Secretaría Departamental de Salud
   Instituto Nacional de Tórax
Departamento de Terapia Intensiva
          la Paz – Bolivia




                   PROGRAMA DE MEJORA DE LA CALIDAD DE LA ATENCIÓN




                        TERAPIA INTENSIVA
        Manual de Procedimientos de Diagnóstico y Tratamiento




                                                                                   Dr. Oscar Vera Carrasco
                                Jefe del Departamento de Terapia Intensiva del Instituto Nacional de Tórax.
                                 Jefe de la Cátedra de Farmacología de la Facultad de Medicina - U.M.S.A.
                                                        Especialista en Medicina Crítica y Terapia Intensiva.




SEGUNDA EDICIÓN
2.003
La PAZ - BOLIVIA
                                             1
NOTA

          La medicina es una ciencia en continuo desarrollo. Conforme surjan nuevos conocimientos,
          se requerirán cambios de la terapéutica. Los autores de esta obra han puesto cuidado en
          confirmar la exactitud de la información que se presenta y en describir las prácticas que han
          ganado aceptación general. No obstante, no se responsabilizan por errores u omisiones, o
          por las consecuencias de aplicar la información contenida en este texto. Tampoco garantizan,
          de manera explícita o implícita, que el contenido de esta publicación sea completa o exacta.
          La aplicación de esta información a una situación específica sigue siendo responsabilidad
          profesional de cada médico. Los autores han hecho los máximos esfuerzos por asegurar que
          la selección de los fármacos y las dosis propuestas en este Manual concuerden con las
          recomendaciones actuales y las prácticas en vigor al momento de la publicación. Sin embargo,
          en vista de la investigación permanente y el flujo constante de información relacionada con
          la farmacoterpia y las reacciones adversas a los medicamentos, se recomienda recurrir a
          otras fuentes para tener certeza de cualquier cambio en las indicaciones o dosis, así como
          advertencias y precauciones nuevas. Esto es especialmente importante cuando el fármaco
          recomendado es nuevo o de uso infrecuente.




Prohibida la reproducción total o parcial de esta obra, por cualquier medio, sin autorización escrita
de los autores.

DERECHOS RESERVADOS           2003



                                                            II
Colaboradores


Dr. Williams Panique Rojas
Especialista en Medicina Crítica y Terapia Intensiva del Instituto Nacional de Tórax y COSSMIL.

Dra. Marina Fuentes C.
Especialista en Medicina Crítica y Terapia Intensiva del Instituto Nacional de Tórax.

Dr. Jesús Gómez Mendívil
Especialista Cardiólogo de la Unidad de Terapia Intensiva del Instituto Nacional de Tórax.
Diplomado en Urgencias Médicas.

Dr. Marco Antonio García
Especialista en Neumología y Endoscopía del Instituto Nacional de Tórax.

Dr. Gonzalo L. Poma Plata.
Especialista en Medicina Crítica y Terapia Intensiva del Instituto Nacional de Tórax.

Agradecimientos

A la Dra. Victoria De Urioste por haber hecho posible la publicación de este texto.
Al Dr. Dayler Patiño Robles por la transcripción y diagramación del texto.




TITULO:             TERAPIA INTENSIVA: Manual de Procedimientos de Diagnóstico y Tratamiento.

Autor:              Dr. Oscar Vera Carrasco

Nº ISBN:            99905-0-290-0

Depósito Legal:     4-1-375-03

Impreso:            Impresiones Gráficas “Virgo” Telf. 2316177 • Fax: 2370501



Este Libro fue elaborado con el apoyo de la OPS/OMS, Centro del Programa Nacional de Medicina
Esenciales de Bolivia (PNMEBOL).
                                                           III
FICHA BIBLIOGRÁFICA



Bo      Vera Carrasco, Oscar
WB300   Terapia intensiva: Manual de procedimientos de diagnóstico y
C331t   tratamiento./ Oscar Vera Carrasco.- 2ed. La Paz: OPS/OMS,
        2003.
        237p. - (Programa de mejora de la calidad de la atención)

I.             TERAPIA INTENSIVA^sdiag
II.            TERAPIA INTENSIVA^sterap
III.           UNIDADES DE TERAPIA INTENSIVA^snormas
IV.            CALIDAD DE LA ATENCION DE SALUD^stend
V.             t.




