“Universidad Nacional Santiago
Antúnez de Mayolo”
FACULTAD DE INGENIERIA
INGENIERÍA CIVIL
NOMBRE DEL CURSO: Mecánica De Suelos II
TRABAJO: 01
TITULO:
Programa de Exploración
Carretera Av. Túpac Amaru Tramo Av. Los Eucaliptos – Av.
Centenario.
DOCENTE:Ing. Adriana Caballero
ALUMNA:
Trejo Amado Irma 091.0904.454
Mecánica de Suelos II
Ingeniería Civil Página 2
PROGRAMA DE EXPLORACIÒN
CARRETERA AV. TUPAC AMARU TRAMO AV. LOS EUCALIPTOS – AV.
CENTENARIO
I. INFORMACION PREVIA
1.1. UBICACIÓN GEOGRÁFICA
1.1.1. Cordillera: Blanca
1.1.2. Sector: Callejón de Huaylas
1.1.3. Altitud Media: 3100m.s.n.m.
1.1.4. Cuenca Hidrográfica: Santa
1.1.5. Cardinal respecto a la Ciudad: Este
1.2. UBICACIÓN POLITICA
1.2.1. Región: Ancash
1.2.2. Departamento: Ancash
1.2.3. Provincia: Huaraz
1.2.4. Distrito:Independencia
1.3. IMPACTO SOCIOECONOMICO
1.3.1. Beneficiarios del Proyecto
El estudio de la carretera beneficiara directa e indirectamente a toda la
población de la ciudad de Huaraz, específicamente a los moradores de la
Av. Túpac Amaru.
1.4. VIAS DE COMUNICACIÓN Y ACCESO
Las vías de acceso a la Av. Túpac Amaru, para el estudio de la carretera
son:
 Por el sur con la Av. Confraternidad Internacional Este
 Por el norte con la Av. Centenario
Mecánica de Suelos II
Ingeniería Civil Página 3
 Perpendicular por el Este con la Av. Los Eucaliptos, Pj. Los Gavilanes,
Pj. Los Ibis, Pj. Las Garzas, Pj. Los Cisnes, Pj. Los Flamencos, Pj. Los
Tucanes y Pj. Los Risueños.
1.5. POBLACIÓN BENEFICIARIA
1.5.1. Directos
La población beneficiaria en modo directo, son los vecinos de la Av. Túpac
Amaru y calles aledañas a él, conjuntamente con las empresas de
transporte local.
1.5.2. Indirectos
La población indirectamente, lo constituyen todos los vecinos de la ciudad
de Huaraz, por formar parte del desarrollo integral y de la expansión
urbanística de la ciudad, también las personas que transitan a través de los
medios de transporte que constituye el camino a sus destinos.
1.6. SITUACIÓN ACTUAL DEL ÁREA
1.6.1. Fisiología y Climatología
El distrito de Independencia se encuentra enmarcado entre las cordilleras
Blanca y Negra, por la cual tiene una topografía accidentada, y su clima es
templado seco. En época de invierno la temperatura varía de 5°C – 18°C y
en la época de verano 5°C – 22°C.
1.6.2. Características Geologías
La ciudad de Huaraz viene comprendido por una diversidad de suelos, en
casi todo el tramo encontramos un suelo arenoso-arcilloso, limo-arenoso.
1.6.3. Características Socioeconómicas
Los vecinos beneficiarios de la Av. Túpac Amaru, poseen construcciones
de material noble y en un porcentaje poco representativo, construcciones
Mecánica de Suelos II
Ingeniería Civil Página 4
de adobe, son de diversos estratos sociales y economía variada con una
tendencia a crecer.
1.6.4. Características Geotécnicas del Suelo
Según la microzonificación geotécnica técnica realizada en un estudio por
INDECI.
El área pertenece a la Zona II-SUELOS TIPOII; Suelos consolidados y
compactos de baja amplificación sísmica, como demostró los bajos daños
en edificaciones y viviendas en el sismo de 31 de mayo de 1970.
Representa suelos conformados por fragmentos angulosos o cantos
rodados de diversos tamaños, que superan los 50 cms de diámetro,
rodeado de una matriz de limo-arcilloso arenoso.
En esta zona encontramos suelos SC (arena arcillosa, arena arcillosa con
grava), SC-SM (limo, arena arcillosa- limo, arena arcillosa con grava).
Capacidad portante muy superior a los 1 -1.5 kgs/cm².
Suelos consolidados con nivel freático bastante profundo.
1.6.5. Nivel freático
La profundidad de la mesa de agua y la compacidad del suelo confieren a
esta zona buena estabilidad y sin problemas para las fundaciones,
considerándose como una de las mejores zonas de la ciudad de Huaraz.
Con un nivel freático mayor a 3m (>3m). Capacidad portante muy superior
a los 1 -1.5 kgs/cm².
1.6.6. Hidrología
En la ciudad de Huaraz el régimen es estacional, observándose la
ocurrencia de precipitaciones en el periodo que se inicia en el mes de
Mecánica de Suelos II
Ingeniería Civil Página 5
Noviembre hasta el mes de Abril, y una época de estiaje comprendido entre
los meses de Mayo a Octubre. La precipitación media anual es de
665.4mm.
1.6.7. Basamento Rocoso
Por la interpretación geomorfológica, se deduce que este basamento, con
probabilidad, está a una profundidad mayor que los 100 m. corresponden a
derrames lávicos, tobas, andesitas, rioliras, de resistencia generalmente
media.
1.6.8. Descripción Topográfica
La topografía de la zona del proyecto espocoaccidentada con algunos
tramos con pendientes medias y planas. Para efectos de diseño y elección
de parámetros del mismo, sea considerado a la zona como de topografía
media y plana.
1.7. IMPACTO AMBIENTAL
El estudio de la carretera contribuirá a la habilitación y mejoramiento de la
carretera Av. Túpac Amaru, con lo cual se mejorara en nivel de vida de los
pobladores.
La construcción de la carretera no genera impactos ambientales negativos,
debido que se consideraran el buen uso y desarrollo de las actividades.
II. HIPOTESIS
El tramo total es de 618.62 ml; las características fundamentales que presenta
el terreno es como sigue: De pendiente media, representa suelos compactos
y/o presencia de rocas, la capacidad portante del terreno es marcadamente
mayor a 1.50 Kg/cm2
, con un nivel freático profundo, mayor a 3 m.
Mecánica de Suelos II
Ingeniería Civil Página 6
Es un suelo eminentemente granular, con cierto porcentaje de gravas y limos.
Podemos encontrar en casi todo el tramo un suelo arenoso-arcilloso, y variando
en los últimos tramos arenoso-limos y arenoso-arcilloso. En ambos casos con
un porcentaje inferior de gravas.
TABLA 01- HIPOTESIS
PROGRESIVA
TIPO DE SUELO
0+00 al 0+400 SC con una topografía de pendiente media.
