Republica Bolivariana De Venezuela
Ministerio Del Poder Popular Para La Educación
Instituto Politécnico Santiago Mariño
Sede – Barcelona
Cátedra: Algebra UV
Profesora: Alumno:
Milagros Maita Carlos Yánez.
Barcelona, marzo 2017.
Transformación Lineal
Es un conjunto de operaciones que se realizan sobre un elemento de un
sub espacio, para transformarlo en un elemento de otro sub- espacio. En
ocasiones trabajar con vectores es muy sencillo ya que pueden ser
fácilmente interpretados dentro de un contexto grafico, lamentablemente
no siempre ocurre y es necesario transformar a los vectores para poderlos
trabajar mas fácilmente.
Por otra parte, trabajar con sistemas lineales es mucho más sencillo que
con sistemas no lineales, ya que se puede utilizar una técnica llamada
superposición, la cual simplifica de gran manera gran variedad de
cálculos, por lo que es de gran interés demostrar que un proceso puede
ser reducido a un sistema lineal, lo cual solo puede lograrse demostrando
que estas operaciones forman una transformación lineal.
Método de Gauss Jordán.
Este método debe su nombre a Carl Friedrich Gauss y a Wilhelm Jordán.
Se trata de una serie de algoritmos del algebra lineal para determinar los
resultados de un sistema de ecuaciones lineales y así hallar matrices e
inversas. El sistema de Gauss se utiliza para resolver un sistema de
ecuaciones y obtener las soluciones por medio de la reducción del sistema
dado a otro que sea equivalente en el cual cada una de las ecuaciones
tendrá una incógnita menos que la anterior. La matriz que resulta de este
proceso lleva el nombre que se conoce como forma escalonada.
Para resolver sistemas de ecuaciones lineales con el método Gauss
Jordán, debemos en primer lugar anotar los coeficientes de las variables
del sistema de ecuaciones lineales con la notación matricial, por ejemplo:
También se le llama matriz aumentada.
También se le llama matriz aumentada.
Luego de realizado lo anterior procederemos a transformar dicha matriz en
una matriz identidad, o sea una matriz equivalente a la inicial, de la forma:
Núcleo
Podría decirse que se trata del componente principal o esencial de algo, al
que se suman o acoplan otros elementos para conformar una totalidad o
un conjunto.
Sea T : V → W una transformación lineal. El núcleo T es el subconjunto
formado por todos los
vectores en V que se mapean a cero en W.
Ker(T) = {v ∈ V | T(v) = 0 ∈ W}
Nulidad
Es una transformación lineal.
Sean V, W espacios vectoriales
sobre un campo F y sea T ∈ L(V, W). La nulidad de T se define como la
dimensión del núcleo de T: nulo(T) = dimensión (ker(T)
Imagen
La imagen es donde hay pivotes
Sean V, W espacios vectoriales sobre un campo F y sea T
L(V, W ). La imagen de T se define como el conjunto de
todos los valores de la aplicación T.
RANGO DE UNA TRANSFORMACION LINEAL.
El rango es una propiedad no sólo de las matrices sino extensible a las
aplicaciones lineales de las cuales las matrices son una representación
fijada la base. Definamos en primer lugar el concepto de rango de una
aplicación lineal de forma genérica. Dada aplicación o transformación
lineal:
F: K - L m
Se define el rango simplemente como la dimensión del conjunto imagen
de la aplicación:
Rango F = dim(Imf) < min(m , n)
RELACIONAR LAS MATRICES CON LAS TRANSFORMACIONES LINEALES .
Si bien las transformaciones lineales pueden estudiarse sin hacer
referencia alguna a las bases de los espacios dominio y condominio, un
cálculo efectivo de las mismas exige el conocimiento de dichas bases.
Cualquier transformación lineal T: V ® W puede representarse mediante
una matriz: T(x) = A x. La matriz A dependerá de las bases elegidas para V
y W. La matriz de una transformación lineal queda determinada cuando se
conocen una base ordenada de V, una base ordenada de W y los
transformados de la base de V, en la base de W.
Supongamos que el espacio V tiene una base {v1, ..., vn} y el espacio W
tiene una base {w1, ..., wm}. Entonces cualquier transformación lineal de V
en W se representa por una matriz A m x n. Si T (vi ) = ai1 w1 + .... + aim
wm, entonces la columna i de A es (ai1 .... aim )T.
EJERCICIOS DE TRANSFORMACIONES LINEALES.
1). Si V1 = (1,-1) , V2 = (2,-1), V3=(-3,2) y W1=(1,0), W2=(0,-1), W3=(1,1).
