LABORATORIO DE MECÁNICA DE FLUIDOS
INFORME DE PRACTICA Nº03
ALUMNO: MARIO KEVIN SALAS QUISPE
CÓDIGO: 20111033 HORARIO: 060B
TEMA: Fuerza Hidrostática sobre Superficies Planas, Fuerza sobre una
compuerta con Flujo por debajo de ella y Continuidad de Masa
JEFE DE PRÁCTICA: Anghelo Azabamba
FECHA DE REALIZACIÓN: 26/04/2016
CALIFICACIÓN:
ITEM PUNTOS
PRUEBA DE ENTRADA
TRABAJO Y
PARTICIPACIÓN
INFORME DE
LABORATORIO
NOTA DE
LABORATORIO
FIRMA DEL JEFE DE PRÁCTICA:
1. INTRODUCCIÓN
1.1. Objetivos
Se medirá y observara la fuerza hidrostática aplicada en una compuerta plana, para esto se
experimentara con pesas aplicando conceptos como equilibrio de fuerzas equilibrio de momentos.
1.2. Aplicaciones prácticas en la ingeniería
La fuerza hidrostática sobre superficies planas es aplicada de manera muy común en la ingeniería,
particularmente a ingeniería civil usa en gran medida:
Presas: Para el diseño de presas se debe calcular la fuerza que será ejercida por el agua cuando
esté en funcionamiento, el diseño debe contemplar parámetros que serán establecidos por este
cálculo de fuerzas.
Se denomina presa a una barrera fabricada con piedra, hormigón o materiales sueltos, que se
construye habitualmente en una cerrada o desfiladero sobre un río o arroyo. Tiene la finalidad de
embalsar el agua en el cauce fluvial para su posterior aprovechamiento en abastecimiento o
regadío, para elevar su nivel con el objetivo de derivarla a canalizaciones de riego, para
laminación de avenidas (evitar inundaciones aguas abajo de la presa) o para la producción de
energía mecánica al transformar la energía potencial del almacenamiento en energía cinética y
ésta nuevamente en mecánica al accionar la fuerza del agua un elemento móvil (IECA, 2013).[1]
Figura 1. Presa de Nurek.
2. METODOLOGÍA Y DATOS
2.1. Fundamento teórico
Para superficies parcialmente sumergidas:
𝐹 =
1
2
𝛾ℎ2
𝐵 𝑦 =
2ℎ
3
Para superficies totalmente sumergidas:
𝐹 =
1
2
𝛾(ℎ2
2
− ℎ1
2
)𝐵 𝑦 =
2ℎ2
2
3(ℎ2+ℎ1)
 Momento externo = Contrapeso x Brazo de palanca (BP) del Contrapeso
 Fuerza externa = Momento externo / BP de Fuerza hidrostática
 Fuerza hidrostática = Peso específico del agua x Vol. Prisma de presiones
 Momento hidrostático = Fuerza hidrostática x BP de Fuerza hidrostática
2.2. Procedimiento
Mediante un dispositivo mostrado en la figura 2 se calculara la fuerza del agua sobre la superficie
con un juego de pesas y el momento que generen. Primero se nivelara el contra peso y el agua en
el recipiente, después se colocaran varias pesas hasta un punto de equilibrio, finalmente se tomara
la altura de agua y las pesas que se usaron. Se repitió 3 veces el experimento con diferentes pesos.
Figura 2. Dispositivo usado en el experimento.
2.3. Descripción de los datos
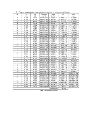
Los datos fueron:
 Radio interior del cuadrante: 10 cm
 Radio exterior del cuadrante: 20 cm
 Ancho del cuadrante cilíndrico : 7.5 cm
Contrapeso (gr) Altura del agua (cm)
1 100 5.8
2 150 6.8
3 370 11.15
Tabla 1. Datos tomados en la experiencia.
3. RESULTADOS Y DISCUSIÓN DE RESULTADOS
3.1. Resultados
Para tener los resultados usaremos el siguiente proceso:
a) Primero calcularemos la fuerza ejercida por el agua y su punto de aplicación:
𝐹 =
1
2
𝛾ℎ2 𝐵 → 𝐹 =
1
2
(1)5.82 ∗ 7.5 = 126.15 𝑔 ∗ 𝑐𝑚
𝑦 =
2ℎ
3
→𝑦 =
2∗5.8
3
= 3.87 𝑐𝑚→ 𝐵𝑟𝑎𝑧𝑜 𝑝𝑎𝑙𝑎𝑛𝑐𝑎 = 𝑅𝑎𝑑𝑖𝑜 𝑒𝑥𝑡𝑒𝑟𝑖𝑜𝑟 − (ℎ − 𝑦)
𝐵𝑟𝑎𝑧𝑜 𝑝𝑎𝑙𝑎𝑛𝑐𝑎 ℎ𝑖𝑑𝑟𝑜𝑒𝑠𝑡𝑎𝑡𝑖𝑐𝑎 = 20 − 1.93 = 18.07 𝑐𝑚
b) Hallare el momento externo, la fuerza externa , fuerza hidrostática y el momento
hidrostático :
Momento externo = Contrapeso x Brazo de palanca (BP) del Contrapeso
𝑀𝑜𝑚𝑒𝑛𝑡𝑜 𝑒𝑥𝑡𝑒𝑟𝑛𝑜 = 100 ∗ 20 = 2000 𝑔 ∗ 𝑐𝑚
Fuerza externa = Momento externo / BP de Fuerza hidrostática
𝐹𝑢𝑒𝑟𝑧𝑎 𝑒𝑥𝑡𝑒𝑟𝑛𝑎 =
2000
18.07
= 110.68 𝑔
Fuerza hidrostática = Peso específico del agua x Vol. Prisma de presiones
𝐹 =
1
2
𝛾ℎ2 𝐵 → 𝐹 =
1
2
(1)5.82 ∗ 7.5 = 126.15 𝑔 ∗ 𝑐𝑚
Momento hidrostático = Fuerza hidrostática x BP de Fuerza hidrostática
𝑀𝑜𝑚𝑒𝑛𝑡𝑜 ℎ𝑖𝑑𝑟𝑜𝑠𝑡𝑎𝑡𝑖𝑐𝑜 = 126.15 ∗ 18.07 = 2279.53 𝑔 ∗ 𝑐𝑚
c) Para los siguientes dos experimentos repetiremos el mismo procedimiento.
Contrapeso
(g)
Altura de
agua (cm)
Momento
externo (g*cm)
Fuerza
externa (g)
Fuerza
hidrostática
(g)
Momento
hidrostático
(g*cm)
100 5.8 2000 110.68 126.15 2279.53
150 6.8 3000 170.16 173.40 3057.04
370 11.15 7400 454.45 466.21 7591.45
Tabla 2. Resultados de cálculos.
3.2. Discusión de resultados
Los resultados guardan cierta concordancia entre los diferentes experimentos, se pudo generar
un margen de error a la hora de medir la altura del agua debido a que se usa una regla con una
medida máxima de 0.1 cm.
4. CONCLUSIONES Y RECOMENDACIONES
Se concluye que la fuerza aplicada a una compuerta viene dada por la altura o profundidad a la
que se encuentre sumergido la superficie, para este experimento en particular la fuerzas aplicadas
por las pesas y el agua deberían estar en equilibrio.
El punto de ubicación de la fuerza hidrostática al estar en función de la altura hace que el momento
hidrostático sea muy sensible a la altura, un pequeño error en la medición de la altura y el
momento tendrá variaciones considerables.
Se recomienda lubricar el centro de rotación y su soporte para evitar que se genere algún tipo de
error a la hora de buscar un punto de equilibrio.
5. BIBLIOGRAFÍA
IECA. (2013). Guías técnicas, Presas de hotmigon". Madrid España.
M. Llamas, Á. (1948). Desagues de Fondo. Revista de Obras Publicas.
1. INTRODUCCIÓN
1.1. Objetivos
Se medirá en el canal de corriente de pendiente horizontal la fuerza que es ejercida sobre una
compuerta con un flujo por debajo; se observara la distribución de presiones en la compuerta. En
la experiencia virtual se observara la fuerza generada por un líquido más viscoso que el agua y
por fluidos no-newtonianos.
1.2. Aplicaciones prácticas en la ingeniería
En la ingeniería la aplicación de la fuerza con flujo abajo tiene varias aplicaciones:
Embalses con desagüe de fondo: Para los embalses existe un gran problema que afecta su
productividad y puede inutilizar el mismo, la sedimentación en el fondo provoca paulatina una
colmatación que muchas veces puede ser muy grave, el uso de desagües de fondo hacen que los
sedimentos sean expulsados por medio de un flujo que se genere bajo la compuerta.
Los desagües de fondo se construyen con tres fines principales: primero, en los pantanos para
riegos, con el fin de poder utilizar la total capacidad del vaso; segundo para la evacuación de
fangos y depósitos de arrastre manteniendo la capacidad del embalse; tercero para poder dejar
terreno en seco con el fin de realizar obras, reconocimientos, impermeabilizaciones y, en caso de
guerra u otros hechos extraordinarios realizar un vaciado completo (M. Llamas, 1948)[1]
Figura 1. Desagüe de fondo en funcionamiento.
