MATEMÁTICA 2: Horario 201
Semestre 2023 - 2
Semana 11
Integrales Indefinidas
Pontificia Universidad Católica del Perú
Estudios Generales Letras
2023 - 2
1 / 21
Gráficos de funciones
Ejemplo
Bosqueje el gráfico de la función f (x) =
x2 − 4
x2 + 1
Considerando: Dominio, intersecciones con los ejes, ası́ntotas,
intervalos de crecimiento y decrecimiento, extremos relativos,
intervalos de concavidad y puntos de inflexión.
Solución: Dom (f ) = R.
Intersecciones con los ejes
x = 0 ⇒ y = −4 ⇒ (0, −4)
y = 0 ⇒ x = ±2 ⇒ (2, 0) y (−2, 0)
Ası́ntota vertical: No tiene
Ası́ntota horizontal
lim
x→+∞
f (x) = lim
x→+∞
x2 − 4
x2 + 1
= lim
x→+∞
x2 1 − 4
x2

x2 1 + 1
x2
 = 1
Análogamente cuando x → −∞. La ası́ntota horizontal es y = 1.
2 / 21
Intervalos de crecimiento, de decrecimiento y extremos relativos
f ′
(x) = 10
x
(x2 + 1)2
f ′
(x) = 0 ⇒ x = 0
Signos de f ′
(x) ........ − .......0......... + ............
La función decrece en ]−∞, 0[ y crece en ]0, +∞[.
f (0) = −4 es un minimo relativo.
3 / 21
f ′′
(x) =
10
(x2 + 1)3
1 − 3x2

.
f ′′
(x) = 0 ⇒ x = ±
√
3
3
.
Signos de f ′′ (x)
.......−...........−
√
3
3
.............+.............
√
3
3
...........−...............
El gráfico es cóncavo hacia abajo en
i
−∞, −
√
3
3
h
y en
i√
3
3 , +∞
h
.
El gráfico es cóncavo hacia arriba en
i
−
√
3
3 ,
√
3
3
h
.

−
√
3
3 , f

−
√
3
3

=

−
√
3
3 , −11
4

y
√
3
3 , f
√
3
3

=
√
3
3 , −11
4

son puntos de inflexión.
4 / 21
−6 −4 −2 2 4 6
−6
−4
−2
2
4
6
y = 1
x
y
Gráfica de f (x)
5 / 21
Ejemplo
Bosqueje el gráfico de la función
f (x) =
x4
8 − x3
Considerando: Dominio, intersecciones con los ejes, ası́ntotas,
intervalos de crecimiento y decrecimiento, extremos relativos,
intervalos de concavidad y puntos de inflexión.
Solución:
Dom (f ) = R − {2}
Intersecciones con los ejes (0, 0).
Posible Ası́ntota Vertical: x = 2
lim
x→2+

x4
8 − x3

= −∞
lim
x→2−

x4
8 − x3

= +∞
6 / 21
Ası́ntota Oblicua
y = mx + b
m = lim
x→+∞
f (x)
x
= lim
x→+∞
x4
8−x3
x
= lim
x→+∞
x4
8x − x4
= lim
x→+∞
x4
x4 8
x3 − 1
 = −1
b = lim
x→+∞
(f (x) − mx) = lim
x→+∞

x4
8 − x3
+ x

= lim
x→+∞
8x
8 − x3
= lim
x→+∞
8
x2 8
x3 − 1
 = 0
y = −x
Análogamente cuando x → −∞.
7 / 21
f ′
(x) =
4x3 8 − x3

− x4 −3x2

(8 − x3)2
f ′
(x) =
x3 32 − 4x3 + 3x3

(8 − x3)2
f ′
(x) =
x3 32 − x3

(8 − x3)2
Puntos crı́ticos
f ′
(x) = 0 ⇔ x = 0 ∨ x = 2
3
√
4
f ′
(x) ∄ ⇔ x = 2 /
∈ Dom (f )
f ′
(x) .........− ↘ .........0....+ ↗ ....2.....+ ↗ .....2
3
√
4........− ↘ .......
f (0) = 0 es mı́nimo relativo
f

