compuesto estado-nación, más allá de un contexto histórico deter- minado, es desmentida por la observación cuando se construyen los regis- tros en un recorrido largo y con una perspectiva global. Parece que la reacción racionalista (marxista o de otro tipo) contra el idealismo alemán (Herder, Fichte) y contra la hagiografía nacionalista francesa (Michelet, Renán) oscureció la comprensión de la «cuestión nacional», por lo que causa perplejidad cuando se observa el poder y la influencia del naciona- lismo al final de este siglo. Dos fenómenos, como se ha ilustrado en esta sección, parecen ser ca- racterísticos del periodo histórico actual: en primer lugar, la desintegra- ción de los estados plurinacionales que tratan de seguir siendo plena- mente soberanos o negar la pluralidad de sus constituyentes nacionales. Éste fue el caso de la antigua Unión Soviética, de la antigua Yugoslavia, de la antigua Etiopía, de Checoslovaquia y quizás lo sea, en el futuro, de Sri Lanka, India, Indonesia, Nigeria y otros países. El resultado de esta desintegración es la formación de cuasi-estados nacionales. Son estados- nación porque reciben los atributos de la soberanía en virtud de una iden- tidad nacional constituida en la historia (por ejemplo, Ucrania). Pero son cuasi porque el conjunto enmarañado de relaciones con su matriz histó- rica los fuerza a compartir la soberanía con su antiguo estado o con una configuración más amplia (por ejemplo, la CEI; las repúblicas de Europa Oriental asociadas con la Unión Europea). En segundo lugar, observa- mos el desarrollo de las naciones que se detienen en el umbral de la con- dición de estado, pero obligan a su estado matriz a adaptarse y ceder so- beranía, como en el caso de Cataluña, el País Vasco, Flandes, Valonia, Escocia, Quebec y, potencialmente, Kurdistán, Cachemira, Punjab o Ti- mor Oriental. Denomino a estas entidades cuasi-estados nacionales por-
  • 75.
    i ii ii.> >. ( OIIIUII.IU s i i l r n l u l m l Y >« u l u l o r n l.i st" u (I.HI i r i l 7 5 i|iic no son estados plenamente desarrollados, pero obtienen una parte de milofiomía política basándose en su identidad nacional. I ,os atributos que refuerzan la identidad nacional en este periodo his- iniieo varían, aunque, en todos los casos, presuponen una historia com- puilida a lo largo del tiempo. Sin embargo, plantearía la hipótesis de que tu lengua, sobre todo una plenamente desarrollada, es un atributo funda- mental de autorreconocimiento y para el establecimiento de una frontera nacional invisible menos arbitraria que la territorialidad y menos exclusiva i/i/r' la etnicidad. Ello se debe, en una perspectiva histórica, a que propor- ciona el vínculo entre la esfera pública y la esfera privada, y entre el pa- nudo y el presente, prescindiendo del reconocimiento real de una comuni- dad cultural por parte de las instituciones del estado. Y no deben descartarse los datos históricos porque Fichte utilizase este argumento pina construir el nacionalismo pangermánico. Pero también existe una poderosa razón para el surgimiento en nuestras sociedades de un nacio- nalismo basado en la lengua. Si el nacionalismo es frecuentemente una micción contra una identidad autónoma amenazada, en un mundo some- tido a la homogeneización cultural por la ideología de la modernización y el poder de los medios de comunicación globales, la lengua, como expre- sión directa de la cultura, se convierte en la trinchera de la resistencia cultural, el último bastión del autocontrol, el refugio del significado iden- tificare. Por lo tanto, después de todo, las naciones no parecen ser «co- munidades imaginadas» construidas al servicio de los aparatos de poder. Más bien son producto de una historia compartida y luego se expresan verbalmente en las imágenes de las lenguas comunales cuya primera pala- bra es nosotros, la segunda es nuestro y la tercera, desgraciadamente, ellos. I ,A DESVINCULACIÓN ÉTNICA: RAZA, CLASE E IDENTIDAD EN LA SOCIEDAD RED Os veo, 100 Hombres Negros. [...] Os veo encarcelados. Os veo enjaulados. Os veo ¡lomados. Veo vuestro dolor. Os veo luchando. Os veo alerta. Veo lo que queréis. Veo lo que necesitáis. Os veo rechazados. Veo vuestra Sangre. Veo vuestra Enfer- medad. Te veo, Hermano. Te veo sobrio. Te veo amado. Veo tu paz. Veo tu hogar. Te veo escuchar. Veo tu amor. Te veo en él. Te veo fiel. Te veo impacientado. Te veo puesto a prueba. Veo tu cambio. Te veo. Te veo. Te veo... Definitivamente, quiero ser tú. Peter J. Harris, Praisesong for the Anonymous Brothers125 ¿Usted también quiere ser él? ¿De verdad? La etnicidad ha sido una fuente fundamental de significado y reconocimiento a lo largo de toda De Wideman y Preston, 1995, pág. xxi.
  • 76.
    76 II poderele l.i ukulldiul la historia humana. Es una estructura básica de la diferenciación y el re- conocimiento sociales, así como de la discriminación, en muchas socie- dades contemporáneas, de los Estados Unidos a África Subsahariana. Ha sido, y sigue siendo, la base de levantamientos en busca de justicia social, como en el caso de los indios mexicanos de Chiapas en 1994, así como el fundamento irracional de la limpieza étnica, como la practicada por los serbios de Bosnia en 1994. Y es, en buena medida, la base cultu- ral que induce las transacciones interconectadas y basadas en la con- fianza en el nuevo mundo empresarial, de las redes empresariales chi- nas (vol. I, cap. 3) a las «tribus» étnicas que determinan el éxito en la nueva economía global. En efecto, como Cornel West escribe: «En esta era de globalización, con sus impresionantes innovaciones científicas y tecnológicas en información, comunicación y biología aplicada, cen- trarse en los efectos persistentes del racismo parece desfasado y anti- cuado [...] No obstante, la raza —en el lenguaje codificado de la re- forma de la asistencia social, la política de inmigración, el castigo de los delitos, la acción afirmativa y la privatización de los suburbios— sigue teniendo un significado central en el debate político»126 . Sin embargo, si raza y etnicidad son centrales —para la dinámica de los Estados Unidos y de otras sociedades—, sus manifestaciones parecen estar profunda- mente alteradas por las tendencias actuales de la sociedad127 . Sostengo que aunque la raza tiene importancia, probablemente más que nunca como fuente de opresión y discriminación 128 , la etnicidad se está frag- mentando como fuente de sentido e identidad, no para fundirse con otras identidades, sino bajo principios más amplios de autodefinición cultural, como la religión, la nación o el género. Para proporcionar los argumentos que apoyan esta hipótesis, expondré brevemente la evolu- ción de la identidad afroamericana en los Estados Unidos. La condición contemporánea de los afroamericanos se ha transfor- mado en las tres últimas décadas debido a un fenómeno fundamental: su profunda división a lo largo de líneas de clase, como se muestra en el tra- bajo pionero de William Julius Wilson 129 , cuyas implicaciones hicieron añicos para siempre el modo en que los Estados Unidos ven a los afroa- mericanos y, lo que es aún más importante, el modo en que los afroameri- canos se ven a sí mismos. Apoyada por una corriente de investigación durante la década pasada, la tesis de Wilson y su desarrollo señalan una espectacular polarización entre los afroamericanos. Por una parte, espoleada por el movimiento en favor de los derechos civiles de los años sesenta y sobre todo gracias a los 126 West, 1996, pág. 107 y 108. 127 Appiah y Gates, 1995. 128 Wieviorka, 1993; West, 1995. 129 Wilson, 1987.
  • 77.
    I'muísos comunales: identidady sentido en lu sonc-dnd icd 77 programas de acción afirmativa, ha surgido una clase media afroameri- cana numerosa y con una buena educación, que ha hecho avances signifi- cativos en la estructura del poder político, de los cargos en ayuntamientos a la presidencia del Mando Conjunto del Estado Mayor del Ejército, y, en cierta medida, en el mundo de las grandes empresas. De este modo, cerca de un tercio de los afroamericanos ahora forman parte de la clase media estadounidense, aunque los hombres, a diferencia de las mujeres, siguen ganando mucho menos dinero que sus semejantes blancos. Por otra parte, cerca de un tercio de afroamericanos, comprendido el 45% de los niños afroamericanos que viven en el umbral de pobreza o por debajo de él, es- tiln mucho peor en la década de los noventa que lo estaban en la de los sesenta. Wilson y otros investigadores como Blakely y Goldsmith o Gans atribuyen la formación de esta «infraclase» al efecto combinado de una economía de la información desequilibrada, de la segregación espacial y de una política pública errada. El crecimiento de la economía de la infor- mación exige un mayor nivel de educación y reduce la disponibilidad de trabajos manuales estables, perjudicando la entrada de los negros en el mercado laboral. Los negros de clase media huyen del centro de las ciu- dades, dejando tras de sí, atrapadas, a las masas de pobres urbanos. Para cerrar el círculo, la nueva élite política negra encuentra apoyo entre los votantes pobres urbanos, pero sólo mientras pueda proporcionar progra- mas sociales, que están en función de lo molestos, moral o políticamente, que resulten los pobres urbanos para la mayoría blanca. Así, el nuevo li- derazgo político negro se basa en su capacidad para actuar de intermedia- rio entre el mundo de las grandes empresas, la clase política y los pobres impredecibles de los guetos. Entre estos dos grupos, el otro tercio de afroamericanos se esfuerza para no caer en el infierno de la pobreza, afe- rrándose a los puestos de trabajo en servicios, de forma desproporcio- nada en el sector público, y a los programas educativos y de formación la- boral que proporcionan algunos conocimientos para sobrevivir en una economía en proceso de desindustrialización130 . El castigo para quienes no lo logran es cada vez más atroz. Entre los de menor educación, los ne- gros varones que residían en el centro de las ciudades en 1992, apenas un tercio tenía trabajo a tiempo completo. E incluso entre los que trabaja- ban, el 15% estaba por debajo del nivel de pobreza. El valor medio neto del patrimonio del quinto de los negros más pobres en 1995 era exacta- mente cero. Un tercio de las familias negras pobres habitan en viviendas que no alcanzan las condiciones básicas establecidas, lo que quiere decir, entre otros criterios, «que muestran huellas de ratas». La relación entre los delitos urbanos y los de los suburbios residenciales ha aumentado de 1,2 a 1,6 entre 1973 y 1992. Y, por supuesto, los residentes del centro de 130 Wilson, 1987; Blakely y Goldsmith, 1993; Carnoy, 1994; Wacquant, 1994; Gans, 1995; Hochschild, 1995; Gates, 1996.
  • 78.
    /. líl poderde la Identidad las ciudades son los que más padecen estos delitos. Además, la población masculina negra y pobre está sometida a un encarcelamiento masivo o vive bajo el control del sistema penal (en espera de juicio, en libertad condicional). Aunque los negros representan en torno al 12% de la po- blación estadounidense, en la década de los noventa suponen más del 50% de los internos de las prisiones 131 . La tasa general de encarcela- miento para los estadounidenses negros en esta década fue de 1.860 por 100.000, es decir 6,4 veces más elevada que la de los blancos. Y, sí, los afroamericanos tienen ahora más educación, pero en 1993 recibieron un diploma universitario 23.000 hombres negros mientras que 2,3 millones fueron encarcelados132 . Si añadimos a todas las personas supervisadas por el sistema penal de los Estados Unidos en 1996, se alcanzan 5,4 millones. Los negros representaban el 53% de los presos en 1991133 . Los porcenta- jes de encarcelamiento y vigilancia son mucho más altos entre los negros pobres y asombrosos, entre los jóvenes negros. En ciudades como Was- hington D.C., en los grupos de edad de 18-30 años, la mayoría de los hombres negros están en prisión o en libertad bajo fianza. Las mujeres y las familias han de adaptarse a esta situación. El argumento tristemente famoso del varón ausente en la familia afroamericana pobre se explica en parte por el hecho de que muchos hombres pobres pasan considerables periodos de su vida en la cárcel, así que las mujeres han de estar prepara- das para criar a los hijos por sí mismas o para dar a luz bajo su propia res- ponsabilidad. Éstos son hechos bien conocidos, cuyas raíces sociales en el nuevo contexto tecnológico y económico trataré de analizar en el volumen III. Pero en este punto de mi análisis, me interesan las consecuencias de una divisoria de clases tan profunda sobre la transformación de la identidad afroamericana. Para comprender esta transformación desde la década de los sesenta, debemos retroceder hasta las raíces históricas de esta identidad: como sostiene Cornel West, los negros de los Estados Unidos son, precisa- mente, africanos y americanos. Su identidad se constituyó como pueblo secuestrado y esclavizado bajo la sociedad más libre de la época. Así, para conciliar la contradicción obvia entre los ideales de libertad y la eco- nomía basada en la esclavitud, muy productiva, Estados Unidos tuvo que negar la humanidad de los negros porque sólo a los no humanos podía negárseles la libertad en una sociedad constituida sobre el principio de que «todos los hombres nacen iguales». Como escribe Cornel West: «Este asalto inexorable a la humanidad negra produjo la condición fundamental de la cultura negra —la de la invisibilidad de los negros y su falta de nom- 131 Tonry, 1995, pág. 59. 132 Gates, 1996, pág. 25. 133 Véase el volumen III, cap. 2.
  • 79.
    1'iiiiilftoN c'oiniiiiiik's: itlcnliiliuly scnlulo cu lii Nocirilml iril 7') luc» |W . Así pues, la cultura negra, siguiendo el análisis de West, tuvo que aprender ¡i salir adelante con su negación sin caer en la autodestrucción. Y lo hizo. De las canciones al arte, de las iglesias comunales a la herman- dad, la sociedad negra surgió con un profundo sentido del significado co- IITIÍVO, que no se perdió durante los masivos éxodos rurales hacia los Rucios del norte y se tradujo en una creatividad extraordinaria en el arte, la música y la literatura, y en un vigoroso movimiento político multifacé- lii'o, cuyos sueños y potencial fueron personificados por Martin Luther King en los años sesenta. No obstante, la divisoria fundamental que introdujo entre los negros el éxito parcial del movimiento en defensa de los derechos civiles ha linnsformado este panorama cultural. Pero, ¿de qué modo? A primera vista, parecería que la clase media negra, levantada sobre su prosperidad económica e influencia política relativas, podría asimilarse a la corriente principal, constituyéndose en una nueva identidad, como afroamericanos, y desplazándose hacia una posición similar a la de los italoamericanos o chinoamericanos. Después de todo, los chinoamericanos fueron muy dis- criminados durante la mayor parte de la historia de California y pese a ello, en los últimos años, han alcanzado una posición social bastante res- petada. Por lo tanto, en esta perspectiva, los afroamericanos podrían con- vertirse en otro segmento distintivo del tapiz multiétnico de la sociedad americana. Por otra parte, la «infraclase» se volvería más pobre que los negros. No obstante, esta tesis de una evolución cultural dual no parece soste- nerse cuando se contrasta con los datos disponibles. El influyente estudio de Jennifer Hochschild sobre la transformación cultural de negros y blan- cos en relación con el «sueño americano» de igualdad de oportunidades y movilidad social muestra exactamente lo contrario135 . Los negros de clase media son precisamente quienes sienten mayor amargura por la ilusión frustrada de este sueño y se consideran más discriminados por la perma- nencia del racismo, mientras que la mayoría de los blancos creen que los negros están resultado indebidamente favorecidos por las políticas de ac- ción afirmativa y se quejan por la inversión de la discriminación. Por otra parte, los negros pobres, aunque son plenamente conscientes del racismo, parecen creer en el sueño americano en mayor medida que la clase media negra y, en todo caso, son más fatalistas e individualistas acerca de su des- tino (siempre fue así), aunque una perspectiva temporal en la evolución de las encuestas de opinión parece indicar que también los negros pobres están perdiendo la fe que tuvieran en el sistema. De todos modos, el he- cho importante que destaca en el esfuerzo realizado por Hochschild para analizar una profusión de datos empíricos es que, en general, los afroame- m West, 1996, pág. 80. 135 Hochschild, 1995.
  • 80.
    K<> líl po i l i r ilc la iili'iiluUiil ricanos ricos no se sienten bien recibidos en la corriente mayoritaria de la sociedad. Y, en efecto, no lo son. No sólo continúa dominando la hostili- dad racial entre los blancos, sino que los logros de los hombres negros de clase media los siguen dejando por detrás de los blancos en educación, ocupación e ingresos, como muestra Martin Carnoy136 . Por lo tanto, la raza importa mucho137 . Pero, al mismo tiempo, la divi- soria de clase entre los negros ha creado unas condiciones de vida tan fundamentalmente diferentes, que existe una hostilidad creciente, entre los pobres, contra aquellos antiguos hermanos que los han excluido138 . La mayoría de los negros de clase media se esfuerzan por escapar no sólo de la realidad del gueto, sino del estigma que los ecos del gueto moribundo proyecta sobre ellos a través de su piel. Lo hacen, sobre todo, aislando a sus hijos de las comunidades de negros pobres (trasladándose a los ba- rrios residenciales de las afueras, llevándolos a escuelas privadas de pre- dominio blanco), mientras, al mismo tiempo, reinventan una identidad afroamericana que revive los temas del pasado, africano o estadouni- dense, pero que guarda silencio sobre la tragedia del presente. En un movimiento paralelo, los guetos de fin de milenio desarrollan una nueva cultura, compuesta por aflicción, rabia y reacción individual contra la exclusión colectiva, donde el hecho de ser negros importa me- nos que las situaciones de exclusión, que crean nuevos vínculos, por ejem- plo, las bandas territoriales, que comienzan en las calles y se consolidan en las cárceles139 . De esta cultura surge el rap, no el jazz. Esta nueva cul- tura también expresa la identidad y también tiene sus raíces en la historia negra y en la venerable tradición estadounidense de racismo y opresión racial, pero incorpora nuevos elementos: la policía y el sistema penal como instituciones centrales, la economía delictiva como fuente de tra- bajo, las escuelas como terreno contestado, las iglesias como islas de con- ciliación, las familias centradas en la madre, los barrios ruinosos, la orga- nización social basada en las bandas y la violencia como modo de vida. Éstos son los temas del arte y literatura negros que surge de la nueva ex- periencia de los guetos14() . Pero no es de ningún modo la misma identidad que la que surge en la clase media afroamericana mediante la reconstruc- ción cuidadosa de la humanidad de la raza. No obstante, aun aceptando su división cultural, ambas identidades afrontan las que parecen ser dificultades insuperables para su constitu- ción. En el caso de los afroamericanos pudientes, se debe a las contradic- ciones siguientes m : sienten el rechazo del racismo institucional, así que 136 Carnoy, 1994. 137 West, 1996. 138 Hochschild, 1995; Gates, 1996. 139 Sánchez Jankowski, 1991,1996. 140 Wideman y Preston, 1995; Giroux, 1996. 141 Hochschild, 1995.
  • 81.
    I'.u.ilso» comuniilcs: KICIIIHI.UIy M H I K I U <.-1• l.i .o, u-il.ul • < il Kl sólo pueden integrarse en la corriente mayoritaria estadounidense como luleros de su estirpe, como el «Décimo Capacitado» que Du Bois, el prin- cipal intelectual negro de principios de siglo, consideraba que eran los sal- vadores necesarios de la «raza negra», así como de todas las razas142 . Pero la divisoria social, económica y cultural entre el «Décimo Capacitado» y una proporción significativa y creciente de negros estadounidenses es tal que tendrían que negarse a sí mismos y a sus hijos cumpliendo tal papel para convertirse en parte de una coalición pluriclasista y multirracial de cambio social progresista. En su soberbio librito que debate esta cuestión, I lenry Louis Gates jr. y Cornel West parecen pensar, de una parte, que no hay otra alternativa, pero, aun así, tienen dudas razonables sobre la viabilidad de tal opción. Gates escribe: «La crisis real del liderazgo negro es que la misma idea de ese liderazgo está en crisis»143 . Y West: Puesto que una alianza multirracial de la clase media progresista, de los sectores liberales de la élite empresarial y de la energía subversiva proveniente de abajo es el único vehículo mediante el cual cierta forma de responsabilidad democrática radical puede redistribuir recursos y riqueza, y reestructurar la economía y el go- bierno de modo que todos se beneficien, los significativos esfuerzos secundarios del Décimo Capacitado por sí solo en el siglo xxi serán tristemente inadecuados y completamente frustrantes144 . En efecto, el propio Du Bois se trasladó de Estados Unidos a Ghana en 1961 porque: «Ya no puedo aguantar más el trato de este país [...] Ani- maos y seguid luchando, pero tened en cuenta que los negros estadouni- denses no pueden ganar»145 . ¿Llevará este fracaso de los esfuerzos para la plena integración a un renacimiento del separatismo negro en los Estados Unidos? ¿Podría ser ésta la nueva base de la identidad, en línea directa con los movimientos radicales de la década de los sesenta, como ejemplificaron los Panteras Negras? Así parecería, al menos entre la juventud militante, si hemos de prestar atención al culto renovado a Malcolm X, la creciente influencia de la Nation of Islam de Farrakhan o, más aún, el impacto extraordinario de la «Marcha del Millón de Hombres» de 1995 en Washington D.C., organi- zada en torno a la expiación, la moralidad y el orgullo de los hombres ne- gros. No obstante, estas nuevas manifestaciones de identidad cultural-po- lítica revelan más grietas entre los afroamericanos y en realidad se organizan en torno a principios de autoidentificación que no son étnicos sino religiosos (islam, iglesias negras) y están fuertemente sesgados en cuanto al género (orgullo masculino, responsabilidad masculina, subordi- 142 Gates y West, 1996, pág. 133. 143 Gates, 1996, pág. 38. 144 West, 1996, pág. 110. 145 Gates y West, 1996, pág. 111.
  • 82.
    X2 El poderele la iiliiilul.nl nación femenina). El impacto de la «Marcha del Millón de Hombres» y su desarrollo predecible en el futuro transciende las líneas de clase, pero re- duce la base de género de la identidad afroamericana y difumína las lí- neas entre autoidentificación religiosa, racial y de clase. En otras pala- bras, no se basó en la identidad, sino en el reflejo de una identidad en desaparición. ¿Cómo puede ser que, mientras que la sociedad está recor- dando a los negros cada minuto que son negros (por tanto, un tipo hu- mano diferente y estigmatizado, proveniente, en un largo viaje, de la ca- rencia de humanidad), los propios negros estén viviendo tantas vidas diferentes como para no ser capaces de compartir y, en lugar de ello, ser cada vez más violentos mutuamente? Este anhelo por la comunidad per- dida es el que está surgiendo en los Estados Unidos negros en la década de los noventa, quizás porque la herida más profunda infligida a los afro- americanos en la década pasada haya sido la pérdida gradual de la identi- dad colectiva, que lleva a la deriva individual cuando aún se padece un es- tigma colectivo. Éste no es un proceso necesario. Movimientos sociopolíticos como la Rainbow Coalition de Jessie Jackson, entre otros, continúan empeñados en unir las iglesias, minorías, comunidades, sindicatos y mujeres negras bajo una bandera común para luchar desde la política por la justicia social y la igualdad racial. No obstante, es un proceso de construcción de una identidad política que sólo si logra éxito a largo plazo podría crear una identidad cultural colectiva que sería necesariamente nueva tanto para los blancos como para los negros, si ha de superar el racismo a la vez que mantiene las diferencias culturales e históricas. Cornel West, aunque re- conoce «una esperanza no desesperada sino inesperada», propone una «democracia radical» para transcender tanto las divisiones raciales como el nacionalismo negro146 . Pero en las trincheras de los guetos, y en las sa- las de juntas de las empresas, la identidad histórica afroamericana se está fragmentando e individualizando, sin que aún se haya integrado en una sociedad abierta y multirracial. Así pues, formulo la hipótesis de que la etnicidad no proporciona la base para paraísos comunales en la sociedad red, porque se fundamenta en lazos primordiales que pierden significado, cuando se separan de su contexto histórico, como cimiento para la reconstrucción del sentido en un mundo de flujos y redes, de recombinación de imágenes y de reasigna- ción de significado. Los materiales étnicos se integran en comunas cultu- rales que son más vigorosas y están definidas con mayor amplitud que la etnicidad, tales como la religión o el nacionalismo, como afirmaciones de la autonomía cultural en un mundo de símbolos. O, también, la etnicidad se convierte en el cimiento de trincheras defensivas que luego se territo- rializan en comunidades locales o incluso en bandas para defender su te- 146 West, 1996, pág. 112.
  • 83.
    I 'iiinÍNON comunales:ltlcnlul.nl y se ululo < n l.i MU K d.id IC<I Si mlorio. Entre las comunas culturales y las unidades territoriales de auto- defensa, las raíces étnicas se retuercen, se dividen, se reprocesan, se mez- i-lan, estigmatizadas o recompensadas de modo diferencial según una nueva lógica de informalización/globalización de las culturas y las econo- mías que hace compuestos simbólicos con las identidades difusas. La raza importa, pero ya casi no construye sentido. IDENTIDADES TERRITORIALES: LA COMUNIDAD LOCAL Uno de los debates más antiguos en la sociología urbana hace refe- rencia a la pérdida de la comunidad como resultado, primero de la ur- banización y, luego, de la suburbanización. Hace algún tiempo, la inves- tigación empírica, sobre todo la realizada por Claude Fischer y Barry Wellman147 , parece haber jubilado la noción simplista de una covaria- ción sistemática de espacio y cultura. La gente se socializa e interactúa en su entorno local, ya sea en el pueblo, la ciudad o los suburbios resi- denciales, y construye redes sociales entre sus vecinos. Por otra parte, las identidades de base local se combinan con otras fuentes de signifi- cado y reconocimiento social en un patrón altamente diversificado que permite interpretaciones alternativas. Así que donde, en los años re- cientes, Etzioni ve el renacimiento de la comunidad en buena medida de base local, Putnam observa la desintegración de la visión de Tocque- ville de una intensa sociedad civil en los Estados Unidos, donde las aso- ciaciones de voluntariado han perdido miembros y actividad de forma sustancial durante la década de los ochenta148 . Los informes sobre otras zonas del mundo son igualmente conflictivos en sus valoraciones. Sin embargo, no pienso que sea inexacto decir que los entornos locales, per se, no inducen un modelo específico de conducta o, a este respecto, una identidad distintiva. No obstante, lo que los autores comunalistas sos- tendrían, y que es coherente con mi propia observación transcultural, es que la gente se resiste al proceso de individualización y atomización so- cial, y tiende a agruparse en organizaciones territoriales que, con el tiempo, generan un sentimiento de pertenencia y, en última instancia, en muchos casos, una identidad cultural y comunal. Introduzco la hipó- tesis de que para que esto suceda es necesario un proceso de moviliza- ción social. Es decir, la gente debe participar en movimientos urbanos (no muy revolucionarios) mediante los cuales se descubren y defienden los intereses comunes, se comparte en cierta medida la vida y puede producirse nuevo sentido. Sé algo sobre el tema, ya que he pasado una década de mi vida estu- 147 Wellman, 1979; Fischer, 1982. 148 Etzioni, 1993; Putnam, 1995.
  • 84.
    K-l II poiliTele la iiU-nlkliul diando los movimientos sociales urbanos a lo largo del mundo l4 ''. Resu- miendo mis datos, así como la literatura pertinente, propuse que los mo- vimientos urbanos (los procesos de movilización social intencionales, or- ganizados en un territorio determinado, orientados hacia fines relacionados con lo urbano) se centraban en tres conjuntos principales de objetivos: demandas urbanas sobre las condiciones de vida y el consumo colectivo, afirmación de la identidad cultural local y conquista de la auto- nomía política local y la participación ciudadana. Diferentes movimientos combinaban estos tres conjuntos de fines en proporciones diversas y los resultados de sus esfuerzos eran igualmente distintos. No obstante, en muchos casos, prescindiendo de los logros explícitos del movimiento, su propia existencia producía sentido, no sólo para quienes participaban en el movimiento, sino para la comunidad en general. Y no sólo durante su lapso de vida (usualmente breve), sino en la memoria colectiva de la loca- lidad. En efecto, sostuve y sostengo que esta producción de sentido es un componente esencial de las ciudades a lo largo de la historia, ya que el en- torno construido, con su significado, es resultado de un proceso conflic- tivo entre los intereses y valores de actores sociales opuestos. Añadí algo más referente al momento histórico de mi observación (fi- nales de los años setenta, comienzos de los ochenta), pero proyectando mi opinión hacia el futuro: los movimientos urbanos se iban a convertir en fuentes cruciales de resistencia a la lógica unilateral del capitalismo, el estatismo y el informacionalismo. Era sobre todo porque el fracaso de los movimientos y políticas (por ejemplo, el movimiento obrero, los partidos políticos) en contrarrestar la explotación económica, la dominación cultu- ral y la opresión política había dejado a la gente sin otra elección que ren- dirse o reaccionar atendiendo a la fuente más inmediata de autorrecono- cimiento y organización autónoma: su localidad. Así fue como surgió la paradoja de una política cada vez más local en un mundo estructurado por procesos cada vez más globales. Había producción de sentido e iden- tidad: mi barrio, mi comunidad, mi ciudad, mi escuela, mi árbol, mi río, mi playa, mi capilla, mi paz, mi entorno. Pero era una identidad defen- siva, una identidad de atrincheramiento de lo conocido contra el carácter impredecible de lo desconocido e incontrolable. Indefensa de improviso frente a un torbellino global, la gente se encerró en sí misma; lo que tu- vieran o lo que fueran se convirtió en su identidad. En 1983 escribí: Los movimientos urbanos afrontan los temas reales de nuestro tiempo, si bien no en la escala ni en los términos adecuados para la tarea. Y, sin embargo, no tienen elección, ya que son la última reacción a la dominación y explotación renovada que inundan nuestro mundo. Pero son más que una última postura simbólica y un grito desesperado: son síntomas de nuestras propias contradicciones y, por lo 149 Castells, 1983.
  • 85.
    I'ni lilaos comniinles:idnilulad y KCIIIKIH cu In M HUÍ huí ud K5 IIIIIIO, capaces en potencia de superarlas |...| Producen nuevo sentido histórico — in IÍI zona crepuscular de pretender construir dentro de los muros de una comuni- dad local una nueva sociedad que saben inalcanzable. Y lo hacen alimentando los embriones de los movimientos sociales del mañana dentro de las utopías locales i|iic los movimientos urbanos han construido para no rendirse al barbarismo 15n . ¿Qué ha pasado desde entonces? Por supuesto, la respuesta empírica es extraordinariamente diversa, sobre todo si observamos a lo largo de las culturas y zonas del mundo151 . Sin embargo, en aras del análisis, me aven- Iuniría a sintetizar las principales trayectorias de los movimientos urbanos durante las décadas de los ochenta y los noventa bajo cuatro epígrafes. En primer lugar, en muchos casos los movimientos urbanos, y sus dis- cursos, actores y organizaciones, se han integrado en la estructura y la práctica de los gobiernos locales, ya sea de forma directa o indirecta, me- diante un sistema diversificado de participación ciudadana y desarrollo comunitario. Esta tendencia, aunque liquida los movimientos urbanos como fuente de cambio social alternativo, ha reforzado considerable- mente al gobierno local e introducido la posibilidad del estado local como instancia significativa de reconstrucción del control político y el signifi- cado social. Volveré a este hecho fundamental en el capítulo 5, cuando analice la transformación general del estado. En segundo lugar, las comunidades locales y sus organizaciones han alimentado las bases de un movimiento medioambiental amplio e influ- yente, sobre todo en los barrios de clase media, y en los suburbios, las zo- nas residenciales más alejadas y el campo urbanizado (véase el cap. 3). Sin embargo, estos movimientos son con mucha frecuencia defensivos y reactivos, centrándose en la conservación más estricta de su espacio y en- torno inmediato, como ejemplifica, en los Estados Unidos, la actitud «en mi patio trasero, no», mezclando en el mismo rechazo los desechos tóxi- cos, las plantas nucleares, los proyectos de vivienda pública, las prisiones y los asentamientos de hogares móviles. Estableceré una distinción im- portante, que desarrollaré en el capítulo 3 cuando analice el movimiento ecologista, entre la búsqueda del control del espacio (una reacción defen- siva) y la búsqueda del control del tiempo; es decir, la conservación de la naturaleza y del planeta para las generaciones futuras, a muy largo plazo, por lo que se adopta un tiempo cosmológico y se rechaza el plantea- miento de tiempo inmediato del desarrollo instrumentalista. Las identida- des que surgen de estas dos perspectivas son completamente diferentes, ya que los espacios defensivos conducen al individualismo colectivo y la sincronización ofensiva hace accesible la reconciliación entre cultura y na- turaleza, con lo que se introduce una nueva filosofía holística de la vida. 150 Castells, 1983, pág. 331. 151 Massolo, 1992; Fisher y Kling, 1993; Calderón, 1995; Judge et al, 1995; Tanaka, 1995; Borja y Castells, 1996; Hsia, 1996; Yazawa (en preparación).
  • 86.
    «> II poderde I.I iilciiliiliul En tercer lugar, un vasto número de comunidades pobres de todo el mundo han participado en una supervivencia colectiva, como en el caso de las cocinas comunales que florecieron en Santiago de Chile o en Lima durante la década de los ochenta. Ya sea en los asentamientos ilegales de América Latina, en el centro de las ciudades estadounidenses o en los ba- rrios de clase obrera de las ciudades asiáticas, las comunidades han cons- truido sus «estados de bienestar» propios (en ausencia de las políticas pú- blicas responsables) basándose en redes de solidaridad y reciprocidad, con frecuencia en torno a iglesias o apoyadas por organizaciones no gu- bernamentales con financiación internacional (ONG), y a veces con la ayuda de los intelectuales de izquierda. Estas comunidades locales orga- nizadas han desempeñado, y continúan desempeñando, un importante papel en la supervivencia diaria de una proporción significativa de la po- blación urbana mundial, en el umbral de la hambruna y la epidemia. Esta tendencia la ilustró, por ejemplo, la experiencia de asociaciones comuna- les organizada por la Iglesia católica en Sao Paulo en la década de los ochenta152 , o por las ONG de patrocinio internacional en Bogotá durante la década de los noventa153 . En la mayoría de los casos, surge una identi- dad comunal, aunque es muy frecuente que quede absorbida dentro de la fe religiosa, hasta el punto de que arriesgaría la hipótesis de que este tipo de comunitarismo es, sobre todo, una comuna religiosa, ligada a la con- ciencia de ser los explotados o los excluidos. Así pues, la gente que se or- ganiza en comunidades locales pobres puede sentirse revitalizada y reco- nocida como seres humanos mediante la redención religiosa. En cuarto lugar, este relato tiene un lado oscuro, concerniente a la evolución de los movimientos urbanos, sobre todo en las zonas urbanas segregadas, una tendencia que previ hace tiempo: Si no se escuchan las peticiones de los movimientos urbanos, si siguen cerrados los nuevos caminos políticos, si los nuevos movimientos sociales centrales (femi- nismo, nuevo movimiento obrero, autogestión, comunicación alternativa) no se desarrollan plenamente, volverán los movimientos urbanos —utopías reactivas que trataron de iluminar la senda que no podían recorrer—, pero esta vez como sombras urbanas ávidas de destruir los muros cerrados de su ciudad cautiva154 . Afortunadamente, el fracaso no fue total y la expresión diversificada de las comunidades locales organizadas proporcionó caminos para la re- forma, la supervivencia y la autoidentificación, pese a la falta de movi- mientos sociales importantes, capaces de articular el cambio en la nueva sociedad que ha surgido en las dos últimas décadas. No obstante, las du- ras medidas de ajuste económico de los años ochenta, la extendida crisis 152 Cardoso de Leite, 1983; Gohn, 1991. 153 Espinosa y Useche, 1992. 154 Castells, 1983, pág. 327.
  • 87.
    r IIIIIMIS IIiriiiin.ili's: idriiliilad y scnliilci c u la NDCIIMIIIII ir.I K7 • i»• legitimidad política y el impacto exclusionista del espacio de los flujos obre el espacio de los lugares (véase el volumen I) afectaron a la vida so- • i.iI y la organización en las comunidades locales pobres. En las ciudades estadounidenses, surgieron las bandas como una forma importante de nsociación, trabajo e identidad para cientos de miles de jóvenes. En electo, como Sánchez Jankowski ha mostrado en su amplio estudio sobre las bandas l5 éstas desempeñan un papel estructurador en muchas zonas, lo que explica el sentimiento ambiguo de los residentes locales hacia ellas, en parte temerosos, pero también, en parte, capaces de relacionarse con la sociedad de bandas mejor que con las instituciones oficiales, que sólo suelen estar presentes en sus manifestaciones represivas. Las bandas, o su equivalente funcional, no son de ningún modo un graffiti estadounidense. I .as pandillas de la mayoría de las ciudades latinoamericanas son un ele- mento clave de sociabilidad en los barrios pobres, al igual que lo son en Yakarta, Bangkok, Manila, Mantes-la-Jolie (París) o la Meseta de Orcasi- las (Madrid). Las bandas son una vieja historia en muchas sociedades, so- bre todo en los Estados Unidos (recuérdese Street Córner Society de Wil- liam White). No obstante, hay algo nuevo en las bandas de la década de los noventa, que caracteriza a la construcción de la identidad como el es- pejo distorsionante de la cultura informacional. Es lo que Magaly Sán- chez e Yves Pedrazzini, basándose en su estudio de los malandros (chicos malos) de Caracas, llaman la cultura de la urgencia156 . Es una cultura del fin inmediato de la vida, no de su negación, sino de su celebración. Por lo tanto, todo ha de probarse, sentirse, experimentarse, lograrse, antes de que sea demasiado tarde, ya que no hay mañana. ¿Es en realidad tan dife- rente de la cultura del narcisismo consumista descrito por Lasch? ¿Han entendido los chicos malos de Caracas u otros lugares más de prisa que el resto de nosotros qué ocurre en nuestra sociedad? ¿Es la nueva identidad de las bandas la cultura del hiperindividualismo comunal? Individualismo porque, en el modelo de gratificación inmediata, sólo el individuo puede ser una unidad contable apropiada. Comunalismo porque, para que este hiperindividualismo sea una identidad —es decir, se socialice como un va- lor, no sólo como un consumo sin sentido—, necesita un medio de apre- ciación y apoyo mutuo: una comuna, como en la época de White. Pero, a diferencia de la de éste, esta comuna puede estallar en cualquier mo- mento, es una comuna del fin de los tiempos, es una comuna del tiempo atemporal, que caracteriza a la sociedad red. Y existe, y explota, territo- rialmente. Las culturas locales de urgencia son la expresión invertida de la atemporalidad global. Así pues, las comunidades locales, construidas mediante la acción co- lectiva y conservadas mediante la memoria colectiva, son fuentes específi- Sánchez Jankowski, 1991. Sánchez y Pedrazzini, 1996.
  • 88.
    HH I ¡Ipoilcr de hi ickiilnhid cas de identidades. Pero estas identidades, en la mayoría de los casos, son reacciones defensivas contra las imposiciones del desorden global y el cambio de ritmo rápido e incontrolable. Construyen refugios, sí, pero no paraísos. CONCLUSIÓN: LAS COMUNAS CULTURALES DE LA ERA DE LA INFORMACIÓN La transformación de nuestra cultura y nuestra sociedad tendrá que ocurrir en di- versos niveles. Si sólo sucediera en las mentes de los individuos (como ya ha pa- sado en cierta medida), sería impotente. Si obedeciera sólo a la iniciativa del estado, sería tiránica. La transformación personal numerosa es esencial, y no debe ser sólo una transformación de la conciencia, sino que también ha de implicar la acción in- dividual. Pero los individuos necesitan el alimento de los grupos que llevan consigo una tradición moral que refuerza sus aspiraciones propias. Robert Bellah et al, Habits ofthe Heart151 Nuestro viaje intelectual por los paisajes comunales proporciona algu- nas respuestas preliminares a las preguntas suscitadas al comienzo de este capítulo sobre la construcción de la identidad en la sociedad red. Para aquellos actores sociales excluidos de la individualización, o que se resisten a ella, de la identidad unida a la vida en las redes globales de poder y riqueza, las comunas culturales de base religiosa, nacional o terri- torial parecen proporcionar la principal alternativa para la construcción de sentido en nuestra sociedad. Estas comunas culturales se caracterizan por tres rasgos principales. Aparecen como reacciones a las tendencias sociales imperantes, a las que se opone resistencia en nombre de las fuentes autó- nomas de sentido. Son, desde el principio, identidades defensivas que fun- cionan como refugio y solidaridad, para proteger contra un mundo exte- rior hostil. Están constituidas desde la cultura; esto es, organizadas en torno a un conjunto específico de valores, cuyo significado y participación están marcados por códigos específicos de autoidentificación: la comuni- dad de creyentes, los iconos del nacionalismo, la geografía de la localidad. La etnicidad, aunque es un rasgo fundamental de nuestras sociedades, sobre todo como fuente de discriminación y estigma, no puede inducir por sí misma comunas. Más bien, es probable que se incorpore a la religión, la nación y la localidad, cuya especificidad tiende a reforzar. La constitución de estas comunas culturales no es arbitraria. Utiliza las materias primas de la historia, la geografía, la lengua y el entorno. Así que se construyen, pero materialmente, en torno a reacciones y proyectos determinados por la historia y la geografía. 157 Bellah et al,, 1985, pág. 286.
  • 89.
    I'IHIIISOÜ comunales: idcnlicliuly senlulu en ln noniilml ivil m lil fundamentalismo religioso, el nacionalismo cultural, las comunas Un itoriales son, en general, reacciones defensivas. Reacciones contra tres amenazas fundamentales, percibidas en todas las sociedades por la mayo- ría de la humanidad en este fin de milenio. Reacción contra la globaliza- i'ión, que disuelve la autonomía de las instituciones, las organizaciones y los sistemas de comunicación donde vive la gente. Reacción contra la in- lerconexión y la flexibilidad, que difumina los límites de la pertenencia y la participación, individualiza las relaciones sociales de producción y pro- voca la inestabilidad estructural del trabajo, el espacio y el tiempo. Reac- ción contra la crisis de la familia patriarcal, raíz de la transformación de los mecanismos de construcción de la seguridad, la socialización, la sexua- lidad y, por lo tanto, de los sistemas de la personalidad. Cuando el mundo so vuelve demasiado grande para ser controlado, los actores sociales pre- tenden reducirlo de nuevo a su tamaño y alcance. Cuando las redes di- suelven el tiempo y el espacio, la gente se ancla en los lugares y recuerda su memoria histórica. Cuando el sustento patriarcal de la personalidad se quiebra, la gente afirma el valor transcendente de la familia y la comuni- dad, como voluntad de Dios. Estas reacciones defensivas se convierten en fuentes de sentido e identidad mediante la construcción de nuevos códigos culturales a partir de materiales históricos. Como los nuevos procesos de dominación a los que reacciona la gente están insertos en los flujos de información, la cons- trucción de la autonomía ha de basarse en la inversión de estos flujos. Dios, patria, familia y comunidad proporcionarán códigos eternos e in- destructibles en torno a los cuales se organizará una contraofensiva a la cultura de la virtualidad real. La verdad eterna no puede virtualizarse. Está incorporada en nosotros. Por lo tanto, contra la informacionaliza- ción de la cultura, se informacionalizan los cuerpos. Es decir, los indivi- duos llevan sus dioses en su corazón. No razonan, creen. Son la manifes- tación corporal de los valores eternos de Dios y, como tales, no pueden disolverse, perderse en el torbellino de los flujos de información y las re- des transorganizativas. Por ello, la lengua y las imágenes comunales son tan esenciales para restaurar la comunicación entre los cuerpos autonomi- zados, escapando al dominio de los flujos ahistóricos, pero tratando de restablecer nuevos modelos de comunicación significativa entre los cre- yentes. Esta forma de construir la identidad gira esencialmente en torno al principio de la identidad de resistencia, como se definió al comienzo de este capítulo. La identidad legitimadora parece haber entrado en una cri- sis fundamental debido a la rápida desintegración de la sociedad civil he- redada de la era industrial y al declive del estado-nación, la principal fuente de legitimidad (véase el cap. 5). En efecto, las comunas culturales que organizan la nueva resistencia surgen como fuentes de identidad al separarse de las sociedades civiles y las instituciones estatales a partir de
  • 90.
    '1(1 El poderde la identidad las cuales se originaron, como es el caso del fundamentalismo islámico que se desprendió de la modernización económica (Irán) y del naciona- lismo de los estados árabes; o de los movimientos nacionalistas, que desa- fían al estado-nación y a las instituciones estatales de las sociedades donde nacen. Esta negación de las sociedades civiles y las instituciones políticas, donde surgen comunas culturales, lleva al cierre de las fronteras de la comuna. En contraste con las sociedades civiles diferenciadas y plu- ralistas, las comunas culturales muestran escasa diferenciación interna. En efecto, su fuerza y su capacidad para proporcionar refugio, consuelo, certidumbre y protección proviene precisamente de su carácter comunal, de su responsabilidad colectiva, que borra los proyectos individuales. Así pues, en el primer estadio de la reacción, la (re)construcción del sentido por parte de las identidades defensivas se desprende de las instituciones de la sociedad y promete reedificarla de arriba abajo, mientras se atrin- cheran en un paraíso comunal. Es posible que de esas comunas puedan surgir nuevos sujetos —esto es, nuevos agentes de transformación social—, con lo que se construirá un nuevo sentido en torno a la identidad proyecto. En efecto, sostendría que, dada la crisis estructural de la sociedad civil y el estado-nación, quizás ésta sea la principal fuente potencial de cambio social en la sociedad red. En cuanto a cómo y por qué estos nuevos sujetos proactivos podrían for- marse a partir de estas comunas culturales reactivas, será el núcleo del análisis de los movimientos sociales en la sociedad red que desarrollaré a lo largo de este volumen. Pero ya podemos decir algo atendiendo a las observaciones y exposi- ciones presentadas en este capítulo. El surgimiento de identidades pro- yecto de tipos diferentes no es una necesidad histórica. Muy bien pudiera ser que la resistencia cultural permaneciera encerrada en las fronteras de las comunas. Si esto es así, y donde y cuando lo sea, el comunalismo ce- rrará el círculo de su fundamentalismo latente sobre sus propios compo- nentes, provocando un proceso que quizás transforme los paraísos comu- nales en infiernos celestiales.
  • 91.
    mmaé LA OTRA CARADE LA TIERRA: MOVIMIENTOS SOCIALES CONTRA EL NUEVO ORDEN GLOBAL Tu problema es el mismo que tienen muchos. Se refiere a la doctrina económica y social conocida como «neoliberalismo» [...] ¡Es un problema metateórico! Sí, uste- des parten de que el «neoliberalismo» es una doctrina. Y por «ustedes» me refiero a los que insisten en esquemas rígidos y cuadrados como su cabeza. Ustedes piensan que el «neoliberalismo» es una doctrina del capitalismo para enfrentar las crisis económicas que el mismo capitalismo atribuye al «populismo». [...] Bien, resulta que el «neoclasicismo» no es una teoría para enfrentar o explicar la crisis. ¡Es la crisis misma hecha teoría y doctrina económica! Es decir, que el «neoliberalismo» no tiene la más mínima coherencia, no tiene planes ni perspectiva histórica. En fin, pura mierda teórica. Durito hablando al Subcomandante Marcos en la Selva Lacandona, 19941 . GLOBALIZACIÓN, INFORMACIONALIZACIÓN Y MOVIMIENTOS SOCIALES2 La globalización y la informacionalización, instituidas por las redes de riqueza, tecnología y poder, están transformando nuestro mundo. Están ampliando nuestra capacidad productiva, nuestra creatividad cultural y nuestro potencial de comunicación. Al mismo tiempo, están privando de sus derechos ciudadanos a las sociedades. Como las instituciones del es- tado y las organizaciones de la sociedad civil se basan en la cultura, la his- 1 Durito es un personaje habitual en los escritos del Subcomandante Marcos, el portavoz de los zapatistas. Es un escarabajo, pero muy listo; de hecho, es el consejero intelectual de Marcos. El problema es que siempre teme ser aplastado por los numerosos guerrilleros que lo rodean, así que pide a Marcos que mantenga a la guerrilla con poca gente. Este texto de Durito aparece en Ejército Zapatista de Liberación Nacional/Subcomandante Marcos, 1995, págs. 58 y 59. 2 Este capítulo se ha beneficiado de los valiosos intercambios intelectuales realizados en el Seminario Internacional sobre Globalización y Movimientos Sociales, organizado por el International Sociological Association Research Commmittee on Social Movements, que se celebró en Santa Cruz (California) del 16 al 19 de abril de 1996. Agradezco a los organiza- dores del seminario, Barbara Epstein y Louis Maheu, su amable invitación.
  • 92.
    'Vi II poderde la identidad toria y la geografía, la aceleración repentina del tempo histórico y la abs- tracción del poder en una red de ordenadores están desintegrando los mecanismos de control social y representación política existentes. Con la excepción de una pequeña élite de globopolitas (mitad seres, mitad flu- jos), en todo el mundo las personas sufren una pérdida de control sobre sus vidas, sus entornos, sus puestos de trabajo, sus economías, sus gobier- nos, sus países y, en definitiva, sobre el destino de la tierra. Así pues, si- guiendo una antigua ley de la evolución social, la resistencia se enfrenta a la dominación, la movilización reacciona contra la impotencia y los pro- yectos alternativos desafían a la lógica imbuida en el nuevo orden global, que en todo el planeta se percibe cada vez más como un desorden. Sin embargo, estas reacciones y movilizaciones, como con frecuencia sucede en la historia, se presentan en formatos inusuales y avanzan por vías ines- peradas. Este capítulo y el siguiente exploran esas vías. Para ampliar el alcance empírico de mi estudio, a la vez que mantengo su enfoque analítico, compararé tres movimientos que se oponen de forma explícita al orden global de la década de los noventa, provenientes de contextos culturales, económicos e institucionales extremadamente di- ferentes y mediante ideologías claramente opuestas: los zapatistas de Chiapas (México), la milicia estadounidense, y Aum Shinrikyo, una secta japonesa. En el capítulo siguiente, analizaré el movimiento ecologista, del que cabría afirmar que es el más ubicuo e influyente de nuestro tiempo. A su modo y mediante la cacofonía creativa de sus múltiples voces, también desafía el desorden ecológico global, el riesgo del ecosuicidio, producido por el desarrollo global incontrolado y por la liberación de fuerzas tecno- lógicas sin precedentes, sin comprobar si son sostenibles social y medio- ambientalmente. Pero su especificidad cultural y política, y su carácter de movimiento social proactivo más que reactivo, aconsejan un tratamiento analítico separado, como algo distinto de los movimientos defensivos construidos en torno a las trincheras de identidades específicas. Antes de adentrarnos en el núcleo del tema, permítaseme introducir tres breves comentarios metodológicos que son necesarios para compren- der los análisis que se van a presentar en las páginas siguientes3 . En primer lugar, los movimientos sociales han de comprenderse en sus propios términos: a saber, son lo que dicen ser. Sus prácticas (y sobre todo sus prácticas discursivas) son su autodefinición. Este planteamiento nos evita la complicada tarea de interpretar la «verdadera» conciencia de los movimientos, como si sólo pudieran existir revelando las contradicciones 3 Para una exposición teórica de los movimientos sociales con relevancia directa para la investigación que se presenta, véanse Castell, 1983; Dalton y Kuechler, 1990; Epstein, 1991; Riechmann y Fernández Buey, 1994; Calderón, 1995; Dubet y Wieviorka, 1995; Maheu, 1995; Melucci, 1995; Touraine, 1995; Touraine etal., 1996; Yazawa, 1996.
  • 93.
    I n dlrucora de la Tierra: movimicnloN NOIIIUVUIOMIIII <-l nuevo enden global 'M estructurales «reales». Como si, para nacer, tuvieran que cargar por nece- sidad con esas contradicciones, como llevan sus armas y enarbolan sus banderas. Una operación de investigación diferente y necesaria es esta- blecer la relación entre los movimientos, según los definen su práctica, sus valores y sus discursos, y los procesos sociales a los que parecen estar aso- nados: por ejemplo, la globalízación, la informacionalización, la crisis de la democracia representativa y el dominio de la política simbólica en el espacio de los medios de comunicación. En mi análisis trataré de realizar ambas operaciones: la caracterización de cada movimiento, atendiendo a su propia dinámica específica, y su interacción con los procesos más am- plios que provocan su existencia y resultan modificados por la misma. La importancia que otorgo al discurso de los movimientos se reflejará en lo que escriba. Al presentar y analizar los movimientos, seguiré muy de cerca sus propias palabras, no sólo las ideas, según se recogen en los do- cumentos sobre los que he trabajado. Sin embargo, para ahorrar al lector los detalles minuciosos de las citas, he optado por presentar referencias genéricas a los materiales de los que se han obtenido los discursos, de- jando que el lector interesado encuentre en ellos las palabras precisas de las que da cuenta este texto. En segundo lugar, los movimientos sociales pueden ser socialmente conservadores, socialmente revolucionarios, ambas cosas a la vez o nin- guna. Después de todo, hemos llegado a la conclusión (espero que para siempre) de que no existe una direccionalidad predeterminada en la evo- lución social, que el único sentido de la historia es la historia que senti- mos. Por lo tanto, desde una perspectiva analítica, no hay movimientos sociales «malos» ni «buenos». Todos son síntomas de nuestras sociedades y todos chocan con las estructuras sociales, con intensidades variables y resultados que deben establecerse mediante la investigación. Así pues, me gustan los zapatistas, no me gusta la milicia estadounidense y me ho- rroriza Aum Shinrikyo. No obstante,, todos son, como sostendré, signos significativos de nuevos conflictos sociales y embriones de resistencia so- cial y, en algunos casos, de cambio social. Sólo explorando con una mente abierta el nuevo paisaje histórico, seremos capaces de encontrar senderos luminosos, abismos oscuros y resquicios confusos en el camino hacia la nueva sociedad que surge de las crisis actuales. En tercer lugar, para poner cierto orden en una masa de materiales muy diversos sobre los movimientos sociales que van a examinarse en este capítulo y los siguientes, me resultó útil clasificarlos según la tipolo- gía clásica de Alain Touraine, que define un movimiento social mediante tres principios: la identidad del movimiento, el adversario del movimiento y la visión o modelo social del movimiento, que yo denomino objetivo so- cial4 . En mi adaptación personal (que considero coherente con la teorías 4 Touraine, 1965, 1966. De hecho, su formulación utiliza una terminología ligeramente
  • 94.
    94 El poderde la identidad de Touraine), la identidad hace referencia a la autodefinición del movi- miento, de lo que es, en nombre de quién habla. El adversario hace refe- rencia al principal enemigo del movimiento, según lo identifica éste de Corma explícita. El objetivo social hace referencia a la visión del movi- miento del tipo de orden social, u organización social, que desearía obte- ner en el horizonte histórico de su acción colectiva. Una vez aclarado el punto de partida, emprendamos este viaje a la otra cara de la tierra, la que rechaza la globalización en aras del capital y la informacionalización en aras de la tecnología. Y donde los sueños del pasado y las pesadillas del futuro habitan en un mundo caótico de pasión, generosidad, prejuicio, miedo, fantasía, violencia, estrategias fallidas y golpes de suerte. Humanidad, al fin y al cabo. Los tres movimientos que he seleccionado para comprender el le- vantamiento contra la globalización son extremadamente diferentes en su identidad, sus objetivos, su ideología y su relación con la sociedad5 . Éste es precisamente el interés de la comparación porque son similares, pese a todo, en su oposición explícita al nuevo orden global, identifi- cado como el enemigo en su discurso y en su práctica. Y es probable que todos ellos tengan repercusiones importantes en sus sociedades, de forma directa o indirecta. Los zapatistas ya han transformado México, provocando una crisis en la política corrupta y la economía injusta pre- valecientes, mientras plantean propuestas para la reconstrucción demo- crática que se están debatiendo ampliamente en México y en todo el mundo. La milicia estadounidense, el componente más militante de un movimiento sociopolítico más extenso que se identifica a sí mismo como Los Patriotas (o Falsos Patriotas, como los denominan sus críticos), tiene raíces mucho más profundas en la sociedad estadounidense de lo que suele reconocerse y puede provocar acontecimientos impredecibles y significativos en la tensa escena política estadounidense, como sosten- dré más adelante. Aum Shinrikyo, aunque sigue siendo una secta margi- nal en la sociedad japonesa, dominó la atención de los medios de comu- nicación y el debate público durante más de un año (en 1995-1996) y ha actuado como un síntoma de heridas inadvertidas y dramas profundos desarrollados tras el telón de la serenidad japonesa. Lo que trato de es- tablecer al reunir en el análisis estas rebeliones diferentes y dinámicas es precisamente la diversidad de las fuentes de la resistencia al nuevo orden global. Junto con el recordatorio de que la ilusión neoliberal del diferente, en francés: principe d'identité, principe d'opposition, principe de totalité. He deci- dido que resultaría más claro para una audiencia internacional emplear palabras más llanas para decir lo mismo, a riesgo de perder el auténtico sabor francés. ' Este análisis comparativo se basa en un estudio conjunto realizado con Shujiro Yazawa y Emma Kiselyova en 1995. Para una primera elaboración de este estudio, véase Castells et al.. 1996.
  • 95.
    La otra carade la Tierra: movimientos sociales contra el nuevo orden global 95 fin de la historia ha terminado, cuando las sociedades apelan a su espe- cificidad histórica y se vengan de su dominación por los flujos globales. I X)S ZAPATISTAS DE MÉXICO: LA PRIMERA GUERRILLA INFORMACIONAL6 l.l Movimiento Civil Zapatista es un movimiento que opone la solidaridad social a la delincuencia organizada desde el poder del dinero y del gobierno. Del Manifiesto fundacional del Movimiento Civil Zapatista, San Cristóbal de las Casas, agosto de 1995. Citado de Ejército Zapatista de Liberación Nacional, 1995, pág. 286. I.o nuevo en la historia política de México, es que el proceso se revierta contra el poder a partir de que se genera una forma de comunicación alterna. [...] Lo nuevo en la guerra política de Chiapas fue el surgimiento de distintos ceñ- iros emisores que interpretaron los hechos de forma variadísima. La información pública que llegaba a la sociedad, a través de los medios de comunicación y por las i ilras vías alternas que hoy permite la tecnología, fue superior a la que podían con- trolar las estrategias de comunicación convencionales. Marcos opinaba, la iglesia apiñaba, opinaban los periodistas independientes, las organizaciones no guberna- mentales y algunos intelectuales, desde la selva, desde la Ciudad de México o desde las capitales financieras y políticas del mundo. Esas opiniones alternas, potenciadas por medios de comunicación abiertos, o por medios cerrados que resintieron la competencia de los medios abiertos, pusieron en entredicho las formas tradicionales de construcción de «lo cierto», y dieron cabida también, dentro del régimen polí- tico, a opiniones distintas. [...] La opinión del PRI se fragmentó. Moreno Toscano, Turbulencia política, pág. 82. México, la nación que generó el prototipo de la revolución social del siglo xx, es ahora el escenario del prototipo de la guerra red social y transnacional del si- glo xxi. Rondfeldt, Rand Corporation, 1995 * El análisis del movimiento zapatista que se presenta tiene una gran deuda, como es con frecuencia el caso en este libro, con la contribución de dos mujeres. La profesora Ale- liindra Moreno Toscano, distinguida historiadora urbana y antigua Secretaria de la Seguri- dad Social de México D.F., fue ayudante de Manuel Camacho, el representante presidencial durante el periodo crítico de las negociaciones entre el gobierno mexicano y los zapatistas en los primeros meses de 1994. Me proporcionó documentos y perspicaces opiniones, y me iiyudó decisivamente a comprender el proceso general de la política mexicana en 1994-1996. I'ara su análisis (el planteamiento más inteligente que he leído), véase Moreno Toscano, 1996. En segundo lugar, María Elena Martínez Torres, una de mis alumnas de doctorado de Hcrkeley, era una minuciosa observadora del campesinado chiapaneco. Durante nuestra in- teracción intelectual, me proporcionó sus propios análisis (Martínez Torres, 1994,1996). Na- turalmente, admito la responsabilidad exclusiva de la interpretación y los posibles errores en las conclusiones presentadas en este libro. Las fuentes adicionales que se han utilizado para el movimiento zapatista son: García de León, 1985; Arquilla y Rondfeldt, 1993; Collier y Lo- wery Quaratiello, 1994; Ejército Zapatista de Liberación Nacional, 1994,1995; Trejo Delar- bre, 1994a, b; Collier, 1995; Hernández Navarro, 1995; Nash et al, 1995; Rojas, 1995; Rond- feldt, 1995; Tello Díaz, 1995; Woldenberg, 1995.
  • 96.
    '«) El poderde la identidad El 1 de enero de 1994, el primer día del Tratado de Libre Comercio de América del Norte (TLC), unos 3.000 hombres y mujeres, organizados en el Ejército Zapatista de Liberación Nacional, ligeramente armados, se hi- cieron con el control de los principales municipios adyacentes a la Selva Lacandona, en el estado sureño mexicano de Chiapas: San Cristóbal de las Casas, Altamirano, Ocosingo y Las Margaritas. La mayoría de ellos eran indios de varios grupos étnicos, aunque también había mestizos, y al- gunos de sus dirigentes, y en particular su portavoz, el Subcomandante Marcos, eran intelectuales urbanos. Los dirigentes escondían sus rostros bajo pasamontañas. Cuando el ejército mexicano envió refuerzos, las gue- rrillas se retiraron a la selva en buen orden. Sin embargo, varias docenas de ellos, así como civiles y diversos soldados y policías, murieron en el en- frentamiento o fueron ejecutados sumariamente por los soldados poco después. La repercusión del alzamiento en México y la amplia simpatía que la causa zapatista inspiró de inmediato en el país y en el mundo con- vencieron al presidente mexicano, Carlos Salinas de Gortari, de que ha- bía que negociar. El 12 de enero, Salinas anunció un alto el fuego unilate- ral y nombró «comisionado para la paz» a Manuel Camacho, respetado político mexicano, en determinado momento considerado su probable su- cesor, pero que había renunciado al gobierno cuando Salinas frustró sus esperanzas presidenciales (véase mi análisis sobre la crisis política mexi- cana en el capítulo 5). Manuel Camacho y su asesora intelectual de con- fianza, Alejandra Moreno Toscano, viajaron a Chiapas, se reunieron con el influyente obispo católico Samuel Ruiz y entablaron serias conversa- ciones de paz con los zapatistas, que en seguida reconocieron la sinceri- dad del diálogo, aunque se mantuvieron justificablemente cautelosos ante la represión potencial o la manipulación. Camacho leyó a los insurgentes un texto en tzotzil, también difundido en tzeltal y chol: era la primera vez que un alto cargo mexicano reconocía las lenguas indias. El 27 de enero, se firmó un acuerdo que establecía un alto el fuego, la liberación de los prisioneros de ambas partes y el establecimiento de un proceso de nego- ciación sobre una agenda amplia de reforma política, derechos de los in- dios y demandas sociales. ¿Quiénes son los zapatistas? ¿Quiénes eran esos insurgentes, desconocidos hasta entonces para el resto del mundo, pese a dos décadas de amplias movilizaciones campesi- nas en las comunidades de Chiapas y Oaxaca? Eran campesinos, en su mayoría indios, tzeltales, tzotziles y choles, generalmente de las comuni- dades establecidas desde la década de los cuarenta en la selva lacandona de la frontera con Guatemala. Estas comunidades se fundaron con el res- paldo gubernamental para encontrar un modo de salir de la crisis social
  • 97.
    I ii olnicnni ik- l.i I u i n i ni<>VUI)ILII|>>S .cu i.ili-s c onii.i i-I nuevo oiilcn global 97 creada por la expulsión de los acasillados (campesinos sin tierras que tra- bajan para los terratenientes) de las fincas y ranchos propiedad de terra- tenientes medianos y grandes, en general mestizos. Durante siglos, los in- dios y los campesinos han sufrido el abuso de los colonizadores, burócratas y colonos. Y durante décadas, se los ha mantenido en una in- seguridad constante, ya que la posición de sus asentamientos cambiaba l recuentemente, de acuerdo con los intereses del gobierno y los terrate- nientes. En 1972, el presidente Echeverría decidió crear la «reserva de la biosfera» de Montes Azules y devolver la mayor parte de la selva a las 66 familias de la tribu lacandona original, así que ordenó la reubicación de 4.000 familias que se habían reasentado en esta zona, tras su expulsión de sus comunidades originales. Tras las tribus lacandonas y el repentino amor a la naturaleza estaban los intereses de la compañía forestal Cofo- lasa, apoyada por la compañía de desarrollo gubernamental NAFINSA, que recibió los derechos de explotación forestal. La mayoría de los colo- nos se negaron a la reubicación y comenzó una lucha de veinte años por su derecho a la tierra, que aún persistía cuando Salinas asumió la presi- dencia en 1988. Salinas acabó aceptando los derechos de algunos colonos, pero restringió su generosidad a aquellos pocos que apoyaban al PRI (Partido Revolucionario Institucional), el partido del gobierno. En 1992, un nuevo decreto abolió los derechos legales de las comunidades indias que se habían reasentado por segunda vez. Ahora el pretexto era la Con- ferencia de Río sobre el Medio Ambiente y la necesidad de proteger la selva tropical. También se restringió el forraje del ganado en la zona para ayudar a los rancheros de Chiapas, que competían con el ganado de con- trabando procedente de Guatemala. El golpe final a la frágil economía de las comunidades campesinas llegó cuando las políticas de liberalización mexicanas de la década de los noventa, en preparación para el TLC, in- crementaron las importaciones de maíz y eliminaron la protección del precio del café. La economía local, basada en la silvicultura, el ganado, el café y el maíz, quedó desmantelada. Además, la posición de la tierra co- munal se hizo incierta tras la reforma realizada por Salinas del histórico artículo 27 de la Constitución mexicana, que ponía fin a la posesión co- munal de la propiedad agrícola por parte de los ejidos, en favor de la plena comercialización de la propiedad individual, otra medida directa- mente relacionada con el alineamiento de México con la privatización de acuerdo con el TLC. En 1992 y 1993, los campesinos se movilizaron pací- ficamente contra esas políticas. Pero después de que su enérgica marcha de Xi' Nich, que llevó a miles de campesinos de Palenque a la Ciudad de México, quedara sin respuesta, cambiaron de táctica. A mediados de 1993, en la mayoría de las comunidades lacandonas no se plantó maíz, se dejó el café en las matas, los niños abandonaron las escuelas y se vendió el ganado para comprar armas. El encabezamiento de la Proclama de los insurgentes del 1 de enero de 1994 decía: «¡Hoy decimos BASTA!»
  • 98.
    '« VA poderde l.i idrnlichiil Esas comunidades campesinas, en su mayoría indias, a las que se unie- ron otros asentamientos de la región de Los Altos, no estaban solas en las luchas sociales que habían acometido desde comienzos de la década de los setenta. Estaban respaldadas, y hasta cierta medida organizadas, por la Iglesia católica, bajo la iniciativa del obispo de San Cristóbal de las Ca- sas, Samuel Ruiz, relacionado con la teología de la liberación. Los sacer- dotes no sólo apoyaban y legitimaban las demandas de los indios, sino que los ayudaron a formar cientos de cuadros de los sindicatos campesi- nos. Estos cuadros compartían la pertenencia a la iglesia y a los sindica- tos. Más de cien tuhuneles (ayudantes de los sacerdotes) y más de mil ca- tequistas constituían la espina dorsal del movimiento, que se desarrolló en la forma de sindicatos campesinos, cada uno de ellos basado en una comunidad (ejido). El fuerte sentimiento religioso de los indios se reforzó por la educación, la información y el respaldo de la Iglesia, llevando a fre- cuentes conflictos entre la iglesia local, por una parte, y los rancheros y el aparato político priísta de Chiapas, por otra. No obstante, aunque la Igle- sia fue decisiva en la educación, organización y movilización de las comu- nidades campesinas indias durante muchos años, Samuel Ruiz y sus ayu- dantes se opusieron con fuerza a la lucha armada y no se encontraban entre los rebeldes, en contra de las acusaciones de los rancheros chiapa- necos. Los cuadros que organizaron la insurrección armada provenían, en su mayoría, de las propias comunidades indias, sobre todo de las filas de los hombres y mujeres jóvenes que habían crecido en el nuevo clima de zozobra económica y lucha social. Otros cuadros provenían de los grupos maoístas formados en el México urbano (sobre todo en la Ciudad de Mé- xico y Monterrey) en la década de los setenta, en la estela del movimiento estudiantil de 1968 aplastado en la matanza de Tlatelolco. Las Fuerzas de Liberación Nacional parecen haber sido activas en la zona durante largo tiempo, aunque los relatos difieren en este punto. En cualquier caso, sea cual fuere el origen, parece que, tras una serie de reveses en las zonas ur- banas, unos cuantos revolucionarios, hombres y mujeres, emprendieron la larga marcha de establecer su credibilidad entre los sectores más opri- midos del país, mediante un trabajo político paciente, compartiendo sus privaciones y luchas. Marcos parece haber sido uno de esos militantes, que llegó a la región a comienzos de la década de los ochenta según las fuentes gubernamentales, tras terminar sus estudios de sociología y comu- nicación en México y París, y enseñar ciencias sociales en una de las me- jores universidades de México D.F.7 Sin duda, es un intelectual muy culto 7 El gobierno mexicano declara haber identificado al Subcomandante Marcos y los prin- cipales dirigentes de los zapatistas, y parece ser verosímil. Los medios de comunicación han informado sobre ello ampliamente. Sin embargo, puesto que los zapatistas siguen siendo in- surgentes en el momento en que escribo este texto, no considero apropiado aceptar esas de- claraciones como un hecho.
  • 99.
    I íi míactini de la Tierra: movimiento!» NOCIHICN conlni el nuevo orden global 9') • |in* habla varias lenguas, escribe bien, es extraordinariamente imagina- tivo, liene un gran sentido del humor y se encuentra cómodo en su rela- • ion con los medios de comunicación. Estos intelectuales revolucionarios, • Irbido a su honestidad y dedicación, fueron bien recibidos por los sacer- • tules y, durante largo tiempo, pese a las diferencias ideológicas, trabaja- ii ni juntos organizando a las comunidades campesinas y respaldando sus luchas. Sólo después de 1992, cuando las promesas de reformas continua- ron sin cumplirse y cuando la situación de las comunidades lacandonas se hizo más extrema debido al proceso general de modernización económica tic México, los militantes zapatistas establecieron su propia estructura e iniciaron la preparación para la guerra de guerrillas. En mayo de 1993 divo lugar la primera escaramuza con el ejército, pero el gobierno mexi- cano minimizó el incidente para evitar problemas en la ratificación del TLC por el Congreso de los Estados Unidos. Sin embargo, debe desta- carse que el liderazgo de los zapatistas es genuinamente campesino y so- bre todo indio. Marcos y otros militantes urbanos no podían actuar por • lienta propia8 . El proceso de deliberación, así como la negociación con • I gobierno, contó con la plena participación de las comunidades. Esto re- ullaba crucial puesto que, una vez que se hubiera tomado una decisión, toda la comunidad tenía que seguirla, hasta el punto de que, en unos po- cos casos, se expulsó a vecinos por su negativa a participar en el levanta- miento. No obstante, durante los dos años y medio del proceso de suble- vación abierta, la abrumadora mayoría de las comunidades lacandonas y la mayoría de los indios de Chiapas mostraron su apoyo a los insurgen- les, siguiéndolos a la selva cuando el ejército tomó sus aldeas en febrero de 1995. El sistema de valores de los zapatistas: identidad, adversarios y objetivos Las causas profundas de la rebelión resultan obvias, pero ¿cuáles son las demandas, objetivos y valores de los insurgentes? ¿Cómo se ven a sí mismos y cómo identifican a su enemigo? Por una parte, se sitúan en con- tinuidad histórica con quinientos años de lucha contra la colonización y la opresión. En efecto, el momento decisivo del movimiento campesino fue la manifestación masiva en San Cristóbal de las Casas el 12 de octubre de 1992, protestando por el quinto centenario de la conquista española de América con la destrucción de la estatua del conquistador de Chiapas, Diego de Mazariegos. Por otra parte, ven la reencarnación de esta opre- sión en la forma actual del nuevo orden global: el TLC y las reformas li- beralizadoras emprendidas por el presidente Salinas, que no logró incluir a los campesinos e indios en el proceso de modernización. Los cambios 8 Moreno Toscano, 1996.
  • 100.
    I(H) El poderde la identidad del histórico artículo 27 de la Constitución mexicana, que había otorgado satisfacción formal a las demandas de los revolucionarios agraristas enca- bezados por Emiliano Zapata, se convirtieron en el símbolo de la exclu- sión de las comunidades campesinas por el nuevo orden de Iibrecomer- ciantes. A esta crítica, compartida por todo el movimiento, Marcos y otros añadieron su propio desafío al nuevo orden global: la proyección del sueño socialista revolucionario más allá del fin del comunismo y la de- saparición de los movimientos guerrilleros en Centroaméríca. Como es- cribió Marcos con ironía: No hay para qué luchar. El socialismo ha muerto. Viva el conformismo y la re- forma y la modernidad y el capitalismo y los crueles etcéteras que a esto se aso- cian y siguen. [...] Que haya sensatez. Que nada pase en el campo y en la ciudad, que todo siga igual. El socialismo ha muerto. Viva el capital. Radio, prensa y tele- visión lo proclaman, lo repiten algunos ex socialistas, ahora sensatamente arre- pentidos9 . Así, la oposición zapatista al nuevo orden global es doble: luchan con- tra las consecuencias excluyentes de la modernización económica; pero también desafían la inevitabilidad de un nuevo orden geopolítico bajo el cual el capitalismo se acepta de forma universal. Los insurgentes afirmaban su orgullo indio y luchaban por el recono- cimiento de los derechos indios en la Constitución mexicana. Sin em- bargo, no parece que la defensa de la identidad étnica sea un elemento decisivo en el movimiento. De hecho, las comunidades lacandonas habían sido creadas por reasentamientos forzados que dispersaron las identida- des originales de diferentes comunidades y las reunieron como campesi- nos. Además, parece que, como escribe Collier: Antes, la identidad étnica dividía unas de otras a las comunidades indígenas de las tierras altas centrales de Chiapas. Los acontecimientos recientes acentuaron una transformación: ahora, a raíz de la rebelión zapatista, las gentes de diversas prove- niencias indígenas están destacando lo que comparten en la reivindicación de la explotación económica, social y política10 . 9 EZLN, 1994, pág. 61. 10 Collier, 1995, pág. 1; Martínez Torres (1994) plantea un argumento similar. En el Ma- nifiesto emitido por los zapatistas por Internet en noviembre de 1995, para conmemorar el duodécimo aniversario de la fundación de su organización, destacaron mucho su carácter de movimiento mexicano para la justicia y la democracia, más allá de la defensa de la identidad india: «El país que queremos, lo queremos para todos los mexicanos, y no sólo para los in- dios. La Democracia, Libertad y Justicia que queremos, las queremos para todos los mexica- nos, y no sólo para los indios. No queremos separarnos de la Nación Mexicana, queremos ser parte de ella, queremos ser aceptados como iguales, como personas con dignidad, como seres humanos [...] Aquí estamos, hermanos, los muertos de siempre. Muriendo de nuevo, pero ahora para vivir». (EZLN, Comunicado por Internet, 17 de noviembre de 1995).
  • 101.
    I ii otracara de la Tierra: movimiento» NOCIIIICN conlru el nuevo orden global " 11)1 Así pues, esta nueva identidad india se construyó mediante su lucha y lli'CÓ a incluir a varios grupos étnicos: «Lo que tenemos en común es 4a lirira que nos dio la vida y la lucha» n . Los zapatistas no son subversivos, sino rebeldes legitimados. Son pa- utólas mexicanos, levantados en armas contra las nuevas formas de do- minación extranjera del imperialismo estadounidense. Y son demócratas, apelando al artículo 39 de la Constitución mexicana, que proclama «el derecho del pueblo de alterar o modificar la forma de su gobierno». Por lo tanto, dirigen un llamamiento a los mexicanos para (|iie apoyen la democracia poniendo fin al régimen defacto de gobierno II ni partidista basado en el fraude electoral. Este llamamiento, prove- niente de Chiapas, el estado mexicano con el mayor voto a los candida- tos del PRI, impuestos tradicionalmente por los caciques locales, encon- tró un fuerte eco en los sectores de clase media urbana de una sociedad mexicana que ansiaba la libertad y estaba cansada de la corrupción sis- lémica. Que el alzamiento ocurriera precisamente en el año de las elec- ciones presidenciales, y en unas elecciones que se suponía que iban a li- beralizar el dominio del PRI sobre el estado, es un signo de la habilidad I iietica de los zapatistas y fue un importante factor para protegerlos de la represión directa. El presidente Salinas quería afianzar su legado como modernizador económico y como liberalizador político, no sólo para hacerse un lugar en la historia, sino con miras a su próximo puesto: su candidatura a la secretaría general de la Organización Mun- dial de Comercio recién constituida, precisamente la institución que ar- ticulaba el nuevo orden económico mundial. En estas circunstancias, un economista formado en Harvard difícilmente podía lanzar una resuelta represión militar contra un genuino movimiento indio y campesino que luchaba contra la exclusión social. La estrategia de comunicación de los zapatistas: Internet y los medios de comunicación El éxito de los zapatistas se debió en gran medida a su estrategia de comunicación, hasta el punto de que cabe denominarlos la primera guerri- lla informacional. Crearon un suceso en los medios de comunicación para difundir su mensaje, mientras trataban desesperadamente de no verse arrastrados a una guerra sangrienta. Por supuesto, hubo muertes reales y armas reales, y Marcos y sus camaradas estaban dispuestos a morir. No obstante, la guerra real no era su estrategia. Los zapatistas utilizaron las armas para hacer una declaración, luego explotaron la posibilidad de su " Declaración de los zapatistas, 25 de enero de 1994; citado por Moreno Toscano, 1996, pág. 92.
  • 102.
    1(12 lil poderde la identidad sacrificio ante los medios de comunicación mundiales para obligar a la ne- gociación y presentar un número de demandas razonables que, como pa- recen indicar las encuestas de opinión, encontraron un amplio respaldo en la sociedad mexicana en generaln . La comunicación autónoma era un objetivo fundamental para los zapatistas: Cuando las bombas caían sobre las montañas del sur de San Cristóbal de las Ca- sas, cuando nuestros combatientes resistían en Ocosingo los ataques de los fede- rales, cuando nuestras tropas se reagrupaban después del ataque al cuartel de Rancho Nuevo, cuando nos fortificábamos en Altamirano y Las Margaritas, cuando el aire olía a pólvora y sangre, el Comité Clandestino Revolucionario In- dígena-Comandancia General del EZLN me llamó y me dijo, palabra más, pala- bra menos: «Tenemos que decir nuestra palabra y que otros la escuchen. Si no lo hacemos ahora, otros tomarán nuestra voz y la mentira saldrá de nuestra boca sin nosotros quererlo. Busca por dónde puede llegar nuestra verdad a otros que quie- ren escucharla»13 . La habilidad de los zapatistas para comunicarse con el mundo y con la sociedad mexicana, y para cautivar la imaginación del pueblo y de los in- telectuales, impulsó a un grupo insurgente local y débil a la primera fila de la política mundial. En este sentido, Marcos fue esencial. No poseía el control organizativo de un movimiento que estaba arraigado en las comu- nidades indias y no mostró ningún signo de ser un gran estratega militar, aunque demostró inteligencia al ordenar la retirada cada vez que el ejér- cito iba a trabar combate con ellos. Pero fue extraordinariamente capaz para establecer un puente comunicativo con los medios de comunicación, mediante sus escritos bien construidos y su afortunada puesta en escena (el pasamontañas, la pipa, el marco de las entrevistas), como en el caso del pasamontañas, que desempeñó un papel tan importante en la popula- rización de la imagen de los revolucionarios: a lo largo de todo el mundo, cualquiera se podía convertir en zapatista poniéndose un pasamontañas. Además (aunque esto puede que sea una teorización excesiva), las más- caras son un ritual recurrente en las culturas indias mexicanas precolom- binas, de modo que la rebelión, el igualamiento de los rostros y la puesta en escena histórica retrospectiva actuaron al unísono en la representación teatral de la revolución más innovadora. En esta estrategia fue esencial el uso que hicieron los zapatistas de las telecomunicaciones, los vídeos y la comunicación a través del ordenador, tanto para difundir sus mensajes desde Chiapas al mundo (aunque probablemente no se transmitieron 12 De acuerdo con una encuesta de opinión realizada el 8 y 9 de diciembre de 1994, el 59% de los residentes en Ciudad de México tenía una «buena opinión» de los zapatistas y el 78% pensaba que sus demandas estaban justificadas (publicado en el periódico Reforma, 11 de diciembre de 1994). 13 Marcos, 11 de febrero de 1994; citado por Moreno Toscano, 1996, pág. 90.
  • 103.
    I i "hiii ,11,1 (]r l,i 1 H II,I movimientos siuiiilr i imliii el nuevo orden ¿;loh;il MU tlcsclc la selva), como para organizar una red mundial de grupos de soli- daridad que cercaron literalmente las intenciones represivas del gobierno mexicano; por ejemplo, durante la invasión armada de las zonas insurgen- les el 9 de febrero de 1995. Es interesante subrayar que en el origen del empico por parte de los zapatistas de Internet se encuentran dos hechos ocurridos en la década de los noventa: la creación de La Neta, una red de comunicación informática alternativa en México y Chiapas; y su uso por grupos de mujeres (sobre todo por «De mujer a mujer») para enlazar a las ()NG de Chiapas con otras mujeres mexicanas, así como con redes de mujeres de los Estados Unidos. La Neta14 se originó en la conexión en 19X9-1993 entre las ONG mexicanas respaldadas por la Iglesia católica y el Institute for Global Communication de San Francisco, apoyado por avezados expertos informáticos que donan su tiempo y experiencia para buenas causas. En 1994, con la ayuda de una donación de la Fundación lord, La Neta pudo establecer un nodo en México con un servidor de In- lernet privado. En 1993, La Neta se estableció en Chiapas, con el propó- sito de mantener en línea a las ONG locales, incluido el Centro para los Derechos Humanos Bartolomé de las Casas y una docena de otras orga- nizaciones, que pasaron a desempeñar un importante papel en la informa- ción del mundo durante el levantamiento zapatista. El uso extenso de In- ternet permitió a los zapatistas difundir información y su llamamiento por lodo el mundo al instante, y establecer una red de grupos de apoyo que ayudaron a crear un movimiento de opinión pública internacional, que hizo literalmente imposible al gobierno mexicano utilizar la represión a ¿jran escala. Las imágenes y la información de los zapatistas y su entorno actuaron vigorosamente sobre la economía y política mexicanas. Como escribe Martínez Torres: lil ex presidente Salinas creó una «economía de burbuja» que durante varios años permitió la ilusión de una prosperidad basada en la afluencia masiva de inversio- nes especulativas en bonos del gobierno de elevado interés, que vía el déficit co- mercial y una deuda en espiral, permitieron que la clase media y la obrera disfru- taran por un tiempo de una multitud de artículos de consumo importados. No obstante, tan fácil como era atraer la entrada de los inversores, cualquier pérdida de confianza de éstos podía en potencia convertirse en pánico y hacer que se reti- raran de los bonos mexicanos, con la posibilidad de causar el derrumbamiento del sistema. En efecto, la economía mexicana [en 1994] era un enorme juego de con- fianza. Puesto que la confianza se crea básicamente por la manipulación de la in- formación, puede destruirse exactamente del mismo modo. En el nuevo orden mundial donde la información es el bien más valioso, esa misma información puede ser mucho más poderosa que las balas15 . 14 Parece necesario aclarar el significado múltiple de La Neta para los lectores no mexi- canos. Además de ser el femenino español figurado de The Net, la neta es, en el lenguaje co- loquial mexicano, «la pura verdad». 15 Martínez Torres, 1996, pág. 5. ^
  • 104.
    101 II poderilc ln UICIIIHI.HI Ésta fue la clave del éxito de los zapatistas. No que sabotearan delibe radamente la economía. Pero estaban protegidos de la represión abierta por su conexión permanente con los medios de comunicación y sus alian- zas a escala mundial a través de Internet, forzando a la negociación y po- niendo el tema de la exclusión social y la corrupción política a la vista y oídos de la opinión pública mundial. Los expertos de la Rand Corporation, que habían previsto la posibili- dad de las «guerras red» desde 1993, coinciden con este análisis16 : «Las fuerzas revolucionarias del futuro puede que estén compuestas cada vez más por extensas redes multiorganizacionales que no tengan una identi- dad nacional particular, reclamen surgir de la sociedad civil e incluyan a grupos e individuos agresivos, expertos en el uso de tecnología avanzada para las comunicaciones, así como de municiones»17 . Los zapatistas pare- cen haber hecho realidad las pesadillas de los expertos del nuevo orden global. La relación contradictoria entre movimiento social e institución política Sin embargo, aunque la repercusión de las demandas de los zapatistas trastornó el sistema político mexicano, e incluso su economía, acabó enre- dándose en su propia relación contradictoria con el sistema político. Por una parte, los zapatistas pedían la democratización del sistema político, reforzando demandas similares formuladas dentro de la sociedad mexi- cana. Pero no eran capaces de precisar el significado de su proyecto polí- tico, aparte de la condena obvia del fraude electoral. Mientras tanto, se había socavado el control del PRI de forma irreversible, divididos en gru- pos que estaban literalmente matándose entre sí (véase cap. 5). Las elec- ciones presidenciales de agosto de 1994 fueron razonablemente limpias, otorgando a Zedillo, un oscuro candidato del PRI que había pasado a pri- mer plano debido a circunstancias accidentales, un triunfo alimentado por el miedo a lo desconocido. Es irónico que las reformas políticas del pro- ceso electoral, en parte resultado de la presión zapatista, contribuyeran a la legitimación de las elecciones, tras el acuerdo del 27 de enero de 1994 entre todos los candidatos presidenciales. El PRD, partido de oposición de izquierda, cuyo dirigente había sido rechazado por los zapatistas, fue castigado en las elecciones por haber solicitado el apoyo de Marcos. En agosto de 1994, los zapatistas convocaron una Convención Democrática Nacional en un lugar de la selva lacandona que llamaron Aguascalientes, por el nombre del lugar histórico donde, en 1915, los dirigentes revolucio- narios (Villa, Zapata y Orozco) se reunieron para establecer la Conven- 16 Rondfeldt, 1995. 17 Arquilla y Rondfeldt, 1993.
  • 105.
    I i nii.it .11.1 di- I» Tierní; nmviiiik-iiln.'. MU mi ni ni el nuevo ote leu )'lol>,il 105 c mu Revolucionaria. A pesar de la participación masiva de las organiza- ' u mes populares, los partidos de izquierda, los intelectuales y los medios • le comunicación, Aguascalientes se agotó en el simbolismo del aconteci- miento, siendo incapaz esta reunión efímera de traducir el nuevo lenguaje zapatista a la política de izquierda tradicional. Así pues, en mayo de 1995, en medio de unas prolongadas negociaciones con el gobierno en San Añ- ilres Larrainzar, los zapatistas organizaron una consulta popular sobre la posibilidad de convertirse en una fuerza política civil. Pese a las dificulta- des obvias (seguían siendo una organización insurgente), casi dos millo- nes de personas participaron en la consulta a lo largo de todo México, npoyando la propuesta en su vasta mayoría. Por lo tanto, en enero de 1996, para conmemorar los dos años de su levantamiento, los zapatistas decidieron transformarse en un partido político, buscando la participa- ción plena en el proceso político. Sin embargo, también decidieron man- tener las armas hasta que se alcanzara un acuerdo con el gobierno sobre lodos los puntos en discusión. En enero de 1996 se logró un importante ucuerdo sobre un futuro reconocimiento constitucional de los derechos de los indios, pero las negociaciones sobre la reforma política y los asuntos económicos seguían en curso cuando se escribió este texto (a finales de 1996). Un tema difícil parece ser la demanda de las comunidades indias de mantener la propiedad de su tierra, incluidos los recursos del subsuelo, una demanda categóricamente rechazada por el gobierno mexicano puesto que se cree que Chiapas es rica en hidrocarburos. En cuanto a la reforma política, la falta de disposición del PRI para dejar de dominar el poder hacía el acuerdo muy difícil. El futuro potencial del partido político zapatista es incierto. Por una parte, a finales de 1996, Marcos seguía siendo uno de los dirigentes más populares de México. Por otra, gran parte de su popularidad está vincu- lada a su posición como mito revolucionario. Como político dispuesto al compromiso, quizás pierda mucho de su encanto, algo de lo que él parece darse buena cuenta. Así que, en el momento en que se escribió esto, Mar- cos y sus compañeros dudaban proseguir con la plena institucionalización de su postura política, aunque éste es el resultado probable de su levanta- miento, si bien en el contexto de una transformación aún incierta del sis- tema político mexicano. No obstante, cualquiera que sea el futuro de los zapatistas, su suble- vación cambió a México, desafiando la lógica unilateral de la moderniza- ción, característica del nuevo orden global. Al actuar sobre las fuertes contradicciones que existían en el interior del PRI entre los modernizado- res y los intereses de un aparato de partido corrupto, el debate desenca- denado por los zapatistas ayudó de forma considerable a romper el domi- nio priísta sobre México. Quedaron expuestas todas las debilidades de la economía mexicana, boyante y eufórica en 1993, justificando los argu- mentos de los críticos estadounidenses del TLC. Sector ausente en los
  • 106.
    Itld II poderde lii UK'UIKLKI procesos de modernización actuales de América Latina, el campesinado indio (en torno al 10% de la población mexicana) cobró vida de repente. Una reforma constitucional, en proceso de aprobación en noviembre de 1996, reconocía el carácter pluricultural de México y otorgaba nuevos de- rechos a los indios, incluida la publicación de libros de texto en 30 lenguas indias para su utilización en las escuelas públicas. Los servicios de salud y educación mejoraron en varias comunidades indias y estaba en proceso de ponerse en práctica un autogobierno limitado. La afirmación de la identidad cultural india, si bien de un modo re- construido, se conectó con su revuelta contra el abuso escandaloso. Pero su lucha por la dignidad se vio decisivamente ayudada por la afiliación re- ligiosa expresada en la profunda corriente de catolicismo populista de América Latina, así como por el último grito de la izquierda marxista de México. Que esta izquierda, construida sobre la idea del proletariado que lucha por el socialismo con sus fusiles, se transformara en un movimiento campesino indio de los excluidos en lucha por la democracia, en nombre de los derechos constitucionales, vía Internet y los medios de comunica- ción de masas, muestra la profundidad de la transformación de las sendas de la liberación en América Latina. También muestra que el nuevo orden global produce múltiples desórdenes locales, causados por las fuentes, arraigadas en la historia, de resistencia a la lógica de los flujos globales de capital. Los indios de Chiapas que luchan contra el TLC valiéndose de su alianza con militantes ex maoístas y teólogos de la liberación son una ex- presión característica de la vieja búsqueda de la justicia social en condi- ciones históricas nuevas. EL LEVANTAMIENTO EN ARMAS CONTRA EL NUEVO ORDEN MUNDIAL: LA MILICIA ESTADOUNIDENSE Y EL MOVIMIENTO PATRIOTA EN LOS AÑOS NOVENTA'« En pocas palabras, el Nuevo Orden Mundial es un sistema utópico en el que la eco- nomía estadounidense (junto con la de todas las demás naciones) será «globali- 18 La principal fuente de información sobre la milicia estadounidense y los «patriotas» es el Southern Poverty Law Center, con sede en Montgomery (Alabama). Esta destacada or- ganización ha mostrado un valor y efectividad extraordinarios al proteger a los ciudadanos contra los grupos xenófobos y racistas en los Estados Unidos desde su fundación en 1979. Como parte de su programa, ha establecido un Klanwatch/Militia Task Forcé (Equipo Ope- rativo de Observación del Klan/Milicia) que proporciona información y análisis precisos para comprender y contraatacar a los grupos extremistas antigubernamentales y antiperso- nas nuevos y antiguos. Para la información más reciente, utilizada en mi análisis, véase Klanwatch/Militia Task Forcé (1996, en adelante citada como KMTF). Stern (1996) propor- ciona un relato bien documentado sobre la milicia estadounidense durante la década de los noventa. También he empleado el excelente análisis realizado por mi alumno de doctorado Matthew Zook sobre los grupos de la milicia e Internet en 1996 (Zook, 1996). Otras fuentes
  • 107.
    I.n olla carade la I ierra: moví unen los MH mk'S lonlni i I nnrvo urden global 107 tuda»; los niveles salariales de lodos los trabajadores estadounidenses y europeos ,c liarán descender hasta los de los trabajadores del Tercer Mundo; las fronteras nacionales dejarán de existir para todos los supuestos prácticos; y un flujo creciente de inmigrantes del Tercer Mundo a los Estados Unidos y Europa habrá producido una mayoría no blanca en todas las zonas del mundo que antes eran blancas; una élite formada por financieros internacionales, los dueños de los medios de comuni- cación de masas y los gestores de las compañías multinacionales, tendrá la última palabra; y las fuerzas de paz de la ONU se utilizarán para evitar que nadie opte por salirse del sistema. William Pierce, National Vanguard19 Internet fue una de las principales razones para que los movimientos de milicia se expandieran más de prisa que ningún otro grupo xenófobo en la historia. Su caren- cia de un centro organizado fue más que superado por la comunicación instantánea y el potencial de rumores de este nuevo medio. Cualquier miembro de la milicia en la remota Montana que tuviera un ordenador y un módem podía ser parte de una red mundial que compartía sus pensamientos, aspiraciones, estrategias de organiza- ción y temores: una familia global. Kenneth Stern, A Forcé upon the Plain, pág. 228 La explosión de una camioneta cargada con explosivos hechos con fertilizantes en Oklahoma City el 19 de abril de 1995, no sólo hizo saltar por los aires un edificio del gobierno federal, matando a 169 personas, sino que también puso al descubierto una poderosa corriente soterrada de la sociedad estadounidense, hasta entonces relegada a los grupos pro- pagadores de prejuicios y la marginalidad política tradicionales. Timothy McVeigh, culpable de haber colocado la bomba, acostumbraba a llevar con él la novela de William Pierce sobre una célula clandestina, The Pa- triots, que coloca una bomba en un edificio federal: se dice que McVeigh llamó al número privado de Pierce horas antes de la explosión real de Oklahoma. Se descubrió que McVeigh y su compinche armado, Terry Ni- chols, estaban relacionados con la Milicia de Michigan. La explosión ocu- rrió en el segundo aniversario del asalto de Waco, en el que la mayoría de los miembros del culto davidiano y sus niños resultaron muertos a conse- adicionales utilizadas específicamente en el análisis que se presenta en este capítulo son J. Cooper, 1995; Anti-Defamation League, 1994, 1995; Armond, 1995; Armstrong, 1995; Ben- nett, 1995; Berlet y Lyons, 1995; Broadcasting and Cable, 1995; Business Week, 1995d; Coali- tion for Human Dignity, 1995; Cooper, 1995; Heard, 1995; Helvarg, 1995; Jordán, 1995; Ivins, 1995; Maxwell y Tapia, 1995; Sheps, 1995; The Nation, 1995; Orr, 1995; Pollith, 1995; Ross, 1995; The Gallup Poli Monthly, 1995; The New Republic, 1995; The New York Times Sunday, 1995a, b; The Progressive, 1995; Time, 1995; WEPIN Store, 1995; Dees y Corcoran, 1996; Winerip, 1996. 19 Cita del artículo del partidario de la supremacía blanca William Pierce en el número de marzo de 1994 de su periódico National Vanguard, citado por KMTF, 1996, pág. 37. Pierce es el director de la National AUiance y autor de la novela muy vendida The Turner Diaries.
  • 108.
    IIIK I'I poderde la idrnlidud cuencia del asedio establecido por los agentes federales, un aconteci- miento denunciado, como llamada a las armas, por los grupos de las mili- cias en todo Estados Unidos20 . Los grupos de la milicia no son terroristas, pero algunos de sus miembros quizás estén organizados en una forma de movimiento dife- rente pero relacionada ideológicamente, los «patriotas clandestinos». Se constituyen en células autónomas y clandestinas que establecen sus blancos propios de acuerdo con opiniones que dominan todo el movi- miento. Se cree que entre 1994-1996 estos grupos fueron responsables de diversas explosiones de bombas, robos de bancos, sabotajes ferrovia- rios y otros actos violentos, y la intensidad y capacidad mortífera de sus acciones va en aumento. Se han robado toneladas de explosivos de los almacenes comerciales y ha desaparecido armamento militar de los ar- senales militares, incluidos misiles portátiles Stinger. Se han descubierto intentos para desarrollar armas bacteriológicas. Y decenas de miles de «patriotas» a lo largo de todo Estados Unidos están armados con armas de guerra y se someten a un entrenamiento regular en tácticas de gue- rrilla21 . La milicia es el ala más militante y organizada de un movimiento mu- cho más amplio, autoproclamado «patriota»22 , cuya galaxia ideológica en- globa organizaciones conservadoras extremistas, como la John Birch So- ciety; todo un conjunto de grupos tradicionales partidarios de la supremacía blanca, neonazis y antisemitas, incluido el Ku-Klux-Klan y el Posse Comitatus; grupos religiosos fanáticos como Christian Identity, una secta antisemita emanada del British Israelism de la Inglaterra victo- riana, y grupos contrarios al gobierno federal, como los movimientos de los derechos de los condados, la coalición antiecologista defensora del «uso sensato de la naturaleza», la National Taxpayers' Union y los defen- sores de los tribunales de «derecho consuetudinario». La galaxia de los pa- triotas también se extiende, en formas flexibles, a la poderosa Coalición Cristiana, así como a diversos grupos militantes «pro vida», y cuenta con la simpatía de muchos miembros de la Asociación Nacional del Rifle y de los defensores de la posesión de armas. La influencia directa de los patrio- tas quizás alcance a cinco millones de personas en los Estados Unidos, se- gún fuentes bien informadas23 , aunque el mismo carácter del movimiento, con sus fronteras borrosas y la falta de una pertenencia organizada, hace 20 La Milicia de Texas emitió el llamamiento siguiente unos cuantos días antes del 19 de abril de 1995, segundo aniversario del incidente de Waco: «Todos los ciudadanos con capa- cidad física han de reunirse con sus armas para celebrar su derecho a guardar y portar armas y a reunirse como milicias en defensa de la República» (citado en el editorial de The Nation, 1995, pág. 656). 21 KMTF, 1996. 22 KMTF, 1996; Stern, 1996. 23 Berlet y Lyons, 1995; KMTF, 1996; Winerip, 1996.
  • 109.
    I i olracar» ilc la Tierra: movimientos sociales contra el nuevo orden global I(W imposible un cálculo estadístico preciso. De todos modos, su influencia puede contarse en millones, no en miles, de partidarios. Lo que estos gru- pos dispares, antes sin relación alguna, acabaron compartiendo en la dé- • u)a de los noventa fue su enemigo común declarado: el gobierno federal, • «uno representante del «Nuevo Orden Mundial», establecido contra la voluntad de los ciudadanos estadounidenses. Según la opinión dominante i-11 todo el movimiento patriota, este Nuevo Orden Mundial, dirigido a destruir la soberanía estadounidense, ha sido promulgado por una conspi- ración de intereses financieros y burócratas globales que se han apode- rado del gobierno federal de los Estados Unidos. En el centro de este nuevo sistema están la Organización Mundial de Comercio, la Comisión Trilátera!, el Fondo Monetario Internacional y, sobre todo, la ONU, cuyas • Tuerzas de paz» son consideradas un ejército mercenario internacional, encabezado por la policía de Hong Kong y las unidades gurkha, dispuesto ;t suprimir la soberanía del pueblo. Cuatro acontecimientos parecieron confirmar esta conspiración para los patriotas: la aprobación del TLC en I993; la aprobación de Clinton al proyecto de ley Brady en 1994, que esta- blecía controles limitados sobre la venta de algunos tipos de armas auto- máticas; el cerco al partidario de la supremacía blanca Randy Weaver en Idaho, que acabó con la muerte de su esposa a manos del FBI, en 1992; y el asedio trágico de Waco, que llevó a la muerte de David Koresh y sus se- guidores en 1993. Una lectura paranoica de estos hechos condujo a la con- vicción de que el gobierno estaba procediendo al desarme de los ciudada- nos, para subyugarlos después, sometiendo a los estadounidense a la vigilancia de cámaras ocultas y helicópteros negros e implantado biochips en los recién nacidos. A esta amenaza global a los puestos de trabajo, la intimidad, la libertad y el modo de vida americano, oponen la Biblia y la Constitución estadounidense original, expurgada de sus enmiendas. De acuerdo con estos textos, ambos recibidos de Dios, afirman la soberanía de los ciudadanos y su expresión directa en los gobiernos de los condados, y no reconocen la autoridad del gobierno federal, sus leyes, sus tribunales, ni la validez del Banco de la Reserva Federal. La elección es dramática. En palabras de la Milicia de Montana, creada en febrero de 1994 e inspira- ción organizativa para todo el movimiento: «Únete al ejército y sirve a la ONU o únete a la Milicia y sirve a América» (lema de la página de la Mili- cia de Montana en la WWW). Consideran que los agentes federales, sobre todo los de la Oficina de Alcohol, Tabaco y Armas de Fuego (Bureau of Alcohol, Tobacco and Firearms), ocupan la primera línea de la represión contra los estadounidenses en nombre del gobierno mundial emergente. Ello justifica, en opinión de la milicia, que los agentes federales sean blan- cos potenciales del movimiento. Así pues, según expresó el popular Gor- don Liddy en una de sus tertulias radiofónicas: «Tienen un gran blanco [en el pecho]: ATF. No disparéis ahí porque llevan un chaleco antibalas de- bajo. Los disparos a la cabeza, los disparos a la cabeza. ¡Matad a esos hijos
  • 110.
    II» II poderde la identidad de pula!»24 . En algunos segmentos de este movimiento patriota tan di- verso, también existe una potente mitología arraigada en opiniones esca- tológicas del mundo y profecías sobre el Fin de los Tiempos (véase cap. 1). Siguiendo el libro del Apocalipsis, capítulo 13, los predicadores como el teleevangelista Pat Robertson, dirigente de la Coalición Cristiana, recuer- dan a los cristianos que se les puede pedir que se sometan a la satánica «Marca de la Bestia», identificada de formas diversas como los nuevos có- digos del papel moneda, los códigos de barras de los supermercados o la tecnología del microchip25 . Resistir el nuevo orden global impío, que lle- gará al Fin de los Tiempos, se considera un deber cristiano y un derecho de los ciudadanos estadounidenses. No obstante, el colorido siniestro de la mitología del movimiento a veces oscurece su perfil y llega a minimizar su significado político y social. Por eso es importante prestar atención a la di- versidad del movimiento, mientras se sigue destacando su carácter común subyacente. Las milicias y los patriotas: una red de información multitemática Las milicias, ciudadanos que se organizan y arman para defender su país, religión y libertad, son instituciones que desempeñaron un papel importante durante el primer siglo de la existencia de los Estados Unidos26 . Las milicias estatales fueron reemplazadas por los guardias nacionales es- tatales en 1900. Sin embargo, en la década de los noventa, comenzando con la Milicia de Montana, los grupos populistas de derecha han formado «milicias desorganizadas», utilizando cierta ambigüedad legal en las leyes federales para sortear la prohibición legal de formar unidades militares fuera del control gubernamental. El rasgo más distintivo de los grupos de milicia es que están armados, a veces con armas de guerra, y se estructu- ran en una cadena de mando de estilo militar. A finales de 1995, el equipo de investigación KMTF pudo contar 441 milicias activas en los 50 estados, con campos de entrenamiento paramilitar en al menos 23 esta- dos (véase la figura 2.1). Es difícil calcular el número de los miembros de las milicias. Berlet y Lyons se aventuraron a evaluarlo, en 1995, entre 15.000 y 40.00027 . A decir de todos, están creciendo rápidamente. No existe una organización nacional. La milicia de cada estado es indepen- diente, y a veces hay varios grupos de milicias no relacionados en el mismo estado: 33 en Ohio, con unos 1.000 miembros y cientos de miles de simpatizantes, según las fuentes policiales2S . La Milicia de Montana es 24 Stern, 1996, pág. 221. 25 Berlet y Lyons, 1995. 26 Whisker. 1992; J. Cooper, 1995. 27 Berlet y Lyons, 1995. 28 Winerip, 1996.