0+400 al 618.62 SC-SM con una topografía plana
III. PARÁMETROS DEL SUELO
Existen Trabajo de Campo y Ensayo de Laboratorio
3.1. TRABAJO DE CAMPO
 Propiedades del Suelo
Consiste en conocer el tipo de suelo en la cual se desplantará la
cimentación, es decir determinar cuál será el comportamiento que
presentará el suelo, bajo las solicitaciones de carga de la estructura. El
estudio de suelos lleva consigo gran variedad de pruebas de laboratorio, en
las cuales se esquematizan las condiciones en las que se encuentra el
suelo en su estado original. Estas pruebas tratan de reflejar, por medio de
modelos de laboratorio, los diferentes comportamientos que puede tener un
suelo, así como conocer todos los parámetros que influyen en la
determinación del tipo de suelo.
Se tendrán las siguientes consideraciones:
 Inspección del terreno y reconocimiento de materiales.
Mecánica de Suelos II
Ingeniería Civil Página 7
 Alternativas de drenajes superficiales y sub-superficiales.
 Ensayos preliminares in situ.
3.1.1. Inspección del terreno y reconocimiento de materiales
Actividadque se realizará para reconocer el tipo de terreno, calidades,
limitaciones, si es necesario combinar suelos (estabilización preliminar suelo-
suelo) y en general todos los aspectos concernientes a la obtención de datos,
diseño, construcción y puesta en funcionamiento de las obras que se quieren
realizar.
A.- Determinación de las cargas de uso del suelo en la puesta en
funcionamiento
Se debe realizar un conteo y clasificación de vehículos. La determinación
de cargas estandarizadas y su correcta aplicación para la recreación de
esfuerzos aplicados al suelo y su respuesta, es fundamental si se piensa en
realizar un trabajo ajustado a la realidad.
B.-Periodo de servicio y frecuencia de sondeos o muestras
En cuanto al periodo de servicio, es de gran ayuda saber cuánto va a ser el
lapso de tiempo en el cual la estructura se someterá a los esfuerzos
previstos y de esta forma prevenir fatigas tempranas de lo construido. La
frecuencia de la toma de muestras deberá ser mínimo 1 sondeo cada 500
metros lineales (ml) ó en su defecto cada 3000 metros cuadrados (m2).
Cada sondeo o apique deberá satisfacer la condición de arrojar la
información mínima necesaria e individual para tomar decisiones en el
diseño y fijar una buena descripción que encamine de forma real el
conocimiento del suelo a trabajar.
Mecánica de Suelos II
Ingeniería Civil Página 8
3.1.2. Alternativas de drenajes superficiales y sub-superficiales
En la exploración del terreno para definir drenajes en el subsuelo, en la
superficie y para reconocer materiales, es de gran ayuda apoyarse en
todos los documentos posibles. Esto quiere decir que si se cuenta con
fotografías aéreas, planos geológicos, estudios previos, imágenes
satelitales, imágenes de radar, y en fin todo el compendio de información,
se deberá usar para mejorar la calidad de la información levantada en
campo.
3.1.3. Ensayos preliminares in situ
En este apartado solamente se tendrán en cuenta los procedimientos
mínimos para obtener información directamente del terreno e
inmediatamente se tiene contacto con el mismo. La frecuencia de la toma
de muestras deberá ser mínimo 1 sondeo cada 500 ml o en su defecto
cada 3000 metros cuadrados m2. En concordancia con lo anterior la
profundidad adecuada hasta la cual se deberá llegar al realizar un apique o
sondeo deberá ser de 0,50 m a 1,80 m o más si se considera conveniente,
medidos desde el nivel del terreno natural. La profundidad de los sondeos
tendrá en cuenta la complejidad e importancia de cada proyecto, las cargas
y esfuerzos que deberá soportar la estructura durante toda su vida útil o
proyectada.
3.2. ENSAYOS DE LABORATORIO
Las muestras representativas se remiten al laboratorio para su respectivo
ensayo, los ensayos que generalmente se solicitan para caracterizar el suelo
son:
Mecánica de Suelos II
Ingeniería Civil Página 9
3.2.1. Granulometría de los Suelos
Se realizará con una muestra aproximada de 20 kg, pasando la muestra
por medio de tamices de diferentes mallas de aberturas descendentes,
hasta la malla número 4, los retenidos de cada malla se pesan y se calcula
la incidencia sobre el peso total de la muestra. Una vez determinados los
pesos correspondientes a cada tamiz se realizará la curva granulométrica
donde a cada malla le corresponde un punto, indicando el porcentaje que
pasó cada malla.
3.2.2. Límite de Consistencia
Se obtendrá una muestra de 100 gr del material después de haber sido
pasado por la malla 40, la cual se humedecerá y mezclará hasta que se
adopte una consistencia suave y uniforme. Se colocará una porción de esta
pasta en la copa de Casagrande con un espesor no mayor de un cm. Se
ranurará con el ranurador apropiado, manteniéndolo normal a la superficie
interior de la copa. Luego se iniciará el conteo de golpes hasta que la parte
interior del talud se cierre 0.5 plgs. Se repetirá varias veces para graficar
los valores y obtener la ordenada correspondiente a los 25 golpes que
define el límite líquido.
Para el límite plástico se obtiene la muestra que pasa la malla número 40,
luego se humedecerá y mezclará para poder rolar unos 15 gr sobre una
superficie vidrio o metal hasta alcanzar un diámetro de un octavo de plg y
en este momento el suelo se agriete o desmorone. Se obtendrán los
contenidos de humedad de cada una de las pruebas y el límite plástico se
calculará como el promedio de ellas.
Mecánica de Suelos II
Ingeniería Civil Página 10
3.2.3. Contenido de Agua o Humedad
Se pesará una muestra de suelo húmedo y después se colocará en el
horno a 110 grados centígrados durante 18 – 24 hrs para su secado total.
Luego se sacará del horno y se colocará en un desecador por 15 minutos y
después se registrará su peso. La relación entre el peso húmedo y el peso
seco se le conoce como humedad (W).
3.2.4. Prueba Triaxial
Las pruebas de compresión Triaxial se realizarán con el propósito de
determinar las características de esfuerzo – deformación y resistencia de
los suelos sujetos a esfuerzos cortantes. Para este ensayo se labrará con
el suelo un cilindro de 3.6 cm de diámetro y aproximadamente 9.00 cm de
altura, el cual se cubrirá con una membrana de látex. Se introducirá dentro
de la cámara Triaxial, se le aplicará la presión en el agua para confinar la
muestra. Ahora se aplican los incrementos de cargas con intervalos
definidos y se registran mientras el espécimen no haya fallado. Con esta
información obtenemos una gráfica de esfuerzo – deformación y además,
parámetros como la cohesión y el ángulo de fricción interna y con ellos, se
realiza el cálculo del esfuerzo cortante.
3.2.5. Consolidación Unidimensional
La prueba de consolidación tiene como objeto determinar el decremento de
volumen y la velocidad con que este decremento se produce, en un
espécimen de suelo, confinado lateralmente y sujeto a una carga axial.