2
3
√
4

=
64 3
√
4
−24
= −
8 3
√
4
3
es máximo relativo
8 / 21
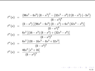
f ′′
(x) =
96x2 − 6x5

8 − x3
2
− 32x3 − x6

2 8 − x3

−3x2

(8 − x3)4
f ′′
(x) =
8 − x3
 
96x2 − 6x5

8 − x3

+ 6x2 32x3 − x6

(8 − x3)4
f ′′
(x) =
6x2

16 − x3

8 − x3

+ 32x3 − x6

(8 − x3)3
f ′′
(x) =
6x2

128 − 16x3 − 8x3 + 32x3

(8 − x3)3
f ′′
(x) =
48x2

x3 + 16

(8 − x3)3
9 / 21
f ′′
(x) = 0 ⇔ x = 0 ∨ x = −2
3
√
2
f ′′
(x) ∄ ⇔ x = 2 /
∈ Dom (f )
f ′′
(x) ..... − .... − 2
3
√
2...... + .......0..... + ....2..... − .......
El gráfico de f es cóncavo hacia abajo en
i
−∞, −2
3
√
2
h
, ]2, +∞[
El gráfico de f es cóncavo hacia arriba en
i
−2
3
√
2, 2
h
P −2
3
√
2,
4 3
√
2
3
!
es punto de inflexión
10 / 21
−8 −6 −4 −2 2 4 6 8
−8
−6
−4
−2
2
4
6
8
x = 2
x
y Gráfica de f (x)
11 / 21
Integrales Indefinidas
Se sabe que si f es derivable en un intervalo I entonces
dy = f ′
(x) dx
Ejemplo
Si y = f (x) = x2, x ∈ R ⇒ dy = 2xdx, para todo x ∈ R
Ahora se quiere estudiar el proceso inverso al anterior
Ejemplo
Dado
dy = 3x2
dx, para todo x ∈ R, halle y = f (x) .
12 / 21
En este caso
y = F1 (x) = x3
, x ∈ R
También
y = F2 (x) = x3
+ 5, x ∈ R
y = F3 (x) = x3
− 4, x ∈ R
En general
y = F (x) = x3
+ C, x ∈ R
cumplen la condición dada.
Las funciones F1 (x), F2 (x), F3 (x) y F (x) se llaman antiderivadas
de la función f (x) = 3x2 en R.
La función y = F (x) también se llama antiderivada general de f
en R.
13 / 21
Definición
La integral indefinida de la función f (x) en el intervalo I se denota
por
R
f (x) dx y se define como la antiderivada general de f en I,
es decir
Z
f (x) dx = F (x) + C ⇔ F′
(x) = f (x) , para todo x ∈ I.
Ejemplo
Calcule Z
4x3
+ 2x − 1

dx
Solución:
Z
4x3
+ 2x − 1

dx = x4
+ x2
− x + C
14 / 21
Integrales Elementales
1
R
dx = x + C
2
R
xndx =
xn+1
n + 1
+ C si n ̸= −1
3
R 1
x
dx = ln |x| + C
4
R
ex dx = ex + C
5
R
ax dx =
ax
ln (a)
+ C, a es constante positiva, a ̸= 1.
Ejemplo
Z
x
5
2 dx =
x
7
2
7
2
+ C =
2
7
x
7
2 + C
15 / 21
Propiedades de las integrales indefinidas
Si f y g son funciones que admiten antiderivadas en un intervalo I
entonces
1 Z
(f (x) ± g (x)) dx =
Z
f (x) dx ±
Z
g (x) dx
2 Si K es una constante real, entonces
Z
Kf (x) dx = K
Z
f (x) dx
3 Si además f es derivable en un intervalo I, entonces
Z
f ′
(x) dx = f (x) + C
16 / 21
Ejemplo
Calcule Z
x5
−
√
x + 2ex

