Agricultura de Conservación:
  Avances y retos futuros
India y México vulnerables ante el cambio climático
Predicted annual average temperature difference (in °C) between
current long-term average (1951-2002) and the 2050s (average of 19
models for emission scenario A2)
Verhulst et al., 2011a
Annual rainfall in Mexico on ‘municipio’ level: predicted annual rainfall
difference (in %) between current long-term average (1951-2002) and
the 2050s (average of 19 models for emission scenario A2)
Verhulst et al., 2011a
En 2009, se registró la segunda peor sequía en 60 años. 2010 fue el año más
lluvioso que se tenga registro. “y en 2011, para el 40 por ciento del territorio
nacional ha sido el año más seco en 70 años…”
                                                       (Palabras del Presidente Felipe Calderón, Día Mundial del Medio Ambiente 2011)
           2010: año con mayor
            precipitación en la
         historia del país. Más de
            1.2 millones de has
                siniestradas


                                                                                                     2009 : la segunda peor
                                                                                                       sequía en 60 años.
                                                                                                     Más de 2.6 millones de
                                                                                                     hectáreas siniestradas




                                                                                                         2011: Al mes de
                                                                                                         agosto, la menor
                                                                                                        precipitación en 70
                                                                                                               años




1/ promedio de superficie siniestrada 2006-2008: 975,480 has
                                                                                                                                        5
Principales retos para la seguridad
     alimentaria
   Tendencias de la             Determinantes de la
       demanda                        oferta
                                 Límites a la expansión de la tierra cultivable.
                                 Deterioro de recursos naturales; suelo, agua
         Para 2050:               y recursos genéticos.

 Incremento de la población     Cambio climático; impactos más severos de
  mundial a 9,300 millones de     fenómenos climatológicos.
  habitantes (50% mayor a la     Utilización de mayores volúmenes de
  registrada en 2010)             productos agrícolas para usos no
                                  alimentarios (fibras y combustibles)
 Aumento de 70% en la
  demanda mundial de             Reducción de inventarios mundiales de
  alimentos.                      commodities.
                                 Volatilidad de precios y efectos en el ingreso:
                                  inversiones financieras y “especulativas”



                                                                                    6
Acciones a tomar por estos países…
  ● Invertir en ciencia y tecnología aplicadas al campo y a la
    alimentación.
  ● Poner en manos del agricultor todas las herramientas
    disponibles para enfrentar estos retos.
  ● Promover técnicas agronómicas que permitan
    recuperar suelos dedicados a la agricultura y un uso
    eficiente de fertilizantes.
  ● Desarrollar semillas más fuertes y adaptadas.
  ● Minimizar la dependencia de las importaciones.
MasAgro: estrategia conjunta SAGARPA - CIMMYT
Objetivo general:
• Aumentar la producción de maíz (85%) y de trigo
  (10%) en zonas de temporal, mediante la
  adopción de prácticas agrícolas sustentables y
  de la generación de la huella genética de las
  variedades de maíz y trigo para ponerla a
  disposición de la comunidad científica
Participantes:
•   Agricultores de bajos
•   Empresas semilleras pequeñas y medianas
•   Investigadores nacionales e internacionales
•   La cadena agroalimentaria en su conjunto
Duración:        10 años
Trabajo en equipo



Sustentabilidad del campo
        mexicano
Colaboradores
Componentes de MasAgro

    Descubriendo la diversidad genética de las
    semillas

    Estrategia internacional para aumentar el
    rendimiento de maíz

    Estrategia internacional para aumentar el
    rendimiento de trigo
    Desarrollo sustentable con el productor
Descubriendo la diversidad genética de las
     semillas

Clasifica la biodiversidad genética que se conserva en los
bancos de germoplasma de México
Detecta información genética relevante para generar
mejores semillas
Resultados en Trigo

