FACULTAD DE INGENIERÍA


      INVESTIGACION CIENTIFICA


     MATERIA: Telecomunicaciones
                  II




Docente: ING EDISION COIMBRA


Alumno:


Javier Montero L.                 2009113241




          Santa Cruz - Noviembre del 2012
RADIOENLACESES PARA ZONAS
                RURALES
1. MARCO TEORICO

QUE ES UN RADIO ENLACE.

Se denomina radio enlace a cualquier interconexión entre los terminales de telecomunicaciones
efectuados por ondas electromagnéticas. Si los terminales son fijos, el servicio se lo denomina
como tal y si algún terminal es móvil, se lo denomina dentro de los servicios de esas
características.

Se puede definir al radio enlace del servicio fijo, como sistemas de comunicaciones entre puntos
fijos situados sobre la superficie terrestre, que proporcionan una capacidad de información, con
características de calidad y disponibilidad determinadas. Típicamente estos enlaces se explotan
entre los 800 MHz y 42 GHz.

Los radio enlaces, establecen un concepto de comunicación del tipo dúplex, de donde se deben
transmitir dos portadoras moduladas: una para la Transmisión y otra para la recepción. Al par de
frecuencia asignadas para la transmisión y recepción de las señales, se lo denomina radio canal.

Los enlaces se hacen básicamente entre puntos visibles, es decir, puntos altos de la topografía.
Cualquiera que sea la magnitud del sistema de microondas, para un correcto funcionamiento es
necesario que los recorridos entre enlaces tengan una altura libre adecuada para la propagación
en toda época del año, tomando en cuenta las variaciones de las condiciones atmosféricas de la
región.

Para poder calcular las alturas libres debe conocerse la topografía del terreno, así como la altura y
ubicación de los obstáculos que puedan existir en el trayecto.

Conceptos de Diseño:

Los radio enlaces de microondas se realizan sólo si existe una vista del receptor (LOS, Line
Of Sight), proveen conectividad de una manera sencilla y práctica entre dos o más sitios. La
línea de visión (LOS) implica que la antena en un extremo del radio enlace debe poder
"ver" la antena del otro extremo.

El diseño de un radio enlace de microondas LOS involucra cuatro pasos básicos:

        Elección del sitio de instalación.
        Relevamiento del perfil del terreno y cálculo de la altura del mástil para la antena.
        Cálculo completo del radio enlace, estudio de la trayectoria del mismo y los efectos a los
        que se encuentra expuesto.
Prueba posterior a la instalación del radio enlace, y su posterior puesta en servicio con
       tráfico                                                                              real.

Estructura de un radio enlace:

Un radio enlace está constituido por estaciones terminales y repetidoras intermedias, con
equipos transceptores, antenas y elementos de supervisión y reserva.

Además de las estaciones repetidoras, existen las estaciones nodales donde se demodula la
señal y de la baja a banda base y en ocasiones se extraen o se insertan canales. Al tramo
terminal estación nodal se lo denomina sección de conmutación y es una entidad de control,
protección                                   y                                supervisión.
En cuanto a los repetidores se los puede clasificar en activos o pasivos.
        Activos: En ellos se recibe la señal en la frecuencia de portadora y se la baja a una
       frecuencia intermedia (FI) para amplificarla y retransmitirla en la frecuencia de salida. No
       hay demodulación y son transceptores.

        Pasivos: Se comportan como espejos que reflejan la señal y se los puede dividir en pasivos
       convencionales, que son una pantalla reflectora y los pasivos back-back, que están
       constituidos por dos antenas espalda a espalda. Se los utiliza en ciertos casos para salvar
       obstáculos aislados y de corta distancia




PARTICULARIDADES DE LOS ENLACES DE LARGA DISTANCIA

Usar estructuras adecuadas para colocar las antenas de manera que la Zona de Fresnel y la
curvatura de la tierra puedan ser despejadas. Elegir equipo especializado, o modificar
equipos para distancia corta y transformarlos en equipos de larga distancia. Utilizar técnicas
apropiadas de alineamiento de antenas.
El equipo debería escogerse tratando de maximizar el nivel de la señal disponible en ambos
extremos del enlace. Las antenas externas son imprescindibles para enlaces de larga
distancia. Además de las consideraciones de presupuesto, hay asuntos de protocolo que hay
que examinar (como tiempo de reconocimiento, nodo escondido y otros problemas de
acceso).

