EXCEL
Ejercicios Nivel básico
Pilar Baranguá Arbués
EXCELP.B.A
2
Ejercicio 1
OPERACIÓN Mano de obra Repuestos Importe
Bruto
TIPO IVA IVA IMPORTE
TOTAL
Cambio de aceite 7,51 12,00 19,51 16% 3,12 22,63
Ajuste encendido 6,00 24,00 30,00 16% 4,80 34,80
Alineación ruedas 9,02 0,00 9,02 16% 1,44 10,46
Puesta a punto 30,00 36,00 66,00 16% 10,56 76,56
TOTALES 124,53 19,92 144,45
EXCEL
3
P.B.A
Ejercicio 2
Realizar un presupuesto:
50 unid. Papel DIN A-4 4,21
250 unid. Bolígrafos Bic 0,08
200 unid. Gomas Milan 0,04
25 unid. Cartulinas A-3 0,1
Dto.25% IVA 16%
Artículo Cantidad Precio Importe
Bruto
Dto. IVA TOTAL
Papel DINA A-4 50 4,21 210,50 52,63 25,26 183,14
Bolígrafos Bic 250 0,08 20,00 5,00 2,40 17,40
Gomas Milan 200 0,04 8,00 2,00 0,96 6,96
Cartulinas A3 25 0,1 2,50 0,63 0,30 2,18
TOTALES 241,00 € 209,67 €
EXCELP.B.A
4
Ejercicio 3
REALIZAR EL SIGUIENTE PRESUPUESTO
TITULO PRESUPUESTO
Tipo de descuento: 15%
Tipo de IVA: 7%
Productos Referencia Precio Cantidad
Artículo Omega 1289 12,02 1
Artículo Beta 8765 24,04 2
Artículo Zeta 9293 42,07 4
Artículo Gamma 8294 30,05 8
Artículo REF. Cantidad Precio Importe Bruto Dto. IVA TOTAL
Omega 1289 1 12,02 12,02 1,80 0,72 10,93
Beta 8765 2 24,04 48,08 7,21 2,86 43,73
Zeta 9293 4 42,07 168,28 25,24 10,01 153,05
Gamma 8294 8 30,05 240,40 36,06 14,30 218,64
TOTALES 468,78 € 426,36 €
EXCEL
5
P.B.A
Ejercicio 4
SOLUCION:
PRESUPUESTO nº 14.231
Descuento 15%
IVA 16%
Artículo Cantidad Precio Importe Dto. Total
AA110 12 0,60 €
BB110 140 7,21 €
CC110 22 5,11 €
DD120 10 0,27 €
AA120 4 13,82 €
TOTALES GENERALES
IVA
Total con IVA
Total
6,12 €
857,99 €
95,56 €
2,30 €
46,99 €
1.008,95 €
161,43 €
1.170,38 €
EXCELP.B.A
6
Ejercicio 5
Precio Unidad: 180,30 €
Sueldo Fijo: 360,61 €
% IRPF: 15%
%S.S.: 10%
% Comisión: 10%
Hacer Gráfico
NOMBRE
Unidades
V. I. Ventas Comisión Sueldo B. IRPF S.S. Sueldo Neto
María Álvarez 100
José Martínez 80
Amparo Ruiz 40
Ana Reyes 190
Mariano Gómez 70
Pedro García 150
TOTAL
MAXIMA
MINIMA
MEDIA
SOLUCION:
TOTAL 630 113.589 11.359 13.523 2.028 1.352 10.142
MAXIMA 190 34.257 3.426 3.786 568 379 2.840
MINIMA 40 7.212 721 1.082 162 108 811
MEDIA 105 18.932 1.893 2.254 338 225 1.690
EXCEL
7
P.B.A
Ejercicio 6
IVA
Agua mineral 7%
Refrescos 7%
Cerveza 16%
Otros 16%
Bebidas Precio Iva Total Unidades Total G.
Agua mineral 0,60 12.000
Refrescos 0,90 24.500
Cerveza 0,75 18.900
Licores 1,20 1.230
Combinados 1,80 584
Suma total:
Hacer gráfico
SOLUCION:
Suma total: 50.672 €
EXCELP.B.A
8
Ejercicio 7
Precio Unidad 6,01
Comisión: 10%
Gastos Fijos: 751,27
Trim-1 Trim-2 Trim-3 Trim-4 Total
Unidades 200 300 100 210
Importe Bruto
Comisiones
Importe Neto
Gastos Variables 300,51 180,30 84,14 588,99
Beneficio
Solución:
Beneficio 30,02 € 691,13 € - 294,51 € - 204,37 € 222,27 €
EXCEL
9
P.B.A
Ejercicio 8
EMPRESA Martínez S.L.
Unidades vendidas Precio por unidad TOTAL
120 6,01 €
130 7,21 €
100 5,41 €
200 9,02 €
EMPRESA Alonso S.L.
Unidades vendidas Precio por unidad TOTAL
10 6,01 €
20 7,21 €
100 5,41 €
120 9,02 €
EMPRESA García S.L.