Mecánica de Suelos II
Ingeniería Civil Página 11
Se preparará una muestra inalterada, cortando un fragmento cuyo volumen
sea del anillo de consolidación. Se debe evitar la evaporación por lo cual
debe prepararse en un cuarto húmedo. El procedimiento de esta prueba
consiste en:
Primeramente, se determinará el peso propio del anillo de consolidación y
dos placas de vidrio, además el área y su altura.
Posteriormente, se colocarán las piedras porosas arriba y debajo de la
muestra que está dentro del anillo. Se deben evitar movimientos del anillo y
de las piedras porosas al momento de la instalación en el banco de
consolidación. Se colocarán los micrómetros y se anotarán las lecturas
para el registro de deformaciones. Se procederá a colocar en la ménsula el
primer incremento de carga, evitando que el marco cause impacto sobre la
muestra y usando los pesos apropiados. Debe seleccionarse una carga
muy pequeña, la cual proporcione una presión tal que haga que no fluya la
muestra a través del espacio libre entre la piedra porosa y el anillo. Por otra
parte, si los incrementos son demasiado pequeños, la consolidación
secundaria haría poco notorio los efectos primarios.
Se realizarán incrementos de carga sobre la muestra, proporcionales a los
incrementos der carga de la estructura, una vez que esta haya sido
consolidada bajo el primer incremento. Es muy importante medir
correctamente el tiempo transcurrido desde el principio hasta el instante en
que se hace cada lectura. Una vez que en la curva de consolidación se
defina claramente el tramo recto de consolidación secundaria, se considera
que se ha completado la primaria, es en este momento cuando se procede
a la colocación del segundo incremento.
Mecánica de Suelos II
Ingeniería Civil Página 12
Observando todas las curvas de consolidación obtenidas, se seleccionará
un tiempo correspondiente a un punto del tramo de consolidación
secundaria de todas ellas. Con las presiones y las lecturas del micrómetro
a un tiempo correspondiente, se procederá a dibujar la curva de
compresibilidad.
Una vez colocados todos los incrementos necesarios para la consolidación,
se realizarán decrementos de carga en diferentes tiempos, obteniendo las
curvas de expansión, análogas a las anteriores de consolidación. Después
de retirada toda la carga, se permitirá que la muestra se expanda
descargada durante 48 horas.
Para el estudio se han considerado los siguientes parámetros a determinar,
considerando que la carretera es a nivel de trocha. Con lo cual
determinaremos nuestros metrados para el movimiento de tierras y uso de
maquinarias
3.3. PARAMETROS PARA SUB BASE:
Los agregados para la construcción de la subbase granular deberán satisfacer
los requisitos indicados en la EG2000 (Subsección 300.02) para dichos
materiales. Además, deberán ajustarse a una de las franjas granulométricas
indicadas en la siguiente tabla:
Mecánica de Suelos II
Ingeniería Civil Página 13
TABLA 02 - Requerimientos Granulométricos para Sub-Base Granular
Tamiz
Porcentaje que Pasa en Peso
Gradación A (1) Gradación B Gradación C Gradación D
50 mm (2”) 100 100 --- ---
25 mm (1”) --- 75 – 95 100 100
9.5 mm (3/8”) 30 – 65 40 – 75 50 – 85 60 – 100
4.75 mm (Nº 4) 25 – 55 30 – 60 35 – 65 50 – 85
2.0 mm (Nº 10) 15 – 40 20 – 45 25 – 50 40 – 70
4.25 um (Nº 40) 8 – 20 15 – 30 15 – 30 25 – 45
75 um (Nº 200) 2 – 8 5 – 15 5 – 15 8 – 15
Fuente: ASTM D 1241
La curva de gradación "A" deberá emplearse en zonas cuya altitud sea igual
o superior a 3000 m.s.n.m.
La curva granulométrica SB-3 deberá usarse en zonas con altitud mayor de
3 500 m.s.n.m.
Sólo aplicable a SB-1.
Además, el material también deberá cumplir con los siguientes requisitos de calidad:
TABLA 03 - Sub-Base Granular
Requerimientos de Ensayos Especiales
Ensayo
Norma
MTC
Norma
ASTM
Norma
AASHTO
Requerimiento
< 3000 msnm > 3000 msnm
Abrasión MTC E 207 C 131 T 96 50 % máx 50 % máx
CBR (1) MTC E 132 D 1883 T 193 40 % mín 40 % mín
Límite Líquido MTC E 110 D 4318 T 89 25% máx 25% máx
Índice de Plasticidad MTC E 111 D 4318 T 89 6% máx 4% máx
Equivalente de Arena MTC E 114 D 2419 T 176 25% mín 35% mín
Sales Solubles MTC E 219 1% máx. 1% máx.
Mecánica de Suelos II
Ingeniería Civil Página 14
Partículas Chatas y
Alargadas (2)
MTC E 211 D 4791 20% máx 20% máx
3.4. PARAMETROS PARA BASE:
Los agregados para la construcción de la base granular deberán satisfacer los
requisitos indicados en la EG2000 (Subsección 300.02). Además, deberán
ajustarse a las siguientes especificaciones de calidad:
Granulometría
La composición final de la mezcla de agregados presentará una granulometría
continua y bien graduada según una fórmula de trabajo de dosificación
aprobada por el Supervisor y según uno de los requisitos granulométricos que
se indican en la tabla. Para las zonas con altitud de 3000 msnm se deberá
seleccionar la gradación "A".
TABLA 04 - Requerimientos Granulométricos para Base Granular
Tamiz
Porcentaje que Pasa en Peso
Gradación A Gradación B Gradación C Gradación D
50 mm (2”) 100 100 --- ---
25 mm (1”) --- 75 – 95 100 100
9.5 mm (3/8”) 30 – 65 40 – 75 50 – 85 60 – 100
4.75 mm (Nº 4) 25 – 55 30 – 60 35 – 65 50 – 85
2.0 mm (Nº 10) 15 – 40 20 – 45 25 – 50 40 – 70
4.25 um (Nº 40) 8 – 20 15 – 30 15 – 30 25 – 45
75 um (Nº 200) 2 – 8 5 – 15 5 -15 8 – 15
Fuente: ASTM D 1241
El material de Base Granular deberá cumplir además con las siguientes características
físico-mecánicas y químicas que a continuación se indican:
Mecánica de Suelos II
Ingeniería Civil Página 15
Valor Relativo de Soporte, CBR (1)
Tráfico Ligero y Medio Mín 80%
Tráfico Pesado Mín 100%
La curva de gradación "A" deberá emplearse en zonas cuya altitud sea igual o
superior a 3000 m.s.n.m.
Agregado Grueso
Se denominará así a los materiales retenidos en la Malla N° 4, los que consistirán
de partículas pétreas durables y trituradas capaces de soportar los efectos de
manipuleo, extendido y compactación sin producción de finos contaminantes.