Problemas de Temporización.

El método de acceso al medio de 802.11 prevé un tiempo de espera por el acuse de recibo
de las tramas (ACK) muy corto. A distancias mayores de unos 15 km, el tiempo de
propagación de las ondas electromagnéticas se hace significativo, por lo que es necesario
incrementar el valor del tiempo de espera por encima del estándar.
!Se requiere 1 ms para que las ondas de radio viajen 300 km! Algunas tarjetas y drivers
(como los de Atheros) permiten el ajuste de la temporización, y con esto, comunicaciones a
muy largas distancias.
 WiMAX y algunos protocolos privativos (como Mikrotik Nstreme, o Ubiquiti AirMAX)
usan TDMA para evitar estos problemas de excesivos retardos de los ACK.
TEORIA DE ANTENAS

Las antenas reales se caracterizan por irradiar más fuertemente en ciertas direcciones que
en otras; esto es lo que se denomina la directividad de la antena.
Al tomar en cuenta la eficiencia de la antena, esta preferencia por la radiación en una
determinada dirección se denomina la ganancia de la antena.
El ancho de banda en las antenas se refiere al rango de frecuencias sobre el cual la antena
opera satisfactoriamente. Se debe escoger una antena adecuada las frecuencias que
pretende usar. (por ejemplo, use una antena de 2.4 GHz para 802.11 b/g, y una antena a 5
GHz para 802.11a).
El patrón o diagrama de radiación de una antena es una representación de la distribución
de potencia de la radiación recibida o irradiada por la antena en diferentes regiones del
espacio. Se suele representar en función de ángulos de dirección centrados en la antena. La
representación mediante coordenadas polares es mucho más común que con coordenadas
rectangulares, porque proporciona una mejor visual de las características de la antena en
cada dirección.
El ancho del haz de una antena es la medida angular de aquella porción del espacio en
donde la potencia irradiada es mayor o igual que la mitad de su valor máximo.
La relación adelante-atrás (f/b) de una antena directiva es el cociente entre la directividad
máxima a su directividad en sentido opuesto.
Ya que las ondas electromagnéticas tienen componentes eléctricos y magnéticos, la
polarización de las antenas transmisoras y receptoras DEBE SER LA MISMA para
optimizar la comunicación.

REPETIDORA CELULAR PARA LUGARES DE BAJA SEÑAL

Una solución pensada para el usuario que no dispone de señal celular dentro de recintos
cerrados pequeños o amplios, donde la señal no es suficiente debido Accidentes Geográficos o
abundantes                                                                               arboledas.
Los repetidores celulares Amplificador de Escritorio de Doble Banda 800/1900 MHz
SIGNALBOOST™ DT (801247) permiten extender la cobertura celular en ambientes y zonas
donde el enlace de los celulares con la antena de Radio Base es deficiente debido a arboledas o
accidentes geográficos (montañas, cerros etc.) o la zona sin cobertura se encuentra en
depresiones o valles. El área de cobertura dependerá básicamente de la señal que se disponga
de la Radio Base celular en el lugar de montaje del sistema y del tipo de sistema irradiante que
se utilice. Soportan las tecnologías celulares actuales 1G, 2G y 3G en las bandas 800/1900. El
sistema se alimenta con 12VDC y el bajo consumo permite la alimentación con energías
alternativas.
En todas las redes celulares del mundo hay zonas que por distintos aspectos no poseen una
cobertura aceptable, ya sea por ser un área confinada, porque la señal es bloqueada o
sencillamente porque el lugar de trabajo está muy alejado de la radio-base. En estos casos
puntuales, el usuario queda fuera del servicio.
En otros casos, se le presenta la incomodidad de buscar una zona en particular para establecer la
comunicación o la incertidumbre de una llamada perdida. La única solución en estos casos es el
Repetidor Celular para lugares cerrados (casas, oficinas, talleres etc.). Su operación asegura que
una determinada zona disponga de cobertura manteniendo el celular con libertad de
comunicación.