Unidades vendidas Precio por unidad TOTAL
1 6,01 €
2 7,21 €
3 5,41 €
4 9,02 €
TOTAL EMPRESAS
Suma de totales de
empresas
Media de empresas
Máxima de empresas
Mínima de empresas
SOLUCION:
Suma de totales de empresas 5.903,94 €
Media de empresas 1.967,98 €
Maxima de empresas 4.003,50 €
Minima de empresas 72,74 €
EXCELP.B.A
10
Ejercicio 9
GASTOS DE
APERTURA Mes Ventas/mes
Costes
Fijos
Costes
Variables
Costes
Totales Descuento TOTAL
Licencia fiscal 150,25 Ene
Permiso Ayuntam. 300,51 Feb
Permiso obras 1.202,02 Mar
Otros 150,25 Abr
Total Costes Fijos May
Jun
OTROS GASTOS 248,50
Material 1,20
Otros 0,30
Total otros gtos,
Ventas 60,10
Incremento 12,02
Dto. 15%
Solución:
Ventas/mes
Costes
Fijos
Costes
Variables
Costes
Totales Descuento TOTAL
60,10 1.803,03 15.025,00 16.828,03 2.524,20 14.303,83
72,12 1.803,03 18.030,00 19.833,03 2.974,95 16.858,08
84,14 1.803,03 21.035,00 22.838,03 3.425,70 19.412,33
96,16 1.803,03 24.040,00 25.843,03 3.876,45 21.966,58
108,18 1.803,03 27.045,00 28.848,03 4.327,20 24.520,83
120,20 1.803,03 30.050,00 31.853,03 4.777,95 27.075,08
EXCEL
11
P.B.A
Ejercicio 10
NIVEL F.CONTRATO
BASE
MINIMA
EXTRA LIQUIDO
1 12/05/1995 100.000 15%
2 11/06/1995 120.000 20%
3 11/07/1995 140.000 25%
4 10/08/1995 160.000 30%
Hacer gráfico
Solución:
LIQUIDO
115.000
144.000
175.000
208.000
Líquido= Base
mínima + extra
EXCELP.B.A
12
Ejercicio 11
Valor
Inicial 100
Incremento 10
Resultado Logaritmo Seno Coseno
100
Hacer gráfico, utilizando las funciones de seno y coseno
Solución:
Resultado Logaritmo Seno Coseno
100 2 -0,506365641 0,862318872
110 2,041392685 -0,044242678 -0,999020813
120 2,079181246 0,580611184 0,814180971
130 2,113943352 -0,93010595 -0,36729133
140 2,146128036 0,980239659 -0,197813574
150 2,176091259 -0,71487643 0,699250806
160 2,204119983 0,219425258 -0,975629313
170 2,230448921 0,346649455 0,937994752
180 2,255272505 -0,801152636 -0,598460069
190 2,278753601 0,997799279 0,066306858
200 2,301029996 -0,873297297 0,487187675
210 2,322219295 0,467718518 -0,883877473
220 2,342422681 0,088398712 0,996085171
230 2,361727836 -0,616064204 -0,787695942
240 2,380211242 0,945445155 0,325781306
250 2,397940009 -0,97052802 0,240988305
Resultado se va
incrementando (Valor
inicial mas el
incremento)
EXCEL
13
P.B.A
Ejercicio 12
poner fecha actual con fórmula
Cliente
Estructuras Fuertes S.A. Presupuesto nº 1.466
C/ Clara del Rey, 12 Fecha
28013-Madrid Fecha aceptación
Artículo Cantidad Precio Importe
Ladrillo hueco 100x50 5.000 0,02 €
Cemento (sacos 50 Kg) 200 15,03 €
Baldosas gres 40x40 m
2
250 9,02 €
Baldosas cenefa m
2
60 3,61 €
Total 1
Dto. p.p. 5%
Total 2
IVA 16%
Total presupuesto
Solución:
Total presupuesto 6.146,52 €
EXCELP.B.A
14
Ejercicio 13
PERIODOS GRADOS
ENERO -1 MAXIMA
FEBRERO 3 MINIMA
MARZO -8 MEDIA
ABRIL 12 Nº MESES
MAYO 15 VARIANZA
JUNIO 18 DESV.TIP.
JULIO 25
AGOSTO 28
SEPTIEMBRE 20
OCTUBRE 18
NOVIEMBRE 10
DICIEMBRE 4
Realizar gráfico
Solución:
MAXIMA 28
MINIMA -8
MEDIA 12,00
Nº MESES 12
VARIANZA 107,33
DESV.TIP. 10,36
Todo con fórmula
EXCEL
15
P.B.A
Ejercicio 14
PRESTAMO 18.030,36 €
Interés anual 12%
Años 10
Pagos al año 8
PRESTAMO 36.060,73 €
Interés anual 13%
Años 10
Pagos al año 6
PRESTAMO 84.141,69 €
Interés anual 16%
Años 30
Pagos al año 12
Solución:
Pago 388,52 €
Pago 1.079,68 €
Pago 1.131,50 €
Calcular el PAGO
de un préstamo
basado en pagos y
tasas de interés
constante
12%/8
10*8
EXCELP.B.A
16
Ejercicio 15
PRESTAMO 60.101,21 €
Interés anual 14% PAGO
Años 10
