TALUDES SE COMPRENDE BAJO EL NOMBRE GENERICO  DE TALUD CUALESQUIERA SUPERFICIE INCLINADA RESPECTO A LA HORIZONTAL QUE  HAYAN DE ADOPTAR PERMANENTEMENTE LAS ESTRUCTURAS DE TIERRA, BIEN SEA EN FORMA  NATURAL O COMO CONSECUENCIA DE LA  INTERVENCION HUMANA EN UNA OBRA DE  INGENIERIA. LOS TALUDES SE DIVIDEN EN  NATURALES  (LADERAS) O  ARTIFICIALES   (CORTES Y TERRAPLENES)
 
Las obras de infraestructura lineal (carreteras y  ferrocarriles), canales, conducciones,  explotaciones mineras, y en general cualquier  construcción que requiera una superficie plana  en una zona de pendiente, o alcanzar una  profundidad determinada por debajo de la  superficie, precisan la excavación de taludes (desmontes si dan lugar a un solo talud y  trincheras si la excavación presenta un talud a  cada lado).
Los taludes se construyen con la  pendiente más elevada que permite la resistencia del terreno, manteniendo unas condiciones aceptables de estabilidad.
El diseño de taludes es uno de los aspectos más importantes de la  ingeniería geológica, pues está  presente en la mayoría de las  actividades constructivas o extractivas.
TALUD CON ANGULO UNIFORME TALUD ESCAVADO DE FORMA ESCALONADA CON BERMAS Y BANCOS
TALUD NATURAL
TALUD ARTIFICIAL
En el talud o ladera se definen los  siguientes elementos constitutivos: 1.  Altura Es la distancia vertical entre el pie y la cabeza, la cual se presenta claramente definida en taludes artificiales pero es complicada de cuantificar en las laderas debido a que el pie y la cabeza no son accidentes topográficos bien marcados. ELEMENTOS DE UN TALUD
2 . Pie Corresponde al sitio de cambio  brusco de pendiente en la parte  inferior. 3 . Cabeza o escarpe Se refiere al sitio de cambio brusco  de pendiente en la parte superior. ELEMENTOS DE UN TALUD
4.  Altura de nivel freático Distancia vertical desde el pie del talud o ladera hasta el nivel de agua medida  debajo de la cabeza. 5.  Pendiente Es la medida de la inclinación del talud o ladera. Puede medirse en grados, en  porcentaje o en relación  m/1 , en la cual  m  es la distancia horizontal que corresponde a una unidad de distancia  vertical. ELEMENTOS DE UN TALUD
En general, los taludes en ingeniería civil alcanzan alturas máximas de 40 ó 50 m, y se proyectan para ser estables a largo plazo.
Sin embargo las  minas a tajo abierto pueden  alcanzar profundidades de varios centenares de metros .
Los  taludes permanentes  para la construcción  de infraestructuras o con fines de edificación  se  diseñan para ser estables a largo plazo,  precisando medidas de estabilización  complementarias cuando no sea posible realizar las excavaciones con las alturas y  ángulos requeridos, por motivos económicos o de otro tipo .
En minería el diseño de los taludes depende de la disposición y profundidad del yacimiento. Por lo general en yacimientos minerales  no  metálicos , dispuestos en capas horizontales o inclinadas, los taludes tienen carácter temporal y se proyectan para permanecer estables a corto o medio plazo (meses o años), ya que  tras la extracción del mineral la excavación se abandona o se rellena.
EXCAVACION DE UN TALUD PARA CONSTRUCCIÓN DE UNA CARRETERA
En minería  metálica , cuando el mineral no se presenta en capas, los taludes  van modificándose al ir avanzando la  excavación en profundidad y  perímetro, aunque suelen mantenerse  sus inclinaciones.
Un caso particular son las  canteras, donde los frentes de excavación se van retranqueando continuamente, y donde, por lo general, las inestabilidades corresponden a bloques o conjuntos de bloques que se desprenden a favor de las discontinuidades de los macizos rocosos competentes que son explotados.
En el diseño y excavación de los  taludes  mineros los criterios económicos juegan un papel fundamental, siendo frecuente asumir  cierto grado de riesgo de roturas locales o  parciales en los taludes si éstas no ponen en peligro la seguridad de las personas ni  el ritmo de los trabajos de extracción; en estos taludes temporales no se instalan   sostenimientos o estabilizaciones.
Sin embargo, en ingeniería civil las tolerancias de movimientos en los taludes son muy restrictivas, al poder afectar a las estructuras que se construyen en su entorno, primando los criterios de seguridad.
Los estudios geológicos y geotécnicos de taludes están dirigidos al diseño de taludes estables en función de las condiciones requeridas (corto, medio o largo plazo,  relación costo-seguridad, grado de riesgo aceptado, etc.) así como a la estabilización de taludes inestables.
Las investigaciones in situ para taludes tienen  como objetivo reconocer geológica y  geotécnicamente el terreno afectado por la  excavación, con los fines de obtener los  parámetros necesarios para analizar su  estabilidad, diseñar los taludes, excavar los  materiales, calcular las medidas de estabilización y proyectar obras de drenaje, entre otros. INVESTIGACIONES IN SITU
Como norma general, cada proyecto de  excavación debe ser analizado teniendo en cuenta: -  Las dimensiones previstas  (profundidad y longitud de los taludes). -  La posición del nivel freático y condiciones hidrogeológicas . -  La litología y estructura geológica . -  Los requisitos del proyecto  (taludes a largo o corto plazo, condiciones geométricas, etc.).
Las investigaciones in situ deberán
 
Las propiedades resistentes de los  materiales, suelos o macizos rocosos, se  obtienen mediante los ensayos in situ y de laboratorio adecuados y la aplicación de  criterios. Los ensayos de laboratorio más  característicos para el diseño o estudio de  taludes son los de clasificación,  identificación, corte directo en suelos y  discontinuidades y compresión simple, entre  otros.
Un aspecto muy importante a investigar es la posible presencia de deslizamientos naturales, activos o inactivos, en las laderas donde se  proyectan excavaciones, ya que las obras pueden reactivar los movimientos al modificar las condiciones iniciales de la ladera  (geometría, hidrogeología, estados tensionales, etc.).
La presencia de inestabilidades naturales  preexistentes modifica el diseño de la  excavación, e incluso puede hacer inviable la misma, obligando a emplazamientos  alternativos. En estos casos se deben investigar aspectos como la magnitud y  profundidad de la inestabilidad, la actividad del proceso, la situación de los planos de  deslizamiento, la posición del nivel freático,  etc.
Factores influyentes en la estabilidad La estabilidad de un talud está determinada por  factores geométricos  (altura e inclinación),  factores geológicos  (que condicionan la presencia de planos y zonas de debilidad y anisotropía en el  talud),  factores hidrogeológicos  (presencia de  agua) y  factores geotécnicos  o relacionados con el  comportamiento mecánico del terreno (resistencia  y deformabilidad).
Factores influyentes en la estabilidad La combinación de los factores citados puede  determinar la condición de rotura a lo largo de una o varias superficies, y que sea cinemáticamente posible el movimiento de un cierto volumen de  masa de suelo o roca. La posibilidad de rotura y  los mecanismos y modelos de inestabilidad de los taludes están controlados principalmente por  factores geológicos  y  geométricos .
Factores influyentes en la estabilidad Los factores geológicos, hidrogeológicos y geotécnicos se consideran factores condicionantes, y son intrínsecos a los materiales naturales. En los suelos, la litología,  estratigrafía y las condiciones hidrogeológicas determinan  las propiedades resistentes y el comportamiento del talud.
Factores influyentes en la estabilidad En el caso de macizos rocosos competentes, el principal factor condicionante es la estructura geológica: la disposición y frecuencia de las  superficies de discontinuidad y el grado de fracturación; en materiales blandos, como los lutíticos o pizarrosos, la litología y el grado de alteración juegan también un papel  predominante.
Factores influyentes en la estabilidad Junto a los factores condicionantes de la estabilidad de los taludes (también denominados «pasivos»), los factores  desencadenantes  o «activos» provocan la rotura una vez que se cumplen una serie de condiciones. Estos últimos son factores externos que actúan sobre los suelos o macizos rocosos, modificando sus características y  propiedades y las condiciones de equilibrio del talud
Estratigrafía y litología La naturaleza del material que forma un talud está  íntimamente relacionada con el tipo de inestabilidad que éste puede sufrir, presentando las diferentes litologías distinto grado de susceptibilidad potencial ante la  ocurrencia de deslizamientos o roturas. Las propiedades  físicas y resistentes de cada tipo de material, junto con la presencia de agua, gobiernan su comportamiento  tensodeformacional y, por tanto, su estabilidad.
