Revista RE´TAKVN
   Facultad de Ingeniería - Universidad del Magdalena



      ELABORACIÓN DE SEMICONSERVAS (HAMBURGUESA, BUTIFARRA Y
       CHORIZO) A PARTIR DE PULPA DE CACHAMA NEGRA (Colossoma
                      macropomum) (CUVIER, 1818)
                                                        Víctor M. Márquez Zaldúa
                                                            Ingeniero Pesquero
                                                        Universidad Del Magdalena
                                                          savladin@hotmail.com

                                                            Iván Cabrera Durán
                                                             Ingeniero Pesquero
                                                        Universidad Del Magdalena
                                                         icabreaduran@walla.com

                                                         Righy Rico Hernández
                                                            Ingeniero Pesquero
                                                        Universidad Del Magdalena
                                                          righyfish@hotamil.com

                                                                                     Fecha de Recepción: 19/08/2008
                                                                                    Fecha de Publicación: 15/12/2008


                                                              RESUMEN

El presente estudio se realizó en las instalaciones de la Planta Piloto Pesquera de Taganga (PPPT),
Universidad del Magdalena, ubicada en la bahía de Taganga, Santa Marta. La materia prima fue adquirida en
las instalaciones del Servicio Nacional de Aprendizaje Seccional Santa Marta (SENA AGROPECUARIO de
Gaira). Todas las fases de procesamiento se ejecutaron en la PPPT y en una primera etapa técnica se
llevaron a cabo ensayos preliminares, permitiendo sus resultados seleccionar la pulpa de cachama negra
después de aplicar cuatro tipos de extracción: tres con despulpado mecánico y otro manual. Los rendimientos
obtenidos en los ensayos fueron: despulpado mecánico (pescado sin cabeza), 44.0%; despulpado mecánico
(filetes), 39.5%; despulpado mecánico (pescado entero), 45.0% y despulpado manual, 38.0%.

Se seleccionó la pulpa resultante del despulpado mecánico (pescado sin cabeza), y para mejorar textura y
lograr mayor fuerza del gel se le adicionó sal común (2.0% con respecto al peso de pulpa congelada), las que
se mezclaron en cutter durante 15 – 20 minutos y a 5 ° obteniéndose una pasta base de excelente text ura,
                                                       C,
adecuada para elaborar los productos propuestos.

Se elaboraron tres productos (Hamburguesa, Butifarra y Chorizo) a partir de la pulpa escogida de cachama
negra. Se determinó su rendimiento másico (48.0%) desde pescado entero hasta pulpa. Los resultados de los
análisis microbiológicos de los productos terminados establecieron que son aptos para consumo humano. Los
estudios bromatológicos de los productos finales reportaron valores de proteínas entre 13.80 g/100g y 20.70
g/100g y contenido graso entre 1.50 g/100g y 3.70 g/100g. Los exámenes organolépticos en los productos
acabados y la pasta base indicaron características buenas en textura, color, sabor y olor. Los estudios de
costos de producción de la Hamburguesa, Butifarra y Chorizo presentaron valores elevados, situación que no
favorece el obtener buena rentabilidad y niveles de competitividad en el mercado. Éstos oscilaron entre
$11´.079.00 y $12`.627.00 Kg, debido a que el costo de la materia prima (cachama negra) es alto.

Palabras claves. Cachama Negra, Colossoma macropomum, Pulpa, Semiconservas.




  Volumen I – Número I, Diciembre - Año 2008
  ISSN: 2027-162X
                                                                  110
Revista RE´TAKVN
 Facultad de Ingeniería - Universidad del Magdalena




                                                      ABSTRACT

The present study was carried out in the facilities of the Pilot Plant Fisheries of Taganga (PPPT) of Magdalena
University, located in the bay of Taganga. The matter prevails was acquired in the facilities of the National
Service of Apprenticeship Sectional Santa Marta (SENA AGROPECUARIO of Gaira). All the prosecution
phases were executed in PPPT. In the technical first stage they were carried out tests preliminaries and their
results allowed selecting the pulp of cachama negra after applying four types of pulp extraction: three with
mechanical obtain of pulp and another manual. The yields obtained in the tests were: mechanical obtain of
pulp (fished entirely without head), 44.0%; mechanical obtain filets, 39.5%; obtain manual, 38.0% and
mechanical obtain of pulp (fished entirely), 45.0%.

The selected pulp (entirely without head), it were chosen an looking for the improve texture and to get or to
achieve better force of gel salt common (2.0% was added with regard to the weight of fish’s pulp frozen), which
mixed in one cutter schemes during a time between 15 and 20 minutes to a temperature of
 5 ° obtaining a pasta base with better texture f or the elaboration of the proposed products.
   C,

In the development of the technical studies three fishing products (Hamburger, Hard Pork Sausage and
Sausage) were elaborated starting from pulp of selected cachama negra. Their yield mass (48.0%) was
determined from having fished entirely until pulp. The results of the analyses microbiological of the finished
products established that they are capable for human consumption. The Chemical analyses of the finished
products gave values of proteins between 13.80 g/100g and 20.70 g/100g and fatty content from 1.50 g/100g
to 3.70 g/100g. The senses analyses of the finished products and it pastures bases they indicated good texture
characteristics, color, flavor and scent. The studies of cost of production of the Hamburger, Hard Pork Sausage
and Sausage, elaborated starting from pulp of cachama negra, they presented high values, and situation not
favors to obtain good profitability and levels of competitiveness in the market. These oscillated between
$11´078.00 and $12´627,00 Kg, because the matter (cachama negra) cost prevails it is high.

Key Words: Cachama Negra, Colossoma macropomum, Pulp, Preservs.



                      INTRODUCCIÓN                            marinas, lográndose buenos resultados en las
                                                              características finales. Pero, existe la desventaja
La Universidad del Magdalena, a través de su                  de que los volúmenes de captura anuales de estas
Planta Piloto Pesquera de Taganga (PPPT),                     especies no son constantes para brindar una oferta
muestra un desarrollo interesante en la formulación           sostenida en el mercado. Además, algunos de
y producción de varios tipos de semiconservas,                estos recursos han sido sobreexplotados, como ha
adaptando técnicas de procesamiento de alimentos              ocurrido con el macabí (Elops saurus). Por tal
sobre materias prima ícticas. Ejemplos de ello ha             motivo, surge como opción alternativa en la
sido la elaboración de butifarras, chorizos,                  elaboración de productos pesqueros en la región,
hamburguesas, chicharrones, kamabokos y otros,                área de influencia de la presente investigación, la
a partir de pulpa de macabí (Elops saurus), que ha            alternativa brindada por algunas especies
sido una de las materias primas más estudiadas, la            continentales adaptadas a sistemas de cultivos que
cual ha brindado las mejores condiciones                      han     permitido     desarrollar   sus    métodos
organolépticas (textura, sabor, olor) y formas de             reproductivos, tornándolas aprovechables para el
moldeo. Asimismo, con otras especies pesqueras,               consumo mediante la aplicación de tecnologías
como lisa (Mugil incilis), ojo gordo (Selar                   disponibles.
crumenopthalmus), cojinúa (Caranx crysos) y
ciertos túnidos (Carreño, O.; Corvacho, R., 2000).            A partir de la década de lo 80, en el país se
                                                              desarrollaron diversos estudios referentes a
En los productos formulados y elaborados en la                cachamas (Colossoma macropomun) y (Piaractus
PPPT, se han utilizado principalmente especies                brachypomus), formulados con el fin de



  Volumen I – Número I, Diciembre - Año 2008
  ISSN: 2027-162X
                                                        111
Revista RE´TAKVN
 Facultad de Ingeniería - Universidad del Magdalena



introducirlas en la ciencia de la piscicultura. Se han         •      Formular y evaluar           tres tipos de
conseguidos grandes éxitos con respecto a la                   semiconservas (Hamburguesas, Butifarras y
inducción de su reproducción, mejoras en los                   Chorizos) a partir de cachama negra (Colossoma
sistemas de cultivo, tipo de alimentación, control de          macropomun)
plagas y enfermedades, entre otros. Es así como                •      Evaluar técnicas manuales y mecánicas de
las estadísticas del Instituto Nacional de Pesca y             extracción de pulpa a partir de cachama negra.
Acuicultura (INPA-2002, Colombia), para un lapso               •      Establecer rendimientos de materia prima
de tres años (1997 – 2000), reportan incremento                desde pescado entero hasta pulpa y productos
igual a 44223 toneladas, lo que estadísticamente               terminados.
demuestra aumento en la producción y                           •      Caracterizar microbiológica, bromatológica
sostenibilidad para la citada especie. Sin embargo,            y organolépticamente la materia prima y los
hasta el momento no se han realizado                           productos finales.
investigaciones puntuales sobre los aspectos                   •      Determinar grado de aceptabilidad de los
tecnológicos relevantes, sobre todo si existen                 productos     terminados      mediante     Pruebas
consumidores dispuestos a incorporarlas en sus                 Hedónicas.
dietas alimenticias.                                           •      Determinar los costos preliminares de
                                                               producción de cada una de las semiconservas.
La caracterización bromatológica de cualquier
especie pesquera resulta importante como
alternativa lógica para su comercialización. Por otra                          METODOLOGÍA
parte, el conocimiento de la composición química
alimenticia es necesario si se quiere lograr el
máximo aprovechamiento de cierta materia prima                 GENERALIDADES
en particular como alimento y/o para la utilización
de sus subproductos, con la finalidad de                       La cachama negra (50.0 Kg) se adquirió en el
aprovechar holísticamente sus constituyentes                   Servicio Nacional de Aprendizaje Agropecuario de
nutricionales. Por tal motivo, se escogió para esta            Gaira (SENA), escamada y eviscerada y empacada
investigación la especie continental cachama negra             en cavas con hielo. Cada individuo pesó 400 g en
(Colossoma macropomun) como materia prima                      promedio. En recepción (PPPT) se pesó, limpió y
para     la    elaboración     de    semiconservas,            almacenó a -18 ° Luego, se descongeló por
                                                                                  C.
considerando la posibilidad de aumentar su                     medio de flujo de agua a temperatura ambiente.
aprovechamiento dietético.                                     Con posterioridad, fue sometida a cuatros
                                                               experiencias (descritas en ”ensayos preliminares”)
                                                               y evaluada organolépticamente. Un lote de 18.1 Kg
                         OBJETIVOS
                                                               fue usado para obtener pulpa, observando su
                                                               comportamiento físico en la despulpadora al igual
GENERAL                                                        que en las otras fases de transformación. El peso
                                                               restantes (31.9 Kg) de materia prima fue empleada
Verificar si la especie íctica cachama negra
                                                               para la realización de ensayos que permitieron
(Colossoma macropomun) posee características                   seleccionar una pulpa con buenas características
tales que admitan la incorporación de técnicas
                                                               organolépticas y de importante rendimiento másico.
adecuadas       para   su     transformación     en
semiconservas      (Hamburguesa,      Butifarra    y
                                                               ENSAYOS PRELIMINARES
Chorizo), de excelentes propiedades alimenticias,
microbiológicas y organolépticas (sabor, olor, color
                                                               Fueron desarrollados con la finalidad de
y textura). Así como también establecer los costos
                                                               seleccionar la pulpa que, proporcionara el mayor
preliminares de producción.
                                                               rendimiento másico durante el proceso. Para tal
                                                               efecto, se ejecutaron cuatro experiencias que
OBJETIVOS ESPECIFÍCOS
                                                               permitieron estandarizar las formas más ajustadas
                                                               de obtener pulpas y elegir aquélla con las
•       Establecer bases tecnológicas viables para             características más favorables para la fabricación
la implementación de tres líneas de embutidos a                de semiconservas.
partir de la especie íctica continental cachama
negra (Colossoma macropomun).                                  En el primer ensayo se hizo el despulpado en
                                                               forma mecánica el pescado descabezado; en el