Pagos
Anuales
3
Primer Pago 10-mar-02
Fecha
Capital
Int.Pagado Capital
Pendiente
10-mar-02
Solución:
Fecha Capital Int. Pagado Capital Pendiente
10-mar-02 60.101 2.805 59.144
09-jul-02 59.144 2.760 58.141
08-nov-02 58.141 2.713 57.092
10-mar-03 57.092 2.664 55.994
09-jul-03 55.994 2.613 54.845
08-nov-03 54.845 2.559 53.642
09-mar-04 53.642 2.503 52.383
08-jul-04 52.383 2.445 51.065
07-nov-04 51.065 2.383 49.685
09-mar-05 49.685 2.319 48.242
08-jul-05 48.242 2.251 46.731
07-nov-05 46.731 2.181 45.149
09-mar-06 45.149 2.107 43.493
08-jul-06 43.493 2.030 41.761
07-nov-06 41.761 1.949 39.947
09-mar-07 39.947 1.864 38.049
08-jul-07 38.049 1.776 36.062
07-nov-07 36.062 1.683 33.983
08-mar-08 33.983 1.586 31.806
07-jul-08 31.806 1.484 29.528
06-nov-08 29.528 1.378 27.144
08-mar-09 27.144 1.267 24.648
07-jul-09 24.648 1.150 22.036
06-nov-09 22.036 1.028 19.302
08-mar-10 19.302 901 16.440
07-jul-10 16.440 767 13.445
06-nov-10 13.445 627 10.310
08-mar-11 10.310 481 7.029
07-jul-11 7.029 328 3.595
06-nov-11 3.595 168 0
El pago lo
calculáis basándose en
pagos y tasas de interés
constante
Intereses será igual
capital por el interés
anual dividido por los
pagos anuales
Fecha:
=A10+(365/$B$4)
EXCEL
17
P.B.A
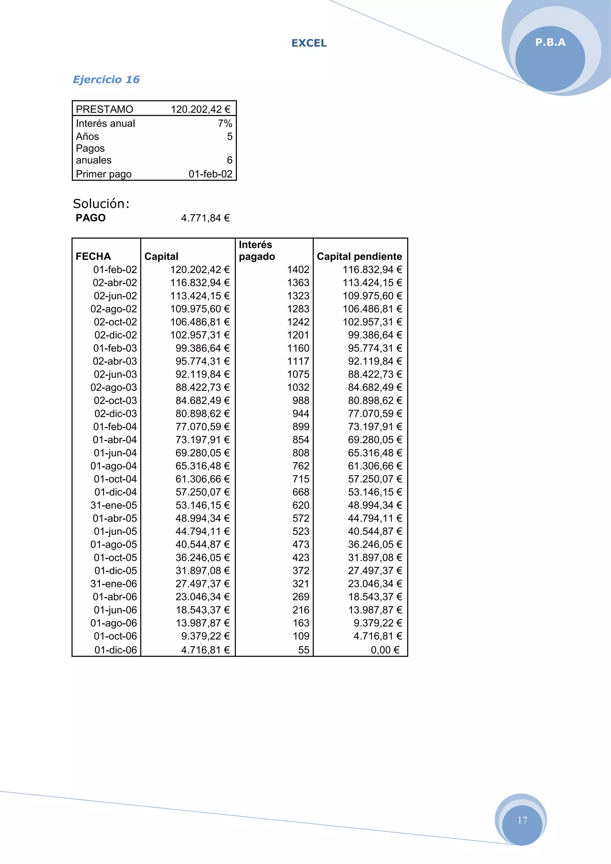
Ejercicio 16
PRESTAMO 120.202,42 €
Interés anual 7%
Años 5
Pagos
anuales 6
Primer pago 01-feb-02
Solución:
PAGO 4.771,84 €
FECHA Capital
Interés
pagado Capital pendiente
01-feb-02 120.202,42 € 1402 116.832,94 €
02-abr-02 116.832,94 € 1363 113.424,15 €
02-jun-02 113.424,15 € 1323 109.975,60 €
02-ago-02 109.975,60 € 1283 106.486,81 €
02-oct-02 106.486,81 € 1242 102.957,31 €
02-dic-02 102.957,31 € 1201 99.386,64 €
01-feb-03 99.386,64 € 1160 95.774,31 €
02-abr-03 95.774,31 € 1117 92.119,84 €
02-jun-03 92.119,84 € 1075 88.422,73 €
02-ago-03 88.422,73 € 1032 84.682,49 €
02-oct-03 84.682,49 € 988 80.898,62 €
02-dic-03 80.898,62 € 944 77.070,59 €
01-feb-04 77.070,59 € 899 73.197,91 €
01-abr-04 73.197,91 € 854 69.280,05 €
01-jun-04 69.280,05 € 808 65.316,48 €
01-ago-04 65.316,48 € 762 61.306,66 €
01-oct-04 61.306,66 € 715 57.250,07 €
01-dic-04 57.250,07 € 668 53.146,15 €
31-ene-05 53.146,15 € 620 48.994,34 €
01-abr-05 48.994,34 € 572 44.794,11 €
01-jun-05 44.794,11 € 523 40.544,87 €
01-ago-05 40.544,87 € 473 36.246,05 €
01-oct-05 36.246,05 € 423 31.897,08 €
01-dic-05 31.897,08 € 372 27.497,37 €
31-ene-06 27.497,37 € 321 23.046,34 €
01-abr-06 23.046,34 € 269 18.543,37 €
01-jun-06 18.543,37 € 216 13.987,87 €
01-ago-06 13.987,87 € 163 9.379,22 €
01-oct-06 9.379,22 € 109 4.716,81 €
01-dic-06 4.716,81 € 55 0,00 €
EXCELP.B.A
18
Ejercicio 17
Solución:
EXCEL
19
P.B.A
Ejercicio 18
Solución:
INTRODUCCION %
2000 2001
22% 23%
18% 21%
20% 18%
13% 12%
12% 11%
16% 15%
100% 100%
66% 76%
34% 24%
EXCELP.B.A
20
Ejercicio 19
Solución: IMPORTE
TOTAL
A CUENTA A PAGAR
21359,79 16019,84 5339,95
16273,05 12204,78 4068,26
17909,00 13431,75 4477,25
16226,71 12170,03 4056,68
17995,18 13496,38 4498,79
16246,63 12184,97 4061,66
24710,92 18533,19 6177,73
23744,02 17808,02 5936,01
16571,19 12428,39 4142,80
12822,34 9616,76 3205,59
15577,61 11683,21 3894,40
24558,69 18419,02 6139,67
21780,94 16335,71 5445,24
245.776,06 € 184.332,05 € 61.444,02 €
EXCEL
21
P.B.A
Ejercicio 20
Valor Inicial 0
Fase 0,1
X F1(X) F2(X) F3(X) F4(X) F5(X) F6 (x)
0
0,1
0,2
0,3
0,4
0,5
0,6
0,7
0,8
0,9
1
REALIZAR:
F1 (X) Hallar el seno de X
F2 (X) Hallar el coseno de X
F3 (X) Hallar la tangente de X