¿Existe una
transformación lineal T: R2à R, tal que T (vi) = Wi para i = 1,2,3 ?
Solución:
Si { v1, v2 , v3 }es base de R2 , entonces existe una única
transformación lineal T: R2 à R
Pero:
(-3,2) = -(1,-1) – ( 2,-1)
Þ { v1, v2 , v3 } no es linealmente Independiente
Þ { v1, v2 , v3 }no es base de R2
Þ no existe tal transformación lineal
2) . Sea T: R3 à R3
, transformación lineal , tal que :
T (1,1,1) = (1,0,2) ; T ( 1,0,1) = ( 0,1,1) ; T ( 0,1,1) = ( 1,0,1)
Encontrar T (x,y,z)
Solución:
Por demostrar que el conjunto {(1,1,1), (1,0,1),(0,1,1)} es base de
R3
Sea a.b.c Î R, tal que .
a(1,1,1) + b(1,0,1) + c(0,1,1) = (0,0,0)
a + b = 0
a + c = 0 Þ a = b = c = 0
a + b + c = 0
Luego {(1,1,1),(1,0,1),(0,1,1)} es linealmente Independiente
Sea (x,y,z) Î R3
entonces existen escalares a,b,c Î R tal que:
a(1,1,1) + b( 1,0,1) + c(0,1,1) =(x,y,z)
a + b = x
a + c = y Þ a = x + y - z ; b = z - y ; c = z - x
a + b + c = zUSACH – Álgebra 2005
Luego {(1,1,1),(1,0,1),(0,1,1)} es base de R3
Existe una única T transformación lineal de R3
en R3
tal que :
T(1,1,1) = (1,0,2) , T(1,0,1) = (0,1,1) , T(0,1,1) = (1,0,1)
T(x,y,z) = T(a(1,1,1) + b(1,0,1) + c(0,1,1))
T(x,y,z) = aT(1,1,1) + bT(1,0,1) + cT(0,1,1)
T(x,y,z) = (x+y-z)T(1,1,1) + (z-y)T(1,0,1) + (z-x)T(0,1,1)
T(x,y,z) = (x+y-z)(1,0,2) + (z-y)(0,1,1) + (z-x)(1,0,1)
T(x,y,z) = (y , z-y , x+y)
Demuestre que la transformación T : R2→R2
definida por
T " xy = " x + 3 y x + 2 y
es lineal.
Solución´
Sean u = " x1 y1 y v = " x2 y2
T(u + v) = T " x1 y1 + " x2 y2
T(u + v) = T " x1 y1 + " x2 y2 = T " x1 + x2 y1 + y2
x1 + x2) + 3 (y1 + y2) (x1 + x2) + 2 (y1 + y2)
x1 + 3 y1 x1 + 2 y1 # + " x2 + 3 y2 x2 + 2 y2
T " x1 y1 + T " x2 y2
= T(u) + T(v)
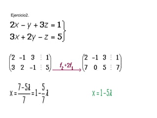
METODO DE GAUSS JORDAN EJERCICIOS
Ejercicio2.
Ejercicio3.
EJERCICIOS DE NUCLEO NUDALIDAD IMAGEN Y RANGO.
Determine el núcleo de la transformación de R3
en R2 definida como
T x y z
x + y + z
2 x + 2 y + 2 z
Solución
Un vector v = (a, b, c)
0 pertenece al núcleo de T si T(v) = 0, es decir si:
T(v) =
a + b + c
2 a + 2 b + 2 c
= 1 1 1
2 2 2 a b c
= 0 ( en R2) 3Por lo tanto, para pertenecer al núcleo debe cumplirse
a + b + c = 0
2 a + 2 b + 2 c = 0
Reduciendo tenemos:
a + b + c = 0
Determine el núcleo de T : R3→R3
.T =
x
y
z=
x − z
y + z
x − y
Solución
Sabemos que Ker(T) es el conjunto de todos los vectores v =< x, y, z >0
de R3
tal que T(v) = 0 (en R3)
T(v) =
x − z
y + z
x − y
1 0 −1
0 1 1
1 −1 0
x y z
0 0 0
Para resolver el sistema 1 0 −1 0 1 1 0 1 −1 0 0 1 0 0 0 0 1 0 0 0 0 1 0
El sistema tiene solución ´única y es 0. Por tanto,
Ker(T) = {0}
Determinemos el núcleo de T:
0 0 −2 3 0
0 0 −2 3 0
0 0 −8 12 0
0 0 −10 15 0
0 0 1 −3/2 0
0 0 0 0 0
0 0 0 0 0
0 0 0 0 0
Por lo tanto, los vectores del núcleo tienen la forma
( x y z w) = x (1c 0 0 0 ) + y ( 0 1 0 0) + w(0 0 3/2 1 )
es decir
Ker(T)= Gen ((1 0 0 0) (0 1 0 0) ( 0 0 3/2 1)
Determine la imagen de la transformación lineal de R3
en R3 definida como
T x y z
=
2 x + 5 y + z
8 x + 12 y + 6 z
−4 x − 2 y − 4 z
Solución
El vector v1 = (a, b, c)
0 de R3 de esta en la imagen de T si existe un vector (x, y, z) 0
en R3
tal que T((x, y, z) = v 0 1
es decir si es consistente el sistema
2x + 5y + z = a
8x + 12y + 6z = b
-4x – 2y – 4z = c
Ejercicio de Rango.