  • 111.
    cara de laTiemí: movimientos sociales contra el nuevo orden global 111
  • 112.
    112 El poderde la identidad el ejemplo fundador, pero la mayor es la Milicia de Michigan, con varios miles de miembros activos. Su ideología, más allá de la oposición común al nuevo orden mundial y al gobierno federal, está muy diversificada. Sus miembros son en su gran mayoría varones blancos cristianos. Sin duda, incluyen un número significativo de racistas, antisemitas y sexistas en sus filas. No obstante, la mayoría de los grupos de milicia no se definen como racistas o sexistas, y algunos de ellos (por ejemplo, la Milicia de Michigan) hacen una declaración antirracista explícita en su propaganda. En el análisis efectuado por Zook de las páginas de las milicias en la Worl Wide Web, centrándose en 11 de las más populares, siete de las pá- ginas particulares hacían declaraciones antirracistas, cuatro no menciona- ban la raza y ninguna contenía racismo abierto29 . Dos páginas tomaban posturas antisexistas, dos declaraban que las mujeres eran bien recibidas y el resto no mencionaba el sexo. De hecho, la Milicia de Michigan se negó a apoyar a los «hombres libres de Montana» durante su cerco en un rancho en 1996 porque eran racistas. Y una de las páginas de la milicia, «E Pluribus Unum», parte de la Milicia de Ohio, la dirige una pareja fun- damentalista cristiana afroamericana. Sin duda, estas declaraciones po- drían ser falsas, pero dada la importancia de aparecer en Internet para contactar con nuevos miembros, sería incoherente tergiversar la ideolo- gía a la que se atrae a nuevos reclutas. Parece que la milicia y los patrio- tas, aunque incluyen grupos tradicionales propagadores de prejuicios, ra- cistas y antisemitas, tienen una circunscripción ideológica mucho más amplia, y ésta es precisamente una de las razones de su nuevo éxito. A saber, su habilidad para lograr extenderse por el espectro ideológico para unir todas las fuentes de desafección contra el gobierno federal. Como dice el informe del KMTF: A diferencia de sus predecesores facciosos partidarios de la supremacía blanca, los patriotas han sido capaces de superar las diferencias ideológicas menores, en favor de una unidad amplia sobre la agenda antigubernamental. Como resultado, han creado la fuerza insurgente más atractiva de la historia reciente, hogar de una amplia variedad de grupos antigubernamentales, cuyas funciones organizativas son muy diversas30 . Dos componentes en rápida expansión del movimiento patriota son el movimiento de los derechos de los condados y el de los tribunales de «de- recho consuetudinario». El primero es un ala militante de la coalición de- fensora del «uso sensato de la naturaleza», que tiene influencia creciente en los estados del Oeste. La coalición se opone a la reglamentación me- dioambiental impuesta por el gobierno federal y apela a la «costumbre y 29 Zook, 1996. 30 KMTF, 1996, pág. 14.
  • 113.
    I.ii otra carade la Tierra: movimientos sociales contra el nuevo orden global I 3 la cultura» de la tala, la minería y el pastoreo en las tierras públicas. La /unificación del uso de la tierra se equipara al socialismo y se considera i|ue la gestión del ecosistema es una parte del nuevo orden mundial31 . En consecuencia, el movimiento afirma el derecho de los sheriffs de los con- dados a detener a los funcionarios encargados de las propiedades federa- les, lo que provocó diversos incidentes violentos. Se insta a la gente y a las comunidades a reconocer exclusivamente la autoridad de sus cargos elegi- dos en el ámbito del municipio y el condado, rechazando los derechos del gobierno federal a legislar sobre su propiedad. Setenta condados han aprobado ordenanzas de «uso sensato» que reclaman el control local so- bre la tierra pública, y las acciones violentas han intimidado a los ecolo- gistas y los gestores de tierras federales desde Nuevo México y Nevada hasta el norte de Idaho y Washington. Se han establecido tribunales de derecho consuetudinario en 40 estados, respaldados por un despliegue de libros y vídeos que declaran proporcionar una base legal para que la gente rechace el sistema judicial e implante sus propios «jueces», «juicios» y «jurados». Incluso se ha establecido un «Tribunal Supremo de Derecho Consuetudinario» nacional con 23 jueces, que se basan en la Biblia y en su propia interpretación de la ley. Los partidarios del derecho consuetu- dinario se declaran a sí mismos «soberanos», esto es, hombres libres y, en consecuencia, se niegan a pagar impuestos y la seguridad social, obtener el carnet de conducir y someterse a los demás controles gubernamentales no contemplados en el cuerpo legal original estadounidense. Para prote- ger su soberanía y tomar represalias contra los cargos públicos, suelen cursar embargos comerciales contra cargos y jueces públicos selecciona- dos, creando una confusión de pesadilla en diversos tribunales de los con- dados. Como una extensión del movimiento del derecho consuetudinario, está creciendo rápidamente una red de personas, de Montana a Califor- nia, que rechazan la autoridad del Banco de la Reserva Federal para im- primir dinero y emiten sus propios documentos bancarios, incluidos che- ques de caja, con una tecnología de reproducción tan buena que con frecuencia se han hecho efectivos, provocando una serie de detenciones por falsificación y fraude. Estas prácticas están haciendo del movimiento en favor del derecho consuetudinario el de mayor capacidad de confron- tación de todos los grupos patriotas, y originaron el cerco de un grupo de «hombres libres» en un rancho de Jordán (Montana), sitiados durante tres meses por el FBI en 1996. Un movimiento tan diverso, casi caótico, no puede tener una organi- zación estable, ni siquiera una instancia coordinadora. No obstante, la ho- mogeneidad de su visión central del mundo y, sobre todo, su identifica- ción de un enemigo común son inequívocas. Ello se debe a que sí existen vínculos entre grupos e individuos, pero se realizan a través de los medios 31 Helvarg, 1995. í
  • 114.
    114 El poderde la identidad de comunicación (radio sobre todo), libros, folletos, giras de charlas y prensa alternativa, mediante el fax y a través de Internet32 . Según el KMTF, «el ordenador es la pieza más vital del equipo en el arsenal del movimiento patriota»33 . En Internet hay varios bulletin board systems, páginas personales y grupos de charla de la milicia; por ejemplo, el grupo MAM de Usenet, establecido en 1995. Se han propuesto diversas razones para que se dé un uso tan extendido de Internet por parte de los hombres de la milicia. Una es que, como escribe Stern, «Internet es la cultura per- fecta para criar el virus de la teoría de la conspiración. Los mensajes apa- recen en la pantalla sin que sea fácil separar la basura de lo creíble [...] Para los entusiastas de la conspiración, como los miembros de la milicia, las declaraciones sin verificar provenientes del ciberespacio reafirman sus conclusiones proporcionando una corriente interminable de "pruebas" adicionales»34 . Además, el espíritu de frontera característico de Internet encaja bien con los "hombres libres", que se expresan y hacen sus decla- raciones sin mediación o control gubernamental. Lo que es más impor- tante, la estructura de red de Internet reproduce exactamente la interco- nexión autónoma y espontánea de los grupos de la milicia, y de los patriotas en general, sin fronteras y sin un plan definido, pero compar- tiendo un objetivo, un sentimiento y, sobre todo, un enemigo. El movi- miento medra y se organiza principalmente en Internet (respaldada por el fax y el correo directo). Fue mediante la Associated Electronic Network News, organizada por los Thompson en Indianapolis, como se difundió una teoría de la conspiración según la cual la bomba de Oklahoma era una provocación del gobierno federal, similar al incendio del Reichstag por parte de Hitler, para destruir la milicia. Otros bulletin board systems como la «Red de Paul Reveré», enlazan a grupos de todo el país, inter- cambian información, hacen circular rumores y coordinan acciones. Por ejemplo, informes confidenciales comunican a los curiosos que Gorba- chov, tras pronunciar un discurso en California diciendo que «estamos en- trando en el nuevo orden mundial», se había ido a ocultar en una base na- val de California del Sur para supervisar el desmantelamiento de las fuerzas armadas estadounidenses en preparación de la llegada del ejército del orden mundial. En efecto, su llegada tuvo lugar en mayo de 1996, cuando se estableció una base permanente en Nuevo México para entre- nar a cientos de pilotos alemanes en colaboración con la aviación esta- dounidense. O eso pensaron los miles de espectadores que desbordaron con sus llamadas la centralita del Pentágono después de que la CNN in- formara de la apertura de esa base. Las tertulias radiofónicas también son importantes. Los 20 millones KMTF, 1996; Stern, 1996; Zook, 1996. KMTF, 1996, pág. 16. Stern, 1996, pág. 228.
  • 115.
    I n olíacara ele la Tierra: imiviiiiienlo!» sociales contra el nuevo orden global 115 de audiencia de Rush Limbaugh en 600 emisoras de todo el país es un ins- trumento de influencia política sin paralelo en los Estados Unidos de los .nios noventa. Aunque no respalda a la milicia, sus temas («femi-nazis», • eeo-wacos») resuenan en el movimiento. Otros programas de radio po- pulares están en tono más directo con los patriotas: el programa de llama- lias de Gordon Liddy o The Intelligence Repon, presentado por el parti- dario de la supremacía blanca Mark Koernke. Los canales de cable alternativos, que emiten temas similares a audiencias similares, incluyen la National Empowerment Televisión, Jones Intercable y Paragon Cable (propiedad de Time Warner) en Florida, que presenta Race & Reason, un programa racista y antisemita. Una miríada de periódicos y boletines, iorno Spotlight de Washington D.C. o el opúsculo partidario de la supre- macía blanca The Turner Diaries, se añaden a una red extensa y muy des- < entralizada de medios de comunicación alternativos. Esta red difunde in- lormación seleccionada, divulga el resentimiento de la gente, divulga nicas de extrema derecha, esparce rumores de conspiraciones y suminis- II a la mitología escatológica que se ha convertido en el bagaje cultural del populismo de derechas del fin de milenio. Así pues, mientras el FBI busca en vano pruebas de una conspiración organizada para derrocar al go- bierno por la fuerza, la conspiración real, sin nombres (o con múltiples nombres) y sin organización (o con cientos de ellas) fluye en las redes de información, alimentando la paranoia, conectando la ira y quizás derra- mando sangre. Las banderas de los patriotas A pesar de su diversidad, el movimiento patriota, con la milicia al frente, tiene algunos objetivos, creencias y enemigos comunes. Este con- junto de valores y objetivos es el que construye una visión del mundo y, en definitiva, define el mismo movimiento. Existe una opinión subyacente sobre el mundo y la sociedad, simple pero vigorosa, que el movimiento patriota expresa de formas diferentes. Según esa visión, los Estados Unidos están divididos en dos tipos de per- sonas: productores y parásitos. Los productores, la gente trabajadora, es- tán oprimidos entre dos capas de parásitos: los cargos corruptos del go- bierno, las élites empresariales ricas y los banqueros, por encima; y la gente estúpida y vaga, indigna de la asistencia que recibe de la sociedad, por debajo. La situación está empeorando por el proceso actual de globa- lización, conducido por la ONU y las instituciones financieras internacio- nales, en nombre de las élites empresariales y las burocracias guberna- mentales, que amenazan con transformar a la gente corriente en meros esclavos de una economía de plantación a escala mundial. Dios prevale- cerá, pero para ello los ciudadanos deben desenfundar sus revólveres
  • 116.
    Il(. Rl poderde l;i identidad para luchar por «el futuro de la propia América»35 . Desde esta visión del mundo, surge un conjunto específico de objetivos para el movimiento, que organizan su práctica. En primer lugar, la milicia, y los patriotas en general, son movimien- tos extremadamente libertarios (y, en este sentido, muy diferentes de los nazis o fascistas tradicionales que abogan por un estado fuerte). Su ene- migo es el gobierno federal. A su parecer, las unidades básicas de la so- ciedad son el individuo, la familia y la comunidad local. Más allá de ese nivel inmediato de reconocimiento cara a cara, el gobierno sólo se tolera como la expresión directa de la voluntad de los ciudadanos; por ejemplo, los gobiernos de los condados, con cargos electos que pueden conocerse y controlarse personalmente. Se sospecha de los niveles más elevados del gobierno y el gobierno federal se denuncia francamente como ilegítimo, ya que ha usurpado los derechos ciudadanos y ha manipulado la Consti- tución para transgredir el mandato original de los padres fundadores de los Estados Unidos. Para los hombres de la milicia, Thomas Jefferson y Patrick Henry son los héroes, y Alexander Hamilton, el villano obvio. Este rechazo de la legitimidad del gobierno federal se expresa en actitu- des y acciones concretas y vigorosas: rechazo de los impuestos federales, la regulación medioambiental y la planificación del uso de la tierra, sobera- nía de los tribunales de derecho consuetudinario, invalidación del jurado (a saber, toman sus decisiones como jurados no de acuerdo con la ley, sino con sus conciencias), preeminencia de los gobiernos de los condados sobre las autoridades más elevadas y aversión a los organismos que se ocupan de la aplicación obligatoria de las leyes federales. En el límite, el movimiento llama a la desobediencia civil contra el gobierno, respaldán- dola, cuando sea necesario, con los rifles de los ciudadanos que se atienen al «derecho natural». Aunque el gobierno federal y sus departamentos de seguridad del es- tado son los enemigos inmediatos, y la causa inmediata de la movilización de los patriotas, una amenaza más siniestra se cierne en el horizonte: el nuevo orden mundial. Noción popularizada por el teleevangelista Pat Ro- bertson, extrapolándola de la ideología de Bush del fin de la historia tras la guerra fría, implica que el gobierno federal está trabajando activa- mente para lograr un único gobierno mundial en colaboración con Rusia (sobre todo con Gorbachov, considerado la clave estratégica del com- plot). Se supone que este proyecto lo están llevando a cabo los interme- diarios de las organizaciones internacionales: la ONU, la nueva Organiza- ción Mundial de Comercio y el Fondo Monetario Internacional. La situación de las tropas militares estadounidenses bajo el mando de la ONU y la firma del TLC se consideran sólo el primer paso hacia ese nuevo orden, con frecuencia asociado explícitamente con la llegada de la M. Cooper, 1995.
  • 117.
    i i "Inicnni de In I kiiii IIKIVIIIIII'IIIOK undulan (¡nnlni r nuevo orilcn global I 17 lia ilc la Información. Se estima que su impacto real sobre el pueblo es- Imlounidense es su empobrecimiento económico en beneficio de las em- presas y los bancos multinacionales, y la pérdida de sus derechos civiles a mimos de las burocracias políticas globales. Junto con estas fibras libertarias y localistas, el movimiento se hace eco de un tercer tema importante: una reacción violenta contra las fe- ministas (no contra las mujeres, mientras se mantengan en su papel tra- dicional), gays y minorías (como beneficiarías de la protección del go- bierno). Existe una característica claramente predominante en el movimiento patriota: en su gran mayoría, son varones blancos heterose- xuales. El Varón Blanco Airado (que da nombre a una organización pa- triota, Angry White Male) parece haberse reunido en esta mezcla de re- acciones al empobrecimiento económico, la reafirmación de valores y privilegios tradicionales y la violenta reacción cultural. Los tradicionales valores nacionales y familiares (es decir, el patriarcado) se afirman con- tra los que se consideran privilegios excesivos concedidos por la socie- dad a las minorías de género, culturales y étnicas, como ejemplifican la acción afirmativa y la legislación antidiscriminatoria. Aunque estos te- mas conectan con un rechazo mucho más antiguo a la igualdad racial por parte de los grupos partidarios de la supremacía blanca y las coali- ciones antiimigración, resulta nuevo su carácter abarcador, sobre todo por el rechazo explícito de los derechos de las mujeres, y su fijación hostil contra los valores liberales difundidos por los medios de comuni- cación convencionales. Un cuarto tema presente en la mayor parte del movimiento es la afir- mación intolerante de la superioridad de los valores cristianos, por lo que se vincula estrechamente con el movimiento fundamentalista cristiano, analizado en el capítulo 1. La mayoría de los patriotas parecen suscribir la pretensión de que los valores y rituales cristianos, según los interpretan sus defensores, deben hacerse cumplir en todas las instituciones de la so- ciedad; por ejemplo, la oración obligatoria en las escuelas públicas y la re- visión de bibliotecas y medios de comunicación para censurar lo que se considere anticristiano o contrario a los valores familiares. El extendido movimiento en contra del aborto, con asesinos fanáticos en sus márgenes, es el instrumento organizativo más tristemente famoso. El fundamenta- lismo cristiano parece dominar en todo el movimiento. Puede resultar pa- radójica esta conexión entre un movimiento extremadamente libertario, como la milicia, y el fundamentalismo cristiano, que aspira a una teocra- cia y, por lo tanto, buscaría la imposición gubernamental de los valores morales y religiosos sobre sus ciudadanos. Sin embargo, sólo es una con- tradicción en el horizonte histórico, ya que en la década de los noventa los fundamentalistas y libertarios estadounidenses convergen en la des- trucción de un gobierno federal que se percibe apartado de Dios y del Pueblo.
  • 118.
    UN II podeide ln idrnlidiidl Armas y Miblias muy bien podría ser el lema del movimiento M Las armas fueron el punto de cohesión a cuyo alrededor se unió la milicia en 1994 en respuesta al proyecto de ley Brady. Se formó una vasta coalición contra este intento y los siguientes de controlar las armas. En torno al po- deroso grupo de presión de la Asociación Nacional del Rifle, que con- trola muchos votos del Congreso, se fusionaron habitantes de las zonas rurales de todo el país, los dueños de las armerías, los libertarios extre- mistas y los grupos de milicia, para hacer de la defensa del derecho cons- titucional de portar armas la última trinchera de la defensa de unos Esta- dos Unidos como deben ser. Las pistolas equivalen a la libertad. El Salvaje Oeste cabalga de nuevo, tanto en las calles de Los Ángeles como en las granjas de Michigan. Dos de los rasgos más profundos de la cultura estadounidense, su individualismo arisco y su desconfianza hacia los go- biernos despóticos, de los que muchos inmigrantes escapan para llegar a los Estados Unidos, proporcionan el sello de autenticidad a la resistencia contra las amenazas generadas por la informacionalización de la socie- dad, la globalización de la economía y la profesionalización de la política. ¿Quiénes son los patriotas? Un componente del movimiento sin duda lo forman los agricultores empobrecidos del Medio Oeste y el Oeste, apoyados por una amalgama heterogénea de sociedades rurales, desde propietarios de cafés hasta clé- rigos tradicionalistas. Pero sería inexacto considerar que el atractivo del movimiento se limita al mundo rural que la modernización tecnológica ha dejado atrás. No existen datos demográficos sobre la composición del movimiento, pero una simple mirada a la distribución geográfica de la milicia (fig. 2.1) muestra su diversidad territorial y, por lo tanto, social. Los grupos de estados que presentan mayor actividad de la milicia inclu- yen zonas tan diversas como Pensilvania, Michigan, Florida, Texas, Colo- rado y California, siguiendo más o menos los estados más populosos (menos Nueva York, más Colorado), pero eso es precisamente lo impor- tante: la milicia parece estar donde está la gente, en todo el país, no sólo en Montana. Si consideramos que la Coalición Cristiana forma parte del movimiento, los patriotas están presentes en los suburbios de las grandes áreas metropolitanas (la Coalición Cristiana se acerca al millón y medio de miembros). Algunos grupos de milicia, por ejemplo en Nueva Hamps- hire y en California, parecen alistar a sus miembros entre los profesiona- les de la informática. Así pues, no parece que los patriotas tengan una base de clase o sea un movimiento con especificidad territorial. Más bien son, fundamentalmente, un movimiento cultural y político, defensores de Maxwell y Tapia, 1995.
  • 119.
    I ii "luínini id' la Ticn .1. 111c iviiun nlus HOCIIIICN CIIIIIIII <'l IIIICVH oiclrii p.lnluil I l'l liis h adiciones del país contra los valores cosmopolitas, y del autogo- bierno local contra la imposición del orden global. Sin embargo, si la 1 Insí" no es importante en la composición del movimiento, sí lo es la iden- lilnación de sus enemigos. Las élites empresariales; los banqueros; las guindes firmas, ricas, poderosas y arrogantes, y sus abogados; y los cientí- IIIDS e investigadores, son sus enemigos. No como clase, sino como re- presentantes de un orden mundial no estadounidense. En efecto, la ideo- logía no es anticapitalista, sino, más bien, una defensa del capitalismo libre, opuesta a una manifestación corporativa del capitalismo estatal que parece estar próxima al socialismo. Así pues, un análisis de clase de los pal riólas no parece encarar la esencia del movimiento. Se trata de una sublevación política que transciende las líneas de clase y la diferenciación regional. Y se relaciona con la evolución social y política de la sociedad estadounidense en general. 1,11 milicia, los patriotas y la sociedad estadounidense en la década de los noventa El populismo de derechas no es una novedad en los Estados Unidos; de hecho, es un fenómeno que ha desempeñado un papel importante en la política a lo largo de toda la historia del país37 . Además, ha habido ai- radas reacciones populares ante la penuria económica, tanto en los Esta- dos Unidos como en Europa, en formas diferentes, desde el fascismo y el nazismo clásicos, hasta los movimientos xenófobos y ultranacionalistas de los años recientes. Una de las condiciones que puede ayudar a explicar la rápida expansión de la milicia, además de Internet, son los crecientes pro- blemas económicos y de desigualdad social en los Estados Unidos. Los in- gresos medios de los hombres se han deteriorado de forma sustancial en las dos últimas décadas, sobre todo durante los años ochenta. Las familias apenas mantienen los niveles de vida de hace un cuarto de siglo, con- tando con la contribución de dos asalariados en lugar de uno. Por otra parte, el 1% de los hogares de ingresos más altos aumentaron su renta media de 327.000 dólares a cerca de 567.000 dólares entre 1976 y 1993, mientras la renta media familiar permanece en torno a 31.000 dólares. Los altos cargos ejecutivos cobran 190 veces más que el promedio de sus trabajadores38 . Para el trabajador y pequeño empresario estadouniden- ses, la era de la globalización y la informacionalización ha sido de un de- clive relativo, y a veces absoluto, de sus niveles de vida, invirtiendo la ten- dencia histórica de que cada generación mejoraba el bienestar material de las generaciones anteriores. De vez en cuando, la cultura del nuevo 37 Lipset y Raab, 1978. 38 The New York Times, 1995b.
  • 120.
    120 II poderde la identidad rico global añade el insulto al daño. Por ejemplo, Montana, el semillero de la nueva milicia, es también uno de los destinos favoritos de los nuevos multimillonarios, a quienes les gusta adquirir miles de hectáreas de tierra prístina para construir ranchos desde donde dirigen sus redes globales. Los rancheros de la zona odian a estos recién llegados39 . Además, en el momento en que se vuelve indispensable como instru- mento de seguridad financiera y psicológica, la familia tradicional se está desmoronando, a raíz de la guerra de sexos provocada por la resistencia del patriarcado a los derechos de las mujeres (véase capítulo 4). Los desa- fíos culturales al sexismo y a la ortodoxia heterosexual confunden a la masculinidad. Además, una nueva ola de inmigración, esta vez desde América Latina y Asia, y la creciente multietnicidad de los Estados Uni- dos, aunque en continuidad con la historia del país, se añaden al senti- miento de pérdida de control. Los cambios de la agricultura y la manufac- tura a los servicios y de la manipulación de bienes al procesamiento de la información, socavan los conocimientos adquiridos y las subculturas del trabajo. Y el fin de la guerra fría, con el derrumbamiento del comunismo, elimina la fácil identificación del enemigo externo, dificultando las posibi- lidades de unir a los Estados Unidos en una causa común. La era de la in- formación se convierte en la era de la confusión y, de este modo, en la era de la afirmación fundamental de los valores tradicionales y los derechos inflexibles. Las reacciones burocráticas, y algunas veces violentas, de los organismos encargados de aplicar la ley ante varias formas de protesta profundizan la ira, agudizan los sentimientos y parecen justificar el llama- miento a las armas, poniendo a la nueva milicia estadounidense en con- frontación directa con el orden global emergente. LOS LAMAS DEL APOCALIPSIS: AUM SHINRIKYO40 La meta final de las técnicas corporales que Aum trata de desarrollar mediante el yoga y la austeridad es un modo de comunicación sin ningún instrumento. Puede obtenerse la comunicación teniendo resonancia con los cuerpos de los otros sin de- pender de la conciencia de la identidad del yo, sin utilizar el instrumento del len- guaje. Masachi Osawa, Gendai, octubre de 199541 39 Stevens, 1995. 40 El análisis de Aum Shinrikyo presentado aquí reproduce esencialmente la contribu- ción a nuestro estudio conjunto y el artículo de Shujiro Yazawa, que realizó la mayor parte de la investigación sobre Aum, aunque yo también estudié el movimiento en colaboración con él, en Tokio durante 1995. Las fuentes que se han utilizado directamente en el análisis, además de los informes de los periódicos y revistas, son Aoyama, 1991; Asahara, 1994,1995; Vajrayana Sacca, 1994; Drew, 1995; Fujita, 1995; Mainichi Shinbun, 1995; Miyadai, 1995; Ohama, 1995; Osawa, 1995; Nakazawa et al, 1995; Shimazono, 1995; Yazawa, 1996. 41 Traducido por Yazawa, 1996.
  • 121.
    I ii olnien ni ile la lien ii movimiento» Kocilllct* COIIIIII el nuevo urden global 121 lil 20 de marzo de 1995, un ataque con gas sarin en tres vagones drf<£^ icoles del metro de Tokio mató a 12 personas, hirió a más de 5.000 y sa-""'> nidio los cimientos de una sociedad japonesa aparentemente estable. La policía, utilizando la información de un incidente similar que había ocu- i rulo en Matsumoto en junio de 1994, determinó que el ataque había sido realizado por miembros de Aum Shinrikyo, una secta religiosa que se en- contraba en el centro de una red de actividades comerciales, organizacio- nes políticas y unidades paramilitares. Su objetivo último, según su propio tliscurso, era sobrevivir al apocalipsis inminente, salvar a Japón, y en úl- tima instancia al mundo, de la guerra de exterminio que sería el resultado inevitable de los esfuerzos competidores de las empresas japonesas y el capitalismo estadounidense para establecer un nuevo orden mundial y un gobierno mundial unido. Para vencer en Armagedón, Aum prepararía un nuevo tipo de ser humano, arraigado en la espiritualidad y el perfecciona- miento mediante la meditación y el ejercicio. No obstante, para hacer trente a la agresión de los poderes mundiales, Aum tenía que defenderse aceptando el desafío de las nuevas armas de exterminio. El desafío llegó en seguida. El fundador y gurú de la secta, Shoko Asahara, fue detenido y sometido a juicio (probablemente para ser sentenciado a muerte), junto con sus seguidores más destacados. Sin embargo, la secta continúa exis- tiendo legalmente, aunque sus creyentes están esparcidos por todo Japón y apenas tienen presencia pública. El debate sobre los orígenes, el desarrollo y los objetivos de Aum con- tinuó durante casi dos años en los medios de comunicación japoneses. Suscitó preguntas fundamentales sobre el estado real de la sociedad japo- nesa. ¿Cómo podían ser posibles tales actos en una de las sociedades más ricas, menos desiguales, más seguras, más homogéneas desde el punto de vista étnico y más integradas culturalmente del mundo? Al público le re- sultaba especialmente sorprendente el hecho de que la secta tuviera adeptos sobre todo entre los científicos e ingenieros de algunas de las me- jores universidades japonesas. Ocurrido en un periodo de incertidumbre política, tras la crisis del Partido Democrático Liberal, que había gober- nado durante casi cinco décadas, el acto aparentemente sin sentido se consideró un síntoma. ¿Pero un síntoma de qué? Para comprender un he- cho tan complejo, con implicaciones fundamentales pero no obvias, debe- mos reconstruir la evolución de la secta, comenzado con la biografía de su fundador, que desempeñó un papel crucial. Asahara y el desarrollo de Aum Shinrikyo Asahara nació ciego en el seno de una familia pobre de la prefectura de Kumamoto. Asistió a una escuela especial para invidentes y, tras ter- minar sus estudios allí, se preparó para los exámenes de admisión en la
  • 122.
    172 El poderilc l.i hlrnlicl.icl Universidad de Tokio. Su proyecto explícito era convertirse en primer ministro. Tras suspender el examen, abrió una farmacia y se especializó en la venta de medicinas chinas tradicionales. Algunas de ellas eran de uso discutible y su carencia de licencia acabó llevando a su detención. Después de casarse y tener un hijo, en 1977 su interés cambió a la reli- gión. Se educó en el sentó y trató dedesarrollar un^método para el cui- dado de la salud basado en el taoísmo. El cambio decisivo en su vida llegó cuando se unió al culto agón, un grupo religioso que predicaba la perfec- ción mediante la práctica de la austeridad42 . Las prácticas esenciales del grupo eran la meditación, el ejercicio físico, el yoga y el budismo esoté- rico. Asahara combinó las enseñanzas del agón con sus propias ideas so- bre la creación de un nuevo mundo religioso. En 1984, abrió una escuela de yoga en Shibuya (Tokio). Al mismo tiempo, estableció Aum como una empresa (Aum en sánscrito significa «sabiduría profunda»). Desarrolló la reputación de su escuela de yoga haciendo declaraciones en los medios de comunicación sobre sus poderes sobrenaturales, demostrados por su ca- pacidad de flotar en el aire (lo que respaldaba con fotos que le mostraban en acción, una primera aventura en efectos especiales visuales, que seña- laron el futuro hincapié de Aum en la tecnología de los medios de comu- nicación). Afirmando que Dios le había ordenado construir una utopía con unos pocos elegidos, en 1985 el maestro de yoga se convirtió en diri- gente religioso que instruía a sus discípulos de la escuela en la búsqueda de la perfección mediante la dura práctica de la austeridad. En 1986 Asa- hara creó la secta religiosa formal Aum Shinsen, con unos 350 miembros. La mayoría de ellos fueron investidos sacerdotes, a diferencia de otras sectas, donde sólo una pequeña minoría de miembros pueden dedicarse plenamente a la práctica de la austeridad y la meditación. Esta elevada proporción de sacerdocio fue muy importante para el futuro de Aum, ya que tuvo que encontrar medios sustanciales de apoyo financiero para un número tan grande de sacerdotes. Así pues, Aum pidió la donación de to- dos los bienes a sus reclutados (a veces por la fuerza), puso precio a sus enseñanzas y seminarios de formación, e invirtió en diversos negocios. Entre sus actividades comerciales, creó una cadena de tiendas muy renta- ble (Mahaposha) que vendía ordenadores personales a precios reducidos y se especializó en la distribución de software pirata. Con los beneficios de estas tiendas de ordenadores, financió diversos establecimientos de co- mida y bebida, y otros negocios. En 1987, se cambió el nombre a Aum Shinrikyo (palabra japonesa que significa «verdad»). Un año después, como primer paso hacia la utopía, levantó su sede en una aldea de la falda del monte Fuji. Pese a cierta resistencia de las autoridades, acabó obte- niendo el reconocimiento como sociedad religiosa sin ánimo de lucro, 42 La austeridad supone un ejercicio físico extenuante y la privación de alimento y place- res corporales como forma regular de existencia.
  • 123.
    I ¡ otrat;na ilc l.i I U'iin niiiviinn IIIIIN sociales contra el nuevo orden global 12.1 exenta de impuestos. Una vez consolidada la posición de Aum y con el respaldo de unos 10.000 miembros, Asahara decidió entrar en la política para transformar la sociedad. En 1990, junto con otros 25 miembros de Aum, se presentó al Congreso, pero apenas obtuvo votos. Declaró que habían sido robados. Esta decepción política fue un momento decisivo para la ideología de Aum, que abandonó sus intentos de participar en el proceso político. Los esfuerzos futuros se dirigirían hacia el enfrenta- miento con el gobierno. Poco después, los residentes locales se opusieron ferozmente a un intento de construir un nuevo local de la secta en Nami- nomura y, tras algunos incidentes, los miembros de Aum fueron deteni- dos. Los medios de comunicación se hicieron eco de rumores sobre se- cuestros y extorsiones de antiguos miembros de la secta. Cuando un grupo de sus víctimas formó una asociación, su abogado desapareció. La secta entró en un frenesí paranoico, sintiéndose acosada por la policía, el gobierno y los medios de comunicación. En este contexto, Asahara comenzó a destacar la línea de pensa- miento escatológico que había estado presente en los temas de la secta desde su inicio. Refiriéndose a las profecías de Nostradamus, predijo que, en torno al año 2000, estallaría la guerra nuclear entre los Estados Unidos y la Unión Soviética y que, como resultado, el 90 por ciento de los habi- tantes de las ciudades moriría. Por lo tanto, los mejores debían prepararse para sobrevivir al desastre. Para hacerlo, sería necesario el ejercicio físico duro, la austeridad y la meditación, siguiendo sus enseñanzas, a fin de crear una raza de superhombres. Los salones de meditación de Aum se- rían el lugar de nacimiento de una nueva civilización después de Armage- dón. Pero la perfección espiritual no bastaría. El enemigo utilizaría todo tipo de nuevas armas: nucleares, químicas, bacteriológicas. Por lo tanto, Aum, como última oportunidad para la supervivencia de la humanidad, debía estar preparado para esta terrible guerra del fin de los tiempos. En consecuencia, estableció varias empresas para comprar y procesar mate- riales para el desarrollo de armas químicas y biológicas. Importó un heli- cóptero y varios vehículos blindados, comprados en el mercado negro ruso, y comenzó a aprender a diseñar y producir armas de alta tecnología, incluidas armas dirigidas por láser43 . Siguiendo una evolución lógica, en 1994 Aum decidió convertirse en un contraestado. Formó ministerios y oficinas, reflejando la estructura del estado japonés, y nombró a miembros para cada ministerio y organismo, para construir un gobierno en la sombra, con Asahara en la cúspide de este contraestado sagrado. El papel de esta organización sería conducir a la secta y a los pocos supervivientes elegidos en la batalla final contra las fuerzas del mal, a saber, el gobierno mundial unido (dominado por las empresas multinacionales) y sus agentes directos: los imperialistas estado- 43 Drew, 1995.
  • 124.
    124 Hl poderele l.i klcnliihul unidenses y la policía japonesa. En junio de 1994, se efectuó un primer experimento con gas neurotóxico en Matsumoto, matando a varias perso- nas. Las investigaciones policiales sobre la secta y las informaciones en los medios de comunicación provocaron entre sus miembros el senti- miento de que la confrontación era inevitable y que estaban ocurriendo los primeros episodios que anunciaban el cumplimiento de la profecía. El ataque al metro de Tokio, unos cuantos meses después, propulsó a Aum, a Japón, y quizás al mundo, a una nueva era de crítica mesiánica respal- dada potencialmente por armas de exterminio masivo. Creencias y metodología de Aum Las creencias y enseñanzas de Aum Shinrikyo son complejas y han ve- nido cambiando según ha evolucionado la secta. No obstante, es posible reconstruir la esencia de su visión y práctica atendiendo a los documentos e informes disponibles. En la raíz de su objetivo y método, destaca la no- ción de liberación (gedatsu), que es, según uno de sus mejores observa- dores: Disolver la integridad del cuerpo como individuo para superar su localidad. Los creyentes deben transcender la frontera entre el cuerpo y su mundo externo dife- renciando el cuerpo infinitamente. Mediante el ejercicio continuo es posible al- canzar el punto en el que el cuerpo puede sentirse como un fluido, gas u onda de energía. El cuerpo trata de integrarse como individuo porque tenemos conciencia del yo en la parte interior del cuerpo integrado. Es esta parte interior del cuerpo la que organiza el yo. Por lo tanto, desintegrar nuestros cuerpos hasta el grado de que sintamos nuestros cuerpos como fluido o gas significa la desorganización de nosotros mismos. Ésta es la liberación44 . La liberación significa libertad y felicidad verdaderas. Los humanos han perdido sus yoes y se han vuelto impuros. El mundo real es en reali- dad una ilusión y la vida que suele vivir la gente está llena de cargas y do- lores. Darse cuenta de esta dura realidad y aceptarla permite afrontar la muerte en la verdad. Para alcanzar esta verdad, mediante la liberación, Aum desarrolló una tecnología de meditación y austeridad (mahayana) con indicadores precisos del grado de perfección logrado por cada cre- yente en diversos estadios. Sin embargo, para la mayoría de los seguidores, la liberación es in- cierta. Por lo tanto, dos elementos adicionales proporcionan coherencia al método y visión de Aum: por una parte, la fe en los poderes superiores del gurú, que garantiza la salvación una vez que se alcance cierto estadio 44 Osawa, 1995.
  • 125.
    1.a otra carade la Tierra: movimientos sociales contra el nuevo orden global 125 de perfección; por otra parte, un sentimiento de apremio derivado de la crisis catastrófica inminente de la civilización. Según el planteamiento de Aum, existe un vínculo directo entre el fin del mundo y la salvación de los creyentes, que se están preparando para el apocalipsis mediante la adqui- sición de poderes sobrenaturales. En este sentido, Aum es a la vez un culto místico y una empresa práctica que proporciona entrenamiento de supervivencia para el día del juicio final del año 2000, a un precio. Aum y la sociedad japonesa La mayoría de los sacerdotes de Aum eran jóvenes licenciados univer- sitarios. En 1995, el 47,5% de sus sacerdotes tenían entre 20 y 30 años y el 28%, entre 30 y 40; el 40% eran mujeres. De hecho, un objetivo explícito de Aum era «disolver las diferencias de género» cambiando «el mundo in- terno del género». En ausencia de un movimiento feminista potente en Japón (aún ahora), Aum obtuvo cierta influencia entre las mujeres uni- versitarias, frustradas por una sociedad extremadamente patriarcal. Una elevada proporción de los hombres eran licenciados en ciencias naturales de prestigiosas universidades45 . El atractivo de Aum para la juventud con educación superior fue un choque para el público japonés. Según Yazawa46 , este atractivo puede comprenderse mejor por la alienación de la juventud japonesa a raíz de la derrota de los vigorosos movimientos sociales de los años sesenta. En lugar de valores sociales transformadores, se prometió la Sociedad de la Información. Pero esta promesa se quedó corta en cuanto a innovación cultural y satisfacción espiritual. En una sociedad sin con- tendientes sociales movilizados y sin valores de transformación cultural, una nueva generación ha crecido desde los años setenta en la abundancia material pero sin significado espiritual. Fue seducida a la vez por la tecno- logía y el esoterismo. Muchos creyentes de Aum eran personas que no podían encontrar un espacio para sus deseos de cambio y sentido en la es- tructura burocratizada de las escuelas, administraciones y empresas, y se revolvían contra las estructuras familiares tradicionales y autoritarias. No tenían un objetivo en sus vidas y ni siquiera un espacio físico para expre- sarse en la conurbación congestionada de las ciudades japonesas. Lo único que les quedaba eran sus propios cuerpos. Para muchos de estos jó- venes, su deseo era vivir en un mundo diferente utilizando la ciencia y la tecnología para ayudar a sus cuerpos a transcender los límites naturales y sociales. En el concepto de Yawaza, el suyo era un deseo basado en la «informacionalización del cuerpo», lo que significaba Ja transformación del potencial físico humano por la fuerza de las ideaá, las creencias y la Mainichi Shinbun, 1995. Castells etal, 1996; Yazawa, 1996.
  • 126.
    I2ft I I|Kxlci ilc l.i i d nlul.ul meditación. Ahí es donde la metodología de la liberación de Aum encaja particularmente bien. La promesa de la liberación era que la gente podría sentirse a sí misma y a los otros al mismo tiempo. Se restauraba la comu- nidad y la pertenencia, pero como una expresión del yo, mediante la per- fección y el control de los límites propios del cuerpo, no como resultado de la imposición externa, permitiendo la comunicación sin un instru- mento a través de la conexión directa con los otros cuerpos. Esta nueva forma de comunicación sólo se consideraba1 posible entre cuerpos que ya hubieran superado su localidad. El cuerpo de: Asahara, al haber escapado ya de su localidad, sería el catalizador que induciría la liberación de los otros. Como resultado, se formó gradualmente una comunidad virtual de cuerpos comunicantes, con Asahara como su centro único47 . Algunas de estas ideas y prácticas no son inusuales en el yoga y el bu- dismo tibetano. Lo específico de la versión de Aum de la comunicación incorpórea mediante el yoga y la meditación era, por una parte, su ejecu- ción tecnológica (por ejemplo, mediante el uso extensivo de vídeos de en- trenamiento y de aparatos de estimulación electrónica). En algunos casos, se realizaron experimentos mediante cascos electrónicos sujetos a las ca- bezas de los seguidores para permitirles recibir ondas comunicativas di- rectamente del cerebro del gurú (una ayudita tecnológica a la teoría de la comunicación incorpórea). Las ideas de Asahara acabaron desarrollán- dose en la identidad de su yo o «yo verdadero», en el que los yoes de to- dos sus discípulos se disolverían al final. Los canales de comunicación con el mundo exterior se cerraron, ya que se le declaró el enemigo que condu- cía hacia Armagedón. La red interna se estructuró en una organización jerárquica, en la que la comunicación venía del vértice, sin canales hori- zontales de comunicación entre los creyentes. En este planteamiento, el mundo exterior era irreal y la realidad virtual, generada por una combi- nación de tecnología y técnicas de yoga, era el mundo real. El mundo ex- terior irreal iba evolucionando hacia su apocalipsis. El mundo interior, de realidad virtual, comunicado internamente, era la realidad fundamental, que se preparaba para la salvación. En el estadio último del discurso de Aum, tomó forma una predicción social más precisa: el cambio social futuro sería causado por un ciclo de recesión económica, luego una depresión, seguida por la guerra y la muerte. Los desastres naturales y la depresión económica dominarían Ja- pón en los últimos años del milenio. Las razones: la competencia intensifi- cada de otros países asiáticos que utilizarían su ventaja comparativa de bajos costes salariales. Para responder a este reto, Japón desarrollaría su industria militar y trataría de imponer su voluntad sobre Asia, en interés de las compañías japonesas, que pugnaban por crear un gobierno mundial bajo el control de las empresas multinacionales. En respuesta, los Estados Osawa, 1995.
  • 127.
    i i 'Ini muí ilc ln Tic mi: iiinviinictitiM NIKÍIIII .. < 111 n el nuevo orden f.lolnil 127 Unidos entrarían en guerra contra Japón para proteger a sus vasallos asiáticos y para proseguir con su propio proyecto de gobierno mundial. I ii guerra se dilataría y se utilizaría todo tipo de armas de alta tecnología. Sería una guerra de exterminio, que podría conducir al fin de la humani- dad, lin este relato, la visión de Aum reflejaba, de modo distorsionado y esquemático, los temores de la sociedad japonesa de perder su posición ile ventaja competitiva en la economía mundial, de un conflicto potencial con los Estados Unidos y de las consecuencias catastróficas de las nuevas tecnologías incontroladas. Lo que distinguió a Aum fue su respuesta a estas amenazas. Para estar preparados para esa guerra, y para sobreviviría (como en algunas pelícu- las populares de ciencia ficción de los años noventa), se requeriría tanto el renacimiento de la espiritualidad como el dominio de la tecnología de las armas avanzadas, sobre todo de las armas biológicas, químicas y dirigi- das por láser. Como ya se ha mencionado, Aum trató de adquirir estas ar- mas y de contratar científicos capaces de desarrollarlas en los Estados Unidos, Israel y Rusia. Mientras perseguía la perfección espiritual y unía a sus miembros en un cuerpo espiritual colectivo, se equipó para luchar en la guerra de supervivencia y la declaró por adelantado contra quienes apoyaban al gobierno mundial unido que se cernía en el horizonte. Aunque distorsionados, los temores e ideas de Aum eran similares a los que aparecen en muchas de las subculturas de la juventud japonesa. Según Shinji Miyadai, dos percepciones del mundo podían encontrarse entre ellas48 . La primera era la de una «vida diaria interminable» sin obje- tivo, metas ni felicidad. La segunda era la de la comunidad posible sólo en el caso de una guerra nuclear que obligara a los supervivientes a unirse. Al construirse sobre ambas ideas —esto es, buscando la felicidad en el yo interior y preparándose para la comuna posterior a la guerra nuclear—, Aum conectaba directamente con estas expresiones de desesperación cul- tural de la juventud alienada en una sociedad sobreorganizada. En este sentido, Aum no era un acto de locura colectiva, sino la manifestación hi- perbólica ampliada de los rebeldes educados, manipulados por un gurú mesiánico, en la encrucijada entre meditación y electrónica, comercio y espiritualidad, política informacional y guerra de alta tecnología. Aum pa- rece haber sido un esperpento de la Sociedad de la Información japonesa, reflejando su estructura de gobierno, su conducta empresarial y su culto a la tecnología avanzada, mezclado con la espiritualidad tradicional. Quizás la razón por la que Japón se obsesionó con Aum fuera el reconocimiento de cuan verdaderamente japonesa era esa visión del apocalipsis en primer plano. 48 Miyadai, 1995.
  • 128.
    I2K El poderde la identidad EL SENTIDO DE LAS SUBLEVACIONES CONTRA EL NUEVO ORDEN GLOBAL Tras analizar tres movimientos contra la globalización, en sus prácti- cas, sus discursos y sus contextos, me aventuraré a compararlos, tratando de extraer conclusiones para el análisis más amplio del cambio social en la sociedad red. Utilizaré mi adaptación de la tipología de Touraine para interpretar los movimientos en relación con las mismas categorías analíti- cas. Considerados desde esta perspectiva, los tres movimientos analizados coinciden en la identificación de su adversario: el nuevo orden global, de- signado por los zapatistas como la conjunción del imperialismo estadouni- dense y el gobierno corrupto e ilegítimo del PRI en el TLC; encarnado por las instituciones internacionales, sobre todo por la ONU y el gobierno federal estadounidense en el planteamiento de la milicia estadounidense; mientras que para Aum la amenaza global proviene de un gobierno mun- dial unificado que representa los intereses de las empresas multinaciona- les, el imperialismo estadounidense y la policía japonesa. Así pues, los tres movimientos se organizan primordialmente en torno a su oposición a un adversario que es, en general, el mismo: los agentes del nuevo orden global, que buscan establecer un gobierno mundial que someterá la sobe- ranía de todos los países y pueblos. A ese enemigo, cada movimiento opone un principio específico de identidad, que refleja las agudas diferencias entre las tres sociedades de las que proceden: en el caso de los zapatistas, se consideran a sí mismos indios y mexicanos oprimidos que luchan por su dignidad, sus derechos, su tierra y la nación mexicana; en el caso de la milicia, son ciudadanos es- tadounidenses en lucha por su soberanía y sus libertades, según se expre- san en la Constitución estadounidense original y divina. En cuanto a Aum, su principio de identidad es más complejo: es en realidad su identi- dad individual, expresada en sus cuerpos, aunque tales cuerpos se com- parten mutuamente en la mente del gurú: es la combinación de la indivi- dualidad física y la comunidad espiritual reconstruida. En cada uno de los tres casos, se apela a la autenticidad en su principio de identidad, pero con manifestaciones diferentes: una comunidad amplia, de raíces históri- cas (los indios de México, como parte de los mexicanos); comunidades lo- cales/regionales de ciudadanos libres; y una comunidad espiritual de indi- viduos liberados de la dependencia de sus cuerpos. Estas identidades se basan en la especificidad cultural y en el deseo de controlar su destino propio. Y se oponen al adversario global en nombre de un objetivo social más elevado, que en los tres casos conduce a la integración de la identi- dad específica y al bienestar de la sociedad en general: México, Estados Unidos, la humanidad superviviente. No obstante, se busca esta integra- ción mediante la consecución de valores diferentes para cada movi- miento: justicia social y democracia para todos los mexicanos; libertad individual del dominio del gobierno para todos los ciudadanos estadouni-
  • 129.
    olía i-aní ik-la Tierra: inovíiuú'iilim nodulo» cumia il nuevo orden ulobul I2l > densos; y transcendencia de la materialidad mediante la liberación espiri- iii,il en el caso de Aum. Sin embargo, estos objetivos sociales son los ele- mentos más débiles de cada uno de los tres movimientos: son sobre todo movilizaciones basadas en la identidad en reacción a un adversario clara- mente identificado. Son reactivas y defensivas, más que provisoras de un proyecto social, aun cuando proponen visiones de una sociedad alterna- uva. El esquema 2.1 enumera los elementos que definen a cada movi- miento. ESQUEMA 2.1 Movimiento Zapatistas Milicia estadounidense Aum Shinrikyo Estructura de los valores insurgentes contra la gle Identidad Indios mexicanos oprimidos y excluidos Ciudadanos estadounidenses originales Comunidad espiritual de cuerpos entregados de creyentes y creencias de los movimientos balización Adversario Capitalismo global (TLC), gobierno ilegal del PRI Nuevo orden mundial, gobierno federal de los Estados Unidos Gobierno mundial unido, policía japonesa Objetivo Dignidad, democracia, tierra Libertad y soberanía de los ciudadanos, comunidades locales Supervivencia al apocalipsis El vigoroso impacto de cada uno de estos movimientos ha obedecido, en buena medida, a su presencia en los medios de comunicación y a su uso efectivo de la tecnología de la información. Se busca o encuentra la atención de los medios realizando, en la tradición anarquista francesa, re- vivida brevemente en Mayo del 68, Vaction exemplaire: una acción espec- tacular que, por su gran atractivo, incluso mediante el sacrificio, atrae la atención de la gente hacia las demandas del movimiento y pretende en úl- tima instancia despertar a las masas, manipuladas por la propaganda y so- metidas por la represión. Al forzar a un debate sobre sus reivindicaciones e inducir la participación de la gente, los movimientos esperan presionar a los gobiernos e instituciones, e invertir el curso del sometimiento al nuevo orden social. ^ / Por ello, las armas son esenciales en los tres movimientos, no como un fin, sino como un signo de libertad y como un dispositivo para desencade-
  • 130.
    I I II II poiki ele I» iilintulnil nar los acontecimientos y llamar la atención de los medios de comunica- ción. Esta estrategia orientada a los medios fue particularmente explícita y realizada con gran acierto en el caso de los zapatistas, que se esmeraron en minimizar la violencia y utilizaron los medios de comunicación e Inter- net para llegar a todo el mundo. Pero los efectos teatrales de la milicia y la explotación deliberada de las tácticas violentas, o su amenaza, para atraer la atención de los medios de comunicación son también un compo- nente clave de los patriotas estadounidenses. Incluso Aum, que no con- fiaba en los medios, prestó una atención considerable a los debates en te- levisión y las informaciones de la prensa, dedicando a algunos de sus miembros mejores a esas tareas. Y sus ataques con gas parecen haber te- nido el doble propósito de verificar la profecía del día del juicio final y de difundir al mundo sus advertencias a través de los medios^de comunica- ción. Parecería que los nuevos movimientos de protesta lanzan sus men- sajes y proyectan sus demandas en la forma de la política simbólica carac- terística de la sociedad informacional (véase cap. 6). Su capacidad de comunicación mediática es una herramienta de lucha fundamental, mien- tras que sus manifiestos y sus armas son los medios para crear un aconte- cimiento del que merezca la pena informar. Las nuevas tecnologías de comunicación son fundamentales para la existencia de estos movimiertos: son su infraestructura organizativa. Sin Internet, el fax y los medios de comunicación alternativos, los patriotas no serían una red influyente, sino una serie de reacciones desconectadas e impotentes. Sin la capacidad de comunicación que permitió a los zapatis- tas llegar al México urbano y al mundo en tiempo real, habrían conti- nuado siendo una fuerza guerrillera aislada y localizada, como muchas otras que siguen luchando en América Latina. Aum no utilizó demasiado Internet, simplemente porque apenas estaba presente en Japón a comien- zos de los años noventa. Pero sí utilizó mucho el fax, el vídeo y los orde- nadores como herramientas cruciales para construir una red organizativa muy controlada pero descentralizada. Además, trataban de lograr un im- portante avance tecnológico (si bien esotérico) mediante el desarrollo de la comunicación directa de un cerebro a otro, estimulada electrónica- mente. Las células revolucionarias de la era de la información se constru- yen sobre flujos de electrones. Junto a su similitud, los tres movimientos también muestran profun- das diferencias, vinculadas con sus orígenes históricos/culturales y con el grado de desarrollo tecnológico de sus sociedades. Debe establecerse una clara distinción entre el proyecto político articulado de los zapatistas, la confusión y paranoia de la mayoría de los grupos de la milicia y la lógica apocalíptica de Aum. También hay una diferencia esencial entre el com- ponente escatológico de la milicia y Aum, y la ausencia de planteamientos referentes al fin de los tiempos en los zapatistas. Así pues, son los contex- tos sociales, las culturas y los procesos históricos específicos, y los grados
  • 131.
    I a olrncurii de ln I iflin; movimientos sociales contra rl nuevo orden global I M de concienciación política, los que determinan las diferencias sustanciales en los procesos de sublevación, aun cuando se hayan desencadenado por una causa similar. Los tres movimientos han interactuado estrechamente con los proce- sos políticos de las sociedades en las que tuvieron lugar. Los zapatistas lanzaron deliberadamente su ataque el año de las elecciones presidencia- les y desempeñaron un papel fundamental en la profundización de las contradicciones que existían dentro del PRI y obligando a la apertura del sistema político mexicano (véase cap. 5). Aum surgió durante un pe- riodo en el que, en 1993, el hasta entonces estable sistema político japo- nés se estaba desmoronando. Al expresar, de forma espectacular, la alie- nación de una nueva generación de profesionales y científicos, Aum amplificó y aceleró el debate en Japón sobre el modelo social del periodo posterior al hipercrecimiento, en el que se había alcanzado la riqueza material y se habían superado las amenazas de dominación extranjera. Tras décadas de modernización acelerada por oleadas de intervención estatal y movilización nacional, Japón tenía que afrontarse como socie- dad, después de que la gente se diera cuenta de que también podía su- frirse alienación, violencia y terrorismo realizados por japoneses contra japoneses. La milicia estadounidense también se desarrolló en un contexto de amplia alienación política y sentimiento antigubernamental en los Esta- dos Unidos, un sentimiento que a nivel electoral también se expresó en la explotación por parte del Partido Republicano de la «revolución ne- oconservadora» (véase cap. 5). Una parte significativa de este nuevo voto conservador tenía su origen en el fundamentalismo cristiano y otros sectores de opinión relacionados con el movimiento patriota, como se manifestó en la aplastante victoria en el Congreso de los repu- blicanos en 1994 y en el impacto relativo de la campaña de Buchanan durante las primarias presidenciales republicanas de 1996. Existe, en efecto, una cierta conexión entre el deterioro de las condiciones de vida en los Estados Unidos, la erosión de la política de partidos tradi- cional, el desarrollo del libertarismo y populismo de derechas dentro de la política establecida, la reacción violenta de los valores tradiciona- les contra los procesos de cambio social y desintegración familiar, y el surgimiento del movimiento patriota. Estos vínculos son esenciales para comprender la nueva relación entre la sociedad estadounidense y su sistema político49 . Así pues, los nuevos movimientos sociales, en su diversidad, reaccio- nan contra la globalización y contra sus agentes políticos, y actúan sobre el proceso continuo de informacionalización cambiando los códigos cultu- rales de la base de las nuevas instituciones sociales. En este sentido, sur- Balz y Brownstein, 1996.
  • 132.
    132 l'l poderilc ln iiknlklnil gen de las profundidades de las formas sociales históricamente agotadas, pero afectan de forma decisiva, en un modelo complejo, a la sociedad que se está creando. CONCLUSIÓN: EL DESAFÍO A LA GLOBALIZACIÓN Los movimientos sociales que he analizado en este capítulo y en el an- terior son muy diferentes. Y, no obstante, bajo formas distintas que refle- jan su raíces sociales y culturales diversas, todos ellos desafían los proce- sos actuales de globalización en nombre de sus identidades construidas, afirmando representar los intereses de su país o incluso ¡de la humani- dad. J Los movimientos que he estudiado, en este y otros^íapítulos de este volumen, no son los únicos que se oponen a las consecuencias sociales, económicas, culturales y medioambientales de la globalización. En otras regiones del mundo, por ejemplo en Europa, surgen desafíos similares a la reestructuración capitalista y la imposición de nuevas reglas en nombre de la competencia global, basados en el movimiento obrero. Por ejemplo, la huelga francesa de diciembre de 1995 fue una manifestación vigorosa de esa oposición, en el ritual más clásico francés de los sindicatos al frente de los obreros y estudiantes en las calles, representando a la nación. Las encuestas de opinión mostraron un fuerte apoyo a la huelga entre la po- blación general, pese a los inconvenientes diarios causados por la falta de transporte público. No obstante, puesto que se dispone de un excelente análisis sociológico sobre este movimiento50 , cuyas líneas principales de interpretación comparto, refiero al lector a él para diversificar más el cua- dro transcultural del rechazo al proceso de globalización. Este y otros movimientos que salpican todo el mundo están poniendo fin a la fantasía neoliberal de crear una nueva economía global, independiente de la so- ciedad, mediante el empleo de la arquitectura de redes informáticas. El gran plan exclusionista (explícito o implícito) de concentrar la informa- ción, producción y mercados en un segmento valioso de la población, dis- poniendo del resto de formas diferentes, más o menos humanas según el carácter de cada sociedad, está desatando, en expresión de Touraine, un grand refus. Pero la transformación de este rechazo en la reconstrucción de nuevas formas de control social sobre las nuevas formas de capita- lismo, globalizado e informatizado, requiere que el sistema político y las instituciones estatales procesen las demandas de los movimientos socia- les. La capacidad o incapacidad del estado para afrontar las lógicas con- flictivas del capitalismo global, los movimientos sociales basados en la identidad y los movimientos defensivos de los trabajadores y consumido- Touraine et al., 1996.
  • 133.
    I i olíacara de la Ticrm iiiovlitm-nlo'. iliuconltn el nuevo otilen global I.U res, condicionará en buena medida el futuro de la sociedad en el siglo xxi. No obstante, antes de examinar la dinámica del estado en la era de la in- formación, hemos de analizar el desarrollo reciente de otros tipos de mo- vimientos sociales que son proactivos más que reactivos: el ecologismo y el feminismo.
  • 135.
    3 EL REVERDECIMIENTO DELYO: EL MOVIMIENTO ECOLOGISTA El planteamiento verde de la política es una especie de celebración. Reconocemos que cada uno de nosotros es parte de los problemas del mundo y también somos parte de la solución. Los peligros y las posibilidades de curación no están fuera de nosotros. Comenzamos a trabajar allí donde estamos. No hay necesidad de esperar hasta que las condiciones sean ideales. Podemos simplificar nuestras vidas y vivir de un modo que afirme los valores ecológicos y humanos. Llegarán condiciones mejores porque hemos empezado [...] Por lo tanto, puede decirse que la meta fun- damental de la política verde es lograr una revolución interior, «el reverdecimiento del yo». Petra Kelly, Thinking Green' Si hemos de evaluar los movimientos sociales por su productividad histórica, por su repercusión en los valores culturales y las instituciones de la sociedad, el movimiento ecologista del último cuarto de este siglo se ha ganado un lugar destacado en el escenario de la aventura humana. En los años noventa, el 80% de los estadounidenses y más de dos tercios de los europeos se consideran ecologistas; es difícil que un partido o candi- dato sea elegido para un cargo sin «reverdecer» su programa; tanto los gobiernos como las instituciones internacionales multiplican programas, organismos especiales y legislación para proteger la naturaleza, mejorar la calidad de vida y, en definitiva, salvar la Tierra, a largo plazo, y a noso- tros, a corto plazo. Las empresas, incluidas algunas contaminantes triste- mente famosas, han incluido el ecologismo en su agenda de relaciones pú- blicas, así como entre sus nuevos mercados más prometedores. Y a lo largo de todo el globo, la antigua oposición simplista entre desarrollo para los pobres y conservación para los ricos se ha transformado en un debate pluralista sobre el contenido real del desarrollo sostenido para cada país, ciudad y región. Sin duda, la mayoría de nuestros problemas fundamentales sobre el medio ambiente permanecen, ya que su trata- 1 En Essays by Petra Kelly (1947-1992) (Kelly, 1994, págs. 39 y40. En esta cita, se refiere al «reverdecimiento del yo» de Joanna Macy (Macy, 1991).
  • 136.
    136 El poderde l.i ul( iilul.i.l miento requiere una transformación de los modos de producción y con- sumo, así como de nuestra organización social y vidas personales. El ca- lentamiento global se cierne como una amenaza letal, aún arde la selva tropical, las sustancias químicas tóxicas impregnan las cadenas alimenta- rias, un mar de pobreza niega la vida y los gobiernos juegan con la salud de la gente, como ejemplificó la locura de Major con las vacas británicas. No obstante, el hecho de que todos estos temas y muchos otros estén en el debate público y de que haya surgido una conciencia creciente sobre su carácter global interdependiente crea la base para su tratamiento y, qui- zás, para una reorientación de las instituciones y políticas hacia un sis- tema socioeconómico responsable en cuanto al medio ambiente. El movi- miento ecologista multifacético que ha surgido desde finales de los años sesenta en la mayor parte del mundo, con fuertes pilares en los Estados Unidos y la Europa del Norte, se encuentra en buena medida en el origen de la inversión espectacular de los modos en que concebimos la relación entre economía, sociedad y naturaleza, induciendo, así, una nueva cultura2 . Sin embargo, resulta algo arbitrario hablar del movimiento ecologista, puesto que su composición es muy diversa y sus expresiones varían mu- cho de un país a otro y entre las diferentes culturas. Así pues, antes de va- lorar su potencial transformador, trataré de presentar una diferenciación tipológica de diversos componentes del ecologismo y utilizaré ejemplos de cada tipo para bajar de las nubes el argumento. Luego proseguiré con una elaboración más amplia de la relación entre los temas ecologistas y las dimensiones fundamentales sobre las que se efectúa la transformación estructural en nuestra sociedad: las luchas sobre el papel de la ciencia y la tecnología, sobre el control del espacio y el tiempo, y sobre la construc- ción de nuevas identidades. Una vez caracterizados los movimientos eco- logistas en su diversidad social y en su comunidad, analizaré sus medios y modos de actuar en la sociedad en general, explorando el tema de su ins- titucionalización y su relación con el estado. Por último, abordaré la vin- culación creciente entre los movimientos ecologistas y las luchas sociales, tanto local como globalmente, así como la perspectiva cada vez más po- pular de la justicia medioambiental. LA CACOFONÍA CREATIVA DEL ECOLOGISMO: UNA TIPOLOGÍA La acción colectiva, la política y los discursos que se agrupan bajo el nombre de ecologismo son tan diversos que ponen en entredicho la idea de un movimiento. Y, no obstante, yo sostengo que es precisamente esta 2 Para un visión general sobre el movimiento ecologista, véanse, entre otras fuentes, Ho- Uiman, 1990; Gottlieb, 1993; Kaminiecki, 1993; Shabecoff, 1993; Dalton, 1994; Alley et al., 1995; Diani, 1995; Brolle, 1996; Wapner, 1996.
  • 137.
    I I i'fvmli'i'iiiiiriiliiili-l yo i-I IIIIIX Mínenlo ii< >loj',is(;i I (7 diversidad de teorías y prácticas la que caracteriza al ecologismo como una nueva forma de movimiento descentralizado, multiforme, articulado en red y omnipresente. Es más, como trataré de mostrar, hay algunos te- mas fundamentales que caracterizan la mayoría, si no toda, la acción co- lectiva relacionada con el medio ambiente. Sin embargo, en aras de la cla- ridad, parece útil proceder al análisis de este movimiento siguiendo una distinción y una tipología. La distinción se establece entre el medioambientalismo y la ecología. Por medioambientalismo hago referencia a todas las formas de conducta colectiva que, en su discurso y práctica, aspiran a corregir las formas de relación destructivas entre la acción humana y su entorno natural, en oposición a la lógica estructural e institucional dominantes. Por ecología, en mi planteamiento sociológico, entiendo una serie de creencias, teorías y proyectos que consideran a la humanidad un componente de un ecosis- tema más amplio y desean mantener el equilibrio del sistema en una pers- pectiva dinámica y evolucionista. En mi opinión, el medioambientalismo es la ecología puesta en práctica, y la ecología es el medioambientalis- mo en teoría, pero en las páginas siguientes restringiré el uso del término ecología a las manifestaciones explícitas y conscientes de esta perspectiva holística y evolucionista. ESQUEMA 3.1 Tipología de los movimientos ecologistas Tipo (ejemplo) Conservación de la naturaleza (Grupo de los Diez, EE. UU.) Defensa del espacio propio («En mi patio trasero, no») Contracultura, ecología profunda (Earth First!, ecofeminismo) Salvar al planeta (Greenpeace) Política verde (Die Gruñen) Identidad Amantes de la naturaleza Comunidad local El yo verde Ecoguerreros internacionalistas Ciudadanos concienciados Adversario Desarrollo incontrolado Contaminadores Industrialismo, tecnocracia, patriarcado Desarrollo global incontrolado Establishment político / Objetivo Naturaleza original Calidad de vida/salud Ecotopía Sostenibilidad Contrapoder
  • 138.
    138 El poderde la identidad En cuanto a la tipología, recurriré de nuevo a la útil caracterización que hace Alain Touraine de los movimientos sociales, presentada en el capítulo 2, para diferenciar cinco tipos principales de movimientos ecolo- gistas según se han manifestado en las prácticas observadas en las dos últi- mas décadas en el ámbito internacional. Sugiero que esta tipología tiene un valor general, aunque la mayoría de los ejemplos se han extraído de las experiencias estadounidense y alemana porque cuentan con los movi- mientos ecologistas más desarrollados del mundo y porque tuve un ac- ceso más fácil a esa información. Acéptese el descargo habitual por el re- duccionismo inevitable de esta, y todas, las tipologías, que espero compensar con los ejemplos que introducirán la carne y hueso de los mo- vimientos reales en esta caracterización algo abstracta. Para emprender nuestro breve viaje por el calidoscopio del ecolo- gismo valiéndonos de la tipología propuesta, se necesita un mapa. El es- quema 3.1 lo proporciona, pero requiere cierta explicación. Cada tipo se define, desde el punto de vista analítico, por una combinación específica de tres características que definen a un movimiento social: identidad, ad- versario y objetivo. Para cada tipo, identifico el contenido preciso de las tres características resultado de la observación, utilizando varias fuentes a las que hago referencia. De acuerdo con ellas, otorgo un nombre a cada tipo y proporciono ejemplos de los movimientos que encajan mejor en cada uno. Como es natural, en cualquier movimiento u organización de- terminados, puede haber una mezcla de características, pero, para fines analíticos, elijo aquellos movimientos que parecer aproximarse más al tipo ideal en su práctica y discurso reales. Tras observar el esquema 3.1, les invito a una breve descripción de cada uno de los ejemplos que ilus- tran los cinco tipos para que las distintas voces del movimiento puedan oírse a través de su cacofonía. La conservación de la naturaleza, bajo sus diferentes formas, fue el origen del movimiento ecologista en los Estados Unidos, según lo estable- cieron organizaciones tales como el Sierra Club (fundado en San Fran- cisco en 1891 por John Muir), Audubon Society o la Wilderness Society3 . A comienzos de los años ochenta, diversas organizaciones ecologistas an- tiguas y nuevas se unieron en una alianza conocida como el Grupo de los Diez, que incluyó, además de las organizaciones ya citadas, a National Parks and Conservation Association, National Wildlife Federation, Natu- ral Resources Defense Council, la Izaak Walton League, Defenders of Wildlife, Environmental Defense Fund y Environmental Policy Institute. Pese a las diferencias de planteamiento y su ámbito específico de actua- ción, lo que une a estas organizaciones y muchas otras creadas según lí- neas similares, es su defensa pragmática de las causas conservacionistas en todo el sistema institucional. En palabras de Michael McCloskey, pre- 3 Alien, 1987; Scarce, 1990; Gottlieb, 1993; Shabecoff, 1993.
  • 139.
    lil reverdecimit'iiln tlclyo: rl mi>viiiiii-iii>i ecologista I.W sidente del Sierra Club, su planteamiento puede caracterizarse como «sa- lir del paso»: «Provenimos de una tradición montañera en la que primero se decide que se va a escalar la montaña. Se tiene una noción de la ruta general, pero los asideros para manos y pies se encuentran según se sube y hay que adaptarse y cambiar constantemente»4 . La cima que hay que escalar es la conservación de la vida natural, en sus formas diferentes, dentro de unos parámetros razonables de lo que puede lograrse en el sis- tema económico e institucional presente. Sus adversarios son el desarro- llo incontrolado y las burocracias irresponsables, como la Oficina Federal de Reclamación, que no se preocupa de proteger nuestra reserva natural. Se definen como amantes de la naturaleza y apelan a ese sentimiento en todos nosotros, prescindiendo de Tas diferencias sociales. Operan me- diante las instituciones y utilizan a menudo la influencia política con gran destreza y determinación. Se basan en un amplio apoyo popular, así como en las donaciones de las élites acomodadas de buena voluntad y de las empresas. Algunas organizaciones, como el Sierra Club, son muy grandes (en torno a 600.000 miembros) y están estructuradas en organizaciones locales, cuyas acciones e ideologías varían considerablemente y no siem- pre encajan con la imagen del «ecologismo establecido». La mayor parte del resto, como el Environmental Defense Fund, se centran en las campa- ñas políticas, el análisis y la difusión de información. Suelen practicar una política de coalición, pero se cuidan de no alejarse de su objetivo medio- ambiental, desconfiando de las ideologías radicales y la acción espectacu- lar que está en desacuerdo con la mayoría de la opinión pública. Sin em- bargo, sería un error oponer los conservacionistas establecidos a los ecologistas verdaderos y radicales. Por ejemplo, uno de los dirigentes his- tóricos del Sierra Club, David Brower, se convirtió en fuente de inspira- ción para los ecologistas radicales. De forma recíproca, Dave Foreman, de Earth First! formó parte, en 1996, de la junta directiva del Sierra Club. Existe una gran osmosis en las relaciones entre los conservacionistas y los ecologistas radicales, ya que las ideologías tienden a ocupar un segundo lugar en su preocupación compartida por la destrucción incesante y multi- forme de la naturaleza, pese a los agudos debates y conflictos dentro de un movimiento tan grande y diversificado. La movilización de las comunidades locales en defensa de su espacio, contra la intrusión de los usos indeseables, constituye la forma de acción ecologista de desarrollo más rápido y la que quizás enlaza de forma más directa las preocupaciones inmediatas de la gente con los temas más am- plios del deterioro medioambiental5 . Con frecuencia etiquetados, con cierta malicia, como el movimiento «en mi patio trasero, no», se desarro- lló en los Estados Unidos en primer lugar bajo la forma del movimiento 4 Citado en Scarce, 1990, pág. 15. 5 Gottlieb, 1993; Szasz, 1994; Epstein, 1995.
  • 140.
    140 El poderde la identidad contra los tóxicos, originado en 1978 durante el vergonzoso incidente de Love Canal sobre vertidos industriales tóxicos en Niágara Falls (Nueva York). Lois Gibbs, el ama de casa que se hizo famosa debido a su lucha por defender la salud de su hijo, así como el valor de su hogar, acabó es- tableciendo, en 1981, la Citizen's Clearinghouse for Hazardous Waste. Según los recuentos de la Clearinghouse, en 1984 había 600 grupos loca- les que luchaban contra los vertidos tóxicos en los Estados Unidos, que aumentaron a 4.687 en 1988. Con el tiempo, las comunidades también se movilizaron contra la construcción de autopistas, el desarrollo excesivo y la localización de instalaciones peligrosas en su proximidad. Aunque el movimiento es local, no es necesariamente localista, ya que suele afirmar el derecho de los residentes a la calidad de vida en oposición a los intere- ses de las empresas o burocracias. Sin duda, la vida en sociedad se com- pone de equilibrios entre gente como residentes, trabajadores, consumi- dores, personas que se desplazan al trabajo y otros viajeros. Pero lo que estos movimientos cuestionan es, por una parte, el sesgo de la localización de materiales o actividades indeseables en comunidades de renta baja y zonas habitadas por minorías; y por la otra, la falta de transparencia y participación en la toma de decisiones sobre el uso del espacio. Así pues, los ciudadanos demandan la extensión de la democracia local, una planifi- cación urbana responsable y equidad para compartir las cargas del des- arrollo urbano/industrial, a la vez que se impide la exposición a vertidos o instalaciones peligrosos. Como concluye Epstein en su análisis del movi- miento: La demanda del movimiento sobre tóxicos/justicia medioambiental de un estado que tenga mayor poder para regular las empresas, un estado que sea responsable ante el público más que ante las empresas, parece muy apropiada y probable- mente constituya una base para la exigencia más amplia de que se reafirme y ex- tienda el poder estatal sobre las empresas y que se ejerza en nombre del bienestar público y sobre todo del bienestar de quienes son más vulnerables6 . En otros casos, en los suburbios de clase media, las movilizaciones de sus residentes se centraron más en conservar su status quo contra el des- arrollo indeseado. No obstante, prescindiendo de su contenido de clase, todas las formas de protesta aspiran a establecer un control sobre el en- torno en nombre de la comunidad local y, en este sentido, las movilizacio- nes defensivas locales son, sin duda, un importante componente del movi- miento ecologista más amplio. El ecologismo también ha alimentado algunas de las contraculturas que brotaron de los movimientos de los años sesenta y setenta. Por con- tracultura entiendo el intento deliberado de vivir de acuerdo con normas 6 Epstein, 1995, pág. 20.
  • 141.
    T.l reverdecí míenlodel <>. el moviimciilo ecologista 141 diferentes y hasta cierto punto contradictorias de las aplicadas institucio- nalmente por la sociedad y de oponerse a esas instituciones basándose en principios y creencias alternativos. Algunas de las corrientes contracultu- rales más fuertes de nuestras sociedades se expresan bajo la forma de guiarse sólo por las leyes de la naturaleza, afirmando, de este modo, la prioridad del respeto a la naturaleza sobre cualquier otra institución hu- mana. Por eso creo que tiene sentido incluir bajo la noción de ecologismo contracultural expresiones tan aparentemente distintas como los ecologis- tas radicales (tales como Earth First! o Sea Shepherds), el movimiento para la liberación de los animales y el ecofeminismo7 . De hecho, a pesar de su diversidad y falta de coordinación^ la mayoría de estos movimientos comparten las ideas de los pensadores de la «ecología profunda», repre- sentados, por ejemplo, por el escritor noruego Arne Naess. Según éste y George Sessions, los principios básicos de la «ecología profunda» son: 1) El bienestar y florecimiento de la vida humana y no humana en la Tierra tienen valor en sí mismos. Estos valores son independientes de la utilidad del mundo no humano para los objetivos humanos. 2) La riqueza y diversidad de las formas de vida contribuyen a la percepción de estos valores y son también valores en sí mismos. 3) Los humanos no tienen de- recho a reducir esta riqueza y diversidad, salvo para satisfacer necesida- des vitales. 4) El florecimiento de la vida y cultura humanas es compatible con un descenso sustancial de la población humana. El florecimiento de la vida no humana requiere ese descenso. 5) La interferencia humana ac- tual en el mundo no humano es excesiva y la situación empeora por mo- mentos. 6) Por lo tanto, deben cambiarse las políticas. Estas políticas afectan a las estructuras económicas, tecnológicas e ideológicas básicas. El estado de cosas resultante será profundamente diferente del presente. 7) El cambio ideológico consiste fundamentalmente en apreciar la calidad de vida (vivir en situaciones de valor inherente) más que adherirse a un nivel de vida cada vez más alto. Habrá una profunda conciencia de la di- ferencia entre grande y excelente. 8) Quienes suscriben los puntos prece- dentes tienen la obligación directa o indirecta de tratar de llevar a cabo los cambios necesarios8 . Para responder a esa obligación, a finales de la década de los setenta, varios ecologistas radicales, encabezados por David Foreman, un ex ma- rine convertido en ecoguerrero, crearon en Nuevo México y Arizona Earth First!, un movimiento intransigente que utilizó la desobediencia ci- vil e incluso el «ecosabotaje» contra la construcción de presas, la tala y 7 Para consultar fuentes, véase Adler, 1979; Spretnak, 1982; Manes, 1990; Scarce, 1990; Davis, 1991; Dobson, 1991; Epstein, 1991; Moog, 1995. f 8 Naess y Sessions, 1984, reproducido en Davis, 1991, págs. lt>7 y 158.
  • 142.
    112 II podade la identidad otras agresiones a la naturaleza, con lo que se enfrentó a procesos y cár- cel. El movimiento, y otras organizaciones diversas que siguieron su ejemplo, estaba completamente descentralizado, formado por «tribus» autónomas que se reunían de forma periódica, según los ritos y fechas de los indios norteamericanos, para decidir sus acciones. La ecología pro- funda era la base ideológica del movimiento y figura de forma promi- nente en The Earth First! Reader, publicado con un prefacio de David Fo- reman9 . Pero igualmente influyente, si no más, fue la novela de Abbey The Monkey Wrench Gang, acerca de un grupo contracultural de ecogue- rrillas que se convirtieron en modelos para muchos ecologistas radicales. En efecto, monkeywrenching (utilizar la llave inglesa) se convirtió en un sinónimo de ecosabotaje. En la década de los noventa, el movimiento para la liberación de los animales, centrado en la oposición abierta a la experimentación con animales, parece ser el ala más militante del funda- mentalismo ecológico. El ecofeminismo se distancia claramente de las tácticas «machistas» de algunos de estos movimientos, pero comparte el principio del respeto absoluto por la naturaleza como la base para la liberación tanto del pa- triarcado como del industrialismo. Consideran a las mujeres víctimas de la misma violencia patriarcal que se inflige a la naturaleza. Y, por lo tanto, el restablecimiento de los derechos naturales es inseparable de la liberación de la mujer. En palabras de Judith Plant: A lo largo de la historia, la mujer no ha tenido un poder real en el mundo exte- rior, ni lugar en la toma de decisiones. La vida intelectual, el trabajo de la mente, no ha sido tradicionalmente accesible a las mujeres. Las mujeres han solido ser pasivas, al igual que la naturaleza. Sin embargo, hoy la ecología habla en favor de la tierra, en favor del «otro», en las relaciones humanas/medioambientales. Y el ecofeminismo, al hablar en favor de los otros originales, pretende comprender las raíces interconectadas de toda dominación y los modos de resistencia al cambio10 . A algunas ecofeministas también las inspiró la polémica reconstruc- ción histórica de Carolyn Merchant, que se remonta a las sociedades prehistóricas y naturales, libres de la dominación masculina, de una edad de oro matriarcal, donde había armonía entre naturaleza y cultura, y donde tanto hombres como mujeres adoraban a la naturaleza en forma de diosa ". También ha habido, sobre todo durante la década de los setenta, una interesante conexión entre el ecologismo, el feminismo espiritual y el neopaganismo, algunas veces expresada en la militancia ecofeminista y la acción directa no violenta de brujas pertenecientes a la Congregación de Brujería '2 . ' Davis, 1991. 10 Plant, 1991, pág. 101. 11 Merchant, 1980; véase también Spretnak, 1982; Moog, 1995. 12 Adler, 1979; Epstein, 1991.
  • 143.
    II rcverdecmiiriilo ilclV" rl moviinicnlo ecologista 14.1 Así pues, mediante formas variadas, de las tácticas ecoguerrilleras al ispiritualismo, pasando por la ecología profunda y el ecofeminismo, los ecologistas radicales vinculan la acción medioambiental y la revolución cultural, ampliando el alcance de un movimiento ecologista abarcador, en su construcción de la ecotopía. Greenpeace es la organización ecologista mayor del mundo y proba- blemente la que más ha popularizado los temas medioambientales globa- les mediante sus acciones no violentas orientadas a los medios de comuni- cación 13 . Fundada en Vancouver en 1971, en torno a la protesta antinuclear frente a la costa de Alaska, estableció después su sede en Amsterdam, convirtiéndose en una organización transnacional interco- nectada que, en 1994, contaba cóft~<rrñillones de miembros a lo largo de todo el mundo y unos ingresos anuales de más de 100 millones de dólares. Su perfil tan característico como movimiento ecologista se deriva de tres componentes principales. En primer lugar, un sentimiento de urgencia en cuanto a la desaparición inminente de la vida en el planeta, inspirado por una leyenda india norteamericana: «Cuando la tierra esté enferma y los animales hayan desaparecido, llegará una tribu de pueblos de todos los credos, colores y culturas que crean en los hechos, no en las palabras, y que devolverán a la Tierra su antigua belleza. La tribu se llamará los "Guerreros del Arco iris"» 14 . En segundo lugar, una actitud de inspira- ción cuáquera de atestiguar, como principio de acción y como estrategia de comunicación. En tercer lugar, una actitud pragmática y comercial, en buena medida influida por el dirigente histórico y presidente de la junta directiva de Greenpeace, David McTaggart, de «hacer las cosas». No hay tiempo para discusiones filosóficas: los temas clave deben identificarse utilizando el conocimiento y las técnicas de investigación en todo el pla- neta; han de organizarse campañas sobre objetivos específicos; seguirán acciones espectaculares destinadas a atraer la atención de los medios de comunicación, con lo que un tema determinado se expondrá a la mirada pública y se obligará a las empresas, gobiernos e instituciones internacio- nales a tomar una determinación o afrontar más publicidad perjudicial. Greenpeace es a la vez una organización muy centralizada y una red glo- bal descentralizada. Está controlada por un consejo de representantes de los países, un pequeño comité ejecutivo y unos fideicomisarios regionales para Norteamérica, América Latina, Europa y el Pacífico. Sus recursos se organizan en campañas, cada una de ellas dividida por temas. A media- dos de los años noventa, las principales campañas eran: sustancias tóxicas, energía y atmósfera, temas nucleares y ecología marina/terrestre. Sus se- des, situadas en 30 países del mundo, sirven para coordinar las campañas 13 Hunter, 1979; Eyerman y Jamison, 1989; DeMont, 1991; Horton, 1991; Ostertag, 1991; Melchett, 1995; Wapner, 1995,1996. / 14 Greenpeace Environmental Fund, citado en Eyerman y Jamison, 1989, pág. 110.
  • 144.
    1-14 El poderde lu identidad globales y recaudar fondos y apoyo nacional/local, pero la mayor parte de la acción aspira a obtener una repercusión global, ya que los principales problemas medioambientales son globales. Greenpeace considera su ad- versario a un modelo de desarrollo caracterizado por la falta de preocu- pación acerca de sus consecuencias sobre la vida del planeta. Por consi- guiente, se moviliza para aplicar el principio de la sostenibilidad medioambiental como principio general, al que todas las demás políticas y actividades deben subordinarse. Debido a la importancia de su misión, los «guerreros del arco iris» no están inclinados a participar en debates con los otros grupos ecologistas y no se recrean en la contracultura, pese a las variaciones personales en las actitudes de sus numerosos miembros. Son internacionalistas resueltos y consideran al estado-nación el principal obstáculo para lograr el control sobre el desarrollo actual, desenfrenado y destructivo. Están en guerra contra un modelo de desarrollo ecosuicida y pretenden obtener resultados inmediatos de cada frente de acción, desde la conversión del sector frigorífico alemán a una tecnología de «congelación verde», ayudando así a proteger la capa de ozono, hasta influir en la restric- ción de la pesca de ballenas y la creación de un refugio para ellas en la An- tártida. Los «guerreros del arco iris» se encuentran en la encrucijada de la ciencia para la vida, la tecnología de la comunicación de redes globales y la solidaridad intergeneracional. A primera vista, la política verde no parece ser un tipo de movimiento por sí mismo, sino más bien una estrategia específica, a saber, entrar en el ámbito de la política electoral en nombre del ecologismo. No obstante, un examen más atento del ejemplo más importante de la política verde, Die Gruñen, muestra claramente que, en su origen, no era la política habitual15 . El Partido Verde alemán, constituido el 13 de enero de 1980 a partir de una coalición de movimientos populares, no es un movimiento ecologista estrictamente hablando, aun cuando puede que haya sido más efectivo para el avance de la causa medioambiental que ningún otro movimiento europeo en su país. La principal fuerza subyacente en su formación fue- ron las «iniciativas ciudadanas» de finales de los años setenta, organizadas sobre todo en torno a las movilizaciones pacifistas y antinucleares. Reu- nió, excepcionalmente, a los veteranos de los movimientos de los años se- senta con las feministas, que se descubrieron como tales al reflexionar precisamente sobre el sexismo de los hombres revolucionarios de la dé- cada de los sesenta, y con la juventud y las clases medias cultas preocupa- das por la paz, la energía nuclear, el entorno (la muerte de los bosques, Waldsterben), el estado del mundo, la libertad individual y la democracia de base. 15 Véanse, entre un océano de fuentes sobre el Partido Verde alemán, Langguth, 1984; Hulsberg, 1988; Wiesenthal, 1993; Scharf, 1994; y, sobre todo, Poguntke, 1993 y Frankland, 1995.
  • 145.
    II rcvcrdccimtcniu delyo: el tiiovmiiciiio ccologisiii 145 La creación y el rápido éxito de Los Verdes (entraron en el parlamen- to nacional en 1983) tuvieron su origen en circunstancias muy excepcio- nales. En primer lugar, no había expresiones políticas reales para la pro- testa social en Alemania más allá de los tres partidos principales que se habían alternado en el poder y que incluso formaron una coalición en los años sesenta: en 1976, más del 99% de los votos fueron a los tres partidos (democristianos, socialdemócratas y liberales). Por lo tanto, existía un voto desafecto potencial, sobre todo entre la juventud, que esperaba la posibilidad de expresarse. Los escándalos sobre la financiación política (el caso Flick) habían puesto en entredicho la reputación de todos los partidos políticos y sugerido que se sostenían con las aportaciones de la industria. Además, lo que los politólogos denominan la «estructura de oportunidades políticas» apoyaba la estrategia de formar un partido y mantener la unidad entre sus constituyentes: entre otros elementos, el movimiento podía obtener cuantiosos fondos gubernamentales si llegaba, con arreglo a la ley electoral alemana, al 5% de los votos, porcentaje ne- cesario para entrar en el parlamento. Esto contribuyó a unir a Los Ver- des, antes fraccionados. La mayor parte de los votantes verdes eran jóve- nes, estudiantes, profesores o miembros de otras categorías alejadas de la producción, ya fueran desempleados (pero subsidiados por el gobierno) o tra- bajadores gubernamentales. Su agenda incluía ecología, paz, defensa de las libertades, protección de las minorías y los inmigrantes, feminismo y de- mocracia participativa. Dos tercios de los dirigentes del Partido Verde eran participantes activos en varios movimientos sociales en los años ochenta. En efecto, Die Gruñen se presentaba, en palabras de Petra Kelly, como un «partido antipartido» que pretendía «una política basada en una nueva concepción del poder, un "contrapoder" que es natural y común a todos, que ha de ser compartido por todos y utilizado por todos para todos»16 . En consecuencia, los representantes elegidos para los cargos rotaban y to- maban la mayoría de las decisiones en asamblea, siguiendo la tradición anarquista que inspiró a Los Verdes más de lo que admitirían. La prueba de fuego de la política pragmática deshizo estos experimentos unos cuan- tos años después, sobre todo tras el fracaso electoral de 1990, motivado fundamentalmente por su total incomprensión de la importancia de la unificación alemana, en una actitud coherente con su oposición al nacio- nalismo. El conflicto latente entre los Realos (dirigentes pragmáticos que trataban de potenciar la agenda verde mediante las instituciones) y los Fundís (leales a los principios básicos de la democracia de base y el ecolo- gismo) estalló abiertamente en 1991, dejando el control del partido a una alianza de centristas y pragmáticos. Reorientado y reorganizado, el Par- tido Verde alemán recobró su fortaleza en la década de los noventa, vol- vió al parlamento y obtuvo posiciones fuertes en los gobiernos locales y 16 Kelly, 1994, pág. 37.
  • 146.
    Mi. I Ipotlcí (Ir la HK nhilail regionales, sobre todo en Berlín, Frankfurt, Bremen y Hamburgo, algu- nas veces gobernando en alianza con los socialdemócratas. No obstante, no era el mismo partido: se había convertido en un partido político. Ade- más, este partido ya no poseía el monopolio de la agenda medioambiental puesto que los socialdemócratas, e incluso los liberales, se abrieron mu- cho más a las nuevas ideas planteadas por los movimientos sociales. Y lo que es más, la Alemania de la década de los noventa era un país muy di- ferente. No había peligro de guerra, sino de declive económico. El desem- pleo generalizado entre los jóvenes y la reducción del estado de bienestar se convirtieron en temas más acuciantes para los votantes verdes «cano- sos» que la revolución cultural. El asesinato de Petra Kelly en 1992, pro- bablemente a manos de su compañero, que luego se suicidó, tocó una fi- bra sensible, sugiriendo los límites de la huida de la sociedad en la vida cotidiana, mientras se dejan intactas estructuras fundamentales económi- cas, políticas y psicológicas. Sin embargo, mediante la política verde, el Partido Verde se consolidó como la izquierda coherente de la Alemania de fin de siglo y la generación rebelde de los años setenta siguió conser- vando la mayoría de sus valores mientras envejecía y los transmitió a sus hijos a través de su modo de vida. Así pues, del experimento de la política verde surgió una Alemania muy diferente, tanto desde el punto de vista cultural como desde el político. Pero la imposibilidad de integrar partido y movimiento sin conducir al totalitarismo (leninismo) o al reformismo a ex- pensas del movimiento (socialdemocracia) recibió otra confirmación histó- rica como ley de hierro del cambio social. EL SENTIDO DEL REVERDECIMIENTO: TEMAS SOCIALES Y DESAFÍO ECOLOGISTA La conservación de la naturaleza, la búsqueda de la calidad medio- ambiental y un planteamiento ecológico de la vida son ideas decimonó- nicas que, en su expresión más definida, permanecieron durante largo tiempo confinadas a las élites ilustradas de los países dominantes 17 . Con frecuencia fueron el dominio exclusivo de una alta burguesía abru- mada por la industrialización, como en el caso de los orígenes de la Audubon Society en los Estados Unidos. Otras veces, un componente comunal y utópico fue la cuna de los primeros ecologistas políticos, como en el caso de Kropotkin, que enlazó para siempre el anarquismo y la ecología, en una tradición bien representada en nuestro tiempo por Murray Bookchin. Pero en todos los casos, y durante más de un siglo, se mantuvo como una tendencia intelectual restringida, que aspiraba 17 Bramwell, 1989,1994.
  • 147.
    II rcvcrdccimiriiio ilrly > I winirnln ecologista 147 fundamentalmente a influir en la conciencia de las personas influyentes i|iic podían fomentar la legislación conservacionista o donar sus bienes ¡i la buena causa de la naturaleza. Aun cuando se forjaron alianzas so- ciales (por ejemplo, entre Robert Marshall y Catherine Bauer en los Estados Unidos durante los años treinta), sus rebultados políticos se presentaron de un modo en que las preocupaciones económicas y de bienestar social eran lo primordial18 . Aunque hubo pioneros influyen- tes y valerosos, como Alice Hamilton y Rachel Carson en los Estados Unidos, hasta finales de los años sesenta no surgió un movimiento de masas, tanto en las bases como en la opinión pública, en los Estados Unidos, Alemania y Europa Occidental, que luego se difundió rápida- mente al resto del mundo. ¿Por qué fue así? ¿Por qué las ideas ecolo- gistas prendieron de repente en las secas praderas del sin sentido pla- netario? Propongo la hipótesis de que existe una correspondencia directa entre los temas planteados por el movimiento ecologista y las dimensiones fundamentales de la nueva estructura social, la sociedad red, que surgió a partir de los años setenta: la ciencia y la tecnología como medios y objetivos básicos de la economía y la sociedad; la trans- formación del espacio y del tiempo; y la dominación de la identidad cultural por los flujos globales y abstractos de riqueza, poder e infor- mación, que construyen la virtualidad real mediante las redes de me- dios de comunicación. Sin duda, en el universo caótico del ecologismo podemos encontrar todos estos temas en general y ninguno de ellos en particular. Sin embargo, sostengo que hay implícito un discurso ecoló- gico coherente que transciende diversas orientaciones políticas y oríge- nes sociales dentro del movimiento y que proporciona el marco desde el cual se destacan temas diferentes en momentos distintos y para fines diversos 19 . Naturalmente, existen conflictos pronunciados y fuertes de- sacuerdos entre los componentes del movimiento ecologista. No obs- tante, estos desacuerdos suelen ser más sobre tácticas, prioridades y lenguaje que sobre la ofensiva básica de vincular la defensa de entor- nos específicos a nuevos valores humanos. A riesgo de simplificar de- masiado, sintetizaré las principales líneas del discurso presente en el movimiento ecologista en cuatro temas principales. En primer lugar, una conexión ambigua y profunda con la ciencia y la tecnología. Bramwell escribe: «El desarrollo de las ideas verdes fue la re- vuelta de la ciencia contra la ciencia que se produjo a finales del siglo xix en Europa y Norteamérica»20 . Esta revuelta se intensificó y difundió en 18 Gottlieb, 1993. 19 Para los datos sobre la presencia e importancia de estos temas en los movimientos ecologistas de varios países, véanse Dickens, 1990; Dobson, 1990; Scarce, 1990; Epstein, 1991; Zisk, 1992; Coleman y Coleman, 1993; Gottlieb, 1993; Shabecoff, 19^3; Bramwell, 1994; Porrit, 1994; Riechmann y Fernández Buey, 1994; Moog, 1995. V" 20 Bramwell, 1994, pág. vii.
  • 148.
    148 El poderde la identidad los años setenta de forma simultánea a la revolución de la tecnología de la información y al extraordinario desarrollo del conocimiento biológico gracias a la modelización informática que tuvo lugar en el periodo subsi- guiente. En efecto, la ciencia y la tecnología desempeñaron un papel fun- damental, si bien contradictorio, en el movimiento ecologista. Por una parte, existe una profunda desconfianza hacia la bondad de la tecnología avanzada, que lleva en algunas manifestaciones extremas a ideologías ne- oluditas, como la representada por Kirpatrick Sale. Por otra parte, el mo- vimiento se apoya en buena medida en la reunión, el análisis y la difusión de información científica sobre la interacción de los artefactos fabricados por el hombre y el medio ambiente, a veces con un alto grado de comple- jidad. Las principales organizaciones ecologistas suelen tener científicos en su plantilla y en la mayoría de los países existe una estrecha conexión entre los científicos y académicos y los activistas ecologistas. El ecologismo es un movimiento basado en la ciencia. A veces no es una ciencia muy rigurosa, pero no obstante pretende conocer qué le pasa a la naturaleza y los humanos, revelando la verdad que ocultan los intereses creados del industrialismo, el capitalismo, la tecnocracia y la burocracia. Aunque critican el dominio de la vida por la ciencia, los ecologistas utili- zan la ciencia para oponerse a la ciencia en nombre de la vida. No abogan por la negación del conocimiento, sino por un conocimiento superior: la sabiduría de una visión holística, capaz de superar los planteamientos frag- mentarios y las estrategias miopes conducentes a la satisfacción de los ins- tintos básicos. En este sentido, el ecologismo aspira a retomar el control sobre los productos de la mente humana antes de que la ciencia y la tecno- logía tengan vida propia y las máquinas acaben imponiendo su voluntad sobre nosotros y la naturaleza, un temor ancestral de la humanidad. Las luchas sobre la transformación estructural equivalen a luchar por la redefinición histórica de las dos expresiones materiales fundamentales de la sociedad: espacio y tiempo. Y, en efecto, el control del espacio y el pre- dominio de la localidad es otro importante tema recurrente en varios componentes del movimiento ecologista. En el volumen I, capítulo 6 pro- puse la idea de que estaba surgiendo una oposición fundamental en la so- ciedad red entre dos lógicas espaciales, la del espacio de los flujos y la del espacio de los lugares. El espacio de los flujos organiza la simultaneidad de las prácticas sociales a distancia, por medio de las telecomunicaciones y los sistemas de información. El espacio de los lugares privilegia la inte- racción social y la organización institucional atendiendo a la contigüidad física. Lo que distingue a la nueva estructura social, la sociedad red, es que la mayoría de los procesos dominantes, que concentran poder, ri- queza e información, se organizan en el espacio de los flujos. La mayor parte de la experiencia y el sentido humanos siguen teniendo una base lo- cal. La disyunción entre las dos lógicas espaciales es un mecanismo funda- mental de dominio en nuestras sociedades porque desplaza el núcleo de
  • 149.
    lü reverdecimicnto ilclyo: el movimiento ecologista 149 los procesos económicos, simbólicos y políticos del ámbito donde puede construirse sentido social y puede ejercerse control político. Así pues, el' hincapié de los ecologistas en la localidad y en el control de la gente de sus espacios vitales es un reto a una palanca básica del nuevo sistema de poder. Aun en las expresiones más defensivas, como en fas luchas deno- minadas «en mi patio trasero, no», para afirmar la prioridad de la vida lo- cal sobre los usos de un espacio determinado por parte de «intereses de fuera», como las compañías que vierten tóxicos o los aeropuertos que ex- tienden sus pistas, tiene el significado profundo de negar las prioridades abstractas de los intereses técnicos o económicos sobre las experiencias reales de los usos reales de la gente. Lo que desafía el localismo ecolo- gista es la pérdida de conexión entre estas funciones o intereses diferentes bajo el principio de la representación mediatizada por la racionalidad abstracta y técnica que ejercen los intereses comerciales incontrolados y las tecnocracias irresponsables. Así pues, la lógica del argumento evolu- ciona hasta el anhelo de un gobierno a pequeña escala, que privilegie la comunidad local y la participación ciudadana: la democracia de base es el modelo político implícito en la mayor parte de los movimientos ecologistas. En las alternativas más elaboradas, el control del espacio, la afirmación del lugar como fuente de significado, se vinculan con los ideales de auto- gestión de la tradición anarquista, incluida la producción a pequeña es- cala y la búsqueda de la autosuficiencia, que conducen a la asunción de la austeridad, la crítica del consumo conspicuo y la sustitución del valor de cambio del dinero por el valor de uso de la vida. Sin duda, las personas que protestan contra los vertidos tóxicos en su vecindad no son anarquis- tas y pocas de ellas estarían realmente dispuestas a transformar todo el entramado de su vida tal cual es. Pero la lógica interna del argumento, la conexión entre la defensa del lugar propio contra los imperativos del es- pacio de los flujos y el fortalecimiento de las bases económicas y políticas de la localidad, permiten la identificación repentina de algunas de estas vinculaciones en la conciencia pública cuando sucede un acontecimiento simbólico (como la edificación de una central nuclear). De este modo, se crean las condiciones para la convergencia de los problemas de la vida diaria y los proyectos para una sociedad alternativa: así se hacen los movi- mientos sociales. Junto al espacio, el control del tiempo está en juego en la sociedad red y el movimiento ecologista es, probablemente, el actor más importante en la proyección de una temporalidad nueva y revolucionaria. Este tema es tan importante como complejo y requiere una elaboración pausada. En el volumen I, capítulo 7, propuse una distinción (basándome en los deba- tes actuales en sociología e historia, así como en las filosofías del tiempo y el espacio de Leibniz e Innis) entre tres formas de temporalidad: el tiempo de reloj, el tiempo atemporal y el tiempo glacial. El tiempb^de re- loj, característico del industrialismo, tanto para el capitalismo como para
  • 150.
    iso Eil poderilo la idrulidud el estatismo, se caracterizaba/caracteriza por la secuencia cronológica de los acontecimientos y por la disciplina de la conducta humana a un hora- rio predeterminado que apenas permite la experiencia fuera de la dimen- sión institucionalizada. El tiempo atemporal, que caracteriza los procesos dominantes de nuestra sociedad, se da cuando las características de un contexto determinado, a saber, el paradigma informacional y la sociedad red, provocan una perturbación sistémica en el orden secuencial de los fenómenos realizados en ese contexto. Esta perturbación puede compri- mir la ocurrencia de los fenómenos para lograr la instantaneidad (como en las «guerras instantáneas» o las transacciones financieras en fracciones de segundo) o introducir una discontinuidad aleatoria en la secuencia (como en el hipertexto de los medios de comunicación integrados y elec- trónicos). La eliminación de las secuencias crea una cronología indiferen- ciada, con lo cual se aniquila el tiempo. En nuestras sociedades, la mayo- ría de los procesos centrales dominantes se estructuran en el tiempo atemporal, pero la mayoría de la gente está dominada por el tiempo de reloj. Existe una forma más de tiempo, concebida y propuesta en la prác- tica social: el tiempo glacial. En la formulación original de Lash y Urry, la noción de tiempo glacial implica que «la relación entre los humanos y la naturaleza es a muy largo plazo y evolutiva. Retrocede desde la historia humana inmediata y se proyecta a un futuro totalmente inespecificable»21 . Desarrollando su elaboración, propongo la idea de que el movimiento ecologista se caracteriza precisamente por el proyecto de introducir una perspectiva de «tiempo glacial» en nuestra temporalidad, tanto en cuanto a la conciencia como a la política. El pensamiento ecológico considera la interacción de todas las formas de la materia en una perspectiva evolu- cionista. La idea de limitar el uso de los recursos a los de carácter reno- vable, central para el ecologismo, se predica precisamente en virtud de la noción de que la alteración del equilibrio básico del planeta y del uni- verso puede, con el tiempo, deshacer el delicado equilibrio ecológico, con consecuencias catastróficas. La noción holística de la integración de hu- manos y naturaleza, representada en los autores de la «ecología pro- funda», no hace referencia a un culto ingenuo de los prístinos paisajes naturales, sino a la consideración fundamental de que la unidad de expe- riencia importante no es cada individuo ni las comunidades humanas existentes en la historia. Para fundirnos con nuestro yo cosmológico, pri- mero debemos cambiar la noción de tiempo, para sentir el «tiempo gla- cial» discurrir en nuestras vidas, percibir la energía de las estrellas fluir en nuestra sangre y asumir que los ríos de nuestros pensamientos se su- mergen incesantemente en los océanos ilimitados de la materia viva mul- tiforme. En términos personales muy directos, el tiempo glacial significa Lash y Urry, 1994, pág. 243.
  • 151.