F4 (X) Hallar el arcocoseno de X
F5 (x) Hallar el arcoseno de X
F6 (X) Hallar el arcotangente de X
Solución:
X F1(X) F2(X) F3(X) F4(X) F5(X) F6 (x)
0 0 1 0 1,57079633 0 0
0,1 0,09983342 0,995004165 0,10033467 1,47062891 0,1001674 0,09966865
0,2 0,19866933 0,980066578 0,20271004 1,36943841 0,2013579 0,19739556
0,3 0,29552021 0,955336489 0,30933625 1,26610367 0,3046927 0,29145679
0,4 0,38941834 0,921060994 0,42279322 1,15927948 0,4115168 0,38050638
0,5 0,47942554 0,877582562 0,54630249 1,04719755 0,5235988 0,46364761
0,6 0,56464247 0,825335615 0,68413681 0,92729522 0,6435011 0,5404195
0,7 0,64421769 0,764842187 0,84228838 0,79539883 0,7753975 0,61072596
0,8 0,71735609 0,696706709 1,02963856 0,64350111 0,9272952 0,67474094
0,9 0,78332691 0,621609968 1,26015822 0,45102681 1,1197695 0,7328151
1 0,84147098 0,540302306 1,55740772 1,4901E-08 1,5707963 0,78539816
EXCELP.B.A
22
Ejercicio 21
VENTAS DEL AÑO 2002
VENDEDOR
Trimestre
1º
Trimestre
2º
Trimestre
3º
Trimestre
4º
Miguel García 9015 12020 11118 12621
Raúl Arzac 7212 8053 10517 10818
Elena Casas 8774 10217 11419 12020
Javier Martín 6611 9616 9856 10217
Solución:
EXCEL
23
P.B.A
Ejercicio 22
ARTICULO PRECIO CANTIDAD BRUTO NETO TOTAL
Impresora 300 2
CPU Pentium III 1500 4
Monitor color 340 4
Ratón 4 4
Teclado 12 4
TOT.BRUTO TOT.NETO TOTAL
NOTA: Considerar un IVA del 16%
Solución:
BRUTO IVA TOTAL
600 96 696
6000 960 6960
1360 217,6 1577,6
16 2,56 18,56
48 7,68 55,68
TOT.BRUTO TOT.NETO TOTAL
8024 1283,84 9307,84
EXCELP.B.A
24
Ejercicio 23
Comisión 2%
VENDEDOR VENTAS COMISION BASE TOTAL
%
VENDEDOR
Martín Peña 30000 550
González Suevo 45000 550
Arana Higueras 28000 550
Sierra Garzón 56000 550
Álvarez Justo 75000 550
Carnicer Heras 100000 550
López Vara 41000 550
Hidalgo Jimena 36000 550
Vargas Cayo 95000 550
Hoffman Kocinski 54000 550
Lisado Hoyos 39000 550
Gracia Fraile 29000 550
Castro Suárez 49000 550
TOTALES
Solución:
COMISION BASE TOTAL
%
VENDEDOR
600 550 1150 4%
900 550 1450 7%
560 550 1110 4%
1120 550 1670 8%
1500 550 2050 11%
2000 550 2550 15%
820 550 1370 6%
720 550 1270 5%
1900 550 2450 14%
1080 550 1630 8%
780 550 1330 6%
580 550 1130 4%
980 550 1530 7%
100%
EXCEL
25
P.B.A
Ejercicio 24
AÑOS 1998 1999 2000 TOTAL
Exportaciones 24247 27255 36153
% sobre el total
Importaciones 29963 35390 51943
% sobre el total
DIFERENCIA Import/export
(%)
Solución:
AÑOS 1998 1999 2000 TOTAL
Exportaciones 24247 27255 36153 87655
% sobre el total 28% 31% 41% 100%
Importaciones 29963 35390 51943 117296
% sobre el total 26% 30% 44% 100%
DIFERENCIA Import/export
(%)
2% 1% -3% 0%
EXCELP.B.A
26
Ejercicio 25
TABLA DE MATRICULAS
MATRICULA PRECIO/PIEZA TIPO DTO.
O-1234-BB 120 10%
O-2222-BJ 90 12%
O-3388-BH 150 6%
O-5123-BK 110 15%
MATRICULAS Nº PIEZAS PRECIO IMPORTE DESCUENTO TOTAL
O-1234-BB 3
O-5123-BK 1
O-3388-BH 5
O-1234-BB 2
O-2222-BJ 10
Solución:
PRECIO IMPORTE DESCUENTO TOTAL
120 360,00 € 10% 324,00 €
110 110,00 € 15% 93,50 €
150 750,00 € 6% 705,00 €
120 240,00 € 10% 216,00 €
90 900,00 € 12% 792,00 €
Tabla matriz donde se
guardan datos
EXCEL
27
P.B.A
Ejercicio 26
Fórmula para el cálculo del NIF.
Se divide el número del DNI entre 23 y tomamos la parte entera de la
división despreciando los decimales, lo multiplicamos por 23 y lo que nos
de lo restamos del número del DNI.
Por tanto, las funciones que tenemos que utilizar son: ENTERO y BUSCARV.
Ejemplo:
Ejemplo: nº DNI 10811120
10811120/23=470048
470048*23=10811104
10811120-10811104=16
la letra será la Q.