Deberán cumplir las siguientes características:
TABLA 05 - Requerimientos Agregado Grueso
Ensayo
Norma
MTC
Norma
ASTM
Norma
AASHTO
Requerimientos
Altitud
< Menor de
3000 msnm
> 3000 msnm
Partículas con una cara
fracturada
MTC E 210 D 5821 80% min. 80% min.
Partículas con dos caras
fracturadas
MTC E 210 D 5821 40% min. 50% min.
Abrasión Los Angeles MTC E 207 C 131 T 96 40% máx 40% max
Partículas Chatas y
Alargadas (1)
MTC E 221 D 4791 15% máx. 15% máx.
Sales Solubles Totales MTC E 219 D 1888 0.5% máx. 0.5% máx.
Pérdida con Sulfato de
Sodio
MTC E 209 C 88 T 104 -.- 12% máx.
Pérdida con Sulfato de
Magnesio
MTC E 209 C 88 T 104 -.- 18% máx.
Mecánica de Suelos II
Ingeniería Civil Página 16
Agregado Fino
Se denominará así a los materiales pasantes la malla Nº 4 que podrá provenir de
fuentes naturales o de procesos de trituración o combinación de ambos.
TABLA 06 - Requerimientos Agregado Fino
Ensayo Norma
Requerimientos
< 3 000 m.s.n.m. > 3 000 m.s.n.m
Indice Plástico MTC E 111 4% máx 2% máx
Equivalente de arena MTC E 114 35% mín 45% mín
Sales solubles totales MTC E 219 0,55% máx 0,5% máx
Indice de durabilidad MTC E 214 35% mín 35% mín
TABLA 07 - Ensayos y Frecuencias
Material o
Producto
Propiedades y
Características
Método de
Ensayo
Norma
ASTM
Norma
AASHTO
Frecuencia
Lugar de
Muestreo
Base
Granular
Granulometría MTC E 204 D 422 T 88 7500 m³ Cantera
Límite Líquido MTC E 110 D 4318 T 89 750 m³ Cantera
Indice de Plasticidad MTC E 111 D 4318 T 89 750 m³ Cantera
Desgaste Los
Angeles
MTC E 207 C 131 T 96 2000 m³ Cantera
Equivalente de Arena MTC E 114 D 2419 T 176 2000 m³ Cantera
Sales Solubles MTC E 219 D 1888 2000 m³ Cantera
CBR MTC E 132 D 1883 T 193 2000 m³ Cantera
Partículas
Fracturadas
MTC E 210 D 5821 2000 m³ Cantera
Partículas Chatas y
Alargadas
MTC E 221 D 4791 2000 m³ Cantera
Pérdida en Sulfato de
Sodio / Magnesio
MTC E 209 C 88 T 104 2000 m³ Cantera
Densidad – Humedad MTC E 115 D 1557 T 180 750 m³ Pista
Compactación
MTC E 117
MTC E 124
D 1556
D 2922
T 191
T 238
250 m² Pista
Mecánica de Suelos II
Ingeniería Civil Página 17
NRO. DE SONDAJES:
TABLA 08
0+00 al 0+400
0+400 al 618.62
2 1
NRO. DE ENSAYOS A REALIZAR:
VOLUMEN TRAMO (0 + 618.00) = (HS+HB) x L x A
VOLUMEN TOTAL = VOLUMEN TRAMO x Fe
Dónde:
HS= Altura de Sub Base = 0.30m
HB= Altura de Base = 0.30m
L= Longitud de Tramo = 618.62m
A= Ancho de Tramo = 8.40m
Fe= Factor de Esponjamiento (10-15% Vol. Tramo)
Cálculos:
VOLUMEN TRAMO (0 + 618.62) = (0.30+0.30) x 618.62 x 8.40
VOLUMEN TOTAL = 31150.33 x Fe
VOLUMEN TOTAL = 3115.03 m3
Mecánica de Suelos II
Ingeniería Civil Página 18
TABLA 08 – Nro. De Ensayos a realizar
Material
o
Producto
Propiedades y
Características
Método de
Ensayo
Norma
ASTM
Norma
AASHTO
Frecuencia
Nro.
Ensayos
Lugar de
Muestreo
Base
Granular
Granulometría MTC E 204 D 422 T 88 7500 m³ 1 Cantera
Límite Líquido MTC E 110 D 4318 T 89 750 m³ 4 Cantera
Índice de
Plasticidad
MTC E 111 D 4318 T 89 750 m³
4
Cantera
Desgaste Los
Angeles
MTC E 207 C 131 T 96 2000 m³
2
Cantera
Equivalente de
Arena
MTC E 114 D 2419 T 176 2000 m³
2
Cantera
Sales Solubles MTC E 219 D 1888 2000 m³ 2 Cantera
CBR MTC E 132 D 1883 T 193 2000 m³ 2 Cantera
Partículas
Fracturadas
MTC E 210 D 5821 2000 m³
2
Cantera
Partículas Chatas
y Alargadas
MTC E 221 D 4791 2000 m³
2
Cantera
Pérdida en Sulfato
de Sodio /
Magnesio
MTC E 209 C 88 T 104 2000 m³
2
Cantera
Densidad –
Humedad
MTC E 115 D 1557 T 180 750 m³
4
Pista
Compactación
MTC E 117
MTC E 124
D 1556
D 2922
T 191
T 238
250 m²
12
Pista
Mecánica de Suelos II
Ingeniería Civil Página 19
IV. ANEXOS
1. PLANO DE UBICACIÓN DE LA CARRETERA AV. TUPAC AMARU TRAMO AV.
LOS EUCALIPTOS – AV. CENTENARIO.
Mecánica de Suelos II
Ingeniería Civil Página 20
2. FOTOGRAFIA AEREA DE LA CARRETERA AV. TUPAC AMARU TRAMO AV. LOS EUCALIPTOS – AV. CENTENARIO.
Mecánica de Suelos II
Ingeniería Civil Página 21
3. FOTOGRAFIA AEREA DE LOS PUNTOS DONDE SE REALIZARA EL ENSAYO
Mecánica de Suelos II
Ingeniería Civil Página 22
4. REGISTRO DE EXCAVACIONES - PERFIL SUELO
REGISTRO DE EXCAVACIONES - PERFIL SUELO
Proyecto:PER/02/051 CIUDADES SOSTENIBLESCalicata N°:C -6
Estudio:Mapa de Peligros de la Ciudad de HuarazUbicación:Sect. Shancayan
Desig. deArea: Distrito de Independencia Profund.de Excavación: 1.50 m.
Método de Excavación: Manual - Calicata Nivel Freático: No se ubicó
Formulado: M.H.C. Fecha: Noviembre 2003
5.
6.
7.
Mecánica de Suelos II
Ingeniería Civil Página 23
4. MAPA DE MICROZONIFICACIÓN SÍSMICA (Ordoñez 1994)
Mecánica de Suelos II
Ingeniería Civil Página 24
5. MAPA DE UBICACIÓN DE NATA FREÁTICA EN HUARAZ
Mecánica de Suelos II
Ingeniería Civil Página 25
6. MAPA DE MICROZONIFICACIÓN SÍSMICA DE HUARAZ ZONA NORTE

Programa de exploracion carretera

  • 1.