2. METODOLOGÍA Y DATOS
2.1. Fundamento teórico
La fuerza aplicada sobre la compuerta: La variación:
𝐹 = 𝜌( 𝑦1 − 𝑦2) [
𝑔∗𝐵
2
( 𝑦1 + 𝑦2) −
𝑄2
𝐵𝑦1 𝑦2
] ∆ℎ𝑖 =
ℎ 𝑖+1−ℎ 𝑖−1
2
El caudal: Presión al nivel de perforación:
𝑄 = 𝐵 ∗ 𝑎 ∗ 𝐶 𝑑√2𝑔𝑦1 𝑝𝑖 = 𝛾(𝑚𝑖 − ℎ𝑖 − 𝑎 − 𝑛)
Coeficiente de descarga: Otra fórmula:
𝐶 𝑑 =
𝐶𝑐
√1+𝐶𝑐
𝑎
𝑦1
∑ 𝑝𝑖 ∗ 𝐵 ∗ ∆ℎ𝑖 = 𝐹𝑢𝑒𝑟𝑧𝑎 𝑡𝑜𝑡𝑎𝑙𝑖
1
2.2. Procedimiento
No hubo manipulación de los aparatos en este laboratorio, pero si se utilizaron; la compuerta se
encontraba colocada en el canal de corriente de pendiente horizontal, se abrió el flujo de agua y
se comenzó a observar el flujo por debajo de la compuerta, se midió la altura del agua y
posteriormente haciendo uso de los sensores de presión se tomó la fuerza ejercida sobre la
compuerta en diversos puntos a alturas diferentes.
Figura 2. Compuerta en el canal de flujo.
2.3. Descripción de los datos
Los datos fueron:
 Abertura : 4.7 cm
 Caudal real: 0.04 𝑚3
/𝑠
 Distancia al orificio: 1, 3, 7, 13, 19, 25, 31 (cm) para diferentes partes de la compuerta.
 𝑦1 : 37.59, 37.59 (cm), para cada medición respectivamente.
 𝑦2: 3.1, 2.75 (cm), para cada medición respectivamente.
3. RESULTADOS Y DISCUSIÓN DE RESULTADOS
3.1. Resultados
Para calcular la 𝐹1usamos:
a) Calcularemos la presión al nivel de perforación :
𝑝𝑖 = 𝛾( 𝑚𝑖 − ℎ𝑖 − 𝑎 − 𝑛) →𝑝𝑖 =
998.29
1000000
(44.8 − 1 − 4.7 − 10) = 0.0291
𝑘𝑔
𝑐𝑚2
b) Hallare ∆ℎ𝑖:
∆ℎ𝑖 =
ℎ𝑖+1−ℎ𝑖−1
2
→ ∆ℎ𝑖 =
3 − 1
2
= 1
c) Hallare el momento externo, la fuerza externa , fuerza hidrostática y el momento
hidrostático :
𝐹𝑢𝑒𝑟𝑧𝑎 = 𝑝𝑖
∗ 𝐵 ∗ ∆ℎ𝑖 → 𝐹𝑢𝑒𝑟𝑧𝑎 = 0.0341 ∗ 40 ∗ 1 = 1.162𝐾𝑔
d) Para los siguientes dos experimentos repetiremos el mismo procedimiento.
N° hi(cm) mi (cm) pi (kg/cm2) Δhi(cm) pi*B* Δhi(kg)
1 1 44.80 0.0291 1 1.162
2 3 49.15 0.0314 3 3.768
3 7 50.90 0.0292 5 5.830
4 13 51.60 0.0239 6 5.726
5 19 51.70 0.0180 6 4.313
6 25 51.70 0.0120 6 2.875
7 31 51.70 0.0060 10.6 2.540
F1= 26.213
Tabla 1. Resultados de cálculos de nuestro grupo.
N° hi(cm) mi (cm) pi (kg/cm2) Δhi(cm) pi*B* Δhi(kg)
1 1 50.00 0.03424 1 1.370
2 3 55.50 0.03773 3 4.528
3 7 57.70 0.03593 5 7.188
4 13 58.40 0.03065 6 7.355
5 19 58.40 0.02466 6 5.918
6 25 58.40 0.01867 6 4.480
7 31 58.60 0.01288 10.6 5.460
F1= 36.299
Tabla 1. Resultados de cálculos del otro grupo
Grafico 1. Distribución de presiones de la tabla 1
0
0.005
0.01
0.015
0.02
0.025
0.03
0.035
0 5 10 15 20 25 30 35
Grafico 1
Grafico 2. Distribución de presiones de la tabla 2
Para calcular la F2 y F3 usamos:
a) Calculare el Cc y el Cd :
𝐶𝑐 =
𝑦2
𝑎
→ 𝐶𝑐 =
3.72
4.7
= 0.791 , 𝐶 𝑑 =
𝐶𝑐
√1+𝐶𝑐
𝑎
𝑦1
→ 𝐶 𝑑 =
0.791
√1+0.791∗
4.7
41.2
= 0.758
b) Hallare ∆ℎ𝑖:
𝐹2 = 𝜌( 𝑦1 − 𝑦2)[
𝑔 ∗ 𝐵
2
( 𝑦1 + 𝑦2) −
𝑄2
𝐵𝑦1 𝑦2
]
𝐹2 = 998.29(41.2 − 3.72) [
9.81∗0.4
2
(41.2 + 3.72) −
0.042
0.4∗41.2∗3.72
] ∗ 100
𝐹2 = 23.660 𝑘𝑔
c) Calculare el caudal teórico :
𝑄 = 𝐵 ∗ 𝑎 ∗ 𝐶 𝑑√2𝑔𝑦1 → 𝑄 = 0.4 ∗ 4.7 ∗ 0.758 ∗ √2 ∗ 9.81 ∗ 41.2 = 0.0405
d) Finalmente calculare F3:
𝐹3 = 𝜌( 𝑦1 − 𝑦2)[
𝑔 ∗ 𝐵
2
( 𝑦1 + 𝑦2) −
𝑄2
𝐵𝑦1 𝑦2
]
𝐹3 = 998.29(41.2 − 3.72) [
9.81∗0.4
2
(41.2 + 3.72) −
0.04052
0.4∗41.2∗3.72
] ∗ 100
𝐹3 = 23.402 𝑘𝑔
Tabla 3. Resultados de F2y F3
N° a (cm) y1(cm) y2(cm) Cc Cd Q real
(m3/s)
F2
(Kg)
Q teórico
(m3/s)
F3
(Kg)
1 4.7 41.2 3.72 0.791 0.723 0.0400 23.660 0.0405 23.402
0
0.005
0.01
0.015
0.02
0.025
0.03
0.035
0.04
0 5 10 15 20 25 30 35
Grafico 2
3.2. Parte virtual del laboratorio
Para la parte virtual nos dan la siguiente tabla con las propiedades de ciertos fluidos:
Escenario Fluido Temperatura
(C°)
Densidad
(kg/m3)
V
(m2/s)
L3E6.1 Agua 5 1000 1.52 E-0.7
L3E6.2 Glicerina 30 1255 5.5 E-0.4
L3E6.3 Aceite de soya 20 918.5 6.71 E-0.5
L3E6.4 Diésel 10 837.6 5.39 E-0.6
L3E6.5 relave ------ 1130.7 Tailings-1 (*)
Tabla 4. Fluidos de Estudio en la Experiencia de Laboratorio Virtual 6
De la tabla 4 usaremos los datos para la glicerina y el relave que se encuentran en la plataforma
virtual PAIDEIA y procederemos a mostrar la distribución de presiones:
Grafico 3. Distribución de presiones del aceite de soya
Grafico 4. Distribución de presiones del relave
-1.00E-03
0.00E+00
1.00E-03
2.00E-03
3.00E-03
4.00E-03
5.00E-03
6.00E-03
7.00E-03
0.00E+00 1.00E-01 2.00E-01 3.00E-01 4.00E-01 5.00E-01
Distribucion de presiones del relave
-5.00E-04
0.00E+00
5.00E-04
1.00E-03
1.50E-03
2.00E-03
2.50E-03
3.00E-03
3.50E-03
4.00E-03
0.00E+00 1.00E-01 2.00E-01 3.00E-01 4.00E-01 5.00E-01
Distribucion de presiones del aceite
de soya
Grafico 5. Distribución de presiones del agua
3.3. Discusión de resultados
Las fuerzas F1, F2 y F3 son similares esto muestra que los cálculos efectuados son correctos, la
otra pequeña diferencia viene dada por errores que son de medición y por la pequeña cantidad de
agua que se podía colar en ambas partes laterales de la compuerta.
La fuerza F1 del otro grupo no puedo corroborarla debido a que no se brindó datos de y1 y y2.
En la experiencia virtual:
Los fluidos no newtonianos generan presiones en la parte inferior de la compuerta de una manera
diferente a un líquido que si es newtoniano. La diferencia de un líquido más viscoso que el agua
también se ve en la parte inferior de la compuerta, en un líquido más viscoso la presión en la parte
inferior de la compuerta es menor que con el agua.
La densidad es más predominante a la hora de definir la distribución de presiones, pues en el
cálculo participa mucho más y su valor es muy superior al de la viscosidad.
4. CONCLUSIONES Y RECOMENDACIONES
Se logró calcular la fuerza aplicada sobre la compuerta en varios puntos que se encuentran a
diferentes alturas, logramos corroborar las formulas con los datos experimentales. Vimos también
como es el comportamiento de fluido no newtoniano y un líquido más denso que el agua, se
observa cierta similitud en los gráficos en las partes superiores de la compuerta pero en la parte
inferior se observa la diferencia de fuerza que fue ocasionado por cada fluido analizado.
Recomiendo que el trabajo de los grupos en este experimento sea por separado debido a la
dificultad de apreciar con mayor detalle el trabajo en el laboratorio.
