Instituto Tecnológico de Mexicali

                Ingeniería Química




               Laboratorio integral 1

                   “REPORTE”



                    Practica #4

“Determinación experimental de correlaciones para el
     factor de fricción en tubos lisos y rugosos”


                    ALUMNAS:

          Cano Mercado Claudia Azucena.

         Murillo Castillo María Margarita.




                   PROFESOR:

           Prof. Norman E. Rivera Pazos.




  Mexicali Baja California, 04 de Marzo del 2010
INDICE



1.   Introducción

2. Objetivos……………………………………………………….…...2

3. Motivación………………………………………………………….2

4. Hipótesis……………………………………………………...…….2

5. Fundamento teórico
           • Marco teórico……………………………….……….3
           • El equipo…………………………………………….4
           • Modelo matemático…………………………….……5

6. Diseño de la práctica
            • Procedimiento…………………………………...…..6

7.   Análisis de datos y resultados
               • Tablas…………………………………………….....7
               • Gráficas…………….………………………….…...9

8. Conclusión….……………………………………………….……...15

9.   Referencias……………………………………………………......16
INTRODUCCION

Esta práctica nos dará la oportunidad de aprender a determinar el factor de fricción en
tuberías como lo son la de galvanizado, cobre y PVC con los mismos diámetros en las
primeras dos y la otra de PVC es uno diferente.

En si lo mas importante es tomar las diferentes perdidas de fricción en estas tuberías y
para obtener un resultado más preciso y visual lo demostraremos en graficas en
comparación de nuestros resultados teóricos, prácticos y en comparación con la grafica
de Moody.

Para obtención de dichos resultados tomaremos formulas y tablas ya antes vistas en
clase y tomadas de el libro de Mott que utilizamos en operaciones unitarias 1.




                                                                                      1
OBJETIVOS.

Objetivo general.

Determinación experimental de correlaciones para el factor de fricción en tubos lisos y
rugosos.

Objetivos específicos.

       Reconocer la importancia del factor de fricción al diseñar tuberías.

       Realizar las mediciones necesarias para el cálculo de factores de fricción en tubos
       de diferentes características.



Motivación.



Esta práctica nos servirá por que como sabemos en la industria forma parte de algo
importante y el resultado será el saber utilizar las diferentes formulas para constatar el
factor de fricción en cada una de las tuberías ya sean de cobre, galvanizado o PVC como
lo es en este caso y determinar a su vez cual es el flujo que hay ya sea laminar o
turbulento.



Hipótesis.

Demostraremos con los datos recolectados de las diferentes tuberías al momento de
graficarlos nos daremos cuenta que el factor de fricción aumenta cuando el numero de
Reynolds disminuye y lo demostraremos con la comparación de estas graficas con la de
Moody.
2

FUNDAMENTO TEORICO.

Marco teórico.

Flujo laminar:

Se llama flujo laminar o corriente laminar, al tipo de movimiento de un fluido cuando
éste es perfectamente ordenado, estratificado, suave, de manera que el fluido se mueve
en láminas paralelas sin entremezclarse si la corriente tiene lugar entre dos planos
paralelos, o en capas cilíndricas coaxiales como, por ejemplo la glicerina en un tubo de
sección circular. Las capas no se mezclan entre sí. El mecanismo de transporte es
exclusivamente molecular. Se dice que este flujo es aerodinámico. En el flujo
aerodinámico, cada partícula de fluido sigue una trayectoria suave, llamada línea de
corriente

La pérdida de energía es proporcional a la velocidad media. El perfil de velocidades tiene
forma de una parábola, donde la velocidad máxima se encuentra en el eje del tubo y la
velocidad es igual a cero en la pared del tubo.




Flujo turbulento:

al movimiento de un fluido que se da en forma caótica, en que las partículas se mueven
desordenadamente y las trayectorias de las partículas se encuentran formando pequeños
remolinos aperiódicos, como por ejemplo el agua en un canal de gran pendiente. Debido
a esto, la trayectoria de una partícula se puede predecir hasta una cierta escala, a partir
de la cual la trayectoria de la misma es impredecible, más precisamente caótica.
3

Diagrama de Moody:

Es la representación gráfica en escala doblemente logarítmica del factor de fricción en
función del número de Reynolds y la rugosidad relativa de una tubería.