                              IV
Contenido
Presentación ..............................................................................................................................................     VXII
Prólogo .....................................................................................................................................................   XIX

I. Atencion de Pacientes en la Unidad de Terapia Intensiva

1.          Procedimientos En la Unidad de Terapia Intensiva ..........................................................                                         1
1.1.        El Proceso de la Atencion Medica de la U.T.I. ................................................................................                      1
1.2.        Metas y Objetivos : ........................................................................................................................        1
1.3.        Modelos de Priorización :..............................................................................................................             1
1.4.        Admision de Pacientes a la U.C.I..................................................................................................                  2
1.5.        Criterios de Exclusión....................................................................................................................          2
1.6.        Criterios de Admisión:...................................................................................................................           2
1.7.        Criterios de Alta de Pacientes En la U.C.I. ......................................................................................                  3
1.8.        Modelo de Admisión por Diagnósticos :........................................................................................                       4
1.9.        Modelo de Admisión por parámetros Objetivos :...........................................................................                            6
1.10.       Bibliografía : ..................................................................................................................................   7

II Transtornos Cardiovasculares

2.          Arritmias Cardiacas .................................................................................................................               8
2.1.        Definicion ......................................................................................................................................   8
2.2.        Bradicardia Sinusal........................................................................................................................         8
2.3.        Taquicardia Sinusal .......................................................................................................................         8
2.4.        Taquicardia Supraventricular .........................................................................................................              8
2.5.        Fluter (Aleteo) Auricular.................................................................................................................          9
2.6.        Fibrilacion Auricular ......................................................................................................................        9
2.7.        Taquicardia Auricular Paroxística con Bloqueo Auriculoventricular. ..............................................                                   10
2.8.        Extrasistoles Ventriculares.............................................................................................................            10
2.9.        Taquicardia Ventricular ..................................................................................................................          11
2.10.       Fibrilacion Ventricular ...................................................................................................................         11
2.11.       Bloqueo Aurículo-ventricular........................................................................................................                11
2.12.       Bibliografía : ..................................................................................................................................   12

3.          Infarto Agudo de Miocardio ...................................................................................................                      14
3.1.        Definición ......................................................................................................................................   14
3.2.        Factores de riesgo .........................................................................................................................        14
3.3.        Cuadro clínico ...............................................................................................................................      14
3.4.        Examenes complementarios...........................................................................................................                 15
3.5.        Tratamiento ....................................................................................................................................    15
3.6.        Contraindicaciones:.......................................................................................................................          17
3.7.        Alta de la U.T.I. : .............................................................................................................................   18
3.8.        Manejo y Tratamiento de las Complicaciones del IAM...................................................................                               18
3.9.        Indicaciones de Marcapaso Temporal en el IAM............................................................................                            21



                                                                                        V
3.10.   Insuficiencia Cardiaca y Choque Cardiogénico..............................................................................                           21
3.11.   Insuficiencia Cardiaca con Congestión Pulmonar con Perfusión Periférica...................................                                           22
3.12    Insuficiencia Cardiaca con Congestión Pulmonar con Hipoperfusión Periférica............................                                              22
3.13.   Hipoperfusion Periférica sin Congestión Pulmonar.......................................................................                              22
3.14.   Disfunción Isquémica del Ventrículo derecho................................................................................                          22
3.15.   Choque Cardiogénico....................................................................................................................              22
3.16.   Complicaciones Isquémicas ..........................................................................................................                 23
3.17.   Indicaciones de Cinecoronarigrafia Angioplastia y Cirugia...........................................................                                 23
3.18.   Bibliografía ....................................................................................................................................    24