dx
Solución:
Z
x5
−
√
x + 2ex

dx =
Z
x5
dx −
Z
x
1
2 dx + 2
Z
ex
dx
=
x6
6
−
x
3
2
3
2
+ 2ex
+ C
=
x6
6
−
2
3
x
3
2 + 2ex
+ C
17 / 21
Ejemplo
Calcule Z 
5u2
−
2
u
+ 1

du
Solución:
Z 
5u2
−
2
u
+ 1

du = 5
Z
u2
du − 2
Z
1
u
du +
Z
du
= 5
u3
3
− 2 ln |u| + u + C
18 / 21
Ejemplo
Calcule
Z
12x2
− 4x + 3

dx
Solución:
Z
12x2
− 4x + 3

dx =
Z
12x2
dx −
Z
4xdx +
Z
3dx
= 12
Z
x2
dx − 4
Z
xdx + 3
Z
dx
= 12
x3
3
− 4
x2
2
+ 3x + C = 4x3
− 2x2
+ 3x + C
19 / 21
Ejemplo
Calcule Z
√
x

x +
1
x
+ 2

dx
Solución:
Z
√
x

x +
1
x
+ 2

dx =
Z 
x
3
2 + x−1
2 + 2x
1
2

dx
=
x
5
2
5
2
+
x
1
2
1
2
+ 2
x
3
2
3
2
+ C
=
2
5
x
5
2 + 2x
1
2 +
4
3
x
3
2 + C
20 / 21
Ejemplo
Calcule Z
(2x − 3)3
x
dx
Solución:
Z
(2x + 1)3
x
dx =
Z
8x3 − 36x2 + 54x − 27
x
dx
=
Z 
8x2
− 36x + 54 −
27
x

dx
= 8
Z
x2
dx − 36
Z
xdx + 54
Z
dx − 27
Z
1
x
dx
= 8
x3
3
− 18x2
+ 54x − 27 ln |x| + C
21 / 21