  Volumen I – Número I, Diciembre - Año 2008
  ISSN: 2027-162X
                                                         112
Revista RE´TAKVN
 Facultad de Ingeniería - Universidad del Magdalena



segundo, se separó mecánicamente la carne de los
filetes; en el tercero, el proceso fue manual; y en el                     La pulpa y los productos terminados se analizaron
último ensayo, se efectuó el despulpe mecánico del                         organoléptica,           bromatológica           y
cuerpo con cabeza. Luego, se realizó un análisis                           microbiológicamente. Se determinó rendimiento de
sensorial y calcularon los rendimientos másicos de                         masa (pescado entero hasta pulpa y pasta base).
la pulpa.                                                                  Se fabricaron los tres productos (Figuras 1 y 2)
                                                                           temas de la investigación aplicando la metodología
ESTUDIOS TÉCNICOS                                                          ajustada y adaptada a través de “Ensayos
                                                                           Preliminares”,   utilizando    las   formulaciones
Un total de 46.00 Kg de materia prima eviscerada y                         presentadas en las Tablas 1, 2 y 3.
enhielada fue sometida bajo iguales condiciones a
las consideradas en “Ensayos Preliminares”. La                             Forma de presentación, estudios de costos y
forma más adecuada de obtención de pulpa                                   pruebas de aceptabilidad fueron parámetros
correspondió al despulpado mecánico de cuerpo                              medidos en los artículos finales, cuyo proceso de
sin cabeza, requiriéndose, entonces, implementar                           elaboración se describe en los Diagramas de Flujo
el posteado con el fin de disminuir rozamiento en la                       (Figuras 1 y 2). Los costos de producción se
máquina despulpadora. En esta etapa se                                     establecieron considerando costos fijos y variables.
emplearon dos tamices: a) de agujeros con                                  Se estimó el precio de venta al público (PVP) de
diámetros 6.00 mm; b) otro más fino, con diámetro                          cada producto, cada uno de ellos presentados en
de 1.00 mm.                                                                empaques de 250 g (sellados al vacío):

Al no ocurrir una apropiada fuerza del gel, se                                            PVP = CP + UP + UC
decidió adicionar a la pulpa 2.00% de sal común,                           Donde:
con la finalidad de estabilizar proteínas                                  PVP: precio de venta al público.
miofibrilares (actina y miosina) y mejorar así la                          CP: costos de producción.
textura. El homogenizado se realizó en cutter                              UP: utilidad de producción (25% de CP).
marca JAVAR, a 5 ± 2 ° para disminuir
                               C                                           UC: utilidad comercial (25% de CP + UP):
desnaturalización proteica.


 Figura 1. Diagrama de Flujo del proceso de elaboración de Hamburguesa de pescado a partir de cachama negra (Colossoma
                                                       macropomun)



                                                        Descongelación de pasta
                                                                base


                                                                  Pesaje


                          Dosificación                      Homogenizado                    Manual


                                                      Embutido                             Fundas sintéticas de
                                                                                            Alifan de 154 mm
                                                                                                    Ø

                                                                 Moldeado                     Moldes prensa


                                                      Cocción                       70 °C en centro
                                                                                        térmico

  Volumen I – Número I, Diciembre - Año 2008
  ISSN: 2027-162X
                                                                   113
Revista RE´TAKVN
Facultad de Ingeniería - Universidad del Magdalena




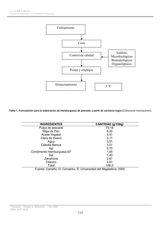
                                                     Enfriamiento



                                                                    Corte

                                                                                               Análisis:
                                                             Control de calidad             Microbiológicos
                                                                                            Bromatológicos
                                                                                            Organolépticos
                                                             Pesaje y empaque



                                                 Almacenamiento
                                                                                     5 y -18 °C


   Figura 2. Diagrama de Flujo del proceso de elaboración de Butifarra y Chorizo de pescado a partir de cachama negra
                                                (Colossoma macropomun.)



                                                          Descongelación de pasta
                                                                  base


                                                                    Pesaje


                           Dosificación                          Homogenizado              Manual


                                                      Embutido                               Fundas naturales


                                                                    Amarre


                                                       Cocción                    70 °C en centro
                                                                                      térmico




Volumen I – Número I, Diciembre - Año 2008
ISSN: 2027-162X
                                                                    114
Revista RE´TAKVN
Facultad de Ingeniería - Universidad del Magdalena




                                                     Enfriamiento



                                                                    Corte

                                                                                        Análisis:
                                                             Control de calidad      Microbiológicos
                                                                                     Bromatológicos
                                                                                     Organolépticos
                                                             Pesaje y empaque



                                                 Almacenamiento
                                                                                  5 °C




Tabla 1. Formulación para la elaboración de Hamburguesa de pescado a partir de cachama negra (Colossoma macropomun).




                            INGREDIENTES                             CANTIDAD (g/100g)
                            Pulpa de pescado                                70.18
                              Miga de Pan                                    8.20
                             Aceite Vegetal                                  3.51
                             Clara de Huevo                                  2.11
                                  Agua                                       3.51
                             Cebolla Blanca                                  3.51
                                   Ajo                                       0.70
                       Condimento Hamburguesa EF                             1.05
                                   Sal                                       1.40
                                Zanahoria                                    2.81
                                 Cilantro                                    2.81
                                  Total                                     100.0
                         Fuente: Carreño, O; Corvacho, R. Universidad del Magdalena, 2000.




 Volumen I – Número I, Diciembre - Año 2008
 ISSN: 2027-162X
                                                                    115
Revista RE´TAKVN
 Facultad de Ingeniería - Universidad del Magdalena




   Tabla 2. Formulación para la elaboración de Butifarra de pescado a partir de cachama negra (Colossoma macropomun).

                             INGREDIENTES                             CANTIDAD (g/100g)
                             Pulpa de pescado                                84.03
                             Pimienta Picante                                 0.84
                                 Pimentón                                     2.52
                                  Cebollín                                    1.68
                                   Agua                                       2.52
                              Cebolla Blanca                                  2.52
                                    Ajo                                       0.84
                        Condimento EF Hamburguesa                             1.26
                                    Sal                                       1.68
                                   Maggi                                      0.42
                                  Cilantro                                    1.68
                                   Total                                      100
                          Fuente: Carreño, O; Corvacho, R. Universidad del Magdalena, 2000.


    Tabla 3. Formulación para la elaboración de Chorizo de pescado a partir de cachama negra (Colossoma macropomun).



Ingredientes                                                Cantidad
                                                            (g/100g)

Pulpa de pescado                                      78.43
Miga de pan                                           3.92
Aceite vegetal                                        3.92
Condimento Chorizo                                    1.18
Ajo                                                   078
Color Sazone                                          0.78
Sal                                                   1.57
Comino                                                0.39
Pimienta
Agua                                                  2.35
Cilantro                                              0.42
Cebollín                                              3.14
Total                                                 100.0
               _______________________________________________________________
                   Fuente: Carreño, O; Corvacho, R. Universidad del Magdalena, 2000.


             RESULTADOS Y DISCUSIÓN                              aspectos como mano de obra; y tiempo de
                                                                 manufactura de la pulpa, empleando diferentes
 ENSAYOS PRELIMINARES                                            pesos en gramos (pescado entero) durante los
                                                                 ensayos.      Los     rendimientos       másicos
 En este ítem se evaluaron las características de                correspondientes aparecen en la Tabla 4.
 color, sabor, olor y textura de los productos
 finales, presentadas en la Tabla 4. Para la                     Se observa que el mayor rendimiento de masa se
 selección de pulpa se tuvieron en cuenta                        logró durante la prueba 4 (despulpado mecánico
 condiciones organolépticas y rendimiento de masa                de pescado entero), 45.0% y el menor, en el
 (desde pescado entero hasta pulpa) y otros                      ensayo 3 (despulpado manual), 38.0%. Sin


  Volumen I – Número I, Diciembre - Año 2008
  ISSN: 2027-162X
                                                         116
Revista RE´TAKVN
 Facultad de Ingeniería - Universidad del Magdalena



embargo, la pulpa resultante de la extracción 4 se                 AJUSTES
caracterizó por poseer deficiente fuerza de gel, tal
vez debido a los incrementos de niveles grasos                     En el proceso de elaboración de Hamburguesas
como consecuencia de la presencia de grasas en                     (Figura 1), tanto tradicional como campiña, los
las cabezas. Investigaciones previas han                           parámetros de calidad de la pulpa (gelificación,
demostrado que los lípidos dificultan la gelificación              forma de moldeo y retención de agua) no
de proteínas (Miyauchi, D; Steimbergm, M, 1970).                   resultaron satisfactorios, lo que conllevó a la
Por otro lado, los ensayos 2 y 3 no resultaron                     búsqueda de una pasta base con mejores
convenientes como métodos de extracción debido                     cualidades técnicas. Dicho preparativo incluyó un
a que sus rendimientos másicos fueron                              lavado con agua entre 5 y 8 ° mejorando de
                                                                                                    C,
relativamente bajos, con tiempos de operación                      esta manera la fuerza de gel y la elasticidad. Sin
prolongados y requirieron la presencia de mano                     embargo, hubo pérdida de materiales alimenticios.
de obra suplementaria. Pero, en la prueba 3 se                     Es más: no se presentaron las condiciones para
estableció la mejor fuerza de gel.                                 obtener un producto aceptable, ya que cuando las
                                                                   dos formulaciones de Hamburguesas se frieron o
No obstante, fue seleccionada la pulpa del ensayo                  asaron, las superficies se adhirieron fuertemente,
1 (despulpado mecánico de pescado entero sin                       desmoronándose con pérdida de molde. Por tal
cabeza), para la elaboración de los productos                      motivo, hubo que elaborar otra pasta base que
mencionados en el Estudio Técnico, con base en                     finalmente permitió obtener un producto terminado
su excelente rendimiento (44.0%), tiempo breve                     con mejores condiciones técnicas.
de operación, racional mano de obra y buena
fuerza de gel.                                                     Con el fin de lograr conveniente fuerza de gel,
                                                                   durante el lavado se adicionó 2.0% de sal (con
                                                                   base en el peso de pulpa), en un cutre, a 5 ° por
                                                                                                                C,
                                                                   15 minutos. Esta deficiencia de la capacidad
                                                                   gelificadora de la pulpa es la razón por la cual se
                                                                   ensayaron diferentes concentraciones de sal
                                                                   (Tablas 1, 2 y 3).