F3 = 2F1
F4 es nula
F5 = 2F2 + F1
r(A) = 2
Hallar el rango de la matriz siguiente:
Determinar el rango.
F2 = F2 − 3F1
F3= F3 − 2F1
Por tanto r(A) = 3 .
CONCLUSION
Se han visto mas detallado y con mas exactitud los teoremas y
propiedades que hilan todos los temas propuestos por este trabajo y se ha
se ha llegado a la conclusión de todos los temas están relacionados en
cierta forma ya que en varios de estos se necesita recurrir a las
propiedades que se han visto en temas anteriores. Con esto podríamos
decir que nos ha enseñado a tener un amplio criterio de la utilidad de
temas ya vistos en nuestra carrera, ya que no podemos omitir las
enseñanzas pasadas ya que estas nos forman las bases para comprender
y analizar y poder poner en practica los temas futuros. Este trabajo se ha
hecho con el fin de comprender de que no hay que dejar tirado lo ya
hemos aprendido antes ya que eso nos va a ayudar a solucionar
problemas en nuestro futuro, citando el dicho popular si no aprendemos
de nuestros errores del pasado los mismo nos estarán esperando en un
futuro.
BIBLIOGRAFIA
http://html.rincondelvago.com/transformaciones-lineales.html
http://mate.dm.uba.ar/~jeronimo/algebra_lineal/Capitulo3.pdf
http://www.uv.mx/personal/aherrera/files/2014/08/21c.-TRANSFORMACIONES-LINEALES-3.pdf
https://es.answers.yahoo.com/question/index?qid=20080114160648AAxrEmd
http://cb.mty.itesm.mx/ma1010/materiales/ma1010-17.pdf

Presentacion algebra

  • 1.
    Republica Bolivariana DeVenezuela Ministerio Del Poder Popular Para La Educación Instituto Politécnico Santiago Mariño Sede – Barcelona Cátedra: Algebra UV Profesora: Alumno: Milagros Maita Carlos Yánez. Barcelona, marzo 2017.
  • 2.
    Transformación Lineal Es unconjunto de operaciones que se realizan sobre un elemento de un sub espacio, para transformarlo en un elemento de otro sub- espacio. En ocasiones trabajar con vectores es muy sencillo ya que pueden ser fácilmente interpretados dentro de un contexto grafico, lamentablemente no siempre ocurre y es necesario transformar a los vectores para poderlos trabajar mas fácilmente. Por otra parte, trabajar con sistemas lineales es mucho más sencillo que con sistemas no lineales, ya que se puede utilizar una técnica llamada superposición, la cual simplifica de gran manera gran variedad de cálculos, por lo que es de gran interés demostrar que un proceso puede ser reducido a un sistema lineal, lo cual solo puede lograrse demostrando que estas operaciones forman una transformación lineal.
  • 3.
    Método de GaussJordán. Este método debe su nombre a Carl Friedrich Gauss y a Wilhelm Jordán. Se trata de una serie de algoritmos del algebra lineal para determinar los resultados de un sistema de ecuaciones lineales y así hallar matrices e inversas. El sistema de Gauss se utiliza para resolver un sistema de ecuaciones y obtener las soluciones por medio de la reducción del sistema dado a otro que sea equivalente en el cual cada una de las ecuaciones tendrá una incógnita menos que la anterior. La matriz que resulta de este proceso lleva el nombre que se conoce como forma escalonada. Para resolver sistemas de ecuaciones lineales con el método Gauss Jordán, debemos en primer lugar anotar los coeficientes de las variables del sistema de ecuaciones lineales con la notación matricial, por ejemplo: También se le llama matriz aumentada. También se le llama matriz aumentada. Luego de realizado lo anterior procederemos a transformar dicha matriz en una matriz identidad, o sea una matriz equivalente a la inicial, de la forma:
  • 4.