HAY QUE REALIZARLO CON UNA SOLA FORMULA
TABLA PARA EL
CALCULO DEL NIF
0 T
1 R
2 W
3 A
4 G
5 M
6 Y
7 F
8 P
9 D
10 X
11 B
12 N
13 J
14 Z
15 S
16 Q
17 V
18 H
19 L
20 C
21 K
22 E
23 T
EXCELP.B.A
28
Ejercicio 27
BUSCARV
Introducir cód.
cliente
Introducir cód.
artículo
EXCEL
29
P.B.A
Ejercicio 28
Realizar los siguientes albaranes:
1º) Al cliente Sistemas Sun, que solicito los siguientes artículos:
5 unidades Art. A110
5 unidades Art. C100
10 unidades Art. B200
12 unidades Art. B110
10 unidades Art. C120
2º) Al cliente ALFA, que solicito los siguientes artículos:
5 unidades Art. A220
5 unidades Art. C100
10 unidades Art. B200
12 unidades Art. B110
10 unidades Art. C120
15 unidades Art. B130
Solución:
Importe total Cliente Sistemas Sun:
Total Pedido 27.451,26 €
Importe total Cliente ALFA:
Total Pedido 44.871,96 €
EXCELP.B.A
30
Ejercicio 29
Realizar el gráfico
Solución:
NOTA APRECIACION
4,9 INSUFICIENTE
9,3 SOBRESALIENTE
6,0 BIEN
3,8 INSUFICIENTE
10,0 SOBRESALIENTE
6,5 BIEN
PROMEDIO BUSCARV

Excel Ejercicios Basico

  • 1.
  • 2.
    EXCELP.B.A 2 Ejercicio 1 OPERACIÓN Manode obra Repuestos Importe Bruto TIPO IVA IVA IMPORTE TOTAL Cambio de aceite 7,51 12,00 19,51 16% 3,12 22,63 Ajuste encendido 6,00 24,00 30,00 16% 4,80 34,80 Alineación ruedas 9,02 0,00 9,02 16% 1,44 10,46 Puesta a punto 30,00 36,00 66,00 16% 10,56 76,56 TOTALES 124,53 19,92 144,45
  • 3.
    EXCEL 3 P.B.A Ejercicio 2 Realizar unpresupuesto: 50 unid. Papel DIN A-4 4,21 250 unid. Bolígrafos Bic 0,08 200 unid. Gomas Milan 0,04 25 unid. Cartulinas A-3 0,1 Dto.25% IVA 16% Artículo Cantidad Precio Importe Bruto Dto. IVA TOTAL Papel DINA A-4 50 4,21 210,50 52,63 25,26 183,14 Bolígrafos Bic 250 0,08 20,00 5,00 2,40 17,40 Gomas Milan 200 0,04 8,00 2,00 0,96 6,96 Cartulinas A3 25 0,1 2,50 0,63 0,30 2,18 TOTALES 241,00 € 209,67 €
  • 4.
    EXCELP.B.A 4 Ejercicio 3 REALIZAR ELSIGUIENTE PRESUPUESTO TITULO PRESUPUESTO Tipo de descuento: 15% Tipo de IVA: 7% Productos Referencia Precio Cantidad Artículo Omega 1289 12,02 1 Artículo Beta 8765 24,04 2 Artículo Zeta 9293 42,07 4 Artículo Gamma 8294 30,05 8 Artículo REF. Cantidad Precio Importe Bruto Dto. IVA TOTAL Omega 1289 1 12,02 12,02 1,80 0,72 10,93 Beta 8765 2 24,04 48,08 7,21 2,86 43,73 Zeta 9293 4 42,07 168,28 25,24 10,01 153,05 Gamma 8294 8 30,05 240,40 36,06 14,30 218,64 TOTALES 468,78 € 426,36 €
  • 5.
    EXCEL 5 P.B.A Ejercicio 4 SOLUCION: PRESUPUESTO nº14.231 Descuento 15% IVA 16% Artículo Cantidad Precio Importe Dto. Total AA110 12 0,60 € BB110 140 7,21 € CC110 22 5,11 € DD120 10 0,27 € AA120 4 13,82 € TOTALES GENERALES IVA Total con IVA Total 6,12 € 857,99 € 95,56 € 2,30 € 46,99 € 1.008,95 € 161,43 € 1.170,38 €
  • 6.
    EXCELP.B.A 6 Ejercicio 5 Precio Unidad:180,30 € Sueldo Fijo: 360,61 € % IRPF: 15% %S.S.: 10% % Comisión: 10% Hacer Gráfico NOMBRE Unidades V. I. Ventas Comisión Sueldo B. IRPF S.S. Sueldo Neto María Álvarez 100 José Martínez 80 Amparo Ruiz 40 Ana Reyes 190 Mariano Gómez 70 Pedro García 150 TOTAL MAXIMA MINIMA MEDIA SOLUCION: TOTAL 630 113.589 11.359 13.523 2.028 1.352 10.142 MAXIMA 190 34.257 3.426 3.786 568 379 2.840 MINIMA 40 7.212 721 1.082 162 108 811 MEDIA 105 18.932 1.893 2.254 338 225 1.690
  • 7.
    EXCEL 7 P.B.A Ejercicio 6 IVA Agua mineral7% Refrescos 7% Cerveza 16% Otros 16% Bebidas Precio Iva Total Unidades Total G. Agua mineral 0,60 12.000 Refrescos 0,90 24.500 Cerveza 0,75 18.900 Licores 1,20 1.230 Combinados 1,80 584 Suma total: Hacer gráfico SOLUCION: Suma total: 50.672 €
  • 8.
    EXCELP.B.A 8 Ejercicio 7 Precio Unidad6,01 Comisión: 10% Gastos Fijos: 751,27 Trim-1 Trim-2 Trim-3 Trim-4 Total Unidades 200 300 100 210 Importe Bruto Comisiones Importe Neto Gastos Variables 300,51 180,30 84,14 588,99 Beneficio Solución: Beneficio 30,02 € 691,13 € - 294,51 € - 204,37 € 222,27 €
  • 9.