5. BIBLIOGRAFÍA
M. Llamas, Á. (1948). Desagues de Fondo. Revista de Obras Publicas.[1]
-5.00E-04
0.00E+00
5.00E-04
1.00E-03
1.50E-03
2.00E-03
2.50E-03
3.00E-03
3.50E-03
4.00E-03
0.00E+00 1.00E-01 2.00E-01 3.00E-01 4.00E-01 5.00E-01
Distribucion de presiones del agua
1. INTRODUCCIÓN
1.1. Objetivos
Los objetivos son observar y entender la ley de la conservación de masa y observar la importancia
de la geometría del reservorio a la hora de considerar el almacenamiento y vaciado de un líquido.
1.2. Aplicaciones prácticas en la ingeniería
La continuidad de masa es usada en reservorios, en canales en tanques caseros de agua y muchos
otros elementos que almacenan agua o algún fluido para uso humano o industrial:
Reservorios de agua: A medida que la población en las urbes va creciendo la necesidad de agua
para consumo humano y actividades agrícolas se vuelve de gran importancia, el almacenamiento
es por ende se vuelve una parte muy necesaria para lograr cubrir todos los requerimientos de agua.
Las instalaciones de almacenamiento de agua tratada desempeñan una función vital en el
abastecimiento de agua segura, adecuada y confiable. Las escuelas, hospitales, asilos, fábricas y
casas particulares dependen de un abastecimiento constante y confiable de agua segura (Centro
Panamericano de Ingeniería Sanitaria y Ciencias del Ambiente, 2001)[1]
Figura 1. Reservorio San José,.
2. METODOLOGÍA Y DATOS
2.1. Fundamento teórico
Ecuación de continuidad: Coeficiente de descarga:
𝑄𝑠𝑎𝑙𝑖𝑑𝑎 = 𝐶 𝑑 ∗ 𝐴√2𝑔(ℎ + 𝑐) 𝐶 𝑑 =
𝑄 𝑟𝑒𝑎𝑙
𝑄𝑡𝑒𝑜𝑟𝑖𝑐𝑜
Volumen en función de la altura:
𝑉 =
4ℎ3
75
+
2ℎ2
25
+
ℎ
25
Tiempo:
2.2. Procedimiento
Para esta experiencia se usó un recipiente con forma de tronco piramidal, el cual estaba limpio a
la hora de usarlo, lo llenamos de agua hasta unos 40 litros y luego con la ayuda de una manguera
abrimos la llave, con el medidor tomaremos el tiempo que demora en vaciarse cada litro, al
finalizar tomamos los datos y los intercambiamos con los del grupo contrario que hizo el mismo
experimento pero con la excepción que no usaron la manguera.
Figura 2. Recipiente de agua que se usó en la experiencia.
2.3. Descripción de los datos
Los tiempos, volúmenes y alturas tomados fueron:
V (m^3) t real (s) h (m)
0 0.040 0.000 0.456
1 0.039 4.720 0.450
2 0.038 4.496 0.443
3 0.037 5.034 0.436
4 0.036 5.214 0.428
5 0.035 5.326 0.421
6 0.034 4.550 0.414
7 0.033 5.040 0.406
8 0.032 4.260 0.398
9 0.031 5.660 0.391
10 0.030 5.460 0.383
11 0.029 5.520 0.374
12 0.028 5.054 0.366
Tabla 1. Datos tomados en la experiencia.
3. RESULTADOS Y DISCUSIÓN DE RESULTADOS
3.1. Resultados
Para tener los resultados usaremos el siguiente proceso:
a) Primero calcularemos la altura:
𝑉 =
4ℎ3
75
+
2ℎ2
25
+
ℎ
25
→ 0.04 =
4ℎ3
75
+
2ℎ2
25
+
ℎ
25
→ ℎ = 0.456
b) Luego hallare Cd*A :
𝑄𝑠𝑎𝑙𝑖𝑑𝑎 = 𝐶 𝑑 ∗ 𝐴√2𝑔(ℎ + 𝑐) → 0.2212 = 𝐶 𝑑 ∗ 𝐴√2 ∗ 9.81(0.456 + 0.346)
𝐶 𝑑 ∗ 𝐴 = 0.00005362
c) Ahora calcularemos el tiempo:
𝑡 𝑡𝑒𝑜𝑟𝑖𝑐𝑜 = 6.05758 𝑠
d) Calculamos el Qteorico:
𝑄𝑡𝑒𝑜𝑟𝑖𝑐𝑜 =
𝑉1−𝑉𝑣
𝑡 𝑡𝑒𝑜𝑟𝑖𝑐𝑜
→ 𝑄𝑡𝑒𝑜𝑟𝑖𝑐𝑜 =
0.04−0.039
6.05758
= 0.00016508
e) Calculamos el Qreal: 𝑄𝑟𝑒𝑎𝑙 =
𝑉1−𝑉𝑣
𝑡 𝑟𝑒𝑎𝑙
= 0.00021186
13 0.027 4.876 0.358
14 0.026 6.380 0.349
15 0.025 5.350 0.340
16 0.024 5.850 0.332
17 0.023 5.100 0.322
18 0.022 5.570 0.313
19 0.021 5.640 0.304
20 0.020 5.760 0.294
21 0.019 5.990 0.284
22 0.018 5.200 0.273
23 0.017 6.450 0.263
24 0.016 6.020 0.252
25 0.015 5.890 0.241
26 0.014 6.160 0.229
27 0.013 6.190 0.217
28 0.012 6.310 0.205
29 0.011 5.250 0.192
30 0.010 6.360 0.179
31 0.009 7.460 0.165
32 0.008 6.870 0.150
33 0.007 6.250 0.135
34 0.006 6.930 0.119
35 0.005 6.810 0.103
36 0.004 7.140 0.085
37 0.003 7.050 0.066
38 0.002 7.200 0.046
f) Para los siguientes dos experimentos repetiremos el mismo procedimiento.
N° h
(m)
treal
(s)
Qteorico
(m3/s)
Qreal
(m3/s)
Cd tteorico
(s)
1 0.456 0.000 0.00016508 0.00021186 1.28338617 6.05758271
2 0.450 4.720 0.00017282 0.00022242 1.28701012 5.78639751
3 0.443 4.496 0.00015390 0.00019865 1.29078567 6.49781507
4 0.436 5.034 0.00014813 0.00019179 1.29472350 6.75068832
5 0.428 5.214 0.00014456 0.00018776 1.29883535 6.91759705
6 0.421 5.326 0.00016866 0.00021978 1.30313417 5.92926049
7 0.414 4.550 0.00015173 0.00019841 1.30763431 6.59047691
8 0.406 5.040 0.00017887 0.00023474 1.31235164 5.59061799
9 0.398 4.260 0.00013412 0.00017668 1.31730385 7.45593979
10 0.391 5.660 0.00013849 0.00018315 1.32251066 7.22090820
11 0.383 5.460 0.00013642 0.00018116 1.32799416 7.33052774
12 0.374 5.520 0.00014835 0.00019786 1.33377916 6.74091988
13 0.366 5.054 0.00015306 0.00020509 1.33989368 6.53332157
14 0.358 4.876 0.00011642 0.00015674 1.34636942 8.58983689
15 0.349 6.380 0.00013812 0.00018692 1.35324247 7.23984722
16 0.340 5.350 0.00012564 0.00017094 1.36055408 7.95924137
17 0.332 5.850 0.00014330 0.00019608 1.36835163 6.97859332
18 0.322 5.100 0.00013041 0.00017953 1.37668986 7.66816254
19 0.313 5.570 0.00012796 0.00017730 1.38563237 7.81496659
20 0.304 5.640 0.00012443 0.00017361 1.39525354 8.03666037
21 0.294 5.760 0.00011877 0.00016694 1.40564092 8.41978914
22 0.284 5.990 0.00013572 0.00019231 1.41689845 7.36787192
23 0.273 5.200 0.00010848 0.00015504 1.42915041 9.21802017
24 0.263 6.450 0.00011515 0.00016611 1.44254693 8.68413249
25 0.252 6.020 0.00011650 0.00016978 1.45727106 8.58332655
26 0.241 5.890 0.00011017 0.00016234 1.47354866 9.07705975
27 0.229 6.160 0.00010830 0.00016155 1.49166187 9.23338700
28 0.217 6.190 0.00010482 0.00015848 1.51196825 9.54051969
29 0.205 6.310 0.00012409 0.00019048 1.53492834 8.05837381
30 0.192 5.250 0.00010072 0.00015723 1.56114650 9.92889172
31 0.179 6.360 0.00008423 0.00013405 1.59143313 11.87209118
32 0.165 7.460 0.00008947 0.00014556 1.62690298 11.17682345
33 0.150 6.870 0.00009586 0.00016000 1.66913648 10.43210302
34 0.135 6.250 0.00008387 0.00014430 1.72045843 11.92277689
35 0.119 6.930 0.00008229 0.00014684 1.78444836 12.15209334
36 0.103 6.810 0.00007502 0.00014006 1.86694960 13.33002014
37 0.085 7.140 0.00007170 0.00014184 1.97827146 13.94681381
38 0.066 7.050 0.00006494 0.00013889 2.13869993 15.39863953
Cd Promedio 1.46596
Tabla 2. Resultados de cálculos.
Grafico 1.
Velocidad vs
el tiempo
teórico
Grafico 2.
Velocidad vs
el tiempo real
Grafico 3.