                     Tabla4. Evaluación organoléptica de las pulpas obtenidas en los Ensayos de Extracción


Pruebas
                        Sabor      Color      Olor        Textura
Despulpado
_______________________________________________________________
1. Mecánico, entero sin agradable  crema      pescado     buena fuerza
cabeza                  bueno      a gris     fresco      de gel
                                              normal
2. Mecánico, filetes    agradable  crema      pescado     buena fuerza
                        bueno                 fresco      de gel
                                              normal
3. Manual               agradable  crema      pescado     excelente
                        bueno      suave      fresco      fuerza de gel
                                              normal
4. Mecánico, pescado    agradable  gris       pescado     mala fuerza
entero                  bueno                 fresco      de gel
                                              normal




 Volumen I – Número I, Diciembre - Año 2008
 ISSN: 2027-162X
                                                             117
Revista RE´TAKVN
   Facultad de Ingeniería - Universidad del Magdalena




               Tabla 5. Rendimientos de masa obtenidos en los ensayos de extracción de pulpa.
                   Ensayos                                      Rendimientos (Kg/100 Kg)

 1. Despulpado mecánico, sin cabeza                                           44.00

 2. Despulpado mecánico, filetes                                              39.50

 3. Despulpado manual                                                         38.00

 4. Despulpado mecánico, entero                                               45.00


ESTUDIOS TÉCNICOS                                              los reportados por Thurston y col (FAO, 1959):
                                                               entre 16.00 g/100g y 19.00 g/100g, con algunas
Resultados de Análisis Organolépticos                          excepciones de hasta 22.80 g/100g (en cachama
                                                               negra). Dentro del mismo contexto, Kinsella y col
Pulpa y pasta base. Los análisis organolépticos                (1977), determinaron niveles de proteínas entre
indicaron que la pulpa fue “Aceptable”, porque, al             17.00 g/100g y 21.30 g/100g, siendo el valor más
igual que la textura, fue calificada con un puntaje            frecuente 19.00 g/100g.
de 3.0. Puntaje debido quizá a que la carne de esta
especie experimenta rompimiento tisular durante el             La grasa varió entre de 0.40 g/100g y 0.50 g/100g
despulpado mecánico perdiendo así cohesión y                   en pulpa y pasta base, respectivamente. Según
debilitando la fuerza del gel. Caso contrario a lo             información de FAO, el contenido de lípidos de la
que ocurre durante la producción de pulpa como la              cachama negra merece especial atención debido a
de macabí (Elops saurus), cuyo despulpado                      que muestra gran variabilidad de acuerdo al
manual no interfiere en la ligazón de los tejidos, sin         tamaño del ejemplar. La variación del contenido
aparecer cambios en la estructura física,                      graso de una especie a otra, o en individuos de la
resultando una pulpa de enlaces más fuertes. Por               misma especie, se puede explicar con base en las
lo general, el resto de características (color, olor           razones     discutidas    por     Stansby    (1968),
sabor) fue idóneo para lograr aceptabilidad de los             Ramachadran y Gopakumar (1981): los ejemplares
productos elaborados a partir de esta pulpa.                   grandes poseen alta cantidad de grasa, lo cual
                                                               infiere suponer que en determinado momento los
Análisis Bromatológico Parcial                                 animales ya no utilizan el alimento para formar
                                                               tejidos y en otras funciones, sino que lo almacenan
El nivel de humedad fue igual a 77.50 g/100g tanto             en forma de lípidos importantes para el desarrollo
en la pulpa como en la pasta base, similar al                  de su madurez sexual. Posiblemente esta
determinado por Contreras, A y Villazón, E (2001) y            suposición se encuentra sustentada por el escaso
a las reportadas por FAO (Bello, R y Gil, W., 1992).           lote de ejemplares grasos observado en la
Asimismo, este nivel de humedad es comparable al               investigación,    que    empleó     preferentemente
de otras especies de agua dulce: entre 72.40                   especimenes de tallas pequeñas.
g/100g y 80.50 g/100g, encontrándose la mayoría
entre 78.00 g/100g y 79.00 g/100g (Thurston y col,             La acumulación de grasas en el músculo de
1959; Kinsella y col., 1977: González, 1980;                   cachama negra podría ser un factor negativo en su
Torrealba, 1980) (Tabla 6).                                    aprovechamiento tecnológico, sobre todo, durante
                                                               el almacenaje en frío en donde ocurren procesos
Los contenidos de proteínas en pulpa y pasta base              de oxidación que conducen a fenómenos
fueron    21.40     g/100g    y    21.80     g/100g,           deletéreos perjudiciales: rancidez, cambios de
respectivamente, mayores al determinado por                    coloración en la carne, olores objetables y
Contreras, A y Villazón, E. (2001): 17.5 g/100g; y a           aparición de compuestos tóxicos para la salud de
                                                               los consumidores, factores que limitan su

   Volumen I – Número I, Diciembre - Año 2008
   ISSN: 2027-162X
                                                         118
Revista RE´TAKVN
 Facultad de Ingeniería - Universidad del Magdalena



comercialización. Esta situación direccionó a                 pulpa, utilizando ejemplares con peso promedio de
utilizar ejemplares de cachama negra con masa                 1.68 Kg,
corporal entre 400 y 1500 g.
                                                              Según Miyauchi y Steinberg (1970), es posible
El contenido de cenizas fue igual a 0.91g/100g en             incrementar la cantidad de carne proveniente de
pulpa y pasta base y 3.12 g/100g en pasta base,               determinada especie pesquera si los subproductos
debido quizá a la adición de sal que concentra                de la primera etapa del despulpado se pasan de
iones sodio y cloruros. Kinsella y col. (1977)                nuevo por la máquina, originándose entre 5.00
establecieron en especies dulceacuícolas niveles              Kg/100Kg y 30.00 Kg/100 Kg adicional de carne,
de cenizas entre 1.00 g/100g y 1.30 g/100g. En 21             alternativa empleada en la presente investigación y
especies ícticas continentales, Thurston y col.               que originó un incremento de masa del mismo
(1959) determinaron contenidos de cenizas entre               orden al establecido por Rodríguez (1985) en
0.90 g/100g y 1.30 g/100g. Bello, R. y Gil, W.                cunaro (Rhomboplites aurorurubens) (38.60
(1992), reportaron para el músculo de cachama                 Kg/100Kg).
negra niveles de cenizas entre 1.03 g/100g y 1.25
g/100g.                                                       Con respecto a los productos terminados: el mayor
                                                              rendimiento de masa se registró durante la
En la pulpa el pH fue igual a 6.60 y 6.30 en la pasta         fabricación de al Chorizo (90.50 g/100g), y el
base indicativo, de su buen estado porque Connell             menor en la de Butifarra (87.30 g/100g), medido
(1978) estableció que en pH cercanos a 6.50 el                éste entre el homogenizado y el empacado. A partir
pescado se encuentra sano, hallazgo también                   del homogenizado ocurrió incremento del volumen
corroborado por Premoli (1986) quien registró pH              másico por encima del 100%, explicable por la
igual a 6.40 en pescado con alto grado de                     adición de los ingredientes formulados.
frescura.
                                                                    ANÁLISIS EN LOS PRODUCTOS
Análisis Microbiológicos                                                   TERMINADOS

Las pruebas microbiológicas de la pulpa se                    Organolépticos – Bromatológicos Parcial
llevaron a cabo de acuerdo a las Normas
ICONTEC 1325 para Productos Cárnicos No                       Los análisis se efectuaron tomando muestras al
Enlatados (Tabla7), en las cuales ocurrió la                  azar de cada uno de los productos elaborados
ausencia absoluta de microorganismos patógenos                (Hamburguesa, Butifarra y Chorizo), juzgando
para los consumidores, específicamente de                     condiciones de textura, olor, color y sabor. Cada
Coliformes Totales y Fecales (UFC/g), Recuento                producto se evaluó en dos preparados culinarios:
Total de Aerobios Mesófilos, Staphylococcus,                  cocido y asado, obteniendo un puntaje respectivo
Salmonella y Vibrio (UFC/g).                                  de 4.5 de calificación (“Muy bueno”).

Rendimiento                                                   Humedad
El rendimiento de masa desde pescado entero                   Las humedades variaron así: Hamburguesa reportó
hasta pulpa fue igual a                                       67.20 g/100g; Butifarra, 74.00 g/100g y Chorizo,
48.00 Kg/100Kg y 47.70 Kg/100Kg; desde pescado                67.70 g/100g. Estos niveles de humedad en los
entero hasta pasta. Bello, R. y Gil, W. (FAO; 1992),          productos indican gran actividad de agua en ellos
establecieron un rendimiento del 36.70 Kg/100Kg               y, por ende, mayor posibilidad de desarrollo
(con base en el peso total del pescado). Sin                  microbiano. Al relacionar el contenido de humedad
embargo, Miyauchi y Steinberg (1970), informaron              de las semiconservas con los de la materia prima y
que el rendimiento de carne deshuesada en                     la pasta base, se nota disminución en las primeras,
diferentes especies de pescados oscila entre 30.00            pérdida de agua proporcional a la temperatura y
Kg/100Kg     y    60.00     Kg/100Kg,     resultados          tiempo del proceso. No olvidando que el contenido
ampliamente relacionados con la anatomía de las               de agua en un alimento también depende de
especies: las cabezas grandes y gran masa                     factores como humedad relativa ambiental (de
visceral proporcionaron bajos rendimientos de                 acuerdo a la época del año) y almacenamiento.

  Volumen I – Número I, Diciembre - Año 2008
  ISSN: 2027-162X
                                                        119
Revista RE´TAKVN
 Facultad de Ingeniería - Universidad del Magdalena



Según el INSTITUTO COLOMBIANO DE                                       respectivamente) son del mismo orden al de los
BIENESTAR FAMILIAR (ICBF, 2000), los niveles                           alimentos análogos elaborados con carne de res
de humedades en Hamburguesa, Butifarra y                               (ICBF; 2000): entre 1.00 g/100g y 3.20 g/100g y a
Chorizo tradicionales (formulados con carne de                         los productos alimenticios como carne de res: 3.60
res) son 65.50, 70.20 y 51.50 g/100g,                                  g/100g; leche, 2.00 g/100g; banano, 3.50 g/100g;
respectivamente; muy cercanos a los encontrados                        papa, 4.00 g/100g, entre otros (Pomares, J.1998).
en el presente estudio (Tabla 6)                                       El nivel de cenizas fue casi el doble en Butifarra
                                                                       (6.10 g/100g), explicable por el hecho de que su
Proteínas                                                              formulación contiene “Maggi” (resaltador de sabor
                                                                       constituido por sal de mesa y glutamato
Los contenidos de proteínas fueron: 13.80 g/100g                       monosódico). Además, se agregó mayor nivel de
en Hamburguesa; 18.20 g/100g en Butifarra y                            “Condimento EF Hamburguesa (compuesto por
20.70 g/100g en Chorizo. El menor nivel de                             seis sales curantes: nitritos, nitrato de sodio y sal) y
proteínas en Hamburguesa, puede ser explicado                          cloruro de sodio, debiéndose tener también en
por el hecho de que su formulación incluye alta                        cuenta ciertos minerales presentes en la pimienta
porcentualidad de harina (migas de pan), que                           picante.
incrementa la presencia de carbohidratos,
disminuyendo así la cantidad final de proteínas.                       Análisis Microbiológicos

Grasa                                                                  Los     resultados    microbiológicos   (Tabla    7)
                                                                       constataron que en las semiconservas pesqueras
Es importante destacar que los productos                               no existe la presencia de microorganismos
pesqueros formulados en esta investigación                             patógenos para el hombre, en conformidad con las
muestran perfil muy bajo de grasas: Hamburguesa,                       Normas ICONTEC 1325 (Productos Cárnicos no
37.0 g/100g; Butifarra, 1.50 g/100g y Chorizo. 2.90                    Enlatados), lo cual tiene su explicación en que la
g/100g, en comparación a los tradicionales                             cachama se cultiva con cuidado especial en
fabricados con carne: 9.60 g/100g, 12.90 g/100g y                      estanques bajo un ambiente hídrico de buena
20.60 g/100g (ICBF, 2000). Explicable esta                             calidad sanitaria, creciendo peces higiénicamente
comparación con base en el contenido de grasa en                       sanos, bien presentados. Además, adecuado
el músculo de res (entre 26.00 g/100g y 38.00                          manejo      en     manipulación     y    transporte;
g/100g) y en el de cachama negra (0.40 g/100g).                        almacenamiento bajo apropiado congelación;
                                                                       estricta desinfección de equipos, utensilios y
Minerales                                                              operarios antes de la fase de procesamiento; es
                                                                       decir,    en     cada    instante    se    aplicaron
Los contenidos de cenizas                        en Chorizo y          convenientemente las “Buenas Prácticas de
Hamburguesa    (3.50  y                          3.20  g/100g,         Manufactura” (MPM).