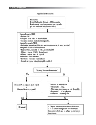
4.      Paro Cardiaco............................................................................................................................            26
4.1.    Definición: .....................................................................................................................................    26
4.2.    Etiología: .......................................................................................................................................   26
4.3.    Cuadro Clínico: .............................................................................................................................        26
4.4.    Tratamiento: ...................................................................................................................................     26
4.5.    Pautas de Reanimación Estándar orientada al Cerebro en caso de Coma.......................................                                           28
4.6.    Tipos específicos de Paros: ...........................................................................................................              29
4.7.    Bibliografía: ...................................................................................................................................    29

5.      Crisis Hipertensiva ..................................................................................................................               42
5.1.    Definición : ....................................................................................................................................    42
5.2.    Etiologia : ......................................................................................................................................   42
5.3.    Cuadro Clínico : ............................................................................................................................        42
5.4.    Examenes Complementarios :........................................................................................................                   42
5.5.    Manejo y Tratamiento :...................................................................................................................            43

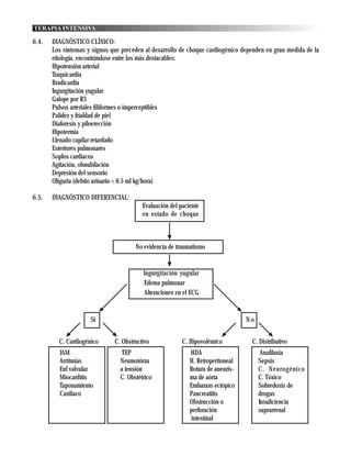
6.      Choque Cardiogenico...............................................................................................................                   46
6.1.    Definición: ....................................................................................................................................     46
6.2.    Etiología: .......................................................................................................................................   46
6.3.    Perfil Hemodinámico.-...................................................................................................................             46
6.4.    Diagnóstico Clínico.-.....................................................................................................................           47
6.5.    Diagnóstico Diferencial .- ..............................................................................................................            47
6.6.    Examenes Complementarios.- .......................................................................................................                   48
6.7.    Tratamiento.-..................................................................................................................................      48
6.8.    Bibliografia.-..................................................................................................................................     49

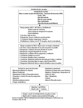
7.      Sepsis y Shock Séptico .........................................................................................................                     51
7.1.    Definiciones :.................................................................................................................................      51
7.2.    Etiología : ......................................................................................................................................   51
7.3.    Cuadro clínico y evolución : ..........................................................................................................              52
7.4.    Diagnóstico : .................................................................................................................................      53
7.5.    Diagnóstico Diferencial :................................................................................................................            53
7.6.    Examenes Complementarios :........................................................................................................                   53
7.7.    Tratamiento : ..................................................................................................................................     54




                                                                                   VI
7.8.     Valoración del Pronóstico :............................................................................................................              58
7.9.     Bibliografia ....................................................................................................................................    58

8.       Isquemia Mesentérica ............................................................................................................                    60
8.1.     Isquemia Mesentérica Aguda.- ......................................................................................................                  60
8.2.     Isquemia Mesentérica Crónica.- ....................................................................................................                  61
8.3.     Bibliografía.-..................................................................................................................................     61

III Transtornos Respiratorios

9.       Insuficiencia Respiratoria Aguda. ........................................................................................                           62
9.1.     Definición. .....................................................................................................................................    62
9.2.     Etiología. .......................................................................................................................................   62
9.3.     Cuadro Clínico. .............................................................................................................................        62
9.4.     Tratamiento. ...................................................................................................................................     62
9.5.     Bibliografía: ...................................................................................................................................    63

10.      Sindrome de Distrés Respiratorio Agudo ............................................................................                                  64
10.1.    Definición ......................................................................................................................................    64
10.2.    Etiologia ........................................................................................................................................   64
10.3.    Cuadro Clínico ..............................................................................................................................        64
10.4.    Examenes Complementarios..........................................................................................................                   65
10.5.    Tratamiento ....................................................................................................................................     65
10.6.    Bibliografía : ..................................................................................................................................    65