Comparación
de velocidades
0.000
50.000
100.000
150.000
200.000
250.000
300.000
350.000
0.000 0.005 0.010 0.015 0.020 0.025 0.030 0.035 0.040 0.045
Velocidad vs el tiempo teorico
0.000
50.000
100.000
150.000
200.000
250.000
0.000 0.005 0.010 0.015 0.020 0.025 0.030 0.035 0.040 0.045
Velocidad vs el tiempo real
0.000
50.000
100.000
150.000
200.000
250.000
300.000
350.000
0.000 0.005 0.010 0.015 0.020 0.025 0.030 0.035 0.040 0.045
Comparacion de grafica de velocidad entre el
tiempo teorico y el tiempo real
Grafico 4. Caudal real vs tiempo real
Grafico 5. Caudal teórico vs tiempo teórico
0.00010000
0.00012000
0.00014000
0.00016000
0.00018000
0.00020000
0.00022000
0.00024000
0.00026000
0.000 50.000 100.000 150.000 200.000 250.000
Caudal real vs tiempo real
0.00006000
0.00008000
0.00010000
0.00012000
0.00014000
0.00016000
0.00018000
0.00020000
Caudal teorico vs tiempo teorico
Grafico 6. Comparaciones de caudales|
V (m^3) t real (s) h (m)
0 0.040 0.000 0.456
1 0.039 4.706 0.450
2 0.038 5.657 0.443
3 0.037 5.887 0.436
4 0.036 6.088 0.428
5 0.035 5.765 0.421
6 0.034 7.033 0.414
7 0.033 5.651 0.406
8 0.032 5.494 0.398
9 0.031 5.940 0.391
10 0.030 6.049 0.383
11 0.029 7.040 0.374
12 0.028 6.793 0.366
13 0.027 7.764 0.358
14 0.026 6.763 0.349
15 0.025 7.260 0.340
16 0.024 7.329 0.332
17 0.023 7.340 0.322
18 0.022 7.033 0.313
19 0.021 7.249 0.304
20 0.020 6.960 0.294
21 0.019 7.745 0.284
22 0.018 7.805 0.273
23 0.017 7.253 0.263
24 0.016 8.673 0.252
25 0.015 8.288 0.241
26 0.014 8.166 0.229
27 0.013 8.553 0.217
28 0.012 8.786 0.205
29 0.011 9.209 0.192
30 0.010 7.739 0.179
31 0.009 10.295 0.165
32 0.008 9.599 0.150
33 0.007 10.543 0.135
0.00005000
0.00007000
0.00009000
0.00011000
0.00013000
0.00015000
0.00017000
0.00019000
0.00021000
0.00023000
0.00025000
0.000 50.000 100.000 150.000 200.000 250.000 300.000 350.000
Caudal real vs tiempo real
Tabla 3. Datos tomados por el otro grupo en la experiencia.
N° h
(m)
treal
(s)
Qteorico
(m3/s)
Qreal
(m3/s)
Cd tteorico
(s)
1 0.450 4.706 0.00021326 0.00021249 0.99642986 4.68919890
2 0.443 5.657 0.00017742 0.00017677 0.99632441 5.63620717
3 0.436 5.887 0.00017051 0.00016987 0.99621296 5.86470570
4 0.428 6.088 0.00016490 0.00016426 0.99609501 6.06422642
5 0.421 5.765 0.00017416 0.00017346 0.99596998 5.74176695
6 0.414 7.033 0.00014278 0.00014219 0.99583725 7.00372335
7 0.406 5.651 0.00017772 0.00017696 0.99569608 5.62667857
8 0.398 5.494 0.00018283 0.00018202 0.99554570 5.46952806
9 0.391 5.940 0.00016913 0.00016835 0.99538518 5.91258796
10 0.383 6.049 0.00016611 0.00016532 0.99521351 6.02004650
11 0.374 7.040 0.00014276 0.00014205 0.99502951 7.00500776
12 0.366 6.793 0.00014798 0.00014721 0.99483187 6.75789286
13 0.358 7.764 0.00012950 0.00012880 0.99461904 7.72222225
14 0.349 6.763 0.00014870 0.00014786 0.99438929 6.72505475
15 0.340 7.260 0.00013855 0.00013774 0.99414057 7.21746052
16 0.332 7.329 0.00013729 0.00013644 0.99387052 7.28407701
17 0.322 7.340 0.00013712 0.00013624 0.99357637 7.29285055
18 0.313 7.033 0.00014315 0.00014219 0.99325487 6.98556149
19 0.304 7.249 0.00013894 0.00013795 0.99290216 7.19754774
20 0.294 6.960 0.00014476 0.00014368 0.99251363 6.90789488
21 0.284 7.745 0.00013015 0.00012912 0.99208376 7.68368871
22 0.273 7.805 0.00012921 0.00012812 0.99160582 7.73948345
23 0.263 7.253 0.00013912 0.00013787 0.99107161 7.18824241
24 0.252 8.673 0.00011641 0.00011530 0.99047097 8.59035474
25 0.241 8.288 0.00012190 0.00012066 0.98979120 8.20338948
26 0.229 8.166 0.00012382 0.00012246 0.98901622 8.07630648
27 0.217 8.553 0.00011832 0.00011692 0.98812540 8.45143651
28 0.205 8.786 0.00011531 0.00011382 0.98709179 8.67258843
29 0.192 9.209 0.00011014 0.00010859 0.98587962 9.07896545
30 0.179 7.739 0.00013126 0.00012922 0.98444040 7.61858428
31 0.165 10.295 0.00009884 0.00009713 0.98270675 10.11696601
32 0.150 9.599 0.00010624 0.00010418 0.98058241 9.41261059
33 0.135 10.543 0.00009699 0.00009485 0.97792514 10.31026480
34 0.119 10.559 0.00009718 0.00009471 0.97451596 10.28991397
35 0.103 11.449 0.00009005 0.00008734 0.97000006 11.10553068
36 0.085 10.989 0.00009442 0.00009100 0.96376381 10.59080047
37 0.066 12.847 0.00008154 0.00007784 0.95464907 12.26437659
38 0.046 13.873 0.00007667 0.00007208 0.94018382 13.04317019
Cd Promedio 0.987678
Tabla 2. Resultados de cálculos con los datos del otro grupo.
34 0.006 10.559 0.119
35 0.005 11.449 0.103
36 0.004 10.989 0.085
37 0.003 12.847 0.066
38 0.002 13.873 0.046
Grafico 7.
Velocidad
vs el
tiempo
teórico
Grafico 8.
Velocidad
vs el
tiempo real
Grafico 9. Comparación de gráficos
y = 2E-07x2
- 0.0002x+ 0.0398
0.000
0.005
0.010
0.015
0.020
0.025
0.030
0.035
0.040
0.045
0.00 40.00 80.00 120.00 160.00 200.00 240.00 280.00 320.00
Velocidad vs el tiempo teorico
y = 2E-07x2
- 0.0002x+ 0.0398
0.000
0.005
0.010
0.015
0.020
0.025
0.030
0.035
0.040
0.045
0.00 40.00 80.00 120.00 160.00 200.00 240.00 280.00 320.00
Velocidad vs el tiempo real
y = 2E-07x2
- 0.0002x+ 0.0398
0.000
0.005
0.010
0.015
0.020
0.025
0.030
0.035
0.040
0.045
0.00 40.00 80.00 120.00 160.00 200.00 240.00 280.00 320.00
Comparacion de grafica de velocidad entre el
tiempo teorico y el tiempo real
Grafico 10.
Caudal real
vs tiempo
real
Grafico
11. Caudal
teórico vs
tiempo
teórico
Grafico
12.
omparación
de graficas
y = -3E-07x+ 0.0002
0.00006
0.00007
0.00008
0.00009
0.00010
0.00011
0.00012
0.00013
0.00014
0.00015
0.00016
0.00017
0.00018
0.00019
0.00020
0.00021
0.00022
0.00 40.00 80.00 120.00 160.00 200.00 240.00 280.00 320.00
Título del gráfico
y = -3E-07x+ 0.0002
0.00006
0.00007
0.00008
0.00009
0.00010
0.00011
0.00012
0.00013
0.00014
0.00015
0.00016
0.00017
0.00018
0.00019
0.00020
0.00021
0.00022
0.000 40.000 80.000 120.000 160.000 200.000 240.000 280.000 320.000
Título del gráfico
y = -3E-07x+ 0.0002
0.00006
0.00007
0.00008
0.00009
0.00010
0.00011
0.00012
0.00013
0.00014
0.00015
0.00016
0.00017
0.00018
0.00019
0.00020
0.00021
0.00022
0.00 40.00 80.00 120.00 160.00 200.00 240.00 280.00 320.00
Título del gráfico
3.2. Discusión de resultados
Se puede observar que las gráficas del grupo que hizo la experiencia sin manguera, los resultados
son muy similares; por otro lado las gráficas de mi grupo son muy diferentes entre ellas, puedo
asumir que se debe al hecho de que el c en mi experimento es distinto y a posibles errores con la
manipulación del cronometro.
4. CONCLUSIONES Y RECOMENDACIONES
Puedo concluir que el tiempo de desfogue de un líquido dependerá del volumen que se encuentre
dentro del reservorio, también la geometría será de suma importancia para hallar una altura de
agua. Se puede ver que existe una diferencia entre ambas experiencias, esto debido al diferente c
que se tomó a la hora del cálculo,
Recomiendo elaborar solo una experiencia, debido a la complejidad que se requiere para lograr
explicar la parte teórica por parte del jefe de laboratorio.
5. BIBLIOGRAFIA
Centro Panamericano de Ingeniería Sanitaria y Ciencias del Ambiente, División de Salud y
Ambiente. (2001). CÓMO REALIZAR INSPECCIONES SANITARIAS EN PEQUEÑOS
SISTEMAS DE AGUA. Jacksonville: Sr. Washington Macutela, Imprenta de la
OPS/CEPIS[1].