Características
• Paquete completo, todo lo que necesita está en la caja
• Funcionamiento inalámbrico, no se conecta al teléfono o tarjeta de datos celular
• Trabaja en cualquier ubicación interior donde se necesita señal celular mejorada:
casas, oficinas y edificios
• El control lógico de potencia asegura que la máxima potencia de salida está dentro
de los estándares celulares
• Trabaja con todas las generaciones de CDMA, TDMA y GSM
• Aceptado por la FCC e IC

Ventajas
• Reduce significativamente las desconexiones e interrupciones
• Amplifica simultáneamente múltiples teléfonos y tarjetas de datos celulares
• Mejora considerablemente la calidad de las señales de voz y datos
• Aumenta las velocidades de comunicación de datos necesarias para las tecnologías
3G
• Recibe y transmite mejor que su teléfono celular
• Extiende el tiempo de uso de la batería del teléfono celular

2. RESUMEN EJECUTIVO.

Con este documento queremos mostrar cuales son los servicios más requeridos en las zonas
rurales, como ser en el caso de la telefonía y el servicio de acceso a internet, la calidad del
servicio brindado según el criterio del usuario o cliente, y en el caso de ser una zona sin
ninguna clase de cobertura de algún operador de telecomunicaciones, saber cuál sería el
servicio de telecomunicaciones mas requerido o más solicitado en el área.

Hipótesis

Pobladores de zonas rurales no están satisfechos con la cobertura de servicio de
telecomunicaciones en sus comunidades alejadas, y desearían tener los mismos beneficios
que tienen las zonas urbanas con respecto a los servicios de telecomunicaciones. Como ser
en coberturas y calidad de llamas, e internet.

   2.1. Identificación del Problema.

Se desconoce cuáles son las falencias en la cobertura de las señales telefónicas y el acceso a
internet en las zonas rurales, como ser la calidad de servicio, el área de cobertura, y los
servicios más requeridos por los usuarios o clientes.

   2.2. Objetivo General.
Obtener información actualizada sobre los servicios más requeridos en las zonas rurales,
como también saber sobre sus falencias, según el criterio el usuario final o cliente que viva
o transita por zonas rurales alejadas de los centros urbanos.

   2.3. Objetivo Especifico.

       Conocer qué tipo de servicios son los más requeridos por el usuario o cliente en las zonas
       rurales.
       Conocer cuál de los servicios es el más usado por los clientes.
       Conocer la opinión sobre la calidad del servicio, según el criterio del cliente.




3. MARCO METODOLOGICO

   3.1. Unidad de Análisis.

Se determino recolectar muestras de opiniones de las personas que viajan a zonas rurales
por diferentes motivos, y por alguna razón han tenido dificultades a la hora de acceder a los
servicios de telecomunicaciones, ya sea de telefonía o internet.
La cantidad de muestras recolectadas fueron de 40 encuestas de personas, de diferentes
rubros de trabajo considerándolos como clientes finales.
Las variables a tener en cuenta para este caso fueron:
    Calidad del servicio en la cobertura de llamadas, y el ancho de banda a la hora de acceder
     a internet, dependiendo de la tecnología que se use (internet móvil, adsl, wimax, etc).
    Costos de servicios. La relación que existe entre el costo económico, la calidad del servicio,
     y si el cliente cree que hay una relación coherente entre entra estas dos variables,
     obteniendo buenos beneficios de esta.
    Servicios más requeridos. Para tener en cuenta cuales son los servicios más requeridos y
     más usados por el usuario final, y con qué fin lo ocuparía.

ENCUESTA

   1. Qué tipo de tecnología usa para conectarse a internet?
         a. Internet móvil ( 3G, 3.5G, 4G).
         b. ADSL ( Banda ancha ).
         c. WiMax
         d. No tiene acceso.
         e. Otros. __________________



   2. Qué tipo de tecnología usa para comunicarse por teléfono?
         a. Teléfono fijo.
         b. Teléfono celular.
c. Tipazo o sus semejantes.
          d. No tiene acceso a telefonía.

  3. Como calificaría a su cobertura telefónica en las zonas rurales.
        a. Muy buena
        b. Buena
        c. Regular
        d. Mala.

  4. Está usted de acuerdo con la calidad de servicio de internet?.
         a. Muy de acuerdo
         b. De acuerdo.
         c. Regular.
         d. Nada de acuerdo.
         e. Pésimo.