Talud excavado en suelos coluviales y roca muy alterada con inestabilidades controladas por la baja resistencia de los materiales y por la presencia de agua estacional circulando por el interior del terreno
Estructura geológica y discontinuidades La estructura geológica juega un papel  definitivo en las condiciones de estabilidad de los taludes en macizos rocosos. La  combinación de los elementos estructurales con los parámetros geométricos del talud, altura e inclinación, y su  orientación , define los problemas de estabilidad que se pueden  presentar
Talud excavado en rocas lutíticas fracturadas y plegadas con roturas controladas por la estructura del macizo rocoso Rotura plana en los bancos de un talud a favor de las superficies de estratificación
La estructura del macizo queda definida por la distribución espacial de los sistemas de discontinuidades, que  «individualizan» bloques más o menos competentes de matriz rocosa que se mantienen unidos entre sí por las  características y propiedades resistentes de las discontinuidades. La presencia de estos planos de debilidad (como superficies de estratificación, diaclasas, fallas, etc.) buzando hacia el frente del talud supone la existencia de planos de rotura y deslizamiento  potenciales, y su orientación y disposición condiciona los tipos, modelos y mecanismos de inestabilidad.
La presencia de discontinuidades implica un  comportamiento anisótropo del macizo y unos planos  preferenciales de rotura; por ejemplo, un determinado sistema de fracturas condicionará tanto la dirección de movimiento como el tamaño de los bloques a  deslizar, o la presencia de una falla buzando hacia el  talud limitará la zona inestable y condicionará el  mecanismo de rotura.
Los cambios y singularidades estructurales en un macizo rocoso, como zonas tectonizadas o de cizalla, cambios bruscos en el buzamiento de los estratos, etc.,  suponen heterogeneidades que puede condicionar las zonas de rotura.
Un aspecto importante es la relación entre las  dimensiones del frente del talud y la red de  discontinuidades; en función de esta relación, el  comportamiento del talud quedará definido por  una o unas pocas macrodiscontinuidades (referidas a la escala del talud) o bien por varios sistemas de juntas y otros planos de debilidad  con un entramado denso, condicionando el tipo y  el volumen de las inestabilidades.
La influencia de la estructura geológica va más  allá del condicionamiento geométrico de las  roturas, pudiendo afectar a la estabilidad de los  taludes a causa de las modificaciones inducidas por la excavación. por ejemplo, en estructuras de tipo compresivo o distensivo la existencia de  esfuerzos tectónicos residuales puede inducir  procesos desestabilizadores.
CONDICIONES HIDROGEOLOGICAS La mayor parte de las roturas se producen por los efectos del agua en el terreno, como la generación de presiones intersticiales, o los arrastres y  erosión, superficial o interna, de los materiales que forman el talud. En general, puede decirse  que el agua es el mayor enemigo de la estabilidad de los taludes (además de las acciones antrópicas, cuando se realizan excavaciones inadecuadas sin criterios geotécnicos).
La presencia de agua en un talud reduce su estabilidad al  disminuir la resistencia del terreno y aumentar las fuerzas  tendentes a la inestabilidad. Sus efectos más importantes  son: Reducción de la resistencia al corte de los planos de rotura al disminuir la tensión Normal efectiva:  σ ’ n La presión ejercida sobre grietas de tracción aumenta las fuerzas que tienden al deslizamiento.
Aumento del peso del material por saturación: donde :  yd  = peso específico aparente seco;  S   = grado de saturación;  n  = porosidad;  Yw  = peso específico del agua. Erosión interna por flujo subsuperficial o subterráneo. Meteorización y cambios en la composición mineralógica de los materiales. Apertura de discontinuidades por agua congelada
La forma de la  superficie freática  en un talud  depende de diferentes factores, entre los que se encuentran la  permeabilidad de los materiales , la  geometría  o  forma del talud  y las  condiciones de  contorno . En macizos rocosos, la estructura  geológica tiene una gran influencia en la  disposición del nivel freático y, por tanto, en la  distribución de las presiones intersticiales sobre  cualquier superficie potencial de deslizamiento en un talud, así como la alternancia de materiales permeables e impermeables.
ESQUEMA DEL NIVEL FREATICO EN UN TALUD SEGÚN LA DISTRIBUCION DE LOS MATERIALES
El nivel freático puede sufrir cambios estacionales o como consecuencia de  dilatados periodos lluviosos o de sequía.  En la siguiente  figura se representa la  distribución del agua en el interior de una  ladera. Sólo parte del agua de lluvia o  escorrentía penetra en el terreno, y una  mínima parte alcanza el nivel freático.
Si bien la modificación del nivel freático obedece generalmente a cambios lentos y periodos largos, en caso de materiales muy permeables puede llegar a producirse un ascenso relativamente rápido como consecuencia de precipitaciones intensas.
ESQUEMA DE CIRCULACION DE AGUA EN UNA LADERA
Además del agua en el interior del terreno, hay que considerar el papel del agua superficial (por  precipitación, escorrentía, etc.), que puede causar  problemas importantes de estabilidad al crearse altas  presiones en las discontinuidades y grietas por las que  se introduce, y en la zona más superficial del terreno;  de hecho, las roturas en taludes en suelos son más  frecuentes en periodos de lluvias intensas, tras una  fuerte tormenta o en épocas de deshielo. Los  fenómenos de erosión y lavado en materiales blandos o  poco consistentes aparecen asimismo asociados a la  presencia de agua superficial.
Los aspectos más importantes que deben conocerse para evaluar la magnitud y la distribución de las  presiones intersticiales en el talud y los efectos del  agua son: -  Comportamiento hidrogeológico de los materiales. - Presencia de niveles freáticos y piezométricos. - Flujo de agua en el talud. - Parámetros hidrogeológicos de interés: coeficiente de permeabilidad o conductividad hidráulica,  gradiente hidraúlico, transmisividad y coeficiente  de almacenamiento.
TENSIONES NATURALES Las tensiones naturales pueden jugar un  papel importante en la estabilidad de los  taludes rocosos. La liberación de tensiones  que puede suponer la excavación de un  talud puede originar  tal descompresión  que el material se transforma y fragmenta  por las zonas más débiles y pasa a  comportarse como un suelo.
Este efecto se ha comprobado en explotaciones mineras en taludes lutíticos  sometidos a elevadas tensiones internas, fragmentándose la «formación rocosa» hasta quedar convertida en un material granular con fragmentos centimétricos (con varios metros de espesor desde la superficie del talud), dando lugar al desmoronamiento de taludes.
El estado tensional de un talud depende de su configuración geométrica y del estado de tensiones del macizo rocoso previo a la  excavación. En la figura se presenta un  ejemplo de la distribución de los esfuerzos litostáticos después de realizar una  excavación.
En excavaciones profundas, las elevadas tensiones que se generan en zonas singulares como el pie del talud pueden dar lugar a condiciones de desequilibrio, llegando incluso a producirse deformaciones plásticas.  También en la cabecera del talud se generan estados tensionales anisótropos con componentes traccionales que provocan la apertura de grietas verticales.
MODIFICACION DE LAS TRAYECTORIAS DE LOS ESFUERZOS HORIZONTALES ORIGINALES COMO CONSECUENCIA DE UNA EXCAVACION
Si a un macizo rocoso se le somete a tensiones  de tipo tectónico, al realizarse una excavación  tiene lugar la liberación y redistribución de las  mismas; el cambio del estado tensional previo  provoca la pérdida de resistencia del material.  Las discontinuidades y las zonas con estructuras compresivas (ejm. pliegues) se convierten en  zonas de debilidad por la aparición de tensiones  distensivas o traccionales.
El efecto de relajación que  produce la excavación  puede dar lugar a desplazamientos  en el macizo  rocoso, al tender a un nuevo estado de  equilibrio, generándose grietas o aperturas de los planos  de discontinuidad, que juegan un papel importante en  las fases iniciales de los procesos de inestabilidad. Este  reajuste es función también del tipo,  estructura y  resistencia del macizo, y disminuye con el tiempo.