    “Universidad Nacional Santiago Antúnezde Mayolo” FACULTAD DE INGENIERIA INGENIERÍA CIVIL NOMBRE DEL CURSO: Mecánica De Suelos II TRABAJO: 01 TITULO: Programa de Exploración Carretera Av. Túpac Amaru Tramo Av. Los Eucaliptos – Av. Centenario. DOCENTE:Ing. Adriana Caballero ALUMNA: Trejo Amado Irma 091.0904.454
  • 2.
    Mecánica de SuelosII Ingeniería Civil Página 2 PROGRAMA DE EXPLORACIÒN CARRETERA AV. TUPAC AMARU TRAMO AV. LOS EUCALIPTOS – AV. CENTENARIO I. INFORMACION PREVIA 1.1. UBICACIÓN GEOGRÁFICA 1.1.1. Cordillera: Blanca 1.1.2. Sector: Callejón de Huaylas 1.1.3. Altitud Media: 3100m.s.n.m. 1.1.4. Cuenca Hidrográfica: Santa 1.1.5. Cardinal respecto a la Ciudad: Este 1.2. UBICACIÓN POLITICA 1.2.1. Región: Ancash 1.2.2. Departamento: Ancash 1.2.3. Provincia: Huaraz 1.2.4. Distrito:Independencia 1.3. IMPACTO SOCIOECONOMICO 1.3.1. Beneficiarios del Proyecto El estudio de la carretera beneficiara directa e indirectamente a toda la población de la ciudad de Huaraz, específicamente a los moradores de la Av. Túpac Amaru. 1.4. VIAS DE COMUNICACIÓN Y ACCESO Las vías de acceso a la Av. Túpac Amaru, para el estudio de la carretera son:  Por el sur con la Av. Confraternidad Internacional Este  Por el norte con la Av. Centenario
  • 3.
    Mecánica de SuelosII Ingeniería Civil Página 3  Perpendicular por el Este con la Av. Los Eucaliptos, Pj. Los Gavilanes, Pj. Los Ibis, Pj. Las Garzas, Pj. Los Cisnes, Pj. Los Flamencos, Pj. Los Tucanes y Pj. Los Risueños. 1.5. POBLACIÓN BENEFICIARIA 1.5.1. Directos La población beneficiaria en modo directo, son los vecinos de la Av. Túpac Amaru y calles aledañas a él, conjuntamente con las empresas de transporte local. 1.5.2. Indirectos La población indirectamente, lo constituyen todos los vecinos de la ciudad de Huaraz, por formar parte del desarrollo integral y de la expansión urbanística de la ciudad, también las personas que transitan a través de los medios de transporte que constituye el camino a sus destinos. 1.6. SITUACIÓN ACTUAL DEL ÁREA 1.6.1. Fisiología y Climatología El distrito de Independencia se encuentra enmarcado entre las cordilleras Blanca y Negra, por la cual tiene una topografía accidentada, y su clima es templado seco. En época de invierno la temperatura varía de 5°C – 18°C y en la época de verano 5°C – 22°C. 1.6.2. Características Geologías La ciudad de Huaraz viene comprendido por una diversidad de suelos, en casi todo el tramo encontramos un suelo arenoso-arcilloso, limo-arenoso. 1.6.3. Características Socioeconómicas Los vecinos beneficiarios de la Av. Túpac Amaru, poseen construcciones de material noble y en un porcentaje poco representativo, construcciones
  • 4.
    Mecánica de SuelosII Ingeniería Civil Página 4 de adobe, son de diversos estratos sociales y economía variada con una tendencia a crecer. 1.6.4. Características Geotécnicas del Suelo Según la microzonificación geotécnica técnica realizada en un estudio por INDECI. El área pertenece a la Zona II-SUELOS TIPOII; Suelos consolidados y compactos de baja amplificación sísmica, como demostró los bajos daños en edificaciones y viviendas en el sismo de 31 de mayo de 1970. Representa suelos conformados por fragmentos angulosos o cantos rodados de diversos tamaños, que superan los 50 cms de diámetro, rodeado de una matriz de limo-arcilloso arenoso. En esta zona encontramos suelos SC (arena arcillosa, arena arcillosa con grava), SC-SM (limo, arena arcillosa- limo, arena arcillosa con grava). Capacidad portante muy superior a los 1 -1.5 kgs/cm². Suelos consolidados con nivel freático bastante profundo. 1.6.5. Nivel freático La profundidad de la mesa de agua y la compacidad del suelo confieren a esta zona buena estabilidad y sin problemas para las fundaciones, considerándose como una de las mejores zonas de la ciudad de Huaraz. Con un nivel freático mayor a 3m (>3m). Capacidad portante muy superior a los 1 -1.5 kgs/cm². 1.6.6. Hidrología En la ciudad de Huaraz el régimen es estacional, observándose la ocurrencia de precipitaciones en el periodo que se inicia en el mes de
  • 5.
    Mecánica de SuelosII Ingeniería Civil Página 5 Noviembre hasta el mes de Abril, y una época de estiaje comprendido entre los meses de Mayo a Octubre. La precipitación media anual es de 665.4mm. 1.6.7. Basamento Rocoso Por la interpretación geomorfológica, se deduce que este basamento, con probabilidad, está a una profundidad mayor que los 100 m. corresponden a derrames lávicos, tobas, andesitas, rioliras, de resistencia generalmente media. 1.6.8. Descripción Topográfica La topografía de la zona del proyecto espocoaccidentada con algunos tramos con pendientes medias y planas. Para efectos de diseño y elección de parámetros del mismo, sea considerado a la zona como de topografía media y plana. 1.7. IMPACTO AMBIENTAL El estudio de la carretera contribuirá a la habilitación y mejoramiento de la carretera Av. Túpac Amaru, con lo cual se mejorara en nivel de vida de los pobladores. La construcción de la carretera no genera impactos ambientales negativos, debido que se consideraran el buen uso y desarrollo de las actividades. II. HIPOTESIS El tramo total es de 618.62 ml; las características fundamentales que presenta el terreno es como sigue: De pendiente media, representa suelos compactos y/o presencia de rocas, la capacidad portante del terreno es marcadamente mayor a 1.50 Kg/cm2 , con un nivel freático profundo, mayor a 3 m.
  • 6.