Equipo.
Mesa de hidrodinámica del laboratorio de Química.
De la cual se obtienen 10 valores de ΔP y Q para las tuberías
de galvanizado, cobre y PVC.

Nota: Al momento de graficar tuvimos que eliminar los valores
negativos del ΔP de cada una de las tuberías.




                                                                                     4

Modelo matemático.
Para obtener Reynolds.




Para obtener el factor de fricción.




Igualar:




Pero:




Sustituyendo:




Despejando términos:



                               Al hacer un análisis dimensional obtenemos que es adimensional

En el caso de la tubería lisa:

                                         Tubería lisa



                               Laminar        Turbulento



                          Re<2000                   Re<100000



Para la obtención del factor                                          1x10-6≤ E/D ≤1x10-2
de fricción teórico será:                                               5000≤ Re ≤1x108

DISEÑO DE LA PRÁCTICA.
Procedimiento.

   1. Conectar las mangueras en los puntos que se desea calcular de la mesa
      hidrodinámica y asegurarlas para evitar la salida del flujo (agua).

   2. Para iniciar la purgación se enciende la mesa hidrodinámica y se abre la válvula;
      a su vez asegurándose de que no queden burbujas en las mangueras ni que estas
      estén por debajo de los tubos porque si no se obtendrá un resultado erróneo.

   3. Después de tener nuestro equipo purgado se cierra la válvula para así poder
      calibrar a cero.

   4. Al empezar a tomar mediciones la válvula tendrá que estar completamente
      abierta y empezar a tomar los 10 datos con variaciones de 2 en el flujo
      aproximadamente.




                                                                                      6

ANALISIS DE DATOS Y RESULTADOS.
Datos:

         Para reynolds     viscosidad         Π     d galvanizado    d cobre    d PVC
                             1,06E-06    3,14159265     0,0016        0,0016       0,0017


para factor de f   d galvanizado5    d cobre5      d PVC5          Π2           L           densidad
                                                               9,8696505
                    1,0486E-09      1,0486E-09    1,4199E-09       6            1             998


   Tablas:

   Galvanizado

                         ΔP(pascales                                Factor de       Numero de
       ΔP(mbar)               )      Q(L/min)          Q(m3/s)       fricción        Reynolds
                                                      0,0003456                     26075,0105
          51,2              5120           20,7           9      0,05553637             5
                                                      0,0003122 0,05409528          23555,6858
          40,7              4070           18,7           9           5                 6
                                                      0,0002755 0,05138623
          30,1              3010           16,5           5           8     20784,4287
                                                      0,0002438 0,04927775 18391,0702
          22,6              2260           14,6           2           9          5
                                                      0,0002087 0,04640371 15745,7793
          15,6              1560           12,5           5           9          2
                                                      0,0001736 0,04125273 13100,4883
           9,6              960            10,4           8           8          9
                                                      0,0001402 0,03227644
           4,9              490             8,4           8           7     10581,1637
                                                      0,0001035 0,01088196 7809,90654
           0,9               90             6,2           4           6          3
                                                      0,0000734             5542,51432
           -1,4             -140            4,4           8     -0,03361018      1
                                                      0,0000417             3149,15586
           -3,7             -370            2,5           5     -0,27515026      4