● Caracterización molecular del germoplasma:
 9 mil muestras de ADN de trigo caracterizadas en la
  compañía Diversity Arrays Technology (DArT), en
  Australia.
● Evaluación de caracteres agronómicos clave:
 16 mil variedades de trigo del banco de germoplasma
  de CIMMYT, evaluadas fenotípicamente bajo
  condiciones de tolerancia al calor, en Ciudad
  Obregón, Son.
 En curso, evaluación de 40,000 variedades de trigo del
  banco de germoplasma de CIMMYT, bajo condiciones
  de tolerancia al calor, en Ciudad Obregón, Son.
Estrategia internacional para aumentar el
     rendimiento de maíz
Integra las capacidades técnicas de la comunidad científica y
desarrolla al sector semillero nacional para llevar a las zonas
de temporal semillas de calidad adaptadas que permitan
enfrentar mejor los efectos del cambio climático.
Estrategia internacional para aumentar el
         rendimiento de trigo

Integra a México dentro de un consorcio internacional de
investigación que coordina los trabajos de científicos de 30 países
para aumentar los rendimientos de trigo a nivel mundial.
Resultados
● Creación de una plataforma de definición de fenotipos
  en México (MEXPLAT) en Cd. Obregón, Sonora, para
  evaluar las características fisiológicas de variedades:
  prevenir el acame, fotosíntesis, re-movilizar
  reservas, entre otras.
● Envío de 60 líneas de trigo a institutos de investigación
  nacionales e internacionales para validar las ventajas
  fisiológicas.
● Uso de tecnologías de sensores remotos en materiales
  élite para medir la cantidad de nutrientes, la tasa de
  crecimiento y la eficiencia fotosintética, además de sus
  condiciones de hidratación.
Desarrollo sustentable con el productor


Desarrolla capacidades para la adaptación y adopción de
prácticas agrícolas sustentables, para tener rendimientos
altos y estables, con menor impacto al medio ambiente y con
mayor ingreso para el productor.
Interacción entre componentes

Recursos genéticos             Descubriendo la
                                 diversidad
                                genética de la
                                   semilla

Mejoramiento
                       Trigo
                       Maíz
                                         Desarrollo
                                        Sustentable
                                           con el
                                         productor


Extensión, agronomía
Desarrollo sustentable con el productor

                Coordinar a todos los actores de la
                       cadena productiva

               Adaptación y adopción de soluciones

              Generar capacidad para la aplicación y
              el desarrollo de ciencia para el campo

                Transferencia de tecnología en una
                        red de innovación

                  El productor como catalizador
Objetivos
● Dar sustentabilidad al campo mexicano
  Rendimientos altos y estables
  Menor impacto a medio ambiente
  Mayor ingreso para el productor
Ejes
● Incremento en el abasto nacional
● Aumento del bienestar
  social, económico, ecológico y regional.
Agricultura de Conservación (AC)
  ● Comprende tres componentes
   básicos
    Retención del residuo en la superficie
     (nada de quema)
    Movimiento mínimo del suelo
    Rotación de cultivos
Govaerts et al., 2005
Govaerts et al., 2005
Govaerts et al., 2005
Zero vs. Conventional

                          ZT   CT




  Govaerts et al., 2005
Zero vs. Conventional

                           ZT   CT




   Govaerts et al., 2005
Rendimiento El Batán


                                        Maíz                                                                                                Trigo
                               8000                                                                                                  8000




                                                                                                     Reendimiento de grano (kg/ha)
Rendimiento de grano (kg/ha)




                               7000                                                                                                  7000

                               6000                                                                                                  6000
                               5000
                                                                                                                                     5000
                               4000
                                                                                                                                     4000
                               3000
                                                                                                                                     3000
                               2000

                               1000                                                                                                  2000

                                 0                                                                                                   1000
                                  1997 1998 1999 2000 2001 2002 2003 2004 2005 2006 2007 2008 2009                                      1997 1998 1999 2000 2001 2002 2003 2004 2005 2006 2007 2008
                                                                Año                                                                                                 Año
                                                     Agricultura de Conservación                                                                            Agricultura de Conservación
                                                     Práctica del productor                                                                                 Práctica del productor
                                                     Cero labranza sin rastrojo                                                                             Cero labranza sin rastrojo
Humedad de suelo en Valles Altos
En ciclo 2009 (con sequia 30-83 días después de siembra)
                                260                                                                                      70
                                240
                                                                                                                         60
      Soil water content (mm)




                                220
                                                                                                                         50
                                200




                                                                                                                              Rainfall (mm)
                                180                                                                                      40