    TABLA 6. ANÁLISIS BROMATOLÓGICO PARCIAL DE PULPA, PASTA BASE Y SEMICONSERVAS ELABORADAS CON
                                CACHAMA NEGRA (Colossoma macropomum)

                                                                           PRODUCTO
                    CONTENIDO                                 Pasta
                                                      Pulpa                Butifarra     Chorizo     Hamburguesa
                                                              Base
           Humedad (g/100 g)                          77.50   77.50          74.00        67.70           67.20
           Proteína (g/100 g)                         21.40   21.80          18.20        20.70           13.80
           Grasa (g/100 g)                            0.40     0.50          1.50         2.90             3.70
           Cenizas (g/100 g)                          0.91     3.12          6.10         3.50             3.20
           Carbohidratos (g/100 g)                      -        -           0.20         5.20            12.10
           pH                                         6.60     6.30            -            -                -




  Volumen I – Número I, Diciembre - Año 2008
  ISSN: 2027-162X
                                                                 120
Revista RE´TAKVN
 Facultad de Ingeniería - Universidad del Magdalena




      TABLA 7. RESULTADOS MICROBIOLÓGICOS EN PULPA Y SEMICONSERVAS DE CACHAMA NEGRA (Colossoma
                                             macropomum)

                                                                                PRODUCTO
                    CONTENIDO                                      Pasta
                                                      Pulpa                     Butifarra   Chorizo    Hamburguesa
                                                                   Base
                   Coliformes
                                                       ND*          ND               ND       ND            ND
                 totales, UFC/g
                   Coliformes
                                                       ND           ND               ND       ND            ND
                 fecales, UFC/g
               Aerobios mesófilos,
                                                       ND           ND               ND       ND            ND
                     UFC/g
             Staphylococcus, UFC/g                     ND           ND               ND       ND            ND
               Salmonella, UFC/g
                                                       ND           ND               ND       ND            ND
                  Vibrio, UFC/g
                                                             * N D: no detectable.

COSTOS PRELIMINARES
                                                                           El empleó de fundas Alifan sintéticas fue factor que
Costos fijos y variables fueron considerados para la                       influyó en el hecho de que las Hamburguesas
determinación de los costos de producción dentro                           lucieran mayor PVP. Estas fundas tienen un precio
de las variables se estimó el valor de compra de la                        comercial mucho mayor que las naturales,
materia prima (8001,67 $/Kg). Con respecto a la                            utilizadas en la elaboración de Chorizos y
mano de obra, se estableció una producción de 50                           Butifarras. Los altos costos de los productos
Kg/día. Dentro de este ítem también se tuvieron en                         propuestos con relación a los fabricados en la
cuenta precios de fundas (sintética y natural),                            empresa CUNIT (a base de carne de res) pueden
ingredientes y empaques. La presentación final de                          deberse a los altos precios de la cachama negra y
los productos se basó en porciones de 250 g en                             las      propias    condiciones     de      proceso
bolsas de polietileno de “Alta Densidad” (PE), con                         (experimentales y poca cantidad de materia prima).
aplicación de vacío. En los costos fijos se                                Es recomendable, entonces, emplear menor
consideraron los conceptos de depreciación y                               cantidad de carne de cachama negra buscando
mantenimiento de equipos, servicios públicos y gas                         con ello reducir los costos de elaboración y, por
propano (Tabla 8).                                                         consiguiente, los PVP.

 Tabla 8. Estudio comparativo de Precios de Venta al Público (PVP) entre semiconservas de cachama negra de
                                      macabí y de una marca comercial

               Valor                         Precio Estimado al Público ($/Kg) (25% de Utilidad)

                                           Cachama                     Macabí                 CUNIT
          Producto
        Hamburguesas                          17.310                   12809                   12560
          Butifarra                           19730                    14308                   15300
           Chorizo                            19351                    15062                   12160

                     CONCLUSIONES
                                                                           punto se pueden disminuir         los   costos   de
Desde el punto de vista tecnológico, la cachama                            producción establecidos.
negra (Colossoma macropomum) constituye buena
alternativa para elaborar embutidos. Sin embargo,                          El despulpado mecánico del pescado entero sin
su alto precio obliga a estudiar o analizar hasta qué                      cabeza presentó el mayor rendimiento de masa:
                                                                           entre 30.00 Kg/100Kg y 60.00 Kg/100kg).

  Volumen I – Número I, Diciembre - Año 2008
  ISSN: 2027-162X
                                                                     121
Revista RE´TAKVN
 Facultad de Ingeniería - Universidad del Magdalena



                                                             12385.25 $/Kg, respectivamente, mayores a los
Fue necesario adicionar hasta 2.00% de sal con la            productos similares fabricados con carne (res y
finalidad de mejorar características físicas,                cerdo), resultado que puede estar explicado por el
especialmente fuerza de gel y elasticidad.                   alto precio de la materia prima y a las condiciones
                                                             experimentales de procesamiento.
El rendimiento a partir de pescado entero hasta
pulpa fue igual a 48.0 Kg/100Kg, y hasta pasta               Los PVP de las semiconservas fabricadas con
base, 47.70 Kg/100 Kg. El mayor rendimiento se               pulpa       de    cachama      negra      superan
determinó en el Chorizo (90.50 Kg/100Kg) desde               significativamente a los de macabí y los de marca
homogenizado hasta producto empacado, seguido                comercial CUNIT.
por la Hamburguesa (88.50 Kg/100Kg).
                                                                              BIBLIOGRAFÍA
Los análisis de color, sabor y olor en la pulpa
recibieron buenapuntuación por parte de los                  ALARCÓN, I. y ZAMORA, M. 1996. Diseño,
panelistas; lo que no ocurrió durante la evaluación          montaje y evaluación de una línea de
de la textura.                                               hamburguesa de pescado. Tesis de Grado de
                                                             Ingeniería, Universidad del Magdalena, Santa
Los niveles de proteínas en las semiconservas                Marta, 70 p.
pesqueras (Hamburguesa, Butifarra y Chorizo)
fueron, respectivamente, 13.80 g/100g, 18.50                 BASAURE, L. y CABELLO, R. 1973. Elaboración
g/100g y 21.80 g/100g.                                       de embutidos a base de pulpa de pescado. Instituto
                                                             de Fomento Pesquero, Santiago de Chile. Circular
Los    valores porcentuales    de    grasa   en              84: 1 - 4.
Hamburguesa, Butifarra y Chorizo fueron de 3.70,
1.50 y 2.90 g/100g, respectivamente, que,                    BELLO, R. y GIL, W. 1992. Evaluación y
comparados con otros productos comerciales                   aprovechamiento de la cachama negra cultivada
similares, son de bajo contenido graso en                    como fuente de alimento. Programa Cooperativo
concordancia con las modernas tendencias                     Gubernamental      GCP/RLA/102/ITA. Proyecto
alimenticias.                                                AQUILA II - FAO. México, D.F, 91 p.

La materia prima y las semiconservas elaboradas              BERTULO, V. 1975. Tecnologías de los productos
fueron aptas para consumo humano pues no se                  y sub-productos de los pecados, mariscos y
detectó la presencia de microorganismos                      moluscos. Hemisferio Sur, Buenos Aires,
patógenos ni alteradores.                                    Argentina,
                                                             538 p.
El examen organoléptico en los productos finales
alimenticios constató condiciones de textura, color,         CARREÑO, O. y CORVACHO, R. 2000.
olor y sabor “Muy Bueno”.                                    Formulación y elaboración de chicharrones a partir
                                                             de seis especies pesqueras. Tesis de Grado,
Durante la Prueba Hedónica los panelistas                    Especialización en Ciencias y Tecnologías de
mostraron mayor preferencia por la alternativa               Alimentos, Universidad del Magdalena. Santa
“Muy agradable”, especialmente durante la                    Marta, 218 p.
degustación de las presentaciones cocidas y
asadas.                                                      ---------- 1999. Tecnología de procesamiento de
                                                             productos pesqueros.-Programa de Ingeniería
La congelación a -18 ° varió el color, textura y
                      C                                      Pesquera, facultad de Ingeniería, Universidad del
elasticidad en Chorizo y Butifarra, resultado que            Magdalena, Santa Marta, 55 p.
quizás se reflejó en las preferencias de los
degustadores.                                                CONTRERAS, A. y             VILLAZÓN, E. 2001.
                                                             Elaboración y evaluación del pescado fresco
Los costos de producción de Hamburguesa,                     salado a partir de bocachico (Prochilodus
Butifarra y Chorizo fueron: 11078.96, 12627.29 y             recticulatis), tilapia roja (Oreochromis spp) y


  Volumen I – Número I, Diciembre - Año 2008
  ISSN: 2027-162X
                                                       122
Revista RE´TAKVN
 Facultad de Ingeniería - Universidad del Magdalena



cachama negra (Colossoma macropomun). Tesis                 alimentos. Editorial Acribia, Zaragoza, España, p.
de Grado, Universidad del Magdalena; Santa                  198-260.
Marta, 108 p.
                                                            PAREJO, I. y PALENCIA, W. 1985.Elaboración y
FORERO, H. y GUTIÉRREZ, F. 2002. Especies                   estabilización de pasta – base para semiconservas
hidrobiológicas continentales introducidas y                de pescado. Tesis de Grado. Facultad de
transplantadas y su distribución en Colombia.               Ingeniería, Universidad del Magdalena, Santa
Ministerio del Medio Ambiente de Colombia,                  Marta, p. 6-32.
C.V.S.- C.V.C. INPA, Bogotá, D.E., p. 64-135.
                                                            POMARES, J. 1998. Elaboración de galletas
GONZÁLEZ, E. 1980. Estudio de los cambios que               horneadas fortificadas con músculo de pescado
se producen durante la refrigeración y congelación          marginal macabí (Elops saurus) para consumo
del coporo del río Orinoco (Prochildus mariae).             humano. Tesis de Grado, Facultad de Ingeniería
Trabajo Especial de grado, Facultad de Ciencias,            Pesquera, Universidad del Magdalena, Santa
Universidad Central de Venezuela, Caracas.                  Marta, p. 1-10.