Las sobrecargas estáticas y las  cargas dinámicas que se ejercen sobre los taludes modifican la distribución de las fuerzas y pueden generar  condiciones de inestabilidad. Entre las primeras  están el peso de estructuras o edificios, u otro tipo de cargas como rellenos, escombreras, paso de vehículos pesados, etc. que, cuando se ejercen sobre la cabecera de los taludes, aportan una carga adicional que puede contribuir al aumento de las fuerzas desestabilizadoras. OTROS FACTORES
TIPOS DE ROTURA DE TALUDES TALUDES EN SUELOS Los taludes en suelos rompen generalmente a favor de superficies curvas, con forma diversa condicionada por la morfología y estratigrafía del talud
Puede ser aproximadamente circular (la más frecuente),  con su extremo inferior en el pie del talud, (deslizamiento de pie), cuando éste está  formado por terreno homogéneo o por varios  estratos de propiedades geotécnicas homogéneas ROTURA CIRCULAR DE PIE TIPOS DE SUPERFICIES DE ROTURA EN SUELOS
Puede ser casi circular pero pasando por debajo del pie del talud (deslizamiento profundo);  ROTURA  CIRCULAR  PROFUNDA TIPOS DE SUPERFICIE DE ROTURA
Si se dan determinadas condiciones en el Talud, como la existencia de estratos o capas de diferente competencia,  puede tener lugar una rotura a favor de una superficie  plana o de una superficie poligonal formada por varios tramos planos ROTURA  SEGÚN UNA  POLIGONAL TIPOS DE SUPERFICIES DE ROTURA  EN SUELOS
Las roturas de taludes en suelos a favor de un único  plano  paralelo al talud  son prácticamente inexistentes, aunque este modelo  puede ser válido en el caso de laderas naturales con recubrimientos de suelos sobre rocas ROTURA PLANA TIPOS DE SUPERFICIES DE ROTURA EN SUELOS
TALUDES EN ROCA Los diferentes tipos de roturas están  condicionados por el grado de fracturación del macizo rocoso y por la orientación y  distribución de las discontinuidades con  respecto al talud, quedando la estabilidad  definida por los parámetros resistentes de las discontinuidades y de la matriz rocosa.
TALUDES EN ROCA En macizos rocosos duros o resistentes, las discontinuidades determinan la situación de los planos de rotura. En macizos formados por rocas blandas poco competentes, la matriz rocosa también juega un papel importante en la generación de estos planos y en el  mecanismo de rotura.
TALUDES EN ROCA En la siguiente figura se presentan  diferentes modelos de rotura en taludes y  las relaciones entre ángulos y alturas para diferentes tipos de macizos rocosos.
TIPOS DE ROTURA EN MACIZOS ROCOSOS, CURVA DE RESISTENCIA PARA EL MACIZO Y RELACIONES ENTRE INCLINACION Y ALTURA DEL TALUD TALUDES EN ROCA
TALUDES EN ROCA Los modelos de rotura más frecuentes indicados en la siguiente figura son: Rotura plana,  En cuña,  Por vuelco,  Por pandeo, y  Curva.  Incluye la representación estereográfica de las  condiciones estructurales de algunos de ellos.
REPRESENTACION ESTEREOGRAFICA DE LOS PLANOS DE DISCONTINUIDAD CON RESPECTO A LA ORIENTACION DEL TALUD PARA ALGUNOS TIPOS DE ROTURAS EN MACIZOS ROCOSOS TALUDES EN ROCA
TALUDES EN ROCA Se produce a favor de una superficie preexistente, que puede ser la estratificación, una junta  tectónica, una falla, etc. La condición básica es la presencia de discontinuidades buzando a favor del talud y con su misma dirección, cumpliéndose la condición de que la discontinuidad debe estar  descalzada por el talud ( Ψ  > α) y su buzamiento debe ser mayor que su ángulo de rozamiento  interno (α  >  Ø ) ROTURA PLANA
TALUDES EN ROCA ROTURA PLANA CONDICIONES PARA LA ROTURA PLANA
TALUDES EN ROCA En taludes excavados  paralelos a la estratificación,  pueden tener lugar roturas planas por deslizamiento de  los estratos; este tipo de rotura  es típica en macizos lutíticos o pizarrosos, generándose los  planos de rotura a favor de la  esquistosidad ROTURA PLANA
TALUDES EN ROCA Los diferentes tipos de roturas planas dependen de la distribución y  características de las discontinuidades en el talud. Las más frecuentes son: Rotura por un plano que aflora en la cara o en el pie del talud, con o sin grieta de tracción. Rotura por un plano paralelo a la cara del talud, por erosión o pérdida de resistencia del pie.
TALUDES EN ROCA Corresponde al  deslizamiento de  un bloque en  forma de cuña,  formado por dos  planos de  discontinuidad, a favor de su línea  de intersección Rotura en cuña
TALUDES EN ROCA CONDICIONES PARA LA ROTURA PLANA Y PARA LA ROTURA EN CUÑA ROTURA PLANA
TALUDES EN ROCA CONDICIONES PARA LA ROTURA EN CUÑA
TALUDES EN ROCA Se produce en taludes de macizos rocosos donde los estratos presentan buzamiento contrario a la inclinación del talud y dirección paralela o subparalela  al mismo. En general, los estratos aparecen fracturados en bloques a  favor de sistemas de discontinuidades ortogonales entre sí. Este tipo de rotura implica un movimiento de rotación  de los bloques, y la estabilidad de los mismos no está únicamente condicionada por su resistencia al  deslizamiento. Vuelco de estratos
TALUDES EN ROCA VUELCO  DE  ESTRATOS Bloques rocosos de un talud que han sufrido proceso de vuelco Esquemas de taludes con estructura favorable al vuelco de estratos.
TALUDES EN ROCA Este tipo de rotura se produce a favor de planos de estratificación paralelos al talud( α  =  Ψ ),con  buzamiento mayor que el ángulo de rozamiento interno ( α  > Ø). La rotura puede ocurrir con o sin flexión del estrato; la condición necesaria es que los estratos sean suficientemente esbeltos, en  relación con la altura del talud, para poder pandear  Rotura por pandeo
TALUDES EN ROCA Las causas que pueden generar la rotura  por pandeo son: - Altura excesiva del talud. - Existencia de fuerzas externas aplicadas sobre los estratos. - Geometría desfavorable de los estratos. - Existencia de presiones de agua sobre los estratos. - Concentración desfavorable de tensiones . ROTURA POR PANDEO
Esquema de pandeo en estratos verticalizados, con flexión y fractura de los estratos. TALUDES EN ROCA ROTURA POR PANDEO
TALUDES EN ROCA Rotura por pandeo Este tipo de rotura suele darse en los taludes de muro de cortes mineras, al ser excavados paralelos a la estratificación, cuando los planos presentan espaciados pequeños Pandeo de estratos en materiales lutíticos con rotura de las placas de roca en su base
DISEÑO DE TALUDES
Para el diseño de cualquier explotación a cielo abierto es necesario contar con la modelización geológica del yacimiento, la cual se obtiene a partir de los trabajos previos de investigación. Este diseño contempla el establecimiento de los contornos finales, intermedios y perspectivos en las diferentes etapas en el desarrollo de la explotación, así como la definición del método de explotación y la selección de la maquinaria a utilizar.
Un aspecto de extrema importancia para el armónico desarrollo de los trabajos mineros es el que está relacionado con la estabilidad de sus contornos, ya que garantizan la seguridad durante la explotación, en el período de cierre y, en el uso posterior de los espacios creados por la explotación.
Los elementos del contorno de la cantera son: Los bordos, su profundidad o altura de explotación, los bancos, compuestos por las plazoletas, altura de banco, ángulo de talud del banco, las bermas de transporte y de seguridad, ángulo de los bordos activo e inactivo de la explotación y el ángulo de culminación.
INFORMACIÓN PREVIA PARA EL DISEÑO DE LOS TALUDES EN LA MINA Para acometer el diseño de una cantera, así como de sus elementos, es necesario contar con un volumen de información, que caracterice al macizo rocoso y su comportamiento en el tiempo, para poder tomar las decisiones de diseño que garanticen la seguridad y economía de la cantera
Esta información la podemos agrupar de la siguiente forma: Modelo geológico del yacimiento Propiedades del macizo rocoso Características hidrogeológicas de macizo Efectos de la alteración de las rocas Esfuerzos in situ Efectos de las voladuras en las rocas Tratamiento para preservar la estabilidad de  los taludes. Aquí es importante tener un  criterio de cómo quedara el espacio creado y  que posible uso tendrá.
MODELO GEOLÓGICO Recolección de Información Geológica tanto en soporte electrónico o papel: La disponibilidad de un modelo geológico es fundamental. Estos Modelos Geológicos son más efectivos cuando se confeccionan en tres dimensiones con el empleo de programas profesionales como VULCAN, GEMCOM, etc.
Los modelos permiten visualizar en tres dimensiones la geología, Geología estructural, distribución de leyes, distribución de agua subterránea y toda la información geomecánica existente y disponible (RQD, RMR, Q, etc.).
Con la automatización del diseño se facilita utilizar la interface de Modelos Geológicos con Modelos de Análisis de Estabilidad.
DETERMINACIÓN DE LAS PROPIEDADES DEL MACIZO ROCOSO Es el aspecto que constituye el mayor problema, en el análisis de estabilidad de taludes y, la toma de decisiones para el diseño de la estrategia de explotación de la cantera. Se tendrá en cuenta el problema que surge con la selección del tipo de modelo que caracteriza al macizo, modelos continuos (Homogéneos) o discontinuos (discretos).