11.      Edema Agudo Pulmonar de Altura ........................................................................................                              67
11.1.    Definición ......................................................................................................................................    67
11.2.    Etiologia ........................................................................................................................................   67
11.3.    Cuadro Clínico. .............................................................................................................................        67
11.4.    Examenes Complementarios..........................................................................................................                   67
11.5.    Diagnóstico Diferencial..................................................................................................................            67
11.6.    Tratamiento ....................................................................................................................................     68
11.7.    Bibliografía : ..................................................................................................................................    68

12.      Aspiración Pulmonar o Broncoaspiración ......................................................................                                        70
12.1.    definición :.....................................................................................................................................    70
12.2.    Tipos de Material Aspirado : ..........................................................................................................              70
12.3.    Síndromes Causados Por Aspiración : ..........................................................................................                       70
12.4.    Diagnóstico : .................................................................................................................................      70
12.5.    Factores de riesgo : .......................................................................................................................         70
12.6.    Alteraciones Fisiopatológicas :.......................................................................................................               71
12.7.    Broncoaspiración de líquidos tóxicos............................................................................................                     71
12.8.    Complicaciones Infecciosas en la Broncoaspiración .....................................................................                              71
12.9.    Profilaxis de la Broncoaspiración ..................................................................................................                 71
12.10.   Bibliografía : ..................................................................................................................................    71



                                                                                    VII
13.      Neumonias en Cuidados Intensivos......................................................................................                               73
13.1.    Definición ......................................................................................................................................    73
13.2.    Etiologia ........................................................................................................................................   73
13.3.    Cuadro Clinico y Criterios de Confirmación de Neumonias en la UCI..........................................                                          73
13.4.    Protocolo Diagnostico de Neumonias en al UCI...........................................................................                              73
13.5.    Examenes Complementarios de Urgencia:.....................................................................................                           74
13.6.    Tratamiento. ...................................................................................................................................     74
13.7.    Referencias Bibliograficas..............................................................................................................             74

14.      Crisis y Estatus Asmatico .......................................................................................................                    75
14.1.    Definición ......................................................................................................................................    75
14.2.    Clasificación desde el punto de vista asistencial:...........................................................................                        75
14.3.    Cuadro Clinico y Criterios de gravedad .........................................................................................                     75
14.4.    Diagnostico Diferencial..................................................................................................................            76
14.5.    Examenes Complementarios de Urgencia:.....................................................................................                           76
14.6.    Tratamiento. ...................................................................................................................................     77
14.7.    Criterios de Ingreso a la UCI.........................................................................................................               78
14.8.    Bibliografia ....................................................................................................................................    78

15.      Hemoptisis..................................................................................................................................         79
15.1.    Definición ......................................................................................................................................    79
15.2.    Etiología ........................................................................................................................................   79
15.3.    Cuadro Clinico ..............................................................................................................................        80
15.4.    Diagnóstico Diferencial..................................................................................................................            80
15.5.    Examenes Complementarios de Urgencia:.....................................................................................                           80
15.6.    Tratamiento. ...................................................................................................................................     80
15.7.    Bibliografia ....................................................................................................................................    81

16.      Tromboembolismo Pulmonar.................................................................................................                            82
16.1.    Definición : ....................................................................................................................................    82
16.2.    Factores de Riesgo : ......................................................................................................................          82
16.3.    Formas de presentación Clínica :...................................................................................................                  83
16.4.    Cuadro Clínico : ............................................................................................................................        83
16.5.    Examenes Complementarios :........................................................................................................                   84
16.6.    Criterios de Gravedad del TEP : .....................................................................................................                85
16.7.    Tratamiento : ..................................................................................................................................     85
16.8.    Monitorización :.............................................................................................................................        86
16.9.    P R O F I L A X I S : .......................................................................................................................        86
16.10.   Bibliografía : ..................................................................................................................................    86

17.      Ventilación Mecánica o Asistencia Respiratoria Mecánica ..........................................                                                   88
17.1.    definición:......................................................................................................................................    88
17.2.    Indicaciones: .................................................................................................................................      88
17.3.    Principios Básicos para iniciar la Ventilación Mecánica...............................................................                               88
17.4.    Estrategias de la Ventilación Mecánica .........................................................................................                     89