    Kl rovcrdeciiiiiriilii ilclyo: r l inovimicnlo ixnl<>)>ÍKtii Ifil medir nuestra vida por la vida de nuestros hijos y de los hijos de los hijos de nuestros hijos. Así, gestionar nuestras vidas e instituciones para ellos, tanto como para nosotros, no es un culto de la Nueva Era, sino la forma más tradicional de cuidar de nuestros descendientes, es decir, de la carne de nuestra carne. Proponer el desarrollo sostenible como solidaridad in- tergeneracional une el sano egoísmo con el pensamiento sistémico en una perspectiva evolucionista. El movimiento antinuclear, una de las fuentes más poderosas del movimiento ecologista, basa su crítica radical de la energía nuclear en los efectos a largo plazo de los desechos radiacti- vos, además de los problemas de seguridad inmediatos, con lo que se ocupa de la seguridad de generaciones a miles de años de nosotros. Hasta cierto punto, el interés en la conservación de las culturas indígenas y el respeto a las mismas extienden hacia atrás la preocupación por todas las formas de la existencia humana provenientes de tiempos diferentes, afirmando que nosotros somos ellos y ellos, nosotros. Es esta unidad de la especie y de la materia como un todo, y de su evolución espaciotempo- ral, la que proclaman de forma implícita el movimiento ecologista y, de forma explícita, los pensadores de la ecología profunda y el ecofemi- nismo22 . La expresión material que unifica las diferentes demandas y te- mas del ecologismo es su temporalidad alternativa, que exige la asunción por parte de las instituciones de la sociedad de la lenta evolución de nuestra especie en su entorno, sin un final para nuestro ser cosmológico, mientras el universo siga expandiéndose desde el momento/lugar de su comienzo común. Más allá de las orillas temporales del tiempo de reloj sometido, que sigue experimentando la mayor parte de la gente del mundo, tiene lugar la lucha histórica por la nueva temporalidad entre la aniquilación del tiempo en los flujos recurrentes de las redes informáticas y la percepción del tiempo glacial en la asunción consciente de nuestro yo cosmológico. Mediante estas batallas fundamentales sobre la apropiación de cien- cia, espacio y tiempo, los ecologistas inducen la creación de una nueva identidad, una identidad biológica, una cultura de la especie humana como componente de la naturaleza. Esta identidad sociobiológica no supone la negación de las culturas históricas. Los ecologistas respetan las culturas populares y se recrean en la autenticidad cultural de diversas tradiciones. No obstante, su enemigo objetivo es el nacionalismo estatal, porque el es- tado-nación, por definición, está destinado a afirmar su poder sobre un territorio determinado. Por lo tanto, rompe la unidad de la humanidad, así como la interrelación de los territorios, que impide que compartamos plenamente nuestro ecosistema global. En palabras de David McTaggart, dirigente histórico de Greenpeace International: «La mayor amenaza que debemos afrontar es el nacionalismo. En el próximo siglo, vamos a hacer Diamond y Orenstein, 1990; McLaughlin, 1993.
  • 152.
    IV lil puiliiilr In hli'iiliilml h ente a temas que no pueden resolverse nación por nación. Lo que trata- mos de hacer es trabajar juntos internacionalmente, pese a siglos de pre- juicio nacionalista» 21 . En lo que sólo es una contradicción aparente, los ecologistas son, a la vez, localistas y globalistas: globalistas en la gestión del tiempo, localistas en la defensa del espacio. El pensamiento y la polí- tica evolucionistas requieren una perspectiva global. La armonía de la gente con su entorno comienza en su comunidad local. Esta nueva identidad como especie, que es una identidad sociobioló- gica, puede superponerse fácilmente a las tradiciones históricas, los len- guajes y los símbolos culturales multifacéticos, pero es difícil que se mez- cle con la identidad nacionalista estatal. Así pues, hasta cierto punto, el ecologismo supera la oposición entre la cultura de la virtualidad real, que subyace en los flujos globales de riqueza y poder, y la expresión de las identidades fundamentalistas culturales o religiosas. Es la única identidad global que se plantea en nombre de todos los seres humanos, prescin- diendo de sus ligaduras específicas sociales, históricas o de género, o de su fe religiosa. Sin embargo, puesto que la mayoría de la gente no vive su vida de forma cosmológica y la asunción de una naturaleza compartida con los mosquitos aún plantea algunos problemas tácticos, el asunto esen- cial en cuanto a la influencia de la nueva cultura ecológica es su capacidad para tejer los hilos de las culturas singulares en un hipertexto, compuesto por la diversidad histórica y la comunidad biológica. Denomino a esta cultura la cultura verde (por qué inventar otro término cuando millones de personas ya la llaman así) y la defino en los términos de Petra Kelly: «Hemos de aprender a pensar y actuar desde nuestros corazones, a reco- nocer la interconexión de todas las criaturas vivientes y a respetar el valor de cada hilo de la vasta trama de la vida. Es una perspectiva espiritual y la base de toda la política verde [...] la política verde requiere de nosotros que seamos tiernos y subversivos a la vez»24 . La ternura de la subversión, la subversión de la ternura: estamos muy lejos de la perspectiva instru- mentalista que ha dominado la era industrial, tanto en su versión capita- lista como en la estatista. Y estamos en contradicción directa con la diso- lución del significado en los flujos del poder sin rostro que constituyen la sociedad red. La cultura verde, según se propone en un movimiento eco- logista multifacético, es el antídoto de la cultura de la virtualidad real que caracteriza los procesos dominantes de nuestras sociedades. Así pues, es la ciencia de la vida contra la vida bajo la ciencia; el con- trol local sobre los lugares contra un espacio de los flujos incontrolable; la percepción del tiempo glacial contra la aniquilación del tiempo y la escla- vitud continuada al tiempo de reloj; la cultura verde contra la virtualidad real. Éstos son los retos fundamentales del movimiento ecologista a las Entrevista en Ostertag, 1991, pág. 33. Kelly, 1994, pág. 37.
  • 153.
    til revcrdccimiriiio ilrly<i: el movimiento ccologiNtn 153 estructuras dominantes de la sociedad red. Y por ello afronta los temas que la gente percibe vagamente como la materia con la que están hechas sus nuevas vidas. Resta decir que entre este «furioso fuego verde» y los hogares de la gente se yerguen altos los bastiones de la sociedad, obli- gando a los ecologistas a una larga marcha a través de las instituciones, de la que, como en el caso de todos los movimientos sociales, no salen ilesos. EL ECOLOGISMO EN ACCIÓN: LLEGAR A LAS MENTES, DOMAR AL CAPITAL, CORTEJAR AL ESTADO, BAILAR CON LOS MEDIOS DE COMUNICACIÓN Gran parte del éxito del movimiento ecologista obedece al hecho de que, más que ninguna otra fuerza social, ha sido capaz de adaptarse lo mejor posible a las condiciones de la comunicación y la movilización en el nuevo paradigma informacional25 . Aunque gran parte del movimiento se basa en las organizaciones populares, la acción ecologista opera utili- zando acontecimientos recogidos por los medios de comunicación. Creando acontecimientos que llamen la atención de los medios, los eco- logistas son capaces de alcanzar a una audiencia mucho más amplia que sus partidarios directos. Además, la presencia constante de temas medio- ambientales en los medios les ha prestado una legitimidad mayor que la de cualquier otra causa. La orientación hacia los medios resulta obvia en los casos de activismo ecologista global como Greenpeace, cuya lógica se orienta hacia la creación de acontecimientos para movilizar la opinión pública sobre temas específicos con el fin de presionar sobre los poderes sociales. Pero también es el pan de cada día de las luchas ecologistas de ámbito local. Las noticias locales de televisión, radio y prensa son la voz de los ecologistas, hasta el punto de que las grandes empresas y los polí- ticos suelen quejarse de que son los medios de comunicación, más que los ecologistas, los responsables de la movilización medioambiental. La relación simbiótica entre los medios y el ecologismo proviene de varias fuentes. En primer lugar, las tácticas de acción directa no violenta, que dominaron el movimiento desde comienzos de los años setenta, propor- cionaron un buen material de información, sobre todo cuando las noti- cias requieren imágenes frescas. Muchos activistas ecologistas han practi- cado con gran imaginación las tácticas anarquistas francesas de l'action exemplaire, un acto espectacular que impresiona, provoca el debate e in- duce la movilización. El autosacrificio, como soportar la detención y la cárcel, arriesgar la vida en el océano, encadenarse a los árboles, utilizar sus cuerpos para bloquear una construcción indeseable o los transportes 25 Véanse Epstein, 1991; Horton, 1991; Ostertag, 1991; Costain y Costain, 1992; Gottlieb, 1993; Kanagy et ai, 1994.
  • 154.
    I VI lílpoileí de 111 idenliilíiil perniciosos, interrumpir las ceremonias oficiales y tantas otras acciones directas, emparejadas con la contención y la no violencia manifiesta, in- troduce una actitud de testimonio que restaura la confianza y realza los valores éticos en una era de cinismo generalizado. En segundo lugar, la legitimidad de los temas suscitados por los ecologistas, al conectar direc- tamente con los valores humanistas básicos que aprecia la mayoría de la gente y con frecuencia distantes de la política partidista, preparó el te- rreno para que los medios de comunicación asumieran el papel de la voz del pueblo, con lo que aumentaron su propia legitimidad y los periodistas se sintieron a gusto con ello. Además, en las noticias locales, la informa- ción sobre los peligros para la salud o los trastornos medioambientales en la vida de la gente plantea los problemas sistémicos de un modo más vigoroso que cualquier discurso ideológico tradicional. Con frecuencia, los propios ecologistas alimentan a los medios con imágenes preciosas que dicen más que un grueso informe. Así, los grupos ecologistas estado- unidenses han distribuido cámaras de vídeo a los grupos de base de todo el mundo, de Connecticut a Amazonia, para que filmen las violaciones explícitas de las leyes medioambientales, utilizando después la infraes- tructura tecnológica del grupo para procesar y difundir las imágenes acu- satorias. Los ecologistas también han estado a la vanguardia de las nuevas tec- nologías de comunicación como herramientas organizativas y moviliza- doras, sobre todo en el uso de Internet26 . Por ejemplo, una coalición de grupos ecologistas de los Estados Unidos, Canadá y Chile, formada en torno a Friends of the Earth, Sierra Club, Greenpeace, Defenders of Wildlife, Canadian Environmental Law Association y otros, se movilizó contra la aprobación del Tratado de Libre Comercio debido a que care- cía de suficientes provisiones de protección al medio ambiente. Utiliza- ron Internet para coordinar acciones e información y crearon una red permanente que trazó las líneas de batalla de la acción ecologista trans- nacional en todo el continente americano durante los años noventa. Los nodos de la World Wide Web se están convirtiendo en lugares de en- cuentro para los ecologistas de todo el mundo, al igual que las páginas establecidas en 1996 por organizaciones como Conservation Internatio- nal y Rainforest Action Network para defender la causa de los pueblos indígenas de las selvas tropicales. Food First, una organización con base en California, se ha enlazado con una red de grupos ecologistas de los países en desarrollo, conectando los problemas medioambientales y de la pobreza. De este modo, a través de la red, fue capaz de coordinar su ac- ción con Global South, una organización con base en Tailandia, que pro- porciona una perspectiva ecologista desde el Asia de industrialización re- ciente. Mediante estas redes, los grupos de base de todo el mundo son 26 Bartz, 1996.
  • 155.
    II reverdecimii-nto delyo: el movimiento ecologista I ^ capaces de actuar globalmente, en un momento dado, en el ámbito donde se crean los problemas principales. Parece que está surgiendo una élite informatizada como núcleo global y coordinador de grupos popula- res de acción ecologista de todo el mundo, un fenómeno que no es com- pletamente distinto del papel desempeñado por los obreros tipógrafos y los periodistas al comienzo del movimiento obrero, orientando, a través de la información a la que tenían acceso, a las masas analfabetas que for- maban la clase obrera del inicio de la industrialización. El ecologismo no es sólo un movimiento de concienciación. Desde sus comienzos, se ha centrado en hacer que las cosas cambien en la legisla- ción y el gobierno. En efecto, el núcleo de las organizaciones ecologistas (como el denominado Grupo de los Diez de los Estados Unidos) dirige sus esfuerzos a presionar para obtener legislación y a apoyar o oponerse a candidatos políticos atendiendo a su postura sobre ciertos temas. Hasta las organizaciones orientadas a acciones no tradicionales, como Green- peace, han dedicado cada vez más su atención a presionar a los gobiernos e instituciones internacionales para obtener leyes, decisiones y la aplica- ción de decisiones sobre temas específicos. De forma similar, a nivel local y regional, los ecologistas han hecho campaña en favor de nuevas formas de planificación urbana y regional, medidas de salud pública y el control del desarrollo excesivo. Es este pragmatismo, esta actitud orientada a un tema concreto, la que ha otorgado al ecologismo la delantera sobre la po- lítica tradicional: la gente siente que puede hacer que las cosas sean dife- rentes aquí y ahora, sin mediación o demora. No existe distinción entre los medios y los fines. En algunos países, sobre todo de Europa, los ecologistas han en- trado en la competición política, presentado candidatos para cargos con éxito diverso27 . Los datos muestran que a los partidos verdes les va mu- cho mejor en las elecciones locales, donde aún existe una vinculación directa entre el movimiento y sus representantes políticos. También ob- tienen resultados bastante buenos en las elecciones internacionales, por ejemplo, al Parlamento Europeo, porque, al ser una institución que sólo ostenta un poder simbólico, los ciudadanos se sienten cómodos al ver sus principios representados, con un pequeño coste de pérdida de in- fluencia sobre la toma de decisiones. En la política nacional, los politó- logos han expuesto que la suerte de los partidos verdes está menos in- fluida por las convicciones medioambientales de la gente que por las estructuras institucionales específicas que encuadran las oportunidades de competencia política28 . En pocas palabras, cuanto más accesibles sean los temas medioambientales y el voto de protesta en el marco de los partidos establecidos, menores son las posibilidades para los verdes; Poguntke, 1993; Dalton, 1994; Diani, 1995; Richardson y Rootes, 1995. Richardson y Rootes, 1995.
  • 156.
    IM) El poderde la identidad cuanto mayores sean las oportunidades para un voto simbólico, sin con- secuencias para elegir un líder político, mejores serán los resultados de los candidatos verdes. En efecto, parece que Alemania fue la excepción, no la regla, en el desarrollo de la política verde, como sostuve anterior- mente. En general, parece que existe una tendencia mundial hacia el re- verdecimiento de las corrientes mayoritarias de la política, si bien con frecuencia de un verde muy pálido, junto con la autonomía sostenida del movimiento ecologista. En cuanto al propio movimiento, su relación con la política cada vez mezcla más el lobby, las campañas específicas en favor o en contra de los candidatos y la influencia sobre los votantes mediante movilizaciones orientadas a un tema concreto. A través de es- tas tácticas diversas, el ecologismo se ha convertido en una importante fuerza de opinión pública, con la que en muchos países tienen que con- tar los partidos y candidatos. Por otra parte, la mayoría de las organiza- ciones ecologistas se han institucionalizado mucho, esto es, han acep- tado la necesidad de actuar en el marco de las instituciones existentes y dentro de las reglas de la productividad y de una economía de mercado global. Así pues, la colaboración con las grandes empresas se ha conver- tido en la regla más que en la excepción. Las empresas suelen financiar diversas actividades medioambientales y se han vuelto extremadamente conscientes de su imagen verde, hasta el punto de que los temas medio- ambientales son ahora imágenes normales en la publicidad empresarial. Pero no todo es manipulación. Las empresas de todo el mundo también se han visto influidas por el ecologismo y han tratado de adaptar sus procesos y productos a la nueva legislación, los nuevos gustos y los nue- vos valores, tratando, como es natural, de obtener beneficios al mismo tiempo. Sin embargo, debido a que las unidades de producción reales de nuestra economía ya no son empresas individuales sino redes trans- nacionales integradas por varios componentes (véase vol. I, cap. 3), la transgresión medioambiental se ha descentralizado a las pequeñas em- presas y los países de industrialización reciente, con lo que se ha modi- ficado la geografía y topología de la acción medioambiental en los años venideros. En general, con el aumento extraordinario de la conciencia, influen- cia y organización medioambientales, el movimiento se ha diversificado cada vez más, desde el punto de vista social y temático, alcanzando de las salas de juntas de las empresas a los callejones periféricos de las contraculturas, pasando por los ayuntamientos de las ciudades y las cámaras parlamentarias. En el proceso, se han distorsionado los te- mas y, en algunos casos, manipulado. Pero ésta es la marca de cualquier movimiento social importante. En efecto, el ecologismo es un impor- tante movimiento social de nuestro tiempo, ya que abarca una diversi- dad de causas sociales bajo la bandera general de la justicia medioam- biental.
  • 157.
    I''I reverdecimienlo ililyo: el movimiento ecologista 157 JUSTICIA MEDIOAMBIENTAL: LA NUEVA FRONTERA DE LOS ECOLOGISTAS Desde los años sesenta, el ecologismo no se ha interesado sólo en ob- servar pájaros, salvar selvas y limpiar el aire. Las campañas en contra del vertido de desechos tóxicos, a favor de los derechos del consumidor, las protestas antinucleares, el pacifismo, el feminismo y otros muchos temas han confluido con la defensa de la naturaleza para arraigar el movimiento en un paisaje amplio de derechos y demandas. Hasta tendencias contra- culturales como la meditación de la Nueva Era y el neopaganismo se mezclaron con el resto de los componentes del movimiento ecologista en las décadas de los setenta y los ochenta. En los años noventa, mientras que algunos temas importantes como la paz y la protesta antinuclear han pasado a segundo plano, en parte de- bido al éxito de las protestas y en parte debido al fin de la guerra fría, una variedad de temas sociales se han convertido en parte de un movi- miento cada vez más diversificado29 . Las comunidades pobres y las mino- rías étnicas se han movilizado contra la discriminación medioambiental, pues se ven expuestas más a menudo que la población en general a las sustancias tóxicas, la contaminación, los peligros para la salud y la degra- dación de los lugares donde viven. Los trabajadores se han rebelado con- tra las causas de los accidentes laborales, viejas y nuevas, del envenena- miento químico al estrés provocado por los ordenadores. Los grupos de mujeres han mostrado que, siendo generalmente quienes gestionan la vida familiar diaria, son las que sufren de forma más directa las conse- cuencias de la contaminación, del deterioro de las instalaciones públicas y del desarrollo incontrolado. La falta de techo es una de las causas prin- cipales del declive de la calidad de la vida urbana. Y, a lo largo de todo el mundo, se ha denunciado una y otra vez que la pobreza es una causa de degradación medioambiental, de la roza de las selvas a la contamina- ción de los ríos, lagos y océanos, y las epidemias arrasadoras. En efecto, en muchos países en vías de industrialización, sobre todo de América La- tina, han florecido los grupos ecologistas y se han vinculado con los gru- pos defensores de los derechos humanos, los grupos de mujeres y las or- ganizaciones no gubernamentales, formando coaliciones poderosas que van más allá de la política institucional, pero que de ningún modo pres- cinden de ella30 . Así pues, el concepto de justicia medioambiental, como una noción amplia que afirma el valor de uso de la vida, de todas las formas de vida, contra los intereses de la riqueza, el poder y la tecnología, cada vez es más influyente tanto en las mentes como en las políticas a medida que el movimiento medioambiental entra en un nuevo estadio de desarrollo. Gottlieb, 1993, págs. 207-320; Szasz, 1994; Epstein, 1995; Brulle, 1996. Athanasiou, 1996; Borja y Castells, 1997.
  • 158.
    158 El poderde la identidad A primera vista, parecerían tácticas oportunistas. Dado el éxito y la le- gitimidad de la etiqueta ecologista, otras causas menos populares se en- vuelven en nuevas ideologías para obtener apoyo y atraer la atención. Y, en efecto, algunos de los grupos de conservación de la naturaleza del mo- vimiento ecologista cada vez recelan más de un enfoque tan amplio que pueda desviar al movimiento de sus verdaderos objetivos. Después de todo, los sindicatos han luchado por la legislación sobre salud laboral desde los comienzos de la industrialización, y la pobreza es, y era, un tema importante por derecho propio, sin tener que pintar de verde su os- curidad siniestra. No obstante, lo que está pasando en el ecologismo va más allá de las tácticas. El planteamiento ecológico de la vida, de la eco- nomía y de las instituciones de la sociedad destaca el carácter holístico de todas las formas de la materia y de todo el procesamiento de la informa- ción. Así pues, cuanto más sabemos, más percibimos las posibilidades de nuestra tecnología y más nos damos cuenta de la gigantesca y peligrosa brecha que existe entre el incremento de nuestras capacidades producti- vas y nuestra organización social primitiva, inconsciente y, en definitiva, destructiva. Éste es el hilo objetivo que teje la conexión creciente de las revueltas sociales, locales y globales, defensivas y ofensivas, reivindicati- vas y culturales, que surgen en torno al movimiento ecologista. Ello no quiere decir que hayan surgido de repente unos nuevos ciudadanos inter- nacionalistas de buena voluntad y generosos. Aún no. Como se expone en este volumen, antiguas y nuevas divisiones de clase, género, etnicidad, religión y territorialidad actúan dividiendo y subdiviendo temas, conflic- tos y proyectos. Pero sí quiere decir que las conexiones embriónicas entre los movimientos populares y las movilizaciones de orientación simbólica en nombre de la justicia medioambiental llevan la marca de los proyectos alternativos. Estos proyectos esbozan una superación de los movimientos sociales agotados de la sociedad industrial, para reanudar, en formas his- tóricamente apropiadas, la antigua dialéctica entre dominación y resisten- cia, entre Realpolitik y utopía, entre cinismo y esperanza.
  • 159.
    4 EL FIN DELPATRIARCADO: MOVIMIENTOS SOCIALES, FAMILIA Y SEXUALIDAD EN LA ERA DE LA INFORMACIÓN Si todos los que me han pedido ayuda en este mundo, todos los santos inocentes, las esposas destrozadas y los lisiados, los encarcelados, los suicidas, si todos ellos me hubieran mandado un copec, me habría hecho «más rica que todo Egipto»... Pero no me mandaron copecs, sino que compartieron conmigo su fuerza, y por eso nada en el mundo es más fuerte que yo, y puedo soportar todo, incluso esto. Anna Ajmatova, Selected Poems1 . El patriarcado es una estructura básica de todas las sociedades con- temporáneas. Se caracteriza por la autoridad, impuesta desde la institu- ciones, de los hombres sobre las mujeres y sus hijos en la unidad fami- liar. Para que se ejerza esta autoridad, el patriarcado debe dominar toda la organización de la sociedad, de la producción y el consumo a la polí- tica, el derecho y la cultura. Las relaciones interpersonales y, por tanto, la personalidad, están también marcadas por la dominación y la violencia que se originan en la cultura y las instituciones del patriarcado. No obs- tante, desde el punto de vista analítico y político, es esencial no olvidar su enraizamiento en la estructura familiar y en la reproducción sociobio- lógica de la especie, modificadas por la historia (cultura). Sin la familia patriarcal, el patriarcado quedaría desenmascarado como una domina- ción arbitraria y acabaría siendo derrocado por la rebelión de «la mitad del cielo» mantenida bajo sometimiento a lo largo de la historia. En este fin de milenio, la familia patriarcal, piedra angular del patriarcado, se ve 1 Ajmatova, 1985, pág. 84.
  • 160.
    lili) I Ipoder de la identidad desafiada por los procesos interrelacionados de la transformación del tra- bajo y de la conciencia de las mujeres. Las fuerzas impulsoras que subya- cen en estos procesos son el ascenso de una economía informacional glo- bal, los cambios tecnológicos en la reproducción de la especie humana y el empuje vigoroso de las luchas de las mujeres y de un movimiento fe- minista multifacético, tres tendencias que se han desarrollado desde fina- les de los años sesenta. La incorporación masiva de las mujeres al trabajo remunerado aumentó su poder de negociación frente a los hombres y so- cavó la legitimidad de su dominio como proveedores de la familia. Ade- más, impuso una carga insoportable a las vidas de las mujeres por su cuá- druple turno diario (trabajo remunerado, tareas del hogar, cuidado de los hijos y turno nocturno para el esposo). Primero la contracepción, des- pués la fertilización in vitro y la manipulación genética que se vislumbra en el horizonte están otorgando a la mujer y a la sociedad un control cre- ciente sobre la oportunidad y frecuencia de los embarazos. En cuanto a las luchas de las mujeres, no esperaron hasta este fin de milenio para ma- nifestarse. Han caracterizado todo el trayecto de la experiencia humana, si bien en formas diversas que suelen estar ausentes de los libros de texto y los registros escritos2 . He sostenido que muchas luchas urbanas históri- cas y contemporáneas fueron, en realidad, movimientos de mujeres rela- cionados con las demandas y la gestión de la vida cotidiana3 . Y el femi- nismo como tal tiene una antigua historia, como ejemplifican las sufragistas de los Estados Unidos. No obstante, creo que es justo decir que sólo en el último cuarto de este siglo hemos presenciado lo que su- pone una insurrección masiva de las mujeres contra su opresión en todo el mundo, si bien con intensidad diferente según la cultura y el país. La repercusión de estos movimiento se ha sentido con intensidad en las ins- tituciones de la sociedad y, de forma más fundamental, en la conciencia de las mujeres. En los países industrializados, una gran mayoría de muje- res se consideran iguales a los hombres, con sus mismos derechos y, ade- más, el del control sobre sus cuerpos y sus vidas. Esta conciencia se está extendiendo rápidamente por todo el planeta. Es la revolución más im- portante porque llega a la raíz de la sociedad y al núcleo de lo que somos4 . Y es irreversible. Decir esto no significa que los problemas de discrimi- nación, opresión y maltrato de las mujeres y sus hijos hayan desapare- cido o ni siquiera disminuido en intensidad de forma sustancial. De he- cho, aunque se ha reducido algo la discriminación legal, y el mercado de trabajo muestra tendencias igualadoras a medida que aumenta la educa- ción de las mujeres, la violencia interpersonal y el maltrato psicológico se generalizan, debido precisamente a la ira de los hombres, individual y co- 2 Rowbotham, 1974. 3 Castells, 1983. 4 Mitchell, 1966.
  • 161.
    II luí delpiitiimviulo: iiKiviiiiicnlos sociales, lainiliii y sexualidad... K.l lectiva, por su pérdida de poder. No es, y no será, una revolución de ter- ciopelo. El paisaje humano de la liberación de la mujer y de la defensa de los privilegios del hombre está lleno de cadáveres de vidas destroza- das, como pasa en todas las auténticas revoluciones. Sin embargo, pese a la severidad del conflicto, la transformación de la conciencia de las muje- res y los valores sociales en la mayoría de las sociedades en menos de tres décadas es asombrosa y tiene consecuencias fundamentales para toda la experiencia humana, del poder político a la estructura de la personalidad. "~ Sostengo que el proceso que resume y concentra esta transformación es la crisis de la familia patriarcal. Si ésta se desmorona, de forma gradual pero segura, todo el sistema del patriarcado, y el conjunto de nuestras vi- das, se transformarán. Es una perspectiva pavorosa, y no sólo para los hombres. Por eso, el desafío al patriarcado es uno de los factores inducto- res más fuertes de los movimientos fundamentalistas que aspiran a res- taurar el orden patriarcal, como los estudiados en los capítulos previos de este volumen. En efecto, su reacción violenta podría alterar los procesos actuales de cambio cultural, ya que ninguna historia está escrita de ante- mano. No obstante, los indicadores presentes señalan un declive sustan- cial de las formas tradicionales de la familia patriarcal. Comenzaré mi análisis centrándome en algunos de estos indicadores. Las estadísticas, por sí solas, no pueden contar la historia de la crisis del patriarcado, pero cuando los cambios son tan amplios como para reflejarse en las estadísti- cas nacionales comparadas, cabe asumir con certeza su profundidad y ra- pidez. Pero aún tenemos que explicar el momento histórico de esta transfor- mación. ¿Por qué ahora? Las ideas feministas han estado presentes al me- nos durante un siglo, si no más, aunque en su traducción histórica especí- fica. ¿Por qué prendieron en nuestro tiempo? Propongo la hipótesis de que la razón se encuentra en una combina- ción de cuatro elementos: primero, la transformación de la economía y del mercado laboral, en estrecha asociación con la apertura de las oportu- nidades educativas para las mujeres5 . Por lo tanto, trataré de presentar algunos de los datos que muestran esa transformación, vinculándolos con las características de la economía informacional global y la empresa red, presentadas en el volumen I. Segundo, la transformación tecnológica de la biología, la farmacología y la medicina que ha permitido un control cre- ciente sobre el embarazo y la reproducción de la especie humana, como sostuve en el volumen I, capítulo 7. Tercero, en este contexto de transfor- mación económica y tecnológica, el patriarcado ha sufrido el impacto del desarrollo del movimiento feminista, en el periodo subsiguiente a los mo- vimientos sociales de la década de los sesenta. No es que el feminismo 5 Saltzman-Chafetz, 1995.
  • 162.
    I()2 El poderde la identidad fuera un componente distintivo de estos movimientos. De hecho, co- menzó después, a finales de los años sesenta o comienzos de los setenta, entre las mujeres que habían formado parte del movimiento, como una reacción al sexismo e incluso al maltrato (véase más adelante) que habían tenido que sufrir en el movimiento. Pero el contexto de la formación del movimiento social, que destacó «lo personal como político» y presentó te- mas multidimensionales, abrió la posibilidad de pensar fuera de los cami- nos instrumentales de los movimientos dominados por los hombres (como el movimiento obrero o la política revolucionaria) y avanzar hacia un planteamiento más experimental de las fuentes reales de opresión se- gún se sentían, antes de que pudieran ser domesticadas por el discurso de la racionalidad. El cuarto elemento inductor del desafío al patriarcado es la rápida difusión de las ideas en una cultura globalizada y en un mundo interrelacionado, donde la gente y la experiencia viajan y se mezclan, te- jiendo un hipertapiz de voces de mujeres a lo largo de la mayor parte del planeta. Así pues, tras investigar la transformación del trabajo de la mu- jer, analizaré la formación de un movimiento feminista muy diversificado y los debates que surgen de la experiencia colectiva de construcción/re- construcción de la identidad de las mujeres. La repercusión de los movimientos sociales, y sobre todo del femi- nismo, en las relaciones de ¿enero desencadenó una vigorosa onda ex- pansiva: se puso en entredicho la heterosexualidad como norma. Para las lesbianas, la separación de los hombres como los sujetos de su opresión era la consecuencia lógica, si no inevitable, de su consideración de que el dominio masculino era la fuente de los problemas de las mujeres. Para los hombres gays, el cuestionamiento de la familia tradicional y las relaciones conflictivas entre hombres y mujeres representó una oportunidad para explorar otras formas de relaciones interpersonales, incluidas nuevas for- mas de familia, las familias gays. Para todos, la liberación sexual, sin lími- tes institucionales, se convirtió en la nueva frontera de la expresión perso- nal. No en la imagen homófoba de una promiscuidad absoluta, sino en la afirmación del yo y en la experimentación con la sexualidad y el amor. La repercusión de los movimientos de gays y lesbianas sobre el patriarcado es, por supuesto, devastadora. No es que las formas de dominación inter- personal dejen de existir. La dominación, como la explotación, siempre se renuevan en la historia. Pero el patriarcado, que ha existido probable- mente desde los albores de los tiempos humanos (pese a lo que diga Ca- rolyn Merchant), se ha visto definitivamente sacudido por el debilita- miento de la norma heterosexual. Así pues, exploraré los orígenes y el horizonte de los movimientos de gays y lesbianas, viajando de San Fran- cisco a Taipei, para destacar su creciente diversidad cultural y geográfica. Por último, abordaré el tema de la transformación de la personalidad en nuestra sociedad, resultado de la transformación de la estructura fami- liar y de las normas sexuales, pues creo que cabe sostener que las familias
  • 163.
    El fin delpatriarcado: movimientos sociales, familia y sexualidad... 163 constituyen el mecanismo de socialización básico y la sexualidad tiene algo que ver con la personalidad. Se trata de ver cómo nos transforma la interacción del cambio estructural y los movimientos sociales, esto es, de la sociedad red y el poder de la identidad. LA CRISIS DE LA FAMILIA PATRIARCAL Por la crisis de la familia patriarcal hago referencia al debilitamiento de un modelo de familia basado en el ejercicio estable de la autoridad/do- minación sobre toda la familia del hombre adulto cabeza de familia. En la década de los noventa, es posible encontrar indicadores de esa crisis en la mayoría de las sociedades, sobre todo en los países más desarrollados. No es obvia la utilización de indicadores estadísticos muy desiguales como prueba de un rasgo, el patriarcado, que es político, cultural y psicológico. No obstante, puesto que la conducta y cultura de la población suelen evo- lucionar a un paso muy lento, la observación de tendencias que afectan la estructura y dinámica de la familia patriarcal en las estadísticas nacionales comparadas es, en mi opinión, un poderoso signo del cambio y, sostengo, de la crisis de los modelos patriarcales, antes estables. Resumiré el argu- mento antes de proceder a una rápida exploración estadística. La disolución de los hogares de las parejas casadas, por divorcio o se- paración, es un primer indicador de desafección a un modelo de familia que se basaba en el compromiso, a largo plazo, de sus miembros. Sin duda, puede haber un patriarcado sucesivo (de hecho, ésta es la regla): la reproducción del mismo modelo con diferentes participantes. Sin em- bargo, las estructuras de dominación (y los mecanismos de confianza) se han visto debilitadas por la experiencia, tanto de las mujeres como de los hijos, atrapados con frecuencia en lealtades en conflicto. Es más, con una frecuencia cada vez mayor, la disolución de los hogares de parejas casa- das lleva a la formación de hogares unipersonales o a hogares de un solo progenitor, en general mujeres, poniendo fin en este caso a la autoridad patriarcal de la familia, aun cuando la estructura de dominación se repro- duzca mentalmente en el nuevo hogar. En segundo lugar, la frecuencia creciente de las crisis matrimoniales y la dificultad cada vez mayor para hacer compatibles matrimonio, trabajo y vida parecen asociarse con otras dos fuertes tendencias: el retraso de la formación de parejas y la vida en común sin matrimonio. De nuevo, la falta de sanción legal debilita la autoridad patriarcal, tanto desde el punto de vista institucional como psicológico. En tercer lugar, como resultado de estas diferentes tendencias, junto con factores demográficos como el envejecimiento de la población y las tasas de mortalidad diferentes según el sexo, surge una variedad creciente de estructuras de hogares, con lo que se diluye el predominio del modelo
  • 164.
    lf>4 El poderde la identidad clásico de la familia nuclear tradicional (parejas casadas en primeras nup- cias y sus hijos) y se debilita su reproducción social. Proliferan los hogares unipersonales y los de un solo progenitor. En cuarto lugar, en las condiciones de inestabilidad familiar y con una autonomía cada vez mayor de las mujeres en su conducta reproductiva, la crisis de la familia patriarcal se extiende a la crisis de los patrones sociales de reemplazo generacional6 . Por una parte, cada vez nacen más niños fuera del matrimonio y suelen quedarse con sus madres (aunque hay una proporción creciente de parejas no casadas que se ocupan de forma con- junta de un hijo). Así pues, está asegurada la reproducción biológica, pero fuera de la estructura familiar tradicional. Por otra parte, las muje- res, con mayor conciencia y frente a tiempos duros, limitan el número de hijos y retrasan el primero. Por último, en algunos círculos reducidos, cuyo tamaño parece estar aumentando, las mujeres dan a luz hijos sólo para ellas o adoptan niños ellas solas. En conjunto, estas tendencias, al reforzarse unas a otras, ponen en tela de juicio la estructura y los valores de la familia patriarcal. No es ne- cesariamente el fin de la familia, ya que se están experimentando otras es- tructuras familiares y se puede acabar reconstruyendo cómo vivimos con el otro, cómo procreamos y cómo educamos, de modos diferentes, quizás mejores7 . Pero las tendencias que menciono señalan el fin de la familia como la hemos conocido hasta ahora. No sólo de la familia nuclear (un artefacto moderno), sino la basada en la dominación patriarcal que ha sido la regla durante milenios. Echemos una ojeada a algunas estadísticas básicas. Aquí haré hinca- pié en un planteamiento comparativo, mientras que reservaré para la úl- tima parte del capítulo una revisión más sistemática de la crisis de la fami- lia patriarcal en los Estados Unidos, donde el proceso parece estar más adelantado8 . Aunque las tendencias indicadas son más pronunciadas en los países desarrollados, existe un cambio general en la misma dirección en gran parte del mundo. Así pues, me basaré en buena medida en el in- forme elaborado en 1995 por el Population Council sobre la transforma- ción de las familias en el mundo9 , que complementaré con otras fuentes que cito. Me centraré en el periodo 1970-1995 por las razones que se pre- sentan más adelante en este mismo capítulo. 6 En la Unión Europea, en 1995, la tasa de nacimientos era la más baja en tiempos de paz del siglo xx: sólo había 290.000 nacimientos más que muertes. En Alemania e Italia, ha- bía más muertes que nacimientos. La población de Europa Oriental descendió aún más, so- bre todo en Rusia (The Economist, 19 de noviembre de 1996). 7 Stacey, 1990. 8 Véanse ONU, 1970-1995,1995; Saboulin y Thave, 1993; Valdés y Gomariz, 1993; Cho y Yada, 1994; OCDE, 1994b; Alberdi, 1995; Bruce et al, 1995; De Vos, 1995; Masón y Jensen, 1995. 9 Bruce era/., 1995.
  • 165.
    El fin delpatriarcado: movimientos sociales, familia y sexualidad... 165 2,94 1,86 0,48 1,27 2,88 4,70 3,39 0,54 1,56 0,93 0,16 0,28 1,47 0,98 0,76 0,33 113 100 50 28 104 26 29 157 CUAORO 4.1 Tasa de cambio en la tasa bruta de divorcio para los países seleccionados, 1971-1990. Tasa de cambio 1971 1990 1971-1990 Tasa % Canadá 1,38 Francia 0,93 Italia 0,32 Japón 0,99 Reino Unido 1,41 Estados Unidos 3,72 URSS 2,63 México 0,21 Egipto 2,09 1,42 -0,67 -32 Fuenfe.ONU, Demographic Yearbook, 1970-1995. CUADRO 4.2 Tendencias en las tasas de divorcio de cada 100 matrimonios en países desarrollados. País 1970 1980 1990 (ant.) Alemania Or 12,2 22,7 29,2 Canadá 18,6 32,8 38,3 Checoslovaquia 21,8 26,6 32,0a Dinamarca 25,1 39,3 44,0 Estados Unidos 42,3 58,9 54,8b Inglaterra y Gales 16,2 39,3 41,7a Francia 12,0 22,2 31,5a Grecia 5,0 10,0 12,0 Hungría 25,0 29,4 31,0 Italia 5,0 3,2 8,0 Países Bajos 11,0 25,7 28,1 Suecia 23,4 42,2 44,1 Nota: Las tasas que se muestran son un índice sintético calculado mediante la suma de las tasas de divorcio de vigencia específica de cada año. (La fuente original iden- tifica incorrectamente las tasas como «de cada 1.000 matrimonios».) a 1989. b 1995. Fuente: Alain Monnier y Catherine de Guibert-Lantoine (1993), «La conjoncture dé- mographique: l'Europe et les pays développés d'outre-mer», Population 48(4), pági- nas 1.043-1.067. Recopilado y elaborado por Bruce et al., 1995. El cuadro 4.1 muestra, con una excepción, un incremento considera- ble en la tasa bruta de divorcios de los países seleccionados: se duplica con creces en el Reino Unido, Francia, Canadá y México entre 1971 y
  • 166.
    1(1(1 El podríde In identidad 1990. Los incrementos menos pronunciados en los Estados Unidos (aún un +26%) y la URSS (+29%) durante ese periodo se deben al hecho de que presentaban las tasas más elevadas en 1971. Resulta muy interesante que el único país musulmán que he seleccionado, con fines comparativos, muestre un descenso en la tasa de divorcio (que probablemente refleje las tendencias hacia la islamización de la sociedad), aunque siga siendo más elevada, en 1990, que la de Italia, México o Japón. El cuadro 4.2 muestra las tasas de divorcio por cada 100 matrimonios de los países altamente industrializados seleccionados. Existe una discre- pancia entre los niveles de divorcio para cada país, pero se da una tenden- cia ascendente general entre 1970 y 1980 y entre 1980 y 1990, de nuevo con la excepción de los Estados Unidos en 1990, en parte porque casi el 55% de los matrimonios acabaron en divorcio en este país en 1990. ° 8600- • — • Italia 1949-1953 E Alemania 1934-1938 Qx | 8400- D—D Alemania 1949-1953 O Suecia 1934-1938 8200- O — O Suecia 1949-1953 8000-I 1 i 1 1 1 1 1 1 1 > ' ' ' •" 0 1 2 3 4 5 6 7 8 9 10 11 12 13 14 Años desde el primer alumbramiento FIGURA 4.1 Curvas de supervivencia del matrimonio para Italia, Alemania Occidental y Suecia: madres nacidas en 1934-1938 y 1949-1953. Fuente: Blossfeld etal., 1995.
  • 167.
    I I Unili'l palnau julii IIIIIVIIMK'MIOK sociales, l'timiliii y sexualidad... 167 CUADRO 4.3 Porcentaje de primeros matrimonios disueltos por separa- ción, divorcio o muerte entre mujeres de 40-49 años en países en vías de desarrollo. Región/país Fecha % Asia Indonesia 1987 37,3 SriLanka 1987 25,6 Tailandia 1987 24,8 América Latina/Caribe Colombia 1986 32,5 República Dominicana 1986 49,5 Ecuador 1987 28,9 México 1987 25,5 Perú 1986 26,1 Oriente Próximo/África del Norte Egipto 1989 22,8 Marruecos 1987 31,2 Túnez 1988 11,1 África subsahariana Ghana 1988 60,8 Kenía 1989 24,2 Senegal 1986 42,3 Sudán 1989/1990 28,2 Fuentes: ONU, 1987, cuadro 47 en Fertility Behaviour in the Context of Development: Evidence from the World Fertility Survey (Nueva York, ONU) y tabulaciones proce- dentes de investigaciones demográficas y sanitarias compiladas y elaboradas por Bruce ef al., 1995. Las separaciones de fado no se incluyen en las estadísticas, ni tam- poco las tasas de disolución de las uniones libres. Sin embargo, sabemos por las investigaciones que los hogares de unión libre son más proclives a separarse que las parejas casadas10 y que las separaciones están en rela- ción directa con la tasa de divorcio, con lo que en realidad aumenta la ci- fra general, y la proporción, de hogares disueltos ". Una investigación global sobre los patrones de divorcio descubrió que una proporción cre- ciente de éstos afecta a parejas con hijos pequeños, aumentando la proba- bilidad de que la disolución material conduzca a la paternidad de un solo progenitor n . La figura 4.1 muestra la tasa decreciente de supervivencia 10 Bruce et ai, 1995. 11 Alberdi, 1995. 12 Goode, 1993.
  • 168.
    I6K El poderik- la ul<iili(l.id Bélgica Dinamarca Alemania 1350 1250 1150- 1050- 950 850- 750 650 550 450 1350- 1250- 1150- 1050- 950- 850- 750- 650- 550- 450 J 1350- 1250- 1150 1050 950- 850 750- 650 550 450 1350 1250 1150-1 1050 950 850 750 650 550 450 J 1350-1 España 1250- 1150- 1050 950- 850 750 650 550- 450 Grecia 1350 1250- 1150 1050 950 850- 750- 650- 550 450 Francia Irlanda (sin datos) 1960 65 70 75 80 85 90 Hombres Mujeres 1350 1250 1150- 1050- ~ 950 850 750 650 550- 450 Inglaterra y Gales 1960 65 70 75 80 85 90 FIGURA 4.2 Evolución del primer matrimonio en algunos países de la Unión Europea desde 1960. Fuente: Alberdi, 1995.
  • 169.
    Canadá IGURA4.3Tasasbrutas Francia República Federal Alemana República Democrática Alemana s § o £3 Italia Japón Reino Unido o o o o aK a. o(Z3 *»i c ente. O 2 C tí á gra¡ s- o *:os &O" 0 O *" H ^ VO -J o Vi Estados Unidos España URSS Indonesia Corea Argentina México Brasil Argelia Egipto CO (O CD <D 00 -vi o o -» 691 "pBpi[BnX3S X CIjIlUBJ 'SSIBIOOS SOJU."ll((IIA<>l(l .(ipiMJIMJllld [Sp U¡ 13
  • 170.
    170 El poderde la identidad CUADRO 4.4 Tendencias porcentuales de las mujeres de 20-24 que nunca se han casado. Región/país Fecha anterior % Países en vías de desarrollo Asia Indonesia 1976 20 Pakistán 1975 22 SriLanka 1975 61 Tailandia 1975 42 América Latina/Caribe Colombia 1976 44 República Dominicana 1975 27 Ecuador 1979 43 México 1976 34 Perú 1978 49 Oriente P./África del N. Egipto 1980 36 Marruecos 1980 36 Túnez 1978 57 África subsahariana Ghana 1980 15 Kenia 1978 21 Senegal 1978 14 Países desarrollados Checoslovaquia 1970 35 Austria 1971 45 Francia 1970 46 España 1970 68 Estados Unidos 1970 36 Fecha posterior % 1987 1990/91 1987 1987 1986 1986 1987 1987 1986 1989 1987 1988 1988 1989 1986 1980 1980 1980 1981 1980 36 39 58 48 39 39 41 42 56 40 56 64 23 32 23 33 57 52 59 51 Fuentes: para los países en vías de desarrollo, ONU, 1987, cuadro 43 en Fertility Be- havíour in the Coníext of Development: Evidence from the World Fertility Survey, Nueva York, ONU, y Charles F. Westoff, Ann K. Blanc y Laura Nyblade (1994), Ma- rriage and Entry into Parenthood (Demographic and Health Surveys Comparative Studies nfi 10, Calverton, Maryland, Macro International Inc); para los países desarro- llados: compilado por la División Estadística de la ONU (1995), The World's Women 1970-1995: Trends and Statistics, Nueva York, ONU. Compilado y elaborado por Bruce eí al., 1995. del matrimonio entre cohortes de mujeres mayores y más jóvenes para Italia, Alemania Occidental y Suecia13 . 13 Blossfeld, 1995.
  • 171.
    Hl fin delpiilriarciiclo: movimientos sociales, familia y sexualidad... 171 Esta tendencia no se limita en absoluto a los países industrializados. E cuadro 4.3, para los países en vías de desarrollo seleccionados, muestra tasas de disolución, por causas diferentes, del primer matrimonio de mu- jeres de 40-49 años: con la excepción de Túnez, oscila entre el 22,8% y el 49,5%, con un pico del 60,8% en Ghana. CUADRO 4.5 Nacimientos fuera del matrimonio como porcentaje de todos los nacimientos por regiones (medias nacionales). Región/país (núm. de países) 1970 1980 1990 Países desarrollados Canadá n.d. 13,2 21,1a Europa Oriental (6) 7,1 9,0 12,9 Europa del Norte (6) 8,8 19,5 33,3 Europa del Sur (5) 4,1 5,4 8,7 Europa Occidental (6) 5,6 8,3 16,3 Japón 1,0b 1,0° 1,0d Oceanía(2) 9,0b 13,4C 20,2e Estados Unidos 5,4b 14,2° 28,0 (antigua) URSS (14) 8,2 8,8 11,2 Países en vías de desarrollo África (12) n.d. 4,8f n.d. Asia (13) n.d. 0,9f n.d. América Latina/Caribe (13) n.d. 6,5f n.d. n.d.= no disponible. • 1989 c 1975 e 1985. b 1965 d 1988 ' 1975-1980 (media). Fuentes: para Europa Oriental, del Norte, del Sur y Occidental, (antigua) Unión So- viética y Canadá, Council of Europe (1993), Recent Demographic Developments in Europe and North America, 1992 (Estrasburgo: Council of Europe Press); para Esta- dos Unidos, Oceanía y Japón, ONU (1992), Patterns of Fertility in Low Fertility Set- tings (Nueva York, ONU), y US Department of Health and Human Services (1993), Monthly Vital Statistics Report 42(3) suplemento; para los países en vías de desarro- llo, ONU (1987), Fertility Behaviour in the Context of Development, Nueva York, ONU. Compilado y elaborado por Bruce et al., 1995. En la década de los noventa, se ha estabilizado en Europa el número de divorcios frente a los matrimonios, pero se debe fundamentalmente a la reducción del número de matrimonios desde 1960, así que la cifra total y la proporción de hogares con dos progenitores casados ha descendido de forma considerable 14 . La figura 4.2 muestra la tendencia general a la reducción de los primeros matrimonios en los países de la Unión Europea 14 Alberdi, 1995.
  • 172.
    172 El poderde la identidad Q 1960-64 Blancas Negras Hispanas (pueden ser de cualquier raza) FIGURA 4.4 Porcentaje de mujeres (15-34 años) con un primer alumbramiento después de su primer matrimonio, por raza y origen étnico, en los Estados Unidos, 1960-1989. Fuente: Oficina del Censo de los Estados Unidos, 1992a. y la figura 4.3 presenta la evolución de la tasa bruta de matrimonios para los países seleccionados en zonas diferentes del mundo. Con la excepción de México y Alemania, hay un descenso durante el periodo de veinte años, con una caída significativa en Japón. El retraso en la edad de matrimonio también es una tendencia casi universal y particularmente importante en el caso de las mujeres jóvenes. El cuadro 4.4 muestra el porcentaje de las mujeres de 20-24 años que nunca se han casado. Las fechas posteriores son muy diversas, así que es difícil establecer comparaciones, pero, con la excepción de Ghana y Sene- gal, entre un tercio y dos tercios de las mujeres jóvenes no se han casado; con la excepción de España y Sri Lanka, la proporción de mujeres no ca-
  • 173.
    El fin delpatriarcado: movimientos sociales, familia y sexualidad... 173 sadas de 20-24 años ha aumentado desde 1970. En el ámbito mundial, la proporción de mujeres casadas de quince años y mayores descendió del 61 % en 1970 al 56% en 198515 . Una proporción creciente de niños nacen fuera del matrimonio en los países desarrollados (cuadro 4.5) y la observación más importante con- cierne a la tendencia: en los Estados Unidos, la proporción saltó del 4,5% del total de nacimientos en 1970 al 28% en 1990. El fenómeno presenta una diferenciación étnica: alcanza el 70,3% para las mujeres afroamerica- nas de la cohorte de 15-34 años (figura 4.4). En los países escandinavos, los embarazos de hijos fuera del matrimonio en los años noventa suponen cerca del 50% del total de embarazos16 . CUADRO 4.6 Tendencias en los hogares monoparentales, como porcentaje del total de hogares con hijos dependientes y al menos un progenitor residente, en países desarrollados. País Comienzos de los setenta Mediados de los ochenta (ant.) Alemania Occ 8,0 11,4 Australia 9,2 14,9 Francia 9,5 10,2 Japón 3,6 4,1 Suecia 15,0 17,0 Reino Unido 8,0 14,3 Estados Unidos 13,0 23,9 (ant.) Unión Soviética 10,0 20,0 Nota: Los hogares de un solo progenitor son aquellos con hijos dependientes y un progenitor residente. Fuente: Ailsa Burns (1992), «Mother-headed families; an ¡nternational perspective and trie case of Australia», Social Policy Report 6(1). Compilado y elaborado por Bruce eí al., 1995. CUADRO 4.7 Tendencias porcentuales de los hogares cuya cabeza de fami- lia de jure es una mujer. Región/país Fecha anterior % Fecha posterior % Datos de investigación demográfica Asia Indonesia Sri Lanka Tailandia 1976 1975 1975 15,5 15,7 12,5 1987 1987 1987 13,6 17,8 20,8 15 ONU, 1991. 16 Alberdi, 1995; Bruce etal, 1995.
  • 174.
    174 I ílpoder de la identidad CUADRO 4.7 (Cont.) Región/país Fecha anterior América Latina/Caribe Colombia 1976 República Dominicana 1975 Ecuador 1979 México 1976 Perú" 1977/78 Trinidad y Tobago 1977 Oriente P./África del N. Marruecos 1979/80 África subsahariana Ghana 1960 Sudán 1978/79 Datos del censo Asia Hong Kong 1971 Indonesia 1971 Japón 1980 Corea 1980 Filipinos 1970 América Latina/Caribe Brasil 1980 Costa Rica 1984 Panamá 1980 Perú 1981 Uruguay 1975 Venezuela 1981 África subsahariana Burkina Faso 1975 Camerún 1976 Mali 1976 % Fecha posterior % 17,5 20,7 15,0 13,5 14,7 22,6 1986 1986 1987 1987 1986 1987 18,4 25,7 14,6 13,3 19,5 28,6 11,5 22,0 16,7 1987 1987 1989/90 17,3 29,0 12,6 23,5 16,3 15,2 14,7 10,8 14,4 17,5 21,5 22,1 21,0 21,8 5,1 13,8 15,1 1991 1980 1990 1990 1990 1989 1992 1990 1991 1985 1990 1985 1987 1987 25,7 14,2 17,0 15,7 11,3 20,1 20,0 22,3 17,3 23,0 21,3 9,7 18,5 14,0 Nota: de jure= cabeza de familia «usual». " de facto= cabeza de familia el día de la entrevista. Fuentes: Encuestas demográficas: para Ghana, Cynthia B. Lloyd y Anastasia J. Gage-Brandon (1993), «Women's role in maintaining households: family welfare and sexual ¡nequality in Ghana», Population Studies 47(1), págs. 115-131; para Ecuador, Keiko Ono-Osaku, y A. R. Themme (1993), «Comparative analysis of recent changes in households in Latin America», en IUSSP, Proceedings of Conference on the Ame- ricas, Vera Cruz; para todos los demás países, Mohamed Ayad et al. fl994), Demo- graphic Characteristics of Housesholds, Demographic and Health Surveys Compara- tive Studies na 14, Calverton, Maryland, Macro International Inc; censos: ONU (1995), The World's Women 1970-1995: Trends and Statistics, Nueva York, ONU. Compilado y elaborado por Bruce et al., 1995.
  • 175.
    II lili delpnlniímiilo: nmvimii-nlos sociales, lamilla y sexualidad 175 CUADRO 4.8 Indicadores de cambios recientes en la formación de la fami- lia y el hogar: países occidentales seleccionados, 1975-1990. Región y país Escandinavia Suecia Europa del N. Alemania Oc. ... Suiza Bélgica Europa del S. España Italia Grecia Malta Norteamérica Estados Unidos. Oceanía Australia Nueva Zelanda. Mujeres 20-24 en unión libre ca. 1985-90 (%) — 44 43 28 26 23 24 24 18 — — 18 4 7 3 3 1 8 15 6 12 Nacimientos extramaritales ca. 1988 <%) 52 52 45 34 19 11 25 26 10 23 6 12 10 13 14 8 6 2 2 1 26 21 19 25 Incremento de nacimientos extramaritales 1975-88 (%) 19 19 23 23 9 8 16 18 4 8 2 8 7 8 7 6 3 1 1 0 12 14 7 9 Hogares de un solo progenitor con hijos ca. 1985 <%l — 32 26 23 15 19 14 10 13 15 9 18 15 7 — 11 16 — 28 26 15 Fuentes: Consejo de Europa (varios números); European Valúes Studies, 1990 Round; Moors y Van Nimwegen, 1990; ONU (varios años, 1990; comunicación per- sonal de Larry Bumpass (Estados Unidos), Peter McDonald, Lincoln Day (Australia), Thomas Burch (Canadá), lan Pool (Nueva Zelanda). Compilado por Lesthaeghe, 1995.
  • 176.
    17(1 El poderde la identidad Como resultado tanto de las separaciones como de la maternidad indi- vidual, la proporción de hogares de un solo progenitor con hijos depen- dientes (por lo general, con una mujer como cabeza de familia) aumentó, entre comienzos de los años setenta y mediados de los ochenta, en los paí- ses desarrollados (cuadro 4.6) y la tendencia ascendente ha continuado en la década de los noventa en los Estados Unidos (véase más adelante). Para los países en vías de desarrollo, puede detectarse una tendencia si- milar según las estadísticas sobre los hogares cuya cabeza de familia de jure es una mujer. El cuadro 4.7 muestra una tendencia general ascen- dente en la proporción de hogares cuya cabeza de familia es una mujer entre mediados de los años setenta y mediados/finales de los ochenta (con algunas excepciones, por ejemplo, Indonesia), destacando Brasil con más del 20% de sus hogares en esta categoría en 1989, por encima del 14% de 1980. CUADRO 4.9 Porcentaje de hogares de una persona sobre el total de hoga- res de los países seleccionados, 1990-1993. País Año Total Hogares de % hogares una persona (en miles) (en miles) Alemania3 1993 36.230 12.379 34,2 Bélgica 1992 3.969 1.050 26,5 Dinamarca" 1993 2.324 820 35,3 Francia 1992 22.230 6.230 28,0 Grecia 1992 3.567 692 19,4 Gran Bretaña 1992 23.097 6.219 26,9 Irlanda 1991 1.029 208 20,2 Italia 1992 19.862 4.305 21,7 Luxemburgo 1992 144 34 23,6 Países Bajos 1992 6.206 1.867 30,1 Portugal 1992 3.186 399 12,5 España 1992 11.708 1.396 11,9 Estimaciones Finlandia 1993 2.120 716 33,8 Austria 1993 3.058 852 27,9 Suecia 1990 3.830 1.515 39,6 Estados Unidos 1993 96.391 23.642 24,5 Japón 1993 41.826 9.320 22,3 a Datos del microcenso, abrií de 1993. b No se incluyen los datos de las islas Feroe y Groenlandia. Fuente: Statistisches Bundesamt 0995), Statistisches Jahrbuch 1995 fuer das Aus- land, Wiesbaden, Metzer and Poeschell.
  • 177.
    II tui del|ialtiauacln imivimicntos sociales, fiimiliii y scxuulkliul... 177 Uniendo los diversos indicadores de la formación de hogares, Lesthac- ghe confeccionó el cuadro 4.8 para los países de la OCDE, cuyos datos contrastan la Europa del Norte y Norteamérica con la Europa del Sur, donde mejor resisten las estructuras de la familia tradicional. Aun así, ex- cepto en Irlanda y Suiza, los hogares de un solo progenitor con hijos a me- diados de los años ochenta representaban entre el 11 y el 32% del total. El cuadro 4.9 muestra el porcentaje de los hogares de un solo miem- bro para los países seleccionados a comienzos de los años noventa. Me- rece una observación detenida: con la excepción de la Europa del Sur, os- cila entre el 20% y el 39,6% del total, con el 26,9% para el Reino Unido, el 24,5% para los Estados Unidos, el 22,3% para Japón, el 28,0% para Francia, y el 34,2% para Alemania. Obviamente, la mayoría de estos ho- gares están formados por un anciano solo, por lo cual el envejecimiento de la población explica buena parte del fenómeno. De todos modos, el hecho de que entre un quinto y más de un tercio de los hogares sean de una sola persona pone en entredicho la difusión del modo de vida patriar- cal. De paso, la resistencia de las familias patriarcales tradicionales en Ita- lia y España se cobra su tributo: las mujeres la contrarrestan dejando de tener hijos, de tal modo que ambos países son los que presentan la tasa de fecundidad más baja del mundo, por debajo de la tasa de reemplazo gene- racional (1,2 para Italia; 1,3 para España)I7 . Además, en España la edad de emancipación es también la más alta de Europa: veintisiete años para las mujeres, veintinueve para los hombres. El desempleo generalizado en- tre los jóvenes y la aguda crisis de la vivienda contribuyen a mantener unida a la familia tradicional, al coste de crear muy pocas familias y dete- ner la reproducción de los españoles1S . De hecho, ésta es la consecuencia más evidente de la crisis de la fa- milia patriarcal: el abrupto descenso de las tasas de fecundidad en los países desarrollados, por debajo de la tasa de reemplazo generacional (véase la figura 4.5 para los países europeos). En Japón, la tasa de fe- cundidad total ha estado por debajo del nivel de reemplazo desde 1975, alcanzando 1,54 en 199019 . En los Estados Unidos, la tasa total de fe- cundidad ha descendido de forma pronunciada en las tres últimas déca- das, desde su pico histórico más alto a finales de los años cincuenta, para alcanzar un nivel inferior a la tasa de reemplazo durante las déca- das de los setenta y los ochenta, hasta estabilizarse a comienzos de los años noventa en torno al nivel de reemplazo de 2,1. Sin embargo, el nú- mero de nacimientos aumentó debido a la llegada de las cohortes del baby boom a la edad de la procreación (fig. 4.6). El cuadro 4.10 mues- tra la tasa total de fecundidad por regiones principales del mundo, con 17 Alberdi, 1995. 18 Leal et ai, 1996. 19 Tsuya y Masón, 1995.
  • 178.
    I/K lil pwtciilc l¡i identidad Irlanda Luxemburgo Suiza y República Federal Alemana 1960 65 70 75 80 85 90 1960 65 70 75 80 85 90 4- 3.5- 3- 2.5- 2- 1.5- 1-j Irlanda Noruega* """^ ** /y /-. x - ^ ' •vr ^ ^ / Suecia y . Finlandia ^ - ' Dinamarca 3.5- 3- 2.5- 1.5 Yugoslavia Portugal Grecia 1 -I 1 i i 1 1 1— 1960 65 70 75 80 85 90 4H 3.5 2.5- Polonia Rumania V A/Checoslovaquia Hungría V / Bulgaria / República Democrática Alemana — i 1 1 1 1 1 — 1960 65 70 75 80 85 90 FIGURA 4.5 índice sintético de fecundidad en los países europeos desde 1960. Fuente: Alberdi, 1995.
  • 179.
    II lili deIpiíliiaiciiilii tiioviiiiit'iilos sociales, hmuli.i y sexualidad... Tasa total de tecundidad (por 1000 mujeres) Nacimientos (miles) 4500 4000 H I7l > 3500 3000 2500 2000 1500 5000 4500 -4000 -3500 3000 -2500 2000 1920 FIGURA 4.6 Tasa total de fecundidad y número de nacimientos en los Estados Unidos, 1920-1990 (tasa total de fecundidad = número de hijos que las mujeres tendrían al final de su periodo fértil basado en las tasas de nacimientos por edades de un solo año). Fuente: Oficina del Censo de los Estados Unidos, 1992a. proyecciones hasta mediados de los años noventa. En general, ha des- cendido en las dos últimas décadas y en las regiones más desarrolladas ha caído por debajo de la tasa de reemplazo y ahí permanece. Sin em- bargo, ha de tenerse en cuenta que no hay una ley de hierro de la po- blación. Anna Cabré ha expuesto la relación que existe entre la recu- peración de la tasa de fecundidad en Escandinavia durante los años ochenta, la generosa política social y la tolerancia de la sociedad en esta privilegiada zona del mundo20 . Por ello, más del 50% de los niños se concibieron en una relación extramarital. En condiciones de respaldo psicológico y material, y sin sufrir sanciones en su vida laboral, las mu- jeres escandinavas volvieron a tener hijos y sus países presentaron en la década de los ochenta la tasa de fecundidad más elevada de Europa. Sin embargo, el cuadro reciente no es tan rosa. Las restricciones en el estado de bienestar escandinavo redujeron el apoyo y, en consecuencia, a comienzos de los años noventa, las tasas de fecundidad se estabiliza- ron en los niveles de reemplazo21 . Asimismo, en diversos países, sobre 20 Cabré, 1990; Cabré y Domingo, 1992. 21 Alberdi, 1995.
  • 180.
    180 El poderde la identidad todo en los Estados Unidos, la tasa total de fecundidad está ascen- diendo por la población inmigrante, con lo cual se está reforzando la multietnicidad y el multiculturalismo. Una de las diferencias sociocultu- rales más importantes podría ser la conservación del patriarcado entre las comunidades inmigrantes de las minorías étnicas, en contraste con la desintegración de las familias tradicionales entre los grupos étnicos au- tóctonos (negro y blanco) en las sociedades industrializadas. Por su- puesto, esta tendencia se autorreproduce, aun contando con una reduc- ción de la tasa de nacimientos de las minorías inmigrantes tan pronto como mejoran su economía y su educación. CUADRO 4.10 Tasa total de fecundidad por principales regiones del mundo. 1970-75 1980-85 1990-95' Mundo 4,4 3,5 3,3 Regiones desarrolladas 2,2 2,0 1,9 Regiones subdesarrolladas 5,4 4,1 3,6 África 6,5 6,3 6,0 Asia 5,1 3,5 3,2 Europa 2,2 1,9 1,7 América 3,6 3,1 — Latina — — 3,1 del Norte — — 2,0 Oceanía 3,2 2,7 2,5 URSS 2,4 2,4 2,3 " 1990-1995 son proyecciones. Fuentes: ONU, World Population Prospects, estimaciones efectuadas en 1984; Na- ciones Unidas, World Population at the Turn ofthe Century, 1989, pág. 9; Fondo de Población de Naciones Unidas, The State of World Population: Choices and Respon- sibilities, 1994. En general, parece que en la mayoría de los países desarrollados, con las excepciones importantes de Japón y España, la familia patriarcal está en proceso de convertirse en una forma minoritaria del modo de vida de la gente. En los Estados Unidos, sólo en torno a un cuarto de los hogares totales en los años noventa cumple con el tipo ideal de una pareja casada con hijos (véase más adelante). Si añadimos la calificación «con los hijos biológicos de la pareja», la proporción desciende notablemente. Sin duda, no todo es liberación de las mujeres. La estructura demográfica tiene algo que ver: otro cuarto de los hogares de los Estados Unidos son de una sola persona y en su mayoría son de gente anciana, sobre todo de mujeres que han sobrevivido a sus esposos. No obstante, un estudio estadístico reali-
  • 181.
    II fin delputriuruado: movimientos sociales, familia y sexualidad... 181 /.ado por Antonella Pinelli sobre las variables que condicionan la nueva conducta demográfica en Europa, concluye que: vemos que la inestabilidad matrimonial, la unión libre y los nacimientos extrama- ritales se dan donde se otorga un alto valor a los aspectos no materiales de la cali- dad de vida y donde las mujeres disfrutan de independencia económica y un po- der político relativamente grande. Debe hacerse hincapié en las condiciones de las mujeres. El divorcio, la unión libre y la fertilidad extramarital están más exten- didos allí donde las mujeres disfrutan de independencia económica y están en po- sición de afrontar la posibilidad de ser una madre sola sin convertirse, por esta ra- zón, en un sujeto social en riesgo22 . Sin embargo, sus conclusiones han de corregirse con la observación de que ésta es sólo parte de la historia. Los niños nacidos fuera del matrimo- nio en los Estados Unidos son tanto resultado de la pobreza y la falta de educación como de la autoafirmación de las mujeres. No obstante, la ten- dencia general, como muestran unas cuantas ilustraciones estadísticas, se dirige al debilitamiento y la disolución potencial de las formas de familia tradicional de dominio patriarcal incuestionado, con la mujer y los hijos agrupados en torno al esposo/padre. En los países en vías de desarrollo, operan tendencias similares en las áreas urbanas, pero las estadísticas nacionales, que principalmente son re- flejo de sociedades rurales tradicionales (sobre todo en África y Asia), minimizan el fenómeno, pese a lo cual aún se pueden detectar algunas huellas. La excepción española está ligada fundamentalmente al desem- pleo de los jóvenes y a una severa escasez de vivienda, que impide la for- mación de nuevos hogares en las grandes áreas metropolitanas23 . En cuanto a Japón, las tendencias culturales, como la vergüenza que despier- tan los nacimientos extramaritales, ayudan a consolidar el patriarcado, aunque las tendencias recientes parecen estar erosionando la ideología patriarcal y la relegación de las mujeres al mercado laboral secundario24 . Pero mi hipótesis sobre la excepcionalidad japonesa en la conservación de la estructura patriarcal es que se debe, sobre todo, a la ausencia de un movimiento feminista significativo. Como tal movimiento está aumen- tando en los años noventa, me atrevo a pronosticar que en este asunto, como en tantos otros, el fin de la singularidad japonesa es, hasta cierto punto, cuestión de tiempo. Sin negar su especificidad cultural, las fuerzas que operan en la estructura de la sociedad y en las mentes de las mujeres son tales que hasta el propio Japón tendrá que habérselas con el desafío al patriarcado por parte de las mujeres trabajadoras25 . 22 Pinelli, 1995, pág. 88. 23 Lealeía/., 1996. 24 Tsuya y Masón, 1995. 25 Gelb y Lief-Palley, 1994.
  • 182.
    IK2 III poderili- lii KICIIIHIIKI Si las tendencias actuales continúan expandiéndose por todo el mundo, y mi hipótesis es que así será, las familias, según las hemos conocido, se con- vertirán, en diversas sociedades, en una reliquia histórica no demasiado le- jos en el horizonte temporal. Y el tejido de nuestras vidas se habrá transfor- mado, puesto que ya sentimos, a veces dolorosamente, las palpitaciones de este cambio. Pasemos ahora a analizar las tendencias que subyacen en las raíces de esta crisis y, esperemos, también en la fuente de nuevas formas de convivencia entre mujeres, niños, animales domésticos e incluso hombres. MUJER Y TRABAJO El trabajo, la familia y los mercados laborales han sufrido una profunda transformación en el último cuarto de este siglo debido a la incorporación masiva de las mujeres al trabajo remunerado, en la mayoría de los casos fuera de su hogar26 . En el conjunto mundial, 854 millones de mujeres eran económicamente activas en 1990, representando el 32,1% de la mano de obra global. Entre las mujeres mayores de quince años, el 41% eran econó- micamente activas27 . En los países de la OCDE, la tasa media de participa- ción de las mujeres en la mano de obra ascendió del 48,3% en 1973 al 61,6% en 1993, mientras que la de los hombres descendió del 88,2% al 81,3% (véase el cuadro 4.11). En los Estados Unidos, la tasa de participa- ción laboral de las mujeres ascendió del 51,1% en 1973 al 70,5% en 1994. Las tasas de aumento del empleo para 1973-1993 también indican una ten- dencia ascendente general para las mujeres (invertida en algunos países eu- ropeos en la década de los noventa) y un diferencial positivo frente a los hombres (cuadro 4.12). Cabe observar tendencias similares en todo el mundo. Pasando a la clasificación estadística de «tasa de actividad econó- mica» de la ONU (cuyos porcentajes son más bajos que los de la participa- ción en la mano de obra), los cuadros 4.13 y 4.14 muestran una tendencia ascendente similar en la tasa de actividad económica de las mujeres, con la excepción parcial de Rusia, que ya tenía un elevado nivel en 1970. La entrada masiva de las mujeres en la mano de obra remunerada se debe, por una parte, a la informacionalización, la interconexión y la glo- balización de la economía y, por la otra, a la segmentación por géneros del mercado laboral, que aprovecha las condiciones sociales específicas de las mujeres para incrementar la productividad, el control de gestión y, en definitiva, los beneficios28 . Estudiemos algunos indicadores estadís- ticos2<) . 26 Kahne y Giele, 1992; Masón y Jensen, 1995. 21 ONU, 1995. 28 Kahne y Giele, 1992; Rubín y Riney, 1994. 29 Véase Blumstein y Schwartz, 1983; Cobble, 1993; OCDE, 1993-1995, 1994a, b, 1995; Masón y Jensen, 1995; ONU, 1995.
  • 183.
    CUADRO 4.11 Tasasde participación en la mano de obra por sexo (%). Hombres Mujeres 1973 1979 1983 1992 1993 1994a 1973 1979 1983 Alemania 8ÍU3 84^9 82~6 79^0 78^6 — 50/3 52^2 52^5 Australia 91,1 87,6 85,9 85,3 85,0 84,9 47,7 50,3 52,1 Austria 83,0 81,6 82,2 80,7 80,8 — 48,5 49,1 49,7 Bélgica 83,2 79,3 76,8 72,6 — — 41,3 46,3 48,7 Canadá 86,1 86,3 84,7 78,9 78,3 — 47,2 55,5 60,0 Dinamarca 89,6 89,6 87,6 88,0 86,0 — 61,9 69,9 74,2 España 92,9 83,1 80,2 75,1 74,5 73,9 33,4 32,6 33,2 Estados Unidos 86,2 85,7 84,6 85,3 84,9 85,4 51,1 58,9 61,8 Finlandia 80,0 82,2 82,0 78,5 77,6 77,1 63,6 68,9 72,7 Francia 85,2 82,6 78,4 74,7 74,5 — 50,1 54,2 54,3 Grecia 83,2 79,0 80,0 73,0 73,7 — 31,1 32,8 40,4 Irlanda6 92,3 88,7 87,1 81,9 — — 34,1 35,2 37,8 Italia 85,1 82,6 80,7 79,1 74,8 — 33,7 38,7 40,3 Japón 90,1 89,2 89,1 89,7 90,2 90,1 54,0 54,7 57,2 Luxemburgo 93,1 88,9 85,1 77,7 — — 35,9 39,8 41,7 Noruega 86,5 89,2 87,2 82,6 82,0 82,3 50,6 61,7 65,5 Nueva Zelanda 89,2 87,3 84,7 83,0 83,3 — 39,2 45,0 45,7 Países Bajos 85,6 79,0 73,7 80,8 — — 29,2 33,4 40,3 Portugal — 90,9 86,9 82,3 82,5 82,8 — 57,3 56,7 Reino Unido 93,0 90,5 87,5 84,5 83,3 81,8 53,2 58,0 57,2 Suecia 88,1 87,9 85,9 81,8 79,3 78,1 62,6 72,8 77,6 Suiza 100,0 94,6 93,5 93,7 92,5 91,0 54,1 53,0 55,2 Norteamérica 86,2 85,8 84,6 84,6 84,2 — 44,7 48,6 49,8 Europa OCDEd 88,7 84,8 82,3 79,2 80,1 — 44,7 48,6 49,8 Total OCDEd 88,2 85,9 84,3 82,9 81,3 — 48,3 53,1 55,1 a Estimaciones del Secretariado b 1991 en lugar de 1992 para Irlanda y Luxemburgo. c Los datos de la mano de obra incluyen un número considerable de personas de menos de quince años. d Países citados solamente. 7992 7993 7994a 61,3 62,3 58,0 54,1 65,1 79,0 42,0 69,0 70,7 58,8 42,7 39,9 46,5 62,0 44,8 70,9 63,2 55,5 60,6 64,8 77,7 58,5 56,9 56,9 61,9 61,4 62,3 58,9 — 65,3 78,3 42,8 69,0 70,0 59,0 43,6 — 43,3 61,8 — 70,8 63,2 — 61,3 64,7 75,7 57,9 60,6 60,6 61,6 — 63,2 — — — — 43,9 70,5 69,8 — — — — 61,8 — 71,3 — — 62,2 64,5 74,6 56,9 — — — Fuente: OCDE, Employment Outlook, 1995.
  • 184.
    Cuadro 4.12 Empleototal por sexo (tasa de crecimiento medio anual en porcentajes). Hombres Mujeres 1973-75 1975-79 1979-83 1983-91 1992 1993 1973-75 1975-79 1979-83 1983-91 1992 Alemania ^ Ü 0^3 ^05 ÓlF ^0¿ — ^U¡ OS) -0$ 2 ^ T/T Australia -0,3 0,6 -0,1 1,5d -0,3 0,0 2,0 1,7 2,0 3,9d 0,6 Austria -1,1 0,8 0,9 0,7 0,8 — -1,2 1,0 0,8 2,1 3,3 Bélgica -0,4 -0,4 -1,8 0,0 -1,1 — 0,8 0,9 0,2 2,0 0,5 Canadá 1,9 1,8 -0,6 1,1 -1,2 1,2 4,7 4,5 2,6 2,8 -0,4 Dinamarca -1,8 0,7b -1,7 0,9 — — -0,5 3,6b 1,9 -0,1 -6,5 España -0,2 -1,7" -1,8 0,8 -3,2 -5,4 -1,5 -1,3" -1,7 3,0 0,3 Estados U -0,6 2,5 -0,3 1,3 0,3 1,3 2,0 5,0 1,7 2,4 0,9 Finlandia 0,7 -0,6b 0,9 -0,5 -7,6 -5,9 2,0 -0,0b 1,9 -0,1 -6,5 Francia -0,4 -0,2 -0,7 -0,1 -1,2 — 0,8 1,6 0,7 1,4 0,5 Grecia -0,5 0,8 0,6 0,1 — — 1,6 1,1 4,1 0,7 — Irlanda -0,2 1,5 -1,4 -0,5 — — 1,6 2,0 1,9 1,1 — Italia 0,6 -0,1 0,0 0,1 -1,1 —h 2,4 2,7 1,3 1,6 0,3 Japón 0,5 0,7 0,8 1,1 1,1 0,6 -1,7 2,0 1,7 1,7 1,0 Luxemburgo 1,0 -0,7 -0,7 2,3' — — 4,6 1,5 1,8 3,3f — Noruega 0,9 1,1 -0,2 -0,4 -0,5 -0,5 2,9 4,4 1,8 1,4 -0,1 Nueva Zelanda 2,1 0,2 -0,3 -1,0" 0,4 — 5,2 2,7 0,8 1,3" 0,6 Países Bajos -1,5 0,3 -0,8 2,1 1,3 — 2,9 2,7 4,0 5,3 3,2 Portugal -1,3a 0,3 0,4° 1,0 —° -2,8 -1,5a 0,9 1,1c 3,0 —o Reino Unido -1,0 -0,2 -2,3 0,4 -3,3 -2,8 1,5 1,2 -1,0 2,3 -1,0 Suecia 1,0 -0,3 -0,6 0,1c -5,1 -7,9 4,2 2,0 1,3 0,9C -3,5 Suiza -2,8 -0,5 0,8 0,8 -2,1 -2,5 -1,9 0,6 2,0 1,6 -2,4 Norteamérica -0,4 2,4 -0,4 1,2 0,2 1,3 2,2 4,9 1,8 2,4 0,8 Europa OCDE1 -0,8 -0,2 -0,8 0,4 -2,0 — 1,2 1,4 0,5 2,0 -0,3 Total OCDE¡ -0,4 0,9 -0,3 0,9 -1,4 — 1,0 2,8 1,2 2,2 -0,1 a Interrupción en la serie entre 1973 y 1974.b Interrupción en la serie entre 1975 y 1976. c Interrupción en la serie entre 1982 y 1983. d Interrupción en la serie entre 1985 y 1986. e Interrupción en la serie entre 1986 y 1987.f Los datos se refieren a 1983-1990. 0 Interrupción en la serie entre 1991 y 1992.h Interrupción en la serie entre 1992 y 1993.' Sólo los países citados. 1993a 0,8 1,1 -6,3 -2,4 1,5 -6,3 -0,3 0,5 -1,2 -1,3 -6,2 -2,5 1,5 Fuente: OCDE, Employment Outlook, 1995.
  • 185.
    El fin delpatriarcado: movimientos sociales, familia y sexualulíiol... 80 -, i 8 •§. 70 E a> I8 50 i-30 Canadá EE.UU RU J^Dinamu i n a i i i . - ^ ^ Suecia Finlandia Turquía 30 x^ 50 60 70 Tasas de participación femenina 80 FIGURA 4.7 Aumento del empleo en el sector servicios y de las tasas de participación femenina, 1980-1990. Fuente: OCDE (1994b), Anexo estadístico, cuadros A y D. Cuando analicé la transformación de la estructura del empleo en la economía informacional (vol. I, cap. 4), expuse el incremento del empleo en servicios y, dentro de los servicios, el papel estratégico desempeñado por dos categorías distintivas de servicios: los servicios a la empresa y los servicios sociales, característicos de la economía informacional, como pre- vieron los primeros teóricos del postindustrialismo. La figura 4.7 muestra la convergencia entre el incremento de los servicios y el del empleo feme- nino en 1980-1990. La figura 4.8a presenta la concentración de mujeres en empleos de servicios en diferentes zonas del mundo. Sin embargo, debe tenerse en cuenta que, en la mayor parte del mundo, la mayoría del tra- bajo sigue siendo agrícola (pero no por mucho tiempo) y, por lo tanto, la mayor parte de las mujeres aún trabajan en la agricultura: el 80% de las mujeres económicamente activas del África subsahariana y el 60% del sur de Asia. En el conjunto mundial, en torno a la mitad de las mujeres eco- nómicamente activas están en el sector servicios30 La proporción es mu- cho más elevada en la mayoría de los países desarrollados y ha venido creciendo a lo largo del tiempo, hasta alcanzar en torno al 85% de la 30 ONU, 1991.
  • 186.
    I«> El poderde la identidad CUADRO 4.13 Tasa de actividad económica, 1970-1990. OCDE Alemania Canadá EE.UU. F. Rusa Francia Italia Japón (14+) Total Hombres Mujeres (15+) Total Hombres Mujeres (16+) Total Hombres Mujeres (16+) Total Hombres Mujeres (15+) Total Hombres Mujeres (14+) Total Hombres Mujeres (15+) Total Hombres Mujeres Reino Unido (16+) Total Asia China Corea India Indonesia América Lati Argentina Brasil México Hombres Mujeres (15+) Total Hombres Mujeres (15+) Total Hombres Mujeres (15+) Total Hombres Mujeres (15+) Total Hombres Mujeres na (14+) Total Hombres Mujeres (10+) Total Hombres Mujeres (12+) Total Hombres Mujeres 7970 43,9 59,2 30,0 40,9(71) 53,3 28,4 41,8 53,9 30,2 48,4 52,1 45,3 42,0(71) 55,2 29,4 36,6 54,7 19,3 51,0 63,4 39,1 42,5 51,7 33,0 44,25 33,0 42,8 23,2 32,9(71) 52,5 11,9 34,9(71) 47,3 22,8 38,5 57,9 19,4 31,7 10,5 13,1 26,9 43,6 10,2 7975 43,4 57,1 30,9 44,6(76) 55,6 33,8 44,5 55,6 33,9 42,6 55,1 30,5 35,4 52,2 19,4 48,6 62,3 35,2 52,3(82) 57,3 47,0 38,5 46,9 30,0 27,6 42,9 12,0 7980 44,9 58,4 32,6 49,1 56,8 41,8 51,7(79) 55,7 48,1 43,3 54,4 32,7 40,2 55,2 26,0 48,4 60,2 36,8 47,3(81) 59,4 35,8 37,9 46,3 29,3 35,5 48,1 23,5 38,5 55,1 22,0 36,3 53,1 19,8 33,0 48,2 18,2 1985 43,4(86) 52,6 34,6 41,1 54,6 28,2 51,5 63,6 39,8 37,5 55,3 19,9 1990 49,6 60,8 39,2 44,4(92) 50,2 55,0 45,8 44,8 51,6 38,2 42,0 54,3 30,3 51,7 62,4 41,3 50,3 58,4 42,6 37,5(91) 51,6 22,3 38,1 55,4 21,0 41,9 56,3 27,9 29,6 46,2 13,6
  • 187.
    El fin delpatriarcado: movimientos sociales, familia y sexualidad... 187 CUADRO 4.13 (Cont.) 1970 1975 1980 1985 1990 23,6 42,4 4,4 30,3 40,7 19,7 África Argelia Nigeria (6+) Total Hombres Mujeres (14+) Total Hombres Mujeres Oriente Próximo Egipto (6+) Total Hombres Mujeres 21,7(66) 42,2 1,8 27,9(71) 51,2 4,2 30,2(76) 54,2 5,5 31,6 49,3 13,5 Nota: Tasa de actividad económ¡ca= población económicamente activa/población total. Fuente: OIT, Yearbook of Labour Statistics, 1970-1994. CUADRO 4.14 índice de aumento de la tasa de actividad económica de las mujeres, 1970-1990. 7970 7990 Crecimiento (%) Francia 29,4 38,2 29,9 Alemania 30,0 39,2 30,7 Italia 19,3 30,3 57,0 Japón 39,1 41,3 5,6 Reino Unido 33,0 42,6 29,1 Estados Unidos 30,2 44,4 47,0 Rusia 45,3 45,8 1,1 India 11,9 22,3 87,4 Argentina 19,4 21,0 8,2 México 10,2 13,6 33,3 Brasil 13,1 27,9 113,0 Argelia 1,8 4,4 144,4 Egipto 4,2 13,5 221,4 Nota: Tasa de actividad económica= población económicamente activa/población total. Fuente: OIT, Yearbook of Labour Statistics, 1970-1994.
  • 188.
    IKH íi podt'iJe I» iilciilulud o oo en a> T3 ro "• 5Í. ' 3 E a> "O CD BC CU O O CL Regiones desarrolladas Profesionales/técnicas Oficina y servicios África y Caribe América Latina Asia y Pacífico DVentas I Fabricación, ' transporte Administración, gestión FIGURA 4.8a Porcentaje de mujeres en la mano de obra por tipo de empleo Fuente: Preparado por la Oficina de Estadística del Secretariado de la ONU (1991) a partir del Yearbook of Labour Statistics (varios años) de la Oficina Internacional de Trabajo. mano de obra femenina en los Estados Unidos y el Reino Unido. Sin em- bargo, el aspecto más significativo es en qué tipo de servicios trabajan. Como muestra el cuadro 4.15, en la mayoría de los países desarrollados, el grueso del empleo femenino se encuentra en los servicios sociales y los servicios personales. No obstante, si calculamos la tasa de crecimiento de cada tipo de servicio en el empleo femenino total, para el periodo de 1973- 1993 (cuadro 4.16), observamos un incremento espectacular en servicios a las empresas, seguido a cierta distancia por los servicios sociales/persona- les. El empleo en comercio y restaurantes es el segmento menos dinámico en la evolución del empleo de las mujeres en los países avanzados. Así pues, existe una correspondencia directa entre el tipo de servicios vincula- dos a la informacionalización de la economía y la expansión del empleo de las mujeres en los países avanzados. Se llega a una conclusión similar observando la evolución cambiante del empleo femenino por ocupa- ciones, entre 1980 y 1989, en los países de la OCDE seleccionados (cua-
  • 189.
    I I l'liidel ();ilri¡if< .!>!• • movimientos sociulcs, l.imilia y seximlidiid... IX1 ; % 100 1 o u " La esposa forma parte de la mano de obra remunerada 60- * « ^ _ ^ ^ La esposa no forma parte de '—•~>^_ la mano de obra remunerada ^ ^ - ^ " 40- _ - - " " " 20- 0 -| 1 1 1 1 1 1 1 1 1 —i— 1960 1963 1966 1969 1972 1975 1978 1981 1984 1987 1990 FIGURA 4.8b Familias de parejas casadas en las que la esposa forma parte de la mano de obra, en los Estados Unidos, 1960-1990 (no se dispone de datos para 1983). Fuente: Oficina del Censo de los Estados Unidos, 1992a. dro 4.17). En general, las categorías profesional/técnica y administrati- va/ejecutiva han aumentado más de prisa que el resto, aunque las trabaja- doras de oficina siguen suponiendo en general el grupo mayor. Las muje- res no se ven relegadas a los puestos de trabajo en servicios menos cualificados: se las emplea en toda la estructura de cualificación y el au- mento de los puestos de trabajo de las mujeres es mayor en el extremo superior de la estructura ocupacional. Por ello, precisamente, existe dis- criminación: porque realizan trabajos de cualificación similar a los hom- bres con un salario más bajo, con una gran inseguridad laboral y con me- nores posibilidades de hacer carrera hasta el nivel máximo. La globalización también ha desempeñado un papel importante en la inclusión de la mujer en la mano de obra en todo el mundo. La industria electrónica, internacionalizada desde finales de los años sesenta, empleó sobre todo a mujeres jóvenes no cualificadas en Asia31 . Las maquiladoras del norte de México cuentan fundamentalmente con mano de obra feme- nina. Y las economías de industrialización reciente han introducido en el trabajo remunerado a mujeres mal pagadas en casi todos los niveles de la estructura ocupacional32 . Al mismo tiempo, una proporción considerable 31 Salaff, 1981,1988. 32 Standing, 1990.
  • 190.
    CUADRO 4.15 Empleofemenino en servicios por actividades y grado de intensidad informacional como porcentaje del empleo total, 1973-1993. (Grado de intensidad informacionall Canadá EE.UU. Japón Alemania Italia R. Unido España 1975 1983 1993 1973 1983 1993 1973 1983 1993 1973 1983 1993 1977 1983 1993 1973 1983 1993 1977 1983 1993 1 Servicios de finanzas, seguros, inmobiliarios y empresariales 11,2 12,1 13,6 9,1 11,9 12,6 3,4 6,9 9,4 8,2 10,3 1,7 3,1 8,1 7,4 9,8 2,1 3,0 6,3 2 Servicios sociales y personales a la comunidad 40,2 40,9 43,9 41,5 41,9 46,6 22,0 24,1 26,9 34,2 38,4 31,0 34,6 36,4 36,0 42,2 28,2 35,8 41,8 2 Transporte, almacenamiento y comunicaciones 4,0 4,2 3,7 3,5 3,3 3,5 2,0 1,9 2,5 3,3 3,6 1,8 2,0 2,7 2,8 2,8 1,5 1,7 2,2 3 Comercio mayorista y minorista, restaurantes y hoteles 25,8 25,4 24,8 23,9 24,5 22,7 24,7 27,1 27,5 22,5 22,4 18,8 21,0 22,6 24,7 25,0 24,4 24,4 26,9 Actividades sin definir adecuadamente 0,2 0,2 0,4 0,1 Total 81,2 82,6 86,0 78,0 81,6 85,3 52,3 60,3 66,7 68,2 74,6 53,3 60,6 69,8 70,7 79,9 84,9 56,3 64,9 77,2 Fuente: OCDE, Labour Forcé Statistics, 1995, elaboración propia.
  • 191.
    II lili delpaliniu mío movimientos sociales, lamilla y sexualidad... l'M CUADRO 4.16 Tasas de crecimiento para cada categoría de empleo feme- nino en servicios como porcentaje del empleo femenino to- tal, 1973-19933 . Servicios Servicios Transporte, Comercio, empresariales sociales y almacenamiento, hoteles, personales comunicación restaurantes País <%) (%) (%) <%) EE. UU 38,5 12,2 0 -5,0 Japón 176,5 22,2 25 1,3 Alemania 25,6 12,3 9 -0,4 (1983-93) Italia 376,5 17,4 50 -3,9 (1977-93) Reino Unido 32,4 17,2 0 1,2 España 200,0 48,2 47 10,2 (1977-93) " Siempre que no se indiquen otras fechas de cálculo. Fuente: Elaboración de los datos del cuadro 4.15. del empleo urbano para las mujeres en los países en vías de desarrollo si- gue estando en el sector informal, sobre todo en el suministro de comida y servicios para los habitantes de las metrópolis33 . ¿Por qué las mujeres? En primer lugar porque, en contraste con las in- formaciones erróneas publicadas en los medios de comunicación, en ge- neral ha habido una creación sostenida de puestos de trabajo en el mundo durante las tres últimas décadas, con la excepción de Europa (véase vol. I, cap. 4). Pero, incluso en Europa, la participación de la mu- jer en la mano de obra ha aumentado, mientras que la del hombre ha des- cendido. Por lo tanto, la entrada de las mujeres en el mercado de trabajo no es sólo una respuesta a la demanda laboral. Asimismo, el desempleo de las mujeres no siempre es tan elevado como el de los hombres: en 1994 era inferior al de los hombres en los Estados Unidos (6% frente a 6,2%) y en Canadá (9,8% frente a 10,7%); y era mucho más bajo que el de los hombres en 1993 en el Reino Unido (7,5% frente al 12,4%). Por otra parte, era ligeramente superior en Japón y España, y considerablemente más alto en Francia e Italia. Así pues, el aumento de la tasa de participa- ción de las mujeres en la mano de obra es independiente de su diferencial de desempleo frente a los hombres y del aumento de la demanda de mano de obra. 33 Portes et al, 1989.
  • 192.
    CUADRO 4.17 Distribucióndel empleo femenino por ocupación3 , 1980 y 1989 (%). Profesional Administrativa Oficina y Vendedoras Trabajadoras Agricultura Producción técnica y ejecutiva afines servicios y afines y afines afines País* Alemania 1980 1986 índice(1980=100) Bélgica 1993 1988 índice(1983=100) Canadá 1980 1989 índice(1980=100) España 1980 1989 índice(1980=100) Estados Unidos 1980 1989 índice(1980=100) 14,1 16,2 118,0 25,9 28,2 118,0 19,1 20,9 143,0 8,7 15,2 202,0 16,8 18,1 136,0 1,3 1,5 115,0 1,4 1,4 113,0 5,4 10,7 185,0 0,2 0,4 280,0 6,9 11,1 202,0 30,7 29,8 99,0 24,4 27,3 122,0 34,5 30,5 114,0 13,2 18,2 160,0 35,1 27,8 99,0 12,9 12,8 102,0 13,7 14,6 116,0 10,0 9,9 123,0 15,4 15,4 116,0 6,8 13,1 243,0 16,3 16,1 102,0 18,6 14,4 84,0 18,3 17,0 122,0 25,6 25,2 114,0 19,5 17,7 115,0 6,9 5,5 83,0 2,8 2,1 86,0 2,8 2,2 98,0 18,2 11,1 70,0 1,2 1,1 115,0 15,9 13,3 86,0 13,2 11,6 95,0 9,9 8,9 113,0 18,7 14,4 89,0 13,8 11,1 101,0
  • 193.
    í 5 a-o o O I " 3" m a> —3 3 ' O Q. 0) ñ' 3 CD O " Q3 Q . I * "O 0 CD G. o 3> o a> o « 3 r+ CO S a 0>_ (D (D Q3 01 Q _ Q . O CD ' !?O 2 . Q . T 3 O Cu m (D" O ™ w <0 -i X! C 0) TJ ¡ñ' O CD CO </> Q_ "O CD i»S> CD — 3 O 0) W i". o ° SÜ 3 o — « oí o. 5) CD 3 CD 3 Tl_ CD 0) Q. O C/> CD 3 1 i Q . CO- CÍ 01 en 0] o c CD a o o o 81 £° O o i.2 | ? 3 rt- s- o' CD 3 - O c CD a CD a 3 O O c T3 CU O 5' 3 CU C/5 c__ , o a. & 8 * a. £ & <= ' - ' - C O C O T r ' i i C O O O c í ) CD O °> p «O 0 ( Q ÍE. CD 00 o II <D CD Sí. ~¿ (O 00 o II o o c_ 0) • _ » _ » X J CD CD O - 0 0 0 0 3 CD O O - I - 3 Ql CD_ <D 0 0 O II O o 3 Q . o ' Cg_ CO 00 o o CD « 5 CD O 0 0 0 0 ñ' CO 0) 3 a. o' 5L t o 00 o II o o to to cu 00 00 3 CO O Q . oí ¿* co Í - M O o o b> * * W NJ - > t o u v i - » to _» CO o V b> CJ1 _ » _ > o> -t» o o V Vi v i w -» _> tfi 3 3 a. a. 00 00 00 tO O O I M (O M O O O 00 OÍ OJ p p po oo Vi •t* v i o - » N> NJ .*" -r* ,-* o lo b> NJ _ » _ » _ i CD CD - • M M (71 O) 00 O V ""-» CO _» - J - i * » N> O OJ "tO - » N i NJ CO N5 - » o Vi oo K> O CD 00 O U v i _ * _k —¿ ^ M M O - ^ 00 O - > - > * . J5. J i o V* co 00 —' 00 O tO O 00 O •t» —> CJ1 _-J 00 o ai b> O Í - » M OÍ CO N i O M M OJ M * • O N ) 00 O CO CD v i - > v i - J O V V i a> OS ,-» O 00 o OJ to o v i 00 CO OÍ o to to to -» tO ( D - » a> oo to o oo "-i NJ OÍ NJ M p a> os o a i a i CO - » v i - i tO o ai Vi CO 00 -P* a i *». _ » O O 0 5 o -» -» -i», t o a i v i _> NJ JO O Í _M O M U O) - » o> p> p o tn bi ~ j _» _» o o oí t < i l | i i : p i | l i n x n s A l l l | u u i ' | 's.l|l)ini)S S D H I . I I I I I I A n u í II|III.IJIMI|I:II | . i | i t i l | | |
  • 194.
    I'M II podríik l,i idi-iiliducl Si la demanda de mano de obra, en términos puramente cuantitativos, no explica que se acuda a las mujeres, su atractivo para quienes las em- plean debe explicarse por otras características. Creo que está bien esta- blecido en la literatura que es la vinculación social con el género de las la- bores que realizan la que las hace, en conjunto, una bolsa de trabajo atractiva34 . Sin duda, no tiene nada que ver con las características biológi- cas: las mujeres han demostrado que pueden ser bomberas y estibadoras en todo el mundo, y el agotador trabajo que realizaron en las fábricas marcó la industrialización desde sus comienzos. Tampoco, a este res- pecto, tiene nada que ver el empleo de mujeres jóvenes en la electrónica con el mito de su destreza con los dedos, sino con la aceptación social de que desgasten sus ojos en diez años de ensamblaje a través del microsco- pio. Los antropólogos han documentado cómo en los orígenes del empleo de las mujeres en las fábricas electrónicas del sureste asiático se encuen- tra el modelo de la autoridad patriarcal, que se extendía del hogar fami- liar a la fábrica, mediante el acuerdo de los directivos de la compañía y el paterfamilias35 . Tampoco parece que la razón para contratar mujeres tenga que ver con su falta de sindicalización. La causalidad aparentemente funciona al revés: las mujeres no están sindicalizadas porque suelen estar empleadas en sectores donde apenas hay sindicalización, como servicios privados a las empresas o fabricación electrónica. Aún así, constituyen el 37% de los afiliados a sindicatos en los Estados Unidos, el 39% en Canadá, el 51% en Suecia y el 30% en África, de media36 . Las obreras de la confección en los Estados Unidos y España, las mujeres de las maquiladoras mexicanas y las maestras y enfermeras de todo el mundo se han movilizado en de- fensa de sus reivindicaciones, con mayor vehemencia que los sindicatos de la siderurgia o la química, dominados por los hombres. La supuesta sumi- sión de las trabajadoras es un mito duradero de cuya falacia se han comen- zado a dar cuenta los directivos, bien a pesar suyo37 . Así pues, ¿cuáles son los principales factores inductores de la explosión del empleo femenino? El primer factor y el más obvio es la posibilidad de pagar menos por un trabajo similar. Con la expansión de la educación universal, incluida la universitaria, sobre todo en los países más desarrollados, las mujeres for- maron una bolsa de cualificación que fue aprovechada de inmediato por los empresarios. El diferencial de salario de las mujeres frente a los hom- bres persiste en todo el mundo, mientras que, como hemos visto, en los países desarrollados, las diferencias en el perfil ocupacional son peque- ñas. En los Estados Unidos, las mujeres ganaban un 60-65% de los sala- 14 Spitz, 1988; Kahne y Giele, 1992; OCDE, 1994b. ,5 Salaff, 1981. 36 ONU, 1991. 17 Cobble, 1993.
  • 195.
    El fin del}>.111un-mln iiiiiviiiiiriiliis sociales, lamilla y Kcxiiiiliriikl... I')*i rios de los hombres en los años sesenta y su porcentaje mejoró hasla el 72% en 1991, pero la principal razón de ello fue el descenso del salario real de los hombres38 . En el Reino Unido, los ingresos de las mujeres eran el 69,5% del de los hombres a mediados de los años ochenta. El 73,6% en Alemania en 1991, superando el 72% de 1980. Para Francia, las cifras correspondientes son el 80,8% y por encima del 79%. El salario medio de las mujeres es el 43% del de los hombres en Japón, el 51% en Corea, el 56% en Singapur, el 70% en Hong Kong y varía en una amplia escala entre el 44% y el 77% en América Latina39 . Quiero destacar que, en la mayoría de los casos, las mujeres no están/ sufriendo descualificación ni se las está confinando a puestos de trabajo insignificantes, sino más bien lo contrario. Con frecuencia, se las asciende a puestos que requieren una preparación amplia, iniciativa y educación, a medida que las nuevas tecnologías demandan una mano de obra autó- noma, capaz de adaptarse y reprogramar sus propias tareas, como en el caso específico de los seguros y la banca que resumí en el volumen I, capí- tulo 4. De hecho, ésta es la segunda razón importante para contratar mu- jeres, a un precio de ganga: su capacidad de relacionarse, cada vez más necesaria en una economía informacional, donde la administración de las cosas queda en segundo plano frente a la gestión de la gente. En este sen- tido, hay una extensión de la división sexual del trabajo entre la produc- ción tradicional de los hombres y la creación de hogar y relaciones socia- les de las mujeres bajo el patriarcado. Sucede que la nueva economía requiere cada vez más las destrezas que estaban confinadas al ámbito pri- vado de las relaciones para llevarlas a la primera línea de la gestión y el procesamiento de la información y la gente. Pero hay algo más que creo que probablemente es el factor más impor- tante en la expansión del empleo de las mujeres en los años noventa: su fle- xibilidad como trabajadoras40 . En efecto, las mujeres representan el grueso del empleo a tiempo parcial y temporal, y una proporción aún pequeña, pero creciente, del empleo autónomo (cuadros 4.18 y 4.19). Relacionando esta observación con los análisis presentados en el volumen I, capítulos 3 y 4, sobre la interconexión de la actividad económica y la flexibilización del trabajo como rasgos importantes de la economía informacional, parece ra- zonable sostener que la flexibilidad laboral de las mujeres en horario, tiempo y entrada y salida del mercado laboral encaja con las necesidades de la nueva economía41 . Esta coincidencia también está relacionada con el género. Puesto que el trabajo de las mujeres se ha considerado tradicional- mente complementario de los ingresos del hombre en la familia, y las muje- 38 Kim, 1993. 39 ONU, 1995. 40 Susser (en prensa). 41 Thurman y Trah, 1990; Duffy y Pupo, 1992.
  • 196.
    E) |>ixlcr ticIn uli-nlidiul i £ 2? O) <o 2> Sí CJ> S2 25 CD CJ> en 2>en O) £3 0> ¡5 CO •.(N •* . 00 """" • 1 oo co CM CM CM^ !"»_ CM^ OO ID" r-T «-* r-T in co oa «-^ o •* cq co" co" V CM" «-* ID" *t~ <t n co •- •» in -* q n co i q N n co n •-_ co ,£, n in q N co lo I D ^ o r; ^_ r-_ ^_ co cT CM" CN oo" co" i-T •>*" u> «-" co" - j - >-" r--"«-* io" oo" co" r--" uí oo" <-" <-" •*" o" oo" C O * * C M C N C M C 0 « - C M « - C N , ^ C M ^ - « - C O t - 0 0 ^ 1 - C O C D « - " * m ^ - " < > - r ~ _ c q i n i - c q r ~ r ^ ^ ^ i n ^ c o o q i n c x 3 i n ^ r ^ c o ^ c v j r 0 ) - . o u > o" oo" o" oo" in" co" co u í o ' ^ f «• oo" en" i-" •*" co" co" r--" ID" CM«-" »-" co" r-" co" C O ^ - C N C N C N C O « - C M « - C N ' u » - , t f « - C O i - C O ' " l - C O C O * - ^ , L n C O * * O -í O p~ «-; f~- o" CD" O " ai co" •»" CO 00 CM «- CN "tf co rj q in N co c-" ID" oo" co co co" CM CO «- r- CM •* 28,1 12,5 20,1 r- co o co" o" |C CM «- «- CM" 1 15,5 oo" <f q q en cn" r-." CM «- qm<-_ o" r»" i-~" > - M t - cn •* <-^ •*" t-" o " ID CO ID t~ t- O «-" en" •*" ID CM •* 45,9 16,5 46,0 í- CM CD CM ^l- r c o m o o ) M CM »- r- i- 00 CO" CM cn CM" I I ° *~« ** t' iri co «- CM «- o " | CM" en" CN" <-" co" t " oo" | CM" *-" [ e n o> •* •*" o» oo" | r-" O) co iv co co q ^ oí c >-_ co B cn to * q co CD ^ co i n •-_ cq oí co_ N O T-" N ro r-' N" O CO" * ' (N ^ ' OÍ c i r-~ >-' O) CR O) CO~ ^" Ol" OÍ N lo" q q cq r- co r- q cq in cq CD OÍ OJ OO q cv p-_ a) n co r-_ ^_ n co c¡ c>ro*-"cNcn"ocMOio"oo"cN"eocn"cN"o^"c»"cn"oco^OTco i~ CM in o cq cq oo ID ID r- ^ <t co q u> o CM OO «-" co"«-" CN" I--" CO" O" •*" CM" CO" CM" CM" r—~«-" «-" ID" I-." | CO" l O C M L D O r ^ C M O CM ^ r-^ O ID O C O C n i D í D ' * «-" I D «-" <-" •*" ID" I cn" CO" CM" I CM" I OO" r~" >-" o " •* ID" CM" to" co oo" oo r^ •* o r^ <-" oo" «-" >-" t " «9. I ^ . 00 I t - r- oq o i cq co_ co" co" >-" I oo •*" co CM" TO co co 3 f S Vi (O fii*ilf!ilS-si •a¡ II1 co co 3 CU CU OÜ 3 3 i 5 . £ ¡ f - c : o : : j 5 J S - | í 3 ^ o . 5 5 < < < c Q U O u i u i u . u . O ¿ i ! ¡ ; - ) J 2 Z 2 l l . i co _ Oí co => 'o 1/5 o ;g 'c .ÍS ^ co 2. O 5 3 '<B W I - CC
  • 197.