Informe de laboratorio_de_fluidos_superf

  • 1.
    LABORATORIO DE MECÁNICADE FLUIDOS INFORME DE PRACTICA Nº03 ALUMNO: MARIO KEVIN SALAS QUISPE CÓDIGO: 20111033 HORARIO: 060B TEMA: Fuerza Hidrostática sobre Superficies Planas, Fuerza sobre una compuerta con Flujo por debajo de ella y Continuidad de Masa JEFE DE PRÁCTICA: Anghelo Azabamba FECHA DE REALIZACIÓN: 26/04/2016 CALIFICACIÓN: ITEM PUNTOS PRUEBA DE ENTRADA TRABAJO Y PARTICIPACIÓN INFORME DE LABORATORIO NOTA DE LABORATORIO FIRMA DEL JEFE DE PRÁCTICA:
  • 2.
    1. INTRODUCCIÓN 1.1. Objetivos Semedirá y observara la fuerza hidrostática aplicada en una compuerta plana, para esto se experimentara con pesas aplicando conceptos como equilibrio de fuerzas equilibrio de momentos. 1.2. Aplicaciones prácticas en la ingeniería La fuerza hidrostática sobre superficies planas es aplicada de manera muy común en la ingeniería, particularmente a ingeniería civil usa en gran medida: Presas: Para el diseño de presas se debe calcular la fuerza que será ejercida por el agua cuando esté en funcionamiento, el diseño debe contemplar parámetros que serán establecidos por este cálculo de fuerzas. Se denomina presa a una barrera fabricada con piedra, hormigón o materiales sueltos, que se construye habitualmente en una cerrada o desfiladero sobre un río o arroyo. Tiene la finalidad de embalsar el agua en el cauce fluvial para su posterior aprovechamiento en abastecimiento o regadío, para elevar su nivel con el objetivo de derivarla a canalizaciones de riego, para laminación de avenidas (evitar inundaciones aguas abajo de la presa) o para la producción de energía mecánica al transformar la energía potencial del almacenamiento en energía cinética y ésta nuevamente en mecánica al accionar la fuerza del agua un elemento móvil (IECA, 2013).[1] Figura 1. Presa de Nurek. 2. METODOLOGÍA Y DATOS 2.1. Fundamento teórico Para superficies parcialmente sumergidas: 𝐹 = 1 2 𝛾ℎ2 𝐵 𝑦 = 2ℎ 3 Para superficies totalmente sumergidas: 𝐹 = 1 2 𝛾(ℎ2 2 − ℎ1 2 )𝐵 𝑦 = 2ℎ2 2 3(ℎ2+ℎ1)
  • 3.
     Momento externo= Contrapeso x Brazo de palanca (BP) del Contrapeso  Fuerza externa = Momento externo / BP de Fuerza hidrostática  Fuerza hidrostática = Peso específico del agua x Vol. Prisma de presiones  Momento hidrostático = Fuerza hidrostática x BP de Fuerza hidrostática 2.2. Procedimiento Mediante un dispositivo mostrado en la figura 2 se calculara la fuerza del agua sobre la superficie con un juego de pesas y el momento que generen. Primero se nivelara el contra peso y el agua en el recipiente, después se colocaran varias pesas hasta un punto de equilibrio, finalmente se tomara la altura de agua y las pesas que se usaron. Se repitió 3 veces el experimento con diferentes pesos. Figura 2. Dispositivo usado en el experimento. 2.3. Descripción de los datos Los datos fueron:  Radio interior del cuadrante: 10 cm  Radio exterior del cuadrante: 20 cm  Ancho del cuadrante cilíndrico : 7.5 cm Contrapeso (gr) Altura del agua (cm) 1 100 5.8 2 150 6.8 3 370 11.15 Tabla 1. Datos tomados en la experiencia. 3. RESULTADOS Y DISCUSIÓN DE RESULTADOS 3.1. Resultados Para tener los resultados usaremos el siguiente proceso: a) Primero calcularemos la fuerza ejercida por el agua y su punto de aplicación: 𝐹 = 1 2 𝛾ℎ2 𝐵 → 𝐹 = 1 2 (1)5.82 ∗ 7.5 = 126.15 𝑔 ∗ 𝑐𝑚 𝑦 = 2ℎ 3 →𝑦 = 2∗5.8 3 = 3.87 𝑐𝑚→ 𝐵𝑟𝑎𝑧𝑜 𝑝𝑎𝑙𝑎𝑛𝑐𝑎 = 𝑅𝑎𝑑𝑖𝑜 𝑒𝑥𝑡𝑒𝑟𝑖𝑜𝑟 − (ℎ − 𝑦) 𝐵𝑟𝑎𝑧𝑜 𝑝𝑎𝑙𝑎𝑛𝑐𝑎 ℎ𝑖𝑑𝑟𝑜𝑒𝑠𝑡𝑎𝑡𝑖𝑐𝑎 = 20 − 1.93 = 18.07 𝑐𝑚
  • 4.
    b) Hallare elmomento externo, la fuerza externa , fuerza hidrostática y el momento hidrostático : Momento externo = Contrapeso x Brazo de palanca (BP) del Contrapeso 𝑀𝑜𝑚𝑒𝑛𝑡𝑜 𝑒𝑥𝑡𝑒𝑟𝑛𝑜 = 100 ∗ 20 = 2000 𝑔 ∗ 𝑐𝑚 Fuerza externa = Momento externo / BP de Fuerza hidrostática 𝐹𝑢𝑒𝑟𝑧𝑎 𝑒𝑥𝑡𝑒𝑟𝑛𝑎 = 2000 18.07 = 110.68 𝑔 Fuerza hidrostática = Peso específico del agua x Vol. Prisma de presiones 𝐹 = 1 2 𝛾ℎ2 𝐵 → 𝐹 = 1 2 (1)5.82 ∗ 7.5 = 126.15 𝑔 ∗ 𝑐𝑚 Momento hidrostático = Fuerza hidrostática x BP de Fuerza hidrostática 𝑀𝑜𝑚𝑒𝑛𝑡𝑜 ℎ𝑖𝑑𝑟𝑜𝑠𝑡𝑎𝑡𝑖𝑐𝑜 = 126.15 ∗ 18.07 = 2279.53 𝑔 ∗ 𝑐𝑚 c) Para los siguientes dos experimentos repetiremos el mismo procedimiento. Contrapeso (g) Altura de agua (cm) Momento externo (g*cm) Fuerza externa (g) Fuerza hidrostática (g) Momento hidrostático (g*cm) 100 5.8 2000 110.68 126.15 2279.53 150 6.8 3000 170.16 173.40 3057.04 370 11.15 7400 454.45 466.21 7591.45 Tabla 2. Resultados de cálculos. 3.2. Discusión de resultados Los resultados guardan cierta concordancia entre los diferentes experimentos, se pudo generar un margen de error a la hora de medir la altura del agua debido a que se usa una regla con una medida máxima de 0.1 cm. 4. CONCLUSIONES Y RECOMENDACIONES Se concluye que la fuerza aplicada a una compuerta viene dada por la altura o profundidad a la que se encuentre sumergido la superficie, para este experimento en particular la fuerzas aplicadas por las pesas y el agua deberían estar en equilibrio. El punto de ubicación de la fuerza hidrostática al estar en función de la altura hace que el momento hidrostático sea muy sensible a la altura, un pequeño error en la medición de la altura y el momento tendrá variaciones considerables. Se recomienda lubricar el centro de rotación y su soporte para evitar que se genere algún tipo de error a la hora de buscar un punto de equilibrio. 5. BIBLIOGRAFÍA IECA. (2013). Guías técnicas, Presas de hotmigon". Madrid España. M. Llamas, Á. (1948). Desagues de Fondo. Revista de Obras Publicas.
  • 5.
    1. INTRODUCCIÓN 1.1. Objetivos Semedirá en el canal de corriente de pendiente horizontal la fuerza que es ejercida sobre una compuerta con un flujo por debajo; se observara la distribución de presiones en la compuerta. En la experiencia virtual se observara la fuerza generada por un líquido más viscoso que el agua y por fluidos no-newtonianos. 1.2. Aplicaciones prácticas en la ingeniería En la ingeniería la aplicación de la fuerza con flujo abajo tiene varias aplicaciones: Embalses con desagüe de fondo: Para los embalses existe un gran problema que afecta su productividad y puede inutilizar el mismo, la sedimentación en el fondo provoca paulatina una colmatación que muchas veces puede ser muy grave, el uso de desagües de fondo hacen que los sedimentos sean expulsados por medio de un flujo que se genere bajo la compuerta. Los desagües de fondo se construyen con tres fines principales: primero, en los pantanos para riegos, con el fin de poder utilizar la total capacidad del vaso; segundo para la evacuación de fangos y depósitos de arrastre manteniendo la capacidad del embalse; tercero para poder dejar terreno en seco con el fin de realizar obras, reconocimientos, impermeabilizaciones y, en caso de guerra u otros hechos extraordinarios realizar un vaciado completo (M. Llamas, 1948)[1] Figura 1. Desagüe de fondo en funcionamiento. 2. METODOLOGÍA Y DATOS 2.1. Fundamento teórico La fuerza aplicada sobre la compuerta: La variación: 𝐹 = 𝜌( 𝑦1 − 𝑦2) [ 𝑔∗𝐵 2 ( 𝑦1 + 𝑦2) − 𝑄2 𝐵𝑦1 𝑦2 ] ∆ℎ𝑖 = ℎ 𝑖+1−ℎ 𝑖−1 2 El caudal: Presión al nivel de perforación: 𝑄 = 𝐵 ∗ 𝑎 ∗ 𝐶 𝑑√2𝑔𝑦1 𝑝𝑖 = 𝛾(𝑚𝑖 − ℎ𝑖 − 𝑎 − 𝑛)
  • 6.