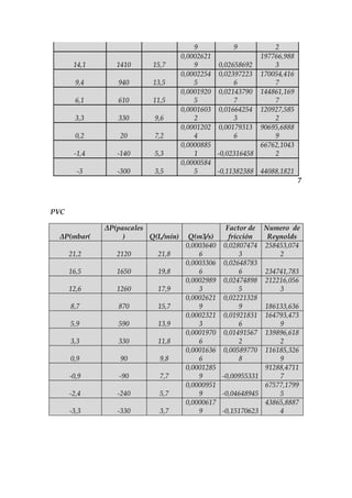
   Cobre

                                                                  Factor de     Numero de
             ΔP              ΔP         Q(L/min)      Q(m3/s)      fricción      Reynolds
                                                     0,0003590   0,02895768     270827,404
            28,8            2880          21,5           5             2            3
                                                     0,0003256   0,02774628     245634,157
            22,7            2270          19,5           5             6            4
             18             1800          17,7       0,0002955   0,02670386     222960,235
9           9         2
                                     0,0002621             197766,988
       14,1      1410      15,7          9      0,02658692     3
                                     0,0002254 0,02397223 170054,416
        9,4      940       13,5          5           6         7
                                     0,0001920 0,02143790 144861,169
        6,1      610       11,5          5           7         7
                                     0,0001603 0,01664254 120927,585
        3,3      330       9,6           2           3         2
                                     0,0001202 0,00179313 90695,6888
        0,2       20       7,2           4           6         9
                                     0,0000885             66762,1043
       -1,4      -140      5,3           1     -0,02316458     2
                                     0,0000584
        -3       -300      3,5           5     -0,11382388 44088,1821
                                                                        7



PVC

              ΔP(pascales                        Factor de Numero de
 ΔP(mbar(          )      Q(L/min)     Q(m3/s)    fricción   Reynolds
                                      0,0003640 0,02807474 258453,074
      21,2       2120       21,8          6           3         2
                                      0,0003306 0,02648783
      16,5       1650       19,8          6           6     234741,783
                                      0,0002989 0,02474898 212216,056
      12,6       1260       17,9          3           5         3
                                      0,0002621 0,02221328
      8,7        870        15,7          9           9     186133,636
                                      0,0002321 0,01921831 164793,473
      5,9        590        13,9          3           6         9
                                      0,0001970 0,01491567 139896,618
      3,3        330        11,8          6           2         2
                                      0,0001636 0,00589770 116185,326
      0,9         90         9,8          6           8         9
                                      0,0001285             91288,4711
      -0,9       -90         7,7          9     -0,00955331     7
                                      0,0000951             67577,1799
      -2,4       -240        5,7          9     -0,04648945     5
                                      0,0000617             43865,8887
      -3,3       -330        3,7          9     -0,15170623     4
8

                                    Datos obtenidos con la formula

               Datos del Tubo de                    Datos del tubo de           Datos del tubo de

                  galvanizado:                    cobre                               PVC


                                                                                   No. Reynolds   Factor de Fricción
No. De Reynolds    Factor de fricción    No. De Reynolds   Factor de Fricción
                                                                                   25845.30742          2.80E-02
 26075.01055         0.055469673          27082.74043        0.028922904
                                                                                    23474.1783      0.026456025
 23555.68586         0.054030319          24563.41574        0.027712963
                                                                                   21221.60563      0.024719263
  20784.4287         0.051324525          22296.02352        0.026671799
                                                                                    18613.3636      0.022186611
 18391.07025         0.049218578          19776.69883        0.02655499
                                                                                   16479.34739      0.019195235
 15745.77932          0.04634799          17005.44167        0.023943446
                                                                                   13989.66182      0.014897759
 13100.48839         0.041203195          14486.11697        0.02141216
                                                                                   11618.53269      0.005890625
  10581.1637         0.032237685          12092.75852        0.016622556
                                                                                   9128.847117      -0.00954184
 7809.906543         0.010868897          9069.568889        0.001790982
                                                                                   6757.717995      -0.04643362
 5542.514321         -0.03356982          6676.210432        -0.02313676
                                                                                   4386.588874      -0.15152403
 3149.155864         -0.27481981           4408.81821        -0.11368718
9


Datos del Tubo de    Datos del tubo de   Datos del tubo de

Galvanizado:        cobre                      PVC
No. De Reynolds Factor de Fricción    No. De Reynolds Factor de fricción

                                         27082.7404         0.02392098         25845.3074       0.024993485

No. De Reynolds Factor de Fricción       24563.4157         0.02447176         23474.1783       0.025602044

    3149.15586         0.05260422        22296.0235          0.0250391         21221.6056       0.026255947

    5542.51432          0.0471502        19776.6988          0.0257719         18613.3636       0.027131014

    7809.90654         0.04475563        17005.4417         0.02674522         16479.3474       0.027969663

    10581.1637         0.04308243         14486.117         0.02784516         13989.6618       0.029138718