Es conveniente usar el criterio de falla de Hoek y Brown teniendo en cuenta los supuestos considerándos en su evaluación y utilizar los cálculos retroactivos para verificar si los parámetros asumidos en el criterio de falla son correctos. Se recomienda el empleo de métodos probabilísticos. DETERMINACIÓN DE LAS PROPIEDADES DEL MACIZO ROCOSO
PRESENCIA DE AGUA SUBTERRÁNEA La presencia de agua subterránea en los taludes reduce las tensiones efectivas y, consecuentemente, reduce la resistencia al corte de las discontinuidades presentes en el macizo rocoso. La medición y el control de los niveles freáticos es importante durante toda la vida de la cantera. El modelo geológico debe incluir la información del nivel freático, sus fuentes de alimentación, así como la hidráulica del macizo rocoso.
EFECTO DE LA ALTERACIÓN La mineralización en muchos casos está asociada a zonas de alteración que tienen impacto sobre la resistencia del macizo rocoso y, por lo tanto, su estabilidad. Durante el mapeo geológico se deben identificar zonas de alteración mostrando sus grados y tipo de alteración. El mapeo geológico debe precisar el efecto de la alteración en la resistencia y calidad de los macizos rocosos. Para definir la alteración se debe utilizar la observación de campo, complementada por investigaciones geofísica y ensayos de laboratorio .
ESFUERZOS IN-SITU Los taludes de forma convexa (salientes) son menos estables que los taludes cóncavos debido a la falta de confinamiento en los primeros. El efecto del desconfinamiento es usualmente ignorado. Éste termina generalmente en pérdida de resistencia del macizo rocoso .
La concentración de tensiones en los pies de los taludes de bancos de gran altura produce fallas en la zona, que causan inestabilidad en los mismos. En contadas ocasiones se realizan mediciones de esfuerzos in situ para diseño de taludes, siendo una practica poco común en canteras, solamente se emplea en investigaciones en canteras muy profundas.
DAÑO POR EFECTO DE LA VOLADURA El daño causado por una voladura masiva se extiende varios metros detrás del talud. El daño de la voladura se produce debido a los esfuerzos dinámicos inducidos que resultan en el proceso de  fracturación de la roca, con lo cual se produce la abertura de las discontinuidades.
Es importante hacer una detallada observación de los testigos de perforación para tener una apreciación real del macizo rocoso. El efecto de la rotura o fragmentación producida por la voladura debe ser tomado en cuenta durante el mapeo geotécnico, para valorar en que medida es afectada la calidad del macizo rocoso. DAÑO POR EFECTO DE LA VOLADURA
CRITERIOS PARA EL DISEÑO DE LOS TALUDES La estabilidad de los taludes en una explotación a cielo abierto tiene una gran importancia para la seguridad y efectividad económica de la misma por lo que debe ser considerada desde el inicio del proceso de diseño.
Los aspectos más importantes que afectan la seguridad en los frentes y operaciones  son los siguientes: Caída o deslizamiento de rocas sueltas Colapso parcial de un banco Colapso general de un bordo de la  cantera . CRITERIOS PARA EL DISEÑO DE LOS TALUDES
Las recomendaciones para el control y eliminación de los riesgos son la adopción de las siguientes medidas: Diseño adecuado de bancos y  plataformas para retener los  desprendimientos de materiales. Determinación y mantenimiento  adecuado de taludes generales seguros. CRITERIOS PARA EL DISEÑO DE LOS TALUDES
Control en las proximidades del talud,  para reducir los daños en el macizo. Aplicación de sistemas de drenaje en los macizos para reducir las tensiones  originadas por el agua. Saneo sistemático y efectivo de  materiales sueltos, potencialmente  peligrosos por la posibilidad de caída. CRITERIOS PARA EL DISEÑO DE LOS TALUDES
Los estudios previos necesarios para realizar el diseño geotécnico de un talud estable implican una caracterización del macizo rocoso a partir de los siguientes factores: Sistemas de juntas y discontinuidades Relación de estos con las superficies de  los frentes, taludes y los posibles planos de rotura. CRITERIOS PARA EL DISEÑO DE LOS TALUDES
Parámetros resistentes de las juntas, las características y propiedades de sus superficies, así como los materiales que los  rellenan. Propiedades geotécnicas de la matriz rocosa. Características hidrogeológicas y las presiones de agua en las juntas y fracturas. Efecto de las vibraciones sobre los macizos CRITERIOS PARA EL DISEÑO DE LOS TALUDES
Es necesario señalar las formas de rotura que se producen a partir de los datos registrados. En el caso de taludes rocosos, las superficies de rotura pueden producirse a partir de las discontinuidades preexistentes en el macizo. Se puede aplicar un método gráfico para identificar las situaciones en los que, cinemáticamente, son posibles ciertos tipos de rotura.  CRITERIOS PARA EL DISEÑO DE LOS TALUDES
La utilización de los métodos gráficos permite detectar los sectores de la explotación que son susceptibles a la producción de roturas y así, dirigir las acciones de reconocimiento hacia las zonas mas criticas. CRITERIOS PARA EL DISEÑO DE LOS TALUDES
En el caso de macizos poco cohesionados del tipo suelo, la experiencia ha demostrado que las roturas son del tipo circular. En los macizos rocosos muy fracturados y, donde esta se manifiesta de forma aleatoria o, donde el talud general varía con respecto a la estructura, las superficies de rotura son más complejas; pudiendo ser compuestas y formadas parcialmente por discontinuidades próximas a la superficie de deslizamiento y, por otro lado, por factores nuevos en la roca intacta. CRITERIOS PARA EL DISEÑO DE LOS TALUDES
En el caso de una fracturación intensa el grado de imbricación de bloques y sus posibilidades de movimiento juegan un papel importante, pudiendo adoptarse la hipótesis de rotura circular. Los cálculos de estabilidad de equilibrio limite  ( basados en la mecánica de los sólidos no deformables) se pueden aplicar para los diferentes tipos de roturas indicadas. CRITERIOS PARA EL DISEÑO DE LOS TALUDES
En geotécnia, el riesgo de colapso de un talud se mide en términos del llamado coeficiente de seguridad  FS , que es la relación entre el conjunto de los esfuerzos resistentes o estabilizadores y los desestabilizadores que provocan la rotura del talud. La relación de un factor  FS  mayor implica una disminución del riesgo, pero supone en general taludes mas acostados o tendidos. CRITERIOS PARA EL DISEÑO DE LOS TALUDES
El valor  FS=1  señala la frontera en la cual un talud es o deja de ser estable. La necesidad de utilizar valores de FS > 1 surge como  consecuencia de los siguientes factores: Posible existencia de características  geológicas y estructurales del talud, que no han sido detectadas en el estudio geotécnico. Los posibles errores en los ensayos para caracterizar al macizo. CRITERIOS PARA EL DISEÑO DE LOS TALUDES
La heterogeneidad y anisotropía presente en el macizo. La determinación y variabilidad de las presiones de agua en el talud. Los errores derivados de las supuestas superficies de rotura utilizadas. Los errores en los cálculos. CRITERIOS PARA EL DISEÑO DE LOS TALUDES
Los valores que se adoptan en la práctica varían en función de las consecuencias que resultaran de su colapso, y del nivel de confianza en los datos utilizados. La experiencia que se obtiene teniendo en cuenta las considerables implicaciones económicas, en la selección de un coeficiente de seguridad FS próximo a 1,3 puede ser adecuado para taludes cuya estabilidad no se considere a largo plazo, Como es el caso de los taludes de los frentes de trabajo que en ocasiones se trabajan con FS= 1. CRITERIOS PARA EL DISEÑO DE LOS TALUDES
Por el contrario si las condiciones son criticas o estamos ante los contornos finales FS puede tomar valores de 1,5 a 1,6, aunque dependiendo del tipo de roca, de sus propiedades reológicas y del grado de alteración con el tiempo, se deberán tomar medidas adicionales aún con un factor de seguridad elevado. CRITERIOS PARA EL DISEÑO DE LOS TALUDES
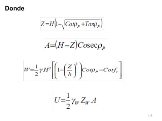
El coeficiente de seguridad, para un talud con rotura plana, se determina con la siguiente expresión:
Donde
Siendo H – Altura del talud. –  Angulo del talud del banco ρ p  – Angulo del plano de rotura (Rotura plana)  ﻻ   - Densidad de la roca ﻻ W  – Densidad del agua α  - Aceleración sísmica Z – Altura de la grieta de tracción Z W  – Altura del agua en grietas de tracción - Angulo de rozamiento W – Peso del bloque deslizante

Taludes

  • 1.
    TALUDES SE COMPRENDEBAJO EL NOMBRE GENERICO DE TALUD CUALESQUIERA SUPERFICIE INCLINADA RESPECTO A LA HORIZONTAL QUE HAYAN DE ADOPTAR PERMANENTEMENTE LAS ESTRUCTURAS DE TIERRA, BIEN SEA EN FORMA NATURAL O COMO CONSECUENCIA DE LA INTERVENCION HUMANA EN UNA OBRA DE INGENIERIA. LOS TALUDES SE DIVIDEN EN NATURALES (LADERAS) O ARTIFICIALES (CORTES Y TERRAPLENES)
  • 2.