    Coeficiente de descarga:Otra fórmula: 𝐶 𝑑 = 𝐶𝑐 √1+𝐶𝑐 𝑎 𝑦1 ∑ 𝑝𝑖 ∗ 𝐵 ∗ ∆ℎ𝑖 = 𝐹𝑢𝑒𝑟𝑧𝑎 𝑡𝑜𝑡𝑎𝑙𝑖 1 2.2. Procedimiento No hubo manipulación de los aparatos en este laboratorio, pero si se utilizaron; la compuerta se encontraba colocada en el canal de corriente de pendiente horizontal, se abrió el flujo de agua y se comenzó a observar el flujo por debajo de la compuerta, se midió la altura del agua y posteriormente haciendo uso de los sensores de presión se tomó la fuerza ejercida sobre la compuerta en diversos puntos a alturas diferentes. Figura 2. Compuerta en el canal de flujo. 2.3. Descripción de los datos Los datos fueron:  Abertura : 4.7 cm  Caudal real: 0.04 𝑚3 /𝑠  Distancia al orificio: 1, 3, 7, 13, 19, 25, 31 (cm) para diferentes partes de la compuerta.  𝑦1 : 37.59, 37.59 (cm), para cada medición respectivamente.  𝑦2: 3.1, 2.75 (cm), para cada medición respectivamente. 3. RESULTADOS Y DISCUSIÓN DE RESULTADOS 3.1. Resultados Para calcular la 𝐹1usamos: a) Calcularemos la presión al nivel de perforación : 𝑝𝑖 = 𝛾( 𝑚𝑖 − ℎ𝑖 − 𝑎 − 𝑛) →𝑝𝑖 = 998.29 1000000 (44.8 − 1 − 4.7 − 10) = 0.0291 𝑘𝑔 𝑐𝑚2
  • 7.
    b) Hallare ∆ℎ𝑖: ∆ℎ𝑖= ℎ𝑖+1−ℎ𝑖−1 2 → ∆ℎ𝑖 = 3 − 1 2 = 1 c) Hallare el momento externo, la fuerza externa , fuerza hidrostática y el momento hidrostático : 𝐹𝑢𝑒𝑟𝑧𝑎 = 𝑝𝑖 ∗ 𝐵 ∗ ∆ℎ𝑖 → 𝐹𝑢𝑒𝑟𝑧𝑎 = 0.0341 ∗ 40 ∗ 1 = 1.162𝐾𝑔 d) Para los siguientes dos experimentos repetiremos el mismo procedimiento. N° hi(cm) mi (cm) pi (kg/cm2) Δhi(cm) pi*B* Δhi(kg) 1 1 44.80 0.0291 1 1.162 2 3 49.15 0.0314 3 3.768 3 7 50.90 0.0292 5 5.830 4 13 51.60 0.0239 6 5.726 5 19 51.70 0.0180 6 4.313 6 25 51.70 0.0120 6 2.875 7 31 51.70 0.0060 10.6 2.540 F1= 26.213 Tabla 1. Resultados de cálculos de nuestro grupo. N° hi(cm) mi (cm) pi (kg/cm2) Δhi(cm) pi*B* Δhi(kg) 1 1 50.00 0.03424 1 1.370 2 3 55.50 0.03773 3 4.528 3 7 57.70 0.03593 5 7.188 4 13 58.40 0.03065 6 7.355 5 19 58.40 0.02466 6 5.918 6 25 58.40 0.01867 6 4.480 7 31 58.60 0.01288 10.6 5.460 F1= 36.299 Tabla 1. Resultados de cálculos del otro grupo Grafico 1. Distribución de presiones de la tabla 1 0 0.005 0.01 0.015 0.02 0.025 0.03 0.035 0 5 10 15 20 25 30 35 Grafico 1
  • 8.
    Grafico 2. Distribuciónde presiones de la tabla 2 Para calcular la F2 y F3 usamos: a) Calculare el Cc y el Cd : 𝐶𝑐 = 𝑦2 𝑎 → 𝐶𝑐 = 3.72 4.7 = 0.791 , 𝐶 𝑑 = 𝐶𝑐 √1+𝐶𝑐 𝑎 𝑦1 → 𝐶 𝑑 = 0.791 √1+0.791∗ 4.7 41.2 = 0.758 b) Hallare ∆ℎ𝑖: 𝐹2 = 𝜌( 𝑦1 − 𝑦2)[ 𝑔 ∗ 𝐵 2 ( 𝑦1 + 𝑦2) − 𝑄2 𝐵𝑦1 𝑦2 ] 𝐹2 = 998.29(41.2 − 3.72) [ 9.81∗0.4 2 (41.2 + 3.72) − 0.042 0.4∗41.2∗3.72 ] ∗ 100 𝐹2 = 23.660 𝑘𝑔 c) Calculare el caudal teórico : 𝑄 = 𝐵 ∗ 𝑎 ∗ 𝐶 𝑑√2𝑔𝑦1 → 𝑄 = 0.4 ∗ 4.7 ∗ 0.758 ∗ √2 ∗ 9.81 ∗ 41.2 = 0.0405 d) Finalmente calculare F3: 𝐹3 = 𝜌( 𝑦1 − 𝑦2)[ 𝑔 ∗ 𝐵 2 ( 𝑦1 + 𝑦2) − 𝑄2 𝐵𝑦1 𝑦2 ] 𝐹3 = 998.29(41.2 − 3.72) [ 9.81∗0.4 2 (41.2 + 3.72) − 0.04052 0.4∗41.2∗3.72 ] ∗ 100 𝐹3 = 23.402 𝑘𝑔 Tabla 3. Resultados de F2y F3 N° a (cm) y1(cm) y2(cm) Cc Cd Q real (m3/s) F2 (Kg) Q teórico (m3/s) F3 (Kg) 1 4.7 41.2 3.72 0.791 0.723 0.0400 23.660 0.0405 23.402 0 0.005 0.01 0.015 0.02 0.025 0.03 0.035 0.04 0 5 10 15 20 25 30 35 Grafico 2
  • 9.
    3.2. Parte virtualdel laboratorio Para la parte virtual nos dan la siguiente tabla con las propiedades de ciertos fluidos: Escenario Fluido Temperatura (C°) Densidad (kg/m3) V (m2/s) L3E6.1 Agua 5 1000 1.52 E-0.7 L3E6.2 Glicerina 30 1255 5.5 E-0.4 L3E6.3 Aceite de soya 20 918.5 6.71 E-0.5 L3E6.4 Diésel 10 837.6 5.39 E-0.6 L3E6.5 relave ------ 1130.7 Tailings-1 (*) Tabla 4. Fluidos de Estudio en la Experiencia de Laboratorio Virtual 6 De la tabla 4 usaremos los datos para la glicerina y el relave que se encuentran en la plataforma virtual PAIDEIA y procederemos a mostrar la distribución de presiones: Grafico 3. Distribución de presiones del aceite de soya Grafico 4. Distribución de presiones del relave -1.00E-03 0.00E+00 1.00E-03 2.00E-03 3.00E-03 4.00E-03 5.00E-03 6.00E-03 7.00E-03 0.00E+00 1.00E-01 2.00E-01 3.00E-01 4.00E-01 5.00E-01 Distribucion de presiones del relave -5.00E-04 0.00E+00 5.00E-04 1.00E-03 1.50E-03 2.00E-03 2.50E-03 3.00E-03 3.50E-03 4.00E-03 0.00E+00 1.00E-01 2.00E-01 3.00E-01 4.00E-01 5.00E-01 Distribucion de presiones del aceite de soya
  • 10.
    Grafico 5. Distribuciónde presiones del agua 3.3. Discusión de resultados Las fuerzas F1, F2 y F3 son similares esto muestra que los cálculos efectuados son correctos, la otra pequeña diferencia viene dada por errores que son de medición y por la pequeña cantidad de agua que se podía colar en ambas partes laterales de la compuerta. La fuerza F1 del otro grupo no puedo corroborarla debido a que no se brindó datos de y1 y y2. En la experiencia virtual: Los fluidos no newtonianos generan presiones en la parte inferior de la compuerta de una manera diferente a un líquido que si es newtoniano. La diferencia de un líquido más viscoso que el agua también se ve en la parte inferior de la compuerta, en un líquido más viscoso la presión en la parte inferior de la compuerta es menor que con el agua. La densidad es más predominante a la hora de definir la distribución de presiones, pues en el cálculo participa mucho más y su valor es muy superior al de la viscosidad. 4. CONCLUSIONES Y RECOMENDACIONES Se logró calcular la fuerza aplicada sobre la compuerta en varios puntos que se encuentran a diferentes alturas, logramos corroborar las formulas con los datos experimentales. Vimos también como es el comportamiento de fluido no newtoniano y un líquido más denso que el agua, se observa cierta similitud en los gráficos en las partes superiores de la compuerta pero en la parte inferior se observa la diferencia de fuerza que fue ocasionado por cada fluido analizado. Recomiendo que el trabajo de los grupos en este experimento sea por separado debido a la dificultad de apreciar con mayor detalle el trabajo en el laboratorio. 5. BIBLIOGRAFÍA M. Llamas, Á. (1948). Desagues de Fondo. Revista de Obras Publicas.[1] -5.00E-04 0.00E+00 5.00E-04 1.00E-03 1.50E-03 2.00E-03 2.50E-03 3.00E-03 3.50E-03 4.00E-03 0.00E+00 1.00E-01 2.00E-01 3.00E-01 4.00E-01 5.00E-01 Distribucion de presiones del agua
  • 11.