                                                                                   VIII
17.5.    Ventiladores Ciclados por Volumen:..............................................................................................                     89
17.6.    Objetivos: ......................................................................................................................................    89
17.7.    Modos Ventilatorios: .....................................................................................................................           89
17.8.    Complicaciones de la Ventilación Mecánica..................................................................................                          91
17.9.    Desconexión o "Destete" de la Ventilación Mecánica ...................................................................                               92
17.10.   Criterios para la Desconexión de la Ventilación Mecánica.............................................................                                92
17.11.   Protocolo para Desconexión de la Ventilación Mecánica Con Tubo en “T” ...................................                                            93
17.12.   Protocolo de Desconexión de la Ventilación Mecánica Con IMV...................................................                                       93
17.13.   Protocolo de la Desconexión de la VM con Presión de Soporte (PSV) ..........................................                                         93
17.14.   Factores que pueden dificultar El "Destete" ....................................................................................                     94
17.15.   Bibliografía : ..................................................................................................................................    94

IV Transtornos Renales y del Medio Interno

18.      Insuficiencia Renal Aguda. ....................................................................................................                      95
18.1.    Definición: .....................................................................................................................................    95
18.2.    Etiología: .......................................................................................................................................   95
18.3.    Cuadro Clínico: .............................................................................................................................        95
18.4.    Tratamiento: ...................................................................................................................................     96
18.5.    Bibliografía: ...................................................................................................................................    96

19.      Alteraciones del Equilibrio Acido-base...............................................................................                                97
19.1.    Definición ......................................................................................................................................    97
19.2.    Clasificacion:.................................................................................................................................      97
19.3.    Acidosis Metabólica.......................................................................................................................           97
19.4.    Acidosis Respiratoria .....................................................................................................................          99
19.5.    Alcalosis Metabólica......................................................................................................................           100
19.6.    Alcalosis Respiratoria ....................................................................................................................          102
19.7.    Trastornos Mixtos del Equilibrio Acido-base.................................................................................                         103
19.8.    Bibliografia: ...................................................................................................................................    104

20.      Alteraciones Electrolíticas ....................................................................................................                     105
20.1.    Desequilibrios del Sodio ...............................................................................................................             105
20.2.    Causas del Síndrome de SIHAD ...................................................................................................                     108
20.3.    Tratamiento del Estado Hipotónico.................................................................................................                   108
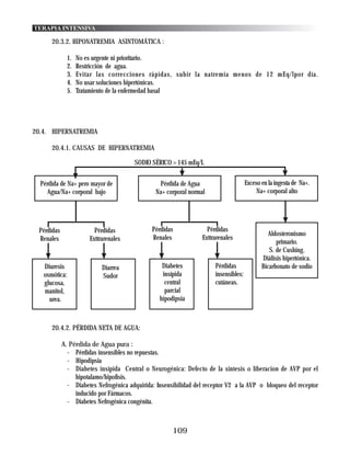
20.4.    H I P E R N A T R E M I A...............................................................................................................             109
20.5.    Etiologia de la Diabetes Insípida..................................................................................................                  110
20.6.    Hipopotasemia...............................................................................................................................         113
20.7.    Hiperpotasemia..............................................................................................................................         116
20.8.    Hipomagnesemia...........................................................................................................................            117
20.9.    Hipermagnesemia..........................................................................................................................            118
20.10    Hipercalcemia................................................................................................................................        119
20.11.   Hipocalcemia.................................................................................................................................        120
20.12.   Hipofosfatemia ...............................................................................................................................       121
20.13.   Bibliografia : ..................................................................................................................................    122



                                                                                    IX
TERAPIA INTENSIVA

V Transtornos Neurologicos

21.     Coma............................................................................................................................................     123
21.1.   Definición: .....................................................................................................................................    123
21.2.   Etiología: .......................................................................................................................................   123
21.3.   Exámenes Complementarios:.........................................................................................................                   124
21.4.   Diagnostico Diferencial:.................................................................................................................            124
21.5.   Tratamiento: ...................................................................................................................................     124
21.6.   Bibliografía: ...................................................................................................................................    124