HIRASA, K. y TAKEMASA, M. 2002. Ciencia y                   POTTER, N. 1973. Las ciencias de los alimentos.
Tecnología de las Especias. Editorial Acribia,              Editorial Acribia, Zaragoza, España, 749 p.
Zaragoza, España, p. 1-19.
                                                            RADA, L. y SÁNCHEZ, N. 1994.Optimización y
HUGHES, C. 1994.Guía de Aditivos. Editorial                 control de calidad del jamón de pescado en el
Acribia, Zaragoza, España. p. 5-22.                         CPPPT, Tesis de Grado, Ingeniería Pesquera,
                                                            Universidad del Magdalena, Santa Marta, p. 86-89.
INSTITUTO COLOMBIANO DE BIENESTAR
FAMILIAR (ICBF). 2000. Tabla de composición de              SALFIELD, R. 1997. Prácticas de ciencias y
los alimentos colombianos. División de Recursos             tecnologías de los alimentos. Acribia, Zaragoza,
Materiales y Físicos, Bogotá, D. E, p. 46.                  España, p. 123-124

ISHIHARA, H. 2000. Producción de pasta de carne             STANSBY, M. 1968. Tecnología de los Alimentos
de pescado (Kamaboko), Ingeniería Pesquera,                 Pesqueros. Editorial Acribia, Zaragoza, España,
Universidad del Magdalena - JICA, Santa Marta,              443 p.
Colombia.
                                                            UNIVERSIDAD DEL MAGDALENA. 1993. Manual
KINSELLA, J, et al. 1977. Fatty acid content and            de Prácticas de Laboratorio de Bromatología,
composition of fresh-water finfish, J. Am. Oi.              Santa Marta, Colombia, 77 p.
Chem: Soc. p. 54.
                                                            VELASQUEZ, C. 2003. La pasta de pescado
LOPEZ, B. et al. 1972. Fabricación de productos             (surimi) como alternativa de transformación de
comerciales a partir de especies de pescado de              productos pesqueros. IV Seminario de Acuacultura.
bajo precio. Madrid (España), Impreso Juvenil.              I Congreso Nacional de Investigaciones Acuícola.
                                                            Facultad de Veterinaria y Zootecnia, Universidad
MINISTERIO DE SALUD DE COLOMBIA. 1990.                      Nacional de Colombia, Bogotá D.E..
Análisis microbiológicos de alimentos. Instituto
Nacional de Salud INAS, Bogotá, D.E.                        WIRTH, F. 1992. Tecnología de los embutidos
                                                            escaldados. Editorial Acribia, Zaragoza (España).
MIYAUCHI, D. y STEIMBERGM, M. 1970. Machine                 p. 41, 61.
separation of edible flesh from fish. Fishery
Industrial Research. p. 6-145.

MOSSEL, D. y GARCÍA, B. 1981. Microbiología de
los animales. Fundamentos ecológicos para
garantizar la inocuidad y la calidad de los


  Volumen I – Número I, Diciembre - Año 2008
  ISSN: 2027-162X
                                                      123