    EXCEL 9 P.B.A Ejercicio 8 EMPRESA MartínezS.L. Unidades vendidas Precio por unidad TOTAL 120 6,01 € 130 7,21 € 100 5,41 € 200 9,02 € EMPRESA Alonso S.L. Unidades vendidas Precio por unidad TOTAL 10 6,01 € 20 7,21 € 100 5,41 € 120 9,02 € EMPRESA García S.L. Unidades vendidas Precio por unidad TOTAL 1 6,01 € 2 7,21 € 3 5,41 € 4 9,02 € TOTAL EMPRESAS Suma de totales de empresas Media de empresas Máxima de empresas Mínima de empresas SOLUCION: Suma de totales de empresas 5.903,94 € Media de empresas 1.967,98 € Maxima de empresas 4.003,50 € Minima de empresas 72,74 €
  • 10.
    EXCELP.B.A 10 Ejercicio 9 GASTOS DE APERTURAMes Ventas/mes Costes Fijos Costes Variables Costes Totales Descuento TOTAL Licencia fiscal 150,25 Ene Permiso Ayuntam. 300,51 Feb Permiso obras 1.202,02 Mar Otros 150,25 Abr Total Costes Fijos May Jun OTROS GASTOS 248,50 Material 1,20 Otros 0,30 Total otros gtos, Ventas 60,10 Incremento 12,02 Dto. 15% Solución: Ventas/mes Costes Fijos Costes Variables Costes Totales Descuento TOTAL 60,10 1.803,03 15.025,00 16.828,03 2.524,20 14.303,83 72,12 1.803,03 18.030,00 19.833,03 2.974,95 16.858,08 84,14 1.803,03 21.035,00 22.838,03 3.425,70 19.412,33 96,16 1.803,03 24.040,00 25.843,03 3.876,45 21.966,58 108,18 1.803,03 27.045,00 28.848,03 4.327,20 24.520,83 120,20 1.803,03 30.050,00 31.853,03 4.777,95 27.075,08
  • 11.
    EXCEL 11 P.B.A Ejercicio 10 NIVEL F.CONTRATO BASE MINIMA EXTRALIQUIDO 1 12/05/1995 100.000 15% 2 11/06/1995 120.000 20% 3 11/07/1995 140.000 25% 4 10/08/1995 160.000 30% Hacer gráfico Solución: LIQUIDO 115.000 144.000 175.000 208.000 Líquido= Base mínima + extra
  • 12.
    EXCELP.B.A 12 Ejercicio 11 Valor Inicial 100 Incremento10 Resultado Logaritmo Seno Coseno 100 Hacer gráfico, utilizando las funciones de seno y coseno Solución: Resultado Logaritmo Seno Coseno 100 2 -0,506365641 0,862318872 110 2,041392685 -0,044242678 -0,999020813 120 2,079181246 0,580611184 0,814180971 130 2,113943352 -0,93010595 -0,36729133 140 2,146128036 0,980239659 -0,197813574 150 2,176091259 -0,71487643 0,699250806 160 2,204119983 0,219425258 -0,975629313 170 2,230448921 0,346649455 0,937994752 180 2,255272505 -0,801152636 -0,598460069 190 2,278753601 0,997799279 0,066306858 200 2,301029996 -0,873297297 0,487187675 210 2,322219295 0,467718518 -0,883877473 220 2,342422681 0,088398712 0,996085171 230 2,361727836 -0,616064204 -0,787695942 240 2,380211242 0,945445155 0,325781306 250 2,397940009 -0,97052802 0,240988305 Resultado se va incrementando (Valor inicial mas el incremento)
  • 13.
    EXCEL 13 P.B.A Ejercicio 12 poner fechaactual con fórmula Cliente Estructuras Fuertes S.A. Presupuesto nº 1.466 C/ Clara del Rey, 12 Fecha 28013-Madrid Fecha aceptación Artículo Cantidad Precio Importe Ladrillo hueco 100x50 5.000 0,02 € Cemento (sacos 50 Kg) 200 15,03 € Baldosas gres 40x40 m 2 250 9,02 € Baldosas cenefa m 2 60 3,61 € Total 1 Dto. p.p. 5% Total 2 IVA 16% Total presupuesto Solución: Total presupuesto 6.146,52 €
  • 14.
    EXCELP.B.A 14 Ejercicio 13 PERIODOS GRADOS ENERO-1 MAXIMA FEBRERO 3 MINIMA MARZO -8 MEDIA ABRIL 12 Nº MESES MAYO 15 VARIANZA JUNIO 18 DESV.TIP. JULIO 25 AGOSTO 28 SEPTIEMBRE 20 OCTUBRE 18 NOVIEMBRE 10 DICIEMBRE 4 Realizar gráfico Solución: MAXIMA 28 MINIMA -8 MEDIA 12,00 Nº MESES 12 VARIANZA 107,33 DESV.TIP. 10,36 Todo con fórmula
  • 15.
    EXCEL 15 P.B.A Ejercicio 14 PRESTAMO 18.030,36€ Interés anual 12% Años 10 Pagos al año 8 PRESTAMO 36.060,73 € Interés anual 13% Años 10 Pagos al año 6 PRESTAMO 84.141,69 € Interés anual 16% Años 30 Pagos al año 12 Solución: Pago 388,52 € Pago 1.079,68 € Pago 1.131,50 € Calcular el PAGO de un préstamo basado en pagos y tasas de interés constante 12%/8 10*8
  • 16.