  • 3.
    Las obras deinfraestructura lineal (carreteras y ferrocarriles), canales, conducciones, explotaciones mineras, y en general cualquier construcción que requiera una superficie plana en una zona de pendiente, o alcanzar una profundidad determinada por debajo de la superficie, precisan la excavación de taludes (desmontes si dan lugar a un solo talud y trincheras si la excavación presenta un talud a cada lado).
  • 4.
    Los taludes seconstruyen con la pendiente más elevada que permite la resistencia del terreno, manteniendo unas condiciones aceptables de estabilidad.
  • 5.
    El diseño detaludes es uno de los aspectos más importantes de la ingeniería geológica, pues está presente en la mayoría de las actividades constructivas o extractivas.
  • 6.
    TALUD CON ANGULOUNIFORME TALUD ESCAVADO DE FORMA ESCALONADA CON BERMAS Y BANCOS
  • 7.
  • 8.
  • 9.
    En el taludo ladera se definen los siguientes elementos constitutivos: 1. Altura Es la distancia vertical entre el pie y la cabeza, la cual se presenta claramente definida en taludes artificiales pero es complicada de cuantificar en las laderas debido a que el pie y la cabeza no son accidentes topográficos bien marcados. ELEMENTOS DE UN TALUD
  • 10.
    2 . PieCorresponde al sitio de cambio brusco de pendiente en la parte inferior. 3 . Cabeza o escarpe Se refiere al sitio de cambio brusco de pendiente en la parte superior. ELEMENTOS DE UN TALUD
  • 11.
    4. Alturade nivel freático Distancia vertical desde el pie del talud o ladera hasta el nivel de agua medida debajo de la cabeza. 5. Pendiente Es la medida de la inclinación del talud o ladera. Puede medirse en grados, en porcentaje o en relación m/1 , en la cual m es la distancia horizontal que corresponde a una unidad de distancia vertical. ELEMENTOS DE UN TALUD
  • 12.
    En general, lostaludes en ingeniería civil alcanzan alturas máximas de 40 ó 50 m, y se proyectan para ser estables a largo plazo.
  • 13.
    Sin embargo las minas a tajo abierto pueden alcanzar profundidades de varios centenares de metros .
  • 14.
    Los taludespermanentes para la construcción de infraestructuras o con fines de edificación se diseñan para ser estables a largo plazo, precisando medidas de estabilización complementarias cuando no sea posible realizar las excavaciones con las alturas y ángulos requeridos, por motivos económicos o de otro tipo .
  • 15.
    En minería eldiseño de los taludes depende de la disposición y profundidad del yacimiento. Por lo general en yacimientos minerales no metálicos , dispuestos en capas horizontales o inclinadas, los taludes tienen carácter temporal y se proyectan para permanecer estables a corto o medio plazo (meses o años), ya que tras la extracción del mineral la excavación se abandona o se rellena.
  • 16.
    EXCAVACION DE UNTALUD PARA CONSTRUCCIÓN DE UNA CARRETERA
  • 17.
    En minería metálica , cuando el mineral no se presenta en capas, los taludes van modificándose al ir avanzando la excavación en profundidad y perímetro, aunque suelen mantenerse sus inclinaciones.
  • 18.
    Un caso particularson las canteras, donde los frentes de excavación se van retranqueando continuamente, y donde, por lo general, las inestabilidades corresponden a bloques o conjuntos de bloques que se desprenden a favor de las discontinuidades de los macizos rocosos competentes que son explotados.
  • 19.
    En el diseñoy excavación de los taludes mineros los criterios económicos juegan un papel fundamental, siendo frecuente asumir cierto grado de riesgo de roturas locales o parciales en los taludes si éstas no ponen en peligro la seguridad de las personas ni el ritmo de los trabajos de extracción; en estos taludes temporales no se instalan sostenimientos o estabilizaciones.
  • 20.
    Sin embargo, eningeniería civil las tolerancias de movimientos en los taludes son muy restrictivas, al poder afectar a las estructuras que se construyen en su entorno, primando los criterios de seguridad.
  • 21.
    Los estudios geológicosy geotécnicos de taludes están dirigidos al diseño de taludes estables en función de las condiciones requeridas (corto, medio o largo plazo, relación costo-seguridad, grado de riesgo aceptado, etc.) así como a la estabilización de taludes inestables.
  • 22.
    Las investigaciones insitu para taludes tienen como objetivo reconocer geológica y geotécnicamente el terreno afectado por la excavación, con los fines de obtener los parámetros necesarios para analizar su estabilidad, diseñar los taludes, excavar los materiales, calcular las medidas de estabilización y proyectar obras de drenaje, entre otros. INVESTIGACIONES IN SITU
  • 23.
    Como norma general,cada proyecto de excavación debe ser analizado teniendo en cuenta: - Las dimensiones previstas (profundidad y longitud de los taludes). - La posición del nivel freático y condiciones hidrogeológicas . - La litología y estructura geológica . - Los requisitos del proyecto (taludes a largo o corto plazo, condiciones geométricas, etc.).
  • 24.
  • 25.
  • 26.
    Las propiedades resistentesde los materiales, suelos o macizos rocosos, se obtienen mediante los ensayos in situ y de laboratorio adecuados y la aplicación de criterios. Los ensayos de laboratorio más característicos para el diseño o estudio de taludes son los de clasificación, identificación, corte directo en suelos y discontinuidades y compresión simple, entre otros.
  • 27.
    Un aspecto muyimportante a investigar es la posible presencia de deslizamientos naturales, activos o inactivos, en las laderas donde se proyectan excavaciones, ya que las obras pueden reactivar los movimientos al modificar las condiciones iniciales de la ladera (geometría, hidrogeología, estados tensionales, etc.).
  • 28.
    La presencia deinestabilidades naturales preexistentes modifica el diseño de la excavación, e incluso puede hacer inviable la misma, obligando a emplazamientos alternativos. En estos casos se deben investigar aspectos como la magnitud y profundidad de la inestabilidad, la actividad del proceso, la situación de los planos de deslizamiento, la posición del nivel freático, etc.
  • 29.
    Factores influyentes enla estabilidad La estabilidad de un talud está determinada por factores geométricos (altura e inclinación), factores geológicos (que condicionan la presencia de planos y zonas de debilidad y anisotropía en el talud), factores hidrogeológicos (presencia de agua) y factores geotécnicos o relacionados con el comportamiento mecánico del terreno (resistencia y deformabilidad).
  • 30.
    Factores influyentes enla estabilidad La combinación de los factores citados puede determinar la condición de rotura a lo largo de una o varias superficies, y que sea cinemáticamente posible el movimiento de un cierto volumen de masa de suelo o roca. La posibilidad de rotura y los mecanismos y modelos de inestabilidad de los taludes están controlados principalmente por factores geológicos y geométricos .
  • 31.
    Factores influyentes enla estabilidad Los factores geológicos, hidrogeológicos y geotécnicos se consideran factores condicionantes, y son intrínsecos a los materiales naturales. En los suelos, la litología, estratigrafía y las condiciones hidrogeológicas determinan las propiedades resistentes y el comportamiento del talud.
  • 32.
    Factores influyentes enla estabilidad En el caso de macizos rocosos competentes, el principal factor condicionante es la estructura geológica: la disposición y frecuencia de las superficies de discontinuidad y el grado de fracturación; en materiales blandos, como los lutíticos o pizarrosos, la litología y el grado de alteración juegan también un papel predominante.
  • 33.
    Factores influyentes enla estabilidad Junto a los factores condicionantes de la estabilidad de los taludes (también denominados «pasivos»), los factores desencadenantes o «activos» provocan la rotura una vez que se cumplen una serie de condiciones. Estos últimos son factores externos que actúan sobre los suelos o macizos rocosos, modificando sus características y propiedades y las condiciones de equilibrio del talud
  • 34.
    Estratigrafía y litologíaLa naturaleza del material que forma un talud está íntimamente relacionada con el tipo de inestabilidad que éste puede sufrir, presentando las diferentes litologías distinto grado de susceptibilidad potencial ante la ocurrencia de deslizamientos o roturas. Las propiedades físicas y resistentes de cada tipo de material, junto con la presencia de agua, gobiernan su comportamiento tensodeformacional y, por tanto, su estabilidad.
  • 35.
    Talud excavado ensuelos coluviales y roca muy alterada con inestabilidades controladas por la baja resistencia de los materiales y por la presencia de agua estacional circulando por el interior del terreno
  • 36.
    Estructura geológica ydiscontinuidades La estructura geológica juega un papel definitivo en las condiciones de estabilidad de los taludes en macizos rocosos. La combinación de los elementos estructurales con los parámetros geométricos del talud, altura e inclinación, y su orientación , define los problemas de estabilidad que se pueden presentar
  • 37.