    13100.4884         0.04211484        12092.7585         0.02917246         11618.5327       0.030523506

    15745.7793         0.04140001        9069.56889         0.03150245         9128.84712       0.032420392

    18391.0702         0.04087167        6676.21043         0.03431793           6757.718       0.034952015

    20784.4287         0.04049895        4408.81821         0.03879461         4386.58887       0.038939512

    23555.6859         0.04015368

    26075.0106         0.03989801




                                                                                       10

               Datos del Tubo de                Datos del tubo de         Datos del tubo de
Galvanizado:        cobre                            PVC



                           No. De       Factor de    No.          Factor de
                           Reynolds     Fricción     Reynolds     Fricción
No. De        Factor de
Reynolds      Fricción                               25845.3074   0.00061907
                           27082.7404   0.02422906
26075.0106     0.0399123                             23474.1783    0.0006816
                           24563.4157   0.02479159
23555.6859    0.04016806                             21221.6056   0.00075395
                           22296.0235   0.02537111
20784.4287    0.04051346                             18613.3636    0.0008596
                           19776.6988   0.02611975
18391.0702     0.0408863                             16479.3474   0.00097091
                           17005.4417   0.02711433
15745.7793    0.04141484                             13989.6618    0.0011437
                            14486.117   0.02823862
13100.4884    0.04212992                             11618.5327   0.00137711
                           12092.7585   0.02959577
10581.1637    0.04309785                             9128.84712   0.00175269
                           9069.56889   0.03197947
7809.90654    0.04477166                               6757.718   0.00236766
                           6676.21043   0.03486213
5542.51432    0.04716709                             4386.58887   0.00364748
                           4408.81821    0.0394508
3149.15586    0.05262306




                                                                       11
Comparación de factor de fricción según las
distintas formulas:




                                         12
13
14
CONCLUSION

Al hacer todo nuestra practica y sustituir formulas para después graficar nos pudimos
dar cuenta que hubieron unas pequeñas deviaciones al comparar el factor de fricción
teórico con el práctico y a su vez estos con el diagrama de Moody igual y fue porque
nuestro datos en realidad son una muestra demasiado pequeña en comparación con
Moody.

Y también verificamos que conforme el factor de fricción aumenta el número de
Reynolds disminuye y por lo tanto comprobamos que nuestra práctica está bien hecha
por dicho comportamiento.




                                                                              15
REFERENCIAS

•   Mecánica de fluidos, Merle C. Potter, David C. Wiggert

•   Fenómenos de Transporte R. B. Bird, W.E.Stewart, E.N.Lightfoot

•   http://tarwi.lamolina.edu.pe/~dsa/Reynold.htm

•   http://es.wikipedia.org/wiki/N%C3%BAmero_de_Reynolds

•   R. Byron Bird, Fenómenos de Transporte, Editorial Reverté, S.A.