    I piíliuiMwlii iiioviiiiiriilussoriiilcs, l;ill)lll;i y scxii;!liil;iil cn co co r>- o> co o> *-; «-; «-^ r-^ o" •*" LO" I-." o" CM" co r- r-- CO oo oo ID (<) ^ n O) O) (O N t-_ (O (D N «_ lO N N r-_ U) N ^ n n I B IN ID oí uí oí oo oí t " LCÍ co" co co >-"«-" o ' o r-T <r-" co o" •*" LO cd >-" CM" o" t " o o r - o o c n c o r - r ~ C D C o o 3 c o r - o o i - - c o c n ' * 0 3 r - - r - c o o o o 3 L O O o n q <o_ ^ i~; oo_ q •* n ^ ra in >-_ oq n oí n ^ n N CJ n r- n oi crí ifí oí oí oí LO" r^ co" •*• co *-" CM CM" oí oí od co" o" co LCÍ oo" CM co oí **" o o r ^ c o o o c o r - i ^ . c o c o o o c o r - o o c o c o o 3 ' * o o r - - r ^ c D o o o o L o c o cn o «t- o co r~- <o i~- oo cn «- cn o • * oo • * • * 03 r~ CO CM CO 00 O^ CO •* oí oo CO r- 03 CO 03 CO i~^ oí r* r- r— r- «o , -ID 00 , 03 -Oí 00 o f^ "* ** LO oo c> CM r-" CM •* co" <-" U l < 0 0 0 0 ) 0 ) t- cn t - r a CM_ co cq IÍ5 cq r~-co oo cq •* «-_ cq en «-^ CM •* •* o> >-_ co co LO" co" o CM" p~" co" co" r-~" oo" co" •*" o" r-" LO" <-" r-" •*" r-T«-" co" r-" ••*" oo" -=t" co" «- t - CM CM CM CM CO CM CM CM CN • * LO o_ • * r-_ i q oq LO o , LO 03 »-_ 03 cq LO o> o 01 cq LO CO cq 03 cq 03 •*" t " oí CM" CO" CN LO" r--" , 0 CM" •*" oí 1—* LO" O" CO" t " co" «-* CM" r»" V r-" oí CM" <- CM «- »- CM T- ^* <- CM CM C M C M C M C O CM CM « - CM CO LO rt- r- it 03 CM f- CO 00 LO CO <- «- r- CM ^f cq cq LO cq oí oí oí <¿" co" «- «o^.co "* 55 co" cq cq »* OÍ LO T^ CM «- CM 00 *• * CM •<t_ cq <q cq LO_ r-_ •*_ r--_«-__ «-^ cq t_ cq «-" irí r-~ co" CM" CM" I co co" 00 | n i | LÍÍ LO LCÍ Í— T— <— CM « - r~ cq cq <q cq cq r-^ co co r~" co CM * - 1— CM """.. ° "*.. °°-. '"""..o «-^ co" co oí «l 1 cn £ 1 LO" o cd .Sí <o §15.2 £ t ¿= a <° m .2 3 3 < < < a> n j « < S < ' > - o T 3 i i i _ o T5 £ ic ~ c ~ o 5 E S S.=> -É I•d) co ._ OQ O O « c co .— •O ^ <o •D _ c co es o - E •- - ,ñ T: I ^ « => ^ -S -3 ™5 ='=='»U . I L ( 3 ¿ ™ ± ; - > _ I I Z Z O - ( L ( / ) W I - I C -o <B (0 S>N m =,-„ o) co co o) 2 3 > CB 3 o ro í I «1 t - o - — o c .co 3 o 2- ° O - OJ . " » i - m n
  • 199.
    I I findel patriarcado: movimientos sociales, lamilla y sexualidad... 199 ios continúan siendo las responsables de sus hogares y, sobre todo, de la c lianza de los hijos, la flexibilidad laboral se ajusta, también, a las estrate- gias de supervivencia para ocuparse de ambos mundos al borde de un ata- que de nervios42 . En efecto, en los países europeos (como en todas partes), el matrimonio y los hijos son los factores más importantes que favorecen el empleo a tiempo parcial (fig. 4.9). Así pues, el tipo de trabajador que re- quiere la economía ínformacional interrelacionada encaja con los intereses de supervivencia de las mujeres, que, en las condiciones del patriarcado, datan de hacer compatible trabajo y familia, con poca ayuda de sus ma- / lidos. Este proceso de plena incorporación de las mujeres al mercado labo- ral, y al trabajo remunerado, tiene consecuencias importantes para la fa- milia. La primera es que, con fecuencia, la contribución financiera de la mujer se vuelve decisiva para el presupuesto familiar. Así pues, el poder de negociación femenino en el hogar aumenta de forma significativa. Para empezar, en el patriarcado estricto, la dominación de las mujeres por parte de los hombres afectaba a toda su existencia: su trabajo era crear hogar. Así que la rebelión contra la autoridad patriarcal sólo podía ser extrema y a menudo conducía a la marginalidad. Cuando las mujeres lle- varon la paga a casa (por ejemplo, en los Estados Unidos) y los hombres vieron descender sus salarios reales, los puntos de desacuerdo tuvieron que discutirse sin el recurso de utilizar de forma inmediata la represión patriarcal. Es más, la ideología que legitimaba la dominación patriarcal basándose en el privilegio de quién mantenía a la familia resultó decisiva- mente debilitada. ¿Por qué no iban a ayudar en casa los maridos si ambos miembros de la pareja estaban igualmente ausentes durante largas horas y si ambos contribuían por igual al presupuesto familiar? La pregunta se hizo más acuciante cuando aumentó la dificultad de las mujeres para asu- mir a la vez el trabajo remunerado, el trabajo doméstico, la crianza de los hijos y el cuidado del marido, mientras que la sociedad seguía organizada en torno a la asunción de un ama de casa a tiempo completo que ya ape- nas existía. Sin guarderías apropiadas, sin planificación de la conexión es- pacial entre la residencia, los trabajos y los servicios, y con unos servicios sociales deteriorados43 , las mujeres tuvieron que afrontar la realidad: sus queridos maridos/padres se estaban aprovechando de ellas. Y como su trabajo fuera del hogar abría su mundo y ampliaba sus redes sociales y su experiencia, con frecuencia marcada por la hermandad contra la dureza cotidiana, comenzaron a plantearse cuestiones y a dar respuestas a sus hermanas. El suelo estaba listo para sembrar las ideas feministas que es- taban germinando de forma simultánea en los campos de los movimientos socio-culturales. 42 Michelson, 1985 43 Servon y Castells, 1996.
  • 201.
    Hl fin delpatriáronlo: movimientos sociales, familia y sexualidad... 201 LA FUERZA DE SER HERMANAS: EL MOVIMIENTO FEMINISTA El movimiento feminista, según se manifiesta en su práctica y discur- sos, es extraordinariamente diverso. Su riqueza y profundidad aumenta cuando analizamos su contorno en una perspectiva global y comparativa, y cuando las historiadoras y teóricas feministas desentierran los registros ocultos de la resistencia de las mujeres y el pensamiento feminista4A . Li- mitaré el análisis presentado aquí al movimiento feminista contemporá- neo que surgió a finales de los años sesenta, primero en los Estados Uni- dos y luego en Europa a comienzos de la década de los setenta, y se difundió por todo el mundo en las dos décadas siguientes. También me centraré en los rasgos comunes que hacen de él un movimiento social transformador que desafía al patriarcado, dando cuenta al mismo tiempo de la diversidad de las luchas de las mujeres y del multiculturalismo de su expresión. Como definición operativa preliminar del feminismo, seguiré a Jane Mansbridge al presentarlo en general como «el compromiso para poner fin a la dominación masculina»45 También coincido con su plantea- miento del feminismo como «un movimiento creado en el discurso». Ello no implica que sea sólo discurso o que el debate feminista, como se ex- presa en los escritos de teóricas y académicas, sea la manifestación pri- mordial del feminismo. Lo que sostengo, de acuerdo con Mansbridge y otras46 , es que la esencia del feminismo, según se ha practicado y narrado, es la (re)definición de la identidad de la mujer: a veces afirmando la igualdad entre hombres y mujeres, con lo que se elimina el género de las diferencias biológicas/culturales, y en otros casos, por el contrario, afir- mando la especificidad esencial de las mujeres, al mismo tiempo que fre- cuentemente se afirma la superioridad de los modos de vida de las muje- res como fuentes de realización humana; o también declarando la necesidad de alejarse del mundo de los hombres y recrear la vida y la se- xualidad en hermandad femenina. En todos los casos, a través de la igual- dad, la diferencia o la separación, lo que se niega es la identidad alienada de la mujer tal y como la definen los hombres y tal y como se conserva en la familia patriarcal. Como escribe Mansbridge: Este movimiento creado en el discurso es la entidad que inspira a las activistas del movimiento y ante la que se sienten responsables [,..] Esta especie de responsabi- lidad es una responsabilidad por la identidad [...] Requiere pensar en el colectivo como una identidad valiosa y en una misma como parte de esa identidad. Las identidades feministas suelen lograrse, no darse [...] Hoy, las identidades feminis- tas se crean y refuerzan cuando las feministas se unen, actúan juntas y leen lo que otras feministas han escrito. Hablar y actuar crea teoría de la calle y le otorga sig- 44 Rowbotham, 1974,1992; Kolodny, 1984; Spivak, 1990; Massolo, 1992. 45 Mansbridge, 1995, pág. 29. 46 Butler, 1990; Chodorow, 1994; Whittier, 1995.
  • 202.
    202 El poderde la identidad niíicado. Leer mantiene en contacto y hace que se continúe pensando. Ambas ex- periencias, de transformación personal e interacción continua, hacen a las femi- nistas «responsables interiormente» ante el movimiento feminista47 . Así pues, bajo la diversidad del feminismo, se encuentra una comuni- dad fundamental: el esfuerzo histórico, individual y colectivo, formal e in- formal, para redefinir la condición de la mujer en oposición directa al pa- triarcado. Para valorar tal esfuerzo y proponer una tipología empírica de los mo- vimientos feministas, recordaré, de forma sucinta, la trayectoria de dichos movimientos en las tres últimas décadas. Para simplificar el argumento, me centraré sobre todo en su lugar de renacimiento, los Estados Unidos, y trataré de corregir el etnocentrismo potencial de este planteamiento con breves observaciones sobre otras zonas del mundo, seguidas de un comentario sobre el feminismo en una perspectiva comparativa. Elfeminismo estadounidense: una continuidad discontinua^ El feminismo estadounidense tiene una larga historia en un país de historia corta. Desde el nacimiento oficial del feminismo organizado en 1848, en una capilla de pueblo de Séneca Falis (Nueva York), las feminis- tas estadounidenses emprendieron una lucha prolongada en defensa de los derechos de las mujeres a la educación, el trabajo y el poder político, que culminó con su conquista del derecho al voto en 1920. Luego, du- rante más de medio siglo, el feminismo se mantuvo entre los bastidores de la escena estadounidense. No es que las mujeres dejaran de pelear49 . Una de las expresiones más célebres de las luchas de las mujeres, el boi- cot a los autobuses de 1955 en Montgomery (Alabama), que podría consi- derarse un preludio del movimiento por los derechos civiles en el Sur y cambió la historia estadounidense para siempre, fue protagonizado pre- dominantemente por mujeres afroamericanas que organizaron a sus co- munidades50 . No obstante, no surgió un movimiento de masas explícita- mente feminista hasta los años sesenta, a partir del componente de derechos humanos y las tendencias revolucionarias y contraculturales de 47 Mansbridge, 1995, pág. 29. 48 Para un análisis excelente de la evolución y transformación del movimiento feminista estadounidense en las tres últimas décadas, véase Whittier, 1995; para una visión general de las organizaciones feministas en los Estados Unidos, véase Ferree y Martin, 1995; para una recopilación bien organizada y útilmente comentada de los discursos feministas estadouni- denses desde los años sesenta, véase Schneir, 1994. Otras fuentes utilizadas en el análisis se citan de forma específica en el texto. 4 * Rupp y Taylor, 1987. "" Barnctt, 1995.
  • 203.
    El fin delpatriarcado: movimientos sociales, familia y sexualidad... '03 los movimientos sociales de esa década51 . Por una parte, a raíz de los tra- bajos de la Comisión Presidencial de John F. Kennedy sobre la Condición Jurídica y Social de las Mujeres, en 1963, y de la aprobación del título VII de la Ley de Derechos Civiles de 1964 sobre los derechos de la mujer, un grupo de mujeres influyentes, encabezadas por la escritora Betty Friedan, creó la National Organization of Women (NOW) el 29 de octubre de 1966. NOW se convertiría en la organización nacional más amplia en de- fensa de los derechos de la mujer y durante las tres décadas siguientes, demostró una importante habilidad política y perdurabilidad, pese a sus crisis ideológicas y organizativas. Llegó a compendiar el denominado femi- nismo liberal, centrándose en la igualdad de derechos para la mujer en to- das las esferas de la vida social, económica e institucional. Casi al mismo tiempo, las mujeres que participaban en diversos movi- mientos sociales de carácter radical, sobre todo en SDS (Students for a Democratic Society), comenzaron a organizarse por separado como reac- ción contra el sexismo dominante y la dominación masculina en las orga- nizaciones revolucionarias que llevaron, no sólo al maltrato personal de las mujeres, sino a la ridiculización de las posturas feministas como bur- guesas y contrarrevolucionarias. Lo que en diciembre de 1965 comenzó como un taller sobre las «Mujeres en el movimiento» en la convención de SDS y acabó articulándose como Women Liberation, en una convención celebrada en 1967 en Ann Arbor (Michigan), generó un aluvión de gru- pos de mujeres autónomos, la mayor parte de los cuales se separaron de la política revolucionaria, dominada por los hombres, dando origen al fe- minismo radical. En estos momentos fundacionales, es justo decir que el movimiento feminista se encontraba dividido ideológicamente entre sus componentes liberales y radicales. Mientras que la primera declaración de NOW comenzaba diciendo: «Nosotros, HOMBRES Y MUJERES [en mayúsculas en el original] que por la presente nos constituimos como la National Organization for Women, creemos que ha llegado el tiempo de un nuevo movimiento para la plena igualdad de los sexos, como parte de la revolución mundial de los derechos humanos que está teniendo lu- gar dentro y más allá de las fronteras nacionales» 52 , el Manifiesto de Redstocking de 1969, que impulsó el feminismo radical en Nueva York, afirmaba: «Identificamos a los hombres como los agentes de nuestra opresión. La supremacía masculina es la forma de dominación más anti- gua y básica. Todas las demás formas de explotación y opresión (racismo, capitalismo, imperialismo, etc.) son extensiones de la supremacía mascu- lina; los hombres dominan a las mujeres, unos cuantos hombres dominan al resto»53 . Evans, 1979. Reproducido en Schneir, 1994, pág. 96. Reproducido en Schneir, 1994, pág. 127.
  • 204.
    ?IM Hl poilt-rilc la iilcnlulml El feminismo liberal se centró en obtener la igualdad de derechos para las mujeres, incluida la adopción de una enmienda constitucional que, tras ser aprobada por el Congreso, no logró obtener la ratificación requerida de dos tercios de los escaños y acabó siendo derrotada en 1982. No obstante, el significado de esta enmienda era más simbólico que otra cosa, ya que las batallas reales por la igualdad se ganaron en la legislación federal y estatal, y en los tribunales, desde el derecho a una remuneración igual por un trabajo igual, hasta los derechos reproductivos, incluido el derecho al acceso a todas las ocupaciones e instituciones. Estos logros im- presionantes, en menos de dos décadas, se obtuvieron mediante una hábil presión política, campañas en los medios de comunicación y apoyo a las candidatas femeninas o a los candidatos que defendían a las mujeres en sus propuestas para ocupar cargos públicos. Fue particularmente impor- tante la presencia en los medios de comunicación de mujeres periodistas que eran feministas o apoyaban las causas feministas. Diversas publica- ciones comerciales en cierto modo feministas, como Ms Magazine, fun- dada en 1972, también fueron útiles para llegar a las mujeres estadouni- denses más allá de los círculos feministas organizados. Las feministas radicales, aunque participaron de forma activa en las campañas por la igualdad de derechos, y sobre todo en las movilizaciones para obtener y defender los derechos reproductivos, se centraron en crear conciencia mediante la organización de grupos de concienciación sólo de mujeres y la formación de instituciones de una cultura de la mujer autó- noma. La defensa de las mujeres contra la violencia masculina (campañas en contra de la violación, entrenamiento de defensa personal, albergues y asesoramiento para mujeres maltratadas) proporcionó un vínculo directo entre las preocupaciones inmediatas de las mujeres y la crítica ideológica del patriarcado en acción. Dentro de la corriente radical, las feministas lesbianas (una de cuyas primeras manifestaciones políticas públicas, la «Amenaza lavanda», apareció en el Segundo Congreso para Unir a las Mujeres, en mayo de 1970 en Nueva York) se convirtieron de inmediato en una fuente de activismo militante, creatividad cultural e innovación te- órica. El crecimiento incesante y la amplia influencia del feminismo les- biano en el movimiento feminista iba a convertirse en una importante fuerza y un desafío fundamental para el movimiento de mujeres, que tuvo que hacer frente a su propio prejuicio interno sobre las formas de la se- xualidad y encarar el dilema de dónde trazar la línea para la liberación de la mujer (o si había que trazarla). Durante un tiempo, las feministas socialistas trataron de asociar el de- safío del feminismo radical con los temas más amplios de los movimientos anticapitalistas, vinculándose cuando era necesario con la izquierda polí- tica y enzarzándose en un enriquecedor debate con la teoría marxista. Al- gunas de ellas trabajaron en los sindicatos. Por ejemplo, en 1972, se formó una Coalición de Mujeres Sindicalizadas. Sin embargo, en los años no-
  • 205.
    VA luí del| i.il i un i ,u li i movimientos sociales, familia v sexualidad. 205 venta, la desaparición, en Estados Unidos, de las organizaciones socialis- tas y del socialismo como punto de referencia histórico, así como el de- clive general de la teoría marxista, aminoró la repercusión del feminismo socialista, que permaneció en general confinado al ámbito académico54 . Sin embargo, la distinción entre feminismo liberal y radical quedó di- fuminada en la práctica del movimiento y en la ideología de las feministas individuales a partir de mediados de los años setenta. Varios factores con- tribuyeron a superar las divisiones ideológicas en un movimiento femi- nista que mantuvo su diversidad y vivió vibrantes debates, así como lu- chas intestinas, pero que estableció puentes y coaliciones entre sus componentes5S . Por una parte, como Zillah Eisenstein señaló56 , los temas que abordó el feminismo liberal, a saber, la igualdad de derechos y la de- saparición del género de las categorías sociales, suponían tal grado de transformación institucional que acabaría poniéndose en entredicho el patriarcado, incluso dentro de la estrategia más restringida de ser realistas acerca de lograr la igualdad de los géneros. En segundo lugar, la violenta reacción antifeminista de la década de los ochenta, apoyada por la admi- nistración republicana que gobernó los Estados Unidos en 1980-1992, provocó la alianza de diferentes ramas del movimiento que, prescin- diendo de sus estilos de vida y creencias políticas, se encontraron juntas en las movilizaciones para defender los derechos reproductivos de las mu- jeres o en la construcción de las instituciones de las mujeres para propor- cionar servicios y afirmar la autonomía cultural. En tercer lugar, las orga- nizaciones feministas más radicales habían desaparecido a finales de los años setenta, cuando sus fundadoras agotaron sus fuerzas y sus utopías lo- cales se enfrentaron a batallas diarias con «el patriarcado realmente exis- tente». No obstante, como la mayoría de las feministas radicales nunca renunciaron a sus valores básicos, encontraron refugio en las organizacio- nes establecidas del feminismo liberal y en los enclaves que el feminismo logró crear dentro de las instituciones convencionales, sobre todo en el ámbito académico (programas de estudios sobre la mujer), en las funda- ciones y en los comités de las asociaciones profesionales. Estas organiza- ciones e instituciones necesitaron el respaldo militante para su tarea, cada vez más difícil, cuando comenzaron a pasar de los abusos más evidentes de los derechos humanos a esferas más polémicas, como la opción repro- ductiva, la liberación sexual y el avance de la mujer en diversos reductos masculinos. En efecto, cabe sostener que la presencia de las organizacio- nes liberales ayudó a sobrevivir al feminismo radical como movimiento, 54 Para un análisis del ascenso y caída de una de las organizaciones feministas socialista más dinámica e influyente, Chicago Women's Liberation Union (CWLU), véase Strobel, 1995. 55 Ferree y Hess, 1994; Ferree y Martin, 1995; Mansbridge, 1995; Spalter-Roth y Schrei- ber, 1995; Whittier, 1995. 56 Eisenstein, 1981/1993.
  • 206.
    2<K> El poderele In identidad mientras que la mayor parte de los movimientos contraculturales de lide- razgo masculino que se originaron en los años sesenta, con la excepción importante del ecologismo, desaparecieron o acabaron sometidos ideoló- gicamente en la década de los ochenta. Como resultado de este proceso múltiple, el liberalismo y el radicalismo, en sus ramas diferentes, acaba- ron entrelazados en la práctica y en la mente de la mayoría de las mujeres que respaldaban las causas y valores feministas. Hasta el lesbianismo acabó siendo un componente aceptado del movimiento, aunque siguió unido a cierto rechazo táctico dentro de la corriente dominante del femi- nismo (Betty Friedan se oponía a él), como ejemplificaron las tensiones dentro de NOW a finales de la década de los ochenta tras la «confesión» de bisexualidad de su presidenta, Patricia Ireland. Otras distinciones alcanzaron mayor importancia para el movimiento feminista a medida que se fue desarrollando, diversificando y llegando, al menos en sus mentes, a la mayoría de las mujeres estadounidenses, entre mediados de la década de los setenta y mediados de la de los noventa. Por una parte, había importantes distinciones en el tipo de organizaciones fe- ministas. Por la otra, existían diferencias considerables entre lo que Nancy Whittier denomina «generaciones políticas» dentro del movi- miento feminista57 . En lo referente a las organizaciones, Spalter-Roth y Schreiber58 pro- ponen una útil tipología de base empírica que diferencia entre: 1. Organizaciones de carácter nacional que reivindican la igualdad de derechos, como NOW o la Coalition of Labor Union Women, fundada en 1972. Trataban de forma deliberada de evitar el len- guaje feminista, mientras fomentaban la causa de la mujer en to- dos los ámbitos de la sociedad, con lo que sacrificaban los princi- pios por la efectividad para aumentar la participación de la mujer en las instituciones dominadas por los hombres. Spalter-Roth y Schreiber concluyen que «pese a las esperanzas de las dirigentes de las organizaciones, que deseaban atraer tanto a las liberales como a las radicales, el uso de un lenguaje políticamente más «aceptable» oscureció las relaciones de dominación y subordina- ción. Puede que sus esfuerzos no hayan logrado suscitar la con- cienciación de las mismas mujeres a las que estas organizaciones esperaban representar y dar poder»S9 . 2. Proveedoras de servicios directos, como Displaced Homemakers Network (Red de Amas de Casa Desplazadas) y la National Coa- lition against Domestic Violence (Coalición Nacional contra la 57 Whittier, 1995. 58 Spalter-Roth y Schreiber, 1995, págs. 106-108. 5 " Spalter-Roth y Schreiber, 1995, pág. 119.
  • 207.
    El fin delpiilriiiiviulii: movimientos sociales, l.iinih.i y sexii;ilul;ul... 207 Violencia Doméstica). Suelen ser redes de grupos locales que re- ciben apoyo del gobierno y las empresas para sus programas. Su principal problema es la contradicción entre ayudar a las mujeres y darles poder: por lo general, la urgencia del problema tiene prioridad sobre las metas a largo plazo de despertar la conciencia y la autoorganización política. 3. Organizaciones que cuentan con mujeres expertas y dedicadas/ plenamente a las tareas organizativas, como Women's Legal Dé- fence Fund (Fondo para la Defensa Legal de las Mujeres), el Ins- titute for Women Policy Research (Insitituto para la Investiga- ción de la Política sobre la Mujer), el Center for Women Policy Studies (Centro de Estudios de la Política sobre la Mujer), el Fund for Feminist Majority (Fondo para la Mayoría Feminista, que apoya a las mujeres de las instituciones políticas), el National Institute for Women of Color (Instituto Nacional para las Muje- res de Color) o el National Committee for Pay Equity (Comité Nacional para la Igualdad de Salarios). El reto de este tipo de or- ganización es la ampliación del ámbito de los asuntos de que se ocupan, a medida que entran en la esfera de influencia del movi- miento más mujeres y que los temas feministas se diversifican más étnica, social y culturalmente. Más allá de las organizaciones mayoritarias, existe una miríada de or- ganizaciones locales alternativas de la comunidad de mujeres, muchas de ellas vinculadas en su origen con el feminismo radical, pero que luego evolucionaron siguiendo una gran variedad de trayectorias. Clínicas, coo- perativas de crédito, centros de formación, librerías, restaurantes, guarde- rías, centros de prevención de la violencia contra las mujeres y para hacer frente a sus heridas, grupos de teatro, grupos de música, clubes de escrito- ras, talleres de arte, además de toda una gama de expresiones culturales, pasaron por diversos altibajos y, por lo general, cuando lograron sobrevi- vir, lo hicieron minimizando su carácter ideológico e integrándose en la sociedad. En el sentido más amplio, son organizaciones feministas que, en su diversidad y con su flexibilidad, han proporcionado las redes de apoyo, la experiencia y los materiales discursivos para que surja una cultura de la mujer, socavando de este modo el patriarcado donde es más poderoso: la mente de las mujeres. La otra distinción importante que ha de introducirse para comprender la evolución del feminismo estadounidense es el concepto de Whittier de las generaciones políticas y los microgrupos. En su interesante estudio so- ciológico sobre la evolución del feminismo radical estadounidense du- rante tres décadas, expone tanto la continuidad del feminismo como la discontinuidad de los estilos feministas entre comienzos de los años se- tenta, los años ochenta y los noventa:
  • 208.
    20K El poderde la identidad Las generaciones políticas son importantes para la continuidad de los movi- mientos sociales de tres modos. En primer lugar, la identidad colectiva de una generación política permanece a lo largo del tiempo, como ha sucedido con las mujeres que participaron en el movimiento feminista de la década de los se- tenta. En segundo lugar, cuando declina la protesta, un movimiento social conti- núa teniendo repercusión si una generación de veteranos del mismo traslada sus elementos clave a las instituciones y otros movimientos sociales. Las institucio- nes e innovaciones establecidas por los activistas en estos otros escenarios, no sólo sirven de agentes de cambio, sino que también pueden coadyuvar en el re- surgimiento de una oleada futura de movilización. En tercer lugar, un movi- miento social cambia a medida que entran en él nuevos participantes y redefi- nen su identidad colectiva. La entrada continua de microgrupos construye una identidad colectiva que se determina por su contexto y, por lo tanto, los activis- tas que entran durante el resurgimiento, crecimiento y culminación del movi- miento difieren unos de otros. Pese a los cambios graduales que ocurren conti- nuamente dentro de los movimientos sociales, existen claramente cambios más pronunciados en ciertos puntos. En esos momentos, una serie de microgrupos convergen en una generación política, cuando sus similitudes mutuas sobrepasan a las diferencias existentes en el conjunto de microgrupos que constituyen una segunda generación política [...] Así, el paso de los movimientos sociales de una generación a otra se vuelve clave para que el movimiento sobreviva a largo plazo60 . Whittier muestra, basándose en el caso específico de Columbus (Ohio), así como en la revisión de los datos de fuentes secundarias, la persistencia y renovación del movimiento feminista, incluido el femi- nismo radical, durante tres décadas, de los años sesenta a los noventa. Fundamenta su argumento en diversas fuentes61 . Parece que la «era postfeminista» fue una manipulación interesada de ciertas tendencias a corto plazo, excesivamente aireadas por los medios de comunicación62 . Pero Whittier también destaca de forma convincente la profunda trans- formación del feminismo radical, que llevó, a veces, a que existiera una considerable dificultad para el entendimiento entre las generaciones: «Las recién llegadas al movimiento de mujeres se están movilizando por metas feministas de modos diferentes a los de las activistas más anti- guas, que a veces consideran los esfuerzos de sus sucesoras apolíticos o malencaminados [...] Las recién llegadas construyeron un modelo dife- rente de sí mismas como feministas»63 . Como resultado de estas profun- das diferencias, es doloroso para las feministas veteranas ver que las que acaban de entrar en el movimiento desechan sus creencias más queridas o cambian las organizaciones 60 Whittier, 1995, págs. 254-256. 61 Buechler, 1990; Staggenborg, 1991; Ferree y Hess, 1994; Ferree y Martin, 1995. 62 Faludi, 1991; Schneir, 1994. 63 Whittier, 1995, pág. 243.
  • 209.
    El fin delpatriarcado: movimientos sociales, familia y sexualidad... 209 por las que ellas lucharon. Los debates recientes dentro de la comunidad femi- nista exacerban los sentimientos de muchas mujeres porque ellas y sus creencias son vulnerables al ataque. En las «guerras de los sexos» en particular, las practi- cantes lesbianas del sadomasoquismo, junto con mujeres heterosexuales y otras, sostuvieron que las mujeres debían tener el derecho de actuar libremente acerca de cualquier deseo sexual y acusaron a quienes enseñaban otra cosa de ser antise- xuales, «tibias» o puritanas(A . v ~-—--" Las principales diferencias entre las generaciones políticas de feminis- tas no parecen estar relacionadas con la antigua divisoria entre liberales y radicales, ya que Whittier coincide en su observación con el desdibuja- miento de esa definición ideológica en la acción colectiva de las mujeres cuando se confrontan a una vigorosa reacción violenta del patriarcado. Parece que tres temas diferentes, en cierta medida interrelacionados, in- terfieren la comunicación entre las veteranas y las recién llegadas al movi- miento feminista radical. El primero es la creciente importancia del les- bianismo en el movimiento feminista. No es que estuviera ausente de él en las épocas anteriores o que las feministas radicales se opusieran, sino que los estilos de vida de las lesbianas, y su hincapié en romper el molde de las familias heterosexuales, así como los problemas tácticos para llegar a la corriente mayoritaria de las mujeres desde las trincheras de un movi- miento con un núcleo central lesbiano, hizo que el componente no les- biano del feminismo radical cada vez se sintiera menos a gusto con la no- toriedad lesbiana. El segundo, una división mucho más pronunciada, es la importancia que otorgan las nuevas generaciones de feministas a la ex- presión sexual en todas sus formas. Incluye, por ejemplo, la ruptura del código «clásico» del modo de vestirse feminista, que evitaba las trampas de la feminidad, para resaltar el atractivo sexual y la expresión propia en la presentación de las mujeres. También se extiende a la aceptación de to- das las manifestaciones de la sexualidad de las mujeres, incluida la bise- xualidad y la experimentación. La tercera división es consecuencia, en realidad, de las otras dos. Más seguras de sí mismas y más separatistas en sus valores culturales y políticos, las feministas radicales más jóvenes, y sobre todo las lesbianas, se muestran más abiertas que las anteriores a co- laborar con los movimientos sociales de los hombres y a relacionarse con organizaciones de hombres, precisamente porque se sienten menos ame- nazadas por esas alianzas, puesto que ya han construido su autonomía, a menudo mediante el separatismo. El principal punto de alianza es el esta- blecido entre las lesbianas y los gays (por ejemplo, en Queer Nation), que comparten su opresión por parte de la homofobia y coinciden en su de- fensa de la liberación sexual y en su crítica de la familia heterosexual/pa- triarcal. Sin embargo, Whittier también expone que las feministas radica- 64 Whittier, 1995, pág. 239.
  • 210.
    .'III I Ipoda de lu identidad les anliguas y nuevas comparten valores fundamentales y coinciden en las mismas luchas. Otras tensiones internas del movimiento feminista se originan precisa- mente por su expansión en todo el conjunto de clases y grupos étnicos de los Estados Unidos65 . Aunque las pioneras de la década de los sesenta que redescubrieron el feminismo eran en general blancas, de clase media y tenían educación superior, en las tres décadas siguientes los temas femi- nistas se vincularon con las luchas que las mujeres afroamericanas, latinas o de otras minorías étnicas habían venido realizando tradicionalmente en sus comunidades. Las mujeres trabajadoras, tanto a través de los sindica- tos como de las organizaciones autónomas de mujeres trabajadoras, se movilizaron en defensa de sus demandas, aprovechando el nuevo con- texto de legitimidad para sus luchas. Siguió una diversificación creciente de los movimientos de las mujeres y una cierta vaguedad en su autodefi- nición feminista. No obstante, según las encuestas de opinión, desde me- diados de los años ochenta, la mayoría de las mujeres se relacionaron po- sitivamente con los temas y causas feministas, debido precisamente a que el feminismo no se asociaba con ninguna postura ideológica particular66 . El feminismo se convirtió en la palabra (y bandera) común para todas las fuentes de opresión de las mujeres como tales, a la que cada mujer, o ca- tegoría de mujeres, uniría su reivindicación personal o colectiva y su eti- queta. Así pues, mediante diversas prácticas y autoidentificaciones, muje- res de orígenes diferentes y con metas diferentes, pero que compartían una fuente de opresión común que las definía desde su exterior, cons- truyeron una nueva identidad colectiva: esto es, de hecho, lo que hizo posible la transición de las luchas de las mujeres al movimiento femi- nista. Como escribe Whittier: «Propongo definir el movimiento de las mujeres de acuerdo con la identidad colectiva asociada con él, en lugar de hacerlo de acuerdo con sus organizaciones formales [...] Lo que hace a esas organizaciones, redes e individuos parte de un movimiento social es su fidelidad compartida a un conjunto de creencias, prácticas y modos de identificarse que constituyen la identidad feminista colec- tiva»67 . ¿Son pertinentes estas preguntas y respuestas, inspiradas por la ex- periencia estadounidense, para el feminismo de otras culturas y países? ¿Pueden relacionarse, en general, con el feminismo los problemas de las mujeres y sus luchas? ¿Hasta qué punto es colectiva esta identidad colectiva cuando se considera a las mujeres en una perspectiva global? M Morgen, 1988; Matthews, 1989; Blum, 1991; Barnett, 1995; Pardo, 1995. 66 Stacey, 1990; Whittier, 1995. 67 Whittier, 1995, págs. 23 y 24.
  • 211.
    II fin ilolpalnimailo movimientos sociales, familia y sexualidad... .'II ¿Es global el feminismo? Para adelantar una respuesta tentativa a esta pregunta tan fundamen- tal, aunque sea superficialmente, debemos distinguir varias zonas del mundo. En el caso de Europa Occidental, Canadá y Australia, parece evi- dente que existe un movimiento feminista extendido, diverso y multifacé- tico, en ascenso en la década de los noventa, si bien con intensidades y ca- racterísticas diferentes. En Gran Bretaña, por ejemplo, tras un declive a comienzos de los años ochenta, en buena parte motivado por el asalto neo- conservador provocado por el thatcherismo, las ideas feministas y la causa de las mujeres calaron toda la sociedad68 . Al igual que en los Estados Unidos, por una parte, las mujeres lucharon por la igualdad y por obtener poder propio en el trabajo, los servicios sociales, la legislación y la polí- tica. Por otra parte, el feminismo cultural y el lesbianismo resaltaron la especificidad de las mujeres y crearon organizaciones alternativas pro- pias. Por su hincapié en las identidades singulares da la impresión de que existe una fragmentación en el movimiento. No obstante, como escribe Gabriele Griffin: Es cierto que muchos grupos de mujeres se dan nombres que especifican ciertas identidades [...] Esta identificación proporciona el ímpetu para su activismo. En determinado nivel, el activismo feminista basado en la política de identidad lleva a la fragmentación, que muchas feministas consideran típica del clima político ac- tual y que se supone que está en contraste directo con la homogeneidad, el obje- tivo común y la movilización de masas del Movimiento (de Liberación) de las Mu- jeres, todo con letras mayúsculas. Esto me parece un mito, un planteamiento retrospectivo nostálgico de una edad dorada del feminismo que probablemente nunca existió. Las organizaciones feministas articuladas en torno a un solo pro- blema o a una única identidad, que son tan comunes en los años noventa, puede que tengan la desventaja de una política excesivamente singularizada, pero su pro- pia especificidad también puede ser una garantía de su experiencia y su influencia, de un trabajo intenso claramente definido dentro de un ámbito específico69 . Así, diversas organizaciones monotemáticas pueden operar sobre múltiples problemas de la mujer, y las mujeres pueden participar en dife- rentes organizaciones. Son este entrelazamiento e interconexión de per- sonas, organizaciones y campañas los que caracterizan a un movimiento feminista vital, flexible y diverso. En toda Europa, en cada país concreto, el feminismo tiene una amplia presencia, tanto en las instituciones de la sociedad como en la constela- ción de grupos, organizaciones e iniciativas feministas que se nutren mu- tuamente, debaten entre sí (a veces acaloradamente) y mantienen un 68 Brown, 1992; Campbell, 1992; Griffin, 1995; Hester et al., 1995. 69 Griffin, 1995, pág. 4.
  • 212.
    212 I'.I poik'ide In nliiilKhitl flujo incesante de reivindicaciones, presiones e ideas sobre la condición, los temas y la cultura de la mujer. En general, el feminismo, como en los Estados Unidos y Gran Bretaña, se ha fragmentado y ninguna organiza- ción o institución particular puede pretender hablar en nombre de las mu- jeres. Más bien existe una línea transversal a lo largo de toda la sociedad que destaca los intereses de las mujeres y sus valores, de los comités pro- fesionales a las expresiones culturales y los partidos políticos, muchos de los cuales han establecido un porcentaje mínimo de mujeres entre sus di- rigentes (en general, la norma, raramente cumplida, determina un 25% de dirigentes y diputados, de tal modo que las mujeres «sólo» están un 50% subrepresentadas). Las antiguas sociedades estatistas presentan situaciones peculiares70 . Por una parte, los países estatistas ayudaron/obligaron a la plena incorpo- ración de la mujer al trabajo remunerado, abrieron el acceso a la educa- ción y establecieron un extensa red de servicios sociales y guarderías, aunque se prohibió el aborto durante largo tiempo y no se dispuso de contracepción. Las organizaciones de mujeres estaban presentes en todas las esferas de la sociedad, si bien bajo el control total del Partido Comu- nista. Por otra parte, el sexismo era dominante y el patriarcado, omnipre- sente en la sociedad, instituciones y política. Como resultado, maduró una generación de mujeres muy fuertes que sentían su potencial pero que te- nían que luchar a diario para abrirse camino y realizar parte de ese poten- cial. Tras la desintegración del comunismo soviético, el feminismo como movimiento organizado es débil y, hasta ahora, está limitado a unos pocos círculos de intelectuales occidentalizadas, mientras que las antiguas orga- nizaciones paternalistas están desapareciendo. No obstante, la presencia de las mujeres en la esfera pública ha aumentado espectacularmente en la década de los noventa. En Rusia, por ejemplo, el Partido de las Mujeres, aunque bastante conservador en cuanto a sus posiciones y miembros, re- cibió en torno a un 8% de los votos en las elecciones parlamentarias de 1995, mientras que varias mujeres iban camino de convertirse en figuras políticas clave. Existe un sentimiento extendido en la sociedad rusa acerca de que las mujeres podrían desempeñar un papel decisivo para re- juvenecer el liderazgo político. En 1996, por primera vez en su historia, una mujer fue elegida gobernadora del Distrito Nacional de los Coriacos. Es más, las nuevas generaciones de mujeres, educadas en los valores de la igualdad y con espacio para expresarse personal y políticamente, parecen estar dispuestas para cristalizar su autonomía individual en la identidad y acción colectivas. Es fácil predecir un importante desarrollo del movi- miento de las mujeres en Europa Oriental, bajo sus propias formas de ex- presión culturales y políticas. En el Asia industrializada, sigue reinando el patriarcado, apenas cues- 70 Funk y Mueller, 1993.
  • 213.
    II lili delpahiiin ailo iiuivimu'iilos socinlcs, l;innli;i y sc-xu.iliiliid... .' I I tionado. Ello resulta particularmente sorprendente en Japón, una socie- dad con una elevada tasa de participación femenina en la mano de obra, una población femenina bien educada y una corriente vigorosa de movi- mientos sociales en los años sesenta. Aún así, las presiones de los grupos de mujeres y del Partido Socialista llevaron a que la legislación limitara la discriminación laboral de éstas en 198671 . Pero, en general, el feminismo se limita a los círculos académicos y las mujeres profesionales siguen su- friendo una discriminación descarada. En Japón están plenamente pre- sentes los rasgos estructurales necesarios para desatar una fuerte crítica feminista, pero la ausencia, hasta ahora, de esa crítica a una escala sufi- ciente para que tenga repercusión en la sociedad demuestra a las claras que la especificidad social (en este caso, la fortaleza de la familia patriar- cal japonesa y el cumplimiento por parte de los hombres de sus deberes como patriarcas, en general) determina el desarrollo real de un movi- miento, prescindiendo de las fuentes estructurales de descontento. Las mujeres coreanas están aún más sometidas que las japonesas, aunque re- cientemente han aparecido los embriones de un movimiento feminista72 . China sigue al borde del modelo estatista contradictorio de apoyar los de- rechos de la «mitad del cielo» mientras se la mantiene bajo el control de la «mitad del infierno». Sin embargo, el desarrollo de un vigoroso movi- miento feminista en Taiwan, desde finales de la década de los ochenta, desmiente la idea de que la mujer debe estar sometida bajo la tradición patriarcal del confucianismo (véase más adelante)73 . A lo largo del denominado mundo en vías de desarrollo, la situación es compleja, incluso contradictoria74 . El feminismo, como expresión ideo- lógica o política autónoma, es claramente el coto vedado de una pequeña minoría de mujeres profesionales e intelectuales, aunque su presencia en los medios de comunicación amplifica su repercusión muy por encima de su número. Además, en diversos países, sobre todo en Asia, las dirigentes se han convertido en figuras destacadas de la política de sus países (en In- dia, Paquistán, Bangladesh, Filipinas, Birmania y quizás Indonesia en un futuro no muy lejano) y en símbolos de la democracia y el desarrollo. Aunque el hecho de que sean mujeres no garantiza sus cualidades como tales y la mayoría de las políticas operan dentro del marco de la política patriarcal, no puede ignorarse su repercusión como modelos, sobre todo para las jóvenes, y para romper los tabúes de la sociedad. Sin embargo, el acontecimiento más importante, a partir de la dé- cada de los ochenta, es el extraordinario ascenso de las organizaciones 71 Gelb y Lief-Palley, 1994. 72 Po, 1996. 73 Po, 1996. 74 Kahne y Giele, 1992; Massolo, 1992; Caipora Women's Group, 1993; Jaquette, 1994; Kuppers, 1994; Blumberg etal., 1995.
  • 214.
    214 II poileiile l.l uli-iilidciil populares, en general puestas en marcha y dirigidas por mujeres, en las áreas metropolitanas del mundo en vías de desarrollo. Fueron estimula- das por los procesos simultáneos de explosión urbana, crisis económica y políticas de austeridad, que dejaron a la gente, y sobre todo a las mu- jeres, con el dilema simple de luchar o morir. Junto con el aumento del empleo de las mujeres, tanto en las nuevas industrias como en la econo- mía informal urbana, ha transformado su condición, organización y con- ciencia, como se ha demostrado, por ejemplo, en los estudios realizados por Ruth Cardoso de Leite o Maria da Gloria Gohn en Brasil, Alejan- dra Massolo en México o Helena Useche en Colombia75 . De estos es- fuerzos colectivos, no sólo se han desarrollado organizaciones populares que han tenido repercusión en las políticas y las instituciones, sino que además ha surgido una nueva identidad colectiva, como mujeres dota- das de poder. Así, Alejandra Massolo, para concluir su análisis de los movimientos sociales urbanos basados en las mujeres de la Ciudad de México, escribió: La subjetividad femenina de las experiencias de lucha es una dimensión revela- dora del proceso societal de construcción de nuevas identidades colectivas en el escenario de la conflictividad urbana. Los movimientos urbanos de los años se- tenta y principios de los ochenta hicieron visible, y por lo tanto distinguible, la «insólita» identidad colectiva de segmentos de las clases populares. Las mujeres han sido parte de la fabricación social de esta nueva identidad colectiva —desde sus matrices territoriales cotidianas, reconvertidas en matrices de la acción colec- tiva que emprendieron. Le otorgaron a la construcción del «nosotros» identidad colectiva, la inherente pluralidad compleja de las motivaciones, significados y ex- pectativas del género femenino que contienen los movimientos populares urba- nos, aunque no emerjan de la problemática del género, aunque sean mixtos y las dirigencias masculinas76 . Es esta presencia masiva de las mujeres en la acción colectiva de los movimientos populares en todo el mundo, y su autoidentificación ex- plícita como actoras colectivas, la que está transformando su conciencia y sus papeles sociales, incluso en ausencia de una ideología feminista ar- ticulada. Sin embargo, aunque el feminismo está presente en muchos países, y se ha producido una explosión de luchas/organizaciones de las mujeres por todo el mundo, el movimiento feminista muestra formas y orientacio- nes muy diferentes de acuerdo con los contextos culturales, institucionales y políticos donde surge. Por ejemplo, el feminismo en Gran Bretaña se vio marcado desde su inicio a finales de los años sesenta por su estrecha rela- ción con los sindicatos, el Partido Laborista, la izquierda socialista y, ade- Cardoso de Leite, 1983; Gohn, 1991; Espinosa y Useche, 1992; Massolo, 1992. Massolo, 1992, pág. 388.
  • 215.
    II l'in delpatrlamulo: movimientos sociales, familiii y sexualidad... 215 más, el estado de bienestar77 . Era más explícitamente político —esto es, orientado hacia el estado— que el feminismo estadounidense y se conec- taba de forma más directa con los problemas diarios de las mujeres traba- jadoras. No obstante, debido a su proximidad con la política de izquierdas y el movimiento obrero, sufrió durante los años setenta luchas internas debilitadoras entre las diferentes ramas de feministas socialistas y radica- les. Por ejemplo, la popular campaña de 1973 «Sueldos para las amas de casa» fue criticada por algunas feministas debido a su aceptación implícita de la posición subordinada de la mujer en el hogar, induciéndola poten- cialmente a quedarse en su encierro doméstico. Esta vinculación contra- dictoria con el sindicalismo y la política socialista afectó al mismo movi- miento. Como escribió Rowbotham: Probablemente existe cierta verdad en el argumento de que la importancia otor- gada al apoyo sindical —más determinante en Gran Bretaña que en muchos otros movimientos de liberación de la mujer— influyó en los términos en que se pre- sentó la demanda del aborto. Los rancios salones de juntas de los sindicatos no son los lugares más apropiados para peroratas ilustradas sobre la multiplicidad del deseo femenino. Pero [...] creo que es más probable que sea, en parte, debido a una evasión dentro del propio movimiento de liberación de la mujer. El movi- miento quiso evitar contraponer heterosexualidad y lesbianismo, pero en el pro- ceso, la esfera de la autodefinición personal se estrechó y toda discusión sobre el placer heterosexual quedó relegada78 . En parte como resultado de esta renuencia a afrontar su diversidad y a desviarse de la racionalidad estratégica de la política tradicional, el fe- minismo británico resultó debilitado por la fuerza inexorable del thatche- rismo de la década de los ochenta. No obstante, tan pronto como una nueva generación de feministas se sintió libre de los antiguos lazos de la política partidista y la lealtad sindical, el feminismo resurgió en la década de los noventa, no sólo como feminismo cultural, y como lesbianismo, sino en una multiplicidad de expresiones que incluyen, pero no en una posición hegemónica, al feminismo socialista y el feminismo instituciona- lizado. El feminismo español se vio aún más marcado por el contexto político en el que nació, el movimiento democrático contra la dictadura de Franco de mediados de los años setenta79 . La mayoría de las organizaciones de 77 Rowbotham, 1989. 78 Rowbotham, 1989, pág. 81. 79 Mi comprensión del feminismo español proviene de la experiencia y observación di- rectas y personales, así como de conversaciones con diversas mujeres que desempeñaron un papel significativo en el movimiento. Quiero dar las gracias a las mujeres de las que aprendí tanto, sobre todo a Marina Subirats, Fran?oise Sabbah, Marisa Goñi, Matilde Fernández, Carlota Bustelo, Carmen Martínez-Ten, Cristina Alberdi y Carmen Romero. Naturalmente, la responsabilidad del análisis y la información presentados aquí es exclusivamente mía.
  • 216.
    .'I<> I Ij >< u íc l ilc lil iilrntlilml mujeres estaban vinculadas con la oposición antifranquista semiclandes- tina, como la Asociación de Mujeres Demócratas, influida por el Partido Comunista, y la Asociación de Amas de Casa, organizada territorial- mente. Cada tendencia política, sobre todo las de la izquierda revolucio- naria, tenía su organización de «masas» de mujeres. En Cataluña y el País Vasco, las organizaciones de mujeres y las feministas también tenían sus organizaciones propias, que reflejaban las divisiones nacionales de la polí- tica española. Hacia el fin del franquismo, en 1974-1977, comenzaron a aparecer colectivos feministas autónomos en el clima de liberación cultu- ral y política que caracterizó la España de los años setenta. Uno de los más innovadores e influyentes fue el Frente de Liberación de la Mujer, con base en Madrid. Tenía pocos miembros (menos de 100 mujeres), pero centró su actividad en llamar la atención de los medios de comunicación, utilizando su red de mujeres periodistas, con lo que obtuvo popularidad para las reivindicaciones y discursos de las mujeres. Se centró en el dere- cho al aborto, el divorcio (ambos ilegales por entonces en España) y la libre expresión de la sexualidad de las mujeres, incluido el lesbianismo. Estaba muy influido por el feminismo cultural y por las ideas france- sas/italianas del feminisme de la différence, pero también participó en la lucha por la democracia, junto a las organizaciones de mujeres comunis- tas y socialistas. Sin embargo, con el establecimiento de la democracia en España en 1977, y con la llegada al poder del Partido Socialista en 1982, todos los movimientos feministas autónomos desaparecieron, precisa- mente debido a su éxito institucional y político. En 1981 se legalizó el di- vorcio y el aborto, con restricciones, en 1984. El Partido Socialista promo- vió un Instituto de la Mujer, dentro del gobierno, que actuó como un grupo de presión feminista frente al gobierno. Muchas activistas feminis- tas, y sobre todo las del Frente de Liberación de la Mujer, se unieron al Partido Socialista y ocuparon cargos dirigentes en el parlamento, la admi- nistración y, en menor medida, el gobierno. Una destacada feminista so- cialista del movimiento sindical, Matilde Fernández, fue nombrada minis- tra de Asuntos Sociales y ejerció su influencia y vigorosa voluntad para fortalecer las causas de las mujeres en la segunda mitad del régimen so- cialista. En 1993 la reemplazó como ministra Cristina Alberdi, otra vete- rana del movimiento feminista y prestigiosa jurista. Carmen Romero, la esposa del presidente del gobierno, Felipe González, y militante socialista desde hacía mucho tiempo como él, fue elegida al parlamento y desem- peñó un papel importante en la modificación del sexismo tradicional del partido. Por ejemplo, se aprobó una norma en los estatutos del partido que reservaba el 25% de los cargos dirigentes a las mujeres (una promesa que se cumplió en 1997). Así pues, por una parte, la repercusión del femi- nismo fue importante para mejorar la condición legal, social y económica de las mujeres españolas, así como para facilitar su entrada en cargos pro- minentes de la política, las empresas y la sociedad en general. En las nue-
  • 217.
    II luí delpaliniK mío movimientos socmles, funiiliii y scxunlidud... 217 vas generaciones, las actitudes del machismo tradicional resultaron espec- tacularmente erosionadas80 . Por otra parte, el movimiento feminista desa- pareció prácticamente como movimiento autónomo, vaciado de sus cua- dros y centrado por completo en la reforma institucional. Quedó poco espacio para el feminismo lesbiano y para destacar la diferencia y la se- xualidad. No obstante, la nueva tolerancia obtenida en la sociedad espa- ñola ayudó a que creciera un nuevo feminismo, de orientación,má^ cultu- ral, en los años noventa, más próximo a las tendencias feministas actuales de Gran Bretaña o Francia, y distante de la política tradicional, excepto en el País Vasco, donde mantuvo sus vínculos autodestructivos con el mo- vimiento separatista radical. Así pues, el feminismo español ejemplifica el potencial de utilizar la política y las instituciones para mejorar la condi- ción de las mujeres, así como la dificultad de continuar siendo un movi- miento social autónomo cuando se logra la institucionalización. Nuestra última exploración de las variaciones del feminismo, en el contexto más amplio en el que el movimiento se desarrolla, nos lleva a Italia, donde tuvo lugar el que quizás fue el movimiento feminista de ma- sas más potente e innovador de toda Europa durante la década de los se- tenta 81 . Como escribe Bianca Beccalli: «De la investigación histórica del feminismo italiano se desprenden dos temas claros: la estrecha asociación entre el feminismo y la izquierda, y el significado particular del entrelaza- miento de igualdad y diferencia»82 . En efecto, el feminismo contemporá- neo italiano surgió, al igual que la mayoría de los movimientos feministas de Occidente, de los vigorosos movimientos sociales que sacudieron a Ita- lia a finales de la década de los sesenta y comienzos de la de los setenta. Pero, a diferencia de sus equivalentes, el movimiento feminista italiano incluyó una influyente corriente dentro del sindicalismo italiano y fue bien recibido y apoyado por el Partido Comunista italiano, el mayor fuera del mundo comunista, y el partido que contaba con mayor número de afi- liados de Italia. Así pues, las feministas italianas lograron popularizar sus temas, como feministas, entre grandes sectores de mujeres, incluidas las de la clase obrera, durante los años setenta. Las demandas económicas y de igualdad se entretejieron con la liberación de la mujer, la crítica del patriarcado y la subversión de la autoridad, tanto en la familia como en la sociedad. Sin embargo, la relación entre el feminismo y la izquierda, y so- bre todo con la izquierda revolucionaria, no fue fácil. En efecto, en di- 80 Alonso Zaldívar y Castells, 1992. 81 Mi comprensión del movimiento feminista italiano proviene, en buena medida, de mi amistad y conversaciones con Laura Balbo, así como de la observación personal de los mo- vimientos sociales de Milán, Turín, Venecia, Roma y Ñapóles a lo largo de los años setenta. Para un análisis más reciente, véase la excelente visión general de Bianca Beccalli, 1994. So- bre el estadio formativo del movimiento y su evolución durante la década de los setenta, vé- ase Ergas, 1985 y Birnbaum, 1986. 82 Beccalli, 1994, pág. 109.
  • 218.
    218 El poderde ln identidad ciembre de 1975, il servizio d'ordine (el servicio de orden) de Lotta Conti- nua, la organización mayor y más radical de extrema izquierda, insistió en proteger la manifestación de las mujeres de esta organización en Roma y cuando éstas rechazaron su protección, les dieron una paliza, provocando la secesión de las mujeres de la organización y la disolución de la propia Lotta Continua unos cuantos meses después. La creciente autonomía de la organización de inspiración comunista Unione delle Donne Italiane (UDI) frente al partido acabó llevando a la autodisolución de la primera en 1978. No obstante, en general, hubo muchos vínculos entre la organi- zación de las mujeres, los sindicatos y los partidos políticos de izquierda (excepto los socialistas), y mucha receptividad entre los dirigentes de los partidos y los sindicatos hacia los problemas de las mujeres e incluso los discursos feministas. Esta estrecha colaboración dio como resultado una de las legislaciones más avanzadas de Europa sobre la mujer trabajadora, así como la legalización del divorcio (mediante referéndum en 1974) y el aborto. Durante un largo periodo, en la década de los setenta, esta cola- boración política corrió pareja con la proliferación de colectivos de muje- res que suscitaron los temas de la autonomía de las mujeres, su diferencia cultural, su sexualidad y el lesbianismo como tendencias separadas que interactuaron con el mundo de la política y la lucha de clases. Y, sin em- bargo, al finalizar la década [1970], el feminismo estaba en declive; y el comienzo de los años ochenta presenció su desaparición casi total como movimiento. Dejó de es- tar presente en las luchas políticas y se fragmentó y distanció aún más, a medida que las activistas feministas fueron comprometiendo sus energías en proyectos y experiencias privados, ya fueran de naturaleza individual o comunal. Así fue como el «nuevo» movimiento feminista, siguiendo el ejemplo de otros «nuevos movimientos sociales» de los años setenta, evolucionó para convertirse sólo en otra forma de política de estilo de vida83 . ¿Por qué fue así? No utilizaré las palabras de Beccalli para dar mi in- terpretación, aunque no creo que contradiga su relato. Por una parte, las mujeres italianas conquistaron considerables reformas legales y económi- cas, entraron masivamente en el mercado laboral y las instituciones edu- cativas, debilitando el sexismo y, lo que es más importante, el poder tradi- cional ejercido por la Iglesia católica sobre sus vidas. Así pues, se ganaron las batallas abiertas y claras en las que la izquierda, los sindicatos y las mujeres podían convergir fácilmente, aunque la victoria no siempre se ex- plotó hasta sus últimas consecuencias, como en el caso de la Ley sobre la Igualdad que, como sostiene Beccalli, no alcanzó a su modelo británica. Al mismo tiempo, la estrecha conexión entre el movimiento de las muje- Beccalli, 1994, pág. 86.
  • 219.
    P.l fin delpalriiirimlo: movimientos sociales, familia y sexualidad... .'19 res y la izquierda provocó la crisis del feminismo político junto con la cri- sis de la propia izquierda. La izquierda revolucionaria, que vivía en una fantasía marxista/maoísta (elaborada con una inteligencia e imaginación notables, que hacían los paraísos artificiales aún más artificiales), se de- sintegró en la segunda mitad de la década de los setenta. El movimiento sindical, aunque no tuvo que vérselas con una reacción violenta del neo- conservadurismo como en Gran Bretaña o los Estados Unidos, en los años ochenta se enfrentó con las nuevas realidades de la globalización y el cambio tecnológico y hubo de aceptar las limitaciones de la interdepen- dencia internacional del capitalismo italiano. La economía red, que tomó como modelo la Emilia Romagna, hizo a las firmas italianas dinámicas y competitivas, pero al precio de socavar de forma decisiva el poder de ne- gociación sindical, concentrado en las grandes fábricas y el sector público. El Partido Comunista fue apartado del poder por un frente anticomunista encabezado por el Partido Socialista. Y este último utilizó las palancas del poder para financiarse ilegalmente y comprar su sueño de sorpasso (esto es, sobrepasar a los comunistas en el voto popular): el sistema judicial co- gió a los socialistas antes de que éstos pudieran alcanzar a los comunistas, que, mientras tanto, habían dejado de ser comunistas y se habían unido a la Internacional Socialista. Apenas resulta sorprendente que las feminis- tas italianas, muy políticas, se fueran a casa. Pero no al hogar de sus espo- sos/padres, sino a la Casa de las Mujeres, a una cultura de las mujeres di- versa y vital que, a finales de los años ochenta, había reinventado el feminismo, resaltando la differenza sin olvidar la egalitá. Luce Irigaray y Adrienne Rich reemplazaron a Marx, Mao y Alexandra Kollontai como puntos de referencia intelectuales. No obstante, en los años noventa, los nuevos colectivos continuaron vinculando el discurso feminista y las rei- vindicaciones de las mujeres, sobre todo en los gobiernos locales contro- lados por la izquierda. Una de las campañas más innovadoras y activas se ocupó de la reorganización del tiempo, del horario laboral al de atención al público de los comercios y los servicios públicos, para hacerlos flexi- bles, adaptados a las vidas múltiples de las mujeres. En la década de los noventa, pese a la amenaza política de Berlusconi y los neofascistas, que propugnaban la recuperación de los valores familiares tradicionales, la llegada al poder de una coalición de centro-izquierda, incluido el ahora socialista Partito Democrático di Sinistra (ex comunista) en 1996, abrió la vía para una nueva renovación institucional. Esta vez basándose en un movimiento feminista autónomo y descentralizado que había aprendido las lecciones de «bailar con lobos». Así pues, el feminismo, y las luchas de las mujeres, tienen altibajos a lo largo de todo el paisaje de la experiencia humana en este fin de mile- nio, volviendo siempre a la superficie con nuevas formas y cada vez más vinculados con otras fuentes de resistencia a la dominación, a la vez que mantienen la tensión entre la institucionalización política y la autonomía
  • 220.
    .'.'(i I I|i(»k'i• ilr l.i identidad cultural. Los contextos en los que se desarrolla el feminismo moldean al movimiento en una serie de formas y discursos. Y, no obstante, sostengo que hay un núcleo esencial (sí, he dicho esencial) de valores y fines cons- tituyentes de identidad(es) que impregna toda la polifonía cultural del fe- minismo. Feminismo: una polifonía inductiva84 La fuerza y vitalidad del movimiento feminista radica en su diversi- dad, en su adaptabilidad a las culturas y épocas. Por lo tanto, para tratar de encontrar el núcleo fundamental de su fuerza de transformación, com- partido por todos los movimientos, primero debemos reconocer su diver- sidad. Para interpretar el sentido de esa diversidad, propongo una tipolo- gía de los movimientos feministas basada en la catalogación de los movimientos sociales de Touraine, presentada en el capítulo 2. El em- pleo de esta tipología es analítico, no descriptivo. Es imposible reflejar el perfil multifacético del feminismo a lo largo de los países y culturas en los años noventa. Como todas las tipologías, es reduccionista, una cir- cunstancia particularmente desgraciada en lo que se refiere a las prácti- cas de las mujeres, ya que éstas han reaccionado justamente contra su ca- talogación y etiquetado constantes en la historia como objetos, más que como sujetos. Además, los movimientos feministas específicos, y las mu- jeres concretas dentro de ellos, suelen transcender estas y otras catego- rías, mezclando identidades, adversarios y objetivos en la definición pro- pia de su experiencia y lucha. Asimismo, algunas de las categorías puede que representen a segmentos muy reducidos del movimiento feminista, si bien las considero pertinentes desde el punto de vista analítico. Pero, en general, creo que puede ser útil considerar las distinciones presentadas en el esquema 4.1 como un modo de abordar la diversidad de los movi- mientos feministas y un paso necesario para investigar lo que tienen en común. Bajo estos tipos he incluido, al mismo tiempo, acciones colectivas y discursos individuales que se debaten en el feminismo y su entorno. Ello se debe a que, como expuse antes, el feminismo no se agota en las luchas militantes. También es, y algunas veces de forma fundamental, un dis- curso: un discurso que subvierte el papel de las mujeres en la historia de 84 Al valorar los principales temas del movimiento feminista, no pretendo hacer justicia a la riqueza del debate feminista, ni puedo investigar, aun cuando la conociera, la gama completa de teorías y posiciones de que se dispone para una compresión en profundidad de las fuentes de la opresión de las mujeres y las vías de su liberación. Mi síntesis analítica se orienta al objetivo teórico de este libro: interpretar la interacción de los movimientos so- ciales que afirman la supremacía de la identidad y la sociedad red, como nueva estructura de dominación en la era de la información. Si este descargo parece defensivo, es que lo es.
  • 221.
    Fil fin ilt'l|>;ih I.III .iilu MIIH r u l o s s o n , i l i s , I.IIIHII.I y sc.u;iluhicl... .'.'I los hombres, con lo que transforma la relación históricamente dominante entre espacio y tiempo, como sugiere Irigaray: Los dioses, Dios, primero crearon el espacio [...] El propio Dios sería tiempo, ex- teriorizándose en su acción en el espacio, en lugares [...] ¿Acaso podrían inver- tirse en la diferencia sexual, donde lo femenino se experimenta como espacio, pero a menudo con connotaciones del abismo y la noche [...] mientras que lo mas- culino se experimenta como tiempo? La transición a una nueva era requiere un cambio en nuestra percepción y concepción del espacio-tiempo, de la forma de habitar en los lugares, y de los continentes, o envoltorios de la identidad85 . ESQUEMA 4.1 Tipología analítica de los movimientos feministas. Tipo Derechos de las mujeres (liberal, socialista) Feminismo cultural Feminismo esencialista (esplritualismo, (ecofeminismo) Feminismo lesbiano Identidades específicas de las mujeres (étnica, nacional, autodefinida; ej.: feminista lesbiana negra) Feminismo práctico (trabajadoras. defensa personal, maternidad, etc.) Identidad Las mujeres como seres humanos Comunidad de mujeres El ser mujer Hermandad sexual/ cultural Identidad autoconstruida Mujeres/amas de casa explotadas/ maltratadas Adversario Estado patriarcal y/o capitalismo patriarcal Instituciones y valores patriarcales El modo masculino de ser Heterosexualidad patriarcal Dominación cultural Capitalismo patriarcal Objetivo Igualdad de derechos (incluidos los reproductivos) Autonomía cultural Libertad matriarcal Abolición de los géneros mediante el separatismo Multiculturalismo sin géneros Supervivencia/ dignidad 85 Irigaray, 1984/1993, pág. 7.
  • 222.
    222 Hl |) i x l i i ili l.i l i l c ' l l l k l . u l Esta transición y este cambio se están operando mediante un desplie- gue de movimientos de mujeres, algunos de los cuales se presentan en el esquema 4.1, cuyo contenido trataré de aclarar. La defensa de los derechos de la mujer es lo primordial para el femi- nismo. En efecto, todas las demás formas incluyen esta afirmación básica de las mujeres como seres humanos, no como muñecas, objetos, cosas o animales, en los términos de la crítica feminista clásica. En este sentido, el feminismo es una extensión del movimiento por los derechos humanos. Este movimiento se presenta en dos versiones, liberal y socialista, aunque esta inclusión como variantes de un mismo tipo puede resultar sorpren- dente dada su marcada oposición ideológica. En efecto, son diferentes, pero, en lo referente a la identidad, ambos afirman los derechos de las mujeres como iguales a los hombres. Difieren en su análisis de las raíces del patriarcado y en su creencia o incredulidad en la posibilidad de refor- mar el capitalismo y operar dentro de las reglas de la democracia liberal mientras satisfaga los objetivos supremos de la igualdad. Ambos incluyen en los derechos de las mujeres los económicos y los reproductivos. Y am- bos consideran que la obtención de estos derechos es su objetivo, aunque pueden divergir considerablemente en las prioridades tácticas y el len- guaje. Las feministas socialistas consideran que la lucha contra el patriar- cado está vinculada necesariamente con la superación del capitalismo, mientras que el feminismo liberal plantea la transformación socioeconó- mica con una perspectiva más escéptica, centrándose en el avance de la causa de las mujeres con independencia de otras metas. El feminismo cultural se basa en el intento de construir instituciones de mujeres alternativas, espacios de libertad, dentro de la sociedad pa- triarcal, cuyas instituciones y valores se consideran el adversario. A veces se asocia con el «feminismo de la diferencia», aunque no supone esencia- lismo. Comienza con la afirmación doble de que las mujeres son diferen- tes, sobre todo debido a su historia diferencial, y de que en todo caso sólo pueden reconstruir su identidad y encontrar sus propios caminos constru- yendo su propia comunidad. En muchos casos esto implica el deseo de se- paración de los hombres o al menos de las instituciones dominadas por éstos. Pero no lleva necesariamente al lesbianismo o al separatismo de los hombres. Pretende construir una autonomía cultural como base de resis- tencia y, de este modo, orientar las demandas de las mujeres atendiendo a valores alternativos, como la ausencia de competitividad y de violencia, la colaboración y la multidimensionalidad de la experiencia humana, condu- centes a una nueva identidad de las mujeres y de su cultura, que podría inducir la transformación cultural de la sociedad en general. El movimiento de «concienciación», en los orígenes del feminismo ra- dical, se vinculó con el feminismo cultural y originó todo un conjunto de redes de organizaciones e instituciones de mujeres que se convirtieron en espacios de libertad, protección, apoyo y comunicación: librerías, clínicas
  • 223.
    I I lilidel piíliliui .i>l>i iniiv iimrntos snciiilcs, Imnilin y sexualidad... 223 sanitarias, cooperativas, todas de mujeres. Aunque estas organizaciones proporcionaban servicios a las mujeres y se convirtieron en herramientas organizativas para diversas movilizaciones en favor de sus derechos, tam- bién generaron y difundieron una cultura alternativa que estableció la es- pecificidad de sus valores. El feminismo esencialista avanza un paso más y proclama, de forma si- multánea, la diferencia esencial de las mujeres frente a los hombres, arrai- gada en la biología y la historia, y la superioridad moral/cultural de la fe- minidad como modo de vida. En la formulación de Fuss, «el esencialismo invoca una feminidad pura u original, una esencia femenina, fuera de las fronteras de lo social y, por lo tanto, no contaminada (aunque quizás re- primida) por el orden patriarcal»86 . Por ejemplo, para Luce Irigaray, una voz articulada e influyente del feminismo esencialista, «por nuestros la- bios somos mujeres»87 . ¿Cómo puedo decir esto? Que somos mujeres desde el principio. Que no tenemos que volvernos mujeres por ellos, etiquetadas por ellos, sacralizadas y profanadas por ellos. Que eso ha pasado siempre, sin sus esfuerzos. Y que su historia, sus his- torias, constituyen el lugar de nuestro desplazamiento [...] Sus propiedades son nuestro exilio. Sus recintos, la muerte de nuestro amor. Sus palabras, la mordaza sobre nuestros labios [...] Corramos a inventar nuestras propias frases. Para que en todo lugar y por siempre podamos seguir abrazando [...] Nuestra fuerza radica en la propia debilidad de nuestra resistencia. Durante largo tiempo han apreciado lo que vale nuestra flexibilidad para sus propios abrazos e impresiones. ¿Por qué no disfrutar nosotras mismas? Mejor que dejarnos someter a su herraje. Mejor que ser fijadas, estabilizadas, inmovilizadas. Separadas [...] Podemos arreglárnos- las sin modelos, normas o ejemplos. No nos demos órdenes, mandatos o prohibi- ciones. Que nuestros imperativos sólo sean llamadas a movernos, a ser movidas, juntas. Que nunca nos establezcamos leyes, ni moralicemos ni hagamos la guerra88 . La liberación es «hacer "consciente" a cada mujer del hecho de que lo que ha sentido en su experiencia personal es una condición compar- tida por todas las mujeres, lo que permite la politización de esa experien- cia»89 . Al aceptar la especificidad de sus cuerpos, las mujeres no quedan atrapadas en la biología, sino que, por el contrario, escapan de su defini- ción por parte de los hombres, que han ignorado su verdadera natura- leza. En un orden masculino, las mujeres serán aniquiladas de forma per- manente porque se las caracteriza desde fuera de su experiencia corporal, primordial: sus cuerpos han sido reinterpretados y su experien- cia reformulada por los hombres90 . Sólo reconstruyendo su identidad en 86 Fuss, 1989, pág. 2. 87 Irigaray, 1977/1985, pág. 210. 88 Irigaray, 1977/1985, págs. 215-217. 89 Irigaray, 1977/1985, pág. 164. 90 Fuss, 1989.
  • 224.
    224 líl poderilc la identidad virtud de su especificidad biológica y cultural pueden convertirse las mu- jeres en ellas mismas. Por ejemplo, el renacimiento del feminismo italiano, a comienzos de la década de los ochenta, lo marcó en cierto modo la afirmación de la di- ferencia de las mujeres y la primacía otorgada a la reconstrucción de su identidad atendiendo a su especificidad biológica/cultural, expresada en el popular folleto Piú donne che uomini, publicado por la Librería de la Mujer de Milán. Trataba de abordar la incapacidad de las mujeres para actuar en la esfera pública, destacando su necesidad de trabajar de forma independiente, en buena medida determinada por su especificidad bioló- gica. Encontró un amplio eco entre las mujeres italianas91 . Otra corriente de esencialismo enlaza la feminidad con la historia y la cultura, y reclama el mito de una era dorada matriarcal en la que los valo- res de las mujeres y el culto a la diosa aseguraban la armonía social92 . El espiritualismo y el ecofeminismo también se encuentran entre las mani- festaciones más vigorosas del esencialismo, uniendo biología e historia, naturaleza y cultura, en la afirmación de una nueva era construida en torno a los valores de las mujeres y su fusión con la naturaleza93 . El esencialismo está sometido a un duro ataque en el movimiento fe- minista, tanto de base política como por parte de las perspectivas intelec- tuales opuestas. En lo referente a la política, se sostiene94 que las diferen- cias esencialistas entre hombres y mujeres hacen el juego a los valores tradicionales del patriarcado y justifican el mantenimiento de la mujer en su dominio privado, en una posición necesariamente inferior. En cuanto al aspecto intelectual, las feministas materialistas, como Christine Delphy y Monique Wittig, consideran el sexo anatómico una construcción social95 . Para ellas, el género no crea la opresión; más bien es la opresión la que crea el género. La feminidad es una categoría masculina y la única libera- ción consiste en quitar todo género a la sociedad, suprimiendo la dicoto- mía hombre/mujer. No obstante, la afirmación de la especificidad irreductible de las muje- res y la propuesta de reconstruir la sociedad en torno a los valores feme- ninos tiene un innegable atractivo entre las mujeres y las feministas, a la vez que proporciona la vinculación con las vigorosas tendencias de espiri- tualismo y ecologismo radical, características de la era de la información. El feminismo lesbiano ha sido el componente de los movimientos fe- ministas de los países desarrollados (y no sólo en los Estados Unidos) que más de prisa ha crecido y el más militante en la última década, organizado "' Beccalli, 1994. 92 Merchant, 19K0. 93 Spretnak, 1982; Epstein, 1991. 94 Beccalli, 1994. 95 Delphy, 1984; Wittig, 1992.
  • 225.
    II Tin del| <;• 11 mi i inlt > iiioviinunlos sociales, linniliii y sexualidad... 21: en diversos colectivos, así como en comités y tendencias dentro de moví mientos feministas más amplios. No puede de ningún modo asimilarse a una orientación sexual particular. Adrienne Rich propone la noción de «continuo lesbiano» para incluir un amplio espectro de experiencias de mujeres, marcadas por su opresión por parte de las instituciones insepara- bles del patriarcado y la heterosexualidad obligatoria, y su resistencia a las mismas96 . En efecto, el Manifiesto de las Lesbianas Radicales _cje los Estados Unidos comienza con la declaración siguiente: «¿Quién es les- biana? Una lesbiana es la rabia de todas las mujeres condensada en el punto de explosión»97 . Desde esta perspectiva, el lesbianismo, como la se- paración radical y consciente de las mujeres de los hombres como fuentes de su opresión, es el discurso/práctica de la liberación. Ello explica el éxito del lesbianismo electivo para muchas mujeres, como el modo de ex- presar su autonomía frente al mundo de los hombres de una forma in- transigente. En palabras de Monique Wittig: La negativa a convertirse en heterosexual (o a seguir siéndolo) significa siempre la negativa a convertirse en un hombre o una mujer, conscientemente o no. Para una lesbiana, llega más lejos que la negación del papel de la «mujer». Es la nega- ción del poder económico, ideológico y político del hombre [...] Somos fugitivas de nuestra clase, del mismo modo que los esclavos fugados estadounidenses huían de la esclavitud y se hacían libres. Para nosotras, es una necesidad absoluta; nues- tra supervivencia exige que aportemos toda nuestra fuerza a la destrucción de la clase de mujeres dentro de la cual los hombres se apropian de ellas. Y ello sólo puede lograrse mediante la destrucción de la heterosexualidad como sistema social que se basa en la opresión de las mujeres por los hombres y que produce la doc- trina de la diferencia entre los sexos para justificar esta opresión98 . Puesto que la heterosexualidad es el supremo adversario, el femi- nismo lesbiano encuentra en el movimiento gay un aliado potencial, aun- que ambivalente (véase más adelante). Cada vez más, el movimiento feminista se está fragmentando en una multiplicidad de identidades feministas que constituyen la definición pri- mordial para muchas feministas. Como sostuve antes, ello no es una fuente de debilidad, sino de fortaleza, en una sociedad caracterizada por redes flexibles y alianzas variables en la dinámica de los conflictos socia- les y las luchas de poder. Estas identidades son autoconstruidas aun cuando suelan utilizar la etnicidad, y a veces la nacionalidad, para estable- cer fronteras. El feminismo negro, el feminismo chicano, el feminismo ja- ponés, el feminismo lesbiano negro, pero también el feminismo lesbiano sadomasoquista, o autodefiniciones territoriales/étnicas, como las Sout- 96 Rich, 1980/1993. 97 Reproducido en Schneir, 1994, pág. 162. 98 Wittig, 1992, págs. 13-20. Las cursivas son mías.
  • 226.
    226 El poderdo la identidad hall Black Sisters de Inglaterra ", no son sino ejemplos de las posibilida- des infinitas de identidades autodefinidas mediante las cuales las mujeres se ponen en movimiento 10 °. Al hacerlo, se oponen a la uniformidad del feminismo, que consideran una nueva forma de dominación cultural, no ajena a la lógica patriarcal de sobreimponer la oficialidad a la diversidad real de las experiencias de las mujeres. En algunos casos, la identidad propia comienza con un seudónimo, como en el de la escritora feminista negra bell hooks: «Elegí el nombre de bell hooks porque era un nombre de familia, porque tenía un sonido fuerte. Durante toda mi infancia, este nombre se utilizó para hablar de la memoria de una mujer fuerte, una mujer que dijo lo que pensaba [...] Reclamar este nombre era un modo de enlazar mi voz con un legado ancestral de mujeres que hablan, de poder de las mujeres»101 . Así pues, la construcción propia de la identidad no es la expresión de una esencia, sino una apuesta de poder que las mujeres, tal como son, movilizan para las mujeres tal como quieren ser. Reclamar la identidad confiere poder. He elegido de forma deliberada un término polémico, feministas prác- ticas, para hacer referencia a la corriente más amplia y profunda de las lu- chas de las mujeres en el mundo actual, sobre todo en el mundo en vías de desarrollo, pero también entre las mujeres de la clase obrera y las or- ganizaciones comunitarias de los países industrializados. Por supuesto, to- das las feministas son prácticas en el sentido de que todas socavan a dia- rio, de modos muy diferentes, los cimientos del patriarcado, ya sea luchando por los derechos de la mujer o desmitificando los discursos pa- triarcales. Pero también pudiera ser que muchas mujeres sean feministas en la práctica, aunque no reconozcan la etiqueta, o ni siquiera tengan una conciencia clara de oponerse al patriarcado. Así pues, surge la pregunta: ¿puede existir el feminismo sin una conciencia feminista? ¿No son en la práctica feminismo las luchas y organizaciones de las mujeres a lo largo de todo el mundo por sus familias (sobre todo por sus hijos), sus vidas, su trabajo, su techo, su salud, su dignidad'? Francamente, estoy indeciso so- bre este punto y mi trabajo sobre las comunidades urbanas latinoamerica- nas y mis lecturas sobre otras zonas del mundo sólo agudizan mi ambiva- lencia, así que lo más que puedo hacer es transmitirla102 . Por una parte, sostengo la norma clásica de que «no hay clase sin con- ciencia de clase» y el principio metodológico fundamental de definir los movimientos sociales por los valores y fines que expresan. Desde esta perspectiva, la aplastante mayoría de luchas y organizaciones de las muje- 99 Griffin, 1995, pág. 79. m Whittier, 1995; Jarrett-Macauley, 1996. 101 hooks, 1989, pág. 161. 1(12 Este tema ha sido discutido por algunas historiadoras feministas. Mi categoría de «fe- minismo práctico» está próxima a lo que ellas denominan «feminismo social»; véase Offen, 1988; Cott, 1989.
  • 227.
    I I lilidel palrinmulii: movimientos socmk'v hnnilia y M/XUIIIUIÍHI... 227 res, en el mundo en vías de desarrollo y más allá, no expresan una con- ciencia feminista y, lo que es más importante, no se oponen de forma ex- plícita al patriarcado y la dominación masculina, ya sea en su discurso o en los fines de sus movimientos. Los temas del feminismo cultural, del fe- minismo lesbiano o de la liberación sexual raramente están presentes en- tre los movimientos populares de mujeres, aunque tampoco están ausen- tes, como expone la reveladora experiencia del movimiento de lesbianas- taiwanés (véase más adelante). No obstante, el feminismo explícito de los países en vías de desarrollo sigue siendo en general elitista, lo que nos de- jaría con una división bastante fundamental entre feminismo y luchas de las mujeres, que también tendrían una connotación Norte/Sur. En efecto, el Foro de las Mujeres de la ONU celebrado en Pekín mostró algunas pruebas de esta división, amplificada y aireada por algunas partes intere- sadas, a saber, la «Cruzada de la Media Luna», formada por el Vaticano y los islamistas, que luchan codo con codo contra el feminismo y los dere- chos reproductivos de las mujeres. Por otra parte, a través de su acción colectiva, las mujeres de todo el mundo vinculan su lucha y su opresión con sus vidas cotidianas. Conside- ran que la transformación de su condición en la familia está conectada con su intervención en la esfera pública. Escuchemos las palabras de una mujer que vive en una chabola de Bogotá, según las recoge Helena Use- che en sus relatos de mujeres desde las trincheras de la investigación so- cial activista: De unos años para acá la mujer se ha hecho sentir y ahora nos valoran mucho, no más el hecho de que el compañero no vea a la mujer como la que está allá en la casa cocinando, lavando, planchando, sino como una compañera aportando tam- bién económicamente, porque ahora es muy rarito el marido que le dice a la mu- jer: yo trabajo y usted se queda en la casa. Ahí está la alternativa que dimos noso- tras como jardines, ayudar a más mujeres, hacerlas conscientes de la situación del pueblo; antes las mujeres no se interesaban ni por eso. Nos preocupamos no sola- mente por ser mamas sino por saberlo ser103 . ¿Es esto feminismo? Quizá sea una cuestión de traducción cultural. No entre lenguas o continentes, sino entre experiencias. Quizás el desarro- llo paralelo de las luchas y organizaciones de las mujeres y los discursos y debates feministas sea solamente un estadio en el desarrollo histórico de un movimiento, cuya existencia global, una vez plenamente desplegada, podría ser el resultado de la interacción y la transformación recíproca de ambos componentes. Si el feminismo es tan diverso que hasta posiblemente incluya a las mujeres de movimientos que no se denominan a sí mismas feministas o Espinosa y Useche, 1992, pág. 48.
  • 228.
    lil piuki ticla identidad incluso que pondrían objeciones al término, ¿tiene sentido mantener la palabra (después de todo, inventada por un hombre, Charles Fourier) o declarar la existencia de un movimiento feminista? Creo que sí, por una importante razón teórica: en todos los tipos de feminismo, presentados en el esquema 4.1, la tarea fundamental del movimiento, a través de las luchas y los discursos, es de/re/construir la identidad de las mujeres despojando del género a las instituciones de la sociedad. Se reclaman los derechos de las mujeres, en su nombre, como sujetos autónomos de los hombres y de los papeles que se les asignan bajo el patriarcado. El feminismo cultural construye la comunidad de las mujeres para despertar la conciencia y re- construir la personalidad. El feminismo esencialista afirma la especifici- dad irreductible de las mujeres y proclama sus valores superiores autóno- mos. El feminismo lesbiano, al rechazar la heterosexualidad, vacía de significado la división sexual de la existencia que subyace tanto en la viri- lidad como en la feminidad. Las identidades múltiples de las mujeres re- definen los modos de ser atendiendo a su experiencia real, ya sea vivida o fantaseada. Y las luchas de las mujeres por la supervivencia y la dignidad les confiere poder, con lo que se subvierte a la mujer patriarcalizada, defi- nida precisamente por su sumisión. Bajo diferentes formas y mediante ca- minos diferentes, el feminismo diluye la dicotomía patriarcal hombre/mu- jer tal como se manifiesta en las instituciones y la práctica sociales. Al hacerlo, construye no una, sino muchas identidades, cada una de las cua- les, mediante su existencia autónoma, se incauta de micropoderes en la red mundial de las experiencias vitales. LA FUERZA DEL AMOR: MOVIMIENTOS DE LIBERACIÓN DE LESBIANAS Y GAYS m Toda teoría de creación cultural/política que trata la existencia lesbiana como un fe- nómeno marginal o menos «natural», como mera «preferencia sexual» o como la 104 El análisis que se presenta no incluye el estudio de los temas y valores gays y lesbia- nos, ni su relación con las instituciones sociales. Se centra en los movimientos gays y de les- bianas y en su repercusión sobre el patriarcado a través de la liberación sexual. Para ser es- pecífico, estudiaré dos casos concretos, uno para cada movimiento. Por una parte, expondré el surgimiento de un vigoroso movimiento de lesbianas en Taipei, en la década de los no- venta, en interacción con el movimiento feminista y con el movimiento gay. Se trata de un esfuerzo deliberado para alejarnos de las escenas norteamericanas y europeas occidentales de liberación lesbiana y para resaltar la influencia creciente del lesbianismo en culturas tan patriarcales como la china. Por otra parte, analizaré sucintamente la formación y el desarro- llo de la comunidad gay de San Francisco, posiblemente una de las más poderosas y visibles comunidades/movimientos gays del mundo. Mi presentación del movimiento de lesbianas en Taipei se basa primordialmente en un excelente estudio realizado por mi alumna de docto- rado de Berkeley Lan-chih Po, que además es militante activa del movimiento feminista de Taipei (Po, 1996). También he utilizado para comprender el escenario de Taipei, además
  • 229.
    I'l lili delpnliiiirnulo: movimientos sociales, fimnlwi y s<. n,ilui;ul... 22» imagen rejlejada de las relaciones heterosexuales u homosexuales masculinas está profundamente debilitada por ello [...] Hace mucho que debería haber surgido una crítica feminista de la orientación heterosexual obligatoria para las mujeres. Adrienne Rich, «Compulsory heterosexuality and lesbian existence», pág. 229. Nuestro movimiento puede que haya comenzado como la lucha de una minoría, pero lo que ahora estamos tratando de «liberar» es un aspecto de las vidas persona- les de todas las personas: la expresión sexual. John d'Emilio, «Capitalism and gay identity», pág. 474. El patriarcado requiere una heterosexualidad obligatoria. La civiliza- ción, según se la conoce en la historia, se basa en tabúes y represión sexual. La sexualidad, como sostuvo Foucault, es una construcción social105 . La regulación del deseo sustenta las instituciones sociales y, de este modo, canaliza la transgresión y organiza la dominación. Existe una espiral infi- nita entre deseo, represión, sublimación, transgresión y castigo, que ex- plica gran parte de la pasión, la satisfacción y el fracaso humanos, cuando las epopeyas de la historia se observan desde el lado oculto de la expe- riencia. Este sistema de dominación coherente, que vincula los corredores del estado con el pulso de la libido mediante la maternidad, la paternidad y la familia, tiene un eslabón débil: la asunción heterosexual. Si se pone en entredicho esta asunción, todo el sistema se desmorona: se cuestiona la vinculación entre el sexo controlado y la reproducción de la especie; se hace posible la hermandad de las mujeres y, luego, su revuelta, desha- ciendo la división sexual del trabajo que separa a las mujeres; y la intimi- dad masculina amenaza la virilidad, con lo que se socava la coherencia cultural de las instituciones dominadas por los hombres. Aunque los aná- lisis históricos muestran la permisividad hacia la homosexualidad mascu- lina en algunas culturas, sobre todo en la Grecia clásica106 , el lesbianismo fue severamente reprimido durante la mayor parte de la experiencia hu- mana, no pese, sino debido a la resistencia a la heterosexualidad. Como escribe Adrienne Rich: El hecho es que mujeres de todas las culturas y a lo largo de la historia han tra- tado de tener una existencia independiente, no heterosexual y vinculada entre de mi conocimiento personal, mis conexiones taiwanesas. A este respecto, doy las gracias a You-tien Hsing y Chu-joe Hsia. En cuanto a San Francisco, me he basado en el estudio de campo que realicé a comienzos de los años ochenta con la colaboración de Karen Murphy (Castells y Murphy, 1982; Castells, 1983, págs. 138-172), añadiendo algunas observaciones sobre hechos recientes. No hay espacio aquí para revisar la abundante e importante litera- tura sobre los temas de los gays o las lesbianas. Para una visión general erudita de esta bi- bliografía en lengua inglesa, consúltese el excelente Lesbian and Gay Studies Reatler, edi- tado por Abelove et ai, 1993. 105 Foucault, 1976,1984a, b. 106 Halperine/a/., 1990.
  • 230.
    230 El poderde la identidad ellas, en la medida en que su contexto lo hacía posible, a menudo con la creencia de que eran las «únicas» que lo habían hecho. Lo han intentado, a pesar de que pocas mujeres se hallaban en posición económica de resistirse por completo al matrimonio y pese a que los ataques contra las mujeres no casadas se extendieron de la calumnia y la burla, al ginocidio deliberado, incluida la quema y tortura de millones de viudas y solteronas durante la caza de brujas de los siglos xv, xvi y xvii en Europa107 . En general, la homosexualidad masculina se limitó, en el tiempo y el espacio, a los impulsos adolescentes «ignorados a sabiendas» o las expre- siones ocultas en contextos específicos (por ejemplo, en las órdenes reli- giosas de la Iglesia católica). Debido a que los hombres conservaron sus privilegios de género, clase y raza, la represión de los homosexuales en la sociedad fue/es muy selectiva. No obstante, la norma fundamental del pa- triarcado era, y es, la organización de la vida en torno a la familia hetero- sexual, permitiendo de forma fortuita la expresión privada del deseo del mismo sexo a los hombres, siempre que se mantenga en los callejones tra- seros de la sociedad. Aunque la resistencia a la heterosexualidad obligatoria ha existido en todos la épocas y culturas, hasta las tres últimas décadas no se han desa- rrollado en todo el mundo movimientos sociales en defensa de los dere- chos de los gays y las lesbianas y afirmando la libertad sexual, que comen- zaron en los Estados Unidos en 1969-1970, luego en Europa y posteriormente en gran parte del planeta. ¿Por qué en este periodo? Pa- rece haber algunos factores comunes y algunos elementos específicos para cada uno de estos dos movimientos distintos, que explican la oportu- nidad y las circunstancias de su desarrollo. El lesbianismo es, en efecto, un componente del movimiento femi- nista, como propuse anteriormente, si bien las lesbianas buscan alianzas con los hombres gays para luchar contra la dominación cultural de las mujeres heterosexuales. Una vez que la crítica feminista sobre el género de las instituciones socavó la ortodoxia patriarcal, poner en tela de juicio las normas sexuales era la línea de desarrollo lógica para aquellos secto- res del movimiento feminista que querían expresar su identidad en todas las dimensiones. Además, la identificación de los hombres como la fuente de opresión de las mujeres hizo cada vez más difícil para éstas su asocia- ción emocional y sexual con sus «enemigos de clase», con lo que se favo- reció la expresión del lesbianismo latente que existía en muchas. En lo que respecta a los hombre gays, su conversión en movimiento parece haber sido inducida por tres factores concurrentes: el clima de re- beldía de los movimientos de los años sesenta, en los que la expresión personal y el cuestionamiento de la autoridad hicieron posible pensar y 107 Rich, 1980/1993, pág. 230.
  • 231.
    El fin delpiitniíuiulo movimientos sociales, lamilia v sexualidad... 231 hacer lo impensable, y, de este modo, salir a la luz pública; la repercusión del feminismo sobre el patriarcado, poniendo en entredicho la categoría de mujer y, por lo tanto, la de hombre, ya que sólo pueden existir en su dicotomía; y la ferocidad de la represión por una sociedad homófoba que radicalizó incluso a aquellos hombre gays que sólo querían un acomodo108 . En mi opinión, hubo tres factores adicionales que propiciaron el des- arrollo extraordinario, tanto del movimiento de liberación de los gays como el de las lesbianas en los Estados Unidos y otros lugares. Uno es es^ tructural: la formación de una economía informacional avanzada en las grandes áreas metropolitanas condujo a la creación de un mercado labo- ral innovador y diversificado y a redes empresariales flexibles, y creó nue- vos tipos de trabajo para todo tipo de cualificación, independientes de las grandes empresas e instituciones, donde la conducta individual podía re- gularse con mayor facilidad. El segundo factor se refiere a la popularidad de la liberación sexual como tema de los movimientos de los años sesenta. Por ejemplo, por haber sido testigo cercano del movimiento de Mayo del 68 en París (era profesor ayudante de sociología en el campus de Nante- rre, donde comenzó el movimiento), puedo decir que la liberación sexual y la expresión personal eran los fines supremos del movimiento estudian- til radical: de hecho, el movimiento comenzó como una protesta conjunta de hombres y mujeres para obtener el libre acceso a sus dormitorios en la universidad. En torno a la bandera de la liberación sexual, que también sostenía la moral cotidiana del movimiento, tanto en Francia como en los Estados Unidos, el anhelo utópico de liberar el deseo fue la fuerza impul- sora de los años sesenta, el grito de unión en torno al cual toda una gene- ración sintió la posibilidad de una vida diferente. Pero la liberación se- xual, si ha de ser una verdadera liberación, no tiene límites. Así pues, condujo al rechazo del dictado de la heterosexualidad y, en muchos casos, a la abolición de todos los límites del deseo, abriendo de lleno la explora- ción de la transgresión, por ejemplo, en el movimiento sadomasoquista, un movimiento muy articulado ideológicamente y que crece de prisa. El tercer factor que, en mi opinión, indujo de forma paralela los movi- mientos de lesbianas y gays es más polémico. Hace referencia a la separa- ción, física y psicológica, creada entre hombres y mujeres por el reto fe- minista al patriarcado. Con ello no quiero decir que las mujeres se convirtieran en lesbianas y los hombres en gays debido a qúé^tenían pe- leas con sus compañeros heterosexuales. De hecho, la homosexualidad tiene su propia existencia y su pauta de desarrollo es independiente de la heterosexualidad. No obstante, la profunda división que introdujo el efecto conjunto del reto feminista, y la incapacidad de la mayoría de los hombres para afrontar el fin de sus privilegios, reforzó la posibilidad de 108 D'Emilio, 1983.
  • 232.
    lil poder ilrla identidad redes de apoyo del mismo sexo, creando un entorno donde toda clase de deseos podían expresarse con mayor facilidad. Por último, aunque la liberación sexual está en el centro de los movi- mientos de gays y lesbianas, la homosexualidad y el lesbianismo no pueden definirse como preferencias sexuales. Son, fundamentalmente, identidades y, de hecho, dos identidades distintas: lesbiana y gay. Como tales identidades, no vienen dadas; no tienen su origen en cierta forma de determinación bio- lógica. Aunque existe predisposición biológica, la mayor parte de los de- seos homosexuales se mezclan con otros impulsos y sentimientos (véase fig. 4.10), de tal modo que la conducta real, las fronteras de la interacción social y la identidad personal se construyen cultural, social y políticamente. Para analizar de forma específica este proceso político de construcción de la identidad, pasaré ahora a los estudios concretos del movimiento de lesbia- nas de Taipei y de la comunidad gay de San Francisco. Feminismo, lesbianismo y movimientos de liberación sexual en Taipeim En Taipei, como en la mayor parte del mundo, el movimiento de les- bianas surgió como un componente del movimiento feminista y así per- maneció, si bien en los años noventa actuó en estrecha alianza con un mo- vimiento de liberación sexual gay, igualmente vigoroso. El hecho de que tal movimiento, con una extensa influencia entre las jóvenes de Taipei, tuviera lugar en un contexto político cuasiautoritario y en el seno de una cultura profundamente patriarcal muestra la ruptura de los moldes tradi- cionales por las tendencias globales de la política de la identidad. El movimiento feminista taiwanés comenzó en 1972, bajo la iniciativa de una intelectual pionera, Hsiu-lien Lu, quien, cuando volvió a Taipei tras terminar su licenciatura en los Estados Unidos, creo un grupo de mu- jeres, estableció «líneas calientes de socorro» y fundó la Editorial Pionera para editar libros relacionados con la mujer. El «nuevo feminismo» de Lu se hizo eco de los temas clásicos del feminismo liberal, combinados con la idea de modernizar el mercado laboral, desafiando la discriminación se- xual y el confinamiento de las mujeres en ciertos papeles: «Las mujeres primero deben ser humanas, luego mujeres»; «las mujeres deben salir de la cocina»; «la discriminación sexual contra las mujeres debe desaparecer y desarrollarse su potencial». Al mismo tiempo, resaltó el genuino carác- "" Mi análisis del movimiento de lesbianas de Taipei sigue de cerca el estudio de Lan- chih Po (1996). Además de sus observaciones, también se basa en parte en las ponencias (en chino) presentadas a la conferencia sobre los «Nuevos mapas del deseo: literatura, cultura y orientación sexual», organizada el 20 de abril de 1996 en la Universidad Nacional de Tai- wan, Taipei, y en el número especial de la revista Despertar (1995, núm. 158-61) sobre la re- lación entre el feminismo y el lesbianismo.
  • 233.
    II luí ilo I |)iiliiairiiiln mnvimiailos sociiilcs, l.iiinli.i y sexualidad... 2 i i ler chino de su movimiento y se opuso a algunos de los valores del femi- nismo occidental, como la eliminación de las diferencias de género o el rechazo del modo de vestirse femenino. Para Lu, «las mujeres deben ser como son». A finales de los años setenta, las feministas se unieron al mo- vimiento de oposición política y, tras la revuelta de Kaoshiung de 1979, fueron reprimidas y Lu, encarcelada. El movimiento organizado no pudo sobrevivir a la represión, pero sí las redes de mujeres, así que, a comienzos de la década de los ochenta, se desarrolló una nueva oleada de feminismo. En 1982, un pequeño grupo de mujeres creó la revista mensual Despertar para dar voz a las opiniones de las mujeres y presionar en favor de sus de- rechos. En enero de 1987, cientos de mujeres tomaron las calles de Taipei en protesta contra la industria sexual de la ciudad. En ese mismo año, tras el levantamiento de la ley marcial que había sometido a la oposición tai- wanesa durante décadas, la Fundación Despertar se estableció formal- mente: acabó convirtiéndose en la instancia coordinadora de las luchas de las mujeres de Taiwan, mezclando temas liberales, causas radicales y res- paldo para una amplia gama de iniciativas de las mujeres. En un movi- miento en buena medida espontáneo, a finales de los años ochenta se for- maron numerosos grupos de mujeres, como las asociaciones de mujeres divorciadas, de amas de casa, grupos para rescatar a la juventud de la prostitución y otros similares. Los medios de comunicación comenzaron a informar sobre las actividades de estos grupos, aumentando su presencia y atrayendo a un número creciente de mujeres, sobre todo entre los gru- pos cultos y profesionales de Taipei. Con el comienzo de la vida política democrática en la década de los noventa (la oposición democrática conquistó el ayuntamiento de Taipei en las elecciones locales), surgió en Taipei un movimiento social diversifi- cado, orientado hacia el cambio cultural. El movimiento de mujeres au- mentó en número e influencia y surgió una diferencia interna entre su lu- cha por los derechos de la mujer, su defensa de las mujeres trabajadoras y la expresión de las nuevas identidades de las mujeres, incluido el lesbia- nismo. Los campus universitarios fueron literalmente tomados por el fe- minismo. En mayo de 1995, la directora del «grupo de estudios sobre la mujer» de la Universidad Nacional de Taiwan (la principal del país) fue elegida presidenta del estamento estudiantil, desplazando tanto al candi- dato del partido del gobierno como a los estudiantes dela^oposición polí- tica. El apoyo que encontró el movimiento feminista fuera de la universi- dad entre las mujeres, sobre todo entre las casadas, de la nueva sociedad taiwanesa provocó una serie de debates, en particular en torno a la no- ción de familia, cuando se revisaron las leyes al respecto en el parla- mento. En este contexto de efervescencia cultural y ascenso de las ideas femi- nistas, varias jóvenes radicales feministas comenzaron a introducir el de- bate sobre el lesbianismo en Taipei. El «Colectivo Eje» difundió las ideas
  • 234.
    234 II piulriili- l,i ulciitnliitl Mujeres Los tres (15%) Identidad y deseo (1 "A i Identidad sólo (0%) Conducta e identidad (0%) Conducta sólo (13%) Deseo y conducta (13%) Deseo sólo (59%) Hombres Los tres (24%) Identidad y deseo (1 %) Identidad sólo (2%) Conducta e identidad (0%; Conducta sólo (22%; Deseo sólo (44%) Deseo y conducta (6%) FIGURA 4.10 Interrelación de diferentes aspectos de la homosexualidad: para 150 mujeres (8,6% del total de 1.749) que informan de alguna forma de sexualidad adulta del mismo género; para 143 hombres (10,1% del total de 1.410) que informan de al- guna forma de sexualidad adulta del mismo género. Fuente: Laumann et al, 1994.
  • 235.
    I I Imdel palriaiciiilii nioviiiik'iilos sociales, hundía y sexualidad... 235 de las feministas radicales y las teóricas lesbianas, como Audre Lorde, Adrienne Rich, Gayle Rubin y Christine Delphy, y tradujeron algunos de sus textos al chino. Siguiendo la noción de Lorde de lo «erótico como po- der», se creó un nuevo campo de política de identidad, centrado en los cuerpos y la sexualidad de las mujeres. Junto al surgimiento de los grupos de mujeres en los campus, se formó el primer grupo explícitamente les- biano en Taiwan en 1990: «Entre Nosotras Mujeres (chih-chien)». El 22 de mayo de 1994, las feministas organizaron un «desfile contra el acoso sexual» por las calles de Taipei, con unas 800 mujeres, sobre todo estudiantes, que marcharon desde sus campus hasta el centro de la ciu- dad. Durante la marcha, Ho, una académica feminista que había formu- lado el discurso de la liberación sexual, improvisó un lema: «¡Quiero el orgasmo sexual, no quiero el acoso sexual!», que fue coreado entusiasta- mente por las participantes en la marcha y resonó con fuerza en las calles de un Taipei patriarcal escandalizado. La mayoría de los periódicos lo pu- blicaron en primera página. La publicidad otorgada a este incidente sus- citó un debate fundamental dentro del movimiento feminista. Cuando es- taba obteniendo legitimidad y aceptación, mejorando la condición de la mujer y afirmando la igualdad de géneros, a muchas feministas les resultó vergonzoso y potencialmente destructivo identificar el feminismo con la liberación sexual en la opinión pública. Es más, algunas feministas tam- bién sostuvieron que la liberación sexual de Occidente era una trampa para las mujeres y que en realidad favorecía a los hombres. Por el contra- rio, proponían luchar por el «derecho a la autonomía del cuerpo». Ho y otras feministas, relacionadas con el movimiento de lesbianas, defendie- ron la necesidad de un planteamiento feminista de la liberación sexual, buscando al mismo tiempo la emancipación de las mujeres y la de su se- xualidad. En su opinión, la liberación sexual es el modo radical de desa- fiar la cultura patriarcal, manifestada en el control sobre el cuerpo de la mujer. El movimiento de liberación sexual de las mujeres, que incluía, aunque no exclusivamente, un fuerte componente de lesbianas, pasó a la acción. En 1995, los grupos de estudios sobre la mujer de la Universidad de Taiwan, movilizados para elegir su candidata al gobierno de la univer- sidad, comenzaron a exhibir películas pornográficas en los dormitorios de mujeres. De forma simultánea, se organizó un «festivaiBrótico pionero de la mujer» en diferentes campus. Las actividades de estas mujeres, en su mayoría muy jóvenes, tuvieron una gran repercusión en los medios de co- municación, escandalizaron a la sociedad de Taipei y crearon una preocu- pación considerable entre las dirigentes feministas, induciendo un agudo debate, a veces cáustico, dentro del feminismo. En este contexto de despertar feminista y liberación sexual fue donde proliferaron los grupos de lesbianas y gays, rompiendo un tabú bien esta- blecido en la cultura china. Además, en la década de los noventa, la mar- ginalidad tradicional de los homosexuales en Taiwan se había reforzado y
  • 236.