    1. INTRODUCCIÓN 1.1. Objetivos Losobjetivos son observar y entender la ley de la conservación de masa y observar la importancia de la geometría del reservorio a la hora de considerar el almacenamiento y vaciado de un líquido. 1.2. Aplicaciones prácticas en la ingeniería La continuidad de masa es usada en reservorios, en canales en tanques caseros de agua y muchos otros elementos que almacenan agua o algún fluido para uso humano o industrial: Reservorios de agua: A medida que la población en las urbes va creciendo la necesidad de agua para consumo humano y actividades agrícolas se vuelve de gran importancia, el almacenamiento es por ende se vuelve una parte muy necesaria para lograr cubrir todos los requerimientos de agua. Las instalaciones de almacenamiento de agua tratada desempeñan una función vital en el abastecimiento de agua segura, adecuada y confiable. Las escuelas, hospitales, asilos, fábricas y casas particulares dependen de un abastecimiento constante y confiable de agua segura (Centro Panamericano de Ingeniería Sanitaria y Ciencias del Ambiente, 2001)[1] Figura 1. Reservorio San José,. 2. METODOLOGÍA Y DATOS 2.1. Fundamento teórico Ecuación de continuidad: Coeficiente de descarga: 𝑄𝑠𝑎𝑙𝑖𝑑𝑎 = 𝐶 𝑑 ∗ 𝐴√2𝑔(ℎ + 𝑐) 𝐶 𝑑 = 𝑄 𝑟𝑒𝑎𝑙 𝑄𝑡𝑒𝑜𝑟𝑖𝑐𝑜 Volumen en función de la altura: 𝑉 = 4ℎ3 75 + 2ℎ2 25 + ℎ 25
  • 12.
    Tiempo: 2.2. Procedimiento Para estaexperiencia se usó un recipiente con forma de tronco piramidal, el cual estaba limpio a la hora de usarlo, lo llenamos de agua hasta unos 40 litros y luego con la ayuda de una manguera abrimos la llave, con el medidor tomaremos el tiempo que demora en vaciarse cada litro, al finalizar tomamos los datos y los intercambiamos con los del grupo contrario que hizo el mismo experimento pero con la excepción que no usaron la manguera. Figura 2. Recipiente de agua que se usó en la experiencia. 2.3. Descripción de los datos Los tiempos, volúmenes y alturas tomados fueron: V (m^3) t real (s) h (m) 0 0.040 0.000 0.456 1 0.039 4.720 0.450 2 0.038 4.496 0.443 3 0.037 5.034 0.436 4 0.036 5.214 0.428 5 0.035 5.326 0.421 6 0.034 4.550 0.414 7 0.033 5.040 0.406 8 0.032 4.260 0.398 9 0.031 5.660 0.391 10 0.030 5.460 0.383 11 0.029 5.520 0.374 12 0.028 5.054 0.366
  • 13.
    Tabla 1. Datostomados en la experiencia. 3. RESULTADOS Y DISCUSIÓN DE RESULTADOS 3.1. Resultados Para tener los resultados usaremos el siguiente proceso: a) Primero calcularemos la altura: 𝑉 = 4ℎ3 75 + 2ℎ2 25 + ℎ 25 → 0.04 = 4ℎ3 75 + 2ℎ2 25 + ℎ 25 → ℎ = 0.456 b) Luego hallare Cd*A : 𝑄𝑠𝑎𝑙𝑖𝑑𝑎 = 𝐶 𝑑 ∗ 𝐴√2𝑔(ℎ + 𝑐) → 0.2212 = 𝐶 𝑑 ∗ 𝐴√2 ∗ 9.81(0.456 + 0.346) 𝐶 𝑑 ∗ 𝐴 = 0.00005362 c) Ahora calcularemos el tiempo: 𝑡 𝑡𝑒𝑜𝑟𝑖𝑐𝑜 = 6.05758 𝑠 d) Calculamos el Qteorico: 𝑄𝑡𝑒𝑜𝑟𝑖𝑐𝑜 = 𝑉1−𝑉𝑣 𝑡 𝑡𝑒𝑜𝑟𝑖𝑐𝑜 → 𝑄𝑡𝑒𝑜𝑟𝑖𝑐𝑜 = 0.04−0.039 6.05758 = 0.00016508 e) Calculamos el Qreal: 𝑄𝑟𝑒𝑎𝑙 = 𝑉1−𝑉𝑣 𝑡 𝑟𝑒𝑎𝑙 = 0.00021186 13 0.027 4.876 0.358 14 0.026 6.380 0.349 15 0.025 5.350 0.340 16 0.024 5.850 0.332 17 0.023 5.100 0.322 18 0.022 5.570 0.313 19 0.021 5.640 0.304 20 0.020 5.760 0.294 21 0.019 5.990 0.284 22 0.018 5.200 0.273 23 0.017 6.450 0.263 24 0.016 6.020 0.252 25 0.015 5.890 0.241 26 0.014 6.160 0.229 27 0.013 6.190 0.217 28 0.012 6.310 0.205 29 0.011 5.250 0.192 30 0.010 6.360 0.179 31 0.009 7.460 0.165 32 0.008 6.870 0.150 33 0.007 6.250 0.135 34 0.006 6.930 0.119 35 0.005 6.810 0.103 36 0.004 7.140 0.085 37 0.003 7.050 0.066 38 0.002 7.200 0.046
  • 14.
    f) Para lossiguientes dos experimentos repetiremos el mismo procedimiento. N° h (m) treal (s) Qteorico (m3/s) Qreal (m3/s) Cd tteorico (s) 1 0.456 0.000 0.00016508 0.00021186 1.28338617 6.05758271 2 0.450 4.720 0.00017282 0.00022242 1.28701012 5.78639751 3 0.443 4.496 0.00015390 0.00019865 1.29078567 6.49781507 4 0.436 5.034 0.00014813 0.00019179 1.29472350 6.75068832 5 0.428 5.214 0.00014456 0.00018776 1.29883535 6.91759705 6 0.421 5.326 0.00016866 0.00021978 1.30313417 5.92926049 7 0.414 4.550 0.00015173 0.00019841 1.30763431 6.59047691 8 0.406 5.040 0.00017887 0.00023474 1.31235164 5.59061799 9 0.398 4.260 0.00013412 0.00017668 1.31730385 7.45593979 10 0.391 5.660 0.00013849 0.00018315 1.32251066 7.22090820 11 0.383 5.460 0.00013642 0.00018116 1.32799416 7.33052774 12 0.374 5.520 0.00014835 0.00019786 1.33377916 6.74091988 13 0.366 5.054 0.00015306 0.00020509 1.33989368 6.53332157 14 0.358 4.876 0.00011642 0.00015674 1.34636942 8.58983689 15 0.349 6.380 0.00013812 0.00018692 1.35324247 7.23984722 16 0.340 5.350 0.00012564 0.00017094 1.36055408 7.95924137 17 0.332 5.850 0.00014330 0.00019608 1.36835163 6.97859332 18 0.322 5.100 0.00013041 0.00017953 1.37668986 7.66816254 19 0.313 5.570 0.00012796 0.00017730 1.38563237 7.81496659 20 0.304 5.640 0.00012443 0.00017361 1.39525354 8.03666037 21 0.294 5.760 0.00011877 0.00016694 1.40564092 8.41978914 22 0.284 5.990 0.00013572 0.00019231 1.41689845 7.36787192 23 0.273 5.200 0.00010848 0.00015504 1.42915041 9.21802017 24 0.263 6.450 0.00011515 0.00016611 1.44254693 8.68413249 25 0.252 6.020 0.00011650 0.00016978 1.45727106 8.58332655 26 0.241 5.890 0.00011017 0.00016234 1.47354866 9.07705975 27 0.229 6.160 0.00010830 0.00016155 1.49166187 9.23338700 28 0.217 6.190 0.00010482 0.00015848 1.51196825 9.54051969 29 0.205 6.310 0.00012409 0.00019048 1.53492834 8.05837381 30 0.192 5.250 0.00010072 0.00015723 1.56114650 9.92889172 31 0.179 6.360 0.00008423 0.00013405 1.59143313 11.87209118 32 0.165 7.460 0.00008947 0.00014556 1.62690298 11.17682345 33 0.150 6.870 0.00009586 0.00016000 1.66913648 10.43210302 34 0.135 6.250 0.00008387 0.00014430 1.72045843 11.92277689 35 0.119 6.930 0.00008229 0.00014684 1.78444836 12.15209334 36 0.103 6.810 0.00007502 0.00014006 1.86694960 13.33002014 37 0.085 7.140 0.00007170 0.00014184 1.97827146 13.94681381 38 0.066 7.050 0.00006494 0.00013889 2.13869993 15.39863953 Cd Promedio 1.46596 Tabla 2. Resultados de cálculos.
  • 15.
    Grafico 1. Velocidad vs eltiempo teórico Grafico 2. Velocidad vs el tiempo real Grafico 3. Comparación de velocidades 0.000 50.000 100.000 150.000 200.000 250.000 300.000 350.000 0.000 0.005 0.010 0.015 0.020 0.025 0.030 0.035 0.040 0.045 Velocidad vs el tiempo teorico 0.000 50.000 100.000 150.000 200.000 250.000 0.000 0.005 0.010 0.015 0.020 0.025 0.030 0.035 0.040 0.045 Velocidad vs el tiempo real 0.000 50.000 100.000 150.000 200.000 250.000 300.000 350.000 0.000 0.005 0.010 0.015 0.020 0.025 0.030 0.035 0.040 0.045 Comparacion de grafica de velocidad entre el tiempo teorico y el tiempo real
  • 16.