Integrales indefinidas - semestre 2021-2

  • 1.
    MATEMÁTICA 2: Horario201 Semestre 2023 - 2 Semana 11 Integrales Indefinidas Pontificia Universidad Católica del Perú Estudios Generales Letras 2023 - 2 1 / 21
  • 2.
    Gráficos de funciones Ejemplo Bosquejeel gráfico de la función f (x) = x2 − 4 x2 + 1 Considerando: Dominio, intersecciones con los ejes, ası́ntotas, intervalos de crecimiento y decrecimiento, extremos relativos, intervalos de concavidad y puntos de inflexión. Solución: Dom (f ) = R. Intersecciones con los ejes x = 0 ⇒ y = −4 ⇒ (0, −4) y = 0 ⇒ x = ±2 ⇒ (2, 0) y (−2, 0) Ası́ntota vertical: No tiene Ası́ntota horizontal lim x→+∞ f (x) = lim x→+∞ x2 − 4 x2 + 1 = lim x→+∞ x2 1 − 4 x2 x2 1 + 1 x2 = 1 Análogamente cuando x → −∞. La ası́ntota horizontal es y = 1. 2 / 21
  • 3.
    Intervalos de crecimiento,de decrecimiento y extremos relativos f ′ (x) = 10 x (x2 + 1)2 f ′ (x) = 0 ⇒ x = 0 Signos de f ′ (x) ........ − .......0......... + ............ La función decrece en ]−∞, 0[ y crece en ]0, +∞[. f (0) = −4 es un minimo relativo. 3 / 21
  • 4.
    f ′′ (x) = 10 (x2+ 1)3 1 − 3x2 . f ′′ (x) = 0 ⇒ x = ± √ 3 3 . Signos de f ′′ (x) .......−...........− √ 3 3 .............+............. √ 3 3 ...........−............... El gráfico es cóncavo hacia abajo en i −∞, − √ 3 3 h y en i√ 3 3 , +∞ h . El gráfico es cóncavo hacia arriba en i − √ 3 3 , √ 3 3 h . − √ 3 3 , f − √ 3 3 = − √ 3 3 , −11 4 y √ 3 3 , f √ 3 3 = √ 3 3 , −11 4 son puntos de inflexión. 4 / 21
  • 5.
    −6 −4 −22 4 6 −6 −4 −2 2 4 6 y = 1 x y Gráfica de f (x) 5 / 21
  • 6.
    Ejemplo Bosqueje el gráficode la función f (x) = x4 8 − x3 Considerando: Dominio, intersecciones con los ejes, ası́ntotas, intervalos de crecimiento y decrecimiento, extremos relativos, intervalos de concavidad y puntos de inflexión. Solución: Dom (f ) = R − {2} Intersecciones con los ejes (0, 0). Posible Ası́ntota Vertical: x = 2 lim x→2+ x4 8 − x3 = −∞ lim x→2− x4 8 − x3 = +∞ 6 / 21
  • 7.
    Ası́ntota Oblicua y =mx + b m = lim x→+∞ f (x) x = lim x→+∞ x4 8−x3 x = lim x→+∞ x4 8x − x4 = lim x→+∞ x4 x4 8 x3 − 1 = −1 b = lim x→+∞ (f (x) − mx) = lim x→+∞ x4 8 − x3 + x = lim x→+∞ 8x 8 − x3 = lim x→+∞ 8 x2 8 x3 − 1 = 0 y = −x Análogamente cuando x → −∞. 7 / 21
  • 8.
    f ′ (x) = 4x38 − x3 − x4 −3x2 (8 − x3)2 f ′ (x) = x3 32 − 4x3 + 3x3 (8 − x3)2 f ′ (x) = x3 32 − x3 (8 − x3)2 Puntos crı́ticos f ′ (x) = 0 ⇔ x = 0 ∨ x = 2 3 √ 4 f ′ (x) ∄ ⇔ x = 2 / ∈ Dom (f ) f ′ (x) .........− ↘ .........0....+ ↗ ....2.....+ ↗ .....2 3 √ 4........− ↘ ....... f (0) = 0 es mı́nimo relativo f 2 3 √ 4 = 64 3 √ 4 −24 = − 8 3 √ 4 3 es máximo relativo 8 / 21
  • 9.
    f ′′ (x) = 96x2− 6x5 8 − x3 2 − 32x3 − x6 2 8 − x3 −3x2 (8 − x3)4 f ′′ (x) = 8 − x3 96x2 − 6x5 8 − x3 + 6x2 32x3 − x6 (8 − x3)4 f ′′ (x) = 6x2 16 − x3 8 − x3 + 32x3 − x6 (8 − x3)3 f ′′ (x) = 6x2 128 − 16x3 − 8x3 + 32x3 (8 − x3)3 f ′′ (x) = 48x2 x3 + 16 (8 − x3)3 9 / 21