    Talud excavado enrocas lutíticas fracturadas y plegadas con roturas controladas por la estructura del macizo rocoso Rotura plana en los bancos de un talud a favor de las superficies de estratificación
  • 38.
    La estructura delmacizo queda definida por la distribución espacial de los sistemas de discontinuidades, que «individualizan» bloques más o menos competentes de matriz rocosa que se mantienen unidos entre sí por las características y propiedades resistentes de las discontinuidades. La presencia de estos planos de debilidad (como superficies de estratificación, diaclasas, fallas, etc.) buzando hacia el frente del talud supone la existencia de planos de rotura y deslizamiento potenciales, y su orientación y disposición condiciona los tipos, modelos y mecanismos de inestabilidad.
  • 39.
    La presencia dediscontinuidades implica un comportamiento anisótropo del macizo y unos planos preferenciales de rotura; por ejemplo, un determinado sistema de fracturas condicionará tanto la dirección de movimiento como el tamaño de los bloques a deslizar, o la presencia de una falla buzando hacia el talud limitará la zona inestable y condicionará el mecanismo de rotura.
  • 40.
    Los cambios ysingularidades estructurales en un macizo rocoso, como zonas tectonizadas o de cizalla, cambios bruscos en el buzamiento de los estratos, etc., suponen heterogeneidades que puede condicionar las zonas de rotura.
  • 41.
    Un aspecto importantees la relación entre las dimensiones del frente del talud y la red de discontinuidades; en función de esta relación, el comportamiento del talud quedará definido por una o unas pocas macrodiscontinuidades (referidas a la escala del talud) o bien por varios sistemas de juntas y otros planos de debilidad con un entramado denso, condicionando el tipo y el volumen de las inestabilidades.
  • 42.
    La influencia dela estructura geológica va más allá del condicionamiento geométrico de las roturas, pudiendo afectar a la estabilidad de los taludes a causa de las modificaciones inducidas por la excavación. por ejemplo, en estructuras de tipo compresivo o distensivo la existencia de esfuerzos tectónicos residuales puede inducir procesos desestabilizadores.
  • 43.
    CONDICIONES HIDROGEOLOGICAS Lamayor parte de las roturas se producen por los efectos del agua en el terreno, como la generación de presiones intersticiales, o los arrastres y erosión, superficial o interna, de los materiales que forman el talud. En general, puede decirse que el agua es el mayor enemigo de la estabilidad de los taludes (además de las acciones antrópicas, cuando se realizan excavaciones inadecuadas sin criterios geotécnicos).
  • 44.
    La presencia deagua en un talud reduce su estabilidad al disminuir la resistencia del terreno y aumentar las fuerzas tendentes a la inestabilidad. Sus efectos más importantes son: Reducción de la resistencia al corte de los planos de rotura al disminuir la tensión Normal efectiva: σ ’ n La presión ejercida sobre grietas de tracción aumenta las fuerzas que tienden al deslizamiento.
  • 45.
    Aumento del pesodel material por saturación: donde : yd = peso específico aparente seco; S = grado de saturación; n = porosidad; Yw = peso específico del agua. Erosión interna por flujo subsuperficial o subterráneo. Meteorización y cambios en la composición mineralógica de los materiales. Apertura de discontinuidades por agua congelada
  • 46.
    La forma dela superficie freática en un talud depende de diferentes factores, entre los que se encuentran la permeabilidad de los materiales , la geometría o forma del talud y las condiciones de contorno . En macizos rocosos, la estructura geológica tiene una gran influencia en la disposición del nivel freático y, por tanto, en la distribución de las presiones intersticiales sobre cualquier superficie potencial de deslizamiento en un talud, así como la alternancia de materiales permeables e impermeables.
  • 47.
    ESQUEMA DEL NIVELFREATICO EN UN TALUD SEGÚN LA DISTRIBUCION DE LOS MATERIALES
  • 48.
    El nivel freáticopuede sufrir cambios estacionales o como consecuencia de dilatados periodos lluviosos o de sequía. En la siguiente figura se representa la distribución del agua en el interior de una ladera. Sólo parte del agua de lluvia o escorrentía penetra en el terreno, y una mínima parte alcanza el nivel freático.
  • 49.
    Si bien lamodificación del nivel freático obedece generalmente a cambios lentos y periodos largos, en caso de materiales muy permeables puede llegar a producirse un ascenso relativamente rápido como consecuencia de precipitaciones intensas.
  • 50.
    ESQUEMA DE CIRCULACIONDE AGUA EN UNA LADERA
  • 51.
    Además del aguaen el interior del terreno, hay que considerar el papel del agua superficial (por precipitación, escorrentía, etc.), que puede causar problemas importantes de estabilidad al crearse altas presiones en las discontinuidades y grietas por las que se introduce, y en la zona más superficial del terreno; de hecho, las roturas en taludes en suelos son más frecuentes en periodos de lluvias intensas, tras una fuerte tormenta o en épocas de deshielo. Los fenómenos de erosión y lavado en materiales blandos o poco consistentes aparecen asimismo asociados a la presencia de agua superficial.
  • 52.
    Los aspectos másimportantes que deben conocerse para evaluar la magnitud y la distribución de las presiones intersticiales en el talud y los efectos del agua son: - Comportamiento hidrogeológico de los materiales. - Presencia de niveles freáticos y piezométricos. - Flujo de agua en el talud. - Parámetros hidrogeológicos de interés: coeficiente de permeabilidad o conductividad hidráulica, gradiente hidraúlico, transmisividad y coeficiente de almacenamiento.
  • 53.
    TENSIONES NATURALES Lastensiones naturales pueden jugar un papel importante en la estabilidad de los taludes rocosos. La liberación de tensiones que puede suponer la excavación de un talud puede originar tal descompresión que el material se transforma y fragmenta por las zonas más débiles y pasa a comportarse como un suelo.
  • 54.
    Este efecto seha comprobado en explotaciones mineras en taludes lutíticos sometidos a elevadas tensiones internas, fragmentándose la «formación rocosa» hasta quedar convertida en un material granular con fragmentos centimétricos (con varios metros de espesor desde la superficie del talud), dando lugar al desmoronamiento de taludes.
  • 55.
    El estado tensionalde un talud depende de su configuración geométrica y del estado de tensiones del macizo rocoso previo a la excavación. En la figura se presenta un ejemplo de la distribución de los esfuerzos litostáticos después de realizar una excavación.
  • 56.
    En excavaciones profundas,las elevadas tensiones que se generan en zonas singulares como el pie del talud pueden dar lugar a condiciones de desequilibrio, llegando incluso a producirse deformaciones plásticas. También en la cabecera del talud se generan estados tensionales anisótropos con componentes traccionales que provocan la apertura de grietas verticales.
  • 57.
    MODIFICACION DE LASTRAYECTORIAS DE LOS ESFUERZOS HORIZONTALES ORIGINALES COMO CONSECUENCIA DE UNA EXCAVACION
  • 58.
    Si a unmacizo rocoso se le somete a tensiones de tipo tectónico, al realizarse una excavación tiene lugar la liberación y redistribución de las mismas; el cambio del estado tensional previo provoca la pérdida de resistencia del material. Las discontinuidades y las zonas con estructuras compresivas (ejm. pliegues) se convierten en zonas de debilidad por la aparición de tensiones distensivas o traccionales.
  • 59.
    El efecto derelajación que produce la excavación puede dar lugar a desplazamientos en el macizo rocoso, al tender a un nuevo estado de equilibrio, generándose grietas o aperturas de los planos de discontinuidad, que juegan un papel importante en las fases iniciales de los procesos de inestabilidad. Este reajuste es función también del tipo, estructura y resistencia del macizo, y disminuye con el tiempo.
  • 60.
    Las sobrecargas estáticasy las cargas dinámicas que se ejercen sobre los taludes modifican la distribución de las fuerzas y pueden generar condiciones de inestabilidad. Entre las primeras están el peso de estructuras o edificios, u otro tipo de cargas como rellenos, escombreras, paso de vehículos pesados, etc. que, cuando se ejercen sobre la cabecera de los taludes, aportan una carga adicional que puede contribuir al aumento de las fuerzas desestabilizadoras. OTROS FACTORES
  • 61.
    TIPOS DE ROTURADE TALUDES TALUDES EN SUELOS Los taludes en suelos rompen generalmente a favor de superficies curvas, con forma diversa condicionada por la morfología y estratigrafía del talud
  • 62.
    Puede ser aproximadamentecircular (la más frecuente), con su extremo inferior en el pie del talud, (deslizamiento de pie), cuando éste está formado por terreno homogéneo o por varios estratos de propiedades geotécnicas homogéneas ROTURA CIRCULAR DE PIE TIPOS DE SUPERFICIES DE ROTURA EN SUELOS
  • 63.