  5. Está usted conforme con la cobertura de telefonía de su proveedor de servicio?.
         a. Muy conforme
         b. Conforme
         c. Regular.
         d. Nada conforme.
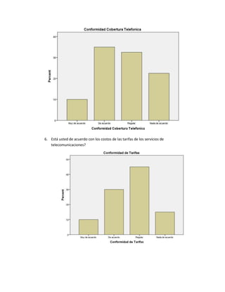
         e. Pésimo.

  6. Está usted de acuerdo con los costos de las tarifas de los servicios de telecomunicaciones?.
         a. Muy de acuerdo.
         b. De acuerdo.
         c. Regular.
         d. Nada de acuerdo.
         e. Pésimo.

RESULTADOS DE LA ENCUESTA:
      1. Qué tipo de tecnología usa para conectarse a internet ?
2. Qué tipo de tecnología usa para comunicarse por teléfono?




3. Como calificaría a su cobertura telefónica en las zonas rurales.
4. Está usted de acuerdo con la calidad de servicio de internet?




5. Está usted conf orme con la cobertura de telefonía de su proveedor de servicio?
6. Está usted de acuerdo con los costos de las tarifas de los servicios de
   telecomunicaciones?
PROPUESTA


Radio Enlaces para zonas rurales: Ubiquiti AirFiber


                                                Presentamos como propuesta para mejorar la
                                                calidad de los servicios y abaratar los costos
                                                de implementación de medio de transmisión,
                                                como ser el caso del tendido de fibra para
                                                los mayores volúmenes de tráfico. Un
                                                producto de Ubiquiti AirFiber, con un
                                                rendimiento de 1.4Gbps de transmisión
                                                punto a punto, y con un rango de 13 km con
                                                línea de vista en un radioenlace .
                                                Dirigiéndonos a las zonas menos atendidas,
                                                este producto es ideal para llevar internet a
                                                las zonas alejadas, puede ser desplegado en
                                                cualquier lugar.
                                                Uso de la licencia mundial libre de banda
                                                24GHz, airFiber puede ser libremente
                                                adquirido y desarrollado casi en cualquier
lugar. Además, el producto fue diseñado para ser instantáneamente la configuración y
configurar.
El Diseño Avanzado de airFiber utiliza con patente pendiente tecnología para eliminar
virtualmente latencia de transmisión de paquetes. Estándares inalámbricos convencionales
tienen una latencia al tener que recibir un paquete antes de que un paquete esté transmitido.
AirFiber puede transmitir datos síncrona sin ningún tiempo de espera.
airFiber ofrece 1,4 + Gbps de rendimiento total. Para poner esto en perspectiva, airFiber
puede transmitir un archivo de 100 MB en menos de un segundo.
Con la velocidad y el rendimiento superando a las redes convencionales cableadas, airFiber
prevalece sobre las infraestructuras cableadas costosas y que requieren mucho trabajo.
AirFiber no comparten los riesgos de
                                           seguridad     asociados      con     conexiones
                                           cableadas. Las distancias de los viajes de
                                           regreso con cable son vulnerables al robo de
                                           cobre, el daño de fibra óptica, vandalismo, y la
                                           rotura accidental. Con airFiber, sólo los puntos
                                           de instalación de los enlaces airFiber necesitan
                                           ser asegurados.




La innovadora tecnología de Ubiquiti de módem, fue construida desde cero para abordar los
desafíos específicos de al aire libre, sin licencia, el funcionamiento inalámbrico. Cada
aspecto de la radio ha sido cuidadosamente diseñado para simular y optimizar alcance,
velocidad, y rendimiento de latencia en los entornos más duros de ruido de RF. AirFiber
dispone tradicional TDD y FDD modos de operación, además de la innovadora División
híbrido doble cara (HDD) de modo, que proporciona un avance en el alcance y el
rendimiento eficiencia espectral.
CONCLUSION

Se pudo constatar que efectivamente que personas que trabajan o transitan por zonas rurales
o comunidades alejadas de centros urbanos, tienen alguna disconformidad con los servicios
y la cobertura brindada por las empresas de telecomunicaciones en este tipo de zonas. Para
tratar de revertir de alguna manera la falta de cobertura en algunas zonas muy alejadas,
donde es muy difícil llegar con tendidos de fibra o algún otro medio de transmisión fisco,
hemos elegido un equipo de la marca Ubiquiti de la línea AirMax, como el más
recomendable para estos casos.
Este modelo de Ubiquiti, AirMax, tiene la particularidad de poder transmitir a mas
1.4Gbps, tener un alcance mayor a 13km en conexiones punto a punto con línea de vista, y
trabajar con una frecuencia libre de 24Ghz. Fue fabricado para exteriores y soportar
inclemencias climáticas, esto hace posible su instalación en cualquier territorio geográfico,
llevando a mas lugares más lejanos la posibilidad de tener accesos a los servicios de
telecomunicaciones.

