Incrustar presentación
Descargar para leer sin conexión











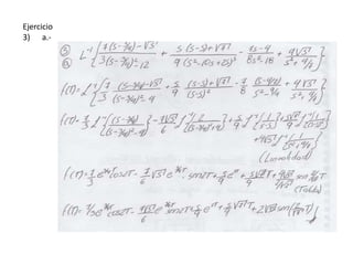
El documento presenta los ejercicios resueltos de la Unidad III de Matemática IV para la carrera de Ingeniería Mecánica en la Universidad Fermín Toro. Contiene 6 ejercicios propuestos y sus respectivas soluciones realizadas por el alumno Marco Bellotto y revisadas por el profesor Jose Luis Morillo.