    Núcleo Podría decirse quese trata del componente principal o esencial de algo, al que se suman o acoplan otros elementos para conformar una totalidad o un conjunto. Sea T : V → W una transformación lineal. El núcleo T es el subconjunto formado por todos los vectores en V que se mapean a cero en W. Ker(T) = {v ∈ V | T(v) = 0 ∈ W} Nulidad Es una transformación lineal. Sean V, W espacios vectoriales sobre un campo F y sea T ∈ L(V, W). La nulidad de T se define como la dimensión del núcleo de T: nulo(T) = dimensión (ker(T) Imagen La imagen es donde hay pivotes Sean V, W espacios vectoriales sobre un campo F y sea T L(V, W ). La imagen de T se define como el conjunto de todos los valores de la aplicación T.
  • 5.
    RANGO DE UNATRANSFORMACION LINEAL. El rango es una propiedad no sólo de las matrices sino extensible a las aplicaciones lineales de las cuales las matrices son una representación fijada la base. Definamos en primer lugar el concepto de rango de una aplicación lineal de forma genérica. Dada aplicación o transformación lineal: F: K - L m Se define el rango simplemente como la dimensión del conjunto imagen de la aplicación: Rango F = dim(Imf) < min(m , n) RELACIONAR LAS MATRICES CON LAS TRANSFORMACIONES LINEALES . Si bien las transformaciones lineales pueden estudiarse sin hacer referencia alguna a las bases de los espacios dominio y condominio, un cálculo efectivo de las mismas exige el conocimiento de dichas bases.
  • 6.
    Cualquier transformación linealT: V ® W puede representarse mediante una matriz: T(x) = A x. La matriz A dependerá de las bases elegidas para V y W. La matriz de una transformación lineal queda determinada cuando se conocen una base ordenada de V, una base ordenada de W y los transformados de la base de V, en la base de W. Supongamos que el espacio V tiene una base {v1, ..., vn} y el espacio W tiene una base {w1, ..., wm}. Entonces cualquier transformación lineal de V en W se representa por una matriz A m x n. Si T (vi ) = ai1 w1 + .... + aim wm, entonces la columna i de A es (ai1 .... aim )T.
  • 7.
    EJERCICIOS DE TRANSFORMACIONESLINEALES. 1). Si V1 = (1,-1) , V2 = (2,-1), V3=(-3,2) y W1=(1,0), W2=(0,-1), W3=(1,1). ¿Existe una transformación lineal T: R2à R, tal que T (vi) = Wi para i = 1,2,3 ? Solución: Si { v1, v2 , v3 }es base de R2 , entonces existe una única transformación lineal T: R2 à R Pero: (-3,2) = -(1,-1) – ( 2,-1) Þ { v1, v2 , v3 } no es linealmente Independiente Þ { v1, v2 , v3 }no es base de R2 Þ no existe tal transformación lineal
  • 8.
    2) . SeaT: R3 à R3 , transformación lineal , tal que : T (1,1,1) = (1,0,2) ; T ( 1,0,1) = ( 0,1,1) ; T ( 0,1,1) = ( 1,0,1) Encontrar T (x,y,z) Solución: Por demostrar que el conjunto {(1,1,1), (1,0,1),(0,1,1)} es base de R3 Sea a.b.c Î R, tal que . a(1,1,1) + b(1,0,1) + c(0,1,1) = (0,0,0) a + b = 0 a + c = 0 Þ a = b = c = 0 a + b + c = 0 Luego {(1,1,1),(1,0,1),(0,1,1)} es linealmente Independiente Sea (x,y,z) Î R3
  • 9.
    entonces existen escalaresa,b,c Î R tal que: a(1,1,1) + b( 1,0,1) + c(0,1,1) =(x,y,z) a + b = x a + c = y Þ a = x + y - z ; b = z - y ; c = z - x a + b + c = zUSACH – Álgebra 2005 Luego {(1,1,1),(1,0,1),(0,1,1)} es base de R3 Existe una única T transformación lineal de R3 en R3 tal que : T(1,1,1) = (1,0,2) , T(1,0,1) = (0,1,1) , T(0,1,1) = (1,0,1) T(x,y,z) = T(a(1,1,1) + b(1,0,1) + c(0,1,1)) T(x,y,z) = aT(1,1,1) + bT(1,0,1) + cT(0,1,1) T(x,y,z) = (x+y-z)T(1,1,1) + (z-y)T(1,0,1) + (z-x)T(0,1,1) T(x,y,z) = (x+y-z)(1,0,2) + (z-y)(0,1,1) + (z-x)(1,0,1) T(x,y,z) = (y , z-y , x+y)
  • 10.