                                                                      16

C:\Fakepath\Practica 4 Murillo Cano

  • 1.
    Instituto Tecnológico deMexicali Ingeniería Química Laboratorio integral 1 “REPORTE” Practica #4 “Determinación experimental de correlaciones para el factor de fricción en tubos lisos y rugosos” ALUMNAS: Cano Mercado Claudia Azucena. Murillo Castillo María Margarita. PROFESOR: Prof. Norman E. Rivera Pazos. Mexicali Baja California, 04 de Marzo del 2010
  • 2.
    INDICE 1. Introducción 2. Objetivos……………………………………………………….…...2 3. Motivación………………………………………………………….2 4. Hipótesis……………………………………………………...…….2 5. Fundamento teórico • Marco teórico……………………………….……….3 • El equipo…………………………………………….4 • Modelo matemático…………………………….……5 6. Diseño de la práctica • Procedimiento…………………………………...…..6 7. Análisis de datos y resultados • Tablas…………………………………………….....7 • Gráficas…………….………………………….…...9 8. Conclusión….……………………………………………….……...15 9. Referencias……………………………………………………......16
  • 3.
    INTRODUCCION Esta práctica nosdará la oportunidad de aprender a determinar el factor de fricción en tuberías como lo son la de galvanizado, cobre y PVC con los mismos diámetros en las primeras dos y la otra de PVC es uno diferente. En si lo mas importante es tomar las diferentes perdidas de fricción en estas tuberías y para obtener un resultado más preciso y visual lo demostraremos en graficas en comparación de nuestros resultados teóricos, prácticos y en comparación con la grafica de Moody. Para obtención de dichos resultados tomaremos formulas y tablas ya antes vistas en clase y tomadas de el libro de Mott que utilizamos en operaciones unitarias 1. 1
  • 4.
    OBJETIVOS. Objetivo general. Determinación experimentalde correlaciones para el factor de fricción en tubos lisos y rugosos. Objetivos específicos. Reconocer la importancia del factor de fricción al diseñar tuberías. Realizar las mediciones necesarias para el cálculo de factores de fricción en tubos de diferentes características. Motivación. Esta práctica nos servirá por que como sabemos en la industria forma parte de algo importante y el resultado será el saber utilizar las diferentes formulas para constatar el factor de fricción en cada una de las tuberías ya sean de cobre, galvanizado o PVC como lo es en este caso y determinar a su vez cual es el flujo que hay ya sea laminar o turbulento. Hipótesis. Demostraremos con los datos recolectados de las diferentes tuberías al momento de graficarlos nos daremos cuenta que el factor de fricción aumenta cuando el numero de Reynolds disminuye y lo demostraremos con la comparación de estas graficas con la de Moody.
  • 5.
    2 FUNDAMENTO TEORICO. Marco teórico. Flujolaminar: Se llama flujo laminar o corriente laminar, al tipo de movimiento de un fluido cuando éste es perfectamente ordenado, estratificado, suave, de manera que el fluido se mueve en láminas paralelas sin entremezclarse si la corriente tiene lugar entre dos planos paralelos, o en capas cilíndricas coaxiales como, por ejemplo la glicerina en un tubo de sección circular. Las capas no se mezclan entre sí. El mecanismo de transporte es exclusivamente molecular. Se dice que este flujo es aerodinámico. En el flujo aerodinámico, cada partícula de fluido sigue una trayectoria suave, llamada línea de corriente La pérdida de energía es proporcional a la velocidad media. El perfil de velocidades tiene forma de una parábola, donde la velocidad máxima se encuentra en el eje del tubo y la velocidad es igual a cero en la pared del tubo. Flujo turbulento: al movimiento de un fluido que se da en forma caótica, en que las partículas se mueven desordenadamente y las trayectorias de las partículas se encuentran formando pequeños remolinos aperiódicos, como por ejemplo el agua en un canal de gran pendiente. Debido a esto, la trayectoria de una partícula se puede predecir hasta una cierta escala, a partir de la cual la trayectoria de la misma es impredecible, más precisamente caótica.
