FREQUENCIES VARIABLES=alumno carrera semestre libro
/STATISTICS=STDDEV VARIANCE RANGE MINIMUM MAXIMUM SEMEAN MEAN MEDIAN MODE
SUM SKEWNESS SESKEW
KURTOSIS SEKURT
/BARCHART FREQ
/ORDER=ANALYSIS.
Frecuencias
Notas
Salida creada
Comentarios
Entrada Conjunto de datos activo
Filtro
Ponderación
Segmentar archivo
N de filas en el archivo de
datos de trabajo
Manejo de valores perdidos Definición de perdidos
Casos utilizados
Sintaxis
Recursos Tiempo de procesador
Tiempo transcurrido
07-OCT-2016 18:50:44
ConjuntoDatos0
<ninguno>
<ninguno>
<ninguno>
12
Los valores perdidos definidos por el
usuario se tratan como perdidos.
Las estadísticas se basan en todos
los casos con datos válidos.
FREQUENCIES
VARIABLES=alumno carrera
semestre libro
/STATISTICS=STDDEV
VARIANCE RANGE MINIMUM
MAXIMUM SEMEAN MEAN
MEDIAN MODE SUM SKEWNESS
SESKEW
KURTOSIS SEKURT
/BARCHART FREQ...
00:00:03.21
00:00:03.41
Página 1
Estadísticos
alumno carrera semestre libro
N Válido
Perdidos
Media
Error estándar de la media
Mediana
Moda
Desviación estándar
Varianza
Asimetría
Error estándar de asimetría
Curtosis
Error estándar de curtosis
Rango
Mínimo
Máximo
Suma
12 12 12 12
0 0 0 0
6.5000 46.3333
1.04083 40.81877
6.5000 4.0000
1.00a
3.00a
3.60555 141.40036
13.000 19994.061
.000 3.455
.637 .637
-1.200 11.953
1.232 1.232
11.00 494.00
1.00 1.00
12.00 495.00
78.00 556.00
Existen múltiples modos. Se muestra el valor más pequeño.a.
Tabla de frecuencia
alumno
Frecuencia Porcentaje
Porcentaje
válido
Porcentaje
acumulado
Válido 1.00
2.00
3.00
4.00
5.00
6.00
7.00
8.00
9.00
10.00
11.00
12.00
Total
1 8.3 8.3 8.3
1 8.3 8.3 16.7
1 8.3 8.3 25.0
1 8.3 8.3 33.3
1 8.3 8.3 41.7
1 8.3 8.3 50.0
1 8.3 8.3 58.3
1 8.3 8.3 66.7
1 8.3 8.3 75.0
1 8.3 8.3 83.3
1 8.3 8.3 91.7
1 8.3 8.3 100.0
12 100.0 100.0
carrera
Frecuencia Porcentaje
Porcentaje
válido
Porcentaje
acumulado
Válido .00 12 100.0 100.0 100.0
Página 2
semestre
Frecuencia Porcentaje
Porcentaje
válido
Porcentaje
acumulado
Válido I.PSICOPEDAGÓGICA
NINGUNA
P.S Y M.N
PEDAGOGIA SOCIAL
T.S. Y A. DE RESULTADOS
TICS
Total
2 16.7 16.7 16.7
1 8.3 8.3 25.0
1 8.3 8.3 33.3
1 8.3 8.3 41.7
1 8.3 8.3 50.0
6 50.0 50.0 100.0
12 100.0 100.0
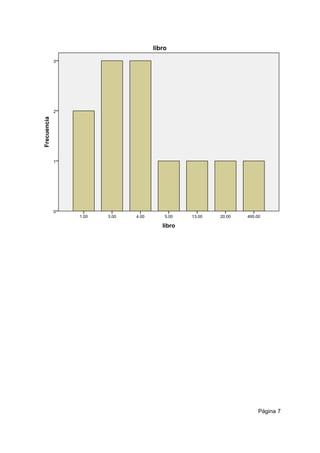
libro
Frecuencia Porcentaje
Porcentaje
válido
Porcentaje
acumulado
Válido 1.00
3.00
4.00
5.00
13.00
20.00
495.00
Total
2 16.7 16.7 16.7
3 25.0 25.0 41.7
3 25.0 25.0 66.7
1 8.3 8.3 75.0
1 8.3 8.3 83.3
1 8.3 8.3 91.7
1 8.3 8.3 100.0
12 100.0 100.0
Gráfico de barras
Página 3
alumno
12.0011.0010.009.008.007.006.005.004.003.002.001.00
Frecuencia
1.0
0.8
0.6
0.4
0.2
0.0
alumno
Página 4
carrera
.00
Frecuencia
12
10
8
6
4
2
0
carrera
Página 5
semestre
TICS
T.S.YA.DERESULTADOS
PEDAGOGIASOCIAL
P.SYM.N
NINGUNA
I.PSICOPEDAGÓGICA
Frecuencia
6
5
4
3
2
1
0
semestre
Página 6
libro
495.0020.0013.005.004.003.001.00
Frecuencia
3
2
1
0
libro
Página 7

encuesta spss

  • 1.