  • 10.
    f ′′ (x) =0 ⇔ x = 0 ∨ x = −2 3 √ 2 f ′′ (x) ∄ ⇔ x = 2 / ∈ Dom (f ) f ′′ (x) ..... − .... − 2 3 √ 2...... + .......0..... + ....2..... − ....... El gráfico de f es cóncavo hacia abajo en i −∞, −2 3 √ 2 h , ]2, +∞[ El gráfico de f es cóncavo hacia arriba en i −2 3 √ 2, 2 h P −2 3 √ 2, 4 3 √ 2 3 ! es punto de inflexión 10 / 21
  • 11.
    −8 −6 −4−2 2 4 6 8 −8 −6 −4 −2 2 4 6 8 x = 2 x y Gráfica de f (x) 11 / 21
  • 12.
    Integrales Indefinidas Se sabeque si f es derivable en un intervalo I entonces dy = f ′ (x) dx Ejemplo Si y = f (x) = x2, x ∈ R ⇒ dy = 2xdx, para todo x ∈ R Ahora se quiere estudiar el proceso inverso al anterior Ejemplo Dado dy = 3x2 dx, para todo x ∈ R, halle y = f (x) . 12 / 21
  • 13.
    En este caso y= F1 (x) = x3 , x ∈ R También y = F2 (x) = x3 + 5, x ∈ R y = F3 (x) = x3 − 4, x ∈ R En general y = F (x) = x3 + C, x ∈ R cumplen la condición dada. Las funciones F1 (x), F2 (x), F3 (x) y F (x) se llaman antiderivadas de la función f (x) = 3x2 en R. La función y = F (x) también se llama antiderivada general de f en R. 13 / 21
  • 14.
    Definición La integral indefinidade la función f (x) en el intervalo I se denota por R f (x) dx y se define como la antiderivada general de f en I, es decir Z f (x) dx = F (x) + C ⇔ F′ (x) = f (x) , para todo x ∈ I. Ejemplo Calcule Z 4x3 + 2x − 1 dx Solución: Z 4x3 + 2x − 1 dx = x4 + x2 − x + C 14 / 21
  • 15.
    Integrales Elementales 1 R dx =x + C 2 R xndx = xn+1 n + 1 + C si n ̸= −1 3 R 1 x dx = ln |x| + C 4 R ex dx = ex + C 5 R ax dx = ax ln (a) + C, a es constante positiva, a ̸= 1. Ejemplo Z x 5 2 dx = x 7 2 7 2 + C = 2 7 x 7 2 + C 15 / 21
  • 16.
    Propiedades de lasintegrales indefinidas Si f y g son funciones que admiten antiderivadas en un intervalo I entonces 1 Z (f (x) ± g (x)) dx = Z f (x) dx ± Z g (x) dx 2 Si K es una constante real, entonces Z Kf (x) dx = K Z f (x) dx 3 Si además f es derivable en un intervalo I, entonces Z f ′ (x) dx = f (x) + C 16 / 21
  • 17.
    Ejemplo Calcule Z x5 − √ x +2ex dx Solución: Z x5 − √ x + 2ex dx = Z x5 dx − Z x 1 2 dx + 2 Z ex dx = x6 6 − x 3 2 3 2 + 2ex + C = x6 6 − 2 3 x 3 2 + 2ex + C 17 / 21
  • 18.
    Ejemplo Calcule Z 5u2 − 2 u +1 du Solución: Z 5u2 − 2 u + 1 du = 5 Z u2 du − 2 Z 1 u du + Z du = 5 u3 3 − 2 ln |u| + u + C 18 / 21
  • 19.
    Ejemplo Calcule Z 12x2 − 4x +3 dx Solución: Z 12x2 − 4x + 3 dx = Z 12x2 dx − Z 4xdx + Z 3dx = 12 Z x2 dx − 4 Z xdx + 3 Z dx = 12 x3 3 − 4 x2 2 + 3x + C = 4x3 − 2x2 + 3x + C 19 / 21
  • 20.
    Ejemplo Calcule Z √ x x + 1 x +2 dx Solución: Z √ x x + 1 x + 2 dx = Z x 3 2 + x−1 2 + 2x 1 2 dx = x 5 2 5 2 + x 1 2 1 2 + 2 x 3 2 3 2 + C = 2 5 x 5 2 + 2x 1 2 + 4 3 x 3 2 + C 20 / 21
  • 21.
    Ejemplo Calcule Z (2x −3)3 x dx Solución: Z (2x + 1)3 x dx = Z 8x3 − 36x2 + 54x − 27 x dx = Z 8x2 − 36x + 54 − 27 x dx = 8 Z x2 dx − 36 Z xdx + 54 Z dx − 27 Z 1 x dx = 8 x3 3 − 18x2 + 54x − 27 ln |x| + C 21 / 21