Hamb, but y chor de cachama

  • 1.
    Revista RE´TAKVN Facultad de Ingeniería - Universidad del Magdalena ELABORACIÓN DE SEMICONSERVAS (HAMBURGUESA, BUTIFARRA Y CHORIZO) A PARTIR DE PULPA DE CACHAMA NEGRA (Colossoma macropomum) (CUVIER, 1818) Víctor M. Márquez Zaldúa Ingeniero Pesquero Universidad Del Magdalena savladin@hotmail.com Iván Cabrera Durán Ingeniero Pesquero Universidad Del Magdalena icabreaduran@walla.com Righy Rico Hernández Ingeniero Pesquero Universidad Del Magdalena righyfish@hotamil.com Fecha de Recepción: 19/08/2008 Fecha de Publicación: 15/12/2008 RESUMEN El presente estudio se realizó en las instalaciones de la Planta Piloto Pesquera de Taganga (PPPT), Universidad del Magdalena, ubicada en la bahía de Taganga, Santa Marta. La materia prima fue adquirida en las instalaciones del Servicio Nacional de Aprendizaje Seccional Santa Marta (SENA AGROPECUARIO de Gaira). Todas las fases de procesamiento se ejecutaron en la PPPT y en una primera etapa técnica se llevaron a cabo ensayos preliminares, permitiendo sus resultados seleccionar la pulpa de cachama negra después de aplicar cuatro tipos de extracción: tres con despulpado mecánico y otro manual. Los rendimientos obtenidos en los ensayos fueron: despulpado mecánico (pescado sin cabeza), 44.0%; despulpado mecánico (filetes), 39.5%; despulpado mecánico (pescado entero), 45.0% y despulpado manual, 38.0%. Se seleccionó la pulpa resultante del despulpado mecánico (pescado sin cabeza), y para mejorar textura y lograr mayor fuerza del gel se le adicionó sal común (2.0% con respecto al peso de pulpa congelada), las que se mezclaron en cutter durante 15 – 20 minutos y a 5 ° obteniéndose una pasta base de excelente text ura, C, adecuada para elaborar los productos propuestos. Se elaboraron tres productos (Hamburguesa, Butifarra y Chorizo) a partir de la pulpa escogida de cachama negra. Se determinó su rendimiento másico (48.0%) desde pescado entero hasta pulpa. Los resultados de los análisis microbiológicos de los productos terminados establecieron que son aptos para consumo humano. Los estudios bromatológicos de los productos finales reportaron valores de proteínas entre 13.80 g/100g y 20.70 g/100g y contenido graso entre 1.50 g/100g y 3.70 g/100g. Los exámenes organolépticos en los productos acabados y la pasta base indicaron características buenas en textura, color, sabor y olor. Los estudios de costos de producción de la Hamburguesa, Butifarra y Chorizo presentaron valores elevados, situación que no favorece el obtener buena rentabilidad y niveles de competitividad en el mercado. Éstos oscilaron entre $11´.079.00 y $12`.627.00 Kg, debido a que el costo de la materia prima (cachama negra) es alto. Palabras claves. Cachama Negra, Colossoma macropomum, Pulpa, Semiconservas. Volumen I – Número I, Diciembre - Año 2008 ISSN: 2027-162X 110
  • 2.
    Revista RE´TAKVN Facultadde Ingeniería - Universidad del Magdalena ABSTRACT The present study was carried out in the facilities of the Pilot Plant Fisheries of Taganga (PPPT) of Magdalena University, located in the bay of Taganga. The matter prevails was acquired in the facilities of the National Service of Apprenticeship Sectional Santa Marta (SENA AGROPECUARIO of Gaira). All the prosecution phases were executed in PPPT. In the technical first stage they were carried out tests preliminaries and their results allowed selecting the pulp of cachama negra after applying four types of pulp extraction: three with mechanical obtain of pulp and another manual. The yields obtained in the tests were: mechanical obtain of pulp (fished entirely without head), 44.0%; mechanical obtain filets, 39.5%; obtain manual, 38.0% and mechanical obtain of pulp (fished entirely), 45.0%. The selected pulp (entirely without head), it were chosen an looking for the improve texture and to get or to achieve better force of gel salt common (2.0% was added with regard to the weight of fish’s pulp frozen), which mixed in one cutter schemes during a time between 15 and 20 minutes to a temperature of 5 ° obtaining a pasta base with better texture f or the elaboration of the proposed products. C, In the development of the technical studies three fishing products (Hamburger, Hard Pork Sausage and Sausage) were elaborated starting from pulp of selected cachama negra. Their yield mass (48.0%) was determined from having fished entirely until pulp. The results of the analyses microbiological of the finished products established that they are capable for human consumption. The Chemical analyses of the finished products gave values of proteins between 13.80 g/100g and 20.70 g/100g and fatty content from 1.50 g/100g to 3.70 g/100g. The senses analyses of the finished products and it pastures bases they indicated good texture characteristics, color, flavor and scent. The studies of cost of production of the Hamburger, Hard Pork Sausage and Sausage, elaborated starting from pulp of cachama negra, they presented high values, and situation not favors to obtain good profitability and levels of competitiveness in the market. These oscillated between $11´078.00 and $12´627,00 Kg, because the matter (cachama negra) cost prevails it is high. Key Words: Cachama Negra, Colossoma macropomum, Pulp, Preservs. INTRODUCCIÓN marinas, lográndose buenos resultados en las características finales. Pero, existe la desventaja La Universidad del Magdalena, a través de su de que los volúmenes de captura anuales de estas Planta Piloto Pesquera de Taganga (PPPT), especies no son constantes para brindar una oferta muestra un desarrollo interesante en la formulación sostenida en el mercado. Además, algunos de y producción de varios tipos de semiconservas, estos recursos han sido sobreexplotados, como ha adaptando técnicas de procesamiento de alimentos ocurrido con el macabí (Elops saurus). Por tal sobre materias prima ícticas. Ejemplos de ello ha motivo, surge como opción alternativa en la sido la elaboración de butifarras, chorizos, elaboración de productos pesqueros en la región, hamburguesas, chicharrones, kamabokos y otros, área de influencia de la presente investigación, la a partir de pulpa de macabí (Elops saurus), que ha alternativa brindada por algunas especies sido una de las materias primas más estudiadas, la continentales adaptadas a sistemas de cultivos que cual ha brindado las mejores condiciones han permitido desarrollar sus métodos organolépticas (textura, sabor, olor) y formas de reproductivos, tornándolas aprovechables para el moldeo. Asimismo, con otras especies pesqueras, consumo mediante la aplicación de tecnologías como lisa (Mugil incilis), ojo gordo (Selar disponibles. crumenopthalmus), cojinúa (Caranx crysos) y ciertos túnidos (Carreño, O.; Corvacho, R., 2000). A partir de la década de lo 80, en el país se desarrollaron diversos estudios referentes a En los productos formulados y elaborados en la cachamas (Colossoma macropomun) y (Piaractus PPPT, se han utilizado principalmente especies brachypomus), formulados con el fin de Volumen I – Número I, Diciembre - Año 2008 ISSN: 2027-162X 111
  • 3.
    Revista RE´TAKVN Facultadde Ingeniería - Universidad del Magdalena introducirlas en la ciencia de la piscicultura. Se han • Formular y evaluar tres tipos de conseguidos grandes éxitos con respecto a la semiconservas (Hamburguesas, Butifarras y inducción de su reproducción, mejoras en los Chorizos) a partir de cachama negra (Colossoma sistemas de cultivo, tipo de alimentación, control de macropomun) plagas y enfermedades, entre otros. Es así como • Evaluar técnicas manuales y mecánicas de las estadísticas del Instituto Nacional de Pesca y extracción de pulpa a partir de cachama negra. Acuicultura (INPA-2002, Colombia), para un lapso • Establecer rendimientos de materia prima de tres años (1997 – 2000), reportan incremento desde pescado entero hasta pulpa y productos igual a 44223 toneladas, lo que estadísticamente terminados. demuestra aumento en la producción y • Caracterizar microbiológica, bromatológica sostenibilidad para la citada especie. Sin embargo, y organolépticamente la materia prima y los hasta el momento no se han realizado productos finales. investigaciones puntuales sobre los aspectos • Determinar grado de aceptabilidad de los tecnológicos relevantes, sobre todo si existen productos terminados mediante Pruebas consumidores dispuestos a incorporarlas en sus Hedónicas. dietas alimenticias. • Determinar los costos preliminares de producción de cada una de las semiconservas. La caracterización bromatológica de cualquier especie pesquera resulta importante como alternativa lógica para su comercialización. Por otra METODOLOGÍA parte, el conocimiento de la composición química alimenticia es necesario si se quiere lograr el máximo aprovechamiento de cierta materia prima GENERALIDADES en particular como alimento y/o para la utilización de sus subproductos, con la finalidad de La cachama negra (50.0 Kg) se adquirió en el aprovechar holísticamente sus constituyentes Servicio Nacional de Aprendizaje Agropecuario de nutricionales. Por tal motivo, se escogió para esta Gaira (SENA), escamada y eviscerada y empacada investigación la especie continental cachama negra en cavas con hielo. Cada individuo pesó 400 g en (Colossoma macropomun) como materia prima promedio. En recepción (PPPT) se pesó, limpió y para la elaboración de semiconservas, almacenó a -18 ° Luego, se descongeló por C. considerando la posibilidad de aumentar su medio de flujo de agua a temperatura ambiente. aprovechamiento dietético. Con posterioridad, fue sometida a cuatros experiencias (descritas en ”ensayos preliminares”) y evaluada organolépticamente. Un lote de 18.1 Kg OBJETIVOS fue usado para obtener pulpa, observando su comportamiento físico en la despulpadora al igual GENERAL que en las otras fases de transformación. El peso restantes (31.9 Kg) de materia prima fue empleada Verificar si la especie íctica cachama negra para la realización de ensayos que permitieron (Colossoma macropomun) posee características seleccionar una pulpa con buenas características tales que admitan la incorporación de técnicas organolépticas y de importante rendimiento másico. adecuadas para su transformación en semiconservas (Hamburguesa, Butifarra y ENSAYOS PRELIMINARES Chorizo), de excelentes propiedades alimenticias, microbiológicas y organolépticas (sabor, olor, color Fueron desarrollados con la finalidad de y textura). Así como también establecer los costos seleccionar la pulpa que, proporcionara el mayor preliminares de producción. rendimiento másico durante el proceso. Para tal efecto, se ejecutaron cuatro experiencias que OBJETIVOS ESPECIFÍCOS permitieron estandarizar las formas más ajustadas de obtener pulpas y elegir aquélla con las • Establecer bases tecnológicas viables para características más favorables para la fabricación la implementación de tres líneas de embutidos a de semiconservas. partir de la especie íctica continental cachama negra (Colossoma macropomun). En el primer ensayo se hizo el despulpado en forma mecánica el pescado descabezado; en el Volumen I – Número I, Diciembre - Año 2008 ISSN: 2027-162X 112
  • 4.
    Revista RE´TAKVN Facultadde Ingeniería - Universidad del Magdalena segundo, se separó mecánicamente la carne de los filetes; en el tercero, el proceso fue manual; y en el La pulpa y los productos terminados se analizaron último ensayo, se efectuó el despulpe mecánico del organoléptica, bromatológica y cuerpo con cabeza. Luego, se realizó un análisis microbiológicamente. Se determinó rendimiento de sensorial y calcularon los rendimientos másicos de masa (pescado entero hasta pulpa y pasta base). la pulpa. Se fabricaron los tres productos (Figuras 1 y 2) temas de la investigación aplicando la metodología ESTUDIOS TÉCNICOS ajustada y adaptada a través de “Ensayos Preliminares”, utilizando las formulaciones Un total de 46.00 Kg de materia prima eviscerada y presentadas en las Tablas 1, 2 y 3. enhielada fue sometida bajo iguales condiciones a las consideradas en “Ensayos Preliminares”. La Forma de presentación, estudios de costos y forma más adecuada de obtención de pulpa pruebas de aceptabilidad fueron parámetros correspondió al despulpado mecánico de cuerpo medidos en los artículos finales, cuyo proceso de sin cabeza, requiriéndose, entonces, implementar elaboración se describe en los Diagramas de Flujo el posteado con el fin de disminuir rozamiento en la (Figuras 1 y 2). Los costos de producción se máquina despulpadora. En esta etapa se establecieron considerando costos fijos y variables. emplearon dos tamices: a) de agujeros con Se estimó el precio de venta al público (PVP) de diámetros 6.00 mm; b) otro más fino, con diámetro cada producto, cada uno de ellos presentados en de 1.00 mm. empaques de 250 g (sellados al vacío): Al no ocurrir una apropiada fuerza del gel, se PVP = CP + UP + UC decidió adicionar a la pulpa 2.00% de sal común, Donde: con la finalidad de estabilizar proteínas PVP: precio de venta al público. miofibrilares (actina y miosina) y mejorar así la CP: costos de producción. textura. El homogenizado se realizó en cutter UP: utilidad de producción (25% de CP). marca JAVAR, a 5 ± 2 ° para disminuir C UC: utilidad comercial (25% de CP + UP): desnaturalización proteica. Figura 1. Diagrama de Flujo del proceso de elaboración de Hamburguesa de pescado a partir de cachama negra (Colossoma macropomun) Descongelación de pasta base Pesaje Dosificación Homogenizado Manual Embutido Fundas sintéticas de Alifan de 154 mm Ø Moldeado Moldes prensa Cocción 70 °C en centro térmico Volumen I – Número I, Diciembre - Año 2008 ISSN: 2027-162X 113