Investigacion cientifica

  • 1.
    FACULTAD DE INGENIERÍA INVESTIGACION CIENTIFICA MATERIA: Telecomunicaciones II Docente: ING EDISION COIMBRA Alumno: Javier Montero L. 2009113241 Santa Cruz - Noviembre del 2012
  • 2.
    RADIOENLACESES PARA ZONAS RURALES 1. MARCO TEORICO QUE ES UN RADIO ENLACE. Se denomina radio enlace a cualquier interconexión entre los terminales de telecomunicaciones efectuados por ondas electromagnéticas. Si los terminales son fijos, el servicio se lo denomina como tal y si algún terminal es móvil, se lo denomina dentro de los servicios de esas características. Se puede definir al radio enlace del servicio fijo, como sistemas de comunicaciones entre puntos fijos situados sobre la superficie terrestre, que proporcionan una capacidad de información, con características de calidad y disponibilidad determinadas. Típicamente estos enlaces se explotan entre los 800 MHz y 42 GHz. Los radio enlaces, establecen un concepto de comunicación del tipo dúplex, de donde se deben transmitir dos portadoras moduladas: una para la Transmisión y otra para la recepción. Al par de frecuencia asignadas para la transmisión y recepción de las señales, se lo denomina radio canal. Los enlaces se hacen básicamente entre puntos visibles, es decir, puntos altos de la topografía. Cualquiera que sea la magnitud del sistema de microondas, para un correcto funcionamiento es necesario que los recorridos entre enlaces tengan una altura libre adecuada para la propagación en toda época del año, tomando en cuenta las variaciones de las condiciones atmosféricas de la región. Para poder calcular las alturas libres debe conocerse la topografía del terreno, así como la altura y ubicación de los obstáculos que puedan existir en el trayecto. Conceptos de Diseño: Los radio enlaces de microondas se realizan sólo si existe una vista del receptor (LOS, Line Of Sight), proveen conectividad de una manera sencilla y práctica entre dos o más sitios. La línea de visión (LOS) implica que la antena en un extremo del radio enlace debe poder "ver" la antena del otro extremo. El diseño de un radio enlace de microondas LOS involucra cuatro pasos básicos: Elección del sitio de instalación. Relevamiento del perfil del terreno y cálculo de la altura del mástil para la antena. Cálculo completo del radio enlace, estudio de la trayectoria del mismo y los efectos a los que se encuentra expuesto.
  • 3.
    Prueba posterior ala instalación del radio enlace, y su posterior puesta en servicio con tráfico real. Estructura de un radio enlace: Un radio enlace está constituido por estaciones terminales y repetidoras intermedias, con equipos transceptores, antenas y elementos de supervisión y reserva. Además de las estaciones repetidoras, existen las estaciones nodales donde se demodula la señal y de la baja a banda base y en ocasiones se extraen o se insertan canales. Al tramo terminal estación nodal se lo denomina sección de conmutación y es una entidad de control, protección y supervisión. En cuanto a los repetidores se los puede clasificar en activos o pasivos. Activos: En ellos se recibe la señal en la frecuencia de portadora y se la baja a una frecuencia intermedia (FI) para amplificarla y retransmitirla en la frecuencia de salida. No hay demodulación y son transceptores. Pasivos: Se comportan como espejos que reflejan la señal y se los puede dividir en pasivos convencionales, que son una pantalla reflectora y los pasivos back-back, que están constituidos por dos antenas espalda a espalda. Se los utiliza en ciertos casos para salvar obstáculos aislados y de corta distancia PARTICULARIDADES DE LOS ENLACES DE LARGA DISTANCIA Usar estructuras adecuadas para colocar las antenas de manera que la Zona de Fresnel y la curvatura de la tierra puedan ser despejadas. Elegir equipo especializado, o modificar equipos para distancia corta y transformarlos en equipos de larga distancia. Utilizar técnicas apropiadas de alineamiento de antenas. El equipo debería escogerse tratando de maximizar el nivel de la señal disponible en ambos extremos del enlace. Las antenas externas son imprescindibles para enlaces de larga distancia. Además de las