    I 1 |i.>.lcii l c 1.1 i<)<nti<l;i<i racionalizado por el estigma del sida. Pero, tras la creación del grupo de lesbianas «Entre Nosotras», siguió una explosión de colectivos de lesbia ñas y gays, en su mayoría en los campus universitarios: grupos de lesbia ñas como «Entre Nosotras», ALN, «Lambda» (Universidad de Taiwan) y «I Bao»; y grupos gays como «Charla Gay» (Universidad de Taiwan), «NCA» y «En Voz Alta». Otros grupos unieron sus fuerzas entre ambos: «Taller Homosexual», «Nosotros Podemos» (Universidad de Chin-hua), DV8 (Universidad de She-shin), «Quist» (Universidad de Chong-yung), etc. Estos grupos crearon una comunidad homosexual. Aparecieron de forma colectiva y vincularon la sexualidad, el placer y la política, redescu- briendo que «lo personal es político». Los bares resultaron cruciales para la información, la interconexión, la educación y, en definitiva, para la pro- ducción de la cultura gay y lesbiana. Como escribe Po: «Al igual que los pubs para la creación de la clase obrera británica, los bares gays desempe- ñaron un papel importante en la formación de las comunidades gay/les- biana en Taipei» no . No obstante, en la era de la información, en la que Taiwan está su- mergida de lleno, los gays y las lesbianas no se limitan a los bares en sus redes. Utilizan mucho Internet y los sistemas de tablones de anuncios in- formáticos como formas de contacto, comunicación e interacción. Tam- bién han creado «medios alternativos», sobre todo mediante diversas emisoras de radio clandestinas gays/lesbianas. Además, en 1996 se emi- tían dos programas para gays/lesbianas en las emisoras de radio principa- les de Taipei. Más allá de la comunicación, la interconexión y la expresión propias, el movimiento de lesbianas, en estrecha alianza política con el movi- miento gay, ha sido activo en diversas campañas, protestas sociales y de- mandas políticas. Resultó particularmente significativa la movilización en torno a la política sobre el sida. De un lado, las feministas, las lesbianas y los gays tomaron las calles para protestar por la incriminación de los gays por parte de las políticas del gobierno como responsables de la epidemia. De otro, como las mujeres heterosexuales es el grupo de mayor creci- miento de infectados por el VIH en Asia, el grupo feminista «Despertar» abordó el tema como una cuestión de supervivencia de la mujer. En efecto, en Taiwan, el grupo mayor de mujeres infectadas con el virus del sida son amas de casa, víctimas indefensas de los hábitos de prostitución de sus esposos. Los grupos de mujeres de Taiwan actuaron sobre la con- tradicción de las medidas para prevenir la propagación del sida: ¿cómo podían las mujeres evitar ser contagiadas por sus esposos si no podían ejercer el control de sus vidas sexuales? Al bajar a la tierra los temas de la liberación sexual y mostrar a las mujeres que se estaban enfrentando a una opresión sexual mortal, el movimiento contra el sida, organizado por 110 Po, 1996, pág. 20.
  • 237.
    I I hn<M pul i intitulo movimientos sociales, Innnliii y sexualidad... 237 feministas, lesbianas y gays, introdujo un desafío fundamental a la estruc- tura patriarcal de la dominación sexual. Una segunda línea de acción importante, emprendida por los movi- mientos de lesbianas y gays en una sociedad extremadamente patriarcal, fue la lucha contra el estigma tradicional y la ocultación. Los gays tuvie- ron que combatir el estigma de anormalidad. Las lesbianas tuvieron que luchar contra la ocultación. Para ambos, salir a la esfera pública se convir- tió en la meta suprema para lograr una existencia social. Las actividades culturales fueron esenciales para ese fin. En 1992, un festival cinemato- gráfico sobre el «cine homosexual» fue el punto de partida para la autoa- firmación pública y colectiva. Los públicos lesbiano y gay abarrotaron va- rias salas de cine y las películas se presentaron con debates sobre «la teoría homosexual». Por cierto, que los activistas de Taiwan y Hong Kong han traducido creativamente al chino el término «marica» por «tong- chii», que significa «camarada», de tal modo que «camarada» ya no hace referencia a la fraternidad comunista, sino a la identidad de «homose- xual». Comenzando con el festival de cine, diversas actividades culturales, siempre comunales y festivas, modificaron de forma sustancial la percep- ción de la cultura gay y lesbiana en Taiwan, hasta el punto de que, en 1996, el movimiento se sintió lo bastante fuerte como para señalar el día de san Valentín votando por los diez principales «ídolos gays/lesbianos» entre figuras destacadas del espectáculo, la sociedad y la política (sin duda, no a todos los elegidos les entusiasmó su popularidad entre gays y lesbianas). En tercer lugar, y sin que sea una sorpresa, los movimientos de gays y lesbianas han buscado controlar el espacio público, simbolizado por su lu- cha en torno al Parque Nuevo de Taipei, que juraron «recuperar». El par- que, próximo a la residencia presidencial, se había convertido en un «es- pacio homosexual», un lugar importante de reunión y ligues para la comunidad gay. En 1996, la nueva administración municipal democrática estaba planeando la renovación de Taipei, incluido este parque. Temero- sos de verse privados de su «espacio liberado», las lesbianas y los gays pi- dieron participar en el proyecto de diseño, como grandes usuarios del parque, y se organizaron en la red «Primera Línea del Espacio Cama- rada», exigiendo el uso libre del parque par^sus actividades a la luz del día y escapar de su posición social como «la comunidad de la oscuri- dad». Cuando las lesbianas aumentaron su influencia y militancia, surgió una serie de conflictos entre ellas y el movimiento feminista en general. El principal fue el concerniente a la revisión del derecho de familia en el parlamento. Las lesbianas criticaron la propuesta de los grupos de muje- res porque asumía la norma de la familia heterosexual, pasando por alto los derechos de los homosexuales. Así pues, las lesbianas y los gays se movilizaron activamente para obtener la sanción legal del matrimonio en-
  • 238.
    II podrí ilrIM iilinl ul.ul /;•(• miembros del mismo sexo, un tema fundamental, présenle en la mayor parte de los movimientos de gays/lesbianas de todo el mundo y sobre el que me extenderé más adelante. El conflicto estimuló la reflexión y el debate en el movimiento feminista, sobre todo en la reconocida Funda- ción Despertar. Las lesbianas criticaron la hipocresía de los lemas femi- nistas tales como «las mujeres quieren a las mujeres» como expresiones de solidaridad, mientras dejaban de lado la dimensión sexual de ese amor. En 1996, las lesbianas salieron al descubierto dentro del movi- miento feminista y sostuvieron con vehemencia sus derechos específicos a ser reconocidas y defendidas como parte legítima del movimiento de mu- jeres. Hay varios elementos que merecen destacarse en esta narración sobre el movimiento de las lesbianas en Taipei. Acabó con la idea preconcebida de la perennidad del patriarcado y la heterosexualidad en culturas inspi- radas por el confucianismo. Fue una extensión del movimiento feminista, aunque, a la vez, se unió con el movimiento de liberación gay en un frente para la defensa de los derechos a la sexualidad, bajo todas sus formas. Se unió a la movilización contra el sida, relacionándola con las consecuencias de la sumisión sexual de las amas de casa. Tendió un puente entre los de- bates teóricos de vanguardia sobre el feminismo y el lesbianismo en el mundo y las adaptaciones específicas a la cultura china y a las institucio- nes sociales taiwanesas, en la década de los noventa. Utilizó toda una gama de expresiones culturales para «aparecer colectivamente» ante la opinión pública. Hizo un uso extensivo de Internet y de los medios de co- municación alternativos, como las emisoras piratas. Vinculó los movi- mientos sociales urbanos con las luchas políticas de ámbito local. Y pro- fundizó la crítica de la familia patriarcal, participando en una batalla legal y cultural para formular la noción de los matrimonios del mismo sexo y las familias no heterosexuales. Me extenderé sobre estos temas cuando recapitule la relación que existe entre los movimientos de gays y lesbianas y su desafío al patriarcado. Espacios de libertad: la comunidad gay de San Franciscom Se suele considerar que el movimiento de liberación gay estadouni- dense tuvo como punto de partida la Revuelta de Stonewall, en Green- wich Village de Nueva York, el 27 de junio de 1969, cuando cientos de gays lucharon contra la policía durante tres días como reacción a una bru- tal redada, una más de las efectuadas en The Stonewall, un bar gay. A partir de entonces, el movimiento creció a gran velocidad, sobre todo en '" Para las fuentes y los métodos de mi estudio sobre la comunidad gay de San Fran- cisco, véase Castells, 1983, sobre todo el apéndice metodológico, págs. 355-362.
  • 239.
    I I Unili'l |i;ifiimrmln IIMIVIIIIICIIIDS sociltlCN. hlllllll.i y scXlllllidml... 2V> las grandes sircas metropolitanas, a medida que los gays salieron a la lux, pública, tanto de forma individual como colectiva. En 1969, había unas 50 organizaciones de ámbito nacional; en 1973 el número había ascendido a más de 800. Aunque en Nueva York y Los Angeles, debido á su tamaño, residían el mayor número de gays, fue en San Francisco donde se formó una comunidad gay visible, organizada y politizada, que durante las dos décadas siguientes transformó el espacio de la ciudad, su cultura y su polí- tica. Según mis cálculos (necesariamente aproximados, ya que, por for- tuna, no hay datos estadísticos sobre la preferencia sexual), en torno a 1980, la población gay y lesbiana podía representar en torno al 17% de los residentes adultos de la ciudad (dos tercios de ella, hombres gays) y en elecciones locales importantes, debido a su alto índice de participación pueden haber supuesto en torno al 30% de los votantes. Mi conjetura es que, en la década de los noventa, a pesar de las numerosas muertes pro- ducidas por la epidemia de sida de mediados de los ochenta, la población gay y lesbiana de San Francisco ha aumentado, sobre todo debido a un in- cremento de las lesbianas, la continua inmigración gay y la consolidación de las parejas estables del mismo sexo. Y, lo que es más significativo, los gays se asentaron predominantemente en ciertas zonas de la ciudad, for- mando auténticas comunas, en las que las residencias, las empresas, las propiedades inmobiliarias, los bares, los restaurantes, los cines, los cen- tros culturales, las asociaciones vecinales, las reuniones y celebraciones callejeras formaron un tejido de vida social y autonomía cultural: un espa- cio de libertad. A partir de este espacio, los gays y las lesbianas se organi- zaron políticamente y llegaron a ejercer una influencia considerable en el gobierno local de San Francisco, incluido el reclutamiento obligatorio en- tre gays y lesbianas de, al menos, el 10% de las fuerzas del departamento de policía. Esta concentración espacial de poblaciones gays es una marca de la cultura gay en la mayoría de las ciudades, si bien en la década de los noventa, con la mayor tolerancia social y muchas más personas que reco- nocen abiertamente su homosexualidad, se han difundido en la mayor parte de la geografía metropolitana de los Estados Unidos, con gran temor de los conservadores homófobos. La razón de esta concentración geográfica en el estadio formativo de la cultura gay es doble: visibilidad y protección. Como Harry Britt, dirigente político de los gays de San Francisco, me dijo en una entrevista hace años: «Cuando los gay están di- seminados espacialmente, no son gays debido a su invisibilidad». El acto liberador fundamental para los gays fue/es «aparecer», expresar pública- mente su identidad y su sexualidad, y luego resocializarse. Pero ¿cómo es posible ser gay a las claras, en medio de una sociedad hostil y violenta cada vez más insegura acerca de sus valores fundamentales de virilidad y patriarcado? ¿Y cómo se puede aprender una nueva conducta, un nuevo código y una nueva cultura en un mundo donde la sexualidad está implí- cita en la presentación del yo de cada uno y donde la asunción general es
  • 240.
    Z40 El |><iiUid e ln H I I U I H I . H I la hctcrosexuaüdad? Para expresarse, los gays siempre se lian reunido, cu los tiempos modernos, en bares nocturnos y lugares codificados. Cuando tuvieron suficiente conciencia y fuerza para «aparecer» colectivamente marcaron lugares donde podían estar a salvo juntos e inventar nuevas vi das. Las fronteras territoriales de sus lugares elegidos se convirtieron en la base para la construcción de instituciones autónomas y la creación de una autonomía cultural. Levine ha expuesto el modelo sistemático de las concentraciones espaciales de los gays en las ciudades estadounidenses durante la década de los setenta m . Aunque él y otros utilizaron el tér mino «gueto», los militantes gays hablan de «zonas liberadas»: y, en efecto, existe una importante diferencia entre los guetos y las áreas gays, ya que las últimas suelen estar construidas deliberadamente por personas gays para crear su ciudad propia, en el marco de la sociedad urbana más amplia. ¿Por qué San Francisco? Ciudad instantánea, asentamiento para aventureros atraídos por el oro y la libertad, San Francisco siempre fue un lugar de normas morales tolerantes. La Barbary Coast era un punto de encuentro para marineros, viajeros, transeúntes, soñadores, estafadores, empresarios, rebeldes y desviados, un entorno de encuentros casuales y pocas reglas sociales, donde la línea divisoria de lo normal y lo anormal era borrosa. No obstante, en los años veinte, la ciudad decidió volverse respetable, surgiendo como la capital cultural del Oeste estadounidense y creciendo elegantemente bajo la sombra autoritaria de la Iglesia católica, con el apoyo de sus legiones de irlandeses e italianos de clase obrera. Cuando el movimiento de reforma alcanzó al ayuntamiento y la policía en los años treinta, los «desviados» fueron reprimidos y obligados a ocul- tarse. Así pues, los orígenes pioneros de San Francisco como ciudad libre no bastan para explicar su destino como escenario de la liberación gay. El punto decisivo fue la Segunda Guerra Mundial. San Francisco fue el prin- cipal puerto del frente del Pacífico. Pasaron por la ciudad unos 1,6 millo- nes de hombres y mujeres jóvenes: solos, desarraigados, al borde de la muerte y el sufrimiento y compartiendo la mayor parte del tiempo con personas de su mismo sexo, muchos de ellos descubrieron, o eligieron, la homosexualidad. Y muchos fueron licenciados con deshonor de la marina y desembarcados en San Francisco. En lugar de volver a lugares como lowa a soportar el estigma, se quedaron en la ciudad, y a ellos se unieron otros miles de gays al final de la guerra. Se reunían en bares y formaron redes de apoyo y participación. Desde finales de los años cuarenta, co- menzó a surgir una cultura gay. Sin embargo, la transición de los bares a las calles hubo de esperar más de una década, cuando florecieron en San Francisco modos de vida alternativos, con la generación beatnik, y en torno a los círculos literarios que se interconectaron en la librería City Lights, con Ginsberg, Kerouac y los poetas de Black Mountain, entre 112 Levine, 1979.
  • 241.
    II luí delpaUíaiindo movimientos sociales, Lunilla y sexualidad... 241 oíros. Esta cultura se concentró espacialmente en la antigua zona italiana ilc North Beach, cerca de la zona de tolerancia turística de Broadway. I ,os gays fueron plenamente aceptados en este ambiente tolerante y expe- rimental. Cuando los medios de comunicación se centraron en la cultura heatnik, destacaron la amplia presencia de la homosexualidad cómo una prueba de su desviación. Al hacerlo, dieron publicidad a San Francisco como una meca gay, atrayendo a miles de gays de todos los Estados Uni- dos. El ayuntamiento respondió con represión, lo que llevó a la forma- ción, en 1964, de la Society of Individual Rights, que defendía a los gays, en conexión con el Tavern Guild, una asociación comercial de gays y pro- pietarios de bares bohemios que luchaba contra el acoso policial. Luego, a finales de la década de los sesenta, la cultura hippy, el movimiento so- cial que tuvo lugar en la zona de la bahía de San Francisco, sobre todo en Berkeley/Oakland, y el surgimiento del movimiento de liberación gay en todos los Estados Unidos, indujo un cambio cualitativo en el desarrollo de la comunidad gay de San Francisco, apoyándose en las redes estableci- das a lo largo de la historia. En 1971, por primera vez, el movimiento gay de California tuvo fuerza suficiente para organizar una marcha sobre la capital, Sacramento, en apoyo de sus derechos. En la década de los setenta, en ciertos barrios de San Francisco, sobre todo en la zona de Castro, floreció una comunidad gay que compró o alquiló casas en un ruinoso distrito de clase obrera tradicional, que fue rehabilitado por grupos de gays, corredores de fincas gays y compañías de restauración gays. También se afincaron en la zona las empresas cuyos propietarios eran homosexuales. Desde lugares dispersos, pasando por los bares y las zonas contraculturales, ya en los años setenta, los gays fueron capaces de concentrarse en un barrio que podían llamar suyo. La figura 4.11 muestra la expansión de las zonas residenciales gays en San Francisco, en- tre los años cincuenta y ochenta, a partir de datos de mi investigación de campo. No obstante, la construcción de la comunidad gay no fue puramente espontánea. También fue el resultado de una acción política deliberada, sobre todo bajo el impulso del dirigente histórico de la comunidad gay de San Francisco, Harvey Milk. Licenciado por la^Üniversidad Estatal de Nueva York en Albany, no pudo dedicarse a la enseñanza después de ser expulsado de la marina debido a su homosexualidad. Al igual que miles de gays, emigró a San Francisco en 1969. Tras dejar un tra- bajo como analista financiero, abrió una tienda de fotografía, Castro Camera, en la calle de Castro. Concibió un plan para que los gays evo- lucionaran de la comunidad a los negocios y el poder. Hizo un llama- miento para que «los gays compraran gay», de tal modo que Castro se convirtiera en algo más que un lugar de ligue, en un lugar propiedad de los gays, donde vivieran y disfrutaran como tales. Luego, si los gays po- dían comprar gay, y vivir como gays, también podrían votar gay. En
  • 242.
    242 II poderdi- l;i ¡dcntiducl Golden Gate Íi:jjj:;3 ^ Q Q ^ | l BSKtt3SÍl H ^ década década Com. de la Med. de la Finales de la de 1950 de 1960 déc. de 1970 déc. de 1970 década de 1970 FIGURA 4.11 Zonas residenciales gays en San Francisco. Fi«'/íft<: Castells, 1983. 1973, se presentó a supervisor (miembro del consejo municipal) de la ciudad de San Francisco, explícitamente como candidato gay. Le fue bien, pero no salió elegido. Siguió trabajando para crear una base polí- tica, fortaleciendo los clubes políticos gays, vinculándolos con el Partido Demócrata y ampliando su programa para abordar temas de política ur- bana local, como el control de la especulación inmobiliaria. Un aconte- cimiento político cambió su destino. En 1975, un senador liberal de Ca- lifornia, George Moscone, fue elegido alcalde de San Francisco por un estrecho margen. Para asegurarse el respaldo de la ya para entonces po- derosa comunidad gay, Moscone nombró a Milk para un puesto impor- tante en la administración local. Por primera vez, un dirigente abierta- mente gay se convirtió en un alto cargo de la ciudad. En torno a las mismas fechas, el poderoso movimiento vecinal de San Francisco ob- tuvo una reforma de la ley electoral que establecía las elecciones para
  • 243.
    Hl fin delpulíinniulii movimientos sociales, lamilla y sexualidad... 24.1 el consejo municipal de la ciudad (Junta de supervisores) por distritos locales, en lugar de votar en la ciudad en general. Luego en el territorio que la comunidad gay había conquistado en la zona de Castro, que se convirtió en un distrito electoral, Harvey Milk fue elegido supervisor en 1977. Desde esta nueva plataforma, movilizó el poder gay en ííjda la ciudad y el estado. En 1978 se presentó una propuesta conservadora a los votantes de California para prohibir a los homosexuales enseñar en las escuelas públicas. Los votantes la rechazaron por un 58% de los vo- tos en California, el 75% en San Francisco. Harvey Milk, con una hábil actuación en los medios de comunicación, fue el dirigente de la cam- paña. En abril de 1978, la Junta de Supervisores aprobó una Ordenanza de Derechos Gays muy liberal. Al mismo tiempo, dos dirigentes lesbia- nas, Del Martin y Phyllis Lyon, que ocupaban cargos en el servicio de correos del ayuntamiento, recibieron de la ciudad de San Francisco un diploma de honor por sus servicios cívicos —incluido el apoyo a las les- bianas— y por sus veinticinco años de vida juntas. Este y otros avances gays eran más de lo que la cultura homófoba podía tolerar. El 27 de no- viembre de 1978, un supervisor conservador de la ciudad, Dan White, un ex policía que había hecho campaña contra la tolerancia hacia «los desviados sexuales», mató a tiros al alcalde George Moscone y al super- visor Harvey Milk en sus despachos del ayuntamiento. Después se en- tregó a sus antiguos compañeros del departamento de policía. El duelo por Moscone y Milk fue una de las manifestaciones políticas más impre- sionantes jamás vistas en San Francisco: 20.000 personas marcharon con velas, en silencio, tras escuchar a los oradores, que pidieron al movi- miento que siguiera luchando del modo que había enseñado Harvey Milk. La nueva alcaldesa, Dianne Feinstein, nombró a otro dirigente gay, Harry Britt, socialista, para reemplazar a Harvey Milk en su puesto, y después fue elegido supervisor. Durante la década siguiente, los dirigentes homosexuales aumentaron su representación en la Junta de Supervisores de la ciudad y, aunque perdieron unas elecciones en 1992 en favor de un alcalde conservador, volvieron a ser un compo- nente importante de la coalición que apoyó la elección de Willie Brown, veterano dirigente demócrata negro, corao alcalde de San Fran- cisco en 1996. Una anécdota de la campaña de ^996 revela el estado de confusión mental de la cultura homófoba en San Francisco, perdida en la incertidumbre de los valores tanto tiempo estimados. El alcalde titu- lar, ex jefe de policía, puede que perdiera su reelección tras un impor- tante error político. Al rezagarse en las encuestas, trató de encontrar un modo de congraciarse con la audiencia gay y se dejó fotografiar des- nudo, mientras concedía una entrevista en la ducha a un periodista de la radio también desnudo. La violenta respuesta de los ofendidos votan- tes, tanto gays como heterosexuales, le hizo perder todas sus posibilida- des. El nuevo alcalde renovó el compromiso de dos décadas, por parte
  • 244.
    ?4-l til poderele la identidad de la ciudad, de respetar y mejorar los derechos de los gays y su cul- tura, y que fue objeto de varias celebraciones y desfiles ese año. Sin embargo, la comunidad gay de los años noventa no es la misma que la formada en los setenta, debido a la aparición del sida a comien- zos de la década de los ochenta l13 . En diez años, murieron unas 15.000 personas por su causa en San Francisco y a varios miles se les diagnos- ticó infección por el VIH. La reacción de la comunidad gay fue notable, ya que San Francisco se convirtió en un modelo para todo el mundo en cuanto a autoorganización, prevención y acción política orientada a con- trolar la epidemia de sida, un peligro para la humanidad. Creo que es exacto decir que el movimiento gay más importante de la década de los ochenta/noventa es el componente gay del movimiento contra el sida, en sus diferentes manifestaciones, de las clínicas a los grupos militantes como ACT UP!. En San Francisco, la primera iniciativa se dirigió a ayudar a los enfermos y evitar que se extendiera la enfermedad. Se em- prendió un esfuerzo a gran escala para educar a la comunidad, ense- ñando y difundiendo procedimientos para mantener unas relaciones sexuales seguras. Tras unos cuantos años, los resultados fueron especta- culares. En la década de los noventa, en San Francisco, y en California, la incidencia de nuevos casos de sida es mucho mayor en la población heterosexual, como resultado del uso de drogas, la prostitución, la infec- ción de las mujeres por hombres imprudentes y, en algunos casos, ban- cos de sangre contaminados, mientras que la población gay, más edu- cada y mejor organizada, ha visto descender de forma significativa las nuevas infecciones. Se organizó el cuidado de los enfermos a todos los niveles, el Hospital General de San Francisco se convirtió en el primero en establecer una sección permanente de sida y una red completa de voluntarios proporcionó "ayuda y alivio a las personas, en el hospital y en casa. Las presiones de los militantes para aumentar los fondos para las investigaciones y para acelerar la obtención de la aprobación de las medicinas experimentales en cuanto se obtenían produjeron resultados considerables. El Hospital de la Universidad de California en San Fran- cisco se convirtió en uno de los centros principales de investigación so- bre el sida. En una perspectiva más amplia, la Conferencia Mundial sobre el Sida celebrada en Vancouver en 1996 anunció avances poten- ciales para controlar la enfermedad y, tal vez, para disminuir su carácter letal en el futuro. Pero quizás el esfuerzo más importante de la comunidad gay, en San Francisco y en otros lugares, fue la batalla cultural para desmitificar el sida, para quitarle el estigma y para convencer al mundo de que no lo 113 Para una exposición de la relación entre el movimiento gay, la lucha contra el sida y las reacciones de la sociedad, véanse Coates et ai, 1988; Mass, 1990; Heller, 1992; Price y Hsu, 1992; Herek y Greene, 1995; Lloyd y Kuselewickz, 1995.
  • 245.
    Kl fin delpalriamulo: muvimicnlos sociales, familia y sexualidad... 245 producía la homosexualidad o la sexualidad. Las redes de contacto, que incluían el contacto sexual pero comprendían muchas otras formas, eran los mensajeros letales, no la homosexualidad 114 . Y la desconexión de esas redes, con lo que se controlaría la epidemia, no se lograría/íne- diante el confinamiento, sino con educación, organización y responsabi- lidad, respaldadas tanto por las instituciones de salud pública como por la conciencia cívica. Que la comunidad gay, comenzando en San Fran- cisco, pudiera ganar esta penosa batalla fue una contribución decisiva para la humanidad. No sólo porque se evitó un nuevo crimen contra ella, cuando el movimiento combatió con éxito los llamamientos para detectar y confinar a los portadores del virus. Lo fundamental que es- taba en juego era la capacidad del mundo para mirar al sida directa- mente a sus ojos aterradores y afrontar la epidemia, atendiendo a las características del (los) virus y no a nuestros prejuicios y pesadillas. En todo el mundo, se estuvo a punto de considerarlo un castigo divino me- recido contra la Nueva Sodoma y, por lo tanto, de no tomar las medi- das necesarias para evitar una expansión aún mayor de la enfermedad hasta que hubiera sido demasiado tarde para controlarla. Que no lo hi- ciéramos, que las sociedades aprendieran a tiempo que no se trataba de una enfermedad homosexual y que las fuentes y vehículos de su expan- sión debían combatirse en la sociedad en general, fue obra, en buena medida, del movimiento de lucha contra el sida, centrado en la comuni- dad gay, con sus pioneros (muchos de ellos camino de la muerte) en la ciudad liberada de San Francisco. Hasta cierto punto relacionada con la epidemia de sida, otra impor- tante tendencia se manifestó en la década de los noventa en la comuni- dad gay de San Francisco. Los patrones de interacción sexual se volvie- ron más estables, en parte como un signo del envejecimiento y maduración de algunos segmentos de la comunidad, en parte como modo de canalizar la sexualidad en pautas más seguras. El anhelo de familias del mismo sexo se convirtió en una de las tendencias culturales más in- tensas entre los gays y, aún más, entre las lesbianas. La comodidad de una relación duradera y monógama se volvió el modelo predominante entre los gays y las lesbianas de mediana edad. En consecuencia, brotó un nuevo movimiento en la comunidad gay para obtener el reconoci- miento institucional de esas relaciones estables como familias. Así pues, se buscó la certificación como parejas de hecho de los gobiernos locales y estatales, que conllevaba el derecho a los beneficios del cónyuge. Es más, la legalización de los matrimonios del mismo sexo se convirtió en una im- portante demanda del movimiento, tomando la palabra a los conservado- res en la promoción de los valores familiares y extendiendo el valor de la familia a las formas de amor, de compartir y de criar a los hijos no tradi- 114 Castells, 1992c.
  • 246.
    d " II |)(lll('l (le l.l kli'llllil.ul cionales y no heterosexuales. Lo que comenzó como un movimiento de liberación sexual cerró el círculo en torno a la familia patriarcal, ata cando sus raíces heterosexuales y subvertiendo su apropiación exclusiva de los valores familiares. Como toda acción acarrea una reacción, la domesticación relativa de la sexualidad en las nuevas familias gays y lesbianas indujo paralela mente el desarrollo de culturas sexuales minoritarias (tanto heterosexua les como homosexuales), como el movimiento sadomasoquista y las re des de esclavitud sexual voluntaria, un fenómeno significativo en la escena de San Francisco, sobre todo en la zona de South of Market, en la década de los noventa, aunque identifiqué la importancia de esta re- vuelta cultural/personal en mi trabajo de campo hace quince años. Los sadomasoquistas, cuya cultura incluye a algunos intelectuales muy elo- cuentes, critican a los gays de la corriente dominante por tratar de definir nuevas formas de lo «socialmente aceptable», con lo que reproducen la lógica de dominación que ha oprimido a los gays y las lesbianas a lo largo de la historia. Para los sadomasoquistas, el viaje no tiene fin. Así pues, la violencia controlada, la humillación aceptada, las subastas de esclavos, el placer doloroso, la ropa de cuero, los emblemas nazis, las cadenas y los látigos son más que estímulos sexuales. Son expresiones cultura- les de la necesidad de destruir cualquier valor moral que la sociedad recta les haya dejado, ya que estos valores se han usado tradicionalmente para estigmatizar y reprimir la homosexualidad y la sexualidad. La ver- güenza considerable que esta minoría cultural causa a la mayoría de gays y lesbianas es síntoma de que abordan un tema importante, aunque di- fícil. Recluida en su gueto cultural, no es probable que la comunidad gay logre la revolución sexual y la subversión del patriarcado que, de forma implícita, son las metas del movimiento, aun cuando no las apoye el seg- mento creciente de élites masculinas que consumen, más que producen, el movimiento gay. Para alcanzar la liberación gay, parece ser una condi- ción necesaria establecer alianzas estratégicas con las lesbianas y con el movimiento feminista en general. Pero los gays son hombres y su sociali- zación como tales y los privilegios que disfrutan, sobre todo si son blan- cos y de clase media, limita su incorporación plena a una alianza antipa- triarcal. Por ello, en San Francisco, en los años noventa, existe una división creciente entre una alianza de orientación radical entre gays y lesbianas y una élite gay respetable que se ha establecido como un grupo de interés para defender los derechos gays, como minoría tolerada, den- tro de las instituciones del patriarcado. No obstante, si esta diversidad puede expresarse dentro de un movimiento más amplio que permite a la gente la libertad de elegir a quién amar, en contradicción con la norma heterosexual, es debido a que Harvey Milk y otros pioneros construye- ron una vez una comuna libre en el Oeste.
  • 247.
    I I lini lo I pul uniendo IIIIIMIIIU'IIUIS M iciiiIcs, liiiiuliii y sexualidad... 247 Recapitulación: identidad sexual y familia patriarcal El movimiento gay y el de las lesbianas no defienden simplemente los derechos humanos básicos de elegir a quién amar y cómo hacerlo. Son además vigorosas expresiones de identidad sexual y, por lo tanto, de libe- ración sexual. Por eso, desafían algunos de los cimientos milenarios sobre los que las sociedades se construyeron en la historia: la represión sexual y la heterosexualidad obligatoria. Cuando las lesbianas, en un medio institucional tan represivo y pa- triarcal como la cultura china de Taipei, fueron capaces de expresar fran- camente su sexualidad y reclamar la inclusión de los matrimonios del mismo sexo en el código familiar, se abrió una brecha fundamental en el andamiaje institucional construido para controlar el deseo. Si la comuni- dad gay es capaz de superar la estigmatización ignorante y ayudar a evitar la epidemia del sida, significa que las sociedades se han vuelto capaces de extraerse de su oscuridad y de mirar toda la diversidad de la experiencia humana sin prejuicios y sin violencia. Y si a las campañas electorales pre- sidenciales, en los Estados Unidos por el momento, no les ha quedado más remedio que tener en cuenta los debates sobre los derechos gays, quiere decirse que ya no se puede dejar de lado o simplemente reprimir el desafío de los movimientos sociales a la heterosexualidad. No obstante, es imposible confinar las fuerzas transformadoras que han liberado los movimientos de identidad sexual dentro de los límites de la tolerancia y el respeto a los derechos humanos. Ponen en movimiento una crítica corro- siva de la normalización sexual y de la familia patriarcal. Su reto es parti- cularmente aterrador para el patriarcado porque tiene lugar en un tiempo histórico en el que la investigación biológica y la tecnología médica per- miten la disociación de heterosexualidad, patriarcado y reproducción de la especie. Las familias del mismo sexo que no renuncian a la crianza de los hijos son la expresión más franca de esta posibilidad. Por otra parte, el desdibujamiento de las fronteras sexuales, desaco- plando familia, sexualidad, amor, género y poder, introduce una crítica cultural fundamental en el mundo tal como lo hemos conocido. Por ello, el desarrollo futuro de los movimientos de liberación sexual no será fácil. Al pasar de la defensa de los derechos humanos a la reconstrucción de la sexualidad, la familia y la personalidad, tocan los centros nerviosos de la represión y la civilización, y serán respondidos del mismo modo. El movi- miento gay y el de lesbianas tienen por delante un horizonte tormentoso y el sida no será el único rostro espantoso del ataque antisexual. No obs- tante, si la experiencia del último cuarto de siglo tiene algún valor indica- tivo, el poder de la identidad parece tornarse mágico cuando es tocado por la fuerza del amor.
  • 248.
    2AK II |>in|{i ilc ln KICIIIKIÍKI FAMILIA, SEXUALIDAD Y PERSONALIDAD EN LA CRISIS DEL PATRIARCADO115 En la sociedad que se separa y divorcia, la familia nuclear genera una diversidad de nuevos lazos de parentesco asociados, por ejemplo, con las denominadas familias recombinadas. Sin embargo, la naturaleza de estos lazos cambia en la medida en que están sometidos a una mayor negociación que antes. Las relaciones de paren- tesco solían darse por sentadas sobre la base de la confianza; ahora la confianza ha de negociarse y concertarse, y el compromiso es un tema importante tanto en esto como en las relaciones sexuales. Anthony Giddens, The Transformation oflntimacy, pág. 96. La transformación de la familia La crisis del patriarcado, inducida por la interacción entre el capita- lismo informacional y los movimientos sociales feminista y de identidad sexual, se manifiesta en la diversidad creciente de formas de asociación entre la gente para compartir la vida y criar a los hijos. Ilustraré este punto utilizando los datos estadounidenses para simplificar el argumento. Sin embargo, no quiero dar a entender que, por definición, todos los paí- ses y culturas sigan esta evolución. Pero si las tendencias sociales, econó- micas y tecnológicas que subyacen en la crisis del patriarcado están pre- sentes a lo largo del mundo, es plausible que la mayoría de las sociedades reconstruyan o reemplacen sus instituciones patriarcales, si bien a partir de las condiciones específicas de su cultura e historia. La exposición que sigue, basada empíricamente en las tendencias estadounidenses, pretende identificar los mecanismos sociales que conectan la crisis de la familia pa- triarcal y la transformación de la identidad sexual con la redefinición so- cial de la vida familiar y, de este modo, con los sistemas de personalidad. No se trata de la desaparición de la familia, sino de su profunda diver- sificación y del cambio en su sistema de poder. En efecto, la mayoría de la gente continúa casándose: el 90% de los estadounidenses lo hacen a lo largo de su vida. Cuando se divorcian, el 60% de las mujeres y el 75% de los hombres vuelven a casarse, como media, dentro de los tres años si- guientes. Y los gays y las lesbianas luchan por su derecho al matrimonio legal. No obstante, los matrimonios tardíos, la frecuencia de las parejas de hecho y las altas tasas de divorcio (estabilizadas en torno a la mitad de los matrimonios totales) y separación se combinan para producir un perfil 1,5 Los datos que se ofrecen en esta sección proceden de la Oficina del Censo estadouni- dense y de The World Almanac and Book ofFacts (1996), a menos que se señale otra cosa. Las publicaciones de la Oficina del Censo utilizadas para recopilar estos datos son: Departa- mento de Comercio, Administración de Economía y Estadística, Oficina del Censo (1989, 1991,1992a-d).
  • 249.
    1.1 lili ik l j >,'11 r i, 11 > j111< > movimientos sociales. I;u))ilin y sexiüilidml.. Núm. de hogares 53 mili. 63 mili. 81 mili. 44,2 30,3 4,4 6,4 1,7 1960 40,3 30,3 5,0 5,6 5,6 11,5 1,7 1970 30,9 29,9 7,5 5,4 8,6 14,0 :"u : 1980 93 mili. I | Hogares de familia g ¡ Hogares sin familia 26,3 29,8 8,3 6,5 97 T¡ 14,9 4,6 1990 Parejas casadas "con hijos Parejas casadas "sin hijos Otras familias con hijos Otras familias sin hijos : Hombres que viven solos Mujeres que viven "solas Otros hogares sin familia FIGURA 4.l2a Composición de los hogares en los Estados Unidos, 1960-1990 (porcentaje). (hijos= hijos propios menores de dieciocho años) Fuente: Oficina del Censo estadounidense, 1992a. cada vez más diverso de vida familiar y no familiar (las figuras 4.12 y 4.12b compendian estas tendencias para 1960-1990 y para 1970-1995). Los denominados «hogares no familiares» se duplicaron entre 1960 y 1995, aumentando del 15% al 29% de los hogares, incluyendo, naturalmente, a los ancianos solos, con lo que reflejan una tendencia demográfica al mismo tiempo que un cambio cultural. Las mujeres representan dos ter- cios de los hogares de un solo miembro. Lo que es más significativo, la ca- tegoría arquetípica «parejas casadas con hijos» descendió del 44,2% de los hogares en 1960 al 25,5% en 1995. Así pues, el «modelo» de la familia nuclear patriarcal es real sólo para algo más de un cuarto de los hogatcs
  • 250.
    2MI El poderík : identidad 1990 H Parejas casadas con hijos </| Parejas casadas sin hijos H I Otras familias con hijos £¡S3 Otras familias sin hijos i Ü Personas que viven solas | | Otros (personas sin parentesco) FIGURA 4.12b Composición de los hogares en los Estados Unidos, 1970-1995 (porcentaje). Fuente: Oficina del Censo estadounidense, 1996. estadounidenses. Stacey cita fuentes que indican que si consideramos la versión más tradicional del patriarcado, es decir, la pareja casada con hi- jos, en la que el único que gana el sustento es el varón y la esposa es ama de casa a tiempo completo, la proporción desciende hasta el 7% del total de hogares116 . La vida de los niños se ha transformado. Como muestra la figura 4.13, más de un cuarto de los niños no vivían con sus dos progenitores en 1990, en contraste con menos de un 13% en 1960. Es más, según un estudio de la Oficina del Censo estadounidense, en 1991 la proporción de hijos que Stacey, 1990, pág. 28.
  • 251.
    El fin delpiilrimvmlo: movimientos sociales, familia y sexualidad... 251 1960 | | Otros ¡¡¡| Sólo padre 1970 1980 Isólo madre ¡Dos progenitores 1990 FIGURA 4.13 Organización de la vida de los hijos menores de diecieeho años, por la presencia de los progenitores, en los Estados Unidos, 196CK1990 (distribución porcentual). Fuente: Oficina del Censo estadounidense (1992a). vivían con sus dos padres biológicos era sólo del 50,8%U1 . Otras fuentes también calculan que «cerca del 50% del total de los niños no viven con 117 Oficina del Censo estadounidense, 1994.
  • 252.
    252 I I|)ixlci de l.i identidad ambos padres genéticos» llK . Las adopciones han aumentado de forma sustancial en las dos últimas décadas y 20.000 niños han nacido mediante la fertilización in vitro119 . Las tendencias, todas apuntando en la misma di- rección de la desaparición de la familia nuclear patriarcal, son las que realmente cuentan: la proporción de niños que viven con un solo progeni- tor se duplicó entre 1970 y 1990, alcanzando el 25% del total. Entre estos niños, la proporción de los que vivían con una madre casada de nuevo au- mentó del 7% en 1970 al 31% en 1990. Los hogares cuya cabeza de fami- lia es una madre sola con hijos aumentó un 90,5% en los años setenta y un 21,2% adicional en los ochenta. Los hogares cuyo cabeza de familia es un padre solo con hijos, aunque sólo suponían el 3,1% del total en 1990, crecen aún más de prisa: un 80,6% en la década de los setenta y un 87,2% en la de los ochenta. Las familias cuya cabeza de familia es una mujer sin esposo presente crecieron del 11% del total de las familias en 1970 al 18% en 1994. El porcentaje de niños que viven con su madre se duplicó entre 1970 y 1994, del 11 al 22%, mientras que la proporción de los que viven sólo con su padre se triplicó en el mismo periodo, pasando del 1 al 3%. Los nuevos perfiles de la organización de la vida se multiplican 120 . En 1980, había 4 millones de familias recombinadas (que incluyen los niños de matrimonios previos); en 1990, 5 millones. En 1992, un cuarto de las mujeres solteras mayores de dieciocho años tenían hijos; en 1993, había 3 millones y medio de parejas no casadas, de las cuales el 35% tenían niños en el hogar; el número de padres no casados con hijos se duplicó de 1980 a 1992; un millón de niños vivían con sus abuelos en 1990 (un 10% más desde los años sesenta), de un total de 3 millones y medio de niños que compartían su hogar con un abuelo. Los matrimonios precedidos por co- habitación ascendieron del 8% de finales de los años sesenta al 49% de mediados de los ochenta y la mitad de las parejas de hecho tienen hijos121 . Además, con la entrada masiva de la mujer en el mercado de trabajo y su papel indispensable como proveedora de la familia, pocos niños pueden disfrutar del cuidado a tiempo completo de sus madres o de sus padres. En 1990, tanto el esposo como la esposa trabajaban fuera del hogar en cerca de un 70% de las familias de parejas casadas y el 58% de las madres con hijos pequeños trabajaban fuera del hogar. El cuidado de los hijos es un problema importante para las familias y se realizaba en sus hogares por parientes o vecinos en el caso de dos tercios de los niños122 , a los cua- les debemos añadir las ayudas domésticas sin registrar. Las mujeres po- lls Buss, 1994, pág. 168. "' Reigot y Spina, 1996, pág. 238. 12,1 Reigot y Spina, 1996. 121 Coleman y Ganong, 1993, pág. 113. 122 Farnsworth Riche, 1996.
  • 253.
    lil fin clrl|)iitniirciiili> i i i o n n m utos MU -lali-s, Í.IIIIIII.I y scxUHlul.ul... ."I l , •• __ so- bres, a (as que es imposible pagar por el cuidado de sus hijos, se enfrentan a la elección de separarse de ellos o renunciar al trabajo, cayendo luego en la trampa de la beneficencia, que puede llevar a que les quiten a sus hijos m . Existen escasas estimaciones fiables sobre los hogares y familias del mismo sexo. Una de las pocas es la realizada por Gonsioreck y Weinrich, según los cuales, un 10% de la población masculina estadounidense es gay y entre un 6 y un 7% de la población femenina es lesbiana124 . Calcu- lan que en torno a un 20% de la población masculina gay estuvo casada alguna vez y que, entre un 20 y un 50% de ella, tuvo hijos. Las lesbianas suelen ser madres, muchas de ellas de matrimonios heterosexuales pre- vios. Una valoración de ámbito muy amplio propone la cifra de niños que viven con sus madres lesbianas entre 1,5 y 3,3 millones. El número de ni- ños que viven con sus progenitores gays o lesbianas se estima entre 4 y 6 millones125 . Entre los hogares sin familia, la categoría de crecimiento más rápido es «otros hogares sin familia», que aumentó del 1,7% del total de hogares en 1970 al 5% en 1995. En este grupo, según el censo estadouni- dense, se encuentran quienes comparten casa, los amigos y las personas sin parentesco. De hecho, esta categoría incluiría tanto a las parejas hete- rosexuales como a las homosexuales que cohabitan sin hijos. En cuanto a las proyecciones para el futuro inmediato, utilizando las estimaciones de la Universidad de Harvard sobre la formación de los ho- gares hasta el año 2000, como porcentaje del total de hogares, las parejas casadas con hijos se espera que desciendan aún más, del 31,5% en 1980 al 23,4% en 2000, mientras que los hogares de una sola persona pueden au- mentar del 22,6% al 26,6%, superando estadísticamente al hogar tipo de parejas casadas con hijos126 . Los padres solos ascenderían ligeramente del 7,7% al 8,7%. Las parejas casadas sin hijos se convertirían en el tipo de hogar más numeroso, pero no predominante, permaneciendo en torno al 29,5% del total, un efecto de la supervivencia mayor de ambos cónyuges, junto con el reemplazo de estas antiguas parejas casadas con hijos por una gama más diversificada de formas de hogar. En efecto, lo que deno- minan «otros hogares», que comprende modos de organizar la vida hete- 123 Susser, 1991. V 124 Gonsioreck y Weinrich, 1991. La atribución del 10% de homosexualidad para la po- blación en general es un mito demográfico inspirado por una lectura superficial del Informe Kinsey de hace medio siglo (que en realidad informaba de los varones blancos estadouni- denses). Como sugiere Laumann et al. (1994), con una sólida base empírica, no existe una frontera clara de la homosexualidad que pueda retrotraerse hasta un impulso biológico dis- tintivo. La extensión de la conducta homosexual, en sus diferentes manifestaciones, evolu- ciona de acuerdo con las normas culturales y los contextos sociales. Para una exposición del tema, véase Laumann et ai, 1994, págs. 283-320. 125 Reigot y Spina, 1996, pág. 116. 126 Masnick y Ardle, 1994; Masnick y Kim, 1995.
  • 254.
    254 i Ipoder di- hi identidad rogéneos, se proyecta que aumenten su proporción del 8,8% en 1980 al 11,8% en 2000. En general, en las estimaciones y proyecciones de la Uni- versidad de Harvard, mientras que en 1960 tres cuartos de los hogares es- tadounidenses estaban formados por parejas casadas y los hogares no fa- miliares representaban sólo el 15% del total, en el año 2000, las parejas casadas supondrán en torno al 53% y los hogares no familiares aumenta- rán su proporción al 38%. De este panorama estadístico surge un cuadro de diversificación, de fronteras movibles en la asociación de las personas, con una proporción mayor y en aumento de niños que se socializan en formas familiares que eran marginales, o hasta impensables, sólo hace tres décadas, un instante medido en tiempo histórico127 . Así que, ¿cuáles son estos nuevos modos de organizarse? ¿Cómo vive ahora la gente, fuera y dentro de la familia, más allá de las fronteras del patriarcado? Sa- bemos algo sobre ello, tras los estudios pioneros realizados por Stacey, Reigot y Spina, Susser, y otros128 . Como escribe Stacey: Las mujeres y los hombres han estado rehaciendo creativamente la vida familiar estadounidense durante las tres últimas décadas de convulsión postindustrial. De las cenizas y residuos de la familia moderna, han sacado un conjunto diverso, a menudo incongruente, de recursos culturales, políticos, económicos e ideológicos, creando nuevas estrategias de género y parentesco para afrontar los retos, las car- gas y las oportunidades postindustriales12 ') . En el estudio de Reigot y Spina sobre las nuevas formas de las fami- lias, se alcanzan conclusiones similares 13 °. No ha surgido un nuevo tipo prevaleciente de familia: la diversidad es la regla. Pero algunos elemen- tos parecen ser cruciales en los nuevos modos de organizarse: redes de apoyo, concentración creciente en torno a la mujer, sucesión de parejas y modelos a lo largo del ciclo vital. Las redes de apoyo, a menudo entre los miembros de familias de parejas divorciadas, son una forma nueva e importante de sociabilidad y división de la carga, sobre todo cuando los hijos han de compartirse y mantenerse entre los dos padres, una vez que ambos forman nuevos hogares. Así pues, un estudio sobre las pare- jas divorciadas de clase media de los suburbios de San Francisco descu- brió que un tercio de ellas sostenían lazos de parentesco con las ante- 127 Según los datos citados por Ehrenreich (1983, pág. 20), en 1957, el 53% de los estado- unidenses creían que la gente sin casar eran «enfermos», «inmorales» o «neuróticos» y sólo el 37% los consideraba «neutralmente». En 1976, ya sólo el 33% tenía actitudes negativas hacia los no casados y el 15% percibía de forma favorable a la gente que permanecía soltera. 128 Stacey, 1990; Susser, 1991, 1996; Reigot y Spina, 1996; véanse también Bartholet, 1990; Gonsíoreck y Weinrich, 1991; Brubaker, 1993; Rubin y Riney, 1994; Fitzpatrick y Va- gelisti, 1995. 129 Stacey, 1990, pág. 16. 130 Reigot y Spina, 1996.
  • 255.
    I I lilidel pnliniK iiiln movimientos sociales, lamilla y sexualidad... 2.15 riores esposas y sus familiares l31 . Las redes de apoyó de mujeres son cruciales para las madres solas, así como para las madres que trabajan a tiempo completo, según los casos estudiados tanto por Reigot y Spina, Susser, y Coleman y Ganong132 . En efecto, como escribe Stacey, «si hay una crisis familiar, es una crisis familiar masculina» 133 . Además, puesto que la mayor parte de la gente sigue tratando de formar familias, a pe- sar de los desengaños o de las elecciones equivocadas, las familias con padrastros o madrastras y una sucesión de parejas se convierten en la norma. Debido tanto a la experiencia vital como a la complejidad de los hogares, los modos de organizarse dentro de la familia, con la distribu- ción de papeles y responsabilidades, ya no se ajustan a la tradición: de- ben negociarse. Así, Coleman y Ganong, tras observar la ruptura gene- ralizada de la familia, concluyen: «¿Significa ello el fin de la familia? No. Significa, sin embargo, que muchos de nosotros viviremos en nue- vas familias, más complejas. En estas nuevas familias, los papeles, las reglas y las responsabilidades puede que hayan de negociarse más que darse por sentados, como es típico en las familias más tradicionales»134 . Así pues, el patriarcado en la familia se está eliminando por completo en el caso de la proporción creciente de hogares cuya cabeza de familia es una mujer y desafiando seriamente en la mayoría del resto, debido a las negociaciones y condiciones pedidas por las mujeres y los niños en el ho- gar. Asimismo, otra proporción creciente de hogares, que quizás pronto alcance casi el 40%, no se refiere a familias, con lo que se evita el signifi- cado de la familia patriarcal como una institución en gran parte de la práctica de la sociedad, pese a su imponente presencia como mito. En estas condiciones, ¿qué sucede con la socialización de los niños, subyacente en la reproducción de la división de géneros de la sociedad y, por lo tanto, en la reproducción del mismo patriarcado? La reproducción del «maternaje» bajo la no reproducción del patriarcado No hay espacio dentro de los límites de este capítulo para entrar en detalle en unos datos empíricos complejos, diversificados y polémicos, la mayoría de los cuales están ocultos en los archivos clínicos de los psi- cólogos infantiles, sobre la transformación de la socialización familiar en el nuevo entorno familiar. Pero creo que pueden adelantarse varias hi- pótesis atendiendo a la obra clásica de la psicoanalista feminista Nancy 131 Citado en Stacey, 1990, pág. 254. 132 Coleman y Ganong, 1993; Reigot y Spina, 1996; Susser, 1996. 133 Stacey, 1990, pág. 269. 134 Coleman y Ganong, 1993, pág. 127.
  • 256.
    256 I I(IIKICI de ln idcillicliul Chodorow. Iin su Reproduction <>f Mothering, propone un modelo psi- coanalítico simple, elegante y poderoso de la producción/reproducción del género, un modelo que depuró y complementó en sus escritos pos- teriores l35 . Aunque su teoría es polémica, y el psicoanálisis no es sin duda el único planteamiento para comprender los cambios de personali- dad en la crisis del patriarcado, proporciona, a mi parecer, un útil punto de partida para teorizar esos cambios. Comencemos resumiendo el mo- delo analítico de Chodorow con sus propias palabras, para luego desa- rrollar las implicaciones de este modelo para la personalidad y el gé- nero en las condiciones de la crisis del patriarcado. Siguiendo a Chodorow, la reproducción del «maternaje» es central para la reproduc- ción del género. Sucede a través de un proceso psicológico inducido so- cioestructuralmente, que no es producto de la biología, ni de la ense- ñanza de roles. En sus palabras: Las mujeres, como madres, producen hijas con capacidades maternales y el de- seo de ser madres. Estas capacidades y necesidades se construyen y crecen en la misma relación madre-hija. En contraste, las mujeres como madres (y los hom- bres como no madres) producen hijos cuyas capacidades y necesidades de crianza han sido recortadas y reprimidas de forma sistemática. Ello prepara a los hombres para su papel familiar afectivo posterior y para su participación pri- mordial en el mundo impersonal y extrafamiliar del trabajo y la vida pública. La división sexual y familiar del trabajo, en la que las mujeres son madres y partici- pan más en las relaciones interpersonales y afectivas que los hombres, produce en las hijas e hijos una división de las capacidades psicológicas que los lleva a reproducir esta división sexual y familiar del trabajo [...] La principal responsa- bilidad de las mujeres es el cuidado de los niños dentro y fuera de las familias; las mujeres en general quieren ser madres y se sienten gratificadas por su «ma- ternaje»; y con todos los conflictos y contradicciones, las mujeres han tenido éxito en el «maternaje»136 . Este modelo de reproducción tiene una repercusión extraordinaria en la sexualidad y, por lo tanto, en la personalidad y la vida familiar: «Como las mujeres son madres, el desarrollo de la elección de objeto heterose- xual difiere para hombres y mujeres» 137 . Los niños conservan a sus ma- dres como el primer objeto de amor en su niñez y, debido al tabú funda- mental, tienen que pasar por el proceso clásico de separación y resolución de su complejo de edipo, mediante la represión de su unión a la madre. Cuando se hacen adultos, los hombres están dispuestos para encontrar una primera relación con alguien como su madre (cursivas de Chodorow). Las cosas son diferentes para las niñas: 135 Chodorow, 1989, 1994. m Chodorow. 1978, pág. 7. 137 Chodorow, 1978, pág. 191.
  • 257.
    ¿ E lC M n i l o 11111 >> >t<' 111 273 El núcleo Iransnacional de las economías nacionales - _ ^ La interdependencia de los mercados financieros y de divisas de todo el mundo, que operan como una unidad en tiempo real, vincula las divisas nacionales. El cambio constante entre dólares, yenes y las divisas de la Unión Europea (euros en el futuro) obliga a la coordinación sisté- mica de esas divisas como única medida capaz de mantener cierto grado de estabilidad en el mercado de divisas y, de este modo, en la inversión y comercio globales. El resto de las divisas del mundo han quedado li- gadas, para todos los fines prácticos, a este triángulo de riqueza. Si el tipo de cambio es sistémicamente interdependiente, también lo son, o lo serán, las políticas monetarias. Y si las políticas monetarias siguen cierta coordinación supranacional, también lo hacen, o lo harán, los tipos de interés preferencial y, en definitiva, las políticas presupuestarias. De ello se deduce que los estados-nación individuales están perdiendo y perde- rán el control sobre elementos fundamentales de sus políticas económi- cas5 . De hecho, ya sucedió en los países en vías de desarrollo en la dé- cada de los ochenta y en los europeos durante los comienzos de los años noventa. Barbara Stallings ha mostrado cómo las políticas econó- micas de los países en vías de desarrollo fueron moldeadas durante la década de los ochenta por las presiones internacionales, ya que las insti- tuciones financieras internacionales y los bancos privados se moviliza- ron para estabilizar las economías en desarrollo como un prerrequisito para el comercio y la inversión internacionales6 . En la Unión Europea, el Bundesbank ya es de facto el banco central europeo. Por ejemplo, cuando, para controlar la inflación alemana, tras la irresponsable deci- sión del gobierno de establecer el tipo de cambio de un marco occiden- tal por un marco oriental para unificar Alemania, restringió los tipos de interés, forzó a una deflación en toda Europa, independientemente de la marcha de las economías nacionales. En 1992, el Bundesbank llegó tan lejos como para filtrar a los medios de comunicación sus críticas a la política monetaria británica con el fin de forzar la devaluación de la li- bra, como acabó ocurriendo. trastara los procesos actuales de interacción de tecnología, glebajización de la economía y las comunicaciones, e instituciones políticas con una experiencia pasada de una transforma- ción similar. Confío en que algunos colegas emprendan tal esfuerzo, sobre todo los historia- dores, y estaría más que feliz de rectificar mis afirmaciones teóricas en virtud de los resulta- dos de esa investigación. Hasta el momento, los escasos intentos que conozco en esa dirección prestan, en mi opinión, una atención insuficiente a los procesos radicalmente nue- vos en la tecnología, las finanzas, la producción, las comunicaciones y la política, de tal modo que, aunque puedan estar en lo cierto en cuanto a los datos históricos, no queda claro por qué el presente es sólo una repetición de la experiencia pasada, más allá de la opinión bastante pedestre de que no hay nada nuevo bajo el sol. 5 Moreau Deffarges, 1993; Business Week, 1995a; Orstrom Moller, 1995; Cohén, 1996. 6 Stallings, 1992.
  • 258.
    25K l'.l podi-ide I» identidad mujeres, las relaciones afectivas profundas con otras mujeres son difíciles de con- seguir de una forma rutinaria, diaria y continuada. Las relaciones lesbianas sí que tienden a recrear madres-hijas, pero la mayoría de las mujeres son heterosexuales [...] Existe una segunda alternativa [...] Dada la situación triangular y la asimetría emocional de su propia crianza, la relación de una mujer con un hombre requiere en el nivel de la estructura psíquica una tercera persona, ya que se estableció ori- ginalmente en un triángulo [...] Luego un hijo completa el triángulo relacional para una mujer142 . En efecto, «las mujeres llegan a querer y necesitar una relación pri- mordial con los hijos»143 . Para los hombres, una vez más, es diferente, de- bido a su unión primordial con sus madres y, después, con la figura seme- jante a sus madres: «Para los hombres, en contraste, sólo la relación heterosexual recrea el primer lazo con su madre; un hijo la interrumpe [las cursivas son mías]. Los hombres, además, no se definen en la relación y han llegado a suprimir las capacidades relaciónales y a reprimir la nece- sidad de relacionarse. Esto los prepara para participar en el mundo dene- gador de afecto del trabajo alienado, pero no para satisfacer las necesida- des de intimidad y relaciones fundamentales de las mujeres»144 . Así pues, «la falta de disponibilidad emocional de los hombres y el compromiso he- terosexual menos exclusivo de las mujeres ayuda a asegurar el "mater- naje" de estas últimas». En definitiva, los rasgos institucionalizados de la estructura familiar y las relaciones sociales de reproducción se reproducen a sí mismos. Una investigación psicoanalítica muestra que las capacidades maternales y los compromisos de las mujeres, así como las ca- pacidades y necesidades psicológicas generales que son la base del funciona- miento de sus emociones, se incorporan a la personalidad femenina durante su desarrollo. Como el «maternaje» de las mujeres lo realizan mujeres, crecen con las capacidades y necesidades, y la definición psicológica de ser-en relación, que las compromete con la maternidad. Los hombres, puesto que reciben el «mater- naje» de las mujeres, no saben «maternar». Las mujeres «maternan» hijas que, cuando se convierten en mujeres, son madres145 . El modelo de Chodorow ha sido criticado, de forma particular por las teóricas lesbianas y las feministas materialistas, y acusado de minimizar la homosexualidad, de fijar el patriarcado y de predeterminar la conducta individual. En realidad no es así. La propia Chodorow ha aclarado su punto de vista: «Declaro —contra la generalización— que los hombres y las mujeres aman de tantos modos como hombres y mujeres hay»146 . Y ha 142 Chodorow, 1978, pág. 201. 143 Chodorow, 1978, pág. 203. 144 Chodorow, 1978, pág. 207. 145 Chodorow, 1978, pág. 209. 146 Chodorow, 1994, pág. 71.
  • 259.
    I-I lin delpatrian .i.l" movimientos sociales, familia y sexualidad... 259 depurado su análisis destacando que «la diferenciación no es distinción y separación, sino un modo particular de relacionarse con los otros» l47 . Sos- tiene, y estoy de acuerdo, que el problema de las mujeres no es reclamar su identidad femenina, sino su identificación con una identidad que ha sido socialmente devaluada bajo el patriarcado. Lo que Chodorow ana- liza no es un proceso biológico eterno de especificidad masculina/feme- nina, sino un mecanismo fundamental de reproducción del género y, por lo tanto, de la identidad, sexualidad y personalidad, en las condiciones del patriarcado y la heterosexualidad, como ha afirmado repetidas veces. Mi pregunta, entonces, es si este modelo institucional/psicoanalítico puede ayudarnos a comprender lo que ocurre cuando la familia patriarcal se desintegra. Trataré de enlazar mis observaciones sobre las nuevas for- mas familiares y los modos de organizar la vida con la teoría de Chodo- row148 . En la condición clásica patriarcal/heterosexual ahora en desapari- ción, las mujeres heterosexuales se relacionan primordialmente con cuatro tipos de objetos: los hijos como objeto de su «maternaje», las redes de mujeres como su principal apoyo emocional, los hombres como obje- tos eróticos y los hombres como proveedores de la familia. En las condi- ciones actuales, para la mayoría de las familias y mujeres, el cuarto objeto ha sido suprimido como proveedor exclusivo. Las mujeres pagan un alto precio, en tiempo de trabajo y en pobreza, por su independencia econó- mica o por su papel indispensable como proveedoras de la familia, pero, en general, la base económica de la familia patriarcal se ha erosionado, ya que la mayor parte de los hombres también necesitan los ingresos de las mujeres para alcanzar un nivel de vida aceptable. Como los hombres ya eran secundarios como elementos de apoyo emocional, esto los deja pri- mordialmente con su papel de objetos eróticos, una fuente menguante de interés para las mujeres en una época de amplio desarrollo de sus redes de apoyo (incluidas las expresiones de afecto en un «continuo lesbiano») y teniendo en cuenta el trabajo que ya tienen para combinar la materni- dad con sus vidas laborales. Así pues, el primer modo de organizar la vida, resultado de la crisis del patriarcado, correspondiendo a la lógica del modelo de Chodorow, es la formación de familias de madre/hijos, que se basan ep el apoyo de las redes de mujeres. Estas «comunas de madres/hijos» experimentan de vez en cuando la visita de los hombres, en el caso de las mujeres heterosexua- les, en un patrón de parejas sucesivas que dejan tras de sí más hijos y más razones para el separatismo. Cuando las madres envejecen, las hijas se 147 Chodorow, 1989, pág. 107. 148 Debo recordar al lector que Chodorow es ante todo una psicoanalista, centrada en la teoría del desarrollo basada en datos clínicos. Por lo tanto, este uso de su cauto plantea- miento psicoanalítico para construir mis amplias generalizaciones sociológicas va más allá de sus límites habituales y, naturalmente, se acomete bajo mi responsabilidad exclusiva.
  • 262.
    262 1:1 poderde ln identidad que cada vez están mas desamparados en las condiciones actuales de cri- sis familiar. Su situación puede empeorar, tanto debido a que las mujeres se quedan con ellos en situaciones materiales difíciles, como a que, al bus- car autonomía y supervivencia personal, comienzan a descuidarlos del mismo modo que lo hacen los hombres. Puesto que el apoyo del estado de bienestar está disminuyendo, se deja a los hombres y las mujeres la so- lución de los problemas de sus hijos, mientras pierden el control de sus propias vidas. El aumento dramático del maltrato de niños en muchas so- ciedades, sobre todo en los Estados Unidos, podría muy bien ser una ex- presión del desconcierto de la gente acerca de su vida familiar. Al expre- sarme así, no abrazo en absoluto el argumento neoconservador que culpa al feminismo, o a la liberación sexual, de los problemas de los niños. Es- toy llamando la atención sobre un tema fundamental de nuestra sociedad que ha de abordarse sin prejuicios ideológicos: se está descuidando masi- vamente a los niños, como documentan los científicos sociales y los perio- distas 154 . La solución no es el regreso imposible a una familia patriarcal obsoleta y opresiva. La reconstrucción de la familia bajo relaciones iguali- tarias y la responsabilidad de las instituciones públicas para proporcionar apoyo material y psicológico a los niños son modos posibles de alterar el curso hacia la destrucción masiva de la psique humana que está implícita en la actual inestabilidad vital de millones de niños. La identidad corporal: la (re)construcción de la sexualidad Se está produciendo una revolución sexual, pero no la anunciada y pretendida por los movimientos sociales de los años sesenta/setenta, aun- que han sido factores importantes para inducir la realmente existente. Se caracteriza por la desvinculación de matrimonio, familia, heterosexualidad y expresión sexual (o deseo, como yo lo denomino). Estos cuatro factores, vinculados en el patriarcado moderno de los dos últimos siglos, ahora es- tán en proceso de hacerse autónomos, como parecen mostrar diversas ob- servaciones presentadas en este capítulo. En palabras de Giddens: Superficialmente, el matrimonio heterosexual parece retener su posición central en el orden social. En realidad, se ha visto socavado en buena medida por el surgi- miento de la relación pura y la sexualidad plástica. Si el matrimonio ortodoxo aún no se considera ampliamente sólo un modo de vida entre otros, como en realidad ya es, se debe en parte al resultado de la mezcla complicada de atracción y repul- sión que el desarrollo psíquico de cada sexo crea con respecto al otro [...] Puede que aún se contraigan algunos matrimonios, o que se sostengan, sobre todo en aras de producir o criar hijos. No obstante [...] es probable que la mayoría de los 154 Susser, 1996.
  • 263.
    I; l lili clclpal i liiiiiitlo iiioviiniciilos sociales, familia y sexualidad... .!().( matrimonios heterosexuales (y muchas uniones homosexuales) que no se aproxi- man a la relación pura evolucionen en dos direcciones, si no caen en la codepen- dencia. Una es una suerte de matrimonio entre compañeros. El grado de partici- pación sexual de los esposos es bajo, pero la relación incorpora cierto grado de igualdad y simpatía mutuas [...] La otra forma es cuando el matrimonio se usa como un hogar base para ambos cónyuges, que sólo tienen un ligero interés emo- cional el uno en el otro155 . En ambos casos, la sexualidad se desvincula del matrimonio. Éste ha sido, en efecto, el caso de la mayoría de las mujeres a lo largo de la histo- ria I56 , pero la afirmación de la sexualidad de las mujeres, de la homose- xualidad tanto de hombres como de mujeres y de la sexualidad electiva están induciendo una distancia creciente entre el deseo de las personas y sus vidas familiares. Sin embargo, esto no se traduce en liberación sexual, sino que, para la mayoría de la población, asustada por las consecuencias de la infidelidad (por la cual ahora también los hombres deben pagar), y, en las décadas de los ochenta y los noventa, por la epidemia de sida, la consecuencia es la pobreza sexual, cuando no la miseria. Al menos eso es lo que cabe inferir de la investigación empírica más amplia y reciente so- bre la conducta sexual en los Estados Unidos, realizada en 1992 sobre una muestra nacional representativa157 . U n 35,5% de los hombres indicó que practicaba el sexo tan sólo unas pocas veces al mes y otro 27,4%, unas po- cas veces al año o ninguna vez. En cuanto a las mujeres, los porcentajes respectivos fueron del 37,2% y del 29,7%. Sólo el 7,7% de los hombres y el 6,7% de las mujeres informó que practicaba el sexo cuatro veces o más a la semana, e incluso en la cohorte de 18-24 años (la más activa sexual- mente) el porcentaje de frecuencia elevada fue del 12,4% tanto para hombres como para mujeres. Las tasas de actividad elevada (más de cua- tro veces semanales) es ligeramente inferior para las parejas casadas que para la población en general (7,3% para los hombres; 6,6% para las muje- res). Estos datos también confirman la brecha del género en los orgasmos que se comunican: el 75% de los encuentros sexuales para los hombres, sólo el 29% para las mujeres, si bien la brecha es más estrecha al informar del «placer»15S . El número de parejas sexuales en los doce últimos meses muestra una gama limitada de emparejamientos p*(ra la gran mayoría de la población: el 66,7% de los hombres y el 74,7% de las mujeres habían tenido sólo una pareja; y el 9,9% y el 13,6%, respectivamente, no tenían ninguna. Así que no cabe hablar de revolución sexual en los Estados Uni- dos a comienzos de la década de los noventa. No obstante, bajo la superficie de tranquilidad sexual, la rica base de 155 Giddens, 1992, págs. 154 y 155. 156 Buss, 1994. 157 Laumann et al., 1994. 158 Laumann et al., 1994, pág. 116.
  • 264.
    .'NO I Ipoder di- l,i ulciilidad ] ] i 1 1 1 1 1 r 0 5 10 15 20 25 30 costes no salariales f~ Salarios directos FIGURA 5.2 Costes salariales en la industria, 1994 (dólares por hora). Fuente: Federación de Empresarios suecos, elaborado por The Economist, 27 de enero de 1996. 1. Pese a cierta desconexión del estado con la economía, sobre todo en lo referente al empleo directo y la regulación, aún tiene un pa- pel económico considerable que requiere una financiación adicio- nal aparte de los impuestos, aumentando así los pasivos financie- ros del estado, exceptuando al Reino Unido (véase figura 5.1). 2. El endeudamiento del gobierno, con la importante excepción de Japón, cada vez depende más del crédito exterior, hasta tal punto que ya supera las reservas de divisas de los bancos centrales y en- sombrece los resultados de las exportaciones. Refleja el fenó- meno más amplio de la brecha creciente entre un crecimiento de los mercados financieros globales más rápido que el aumento del comercio global. 3. El estado japonés ha logrado establecer cierta autonomía fiscal frente al capital extranjero. Sin embargo, lo ha hecho basándose en el endeudamiento interno, financiado con los ingresos de las grandes compañías japonesas, procedentes del proteccionismo y los resulta- dos de la exportación; de este modo, la economía y el estado japone- ses se han hecho adictos a los excedentes comerciales y al reciclaje de los beneficios en suelo japonés. Este estado de cosas condujo a la «economía de burbuja» de finales de los años ochenta y, después, cuando la burbuja estalló, a la recesión de comienzos de los noventa.
  • 265.
    i' l'l i'Slililoniipolt'llli ' mi En general, el entrelazamiento de las economías nacionales, y la de*— pendencia de las finanzas del gobierno de los mercados globales y del cré- dito exterior, ha creado las condiciones para una crisis fiscal internacional de los estados-nación, incluidos los más ricos y poderosos. La globalización y el estado de bienestar La globalización de la producción y la inversión también amenaza al estado de bienestar, un elemento clave de las políticas del estado-nación en el medio siglo pasado, y probablemente el componente básico de su legitimidad en los estados industrializados n . Ello es así porque cada vez resulta más contradictorio para las empresas operar en los mercados glo- balizados e integrados, mientras experimentan importantes diferenciales de costes en prestaciones sociales, así como diferentes grados de regula- ción entre los países. No sólo ocurre entre Norte y Sur, sino también en- tre los diferentes países de la OCDE; por ejemplo, los costes laborales relacionados con las prestaciones sociales son mucho más bajos en los Estados Unidos que en Alemania (véase la figura 5.2). Pero lo que es una ventaja comparativa de la localización de los Estados Unidos frente a Alemania, se convierte en una desventaja frente a México, tras la en- trada en vigor del TLC. Puesto que las empresas, debido a la tecnología de la información, pueden localizarse en muchos lugares diferentes y se- guir enlazadas a las redes y mercados globales de producción (véase vol. I, cap. 6), se produce entonces una espiral descendente de reducción de los costes sociales. Los límites a esa «competitividad negativa» en el pa- sado fueron dobles: por una parte, el desfase en cuanto a productividad y calidad entre los países protegía a los trabajadores de las economías avanzadas frente a los competidores menos desarrollados; por la otra, la presión interna inducía al proteccionismo, de modo que, mediante los aranceles, se aumentaba el precio de las importaciones hasta un nivel en el que se anulara la ventaja comparativa del abastecimiento externo. Ambos límites están desapareciendo. La nueva Organización Mundial de Comercio está estableciendo un sistema de vigilancia-para detectar y pe- nalizar las barreras al libre comercio. Aunque la política del comercio in- ternacional condiciona la repercusión real de esos controles, parecería que, a menos que se produzca una inversión espectacular en el proceso de integración económica global, el proteccionismo flagrante a gran es- cala cada vez se encontrará más sometido a las represalias del resto de los países. En lo que respecta al retraso en cuanto a calidad y productivi- dad, el estudio de Harley Shaiken sobre las fábricas de automóviles esta- dounidenses en México ha mostrado que la rápida puesta al día de los 11 Wilensky, 1975; Janowitz, 1976; Navarro, 1994,1995; Castells, 1996.
  • 266.
    .'(I<> 1:1 poderde la identidad Hombres CB « ? <o o £ ° o a> *íO" co .© g cu a> c = 8 ? o "" 100 90 80 70 60 50 Mujeres 100 Activo o receptivo Tanto activo como receptivo 1933-37 38-42 43-47 48-52 53-57 58-62 Cohortes por fecha de nacimiento 63-67 68-74 3 2 § ° c _ — <D O "O .® g ai a> 11o *~a. 90 80 70 60 50 40 30 Activa o receptiva Tanto activa como receptiva 1 i 1 1 1 1 1 1 — 1933-37 38-42 43-47 48-52 53-57 58-62 63-67 68-74 Cohortes por fecha de nacimiento FIGURA 4.14 Frecuencia a lo largo de la vida del sexo oral por cohortes: hombres y mujeres. Fuente: Laumann et al, 1994. prana a la necesidad de adaptarse a diferentes entornos y diferentes pape- les de adultos. En términos sociológicos, el nuevo proceso de socializa- ción minimiza hasta cierto punto las normas institucionales de la familia patriarcal y diversifica los papeles dentro de la familia. En su aguda ex- ploración del tema, Hage y Powers proponen que, como resultado de ta- les procesos, surgen nuevas personalidades más complejas, menos seguras
  • 267.
    El fin delpalrimciiilo: movimientos sociales, familia y sexualidad... 267 y, sin embargo, más capaces de adaptarse a los roles cambiantes de los contextos sociales, a medida que las nuevas experiencias desencadenan mecanismos adaptativos a una edad temprana 163 . La individualización creciente de las relaciones dentro de la familia tiende a resaltar la impor- tancia de las demandas personales más allá de las reglas de las institucio- nes. Así pues, la sexualidad se convierte, en el ámbito de los valores so- ciales, en una necesidad personal que no tiene que ser canalizada e institucionalizada necesariamente dentro de la familia. Cuando la mayo- ría de la población adulta y un tercio de los niños viven fuera de los lími- tes de la familia nuclear tradicional, y cuando las proporciones van en au- mento, la construcción del deseo opera cada vez más sobre las relaciones interpersonales fuera del contexto familiar tradicional: se convierte en una expresión del yo. La socialización de los adolescentes en estos nuevos patrones culturales conduce a un grado más elevado de libertad sexual que el de las generaciones previas, incluidas las de los liberales años se- senta, pese a la amenaza de la epidemia de sida. Así pues, la revuelta de las mujeres contra su condición, inducida y permitida por su integración masiva en la mano de obra informacional, y los movimientos sociales de identidad sexual han puesto en entredicho a la familia nuclear patriarcal. Esta crisis ha tomado la forma de una sepa- ración creciente de las diferentes dimensiones que antes se mantenían juntas en la misma institución: la relación interpersonal de ambos miem- bros de la pareja; la vida laboral de cada miembro del hogar; la asociación económica entre los miembros del hogar; la realización de las labores do- mésticas; la crianza de los hijos; la sexualidad; el apoyo emocional. La di- ficultad de desempeñar todos estos roles al mismo tiempo, una vez que ya no están fijados en una estructura formal institucionalizada, como la fami- lia patriarcal, explica la dificultad de mantener relaciones sociales esta- bles dentro del hogar basado en la familia. Para que éstas sobrevivan, han de surgir nuevas formas institucionalizadas de relación social, de acuerdo con las relaciones transformadas entre los géneros. Al mismo tiempo, el cambio tecnológico en la reproducción biológica ha permitido disociar la reproducción de la espacie de las funciones socia- les y personales de la familia. Las posibilidades de la fecundación in vitro, de los bancos de esperma, de las madres de alquiler, de los bebés de la in- geniería genética, abren todo un campo de experimentación que la socie- dad tratará de controlar y reprimir lo más posible debido a su amenaza potencial a nuestros cimientos morales y legales. No obstante, el hecho de que las mujeres puedan tener hijos propios sin ni siquiera conocer al pa- dre, o que los hombres, incluso tras la muerte, puedan utilizar madres de alquiler para tener a sus hijos, corta la relación fundamental entre biolo- Hage y Powers, 1992.
  • 268.
    .'K4 El poderde la identidad tacular entre mediados de la década de los ochenta y mediados de la de los noventa21 . La televisión y la radio se privatizaron a gran escala, y las cadenas gubernamentales que quedaron con frecuencia acabaron no dis- tinguiéndose de la televisión privada, ya que se sometieron a la disciplina de los índices de audiencia y a los ingresos de la publicidad22 . Los periódi- cos se concentraron en grandes consorcios, a menudo con el respaldo de grupos financieros. Y, lo que es más importante, los negocios de los me- dios de comunicación se hicieron globales, con el capital, el talento, la tec- nología y la propiedad de las empresas girando por todo el mundo, fuera del alcance de los estados-nación (véase fig. 5.3). No se deduce de ello que los estados no tengan una influencia en los medios de comunicación. Los gobiernos siguen controlando medios importantes, poseen acciones y tienen mecanismos de influencia en una amplia gama de los medios de comunicación del mundo*. Y el mundo de los negocios se cuida mucho de irritar a los guardianes de los mercados potenciales: cuando el Star Chan- nel de Murdoch fue reprendido por el gobierno de China debido a sus opiniones liberales sobre la política china, Star se congració con él cance- lando el servicio de noticias de la BBC de la programación china del canal e invirtiendo en una edición telefónica del Diario del Pueblo. Pero si los gobiernos siguen conservando influencia sobre los medios, han perdido gran parte de su poder, excepto en los medios que se encuentran bajo el control directo de los estados autoritarios. Es más, los medios necesitan mostrar su independencia como un ingrediente clave de su credibilidad, no sólo frente a la opinión pública, sino con respecto a la pluralidad de ostentadores del poder y anunciantes, ya que el sector de la publicidad es el cimiento económico de las empresas de medios de comunicación. Si un medio determinado se liga demasiado a una opción política explícita o re- prime de forma sistemática cierto tipo de información, restringirá su au- diencia a un segmento relativamente pequeño, apenas será capaz de obte- ner beneficios en el mercado y no atraerá el interés de la mayoría del público. Por otra parte, cuanto más independiente, abierto y creíble es un medio, más atrae información, vendedores y compradores de un amplio espectro. La independencia y profesionalidad no sólo son ideologías gra- tificantes para los medios de comunicación: también se traducen en bue- nos negocios, incluida a veces la posibilidad de vender su independencia a un precio más elevado cuando surge la ocasión. Una vez que se reconoce la independencia de los medios, y una vez 21 MacDonald, 1990; Doyle, 1992; Pérez-Tabernero et al., 1993; Instituto Dentsu de Es- tudios Humanos, 1994; The Economist, 1994,1996. 22 Pérez-Tabernero et al, 1993. Es revelador, en este sentido, el esfuerzo del gobierno del Partido Popular en Es- paña en 1997 para controlar la televisión digital, favoreciendo a un grupo empresarial afín, en contra del proyecto más avanzado del grupo PRISA, por considerarlo hostil a su partido.
  • 271.
    5 •EL ESTADO IMPOTENTE? En1978, Nicos Poulantzas escribió: «Lo específico del estado capita- lista es que absorbe el tiempo y espacio sociales, establece sus matrices y monopoliza su organización, convirtiéndolos, por su acción, en redes de dominio y poder. Por eso, la nación moderna es producto del estado»1 . Ya no es así. El control estatal sobre el espacio y el tiempo se ve supe- rado cada vez más por los flujos globales de capital, bienes, servicios, tec- nología, comunicación y poder. La captura, por parte del estado, del tiempo histórico mediante su apropiación de la tradición y la (recons- trucción de la identidad nacional es desafiatkupor las identidades plura- les definidas por los sujetos autónomos. El intento del estado de reafir- mar su poder en el ámbito global desarrollando instituciones supranacionales socava aún más su soberanía. Y su esfuerzo por restau- rar la legitimidad descentralizando el poder administrativo regional y lo- cal refuerza las tendencias centrífugas, al acercar a los ciudadanos al go- bierno pero aumentar su desconfianza hacia el estado-nación. Así pues, mientras que el capitalismo global prospera y las ideologías nacionalistas explotan por todo el mundo, el estado-nación, tal y como se creó en la Edad Moderna de la historia, parece estar perdiendo su poder, aunque, y 1 Poulantzas, 1978, pág. 109; la traducción es mía.
  • 272.
    2HH 1'] podailc l.i identidad su derrota final, llegará la pérdida de una piedra angular del poder esta- tal. En general, la globalización/localización de los medios y de la comuni- cación electrónica equivale a la desnacionalización y desestatificación de la información, siendo las dos tendencias inseparables hasta el momento. ¿ Un mundo sin ley? La globalización del crimen subvierte aún más el estado-nación, trans- formando profundamente los procesos de gobierno y paralizando en mu- chos casos al estado. Ésta es una tendencia crucial que se reconoce con tanta facilidad como se hace caso omiso de sus consecuencias28 . Un capí- tulo completo (en el volumen III, cap. 3) analiza la que es una de las ten- dencias más importantes de nuestro mundo, y distintiva con respecto a otros periodos, pero es necesario, en este punto del argumento, incluir una tendencia tan crucial en nuestra compresión de la crisis actual del es- tado-nación. No es nueva la capacidad de penetración del crimen y su re- percusión en la política, pero sí la vinculación global del crimen organi- zado, su condicionamiento de las relaciones internacionales, tanto económicas como políticas, debido a la escala y el dinamismo de la econo- mía criminal. Es nueva la profunda penetración, y eventual desestabiliza- ción, de los estados nacionales en una variedad de contextos, bajo la in- fluencia del crimen transnacional. Aunque el tráfico de drogas es el sector industrial más significativo en la nueva economía criminal, toda clase de tráficos ilícitos se unen en este sistema en la sombra que extiende su al- cance y poder sobre el mundo: armas, tecnología, materiales radioactivos, obras de arte, seres humanos, órganos humanos, asesinos de alquiler y contrabando de cualquier artículo rentable de un lugar a otro, se conec- tan a través de la madre de todos los delitos: el blanqueo de dinero. Sin él, la economía criminal no sería global ni muy rentable. Y, a través del blanqueo de dinero, la economía criminal se conecta con los mercados fi- nancieros globales, de los cuales es un componente considerable y una fuente de especulación constante. Según la Conferencia de la ONU sobre la Economía Criminal Global celebrada en Ñapóles en octubre de 199429 , un cálculo razonable establecería la cifra del capital procedente de fuen- tes ilegales que se blanquea en el sistema financiero global en torno a los 750.000 millones de dólares anuales. Estos flujos de capital deben ser pro- cesados con mayor movilidad y flexibilidad que los que se originan en cualquier otra industria, ya que su circulación constante es lo que les per- 28 Arrieta et al, 1991; Roth y Frey, 1992; Smith, 1993; Lodato, 1994; Sterling, 1994; Gol- den, 1995; Handelman, 1995; Johnson, 1995; WuDunn, 1996. 29 ONU, Consejo Económico y Social, 1994.
  • 273.
    ¿El estado inipoicnieV273 El núcleo transnacional de las economías nacionales La interdependencia de los mercados financieros y de divisas de todo el mundo, que operan como una unidad en tiempo real, vincula las divisas nacionales. El cambio constante entre dólares, yenes y las divisas de la Unión Europea (euros en el futuro) obliga a la coordinación sisté- mica de esas divisas como única medida capaz de mantener cierto grado de estabilidad en el mercado de divisas y, de este modo, en la inversión y comercio globales. El resto de las divisas del mundo han quedado li- gadas, para todos los fines prácticos, a este triángulo de riqueza. Si el tipo de cambio es sistémicamente interdependiente, también lo son, o lo serán, las políticas monetarias. Y si las políticas monetarias siguen cierta coordinación supranacional, también lo hacen, o lo harán, los tipos de interés preferencial y, en definitiva, las políticas presupuestarias. De ello se deduce que los estados-nación individuales están perdiendo y perde- rán el control sobre elementos fundamentales de sus políticas económi- cas5 . De hecho, ya sucedió en los países en vías de desarrollo en la dé- cada de los ochenta y en los europeos durante los comienzos de los años noventa. Barbara Stallings ha mostrado cómo las políticas econó- micas de los países en vías de desarrollo fueron moldeadas durante la década de los ochenta por las presiones internacionales, ya que las insti- tuciones financieras internacionales y los bancos privados se moviliza- ron para estabilizar las economías en desarrollo como un prerrequisito para el comercio y la inversión internacionales6 . En la Unión Europea, el Bundesbank ya es de facto el banco central europeo. Por ejemplo, cuando, para controlar la inflación alemana, tras la irresponsable deci- sión del gobierno de establecer el tipo de cambio de un marco occiden- tal por un marco oriental para unificar Alemania, restringió los tipos de interés, forzó a una deflación en toda Europa, independientemente de la marcha de las economías nacionales. En 1992, el Bundesbank llegó tan lejos como para filtrar a los medios de comunicación sus críticas a la política monetaria británica con el fin de forzar la devaluación de la li- bra, como acabó ocurriendo. J trastara los procesos actuales de interacción de tecnología, globalización de la economía y las comunicaciones, e instituciones políticas con una experiencia pasada de una transforma- ción similar. Confío en que algunos colegas emprendan tal esfuerzo, sobre todo los historia- dores, y estaría más que feliz de rectificar mis afirmaciones teóricas en virtud de los resulta- dos de esa investigación. Hasta el momento, los escasos intentos que conozco en esa dirección prestan, en mi opinión, una atención insuficiente a los procesos radicalmente nue- vos en la tecnología, las finanzas, la producción, las comunicaciones y la política, de tal modo que, aunque puedan estar en lo cierto en cuanto a los datos históricos, no queda claro por qué el presente es sólo una repetición de la experiencia pasada, más allá de la opinión bastante pedestre de que no hay nada nuevo bajo el sol. 5 Moreau Deffarges, 1993; Business Week, 1995a; Orstrom Moller, 1995; Cohén, 1996. 6 Stallings, 1992.
  • 274.
    274 II |ioilride l,i iilrnlnlml La política económica japonesa se determina esencialmente por la relación entre la balanza comercial y el tipo de cambio con Estados Unidos. En cuanto a éste último, la economía más autosuficiente, sólo pudo seguir siéndolo, pese a un considerable déficit comercial durante la década de los ochenta, financiando el aumento del gasto guberna- mental mediante la deuda, en buena medida de préstamos de capital extranjero. Al hacerlo así, la prioridad de la política económica esta- dounidense de los años noventa pasó a ser la reducción del gigantesco déficit presupuestario, que amenazaba con convertirse en el agujero ne- gro de la economía mundial. Su independencia económica era una ilu- sión, que probablemente se disipará en el futuro, cuando los niveles de vida reflejen la competitividad en la economía global, una vez que se le- vante el colchón de los préstamos masivos al gobierno, que quedaron fuera de control durante el mandato del presidente Reagan7 . Cabe sos- tener que el grado de libertad que tienen los gobiernos para establecer su política económica se ha reducido de forma drástica en los años no- venta, pues su política presupuestaria se ve atrapada entre los derechos automáticos heredados del pasado y la elevada movilidad del capital experimentada en el presente, y que probablemente aumentará en el futuro8 . Esta dificultad creciente del gobierno para controlar la economía (un hecho celebrado por muchos economistas liberales) se ve acen- tuada por el aumento de la transnacionalización de la producción, no sólo debido a la repercusión de las empresas multinacionales, sino so- bre todo a las redes de producción y comercio en las que las empresas están integradas9 . De ahí se infiere que desciende la capacidad de los gobiernos para asegurar en sus territorios la base productiva para gene- rar ingresos. Cuando las empresas y las personas ricas encuentran para- ísos fiscales en todo el mundo y cuando la contabilidad del valor aña- dido en un sistema de producción internacional se vuelve cada vez más dificultosa, surge una nueva crisis fiscal del estado, como expresión de una contradicción creciente entre la internacionalización de la inver- sión, la producción y el consumo, por una parte, y las bases nacionales de los sistemas fiscales, por la otra10 . ¿Es un accidente que los dos paí- ses más ricos del mundo, en términos per cápita, sean Luxemburgo y Suiza? Muy bien pudiera ser que una de las últimas batallas del estado- nación se estuviera luchando en el espacio de la cibercontabilidad, en- tre los concienzudos inspectores fiscales y los sofisticados abogados transnacionales. 7 Thurow, 1992; Cohén, 1993. 8 Chesnais, 1994; Nunnenkamp et al., 1994. * Buckley, 1994. 10 Guehenno, 1993.
  • 275.
    ¿i oslado mi|ii>lnili'7275 Un intento de evaluación estadística de la nueva crisis fiscal del estadó^n la economía global En este punto del análisis, puede que sea útil observar la evolución de las finanzas de los gobiernos en el periodo de aceleración de la globaliza- ción de las economías nacionales, entre 1980 y comienzos de los años no- venta. Para limitar la complejidad del análisis, he seleccionado seis países: las tres economías de mercado mayores (Estados Unidos, Japón y Alema- nia); la más abierta de las economías europeas mayores (Reino Unido); otro país europeo, España, que, aunque es la décima economía de mer- cado del mundo, presenta un grado de desarrollo económico/tecnológico inferior al de los países del G-7; y una importante economía del mundo de industrialización reciente, la India. A partir de las estadísticas compila- das y elaboradas por mi ayudante Sandra Moog, se han confeccionado los cuadros 5.1 y 5.2, que presentan una visión general de algunos indicado- res de las finanzas públicas y de la actividad económica relacionados con el proceso de internacionalización de las economías. No entraré en deta- lles, sino que utilizaré estos cuadros para ampliar y especificar el argu- mento sobre la globalización y el estado presentado en las páginas prece- dentes. Examinemos primero el grupo de los cuatro países (Estados Unidos, Reino Unido, Alemania y España) que parecen seguir, en términos muy amplios, líneas similares, si bien con diferencias que resaltaré. Los gastos gubernamentales han aumentado y ahora representan entre un cuarto y más del 40% del PIB. Los puestos de trabajo en la administración han descendido en todas partes. La proporción del consumo del gobierno ha disminuido en los tres países principales, mientras que ha ascendido en España. La proporción de la formación de capital del gobierno ha aumen- tado en los Estados Unidos y descendido en Alemania. Los ingresos fisca- les de los gobiernos centrales han disminuido en los Estados Unidos, mientras que han subido en el resto de los países, de forma .considerable en España. El déficit gubernamental ha aumentado, y lo ha hecho sustan- cialmente en los Estados Unidos y Alemania. La deuda del gobierno ha descendido en el Reino Unido, aunquejiún representa en torno al 34% del PIB, y ha aumentado de forma espectacular en España, Alemania y los Estados Unidos, donde en 1992 representaba el 52,2% del PIB. La fi- nanciación del déficit gubernamental ha llevado a los cuatro países a in- crementar, en algunos casos de forma cuantiosa, la dependencia de la deuda externa y el crédito neto exterior. La relación de la deuda externa y el crédito neto exterior con el PIB, las reservas de divisas de los bancos centrales, los gastos del gobierno y las exportaciones de los países mues- tran, en términos generales, una dependencia creciente de los gobiernos de los mercados de capital globales. Así pues, para los Estados Unidos, entre 1980 y 1993, la deuda externa del gobierno como porcentaje del PIB se
  • 278.
    27K El poderde la identidad duplicó con creces; como porcentaje de las reservas de divisas, aumentó hasta un 20% y, en 1993, representaba casi diez veces el nivel de las reser- vas de divisas totales; como porcentaje de las exportaciones, ascendió hasta un 133%; y como porcentaje de los gastos gubernamentales, casi se duplicó, para alcanzar el 41,7% de los gastos totales. En cuanto al crédito neto exterior, ascendió en estos catorce años hasta un asombroso 456%, aumentando un 203% su relación con el gasto gubernamental, para alcan- zar un nivel equivalente al 6% del gasto gubernamental. Como la inver- sión directa en el extranjero de los Estados Unidos aumentó hasta un 52,8%, mientras que la afluencia de inversión extranjera directa dismi- nuyó hasta un 35,5%, cabe sostener que el gobierno federal de los Esta- dos Unidos se ha vuelto en buena medida dependiente de los mercados de capital globales y el crédito exterior. La historia es algo diferente para el Reino Unido, Alemania y España, pero las tendencias son similares. Es importante tener en cuenta que, mientras que el Reino Unido parece ser menos dependiente, Alemania está aumentando su dependencia del capital extranjero mucho más de- prisa que los Estados Unidos, como muestran varios indicadores: la deuda externa del gobierno en relación con el PIB (aumento del 538,5%), en re- lación con las reservas de divisas (aumento del 325,3%) y en relación con las exportaciones (aumento del 590,8%). El crédito neto exterior del go- bierno alemán ha alcanzado un nivel que supera el 15% del gasto guber- namental y su deuda externa es equivalente al 44,5% del gasto guberna- mental, en ambos casos porcentajes más elevados que los de los Estados Unidos. Así pues, pese a unos buenos resultados de las exportaciones en la década de los ochenta, Alemania, a diferencia de Japón, ha incrementado de forma considerable la dependencia internacional de su estado nacional. Resulta bastante interesante que India, pese a haber aumentado el gasto del gobierno, el consumo y el endeudamiento, parezca ser mucho menos dependiente de la deuda externa: en efecto, todos sus indicadores de dependencia financiera muestran un crecimiento negativo para el pe- riodo, con la excepción de la relación entre el crédito exterior del go- bierno y el gasto gubernamental, que se sigue manteniendo a un nivel modesto. Un aumento considerable de la proporción de los ingresos fisca- les en el PIB es sólo parte de la explicación, siendo la principal, la sustan- cial aceleración del crecimiento económico en India en la última década. Sin embargo, debe destacarse que, aunque el tipo de cambio de los indi- cadores de la dependencia financiera del gobierno en India haya sido ne- gativo durante el periodo, el grado de dependencia sigue siendo muy ele- vado (la deuda externa representa más del 70% de las exportaciones y casi el 150% de las reservas de divisas). Como suele ocurrir, Japón es diferente. Su gobierno no se vio afec- tado por el crédito exterior durante la década de los ochenta. Su déficit presupuestario en relación con el PIB es, con mucho, el más bajo y des-
  • 279.
    ¿El estado iin|>tilcnle7279 Bélgica Italia Grecia Canadá Irlanda Japón Suecia Estados Unidos Alemania Francia Gran Bretaña • - - 1 1 i 1 1 1 1 1 1 1 1 1 1 0 20 | | 1985 40 60 S 1995 estim. 80 100 120 140 FIGURA 5.1 Pasivos financieros netos del gobierno (porcentaje del PIB). Fuente: OCDE, elaborado por The Economista 20 de enero de 1996. cendió de forma considerable durante el periodo 1980-1993. Por otra parte, el consumo del gobierno aumentó, al igual que su deuda, y Japón presenta una relación entre la deuda y el PIB (más del 50%) tan elevada como la estadounidense. Estas observaciones indican que las finanzas del gobierno japonés se sustentan en el endeudamiento interno. También re- flejan la mayor competitividad de la economía japonesa y el considerable superávit en las balanzas comercial y de pagos acumulado por el país. Así que el estado japonés es mucho más autónomo que otros frente al resto del mundo, pero su economía es mucho más dependiente de los resulta- dos del comercio internacional, ya que el capital japonés financia a su go- bierno con las ganancias de su competitividad. De este modo, lo que pa- rece ser una excepción a la regla de la dependencia del gobierno y su creciente déficit, no lo es. Las grandes empresas japonesas dominan la economía mundial y su competitividad financia al estado, cuyo consumo ha aumentado mucho más de prisa que en cualquiera de los demás países estudiados. El estado japonés muestra una dependencia financiera de se- gundo orden respecto a los movimientos de la economía internacional, vía su endeudamiento con los bancos japoneses, que acumulan los benefi- cios de sus keiretsu. Cabe subrayar tres grandes tendencias en lo que respecta a los argu- mentos presentados en este capítulo:
  • 280.
    .'NO El poderde la identidad ] ] | , , , , , P 0 5 10 15 20 25 30 costes no salariales [~ Salarios directos FIGURA 5.2 Costes salariales en la industria, 1994 (dólares por hora). Fuente: Federación de Empresarios suecos, elaborado por The Economist, 27 de enero de 1996. 1. Pese a cierta desconexión del estado con la economía, sobre todo en lo referente al empleo directo y la regulación, aún tiene un pa- pel económico considerable que requiere una financiación adicio- nal aparte de los impuestos, aumentando así los pasivos financie- ros del estado, exceptuando al Reino Unido (véase figura 5.1). 2. El endeudamiento del gobierno, con la importante excepción de Japón, cada vez depende más del crédito exterior, hasta tal punto que ya supera las reservas de divisas de los bancos centrales y en- sombrece los resultados de las exportaciones. Refleja el fenó- meno más amplio de la brecha creciente entre un crecimiento de los mercados financieros globales más rápido que el aumento del comercio global. 3. El estado japonés ha logrado establecer cierta autonomía fiscal frente al capital extranjero. Sin embargo, lo ha hecho basándose en el endeudamiento interno, financiado con los ingresos de las grandes compañías japonesas, procedentes del proteccionismo y los resulta- dos de la exportación; de este modo, la economía y el estado japone- ses se han hecho adictos a los excedentes comerciales y al reciclaje de los beneficios en suelo japonés. Este estado de cosas condujo a la «economía de burbuja» de finales de los años ochenta y, después, cuando la burbuja estalló, a la recesión de comienzos de los noventa.
  • 281.
    ¿El estado impotente?28 K En general, el entrelazamiento de las economías nacionales, y la de- pendencia de las finanzas del gobierno de los mercados globales y del cré- dito exterior, ha creado las condiciones para una crisis fiscal internacional de los estados-nación, incluidos los más ricos y poderosos. La globalización y el estado de bienestar La globalización de la producción y la inversión también amenaza al estado de bienestar, un elemento clave de las políticas del estado-nación en el medio siglo pasado, y probablemente el componente básico de su legitimidad en los estados industrializados n . Ello es así porque cada vez resulta más contradictorio para las empresas operar en los mercados glo- balizados e integrados, mientras experimentan importantes diferenciales de costes en prestaciones sociales, así como diferentes grados de regula- ción entre los países. No sólo ocurre entre Norte y Sur, sino también en- tre los diferentes países de la OCDE; por ejemplo, los costes laborales relacionados con las prestaciones sociales son mucho más bajos en los Estados Unidos que en Alemania (véase la figura 5.2). Pero lo que es una ventaja comparativa de la localización de los Estados Unidos frente a Alemania, se convierte en una desventaja frente a México, tras la en- trada en vigor del TLC. Puesto qué las empresas, debido a la tecnología de la información, pueden localizarse en muchos lugares diferentes y se- guir enlazadas a las redes y mercados globales de producción (véase vol. I, cap. 6), se produce entonces una espiral descendente de reducción de los costes sociales. Los límites a esa «competitividad negativa» en el pa- sado fueron dobles: por una parte, el desfase en cuanto a productividad y calidad entre los países protegía a los trabajadores de las economías avanzadas frente a los competidores menos desarrollados; por la otra, la presión interna inducía al proteccionismo, de modo que, mediante los aranceles, se aumentaba el precio de las importaciones hasta un nivel en el que se anulara la ventaja comparativa del abastecimiento externo. Ambos límites están desapareciendo. La nueva Organización Mundial de Comercio está estableciendo un sistema de vigilancia para detectar y pe- nalizar las barreras al libre comercio. Aunque la política del comercio in- ternacional condiciona la repercusión real de esos controles, parecería que, a menos que se produzca una inversión espectacular en el proceso de integración económica global, el proteccionismo flagrante a gran es- cala cada vez se encontrará más sometido a las represalias del resto de los países. En lo que respecta al retraso en cuanto a calidad y productivi- dad, el estudio de Harley Shaiken sobre las fábricas de automóviles esta- dounidenses en México ha mostrado que la rápida puesta al día de los 11 Wilensky, 1975; Janowitz, 1976; Navarro, 1994,1995; Castells, 1996.
  • 282.
    II |KMII'I ilcIn iiltnlulml trabajadoras mexicanos igualaba la productividad de los estadounidenses en unos dieciocho meses. Se han observado procesos similares en Asia '•'. Y (los europeos deberían recordarlo) la productividad laboral estadouni- dense sigue siendo la más alta del mundo, eliminando así un diferencial potencial de competitividad europea que aún podría permitir un gene- roso estado de bienestar. En una economía cuyos mercados centrales de capital, bienes y servicios se integran cada vez más a escala global, queda poco espacio para estados de bienestar muy diferentes en economías con niveles relativamente similares de productividad laboral y calidad pro- ductiva. Sólo un contrato social global (que redujera la brecha sin igualar necesariamente las condiciones sociales y laborales), ligado a acuerdos arancelarios internacionales, podría evitar la desaparición de los estados de bienestar más generosos. No obstante, puesto que en la nueva econo- mía global, liberalizada e interconectada, ese contrato de largo alcance es improbable, los estados de bienestar están reduciendo su tamaño a un denominador común inferior que mantiene la marcha en espiral hacia abajo13 . Al hacerlo, se desvanece un componente fundamental de la legi- timidad y estabilidad del estado-nación, no sólo en Europa, sino en todo el mundo, desde los estados de bienestar de las clases medias de Chile o México hasta los restos de los estados de bienestar estatistas de Rusia, China o India, o el estado de bienestar urbano en los Estados Unidos in- ducido por las luchas sociales de los años sesenta. Así pues, el estado-nación cada vez es más impotente para controlar la política monetaria, decidir su presupuesto, organizar la producción y el comercio, recabar los impuestos sobre sociedades y cumplir sus compro- misos para proporcionar prestaciones sociales. En suma, ha perdido la mayor parte de su poder económico, si bien aún cuenta con cierta capaci- dad regulatoria y un control relativo sobre sus subditos. Redes globales de comunicación, audiencias locales y reguladores estatales Las perspectivas de una regulación y control nacionales no son mucho mejores en otro ámbito decisivo del poder estatal: los medios y la comuni- cación. El control de la información y el entretenimiento y, mediante ellos, de las opiniones e imágenes ha sido, a lo largo de la historia, el ins- trumento de sostén del poder estatal, que se perfeccionaría en la era de los medios de comunicación de masasM . En este ámbito, el estado-nación se enfrenta a tres importantes retos interconectados: la globalización y el entrecruzamiento de la propiedad; la flexibilidad y la penetración de la 12 Shaiken, 1990; Rodgers, 1994. 13 Sengenberger y Campbell, 1994; Navarro, 1995; Castells, 1996. 14 Mattelart, 1991.
  • 283.