                                160                                                                                      30
                                140
                                                                                                                         20
                                120
                                                                                                                         10
                                100
                                 80                                                                                      0
                                      0        14    28   42   56   70      84   98    112       126   140   154   168

                                                                    Days after planting
                                          ZT, Keep             ZT, Remove             CT, Keep                CT, Remove
                                          FC                   WP                     Rainfall
Modulos
Costos totales modulos (2009)
                    18000
                    16000              AC   CC
                    14000
(Pesos/ha)(kg/ha)




                    12000
                    10000
                     8000
                     6000
                     4000
                     2000
                        0
Rentabilidad neta modulos (2009)
                    25000
                                AC   CC
                    20000
(Pesos/ha)(kg/ha)




                    15000

                    10000

                     5000

                        0

                     -5000

                    -10000
En riego: Camas permanentes




  Combinada con aplicación de fertilizante basal
  encima de la cama antes de la siembra
  con el implemento desarrollado por CIMMYT
Rendimiento Cd. Obregón
Rendimiento: system × ciclo
explicado por parametros de clima
                          Years: 1999-2009
                          Climatic variables:
                          H= relative humidity
                          Tmn= minimum temp
                          Tmx= maximum temp
                          R= radiation
                          E= ET0
                          P= precipitation

                          1, …, 6= Periods of
                          the growing season
                          1 ≈ emergence
                          2 ≈ tillering
                          3 ≈ stem elongation
                          and booting
                          4 ≈ head emergence
                          5 ≈ flowering
                          6 ≈ grain filling
Costos de producción en Modulos
                    18000


                    16000


                    14000
(Pesos/ha)(kg/ha)




                    12000


                    10000

                                                                                        AC
                    8000                                                                Convencional


                    6000


                    4000


                    2000


                        0
                            Rosas   Aguilar   Aguilar (2)   Signoret   Mayo   Portela
Resultados de los Módulos de Guanajuato:
Cebada otoño – invierno 2010-11
                              18000
                                         Agricultura de Conservacion
                              16000      Conventional

                              14000
    (pesos / ha ) (kg / ha)




                              12000

                              10000

                              8000

                              6000

                              4000

                              2000

                                 0
                                      Costo de Production       Rendimiento   Rentabilidad
Resultados de los Módulos de Guanajuato:
Trigo otoño – invierno 2010-11
                             16000


                             14000          Agricultura de Conservacion
                                            Conventional

                             12000
    (pesos / ha) (kg / ha)




                             10000


                             8000


                             6000


                             4000


                             2000


                                0
                                     Costo de Production       Rendimiento   Rentabilidad
Agricultura de Conservación es el base sustentable para el
desarrollo de tecnologías de manejo de cultivos


                                                          Uso de
          Tecnología               Manejo              Sembradoras                Manejo de
         Postcosecha             integral de           y Maquinaria                cultivos
                                   plagas               Adecuadas                 Adecuados


            Manejo               Selecion de              Manejo                   Manejo
          Eficiente de           Variedades             Adecuado de              integral de
          Fertilizantes          Adecuados               Irrigación               Malezas