    Mecánica de SuelosII Ingeniería Civil Página 6 Es un suelo eminentemente granular, con cierto porcentaje de gravas y limos. Podemos encontrar en casi todo el tramo un suelo arenoso-arcilloso, y variando en los últimos tramos arenoso-limos y arenoso-arcilloso. En ambos casos con un porcentaje inferior de gravas. TABLA 01- HIPOTESIS PROGRESIVA TIPO DE SUELO 0+00 al 0+400 SC con una topografía de pendiente media. 0+400 al 618.62 SC-SM con una topografía plana III. PARÁMETROS DEL SUELO Existen Trabajo de Campo y Ensayo de Laboratorio 3.1. TRABAJO DE CAMPO  Propiedades del Suelo Consiste en conocer el tipo de suelo en la cual se desplantará la cimentación, es decir determinar cuál será el comportamiento que presentará el suelo, bajo las solicitaciones de carga de la estructura. El estudio de suelos lleva consigo gran variedad de pruebas de laboratorio, en las cuales se esquematizan las condiciones en las que se encuentra el suelo en su estado original. Estas pruebas tratan de reflejar, por medio de modelos de laboratorio, los diferentes comportamientos que puede tener un suelo, así como conocer todos los parámetros que influyen en la determinación del tipo de suelo. Se tendrán las siguientes consideraciones:  Inspección del terreno y reconocimiento de materiales.
  • 7.
    Mecánica de SuelosII Ingeniería Civil Página 7  Alternativas de drenajes superficiales y sub-superficiales.  Ensayos preliminares in situ. 3.1.1. Inspección del terreno y reconocimiento de materiales Actividadque se realizará para reconocer el tipo de terreno, calidades, limitaciones, si es necesario combinar suelos (estabilización preliminar suelo- suelo) y en general todos los aspectos concernientes a la obtención de datos, diseño, construcción y puesta en funcionamiento de las obras que se quieren realizar. A.- Determinación de las cargas de uso del suelo en la puesta en funcionamiento Se debe realizar un conteo y clasificación de vehículos. La determinación de cargas estandarizadas y su correcta aplicación para la recreación de esfuerzos aplicados al suelo y su respuesta, es fundamental si se piensa en realizar un trabajo ajustado a la realidad. B.-Periodo de servicio y frecuencia de sondeos o muestras En cuanto al periodo de servicio, es de gran ayuda saber cuánto va a ser el lapso de tiempo en el cual la estructura se someterá a los esfuerzos previstos y de esta forma prevenir fatigas tempranas de lo construido. La frecuencia de la toma de muestras deberá ser mínimo 1 sondeo cada 500 metros lineales (ml) ó en su defecto cada 3000 metros cuadrados (m2). Cada sondeo o apique deberá satisfacer la condición de arrojar la información mínima necesaria e individual para tomar decisiones en el diseño y fijar una buena descripción que encamine de forma real el conocimiento del suelo a trabajar.
  • 8.
    Mecánica de SuelosII Ingeniería Civil Página 8 3.1.2. Alternativas de drenajes superficiales y sub-superficiales En la exploración del terreno para definir drenajes en el subsuelo, en la superficie y para reconocer materiales, es de gran ayuda apoyarse en todos los documentos posibles. Esto quiere decir que si se cuenta con fotografías aéreas, planos geológicos, estudios previos, imágenes satelitales, imágenes de radar, y en fin todo el compendio de información, se deberá usar para mejorar la calidad de la información levantada en campo. 3.1.3. Ensayos preliminares in situ En este apartado solamente se tendrán en cuenta los procedimientos mínimos para obtener información directamente del terreno e inmediatamente se tiene contacto con el mismo. La frecuencia de la toma de muestras deberá ser mínimo 1 sondeo cada 500 ml o en su defecto cada 3000 metros cuadrados m2. En concordancia con lo anterior la profundidad adecuada hasta la cual se deberá llegar al realizar un apique o sondeo deberá ser de 0,50 m a 1,80 m o más si se considera conveniente, medidos desde el nivel del terreno natural. La profundidad de los sondeos tendrá en cuenta la complejidad e importancia de cada proyecto, las cargas y esfuerzos que deberá soportar la estructura durante toda su vida útil o proyectada. 3.2. ENSAYOS DE LABORATORIO Las muestras representativas se remiten al laboratorio para su respectivo ensayo, los ensayos que generalmente se solicitan para caracterizar el suelo son:
  • 9.
    Mecánica de SuelosII Ingeniería Civil Página 9 3.2.1. Granulometría de los Suelos Se realizará con una muestra aproximada de 20 kg, pasando la muestra por medio de tamices de diferentes mallas de aberturas descendentes, hasta la malla número 4, los retenidos de cada malla se pesan y se calcula la incidencia sobre el peso total de la muestra. Una vez determinados los pesos correspondientes a cada tamiz se realizará la curva granulométrica donde a cada malla le corresponde un punto, indicando el porcentaje que pasó cada malla. 3.2.2. Límite de Consistencia Se obtendrá una muestra de 100 gr del material después de haber sido pasado por la malla 40, la cual se humedecerá y mezclará hasta que se adopte una consistencia suave y uniforme. Se colocará una porción de esta pasta en la copa de Casagrande con un espesor no mayor de un cm. Se ranurará con el ranurador apropiado, manteniéndolo normal a la superficie interior de la copa. Luego se iniciará el conteo de golpes hasta que la parte interior del talud se cierre 0.5 plgs. Se repetirá varias veces para graficar los valores y obtener la ordenada correspondiente a los 25 golpes que define el límite líquido. Para el límite plástico se obtiene la muestra que pasa la malla número 40, luego se humedecerá y mezclará para poder rolar unos 15 gr sobre una superficie vidrio o metal hasta alcanzar un diámetro de un octavo de plg y en este momento el suelo se agriete o desmorone. Se obtendrán los contenidos de humedad de cada una de las pruebas y el límite plástico se calculará como el promedio de ellas.
  • 10.
    Mecánica de SuelosII Ingeniería Civil Página 10 3.2.3. Contenido de Agua o Humedad Se pesará una muestra de suelo húmedo y después se colocará en el horno a 110 grados centígrados durante 18 – 24 hrs para su secado total. Luego se sacará del horno y se colocará en un desecador por 15 minutos y después se registrará su peso. La relación entre el peso húmedo y el peso seco se le conoce como humedad (W). 3.2.4. Prueba Triaxial Las pruebas de compresión Triaxial se realizarán con el propósito de determinar las características de esfuerzo – deformación y resistencia de los suelos sujetos a esfuerzos cortantes. Para este ensayo se labrará con el suelo un cilindro de 3.6 cm de diámetro y aproximadamente 9.00 cm de altura, el cual se cubrirá con una membrana de látex. Se introducirá dentro de la cámara Triaxial, se le aplicará la presión en el agua para confinar la muestra. Ahora se aplican los incrementos de cargas con intervalos definidos y se registran mientras el espécimen no haya fallado. Con esta información obtenemos una gráfica de esfuerzo – deformación y además, parámetros como la cohesión y el ángulo de fricción interna y con ellos, se realiza el cálculo del esfuerzo cortante. 3.2.5. Consolidación Unidimensional La prueba de consolidación tiene como objeto determinar el decremento de volumen y la velocidad con que este decremento se produce, en un espécimen de suelo, confinado lateralmente y sujeto a una carga axial.
  • 11.