    , II cstmlonii|)(iionlcV 28í tecnología; la autonomía y la diversidad de los medios de comunicación (véase vol. I, cap. 5). De hecho, ya se ha rendido a ellos en la mayoría de los países l5 . Hasta comienzos de los años ochenta, con la excepción im- portante de los Estados Unidos, la mayoría de las televisiones del mundo estaban controladas por el gobierno, y las radios y los periódicos estaban bajo la coacción potencial de la buena voluntad del gobierno, incluso en los países democráticos. Hasta en los Estados Unidos, la Comisión Fede- ral de Comunicaciones ejercía un estrecho control sobre los medios elec- trónicos, no siempre exento de sesgos de intereses especiales16 , y las tres principales cadenas de televisión monopolizaban el 90% de la audiencia, encuadrando, si no moldeando, la opinión pública. Todo cambió en una década17 , por el impulso de la tecnología. La diversificación de los modos de comunicación, el enlace de todos los medios en un hipertexto digital, que abrió la vía para el multimedia interactivo, y la incapacidad para con- trolar las emisiones de los satélites a través de las fronteras o la comu- nicación por ordenador mediante línea telefónica, acabaron con las formas tradicionales de defensa reguladora. La explosión de las teleco- municaciones y el desarrollo del cable proporcionaron los vehículos para un poder de emisión sin precedentes. El mundo de los negocios observó la tendencia y aprovechó la oportunidad. Se realizaron megafusiones y se movilizó capital a lo largo del mundo para tomar posición en la industria de los medios, una industria que podía unir el poder en las esferas econó- mica, cultural y políticaw . Durante la década de los ochenta, se presionó a los gobiernos nacionales de varias formas19 : opinión pública, o publicada, que clamaba por la libertad y la diversidad de los medios de comunica- ción; compra de los medios nacionales en dificultades; distribución en di- versos medios de comunicación de opiniones de columnistas que escri- bían la apología de la comunicación sin cortapisas; promesas de complacencia política, si no apoyo, para casi todos los que estaban en el poder o que tuvieran la posibilidad de estarlo en el futuro; y, no menos importante, beneficios personales para aquellos cargos públicos que fue- ran condescendientes. La política simbólica, al asimilar la liberalización de los medios con la modernización tecnológica, desempeñó un impor- tante papel para inclinar la opinión déla élite en favor del nuevo sistema de medios de comunicación20 . Apenas hay un país, con excepción de China, Singapur y el mundo fundamentalista islámico, donde la estructura institucional y comercial de los medios no experimentara un giro espec- 15 Blumenfield, 1994; Brenner, 1994; Chong, 1994; Graf, 1995. 16 Cohén, 1986. 17 Doyle, 1992; Irving et al., 1994; Negroponte, 1995; Scott et al., 1995; Campo Vidal, 1996. 18 MacDonald, 1990. 19 Gerbner et al., 1993; Campo Vidal, 1996. ffl Vedel y Dutton, 1990.
  • 284.
    2K4 Ei poderilc la identidad tacular entre mediados de la década de los ochenta y mediados de la de los noventa21 . La televisión y la radio se privatizaron a gran escala, y las cadenas gubernamentales que quedaron con frecuencia acabaron no dis- tinguiéndose de la televisión privada, ya que se sometieron a la disciplina de los índices de audiencia y a los ingresos de la publicidad22 . Los periódi- cos se concentraron en grandes consorcios, a menudo con el respaldo de grupos financieros. Y, lo que es más importante, los negocios de los me- dios de comunicación se hicieron globales, con el capital, el talento, la tec- nología y la propiedad de las empresas girando por todo el mundo, fuera del alcance de los estados-nación (véase fig. 5.3). No se deduce de ello que los estados no tengan una influencia en los medios de comunicación. Los gobiernos siguen controlando medios importantes, poseen acciones y tienen mecanismos de influencia en una amplia gama de los medios de comunicación del mundo*. Y el mundo de los negocios se cuida mucho de irritar a los guardianes de los mercados potenciales: cuando el Star Chan- nel de Murdoch fue reprendido por el gobierno de China debido a sus opiniones liberales sobre la política china, Star se congració con él cance- lando el servicio de noticias de la BBC de la programación china del canal e invirtiendo en una edición telefónica del Diario del Pueblo. Pero si los gobiernos siguen conservando influencia sobre los medios, han perdido gran parte de su poder, excepto en los medios que se encuentran bajo el control directo de los estados autoritarios. Es más, los medios necesitan mostrar su independencia como un ingrediente clave de su credibilidad, no sólo frente a la opinión pública, sino con respecto a la pluralidad de ostentadores del poder y anunciantes, ya que el sector de la publicidad es el cimiento económico de las empresas de medios de comunicación. Si un medio determinado se liga demasiado a una opción política explícita o re- prime de forma sistemática cierto tipo de información, restringirá su au- diencia a un segmento relativamente pequeño, apenas será capaz de obte- ner beneficios en el mercado y no atraerá el interés de la mayoría del público. Por otra parte, cuanto más independiente, abierto y creíble es un medio, más atrae información, vendedores y compradores de un amplio espectro. La independencia y profesionalidad no sólo son ideologías gra- tificantes para los medios de comunicación: también se traducen en bue- nos negocios, incluida a veces la posibilidad de vender su independencia a un precio más elevado cuando surge la ocasión. Una vez que se reconoce la independencia de los medios, y una vez 21 MacDonald, 1990; Doyle, 1992; Pérez-Tabernero et al, 1993; Instituto Dentsu de Es- tudios Humanos, 1994; The Economist, 1994,1996. 22 Pérez-Tabernero et al, 1993. Es revelador, en este sentido, el esfuerzo del gobierno del Partido Popular en Es- paña en 1997 para controlar la televisión digital, favoreciendo a un grupo empresarial afín, en contra del proyecto más avanzado del grupo PRISA, por considerarlo hostil a su partido.
  • 286.
    2H(> II poderde la identidad que el estado-nación acepta esta cualidad como prueba esencial de su ca- rácter democrático, se cierra el círculo: todo intento de recortar la liber- tad de los medios tendrá un coste político, ya que la ciudadanía, no nece- sariamente quisquillosa en cuanto a la precisión de las noticias, defiende celosamente el privilegio de recibir información de fuentes que no estén sometidas al estado. Por este motivo, hasta los estados autoritarios están perdiendo la batalla sobre los medios de comunicación en la era de la in- formación. La capacidad de la información y las imágenes de difundirse vía satélite, videocasete o Internet se ha expandido de forma espectacu- lar, de tal modo que la censura de noticias cada vez resulta menos efec- tiva en los principales centros urbanos de los países autoritarios, precisa- mente los lugares donde viven las élites ilustradas alternativas. Es más, puesto que los gobiernos de todo el mundo quieren también «hacerse glo- bales» y los medios de comunicación globales son su herramienta de ac- ceso, con cierta frecuencia entran en tratos con sistemas de comunicación de doble sentido que, aun cuando avanzan despacio y con cautela, acaban minando su dominio sobre la comunicación. En un movimiento paralelo a la globalización de los medios, también ha habido en muchos países, gracias a las nuevas tecnologías de la comu- nicación como la transmisión por satélite de costes compartidos, un extra- ordinario crecimiento de los medios locales, sobre todo de la radio y la te- levisión por cable. La mayoría de estos medios de comunicación locales, que suelen compartir la programación, han establecido una fuerte cone- xión con públicos populares específicos, dejando a un lado las opiniones estandarizadas de los medios de comunicación de masas. Al hacerlo, se escapan de los canales tradicionales de control (ya sean directos o indirec- tos) que los estados-nación han establecido frente a las cadenas de televi- sión y los principales periódicos. La creciente autonomía política de los medios locales y regionales, que utilizan las tecnologías flexibles de comu- nicación, es una tendencia tan importante como la globalización de los medios para conformar las actitudes públicas. Es más, ambas tendencias convergen en muchos casos, cuando las grandes empresas globales de medios de comunicación compran nichos de mercado con la idea de cap- tar la especificidad de las audiencias formadas en torno a los medios lo- cales23 . La comunicación a través del ordenador también se escapa del control del estado-nación, marcando la entrada en una nueva era de comunica- ción extraterritorial24 . La mayoría de los gobiernos parecen estar aterrori- zados ante tal perspectiva. En enero de 1996, el ministro de Tecnología de la Información francés anunció la intención de su gobierno de propo- 21 Levin, 1987; Abramson etal., 1988; Scheer, 1994; Spragen, 1995; Fallows, 1996. 24 Kahn, 1994; Financial Technology International Bulletin, 1995; Kuttner, 1995; Ubois, 1995.
  • 287.
    ¿El estado impotente?.'87 ner a la Unión Europea una serie de medidas para prohibir el libre acceso a Internet. El suceso que provocó este plan de censura tecnológica desde el país que alentó los ideales revolucionarios de libertad en Europa, así como Minitel, fue la última batalla de Mitterrand. Tras su muerte, su mé- dico publicó un libro que revelaba que Mitterrand padeció cáncer de próstata durante los catorce años de su mandato presidencial. El libro fue prohibido en Francia, a petición de la familia de Mitterrand, pero todo el mundo pudo leerlo en la red. La furia del gobierno francés fue más lejos de este caso particular. Estaba claro que ya no podían hacerse cumplir las decisiones del gobierno o los tribunales sobre la información. Y el control de la información había sido, mucho antes de la era de la información, la base del poder estatal25 . Hubo tentativas similares, en torno a las mismas fechas, de los gobiernos chino, alemán y estadounidense sobre una varie- dad de temas que iban de la información financiera y política en China a la pornografía infantil en los Estados Unidos26 . El meollo de la cuestión eran los flujos de información transnacionales, que hacían difícil tomar medidas legales contra la fuente de información aun cuando fuera detec- tada. Todavía sigue debatiéndose cuáles son las posibilidades técnicas reales para recortar el acceso a Internet sin dejar fuera de la red a todo un país. Parecería que la censura y los castigos ex post facto, así como los me- canismos de protección que cada cual aplique, resultan más factibles que interferir la comunicación. Pero aun cuando las medidas externas de pro- tección fueran efectivas, mermarían la red, dificultando el acceso a mucha información útil y disminuyendo la extensión y el ámbito de la interactivi- dad. Además, para poder limitar la red de forma selectiva, todos los paí- ses conectados a ella tendrían que llegar a un acuerdo sobre los temas que quieren que se prohiban y luego establecer un sistema de seguimiento conjunto, que sin duda sería puesto en tela de juicio en los países demo- cráticos por inconstitucional. En efecto, en los Estados Unidos, en junio de 1996, una comisión judicial federal de Pensilvania declaró inconstitu- cional la mayor parte de la nueva ley federal que pretendía regular el ma- terial pornográfico difundido en la red. En una decisión contundente, los tres jueces escribieron: «Del mismo modo que la fuerza de Internet es el caos, la fuerza de nuestra libertad depende del caos y la disonancia de la expresión sin restricciones que la Primera Enmienda protege»27 . En 1997 el Tribunal Suprer^o de los Estados Unidos confirmó la inconstitucionali- dad de dicha ley y consagró el principio de libre expresión en Internet. Así pues, en los años venideros, los estados-nación lucharán para contro- lar la circulación de la información en las redes de telecomunicaciones in- terconectadas a escala global. En mi opinión es una batalla perdida y, con 25 Couch, 1990. 26 Berman y Weitzner, 1995; Faison, 1996; Lewis, 1996a. 27 Citado por Lewis, 1996b.
  • 288.
    2HH I Ipoder ele la íil> 1111.11.1 su derrota final, llegará la pérdida de una piedra angular del poder csl.i tal. En general, la globalización/localización de los medios y de la coiiiuin cación electrónica equivale a la desnacionalización y desestatificación de la información, siendo las dos tendencias inseparables hasta el móntenlo. ¿ Un mundo sin ley? La globalización del crimen subvierte aún más el estado-nación, trans formando profundamente los procesos de gobierno y paralizando en mu chos casos al estado. Ésta es una tendencia crucial que se reconoce con tanta facilidad como se hace caso omiso de sus consecuencias28 . Un capí tulo completo (en el volumen III, cap. 3) analiza la que es una de las ten dencias más importantes de nuestro mundo, y distintiva con respecto : otros periodos, pero es necesario, en este punto del argumento, incluii una tendencia tan crucial en nuestra compresión de la crisis actual del es- tado-nación. No es nueva la capacidad de penetración del crimen y su re- percusión en la política, pero sí la vinculación global del crimen organi- zado, su condicionamiento de las relaciones internacionales, tanto económicas como políticas, debido a la escala y el dinamismo de la econo- mía criminal. Es nueva la profunda penetración, y eventual desestabiliza- ción, de los estados nacionales en una variedad de contextos, bajo la in- fluencia del crimen transnacional. Aunque el tráfico de drogas es el sector industrial más significativo en la nueva economía criminal, toda clase de tráficos ilícitos se unen en este sistema en la sombra que extiende su al- cance y poder sobre el mundo: armas, tecnología, materiales radioactivos, obras de arte, seres humanos, órganos humanos, asesinos de alquiler y contrabando de cualquier artículo rentable de un lugar a otro, se conec- tan a través de la madre de todos los delitos: el blanqueo de dinero. Sin él, la economía criminal no sería global ni muy rentable. Y, a través del blanqueo de dinero, la economía criminal se conecta con los mercados fi- nancieros globales, de los cuales es un componente considerable y una fuente de especulación constante. Según la Conferencia de la ONU sobre la Economía Criminal Global celebrada en Ñapóles en octubre de 199429 , un cálculo razonable establecería la cifra del capital procedente de fuen- tes ilegales que se blanquea en el sistema financiero global en torno a los 750.000 millones de dólares anuales. Estos flujos de capital deben ser pro- cesados con mayor movilidad y flexibilidad que los que se originan en cualquier otra industria, ya que su circulación constante es lo que les per- 28 Arrieta et al., 1991; Roth y Frey, 1992; Smith, 1993; Lodato, 1994; Sterling, 1994; Gol- den, 1995; Handelman, 1995; Johnson, 1995; WuDunn, 1996. 2 * ONU, Consejo Económico y Social, 1994.
  • 289.
    I,l>. catado impotente?2H9 tnitc evitar que los departamentos encargados de la aplicación de la ley los localicen. La repercusión de estas tendencias en los estados nacionales se pro- duce a lo largo de tres líneas principales: 1. En muchos casos, toda la estructura del estado, que a menudo in- cluye las esferas más altas, está penetrada por vínculos criminales, ya sea mediante corrupción, amenazas o financiamiento político ilegal, con lo que se causan estragos en la gestión de los asuntos públicos. 2. Las relaciones internacionales entre los estados-nación, en mu- chos países, acaban dependiendo en grados diferentes de la bue- na o mala colaboración en la lucha contra la economía criminal. El caso típico hasta ahora ha sido el de las relaciones entre los Estados Unidos y algunos países latinoamericanos (Colombia, Bolivia, México, Paraguay, Panamá), pero se está convirtiendo en un fenómeno más amplio, a medida que la economía crimi- nal se diversifica (por ejemplo, la preocupación alemana con el tráfico de materiales radiactivos organizado por la mafia rusa; o la inquietud del gobierno ruso sobre la participación creciente de la mafia siciliana y los cárteles de Colombia en la mafia rusa). 3. Los flujos financieros de origen criminal, cada vez más importan- tes, son elementos clave para estimular o desestabilizar econo- mías nacionales enteras, de tal modo que la política económica ya no puede gestionarse en muchos países y zonas del mundo sin in- cluir en escena este factor altamente impredecible. Antes, los gobiernos nacionales muy afectados por las intrigas de la economía criminal eran un puñado de sospechosos habituales, como Ita- lia o Colombia. Ya no es así. La importancia del fenómeno, su alcance global, el volumen de su riqueza e influencia y su conexión afianzada con las finanzas internacionales hacen que los lazos criminales con la corrup- ción política sean un rasgo frecuente en los principales países. Por ejem- plo, los yakuzas (báñelas japonesas de delincuencia organizada) han inter- nacionalizado recienteinente sus conexiones. Y los lazos francos y menos francos de los yakuzas con los dirigentes gubernamentales japoneses son bien conocidos, hasta el punto de que el Ministerio de Obras Públicas fue considerado, durante largo tiempo, la vía de intercambio de contratos gu- bernamentales por generosas aportaciones de las empresas patrocinadas por los yakuzas al Partido Liberal Democrático, un sistema no demasiado distinto de los programas de desarrollo del Mezzogiorno de los democris- tianos italianos en relación con la Mafia. O, cuando en 1996 una serie de crisis bancarias estremecieron Japón, dando como resultado el impago de
  • 290.
    290 El poderde la identidad préstamos de miles de millones de dólares, se suscitaron serias sospechas sobre el papel de los yakuzas para obligar a los directores de los bancos a conceder esos préstamos, incluida la muerte de dos banqueros30 . En otro contexto, la presunta penetración de las organizaciones criminales rusas, con conexiones internacionales, en varias esferas del gobierno de uno de los estados más poderosos del mundo es un hecho preocupante. Y la ca- dena de escándalos políticos que han sacudido a los gobiernos de todo el mundo en la década de los noventa (un tema que analizaré en el capítulo 6) no deja de estar relacionada, en muchos casos, con la lucha de poder continua entre las estructuras del crimen organizado y las estructuras de los estados-nación. Es más, hasta los principales gobiernos, que se creen relativamente inmunes a la penetración del crimen en sus niveles más ele- vados, sufren las sacudidas de las maniobras políticas criminales. Por ejemplo, cuando en 1994-1995 la economía mexicana se derrumbó, pese a los préstamos masivos estadounidenses, debido a una crisis política pro- vocada en parte, como sostendré más adelante, por la penetración de los traficantes de drogas en la cúpula del partido gobernante mexicano, el dólar sufrió un descenso considerable y el marco se disparó en los merca- dos de divisas. Ello desestabilizó el sistema monetario europeo, por el te- mor de los inversores a que el déficit del gobierno estadounidense au- mentara debido al esfuerzo necesario para levantar a México de su quiebra potencial. En este torbellino de crimen, capital y poder, no existe un lugar seguro. Ni instituciones nacionales seguras. Así pues, la globalización, en sus diferentes dimensiones, socava la au- tonomía y el poder de tomar decisiones del estado-nación. Y esto ocurre en el momento preciso en que el ejercicio del poder estatal en el ámbito internacional también está sujeto a las limitaciones del multilateralismo en defensa, política exterior y política pública global, como la política me- dioambiental. EL ESTADO-NACIÓN EN LA ERA DEL MULTILATERALISMO El periodo posterior a la guerra fría se caracteriza por una interde- pendencia multilateral creciente entre los estados-nación31 . Ello se debe fundamentalmente a tres factores: la disolución o relajación de los blo- ques militares construidos en torno a las dos superpotencias, la espec- tacular repercusión de la nueva tecnología en la guerra y la percepción social del carácter global de los desafíos de la humanidad debido al ma- x WuDunn, 1996. 31 Baylis y Rengger, 1992; McGrew et al, 1992; Falk, 1995; Orstrom Moller, 1995, Alonso Zaldívar, 1996.
  • 291.
    ¿El estado impotente?291 yor conocimiento e información, como en el caso de la seguridad medio- ambiental. Con la desaparición de la Unión Soviética, y prescindiendo de las po- sibles tensiones futuras entre Rusia, China y la OTAN, también desapa- recieron los principales mecanismos que estabilizaban los lazos estratégi- cos de la mayoría de los estados-nación en torno a las dos superpotencias32 . Aunque la OTAN continúa organizándose en torno a la alianza de Occi- dente encabezada por los Estados Unidos, sus funciones se están redefi- niendo en la segunda mitad de la década de los noventa hacia el cumpli- miento de tareas de seguridad, en nombre de un amplio consorcio de naciones, en asociación, siempre que sea posible, con la ONU. La nueva noción de seguridad global y colectiva33 , que surgió por primera vez con la Guerra del Golfo para hacer frente a la amenaza común al suministro de petróleo de Oriente Próximo, implica una relación simbiótica entre las fuerzas militares más capaces (los ejércitos profesionales de los Estados Unidos y el Reino Unido), los financiadores de las operaciones (Japón, Alemania y los emiratos árabes en primer lugar) y las declaraciones retó- ricas en nombre del mundo civilizado (a menudo realizadas por los diri- gentes franceses). El intento deliberado de esta alianza basada en la OTAN de hacer participar a Rusia en operaciones conjuntas, como en el caso de Bosnia, es indicativo de la transformación de los objetivos de las alianzas militares, de la dominación de las superpotencias a la vigilancia conjunta de un orden mundial vacilante contra las potenciales amenazas impredecibles al sistema. El nuevo sistema de seguridad se está constru- yendo, fundamentalmente, contra bárbaros del exterior que aún no tie- nen nombre34 . Al hacerlo, los estados-nación, incluidos los más podero- sos, se ven envueltos en redes de intereses y negociaciones que se rearticulan en formatos diferentes según cada tema. Sin la necesidad de poseer una capacidad de decisión trascendental en situaciones de vida o muerte, como era el caso en la confrontación potencial de las superpoten- cias y sus aliados en la era nuclear de la guerra fría, el ir saliendo del paso en una política exterior con geometría variable se traduce en la creciente incapacidad de cualquier estado para actuar por sí mismo en el ámbito in- ternacional. Por esencia, la política exterior es multilateral en este fin de milenio35 . Dos importantes excepciones afectan al grado de integración en este sistema de seguridad colectiva: Rusia, aún una superpotencia nu- clear, y China, en vías de convertirse en una superpotencia36 . No obs- tante, puesto que no es probable que ninguna de ellas organice a un con- junto de aliados permanentes en torno a sus intereses (pese a los lazos de 32 Alonso Zaldívar, 1996; McGrew, 1992b. 33 McGrew, 1992a; Mokhtari, 1994. 34 Rosenau, 1990; Berdal, 1993; Guehenno, 1993. 35 Frankel, 198ÍÍ; McGrew eí al., 1992. 36 Boardmann, 1994; Alonso Zaldívar, 1996.
  • 292.
    I I |>mlrrde I» idcnlliln > China con Pakistán), su aislamiento relativo y la profunda desconli;tn/n mutua no contradicen el carácter multilateral del nuevo sistema de «>•.» ridad, sino que sólo le añade complejidad. Los rápidos cambios en la tecnología militar también están debili tando la capacidad del estado-nación para decidir en solitario ". Ahora, lu guerra depende esencialmente de la electrónica y la tecnología de la co municación, como demostró la Guerra del Golfo. La devastación masivn que puede infligirse a distancia, mediante el lanzamiento de misiles y ata ques aéreos, es capaz de dejar fuera de juego en pocas horas a un ejército considerable, sobre todo si sus defensas se inutilizan mediante contramo didas electrónicas y si los blancos se han identificado por satélite y proce- sado por ordenadores a miles de kilómetros para dirigir el fuego real en esta guerra invisible. La guerra electrónica depende, como siempre lo ha hecho la guerra, de la tecnología. La diferencia en el periodo actual es, por una parte, la velocidad del cambio tecnológico, que vuelve obsoletas las armas en muy poco tiempo38 . Ello obliga a la mejora continua de los sistemas de armas si se pretende que los ejércitos vayan a combatir real- mente con otros ejércitos, en lugar de controlar a su propio pueblo, como sucede aún en gran parte de la humanidad. Los ejércitos con baja tecnolo- gía no son tales, sino fuerzas de policía disfrazadas. Por otra parte, el ca- rácter de la nueva tecnología militar requiere un ejército profesional cuyo personal disponga de los conocimientos necesarios para manipular arma- mento informatizado y sistemas de comunicación. Esto proporciona una ventaja a los países con un nivel tecnológico avanzado, independíente- mente del tamaño de sus fuerzas armadas, como ilustran los casos de Is- rael y Singapur. Debido al papel esencial de la tecnología, los estados-na- ción que aún esperan afirmar su capacidad para ejercer la violencia acaban dependiendo permanentemente de los suministradores de tecno- logía, no sólo de hardware, sino de recursos humanos. Sin embargo, esta dependencia ha de situarse en el contexto de una diversificación creciente de las armas bélicas convencionales, a medida que los países se industria- lizan y la tecnología se difunde39 . Así pues, Brasil e Israel pueden ser pro- veedores eficientes de equipo bélico avanzado. Francia, el Reino Unido, Alemania, Italia y China han aumentado su papel, junto con los Estados Unidos y Rusia, como proveedores de los ejércitos del mundo. Y surge un patrón cada vez más complejo de colaboración y competencia, en el que China compra cazas avanzados a Rusia y tecnología de comunicaciones a los Estados Unidos, y Francia vende misiles a quien quiera comprarlos, con un servicio postventa de entrenamiento y mantenimiento incluidos. Además, han proliferado los mercados globales ilegales de armas, de todo Mclnncs, 1992. Mclnnes y Sheffield, 1988; Grier. 1995. McGrew, 1992b.
  • 293.
    i I ritmloimpolcnli ' 293 li|io ilc armas, haciendo posible la amplia difusión de cualquier tecnolo- Hin, desde los «Stingers» hasta los «Patriots», del gas nervioso a los meca- iilNinns de bloqueo electrónico. Ello conlleva que, a diferencia de otros |U'i'iodos históricos, ningún estado sea autosuficiente en la producción de equipo bélico, con la excepción esencial de los Estados Unidos (ya que l< usia ahora depende tecnológicamente en microelectrónica y comunica- nones). Pero ello no implica que todos los estados-nación estén condena- dos a convertirse en colonias estadounidenses. Más bien es lo contrario. I ¡i falta de un claro adversario ha relajado los controles tecnológicos del Departamento de Defensa estadounidense y puede disponerse amplia- mente de las tecnologías más esenciales y de las armas convencionales. ('orno los estados-nación no pueden controlar las fuentes de suministro del equipo último modelo, dependen permanentemente, en el ejercicio potencial de su poder bélico, no de los Estados Unidos, sino de diversas redes globales de suministro. El hecho de que los Estados Unidos sean nutosuficientes en cuanto a tecnología (y sólo debido al esfuerzo del Pen- tágono para dejar de depender de la fabricación japonesa de semiconduc- tores) les otorga el título de ser la única superpotencia verdadera. No obs- tante, ni siquiera este hecho se traduce en una soberanía plena sobre su política exterior debido a su débil posición financiera y política en cuanto al envío de sus fuerzas al exterior40 . Es más, como sostiene Mclnnes, «el carácter de la guerra moderna ha llevado a los pensadores militares a pre- guntarse si un conflicto de alta intensidad podría merecer los costes que supone (prescindiendo de si se utilizan armas nucleares o no) y si, aun cuando dicha guerra ocurriera, podría sostenerse durante algún tiempo [dado lo caras que resultan las armas de alta tecnología y lo rápido que pueden destruirse]»41 . La evolución tecnológica da un nuevo giro a las relaciones internacio- nales hacia el multilateralismo. La industrialización de nuevas regiones del mundo, la difusión del conocimiento científico y tecnológico, y el trá- fico ilegal de todo ha impulsado, y sigue haciéndolo, la proliferación de las capacidades de la guerra nuclear, química y biológica42 . Así pues, aun- que los estados-nación dependen cada vez más de la tecnología de van- guardia en la guerra convencional, también tienen acceso a lo que deno- minaría «tecnologías de vetoj», esto es, armas de destrucción masiva que por su propia existencia pueden disuadir a un estado más poderoso de ga- nar. El «equilibrio del terror»global está en proceso de descentralizarse en muchos «equilibrios del terror» locales. Esta tendencia obliga, por un parte, a las principales potencias a emprender una acción concertada y multilateral para evitar el control de esas armas por parte de nuevos paí- 40 Savigear, 1992. 41 Mclnnes, 1992, pág. 156. 42 McGrew, 1992b.
  • 294.
    ."M El poderde la identid.id sos, fuerzas políticas o grupos terroristas. Por otra parte, una vez que al- gunos países llegan de todos modos a poseer estas armas, el sistema de se- guridad global se ve obligado a intervenir para equilibrar las fuerzas de destrucción de cada zona del mundo, con el fin de evitar peligrosas con- frontaciones locales43 . Sigue una compleja y enmarañada red de niveles diferentes de poder destructivo, que se controlan mutuamente con acuer- dos específicos y procesos negociados de desarme y retirada. En esa red, ningún estado-nación, ni siquiera los Estados Unidos, es ya libre, puesto que un cálculo equivocado o un exceso en el ejercicio de su poder supe- rior podría desatar un holocausto nuclear o bacteriológico local. La hu- manidad vivirá durante un largo tiempo con los monstruos de la destruc- ción que hemos creado, ya sea para la aniquilación masiva estandarizada o miniaturizada para una matanza personalizada. En tales circunstancias, la tarea fundamental de los estados-nación (y no sólo de las superpoten- cias, como en el periodo de la guerra fría) consiste ahora en limitar el ejercicio real de su propio poder militar, con lo que se debilita su razón de ser original. Los estados-nación también se enfrentan a los límites de su legitimi- dad y, en definitiva, de su poder, con respecto a la gestión global del en- torno planetario44 . Debido a la creciente capacidad de la informática, la ciencia y la tecnología aportan conocimientos sin precedentes sobre la de- gradación de la naturaleza y sobre sus consecuencias para nuestra espe- cie. En una evolución afín, como se mostró en el capítulo 3, el movi- miento ecologista ha despertado la conciencia ecológica de sociedades de todo el mundo, haciendo presión sobre la responsabilidad de los gobier- nos de detener la marcha hacia la catástrofe. No obstante, los estados-na- ción individuales son impotentes, por sí mismos, para actuar sobre temas como el calentamiento global, la capa de ozono, la deforestación del pla- neta, la contaminación de las reservas de agua, el agotamiento de la vida oceánica y demás. Por lo general, los esfuerzos de los estados para unirse toman la forma de espectáculos internacionales y retórica solemne, más que de una aplicación real de programas de acción conjunta. Lipschutz y Coca escriben, para concluir su investigación global sobre las políticas medioambientales concertadas: La posibilidad de que exista una dirección hegemónica o de que surja una autori- dad central coordinadora parece remota con respecto a los asuntos medioambien- tales. Y la probabilidad de una coordinación multilateral efectiva parece también lejana, debido a importantes incertidumbres acerca de los costes y beneficios de la protección y gestión del medio ambiente. A estas barreras y condiciones añadiría- mos diversos factores cuyo origen está en la naturaleza del propio estado: la inca- Daniel y Hayes, 1995. Rowlands, 1992; Vogler, 1992; Morin y Kern, 1993; Wapner, 1995; Hempel, 1996.
  • 295.
    ¿El estado impotente?295 paridad fundamental de los gobiernos para controlar los procesos destructivos en juego, la escasez de palancas políticas efectivas y la importancia de la extracción de recursos básicos (y de ahí la destrucción medioambiental) para las alianzas so- ciales clave del estado45 . Ello no obedece necesariamente a la ignorancia o mala fe de los go- biernos, sino a que cada estado-nación continúa actuando en nombre de sus intereses propios o de los intereses de los grupos de votantes que va- lora más46 . Al hacerlo, el multilateralismo se convierte en un foro de de- bate y en un ámbito de negociación, más que en una herramienta para ejercer la responsabilidad colectiva. Siguiendo una lógica habermasiana de «desplazamiento de la crisis», «la contradicción medioambiental-eco- nómica fundamental y global queda desplazada al nivel del estado-na- ción»47 . Paradójicamente, esta obstinación de los estados-nación conduce a su debilitamiento como instituciones políticas viables, a medida que los ciudadanos de todo el mundo se dan cuenta de la incapacidad de estos aparatos tan caros y engorrosos para abordar los principales problemas que tiene la humanidad. Así pues, para superar su inoperancia creciente, los estados-nación se asocian cada vez más, orientándose hacia un nuevo orden de gobierno supranacional. EL GOBIERNO GLOBAL Y EL SUPER ESTADO-NACIÓN Como escribieron Streeck y Schmitter, «si se quiere una explicación sintética del impulso renovado de la integración europea a mediados de la década de los ochenta, probablemente se diría que es el resultado de un alineamiento entre dos tipos de intereses: los de las grandes firmas eu- ropeas, que pugnan por superar las ventajas competitivas percibidas en relación con el capital japonés y estadounidense, y los de las élites estata- les, que tratan de restablecer, al menos, parte de la soberanía política que han perdido de forma gradual en el ámbito nacional como resultado de la creciente interdependencia internacional»48 . En ambos supuestos, por in- tereses comerciales e intereses políticos, lo que se buscaba no era la su- pranacionalidad, sino la reconstrucción del poder estatal basado en la na- ción a un nivel más elevado, un nivfel en el que pueda ejercerse cierto grado de control sobre los flujos de riqueza, información y poder. La for- mación de la Unión Europea (como sostendré en el volumen III) no es un proceso de construcción del estado federal europeo delfuturo, sino la cons- 45 Lipschutz y Coca, 1993, pág. 332. 46 Castells (en prensa). 47 Hay, 1994, pág. 87. 48 Streeck y Schmitter, 1991, pág. 148.
  • 296.
    2% El poderde la identidad tracción de un cártelpolítico, el cártel de Bruselas, en el que los estados-na- ción europeos puedan seguir haciéndose, de forma colectiva, con cierto grado de soberanía en el nuevo desorden global, y luego distribuir los be- neficios entre sus miembros, bajo reglas incesantemente negociadas. Por este motivo, en lugar del comienzo de la era de la supranacionalidad y de la gobernación global, estamos presenciando la aparición del super es- tado-nación, es decir, de un estado que expresa, en una geometría varia- ble, los intereses agregados de sus miembros constituyentes49 . Cabe extrapolar un argumento similar para la pluralidad de institucio- nes internacionales que comparten la gestión de la economía, de la segu- ridad, del desarrollo y del medio ambiente en este mundo de fin de mile- nio 50 . La Organización Mundial de Comercio ha sido establecida para hacer compatible el comercio libre con las restricciones comerciales en un mecanismo continuo de control y negociación. La ONU compite para es- tablecer su nuevo papel doble como fuerza de vigilancia legítima en nom- bre de la paz y los derechos humanos y como centro de los medios de co- municación del mundo, organizando conferencias cada seis meses sobre los titulares de la humanidad: medio ambiente, población, exclusión so- cial, mujeres, ciudades y temas similares. El club de los países del G-7 se ha autodesignado supervisor de la economía global, permitiendo, por si acaso, que Rusia mire por la ventana e indicando al Fondo Monetario In- ternacional y al Banco Mundial que mantengan la disciplina en los merca- dos financieros y las divisas, tanto global como localmente. La OTAN, después de la guerra fría, ha surgido como el núcleo de una poderosa fuerza militar para vigilar el nuevo desorden mundial. El TLC está afian- zando la integración económica del hemisferio occidental, con la incorpo- ración potencial de Chile, que desmiente su etiqueta de norte (en las si- glas inglesas). Por otra parte, MERCOSUR está afirmando la independencia de América del Sur, incrementado su comercio con Eu- ropa y no con los Estados Unidos. Varias instituciones internacionales de cooperación del Pacífico tratan de construir una comunidad de intereses, superando la desconfianza histórica que existe entre los principales acto- res del Pacífico asiático (Japón, China, Corea y Rusia). Los países de todo el mundo utilizan las antiguas instituciones, como ASEAN (Asociación de Naciones del Sureste Asiático) o la Organización de la Unidad Afri- cana, o incluso las instituciones postcoloniales, como la Commonwealth británica o el sistema de cooperación francés, como plataformas para esta- blecer empresas en común con una diversidad de objetivos que apenas podrían alcanzar los estados-nación independientes. La mayoría de las valoraciones de este proceso creciente de internacionalízación de las polí- 49 Orstrom Moller, 1995. 50 Berdal, 1993; Rochester, 1993; Bachr y Gordenker, 1994; Dunaher, 1994; Falk, 1995; Kraus y Knight, 1995; supervisión del FMI/Banco Mundial, 1995.
  • 297.
    ¿El estado impotente?297 ticas estatales parecen dudar de la posibilidad de un gobierno global como una soberanía plenamente compartida, pese al interés potencial de la idea. Más bien, el gobierno mundial suele considerarse la convergencia negociada de los intereses y políticas de los gobiernos nacionales51 . Los estados-nación y sus élites son demasiado celosos de sus privilegios para rendir la soberanía, excepto bajo la promesa de beneficios tangibles. Ade- más, según los sondeos de opinión, es muy improbable que, en el futuro previsible, la mayoría de los ciudadanos de un país acepten la integración plena en un estado federal supranacional52 . La experiencia estadouni- dense de construcción de una nación federal es tan específica en la histo- ria que, pese a su atractivo innegable, difícilmente puede ser un modelo para los federalistas de fin de milenio de otras regiones del mundo. Además, la creciente incapacidad de los estados para tratar los pro- blemas globales que tienen repercusión en la opinión pública (desde el destino de las ballenas hasta la tortura de los disidentes en todo el mundo) lleva a que las sociedades civiles tomen en sus manos cada vez más las responsabilidades de la ciudadanía global. De este modo, Amnis- tía Internacional, Greenpeace, Médicos Sin Fronteras, Oxfam y tantas otras organizaciones humanitarias no gubernamentales se han convertido en una importante fuerza en el ámbito internacional en la década de los noventa, atrayendo con frecuencia más fondos, actuando con mayor efi- cacia y recibiendo una mayor legitimidad que los esfuerzos internaciona- les patrocinados por los gobiernos. La «privatización» del humanitarismo global hace cada vez más débil uno de los últimos razonamientos sobre la necesidad del estado-nación53 . En suma, lo que estamos presenciando es, al mismo tiempo, la sobera- nía compartida en la gestión de los principales temas económicos, medio- ambientales y de seguridad, y, por otra parte, el atrincheramiento de los estados-nación como componentes básicos de esta enmarañada red de instituciones políticas. Sin embargo, el resultado de este proceso no es el reforzamiento de los estados-nación, sino la erosión sistémica de su poder a cambio de su perduración. Ello se debe, sobre todo, a que los procesos de conflicto, alianza y negociación constantes hacen a las instituciones in- ternacionales poco efectivas, de tal ^nodo que la mayor parte de su ener- gía política se gasta en el proceso y nx^en el producto, lo cual ralentiza se- riamente la capacidad de intervención de los estados, incapaces de actuar por sí mismos, pero paralizados cuando tratan de hacerlo colectivamente. Es más, las instituciones internacionales, en parte para escapar de esa pa- rálisis, en parte a causa de la lógica inherente a toda burocracia grande, tienden a tener vida propia. Al hacerlo, definen su mandato de tal modo 51 Comisión sobre la Gobernación Global de la ONU, 1995. 52 Orstrom Mollcr, 1995. >3 Guehenno, 1993; Rubert de Ventos, 1994; Falk, 1995.
  • 298.
    :>>n II poderele l;i iilcnfiílml que tienden a suplantar el de sus estados constituyentes, instituyendo de jacto una burocracia global. Por ejemplo, es completamente falso, como las críticas de la izquierda suelen sostener, que el Fondo Monetario Inter- nacional sea un agente del imperialismo estadounidense o de cualquier imperialismo. Es un agente de sí mismo, movido fundamentalmente por la ideología de la ortodoxia económica neoclásica y por la convicción de ser el baluarte de la mesura y la racionalidad en un mundo peligroso construido sobre esperanzas irracionales. La sangre fría que he presen- ciado personalmente en la conducta de los teenócratas del FMI para ayu- dar a destruir la sociedad rusa en los momentos críticos de la transición en 1992-1995 no tenía nada que ver con la dominación capitalista. Era, como en el caso de África y de América Latina, un honrado y firme com- promiso ideológico de enseñar racionalidad financiera a los pueblos del mundo, como única base sólida para construir una nueva sociedad. Al proclamar la victoria en la guerra fría para el capitalismo liberal (una afrenta histórica para los duros combates de la socialdemocracia contra el comunismo soviético), los expertos del FMI no actúan bajo la guía de los gobiernos que los nombran, o de los ciudadanos que los pagan, sino como cirujanos que desmembran diestramente los restos de los controles políti- cos sobre las fuerzas de mercado. Al hacerlo, pueden despertar un pro- fundo resentimiento entre los ciudadanos de todo el mundo, que sienten el pleno impacto de estas instituciones globales sobre sus vidas, soca- vando a sus estados-nación obsoletos. Así pues, el papel creciente desempeñado por las instituciones inter- nacionales y los consorcios supranacionales en las políticas mundiales no puede equipararse con la desaparición del estado-nación. Pero el precio que pagan los estados-nación por su supervivencia precaria como seg- mentos de redes de estados es el de su pérdida de importancia, con lo que se debilita su legitimidad y, en última instancia, se fomenta su impo- tencia. IDENTIDADES, GOBIERNOS LOCALES Y DECONSTRUCCIÓN DEL ESTADO- NACIÓN El 25 de diciembre de 1632, el Condeduque de Olivares escribió a su rey, Felipe IV: Tenga V. Majd. por el negocio más importante de su Monarquía el hacerse rey de España; quiero decir, señor, que no se contente V. Majd. con ser rey de Portugal, de Aragón, de Valencia, conde de Barcelona, sino que trabaje y piense con con- sejo maduro y secreto por reducir estos reinos de que se compone España al estilo y leyes de Castilla, sin ninguna diferencia en todo aquello que mira de dividir lími- tes, puertos secos, el poder de celebrar cortes de Castilla, Aragón y Portugal en la
  • 299.
    ¿El estado impotente?299 parte que quisiere, a poder introducir V. Majd. acá y allá ministros de las naciones promiscuamente [...] que si V. Majd. lo alcanza será el príncipe más poderoso del mundo54 . El rey siguió su consejo, con lo que indujo un proceso que acabó lle- vando a la revuelta de los Segadores en Cataluña, a la revuelta contra el estanco de la sal en el País Vasco y a la rebelión e independencia final de Portugal. Al mismo tiempo, también puso, en el proceso, los cimientos del estado-nación español moderno y centralizado, si bien de una manera tan precaria que provocó casi tres siglos de levantamientos, represiones, guerras civiles, terrorismo e inestabilidad institucional55 . Aunque el es- tado español, hasta 1977, representaba una situación extrema de homoge- neidad impuesta, la mayoría de los estados-nación modernos, sobre todo el estado revolucionario francés, se han construido sobre la negación de las identidades históricas/culturales de sus constituyentes en beneficio de la identidad que mejor se acopla a los intereses de los grupos sociales do- minantes que se encuentran en los orígenes del estado. Como sostuve en el capítulo 1, el estado, no la nación (definida cultural o territorialmente, o de ambos modos), creó el estado-nación en la Edad Moderna56 . Una vez que se establecía una nación, bajo el control territorial de un estado dado, la historia compartida sí indujo lazos sociales y culturales, así como intereses económicos y políticos, entre sus miembros. No obstante, la re- presentación desigual de intereses sociales, culturas y territorios en el es- tado-nación sesgó las instituciones nacionales hacia los intereses de las élites que lo originaron y su geometría de alianzas, abriendo paso a crisis institucionales cuando las identidades sometidas, arraigadas en la historia o restauradas ideológicamente, fueron capaces de movilizarse para obte- ner una renegociación de su contrato nacional histórico57 . La estructura del estado-nación presenta una diferenciación territo- rial que, al compartir o no compartir los poderes, expresa alianzas y opo- siciones entre los intereses sociales, las culturas, las regiones y las nacio- nalidades que componen el estado. Como aduje en otro lugar58 , la diferenciación territorial de las instituciones estatales explica en buena medida el misterio aparente de por qué los estados suelen estar goberna- dos en nombre de los intereses de una minoría, aunque no se basen nece- sariamente en la opresión. Los grupos soQÍales subordinados y las mino- rías culturales, nacionales y regionales sí tienen acceso al poder en los niveles inferiores del estado, en los territorios donde viven. Así pues, 54 Citado por Elliot y De la Peña, 1978, pág. 95. 55 Alonso Zaldívar y Castells, 1992. 56 Norman, 1940; Halperin Donghi, 1969; Tilly, 1975; Gellner, 1983; Giddens, 1985; Ru- bert de Ventos, 1994. 57 Hobsbawm, 1990; Blas Guerrero, 1994. 58 Castells, 1981.
  • 300.
    ton El poillTlie 1II illflllill.nl surge una geometría compleja en la relación entre el estado, las clases so- ciales, los grupos sociales y las identidades presentes en la sociedad civil. En cada comunidad y en cada región, las alianzas sociales y su expresión política son específicas, correspondiendo a la relación de poder local/re- gional existente, la historia del territorio y su estructura económica espe- cífica. Esta diferenciación de alianzas de poder según las distintas regio- nes y comunidades es un mecanismo esencial para mantener en equilibrio, en general, los intereses de diversas élites que se benefician conjuntamente de las políticas del estado, si bien en proporciones, di- mensiones y territorios diferentes59 . Los notables locales y regionales in- tercambian el poder en su territorio por su fidelidad a las estructuras de dominación nacional, donde los intereses de las élites nacionales o globa- les son más fuertes. Los notables locales son los intermediarios entre las sociedades locales y el estado nacional: son, al mismo tiempo, negocian- tes políticos y jefes locales. Como los acuerdos que se alcanzan entre los actores sociales en los gobiernos locales no suelen corresponder a las alianzas políticas que se establecen entre los diversos intereses sociales en el ámbito nacional, el sistema de poder local no se desarrolla fácil- mente a lo largo de líneas de partido estrictas, ni siquiera en la situación europea de democracias dominadas por los partidos. Las alianzas socia- les locales y regionales suelen ser acuerdos específicos, articulados en torno al liderazgo local. Así pues, los gobiernos locales y regionales son, al mismo tiempo, la manifestación del poder estatal descentralizado, el punto de contacto más cercano entre el estado y la sociedad civil, y la ex- presión de identidades culturales que, aunque hegemónicas en un territo- rio determinado, están escasamente representadas en las élites dirigentes del estado-nación60 . En el capítulo 1 he sostenido que la creciente diversificación y frag- mentación de los intereses sociales en la sociedad red da como resultado su agregación en la forma de identidades (re)construidas. Así pues, una pluralidad de identidades transmiten al estado-nación las aspiraciones, demandas y objeciones de la sociedad civil. La incapacidad creciente del estado-nación para responder simultáneamente a este vasto conjunto de demandas provoca lo que Habermas denomina una «crisis de legitima- ción»61 o, en el análisis de Richard Sennett, «la caída del hombre público»62 , la figura que constituye la base de la ciudadanía democrática. Para supe- rar esta crisis de legitimación, los estados descentralizan algo de su poder a las instituciones políticas locales y regionales. Este movimiento oca- 59 Dulong, 1978; Tarrow, 1978. M Gremion, 1976; Ferraresi y Kemeny, 1977; Rokkan y Urwín, 1982; Borja, 1988; Zic- cardi, 1995; Borja y Castells, 1996. 61 Habermas, 1973. 62 Sennett, 1978.
  • 301.
    ¿El estado impotente?301 siona dos tendencias convergentes. Por una parte, debido a la diferencia- ción territorial de las instituciones estatales, las identidades de las mino- rías regionales y nacionales encuentran su expresión más fácil en los ám- bitos local y regional. Por otra parte, los gobiernos nacionales tienden a centrarse en controlar los desafíos estratégicos planteados por la globali- zación de la salud, la comunicación y el poder, dejando, por lo tanto, que los niveles inferiores de gobierno asuman la responsabilidad de vincularse con la sociedad en la gestión de los asuntos de la vida cotidiana, para re- construir la legitimidad mediante la descentralización. Sin embargo, una vez que tiene lugar esta descentralización de poder, los gobiernos locales y regionales pueden tomar la iniciativa en nombre de sus poblaciones y pueden participar en estrategias de desarrollo frente al sistema global, con lo que acaban entrando en competencia con sus propios estados ma- trices. Esta tendencia aparece en todo el mundo en la década de los no- venta. En los Estados Unidos, la desconfianza creciente hacia el gobierno federal corre parejas con un resurgimiento de los gobiernos locales y es- tatales como lugares de atención pública. En efecto, según las encuestas de opinión de mediados de los años noventa63 , esta relocalización del go- bierno ofrece la vía más inmediata para la relegitimación de la política, ya sea en la forma de populismo ultraconservador, como en el movi- miento de los «derechos de los condados», o en la del renacido Partido Republicano, que construye su hegemonía atacando al gobierno federal64 . En la Unión Europea, aunque se han transferido a Bruselas considera- bles áreas de soberanía, la responsabilidad de muchos asuntos de la vida cotidiana, incluidos, en muchos países, la educación, la política social, la cultura, la vivienda, el medio ambiente y los servicios urbanos, ha pasado a los gobiernos regionales y locales65 . Es más, las regiones y ciudades de Europa se han unido en redes institucionales que sortean a los estados nacionales y constituyen uno de los grupos de presión más formidables, actuando de forma simultánea en las instituciones europeas y en sus go- biernos nacionales respectivos. Además, las ciudades y regiones partici- pan activamente en las negociaciones directas con las empresas multina- cionales y se han convertido en los agentes más importantes de las políticas de desarrollo económico, yaque los gobiernos nacionales están limitados en sus acciones por las regulaciones de la Unión Europea66 . En América Latina, la reestructuración de la política pública para superar la crisis de la década de los ochenta dio un nuevo ímpetu a los gobiernos municipales y estatales, cuyo papel había sido tradicionalmente ensom- 63 Encuesta de opinión pública del Roper Center, 1995. 64 Balz y Brownstein, 1996. 65 Orstrom Moller, 1995. 66 Borja etai, 1992; Goldsmith, 1993; Graham, 1995.
  • 302.
    .MI2 P.l poikikW . itleiilkliul brecido por su dependencia del gobierno nacional, con la importante ex- cepción de Brasil. Los gobiernos locales, provinciales y estatales de Mé- xico, Brasil, Bolivia, Ecuador, Argentina y Chile se beneficiaron, en las décadas de los ochenta y los noventa, de la descentralización del poder y los recursos, y emprendieron una serie de reformas sociales y económicas que están transformando la geografía institucional de América Latina. Al hacerlo, no sólo compartían el poder con el estado-nación, sino, lo que es más importante, creaban la base para una nueva legitimidad política en favor del estado local67 . China está experimentado una transformación fundamental similar, en la que Shanghai y Guandong controlan las principales vías de acceso a la economía global, y muchas ciudades y provincias de todo el país orga- nizan sus lazos propios con el nuevo sistema de mercado. Aunque Pekín parece mantener el control político con mano de hierro, en realidad, el poder del Partido Comunista chino se basa en un delicado equilibrio en- tre el poder compartido y la distribución de riqueza entre las élites nacio- nales, provinciales y locales. Esta articulación central/provincial/local del estado chino en el proceso de acumulación primitiva muy bien puede ser el elemento clave para asegurar una transición ordenada del estatismo al capitalismo68 . Cabe observar una situación similar en la Rusia postcomu- nista. El equilibrio de poder entre Moscú y las élites locales y regionales ha sido crucial para la estabilidad relativa del estado ruso en medio de una economía caótica, como en el caso del reparto de poder y beneficios entre el gobierno federal y los «generales del petróleo» de Siberia Occi- dental; o entre las élites moscovitas y las élites locales, tanto en la Rusia europea como en el Lejano Oriente69 . Por otra parte, cuando las deman- das de una identidad nacional no se reconocieron como se debía y acaba- ron tratándose torpemente, como en el caso de Chechenia, la guerra que siguió fue en buena medida responsable del descarrilamiento de la transi- ción rusa70 . Así pues, del esplendor de Barcelona a la agonía de Grozni, la identidad territorial y los gobiernos locales/regionales se han conver- tido en las fuerzas decisivas en el destino de los ciudadanos, en las rela- ciones entre el estado y la sociedad y en la remodelación de los estados- nación. Una investigación sobre los datos comparativos de la descentralización política parece apoyar el dicho popular según el cual los gobiernos nacionales en la era de la información son demasiado pequeños para manejar las fuerzas globales, pero demasiado grandes para manejar las vidas de la gente71 . Ziccardi, 1991,1995; Laserna, 1992. Cheung, 1994; Li, 1995; Hsing, 1996. Kiselyova y Castells, 1997. Khazhanov, 1995. Borja y Castells, 1996.
  • 303.
    ;,l''l cslmlo impoli'iilr303 LA IDENTIFICACIÓN DEL ESTADO La institucionalización selectiva de la identidad en el estado tiene un efecto indirecto muy importante sobre la dinámica general del estado y la sociedad. A saber, no todas las identidades son capaces de encontrar refugio en las instituciones de los gobiernos locales y regionales. De he- cho, una de las funciones de la diferenciación territorial del estado es mantener el principio de la igualdad universal, mientras organiza su apli- cación como desigualdad segregada. Separados y desiguales es la norma que subyace, por ejemplo, en la vigorosa autonomía local de los gobier- nos locales de los Estados Unidos72 . La concentración de los pobres y las minorías étnicas en el centro de las ciudades estadounidenses o en las banlieues periféricas francesas tiende a establecer un confinamiento es- pacial de los problemas sociales, mientras disminuye el grado de recursos públicos disponibles, precisamente a causa de la autonomía local. La au- tonomía local/regional refuerza territorialmente a las élites e identidades dominantes, mientras despoja a aquellos grupos sociales que no están re- presentados en esas instituciones autónomas de gobierno o que están ais- lados y confinados en un gueto73 . En esas condiciones, pueden tener lu- gar dos procesos diferentes. Por una parte, las identidades que tienden a ser inclusoras utilizan su control de las instituciones regionales para am- pliar las bases sociales y demográficas de su identidad. Por la otra, las so- ciedades locales atrincheradas en una posición defensiva construyen sus instituciones autónomas como mecanismos de exclusión. Un ejemplo del primer proceso es la Cataluña democrática: está gobernada por catalanes en catalán, aunque en la década de los noventa la mayoría de la pobla- ción adulta no nació en Cataluña, ya que tradicionalmente las mujeres catalanas de origen han procreado por debajo de la tasa de reposición. Pero el proceso de integración cultural y asimilación social para los inmi- grantes del sur de España es relativamente suave, de tal modo que sus hijos serán catalanes culturales (véase el capítulo 1). Lo que es impor- tante en este ejemplo es observar cómo una identidad cultural/nacional determinada, ser catalán, utiliza el control del estado local/regional para sobrevivir como identidad, tanto reforzando su posición de negociación frente al estado-nación español como, utilizando su dominio de las insti- tuciones regionales/locales para integraKaJos no catalanes, con lo que los produce como catalanes y reproduce a Cataluña mediante familias susti- tuías. Surge una situación totalmente diferente cuando las identidades e in- tereses que dominan las instituciones locales rechazan la noción de inte- gración, como en las comunidades divididas por la etnia. La mayoría de 72 Blakely y Goldsmith, 1993. 73 Smith, 1991.
  • 304.
    ,11 H IIlindel de In identulml las veces, el rechazo de la cultura oficial es contestado por los excluidos enorgulleciéndose su identidad excluida, como en muchas comunidades latinas de las ciudades estadounidenses o en el caso de los jóvenes bcurs de los guetos franceses de norteafricanos74 . Estas minorías étnicas exclui- das no pretenden acceder al estado local, sino apelar al estado nacional para que sus derechos sean reconocidos y sus intereses defendidos, por encima y contra los gobiernos locales/estatales, como en el caso de las mi- norías estadounidenses que reclaman programas de «acción afirmativa» para paliar siglos de discriminación institucional y social. Sin embargo, el estado-nación, para sobrevivir a su crisis de legitimidad frente a la «mayo- ría», va cediendo más poder y recursos a los gobiernos locales y regiona- les. Al hacerlo, cada vez es menos capaz de igualar los intereses de las di- versas identidades y grupos sociales representados en el estado-nación general. Así pues, el aumento de las presiones sociales amenaza el equili- brio de todo el estado. La creciente incapacidad del estado-nación para responder a tales presiones, a causa de la descentralización de su poder, deslegitima aún más su papel protector y representativo frente a las mino- rías discriminadas. En consecuencia, estas minorías buscan refugio en sus comunidades locales, en estructuras no gubernamentales de autocontrol75 . Así pues, lo que comenzó como un proceso de relegitimación del estado, mediante el paso del poder nacional al local, puede acabar profundizando la crisis de legitimación del estado-nación y la tribalización de la sociedad en comunidades construidas en torno a identidades primarias, como se expuso en el capítulo 1. En el límite, cuando el estado-nación no representa a una identidad fuerte, o no deja espacio para que una coalición de intereses sociales con- siga poder bajo una identidad (re)construida, una fuerza social/política definida por una identidad particular (étnica, territorial, religiosa) puede tomar el estado a fin de hacerlo la expresión exclusiva de esa identidad. Éste es el proceso de formación de los estados fundamentalistas, como la República Islámica de Irán o las instituciones de gobierno estadouniden- ses propuestas por la Coalición Cristiana en la década de los noventa. A primera vista, parecería que el fundamentalismo otorga un nuevo y vigo- roso aliento al estado-nación, en una versión histórica actualizada. Pero, en realidad, es la manifestación más profunda de su defunción. Como ex- puse en el capítulo 1, la expresión del islam no es, y no puede ser, el es- tado-nación (una institución secular), sino la umma, la comunidad de cre- yentes. La umma es, por definición, transnacional y debe alcanzar a todo el universo. Éste es también el caso de la Iglesia católica, un movimiento transnacional y fundamentalista que pretende convertir a todo el planeta al único Dios verdadero, utilizando, cuando es posible, el apoyo de cual- Sánchez Jankowski, 1991; Wieviorka, 1993. Wacquant, 1994; Trend, 1996.
  • 305.
    ,'11 CNllldo llll|»ilrnl305 quicr estado. Ücsdc esta perspectiva, un estado lundamentalista no es un estado-nación, tanto en su relación con el mundo como en su relación con la sociedad que vive en el territorio nacional. Frente al mundo, el estado lundamentalista tiene que maniobrar, en alianza con otros aparatos de creyentes, sean estados o no, hacia la expansión de la fe, hacia la recons- trucción de las instituciones nacionales, internacionales y locales en torno a los principios de la fe: el proyecto fundamentalista es una teocracia global, no un estado nacional religioso. Frente a la sociedad definida por el territorio, el estado fundamentalista no pretende representar los inte- reses de todos los ciudadanos y de todas las identidades presentes en él, sino ayudar a esos ciudadanos, en sus distintas identidades, a encontrar la verdad de Dios, la única verdad. Por lo tanto, el estado fundamenta- lista, aunque desencadena la última oleada de poder absoluto del estado, lo hace, en realidad, negando la legitimidad y durabilidad del estado- nación. Así pues, la danza de la muerte actual entre identidades, naciones y estados deja, por una parte, estados-nación vacíos de historia que van a la deriva en el altamar de los flujos globales de poder; y por la otra, identidades nacionales atrincheradas en sus comunidades o movilizadas por la conquista de un estado-nación asediado; en medio, los estados lo- cales se esfuerzan por reconstruir la legitimidad e instrumentalidad nave- gando por las redes transnacionales e integrando a las sociedades civiles locales. Ilustremos el significado concreto de esta proposición centrándonos en la evolución reciente de dos importantes estados-nación que sufren (como muchos otros del mundo) una crisis estructural en la década de los noventa: México y los Estados Unidos. CRISIS CONTEMPORÁNEAS DE LOS ESTADOS-NACIÓN: EL ESTADO PRIÍSTA MEXICANO Y EL GOBIERNO FEDERAL DE LOS ESTADOS UNIDOS EN LA DÉCADA DE LOS NOVENTA El análisis de la crisis del estado-nación, como se presenta en este ca- pítulo, puede resultar más claro ilustrándolo con un sucinto estudio de crisis específicas. Sin embargo, el lector debe tener en cuenta que las ob- servaciones e interpretaciones que se presentan aquí no pretenden ser es- tudios completos de crisis del estado, dados los límites de este capítulo, aun cuando se basen en un conocimiento empírico del tema. De una am- plia gama de posibilidades a lo largo de todo el mundo, he seleccionado, en parte por razones de conocimiento personal, dos casos importantes. En primer lugar, el estado priísta mexicano, porque, tras haber sido uno de los regímenes políticos más estables del mundo durante cerca de seis dé- cadas, se desintegró en unos cuantos años bajo el impacto combinado, se-
  • 306.
    M)(< 11 poderde l.i klcnlidiid gún sostengo, de la globalización, la identidad y una sociedad civil trans- formada. En segundo lugar, considero importante explorar los efectos ac- tuales de los procesos descritos más arriba sobre el gobierno federal de los Estados Unidos, aun cuando sea un caso excepcional debido al ta- maño de su economía, la flexibilidad de su política y el alto grado de des- centralización de la estructura estatal. Porque es precisamente esta excep- cionalidad76 la que hace pertinente desde el punto de vista analítico la observación del estado-nación estadounidense, pues SÍ hasta un estado con un alcance global, arraigado en un federalismo flexible, entra en crisis como consecuencia de las tendencias actuales presentadas en este capítulo, cabría considerar que el análisis propuesto tiene un valor general. TLC, Chiapas, Tijuana y la agonía del estado priísta11 Tras dos décadas de inestabilidad postrevolucionaria, México pasó a construir uno de los estados más efectivos, si no más democráticos, del mundo. Se organizó en torno al que acabó conociéndose como el Partido Revolucionario Institucional (PRI), resaltando de forma literal el pro- yecto político de institucionalizar la revolución de 1910-1917 en la diversi- dad de sus actores e ideales. El estado priísta fue capaz de someter a los centros de poder competidores que condicionaban la política latinoameri- cana en la mayoría de los países de la región: el ejército y la Iglesia cató- lica. Sobrevivió diestramente a su conexión íntima e inexcusable con los Estados Unidos, manteniendo vivo el nacionalismo mexicano y afir- mando la autonomía política mientras disfrutaba, en general, de buenas relaciones con su poderoso vecino. Se las arregló para construir una fuerte identidad nacional indígena, tendiendo un puente a la memoria de las civilizaciones precolombinas, mientras mantenía en la marginación y el olvido a su 10% de población india. También logró fomentar un consi- derable crecimiento económico entre 1940 y 1974, para crear la duodé- cima mayor economía del mundo en los años noventa. Y con la excepción de los asesinatos ordenados por los terratenientes y caciques, las matan- zas políticas ocasionales (por ejemplo, Tlatelolco en 1968) y algunas ac- ciones limitadas de las guerrillas izquierdistas, la violencia era rara en la 76 Lipset, 1996. 77 El análisis de México presentado aquí se basa en tres conjuntos de fuentes: a) periódi- cos y revistas mexicanos y de otros países, así como la Revista Mexicana de Sociología; b) di- versas fuentes publicadas, que incluyen Mejía Barquera et al, 1985; Berins Collier, 1992; Gil et al., 1993; Cook et al., 1994; Partido Revolucionario Institucional, 1994; Trejo Delarbre, 1994a,b; Aguirre etal, 1995; Business Week, 1995c; Golden, 1995; Márquez, 1995; Pérez Fer- nández del Castillo et al., 1995; Summers, 1995; The Economist, 1995b,c; Tirado y Luna, 1995; Woldenberg, 1995; Ziccardi, 1995; Moreno Toscano, 1996; y c) mi conocimiento perso- nal de México después de veinticinco años de estudio regular de ese país.
  • 307.
    ¿El estado impolcntc?307 política mexicana. En efecto, la transmisión del poder de un presidente a otro era ordenada, predecible e incuestionable. Cada presidente desig- naba a su sucesor y salía de la escena política para siempre. Y cada presi- dente traicionaba a su predecesor, pero nunca lo criticaba ni investigaba sus acciones. La extendida corrupción sistémica era ordenada, seguía unas reglas y, en realidad, era un importante elemento estabilizador en la política mexicana: cada presidente renovaba la distribución de los cargos políticos en toda la estructura del estado, lo que llevaba a decenas de mi- les de nombramientos cada seis años. Mientras estaban en el cargo, los nombrados tenían la posibilidad de beneficiarse personalmente de su po- sición, bajo formas diferentes. Esta rotación colectiva de élites políticas, en un sistema muy beneficioso, aseguraba la disciplina colectiva, ya que cada uno esperaba su oportunidad, que probablemente llegaría siempre que se respetaran las reglas del juego. El castigo por romper las reglas de la disciplina, el silencio, la paciencia y, sobre todo, la jerarquía, era el exi- lio eterno de toda posición importante de poder y riqueza en el país, in- cluida la presencia en los medios de comunicación y los cargos académi- cos significativos. Dentro del PRI, diferentes fracciones políticas (camarillas) competían por el poder, pero nunca rompían la disciplina co- lectiva de partido y nunca objetaban la autoridad del presidente, quien decidía en última instancia toda disputa. Pero la clave de la estabilidad so- cial y política del estado mexicano estaba en el elaborado sistema de co- nexiones entre el PRI y la sociedad civil. Se basaba en la incorporación orgánica de los sectores populares, sobre todo mediante los sindicatos (Confederación de Trabajadores Mexicanos, CTM), que controlaban a la clase obrera; la Confederación Nacional Campesina (CNC), que contro- laba a los campesinos, en su mayoría en un sistema de uso comunal de la tierra de propiedad estatal (ejidos), establecido por la revolución agraria; y la Confederación Nacional de Organizaciones Populares (CNOP), que trataba de organizar a sectores populares heterogéneos, aunque con mu- cho menor éxito. Este sistema de clientelismo político no se basaba, en su mayor parte, en la manipulación y la represión, sino en la entrega real de puestos de trabajo, salarios, subsidios sociales, bienes (incluida la tierra) y servicios (incluidos los servicios urbanos) en un amplio plan populista. La burguesía mexicana y el capital extranjero estaban esencialmente exclui- dos del sistema de poder, aunque el PRI solía representar sus intereses, puesto que sin duda era un partido pro capitalista, si bien en una versión nacional populista. En efecto, la mayoría de los grupos empresariales, con la excepción del grupo autónomo de Monterrey, eran fruto del estado mexicano. Por último, y menos importante, las elecciones se amañaban sistemáticamente mediante fraude e intimidación cuando era necesario. Pero, en la mayoría de los casos, el PRI habría ganado (aunque no en to- dos los casos y en todas las elecciones, como sucedía) debido a la efectivi- dad de un sistema populista fraguado en la sociedad mediante redes, fa-
  • 308.
    M)H lil po d l T llí' l.'l illl'lllillilíl milismo y lealtades personales en una cadena vertical de reciprocidades que abarcaban todo el país. En este sentido, el sistema priísta no era sólo un régimen político, sino la propia estructura del estado mexicano, según existía en el siglo xx. Luego, todo se vino abajo en menos de una década, entre mediados de los años ochenta y mediados de los noventa. Incluso en el caso impro- bable de que el primer presidente mexicano del siglo xxi fuera de nuevo un candidato del PRI, presidiría un estado muy diferente, puesto que el sistema político descrito ya se ha derrumbado. En 1994, el primer año de existencia legal del TLC, expresión institucional de la globalización plena de la economía mexicana, tuvieron lugar los siguientes hechos: los zapa- tistas se sublevaron en Chiapas, el primer día del año; el candidato presi- dencial del PRI, Luis Donaldo Colosio, fue asesinado (la primera vez que sucedía algo así en medio siglo); el peso mexicano se derrumbó y México casi incumple el pago de sus obligaciones, a pesar del respaldo sin prece- dentes de los Estados Unidos y del FMI, enviando ondas sísmicas a toda la economía mundial; el secretario general del PRI, José Francisco Ruiz Massieu (cuya primera esposa eran hermana del presidente Salinas) fue asesinado y su hermano, procurador general de la república suplente, fue declarado sospechoso de encubrir el asesinato y huyó del país; Raúl Sali- nas, hermano del entonces presidente Carlos Salinas y estrecho colabora- dor en los negocios presidenciales, fue acusado de dirigir el asesinato de Ruiz Massieu y encarcelado; las conexiones de Raúl Salinas con los cárte- les de la droga y con el blanqueo de miles de millones de dólares salieron a la luz pública; el presidente Carlos Salinas, unos días antes de dejar el cargo en diciembre de 1994, rechazó todas las fechorías de que se le acu- saba, manteniendo una huelga de hambre de veinticuatro horas y, tras re- cibir el consuelo cortés de su sucesor, el presidente Zedillo, dejó el país; su partida abrió, por primera vez hasta entonces, un aluvión de denuncias públicas y acusaciones recíprocas de políticos mexicanos de todas las fac- ciones, incluidos antiguos presidentes, que decidieron jugarse el todo por el todo. Aunque las elecciones presidenciales de agosto de 1994 las ganó el PRI, en un proceso electoral relativamente limpio, el miedo generali- zado a la inestabilidad y la violencia si este partido resultaba derrotado fueron cruciales para la victoria. Los resultados electorales en las eleccio- nes estatales, municipales y al Congreso celebradas con posterioridad in- dicaron una clara tendencia ascendente de los votos hacia la oposición conservadora, el Partido de Acción Nacional (PAN) y hacia los críticos de izquierda organizados en torno al Partido de la Revolución Democrá- tica (PRD). El presidente Zedillo cedió una parte considerable de control sobre la máquina electoral, nombró a independientes y miembros del PAN para altos cargos de su gobierno y parecía estar preparado para ser el presidente de la transición hacia un tipo diferente de régimen y, quizás, de estado. Pero el PRI parecía pensar otra cosa. En noviembre de 1996,
  • 309.
    /,lil i'sliiilo iiiipniciilrV30l > rechazó el consenso con los otros partidos sobre ley de la reforma política. En julio de 1997, el PRI perdió, por primera vez, la mayoría absoluta en la Cámara de representantes, el PAN se hizo con varios gobiernos regionales y, sobre todo, el líder del PRD, Cuauhtémoc Cárdenas, se convirtió en el primer alcalde (regente) elegido por el pueblo en Ciudad de México. El futuro político de México es aún incierto, con las fuerzas políticas y los dirigentes políticos de varios orígenes e ideologías buscando posicio- nes de cara a la nueva era política. La única certeza es que el PRI ha fina- lizado su curso histórico78 . Y la pregunta es por qué y cómo este impor- tante acontecimiento político se relaciona con el argumento general, presentado aquí, sobre la crisis del estado-nación como resultado de los conflictos inducidos por las contradicciones existentes entre la globaliza- ción y la identidad. La transformación actual de México y la crisis de su estado-nación comenzaron en 1982, cuando México fue incapaz de pagar los intereses de su deuda exterior, pese a que su producción de petróleo se multiplicó justo en el momento en que las dos crisis de suministro de crudo de 1974 y 1979 aumentaron de forma considerable sus precios en el mundo. Des- pués de que el gobierno de López Portillo (1976-1982) terminara con la repentina nacionalización de la banca mexicana, en un intento desespe- rado de reafirmar el control estatal sobre una economía que se interna- cionalizaba rápidamente, las élites políticas y empresariales del país, los Estados Unidos y los intereses empresariales internacionales decidieron, de algún modo (no sé exactamente cómo), que México era un país de- masiado importante para que se dejara que lo gobernaran los populistas tradicionales. Una nueva generación de técnicos, más que políticos, llegó al poder, sustituyendo con economistas, financieros y politólogos forma- dos en los Estados Unidos a los licenciados de la Facultad de Derecho de la Universidad Nacional Autónoma de México, como era la tradición. No obstante, las nuevas élites aún tenían que ser además licenciados de la UNAM y pertenecer al linaje de alguna de las familias políticas tradi- cionales del PRI. En el caso de Carlos Salinas, era la red del anterior presidente Miguel Alemán, vía el padre de Salinas, secretario de Comer- cio en 1958-1964, y el tío de Salinas, Ortiz Mena, secretario de Hacienda entre 1958 y 1982. Miguel de la Madrid, un tecnócrata vinculado a los círculos integristas católicos, fue el presidente de transición, de 1982 a 1988, encargado de poner en orden las finanzas mexicanas y preparar el nuevo equipo de dirigentes jóvenes, técnicamente competentes y osados en política, que crearían un nuevo país y un nuevo estado a partir del PRI: las figuras principales fueron Carlos Salinas, graduado de Harvard, 78 En noviembre de 1996, las elecciones locales de los estados de México e Hidalgo fue ron ganadas arrolladoramente por los partidos de oposición. Las elecciones locales, regiona^ les y legislativas de julio de 1997 infligieron una decisiva derrota al PRI.
  • 310.
    310 El poderde la idcnlidad secretario de Presupuesto, y Manuel Camacho, graduado de Princeton, secretario de Desarrollo Urbano. Pero el programa de austeridad apli- cado por De la Madrid en la década de los ochenta hundió a México en la recesión y rompió el pacto social con los sindicatos y los sectores po- pulares urbanos. Los dirigentes sindicales tuvieron cuidado de no poner en peligro sus privilegios, pero los obreros industriales, los empleados del sector público y las vecindades populares sintieron el dolor de la re- estructuración. Después, en 1985, un terremoto asoló Ciudad de México, derrumbando hogares y empresas, y desatando protestas sociales. Se puso en movimiento una coalición política alternativa, organizada por Cuauhtémoc Cárdenas (hijo del general Cárdenas, el dirigente populista histórico del PRI de los años treinta), atrayendo a la izquierda del PRI, de donde procedía él mismo. El PRI a duras penas sobrevivió a las elec- ciones presidenciales de 1988: Ciudad de México, Guadalajara y Ciudad Juárez votaron contra él. Carlos Salinas, candidato priísta, fue elegido debido al fraude, siendo esta vez la diferencia de votos lo suficiente- mente pequeña como para que éste se convirtiera en el factor decisivo. Salinas, hombre inteligente y de buena formación, entendió el mensaje. Nombró a su antiguo amigo Manuel Camacho regente de Ciudad de Mé- xico y le dejó dar rienda suelta a sus instintos: programas sociales, nego- ciación con la sociedad civil, democratización. El nuevo presidente (con la influyente ayuda del «Rasputín mexicano», el asesor internacional José Córdoba, francés de nacimiento pero de padres españoles) se cen- tró en asegurar la plena integración de México en la economía global. Sus opiniones eran claras: «Contemplamos una intensa globalización económica de los mercados y la revolución del conocimiento y la tecno- logía nos hace vivir, más que nunca, una historia universal única»79 . En efecto, su meta profesional (y candidatura semioficial) para cuando abandonara la presidencia era convertirse en el primer secretario general de la Organización Mundial de Comercio, de reciente institución. En consecuencia, apretó el cinturón de México, redujo abruptamente el gasto público, modernizó la infraestructura de las comunicaciones y las telecomunicaciones, privatizó la mayoría de las empresas públicas, inter- nacionalizó la banca, liberalizó el comercio y abrió el país a la inversión extranjera. Mientras que los niveles de vida cayeron en picado para la mayoría de la gente, la inflación se redujo considerablemente, la econo- mía mexicana creció de forma sustancial, las exportaciones se incremen- taron y afluyó la inversión extranjera, de tal modo que en 1993 México se convirtió en el país con la mayor cantidad de inversión extranjera di- recta del mundo. Las reservas de divisas se acumulaban de prisa. Los pa- gos de la deuda externa estaban bajo control. Funcionaba la globaliza- ción. Salinas también lanzó un ataque sin precedentes contra los Citado por Berins Collier, 1992; pág. 134.
  • 311.
    ¿Bl csljiclo ¡inpolfiik/311 dirigentes sindicales corruptos (en realidad, un aviso para toda la organi- zación sindical) y prometió luchar contra la corrupción y el tráfico de drogas, aunque, en esos temas, la historia puede que juzgue pronto sus logros reales. En el proceso, redujo de forma espectacular los salarios reales de los obreros mexicanos y empobreció a grandes sectores de la población. También lanzó un programa nacional de solidaridad, Prona- sol, dirigido por uno de sus colaboradores más cercanos, Luis Donaldo Colosio, mientras que encargaba a Camacho ocuparse de los inquietos habitantes de Ciudad de México y a Ernesto Zedillo, de modernizar el sistema educativo. Contra el telón de fondo de un gran sufrimiento hu- mano, la economía mexicana fue transformada en unos años, hasta el punto de que los Estados Unidos y los inversores internacionales deci- dieron que había llegado el momento de licenciar a México, dando la bienvenida a esta nación de más de 90 millones de habitantes al Club del Primer Mundo (la OCDE), aun cuando más del 50% de sus ciudadanos estuvieran viviendo por debajo del umbral de pobreza y en torno a un 30% en la pobreza absoluta. La firma del TLC, en 1993, fue la cota más alta de esta estrategia de integración de México en la economía mundial. Era el momento del triunfo de Salinas. También era el momento de de- signar quién sería el próximo presidente. En lugar de elegir a Camacho, el más fuerte y popular de su círculo interno, se decidió por Colosio, otro joven técnico que, aunque no pertenecía a la vieja guardia del PRI, era presidente del partido y considerado más abierto al compromiso por el aparato. Resulta irónico que el mejor amigo de Camacho en el PRI, Ruiz Massieu, fuera el secretario general del partido. Pero estaba allí pre- cisamente para combatir a los «dinosaurios», la vieja guardia. Camacho se sintió contrariado por su relegación, tanto por razones personales como políticas, y, por primera vez en la política mexicana, comunicó sus pensa- mientos al presidente y en público. Pero no tuvo opción. A finales de 1993, parecía que todo estaba bajo control y que Salinas había logrado su perestroika precisamente evitando el error que, en su opinión, había co- metido Gorbachov: reformar la política antes de reformar la economía. Entonces, el 1 de enero de 1994, el primer día de la era del TLC, ata- caron los zapatistas. Ya he analizado las causas, las circunstancias y el sig- nificado del movimiento zapatista (capítulo 2), así que sólo voy a conside- rar aquí la repercusión del movimiento en la crisis del estado mexicano. Fue devastadora. No debido a que pusiera realmente en peligro el poder estatal desde el punto de vista militar, sino porque en seguida se convirtió en el grito de unión de una sociedad civil que, en su gran mayoría, estaba herida en lo económico y alienada en lo político. Además, una rebelión genuinamente india y campesina asestaba un importante golpe a la mito- logía del PRI. Los pobres, los campesinos, los indios no eran los benefi- ciarios sometidos y agradecidos de la revolución, sino los excluidos, y lu- chaban por ello. El velo de hipocresía tras el que México había estado
  • 312.
    312 El poderde la idcnlidnd viviendo durante décadas se había rasgado irreversiblemente. El rey es- taba desnudo, al igual que lo estaba el PRI. Segundo acto. Salinas, nervioso por la reacción de Camacho, decidió solicitar de nuevo sus servicios (con propósitos e intenciones que me son desconocidos) para reparar el daño hecho en Chiapas. Camacho fue nom- brado comisionado para la paz del presidente. Su hábil negociación conci- liatoria y la popularidad de los zapatistas desató una nueva ronda de intri- gas en el PRI a comienzos de 1994. Como la campaña de Colosio tardaba en despegar, la posibilidad de que el presidente diera marcha atrás a su decisión y nombrara a Camacho en vez de Colosio se convirtió en un ru- mor generalizado. Colosio, el candidato presidencial, un teenócrata capaz y bien intencionado (planificador regional formado en la Universidad de Pensilvania), no era miembro de la vieja guardia. El aparato del partido ya estaba tenso por el nombramiento de Colosio, pero Camacho era de- masiado: astuto políticamente, tenía sus propias conexiones en el partido, apoyo de las bases populares, buenos resultados en los sondeos de opi- nión y una actitud inflexible. Tanto Colosio como Camacho supondrían serios problemas para el aparato del partido si llegaban a convertirse en presidentes. Pero aún peor que uno u otro era la incertidumbre acerca de cuál de ellos sería nombrado e incluso la posibilidad de una alianza entre ambos. A medida que continuaban las negociaciones en Chiapas, y a me- dida que la campaña de Colosio se empantanaba, se intensificaban las tensiones en el aparato del partido, sobre todo en algunos sectores con in- tereses muy concretos y mucho que perder. Una vez alcanzado este punto del análisis, he de introducir un nuevo elemento que, en mi opinión informada, es absolutamente decisivo, aun cuando carezco de pruebas sólidas: el nuevo papel de México en el crimen organizado global. Desde los años sesenta, México cultivó y exportó ma- rihuana, pero no más (en realidad, menos) que algunas zonas de los Es- tados Unidos, como California del Norte y Kentucky. La producción de heroína comenzó a escala limitada en la década de los setenta. Pero el gran cambio se produjo en los años ochenta, cuando la formación de las redes de droga globales y el aumento de la presión estadounidense sobre las rutas caribeñas y centroamericanas llevó a los cárteles colombianos a compartir parte del comercio vinculado con los Estados Unidos con los cárteles mexicanos, proporcionándoles una cantidad de cocaína equiva- lente a la que fueran capaces de pasar de contrabando a los Estados Uni- dos al servicio de los colombianos. El tráfico se disparó y se organizaron poderosos cárteles mexicanos: en Tamaulipas y en el Golfo, en torno a García Ábrego; en Ciudad Juárez, en torno a Amado Carrillo; en Ti- juana, en torno a los hermanos Arellano Félix, entre otros. Añadieron el provechoso cultivo de la heroína y su tráfico. Luego, las anfetaminas. Después, todo. En miles de millones de dólares. Para trabajar de forma prudente y profesional, siguieron el modelo de Cali y no el de Medellín.
  • 313.
    ¿El estado impotente?31.1 Evitar las muertes innecesarias, ser discretos. Ser fríos, eficientes, com- prar a quien se necesite: policía, investigadores de drogas, jueces, fiscales, cargos locales y estatales y jefes del PRI lo más elevados posible. Cada dólar invertido en corrupción es rentable porque crea una red que, al ex- tenderse, multiplica el respaldo y asegura el silencio. Así pues, mientras la nueva élite tecnopolítica de México se afanaba por vincularse a la eco- nomía global, importantes sectores del aparato priísta, junto con autori- dades estatales y locales de diversas filiaciones políticas, establecieron su propia conexión con la «otra economía global». Para 1994, la nueva «ma- fiocracia» ya era lo bastante fuerte como para defender sus intereses, pero no estaba lo bastante establecida como para hacerlos efectivos y desaparecer en las avenidas financieras del blanqueo de dinero. Necesita- ban más tiempo, tiempo predecible. Y tanto Colosio como Camacho eran impredecibles y peligrosos para sus intereses. Decidieron matarlos: a Colosio, con una bala; a Camacho, con una campaña de opinión bien organizada que le culpara moralmente del destino de Colosio. Tuvieron éxito. No por casualidad, Colosio fue asesinado en Tijuana. Zedillo, or- ganizador de la campaña de Colosio y uno de los cuatro miembros del círculo interno de Salinas (otro era Pedro Aspe, ministro de Hacienda), tomó su lugar. Es un economista competente y bien formado, graduado de Yale. No obstante, sus conexiones políticas eran tenues y su destreza como político no estaba probada. No es que la conexión criminal se sa- liera plenamente con la suya, pero al menos había cambiado las reglas del juego. Cualquiera que se adentrara en su territorio, lo haría a su pro- pio riesgo. El siguiente de la fila fue el secretario general del PRI, que parecía ir demasiado lejos en la investigación de la muerte de Colosio, aún sin resol- ver cuando se escribió este texto. Esta vez, la pista del asesino del secreta- rio general José Francisco Ruiz Massieu llegó hasta un prominente parla- mentario priísta, hasta el cártel de Tamaulipas y, en última instancia, hasta Raúl Salinas, hermano y estrecho colaborador del presidente. Por extraño que parezca, el hermano de Ruiz Massieu, que era el fiscal espe- cial del estado contra el tráfico de drogas, ha sido formalmente acusado de estar en la nómina de los cárteles. Es demasiado pronto para afirmar más allá de toda duda qué hacía cada cual y, ciertamente, más allá de mi conocimiento y competencia. No obstante, lo que resulta pertinente para el análisis es que, en la decisiva crisis política de 1994, la conexión trafi- cantes de drogas-PRI desempeñó un importante papel en los asesinatos, intimidaciones y encubrimientos que destruyeron las reglas tradicionales del juego político y abrieron el camino para la defunción del estado priísta. Debe destacarse que no era un caso típico de infiltración política de la mafia. Fue el alcance global de estas redes criminales, su implicación en las relaciones entre los Estados Unidos y México, y la participación de los niveles más elevados del estado los que hicieron significativa la crisis
  • 314.
    .114 El poderde la identidad como ejemplo del modo en que la globalización del crimen desestabiliza a estados-nación poderosos y estables. Los asesinatos políticos, la infiltración obvia de elementos criminales en el estado, el desafío de los zapatistas, apoyados por la mayoría de la opinión pública, y los conflictos internos del PRI debilitaron la confianza de los inversores extranjeros en la estabilidad del mercado emergente mexicano. Las salidas de capital comenzaron en marzo de 1994, tras el asesinato de Colosio el 23 de marzo. Pese a ello, Salinas y su secretario Aspe decidieron mantener el tipo de cambio fijo, utilizando las abundan- tes reservas de México para compensar las pérdidas de capital extranjero. Contaban con invertir la tendencia, pero eso no sucedió. Cuando Zedillo tomó el control, el 1 de diciembre de 1994, sintió pánico ante la situación real, reflejada en los libros de contabilidad secretos. Apresuró una deva- luación que empeoró las cosas. La huida de capital que siguió dejó a Mé- xico al borde del incumplimiento de pagos y sacudió los mercados de Buenos Aires y Sao Paulo. El presidente de los Estados Unidos vino al rescate, en el marco del TLC, y llegó a saltarse al Congreso para aportar 20.000 millones como garantía, sacados de las reservas federales. El FMI también arrimó el hombro con un préstamo de 8.000 millones (el más grande jamás concedido) y concertó varios tratos, de tal modo que, a me- diados de 1995, México ya se encontraba con un colchón de 50.000 millo- nes de dólares, a cambio de los cuales perdió para siempre su indepen- dencia económica. Más allá de la reestructuración económica, con su elevado coste so- cial, y los nuevos vínculos con el crimen global, otro elemento esencial en la defunción del estado priísta fue la movilización de la sociedad civil me- xicana, sobre todo en los principales centros urbanos. Esta movilización fue ambigua porque la componían intereses sociales, culturas y proyectos sociales muy diferentes. Unió a importantes sectores de la clase media profesional, que se beneficiaba de las perspectivas de una economía diná- mica, pero anhelaba la democratización, un gobierno limpio y unos lími- tes a la burocracia. Pero también arrojó a la batalla contra el estado priísta a los empleados del sector público, que veían amenazada su seguri- dad; a los barrios populares urbanos, temerosos del desmoronamiento de los mecanismos de redistribución de tierra y servicios; a los estudiantes, que se movilizaron en torno a símbolos renovados de cambio social; y a los pobres, millones de ellos, en las ciudades y el campo, que luchaban por sobrevivir por todos los medios. Y aunque el escepticismo político va en ascenso, y no muchos mexicanos creen verdaderamente que su destino dependa de la alternancia de los partidos políticos, existe consenso sobre la incapacidad absoluta del estado priísta. La desintegración de la legiti- midad populista equivale al fin de las alianzas orgánicas populistas, que constituyen el núcleo del sistema. El limitado esfuerzo democratizador emprendido durante el gobierno
  • 315.
    ¿El estado impotente?31.1 de Salinas tomó la forma de la devolución de poder y recursos a los go- biernos locales y estatales, junto con la tolerancia de las victorias electo- rales de la oposición en diversos estados y ciudades importantes, sobre todo en el norte. La serie de monografías sobre los gobiernos municipales en la década de los noventa, coordinada por Alicia Ziccardi80 , muestra mejoras notables en la administración local, sobre todo en León, Du- rango, Torreón y México D.F., entre otros. No obstante, la repercusión política de estos éxitos relativos fue el debilitamiento aún mayor del es- tado priísta, ya que en todos los casos se estableció una conexión más fuerte entre las administraciones municipales, en muchos casos, en manos de los partidos de oposición, y las sociedades civiles locales. Hasta en Mé- xico D.F., el gobierno municipal del representante presidencial, el regente Manuel Camacho, acabó estableciendo sus propias bases electorales entre la población, sorteando al aparato tradicional del PRI. Así pues, en gene- ral, el esfuerzo por democratizar y descentralizar el poder en los niveles inferiores del estado, mientras el presidente y sus tecnócratas dirigían la economía global, creó una distancia mayor entre todos los segmentos de la población y las dependencias presidenciales. Puesto que la esencia del estado mexicano era la posición divina del presidente mientras ocupaba el cargo, la falta de reverencia general, incluso en los momentos del triunfo de Salinas, tocaba las campanas por uno de los regímenes políticos más duraderos de este siglo. El estado-nación mexicano proseguirá, en un nuevo curso histórico, porque las raíces del nacionalismo están sólidamente plantadas en los co- razones de los mexicanos. Sin embargo, no será el mismo estado-nación creado por el PRI y aunque aún es influyente y hábil, me atrevo a afirmar que cada vez será más impotente. Desde la perspectiva económica, México y el mundo han entrado en una nueva era, de la cual el primero es probablemente un pionero. Larry Summers, uno de los expertos en finanzas internacionales más destaca- dos y actor clave en el relanzamiento mexicano, escribió a finales de 1995, con la perspectiva que proporciona el paso del tiempo: «La crisis de México [en 1994] fue inducida por las innovaciones financieras de los años recientes, y los avances en la tecnología de la información y las co- municaciones hicieron que se propagara de un modo sin precedentes. Luego no es de extrañar que Michel Camdessus, del Fondo Monetario Internacional, la haya definido como la primera crisis del siglo xxi»81 . Ello se tradujo en el hecho de que la política económica mexicana en el futuro, toda clase de política, tendrá que estar estrechamente coordinada con la política económica estadounidense y con los mercados financieros internacionales. 80 Ziccardi, 1991,1995. 81 Summers, 1995, pág. 46.
  • 316.
    u<> I I| » n l v l de l.i HII'IIIHIIKI En cuanto a la política, México habrá de habérselas, do ahora en ade- lante, con la penetración de su aparato estatal, a todos los niveles, por las redes criminales globales. Resulta dudoso que su policía y sistema judicial sean inmunes a esa penetración, con lo cual se hace extremadamente difí- cil la recuperación de la plena autonomía estatal frente al crimen. En efecto, parece que la mayor parte de las revelaciones acerca de las cone- xiones de la droga con el sistema político, incluidas las que se refieren a Raúl Salinas, proceden de la labor investigadora del servicio de informa- ción estadounidense, lo que hace depender de éste a los dirigentes mexi- canos. En la política interna, una sociedad civil más culta y movilizada está experimentando nuevos modos de expresión y organización, en contra- dicción directa con el estado priísta y a menudo más desarrollados en el ámbito local. La globalización y segmentación crecientes de los medios de comunicación están socavando el dominio que el grupo Televisa, un im- perio multimedia aliado tradicionalmente con el estado priísta, tenía so- bre el «infoentretenimiento». Y, simbólicamente, el poder de la identidad, declarado por Marcos y los zapatistas, ha hecho algo más que quitar el velo a la autocomplacencia ideológica de México: ha tendido puentes entre los verdaderos indios, los verdaderos pobres y los sectores urbanos educados en busca de nuevas utopías movilizadoras. En el proceso, la nación mexicana volvió a unirse, esta vez contra el estado priísta. El pueblo contra el estado: la crisis de legitimidad del gobierno federal de los Estados Unidos82 La crisis del estado estadounidense en la década de los noventa es una crisis de legitimidad que, sostengo, va más allá de la corriente libertaria tradicional en la política estadounidense. Se inicia en las profundidades de la sociedad civil, expresando su descontento sobre varios temas distin- tos que convergen en el cuestionamiento del papel, la función y el poder del gobierno federal, afirmado por el Tribunal Supremo desde sus deci- 82 Uno de los mejores relatos sobre los acontecimientos políticos de los Estados Unidos en la primera mitad de la década de los noventa es el realizado por Balz y Brownstein, 1996. Remito a ese libro para fuentes adicionales. Para situar la cultura antigubernamental esta- dounidense en una perspectiva histórica, véanse Lipset, 1996 y Kazin, 1995. Para una útil in- formación complementaria y análisis sobre los asuntos tratados en esta sección, véanse Stan- ley y Niemi, 1992; Davidson, 1993; Bennett, 1994; Black y Black, 1994; Murray y Herrnstein, 1994; Woodward, 1994; Barone y Ujifusa, 1995; Campbell y Rockman, 1995; Greenberg, 1995; Himmelfarb, 1995; Pagano y Bowman, 1995; Roper Center of Public Opinión and Po- lling, 1995; Dionne, 1996; Fallows, 1996. Para una rigurosa crítica sociológica de las tesis de Murray, véase Fischer et al, 1995.
  • 317.
    ¿H cstiulo iiii|nili'iilrVV 317 siones memorables de 1810 y 1819. La repercusión política inmediata de esta desconfianza renovada hacia el gobierno es la creciente influencia de un Partido Republicano reconstruido, claramente inclinado hacia la dere- cha, como proclamó en las elecciones del Congreso y de gobernadores en 1994, y confirmó hasta cierto punto en las del Congreso de 1996 que man- tuvieron al Grand Oíd Party (GOP) en el control de ambas cámaras. No obstante, la influencia de los sentimientos antiestatales va más allá del electorado republicano para abarcar a los votantes independientes, como los representados por Ross Perot, que rechazan en su conjunto el sistema de partidos actual. La postura antiestado también incluye a un creciente número de grupos demócratas, de tal modo que el presidente Clinton, en su discurso de 1996 sobre el estado de la nación, llegó a anunciar «el fin del gran gobierno». En efecto, la reelección de Clinton en 1996 se debió, en buena parte, a que asumió muchos de los temas republicanos contra el estado de bienes- tar y el gasto gubernamental, junto con una postura firme sobre la ley y el orden, y la promesa de conservar los programas sociales para la clase me- dia, con lo que hábilmente pasó a ocupar el centro-derecha del espectro político. Como afirmó Theda Skocpol al comentar los resultados de las elecciones presidenciales de 1996, «independientemente del balance par- tidista, algo del cambio del debate que se registró en 1994 va a permane- cer con nosotros. Es simplemente la idea de que no se puede utilizar al gobierno federal para grandes iniciativas aun cuando los problemas na- cionales sean grandes»8 Además, las elecciones de 1996 registraron una desafección creciente del electorado hacia todos los candidatos políticos: sólo el 49% de los ciudadanos con derecho a voto lo ejercieron y Clinton obtuvo sólo el 49% de ese 49%. Mantener los poderes ejecutivo y legisla- tivo en manos políticas diferentes parece ser el resultado de una voluntad colectiva implícita de reforzar el sistema de controles y equilibrios, de modo que ningún gobierno tenga un poder excesivo. Por el momento, esta fuerte tendencia antiestatal afecta profunda- mente a la política, pero no a la estructura del estado. Pero parece estar camino de transformar la base institucional y el programa político del go- bierno en los Estados Unidos. Si las propuestas aprobadas por el Con- greso republicano en 1995 o la versión modificada de esas políticas llegan a entrar en vigor, como es posible que ocurra, el gobierno federal trasferi- ría a los gobiernos estatales, para el año 2002, la responsabilidad y los fondos para gestionar docenas de importantes programas, incluidos la asistencia social, Medicaid, la formación laboral y la protección medioam- biental, por una cantidad estimada de 200.000 millones de dólares de gasto anual84 . Además, los fondos se proporcionarían como transferencias en Citado por Toner, 1996. Business Week, 1995e.
  • 318.
    <IK El poderde la identidad % 80 i 70 60" 50- 40- 30 20 Gobierno menor/menos servicios 63% 27% Gobierno mayor/muchos servicios 1984 1988 7P" 1992 2/93 6/93 1995 FIGURA 5.4 Actitudes de la opinión pública acerca del tamaño del gobierno y la pres- tación de servicios en los Estados Unidos, 1984-1995 (resultados de la pregunta: «¿Pre- feriría un gobierno menor con menos servicios o un gobierno mayor con muchos servicios?»). Fuente: Encuestas realizadas por ABC News/77ie Washington Post, 1984,1988,1992 y febrero de 1993; y The Los Angeles Times, junio de 1993 y enero de 1995. bloque, de tal modo que la decisión final sobre su uso estaría en las ma- nos de los estados, aunque con algunas condiciones, cuyo contenido es objeto de luchas feroces en el Congreso. El gobierno del presidente Clin- ton también pensaba ceder una responsabilidad creciente a los estados en varias áreas importantes, incluida la política de transportes. Asimismo, los esfuerzos para recortar el déficit presupuestario en siete años, tanto por parte de los republicanos como del presidente Clinton, llevarán a una reducción sustancial del gasto, tanto en el ámbito federal como estatal. El gasto de Medicaid puede reducirse hasta un 30% (esto es, 270.000 millo- nes de dólares) entre 1995 y 2002. Los organismos federales que desem- peñan un importante papel en la regulación del gobierno, como la Agen- cia de Protección del Medio Ambiente y la Comisión Federal de Comunicaciones, probablemente verán muy recortados su poder y finan- ciación. En efecto, la reducción del déficit presupuestario, basada en un razonamiento económico, se ha convertido en la herramienta más pode- rosa para disminuir el gobierno federal, que contabilizó un déficit anual de 203.000 millones de dólares en 1995. El movimiento combinado hacia la devolución del poder a los estados y condados, la desregulación, la pér- dida de derechos a la asistencia social, la reducción drástica del gasto y los
  • 319.
    ¿El eslailo iiii|iniinú-",' 31') créditos, y los recortes de impuestos (incluida la posibilidad, en el futuro, de una auténtica revolución fiscal) están operando una redefinición fun- damental del poder y los objetivos del gobierno federal y, de este modo, del estado estadounidense. Las fuerzas que impulsan esta transformación del papel del gobierno en los Estados Unidos surgen de un rechazo profundo y explícito al go- bierno federal por parte de una gran mayoría de estadounidenses en la década de los noventa (véase la figura 5.4). Balz y Brownstein resumen los datos de los sondeos de opinión y los estudios políticos sobre el tema del modo siguiente: El descontento hacia el gobierno se manifiesta ahora en dos fuertes corrientes. Por una parte, la gran mayoría de los estadounidenses suscriben una crítica popu- lista que ataca a Washington por derrochador, ineficaz, estar al servicio de intere- ses especiales y abarrotado de políticos arteros e interesados que dirían cualquier cosa con tal de ser elegidos. (Este alejamiento populista del gobierno es más fuerte entre los votantes blancos de clase obrera, el mismo grupo que ha afron- tado la mayor presión económica durante las dos últimas décadas). Desde un se- gundo frente, un número menor, pero aún considerable, de estadounidenses cen- suran al gobierno sobre bases ideológicas, como una imponente bestia que todo lo abarca y erosiona la libertad individual y la confianza en uno mismo, oponiéndose a la religión y favoreciendo a las minorías y los pobres. La desconfianza hacia Washington ha resultado ser un ingente obstáculo para los esfuerzos demócratas por recabar apoyo para las nuevas iniciativas gubernamentales, hasta para aque- llas orientadas a combatir la inseguridad económica mediante la extensión de la formación laboral o una asistencia sanitaria garantizada. La hostilidad hacia Was- hington es ahora parte de la cultura estadounidense tanto como la reverencia a la bandera85 . Es precisamente esta divisoria entre la lealtad renovada al símbolo de la nación (la bandera) y la desobediencia creciente a las instituciones fe- derales (Washington) la que caracteriza a una crisis de legitimidad. En el capítulo 2, al tratar los movimientos sociales, analicé breve- mente la sublevación contra el nuevo orden global en los Estados Unidos, adelantando diversas ideas sobre las raíces y características de movimien- tos como la milicia estadounidense, «los derechos de los condados», el movimiento del «uso sensato» y movilizaciones heterogéneas de «patrio- tas» antigubernamentales. En este capítulo, me centro en el impacto de tales movimientos y de tendencias más amplias en la opinión pública so- bre la política y el estado. No cabe reducir los sentimientos antiestatales en la sociedad estadounidense de la década de los noventa a su manifesta- ción más extrema, aunque el movimiento patriota sí compendia los valo- Balz y Brownstein, 1996, pág. 13.
  • 320.
    320 II {xiiki«Ir l.i klcillidml res y la ira expresados en grandes sectores de la sociedad, de los que se hacen eco las diatribas radiofónicas de Rush Limbaugh. Los sentimientos y la política contra el gobierno federal son el punto de convergencia de una vasta gama de tendencias ideológicas, económicas y sociales tan pro- fundamente arraigadas en la relación entre la globalización, la construc- ción de la identidad y la política, no es arriesgado predecir que indepen- dientemente del partido que gane las elecciones en el año 2000, ya sea el GOP o un Partido Demócrata renovado, se verá empujado a un reacondi- cionamiento de las instituciones políticas estadounidenses en el siglo xxi. Una revisión de los principales componentes de este populismo conserva- dor de los años noventa ayudará a comprender la complejidad del pro- ceso y la extensión de la crisis que se cierne en el horizonte, más allá de las variaciones del ciclo político. Una primera y vigorosa tendencia es una nueva clase de populismo económico en reacción contra la marginación de una alta proporción de los trabajadores estadounidenses que sufren el impacto de la reestructu- ración económica global. Los beneficios de las grandes empresas y de la bolsa de valores en 1996 y 1997 fueron los más elevados de la historia, aunque el índice Dow Jones caía bruscamente cada vez que se anunciaba una creación de puestos de trabajo sustancial. La tecnología está indu- ciendo, de forma lenta pero segura, un aumento de la productividad. La mayor parte de las mujeres ahora obtienen ingresos. La creación de pues- tos de trabajo no tiene precedentes (11 millones de nuevos puestos du- rante el gobierno del presidente Clinton). No obstante, la profunda insa- tisfacción e inseguridad son un reflejo del estancamiento o descenso de los niveles de vida para la mayoría de la población, junto con la inestabili- dad estructural introducida en el mercado laboral por el trabajo flexible, la interconexión de las firmas y la creciente dependencia de los modelos de inversión, producción y comercio transnacionales (véase el volumen I). Sin duda, este sentimiento es más contra las grandes empresas que contra el estado y, de hecho, demanda implícitamente una intervención guberna- mental más activa, como en la campaña por el proteccionismo. Pero aviva la ira contra el gobierno federal porque se considera a Washington, acer- tadamente, el gestor de la globalización, sobre todo tras la firma del TLC, que pasó a simbolizar la creciente interdependencia económica de los Es- tados Unidos. Los temas políticos contenidos en este movimiento encami- nan, en potencia, al proteccionismo económico, la restricción de la inmi- gración y la discriminación contra los inmigrantes. Sus implicaciones conducen a una oposición frontal a los intereses empresariales, para los que el libre comercio y el libre movimiento del capital, y de la mano de obra muy cualificada, son esenciales. Ello introduce una contradicción ex- plosiva dentro del Partido Republicano, como se demostró en las prima- rias presidenciales de 1996, con la alarma del liderazgo del GOP ante el éxito inicial de la candidatura populista de Buchanan. También existe una
  • 321.
    ;,E1 estado impotente?321 contradicción similar en el Partido Demócrata, pues la mayor parte de los sindicatos y muchos grupos minoritarios se oponen al TLC y a la plena movilidad de capital y puestos de trabajo en una economía global abierta, agenda que en general apoyan los dirigentes demócratas y sin duda fo- mentan Clinton y Gore. Otra corriente de opinión pública, en parte coincidente con el protec- cionismo económico, es la que propone el aislacionismo, manifestada por una amplia oposición popular a enviar tropas estadounidenses al exterior en ausencia de una amenaza claramente percibida a la seguridad nacio- nal interna, condición que no cumplían Somalia ni Bosnia. Con el desva- necimiento de la Unión Soviética, la lógica de la movilización nacional se perdió en las mentes y los corazones de la gente, y el ejercicio regular de la posición de superpotencia militar, tan atrayente para las élites econó- micas, intelectuales y políticas, no parece justificar el coste ni el sufri- miento. El rechazo a que las tropas estadounidenses presten servicio bajo la bandera de la ONU se convirtió en el punto de encuentro contra el multilateralismo y contra la pérdida de la soberanía estadounidense en la compleja red de instituciones internacionales que caracterizan la era pos- terior a la guerra fría, como la Organización Mundial de Comercio. Una tercera corriente de opinión hace referencia a un amplio rechazo hacia lo que se considera una interferencia del gobierno en las vidas pri- vadas, la familia y las comunidades locales. Es el caso del «movimiento de la escuela en el hogar», frecuentemente asociado con el fundamentalismo cristiano, en el cual los padres se niegan a enviar a sus hijos a la escuela y rechazan la necesidad de un certificado de estudios. O los movimientos de «los derechos de los condados» o «el uso sensato» contra la regulación medioambiental, mezclando la defensa de la autonomía local, sobre todo en el Oeste, con los intereses de las compañías madereras y mineras. O la preocupación creciente y extendida por las amenazas a la intimidad desde el estado informatizado, alimentando tendencias libertarias de diferentes tipos, según los niveles de educación y el contexto social. Los movimientos en favor de los valores familiares y contra el aborto, las campañas antigays y el fundamentalismo religioso (con mucha fre- cuencia de evangélicos blancos) forman la base de una corriente social ex- tensa y diversificada, de la cual, como se mencionó en los capítulos 1 y 2, la Coalición Cristiana es la expresión política más potente y organizada, con un millón y medio de miembros y 1.200 secciones en 50 estados. En efecto, se ha convertido, a mediados de la década de los noventa, en el bloque de votantes más importante del Partido Republicano y en la fuerza decisoria en muchas elecciones locales, estatales y federales, reco- nocida como el equivalente funcional de lo que los sindicatos solían ser en el Partido Demócrata. En principio, el fundamentalismo cristiano no es un movimiento antiestatal. En efecto, su sueño sería ser una teocracia, una nación en la que mora Dios, con un gobierno que aplica las leyes de
  • 322.