 Base para el desarrollo de tecnologías de manejo de cultivos adecuados con base en AC
                              Retención               Diversificación           Percepción de
   Mínimo de                 Adecuado de             Económicamente               Beneficios
  movimiento del             Rastrojo en el         Viable de Rotación        Económicos por los
      Suelo                   Superficie                de Cultivos              Productores
Resultados 2011 en campo
● 20 790 ha utilizan alguna tecnología de MasAgro
  Agricultura de Conservacion
  Variedades adequadas de Maiz o Trigo o Cebada
  Tecnologias de postcosecha
  Herramientas de diagnostico para Nitrogeno, Fosforo o
   Potasio (Analisis de Suelo y Uso de Sensores)
  Fertilizacion integral (fertilizacion organica + inorganica +
   mejoradores de suelo)
  Diversificacion y acceso a nuevos mercados
● 20 plataformas
● 132 módulos
● Más de 90 días demostrativos con 13.000
  productores
Avance de MasAgro en los Estados
                                                                                   Experimentos de fertilidad Area de
                                                       Módulos demostrativos               integral           extension
                                  Plataformas                                                    OI 2011-
Hub            Estado            experimentales Establecidos    ha      Productores PV 2011         2012
               Hidalgo                       3          39        66            39           3           .        260
               México                        5          13        20            13           4           .        113
               Puebla                        3           4      21.5             4           2           .       1205
               Tlaxcala                      1          23      27.4            23           7           .         71
               DF                                        4       2.9             4           0           .          3
Valles Altos   Subtotal                     12          83     137.8            83          16           0       1652
               Guanajuato                    2          25      63.7            25                      24       1092
               Jalisco                       -           1         4             1           6           0          0
               Queretaro                     0           2         2             2           0           .         30
               Michoacán                     1           2         2             2           4           0       3562
Bajío          Subtotal                      3          30      71.7            30          10          24       4684
               Chiapas                       1           9         6             6           3           0        463
Trópico Bajo   Subtotal                      1           9         6             6           3           0        463
               Sinaloa                       1           2        20             2           7           4       1323
               Sonora                        3           4        24             4           8           6      11821
               Baja California               1           0         0             0           0           6        723
Pacífico Norte Subtotal                      5           6        44             6          15          16      13867
               Chihuahua                     0           1       2.5             1           .           .        124
               Oaxaca                        0           2         1             2           .           .          0
               Zacatecas                     0           1       2.5             1           2           .          0
Total                                       21         132     265.5           129          46          40      20790
ESTADOS CON PRESENTACIÓN DE MASAGRO
                         Presentación    Firma de
     Estados visitados
                           MasAgro       convenio

   Puebla                   13/06/2011   15/07/2011
   Sinaloa                  09/09/2011   03/11/2011
   Estado de México         05/12/2011   12/01/2012
   Tlaxcala                 28/06/2011   27/01/2012
   Jalisco                  08/07/2011   10/02/2012
   Querétaro                11/11/2011   14/02/2012
   Sonora                   08/02/2012   20/04/2012
   Morelos                  03/02/2012   26/04/2012
   Hidalgo                  17/06/2011   07/05/2012
   San Luis Potosí          26/01/2012
   Chiapas                  12/03/2012
   Guanajuato               29/06/2011
   Distrito Federal         13/02/2012
   Yucatán                  27/02/2012
   Aguascalientes           11/04/2012
   Oaxaca                   11/04/2012
   Michoacán                30/03/2012


                                                      49
Como colaboro con MasAgro?
● Generar integración de la cadena
● Generar inversiones
● Participación en reuniones de hub
● Generando capacidades en técnicos y otros miembros de
  la cadena
● Estableciendo plataformas vinculadas a módulos
● Ya estamos trabajando
     Variedades nuevas de trigo
     Multiplicación de semilla
     Agricultura de Conservación
     Sensores para fertilización
     Triticale
Más información

http://masagro.cimmyt.org




     Gracias.