    Mecánica de SuelosII Ingeniería Civil Página 11 Se preparará una muestra inalterada, cortando un fragmento cuyo volumen sea del anillo de consolidación. Se debe evitar la evaporación por lo cual debe prepararse en un cuarto húmedo. El procedimiento de esta prueba consiste en: Primeramente, se determinará el peso propio del anillo de consolidación y dos placas de vidrio, además el área y su altura. Posteriormente, se colocarán las piedras porosas arriba y debajo de la muestra que está dentro del anillo. Se deben evitar movimientos del anillo y de las piedras porosas al momento de la instalación en el banco de consolidación. Se colocarán los micrómetros y se anotarán las lecturas para el registro de deformaciones. Se procederá a colocar en la ménsula el primer incremento de carga, evitando que el marco cause impacto sobre la muestra y usando los pesos apropiados. Debe seleccionarse una carga muy pequeña, la cual proporcione una presión tal que haga que no fluya la muestra a través del espacio libre entre la piedra porosa y el anillo. Por otra parte, si los incrementos son demasiado pequeños, la consolidación secundaria haría poco notorio los efectos primarios. Se realizarán incrementos de carga sobre la muestra, proporcionales a los incrementos der carga de la estructura, una vez que esta haya sido consolidada bajo el primer incremento. Es muy importante medir correctamente el tiempo transcurrido desde el principio hasta el instante en que se hace cada lectura. Una vez que en la curva de consolidación se defina claramente el tramo recto de consolidación secundaria, se considera que se ha completado la primaria, es en este momento cuando se procede a la colocación del segundo incremento.
  • 12.
    Mecánica de SuelosII Ingeniería Civil Página 12 Observando todas las curvas de consolidación obtenidas, se seleccionará un tiempo correspondiente a un punto del tramo de consolidación secundaria de todas ellas. Con las presiones y las lecturas del micrómetro a un tiempo correspondiente, se procederá a dibujar la curva de compresibilidad. Una vez colocados todos los incrementos necesarios para la consolidación, se realizarán decrementos de carga en diferentes tiempos, obteniendo las curvas de expansión, análogas a las anteriores de consolidación. Después de retirada toda la carga, se permitirá que la muestra se expanda descargada durante 48 horas. Para el estudio se han considerado los siguientes parámetros a determinar, considerando que la carretera es a nivel de trocha. Con lo cual determinaremos nuestros metrados para el movimiento de tierras y uso de maquinarias 3.3. PARAMETROS PARA SUB BASE: Los agregados para la construcción de la subbase granular deberán satisfacer los requisitos indicados en la EG2000 (Subsección 300.02) para dichos materiales. Además, deberán ajustarse a una de las franjas granulométricas indicadas en la siguiente tabla:
  • 13.
    Mecánica de SuelosII Ingeniería Civil Página 13 TABLA 02 - Requerimientos Granulométricos para Sub-Base Granular Tamiz Porcentaje que Pasa en Peso Gradación A (1) Gradación B Gradación C Gradación D 50 mm (2”) 100 100 --- --- 25 mm (1”) --- 75 – 95 100 100 9.5 mm (3/8”) 30 – 65 40 – 75 50 – 85 60 – 100 4.75 mm (Nº 4) 25 – 55 30 – 60 35 – 65 50 – 85 2.0 mm (Nº 10) 15 – 40 20 – 45 25 – 50 40 – 70 4.25 um (Nº 40) 8 – 20 15 – 30 15 – 30 25 – 45 75 um (Nº 200) 2 – 8 5 – 15 5 – 15 8 – 15 Fuente: ASTM D 1241 La curva de gradación "A" deberá emplearse en zonas cuya altitud sea igual o superior a 3000 m.s.n.m. La curva granulométrica SB-3 deberá usarse en zonas con altitud mayor de 3 500 m.s.n.m. Sólo aplicable a SB-1. Además, el material también deberá cumplir con los siguientes requisitos de calidad: TABLA 03 - Sub-Base Granular Requerimientos de Ensayos Especiales Ensayo Norma MTC Norma ASTM Norma AASHTO Requerimiento < 3000 msnm > 3000 msnm Abrasión MTC E 207 C 131 T 96 50 % máx 50 % máx CBR (1) MTC E 132 D 1883 T 193 40 % mín 40 % mín Límite Líquido MTC E 110 D 4318 T 89 25% máx 25% máx Índice de Plasticidad MTC E 111 D 4318 T 89 6% máx 4% máx Equivalente de Arena MTC E 114 D 2419 T 176 25% mín 35% mín Sales Solubles MTC E 219 1% máx. 1% máx.
  • 14.
    Mecánica de SuelosII Ingeniería Civil Página 14 Partículas Chatas y Alargadas (2) MTC E 211 D 4791 20% máx 20% máx 3.4. PARAMETROS PARA BASE: Los agregados para la construcción de la base granular deberán satisfacer los requisitos indicados en la EG2000 (Subsección 300.02). Además, deberán ajustarse a las siguientes especificaciones de calidad: Granulometría La composición final de la mezcla de agregados presentará una granulometría continua y bien graduada según una fórmula de trabajo de dosificación aprobada por el Supervisor y según uno de los requisitos granulométricos que se indican en la tabla. Para las zonas con altitud de 3000 msnm se deberá seleccionar la gradación "A". TABLA 04 - Requerimientos Granulométricos para Base Granular Tamiz Porcentaje que Pasa en Peso Gradación A Gradación B Gradación C Gradación D 50 mm (2”) 100 100 --- --- 25 mm (1”) --- 75 – 95 100 100 9.5 mm (3/8”) 30 – 65 40 – 75 50 – 85 60 – 100 4.75 mm (Nº 4) 25 – 55 30 – 60 35 – 65 50 – 85 2.0 mm (Nº 10) 15 – 40 20 – 45 25 – 50 40 – 70 4.25 um (Nº 40) 8 – 20 15 – 30 15 – 30 25 – 45 75 um (Nº 200) 2 – 8 5 – 15 5 -15 8 – 15 Fuente: ASTM D 1241 El material de Base Granular deberá cumplir además con las siguientes características físico-mecánicas y químicas que a continuación se indican:
  • 15.
    Mecánica de SuelosII Ingeniería Civil Página 15 Valor Relativo de Soporte, CBR (1) Tráfico Ligero y Medio Mín 80% Tráfico Pesado Mín 100% La curva de gradación "A" deberá emplearse en zonas cuya altitud sea igual o superior a 3000 m.s.n.m. Agregado Grueso Se denominará así a los materiales retenidos en la Malla N° 4, los que consistirán de partículas pétreas durables y trituradas capaces de soportar los efectos de manipuleo, extendido y compactación sin producción de finos contaminantes. Deberán cumplir las siguientes características: TABLA 05 - Requerimientos Agregado Grueso Ensayo Norma MTC Norma ASTM Norma AASHTO Requerimientos Altitud < Menor de 3000 msnm > 3000 msnm Partículas con una cara fracturada MTC E 210 D 5821 80% min. 80% min. Partículas con dos caras fracturadas MTC E 210 D 5821 40% min. 50% min. Abrasión Los Angeles MTC E 207 C 131 T 96 40% máx 40% max Partículas Chatas y Alargadas (1) MTC E 221 D 4791 15% máx. 15% máx. Sales Solubles Totales MTC E 219 D 1888 0.5% máx. 0.5% máx. Pérdida con Sulfato de Sodio MTC E 209 C 88 T 104 -.- 12% máx. Pérdida con Sulfato de Magnesio MTC E 209 C 88 T 104 -.- 18% máx.