  • 6.
    3 Diagrama de Moody: Esla representación gráfica en escala doblemente logarítmica del factor de fricción en función del número de Reynolds y la rugosidad relativa de una tubería. Equipo. Mesa de hidrodinámica del laboratorio de Química. De la cual se obtienen 10 valores de ΔP y Q para las tuberías de galvanizado, cobre y PVC. Nota: Al momento de graficar tuvimos que eliminar los valores negativos del ΔP de cada una de las tuberías. 4 Modelo matemático.
  • 7.
    Para obtener Reynolds. Paraobtener el factor de fricción. Igualar: Pero: Sustituyendo: Despejando términos: Al hacer un análisis dimensional obtenemos que es adimensional En el caso de la tubería lisa: Tubería lisa Laminar Turbulento Re<2000 Re<100000 Para la obtención del factor 1x10-6≤ E/D ≤1x10-2 de fricción teórico será: 5000≤ Re ≤1x108 DISEÑO DE LA PRÁCTICA.
  • 8.
    Procedimiento. 1. Conectar las mangueras en los puntos que se desea calcular de la mesa hidrodinámica y asegurarlas para evitar la salida del flujo (agua). 2. Para iniciar la purgación se enciende la mesa hidrodinámica y se abre la válvula; a su vez asegurándose de que no queden burbujas en las mangueras ni que estas estén por debajo de los tubos porque si no se obtendrá un resultado erróneo. 3. Después de tener nuestro equipo purgado se cierra la válvula para así poder calibrar a cero. 4. Al empezar a tomar mediciones la válvula tendrá que estar completamente abierta y empezar a tomar los 10 datos con variaciones de 2 en el flujo aproximadamente. 6 ANALISIS DE DATOS Y RESULTADOS.
  • 9.
    Datos: Para reynolds viscosidad Π d galvanizado d cobre d PVC 1,06E-06 3,14159265 0,0016 0,0016 0,0017 para factor de f d galvanizado5 d cobre5 d PVC5 Π2 L densidad 9,8696505 1,0486E-09 1,0486E-09 1,4199E-09 6 1 998 Tablas: Galvanizado ΔP(pascales Factor de Numero de ΔP(mbar) ) Q(L/min) Q(m3/s) fricción Reynolds 0,0003456 26075,0105 51,2 5120 20,7 9 0,05553637 5 0,0003122 0,05409528 23555,6858 40,7 4070 18,7 9 5 6 0,0002755 0,05138623 30,1 3010 16,5 5 8 20784,4287 0,0002438 0,04927775 18391,0702 22,6 2260 14,6 2 9 5 0,0002087 0,04640371 15745,7793 15,6 1560 12,5 5 9 2 0,0001736 0,04125273 13100,4883 9,6 960 10,4 8 8 9 0,0001402 0,03227644 4,9 490 8,4 8 7 10581,1637 0,0001035 0,01088196 7809,90654 0,9 90 6,2 4 6 3 0,0000734 5542,51432 -1,4 -140 4,4 8 -0,03361018 1 0,0000417 3149,15586 -3,7 -370 2,5 5 -0,27515026 4 Cobre Factor de Numero de ΔP ΔP Q(L/min) Q(m3/s) fricción Reynolds 0,0003590 0,02895768 270827,404 28,8 2880 21,5 5 2 3 0,0003256 0,02774628 245634,157 22,7 2270 19,5 5 6 4 18 1800 17,7 0,0002955 0,02670386 222960,235
  • 10.
    9 9 2 0,0002621 197766,988 14,1 1410 15,7 9 0,02658692 3 0,0002254 0,02397223 170054,416 9,4 940 13,5 5 6 7 0,0001920 0,02143790 144861,169 6,1 610 11,5 5 7 7 0,0001603 0,01664254 120927,585 3,3 330 9,6 2 3 2 0,0001202 0,00179313 90695,6888 0,2 20 7,2 4 6 9 0,0000885 66762,1043 -1,4 -140 5,3 1 -0,02316458 2 0,0000584 -3 -300 3,5 5 -0,11382388 44088,1821 7 PVC ΔP(pascales Factor de Numero de ΔP(mbar( ) Q(L/min) Q(m3/s) fricción Reynolds 0,0003640 0,02807474 258453,074 21,2 2120 21,8 6 3 2 0,0003306 0,02648783 16,5 1650 19,8 6 6 234741,783 0,0002989 0,02474898 212216,056 12,6 1260 17,9 3 5 3 0,0002621 0,02221328 8,7 870 15,7 9 9 186133,636 0,0002321 0,01921831 164793,473 5,9 590 13,9 3 6 9 0,0001970 0,01491567 139896,618 3,3 330 11,8 6 2 2 0,0001636 0,00589770 116185,326 0,9 90 9,8 6 8 9 0,0001285 91288,4711 -0,9 -90 7,7 9 -0,00955331 7 0,0000951 67577,1799 -2,4 -240 5,7 9 -0,04648945 5 0,0000617 43865,8887 -3,3 -330 3,7 9 -0,15170623 4