22.     Estado Epiléptico......................................................................................................................              125
22.1.   Definición: .....................................................................................................................................    125
22.2.   Etiología: .......................................................................................................................................   125
22.3.   Cuadro Clínico: .............................................................................................................................        125
22.4.   Tratamiento: ...................................................................................................................................     125
22.5.   Bibliografía: ...................................................................................................................................    125

23.     Coma Hipoglucémico. ..............................................................................................................                   126
23.1.   Definición: .....................................................................................................................................    126
23.2.   Etiología: .......................................................................................................................................   126
23.3.   Cuadro Clínico: .............................................................................................................................        126
23.4.   Exámenes Complementarios:.........................................................................................................                   126
23.5.   Tratamiento: ...................................................................................................................................     126
23.6.   Bibliografía: ...................................................................................................................................    126

24.     Coma Cetoacidótico.................................................................................................................                  127
24.1.   Definición: .....................................................................................................................................    127
24.2.   Etiología: .......................................................................................................................................   127
24.3.   Exámenes Complementarios:.........................................................................................................                   127
24.4.   Tratamiento: ...................................................................................................................................     127
24.5.   Bibliografía: ...................................................................................................................................    127

25.     Coma Hiperosmolar no Cetósico. ..........................................................................................                            128
25.1.   Definición: .....................................................................................................................................    128
25.2.   Etiología: .......................................................................................................................................   128
25.3.   Cuadro Clínico: .............................................................................................................................        128
25.4.   Tratamiento: ...................................................................................................................................     128
25.5.   Bibliografía: ...................................................................................................................................    128

26.     Edema Cerebral.........................................................................................................................              129
26.1.   Definición: .....................................................................................................................................    129
26.2.   Etiología: .......................................................................................................................................   129
26.3.   Cuadro Clínico: .............................................................................................................................        129
26.4.   Exámenes Complementarios:.........................................................................................................                   129
26.5.   Tratamiento: ...................................................................................................................................     129
26.6.   Bibliografía: ...................................................................................................................................    129


                                                                                      X
27.     Accidente Cerebrovascular Agudo Manejo Clínico General...........................................                                                    130
27.1.   Soporte Vital Avanzado : ................................................................................................................            130
27.2.   Prevención/Tratamiento : ...............................................................................................................             130

28.     Hemorragia Subaracnoidea ....................................................................................................                        133
28.1.   Clasificación de Hunt y Hess: ........................................................................................................               133
28.2.   Manejo y Tratamiento de la Hemorragia Subaracnoidea ...............................................................                                  133
28.3.   Bibliografía : ..................................................................................................................................    135

29.     Síndrome de Guillaín Barré.....................................................................................................                      136
29.1.   Definición ......................................................................................................................................    136
29.2.   Etiología y Patogenia......................................................................................................................          136
29.3.   Clínica.-.........................................................................................................................................   136
29.4.   Diagnóstico y Diagnóstico Diferencial. ..........................................................................................                    137
29.5.   Pronóstico. ....................................................................................................................................     137
29.6.   Tratamiento ....................................................................................................................................     137
29.7.   Bibliografía ....................................................................................................................................    138

VI Transtornos Endocrinológicos

30.     Cetoacidosis Diabética ..........................................................................................................                    139
30.1.   Definición : ....................................................................................................................................    139
30.2.   Etiología . ......................................................................................................................................   139
30.3.   Cuadro Clínico . ............................................................................................................................        139
30.4.   Examenes de laboratorio :..............................................................................................................              139
30.5.   Manejo y Tratamiento :...................................................................................................................            140
30.6.   Bibliografía : ..................................................................................................................................    142

31.     Síndrome Hiperglucémico Hiperosmolar no Cetósico......................................................                                               143
31.1.   Definición : ....................................................................................................................................    143
31.2.   Etiología : ......................................................................................................................................   143
31.3.   Cuadro Clínico : ............................................................................................................................        143
31.4.   Examenes de laboratorio :..............................................................................................................              144
31.5.   Manejo y Tratamiento :...................................................................................................................            144
31.6.   Bibliografía : ..................................................................................................................................    145