    Puede ser casicircular pero pasando por debajo del pie del talud (deslizamiento profundo); ROTURA CIRCULAR PROFUNDA TIPOS DE SUPERFICIE DE ROTURA
  • 64.
    Si se dandeterminadas condiciones en el Talud, como la existencia de estratos o capas de diferente competencia, puede tener lugar una rotura a favor de una superficie plana o de una superficie poligonal formada por varios tramos planos ROTURA SEGÚN UNA POLIGONAL TIPOS DE SUPERFICIES DE ROTURA EN SUELOS
  • 65.
    Las roturas detaludes en suelos a favor de un único plano paralelo al talud son prácticamente inexistentes, aunque este modelo puede ser válido en el caso de laderas naturales con recubrimientos de suelos sobre rocas ROTURA PLANA TIPOS DE SUPERFICIES DE ROTURA EN SUELOS
  • 66.
    TALUDES EN ROCALos diferentes tipos de roturas están condicionados por el grado de fracturación del macizo rocoso y por la orientación y distribución de las discontinuidades con respecto al talud, quedando la estabilidad definida por los parámetros resistentes de las discontinuidades y de la matriz rocosa.
  • 67.
    TALUDES EN ROCAEn macizos rocosos duros o resistentes, las discontinuidades determinan la situación de los planos de rotura. En macizos formados por rocas blandas poco competentes, la matriz rocosa también juega un papel importante en la generación de estos planos y en el mecanismo de rotura.
  • 68.
    TALUDES EN ROCAEn la siguiente figura se presentan diferentes modelos de rotura en taludes y las relaciones entre ángulos y alturas para diferentes tipos de macizos rocosos.
  • 69.
    TIPOS DE ROTURAEN MACIZOS ROCOSOS, CURVA DE RESISTENCIA PARA EL MACIZO Y RELACIONES ENTRE INCLINACION Y ALTURA DEL TALUD TALUDES EN ROCA
  • 70.
    TALUDES EN ROCALos modelos de rotura más frecuentes indicados en la siguiente figura son: Rotura plana, En cuña, Por vuelco, Por pandeo, y Curva. Incluye la representación estereográfica de las condiciones estructurales de algunos de ellos.
  • 71.
    REPRESENTACION ESTEREOGRAFICA DELOS PLANOS DE DISCONTINUIDAD CON RESPECTO A LA ORIENTACION DEL TALUD PARA ALGUNOS TIPOS DE ROTURAS EN MACIZOS ROCOSOS TALUDES EN ROCA
  • 72.
    TALUDES EN ROCASe produce a favor de una superficie preexistente, que puede ser la estratificación, una junta tectónica, una falla, etc. La condición básica es la presencia de discontinuidades buzando a favor del talud y con su misma dirección, cumpliéndose la condición de que la discontinuidad debe estar descalzada por el talud ( Ψ > α) y su buzamiento debe ser mayor que su ángulo de rozamiento interno (α > Ø ) ROTURA PLANA
  • 73.
    TALUDES EN ROCAROTURA PLANA CONDICIONES PARA LA ROTURA PLANA
  • 74.
    TALUDES EN ROCAEn taludes excavados paralelos a la estratificación, pueden tener lugar roturas planas por deslizamiento de los estratos; este tipo de rotura es típica en macizos lutíticos o pizarrosos, generándose los planos de rotura a favor de la esquistosidad ROTURA PLANA
  • 75.
    TALUDES EN ROCALos diferentes tipos de roturas planas dependen de la distribución y características de las discontinuidades en el talud. Las más frecuentes son: Rotura por un plano que aflora en la cara o en el pie del talud, con o sin grieta de tracción. Rotura por un plano paralelo a la cara del talud, por erosión o pérdida de resistencia del pie.
  • 76.
    TALUDES EN ROCACorresponde al deslizamiento de un bloque en forma de cuña, formado por dos planos de discontinuidad, a favor de su línea de intersección Rotura en cuña
  • 77.
    TALUDES EN ROCACONDICIONES PARA LA ROTURA PLANA Y PARA LA ROTURA EN CUÑA ROTURA PLANA
  • 78.
    TALUDES EN ROCACONDICIONES PARA LA ROTURA EN CUÑA
  • 79.
    TALUDES EN ROCASe produce en taludes de macizos rocosos donde los estratos presentan buzamiento contrario a la inclinación del talud y dirección paralela o subparalela al mismo. En general, los estratos aparecen fracturados en bloques a favor de sistemas de discontinuidades ortogonales entre sí. Este tipo de rotura implica un movimiento de rotación de los bloques, y la estabilidad de los mismos no está únicamente condicionada por su resistencia al deslizamiento. Vuelco de estratos
  • 80.
    TALUDES EN ROCAVUELCO DE ESTRATOS Bloques rocosos de un talud que han sufrido proceso de vuelco Esquemas de taludes con estructura favorable al vuelco de estratos.
  • 81.
    TALUDES EN ROCAEste tipo de rotura se produce a favor de planos de estratificación paralelos al talud( α = Ψ ),con buzamiento mayor que el ángulo de rozamiento interno ( α > Ø). La rotura puede ocurrir con o sin flexión del estrato; la condición necesaria es que los estratos sean suficientemente esbeltos, en relación con la altura del talud, para poder pandear Rotura por pandeo
  • 82.
    TALUDES EN ROCALas causas que pueden generar la rotura por pandeo son: - Altura excesiva del talud. - Existencia de fuerzas externas aplicadas sobre los estratos. - Geometría desfavorable de los estratos. - Existencia de presiones de agua sobre los estratos. - Concentración desfavorable de tensiones . ROTURA POR PANDEO
  • 83.
    Esquema de pandeoen estratos verticalizados, con flexión y fractura de los estratos. TALUDES EN ROCA ROTURA POR PANDEO
  • 84.
    TALUDES EN ROCARotura por pandeo Este tipo de rotura suele darse en los taludes de muro de cortes mineras, al ser excavados paralelos a la estratificación, cuando los planos presentan espaciados pequeños Pandeo de estratos en materiales lutíticos con rotura de las placas de roca en su base
  • 85.
  • 86.
    Para el diseñode cualquier explotación a cielo abierto es necesario contar con la modelización geológica del yacimiento, la cual se obtiene a partir de los trabajos previos de investigación. Este diseño contempla el establecimiento de los contornos finales, intermedios y perspectivos en las diferentes etapas en el desarrollo de la explotación, así como la definición del método de explotación y la selección de la maquinaria a utilizar.
  • 87.
    Un aspecto deextrema importancia para el armónico desarrollo de los trabajos mineros es el que está relacionado con la estabilidad de sus contornos, ya que garantizan la seguridad durante la explotación, en el período de cierre y, en el uso posterior de los espacios creados por la explotación.
  • 88.
    Los elementos delcontorno de la cantera son: Los bordos, su profundidad o altura de explotación, los bancos, compuestos por las plazoletas, altura de banco, ángulo de talud del banco, las bermas de transporte y de seguridad, ángulo de los bordos activo e inactivo de la explotación y el ángulo de culminación.
  • 89.
    INFORMACIÓN PREVIA PARAEL DISEÑO DE LOS TALUDES EN LA MINA Para acometer el diseño de una cantera, así como de sus elementos, es necesario contar con un volumen de información, que caracterice al macizo rocoso y su comportamiento en el tiempo, para poder tomar las decisiones de diseño que garanticen la seguridad y economía de la cantera
  • 90.
    Esta información lapodemos agrupar de la siguiente forma: Modelo geológico del yacimiento Propiedades del macizo rocoso Características hidrogeológicas de macizo Efectos de la alteración de las rocas Esfuerzos in situ Efectos de las voladuras en las rocas Tratamiento para preservar la estabilidad de los taludes. Aquí es importante tener un criterio de cómo quedara el espacio creado y que posible uso tendrá.
  • 91.
    MODELO GEOLÓGICO Recolecciónde Información Geológica tanto en soporte electrónico o papel: La disponibilidad de un modelo geológico es fundamental. Estos Modelos Geológicos son más efectivos cuando se confeccionan en tres dimensiones con el empleo de programas profesionales como VULCAN, GEMCOM, etc.
  • 92.
    Los modelos permitenvisualizar en tres dimensiones la geología, Geología estructural, distribución de leyes, distribución de agua subterránea y toda la información geomecánica existente y disponible (RQD, RMR, Q, etc.).
  • 93.
    Con la automatizacióndel diseño se facilita utilizar la interface de Modelos Geológicos con Modelos de Análisis de Estabilidad.
  • 94.
    DETERMINACIÓN DE LASPROPIEDADES DEL MACIZO ROCOSO Es el aspecto que constituye el mayor problema, en el análisis de estabilidad de taludes y, la toma de decisiones para el diseño de la estrategia de explotación de la cantera. Se tendrá en cuenta el problema que surge con la selección del tipo de modelo que caracteriza al macizo, modelos continuos (Homogéneos) o discontinuos (discretos).