consideraciones de presupuesto, hay asuntos de protocolo que hay que examinar (como tiempo de reconocimiento, nodo escondido y otros problemas de acceso). Problemas de Temporización. El método de acceso al medio de 802.11 prevé un tiempo de espera por el acuse de recibo de las tramas (ACK) muy corto. A distancias mayores de unos 15 km, el tiempo de propagación de las ondas electromagnéticas se hace significativo, por lo que es necesario incrementar el valor del tiempo de espera por encima del estándar. !Se requiere 1 ms para que las ondas de radio viajen 300 km! Algunas tarjetas y drivers (como los de Atheros) permiten el ajuste de la temporización, y con esto, comunicaciones a muy largas distancias. WiMAX y algunos protocolos privativos (como Mikrotik Nstreme, o Ubiquiti AirMAX) usan TDMA para evitar estos problemas de excesivos retardos de los ACK.
  • 4.
    TEORIA DE ANTENAS Lasantenas reales se caracterizan por irradiar más fuertemente en ciertas direcciones que en otras; esto es lo que se denomina la directividad de la antena. Al tomar en cuenta la eficiencia de la antena, esta preferencia por la radiación en una determinada dirección se denomina la ganancia de la antena. El ancho de banda en las antenas se refiere al rango de frecuencias sobre el cual la antena opera satisfactoriamente. Se debe escoger una antena adecuada las frecuencias que pretende usar. (por ejemplo, use una antena de 2.4 GHz para 802.11 b/g, y una antena a 5 GHz para 802.11a). El patrón o diagrama de radiación de una antena es una representación de la distribución de potencia de la radiación recibida o irradiada por la antena en diferentes regiones del espacio. Se suele representar en función de ángulos de dirección centrados en la antena. La representación mediante coordenadas polares es mucho más común que con coordenadas rectangulares, porque proporciona una mejor visual de las características de la antena en cada dirección. El ancho del haz de una antena es la medida angular de aquella porción del espacio en donde la potencia irradiada es mayor o igual que la mitad de su valor máximo. La relación adelante-atrás (f/b) de una antena directiva es el cociente entre la directividad máxima a su directividad en sentido opuesto. Ya que las ondas electromagnéticas tienen componentes eléctricos y magnéticos, la polarización de las antenas transmisoras y receptoras DEBE SER LA MISMA para optimizar la comunicación. REPETIDORA CELULAR PARA LUGARES DE BAJA SEÑAL Una solución pensada para el usuario que no dispone de señal celular dentro de recintos cerrados pequeños o amplios, donde la señal no es suficiente debido Accidentes Geográficos o abundantes arboledas. Los repetidores celulares Amplificador de Escritorio de Doble Banda 800/1900 MHz SIGNALBOOST™ DT (801247) permiten extender la cobertura celular en ambientes y zonas donde el enlace de los celulares con la antena de Radio Base es deficiente debido a arboledas o accidentes geográficos (montañas, cerros etc.) o la zona sin cobertura se encuentra en depresiones o valles. El área de cobertura dependerá básicamente de la señal que se disponga de la Radio Base celular en el lugar de montaje del sistema y del tipo de sistema irradiante que se utilice. Soportan las tecnologías celulares actuales 1G, 2G y 3G en las bandas 800/1900. El sistema se alimenta con 12VDC y el bajo consumo permite la alimentación con energías alternativas. En todas las redes celulares del mundo hay zonas que por distintos aspectos no poseen una cobertura aceptable, ya sea por ser un área confinada, porque la señal es bloqueada o sencillamente porque el lugar de trabajo está muy alejado de la radio-base. En estos casos puntuales, el usuario queda fuera del servicio. En otros casos, se le presenta la incomodidad de buscar una zona en particular para establecer la comunicación o la incertidumbre de una llamada perdida. La única solución en estos casos es el Repetidor Celular para lugares cerrados (casas, oficinas, talleres etc.). Su operación asegura que
  • 5.