Agricultura de Conservacion: Avances y retos futuros

  • 1.
    Agricultura de Conservación: Avances y retos futuros
  • 2.
    India y Méxicovulnerables ante el cambio climático
  • 3.
    Predicted annual averagetemperature difference (in °C) between current long-term average (1951-2002) and the 2050s (average of 19 models for emission scenario A2) Verhulst et al., 2011a
  • 4.
    Annual rainfall inMexico on ‘municipio’ level: predicted annual rainfall difference (in %) between current long-term average (1951-2002) and the 2050s (average of 19 models for emission scenario A2) Verhulst et al., 2011a
  • 5.
    En 2009, seregistró la segunda peor sequía en 60 años. 2010 fue el año más lluvioso que se tenga registro. “y en 2011, para el 40 por ciento del territorio nacional ha sido el año más seco en 70 años…” (Palabras del Presidente Felipe Calderón, Día Mundial del Medio Ambiente 2011) 2010: año con mayor precipitación en la historia del país. Más de 1.2 millones de has siniestradas 2009 : la segunda peor sequía en 60 años. Más de 2.6 millones de hectáreas siniestradas 2011: Al mes de agosto, la menor precipitación en 70 años 1/ promedio de superficie siniestrada 2006-2008: 975,480 has 5
  • 6.
    Principales retos parala seguridad alimentaria Tendencias de la Determinantes de la demanda oferta  Límites a la expansión de la tierra cultivable.  Deterioro de recursos naturales; suelo, agua Para 2050: y recursos genéticos.  Incremento de la población  Cambio climático; impactos más severos de mundial a 9,300 millones de fenómenos climatológicos. habitantes (50% mayor a la  Utilización de mayores volúmenes de registrada en 2010) productos agrícolas para usos no alimentarios (fibras y combustibles)  Aumento de 70% en la demanda mundial de  Reducción de inventarios mundiales de alimentos. commodities.  Volatilidad de precios y efectos en el ingreso: inversiones financieras y “especulativas” 6
  • 7.
    Acciones a tomarpor estos países… ● Invertir en ciencia y tecnología aplicadas al campo y a la alimentación. ● Poner en manos del agricultor todas las herramientas disponibles para enfrentar estos retos. ● Promover técnicas agronómicas que permitan recuperar suelos dedicados a la agricultura y un uso eficiente de fertilizantes. ● Desarrollar semillas más fuertes y adaptadas. ● Minimizar la dependencia de las importaciones.
  • 8.
    MasAgro: estrategia conjuntaSAGARPA - CIMMYT Objetivo general: • Aumentar la producción de maíz (85%) y de trigo (10%) en zonas de temporal, mediante la adopción de prácticas agrícolas sustentables y de la generación de la huella genética de las variedades de maíz y trigo para ponerla a disposición de la comunidad científica Participantes: • Agricultores de bajos • Empresas semilleras pequeñas y medianas • Investigadores nacionales e internacionales • La cadena agroalimentaria en su conjunto Duración: 10 años
  • 9.
  • 10.
  • 11.
    Componentes de MasAgro Descubriendo la diversidad genética de las semillas Estrategia internacional para aumentar el rendimiento de maíz Estrategia internacional para aumentar el rendimiento de trigo Desarrollo sustentable con el productor
  • 12.
    Descubriendo la diversidadgenética de las semillas Clasifica la biodiversidad genética que se conserva en los bancos de germoplasma de México Detecta información genética relevante para generar mejores semillas
  • 13.
    Resultados en Trigo ●Caracterización molecular del germoplasma: 9 mil muestras de ADN de trigo caracterizadas en la compañía Diversity Arrays Technology (DArT), en Australia. ● Evaluación de caracteres agronómicos clave: 16 mil variedades de trigo del banco de germoplasma de CIMMYT, evaluadas fenotípicamente bajo condiciones de tolerancia al calor, en Ciudad Obregón, Son. En curso, evaluación de 40,000 variedades de trigo del banco de germoplasma de CIMMYT, bajo condiciones de tolerancia al calor, en Ciudad Obregón, Son.
  • 14.