  • 5.
    Revista RE´TAKVN Facultad deIngeniería - Universidad del Magdalena Enfriamiento Corte Análisis: Control de calidad Microbiológicos Bromatológicos Organolépticos Pesaje y empaque Almacenamiento 5 y -18 °C Figura 2. Diagrama de Flujo del proceso de elaboración de Butifarra y Chorizo de pescado a partir de cachama negra (Colossoma macropomun.) Descongelación de pasta base Pesaje Dosificación Homogenizado Manual Embutido Fundas naturales Amarre Cocción 70 °C en centro térmico Volumen I – Número I, Diciembre - Año 2008 ISSN: 2027-162X 114
  • 6.
    Revista RE´TAKVN Facultad deIngeniería - Universidad del Magdalena Enfriamiento Corte Análisis: Control de calidad Microbiológicos Bromatológicos Organolépticos Pesaje y empaque Almacenamiento 5 °C Tabla 1. Formulación para la elaboración de Hamburguesa de pescado a partir de cachama negra (Colossoma macropomun). INGREDIENTES CANTIDAD (g/100g) Pulpa de pescado 70.18 Miga de Pan 8.20 Aceite Vegetal 3.51 Clara de Huevo 2.11 Agua 3.51 Cebolla Blanca 3.51 Ajo 0.70 Condimento Hamburguesa EF 1.05 Sal 1.40 Zanahoria 2.81 Cilantro 2.81 Total 100.0 Fuente: Carreño, O; Corvacho, R. Universidad del Magdalena, 2000. Volumen I – Número I, Diciembre - Año 2008 ISSN: 2027-162X 115
  • 7.
    Revista RE´TAKVN Facultadde Ingeniería - Universidad del Magdalena Tabla 2. Formulación para la elaboración de Butifarra de pescado a partir de cachama negra (Colossoma macropomun). INGREDIENTES CANTIDAD (g/100g) Pulpa de pescado 84.03 Pimienta Picante 0.84 Pimentón 2.52 Cebollín 1.68 Agua 2.52 Cebolla Blanca 2.52 Ajo 0.84 Condimento EF Hamburguesa 1.26 Sal 1.68 Maggi 0.42 Cilantro 1.68 Total 100 Fuente: Carreño, O; Corvacho, R. Universidad del Magdalena, 2000. Tabla 3. Formulación para la elaboración de Chorizo de pescado a partir de cachama negra (Colossoma macropomun). Ingredientes Cantidad (g/100g) Pulpa de pescado 78.43 Miga de pan 3.92 Aceite vegetal 3.92 Condimento Chorizo 1.18 Ajo 078 Color Sazone 0.78 Sal 1.57 Comino 0.39 Pimienta Agua 2.35 Cilantro 0.42 Cebollín 3.14 Total 100.0 _______________________________________________________________ Fuente: Carreño, O; Corvacho, R. Universidad del Magdalena, 2000. RESULTADOS Y DISCUSIÓN aspectos como mano de obra; y tiempo de manufactura de la pulpa, empleando diferentes ENSAYOS PRELIMINARES pesos en gramos (pescado entero) durante los ensayos. Los rendimientos másicos En este ítem se evaluaron las características de correspondientes aparecen en la Tabla 4. color, sabor, olor y textura de los productos finales, presentadas en la Tabla 4. Para la Se observa que el mayor rendimiento de masa se selección de pulpa se tuvieron en cuenta logró durante la prueba 4 (despulpado mecánico condiciones organolépticas y rendimiento de masa de pescado entero), 45.0% y el menor, en el (desde pescado entero hasta pulpa) y otros ensayo 3 (despulpado manual), 38.0%. Sin Volumen I – Número I, Diciembre - Año 2008 ISSN: 2027-162X 116
  • 8.
    Revista RE´TAKVN Facultadde Ingeniería - Universidad del Magdalena embargo, la pulpa resultante de la extracción 4 se AJUSTES caracterizó por poseer deficiente fuerza de gel, tal vez debido a los incrementos de niveles grasos En el proceso de elaboración de Hamburguesas como consecuencia de la presencia de grasas en (Figura 1), tanto tradicional como campiña, los las cabezas. Investigaciones previas han parámetros de calidad de la pulpa (gelificación, demostrado que los lípidos dificultan la gelificación forma de moldeo y retención de agua) no de proteínas (Miyauchi, D; Steimbergm, M, 1970). resultaron satisfactorios, lo que conllevó a la Por otro lado, los ensayos 2 y 3 no resultaron búsqueda de una pasta base con mejores convenientes como métodos de extracción debido cualidades técnicas. Dicho preparativo incluyó un a que sus rendimientos másicos fueron lavado con agua entre 5 y 8 ° mejorando de C, relativamente bajos, con tiempos de operación esta manera la fuerza de gel y la elasticidad. Sin prolongados y requirieron la presencia de mano embargo, hubo pérdida de materiales alimenticios. de obra suplementaria. Pero, en la prueba 3 se Es más: no se presentaron las condiciones para estableció la mejor fuerza de gel. obtener un producto aceptable, ya que cuando las dos formulaciones de Hamburguesas se frieron o No obstante, fue seleccionada la pulpa del ensayo asaron, las superficies se adhirieron fuertemente, 1 (despulpado mecánico de pescado entero sin desmoronándose con pérdida de molde. Por tal cabeza), para la elaboración de los productos motivo, hubo que elaborar otra pasta base que mencionados en el Estudio Técnico, con base en finalmente permitió obtener un producto terminado su excelente rendimiento (44.0%), tiempo breve con mejores condiciones técnicas. de operación, racional mano de obra y buena fuerza de gel. Con el fin de lograr conveniente fuerza de gel, durante el lavado se adicionó 2.0% de sal (con base en el peso de pulpa), en un cutre, a 5 ° por C, 15 minutos. Esta deficiencia de la capacidad gelificadora de la pulpa es la razón por la cual se ensayaron diferentes concentraciones de sal (Tablas 1, 2 y 3). Tabla4. Evaluación organoléptica de las pulpas obtenidas en los Ensayos de Extracción Pruebas Sabor Color Olor Textura Despulpado _______________________________________________________________ 1. Mecánico, entero sin agradable crema pescado buena fuerza cabeza bueno a gris fresco de gel normal 2. Mecánico, filetes agradable crema pescado buena fuerza bueno fresco de gel normal 3. Manual agradable crema pescado excelente bueno suave fresco fuerza de gel normal 4. Mecánico, pescado agradable gris pescado mala fuerza entero bueno fresco de gel normal Volumen I – Número I, Diciembre - Año 2008 ISSN: 2027-162X 117
  • 9.
    Revista RE´TAKVN Facultad de Ingeniería - Universidad del Magdalena Tabla 5. Rendimientos de masa obtenidos en los ensayos de extracción de pulpa. Ensayos Rendimientos (Kg/100 Kg) 1. Despulpado mecánico, sin cabeza 44.00 2. Despulpado mecánico, filetes 39.50 3. Despulpado manual 38.00 4. Despulpado mecánico, entero 45.00 ESTUDIOS TÉCNICOS los reportados por Thurston y col (FAO, 1959): entre 16.00 g/100g y 19.00 g/100g, con algunas Resultados de Análisis Organolépticos excepciones de hasta 22.80 g/100g (en cachama negra). Dentro del mismo contexto, Kinsella y col Pulpa y pasta base. Los análisis organolépticos (1977), determinaron niveles de proteínas entre indicaron que la pulpa fue “Aceptable”, porque, al 17.00 g/100g y 21.30 g/100g, siendo el valor más igual que la textura, fue calificada con un puntaje frecuente 19.00 g/100g. de 3.0. Puntaje debido quizá a que la carne de esta especie experimenta rompimiento tisular durante el La grasa varió entre de 0.40 g/100g y 0.50 g/100g despulpado mecánico perdiendo así cohesión y en pulpa y pasta base, respectivamente. Según debilitando la fuerza del gel. Caso contrario a lo información de FAO, el contenido de lípidos de la que ocurre durante la producción de pulpa como la cachama negra merece especial atención debido a de macabí (Elops saurus), cuyo despulpado que muestra gran variabilidad de acuerdo al manual no interfiere en la ligazón de los tejidos, sin tamaño del ejemplar. La variación del contenido aparecer cambios en la estructura física, graso de una especie a otra, o en individuos de la resultando una pulpa de enlaces más fuertes. Por misma especie, se puede explicar con base en las lo general, el resto de características (color, olor razones discutidas por Stansby (1968), sabor) fue idóneo para lograr aceptabilidad de los Ramachadran y Gopakumar (1981): los ejemplares productos elaborados a partir de esta pulpa. grandes poseen alta cantidad de grasa, lo cual infiere suponer que en determinado momento los Análisis Bromatológico Parcial animales ya no utilizan el alimento para formar tejidos y en otras funciones, sino que lo almacenan El nivel de humedad fue igual a 77.50 g/100g tanto en forma de lípidos importantes para el desarrollo en la pulpa como en la pasta base, similar al de su madurez sexual. Posiblemente esta determinado por Contreras, A y Villazón, E (2001) y suposición se encuentra sustentada por el escaso a las reportadas por FAO (Bello, R y Gil, W., 1992). lote de ejemplares grasos observado en la Asimismo, este nivel de humedad es comparable al investigación, que empleó preferentemente de otras especies de agua dulce: entre 72.40 especimenes de tallas pequeñas. g/100g y 80.50 g/100g, encontrándose la mayoría entre 78.00 g/100g y 79.00 g/100g (Thurston y col, La acumulación de grasas en el músculo de 1959; Kinsella y col., 1977: González, 1980; cachama negra podría ser un factor negativo en su Torrealba, 1980) (Tabla 6). aprovechamiento tecnológico, sobre todo, durante el almacenaje en frío en donde ocurren procesos Los contenidos de proteínas en pulpa y pasta base de oxidación que conducen a fenómenos fueron 21.40 g/100g y 21.80 g/100g, deletéreos perjudiciales: rancidez, cambios de respectivamente, mayores al determinado por coloración en la carne, olores objetables y Contreras, A y Villazón, E. (2001): 17.5 g/100g; y a aparición de compuestos tóxicos para la salud de los consumidores, factores que limitan su Volumen I – Número I, Diciembre - Año 2008 ISSN: 2027-162X 118
  • 10.
    Revista RE´TAKVN Facultadde Ingeniería - Universidad del Magdalena comercialización. Esta situación direccionó a pulpa, utilizando ejemplares con peso promedio de utilizar ejemplares de cachama negra con masa 1.68 Kg, corporal entre 400 y 1500 g. Según Miyauchi y Steinberg (1970), es posible El contenido de cenizas fue igual a 0.91g/100g en incrementar la cantidad de carne proveniente de pulpa y pasta base y 3.12 g/100g en pasta base, determinada especie pesquera si los subproductos debido quizá a la adición de sal que concentra de la primera etapa del despulpado se pasan de iones sodio y cloruros. Kinsella y col. (1977) nuevo por la máquina, originándose entre 5.00 establecieron en especies dulceacuícolas niveles Kg/100Kg y 30.00 Kg/100 Kg adicional de carne, de cenizas entre 1.00 g/100g y 1.30 g/100g. En 21 alternativa empleada en la presente investigación y especies ícticas continentales, Thurston y col. que originó un incremento de masa del mismo (1959) determinaron contenidos de cenizas entre orden al establecido por Rodríguez (1985) en 0.90 g/100g y 1.30 g/100g. Bello, R. y Gil, W. cunaro (Rhomboplites aurorurubens) (38.60 (1992), reportaron para el músculo de cachama Kg/100Kg). negra niveles de cenizas entre 1.03 g/100g y 1.25 g/100g. Con respecto a los productos terminados: el mayor rendimiento de masa se registró durante la En la pulpa el pH fue igual a 6.60 y 6.30 en la pasta fabricación de al Chorizo (90.50 g/100g), y el base indicativo, de su buen estado porque Connell menor en la de Butifarra (87.30 g/100g), medido (1978) estableció que en pH cercanos a 6.50 el éste entre el homogenizado y el empacado. A partir pescado se encuentra sano, hallazgo también del homogenizado ocurrió incremento del volumen corroborado por Premoli (1986) quien registró pH másico por encima del 100%, explicable por la igual a 6.40 en pescado con alto grado de adición de los ingredientes formulados. frescura. ANÁLISIS EN LOS PRODUCTOS Análisis Microbiológicos TERMINADOS Las pruebas microbiológicas de la pulpa se Organolépticos – Bromatológicos Parcial llevaron a cabo de acuerdo a las Normas ICONTEC 1325 para Productos Cárnicos No Los análisis se efectuaron tomando muestras al Enlatados (Tabla7), en las cuales ocurrió la azar de cada uno de los productos elaborados ausencia absoluta de microorganismos patógenos (Hamburguesa, Butifarra y Chorizo), juzgando para los consumidores, específicamente de condiciones de textura, olor, color y sabor. Cada Coliformes Totales y Fecales (UFC/g), Recuento producto se evaluó en dos preparados culinarios: Total de Aerobios Mesófilos, Staphylococcus, cocido y asado, obteniendo un puntaje respectivo Salmonella y Vibrio (UFC/g). de 4.5 de calificación (“Muy bueno”). Rendimiento Humedad El rendimiento de masa desde pescado entero Las humedades variaron así: Hamburguesa reportó hasta pulpa fue igual a 67.20 g/100g; Butifarra, 74.00 g/100g y Chorizo, 48.00 Kg/100Kg y 47.70 Kg/100Kg; desde pescado 67.70 g/100g. Estos niveles de humedad en los entero hasta pasta. Bello, R. y Gil, W. (FAO; 1992), productos indican gran actividad de agua en ellos establecieron un rendimiento del 36.70 Kg/100Kg y, por ende, mayor posibilidad de desarrollo (con base en el peso total del pescado). Sin microbiano. Al relacionar el contenido de humedad embargo, Miyauchi y Steinberg (1970), informaron de las semiconservas con los de la materia prima y que el rendimiento de carne deshuesada en la pasta base, se nota disminución en las primeras, diferentes especies de pescados oscila entre 30.00 pérdida de agua proporcional a la temperatura y Kg/100Kg y 60.00 Kg/100Kg, resultados tiempo del proceso. No olvidando que el contenido ampliamente relacionados con la anatomía de las de agua en un alimento también depende de especies: las cabezas grandes y gran masa factores como humedad relativa ambiental (de visceral proporcionaron bajos rendimientos de acuerdo a la época del año) y almacenamiento. Volumen I – Número I, Diciembre - Año 2008 ISSN: 2027-162X 119