    EXCELP.B.A 16 Ejercicio 15 PRESTAMO 60.101,21€ Interés anual 14% PAGO Años 10 Pagos Anuales 3 Primer Pago 10-mar-02 Fecha Capital Int.Pagado Capital Pendiente 10-mar-02 Solución: Fecha Capital Int. Pagado Capital Pendiente 10-mar-02 60.101 2.805 59.144 09-jul-02 59.144 2.760 58.141 08-nov-02 58.141 2.713 57.092 10-mar-03 57.092 2.664 55.994 09-jul-03 55.994 2.613 54.845 08-nov-03 54.845 2.559 53.642 09-mar-04 53.642 2.503 52.383 08-jul-04 52.383 2.445 51.065 07-nov-04 51.065 2.383 49.685 09-mar-05 49.685 2.319 48.242 08-jul-05 48.242 2.251 46.731 07-nov-05 46.731 2.181 45.149 09-mar-06 45.149 2.107 43.493 08-jul-06 43.493 2.030 41.761 07-nov-06 41.761 1.949 39.947 09-mar-07 39.947 1.864 38.049 08-jul-07 38.049 1.776 36.062 07-nov-07 36.062 1.683 33.983 08-mar-08 33.983 1.586 31.806 07-jul-08 31.806 1.484 29.528 06-nov-08 29.528 1.378 27.144 08-mar-09 27.144 1.267 24.648 07-jul-09 24.648 1.150 22.036 06-nov-09 22.036 1.028 19.302 08-mar-10 19.302 901 16.440 07-jul-10 16.440 767 13.445 06-nov-10 13.445 627 10.310 08-mar-11 10.310 481 7.029 07-jul-11 7.029 328 3.595 06-nov-11 3.595 168 0 El pago lo calculáis basándose en pagos y tasas de interés constante Intereses será igual capital por el interés anual dividido por los pagos anuales Fecha: =A10+(365/$B$4)
  • 17.
    EXCEL 17 P.B.A Ejercicio 16 PRESTAMO 120.202,42€ Interés anual 7% Años 5 Pagos anuales 6 Primer pago 01-feb-02 Solución: PAGO 4.771,84 € FECHA Capital Interés pagado Capital pendiente 01-feb-02 120.202,42 € 1402 116.832,94 € 02-abr-02 116.832,94 € 1363 113.424,15 € 02-jun-02 113.424,15 € 1323 109.975,60 € 02-ago-02 109.975,60 € 1283 106.486,81 € 02-oct-02 106.486,81 € 1242 102.957,31 € 02-dic-02 102.957,31 € 1201 99.386,64 € 01-feb-03 99.386,64 € 1160 95.774,31 € 02-abr-03 95.774,31 € 1117 92.119,84 € 02-jun-03 92.119,84 € 1075 88.422,73 € 02-ago-03 88.422,73 € 1032 84.682,49 € 02-oct-03 84.682,49 € 988 80.898,62 € 02-dic-03 80.898,62 € 944 77.070,59 € 01-feb-04 77.070,59 € 899 73.197,91 € 01-abr-04 73.197,91 € 854 69.280,05 € 01-jun-04 69.280,05 € 808 65.316,48 € 01-ago-04 65.316,48 € 762 61.306,66 € 01-oct-04 61.306,66 € 715 57.250,07 € 01-dic-04 57.250,07 € 668 53.146,15 € 31-ene-05 53.146,15 € 620 48.994,34 € 01-abr-05 48.994,34 € 572 44.794,11 € 01-jun-05 44.794,11 € 523 40.544,87 € 01-ago-05 40.544,87 € 473 36.246,05 € 01-oct-05 36.246,05 € 423 31.897,08 € 01-dic-05 31.897,08 € 372 27.497,37 € 31-ene-06 27.497,37 € 321 23.046,34 € 01-abr-06 23.046,34 € 269 18.543,37 € 01-jun-06 18.543,37 € 216 13.987,87 € 01-ago-06 13.987,87 € 163 9.379,22 € 01-oct-06 9.379,22 € 109 4.716,81 € 01-dic-06 4.716,81 € 55 0,00 €
  • 18.
  • 19.
    EXCEL 19 P.B.A Ejercicio 18 Solución: INTRODUCCION % 20002001 22% 23% 18% 21% 20% 18% 13% 12% 12% 11% 16% 15% 100% 100% 66% 76% 34% 24%
  • 20.
    EXCELP.B.A 20 Ejercicio 19 Solución: IMPORTE TOTAL ACUENTA A PAGAR 21359,79 16019,84 5339,95 16273,05 12204,78 4068,26 17909,00 13431,75 4477,25 16226,71 12170,03 4056,68 17995,18 13496,38 4498,79 16246,63 12184,97 4061,66 24710,92 18533,19 6177,73 23744,02 17808,02 5936,01 16571,19 12428,39 4142,80 12822,34 9616,76 3205,59 15577,61 11683,21 3894,40 24558,69 18419,02 6139,67 21780,94 16335,71 5445,24 245.776,06 € 184.332,05 € 61.444,02 €
  • 21.
    EXCEL 21 P.B.A Ejercicio 20 Valor Inicial0 Fase 0,1 X F1(X) F2(X) F3(X) F4(X) F5(X) F6 (x) 0 0,1 0,2 0,3 0,4 0,5 0,6 0,7 0,8 0,9 1 REALIZAR: F1 (X) Hallar el seno de X F2 (X) Hallar el coseno de X F3 (X) Hallar la tangente de X F4 (X) Hallar el arcocoseno de X F5 (x) Hallar el arcoseno de X F6 (X) Hallar el arcotangente de X Solución: X F1(X) F2(X) F3(X) F4(X) F5(X) F6 (x) 0 0 1 0 1,57079633 0 0 0,1 0,09983342 0,995004165 0,10033467 1,47062891 0,1001674 0,09966865 0,2 0,19866933 0,980066578 0,20271004 1,36943841 0,2013579 0,19739556 0,3 0,29552021 0,955336489 0,30933625 1,26610367 0,3046927 0,29145679 0,4 0,38941834 0,921060994 0,42279322 1,15927948 0,4115168 0,38050638 0,5 0,47942554 0,877582562 0,54630249 1,04719755 0,5235988 0,46364761 0,6 0,56464247 0,825335615 0,68413681 0,92729522 0,6435011 0,5404195 0,7 0,64421769 0,764842187 0,84228838 0,79539883 0,7753975 0,61072596 0,8 0,71735609 0,696706709 1,02963856 0,64350111 0,9272952 0,67474094 0,9 0,78332691 0,621609968 1,26015822 0,45102681 1,1197695 0,7328151 1 0,84147098 0,540302306 1,55740772 1,4901E-08 1,5707963 0,78539816
  • 22.