    Estrategia internacional paraaumentar el rendimiento de maíz Integra las capacidades técnicas de la comunidad científica y desarrolla al sector semillero nacional para llevar a las zonas de temporal semillas de calidad adaptadas que permitan enfrentar mejor los efectos del cambio climático.
  • 15.
    Estrategia internacional paraaumentar el rendimiento de trigo Integra a México dentro de un consorcio internacional de investigación que coordina los trabajos de científicos de 30 países para aumentar los rendimientos de trigo a nivel mundial.
  • 16.
    Resultados ● Creación deuna plataforma de definición de fenotipos en México (MEXPLAT) en Cd. Obregón, Sonora, para evaluar las características fisiológicas de variedades: prevenir el acame, fotosíntesis, re-movilizar reservas, entre otras. ● Envío de 60 líneas de trigo a institutos de investigación nacionales e internacionales para validar las ventajas fisiológicas. ● Uso de tecnologías de sensores remotos en materiales élite para medir la cantidad de nutrientes, la tasa de crecimiento y la eficiencia fotosintética, además de sus condiciones de hidratación.
  • 17.
    Desarrollo sustentable conel productor Desarrolla capacidades para la adaptación y adopción de prácticas agrícolas sustentables, para tener rendimientos altos y estables, con menor impacto al medio ambiente y con mayor ingreso para el productor.
  • 18.
    Interacción entre componentes Recursosgenéticos Descubriendo la diversidad genética de la semilla Mejoramiento Trigo Maíz Desarrollo Sustentable con el productor Extensión, agronomía
  • 19.
    Desarrollo sustentable conel productor Coordinar a todos los actores de la cadena productiva Adaptación y adopción de soluciones Generar capacidad para la aplicación y el desarrollo de ciencia para el campo Transferencia de tecnología en una red de innovación El productor como catalizador
  • 20.
    Objetivos ● Dar sustentabilidadal campo mexicano Rendimientos altos y estables Menor impacto a medio ambiente Mayor ingreso para el productor Ejes ● Incremento en el abasto nacional ● Aumento del bienestar social, económico, ecológico y regional.
  • 22.
    Agricultura de Conservación(AC) ● Comprende tres componentes básicos  Retención del residuo en la superficie (nada de quema)  Movimiento mínimo del suelo  Rotación de cultivos
  • 23.
    Govaerts et al.,2005 Govaerts et al., 2005
  • 24.
  • 25.
    Zero vs. Conventional ZT CT Govaerts et al., 2005
  • 26.
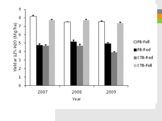
    Zero vs. Conventional ZT CT Govaerts et al., 2005
  • 27.
    Rendimiento El Batán Maíz Trigo 8000 8000 Reendimiento de grano (kg/ha) Rendimiento de grano (kg/ha) 7000 7000 6000 6000 5000 5000 4000 4000 3000 3000 2000 1000 2000 0 1000 1997 1998 1999 2000 2001 2002 2003 2004 2005 2006 2007 2008 2009 1997 1998 1999 2000 2001 2002 2003 2004 2005 2006 2007 2008 Año Año Agricultura de Conservación Agricultura de Conservación Práctica del productor Práctica del productor Cero labranza sin rastrojo Cero labranza sin rastrojo
  • 28.
    Humedad de sueloen Valles Altos En ciclo 2009 (con sequia 30-83 días después de siembra) 260 70 240 60 Soil water content (mm) 220 50 200 Rainfall (mm) 180 40 160 30 140 20 120 10 100 80 0 0 14 28 42 56 70 84 98 112 126 140 154 168 Days after planting ZT, Keep ZT, Remove CT, Keep CT, Remove FC WP Rainfall
  • 29.
  • 30.
    Costos totales modulos(2009) 18000 16000 AC CC 14000 (Pesos/ha)(kg/ha) 12000 10000 8000 6000 4000 2000 0
  • 31.
    Rentabilidad neta modulos(2009) 25000 AC CC 20000 (Pesos/ha)(kg/ha) 15000 10000 5000 0 -5000 -10000
  • 32.
    En riego: Camaspermanentes Combinada con aplicación de fertilizante basal encima de la cama antes de la siembra con el implemento desarrollado por CIMMYT
  • 33.
  • 34.
    Rendimiento: system ×ciclo explicado por parametros de clima Years: 1999-2009 Climatic variables: H= relative humidity Tmn= minimum temp Tmx= maximum temp R= radiation E= ET0 P= precipitation 1, …, 6= Periods of the growing season 1 ≈ emergence 2 ≈ tillering 3 ≈ stem elongation and booting 4 ≈ head emergence 5 ≈ flowering 6 ≈ grain filling