  • 16.
    Mecánica de SuelosII Ingeniería Civil Página 16 Agregado Fino Se denominará así a los materiales pasantes la malla Nº 4 que podrá provenir de fuentes naturales o de procesos de trituración o combinación de ambos. TABLA 06 - Requerimientos Agregado Fino Ensayo Norma Requerimientos < 3 000 m.s.n.m. > 3 000 m.s.n.m Indice Plástico MTC E 111 4% máx 2% máx Equivalente de arena MTC E 114 35% mín 45% mín Sales solubles totales MTC E 219 0,55% máx 0,5% máx Indice de durabilidad MTC E 214 35% mín 35% mín TABLA 07 - Ensayos y Frecuencias Material o Producto Propiedades y Características Método de Ensayo Norma ASTM Norma AASHTO Frecuencia Lugar de Muestreo Base Granular Granulometría MTC E 204 D 422 T 88 7500 m³ Cantera Límite Líquido MTC E 110 D 4318 T 89 750 m³ Cantera Indice de Plasticidad MTC E 111 D 4318 T 89 750 m³ Cantera Desgaste Los Angeles MTC E 207 C 131 T 96 2000 m³ Cantera Equivalente de Arena MTC E 114 D 2419 T 176 2000 m³ Cantera Sales Solubles MTC E 219 D 1888 2000 m³ Cantera CBR MTC E 132 D 1883 T 193 2000 m³ Cantera Partículas Fracturadas MTC E 210 D 5821 2000 m³ Cantera Partículas Chatas y Alargadas MTC E 221 D 4791 2000 m³ Cantera Pérdida en Sulfato de Sodio / Magnesio MTC E 209 C 88 T 104 2000 m³ Cantera Densidad – Humedad MTC E 115 D 1557 T 180 750 m³ Pista Compactación MTC E 117 MTC E 124 D 1556 D 2922 T 191 T 238 250 m² Pista
  • 17.
    Mecánica de SuelosII Ingeniería Civil Página 17 NRO. DE SONDAJES: TABLA 08 0+00 al 0+400 0+400 al 618.62 2 1 NRO. DE ENSAYOS A REALIZAR: VOLUMEN TRAMO (0 + 618.00) = (HS+HB) x L x A VOLUMEN TOTAL = VOLUMEN TRAMO x Fe Dónde: HS= Altura de Sub Base = 0.30m HB= Altura de Base = 0.30m L= Longitud de Tramo = 618.62m A= Ancho de Tramo = 8.40m Fe= Factor de Esponjamiento (10-15% Vol. Tramo) Cálculos: VOLUMEN TRAMO (0 + 618.62) = (0.30+0.30) x 618.62 x 8.40 VOLUMEN TOTAL = 31150.33 x Fe VOLUMEN TOTAL = 3115.03 m3
  • 18.
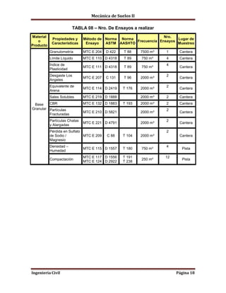
    Mecánica de SuelosII Ingeniería Civil Página 18 TABLA 08 – Nro. De Ensayos a realizar Material o Producto Propiedades y Características Método de Ensayo Norma ASTM Norma AASHTO Frecuencia Nro. Ensayos Lugar de Muestreo Base Granular Granulometría MTC E 204 D 422 T 88 7500 m³ 1 Cantera Límite Líquido MTC E 110 D 4318 T 89 750 m³ 4 Cantera Índice de Plasticidad MTC E 111 D 4318 T 89 750 m³ 4 Cantera Desgaste Los Angeles MTC E 207 C 131 T 96 2000 m³ 2 Cantera Equivalente de Arena MTC E 114 D 2419 T 176 2000 m³ 2 Cantera Sales Solubles MTC E 219 D 1888 2000 m³ 2 Cantera CBR MTC E 132 D 1883 T 193 2000 m³ 2 Cantera Partículas Fracturadas MTC E 210 D 5821 2000 m³ 2 Cantera Partículas Chatas y Alargadas MTC E 221 D 4791 2000 m³ 2 Cantera Pérdida en Sulfato de Sodio / Magnesio MTC E 209 C 88 T 104 2000 m³ 2 Cantera Densidad – Humedad MTC E 115 D 1557 T 180 750 m³ 4 Pista Compactación MTC E 117 MTC E 124 D 1556 D 2922 T 191 T 238 250 m² 12 Pista
  • 19.
    Mecánica de SuelosII Ingeniería Civil Página 19 IV. ANEXOS 1. PLANO DE UBICACIÓN DE LA CARRETERA AV. TUPAC AMARU TRAMO AV. LOS EUCALIPTOS – AV. CENTENARIO.
  • 20.
    Mecánica de SuelosII Ingeniería Civil Página 20 2. FOTOGRAFIA AEREA DE LA CARRETERA AV. TUPAC AMARU TRAMO AV. LOS EUCALIPTOS – AV. CENTENARIO.
  • 21.
    Mecánica de SuelosII Ingeniería Civil Página 21 3. FOTOGRAFIA AEREA DE LOS PUNTOS DONDE SE REALIZARA EL ENSAYO
  • 22.
    Mecánica de SuelosII Ingeniería Civil Página 22 4. REGISTRO DE EXCAVACIONES - PERFIL SUELO REGISTRO DE EXCAVACIONES - PERFIL SUELO Proyecto:PER/02/051 CIUDADES SOSTENIBLESCalicata N°:C -6 Estudio:Mapa de Peligros de la Ciudad de HuarazUbicación:Sect. Shancayan Desig. deArea: Distrito de Independencia Profund.de Excavación: 1.50 m. Método de Excavación: Manual - Calicata Nivel Freático: No se ubicó Formulado: M.H.C. Fecha: Noviembre 2003 5. 6. 7.
  • 23.
    Mecánica de SuelosII Ingeniería Civil Página 23 4. MAPA DE MICROZONIFICACIÓN SÍSMICA (Ordoñez 1994)
  • 24.
    Mecánica de SuelosII Ingeniería Civil Página 24 5. MAPA DE UBICACIÓN DE NATA FREÁTICA EN HUARAZ
  • 25.
    Mecánica de SuelosII Ingeniería Civil Página 25 6. MAPA DE MICROZONIFICACIÓN SÍSMICA DE HUARAZ ZONA NORTE