    una determinada zonadisponga de cobertura manteniendo el celular con libertad de comunicación. Características • Paquete completo, todo lo que necesita está en la caja • Funcionamiento inalámbrico, no se conecta al teléfono o tarjeta de datos celular • Trabaja en cualquier ubicación interior donde se necesita señal celular mejorada: casas, oficinas y edificios • El control lógico de potencia asegura que la máxima potencia de salida está dentro de los estándares celulares • Trabaja con todas las generaciones de CDMA, TDMA y GSM • Aceptado por la FCC e IC Ventajas • Reduce significativamente las desconexiones e interrupciones • Amplifica simultáneamente múltiples teléfonos y tarjetas de datos celulares • Mejora considerablemente la calidad de las señales de voz y datos • Aumenta las velocidades de comunicación de datos necesarias para las tecnologías 3G • Recibe y transmite mejor que su teléfono celular • Extiende el tiempo de uso de la batería del teléfono celular 2. RESUMEN EJECUTIVO. Con este documento queremos mostrar cuales son los servicios más requeridos en las zonas rurales, como ser en el caso de la telefonía y el servicio de acceso a internet, la calidad del servicio brindado según el criterio del usuario o cliente, y en el caso de ser una zona sin ninguna clase de cobertura de algún operador de telecomunicaciones, saber cuál sería el servicio de telecomunicaciones mas requerido o más solicitado en el área. Hipótesis Pobladores de zonas rurales no están satisfechos con la cobertura de servicio de telecomunicaciones en sus comunidades alejadas, y desearían tener los mismos beneficios que tienen las zonas urbanas con respecto a los servicios de telecomunicaciones. Como ser en coberturas y calidad de llamas, e internet. 2.1. Identificación del Problema. Se desconoce cuáles son las falencias en la cobertura de las señales telefónicas y el acceso a internet en las zonas rurales, como ser la calidad de servicio, el área de cobertura, y los servicios más requeridos por los usuarios o clientes. 2.2. Objetivo General.
  • 6.
    Obtener información actualizadasobre los servicios más requeridos en las zonas rurales, como también saber sobre sus falencias, según el criterio el usuario final o cliente que viva o transita por zonas rurales alejadas de los centros urbanos. 2.3. Objetivo Especifico. Conocer qué tipo de servicios son los más requeridos por el usuario o cliente en las zonas rurales. Conocer cuál de los servicios es el más usado por los clientes. Conocer la opinión sobre la calidad del servicio, según el criterio del cliente. 3. MARCO METODOLOGICO 3.1. Unidad de Análisis. Se determino recolectar muestras de opiniones de las personas que viajan a zonas rurales por diferentes motivos, y por alguna razón han tenido dificultades a la hora de acceder a los servicios de telecomunicaciones, ya sea de telefonía o internet. La cantidad de muestras recolectadas fueron de 40 encuestas de personas, de diferentes rubros de trabajo considerándolos como clientes finales. Las variables a tener en cuenta para este caso fueron:  Calidad del servicio en la cobertura de llamadas, y el ancho de banda a la hora de acceder a internet, dependiendo de la tecnología que se use (internet móvil, adsl, wimax, etc).  Costos de servicios. La relación que existe entre el costo económico, la calidad del servicio, y si el cliente cree que hay una relación coherente entre entra estas dos variables, obteniendo buenos beneficios de esta.  Servicios más requeridos. Para tener en cuenta cuales son los servicios más requeridos y más usados por el usuario final, y con qué fin lo ocuparía. ENCUESTA 1. Qué tipo de tecnología usa para conectarse a internet? a. Internet móvil ( 3G, 3.5G, 4G). b. ADSL ( Banda ancha ). c. WiMax d. No tiene acceso. e. Otros. __________________ 2. Qué tipo de tecnología usa para comunicarse por teléfono? a. Teléfono fijo. b. Teléfono celular.
  • 7.
    c. Tipazo osus semejantes. d. No tiene acceso a telefonía. 3. Como calificaría a su cobertura telefónica en las zonas rurales. a. Muy buena b. Buena c. Regular d. Mala. 4. Está usted de acuerdo con la calidad de servicio de internet?. a. Muy de acuerdo b. De acuerdo. c. Regular. d. Nada de acuerdo. e. Pésimo. 5. Está usted conforme con la cobertura de telefonía de su proveedor de servicio?. a. Muy conforme b. Conforme c. Regular. d. Nada conforme. e. Pésimo. 6. Está usted de acuerdo con los costos de las tarifas de los servicios de telecomunicaciones?. a. Muy de acuerdo. b. De acuerdo. c. Regular. d. Nada de acuerdo. e. Pésimo. RESULTADOS DE LA ENCUESTA: 1. Qué tipo de tecnología usa para conectarse a internet ?