    Grafico 4. Caudalreal vs tiempo real Grafico 5. Caudal teórico vs tiempo teórico 0.00010000 0.00012000 0.00014000 0.00016000 0.00018000 0.00020000 0.00022000 0.00024000 0.00026000 0.000 50.000 100.000 150.000 200.000 250.000 Caudal real vs tiempo real 0.00006000 0.00008000 0.00010000 0.00012000 0.00014000 0.00016000 0.00018000 0.00020000 Caudal teorico vs tiempo teorico
  • 17.
    Grafico 6. Comparacionesde caudales| V (m^3) t real (s) h (m) 0 0.040 0.000 0.456 1 0.039 4.706 0.450 2 0.038 5.657 0.443 3 0.037 5.887 0.436 4 0.036 6.088 0.428 5 0.035 5.765 0.421 6 0.034 7.033 0.414 7 0.033 5.651 0.406 8 0.032 5.494 0.398 9 0.031 5.940 0.391 10 0.030 6.049 0.383 11 0.029 7.040 0.374 12 0.028 6.793 0.366 13 0.027 7.764 0.358 14 0.026 6.763 0.349 15 0.025 7.260 0.340 16 0.024 7.329 0.332 17 0.023 7.340 0.322 18 0.022 7.033 0.313 19 0.021 7.249 0.304 20 0.020 6.960 0.294 21 0.019 7.745 0.284 22 0.018 7.805 0.273 23 0.017 7.253 0.263 24 0.016 8.673 0.252 25 0.015 8.288 0.241 26 0.014 8.166 0.229 27 0.013 8.553 0.217 28 0.012 8.786 0.205 29 0.011 9.209 0.192 30 0.010 7.739 0.179 31 0.009 10.295 0.165 32 0.008 9.599 0.150 33 0.007 10.543 0.135 0.00005000 0.00007000 0.00009000 0.00011000 0.00013000 0.00015000 0.00017000 0.00019000 0.00021000 0.00023000 0.00025000 0.000 50.000 100.000 150.000 200.000 250.000 300.000 350.000 Caudal real vs tiempo real
  • 18.
    Tabla 3. Datostomados por el otro grupo en la experiencia. N° h (m) treal (s) Qteorico (m3/s) Qreal (m3/s) Cd tteorico (s) 1 0.450 4.706 0.00021326 0.00021249 0.99642986 4.68919890 2 0.443 5.657 0.00017742 0.00017677 0.99632441 5.63620717 3 0.436 5.887 0.00017051 0.00016987 0.99621296 5.86470570 4 0.428 6.088 0.00016490 0.00016426 0.99609501 6.06422642 5 0.421 5.765 0.00017416 0.00017346 0.99596998 5.74176695 6 0.414 7.033 0.00014278 0.00014219 0.99583725 7.00372335 7 0.406 5.651 0.00017772 0.00017696 0.99569608 5.62667857 8 0.398 5.494 0.00018283 0.00018202 0.99554570 5.46952806 9 0.391 5.940 0.00016913 0.00016835 0.99538518 5.91258796 10 0.383 6.049 0.00016611 0.00016532 0.99521351 6.02004650 11 0.374 7.040 0.00014276 0.00014205 0.99502951 7.00500776 12 0.366 6.793 0.00014798 0.00014721 0.99483187 6.75789286 13 0.358 7.764 0.00012950 0.00012880 0.99461904 7.72222225 14 0.349 6.763 0.00014870 0.00014786 0.99438929 6.72505475 15 0.340 7.260 0.00013855 0.00013774 0.99414057 7.21746052 16 0.332 7.329 0.00013729 0.00013644 0.99387052 7.28407701 17 0.322 7.340 0.00013712 0.00013624 0.99357637 7.29285055 18 0.313 7.033 0.00014315 0.00014219 0.99325487 6.98556149 19 0.304 7.249 0.00013894 0.00013795 0.99290216 7.19754774 20 0.294 6.960 0.00014476 0.00014368 0.99251363 6.90789488 21 0.284 7.745 0.00013015 0.00012912 0.99208376 7.68368871 22 0.273 7.805 0.00012921 0.00012812 0.99160582 7.73948345 23 0.263 7.253 0.00013912 0.00013787 0.99107161 7.18824241 24 0.252 8.673 0.00011641 0.00011530 0.99047097 8.59035474 25 0.241 8.288 0.00012190 0.00012066 0.98979120 8.20338948 26 0.229 8.166 0.00012382 0.00012246 0.98901622 8.07630648 27 0.217 8.553 0.00011832 0.00011692 0.98812540 8.45143651 28 0.205 8.786 0.00011531 0.00011382 0.98709179 8.67258843 29 0.192 9.209 0.00011014 0.00010859 0.98587962 9.07896545 30 0.179 7.739 0.00013126 0.00012922 0.98444040 7.61858428 31 0.165 10.295 0.00009884 0.00009713 0.98270675 10.11696601 32 0.150 9.599 0.00010624 0.00010418 0.98058241 9.41261059 33 0.135 10.543 0.00009699 0.00009485 0.97792514 10.31026480 34 0.119 10.559 0.00009718 0.00009471 0.97451596 10.28991397 35 0.103 11.449 0.00009005 0.00008734 0.97000006 11.10553068 36 0.085 10.989 0.00009442 0.00009100 0.96376381 10.59080047 37 0.066 12.847 0.00008154 0.00007784 0.95464907 12.26437659 38 0.046 13.873 0.00007667 0.00007208 0.94018382 13.04317019 Cd Promedio 0.987678 Tabla 2. Resultados de cálculos con los datos del otro grupo. 34 0.006 10.559 0.119 35 0.005 11.449 0.103 36 0.004 10.989 0.085 37 0.003 12.847 0.066 38 0.002 13.873 0.046
  • 19.
    Grafico 7. Velocidad vs el tiempo teórico Grafico8. Velocidad vs el tiempo real Grafico 9. Comparación de gráficos y = 2E-07x2 - 0.0002x+ 0.0398 0.000 0.005 0.010 0.015 0.020 0.025 0.030 0.035 0.040 0.045 0.00 40.00 80.00 120.00 160.00 200.00 240.00 280.00 320.00 Velocidad vs el tiempo teorico y = 2E-07x2 - 0.0002x+ 0.0398 0.000 0.005 0.010 0.015 0.020 0.025 0.030 0.035 0.040 0.045 0.00 40.00 80.00 120.00 160.00 200.00 240.00 280.00 320.00 Velocidad vs el tiempo real y = 2E-07x2 - 0.0002x+ 0.0398 0.000 0.005 0.010 0.015 0.020 0.025 0.030 0.035 0.040 0.045 0.00 40.00 80.00 120.00 160.00 200.00 240.00 280.00 320.00 Comparacion de grafica de velocidad entre el tiempo teorico y el tiempo real
  • 20.
    Grafico 10. Caudal real vstiempo real Grafico 11. Caudal teórico vs tiempo teórico Grafico 12. omparación de graficas y = -3E-07x+ 0.0002 0.00006 0.00007 0.00008 0.00009 0.00010 0.00011 0.00012 0.00013 0.00014 0.00015 0.00016 0.00017 0.00018 0.00019 0.00020 0.00021 0.00022 0.00 40.00 80.00 120.00 160.00 200.00 240.00 280.00 320.00 Título del gráfico y = -3E-07x+ 0.0002 0.00006 0.00007 0.00008 0.00009 0.00010 0.00011 0.00012 0.00013 0.00014 0.00015 0.00016 0.00017 0.00018 0.00019 0.00020 0.00021 0.00022 0.000 40.000 80.000 120.000 160.000 200.000 240.000 280.000 320.000 Título del gráfico y = -3E-07x+ 0.0002 0.00006 0.00007 0.00008 0.00009 0.00010 0.00011 0.00012 0.00013 0.00014 0.00015 0.00016 0.00017 0.00018 0.00019 0.00020 0.00021 0.00022 0.00 40.00 80.00 120.00 160.00 200.00 240.00 280.00 320.00 Título del gráfico
  • 21.
    3.2. Discusión deresultados Se puede observar que las gráficas del grupo que hizo la experiencia sin manguera, los resultados son muy similares; por otro lado las gráficas de mi grupo son muy diferentes entre ellas, puedo asumir que se debe al hecho de que el c en mi experimento es distinto y a posibles errores con la manipulación del cronometro. 4. CONCLUSIONES Y RECOMENDACIONES Puedo concluir que el tiempo de desfogue de un líquido dependerá del volumen que se encuentre dentro del reservorio, también la geometría será de suma importancia para hallar una altura de agua. Se puede ver que existe una diferencia entre ambas experiencias, esto debido al diferente c que se tomó a la hora del cálculo, Recomiendo elaborar solo una experiencia, debido a la complejidad que se requiere para lograr explicar la parte teórica por parte del jefe de laboratorio. 5. BIBLIOGRAFIA Centro Panamericano de Ingeniería Sanitaria y Ciencias del Ambiente, División de Salud y Ambiente. (2001). CÓMO REALIZAR INSPECCIONES SANITARIAS EN PEQUEÑOS SISTEMAS DE AGUA. Jacksonville: Sr. Washington Macutela, Imprenta de la OPS/CEPIS[1].