  • 95.
    Es conveniente usarel criterio de falla de Hoek y Brown teniendo en cuenta los supuestos considerándos en su evaluación y utilizar los cálculos retroactivos para verificar si los parámetros asumidos en el criterio de falla son correctos. Se recomienda el empleo de métodos probabilísticos. DETERMINACIÓN DE LAS PROPIEDADES DEL MACIZO ROCOSO
  • 96.
    PRESENCIA DE AGUASUBTERRÁNEA La presencia de agua subterránea en los taludes reduce las tensiones efectivas y, consecuentemente, reduce la resistencia al corte de las discontinuidades presentes en el macizo rocoso. La medición y el control de los niveles freáticos es importante durante toda la vida de la cantera. El modelo geológico debe incluir la información del nivel freático, sus fuentes de alimentación, así como la hidráulica del macizo rocoso.
  • 97.
    EFECTO DE LAALTERACIÓN La mineralización en muchos casos está asociada a zonas de alteración que tienen impacto sobre la resistencia del macizo rocoso y, por lo tanto, su estabilidad. Durante el mapeo geológico se deben identificar zonas de alteración mostrando sus grados y tipo de alteración. El mapeo geológico debe precisar el efecto de la alteración en la resistencia y calidad de los macizos rocosos. Para definir la alteración se debe utilizar la observación de campo, complementada por investigaciones geofísica y ensayos de laboratorio .
  • 98.
    ESFUERZOS IN-SITU Lostaludes de forma convexa (salientes) son menos estables que los taludes cóncavos debido a la falta de confinamiento en los primeros. El efecto del desconfinamiento es usualmente ignorado. Éste termina generalmente en pérdida de resistencia del macizo rocoso .
  • 99.
    La concentración detensiones en los pies de los taludes de bancos de gran altura produce fallas en la zona, que causan inestabilidad en los mismos. En contadas ocasiones se realizan mediciones de esfuerzos in situ para diseño de taludes, siendo una practica poco común en canteras, solamente se emplea en investigaciones en canteras muy profundas.
  • 100.
    DAÑO POR EFECTODE LA VOLADURA El daño causado por una voladura masiva se extiende varios metros detrás del talud. El daño de la voladura se produce debido a los esfuerzos dinámicos inducidos que resultan en el proceso de fracturación de la roca, con lo cual se produce la abertura de las discontinuidades.
  • 101.
    Es importante haceruna detallada observación de los testigos de perforación para tener una apreciación real del macizo rocoso. El efecto de la rotura o fragmentación producida por la voladura debe ser tomado en cuenta durante el mapeo geotécnico, para valorar en que medida es afectada la calidad del macizo rocoso. DAÑO POR EFECTO DE LA VOLADURA
  • 102.
    CRITERIOS PARA ELDISEÑO DE LOS TALUDES La estabilidad de los taludes en una explotación a cielo abierto tiene una gran importancia para la seguridad y efectividad económica de la misma por lo que debe ser considerada desde el inicio del proceso de diseño.
  • 103.
    Los aspectos másimportantes que afectan la seguridad en los frentes y operaciones son los siguientes: Caída o deslizamiento de rocas sueltas Colapso parcial de un banco Colapso general de un bordo de la cantera . CRITERIOS PARA EL DISEÑO DE LOS TALUDES
  • 104.
    Las recomendaciones parael control y eliminación de los riesgos son la adopción de las siguientes medidas: Diseño adecuado de bancos y plataformas para retener los desprendimientos de materiales. Determinación y mantenimiento adecuado de taludes generales seguros. CRITERIOS PARA EL DISEÑO DE LOS TALUDES
  • 105.
    Control en lasproximidades del talud, para reducir los daños en el macizo. Aplicación de sistemas de drenaje en los macizos para reducir las tensiones originadas por el agua. Saneo sistemático y efectivo de materiales sueltos, potencialmente peligrosos por la posibilidad de caída. CRITERIOS PARA EL DISEÑO DE LOS TALUDES
  • 106.
    Los estudios previosnecesarios para realizar el diseño geotécnico de un talud estable implican una caracterización del macizo rocoso a partir de los siguientes factores: Sistemas de juntas y discontinuidades Relación de estos con las superficies de los frentes, taludes y los posibles planos de rotura. CRITERIOS PARA EL DISEÑO DE LOS TALUDES
  • 107.
    Parámetros resistentes delas juntas, las características y propiedades de sus superficies, así como los materiales que los rellenan. Propiedades geotécnicas de la matriz rocosa. Características hidrogeológicas y las presiones de agua en las juntas y fracturas. Efecto de las vibraciones sobre los macizos CRITERIOS PARA EL DISEÑO DE LOS TALUDES
  • 108.
    Es necesario señalarlas formas de rotura que se producen a partir de los datos registrados. En el caso de taludes rocosos, las superficies de rotura pueden producirse a partir de las discontinuidades preexistentes en el macizo. Se puede aplicar un método gráfico para identificar las situaciones en los que, cinemáticamente, son posibles ciertos tipos de rotura. CRITERIOS PARA EL DISEÑO DE LOS TALUDES
  • 109.
    La utilización delos métodos gráficos permite detectar los sectores de la explotación que son susceptibles a la producción de roturas y así, dirigir las acciones de reconocimiento hacia las zonas mas criticas. CRITERIOS PARA EL DISEÑO DE LOS TALUDES
  • 110.
    En el casode macizos poco cohesionados del tipo suelo, la experiencia ha demostrado que las roturas son del tipo circular. En los macizos rocosos muy fracturados y, donde esta se manifiesta de forma aleatoria o, donde el talud general varía con respecto a la estructura, las superficies de rotura son más complejas; pudiendo ser compuestas y formadas parcialmente por discontinuidades próximas a la superficie de deslizamiento y, por otro lado, por factores nuevos en la roca intacta. CRITERIOS PARA EL DISEÑO DE LOS TALUDES
  • 111.
    En el casode una fracturación intensa el grado de imbricación de bloques y sus posibilidades de movimiento juegan un papel importante, pudiendo adoptarse la hipótesis de rotura circular. Los cálculos de estabilidad de equilibrio limite ( basados en la mecánica de los sólidos no deformables) se pueden aplicar para los diferentes tipos de roturas indicadas. CRITERIOS PARA EL DISEÑO DE LOS TALUDES
  • 112.
    En geotécnia, elriesgo de colapso de un talud se mide en términos del llamado coeficiente de seguridad FS , que es la relación entre el conjunto de los esfuerzos resistentes o estabilizadores y los desestabilizadores que provocan la rotura del talud. La relación de un factor FS mayor implica una disminución del riesgo, pero supone en general taludes mas acostados o tendidos. CRITERIOS PARA EL DISEÑO DE LOS TALUDES
  • 113.
    El valor FS=1 señala la frontera en la cual un talud es o deja de ser estable. La necesidad de utilizar valores de FS > 1 surge como consecuencia de los siguientes factores: Posible existencia de características geológicas y estructurales del talud, que no han sido detectadas en el estudio geotécnico. Los posibles errores en los ensayos para caracterizar al macizo. CRITERIOS PARA EL DISEÑO DE LOS TALUDES
  • 114.
    La heterogeneidad yanisotropía presente en el macizo. La determinación y variabilidad de las presiones de agua en el talud. Los errores derivados de las supuestas superficies de rotura utilizadas. Los errores en los cálculos. CRITERIOS PARA EL DISEÑO DE LOS TALUDES
  • 115.
    Los valores quese adoptan en la práctica varían en función de las consecuencias que resultaran de su colapso, y del nivel de confianza en los datos utilizados. La experiencia que se obtiene teniendo en cuenta las considerables implicaciones económicas, en la selección de un coeficiente de seguridad FS próximo a 1,3 puede ser adecuado para taludes cuya estabilidad no se considere a largo plazo, Como es el caso de los taludes de los frentes de trabajo que en ocasiones se trabajan con FS= 1. CRITERIOS PARA EL DISEÑO DE LOS TALUDES
  • 116.
    Por el contrariosi las condiciones son criticas o estamos ante los contornos finales FS puede tomar valores de 1,5 a 1,6, aunque dependiendo del tipo de roca, de sus propiedades reológicas y del grado de alteración con el tiempo, se deberán tomar medidas adicionales aún con un factor de seguridad elevado. CRITERIOS PARA EL DISEÑO DE LOS TALUDES
  • 117.
    El coeficiente deseguridad, para un talud con rotura plana, se determina con la siguiente expresión:
  • 118.
  • 119.
    Siendo H –Altura del talud. – Angulo del talud del banco ρ p – Angulo del plano de rotura (Rotura plana) ﻻ - Densidad de la roca ﻻ W – Densidad del agua α - Aceleración sísmica Z – Altura de la grieta de tracción Z W – Altura del agua en grietas de tracción - Angulo de rozamiento W – Peso del bloque deslizante