    FREQUENCIES VARIABLES=alumno carrerasemestre libro /STATISTICS=STDDEV VARIANCE RANGE MINIMUM MAXIMUM SEMEAN MEAN MEDIAN MODE SUM SKEWNESS SESKEW KURTOSIS SEKURT /BARCHART FREQ /ORDER=ANALYSIS. Frecuencias Notas Salida creada Comentarios Entrada Conjunto de datos activo Filtro Ponderación Segmentar archivo N de filas en el archivo de datos de trabajo Manejo de valores perdidos Definición de perdidos Casos utilizados Sintaxis Recursos Tiempo de procesador Tiempo transcurrido 07-OCT-2016 18:50:44 ConjuntoDatos0 <ninguno> <ninguno> <ninguno> 12 Los valores perdidos definidos por el usuario se tratan como perdidos. Las estadísticas se basan en todos los casos con datos válidos. FREQUENCIES VARIABLES=alumno carrera semestre libro /STATISTICS=STDDEV VARIANCE RANGE MINIMUM MAXIMUM SEMEAN MEAN MEDIAN MODE SUM SKEWNESS SESKEW KURTOSIS SEKURT /BARCHART FREQ... 00:00:03.21 00:00:03.41 Página 1
  • 2.
    Estadísticos alumno carrera semestrelibro N Válido Perdidos Media Error estándar de la media Mediana Moda Desviación estándar Varianza Asimetría Error estándar de asimetría Curtosis Error estándar de curtosis Rango Mínimo Máximo Suma 12 12 12 12 0 0 0 0 6.5000 46.3333 1.04083 40.81877 6.5000 4.0000 1.00a 3.00a 3.60555 141.40036 13.000 19994.061 .000 3.455 .637 .637 -1.200 11.953 1.232 1.232 11.00 494.00 1.00 1.00 12.00 495.00 78.00 556.00 Existen múltiples modos. Se muestra el valor más pequeño.a. Tabla de frecuencia alumno Frecuencia Porcentaje Porcentaje válido Porcentaje acumulado Válido 1.00 2.00 3.00 4.00 5.00 6.00 7.00 8.00 9.00 10.00 11.00 12.00 Total 1 8.3 8.3 8.3 1 8.3 8.3 16.7 1 8.3 8.3 25.0 1 8.3 8.3 33.3 1 8.3 8.3 41.7 1 8.3 8.3 50.0 1 8.3 8.3 58.3 1 8.3 8.3 66.7 1 8.3 8.3 75.0 1 8.3 8.3 83.3 1 8.3 8.3 91.7 1 8.3 8.3 100.0 12 100.0 100.0 carrera Frecuencia Porcentaje Porcentaje válido Porcentaje acumulado Válido .00 12 100.0 100.0 100.0 Página 2
  • 3.
    semestre Frecuencia Porcentaje Porcentaje válido Porcentaje acumulado Válido I.PSICOPEDAGÓGICA NINGUNA P.SY M.N PEDAGOGIA SOCIAL T.S. Y A. DE RESULTADOS TICS Total 2 16.7 16.7 16.7 1 8.3 8.3 25.0 1 8.3 8.3 33.3 1 8.3 8.3 41.7 1 8.3 8.3 50.0 6 50.0 50.0 100.0 12 100.0 100.0 libro Frecuencia Porcentaje Porcentaje válido Porcentaje acumulado Válido 1.00 3.00 4.00 5.00 13.00 20.00 495.00 Total 2 16.7 16.7 16.7 3 25.0 25.0 41.7 3 25.0 25.0 66.7 1 8.3 8.3 75.0 1 8.3 8.3 83.3 1 8.3 8.3 91.7 1 8.3 8.3 100.0 12 100.0 100.0 Gráfico de barras Página 3
  • 4.
  • 5.
  • 6.
  • 7.