  • 11.
    Revista RE´TAKVN Facultadde Ingeniería - Universidad del Magdalena Según el INSTITUTO COLOMBIANO DE respectivamente) son del mismo orden al de los BIENESTAR FAMILIAR (ICBF, 2000), los niveles alimentos análogos elaborados con carne de res de humedades en Hamburguesa, Butifarra y (ICBF; 2000): entre 1.00 g/100g y 3.20 g/100g y a Chorizo tradicionales (formulados con carne de los productos alimenticios como carne de res: 3.60 res) son 65.50, 70.20 y 51.50 g/100g, g/100g; leche, 2.00 g/100g; banano, 3.50 g/100g; respectivamente; muy cercanos a los encontrados papa, 4.00 g/100g, entre otros (Pomares, J.1998). en el presente estudio (Tabla 6) El nivel de cenizas fue casi el doble en Butifarra (6.10 g/100g), explicable por el hecho de que su Proteínas formulación contiene “Maggi” (resaltador de sabor constituido por sal de mesa y glutamato Los contenidos de proteínas fueron: 13.80 g/100g monosódico). Además, se agregó mayor nivel de en Hamburguesa; 18.20 g/100g en Butifarra y “Condimento EF Hamburguesa (compuesto por 20.70 g/100g en Chorizo. El menor nivel de seis sales curantes: nitritos, nitrato de sodio y sal) y proteínas en Hamburguesa, puede ser explicado cloruro de sodio, debiéndose tener también en por el hecho de que su formulación incluye alta cuenta ciertos minerales presentes en la pimienta porcentualidad de harina (migas de pan), que picante. incrementa la presencia de carbohidratos, disminuyendo así la cantidad final de proteínas. Análisis Microbiológicos Grasa Los resultados microbiológicos (Tabla 7) constataron que en las semiconservas pesqueras Es importante destacar que los productos no existe la presencia de microorganismos pesqueros formulados en esta investigación patógenos para el hombre, en conformidad con las muestran perfil muy bajo de grasas: Hamburguesa, Normas ICONTEC 1325 (Productos Cárnicos no 37.0 g/100g; Butifarra, 1.50 g/100g y Chorizo. 2.90 Enlatados), lo cual tiene su explicación en que la g/100g, en comparación a los tradicionales cachama se cultiva con cuidado especial en fabricados con carne: 9.60 g/100g, 12.90 g/100g y estanques bajo un ambiente hídrico de buena 20.60 g/100g (ICBF, 2000). Explicable esta calidad sanitaria, creciendo peces higiénicamente comparación con base en el contenido de grasa en sanos, bien presentados. Además, adecuado el músculo de res (entre 26.00 g/100g y 38.00 manejo en manipulación y transporte; g/100g) y en el de cachama negra (0.40 g/100g). almacenamiento bajo apropiado congelación; estricta desinfección de equipos, utensilios y Minerales operarios antes de la fase de procesamiento; es decir, en cada instante se aplicaron Los contenidos de cenizas en Chorizo y convenientemente las “Buenas Prácticas de Hamburguesa (3.50 y 3.20 g/100g, Manufactura” (MPM). TABLA 6. ANÁLISIS BROMATOLÓGICO PARCIAL DE PULPA, PASTA BASE Y SEMICONSERVAS ELABORADAS CON CACHAMA NEGRA (Colossoma macropomum) PRODUCTO CONTENIDO Pasta Pulpa Butifarra Chorizo Hamburguesa Base Humedad (g/100 g) 77.50 77.50 74.00 67.70 67.20 Proteína (g/100 g) 21.40 21.80 18.20 20.70 13.80 Grasa (g/100 g) 0.40 0.50 1.50 2.90 3.70 Cenizas (g/100 g) 0.91 3.12 6.10 3.50 3.20 Carbohidratos (g/100 g) - - 0.20 5.20 12.10 pH 6.60 6.30 - - - Volumen I – Número I, Diciembre - Año 2008 ISSN: 2027-162X 120
  • 12.
    Revista RE´TAKVN Facultadde Ingeniería - Universidad del Magdalena TABLA 7. RESULTADOS MICROBIOLÓGICOS EN PULPA Y SEMICONSERVAS DE CACHAMA NEGRA (Colossoma macropomum) PRODUCTO CONTENIDO Pasta Pulpa Butifarra Chorizo Hamburguesa Base Coliformes ND* ND ND ND ND totales, UFC/g Coliformes ND ND ND ND ND fecales, UFC/g Aerobios mesófilos, ND ND ND ND ND UFC/g Staphylococcus, UFC/g ND ND ND ND ND Salmonella, UFC/g ND ND ND ND ND Vibrio, UFC/g * N D: no detectable. COSTOS PRELIMINARES El empleó de fundas Alifan sintéticas fue factor que Costos fijos y variables fueron considerados para la influyó en el hecho de que las Hamburguesas determinación de los costos de producción dentro lucieran mayor PVP. Estas fundas tienen un precio de las variables se estimó el valor de compra de la comercial mucho mayor que las naturales, materia prima (8001,67 $/Kg). Con respecto a la utilizadas en la elaboración de Chorizos y mano de obra, se estableció una producción de 50 Butifarras. Los altos costos de los productos Kg/día. Dentro de este ítem también se tuvieron en propuestos con relación a los fabricados en la cuenta precios de fundas (sintética y natural), empresa CUNIT (a base de carne de res) pueden ingredientes y empaques. La presentación final de deberse a los altos precios de la cachama negra y los productos se basó en porciones de 250 g en las propias condiciones de proceso bolsas de polietileno de “Alta Densidad” (PE), con (experimentales y poca cantidad de materia prima). aplicación de vacío. En los costos fijos se Es recomendable, entonces, emplear menor consideraron los conceptos de depreciación y cantidad de carne de cachama negra buscando mantenimiento de equipos, servicios públicos y gas con ello reducir los costos de elaboración y, por propano (Tabla 8). consiguiente, los PVP. Tabla 8. Estudio comparativo de Precios de Venta al Público (PVP) entre semiconservas de cachama negra de macabí y de una marca comercial Valor Precio Estimado al Público ($/Kg) (25% de Utilidad) Cachama Macabí CUNIT Producto Hamburguesas 17.310 12809 12560 Butifarra 19730 14308 15300 Chorizo 19351 15062 12160 CONCLUSIONES punto se pueden disminuir los costos de Desde el punto de vista tecnológico, la cachama producción establecidos. negra (Colossoma macropomum) constituye buena alternativa para elaborar embutidos. Sin embargo, El despulpado mecánico del pescado entero sin su alto precio obliga a estudiar o analizar hasta qué cabeza presentó el mayor rendimiento de masa: entre 30.00 Kg/100Kg y 60.00 Kg/100kg). Volumen I – Número I, Diciembre - Año 2008 ISSN: 2027-162X 121
  • 13.
    Revista RE´TAKVN Facultadde Ingeniería - Universidad del Magdalena 12385.25 $/Kg, respectivamente, mayores a los Fue necesario adicionar hasta 2.00% de sal con la productos similares fabricados con carne (res y finalidad de mejorar características físicas, cerdo), resultado que puede estar explicado por el especialmente fuerza de gel y elasticidad. alto precio de la materia prima y a las condiciones experimentales de procesamiento. El rendimiento a partir de pescado entero hasta pulpa fue igual a 48.0 Kg/100Kg, y hasta pasta Los PVP de las semiconservas fabricadas con base, 47.70 Kg/100 Kg. El mayor rendimiento se pulpa de cachama negra superan determinó en el Chorizo (90.50 Kg/100Kg) desde significativamente a los de macabí y los de marca homogenizado hasta producto empacado, seguido comercial CUNIT. por la Hamburguesa (88.50 Kg/100Kg). BIBLIOGRAFÍA Los análisis de color, sabor y olor en la pulpa recibieron buenapuntuación por parte de los ALARCÓN, I. y ZAMORA, M. 1996. Diseño, panelistas; lo que no ocurrió durante la evaluación montaje y evaluación de una línea de de la textura. hamburguesa de pescado. Tesis de Grado de Ingeniería, Universidad del Magdalena, Santa Los niveles de proteínas en las semiconservas Marta, 70 p. pesqueras (Hamburguesa, Butifarra y Chorizo) fueron, respectivamente, 13.80 g/100g, 18.50 BASAURE, L. y CABELLO, R. 1973. Elaboración g/100g y 21.80 g/100g. de embutidos a base de pulpa de pescado. Instituto de Fomento Pesquero, Santiago de Chile. Circular Los valores porcentuales de grasa en 84: 1 - 4. Hamburguesa, Butifarra y Chorizo fueron de 3.70, 1.50 y 2.90 g/100g, respectivamente, que, BELLO, R. y GIL, W. 1992. Evaluación y comparados con otros productos comerciales aprovechamiento de la cachama negra cultivada similares, son de bajo contenido graso en como fuente de alimento. Programa Cooperativo concordancia con las modernas tendencias Gubernamental GCP/RLA/102/ITA. Proyecto alimenticias. AQUILA II - FAO. México, D.F, 91 p. La materia prima y las semiconservas elaboradas BERTULO, V. 1975. Tecnologías de los productos fueron aptas para consumo humano pues no se y sub-productos de los pecados, mariscos y detectó la presencia de microorganismos moluscos. Hemisferio Sur, Buenos Aires, patógenos ni alteradores. Argentina, 538 p. El examen organoléptico en los productos finales alimenticios constató condiciones de textura, color, CARREÑO, O. y CORVACHO, R. 2000. olor y sabor “Muy Bueno”. Formulación y elaboración de chicharrones a partir de seis especies pesqueras. Tesis de Grado, Durante la Prueba Hedónica los panelistas Especialización en Ciencias y Tecnologías de mostraron mayor preferencia por la alternativa Alimentos, Universidad del Magdalena. Santa “Muy agradable”, especialmente durante la Marta, 218 p. degustación de las presentaciones cocidas y asadas. ---------- 1999. Tecnología de procesamiento de productos pesqueros.-Programa de Ingeniería La congelación a -18 ° varió el color, textura y C Pesquera, facultad de Ingeniería, Universidad del elasticidad en Chorizo y Butifarra, resultado que Magdalena, Santa Marta, 55 p. quizás se reflejó en las preferencias de los degustadores. CONTRERAS, A. y VILLAZÓN, E. 2001. Elaboración y evaluación del pescado fresco Los costos de producción de Hamburguesa, salado a partir de bocachico (Prochilodus Butifarra y Chorizo fueron: 11078.96, 12627.29 y recticulatis), tilapia roja (Oreochromis spp) y Volumen I – Número I, Diciembre - Año 2008 ISSN: 2027-162X 122
  • 14.
    Revista RE´TAKVN Facultadde Ingeniería - Universidad del Magdalena cachama negra (Colossoma macropomun). Tesis alimentos. Editorial Acribia, Zaragoza, España, p. de Grado, Universidad del Magdalena; Santa 198-260. Marta, 108 p. PAREJO, I. y PALENCIA, W. 1985.Elaboración y FORERO, H. y GUTIÉRREZ, F. 2002. Especies estabilización de pasta – base para semiconservas hidrobiológicas continentales introducidas y de pescado. Tesis de Grado. Facultad de transplantadas y su distribución en Colombia. Ingeniería, Universidad del Magdalena, Santa Ministerio del Medio Ambiente de Colombia, Marta, p. 6-32. C.V.S.- C.V.C. INPA, Bogotá, D.E., p. 64-135. POMARES, J. 1998. Elaboración de galletas GONZÁLEZ, E. 1980. Estudio de los cambios que horneadas fortificadas con músculo de pescado se producen durante la refrigeración y congelación marginal macabí (Elops saurus) para consumo del coporo del río Orinoco (Prochildus mariae). humano. Tesis de Grado, Facultad de Ingeniería Trabajo Especial de grado, Facultad de Ciencias, Pesquera, Universidad del Magdalena, Santa Universidad Central de Venezuela, Caracas. Marta, p. 1-10. HIRASA, K. y TAKEMASA, M. 2002. Ciencia y POTTER, N. 1973. Las ciencias de los alimentos. Tecnología de las Especias. Editorial Acribia, Editorial Acribia, Zaragoza, España, 749 p. Zaragoza, España, p. 1-19. RADA, L. y SÁNCHEZ, N. 1994.Optimización y HUGHES, C. 1994.Guía de Aditivos. Editorial control de calidad del jamón de pescado en el Acribia, Zaragoza, España. p. 5-22. CPPPT, Tesis de Grado, Ingeniería Pesquera, Universidad del Magdalena, Santa Marta, p. 86-89. INSTITUTO COLOMBIANO DE BIENESTAR FAMILIAR (ICBF). 2000. Tabla de composición de SALFIELD, R. 1997. Prácticas de ciencias y los alimentos colombianos. División de Recursos tecnologías de los alimentos. Acribia, Zaragoza, Materiales y Físicos, Bogotá, D. E, p. 46. España, p. 123-124 ISHIHARA, H. 2000. Producción de pasta de carne STANSBY, M. 1968. Tecnología de los Alimentos de pescado (Kamaboko), Ingeniería Pesquera, Pesqueros. Editorial Acribia, Zaragoza, España, Universidad del Magdalena - JICA, Santa Marta, 443 p. Colombia. UNIVERSIDAD DEL MAGDALENA. 1993. Manual KINSELLA, J, et al. 1977. Fatty acid content and de Prácticas de Laboratorio de Bromatología, composition of fresh-water finfish, J. Am. Oi. Santa Marta, Colombia, 77 p. Chem: Soc. p. 54. VELASQUEZ, C. 2003. La pasta de pescado LOPEZ, B. et al. 1972. Fabricación de productos (surimi) como alternativa de transformación de comerciales a partir de especies de pescado de productos pesqueros. IV Seminario de Acuacultura. bajo precio. Madrid (España), Impreso Juvenil. I Congreso Nacional de Investigaciones Acuícola. Facultad de Veterinaria y Zootecnia, Universidad MINISTERIO DE SALUD DE COLOMBIA. 1990. Nacional de Colombia, Bogotá D.E.. Análisis microbiológicos de alimentos. Instituto Nacional de Salud INAS, Bogotá, D.E. WIRTH, F. 1992. Tecnología de los embutidos escaldados. Editorial Acribia, Zaragoza (España). MIYAUCHI, D. y STEIMBERGM, M. 1970. Machine p. 41, 61. separation of edible flesh from fish. Fishery Industrial Research. p. 6-145. MOSSEL, D. y GARCÍA, B. 1981. Microbiología de los animales. Fundamentos ecológicos para garantizar la inocuidad y la calidad de los Volumen I – Número I, Diciembre - Año 2008 ISSN: 2027-162X 123