    EXCELP.B.A 22 Ejercicio 21 VENTAS DELAÑO 2002 VENDEDOR Trimestre 1º Trimestre 2º Trimestre 3º Trimestre 4º Miguel García 9015 12020 11118 12621 Raúl Arzac 7212 8053 10517 10818 Elena Casas 8774 10217 11419 12020 Javier Martín 6611 9616 9856 10217 Solución:
  • 23.
    EXCEL 23 P.B.A Ejercicio 22 ARTICULO PRECIOCANTIDAD BRUTO NETO TOTAL Impresora 300 2 CPU Pentium III 1500 4 Monitor color 340 4 Ratón 4 4 Teclado 12 4 TOT.BRUTO TOT.NETO TOTAL NOTA: Considerar un IVA del 16% Solución: BRUTO IVA TOTAL 600 96 696 6000 960 6960 1360 217,6 1577,6 16 2,56 18,56 48 7,68 55,68 TOT.BRUTO TOT.NETO TOTAL 8024 1283,84 9307,84
  • 24.
    EXCELP.B.A 24 Ejercicio 23 Comisión 2% VENDEDORVENTAS COMISION BASE TOTAL % VENDEDOR Martín Peña 30000 550 González Suevo 45000 550 Arana Higueras 28000 550 Sierra Garzón 56000 550 Álvarez Justo 75000 550 Carnicer Heras 100000 550 López Vara 41000 550 Hidalgo Jimena 36000 550 Vargas Cayo 95000 550 Hoffman Kocinski 54000 550 Lisado Hoyos 39000 550 Gracia Fraile 29000 550 Castro Suárez 49000 550 TOTALES Solución: COMISION BASE TOTAL % VENDEDOR 600 550 1150 4% 900 550 1450 7% 560 550 1110 4% 1120 550 1670 8% 1500 550 2050 11% 2000 550 2550 15% 820 550 1370 6% 720 550 1270 5% 1900 550 2450 14% 1080 550 1630 8% 780 550 1330 6% 580 550 1130 4% 980 550 1530 7% 100%
  • 25.
    EXCEL 25 P.B.A Ejercicio 24 AÑOS 19981999 2000 TOTAL Exportaciones 24247 27255 36153 % sobre el total Importaciones 29963 35390 51943 % sobre el total DIFERENCIA Import/export (%) Solución: AÑOS 1998 1999 2000 TOTAL Exportaciones 24247 27255 36153 87655 % sobre el total 28% 31% 41% 100% Importaciones 29963 35390 51943 117296 % sobre el total 26% 30% 44% 100% DIFERENCIA Import/export (%) 2% 1% -3% 0%
  • 26.
    EXCELP.B.A 26 Ejercicio 25 TABLA DEMATRICULAS MATRICULA PRECIO/PIEZA TIPO DTO. O-1234-BB 120 10% O-2222-BJ 90 12% O-3388-BH 150 6% O-5123-BK 110 15% MATRICULAS Nº PIEZAS PRECIO IMPORTE DESCUENTO TOTAL O-1234-BB 3 O-5123-BK 1 O-3388-BH 5 O-1234-BB 2 O-2222-BJ 10 Solución: PRECIO IMPORTE DESCUENTO TOTAL 120 360,00 € 10% 324,00 € 110 110,00 € 15% 93,50 € 150 750,00 € 6% 705,00 € 120 240,00 € 10% 216,00 € 90 900,00 € 12% 792,00 € Tabla matriz donde se guardan datos
  • 27.
    EXCEL 27 P.B.A Ejercicio 26 Fórmula parael cálculo del NIF. Se divide el número del DNI entre 23 y tomamos la parte entera de la división despreciando los decimales, lo multiplicamos por 23 y lo que nos de lo restamos del número del DNI. Por tanto, las funciones que tenemos que utilizar son: ENTERO y BUSCARV. Ejemplo: Ejemplo: nº DNI 10811120 10811120/23=470048 470048*23=10811104 10811120-10811104=16 la letra será la Q. HAY QUE REALIZARLO CON UNA SOLA FORMULA TABLA PARA EL CALCULO DEL NIF 0 T 1 R 2 W 3 A 4 G 5 M 6 Y 7 F 8 P 9 D 10 X 11 B 12 N 13 J 14 Z 15 S 16 Q 17 V 18 H 19 L 20 C 21 K 22 E 23 T
  • 28.
  • 29.
    EXCEL 29 P.B.A Ejercicio 28 Realizar lossiguientes albaranes: 1º) Al cliente Sistemas Sun, que solicito los siguientes artículos: 5 unidades Art. A110 5 unidades Art. C100 10 unidades Art. B200 12 unidades Art. B110 10 unidades Art. C120 2º) Al cliente ALFA, que solicito los siguientes artículos: 5 unidades Art. A220 5 unidades Art. C100 10 unidades Art. B200 12 unidades Art. B110 10 unidades Art. C120 15 unidades Art. B130 Solución: Importe total Cliente Sistemas Sun: Total Pedido 27.451,26 € Importe total Cliente ALFA: Total Pedido 44.871,96 €
  • 30.
    EXCELP.B.A 30 Ejercicio 29 Realizar elgráfico Solución: NOTA APRECIACION 4,9 INSUFICIENTE 9,3 SOBRESALIENTE 6,0 BIEN 3,8 INSUFICIENTE 10,0 SOBRESALIENTE 6,5 BIEN PROMEDIO BUSCARV