  • 8.
    2. Qué tipode tecnología usa para comunicarse por teléfono? 3. Como calificaría a su cobertura telefónica en las zonas rurales.
  • 9.
    4. Está ustedde acuerdo con la calidad de servicio de internet? 5. Está usted conf orme con la cobertura de telefonía de su proveedor de servicio?
  • 10.
    6. Está ustedde acuerdo con los costos de las tarifas de los servicios de telecomunicaciones?
  • 11.
    PROPUESTA Radio Enlaces parazonas rurales: Ubiquiti AirFiber Presentamos como propuesta para mejorar la calidad de los servicios y abaratar los costos de implementación de medio de transmisión, como ser el caso del tendido de fibra para los mayores volúmenes de tráfico. Un producto de Ubiquiti AirFiber, con un rendimiento de 1.4Gbps de transmisión punto a punto, y con un rango de 13 km con línea de vista en un radioenlace . Dirigiéndonos a las zonas menos atendidas, este producto es ideal para llevar internet a las zonas alejadas, puede ser desplegado en cualquier lugar. Uso de la licencia mundial libre de banda 24GHz, airFiber puede ser libremente adquirido y desarrollado casi en cualquier lugar. Además, el producto fue diseñado para ser instantáneamente la configuración y configurar. El Diseño Avanzado de airFiber utiliza con patente pendiente tecnología para eliminar virtualmente latencia de transmisión de paquetes. Estándares inalámbricos convencionales tienen una latencia al tener que recibir un paquete antes de que un paquete esté transmitido. AirFiber puede transmitir datos síncrona sin ningún tiempo de espera. airFiber ofrece 1,4 + Gbps de rendimiento total. Para poner esto en perspectiva, airFiber puede transmitir un archivo de 100 MB en menos de un segundo. Con la velocidad y el rendimiento superando a las redes convencionales cableadas, airFiber prevalece sobre las infraestructuras cableadas costosas y que requieren mucho trabajo.
  • 12.
    AirFiber no compartenlos riesgos de seguridad asociados con conexiones cableadas. Las distancias de los viajes de regreso con cable son vulnerables al robo de cobre, el daño de fibra óptica, vandalismo, y la rotura accidental. Con airFiber, sólo los puntos de instalación de los enlaces airFiber necesitan ser asegurados. La innovadora tecnología de Ubiquiti de módem, fue construida desde cero para abordar los desafíos específicos de al aire libre, sin licencia, el funcionamiento inalámbrico. Cada aspecto de la radio ha sido cuidadosamente diseñado para simular y optimizar alcance, velocidad, y rendimiento de latencia en los entornos más duros de ruido de RF. AirFiber dispone tradicional TDD y FDD modos de operación, además de la innovadora División híbrido doble cara (HDD) de modo, que proporciona un avance en el alcance y el rendimiento eficiencia espectral.
  • 13.
    CONCLUSION Se pudo constatarque efectivamente que personas que trabajan o transitan por zonas rurales o comunidades alejadas de centros urbanos, tienen alguna disconformidad con los servicios y la cobertura brindada por las empresas de telecomunicaciones en este tipo de zonas. Para tratar de revertir de alguna manera la falta de cobertura en algunas zonas muy alejadas, donde es muy difícil llegar con tendidos de fibra o algún otro medio de transmisión fisco, hemos elegido un equipo de la marca Ubiquiti de la línea AirMax, como el más recomendable para estos casos. Este modelo de Ubiquiti, AirMax, tiene la particularidad de poder transmitir a mas 1.4Gbps, tener un alcance mayor a 13km en conexiones punto a punto con línea de vista, y trabajar con una frecuencia libre de 24Ghz. Fue fabricado para exteriores y soportar inclemencias climáticas, esto hace posible su instalación en cualquier territorio geográfico, llevando a mas lugares más lejanos la posibilidad de tener accesos a los servicios de telecomunicaciones.