  • 38.
    Costos de producciónen Modulos 18000 16000 14000 (Pesos/ha)(kg/ha) 12000 10000 AC 8000 Convencional 6000 4000 2000 0 Rosas Aguilar Aguilar (2) Signoret Mayo Portela
  • 39.
    Resultados de losMódulos de Guanajuato: Cebada otoño – invierno 2010-11 18000 Agricultura de Conservacion 16000 Conventional 14000 (pesos / ha ) (kg / ha) 12000 10000 8000 6000 4000 2000 0 Costo de Production Rendimiento Rentabilidad
  • 40.
    Resultados de losMódulos de Guanajuato: Trigo otoño – invierno 2010-11 16000 14000 Agricultura de Conservacion Conventional 12000 (pesos / ha) (kg / ha) 10000 8000 6000 4000 2000 0 Costo de Production Rendimiento Rentabilidad
  • 41.
    Agricultura de Conservaciónes el base sustentable para el desarrollo de tecnologías de manejo de cultivos Uso de Tecnología Manejo Sembradoras Manejo de Postcosecha integral de y Maquinaria cultivos plagas Adecuadas Adecuados Manejo Selecion de Manejo Manejo Eficiente de Variedades Adecuado de integral de Fertilizantes Adecuados Irrigación Malezas Base para el desarrollo de tecnologías de manejo de cultivos adecuados con base en AC Retención Diversificación Percepción de Mínimo de Adecuado de Económicamente Beneficios movimiento del Rastrojo en el Viable de Rotación Económicos por los Suelo Superficie de Cultivos Productores
  • 43.
    Resultados 2011 encampo ● 20 790 ha utilizan alguna tecnología de MasAgro Agricultura de Conservacion Variedades adequadas de Maiz o Trigo o Cebada Tecnologias de postcosecha Herramientas de diagnostico para Nitrogeno, Fosforo o Potasio (Analisis de Suelo y Uso de Sensores) Fertilizacion integral (fertilizacion organica + inorganica + mejoradores de suelo) Diversificacion y acceso a nuevos mercados ● 20 plataformas ● 132 módulos ● Más de 90 días demostrativos con 13.000 productores
  • 44.
    Avance de MasAgroen los Estados Experimentos de fertilidad Area de Módulos demostrativos integral extension Plataformas OI 2011- Hub Estado experimentales Establecidos ha Productores PV 2011 2012 Hidalgo 3 39 66 39 3 . 260 México 5 13 20 13 4 . 113 Puebla 3 4 21.5 4 2 . 1205 Tlaxcala 1 23 27.4 23 7 . 71 DF 4 2.9 4 0 . 3 Valles Altos Subtotal 12 83 137.8 83 16 0 1652 Guanajuato 2 25 63.7 25 24 1092 Jalisco - 1 4 1 6 0 0 Queretaro 0 2 2 2 0 . 30 Michoacán 1 2 2 2 4 0 3562 Bajío Subtotal 3 30 71.7 30 10 24 4684 Chiapas 1 9 6 6 3 0 463 Trópico Bajo Subtotal 1 9 6 6 3 0 463 Sinaloa 1 2 20 2 7 4 1323 Sonora 3 4 24 4 8 6 11821 Baja California 1 0 0 0 0 6 723 Pacífico Norte Subtotal 5 6 44 6 15 16 13867 Chihuahua 0 1 2.5 1 . . 124 Oaxaca 0 2 1 2 . . 0 Zacatecas 0 1 2.5 1 2 . 0 Total 21 132 265.5 129 46 40 20790
  • 45.
    ESTADOS CON PRESENTACIÓNDE MASAGRO Presentación Firma de Estados visitados MasAgro convenio Puebla 13/06/2011 15/07/2011 Sinaloa 09/09/2011 03/11/2011 Estado de México 05/12/2011 12/01/2012 Tlaxcala 28/06/2011 27/01/2012 Jalisco 08/07/2011 10/02/2012 Querétaro 11/11/2011 14/02/2012 Sonora 08/02/2012 20/04/2012 Morelos 03/02/2012 26/04/2012 Hidalgo 17/06/2011 07/05/2012 San Luis Potosí 26/01/2012 Chiapas 12/03/2012 Guanajuato 29/06/2011 Distrito Federal 13/02/2012 Yucatán 27/02/2012 Aguascalientes 11/04/2012 Oaxaca 11/04/2012 Michoacán 30/03/2012 49
  • 49.
    Como colaboro conMasAgro? ● Generar integración de la cadena ● Generar inversiones ● Participación en reuniones de hub ● Generando capacidades en técnicos y otros miembros de la cadena ● Estableciendo plataformas vinculadas a módulos ● Ya estamos trabajando  Variedades nuevas de trigo  Multiplicación de semilla  Agricultura de Conservación  Sensores para fertilización  Triticale
  • 51.

Notas del editor

  • #14 CIMMYT and IITA collectively hold13 the world's most diverse collection of maize diversity
  • #35 No se siestebien el texto deleje de la Y, y sies de maíz o de que?,no tengoesainformación
  • #36 No se siestebien el texto deleje de la Y, y sies de maíz o de que?,no tengoesainformación
  • #43 No se siestebien el texto deleje de la Y, y sies de maíz o de que?,no tengoesainformación