    <22 I I(HKICI de lu KICIIIUIIKI Dios, como han hecho en algunas juntas escolares que llegaron a con!ro- lar en California, o en la decisión del Senado de Tennessee en febrero de 1996 de colocar los Diez Mandamientos en las oficinas y las escuelas pú- blicas, requiriendo su observancia. No obstante, bajo el régimen constitu- cional actual de libertad religiosa y separación de la Iglesia y el estado, la reconstrucción de la nación cristiana exige en primer lugar el desmantela- miento del estado secularizado tal como es hoy día. El desarrollo extra- ordinario del fundamentalismo cristiano en la última década en los Esta- dos Unidos y su conversión en una fuerza política bien organizada pueden relacionarse con la reconstrucción de la identidad y con la resis- tencia a la desintegración de la familia tradicional. Es un rechazo del fe- minismo, la liberación gay y el fin del patriarcado. Y de los esfuerzos del gobierno para aplicar las leyes que apoyan la elección de las mujeres, la igualdad de los géneros y la tolerancia cultural. Pero más allá de esa reac- ción, arraigada en la inseguridad personal, hay un intento de reconstruir la identidad y el significado en virtud de un pasado idealizado, el pasado de la familia y la comunidad en una sociedad homogénea que ahora se está reconstruyendo en los nuevos suburbios y en los pueblecitos de una vida rural que se extingue. Esta reacción es especialmente espectacular si se observa contra el telón de fondo del derrumbamiento actual de la fa- milia patriarcal en los Estados Unidos (véase el capítulo 4). La pugna contra la crisis del patriarcado es tan vigorosa como la oposición al nuevo orden económico global en su desafío de los valores liberales y la clase política, deslegitimando, de este modo, al que perciben como su represen- tante, el gobierno federal. La crítica de las leyes e instituciones federales se vuelve aún más viru- lenta cuando se vincula con la hostilidad clasista y racial hacia los pobres y las minorías raciales. Por ello, la deslegitimación selectiva del estado de bienestar, ya combatido por las tendencias económicas, cristaliza el senti- miento popular, las votaciones políticas y la hostilidad antigubernamen- tal. Digo selectivo porque la seguridad social y Medicare (que suponen en torno a los dos tercios del presupuesto del estado de bienestar estadouni- dense) continúan recibiendo el apoyo de una gran mayoría de la pobla- ción, de tal modo que resulta muy difícil reformar el sistema (véase la fi- gura 5.5). Por otra parte, los programas de asistencia social, los subsidios sociales para los pobres, los programas de formación y la acción afirma- tiva para las minorías soportan el ataque de una mayoría que se niega a pagar impuestos para sostener «a los otros» y estigmatiza a los pobres, culpándolos de su conducta, por ejemplo, atribuyendo a los subsidios de la asistencia social el crecimiento exponencial del número de «niños naci- dos de niñas». En las «teorías» presentadas por los asesores académicos del movimiento en contra de la asistencia social, la Inglaterra victoriana y su moralidad rigurosa se convierten en el modelo, y los pobres y las mino- rías son sentenciados a una permanente posición inferior por su coefi-
  • 323.
    ¿líl estado impotente?323 Más Importante: Reducir el déficit federal (%) Evitar recortes del programa (%) Financiación de las artes Programas de asistencia social en general Vales de comida Gasto en defensa Ayuda a los granjeros Préstamos a los estudiantes universitarios Medicaid (programa sanitario federal para los pobres) Subv. a las ciudades para que pongan más policía en las calles Programas de almuerzo escolar Seguridad social Medicare (programa federal para los ancianos) FIGURA 5.5 Actitudes hacia los programas del gobierno federal y la reducción del dé- ficit presupuestario federal en los Estados Unidos, 1995 (resultados de la pregunta: «Para cada uno de los programas siguientes, ¿piensa que es más importante reducir el presupuesto federal o evitar que el programa sea recortado de forma considerable?»). Fuente: Encuesta de Gallup Organization para CNN/tASVl Today, 24-26 de febrero de 1995. cíente intelectual determinado biológicamente86 . Una manifestación más de la ruptura de la solidaridad social es la cólera especial mostrada por los «varones blancos airados» que extienden su rechazo hacia la acción afir- mativa para las mujeres, con lo que provocan una división potencial más entre los ciudadanos desafectos. La movilización de una proporción con- siderable de la sociedad civil contra el estado de bienestar en los Estados Unidos lleva, al mismo tiempo, a la segmentación de la sociedad y al debi- litamiento del estado, cada vez más presionado para que se convierta en un aparato represivo del ascenso de las «clases peligrosas». El hincapié en el voluntariado comunitario y la caridad como sustitutos del estado de bienestar, aunque refuerza la importancia de una sociedad civil solidaria, es sobre todo una pantalla ideológica para no afrontar el abandono cínico de una responsabilidad colectiva con el pretexto de ejercer la responsabi- lidad individual. Murray y Herrnstein, 1994; Himmelfarb, 1995. 29 30 35 43 52 65 66 68 69 77 78
  • 324.
    324 Hl poderde la identidad Todas estas dimensiones de la revuelta de los ciudadanos a veces coin- ciden con los intereses sin restricciones del capitalismo empresarial (como en la crítica de la asistencia social o el ecologismo) y otras veces están en franca oposición a ellos (como en la crítica de la globalización y la flexibi- lidad laboral). Pero, a pesar de ser muy diferentes y provenir de distintas fuentes, todas convergen en una oposición frontal al papel importante del gobierno federal, que caracteriza al estado-nación estadounidense según estaba constituido en el último medio siglo. Pero aclaremos este punto. En su conjunto, el populismo conservador estadounidense de la década de los noventa no es un movimiento liberta- rio y no se hace eco de la tradición del republicanismo antigubernamen- tal. Algunos de sus componentes más importantes, como se ha descrito antes, demandan en realidad políticas muy estatistas, haciendo que el es- tado imponga los valores de algunos segmentos organizados de la socie- dad sobre los individuos y las familias. Éste es sin duda el caso de los fun- damentalistas cristianos, cuya creciente influencia en los gobiernos locales y estatales se considera un medio de imponer la conducta piadosa sobre toda la sociedad que se encuentra bajo su jurisdicción. Igual sucede con las políticas económicas proteccionistas, cuya aplicación plena requeriría un esfuerzo decisivo por parte del gobierno federal para controlar y orientar toda la economía estadounidense. Así pues, la crisis del estado- nación no proviene sólo de la hegemonía cultural de los valores antiestata- les, sino de la convergencia de desafíos de varias ideologías e intereses en el cuestionamiento del gobierno federal de los Estados Unidos, según se ha constituido en la historia, ya sea para reducir radicalmente su papel (liber- tarismo tradicional) o para ocuparlo en nombre de una nueva misión de reconstruir la nación estadounidense bajo la guía de Dios y apartados del nuevo orden global. Por ello, esta crisis de legitimidad, aunque subyace en la «revolución republicana» de 1994, no puede equipararse a ella. Transciende partidos y grupos de votantes, y afecta a los obreros indus- triales tanto como a los granjeros, a los varones airados tanto como a los contribuyentes irritados. Estas corrientes tan diversas y vigorosas suelen organizarse en torno a dos temas que se convierten en la bandera común: rechazar los im- puestos y llevar armas. Al privar al gobierno, y en particular al federal, de los ingresos fiscales, la acción estatal se acaba limitando gradual- mente. En una sociedad y una economía de demandas crecientes frente a las políticas públicas, la reducción de la base impositiva fuerza al es- tado a concentrarse en sus funciones esenciales, sobre todo mantener la ley y el orden y proporcionar la infraestructura de la nueva economía informacional global, mientras paga los intereses de una deuda here- dada de la guerra fría de Reagan. Así pues, se vuelve incapaz de reali- zar las otras funciones y, de este modo, se ve obligado a «dejar en paz a la gente».
  • 325.
    ¿El estado impotente?325 Por otra parte, en opinión de una parte importante de la población, el derecho a llevar armas es el cimiento fundamental de la libertad ciuda- dana, reconocido en la constitución estadounidense. Aunque muchos es- tadounidenses no están de acuerdo con este estado de cosas, el hecho es que hay 300 millones de armas en los hogares estadounidenses y se dis- pone de armamento bélico en el mercado. Poderosas organizaciones y grupos de presión como Americans for Tax Reform, la National Federation of Independent Business y la legen- daria Asociación Nacional del Rifle luchan con éxito para socavar el con- trol del estado sobre el dinero y las armas. Mi Dios, mi familia, mi comu- nidad, mi dinero, mi arma parecen ser los valores que moldean la conciencia y la conducta de una proporción cada vez más importante del pueblo estadounidense, en oposición directa a las reglas, los programas y los funcionarios del gobierno federal y con una hostilidad creciente hacia las empresas globales y el multilateralismo institucional. La difusión de estos temas y actitudes en la sociedad estadouni- dense se ha visto ayudada por la creciente localización, segmentación y diferenciación de los medios de comunicación y por la extensión de la comunicación electrónica interactiva. En este sentido, la clave ha sido la creciente influencia de la radio local, que emite programas de varias emisoras, y la explosión de las charlas y consultas radiofónicas. Entre 1988 y 1995, el número de emisoras especializadas en charlas radiofó- nicas se duplicó, alcanzando 1.200. La nueva tecnología por satélite y la relajación de la reglamentación sobre falsas imputaciones contribu- yeron a su desarrollo e influencia. Rush Limbaugh, la estrella de las charlas radiofónicas, tenía una audiencia semanal de 20 millones en 600 emisoras en todo el país, convirtiéndose así en una fuerza política potencial. En 1994, el nuevo GOP rindió homenaje, en una comida pública, a Limbaugh, el hombre que, más que ningún otro, había po- pularizado la causa del ultraconservadurismo y las posturas antiguber- namentales por todo el país. Además de la radio, el nuevo movimiento populista, como se indicó en el capítulo 2, utilizó todo el potencial de las nuevas tecnologías de la comunicación, incluido Internet, pero tam- bién el fax, para coordinar sus acciones e ideas y para difundirlos en- tre receptores seleccionados y cargos electos. La desmasificación de los medios sorteó los tradicionales canales de control indirecto entre la clase política y la audiencia, desencadenando la difusión de todo tipo de información e ideas, incluidas las más escandalosas, distorsionadas e injustas, entre millones de personas. El límite entre la publicación de lo adecuado y lo inaceptable, establecido cuidadosamente durante dé- cadas por una libertad de prensa en general responsable, quedó irre- versiblemente borroso. Pese a la distorsión de las expresiones de ira, estas tendencias sociales no son caprichos temporales de la opinión pública. Los sondeos de opi-
  • 326.
    »2f> II poderele In iik iilnhid nión disponibles en la década de los noventa muestran su persistencia y su profundidad (véase el capítulo 6). Están arraigadas en importantes transformaciones estructurales, presentadas en este libro, y se procesan en la cultura e instituciones específicas de la sociedad estadounidense. Como escriben Balz y Brownstein: Tras todos estos movimientos de la derecha que se arremolinan e hinchan está el miedo a un mundo que se escapa de control [...] Cuando la economía se re- estructura bajo las presiones de la globalización y de la nueva tecnología, y la estructura cultural de la sociedad se resiente bajo el desmoronamiento de la fa- milia de dos progenitores, estamos en una de esas épocas fen las que gran nú- mero de estadounidenses se sientes desarraigados por acontecimientos que no pueden comprender ni controlar]. «La gente siente que no controla su propia vida», dijo el encuestador republicano Frank Luntz. «Que ya no puede moldear su futuro»87 . Y culpan de ello al estado que han construido durante el último medio siglo, anhelando retomar el control sobre sus vidas en sus comunidades y en sus familias, y separándose del gobierno. En este proceso, son ayuda- dos por un Partido Republicano que había estado fuera del poder parla- mentario durante tres décadas y entonces vio la oportunidad de afirmarlo para las décadas venideras. Pero lo está haciendo surcando las olas de sentimientos antigubernamentales y antiestablishment, así que está ju- gando con fuego. Como concluyen Balz y Brownstein: «Toda la energía intelectual del Partido Republicano se enfoca ahora a encontrar nuevos modos de reducir el ámbito y alcance del gobierno federal»88 . Sin em- bargo, puesto que este partido también representa poderosos intereses empresariales, incorporados a la economía global y a las instituciones in- ternacionales, al convertirse en el instrumento del populismo antiestatal construye una explosiva contradicción interna entre su base popular anti- gubernamental y fundamentalista, y su papel tradicional de representante del capitalismo empresarial y de defensa del establishment. La percepción franca de esa contradicción y la probable desafección consiguiente de una profunda tendencia populista, que transciende las líneas del partido, puede provocar una crisis fundamental en el sistema político estadouni- dense. Muy bien pudiera desestabílizar el cuidadoso equilibrio que los pa- dres fundadores y el Tribunal Supremo habían establecido a lo largo de la historia entre lo local y lo federal, entre el gobierno y la sociedad, lo cual desataría potencialmente la crisis del estado-nación estadounidense. Balz y Brownstein, 1996, pág. 173. Balz y Brownstein, 1996, pág. 295.
  • 327.
    ¿El estado impolrnlc?327 Estructura y proceso en la crisis del estado Destaquemos los elementos analíticos importantes que se derivan de estos sucintos estudios específicos de crisis estatales. Tanto en México como en los Estados Unidos observamos el impacto directo de la globali- zación y la reestructuración capitalista sobre la legitimidad del estado, mediante el desmantelamiento parcial del estado de bienestar, la disolu- ción de las estructuras productivas tradicionales, la inestabilidad laboral creciente, la extrema desigualdad social y la vinculación de los segmentos valiosos de la economía y la sociedad en redes globales, mientras que grandes sectores de la población y del territorio quedan desconectados del sistema dinámico globalizado: todos los procesos que he analizado en el volumen I y que, como hemos visto, cobran su tributo en la capacidad del estado para responder a las demandas sociales y, en definitiva, en la legitimidad del estado. Es más, la estrecha conexión de la economía mexi- cana con la estadounidense, institucionalizada por el TLC, y la vincula- ción electrónica de sus mercados financieros con los mercados globales en tiempo real, hizo que el derrumbamiento del peso en 1994-1995 fuera muy diferente de cualquier crisis económica previa, ejemplificando en realidad, como ya se indicó, «la primera crisis financiera del siglo xxi». Además, en el caso de México, la penetración en el estado de la econo- mía criminal global añade un sesgo pronunciado a la desorganización de las instituciones políticas y a su crisis de legitimidad. En el caso de los Estados Unidos (aún no en el de México), la cri- sis del patriarcado, con sus raíces en la economía informacional y en el desafío de los movimientos sociales, profundizó la inseguridad y el te- mor entre grandes sectores de la población, provocando el alejamiento del estado secular y de las instituciones legales y políticas que se mos- traban receptivas a los derechos de las mujeres. Para un sector significa- tivo de la población, ello condujo al atrincheramiento en la afirmación de Dios, la familia y la comunidad como valores eternos e incuestio- nables. En ambos casos, las crisis estructurales que socavaron la legitimidad del estado interactuaron con el desarrollo de movimientos sociales que, bajo formas específicas para cada sociedad, afirmaban identidades alter- nativas y rechazaban de forma explícita la legitimidad del gobierno fede- ral. Aunque estos movimientos basados en la identidad sólo implicaban a una minoría de activistas, sus demandas y reclamaciones fueron procesa- das por el sistema político y encontraron un eco, hay que admitir que dis- torsionado, en la población en general. Existe una conexión innegable en- tre la repercusión simbólica de los zapatistas y el rechazo generalizado al estado priísta en la sociedad mexicana, poniendo fin al que una vez fue el sistema político más duradero del mundo. En cuanto a los Estados Uni- dos, aunque los patriotas son más un síntoma que una causa, la crisis de
  • 328.
    I.'N II poderele la identidad legitimidad se manifiesta en la amplia desconfianza hacia el gobierno, so- bre todo el gobierno federal, y hacia los políticos y partidos, sobre todo hacia aquellos vinculados con la política establecida. El ascenso de la po- pularidad de los republicanos conservadores a mediados de la década de los noventa está ligado, en buena medida, a su campaña políticamente suicida contra las mismas instituciones del gobierno que quieren con- trolar. En ambos casos, México y los Estados Unidos, los nuevos sistemas de comunicación electrónica han sido decisivos para amplificar la repercu- sión de movimientos relativamente pequeños sobre la opinión pública en general, al alimentar a los medios de comunicación y por su interconexión horizontal sin restricciones. Así pues, existe una conexión empíricamente observable y significa- tiva desde el punto de vista analítico entre la globalización, la informa- cionalización, la reestructuración capitalista, los movimientos basados en la identidad y la crisis de la legitimidad política tanto en el estado mexi- cano como en el estadounidense, si bien con formas diferentes, específi- cas de cada sociedad. Qué es lo primero en la inducción de la causalidad es, desde la perspectiva metodológica, una pregunta errónea, porque la estructura y el proceso interactúan de forma inseparable en la secuencia que lleva a la crisis del estado. Sería difícil imaginar el impacto de los za- patistas en México sin el profundo impacto de la globalización en la eco- nomía y la sociedad. Pero los zapatistas no eran el resultado de la crisis económica: existían antes, en las luchas de los indios y los campesinos apoyadas por los sacerdotes católicos y en la voluntad revolucionaria de los refugiados de los movimientos de la izquierda radical de la década de los setenta. El libertarismo en los Estados Unidos tiene una larga tradi- ción y el aislacionismo es una tentación perenne de un poderoso país del tamaño de un continente, como lo es la tentación opuesta hacia el impe- rialismo. Que uno u otro prevalezca en un periodo histórico particular no está escrito de antemano, ya que el resultado preciso de la interacción en- tre los elementos que he identificado, que constituyen al mismo tiempo la estructura y el proceso, es en buena medida indeterminado. Así que, pese a la revolución republicana de 1994, Clinton volvió a ganar en las eleccio- nes presidenciales de 1996, debido en buena parte a las contradicciones internas del electorado republicano al ser movilizado, al mismo tiempo, en nombre de los intereses empresariales y de los temas del populismo de derechas. No obstante, el propio Clinton, para ganar, tuvo que apartarse mucho de la plataforma demócrata tradicional, con lo que fomentó la dis- tancia entre las esperanzas de muchos demócratas y las realidades de la política. El hecho de que la respuesta social y política al nuevo desorden glo- bal proviniera de «la izquierda» en México y de «la derecha» en los Esta- dos Unidos se debe, en parte, a la especificidad histórica de los sistemas
  • 329.
    ¿El estado impolcnlc?.129 políticos y, en parte, a las características de la crisis que tenían que sol- ventar. Es decir, puesto que el estado en ambos casos era incapaz de pro- porcionar la protección prometida y, en lugar de ello, se convirtió en el gestor activo del proceso de globalización/reestructuración, el desafío contra el estado se organizó desde fuera de la base de apoyo tradicional a las reformas emprendidas por el gobierno: los demócratas del gobierno profederal en los Estados Unidos; el sistema populista priísta en México. Ello no descarta que, en el futuro, pueda desarrollarse un movimiento de izquierda a favor del estado de bienestar y del gobierno en ambos países, pero tendría que prosperar fuera de los salones de la clase política, de- bido precisamente a su crisis de legitimidad. Esta indeterminación de los procesos políticos no invalida el interés de una comprensión analítica general, porque los materiales que hemos sacado a la luz y sus vinculaciones son la materia de que están hechas las instituciones políticas y los procesos políticos de nuestro tiempo. En cuanto al análisis de la relación que existe entre las fuentes de la crisis del estado y las nuevas formas de lucha y competencia política, es nece- sario considerar, primero, la dinámica específica de los actores políticos en el nuevo paradigma informacional, un ejercicio que intentaré en el ca- pítulo 6. EL ESTADO, LA VIOLENCIA Y LA VIGILANCIA: DEL GRAN HERMANO A LAS HERMANAS PEQUEÑAS ¿Es realmente impotente el estado en la sociedad red? ¿No estamos presenciando, por el contrario, el resurgir de la violencia y la represión por todo el mundo? ¿No se está enfrentando la privacidad a los mayores peligros de la historia humana, debido a la penetración de las nuevas tec- nologías de la información? ¿No llegó el Gran Hermano, como predijo Orwell, en torno a 1984? ¿Y cómo puede ser impotente el estado cuando posee una capacidad tecnológica formidable y controla una cantidad de información sin precedentes?89 Estas preguntas esenciales y habituales mezclan datos contradictorios con una teoría confusa. No obstante, su tratamiento es fundamental para comprender la crisis del estado. En primer lugar, la imaginería del Gran Hermano debe desecharse empíricamente cuando hace referencia a la conexión entre nuestras sociedades y la profecía orwelliana. En efecto, George Orwell muy bien podría haber estado en lo cierto respecto al ob- jeto de su profecía, el estalinismo, no el estado capitalista liberal, si la historia política y la tecnología hubieran seguido una trayectoria dife- rente en el último medio siglo, algo que sin duda estaba dentro del ám- 89 Burnham, 1983; Lyon, 1994.
  • 330.
    .uo T.l pi)dcrde la identidad bito de lo posible. Pero el estatismo se desintegró en contacto con las nuevas tecnologías de la información, en lugar de ser capaz de dominar- las (véase el volumen III), y éstas liberaron el poder de la interconexión y la descentralización, socavando realmente la lógica centralizadora de las instrucciones de un solo sentido y la vigilancia burocrática vertical (véase el volumen I). Nuestras sociedades no son prisiones ordenadas, sino junglas desordenadas. Sin embargo, las nuevas y poderosas tecnologías de la información pueden ponerse al servicio de la vigilancia, el control y la represión por parte de los aparatos del estado (policía, cobro de impuestos, censura, su- presión de la disidencia política y cosas similares). Pero también pueden ser utilizadas por los ciudadanos para mejorar su control sobre el estado, mediante el acceso legítimo a la información de los bancos de datos públi- cos, interactuando con sus representantes políticos por línea telefónica, viendo las sesiones políticas en directo y, finalmente, comentándolas en directo90 . Asimismo, las nuevas tecnologías pueden permitir a los ciuda- danos grabar sucesos, con lo cual proporcionan pruebas visuales de los excesos cometidos, como en el caso de las organizaciones ecologistas glo- bales que distribuyen el poder del vídeo a los grupos locales de todo el mundo para que informen de los delitos medioambientales y, de este modo, presionar a los culpables ecológicos. Lo que hace el poder de la tecnología es reforzar de forma extraordinaria las tendencias arraigadas en la estructura y las instituciones sociales: las sociedades opresivas pue- den serlo más con las nuevas herramientas de vigilancia, mientras que las sociedades democráticas y participativas pueden incrementar su apertura y representatividad distribuyendo más el poder político con el poder de la tecnología. Así pues, el impacto directo de las nuevas tecnologías de la in- formación sobre el poder y el estado es un asunto empírico, sobre el cual los datos son muy diversos. Pero hay una tendencia más profunda y fun- damental en marcha, que debilita realmente el poder del estado-nación: la difusión creciente tanto de la capacidad de vigilancia como del poten- cial de violencia fuera de las instituciones del estado y más allá de las fronteras de la nación. Los informes sobre la amenaza creciente a la intimidad conciernen menos al estado como tal que a las organizaciones empresariales y las re- des de información privadas o, en su caso, las burocracias públicas que si- guen su propia lógica como aparatos, en lugar de actuar en nombre del gobierno. Los estados, a lo largo de la historia, han reunido información sobre sus subditos, muy a menudo mediante medios brutales, rudimenta- rios pero muy efectivos. Sin duda, los ordenadores cambiaron de forma cualitativa la capacidad de cruzar la información, combinando datos so- bre la seguridad social, la salud, el carnet de identidad, la residencia y el Anthes, 1993; Betts, 1995; Gleason, 1995.
  • 331.
    ¡: cMaclo ini|»ilcriU'.'3.M empleo. Pero con la excepción limitada de los países anglosajones, arrai- gados en una tradición libertaria, la gente de todo el mundo, de la Suiza democrática a la China comunista, se ha pasado la vida pendiente de los archivos de información sobre la residencia, el trabajo y cualquier aspecto de su relación con el gobierno. Por otra parte, si es cierto que el trabajo policial se ha visto facilitado por las nuevas tecnologías, también se ha vuelto extraordinariamente complicado por la sofisticación similar, y a veces superior, del crimen organizado en la utilización de las nuevas tec- nologías (por ejemplo, la interferencia de las comunicaciones de la poli- cía, la conexión electrónica, el acceso a los datos informáticos, etc.). La cuestión real es otra: es el acopio de información sobre los individuos por parte de las firmas comerciales y las organizaciones de todo tipo, y la crea- ción de un mercado para esta información. La tarjeta de crédito, más que el carnet de identidad, está acabando con la intimidad. Es el instrumento mediante el cual las vidas de la gente pueden ser clasificadas, analizadas y seleccionadas con fines de mercadotecnia (o chantaje). Y la noción de la tarjeta de crédito como fe de vida en el registro civil debe extenderse a una variedad de ofertas comerciales, desde los programas para pasajeros habituales a los servicios al consumidor de todo artículo posible y la per- tenencia a asociaciones diversas. Más que un «Gran Hermano» opresivo, son una miríada de «hermanas pequeñas» bien intencionadas, que se rela- cionan con cada uno de nosotros de forma personal porque saben quiénes somos. Son ellas las que han invadido todos los ámbitos de la vida. En efecto, lo que hacen los ordenadores es posibilitar la reunión, el procesa- miento y el uso para fines específicos de gran cantidad de información in- dividual, de tal modo que nuestro nombre pueda imprimirse y la oferta, personalizarse o enviarse por correo o transmitirse a millones de indivi- duos. O, en un ejemplo elocuente de la nueva lógica tecnológica, el V-chip, implantado en los televisores estadounidenses en 1997, que per- mite a los hogares programar la censura, de acuerdo con un sistema de códigos que también se implanta en las señales de televisión emitidas desde los canales. Así, se descentraliza la vigilancia en lugar de centrali- zar el control. David Lyon, en su interesante libro sobre el tema, ha insistido en el desarrollo crucial de esta extensión de la vigilancia más allá de las fronte- ras del estado91 . Lo que denomina «el ojo electrónico» es una sociedad de «vigilancia» más que un «estado de vigilancia». Después de todo, éste es el núcleo de la teoría de Foucault sobre los micropoderes, aunque con- fundió a muchos de sus lectores superficiales al denominar «estado» al que, según su propia opinión, en realidad es «el sistema»; es decir, la red de fuentes de poder en varios dominios de la vida social, incluido el poder en la familia. Si, en la tradición weberiana, restringimos el concepto de es- 51 Lyon, 1994.
  • 332.
    332 lil poderde la identidad tado al conjunto de instituciones que ostentan el monopolio legítimo de los instrumentos de la violencia, y por estado-nación, la delimitación te- rritorial de ese poder92 , parecería que, en realidad, estamos presenciando la difusión del poder de vigilancia y violencia (simbólica o física) en la so- ciedad en general. Esta tendencia es aún más evidente en la nueva relación entre el estado y los medios de comunicación. Dada la creciente interdepen- dencia legal y financiera de los medios, el aumento de la capacidad tecnológica pone en manos de los medios la posibilidad de espiar al estado y de hacerlo en nombre de la sociedad o de grupos de interés específicos (véase el capítulo 6). Cuando, en 1991, una emisora de ra- dio española grabó la conversación mantenida a través de teléfonos ce- lulares por dos cargos socialistas, la emisión de sus comentarios, muy críticos con el presidente socialista, desencadenó una crisis política. O cuando, en Inglaterra, el príncipe Carlos y su amiga se recrearon al te- léfono en elaboraciones postmodernas sobre el Tampax y asuntos rela- cionados, la publicación en la prensa amarilla de estas conversaciones conmocionó a la corona británica. Sin duda, las revelaciones de los medios de comunicación, o las murmuraciones, siempre han sido una amenaza para el estado y una defensa de los ciudadanos. Pero las nue- vas tecnologías y el nuevo sistema de medios de comunicación han au- mentado de forma exponencial la vulnerabilidad del estado ante los medios y, por lo tanto, ante el mundo empresarial y la sociedad en ge- neral. En términos históricos relativos, hoy el estado es más vigilado que vigilante. Es más, aunque el estado-nación conserva la capacidad de ejercer la violencia93 , está perdiendo su monopolio porque sus principales contrin- cantes están organizándose en redes transnacionales de terrorismo o gru- pos comunales que recurren a la violencia suicida. En el primer caso, el carácter global del terrorismo (político, criminal o ambos) y de sus redes suministradoras de información, armas y financiación requiere una coo- peración sistémica entre la policía de los estados-nación, de tal modo que la unidad operativa es cada vez más una fuerza policial transnacional94 . En el segundo caso, cuando los grupos comunales, o las bandas locales, renuncian a su pertenencia al estado-nación, el estado cada vez se hace más vulnerable a la violencia arraigada en la estructura social de su socie- dad, como si los estados fueran a verse permanentemente envueltos en una guerra de guerrillas95 . Así, el estado se enfrenta a una contradicción: si no usa la violencia, desaparece como estado; si la utiliza de forma casi 92 Giddens, 1985. 91 Tilly, 1995. 94 Fooner, 1989. 95 Wieviorka, 1988.
  • 333.
    ¿El estílelo mipolrnlcV11.1 permanente, pierde una buena parte de sus recursos y legitimidad, puesto que supondría un estado de excepción interminable. Así que el estado sólo puede aplicarla siempre y cuando esté en juego la supervivencia de la nación o del estado-nación. Debido a la resistencia creciente de las socie- dades a apoyar el uso continuado de la violencia, excepto en situaciones extremas, la dificultad del estado para recurrir a ella, a una escala sufi- ciente para que sea efectiva, conduce a la disminución de su capacidad de hacerlo frecuentemente y, de este modo, a la pérdida gradual de su privi- legio como poseedor de los instrumentos de la violencia. Así pues, la capacidad de vigilancia se difunde en la sociedad, el mo- nopolio de la violencia se ve desafiado por las redes transnacionales no estatales y la capacidad de reprimir la rebelión es erosionada por el co- munalismo y tribalismo endémicos. Aunque el estado-nación aún resulta imponente en su uniforme reluciente y los cuerpos y las almas de la gente siguen siendo torturados de forma rutinaria en todo el mundo, los flujos de información sortean y a veces someten al estado; las guerras terroristas atraviesan las fronteras nacionales; y las turbas comunales agotan a la pa- trulla de la ley y el orden. El estado aún se basa en la violencia y la vigi- lancia, pero ya no posee su monopolio ni puede ejercerlas desde sus lími- tes nacionales. L A CRISIS DEL ESTADO-NACIÓN Y LA TEORÍA DEL ESTADO En su artículo fundamental sobre la democracia, el estado-nación y el sistema global, David Held resume su análisis escribiendo que el orden internacional se caracteriza hoy tanto por la persistencia del sistema del estado soberano como por el desarrollo de estructuras de autoridad plura- les. Las objeciones a ese sistema híbrido son rigurosas. Queda la incógnita de si ofrece soluciones a los problemas fundamentales del pensamiento político mo- derno, que se ha venido preocupando, entre otras cosas, de las razones y la base del orden y la tolerancia, de la democracia y la responsabilidad, y del gobierno legítimo96 . Aunque prosigue ofreciendo su propuesta optimista para legitimar al estado en su reencarnación postnacional, los vigorosos argumentos en contra de la continuidad de la soberanía del estado que adelanta en las páginas precedentes explican su dubitativo renglón final: «Existen buenas razones para ser optimista acerca de los resultados, y pesi- mista» 97 . En este contexto, no estoy seguro de qué significa «opti- 96 Held, 1991, pág. 161. 97 Held, 1991, pág. 167.
  • 334.
    II puilci dela ule-ululad mista» ni «pesimista». No tengo una simpatía particular por los esta- dos-nación modernos que movilizaron a sus pueblos en matanzas masi- vas en el siglo más sangriento de la historia humana, el siglo xx "N . Pero es un asunto de opinión. Lo que realmente importa es que el nuevo sistema de poder se caracteriza, y en eso estoy de acuerdo con David Held, por la pluralidad de las fuentes de autoridad (y, añadiría, de poder), siendo el estado-nación sólo una de ellas. De hecho, ésta pa- rece haber sido la regla histórica, más que la excepción. Como sostiene Spruyt, el estado-nación moderno tenía diversos «competidores» (las ciudades-estado, los pactos comerciales, los imperios)", así como, aña- diría, alianzas militares y diplomáticas, que no desaparecieron, sino que coexistieron con el estado-nación a lo largo de su desarrollo en la Edad Moderna. Sin embargo, lo que parece estar surgiendo ahora, por las razones presentadas en este capítulo, es la pérdida de peso relativo del estado-nación dentro del ámbito de la soberanía compartida que caracteriza al escenario de la política mundial actual. Hirst y Thomp- son, cuya vigorosa crítica de los enfoques simplistas sobre la globaliza- ción resalta la importancia continuada de los estados-nación, recono- cen, no obstante, el nuevo papel del estado: Las formas emergentes de gobierno de los mercados internacionales y otros procesos económicos incluyen a los principales gobiernos nacionales, pero en un nuevo papel: los estados funcionan menos como entidades «soberanas» y más como componentes de un «sistema de gobierno» internacional. Las funciones centrales del estado-nación serán proporcionar legitimidad y asegu- rar la responsabilidad de los mecanismos de gobierno supranacionales y subnacionales m . Es más, aparte de su compleja relación con las expresiones heterogé- neas de poder/representación política, el estado-nación cada vez está más sometido a la competencia más sutil y más preocupante de fuentes de po- der que no están definidas y, a veces, son indefinibles. Son redes de capi- tal, producción, comunicación, crimen, instituciones internacionales, apa- ratos militares supranacionales, organizaciones no gubernamentales, religiones transnacionales y movimientos de opinión pública. Y por de- bajo del estado están las comunidades, las tribus, las localidades, los cul- tos y las bandas. Así que, aunque los estados-nación continúan exis- tiendo, y seguirán haciéndolo en el futuro previsible, son, y cada vez lo serán más, nodos de una red de poder más amplia. Con frecuencia se en- frentarán a otros flujos de poder de la red, que contradicen directamente el ejercicio de su autoridad, como les sucede en la actualidad a los ban- 98 Tilly, 1995. 99 Spruyt, 1994. 100 Hirst y Thompson, 1996, pág. 171.
  • 335.
    ¿lil CNlilllo Il1l|llll('lllc''115 eos centrales siempre que tienen la ilusión de oponerse al asedio de una divisa determinada por los mercados globales. O, a este respecto, cuando los estados-nación, juntos o por separado, deciden erradicar la produc- ción, el tráfico o el consumo de drogas, una batalla perdida repetidas ve- ces durante las dos últimas décadas en todas partes, excepto en Singapur (con todas las implicaciones que conlleva esta observación). Los estados- nación han perdido su soberanía porque el propio concepto de sobera- nía, desde Bodin, supone que no es posible perder «un poquito de sobe- ranía»: precisamente éste era el casus belli tradicional. Los estados-nación puede que retengan su capacidad de toma de decisiones, pero, al convertirse en partes de una red de poderes y contrapoderes, son en sí mismos impotentes: dependen de un amplio sistema de aplicación de la autoridad y la influencia de múltiples fuentes. Esta afirmación, que creo que es coherente con las observaciones y elaboraciones presentadas en este capítulo, tiene serias consecuencias para la teoría y la práctica del estado. Durante décadas, la teoría del estado ha estado dominada por el de- bate entre el institucionalismo, el pluralismo y el instrumentalismo en sus diferentes versiones101 . Los institucionalistas, en la tradición webe- riana, han destacado la autonomía de las instituciones del estado, si- guiendo la lógica interna de un estado determinado en la historia una vez que los vientos de ésta plantaron sus semillas en un territorio que se convirtió en su base nacional. Los pluralistas explican la estructura y la evolución del estado como el resultado de una variedad de influen- cias en una (re)forma incesante de éste, de acuerdo con la dinámica de una sociedad civil plural, en una práctica constante del proceso constitu- cional. Los instrumentalistas, marxistas o historicistas consideran al estado la expresión de los actores sociales que persiguen sus intereses y logran el dominio, ya sea sin oposición dentro del estado («el comité ejecutivo de la burguesía») o como el resultado inestable de luchas, alianzas y compro- misos. Pero, como Giddens, Guehenno y Held sostienen, en todas las es- cuelas de pensamiento, la relación entre el estado y la sociedad, y, de este modo, la teoría del estado, se considera en el contexto de la nación y tiene al estado-nación como marco de referencia. ¿Qué sucede cuando, en la formulación de Held, la «comunidad nacional» ya no es la «comunidad relevante» como tal marco de referencia?102 ¿Cómo podemos concebir in- tereses sociales no nacionales y diversificados representados en el estado o que luchan por él? ¿Todo el mundo? Pero la unidad relevante para los flujos de capital no es la misma que para el trabajo, para los movimientos sociales o para las identidades culturales. ¿Cómo enlazar los intereses y 101 Carnoy, 1984. 102 Held, 1991, pág. 142 y 143.
  • 336.
    H<> lil poderde ln idcntidiul valores expresados, de forma global y local, en una geometría variable, en la estructura y las políticas del estado-nación? Así pues, desde el punto de vista de la teoría, debemos reconstruir las categorías para comprender las relaciones de poder sin presuponer la intersección necesaria de la nación y el estado, esto es, separando la identidad de la instrumentalidad. Las nuevas relaciones de poder, más allá del estado-nación impotente, deben comprenderse como la capacidad de controlar las redes instrumentales globales en virtud de identidades específicas o, desde la perspectiva de las redes globales, de someter toda identidad en el cumplimiento de las me- tas instrumentales transnacionales. El control del estado-nación, de un modo o de otro, se convierte sólo en un medio más de afirmar el poder; es decir, en la capacidad de imponer una voluntad/interés/valor determina- dos, prescindiendo del consenso. La teoría del poder, en este contexto, reemplaza a la teoría del estado, como expondré en la conclusión a este volumen. Sin embargo de esto no se deduce que el estado-nación se haya vuelto irrelevante y que vaya a desaparecer. En la mayoría de los casos, no lo hará, al menos durante un largo tiempo, debido a razones paradóji- cas que tienen más que ver con el comunalismo que con el estado. En efecto, en un mundo de redes globales aculturales y transnacionales, las sociedades tienden, como se ha propuesto en los capítulos precedentes, a atrincherarse en las identidades y a construir/reconstruir las instituciones como expresiones de esas identidades. Por ello, estamos presenciando, al mismo tiempo, la crisis del estado-nación y la explosión de los nacionalis- mos l(n . El fin explícito de la mayoría de estos nacionalismos, pero no de todos, es construir o reconstruir un nuevo estado-nación, basado en la identidad, no sólo en la herencia histórica del control territorial. Al ha- cerlo, en muchos casos, los nacionalismos desafían y acaban llevando a la crisis a los estados-nación existentes que se construyeron sobre alianzas históricas o sobre la negación, total o parcial, de algunas de las identida- des de los grupos que lo conforman. Así pues, los nacionalismos contem- poráneos son, de hecho, un factor importante para provocar la crisis de los estados-nación constituidos a lo largo de la historia, como ilustran las experiencias recientes de la Unión Soviética, Yugoslavia y África, y como quizás suceda en el futuro de Asia (India, Sri Lanka, Birmania, Malaisia, Indonesia) e incluso (¿quién sabe?) de Europa (España, Reino Unido, Italia, Bélgica). Cuando estos nuevos nacionalismos basados en la identidad alcancen la fase de estados, encontrarán los mismos límites que los estados-nación actuales frente a los flujos de poder globales. Sin embargo, su construcción no se orientará a afirmar la soberanía, sino a oponerse a la soberanía de otros estados, mientras navegan en el sistema global en un proceso interminable de negociación y ajuste. Algunos auto- 103 Cohén, 1996.
  • 337.
    ¿1-il estado iin|iiili'nli337 res utilizan el concepto de «forma neomedieval de orden político univer- sal»m . Como sucede con toda caracterización «neo», sospecho que falsea la historia. Sin embargo, es una interesante imagen para transmitir la no- ción de unos estados autónomos e impotentes que, sin embargo, siguen siendo instrumentos de iniciativa política y fuentes de autoridad condi- cional. Los estados-nación que se mantienen fuertes en medio de la turbulen- cia histórica, como Japón o Corea del Sur, también lo hacen basándose en la homogeneidad social y la identidad cultural. Pero incluso en esos casos está surgiendo una contradicción creciente entre los intereses de las gran- des empresas multinacionales japonesas o coreanas, que ahora se están haciendo realmente globales para sobrevivir a la competencia feroz, y el dominio territorial y los intereses políticos de los estados japonés o coreano, con lo que se socava lo que constituyó la base histórica del próspero es- tado desarrollista105 . Así pues, el comunalismo construye/mantiene a los estados en la so- ciedad recientemente globalizada, pero, con el tiempo, los debilita de forma decisiva tal y como estaban constituidos en la Edad Moderna y qui- zás cuestione la propia idea de estado-nación al atraparlo en identidades específicas m . CONCLUSIÓN: EL REY DEL UNIVERSO, SUN TZU Y LA CRISIS DE LA DEMOCRACIA Así que, ¿está desapareciendo el estado en tanto que práctica histó- rica? Martin Carnoy responde a esta pregunta con una negativa rotun- da 107 . Sostiene, y coincido con él, que la competitividad nacional sigue siendo una función de las políticas nacionales y el atractivo de las econo- mías para las multinacionales extranjeras es una función de las condicio- nes económicas locales, que las multinacionales dependen mucho de sus estados de origen para obtener protección directa o indirecta, y que las políticas nacionales sobre recursos humanos-capital son esenciales para la productividad de las unidades económicas localizadas en un territorio na- cional. Apoyando este argumento, Hirst y Thompson exponen que, si además de la relación entre las empresas multinacionales y el estado, in- cluimos la amplia gama de políticas mediante las cuales los estados-na- ción pueden utilizar sus poderes reguladores para facilitar o bloquear los movimientos de capital, trabajo, información y bienes, resulta evidente m Bull, 1977, pág. 254, citado por Held, 1991. 105 Johnson, 1982; Castells, 1992a. 106 Guehenno, 1993. 107 Carnoy, 1993, pág. 88.
  • 338.
    xw II poderde l.i iclciiliihid que, en este punto de la historia, el desvanecimiento del estado-nación es una falacia108 . Sin embargo, en la década de los noventa, los estados-nación han sido transformados de sujetos soberanos en actores estratégicos, ocu- pándose de sus intereses y de los que se supone que representan, en un sistema global de interacción, en una situación de soberanía compartida sistémicamente. Ostentan una considerable influencia, pero apenas tie- nen poder por sí mismos, aislados de las macrofuerzas supranacionales y los microprocesos subnacionales. Es más, cuando actúan estratégica- mente en el ámbito internacional, están sometidos a una tremenda ten- sión interna. Por una parte, para fomentar la productividad y competiti- vidad de sus economías, deben aliarse estrechamente con los intereses económicos globales y guiarse por las reglas globales favorables a los flujos de capital, mientras piden a sus sociedades que esperen paciente- mente el goteo de los beneficios creados por la iniciativa empresarial. Asimismo, para ser buenos ciudadanos de un orden mundial multilate- ral, los estados-nación han de cooperar entre sí, aceptar la ley del más fuerte en la geopolítica y contribuir debidamente al sometimiento de las naciones renegadas y los agentes de un desorden potencial, prescin- diendo de los sentimientos reales de sus ciudadanos, por lo general, es- trechos de miras. Pero, por otra parte, los estados-nación sobreviven más allá de la inercia histórica debido al comunalismo defensivo de las naciones y los pueblos de su territorio, aferrándose a su último refugio para no ser arrastrados por el torbellino de los flujos globales. Así pues, cuanto más resaltan los estados la identidad, menos efectivos resultan como coagentes de un sistema global de poder compartido. Cuanto más triunfan en la escena planetaria, en estrecha asociación con los agentes de la globalización, menos representan a sus grupos nacionales. En casi todo el mundo, la política del fin de milenio está dominada por esta contradicción fundamental. De este modo, muy bien pudiera ser que los estados-nación estén al- canzando la posición del rey del universo de Saint-Exupéry, con el poder de ordenar al sol que salga cada día. Desde el este. Pero, al mismo tiempo, mientras pierden soberanía, surgen como importantes actores in- termediarios, en un mundo puramente estratégico como del que infor- maba el tratado de guerra de Sun Tzu, hace 2.500 años: Es deber de un general ser reservado y, así, asegurar el secreto; recto y justo y, así, mantener el orden. Debe ser capaz de confundir a sus oficiales y hombres me- diante falsos informes y apariencias, y, así, mantenerlos en la ignorancia total. Al- terando sus disposiciones y cambiando sus planes, mantiene al enemigo sin un co- nocimiento definido. Cambiando su campamento y tomando rutas sinuosas evita Hirst y Thompson, 1996.
  • 339.
    ¿El estado ¡mpoUMiir'.'uj)¿ ' que el enemigo prevea su propósito. En el momento crítico, el caudillo de un ejér- cito actúa como aquel que ha trepado hasta la cima y luego arroja la escalera iras de sí109 . Así es como los estados impotentes pueden aún salir victoriosos y, de este modo, aumentar su influencia. A condición de que se desprendan de la escalera de sus naciones, con lo cual inducen la crisis de la demo- cracia. 109 Sun Tzu (c. 505-496 a.C), 1988, págs. 131-133.
  • 341.
    6 LA POLÍTICA INFORMACIONALY LA CRISIS DE LA DEMOCRACIA INTRODUCCIÓN: LA POLÍTICA DE LA SOCIEDAD El poder solía estar en manos de los príncipes, las oligarquías y las élites dirigentes; se definía como la capacidad de imponer la voluntad propia sobre los otros para modificar su conducta. Esta imagen ya no se adecúa a nuestra realidad. El poder está en todas partes y en ninguna: en la producción en serie, en los flujos financie- ros, en los modos de vida, en el hospital, en la escuela, en la televisión, en las imáge- nes, en los mensajes, en las tecnologías [...] Puesto que el mundo de los objetos se escapa de nuestra voluntad, nuestra identidad ya no se define por lo que hacemos sino por lo que somos y, de este modo, se hace a nuestras sociedades algo más pró- ximas a la experiencia de las llamadas sociedades tradicionales, buscando el equili- brio más que el progreso. Ésta es la pregunta central a la que deben responder la acción y el pensamiento políticos: cómo restablecer un vínculo entre el espacio ex- cesivamente abierto de la economía y el mundo excesivamente cerrado y fragmen- tado de las culturas [...] Lo fundamental no es tomar el poder, sino recrear la socie- dad, inventar de nuevo la política, evitar el conflicto ciego entre los mercados abiertos y las comunidades cerradas, superar el colapso de las sociedades en las que aumenta la distancia entre los incluidos y los excluidos, los de dentro y los de fuera. Alain Touraine, «Lettre a Lionel», págs. 36-38, 42. El desdibujamiento de las fronteras del estado-nación confunde la de- finición de ciudadanía. La ausencia de una sede clara de poder diluye el control social y difunde los desafíos políticos. El ascenso del comunalismo
  • 342.
    M2 Kl po d a ele : uli-nliilml en sus diferentes formas debilita el principio de participación política en el que se basa la política democrática. La creciente incapacidad del estado para controlar los flujos de capital y garantizar la seguridad social dismi- nuye su importancia para el ciudadano medio. El hincapié en las institu- ciones locales de gobierno aumenta la distancia entre los mecanismos de control político y la gestión de los problemas globales. El vaciamiento del contrato social entre el capital, los sindicatos y el estado manda a todo el mundo a casa para luchar por sus intereses individuales, contando exclusi- vamente con sus fuerzas propias. Como escribe Guehenno: La democracia liberal se basaba en dos postulados, puestos en entredicho en la ac- tualidad: la existencia de una esfera política, sede del consenso social y el interés general, y la existencia de actores provistos de su propia energía que ejercían sus derechos y manifestaban sus poderes incluso antes de que la sociedad los constitu- yera como sujetos autónomos. Hoy, en lugar de sujetos autónomos, sólo hay situa- ciones efímeras, que sirven de soporte a alianzas provisionales apoyadas por las ca- pacidades movilizadas para cada ocasión. En lugar de un espacio político, sede de la solidaridad colectiva, sólo hay percepciones dominantes, tan efímeras como los intereses que las manipulan. Hay una atomización y homogeneización simultáneas. Una sociedad que se fragmenta interminablemente, sin memoria ni solidaridad, una sociedad que recobra su unidad sólo en la sucesión de imágenes a las que los medios vuelven cada semana. Es una sociedad sin ciudadanos y, en definitiva, una no sociedad. Esta crisis no es —como les gustaría a los europeos con la esperanza de escapar de ella— la crisis de un modelo particular, el modelo estadounidense. Sin duda, los Estados Unidos llevan a su extremo la lógica de confrontación de in- tereses que disuelve la idea de un interés común; y la gestión de las percepciones colectivas alcanza en los Estados Unidos un grado de complejidad sin paralelo en Europa. No obstante, los casos límite nos ayudan a comprender las situaciones me- dias, y la crisis estadounidense revela nuestro futuro1 . La transformación de la política y de los procesos democráticos en la sociedad red es aún más profunda que la presentada en estos análisis. Porque, a los procesos citados arriba, he de añadir, como principales factores inductores de esta transformación, las consecuencias directas de las nuevas tecnologías de la información sobre el debate político y las estrategias de búsqueda del poder. Esta dimensión tecnológica interac- túa con las tendencias más amplias características de la sociedad red y con las reacciones comunales a los procesos dominantes que surgen de esta estructura social. Pero añade un toque poderoso a esta transforma- ción, induciendo la que denomino política informacional. Así pues, aun- que Bobbio está en lo cierto al apuntar las diferencias persistentes entre la derecha y la izquierda política en todo el mundo (debido básicamente a su preocupación muy divergente por la igualdad social)2 , la derecha, 1 Guehenno, 1993, pág. 46. La traducción es mía. 2 Bobbio, 1994.
  • 343.
    1.a política nilniMiiicHnuily I" crisis de la democracia 343 la izquierda y el centro deben procesar sus proyectos y estrategias a tra- vés de un medio tecnológico similar si quieren llegar a la sociedad y de este modo asegurarse el apoyo de suficientes ciudadanos para lograr el acceso al estado. Sostengo que este medio tecnológico induce nuevas reglas de juego que, en el contexto de las transformaciones sociales, cul- turales y políticas presentadas en este libro, afectan de forma impor- tante a la sustancia de la política. El punto clave es que los medios elec- trónicos (incluidas no sólo la televisión y la radio, sino todas las formas de comunicación, como los periódicos e Internet) se han convertido en el espacio privilegiado de la política. No es que toda la política pueda reducirse a imágenes, sonidos o manipulación simbólica, pero, sin ellos, no hay posibilidad de obtener o ejercer el poder. Así pues, todos aca- ban jugando al mismo juego, aunque no del mismo modo ni con el mismo propósito. En aras de la claridad, he de prevenir al lector, desde el comienzo de este análisis, contra dos versiones simplistas y erróneas de la tesis según la cual los medios electrónicos dominan la política. Por una parte, a veces se sostiene que los medios imponen sus elecciones políticas a la opinión pública. No es así porque, como expondré más adelante, los medios son extremadamente diversos. Sus vínculos con la política y la ideología son muy complejos e indirectos, si bien con obvias excepciones, cuya frecuen- cia depende de los países, periodos y medios específicos. De hecho, en muchos casos, las campañas de los medios pueden apoyar al público con- tra la clase política, como sucedió en los Estados Unidos durante la crisis del Watergate o en la década de 1990 en Italia, cuando la mayor parte de los medios apoyaron la campaña judicial anticorrupción tanto contra los partidos políticos tradicionales como contra Berlusconi, pese a que éste poseía los tres canales privados de televisión. Por otra parte, la opinión pública se considera a menudo un recipiente pasivo de mensajes, fácil- mente abierto a la manipulación. Una vez más, los datos empíricos lo contradicen. Como sostuve en el volumen I, capítulo 5, hay un proceso de interacción de doble sentido entre los medios y su audiencia en cuanto al impacto real de los mensajes, que son deformados, apropiados y ocasionalmente subvertidos por la audiencia. En el contexto estadouni- dense, el análisis de Page y Saphiro de las actitudes ciudadanas hacia los temas políticos, en una perspectiva de largo plazo, muestra la indepen- dencia y el sentido común de la opinión pública colectiva en la mayoría de las circunstancias3 . En general, los medios están arraigados en la so- ciedad y su interacción con el proceso político es muy indeterminada, de- pendiendo del contexto, las estrategias de los actores políticos y la inte- racción específica entre un conjunto de rasgos sociales, culturales y políticos. 3 Page y Shapiro, 1992.
  • 344.
    MA 11 poderde I» idonlnl.nl Al señalar el papel crucial de los medios electrónicos en la política contemporánea, afirmo algo diferente. Afirmo que, debido a los electos convergentes de la crisis de los sistemas políticos tradicionales y del es- pectacular aumento de la penetración de los nuevos medios, la comunica- ción y la información políticas han quedado capturadas en el espacio de los medios. Fuera de su esfera sólo hay marginalidad política. Lo que pasa en este espacio político dominado por los medios no está determi- nado por ellos: es un proceso social y político abierto. Pero la lógica y la organización de los medios electrónicos encuadra y estructura la política. Sostendré, basándome en algunos datos y con la ayuda de diversos ejem- plos transculturales, que este encuadre de la política por su captura en el espacio de los medios (una tendencia característica de la era de la infor- mación) repercute no sólo en las elecciones, sino en la organización polí- tica, en la toma de decisiones y en el gobierno, modificando en definitiva la naturaleza de la relación existente entre el estado y la sociedad. Y como los sistemas políticos se siguen basando en formas organizativas y estrategias políticas de la era industrial, se han quedado obsoletos en cuanto a política y ven negada su autonomía por los flujos de información de los que dependen. Ésta es una fuente fundamental de la crisis de la de- mocracia en la era de la información. Para explorar sus contornos, utilizaré datos y ejemplos de varios paí- ses. Estados Unidos es la democracia que alcanzó primero este estadio tecnológico, en un sistema político muy abierto y desestructurado, por lo que manifiesta muy bien la tendencia más amplia. Sin embargo, rechazo, por supuesto, la idea de que el «modelo estadounidense» tenga que ser seguido por los demás países del mundo. Nada tiene un arraigo más es- pecífico en la historia que las instituciones políticas y los actores políti- cos. No obstante, del mismo modo que los hábitos y procedimientos de- mocráticos originados en Inglaterra, Estados Unidos y Francia se difundieron por todo el mundo en los dos últimos siglos, sostendría que la política informacional, según se practica en los Estados Unidos (por ejemplo, el dominio de la televisión, la mercadotecnia política informati- zada, el sondeo inmediato como instrumento de navegación política, la difamación como estrategia política, y así sucesivamente) es un buen in- dicador de los tiempos que vendrán, con todas las traducciones cultura- les/institucionales debidas. Para ampliar el ámbito del análisis, también expondré ejemplos de los recientes procesos políticos en el Reino Unido, Rusia, España, Italia y Japón, y en un esfuerzo por abarcar las nuevas democracias de los países en vías de desarrollo, me centraré en el caso de Bolivia. Basándome en estas observaciones, trataré de enlazar los proce- sos de transformación social, institucional y tecnológica que se encuen- tran en las raíces de la crisis de la democracia en la sociedad red. Para concluir, exploraré el potencial de las nuevas formas de «democracia in- formacional».
  • 345.
    LÍI polllu .1iiilDiiiiiu'iiiiial y l¡i crisis de la democracia M.S LOS MEDIOS DE COMUNICACIÓN COMO ESPACIO DE LA POLÍTICA EN LA ERA DE LA INFORMACIÓN La política y los medios: la conexión ciudadana Voy a exponer mi argumento antes de elaborarlo empíricamente. En el contexto de la política democrática, el acceso a las instituciones del es- tado depende de la capacidad para movilizar una mayoría de votos de los ciudadanos. En las sociedades contemporáneas, la gente recibe la infor- mación y forma su opinión política esencialmente a través de los medios, sobre todo de la televisión (cuadros 6.1 y 6.2). Es más, al menos en los Es- tados Unidos, la televisión es la fuente de noticias más creíble y su credi- bilidad ha aumentado con el paso del tiempo (figura 6.1). Así pues, para actuar en las mentes y voluntades de la gente, las opciones políticas en conflicto, encarnadas en partidos y candidatos, utilizan los medios como vehículo fundamental de comunicación, influencia y persuasión. Al ha- CUADRO 6.1 Fuentes de noticias en los Estados Unidos, 1959-1992 (%) Fecha Televisión Periódicos Radio Revistas Gente Diciembre 1959 51 57 34 8 4 Noviembre 1961 52 57 34 9 5 Noviembre 1963 55 53 29 6 4 Noviembre 1964 58 56 26 8 5 Enero 1967 64 55 28 7 4 Noviembre 1968 59 49 25 7 5 Enero 1971 60 48 23 5 4 Noviembre 1972 64 50 21 6 4 Noviembre 1974 65 47 21 4 4 Noviembre 1976 64 49 19 7 5 Diciembre 1978 67 49 20 5 5 Noviembre 1980 64 44 18 5 4 Diciembre 1982 65 44 18 6 4 Diciembre 1984 64 40 14 4 4 Diciembre 1986 66 36 14 4 4 Noviembre 1988 65 42 14 4 5 Diciembre 1990 69 43 15 3 7 Febrero 1991 81 35 14 4 6 Noviembre 1992 69 43 16 4 6 Nota: La pregunta era: «¿Dónde suele obtener la mayoría de las noticias acerca de lo que sucede hoy en el mundo: en los periódicos, la radio, la televisión, las revistas, hablando con la gente o dónde?» (se permitían múltiples respuestas). Fuente: Encuestas de Roper Organization para el Servicio Informativo de Televisión (varios años).
  • 346.
    346 El poderde la identidad CUADRO 6.2 Fuentes de información política de los residentes de Cochabamba, Bolivia, 1996 Fuente de % que declara la % que expresa información principal fuente preferencia por de información una fuente Periódicos 32,0 8,7 Radio 43,3 15,7 Televisión 51,7 46,0 Otros 4,7 — Fuente: Encuesta sobre las fuentes de información de los residentes de Cocha- bamba, Centro de Estudios de la Realidad Económica y Social, Cochabamba, 1996. cerlo, en la medida en que los medios son relativamente autónomos del poder político, los actores políticos tienen que guiarse por las reglas, la tecnología y los intereses de éstos. Los medios encuadran la política. Y puesto que el propio gobierno depende de la reelección o elección para un cargo se vuelve dependiente de la valoración diaria del impacto polí- tico de sus decisiones sobre la opinión pública, medido por las encuestas de opinión, los grupos seleccionados y los análisis de imagen. Además, en un mundo cada vez más saturado de información, los mensajes más efec- tivos son los más simples y los más ambivalentes, que dejan lugar para las propias proyecciones de la gente. Las imágenes son las que mejor se ade- cúan a esta caracterización. Los medios audiovisuales son los principales alimentadores de las mentes de la gente en lo que respecta a los asuntos públicos. Pero ¿quiénes son los medios? ¿Cuál es la fuente de su autonomía política? ¿Y cómo encuadran la política? En las sociedades democráticas, los medios mayoritarios son, esencialmente, grupos empresariales cada vez más concentrados e interconectados a escala global, aunque, al mismo tiempo, están muy diversificados y se orientan hacia mercados segmentados (véase el capítulo 5 y el volumen I, capítulo 5). En la última década, la televisión y la radio de propiedad estatal han aproximado su conducta a la de los grupos de medios de comunicación privados para so- brevivir a la competencia global y, de este modo, dependen igualmente de los índices de audiencia4 . Éstos resultan esenciales porque la principal fuente de ingresos de las empresas de medios de comunicación es la publicidad5 . Para obtener unos buenos resultados de audiencia, se re- quiere un medio atractivo y, en el caso de las noticias, credibilidad. Sin credibilidad, las noticias carecen de valor, ya sea en términos de dinero o 4 Pérez-Tabernero et al., 1993. ' MacDonald, 1990.
  • 347.
    La política informacionaly la crisis de la democracia .147 % 60 40 20 Televisión (O) Periódicos (A) Radio (O) Revistas (D) 1950 1960 1970 1980 1990 2000 | FIGURA 6.1 Credibilidad de las fuentes de noticias en los Estados Unidos, 1959-1991. Fuente: Roper Organization, America's Watching: Public Attitudes toward Televisión, Nueva York, 1991. de poder. La credibilidad requiere una distancia relativa frente a las op- ciones políticas, dentro de los parámetros de los valores morales y políti- cos mayoritarios. Es más, sólo desde una posición de independencia creí- ble puede esta independencia apostarse de forma ocasional a un apoyo político franco y oportunista o a un trato financiero oculto a cambio de respaldo, mediante la difusión o supresión de información. Esta autono- mía de los medios, arraigada en sus intereses comerciales, también encaja bien con la ideología de la profesión y con la legitimidad y la dignidad de los periodistas. Ellos informan, no toman partido. La información es fun- damental, los análisis de las noticias deben estar documentados, la opi- nión debe estar regulada y el distanciamiento es la regla. Este doble lazo de independencia, de las empresas y de los profesionales, se ve reforzado por el hecho de que el mundo de los medios de comunicación está some- tido a una competencia constante, aun cuando sea cada vez más una competencia oligopólica. Si una cadena de televisión o un periódico pierde credibilidad, la competencia le quitará su cuota de audiencia
  • 348.
    UH I I|Ki(lci (Ir L'l liknllilnil (mercado). Así pues, por una parte, los medios deben estar próximos a la política y al gobierno, lo bastante próximos como para acceder a la in- formación, para beneficiarse de la regulación y, en muchos países, para recibir subsidios considerables. Por otra parte, deben ser lo suficiente- mente neutrales y distantes como para mantener su credibilidad, siendo de este modo los intermediarios entre ciudadanos y partidos en la pro- ducción y consumo de flujos de información e imágenes, que son la base de la formación de la opinión pública, el voto y la toma de decisiones po- líticas. Una vez que la política es apresada en el espacio de los medios, los propios actores políticos cierran el campo de la política de los medios or- ganizando la acción política fundamentalmente en torno a los medios: por ejemplo, filtrando información para favorecer un proyecto personal o po- lítico determinado. De forma inevitable, esto conduce a contrafiltracio- nes, con lo cual los medios se convierten en el campo de batalla en el que las fuerzas y personalidades políticas, así como los grupos de presión, tra- tan de debilitarse mutuamente, para recoger los beneficios en las encues- tas de opinión, en las urnas, en los votos parlamentarios y en las decisio- nes del gobierno. Naturalmente, la política de los medios no excluye otras formas de ac- tividad política. Las campañas populares han demostrado su vitalidad en los años recientes, como muestran la Coalición Cristiana en los Estados Unidos, el Partido Verde en Alemania o el Partido Comunista en Rusia. Los mítines masivos y las manifestaciones callejeras siguen siendo rituales esenciales en las campañas políticas españolas, francesas, italianas o brasi- leñas. Y los candidatos aún deben viajar, aparecer, estrechar manos, ir a mítines, besar a los niños (pero con cuidado), dirigirse a los estudiantes, a los policías y a todo grupo étnico posible (pero no en Francia). No obs- tante, con la excepción de las actividades para recoger fondos, el objetivo principal de estas formas de política individualizada es presentar a la per- sona, o el mensaje, en los medios, ya sea en las noticias de televisión de la franja de mayor audiencia, una tertulia radiofónica o un artículo de pri- mera plana en un periódico influyente. En las campañas políticas españo- las (y supongo que también en las de otros países), a los principales candi- datos que hablan en un mitin público se les advierte con una luz roja en el micrófono cuando hay cobertura en directo de la televisión (durante uno o dos minutos) y entonces pasan de forma automática a un texto prepro- gramado sobre un tema de su elección, sin tener en cuenta lo que estuvie- ran diciendo al público que tienen delante. En las elecciones estadouni- denses, los mítines en las ciudades, las reuniones en las escuelas infantiles, las paradas a lo largo de la ruta del autobús, tren o avión del candidato se determinan de acuerdo con los tiempos y lugares de cobertura potencial de los medios. Salen a escena aclamadores y abucheadores para crear es- pectáculo.
  • 349.
    I ;i ptiKlicaMil01 muí IUIIIII v I" crisis d f I;i IICIMOLTÍICÍÍI 3<W Sin embargo, vuelvo a repetir, decir que los medios de comunicación son el espacio de la política no significa que la televisión dicte lo que la gente decide o que la capacidad de gastar dinero en la publicidad televi- siva o de manipular las imágenes, por sí misma, sea un factor decisivo. Todos los países, y sobre todo los Estados Unidos, están llenos de ejem- plos en los que el aluvión de propaganda televisiva no fue suficiente para elegir a un candidato o una mediocre actuación en los medios no evitó que un candidato ganara (aunque también abundan los ejemplos de la notable repercusión de la presencia en la televisión para lanzar y soste- ner a un político; por ejemplo, Ronald Reagan o Ross Perot en los Esta- dos Unidos, Felipe González en España, Berlusconi en Italia, Zhiri- novski en Rusia en 1993, Aoshima en Tokio en 1995). En el Brasil de la década de los noventa, CoUor de Mello fue elegido presidente desde la nada debido a su magistral actuación televisiva, pero el pueblo tomó las calles para obligarlo a dimitir cuando resultó evidente que era un sinver- güenza que saqueaba al estado. Tres años después, Fernando Henrique Cardoso, que no carece de habilidad en televisión, pero al que obvia- mente disgustan los artificios televisivos, fue elegido presidente por una mayoría abrumadora porque, como ministro de Hacienda, había sido ca- paz de controlar la hiperinflación por primera vez en décadas, aunque el apoyo de O Globo Televisáo a su candidatura ayudó sin duda. Ni la tele- visión ni otros medios determinan los resultados políticos por sí mismos, debido precisamente a que la política de los medios es un ámbito contra- dictorio, donde actúan diversos actores y estrategias, con diferentes habi- lidades y resultados varios, a veces con consecuencias inesperadas. La mediocracia no contradice la democracia porque es tan plural y competi- tiva como el sistema político. Es decir, no mucho. No obstante, si consi- deramos el sistema previo de una democracia dominada por los partidos, donde las organizaciones de éstos, en buena parte aisladas de la mayoría de los ciudadanos, decidían por completo los programas y los candidatos políticos, es discutible cuál sistema proporciona una participación más amplia de los ciudadanos, al menos una vez que hemos pasado los tiem- pos mitológicos de las reuniones comunales como mecanismos de deci- sión. No obstante, el tema crucial es que, sin una presencia activa en los me- dios, las propuestas o candidatos políticos no tienen posibilidad de reunir un apoyo amplio. La política de los medios no es toda la política, pero toda la política deber pasar a través de los medios para influir en la toma de decisiones. Al hacerlo, queda fundamentalmente encuadrada en su con- tenido, organización, proceso y liderazgo por la lógica inherente del siste- ma de medios, sobre todo por los nuevos medios electrónicos. En cuanto al modo exacto como ocurre, será de ayuda examinar la evolución real de la política de los medios, comenzando con la experiencia estadounidense de las tres últimas décadas.
  • 350.
    IMI I Ipocll'1 de' lll lllcillulllll La política espectáculo y el marketing político: el modelo estadounidense La transformación de la política estadounidense en las tres últimas dé- cadas del siglo xx ha sido el resultado de tres procesos interconectados: a) el declive de los partidos políticos y de su papel para seleccionar candida- tos; b) el surgimiento de un sistema de medios de comunicación complejo, centrado en la televisión pero con una diversidad creciente de medios fle- xibles, interconectados electrónicamente; y c) el desarrollo del marketing político, con encuestas de opinión constantes, sistemas de retroalimenta- ción entre la votación y la política, comentarios en los medios de comuni- cación, propaganda selectiva por correo informatizado y bancos de teléfo- nos, y los ajustes en tiempo real, de los candidatos y los temas, al formato que puede ganar6 . Aunque la transformación del sistema político estadounidense tiene profundas raíces en tendencias sociales y culturales, la manifestación más directa de estas transformaciones fueron las reformas electorales del Co- mité McGovern-Frazer en respuesta a la Convención Nacional Demó- crata de 1968, donde el aparato del partido eligió a Humphrey como can- didato presidencial y no a Eugene McCarthy, más popular. Con el nuevo sistema, los delegados a la convención se eligieron, en su vasta mayoría, mediante primarias directas entre los contendientes presidenciales7 . Así, mientras que en la década de los cincuenta el 40% de los delegados fue- ron elegidos por este método, en la de 1990 la proporción alcanzó el 80%8 . Además, una serie de reformas en la financiación de las campañas han obligado a los candidatos a contar más con su destreza para recabar fon- dos y los contactos directos con la sociedad, y mucho menos con el res- paldo del partido. Los grupos de interés y los ciudadanos en general han empujado a las organizaciones de los partidos a los bastidores de la polí- tica estadounidense9 . Ambas tendencias han reforzado de forma extra- ordinaria el papel de los medios de comunicación: se han convertido en los intermediarios privilegiados entre los candidatos y el público, influ- yendo decisivamente en las primarias presidenciales, así como en las elec- ciones para el congreso y los gobernadores. Y como la publicidad en los medios y las campañas orientadas a éstos son muy caras, los candidatos han de acudir al apoyo de donantes privados y comités de acción política externos al sistema de partidos10 . El papel político de los medios de comunicación ha evolucionado considerablemente en las tres últimas décadas, tanto en cuanto a tecnolo- 6 Abramson et al, 1988; Patterson, 1993; Roberts y McCombs, 1994; Balz y Brownstein, 1996. 7 Patterson, 1993, pág. 30-33. 8 Ansolabehere et al, 1993, pág. 75. 9 Magleby y Nelson, 1990. 10 Garber, 1984,1996; Gunlicks, 1993.
  • 351.
    l.ii |HIIIIRII iiilonniiiÍMIWII v ln crisis de l.i (Icinomicin i-i I gía como en cuanto a organización. Los expertos consideran que el mo- mento decisivo en la relación entre los medios, las encuestas y la política fue la campaña de John Kennedy en 1960n . Kennedy no sólo basó por primera vez su campaña en las encuestas y la estrategia televisiva, sino que su victoria se debió en buena medida a su debate televisado con Ni- xon (el primero del género), que dominó, mientras que la audiencia ra- diofónica del mismo debate eligió a Nixon como ganador n . A partir de entonces, la televisión se convirtió en el mecanismo que establecía el programa de la política estadounidense. Aunque periódicos influyentes como The New York Times o The Washington Post son fuentes cruciales de información de investigación y de tendencias de opinión, sólo los acontecimientos que se presentan en la televisión alcanzan una audiencia lo bastante grande como para establecer o invertir una tendencia en la opinión pública. Así pues, la televisión, los periódicos y la radio operan como un sistema, en el que los periódicos suelen informar de un hecho y desarrollarlo, la televisión lo digiere y lo difunde a una audiencia amplia y las tertulias radiofónicas proporcionan una oportunidad para la interac- ción de los ciudadanos y para el debate partidista personalizado sobre los temas suscitados por la televisión13 . Este papel político cada vez más im- portante de la televisión ha inducido dos importantes rasgos. Por una parte, el gasto político en la televisión se ha disparado: a comienzos de la década de los sesenta, se gastaba en publicidad televisiva en torno al 9% del presupuesto de las campañas políticas nacionales, mientras que en la de 1990 la proporción se acercaba al 25% de unos presupuestos mucho mayores; en 1990 unos 203 millones de dólares fueron a tiempo de emi- sión de publicidad política w ; y en 1994, se gastaron 350 millones de dóla- res en anuncios políticos televisivos 15 . La cifra de las elecciones de 1996 puede haber superado los 800 millones. Por otra parte, la labor de los asesores de los candidatos se ha convertido en un factor esencial en las campañas políticas, así como para obtener apoyo u oposición para las de- cisiones del gobierno. Lo que realmente importa no es tanto el hecho del que se informa, sino el debate que se crea a su alrededor, cómo se de- bate, quién lo debate y durante cuánto tiempo se debate. La victoria, no la explicación o la aclaración, se vuelve el tema fundamental. Por ejem- plo, en 1993-1994, tras meses de enconado debate sobre la propuesta de reforma del plan de sanidad de Clinton, que ocupó de forma extensa la atención de los medios, las encuestas indicaron que la gran mayoría de los estadounidenses estaban confusos e inseguros acerca del contenido 11 Jacobs y Shapiro, 1995. 12 Ansolabehere et al., 1993, pág. 73. 13 Friedland, 1996. 14 Ansolabehere et ai, 1993, pág. 89. 15 Freeman, 1994.
  • 352.
    352 fil poderde la identidad de la propuesta y del fondo de las críticas contra el plan. No importa. Lo que el bombardeo de la controversia en los medios, alimentada por las compañías de seguros, las asociaciones médicas y la industria farmacéu- tica, logró hacer fue acabar con la propuesta incluso antes de que llegara al Congreso para ser votada, y menos aún fuera discutida por la ciudada- nía 16 . Los medios de comunicación se han convertido en el principal es- cenario político. La tecnología ha transformado el papel político de los medios, no sólo por sus efectos en los mismos, sino al vincular el sistema de medios en tiempo real con el marketing político17 . Desde finales de la década de los sesenta, la introducción de los ordenadores en la tabulación de las en- cuestas condujo al «sondeo estratégico», que probaba diferentes estrate- gias políticas en grupos seleccionados de votantes potenciales para modi- ficar la estrategia, la forma e incluso el contenido del mensaje a medida que se desarrollaba la campaña18 . En las dos décadas siguientes, los espe- cialistas en encuestas como Patrick Caddell, Peter Hart y Robert Teeter influyeron de forma decisiva en la estrategia de las campañas y se convir- tieron en intermediarios clave entre los candidatos, los ciudadanos y los medios de comunicación. Junto con los asesores de imagen y los publicis- tas políticos, crearon campañas, programas, temas y personas, retroali- mentando las tendencias de opinión en los informes de los medios de co- municación y viceversa 19 . A medida que la tecnología aceleraba los informes de los medios y aumentaba la velocidad y flexibilidad de los sis- temas de información, los efectos de la retroalimentación y de los co- mentarios se convirtieron en actividades diarias, de tal modo que en la mayoría de los despachos de los altos cargos políticos, comenzando por la Casa Blanca, los estrategas de la comunicación se reúnen cada día a primeras horas de la mañana para seguir el pulso de la nación, dispuestos a intervenir en tiempo real, incluso cambiando mensajes y programas de actividades de la mañana a la tarde según la información de las fuentes principales (CNN, cadenas de televisión, principales periódicos de la ma- ñana)20 . El hecho de que los propios medios sean capaces de dar una no- ticia en cualquier momento mediante la información ininterrumpida sig- nifica que los guerreros de la comunicación deben estar constantemente alerta, codificando y traduciendo toda decisión política al lenguaje de la política de los medios y midiendo los efectos con encuestas y grupos se- leccionados. Los expertos en encuestas y los asesores de imagen se han convertido en actores políticos decisivos, capaces de hacer y deshacer 16 Fallows, 1996. 17 D. West, 1993. 18 Moore, 1992, págs. 128 y 129. 19 Mayer, 1994. 20 Fallows, 1996.
  • 353.
    La política inloiIIIIH 101111I y lii crisis de la democracia 353 presidentes, senadores, congresistas y gobernadores, mezclando tecnolo- gía de la información, mediología, astucia política y magia arrogante. Y cuando se equivocan, por ejemplo, en sus encuestas, siguen siendo influ- yentes porque sus errores cambian las tendencias políticas, como en el caso de las primarias republicanas de New Hampshire en 1996, en la que los errores de las encuestas empeoraron los resultados de Forbes al me- dir sus votos contra las equivocadas predicciones alcistas de los sondeos de los días previos21 . A medida que los medios diversificaron y descentralizaron su alcance en la década de los noventa, su dominio de las actitudes y conductas polí- ticas se hizo más amplio22 . La televisión local por cable y las tertulias ra- diofónicas personalizaron las audiencias y permitieron que los políticos orientaran mejor su mensaje, mientras que los grupos de interés y los sec- tores ideológicos del electorado tuvieron mayor capacidad para presentar sus argumentos sin el filtro cauto de los medios mayoritarios. Los apara- tos de vídeo se convirtieron en herramientas esenciales para distribuir los mensajes grabados en este medio en los mítines de las ciudades y en los hogares particulares mediante el correo selectivo. La cobertura de veinti- cuatro horas de C-Span y CNN permitió la distribución inmediata de no- ticias e informaciones políticas preparadas. Por ejemplo, el dirigente re- publicano Newt Gingrich pudo televisar (por C-Span) un apasionado discurso antiliberal en el hemiciclo del Congreso sin miedo de suscitar re- acciones hostiles ya que, más allá del alcance de las cámaras, la sala es- taba vacía. La restricción de la emisión de mensajes a ciertas zonas o gru- pos sociales, a través de las emisoras locales, está fragmentando la política nacional y socavando la influencia de las cadenas de televisión, pero a la vez abarca una proporción aún mayor de expresiones políticas en el uni- verso de los medios electrónicos. Además, Internet se ha convertido, a mediados de los años noventa, en el vehículo para la propaganda de cam- paña, los foros de debate controlados y la conexión con los militantes23 . Con frecuencia, los programas o anuncios de televisión hacen referencia a una dirección de Internet donde puede encontrarse información o am- pliación de los argumentos, mientras que la comunicación a través del or- denador recoge los acontecimientos de los medios o de la publicidad polí- tica televisada para establecer un anzuelo electrónico para los ciudadanos interesados. Al incorporar la política a su espacio electrónico, los medios encua- dran de forma decisiva el proceso, los mensajes y los resultados, prescin- diendo del objetivo real o de la efectividad de los mensajes específicos. No es que el medio sea el mensaje, porque las opciones políticas difieren 21 Mundy, 1996. 22 Garber, 1996; Hacker, 1996. 23 Klinenberg y Perrin, 1996.
  • 354.
    M4 F.l poderde ln identidad y las diferencias importan, pero, al entrar en el espacio de los medios, los proyectos políticos y los políticos se moldean en forma particular24 . ¿En qué forma? Para comprender cómo la lógica de los medios encuadra la política, de- bemos hacer referencia a los principios generales que gobiernan las noticias de los medios: la carrera de los índices de audiencia, en competencia con el entretenimiento; el distanciamiento necesario de la política para inducir cre- dibilidad. Todo ello se traduce en las asunciones tradicionales de la cober- tura de noticias, tal como las identifica Gitlin: «A las noticias les interesa el acontecimiento, no la condición subyacente; la persona, no el grupo; el conflicto, no el consenso; el hecho que "adelanta la noticia", no el que la explica»25 . Sólo las «malas noticias» relativas a un conflicto, drama, tratos ilegales o conducta objetable son noticias interesantes. Puesto que las noti- cias se construyen cada vez más para que se equiparen a los espectáculos de entretenimiento o a los acontecimientos deportivos (y compitan con ellos), su lógica también lo hace. Requiere drama, suspense, conflicto, ri- validades, codicia, engaño, ganadores y perdedores y, si es posible, sexo y violencia. Siguiendo el ritmo y el lenguaje de los deportes, se informa «de la política como carrera de caballos», como de un juego interminable de ambiciones, maniobras, estrategias, contraestrategias, con la ayuda de con- fidencias privilegiadas y encuestas constantes de opinión de los mismos medios. Éstos proporcionan una atención decreciente a lo que los políticos tienen que decir: el tiempo medio de declaraciones políticas transmitidas por noticia descendió de 42 segundos en 1968 a menos de 10 segundos en 199226 . La actitud distante de los medios se convierte en cinismo cuando li- teralmente todo se interpreta como un puro juego estratégico. La informa- ción de noticias proporciona la base para esos análisis, pero resultan considerablemente reforzados por los espectáculos de expertos (como Crossfire de CNN), que se construyen en torno a unos comentaristas voci- ferantes, maleducados y opuestos en todo que, por supuesto, sonríen y se estrechan las manos al final, subrayando de este modo que todo es un es- pectáculo. Como sostiene James Fallows, las valoraciones rápidas, estri- dentes y sumarias de la política efectuadas por expertos de la televisión, cada vez más populares, repercuten de forma directa en la cobertura de los acontecimientos en las noticias de la televisión y en los periódicos27 . En otras palabras, las afirmaciones de los medios sobre la política se con- vierten en acontecimientos políticos por sí mismos, con anuncios semana- les de ganadores y perdedores en la carrera política. Como escribe Sandra Moog: 24 Patterson, 1993; Balz y Brownstein, 1996; Fallows, 1996. 25 Gitlin, 1980, pág. 28. 26 Patterson, 1993, pág. 74. 27 Fallows, 1996.
  • 355.
    La política inloinimlonnl y la crisis de la democracia }>55 Los relatos de las noticias tienden a convertirse en meras discusiones de las reac- ciones públicas ante la cobertura de noticias recientes. Quiénes son los ganadores y los perdedores, qué índices de popularidad han ascendido y cuáles han caído como resultado de los acontecimientos políticos del último mes, la última semana o el último día. Las frecuentes encuestas de opinión pública realizadas por las agencias de noticias hacen posible este tipo de hiperreflexión, al proporcionar una base, supuestamente objetiva, para las especulaciones de los periodistas acerca de las repercusiones de las acciones políticas y las reacciones periodísticas a esas ac- ciones, sobre la valoración pública de los diferentes políticos28 . Un encuadre adicional y esencial de la información de las noticias po- líticas es la personalización de los acontecimientos29 . Los políticos, no la política, son los actores del drama. Y como pueden cambiar sus propues- tas programáticas mientras surcan las aguas políticas, lo que queda en la mente de la mayoría de la gente es la motivación personal y las imágenes personales como fuente de la política. Así pues, las cuestiones de carácter pasan al primer plano de la agenda política: el mensajero se convierte en el mensaje. El encuadre de las noticias políticas se extiende al encuadre de la pro- pia política cuando los estrategas juegan con los medios para influir en los votantes. Así pues, como sólo las malas noticias son noticia, la publicidad política se concentra en los mensajes negativos, orientados a destruir las propuestas del oponente, mientras el programa propio se presente en tér- minos muy generales. En efecto, los experimentos de la ciencia política muestran que es mucho más probable que se retengan los mensajes nega- tivos y que influyan en la opinión política30 . Es más, como la política está personalizada en un mundo de creación de imagen y culebrones, la difa- mación se convierte en el arma más potente31 . Los proyectos políticos, las propuestas del gobierno y las carreras políticas pueden socavarse e in- cluso destruirse con la revelación de una conducta impropia (el Water- gate de Nixon inauguró la nueva era); con la exposición de una vida pri- vada alejada de las normas morales estrictas y el encubrimiento de la información (Gary Hart); o con la acumulación de acusaciones, rumores o insinuaciones, que los medios airean una tras otra tan pronto como el impacto de una acusación comienza a desvanecerse (¿Bill y Hillary Clin- ton?). En algunos casos, las acusaciones no probadas tienen consecuen- cias personales dramáticas, como el suicidio del político implicado (por ejemplo, el ministro de Hacienda socialista francés Pierre Beregovoy en 1993). Así pues, el seguimiento diario de los ataques personales y los con- traataques, o la amenaza de hacerlo con acusaciones similares, se con- 28 Moog, 1996, pág. 20. 29 Ansolabehere etal, 1993; Fallows, 1996. 30 Ansolabehere e Iyengar, 1995. 31 Garramone et al, 1990; Fallows, 1996.
  • 356.
    3.16 11 poilddi' 1,1 ¡dciiliilml vierte en una parte fundamental de la vida política. En electo, en la cam- paña presidencial de 1992, los asesores de Clinton obligaron a los republi- canos a minimizar su interés en la aventura extramarital de Clinton ame- nazando con explayarse en la supuesta relación de Bush con una antigua ayudante suya de la Casa Blanca: habían encontrado otra Jennifer32 . Los estrategas de la comunicación y los portavoces son los centros de la polí- tica informacional. La creciente restricción de la exposición en los medios del contenido de las propuestas políticas (excepto en los medios segmentados ajenos a la audiencia de masas; por ejemplo, la televisión pública o los extensos in- formes especiales de los periódicos) lleva a una simplificación extrema de los mensajes políticos. Se escudriñan los complejos programas políticos para seleccionar unos cuantos temas clave que se destacarán para una amplia audiencia en términos dicotómicos: pro vida o pro planificación familiar; derechos de los gays o ataque a los gays; seguridad social y défi- cit presupuestario contra presupuesto equilibrado y desmantelamiento del seguro médico. La política de referéndum imita los concursos de la te- levisión, con la bocina electoral anunciando los ganadores y los perdedo- res, y las campanas (encuestas) preelectorales anunciando advertencias. Imágenes, mensajes codificados y política de carrera de caballos entre hé- roes y villanos (cambian los papeles de forma periódica), en un mundo de pasiones falsificadas, ambiciones ocultas y apuñalamientos por la espalda: tal es la política estadounidense, encuadrada por los medios electrónicos y, de este modo, transformada en virtualidad real política, que determina el acceso al estado. ¿Podría ser este «modelo estadounidense» el prece- dente de una tendencia política más amplia, característica de la era de la información? ¿Se está «americanizando» la política europea? No y sí. No, porque los sistemas políticos europeos se basan mucho más en los partidos políticos, con una larga tradición bien establecida y considerables raíces en su historia, cultura y sociedad específicas. No, por- que las culturas nacionales tienen su importancia y lo que es admisible en los Estados Unidos sería inadmisible en la mayor parte de Europa y en realidad al supuesto agresor le acabaría saliendo el tiro por la culata: por ejemplo, era un hecho conocido que Mitterrand mantuvo una duradera relación extramarital, de la que tuvo una hija. Nunca se utilizó contra él, pese a sus muchos enemigos, y si se hubiera hecho, a la mayoría de los ciudadanos le habría parecido ignominioso inmiscuirse en la vida privada del presidente (los medios de comunicación del Reino Unido ocupan una 32 Swan, 1992.
  • 357.
    I .» pollliciiintuí muí ioiinl v I" crisis de la ilcmocraciii 357 posición intermedia entre los Estados Unidos y la mayor parte de Europa en cuanto al respeto a la vida privada de los dirigentes políticos). Asi- mismo, hasta finales de la década de los ochenta, la mayor parte de la te- levisión europea estaba controlada por el gobierno, por lo cual el acceso político a ella estaba regulado y la publicidad pagada sigue estando prohi- bida. Incluso con la liberalización y privatización de la televisión, las ca- denas privadas (por ejemplo, ITV británica o Antena-3 española) siguen una norma autorreguladora de equilibrio político para conservar su credi- bilidad. Así pues, existen diferencias sustanciales tanto en los medios como en sus relaciones con los sistemas políticos en los Estados Unidos y Europa33 . Por otra parte, aunque los candidatos y programas los seleccionan y deciden los partidos, los medios de comunicación se han vuelto tan im- portantes en Europa como en los Estados Unidos para decidir los resulta- dos de las candidaturas políticas34 . Los medios (y sobre todo la televisión) son la fuente fundamental de información y opinión política de la gente, y los principales atributos de la política informacional, identificados en los Estados Unidos, caracterizan también a la política europea: simplificación de los mensajes, publicidad y sondeos profesionales como herramientas políticas, personalización de las opciones, negativismo como arma polí- tica, creación de imagen y comentarios en los medios como mecanismos esenciales para conquistar el poder y mantenerlo. Revisemos brevemente algunos datos comparativos. En el Reino Unido*, la televisión era la principal fuente de noticias políticas para el 58% de la gente en la década de los ochenta: aumentó hasta el 80% en la década de los noventa35 , siendo los periódicos la prin- cipal fuente para el 20% restante. Sin embargo, la publicidad televisiva pagada es ilegal en Gran Bretaña y se otorga a los partidos emisiones gra- tuitas tanto durante la campaña como fuera de ellas. No obstante, la des- regulación, la privatización y la multiplicación de fuentes de información televisada han alejado a la audiencia de la publicidad política formal y la han dirigido hacia los reportajes políticos36 . Los comentarios sobre la pu- blicidad de los partidos en los programas habituales se volvieron más in- fluyentes que la propia publicidad. Por ejemplo, en 1992, el Partido Labo- rista emitió un espacio sobre Jennifer, una joven que tenía que esperar un año para que la operaran del oído debido a la crisis del sistema sanitario. Cuando su identidad (mantenida en el anonimato) fue revelada, el tema 33 Siune y Truetzschler, 1992; Kaid y Holtz-Bacha, 1995. 34 Guehenno, 1993; Kaid y Holtz-Bacha, 1995. 35 Moog, 1996. * Este texto se escribió antes de las elecciones británicas de 1997. No ha habido necesi- dad de cambiarlo porque, desde el punto de vista analítico, se ha verificado el argumento presentado. 36 Berry, 1992.
  • 358.
    35K El poderde la identidad real acabó siendo la incapacidad de los laboristas para guardar informa- ción confidencial, lo que socavó su capacidad para que se confiara en ellos como gobierno37 . La publicidad negativa, sobre todo de los tories, se convirtió en el centro de la campaña de 1992 y desempeñó un papel im- portante en la victoria conservadora38 . Las encuestas inmediatas, el co- rreo selectivo, el empleo de publicidad profesional y de empresas de rela- ciones públicas, los acontecimientos y discursos orientados a la creación de imágenes y frases aisladas, los sofisticados anuncios profesionales con actores y montajes fotográficos, el enfoque en la imagen y no en la polí- tica son los ingredientes básicos de la política británica de los años no- venta, tanto como lo son en los Estados Unidos39 . La personalización de la política tiene una larga tradición en Gran Bretaña, con dirigentes tan contundentes como Winston Churchill, Harold Wilson o Margaret That- cher. Sin embargo, la nueva ola de personalización no tiene relación con los dirigentes históricos y carismáticos, sino con cualquiera que se pre- sente para el puesto de primer ministro. Así pues, en 1987, los laboristas centraron su campaña sobre una pareja «joven y atractiva», Neil y Glenys Kinnock, y presentaron como principal emisión del partido para las elec- ciones una biografía televisada titulada Kinnock, producida por Hugh Hudson, el director de Carros de fuego40 . En 1992, dos de las cinco emi- siones conservadoras para las elecciones se centraron en John Major (Major-The Journey, producida por Schlesinger, director de Cowboy de medianoche, presentando el ascenso de Major de la clase obrera de Brix- ton41 ). La personalización lleva a la difamación como estrategia política, y ése ha sido el caso también en la política británica reciente: en la cam- paña de 1992, Kinnock fue atacado en los tabloides tories (y luego los re- latos fueron retomados por las noticias de la televisión) con imputaciones que iban de sus supuestas conexiones con la mafia a su vida privada (el denominado «asunto Boyo»). Paddy Ashdown, dirigente demócrata libe- ral, fue atacado públicamente por su vida sexual. Y aunque Axford y otros sugieren que tras las elecciones de 1992 los medios británicos pare- cían dispuestos a refrenarse en el uso de «trucos sucios», esta disciplina recién profesada no parece haber excluido a la Familia Real42 . En efecto, escribiendo en 1996, parece seguro predecir que las nuevas elecciones ge- nerales británicas, marcadas por la probabilidad de una victoria laborista, se caracterizarán por una explosión de intentos de difamación contra el li- derazgo emergente de Tony Blair. El advenimiento de la democracia rusa también supuso la introduc- Scammell y Semetko, 1995. Berry, 1992; Scammell y Semetko, 1995. Axford et ai, 1992; Philo, 1993; Franklin, 1994. Philo, 1993, pág. 411. Scammell y Semetko, 1995, pág. 35. Axford et al, 1992.
  • 359.
    La política informacionaly la crisis de la democracia 359 ción de las campañas orientadas a la televisión de estilo estadounidense desde las elecciones parlamentarias de diciembre de 199343 . En las deci- sivas elecciones presidenciales de 1996, Yeltsin fue capaz de recobrar el control del electorado, en peligro de pasarse a Ziuganov debido a la desesperación popular, en las últimas semanas de la campaña, mediante un bombardeo en los medios de comunicación y la utilización, por pri- mera vez en Rusia, del correo selectivo informatizado, las encuestas di- rigidas y la propaganda segmentada. La campaña de Yeltsin combinó viejas y nuevas estrategias en el uso de los medios pero, en ambas, la te- levisión fue el centro. Por una parte, los canales gubernamentales y pri- vados se alinearon con Yeltsin y utilizaron las noticias y la programa- ción como vehículos de propaganda anticomunista, incluida la emisión de varias películas sobre los horrores del estalinismo en las semanas an- teriores a la votación. Por otra parte, se diseñó cuidadosamente la publi- cidad política de Yeltsin. Una compañía de asesoría política, Niccoló M. (M. de Maquiavelo) desempeñó un papel importante en la concepción de una estrategia mediática en la que Yeltsin aparecería en las noticias regulares de televisión, mientras que la publicidad política se centraría en personas reales (conozco a una de ellas) que explicarían su apoyo a éste. Los anuncios terminaban con las palabras «Yo creo, quiero y es- pero», seguidas de la firma de Yeltsin, su única presencia en ellos. Ye- katerina Yegorova, directora de Niccoló M., entendía que, en sus pro- pias palabras: «La idea que respalda su ausencia es que Yeltsin, como presidente, aparece con tanta frecuencia en la pantalla [en las noticias regulares] que si también estuviera en los anuncios, la gente acabaría harta de él»44 . Así pues, la «personalización ausente», al combinar dife- rentes formas de mensajes mediáticos, se convirtió en una nueva estra- tegia sutil en un mundo saturado de propaganda audiovisual. Algunos asesores republicanos de California también desempeñaron un papel consultivo sobre la tecnología política en la campaña de Yeltsin (si bien muy inferior a lo que proclaman), así como diversos consejeros políticos y mediáticos, lanzando a Rusia a la política informacional antes de que tuviera tiempo de convertirse en una sociedad informacional. Funcionó: escasos de fondos, poder y tecnología, los comunistas se basaron en la organización popular a gran escala, un medio demasiado primitivo para contrarrestar la alianza de la televisión, la radio y los principales perió- dicos, que se unieron en torno a Yeltsin. Aunque hubo otros factores que desempeñaron un papel en las elecciones rusas (rechazo del comu- nismo, miedo al desorden, demagogia electoral, hábiles decisiones presi- denciales de último minuto, sobre todo acerca de Chechenia, la incorpo- ración de Lébed al gobierno de Yeltsin antes de la segunda vuelta de las 41 Hughes, 1994. 44 Mosa>w Times, I WMi, pííg. I.
  • 360.
    too Fil pddc'ide la iilciituhnl elecciones), los sistemas políticos antiguo y nuevo se enfrentaron y el re sultado fue una victoria aplastante de Yeltsin, después de ir muy rc/.ii gado en las encuestas cuatro meses antes. La joven democracia española también aprendió deprisa las nuevir- artes de la política informacional45 . En las elecciones generales de 1 9K,', el diestro uso de los medios de comunicación y la personalización en torno a la figura de un dirigente extraordinario, Felipe González, llevó ;t los socialistas (PSOE) a un triunfo electoral sin precedentes. Después, en 1986 y 1989, los socialistas de González fueron reelegidos dos veces con mayoría absoluta e incluso ganaron en 1985 un referéndum nacional parn unirse a la OTAN en las condiciones más difíciles. Además de los méritos propios de la política socialista, tres importantes factores contribuyeron al aplastante dominio político del Partido Socialista en la década de los ochenta: la carismática personalidad de Felipe González y su vigorosa presencia en los medios de comunicación, sobre todo en televisión, ya fuera en debates frente a frente, en entrevistas periodísticas o en aconte- cimientos políticos televisados; la sofisticación tecnológica de los estrate- gas políticos socialistas que, por primera vez en España, utilizaron grupos seleccionados, sondeos constantes, análisis/diseño de imagen y selección de temas en tiempo y espacio, en una estrategia coherente y sostenida de propaganda política que no se detuvo después del día de las elecciones; y el monopolio gubernamental de la televisión, que proporcionó una clara ventaja al gobierno hasta que las críticas constantes de la oposición sobre la cobertura televisiva, así como las convicciones democráticas de Gonzá- lez, condujeron a la liberalización y privatización parcial de la televisión en la década de los noventa. Por otra parte, fue la pérdida de la batalla en los medios de comunicación en los años noventa la que primero erosionó al gobierno socialista en España en 1993 y después llevó al poder a un go- bierno de derecha en 1996. En la sección siguiente, me extenderé sobre los escándalos políticos y la política de la corrupción como una estrategia esencial de la política informacional, utilizando de nuevo, entre otros ca- sos, este ejemplo español contemporáneo tan revelador. Pero es impor- tante subrayar, mientras se expone la posible extrapolación de la política de estilo estadounidense a Europa, que la España contemporánea no tiene nada que aprender de los Estados Unidos en cuanto a técnicas de politiqueo mediático, difamación y efectos de retroalimentación entre en- cuestas, informaciones y actuaciones. Aunque de un modo menos espectacular (después de todo, España es un país de intenso dramatismo), la política de la mayoría de las democra- cias europeas ha acabado dominada por procesos similares. Así pues, los observadores de Francia se rebelaron contra la «telecracia»46 , mientras Alonso Zaldívar y Castells, 1992. Esprit, 1994, págs. 3 y 4.
  • 361.
    I ii |i()litu;iII 111 <• imu n nuil y la crisln di- IÍI democracia Vil que otros destacan la llegada de la «democracia virtual»47 . El repentino ascenso al poder de Berlusconi en Italia se vinculó directamente con el nuevo papel desempeñado por los medios en la política italiana48 . El aná- lisis comparativo de otros países europeos en la década de los noventa49 describe una situación de transición compleja, de medios de comunica- ción que dominan la difusión de la información, mientras los partidos es- tán faltos de equipo y fondos, y regulados de forma estricta, por lo que les resulta difícil adaptarse al nuevo entorno tecnológico. El resultado parece ser que, por una parte, los partidos políticos mantienen en general su au- tonomía frente a los medios con el apoyo del estado. Por otra, debido al acceso restringido de los partidos a los medios, la gente forma cada vez más sus opiniones políticas a partir de fuentes externas al sistema político, con lo que se acentúa la distancia entre partidos y ciudadanos5Ü . Así pues, mientras que las instituciones, la cultura y la historia hacen a la política europea muy específica, la tecnología, la globalización y la sociedad red incitan a los actores e instituciones políticas a participar en la política in- formacional impulsada por la tecnología. Sostengo que ésta es una ten- dencia histórica nueva, que afectará en oleadas sucesivas a todo el mundo, si bien en condiciones históricas específicas que introducen varia- ciones sustanciales en la competición política y en la conducción de la po- lítica. Bolivia proporciona una oportunidad excepcional para probar esta hipótesis. El populismo electrónico de Bolivia: el compadre Palenque y la llegada de Jach'a Uru5i Si tuviéramos que seleccionar el país con más posibilidades del mundo de resistirse a la globalización de la cultura y de afirmar la polí- tica populista, Bolivia sería un candidato obvio. Su identidad india está muy presente en la memoria colectiva de su población (aun cuando el 67% se considere mestiza) y mucha gente habla el aymara y el quechua. El nacionalismo es la ideología suprema de todos los partidos políticos. Desde la revolución de 1952, los sindicatos mineros y campesinos bolivia- 47 Scheer, 1994. 48 Di Marco, 1994; Santoni Rugiu, 1994; Walter, 1994. 49 Kaid y Holtz-Bacha, 1995. 50 Di Marco, 1993. 51 Estoy en deuda, por su ayuda en la elaboración de esta sección sobre la política me- diática boliviana, con Fernando Calderón, de La Paz, y con Roberto Laserna, de Cocha- bamba. El análisis se basa en los siguientes estudios realizado por investigadores bolivianos: Mesa, 1986; Archondo, 1991; Contreras Basnipeiro, 1991; Saravia y Sandoval, 1991; La- serna, 1992; Albo, 1993; Mayorga, 1993; Pérez Iribarne, 1993a, b; Ardaya y Verdesoto, 1994; Calderón y Laserna, 1994; Bilbao La Vieja Díaz et al, 1996; Szmukler, 1996.
  • 362.
    Ki2 II poderilr l.i idcntiitail nos se encuentran entre los actores sociales y militantes más conciencia- dos y organizados de América Latina. El principal partido nacionalista- populista, el Movimiento Nacionalista Revolucionario, ha estado en el poder, y fuera de él, las cuatro últimas décadas y sigue manteniendo la presidencia en 1996, con el apoyo de la izquierda nacionalista del Movi- miento Bolivia Libre y del movimiento katarista (indigenista)*. Las ten- siones sociales y la militancia política provocaron frecuentes golpes mili- tares, que no siempre disgustaron a la embajada estadounidense, hasta que la participación abierta de militares de alta graduación en el tráfico de drogas a finales de los años setenta y el cambio de política con Cárter modificaron la actitud estadounidense, facilitando la restauración de una democracia estable en 1982, con la llegada al poder de una coalición de izquierda. Desde entonces, aunque aumentaron las tensiones sociales de- bido a las políticas de ajuste estructural introducidas por el MNR en 1985 (que después proseguirían otros gobiernos), la democracia parece estar sólidamente establecida. Se desarrolló una viva lucha política, en la que los partidos se formaban, dividían y reformaban, y se forjaron las alian- zas políticas más inverosímiles para alcanzar el poder estatal. Así pues, la movilización social y la política democrática estaban y están vivas y go- zan de buena salud en Bolivia, dejando, en apariencia, poco espacio para que una variante andina de política informacional transforme el escena- rio político. Y sin embargo, desde 1989, la política de La Paz-El Alto (la capital boliviana y su periferia de asentamientos populares) ha estado dominada por un movimiento político organizado en torno a Carlos Pa- lenque, un antiguo músico folclórico de origen humilde que se convirtió en presentador de radio y televisión, luego en propietario de una red de medios de comunicación (RTP, Radio Televisión Popular) y por último en dirigente de Conciencia de Patria (Condepa), fundada el 21 de sep- tiembre de 1988 en Tihuanaco, la antigua capital del mundo aymara. Aunque la historia pueda parecer conocida, en realidad, es inusual, com- pleja y reveladora. La saga de Palenque comenzó en 1968, cuando en torno a su grupo folclórico Los Caminantes creó un programa de radio que incorporó de forma gradual el contacto directo con la audiencia, utilizando un lenguaje popular, con una mezcla de español y aymara, que ayudaba a la gente de los estratos urbanos pobres a comunicarse sin sentirse intimidada por el formalismo de los medios. En 1978, comenzó un programa de televisión, donde ofrecía una plataforma para que la gente expresara sus quejas. Se presentó como el compadre de su audiencia y también se refería a sus in- terlocutores como compadres y comadres, con lo que nivelaba el ámbito * En 1997 obtuvo la presidencia por mayoría popular el derechista y ex dictador Hugo Banzer, con el apoyo del dirigente de izquierda socialdemócrata Jaime Paz Zamora, que fue nombrado primer ministro.
  • 363.