  • 11.
    8 Datos obtenidos con la formula Datos del Tubo de Datos del tubo de Datos del tubo de galvanizado: cobre PVC No. Reynolds Factor de Fricción No. De Reynolds Factor de fricción No. De Reynolds Factor de Fricción 25845.30742 2.80E-02 26075.01055 0.055469673 27082.74043 0.028922904 23474.1783 0.026456025 23555.68586 0.054030319 24563.41574 0.027712963 21221.60563 0.024719263 20784.4287 0.051324525 22296.02352 0.026671799 18613.3636 0.022186611 18391.07025 0.049218578 19776.69883 0.02655499 16479.34739 0.019195235 15745.77932 0.04634799 17005.44167 0.023943446 13989.66182 0.014897759 13100.48839 0.041203195 14486.11697 0.02141216 11618.53269 0.005890625 10581.1637 0.032237685 12092.75852 0.016622556 9128.847117 -0.00954184 7809.906543 0.010868897 9069.568889 0.001790982 6757.717995 -0.04643362 5542.514321 -0.03356982 6676.210432 -0.02313676 4386.588874 -0.15152403 3149.155864 -0.27481981 4408.81821 -0.11368718
  • 12.
    9 Datos del Tubode Datos del tubo de Datos del tubo de Galvanizado: cobre PVC
  • 13.
    No. De ReynoldsFactor de Fricción No. De Reynolds Factor de fricción 27082.7404 0.02392098 25845.3074 0.024993485 No. De Reynolds Factor de Fricción 24563.4157 0.02447176 23474.1783 0.025602044 3149.15586 0.05260422 22296.0235 0.0250391 21221.6056 0.026255947 5542.51432 0.0471502 19776.6988 0.0257719 18613.3636 0.027131014 7809.90654 0.04475563 17005.4417 0.02674522 16479.3474 0.027969663 10581.1637 0.04308243 14486.117 0.02784516 13989.6618 0.029138718 13100.4884 0.04211484 12092.7585 0.02917246 11618.5327 0.030523506 15745.7793 0.04140001 9069.56889 0.03150245 9128.84712 0.032420392 18391.0702 0.04087167 6676.21043 0.03431793 6757.718 0.034952015 20784.4287 0.04049895 4408.81821 0.03879461 4386.58887 0.038939512 23555.6859 0.04015368 26075.0106 0.03989801 10 Datos del Tubo de Datos del tubo de Datos del tubo de
  • 14.
    Galvanizado: cobre PVC No. De Factor de No. Factor de Reynolds Fricción Reynolds Fricción No. De Factor de Reynolds Fricción 25845.3074 0.00061907 27082.7404 0.02422906 26075.0106 0.0399123 23474.1783 0.0006816 24563.4157 0.02479159 23555.6859 0.04016806 21221.6056 0.00075395 22296.0235 0.02537111 20784.4287 0.04051346 18613.3636 0.0008596 19776.6988 0.02611975 18391.0702 0.0408863 16479.3474 0.00097091 17005.4417 0.02711433 15745.7793 0.04141484 13989.6618 0.0011437 14486.117 0.02823862 13100.4884 0.04212992 11618.5327 0.00137711 12092.7585 0.02959577 10581.1637 0.04309785 9128.84712 0.00175269 9069.56889 0.03197947 7809.90654 0.04477166 6757.718 0.00236766 6676.21043 0.03486213 5542.51432 0.04716709 4386.58887 0.00364748 4408.81821 0.0394508 3149.15586 0.05262306 11
  • 15.
    Comparación de factorde fricción según las distintas formulas: 12
  • 16.
  • 17.
  • 18.
    CONCLUSION Al hacer todonuestra practica y sustituir formulas para después graficar nos pudimos dar cuenta que hubieron unas pequeñas deviaciones al comparar el factor de fricción teórico con el práctico y a su vez estos con el diagrama de Moody igual y fue porque nuestro datos en realidad son una muestra demasiado pequeña en comparación con Moody. Y también verificamos que conforme el factor de fricción aumenta el número de Reynolds disminuye y por lo tanto comprobamos que nuestra práctica está bien hecha por dicho comportamiento. 15
  • 19.
    REFERENCIAS • Mecánica de fluidos, Merle C. Potter, David C. Wiggert • Fenómenos de Transporte R. B. Bird, W.E.Stewart, E.N.Lightfoot • http://tarwi.lamolina.edu.pe/~dsa/Reynold.htm • http://es.wikipedia.org/wiki/N%C3%BAmero_de_Reynolds • R. Byron Bird, Fenómenos de Transporte, Editorial Reverté, S.A. 16