    Demuestre que latransformación T : R2→R2 definida por T " xy = " x + 3 y x + 2 y es lineal. Solución´ Sean u = " x1 y1 y v = " x2 y2 T(u + v) = T " x1 y1 + " x2 y2 T(u + v) = T " x1 y1 + " x2 y2 = T " x1 + x2 y1 + y2 x1 + x2) + 3 (y1 + y2) (x1 + x2) + 2 (y1 + y2) x1 + 3 y1 x1 + 2 y1 # + " x2 + 3 y2 x2 + 2 y2 T " x1 y1 + T " x2 y2 = T(u) + T(v)
  • 11.
    METODO DE GAUSSJORDAN EJERCICIOS
  • 12.
  • 13.
  • 14.
    EJERCICIOS DE NUCLEONUDALIDAD IMAGEN Y RANGO. Determine el núcleo de la transformación de R3 en R2 definida como T x y z x + y + z 2 x + 2 y + 2 z Solución Un vector v = (a, b, c) 0 pertenece al núcleo de T si T(v) = 0, es decir si: T(v) = a + b + c 2 a + 2 b + 2 c = 1 1 1 2 2 2 a b c = 0 ( en R2) 3Por lo tanto, para pertenecer al núcleo debe cumplirse a + b + c = 0 2 a + 2 b + 2 c = 0 Reduciendo tenemos: a + b + c = 0
  • 15.
    Determine el núcleode T : R3→R3 .T = x y z= x − z y + z x − y Solución Sabemos que Ker(T) es el conjunto de todos los vectores v =< x, y, z >0 de R3 tal que T(v) = 0 (en R3) T(v) = x − z y + z x − y 1 0 −1 0 1 1 1 −1 0 x y z 0 0 0 Para resolver el sistema 1 0 −1 0 1 1 0 1 −1 0 0 1 0 0 0 0 1 0 0 0 0 1 0 El sistema tiene solución ´única y es 0. Por tanto, Ker(T) = {0}
  • 16.
    Determinemos el núcleode T: 0 0 −2 3 0 0 0 −2 3 0 0 0 −8 12 0 0 0 −10 15 0 0 0 1 −3/2 0 0 0 0 0 0 0 0 0 0 0 0 0 0 0 0 Por lo tanto, los vectores del núcleo tienen la forma ( x y z w) = x (1c 0 0 0 ) + y ( 0 1 0 0) + w(0 0 3/2 1 ) es decir Ker(T)= Gen ((1 0 0 0) (0 1 0 0) ( 0 0 3/2 1)
  • 17.
    Determine la imagende la transformación lineal de R3 en R3 definida como T x y z = 2 x + 5 y + z 8 x + 12 y + 6 z −4 x − 2 y − 4 z Solución El vector v1 = (a, b, c) 0 de R3 de esta en la imagen de T si existe un vector (x, y, z) 0 en R3 tal que T((x, y, z) = v 0 1 es decir si es consistente el sistema 2x + 5y + z = a 8x + 12y + 6z = b -4x – 2y – 4z = c
  • 18.
    Ejercicio de Rango. F3= 2F1 F4 es nula F5 = 2F2 + F1 r(A) = 2 Hallar el rango de la matriz siguiente:
  • 19.
    Determinar el rango. F2= F2 − 3F1 F3= F3 − 2F1 Por tanto r(A) = 3 .
  • 20.
    CONCLUSION Se han vistomas detallado y con mas exactitud los teoremas y propiedades que hilan todos los temas propuestos por este trabajo y se ha se ha llegado a la conclusión de todos los temas están relacionados en cierta forma ya que en varios de estos se necesita recurrir a las propiedades que se han visto en temas anteriores. Con esto podríamos decir que nos ha enseñado a tener un amplio criterio de la utilidad de temas ya vistos en nuestra carrera, ya que no podemos omitir las enseñanzas pasadas ya que estas nos forman las bases para comprender y analizar y poder poner en practica los temas futuros. Este trabajo se ha hecho con el fin de comprender de que no hay que dejar tirado lo ya hemos aprendido antes ya que eso nos va a ayudar a solucionar problemas en nuestro futuro, citando el dicho popular si no aprendemos de nuestros errores del pasado los mismo nos estarán esperando en un futuro.
  • 21.