    La polfticn InliiriuiK'iniiiily I» crisis de la democracia 3(tt de la comunicación e introducía una referencia a una comunidad funda- mental, arraigada en las tradiciones aymara y católica52 . En 1980 logró comprar Radio Metropolitana y después el Canal 4, una emisora de tele- visión de La Paz. Pronto se convirtieron en los medios más escuchados de la zona de La Paz y siguen siéndolo: el 25% de la audiencia radiofónica declaró que sólo escuchaba la Metropolitana. En la estrategia comunicativa de Palenque hay cinco elementos cru- ciales. El primero es la personalización de los espectáculos, con compa- dres y comadres enérgicos que representan diversos grupos, como la co- madre Remedios Loza, una mujer común (mujer de pollera), un tipo humano nunca antes visto en televisión, pese a ser la imagen misma de las familias populares de La Paz; o el compadre Paco, cercano a la clase me- dia; o su esposa, Mónica Medina de Palenque, una antigua bailarina de flamenco que asume el papel de la mujer prudente por naturaleza. La personalización de la interacción con la audiencia no se detiene en los programas en vivo, sino que se extiende a gran parte de la programación. Por ejemplo, aunque el Canal 4 emite los mismos culebrones latinoameri- canos que captan la atención en todo el mundo de habla hispana, el com- padre Palenque y su equipo comentaban personalmente los aconteci- mientos y dramas de varios episodios y participaban con su audiencia para relacionar el relato de los culebrones con las vidas diarias de los pa- ceños. En segundo lugar está la orientación hacia las mujeres, sobre todo las de clases inferiores, y su prominente presencia en los programas. En tercer lugar, existe una conexión directa con las preocupaciones y alegrías de la gente, con programas como «Los sábados del pueblo» que se emiten en directo con la participación de cientos de personas en los barrios urba- nos; o «La tribuna del pueblo», en la que la gente denuncia en directo los abusos que sufre. En cuarto lugar está la disposición a escuchar las quejas de la gente, dando oído a los lamentos que surgen de la dolorosa integra- ción de la vida rural e india en la descontrolada periferia urbana de La Paz. Y, en quinto lugar, aparece la referencia religiosa, que legitima la es- peranza como voluntad de Dios, con la promesa de la llegada de Jach'a Uru, el día en que, según la tradición aymara, todos los sufrimientos ten- drán fin. Sin embargo, no fue un camino llano el que llevó a Palenque a una posición de relieve. Debido a su crítica de las autoridades, con el pre- texto de una entrevista radiofónica con un importante traficante de dro- gas, la red RTP fue clausurada dos veces por el gobierno, en junio y no- viembre de 1988. Pero la protesta masiva y la decisión del Tribunal 52 Compadre y comadre son términos que significan pertenencia a la comunidad. Aunan elementos de la tradición aymara y la celebración católica (por ejemplo, los padrinos y las madrinas de los niños bautizados). Como tales, se espera de los compadres y las comadres que comprendan, colaboren, compartan y asuman la reciprocidad.
  • 364.
    I(l.l II poderdi' ln identulml Supremo propiciaron su reapertura unos meses después. La respuesta de Palenque fue crear un partido (Condepa) y presentarse a presidente. I'.n las primeras elecciones en las que participó, en mayo de 1989, Condepa se convirtió en el cuarto partido nacional y el primero de la capital. En las elecciones municipales, ganó la alcaldía de El Alto (la cuarta área ur- bana más grande de Bolivia) y entró en el concejo municipal de La Paz. En las elecciones municipales siguientes, Mónica Medina de Palenque se convirtió en alcaldesa de La Paz, puesto que mantuvo hasta 1996. Con- depa también está presente en el Congreso Nacional: entre otros diputa- dos, la comadre Remedios desempeñó un notable papel para impulsar la legislación en favor de la mujer boliviana. Pese a su populismo, Condepa no desarrolló una actitud de confrontación con los diversos gobiernos. En 1989 sus votos ayudaron a elegir en el Congreso al presidente Jaime Paz Zamora, a pesar de su tercer lugar en el voto popular. Y cuando en 1993 fue elegido un nuevo presidente del MNR, Sánchez de Losada, Condepa, aunque no participó en el gobierno, colaboró con él en varias iniciativas legislativas*. El éxito del compadre Palenque no ocurrió en un vacío social. Po- seía un mensaje de libertad, no sólo un medio de comunicación, que parecía encajar bien con la experiencia real de las masas urbanas de La Paz. Apeló a la identidad cultural de los inmigrantes recientes me- diante el uso del lenguaje, el hincapié en las tradiciones aymarás y la referencia al folclore y la religión. Contra las medidas de ajuste econó- mico y la integración en la economía global, expuso el sufrimiento dia- rio de los obreros desplazados y los pobres urbanos, los abusos a los que eran sometidos con el pretexto de la racionalidad económica. El compadre Palenque se convirtió en la voz de los que carecían de ella. Utilizando los medios como plataforma, pero vinculándolos con las ins- tituciones locales donde Condepa estaba presente, Palenque dirigió una serie de programas sociales, uno de los más logrados orientado a ayudar a los trabajadores industriales desplazados por la reestructura- ción y privatización de la economía. Rechazando el imperativo categó- rico de la globalización, el compadre Palenque propuso (si bien en tér- minos bastante vagos) un modelo de «desarrollo endógeno», basado en los recursos propios de Bolivia y contando con el espíritu comunal de su pueblo. Así pues, la influencia de Condepa no es sólo una manipu- lación de los medios de comunicación: sus temas hacen referencia al sufrimiento real de la gente de La Paz y su lenguaje se comunica di- rectamente con la identidad cultural y local de los estratos populares de La Paz y El Alto (hasta el punto de que el movimiento sigue * En 1997, el compadre Palenque sufrió una crisis matrimonial que acabó con el divorcio de su mujer, la ex alcaldesa de La Paz. Poco después, Carlos Palenque murió de un infarto. Pero el movimiento sigue, con la comadre Remedios al frente.
  • 365.
    I ;i polfticnmi. ii ni i. i.iii.il v la crisis ele la democracia 365 siendo en general local, autorizando a algunos especialistas a hablar de un «ayllu metropolitano»)53 . Sin embargo, sin el poder de los medios y sin una estrategia de comunicación perspicaz, que mezcla la radio y la televisión de entretenimiento con un espacio para las quejas públicas y con la construcción de una confianza carismática entre los dirigentes y la audiencia, Condepa se habría visto reducido a un papel menor, como pasó con otros movimientos populistas en Bolivia, como la Uni- dad Cívica Solidaridad de Max Fernández. En efecto, en 1996, los bo- livianos confían en los medios más que en sus representantes políticos (cuadro 6.3). CUADRO 6.3 Opinión de los ciudadanos bolivianos sobre qué instituciones representan sus intereses Institución % de opinión favorable Congreso de diputados 3,5 Cualquier partido político 3,4 Presidente 3,3 Alcalde 6,9 Comités vecinales 11,3 Sindicatos 12,6 Medios de comunicación de masas 23,4 Nota: Respuestas a la pregunta: «¿Cree que las siguientes instituciones representan sus intereses?» (porcentaje de todos los ciudadanos encuestados; muestra repre- sentativa nacional). Fuente: varios autores, 1996. Así que la política mediática no tiene por qué ser monopolio de los grupos de interés influyentes o de partidos políticos establecidos que usan el poder de la tecnología para perfeccionar la tecnología del poder. Como la influencia del compadre Palenque parece indicar, el comuna- lismo basado en la identidad y los movimientos de la gente pobre, a ve- ces bajo la forma de milenarismo religioso, pueden acceder a la política mayoritaria mediante la utilización de los medios. Al hacerlo, obligan a otros actores políticos a jugar a un juego similar (como en el caso de Bo- livia en la década de los noventa), con lo que contribuyen a encerrar la política en el espacio de los medios, si bien con características específicas que encajan con la tradición cultural, las condiciones económicas y la di- námica política bolivianas. Es más, pese a la orientación comunal de Condepa, en la experiencia del compadre Palenque encontramos una se- 53 Ayllu es la forma tradicional de una comunidad territorial/cultural en la tradición ay- mara.
  • 366.
    <()(, El poderde la identidad rie de rasgos que no son distintos de las tendencias más amplias de la po- lítica informacional, descrita anteriormente: la extremada personaliza- ción del liderazgo; la simplificación de los mensajes en términos dicotó- micos: bueno y malo; la preeminencia de los juicios morales y religiosos como marco de una vida pública y personal; la importancia decisiva del lenguaje, las imágenes y los símbolos emitidos electrónicamente para movilizar la conciencia y decidir la política; la volatilidad del talante pú- blico, perdido en la sensación de que el mundo gira fuera de control; la dificultad de encajar estas nuevas expresiones políticas en las categorías políticas tradicionales (hasta el punto de que algunos analistas bolivianos hacen referencia al surgimiento de una «política informal» paralela a la «economía informal»)54 ; y, en última instancia, también encontramos, en- tre estos compadres y comadres, una dependencia de su capacidad finan- ciera para apoyar la política mediática, con lo que se crea un círculo de retroalimentación (o un círculo vicioso) entre el poder, los medios y el dinero. Aunque la «resurrección de un ayllu metropolitano»55 muestra los límites de la globalización, es habitando en el espacio de los flujos mediáticos como las culturas tradicionales y los intereses populares afir- man su poder. Al hacerlo, sobreviven, pero se transforman al mismo tiempo, entrando en un nuevo mundo de sonidos e imágenes, de charan- gos de modulación electrónica, de cóndores protegidos y de un Jach'a Uru con guión televisivo. LA POLÍTICA INFORMACIONAL EN ACCIÓN: LA POLÍTICA DEL ESCÁNDALO X En la última década, se han visto sacudidos sistemas políticos de todo el mundo y han sido destruidos numerosos dirigentes políticos en una su- cesión constante de escándalos. En algunos casos, se han derrumbado 54 Ardaya y Verdesoto, 1994. 55 Archondo, 1991. 56 Esta sección se basa en parte en una lectura de los periódicos y revistas de diferentes países, así como en el conocimiento personal de algunos acontecimientos. Considero innece- sario proporcionar referencias detalladas para hechos que son del conocimiento público. Una visión general internacional de los escándalos políticos se proporciona en Longman, 1990, Potttical Scandals and Causes Célebres since 1945. Un importante volumen compara- tivo sobre el tema es Heidenheimer et ai, 1989. Pueden encontrarse relatos históricos sobre los escándalos políticos estadounidenses en Fackler y Lin, 1995 y Ross, 1988. Balz y Browns- tein (1996, pág. 27 ss.) proporcionan un relato reciente de los escándalos del Congreso en los Estados Unidos. En Johansen (1990) se encuentra una bibliografía anotada de la corrup- ción estadounidense. Fuentes adicionales utilizadas en esta sección son: King, 1984; Marko- vits y Silverstein, 1988a; Bellers, 1989; Ebbinghausen y Neckel, 1989; Bouissou, 1991; Mo- rris, 1991; Sábato, 1991; Barker. 1992; CQ Researcher, 1992; Meny, 1992; Phillips, 1992; Swan, 1992; Tranfaglia, 1992; Barber, 1993; Buckler, 1993; DeLeon, 1993; Grubbe, 1993; Ro- mán, 1993; Esprit, 1994; Gumbel, 1994; Walter, 1994; Arlachí, 1995; Fackler y Lin, 1995; García Cotarelo, 1995; Johnson, 1995; Sechi, 1995; Thompson, 1995.
  • 367.
    La política infonnmion.il y la crisis de la democracia 367 partidos políticos atrincherados sólidamente en el poder durante casi me- dio siglo, llevándose consigo en su desaparición el régimen político que habían moldeado en su interés. Entre los ejemplos importantes de esta evolución están los democristianos italianos, que se desintegraron literal- mente en la década de los noventa; el Partido Liberal Democrático japo- nés, que se dividió y perdió el gobierno por primera vez en 1993, aunque el partido como tal sobrevivió y sigue gobernando en coalición o en mino- ría; o el Partido del Congreso de India que, tras gobernar la mayor demo- cracia del mundo durante cuarenta y cuatro años de los más de cuarenta y ocho desde la Independencia, sufrió una derrota humillante en beneficio de los nacionalistas hindúes en las elecciones de 1996, después de un im- portante escándalo que involucró al dirigente del Congreso Narasimha Rao, poniendo fin, en apariencia, a un sistema político construido en torno al dominio incontestado de los sucesores de Nehru. Con la excep- ción de las democracias escandinavas y unos cuantos países pequeños, no sé de ningún país de Norteamérica, América Latina, Europa Oriental y Occidental, Asia o África donde no hayan estallado en los años recientes importantes escándalos políticos con consecuencias significativas y a ve- ces dramáticas57 . En unos cuantos casos, los escándalos se referían a la moralidad per- sonal de un dirigente (por lo general, un hombre impulsado de forma im- propia por la sexualidad o la embriaguez). Pero, en la mayoría de los ca- sos, el tema era la corrupción política, es decir, según la definición de Cari Friedrich: «Siempre que alguien ostenta el poder y está encargado de ha- cer ciertas cosas, esto es, es un funcionario responsable u ocupa un cargo, es inducido por recompensas monetarias o de otro tipo, no legales, a em- prender acciones que favorecen a quienquiera que proporciona las re- compensas y, por lo tanto, perjudican al público y sus intereses»58 . En al- gunos casos, los cargos gubernamentales sólo tomaron el dinero, sin necesidad de correr. O eso creyeron. Desde el presidente Roh de Corea del Sur hasta el de Brasil Collor de Mello y de algunos miembros del ejér- cito ruso o del Congreso de los Estados Unidos a algunos altos cargos de los gobiernos socialistas español y francés, oleada tras oleada de escánda- los políticos relacionados con la corrupción se han convertido en el ingre- diente básico de la vida pública en todo el mundo en la década de los no- venta. ¿Por qué es así? ¿Son nuestros sistemas políticos los más corruptos de la historia? Lo dudo. El uso y abuso del poder en beneficio personal es uno de esos rasgos que consideraría propios de la «naturaleza humana» si tal entidad existiera59 . Ésta es precisamente una de las razones por las 57 Heidenheimer et al, 1989; Longman, 1990; Garment, 1991; CQ Researcher, 1992; Meny, 1992; Grubbe, 1993; Román, 1993; Gumbel, 1994; Walter, 1994; Thompson, 1995. 58 Friedrich, 1966, pág. 74. 59 Leys, 1989.
  • 368.
    368 El poderde la identidml que la democracia se inventó y se convirtió en la forma de gobierno mas buscada, si no ideal. Entre bastidores, en las situaciones en que el estado controlaba la información, las élites políticas, tanto en los tiempos anti- guos como en épocas recientes, establecían alegremente su sistema impo- sitivo personalizado sobre sujetos y grupos de interés, estando las princi- pales diferencias en el grado de arbitrariedad de los sobornos y en la disfuncionalidad variable de las contribuciones ocultas para la conducción de los asuntos públicos. Así, una primera observación apunta al hecho de que la denuncia de la corrupción podría ser precisamente un buen indica- dor de una sociedad democrática y de la libertad de prensa60 . Por ejem- plo, bajo la dictadura de Franco, España sufrió el saqueo directo del país a manos del entorno del dictador, comenzando con las famosas visitas de doña Carmen a joyerías cuyos propietarios nunca se atrevieron a mandar la cuenta a su excelencia. Ningún observador serio afirmaría que la co- rrupción política en España fue más importante durante el gobierno so- cialista de la década de los ochenta que bajo Franco61 . Y, sin embargo, mientras que durante la dictadura la corrupción era sobre todo un cotilleo entre amigos de confianza, la vida política en la democracia española de los noventa se vio alterada por completo por las revelaciones y las acusa- ciones de corrupción gubernamental y conducta ilegal. Es más, en las de- mocracias establecidas desde hace tiempo, con libertad de prensa, como en los Estados Unidos, la frecuencia de la corrupción política, según se in- forma en la prensa, sube y baja, sin una tendencia clara a largo plazo, como cabe observar en la figura 6.2, elaborada por Fackler y Lin para los cien últimos años62 . Sin embargo, hay un aumento muy espectacular de información sobre la corrupción en torno a la época del Watergate de Ni- xon, precisamente el hecho que impresionó la imaginación de periodistas y políticos por la posibilidad de hacer caer al cargo más poderoso de la tierra, obteniendo y difundiendo información perjudicial. El estudio his- tórico realizado por King sobre la corrupción política en Gran Bretaña63 durante el siglo xix muestra la capacidad de penetración del fenómeno, que provocó la Ley de Reforma de 1867 para recortar esas prácticas, se- gún progresaba la democracia. Y Bouissou informa de que, en 1890, la prensa japonesa denunció un fraude electoral generalizado cuando el pe- riódico Asahi escribió que «quienquiera que compre estas elecciones es- tará en venta una vez elegido»64 . Además, en un análisis muy perspicaz, Barker ha mostrado que, cuando los actos ilegales cometidos por los polí- ticos no proporcionan suficiente munición para desacreditarlos, otros ti- pos de conducta (por ejemplo, el sexo impropio) se convierten en la ma- 60 Markovits y Silverstein, 1988. 61 Alonso Zaldívar y Castells, 1992. 62 Fackler y Lin, 1995. 63 King, 1989. 64 Bouissou, 1991, pág. 84.
  • 369.
    La polílicu intnnmu'iKMiily In crisis ilc U democracia Mi1 ) a>a. a o o E o <5 E Z 1895 1905 1915 1925 1935 1945 1955 1965 1975 1985 1995 FIGURA 6.2 Número medio de relatos de corrupción por periódico en los Estados Unidos, 1890-1992 Fuente: Fackler y Lin, 1995. teria prima del escándalo político65 . Así, utilizando la serie internacional de Longman de escándalos políticos66 , calculó que la proporción de es- cándalos políticos ilegales y no ilegales para todos los países (73:27) se acercaba relativamente a la proporción de los Estados Unidos o Francia, pero era muy diferente en el Reino Unido (41:59), de tal modo que el sexo y el espionaje se habían convertido allí en el equivalente funcional de las comisiones y los sobornos de otros países. La corrupción en sí pa- rece ser menos significativa que los escándalos (esto es, corrupción o fe- chorías reveladas) y su repercusión política67 . Así que, ¿por qué ahora? Si no es probable que la corrupción esté en su punto más alto de la historia, ¿por qué estalla en todos los medios y por qué afecta de forma tan devastadora a los sistemas y actores políticos en la década de los noventa? Hay diversos factores institucionales y ten- 65 Barker, 1992. 66 Longman, 1990. 67 Lowi, 1988.
  • 370.
    l/ll I I[KKIC-I de l,i ick'iilkliiil ciencias macropolíticas que han debilitado los sistemas políticos, luición dolos más vulnerables a la confusión creada en la opinión pública, L.i competencia política y la lucha por influir en el centro del espectro poli tico del electorado han minimizado el contraste ideológico a medida que los partidos/coaliciones, una vez asegurado su núcleo de partidarios, se es fuerzan todo lo posible por arrebatar los temas y posiciones a sus advci sarios. Esto se traduce en un desdibujamiento de las posiciones políticas y en la tendencia, por parte de los ciudadanos, de ser más sensibles a la fiabilidad de los partidos y candidatos que a sus posiciones ante los pro- blemas. La personalización de la política también centra la atención en los dirigentes y en su carácter, con lo que se abre la vía para los ataques precisamente sobre esas cualidades como forma de ganar votos. La po- tente economía criminal global en ascenso se ha infiltrado en las institu- ciones estatales de muchos países, con frecuencia en los niveles más ele- vados del gobierno, lo que proporciona munición para crear escándalos y también se utiliza la información para amenazar a los políticos y lograr su sumisión. Los factores geopolíticos también desempeñan su papel: así, los sistemas políticos italiano y japonés, organizados en torno a la Democra- cia Cristiana y el Partido Liberal Democrático respectivamente, se esta- blecieron a raíz de la Segunda Guerra Mundial con una ayuda e influen- cia considerables de los Estados Unidos, para instalar un baluarte contra el comunismo en dos democracias que eran cruciales en el contexto de la guerra fría y donde los partidos comunista y socialista eran fuertes68 . Las conexiones antiguas y bien conocidas de algunos notables democristianos con la Mafia69 y de algunos liberales demócratas con la Yakuza10 no fue- ron un obstáculo para el apoyo incesante de las fuerzas internacionales e internas a esos partidos, en la medida en que su reemplazo era una opera- ción excesivamente arriesgada. En el contexto posterior a la guerra fría, cada partido queda abandonado a su suerte, a los movimientos del mer- cado político de cada país; la disciplina interna de los partidos se vuelve menos estricta, porque es más fácil permitir una competencia feroz en au- sencia de un enemigo exterior. Guehenno también ha sugerido que, en un mundo de estados-nación evanescentes y compromisos ideológicos incier- tos, las recompensas por ocupar un cargo ya no son diferentes de las ofre- cidas en la sociedad en general, es decir, en definitiva, dinero, como la clave de los proyectos personales u organizativos, desde disfrutar de la vida hasta proporcionar el sustento a la familia o ayudar a causas humani- tarias71 . Todos estos factores parecen contribuir a que los sistemas políticos Johnson, 1995. Tranfaglia, 1992. Bouissou, 1991; Johnson, 1995. Guehenno, 1993.
  • 371.
    1.a polftic» iulnimiHIIIIIIII v la crisis de la democracia 371 sean vulnerables a la corrupción. Pero hay algo más, algo que, en mi opi- nión, cambia la naturaleza de los sistemas políticos en las sociedades con- temporáneas. Sostengo que la política de los escándalos es el arma elegida para luchar y competir en la política informacional. El argumento puede resumirse así: en general, la política se ha encerrado en el espacio de los medios. Los medios se han vuelto más poderosos que nunca, tecnológica, financiera y políticamente. Su alcance global y su interconexión les permi- ten escapar de los controles políticos estrictos. Su capacidad para hacer periodismo de investigación y su autonomía relativa frente al poder polí- tico los convierte en la fuente principal de información y de opinión para la sociedad en general. No es que los medios sean el Cuarto Poder: son más bien el campo de las luchas por el poder. La política mediática es una operación cada vez más cara, encarecida aún más por toda la parafernalia de la política informacional: encuestas, publicidad, marketing, análisis, creación de imagen y procesamiento de la información. Los sistemas insti- tucionales actuales de financiación política no están a la altura de la tarea. Los actores políticos padecen una infrafinanciación crónica y la brecha entre los gastos necesarios y los ingresos legales ha aumentado de forma exponencial, y continúa haciéndolo72 . Así pues, tras agotar todas las fuen- tes legales, las aportaciones personales y los tratos comerciales, los parti- dos y los políticos suelen recurrir a la única fuente real de dinero: contri- buciones bajo cuerda del mundo empresarial y los grupos de interés, a cambio, obviamente, de decisiones del gobierno en favor de sus intereses73 . Ésta es la matriz de la corrupción política sistémica, a partir de la cual se desarrolla una red en la sombra de negocios e intermediarios. Una vez que la corrupción se extiende y después de que unas cuantas personas añaden su comisión personal a los canales de financiación política, todo el mundo de la política y los medios de comunicación sabe (o cree que sabe) que, si se mira de cerca y durante el tiempo suficiente, puede encontrarse infor- mación perjudicial sobre casi todos. Entonces comienza la caza y los ase- sores políticos preparan la munición para atacar o defenderse; los perio- distas cumplen su labor como informadores de investigación, buscando material para incrementar su público y sus ventas; los mercenarios y chantajistas rastrean información que pueda utilizarse en un posible so- borno o para vender a las partes interesadas. De hecho, la mayoría del material perjudicial publicado por los medios es filtrado por los propios actores políticos o por intereses comerciales asociados. Por último, una vez que se crea el mercado para la información política perjudicial, si no existe suficiente material bien definido, pueden aparecer las alegaciones, insinuaciones e incluso invenciones, dependiendo, por supuesto, de la ética individual de los políticos, periodistas y medios de comunicación. En 72 Weinberg, 1991; Freeman, 1994; Pattie etai, 1995. 73 Meny, 1992.
  • 372.
    372 I Ipoder ilt' l.l lclrnlHl.nl efecto, la estrategia de la política de los escándalos no pretende necesa- riamente dar un golpe inmediato a partir de un escándalo. Es el flujo constante de varios escándalos de diversas clases y con grados diferentes de verosimilitud, de la información seria sobre un incidente menor a ale- gaciones dudosas sobre un tema importante, el que teje el hilo donde las ambiciones políticas acaban estranguladas y los sueños políticos agosta- dos, a menos que se haga un trato, con lo que se retroalimenta el sistema. Lo que cuenta es la repercusión final sobre la opinión pública, por la acu- mulación de muchos impactos diferentes74 . Como en el antiguo dicho ruso, «no puedo recordar si ella robó un abrigo o si se lo robaron a ella». El estadio superior de la política de los escándalos es la investigación judicial o parlamentaria, que lleva al procesamiento y, cada vez con ma- yor frecuencia, al encarcelamiento de dirigentes políticos75 . Los jueces, fiscales y miembros de las comisiones de investigación entran en una rela- ción simbiótica con los medios de comunicación. Protegen a los medios (asegurando su independencia) y con frecuencia los alimentan con filtra- ciones calculadas. A cambio, son protegidos por los medios, se convierten en sus héroes y, a veces, en políticos de éxito con su apoyo. Juntos, luchan por la democracia y un gobierno transparente, controlan los excesos de los políticos y, en definitiva, sacan el poder del proceso político, difun- diéndolo en la sociedad. Al hacerlo, también pueden deslegitimar a los partidos, a los políticos, a la política y, en última instancia, a la democra- cia en su encarnación actual76 . La política del escándalo, practicada en la década de los noventa con- tra el partido socialista español en el gobierno ofrece una ilustración inte- resante de este análisis*. Tras la victoria socialista en las elecciones de 1989 (la tercera consecutiva), una coalición de grupos de interés entre bambalinas decidió que era el momento de poner fin al dominio incontes- tado de los socialistas en la vida política española, un dominio que podía preverse que llegaría hasta el siglo XXI. Para evitarlo, desde distintos ám- bitos, se procedió a la demolición de la influencia y la imagen socialista en la opinión de los ciudadanos77 . Esta heteróclita coalición de intereses se vio favorecida por dos factores. Por un lado, el factor fundamental sin el cual dicha estrategia política no hubiera sido factible: la corrupción e ile- galidad que caracterizaron algunas actuaciones de la administración, so- 74 Barker, 1992; CQ Researcher, 1992. 75 Garment, 1991; García Cotarelo, 1995; Thompson, 1995. 76 Bellers, 1989; Arlachi, 1995; García Cotarelo, 1995; Fallows, 1996. * Los siguientes párrafos han sido añadidos a la edición española y escritos por el autor en el verano de 1997, para tener en cuenta nuevos datos conocidos con posterioridad a la re- dacción del original inglés. 77 Cacho, 1994; García Cotarelo, 1995; Temas, 1995; Miralles, 1992; Cacho y García- Abadillo, 1992; Cerdán y Rubio, 1995; Chomon y Calvo, 1994; Díaz Herrera y Tijeras, 1991; Rubio y Cerdán, 1997.
  • 373.
    I .1 |Hilllícauilniiihu ICIIIHI y ln 11 IMS de l.i democracia 17.1 IHC lodo socialista, por ser la que ostentaba más poder, pero también con- servadora (por ejemplo, en Burgos y en las Baleares). En particular, la corrupción de altos niveles de la seguridad (Ministerio del Interior, Guar- dia Civil) y de los altos niveles de la gestión económica (Gobernador del Manco de España) pusieron en cuestión la integridad del conjunto del go- bierno. Y pronto se hizo evidente que los partidos políticos, y en particu- lar el partido socialista, recurrían a métodos ilegales de financiación. Por otro lado, el periodismo de investigación, que se desarrolló en Es- paña en las dos últimas décadas amparado en la protección judicial y en el nuevo clima democrático, proporcionó un instrumento esencial para ai- rear los trapos sucios de cualquiera cuando conviniese. Una llamada de teléfono de algún despechado en alguna trama, o la filtración interesada por alguna de las partes implicadas ponía en marcha a avezados reporte- ros para quienes el descubrimiento de un escándalo se convertía en un trampolín profesional77a La mayor parte de los escándalos antisocialistas fueron publicados ini- cialmente por un periódico de nueva creación, El Mundo, un periódico de excelente nivel profesional y escasos escrúpulos políticos, que nació con la mirada puesta en la destrucción del gobierno socialista. Se ha especu- lado sobre qué intereses podía haber tras tal empeño. Cierto es que el no- torio aventurero de las finanzas Mario Conde había invertido en ese pe- riódico, pero también lo había hecho en otros medios de comunicación, en aras de su estrategia de influencia política. El principal accionista de El Mundo era, y es, una empresa editorial italiana controlada por el mítico Agnelli, el patrón de la FIAT y de múltiples negocios, no siempre diáfa- nos, con conexiones históricas en los sectores más conservadores de la Democracia Cristiana italiana, un partido atravesado por oscuras tramas. Sin embargo, no está claro cuál podría ser el interés directo de Agnelli en la destrucción del socialismo español. El análisis del proceso parece que debe hacerse en sentido inverso: el nuevo medio de comunicación surge de una iniciativa personal empresa- rial que gana un mercado que surgía en esos momentos: el mercado del cerco informativo a la corrupción socialista. Su director y fundador es un profesional de relieve, influido por el buen periodismo estadounidense, que decidió vengarse de su expulsión de su anterior periódico, Diario 16, expulsión que él atribuyó a círculos del gobierno. Una vez creado un ins- trumento de expresión que pronto probó su eficacia, empezó a recibir «encargos», o sea filtraciones e informaciones confidenciales que, conve- nientemente aderezadas y dosificadas, se convirtieron en campañas de denuncia que pronto cubrieron todo el espectro de la administración so- cialista. Otros órganos de prensa, desde el conservador ABC hasta el pro- 77a Véase el interesante reportaje sobre el periodismo de investigación relativo a los es- cándalos políticos: Nieto, 1997.
  • 374.
    374 El poderde la idenlidiid gresista El País, adoptaron una estrategia informativa similar, adaptada a las estrategias político-comerciales propias de cada medio. A partir de los datos del periodismo de investigación, así como de rumores presentados como datos, publicaciones sensacionalistas y tertulias radiofónicas (en particular en la cadena COPE, propiedad de la Iglesia Católica), bombar- dearon a la audiencia con denuncias de todos los tonos, hasta que la tele- visión, incluida la televisión gubernamental, se hizo eco de las mismas, di- fundiéndolas a toda la opinión pública. Aunque hubo diversos escándalos a lo largo de los ochenta, el punto inicial de la campaña antisocialista surge en enero de 1990 con la de- nuncia (primero en la prensa de Andalucía, luego en la de Madrid) del tráfico de influencias por parte de uno de los hermanos del vicepresi- dente del gobierno y número dos del partido socialista. Aunque las fe- chorías de este sinvergüenza de poca monta no eran de gran importan- cia, y aunque los tribunales absolvieron al vicepresidente de toda culpa, el «asunto Guerra» ocupó los titulares de los medios españoles durante dos años, provocando, en enero de 1991, la dimisión del vicepresidente, que se negó tozudamente a condenar en público a su hermano. El caso Guerra fue, tácticamente, una brillante iniciativa para abrir brecha en la credibilidad pública socialista porque en la defenestración política del vicepresidente convergieron las fuerzas antisocialistas y los antiguerris- tas del propio partido socialista, haciendo frente común en contra de la dictadura interna que, según ellos, imponía el vicesecretario general desde el aparato del partido. De modo que, por distintos caminos, se llegó a una casi unanimidad mediática en la condena y censura de Gue- rra y del llamado «guerrismo» dentro del partido. Pero esta fácil victo- ria fue el principio, no el fin, del proceso de hostigamiento informativo al sistema de poder socialista, en último término encarnado por Felipe González. La nueva campaña se centró en la denuncia de la financiación ilegal del Partido Socialista mediante un entramado de empresas que recibían fondos, sin aparente justificación, por parte de bancos y grandes compa- ñías. La denuncia se inició a partir de las revelaciones de un contable de una de esas empresas, despechado por haber sido despedido y no haber obtenido la compensación que reclamaba. Así se inició el «caso Filesa», que desembocó en una investigación judicial que llevó al procesamiento de varios dirigentes socialistas y apartamiento político de varios cuadros importantes de la dirección del partido. Cuando, pese a todas estas acusa- ciones, a la división interna suscitada en el partido y al desprestigio en amplios sectores de la opinión pública, los socialistas aún consiguieron su- ficientes escaños para formar gobierno una cuarta vez, en 1993, se aceleró el ritmo de los escándalos políticos en los medios de comunicación y en la escena judicial. El gobernador del Banco de España, Mariano Rubio, fue descubierto en el centro de una red financiera que utilizaba información
  • 375.
    La pollina iiifoniimIOIIUI v ln crisis de la democracia .17.5 privilegiada en su propio beneficio, red que incluía a destacados miem- bros de la élite financiera cercana al poder económico socialista, entre ellos el ex Superministro de Economía Miguel Boyer: en enero de 1997 la Audiencia Nacional acabó imputando a Rubio y a su asociado Manuel de la Concha, ex síndico de la Bolsa de Madrid, delitos de falsedad, cohecho, negociaciones prohibidas a los funcionarios públicos, tráfico de influen- cias, fraude fiscal y uso de información privilegiada. El primer civil nom- brado Director General de la legendaria Guardia Civil resultó ser un truhán que cobraba comisiones, especulaba con la construcción de cuarte- les y se apropiaba los fondos reservados del gobierno, acumulando una fortuna personal en un tiempo récord hasta que lo descubrieron (también por filtración desde dentro de la Guardia Civil por guardias corruptos re- presaliados), huyó a Laos y fue finalmente detenido en Bangkok y repa- triado a una cárcel española en un episodio tragicómico que hizo sentir vergüenza propia a todo el país. Más aún: un oficial resentido del CESID (el servicio de espionaje español) filtró documentos altamente compro- metedores, entre ellos pruebas de escuchas ilegales a diversas personali- dades, incluido el rey. Y para completar la desintegración de la moral pú- blica, policías encarcelados por su participación en la creación de los GAL, los grupos de asesinos contratados por la policía española para lle- var a cabo la guerra sucia contra ETA, fueron persuadidos por periodis- tas, políticos y jueces para declarar sobre el origen de las órdenes recibi- das. A partir de ahí, la plana mayor del primer ministerio del Interior socialista pasó a ser acusada y algunos de sus miembros encarcelados, como inductores y organizadores de secuestros y asesinatos, con cargo a fondos públicos. De importancia capital en este proceso político fue la actitud de los jueces, que mostraron una gran independencia con respecto al gobierno y, en varios casos individuales, no desperdiciaron oportunidad de hostigar a la administración socialista. Las cosas fueron de mal en peor para los socialistas como resultado de una arriesgada y teóricamente brillante ma- niobra de Felipe González. En 1993 consiguió reclutar al más famoso, y probablemente más incisivo, de los jueces de la Audiencia Nacional para las listas electorales socialistas como diputado independiente, en prueba de la voluntad de lucha contra la corrupción y con la promesa de un alto cargo en el ministerio de Justicia. Fue un desastre. Ya fuera porque el puesto (responsable del Plan Nacional antidroga) no era lo bastante ele- vado (versión socialista) o porque el juez se decepcionó por lo que vio (versión del juez), éste dejó el gobierno y el parlamento, se reintegró a su puesto en la Audiencia Nacional y se convirtió en el más ferviente perse- guidor de toda potencial fechoría a los niveles más elevados del gobierno. Mediante esta auténtica oleada de investigaciones judiciales y parlamen- tarias, algunas de las cuales llevaron a procesamientos, otras a condenas, y otras se desvanecieron por falta de pruebas, los escándalos políticos
  • 376.
    17(1 El poderde la identidml ocuparon las primeras planas de los medios de comunicación españoles diariamente durante seis años, paralizando literalmente la acción de go bierno, destruyendo figuras políticas y empresariales, y socavando decisi vamente al PSOE, la fuerza política más importante del país. Los socialistas acabaron perdiendo las elecciones de 1996, aunque por poco, merced a la extraordinaria credibilidad de su líder, Felipe Gonzá- lez. Pero fue una última victoria en la derrota: un año más tarde, González, agotado por las embestidas sufridas desde fuera y desde dentro de su ám- bito, dimitió como secretario general, aunque su proyección política, na- cional e internacional, sigue siendo considerable, mostrando así los límites de la capacidad destructiva de la política del escándalo. Por qué y cómo ocurrió en España este bombardeo antisocialista me- diático/judicial, que acabó cambiando el curso político del país, es un tema complejo sobre el que no existen datos fiables más allá de las teorías conspirativas simplistas de los propios afectados. Como siempre, la reali- dad es más compleja que cualquier hipótesis reduccionista. Puede aventu- rarse que se trata de una serie de factores entrelazados. Por un lado, y esto es esencial, hay una materia prima: muchos de los hechos «escanda- losos» tenían una base real. La financiación ilegal de los partidos, de to- dos los partidos, es una gangrena de la democracia y se traduce en el trá- fico de influencias como medio para mantenerse en el poder o para volver a él cuando se pierde. Al amparo de la hegemonía socialista en to- dos los niveles de la administración florecieron prácticas de corrupción de distinto tipo, desde el ladronzuelo municipal hasta el tiburón financiero, y los controles fueron obviamente ineficaces en muchos casos. Un factor significativo para entender la amplitud de la corrupción se refiere a la cul- tura del dinero fácil (frecuentemente confundida con el triunfo del mer- cado) en los años felices del auge socialista. Quienes estaban cerca de las fuentes de enriquecimiento pero no podían beneficiarse directamente tu- vieron que asumir una santidad cotidiana que era tanto más heroica cuan- to la mayoría de cuadros socialistas de la administración carecían de ver- dadera motivación ideológica y eran, en su gran mayoría, recién llegados a la política, al transformarse el PSOE en un partido de aluvión por su rá- pido éxito en los albores de la democracia. Por otro lado, la escasa trans- formación del aparato policial y militar heredado del franquismo tuvo su secuela no sólo en la persistencia de prácticas de terrorismo de estado, sino en la alianza de dirigentes socialistas con un sector de dicho aparato contra el sector más reaccionario, alianza por la que hubo que pagar un tributo: el de condonar en la práctica, al menos en los primeros tiempos, la tortura, la venganza y la represión policial al margen de la ley. Sobre este trasfondo de actos ilegales o en los márgenes de la ley, y en todo caso moralmente condenables por la mayoría de los ciudadanos, ju- garon estrategias de información/desinformación que conectaron los ma- teriales susceptibles de escándalo con la opinión pública mediante la utili-
  • 377.
    La política infornincionaly la crisis de la democracia 377 zación de los medios de comunicación, que, a su vez, buscaron esos mate- riales, y su difusión, como medio de acrecentar su influencia, sus ventas y su prestigio profesional. Sí parece que hubo conspiraciones, si por ello en- tendemos grupos de intereses organizados que diseñaron estrategias de difusión de informaciones (verdaderas, falsas o medias verdades) para fa- vorecer sus intereses. Pero probablemente (no tengo datos comunicables para afirmarlo) no hubo una gran conspiración, sino muchas conspiracio- nes parciales, entrecruzadas, aliadas u opuestas según los momentos y se- gún los casos. Como mínimo, pueden identificarse las siguientes fuentes de «informaciones escandalosas» en torno a estrategias políticas conver- gentes contra el poder socialista: —Las fuerzas conservadoras tradicionales, en un amplio arco que va desde los restos del franquismo hasta importantes sectores de la Iglesia Católica, incluyendo el Opus Dei. —Las fuerzas políticas de derechas, que probablemente desempeña- ron un papel aglutinante en los años noventa, como instrumento de alter- nativa política, en el que finalmente debían converger los efectos de la de- molición de los socialistas en la opinión pública. —Las tendencias internas del Partido Socialista, pugnando entre sí para ganar cuotas de poder y, sobre todo, para desprestigiar a los adver- sarios dentro del partido en la opinión de Felipe González, líder indiscuti- ble que en última instancia decidía el reparto de las cuotas de poder. Tanto unas tendencias como otras parecen haber desempeñado un papel importante en la filtración de informaciones y en la predisposición de al- gunos medios de comunicación en contra de la tendencia rival. En este sentido, no puede hablarse con propiedad de una conspiración antisocia- lista, puesto que los socialistas también conspiraron los unos contra los otros, participando en coalición con adversarios del socialismo en contra de sus «compañeros de partido», en una buena demostración de la fragili- dad de las fronteras doctrinales como delimitación de redes de poder. —La lucha entre grandes grupos financieros, en particular la lucha en- tre el núcleo tradicional de la Banca española, aliado con el Banco de Es- paña, y los advenedizos de la especulación financiera, de los que Mario Conde y su Banesto eran un símbolo, pero cuyas redes empezaban a mul- tiplicarse, cercando a la oligarquía tradicional, en alianza con agentes es- peculativos internacionales. Las alianzas cambiantes entre estos grupos fi- nancieros, los medios de comunicación, los partidos políticos y las tendencias internas en el Partido Socialista es un tema tan poco conocido como decisivo a la hora de interpretar la recomposición del sistema de poder por la política del escándalo. —Tampoco hay que olvidar el factor personal. Las rencillas y descon- tentos acumulados a través de los años por quienes ven frustradas sus am- biciones personales de medrar a la sombra del poder. Tal es el caso de nu-
  • 378.
    (7K líl poderde la ulciUtdutl merosos intelectuales y comentaristas transformados en contertulios ra- diofónicos y editorialistas virulentos en contra de un poder socialista que, en su opinión, les relegó en beneficio de protegidos políticos mucho menos listos y capacitados. O el caso de algunos empresarios, como Ruiz Mateos, que atribuyeron su ruina al gobierno socialista y juraron venganza, incluso dedicando a ello su vida y su fortuna, como en el caso del susodicho. —Las grandes maniobras de competencia y alianza entre los grupos de comunicación, en un momento de constitución del nuevo sistema au- diovisual español, aparecen como decisivas en la determinación de qué escándalos se publican, cuándo y dónde. En este sentido, los intrépidos periodistas investigadores son, esencialmente, peones a pesar suyo de es- trategias más amplias entre grupos tales como Prensa Española, PRISA, Zeta, La Vanguardia, El Correo, Grupo 16, El Mundo o la Iglesia Cató- lica. El control de concesiones de licencias de radio y televisión, el acceso a la publicidad pública y las facilidades de crédito han sido elementos de- terminantes en la participación o no de los medios en las campañas perio- dístico-políticas, en el tono adoptado y en la evolución de su actitud. En cuanto una tendencia política pierde (por ejemplo, el guerrismo en el PSOE), todos los medios se ceban sobre el árbol caído, a la vez como prueba de su independencia y como elemento de advertencia hacia los nuevos (y transitorios) dirigentes. —Y, en fin, una opinión pública difusa, tanto en el mundo mediático como en otros sectores de la vida española, según la cual el dominio so- cialista era excesivo y la arrogancia de algunos de sus dirigentes intolera- ble, por lo cual las élites sociales informadas debían reaccionar y exponer el verdadero rostro de los socialistas a un electorado seducido que, en su mayoría, siguió votando socialista en cuatro elecciones consecutivas. Así pues, en definitiva y prescindiendo de la motivación personal o in- tereses empresariales específicos, los medios de comunicación afirmaron su poder de forma colectiva y, en alianza con el poder judicial, trataron de que la clase política española, incluido el Partido Popular, aprendieran la lección para el futuro. Los vericuetos de la política, sin embargo, son difícilmente predecibles, de modo que, en realidad, en 1997 el Partido Popular en el Gobierno, sacó la lección contraria. En lugar de aceptar el poder de los medios decidió, con el apoyo de alguno de ellos, y en particular de El Mundo, controlar di- rectamente los medios de comunicación, atacando frontalmente al grupo considerado como hostil a las fuerzas conservadoras, el grupo PRISA. Para ello, utilizando su control de la Compañía Telefónica, el gobierno tomó el control de Antena 3 Televisión, uno de los dos únicos canales pri- vados de televisión, y apoyó la creación de una plataforma de televisión digital afín, Vía Digital, favoreciéndola desde el gobierno en contra de su competidor Canal Digital, del grupo PRISA. Todo ello a pesar de las re-
  • 379.
    I ,;i polilii,i IIII.II inai ion.il l,i cusís tío la dcmoci.uM .17') criminaciones recibidas desde Bruselas por los organismos de la Comisión Europea encargados de velar por la libre competencia. En el momento de escribir este texto, en el verano de 1997, pareciera que la antigua estrategia del ordeno y mando estatal sobre los medios de comunicación en el caso español confirma la pervivencia del poder del Estado sobre la lógica propia del ámbito mediático. Ello me permite pro- poner una hipótesis al lector, hipótesis verificable en el plazo de meses o de unos pocos años: el efecto político contraproducente de dicha estrate- gia, al igual que ocurrió con Berlusconi cuando obtuvo el control de los seis canales nacionales de televisión en Italia. La razón es triple: —La falta de credibilidad de un sistema mediático que repite el mismo mensaje en todas sus manifestaciones lleva a la aparición de medios alter- nativos (incluidas las televisiones autonómicas de distinta tendencia polí- tica) o a su inutilización como canal de formación de opiniones políticas. —La autonomía de los profesionales de los medios tiende a crear ex- presiones no controladas, con el apoyo y solidaridad de los profesionales en los casos de represión empresarial, como ocurrió en los medios de co- municación durante la dictadura franquista. —Y, en fin, la situación de monopolio informativo a través de la tele- visión tradicional tiene los años contados, incluso en España, en la me- dida en que la televisión por cable y por satélite desarrolle su implanta- ción, proponiendo alternativas, en parte mediante emisiones situadas fuera del control territorial del gobierno español. En suma, la estrategia de control absoluto de la televisión por parte del gobierno del Partido Popular más bien parece ser un ordago político coyuntural para intentar alcanzar una mayoría absoluta en las siguientes elecciones que un proyecto estatista perdurable. La historia dirá, a muy corto plazo. En cualquier caso, lo verdaderamente pertinente para nuestro propó- sito analítico es la utilización de los escándalos políticos y de su difusión en los medios de comunicación como el arma fundamental de actores po- líticos, sectores empresariales y grupos de interés para luchar entre sí. Al hacerlo, transformaron la política española para siempre, situándola pre- ferentemente en el ámbito de los medios de comunicación. Lo característico de la política del escándalo es que todos los actores políticos que la practican quedan atrapados en la misma trama. El caza- dor de hoy es la presa de mañana. Un ejemplo que viene al caso es la aventura de Berlusconi en Italia. Los hechos son conocidos: explotó su control de las tres cadenas de televisión privadas para montar una cam- paña devastadora contra el corrupto sistema político italiano78 . Luego 78 Walter, 1994.
  • 380.
    IHO II (xxlcíilc la uKiilHlad creó, en tres meses, un «partido» a medida (For/a Italia, bautizado así por el grito de ánimo de los hinchas del equipo nacional de fútbol italiano) y, en alianza con el partido neofascista y la Liga Norte, ganó las elecciones generales de 1994 y se convirtió en primer ministro. En teoría, el control del gobierno le daba autoridad sobre las otras tres cadenas de televisión gubernamentales. Pero la autonomía de los medios y de los periodistas fue sólidamente afirmada. Pese a la abrumadora presencia de Berlusconi en las empresas mediáticas (en periódicos y revistas, así como en televi- sión), tan pronto como se convirtió en primer ministro, el poder judicial y los medios, de nuevo juntos, lanzaron un resuelto asalto sobre sus fraudes financieros y comisiones ocultas, socavando sus negocios, llevando a la justicia a algunos de sus socios, procesándolo a él mismo y, en definitiva, perjudicando su imagen de tal modo que el parlamento censuró su go- bierno. Luego, en 1996, el electorado lo rechazó, eligiendo en su lugar a la coalición de centro-izquierda L' Ulivo, cuyo principal componente, el Partito Democrático di Sinistra, ex comunista y ahora socialista, todavía no había estado en el gobierno nacional y, de este modo, había salvado su reputación. La lección, extremadamente importante, de esta evolución de la polí- tica italiana es que la influencia empresarial abrumadora en los medios no equivale al control político en la política informacional. El sistema mediá- tico, con sus vinculaciones simbólicas con las instituciones judiciales y procesales de la democracia, establece su ritmo propio y recibe señales de todo el espectro del sistema político, para transformarlas en ventas e in- fluencia, sin que importe el origen y el destino de las repercusiones políti- cas. La regla de oro es que lo más valioso es lo que tiene mayor repercu- sión en una situación determinada. Una vez que un político o partido pierde la importancia, no vuelve a ser tema de las noticias. El sistema po- lítico queda absorbido en la turbulencia interminable de los informes, las filtraciones, las contrafiltraciones y la creación de escándalos de los me- dios. Sin duda, algunos osados estrategas políticos tratan de montar al ti- gre, situándose ellos mismos en las empresas mediáticas, estableciendo alianzas y seleccionando y cronometrando las descargas de información. Esto es exactamente lo que trató de hacer Berlusconi. Su destino acabó siendo similar al de aquellos especuladores financieros que pretendieron conocer el curso de la navegación en los impredecibles mercados finan- cieros globales. En la política del escándalo, como en otros ámbitos de la sociedad red, el poder de los flujos arrolla a los flujos de poder. LA CRISIS DE LA DEMOCRACIA Unamos los distintos hilos que hemos identificado sobre la transfor- mación del estado-nación y el proceso político en las sociedades contem-
  • 381.
    I .1 pulfliuimloi IIIIH loiinl v ln crisis do la democracia 381 poráneas. Cuando se tejen en una urdimbre histórica, revelan la crisis de la democracia como la hemos conocido en este siglo79 . El estado-nación, definidor del dominio, los procesos y el objeto de la ciudadanía, ha perdido gran parte de su soberanía, socavada por las diná- micas de los flujos globales y las redes transorganizativas de riqueza, in- formación y poder. Particularmente crítica para su crisis de legitimidad es la incapacidad del estado para cumplir sus compromisos como estado de bienestar, debido a la integración de la producción y el consumo en un sistema global interdependiente y los procesos relacionados de reestruc- turación capitalista. En efecto, el estado de bienestar, en sus diferentes manifestaciones, según la historia de cada sociedad, fue una fuente crucial de legitimidad política en la reconstitución de las instituciones de go- bierno tras la Gran Depresión de la década de los treinta y la Segunda Guerra Mundial80 . El rechazo del keynesianismo y el declive del movi- miento obrero pueden acentuar la desaparición del estado-nación sobe- rano debido al debilitamiento de su legitimidad. La (re)construcción del significado político atendiendo a identidades específicas cuestiona de modo fundamental el propio concepto de ciuda- danía. El estado sólo puede cambiar la fuente de su legitimidad de repre- sentar la voluntad del pueblo y proporcionarle bienestar a la afirmación de una identidad colectiva, mediante su identificación con el comuna- lismo, excluyendo otros valores e identidades minoritarias. En efecto, éste es el origen de los estados nacionalistas fundamentalistas, étnicos, te- rritoriales o religiosos, que parecen surgir de las crisis políticas de legiti- midad actuales. Sostengo que no pueden, y no lo harán, sostener la demo- cracia (es decir, la democracia liberal), porque los propios principios de representación entre los dos sistemas (ciudadanía nacional, identidad sin- gular) son contradictorios. A la crisis de legitimidad del estado-nación debemos añadir la crisis de credibilidad del sistema político, basada en una competencia abierta entre los partidos políticos. Atrapado en el ámbito de los medios, redu- cido a un liderazgo personalizado, dependiente de una compleja manipu- lación tecnológica, empujado a una financiación ilegal, arrastrado por los escándalos políticos, el sistema de partidos ha perdido su atractivo y su fiabilidad y, a todos los fines prácticos, es un resto burocrático, privado de la confianza pública81 . Como resultado de estos tres procesos convergentes e interactuantes, la opinión pública y las expresiones individuales y colectivas muestran una desafección creciente y fundamental hacia los partidos, los políticos y 79 Mine, 1993; Guehenno, 1993; Patterson, 1993; Ginsborg, 1994; Touraine, 1995b; Katz- nelson, 1996; Weisberg, 1996. 80 Navarro, 1995. 81 West, 1993; Anderson y Comiller, 1994; Mouffe, 1995; Navarro, 1995; Salvali,1995; Balz y Brownstein, 1996.
  • 382.
    Pngunta: ¿Aprutbl Odaaaprueba al modo en qun Mili Clinton deeempefla lu pueata como prealdente? Eatado* Unido* No sabe/ no contesta Aprueba Desaprueba Nora: En una encuesta de CBS News/New York Times re- alizada justo antes de las elecciones de noviembre de 1992, el 37% de las respuestas aprobaban el modo en que Bush desempeñaba su puesto como presidente. Ei 56% lo desaprobaban. Fuente: Encuesta realizada por CBS News/New York Ti- mes, 21 -24 de junio de 1993. PrmgunlK ¿Ella ueled latlafecho o deaoonfanlo con ni un ñor Mujor como prlmtr ministro? Oran Bretaña 6% No sabe Satisfecho Descontento Nota: El porcentaje que dice estar satisfecho es el más bajo para un primer ministro británico atendiendo a los da- tos de las encuestas disponibles. Fuente: Encuesta realizada por Social Surveys (Gallup Poli) Ltd., 26-31 de mayo de 1993. Pregunta: ¿Está satisfecho o descontento con Francois Pregunta: ¿Aprueba o desaprueba el modo en que Brian Mitterrand como presidente de la República? Mulroney desempeña su puesto como primer ministro? Sin opinión Descontente Francia Satisfecho Canadá 7% No sabe Desaprue' © Aprueba Fuente: Encuesta realizada por el Institut Frangals d'Opi- Nota: Brian Mulroney ¡un suutsuiuu cumo primer ministro nion Publique et d'Etude de Marches (IFOP) para Le Jour- por Kim Campbell el 25 de junio de 1993. naldu Dimanche, 6-13 de mayo de 1993. Fuente: Encuesta realizada por Gallup Canadá, 13-18 de enero de 1993. Pregunta: ¿Apoya al gabinete de Miyawaza? Japón Pregunta: ¿Está contento o descontento con el trabajo realizado, durante el último mes, por Giuliano Amato como presidente del gabinete? Italia 5% No está seguro/ otros Descontento Contento Fuente: Encuesta reauzaoa por romtun Shimbun, mayo Fuen1e: Encuesta realizada por DOXA, 19 de enero de de 1993. 1 9 g 3 i FIGURA 6.3 Valoración de la aprobación que reciben diversos gobiernos, c. 1993. Fuente: Compilado y elaborado por el Roper Center of Public Opinión and Polling, 1995.
  • 383.
    I ;i pollliininloimili IIMIHI v l'i crisis do la democracia 383 la política profesional. Así pues, en los Estados Unidos, según una en- cuesta del Times Mirror Center realizada en septiembre de 1994: «Miles de entrevistas mantenidas con los votantes estadounidenses este verano no muestran una dirección clara en el pensamiento político del público que no sea la frustración con el sistema actual y una viva receptividad ha- cia soluciones e instancias políticas alternativas»82 . En 1994, el 82% de quienes respondieron a una encuesta nacional de Harris no pensaban que el gobierno representara sus intereses (contra el 72% en 1980) y el 72% consideraba que en realidad el gobierno representaba a los grupos de in- terés (el 68% identificaba estos grupos como intereses comerciales); en la misma línea, una encuesta Roper de 1995 descubría que el 68% de quie- nes respondían pensaban que no había muchas diferencias entre republi- canos y demócratas y el 82% deseaba que se creara un nuevo partido83 . La figura 6.3 muestra la amplia desafección a los gobiernos de todas las afiliaciones políticas en seis de ios siete países miembros del club del G-7, según se refleja en las encuestas de opinión pública. Sin embargo, este escepticismo hacia los partidos mayoritarios y la po- lítica no significa necesariamente que la gente ya no vote o que no le pre- ocupe la democracia. Porque, en gran parte del mundo, la democracia no se ha alcanzado hasta hace poco, después de un esfuerzo tremendo, con- quistada con sangre, sudor y lágrimas, así que la gente no está muy dis- puesta a renunciar a la esperanza. En efecto, cuando percibe la posibili- dad de una acción política significativa, se moviliza con entusiasmo, como lo hizo en torno a la elección de Fernando Henrique Cardoso como presi- dente de Brasil en 1994. Incluso en las democracias veteranas, donde se han venido practicando los rituales de las elecciones libres durante dos- cientos años (excepto para la mitad del pueblo, las mujeres) la participa- ción política pasa por altibajos. No se vota mucho en los Estados Unidos (49% en las elecciones presidenciales de 1996; 54% en las de 1992; 51% en las de 1984; 68% en las de 1968), pero las tasas de participación suelen ser elevadas (entre el 65% y el 80%) en Francia, Italia, España, Alemania y la mayoría de los países europeos (véase el cuadro 6.4). No obstante, los europeos no confían en sus políticos más que los estadounidenses84 . Pare- cería que el individualismo, más que la desafección política, explica la ex- cepcionalidad estadounidense85 . Existen, sin embargo, claras expresiones de un alejamiento de la polí- tica creciente en todo el mundo, a medida que la gente observa la inca- pacidad del estado para resolver sus problemas y experimenta el instru- mentalismo cínico de los políticos profesionales. Una de estas 82 Citado por Balz y Brownstein, 1996, pág. 28. 83 Citado por Navarro, 1995, pág. 55. 84 Eurobarometer (varios años). 85 Lipset, 1996.
  • 384.
    .«•I I I|)o<l('i ilc la uUllllilllil CUADRO 6.4 Número de votantes en las elecciones a la cámara baja del parlamento: cifras recientes comparadas con las tasas de las décadas de 1970 y 1980 (%) Décadas 1970-1980 Porcentaje medio Rango Década 1990 de votantes de votantes (unas elecciones) Alemania 88,6 84,3-91,1 79,1(1994) Francia (1a vot.) 76,0 66,2-83,2 68,9(1993) España 73,9 70,6-77,0 77,3(1993) Estados Unidos 42,6 33,4-50,9 50,8(1992) 36,0 (1994) Italia 91,4 89,0-93,2 86,4(1992) Japón 71,2 67.9-74,6 67,3(1993) Reino Unido 74,8 72,2-78,9 75,8(1992) Fuentes: Para las décadas de 1970 y 1980, The International Almanac of Electoral History, 3a ed. rev., Thomas T. Mackie y Richard Rose, Washington, DC, Macmillan Press, 1991; para las elecciones recientes, The Statesman's Yearbook, 1994-1995 y 1995-1996, Brian Hunter, ed., Nueva York, St Mantin's Press, 1994, 1995; Estados Unidos, Vital Statistics on American Politics, 4a ed., Harold W. Stanley y Richard G. Niemi, Washington, DC, CQ Press, 1994. Compilado por Sandra Moog. expresiones es el creciente apoyo que recibe una variedad de fuerzas de «tercer partido» y de partidos regionales, ya que, en la mayoría de los sis- temas políticos, la confrontación final para tomar el poder ejecutivo na- cional tiene lugar entre dos candidatos que representan dos coaliciones amplias. Así pues, votar por una tercera vía se convierte en un voto de protesta contra el sistema político general y quizás en un intento de cons- truir una alternativa diferente, a menudo de base local o regional. Sandra Moog y yo hemos elaborado un índice de voto para los partidos mayori- tarios de algunas democracias importantes de continentes diferentes, mi- diendo su evolución en varios momentos durante las décadas de los ochenta y los noventa86 . Como se muestra en la figura 6.4, la tendencia general parece confirmar la proporción decreciente del voto para los par- tidos mayoritarios a lo largo del tiempo. Sin embargo, hay algunas infle- xiones de la tendencia cuando algún partido logra movilizar a su electo- rado, como lo hizo el Partido Popular en España en las elecciones de 1996. Los ritmos políticos específicos introducen variaciones en la ten- dencia general. No obstante, en conjunto, la tendencia pronosticada pa- rece surgir claramente. Aunque la mayoría de los votantes siguen orien- tados hacia el voto útil —esto es, apoyar a los candidatos con una Para fuentes, definiciones y métodos de cálculo, véase el apéndice metodológico.
  • 385.
    1.« política intoinmcUut»!y la crisis tic la democracia .(85 % 100 99,3% 99% 84,8% -i 1 1 1 1 i 1980 81 82 83 84 85 86 87 88 89 90 91 92 93 94 FIGURA 6.4 Grado de apoyo a los partidos mayoritarios en las elecciones nacionales, 1980-1994 (las cifras de los Estados Unidos son las de las elecciones presidenciales; el resto son los resultados de la cámara baja del parlamento). Fuente: véase el apéndice metodológico para cifras y fuentes; compilado y elaborado por Sandra Moog. posibilidad real de ser elegidos—, la erosión de su apoyo afecta a la pro- pia capacidad de predecir las posibilidades electorales, con lo que se re- fuerza la crisis de credibilidad de las principales coaliciones y se acaba precipitando su desaparición, como sucedió en la política italiana (demo- cristianos, socialistas) y en la estadounidense (el Congreso demócrata) en 1994. Sin embargo, Zaller y Hunt, en su excelente análisis de la campaña presidencial de Ross Perot durante 1992, advierten de los límites de la política del «tercer partido». Según escriben:
  • 386.
    386 El poderde la identidad Incluso en una democracia de masas como la de Estados Unidos, ser un gran co- municador no es suficiente para obtener el puesto más elevado de la nación. Ade- más es necesario ser aceptado por los poderes existentes. El sistema estadouni- dense de elegir presidentes, a pesar de la volatilidad inherente a un proceso de nominación que otorga la autoridad final a masas de votantes volátiles y a me- nudo desentendidas de la política, sigue siendo una fuerza institucional poderosa, capaz de obligar a los candidatos a pasar por ella en lugar de rodearla87 . La pregunta es: ¿hasta cuando? ¿Cuánta distancia, y cuánto tiempo, puede mantenerse entre el anhelo del electorado de opciones políticas al- ternativas y su formulación por las instituciones de la política mayoritaria, en una situación en la que la política mediática puede lanzar (y extinguir) nuevas estrellas en cuestión de horas? No obstante, por ahora, la mayoría de la gente de la mayor parte de los países sigue constreñida en sus elecciones por el peso de las institucio- nes, las maquinarias políticas y las tradiciones políticas. En estas circuns- tancias, un indicador adicional de desafección política al sistema de parti- dos tradicional es la volatilidad del electorado en todo el mundo, que hace caer partidos gobernantes y acelera el tempo de la alternancia polí- tica. Tan sólo en cinco años, en 1992-1997, los votantes cambiaron de los republicanos a los demócratas en las elecciones presidenciales estadouni- denses de 1992, de los demócratas a los republicanos en las elecciones al Congreso de 1994, y de nuevo a Clinton (después de que pusiera de re- lieve su imagen de «nuevo demócrata») en 1996 (pero no volvieron a los demócratas en el Congreso); de los socialistas a los conservadores en las presidenciales francesas; de los socialistas a los conservadores y de vuelta a los socialistas en las legislativas francesas; del centro a la derecha, luego al centro-izquierda en Italia; de los socialistas+nacionalistas a los conser- vadores+nacionalistas en España; de los conservadores a una coalición múltiple, luego a los conservadores en un gobierno en minoría en Japón; de los socialistas a los conservadores y de nuevo a los socialistas el Gre- cia; de nada a Fernando Henrique Cardoso en Brasil; de los demócratas a los comunistas en las elecciones parlamentarias de Rusia, luego otra vez a Yeltsin en las elecciones presidenciales; y de los tories a los laboristas en el Reino Unido en 1997. Así pues, la gente, descontenta y descorazonada, cambia de una opción a otra con velocidad creciente, experimentando, en la mayoría de los casos, desengaños sucesivos. Con cada nueva decepción, se deteriora la moral, se consolida el cinismo y se desvanece la esperanza. Como resultado de las tendencias presentadas, está apareciendo otro rasgo importante: la fragmentación creciente del sistema político. Así, aun cuando las elecciones indias de 1996 marcaron probablemente el fin de una era de dominio del Partido del Congreso, los nacionalistas indios, 87 Zaller y Hunt, 1994, pág. 386.
  • 387.
    La política informacionaly la crisis de la democracia 387 ganadores de las elecciones, no pudieron mantener el gobierno al contar sólo con un tercio de los escaños. En mayo de 1996 se constituyó un «frente unido» heterogéneo para llevar al gobierno a una alianza incierta de partidos de izquierda, partidos regionales y partidos de las castas infe- riores, cuyo surgimiento en las elecciones fue la principal razón para la crisis del régimen político. India, cuya estabilidad política democrática era la envidia del mundo en vías de desarrollo, puede que haya entrado en una situación de fragmentación política estructural y de regionalización de la política. Entre las principales democracias, sólo Alemania parece mantener la estabilidad política en la década de los noventa, pero eso era así antes de que Kohl emprendiera en 1996, bajo las presiones de la competencia glo- bal, la reducción del estado de bienestar y la reforma de la cogestión in- dustrial, temas nucleares del consenso político alemán. Es posible que las > elecciones de 1998 marquen el fin de Kohl, el padre del euro. Como consecuencia de estos hechos, en términos generales, no esta- mos asistiendo a la retirada de la gente de la escena política, sino a la pe- netración del sistema político por la política simbólica, las movilizaciones por problemas concretos, el localismo, la política de referéndum y, sobre todo, el apoyo específico al liderazgo personalizado. Con los partidos po- líticos desvaneciéndose, ha llegado el tiempo de los salvadores. Ello intro- duce una impredecibilidad sistémica. Podría resultar en una regeneración personalizada de la política, como en el caso de Fernando Henrique Car- doso, o quizás con Colin Powell (sería irónico, pero estimulante desde el punto de vista histórico, ver a un afroamericano republicano, hijo de un inmigrante jamaicano, relegitimar la política estadounidense). Pero tam- bién podría acabar en una llamarada demagógica que desintegrara las ins- tituciones políticas, pusiera en peligro la estabilidad mundial o lanzara un nuevo asalto a la razón. Cualquiera que sea el futuro, lo que la observación del presente pa- rece indicar es que, bajo formas diferentes y en los distintos procesos que he abordado en este capítulo y los previos, estamos presenciando la frag- mentación del estado, el carácter impredecible del sistema político y la singularización de la política. Puede que siga existiendo libertad política, ya que la gente continuará luchando por ella. Pero la democracia política, tal y como la concibieron las revoluciones liberales del siglo xvm y se di- fundió por el mundo en los siglos xix y xx, se ha convertido en un casca- rón vacío. No es que sea una «democracia formal»: la democracia vive de esas mismas «formas», como el el sufragio universal secreto y el respeto a las libertades civiles88 , pero las nuevas condiciones institucionales, cultu- rales y tecnológicas del ejercicio democrático han vuelto obsoleto el sis- tema de partidos existente y el régimen actual de política competitiva, «" Kiil/iu-lsoii. I'»<«).
  • 388.
    IKH El poderde la identidad como mecanismos adecuados de representación política en la sociedad red. La gente lo sabe y lo siente, pero también sabe, en su memoria colec- tiva, lo importante que es evitar que los tiranos ocupen el espacio evanes- cente de la política democrática. Los ciudadanos aún son ciudadanos, pero dudan de qué ciudad y de quién es la ciudad. CONCLUSIÓN: ¿RECONSTRUIR LA DEMOCRACIA? Son éstas sin duda palabras alarmantes. En este punto, resulta tenta- dor aprovechar la oportunidad para ofrecer una disertación sobre mi mo- delo personal de democracia informacional. No se preocupe. Por razones que presentaré en la conclusión general de este libro (en el volumen III), me he prohibido las prescripciones normativas y la admonición política. Sin embargo, en estricta equidad hacia la esperanza política, concluiré co- mentado los caminos potenciales de la reconstrucción democrática, tal y como se manifiestan en la práctica observada de las sociedades a mediados de la década de los noventa, prescindiendo de mis opiniones personales sobre su bondad. Como, afortunadamente, los embriones de la nueva po- lítica democrática son numerosos y diversos a lo largo del mundo, restrin- giré mi comentario a tres tendencias que considero particularmente im- portantes para el futuro de la política informacional. La primera es la recreación del estado local. En muchas sociedades de todo el mundo, la democracia local, por las razones expuestas en el capítulo 5, parece estar floreciendo, al menos en términos relativos a la democracia política nacional. Ello es particularmente cierto cuando los gobiernos regionales y locales colaboran mutuamente y extienden su al- cance a la descentralización vecinal y la participación ciudadana. Cuando se suman los medios electrónicos (la comunicación a través del ordenador o las emisoras de radio y televisión locales) para extender la participación y la consulta de los ciudadanos (por ejemplo, en Amster- dam o en la Prefectura de Fukuoka), las nuevas tecnologías contribuyen a aumentar la participación en el gobierno local. Las experiencias de autogestión local, como la desarrollada por la municipalidad de Cuiaba, en el Mato Grosso brasileño, muestran la posibilidad de reconstruir vín- culos de representación política para compartir (si no controlar) los desafíos de la globalización económica y el carácter impredecible de la política. Existen límites obvios a este localismo, ya que acentúa la frag- mentación del estado-nación. Pero, estrictamente por lo que se puede observar, las tendencias más vigorosas de legitimación de la democracia a mediados de la década de los noventa se están dando, en todo el mundo, en el ámbito local89 . 89 Cooke, 1994; Graham, 1995; Ziccardi, 1995; Borja y Castells, 1996.
  • 389.
    La política liitnimiulomily In crisis de la democracia 3K9 Una segunda perspectiva que suele discutirse en la literatura<x ' y en los medios de comunicación91 es la oportunidad que ofrece la comunicación electrónica para incrementar la participación política y la comunica- ción horizontal entre los ciudadanos. En efecto, el acceso a la información por línea telefónica y la comunicación a través del ordenador facilita la di- fusión y recuperación de información y ofrece posibilidades de interacción y debate en un foro electrónico autónomo, sorteando el control de los medios. Los referendos indicativos sobre una gran variedad de temas pueden proporcionar una útil herramienta cuando se usan con cuidado, sin ceder a la estructura demasiado simplificada de la política de referén- dum. Lo que es más importante, los ciudadanos podrían formar, y están formando, sus propias constelaciones políticas e ideológicas, evitando las estructuras políticas establecidas y creando, de este modo, un ámbito po- lítico adaptable. Sin embargo, a las perspectivas de una democracia elec- trónica se le pueden dirigir serias críticas, como ya se está haciendo92 . Por una parte, si esta forma de política democrática surgiera como un instru- mento de debate, representación y decisión importante, sin duda institu- cionalizaría una forma de «democracia ateniense» tanto nacional como internacionalmente. Es decir, mientras que una élite relativamente pe- queña, culta y rica de unos cuantos países y ciudades tendría acceso a una herramienta extraordinaria de información y participación política que mejoraría realmente la ciudadanía, las masas incultas y desconectadas del mundo y del país permanecerían excluidas del nuevo núcleo democrático, como lo estuvieron los esclavos y los bárbaros en los inicios de la demo- cracia en la Grecia clásica. Por otra parte, la volatilidad del medio podría inducir una acentuación de la «política espectáculo», con sus explosio- nes de modas y mitos, una vez que el poder racionalizador de los partidos y las instituciones fuera sorteado por los flujos de talantes políticos re- pentinamente convergentes y divergentes. En otras palabras, la política por línea telefónica podría empujar a la individualización de la política y de la sociedad hasta un punto en que la construcción de la integración, el consenso y las instituciones se volviera peligrosamente difícil de al- canzar. Para explorar este tema, mis alumnos del seminario de doctorado en Sociología de la Sociedad Informacional de Berkeley hicieron un segui- miento en línea de Internet en la primavera de 1996. Los resultados de su análisis revelan algunas tendencias interesantes. Así, Klinenberg y Perrin observaron que, en las primarias republicanas presidenciales de los Esta- dos Unidos de 1996, la utilización de Internet desempeñó un papel impor- tante para difundir información sobre los candidatos (Dole), así como 90 Ganley, 1991. 91 The Economist, 1995a. 92 Grupo de Expertos de Alto Nivel, 1996.
  • 390.
    ('MI I Ipoik-i <lc l;i lilcliliil;ul para buscar apoyo (Buchanan) y contribuciones (todos los candidatos)'". No obstante, los canales de comunicación eran inspeccionados y controla- dos muy estrechamente, por lo que, en realidad, se convirtieron en un sis- tema de comunicación de sentido único, más potente y flexible que la te- levisión, pero no más abierto a la participación ciudadana. Esto podría cambiar en el futuro, pero parece que la lógica de la política informacional restringe la apertura del sistema, ya que los candidatos deben controlar los mensajes de sus redes para que no se les haga responsables de posturas o declaraciones que sean perjudiciales o que no conecten con el electorado. Un control político estricto y la apertura electrónica parecen excluirse mu- tuamente en el sistema presente. Así pues, mientras los partidos políticos y las campañas organizadas controlen el proceso político, la participación electrónica de los ciudadanos será relegada en la política informacional en lo referente a las elecciones formales y la toma de decisiones. Por otra parte, Steve Bartz, en el caso del movimiento ecologista, y Matthew Zook, en el de la milicia estadounidense, descubrieron un pro- ceso de obtención de poder de los grupos populares que utilizaban Inter- net como un instrumento de información, comunicación y organización94 . Parece que es en el ámbito de la política simbólica y en el desarrollo de las movilizaciones orientadas hacia un tema concreto de grupos e indivi- duos ajenos al sistema político mayoritario, donde la nueva comunicación electrónica puede tener los efectos más espectaculares. Su repercusión so- bre la democracia no está clara. Por un lado, permitir que la movilización por problemas concretos se desarrolle al margen de la política formal puede socavar aún más las instituciones de la democracia. Por el otro, si la representación política y la toma de decisiones pudieran encontrar un vínculo con estas nuevas fuentes de participación de los ciudadanos preo- cupados, sin quedar en manos de una élite entendida en tecnología, po- dría reconstruirse una nueva clase de sociedad civil, con lo que se permiti- ría una popularización electrónica de la democracia. El desarrollo de la política simbólica y de la movilización en torno a causas «no políticas», sea electrónicamente o de otro modo, es la tercera tendencia que puede darse en el proceso de reconstrucción de la demo- cracia en la sociedad red. Las causas humanitarias, como las apoyadas por Amnistía Internacional, Médicos sin Fronteras, Greenpeace, Oxfam, Food First y cientos de miles de grupos activistas y organizaciones no gu- bernamentales, tanto locales como globales de todo el mundo, son el fac- tor movilizador proactivo más vigoroso en la política informacional95 . Es- tas movilizaciones se desarrollan en torno a temas que gozan de un amplio consenso y que no están necesariamente alineados con uno u otro Klinenberg y Perrin, 1996. Bartz, 1996; Zook, 1996. Guehenno, 1993.
  • 391.
    la poliin ,iiiit< ii iiuii'itnuil y la crisis de la democracia 391 partido político. En efecto, en lo referente a su posición oficial, la mayo- ría de los partidos políticos parecen apoyar la mayor parte de estas cau- sas. Y la mayoría de las organizaciones humanitarias se abstienen de res- paldar a un partido político determinado, excepto en temas y momentos específicos. Buena parte de estas movilizaciones se encuentran entre los movimientos sociales y las acciones políticas, ya que se dirigen a los ciu- dadanos, pidiéndoles que presionen a las instituciones públicas o a las empresas privadas que pueden cambiar las cosas en el tema particular de que se ocupa la movilización. En otros casos sí apelan directamente a la solidaridad de la gente. En definitiva, su horizonte es actuar sobre el pro- ceso político; es decir, influir en la gestión de la sociedad que realizan los representantes de ésta. Pero no utilizan necesariamente y, de hecho, no lo hacen con mucha frecuencia, los canales de representación política y toma de decisiones, por ejemplo, eligiendo sus candidatos para el puesto. Estas formas de movilización política, que podrían definirse como política no partidista, orientada a un tema concreto, parecen obtener cada vez mayor legitimidad en todas las sociedades y condicionar las reglas y resul- tados de la competición política formal. Relegitiman la preocupación por los asuntos públicos en las mentes y vidas de la gente. Lo hacen introdu- ciendo nuevos procesos políticos y nuevos temas políticos, con lo que contribuyen a la crisis de la democracia liberal clásica, mientras que fo- mentan la aparición de la democracia informacional, aún por descubrirse.
  • 393.
    Conclusión: EL CAMBIO SOCIALEN LA SOCIEDAD RED En los albores de la era informacional, una crisis de legitimidad está vaciando de significado y función a las instituciones de la era industrial. Superado por las redes globales de riqueza, poder e información, el es- tado-nación moderno ha perdido buena parte de su soberanía. Al tratar de intervenir estratégicamente en este escenario global, el estado pierde capacidad de representar a sus electorados, arraigados en un territorio histórico. En un mundo donde el multilateralismo es la regla, la separa- ción entre naciones y estados, entre la política de representación y la polí- tica de intervención, desorganiza la unidad contable sobre la que se cons- truyó la democracia liberal y se ejerció en los dos últimos siglos. La privatización de los organismos públicos y el declive del estado de bienes- tar, aunque alivian a las sociedades de algunas cargas burocráticas, empe- oran las condiciones de vida para la mayoría de los ciudadanos, rompen el contrato social entre el capital, el trabajo y el estado, y eliminan buena parte de la red de seguridad social, el sostén del gobierno legítimo para el ciudadano de a pie. Desgarrado por la internacionalización de las finan- zas y la producción, incapaz de adaptarse a la interconexión de las empre- sas y la individualización del trabajo, y cuestionado por la feminización del empleo, el movimiento obrero se desvanece como una fuente impor- tante de cohesión social y representación de los trabajadores. No desapa- rece, pero se convierte, primordialmente, en un agente político integrado
  • 394.
    y>4 El poderde lii idcnlidml en el ámbito de las instituciones públicas. Las iglesias mayoritarias, que practican una forma de religión secularizada dependiente tanto del estado como del mercado, pierden mucha de su capacidad de imponer una con ducta a cambio de proporcionar consuelo y vender suelo celestial. El reto al patriarcado y la crisis de la familia patriarcal alteran la secuencia de transmisión ordenada de los códigos culturales de generación en genera- ción y sacuden los cimientos de la seguridad personal, obligando a los hombres, las mujeres y los niños a encontrar nuevos modos de vida. Las ideologías políticas que emanan de las instituciones y organizaciones in- dustriales, del liberalismo democrático basado en el estado-nación al so- cialismo basado en el trabajo, se ven privados de significado real en el nuevo contexto social. Por lo tanto, pierden su atractivo y, para tratar de sobrevivir, se embarcan en una serie de adaptaciones interminables, co- rriendo detrás de la nueva sociedad enarbolando banderas polvorientas de guerras olvidadas. Como resultado de estos procesos convergentes, se drenan las fuentes de las que denomino en el capítulo 1 identidades legitimadoras. Las insti- tuciones y organizaciones de la sociedad civil, que se construyeron en torno al estado democrático y al contrato social entre capital y trabajo, se han convertido, en general, en caparazones vacíos, cada vez menos capa- ces de relacionarse con las vidas y los valores de la gente en la mayoría de las sociedades. Es, en efecto, una ironía trágica que cuando la mayoría de los países del mundo han logrado finalmente el acceso a las instituciones de la democracia liberal (en mi opinión, la base de toda democracia polí- tica), estas instituciones están tan distantes de la estructura y los procesos con importancia real, que aparecen ante la mayoría de la gente como una mueca sarcástica en el nuevo rostro de la historia. En este fin de milenio, el rey y la reina, el estado y la sociedad civil, están ambos desnudos, y sus hijos ciudadanos vagan a través de diversos hogares adoptivos. La disolución de las identidades compartidas, que equivale a la disolu- ción de la sociedad como sistema social significativo, muy bien pudiera ser el estado de cosas de nuestro tiempo. Nada dice que tengan que surgir nuevas identidades, que nuevos movimientos sociales tengan que recrear la sociedad y que se reconstruirán nuevas instituciones en unos lende- mains qui chantent. A primera vista, estamos siendo testigos del surgi- miento de un mundo hecho exclusivamente de mercados, redes, indivi- duos y organizaciones estratégicas, aparentemente gobernados por modelos de «expectativas racionales» (la nueva e influyente teoría econó- mica), excepto cuando esos «individuos racionales» disparan de repente a su vecino, violan a una pequeña o envenenan el aire del metro con gas nervioso. No hay necesidad de identidades en este nuevo mundo: instin- tos básicos, impulsos de poder, cálculos estratégicos centrados en uno mismo y, en el nivel macrosocial, «los rasgos claros de una dinámica nó- mada y bárbara, de un elemento dionisiaco que amenaza con inundar to-
  • 395.
    Conclusión II eliminoMK-IIII CU la socicclml red .w> das las fronteras y volver problemáticas las normas políticas-legales y civi- lizadas internacionales»'. Un mundo cuyo contrapunto podría ser, como ya estamos viendo en diversos países, una reafirmación nacionalista por parte de los restos de las estructuras estatales, abandonando toda preten- sión de legitimidad y recuperando de la historia el principio del poder por el poder, a veces envuelto en retórica nacionalista. En los paisajes que he- mos explorado en los dos primeros volúmenes de este libro, hemos perci- bido las semillas de una sociedad cuya Weltanschauung se dividiría entre la antigua lógica de Macht y una nueva lógica de Selbstanschauung2 . Sin embargo, también hemos observado la aparición de vigorosas identidades de resistencia, que se atrincheran en los paraísos comunales y se niegan a ser barridas por los flujos globales y el individualismo radical. Construyen sus comunidades en torno a los valores tradicionales de Dios, patria y familia, y aseguran los cercados de sus campamentos con emble- mas étnicos y defensas territoriales. Las identidades de resistencia no se limitan a los valores tradicionales. También pueden construirse en torno a movimientos sociales proactivos, que optan por establecer su autonomía en su resistencia comunal mientras no tengan la fuerza suficiente para lle- var a cabo un asalto a las instituciones opresivas a las que se oponen. En general, éste es el caso del movimiento de las mujeres, que construyen su espacio donde surge una nueva conciencia antipatriarcal; y es sin duda el caso de los movimientos de liberación sexual, cuyos espacios de libertad, de los bares a los barrios, son mecanismos esenciales de autorreconoci- miento. Incluso el movimiento ecologista, cuyo horizonte último es cos- mológico, a menudo comienza en los patios traseros y las comunidades de todo el mundo, protegiendo espacios antes de emprender la conquista del tiempo. Así pues, las identidades de resistencia son tan decisivas en la socie- dad red como lo son los proyectos individualistas que resultan de la diso- lución de las antiguas identidades legitimadoras que solían constituir la sociedad civil de la era industrial. Sin embargo, estas identidades resisten, apenas se comunican. No se comunican con el estado, excepto para luchar y negociar en nombre de sus intereses/valores específicos. Rara vez se co- munican entre sí porque se construyen en torno a principios muy distintos que definen un «dentro» y un «fuera». Y como la lógica comunal es la clave de su supervivencia, no se aceptan las autodefiniciones individuales. Así, por una parte, las élites globales dominantes que habitan el espacio de los flujos tienden a estar formadas por individuos sin identidad («ciu- dadanos del mundo»); mientras que, por otra parte, la gente que se resiste 1 Panarin, 1994, pág. 37. 2 Macht= Potencia; Weltanschauung= visión del mundo centrada en la cultura. Selbstan- schauung (neologismo propuesto) = visión del mundo centrada en el yo.
  • 396.
    w> El poderde IH HICIUKIIUI a la privación de derechos económicos, culturales y políticos tiende a sen- tirse atraída hacia la identidad comunal. Debemos, entonces, añadir otra capa al dinamismo social de la socie- dad red. Junto con los aparatos del estado, las redes globales y los indivi- duos centrados en sí mismos, también hay comunidades formadas en torno a la identidad de resistencia. Sin embargo, todos estos elementos no se articulan juntos, sus lógicas se excluyen mutuamente y su coexistencia no es probable que sea pacífica. Por lo tanto, el surgimiento de las identidades proyecto (véase el capí- tulo 1) se convierte en la cuestión clave, capaz en potencia de reconstruir una nueva suerte de sociedad civil y, a la larga, un nuevo estado. A este respecto, no seré prescriptivo ni profético, sino que más bien me exten- deré sobre los resultados provisionales de mi observación de los movi- mientos sociales y los procesos políticos. Mi análisis no excluye la posibili- dad de que unos movimientos sociales bastante diferentes a los considerados aquí puedan tener un importante papel en la constitución de la sociedad futura. Pero, a fecha de hoy, fines de 1996, no he detectado sus señales. Las nuevas identidades proyecto no parecen surgir de antiguas identi- dades de la sociedad civil de la era industrial, sino del desarrollo de las identidades de resistencia actuales. Creo que existen razones teóricas, así como argumentos empíricos, para esa trayectoria en la formación de nue- vos sujetos históricos. Pero, antes de proponer algunas ideas sobre el tema, he de aclarar cómo las identidades proyecto surgen de las identida- des de resistencia que hemos observado. El hecho de que una comunidad se construya en torno a una identidad de resistencia no significa que probablemente evolucione hacia la cons- trucción de una identidad proyecto. Puede muy bien mantenerse como una comunidad defensiva. O, también, puede convertirse en un grupo de interés y unirse a la lógica de la negociación generalizada, la lógica domi- nante en la sociedad red. No obstante, en otros casos, las identidades de resistencia pueden generar identidades proyecto, orientadas hacia la transformación de la sociedad en su conjunto, en continuidad con los va- lores de una resistencia comunal a los intereses globales establecidos por los flujos globales de capital, poder e información. Las comunidades religiosas pueden convertirse en movimientos fun- damentalistas religiosos que pretenden la remoralización de la sociedad, el restablecimiento de los valores eternos y divinos y la reunión de todo el mundo, o al menos de los barrios cercanos, en una comunidad de creyen- tes, fundando de este modo una nueva sociedad. La trayectoria del nacionalismo en la era de la información es más in- determinada, según la observación de la experiencia reciente. Por una parte, puede conducir al atrincheramiento en un estado-nación recons- truido, relegitimándolo en nombre de la nación más que del estado. Por
  • 397.
    Conclusión: F.l cniuhln«ociul en la sociedad red 397 la otra, puede reemplazar al estado-nación moderno afirmando las nacio- nes más allá del estado y construyendo redes multilaterales de institucio- nes políticas en una geometría variable de soberanía compartida. La etnicidad, aunque es un ingrediente esencial tanto de la opresión como de la liberación, parece que suele formularse en apoyo de otras identidades comunales (religiosa, nacional, territorial), más que inducir a la resistencia o a nuevos proyectos por sí misma. La identidad territorial está en las raíces del alza mundial de gobier- nos locales y regionales como actores significativos de representación e intervención, más apropiados para adaptarse a la variación interminable de los flujos globales. La reinvención de la ciudad-estado es una caracte- rística sobresaliente de esta nueva era de globalización, tal y como ocu- rrió durante el ascenso de una economía mercantil internacional en el ori- gen de la Edad Moderna. Las comunas de mujeres y los espacios de libertad de identidad sexual se proyectan en la sociedad en general, socavando el patriarcado y re- construyendo la familia de un modo nuevo e igualitario que implica la pérdida de género de las instituciones sociales, en oposición al capita- lismo patriarcal y al estado patriarcal. El ecologismo pasa de la defensa del entorno, la salud y el bienestar propios, al proyecto ecológico de integrar humanidad y naturaleza basán- dose en la identidad sociobiológica de la especie y asumiendo el signifi- cado cosmológico de la humanidad. Estos proyectos de identidad surgen de la resistencia comunal más que de la reconstrucción de las instituciones de la sociedad civil, debido a la crisis de estas instituciones y a la aparición de identidades de resisten- cia, originadas precisamente en las nuevas características de la sociedad red que socavan las primeras e inducen las últimas. A saber, la globaliza- ción, la reestructuración capitalista, la interconexión organizativa, la cul- tura de la virtualidad real y la primacía de la tecnología por la tecnología, los rasgos clave de la estructura social de la era de la información, son las fuentes mismas de la crisis del estado y de la sociedad civil tal y como es- taban constituidos en la era industrial. También son las fuerzas contra las que se organiza la resistencia comunal, con nuevos proyectos de identidad surgiendo potencialmente en torno a esas resistencias. La resistencia y los proyectos contradicen la lógica dominante de la sociedad red, empren- diendo luchas defensivas y ofensivas en torno a los tres ámbitos fundacio- nales de esta nueva estructura social: espacio, tiempo y tecnología. Las comunidades de resistencia defienden su espacio, sus lugares, con- tra la lógica sin lugares del espacio de los flujos que caracteriza el domi- nio social en la era de la información (volumen I, capítulo 6). Reclaman su memoria histórica y afirman la permanencia de sus valores contra la disolución de la historia en el tiempo atemporal y la celebración de lo efí- mero en la cultura de la virtualidad real (volumen I, capítulo 7). Utilizan
  • 398.
    398 El poderde la iilcnlulml la tecnología de la información para la comunicación horizontal de la gente y la plegaria comunal, mientras que rechazan la nueva idolatría de la tecnología y conservan los valores trascendentales contra la lógica de- constructora de las redes informáticas autorreguladoras. Los ecologistas afirman el control de los usos del espacio en nombre tanto de la gente como de la naturaleza contra la lógica antinatural y abs- tracta del espacio de los flujos. Proponen la visión cosmológica del tiempo glacial, integrando a la especie humana en su entorno evolutivo, y rechazan la aniquilación del tiempo por la pérdida de las secuencias, ló- gica inserta en el tiempo atemporal (volumen I, capítulo 7). Y apoyan el uso de la ciencia y la tecnología para la vida, mientras que se oponen al dominio de la vida por la ciencia y la tecnología. Las feministas y los movimientos de identidad sexual afirman el con- trol de sus espacios más inmediatos, sus cuerpos, sobre la desencarnación del espacio de los flujos, influido por el patriarcado, donde las imágenes reconstruidas de la mujer y los fetiches de la sexualidad disuelven su hu- manidad y niegan su identidad. También luchan por el control de su tiempo, ya que la lógica atemporal de la sociedad red amontona papeles y funciones sobre las mujeres, sin adaptar sus nuevas vidas a una nueva me- dida del tiempo; de tal modo que el horario alienado se convierte en la expresión más concreta de las tareas de una mujer liberada en una orga- nización social no liberada. Los movimientos de mujeres y de identidad sexual también pretenden utilizar la tecnología para mejorar sus derechos (por ejemplo, sus derechos reproductivos y el derecho a controlar sus cuerpos) contra los usos patriarcales de la ciencia y la tecnología, expresa- dos en la sumisión de la mujer a los rituales y prejuicios médicos arbitra- rios, o en la falta temporal de voluntad de algunas instituciones científicas para combatir el sida mientras se consideró que era una enfermedad ho- mosexual. En el momento en que la humanidad alcanza la frontera tecno- lógica del control social sobre la reproducción biológica de la especie, se libra una batalla fundamental entre los cuerpos como identidades autóno- mas y los cuerpos como artefactos sociales. Por ello, la política de la iden- tidad comienza con nuestros cuerpos. Así pues, la lógica dominante en la sociedad red pTovoca sus propios desafíos en la forma de identidades de resistencia comunales y de identi- dades proyecto que surgen potencialmente de esos espacios, en condicio- nes y mediante procesos que son específicos de cada contexto institucional y cultural. La dinámica contradictoria resultante se encuentra en el centro del proceso histórico mediante el cual se está constituyendo una nueva es- tructura social y la carne y hueso de nuestras sociedades. ¿Dónde está el poder en esta estructura social? ¿Y qué es el poder en estas condiciones? El poder, como se sostuvo y mostró en cierta extensión en este volu- men y en el primero de este libro, ya no se concentra en las instituciones (el estado), las organizaciones (empresas capitalistas) o los controladores
  • 399.
    Conclusión: Id caminosocial en la sociedad red W simbólicos (empresas mediáticas, iglesias). Se difunde en redes globales de riqueza, poder, información e imágenes, que circulan y se transmutan en un sistema de geometría variable y geografía desmaterializada. Pero no desaparece. El poder sigue rigiendo la sociedad; todavía nos da forma y nos domina. No sólo porque los aparatos de distintos tipos aún pueden disciplinar los cuerpos y silenciar las mentes. Esta forma de poder es eterna y, al mismo tiempo, se está desvaneciendo. Es eterna porque los humanos somos, y seremos, predadores. Pero, en su forma actual de exis- tencia, se está desvaneciendo: el ejercicio de este tipo de poder es cada vez menos efectivo para los intereses que pretende servir. Los estados pueden disparar, pero puesto que el perfil de sus enemigos y el paradero de sus contendientes son cada vez menos claros, tienden a hacerlo al azar, con la probabilidad de dispararse ellos mismos. El nuevo poder reside en los códigos de información y en las imágenes de representación en torno a los cuales las sociedades organizan sus institu- ciones y la gente construye sus vidas y decide su conducta. La sede de este poder es la mente de la gente. Por ello, en la era de la información, el po- der es al mismo tiempo identificable y difuso. Sabemos lo que es, pero no podemos hacernos con él porque es una función de una batalla intermina- ble en torno a los códigos culturales de la sociedad. Quien gane la batalla de la mente de la gente gobernará, porque los aparatos rígidos y potentes no serán un rival, en un espacio de tiempo razonable, para las mentes mo- vilizadas en torno al poder de redes alternativas y flexibles. Pero puede que las victorias sean efímeras, ya que la turbulencia de los flujos de in- formación mantendrá a los códigos en un torbellino constante. Por este motivo son tan importantes las identidades y, en definitiva, tan poderosas en esta estructura de poder en cambio constante, porque construyen inte- reses, valores y proyectos en torno a la experiencia y se niegan a disol- verse, estableciendo una conexión específica entre naturaleza, historia, geografía y cultura. Las identidades fijan el poder en algunas zonas de la estructura social y desde allí organizan su resistencia o sus ofensivas en la lucha informacional sobre los códigos culturales que construyen la con- ducta y, de este modo, las nuevas instituciones. En estas condiciones, ¿quiénes son los sujetos de la era de la informa- ción? Ya conocemos, o al menos así lo sugiero, las fuentes de las que pro- bablemente surgen. También añadiría que creo que conocemos de dónde no es probable que se desarrollen. Por ejemplo, el movimiento obrero pa- rece estar superado en la historia. No es que vaya a desaparecer por com- pleto (aunque se está debilitando en buena parte del mundo) o que haya perdido toda su importancia. De hecho, los sindicatos son actores políti- cos influyentes en muchos países. Y en muchos casos son la principal he- rramienta, o la única, de los trabajadores para defenderse de los abusos del capital y el estado. Pero debido a los rasgos estructurales y los proce- sos históricos que he tratado de transmitir en los dos primeros volúmenes
  • 400.
    4<H) I Ipoder de la klcnlklail de este libro, el movimiento obrero no parece adecuado para generar, por sí mismo y a partir de él, una identidad proyecto capaz de reconstruir el control social y las instituciones sociales en la era de la información. Los militantes sindicales serán sin duda parte de la nueva dinámica social transformadora. Estoy menos seguro de que los sindicatos vayan a serlo. Los partidos políticos también han agotado su potencial como agentes autónomos de cambio social, atrapados en la lógica de la política informa- cional y cuando su principal plataforma, las instituciones del estado-na- ción, han perdido gran parte de su importancia. Sin embargo, siguen siendo instrumentos esenciales para procesar las demandas de la socie- dad, encabezadas por los movimientos sociales, en el ámbito de la política nacional, internacional y supranacional. En efecto, aunque los movimien- tos sociales son los que tendrán que proveer los nuevos códigos bajo los cuales puedan repensarse las sociedades y restablecerse partidos políticos de algún tipo (quizás en nuevas encarnaciones informacionales), los parti- dos siguen siendo entidades cruciales para institucionalizar la transforma- ción social. Son negociadores influyentes más que innovadores podero- sos. Así pues, los movimientos sociales que surgen de la resistencia comu- nal a la globalización, la reestructuración capitalista, la organización en red, el informacionalismo incontrolado y el patriarcado —esto es, hasta el momento, ecologistas, feministas, fundamentalistas religiosos, nacionalis- tas y localistas— son los sujetos potenciales de la era de la información. ¿De qué forma se expresan? Aquí mi análisis es necesariamente más es- peculativo, aunque me siento obligado a sugerir algunas hipótesis, basa- das lo más posible en las observaciones presentadas en este volumen. Las entidades que expresan proyectos de identidad orientados a cam- biar los códigos culturales deben ser movilizadoras de símbolos. Han de actuar sobre la cultura de la virtualidad real que encuadra la comunica- ción en la sociedad red, subvirtiéndola en nombre de valores alternativos e introduciendo códigos que surgen de proyectos de identidad autóno- mos. He observado dos clases principales de estas entidades potenciales. A la primera la denominaré los profetas. Son personalidades simbólicas cuyo papel no es el de los dirigentes carismáticos o el de los estrategas sa- gaces, sino el de dar un rostro (o una máscara) a una sublevación simbó- lica, de tal modo que hablen en nombre de los insurgentes. Así, los rebel- des sin voz la adquieren y su identidad puede entrar en el ámbito de las luchas simbólicas y tener posibilidad de lograr el poder, en la mente de la gente. Por supuesto, éste es el caso del Subcomandante Marcos, dirigente de los zapatistas mexicanos. Pero también del compadre Palenque de La Paz-El Alto. O de Asahara, el gurú del culto asesino japonés. O, para destacar la diversidad de expresión de esos oráculos potenciales, el caso del dirigente nacionalista catalán Jordi Pujol, cuya moderación, racionali- dad e ingenio estratégico oculta a menudo su determinación paciente de
  • 401.
    ('(inclusión I I..miliMi MI. ul cu l.i sociedad red 401 insertar a Cataluña como una nación entre las otras naciones europeas, hablando en su nombre y reconstruyendo su identidad carolingia. Puede ser la voz de un nuevo y original tipo de nacionalismo sin estado en la Eu- ropa informacional. En otro ejemplo diferente, la conciencia ecológica suele ser representada por cantantes de rock populares, como Sting en su campaña por salvar la Amazonia. Una clase diferente de profeta podría ser el neoludita Unabomber en los Estados Unidos, vinculando la tradi- ción anarquista con la defensa violenta de la naturaleza esencial contra los males de la tecnología. En los movimientos fundamentalistas islámicos o cristianos, diversos líderes religiosos (no daré nombres) asumen un pa- pel dirigente similar, al interpretar los textos sagrados para exponer la verdad de Dios con la esperanza de que alcance y conmueva las mentes y las almas de los futuros creyentes. Los movimientos de los derechos hu- manos también suelen depender de la actuación de personalidades simbó- licas inflexibles, como es el caso de la tradición de los disidentes rusos, re- presentados en la historia por Sájarov y ejemplificados en la década de los noventa por Sergéi Kovalov. He optado de forma deliberada por mez- clar los géneros en mis ejemplos para indicar que hay «buenos» y «malos» profetas según las preferencias individuales, incluida la mía. Pero todos ellos son profetas en el sentido de que señalan el camino, afirman los va- lores y actúan como emisores de símbolos, convirtiéndose a su vez en sím- bolos, de tal modo que el mensaje es inseparable del mensajero. Las tran- siciones históricas, a menudo operadas en medio de instituciones que se desmoronan y de formas políticas exhaustas, siempre han sido el tiempo de los profetas. Y debe serlo aún más en la transición a la era de la infor- mación, es decir, a una estructura social organizada en torno a los flujos de información y la manipulación de símbolos. Sin embargo, la segunda yprincipal entidad detectada en nuestro viaje por las tierras habitadas por los movimientos sociales es una forma de or- ganización e intervención interconectada y descentralizada, característica de los nuevos movimientos sociales, que refleja y contrarresta la lógica in- terconectada de dominio de la sociedad informacional. Éste es clara- mente el caso del movimiento ecologista, construido en torno a redes na- cionales e internacionales de actividad descentralizada. Pero también he mostrado que es el caso entre los movimientos de mujeres, los movimien- tos rebeldes contra el orden global y los movimientos fundamentalistas religiosos. Estas redes hacen algo más que organizar la actividad y com- partir la información. Son los productores y distribuidores reales de códi- gos culturales. No sólo en la Red, sino en sus múltiples formas de inter- cambio e interacción. Su repercusión en la sociedad raramente proviene de una estrategia concertada, manipulada por un centro. Sus campañas de mayor éxito, sus iniciativas más llamativas, suelen resultar de «turbulen- cias» en la red interactiva de comunicación de múltiples capas, como en la producción de una «cultura verde» por parte de un foro universal en el
  • 402.
    •102 lil |)ii(lcrde l<i ick-iiiichid que se unen las experiencias de conservar la naturaleza y sobrevivir al ca pitalismo al mismo tiempo. O en la desaparición del patriarcado como re- sultado del intercambio de las experiencias de las mujeres en los grupos de mujeres, las revistas de mujeres, las librerías de mujeres, las películas de mujeres, las clínicas de mujeres y las redes de apoyo de mujeres para criar a los hijos. Es este carácter descentralizado y sutil de las redes de cambio social el que hace tan difícil percibir e identificar los nuevos proyectos de identidad que están en camino. Como nuestra visión histórica está tan acostumbrada a los batallones ordenados, las banderas al viento y las pro- clamas de cambio social que siguen un guión, nos sentimos perdidos cuando nos enfrentamos a la sutil penetración de los cambios increménta- les de símbolos procesados a través de redes multiformes, fuera de las se- des del poder. En estos callejones traseros de la sociedad, ya sea en redes electrónicas alternativas o en redes populares de resistencia comunal, es donde he percibido los embriones de una nueva sociedad, labrados en los campos de la historia por el poder de la identidad. Continuará.
  • 403.
  • 405.
    APÉNDICE PARA LOSCUADROS 5.1 Y 5.2 Los ratios y tipos de cambio de los cuadros 5.1 y 5.2 se calcularon utilizando datos provenientes de varias fuentes estadísticas diferentes. Los cuadros que si- guen se han organizado para mostrar las cifras reales utilizadas en los cálculos, así como los ratios y tipos de cambio que se calcularon utilizando esos datos. En las filas en las que se presentan los datos originales, se han indicado las fuentes en la columna del extremo derecho, utilizando las abreviaturas siguientes: GFSY = Government Finance Statistics Yearbook, vol. 18, Washington DC, FMI, 1994. IFSY = International Financial Statistics Yearbook, vol. 48, Washington DC, FMI, 1995. EWY = The Europa World Yearbook, Londres, Europa Publications, 1982,1985,1995. OECDNA = National Accounts: Detailed Tables, 1980-1992, vol. 2, París, OCDE, 1994. WT = World Tables, 1994, Banco Mundial, Baltimore, The Johns Hop- kins University Press, 1994. Los cuadros se han dispuesto en orden alfabético por países. Para cada país, el cuadro 5.1A proporciona los datos, los cálculos y las fuentes para el cuadro 5.1, mientras que el cuadro 5.2A proporciona información para el cuadro 5.2. A continuación se presenta una lista de definiciones y explicaciones de nuestros cálculos. En los apéndices de los materiales utilizados como fuentes, pueden encon- trarse las definiciones completas de todas las categorías incluidas en estos cuadros y las descripciones de las fuentes de datos originales y los métodos de cálculo. Tipos de cambio Reservas de divisas Exportaciones Deuda externa medias del periodo de los tipos de cambio de mercado y de los tipos de cambio oficiales. reservas que no sean de oro según la valoración nacional, exportaciones de mercancía, franco a bordo, distinguida de la deuda interna según la residencia del prestamista cuando es posible y, si no, según la divisa en la que se denominan los instrumentos de la deuda. Inversión interna = calculada multiplicando las cifras de cada país del cuadro mundial de «Inversión como porcentaje del PIB» del IFSY por la del PIB del país. La inversión comprende la formación bruta de capital fijo y el aumento de los stocks. Una (p) después de una cifra indica que es preliminar. Una (f) indica una cifra final. Un * indica que hay un cambio en los métodos de cálculo en relación con las figu- ras de los años previos. Los cuadros 5.1 y 5.2, y estos apéndices han sido compilados y elaborados por Sandra Moog.
  • 430.
    430 El poderde la ¡dentidHcl APÉNDICE PARA LA FIGURA 6.4: GRADO DE APOYO A LOS PARTIDOS MAYORITARIOS EN LAS ELECCIONES NACIONALES, 1980-1994 Los porcentajes de la figura 6.4 se han calculado utilizando los resultados elec- torales de las elecciones a la cámara baja del parlamento, excepto en el caso de los Estados Unidos, donde se usaron los resultados de las elecciones presidencia- les. Los partidos se consideraron mayoritarios si habían participado en el go- bierno, con las excepciones del Partido Comunista Francés y del Partido Comu- nista Italiano. Para las fuentes, véase la última fila del cuadro de cada país. Todos los datos proceden de una de las fuentes siguientes: EWY = Europa World Yearbook, Londres, Europa Publications, 1982-1995. SY = Statesman's Yearbook, ed. Brian Hunter, Nueva York, St Martin's Press, 1994-1995,1995-1996. MDI = Ministerio del Interior, cita