32.     Trastornos en la Secrecion de Hormona Antidiurética (ADH) .........................................                                                  146
32.1.   Diabetes Insípida ...........................................................................................................................        146
32.2.   Síndrome de Secreción Inadecuada de Hormona Antidiurética.....................................................                                       148
32.3.   Bobliografía ...................................................................................................................................     149

33.     Crisis Tirotoxica........................................................................................................................            150
33.1.   Definición.-....................................................................................................................................     150
33.2.   Factores desencadenantes.-...........................................................................................................                150
33.3.   Cuadro Clinico.-............................................................................................................................         151



                                                                                     XI
33.4.   Exámenes Complementarios.- .......................................................................................................                   151
33.5.   Diagnóstico Diferencial.- ...............................................................................................................            152
33.6.   Tratamiento.-..................................................................................................................................      152
33.7.   Bibliografía.-..................................................................................................................................     153

VII Transtornos Digestivos y Nutrición

34.     Hemorragia Digestiva Alta......................................................................................................                      154
34.1.   Definición.-....................................................................................................................................     154
34.2.   Etiología.-......................................................................................................................................    154
34.3.   Clínica.-.........................................................................................................................................   155
34.4.   Diagnóstico ...................................................................................................................................      155
34.5.   Tratamiento.-..................................................................................................................................      156
34.6.   Bibliografia ....................................................................................................................................    158

35.     Pancreatitis Aguda...................................................................................................................                159
35.1.   Definición: .....................................................................................................................................    159
35.2.   Etiología: .......................................................................................................................................   159
35.3.   Cuadro Clínico: .............................................................................................................................        159
35.4.   Exámenes Complementarios:.........................................................................................................                   159
35.5.   Tratamiento: ...................................................................................................................................     160
35.6.   Bibliografía: ...................................................................................................................................    160

36.     Nutrición Parenteral: ...............................................................................................................                161
36.1.   Definición: .....................................................................................................................................    161
36.2.   Requerimiento Energético..............................................................................................................               161
36.3.   Requerimiento de Electrolitos ........................................................................................................               161
36.4.   Bibliografía: ...................................................................................................................................    162

37.     Nutrición Enteral.......................................................................................................................             163
37.1.   Definición: .....................................................................................................................................    163
37.2.   Etiología: .......................................................................................................................................   163
37.3.   Requerimiento Energético..............................................................................................................               163
37.4.   Proteínas (Gramos /Día): ...............................................................................................................             163
37.5.   Tratamiento: ...................................................................................................................................     163
37.6.   Bibliografía: ...................................................................................................................................    164

VIII Intoxicaciones

38.     Intoxicación por Organofosforados ......................................................................................                             165
38.1.   Introducción : ................................................................................................................................      165
38.2.   Clasificación de Los Organofosforados Según su Toxicidad .........................................................                                   165
38.3.   Mecanismo de acción :..................................................................................................................              165
38.4.   Cuadro Clínico . ............................................................................................................................        166
38.5.   Signos y Síntomas de la Intoxicación Aguda por Organofosforados..............................................                                        166



                                                                                    XII
38.6.    Examenes de laboratorio ...............................................................................................................             167
38.7.    Manejo y Tratamiento :...................................................................................................................           168
38.8.    Bibliografía : ..................................................................................................................................   169

39.      Intoxicación Alcohólica ..........................................................................................................                  170
39.1.    Signos y Síntomas.........................................................................................................................          170
39.2.    Tratamiento ....................................................................................................................................    170
39.3.    Bibliografía.-..................................................................................................................................    171

IX. Traumatismos y Cirugia

40.      Traumatismo del Tórax ............................................................................................................                  172
40.1.    Clasificacion.- ...............................................................................................................................     172
40.2.    Traumatismo de Tórax Abierto.-.....................................................................................................                 175
40.3.    Procedimientos Diagnósticos en el Tórax Traumático.-.................................................................                               175
40.4     Bibliografía ....................................................................................................................................   176

41.      Traumismo Abdominal .............................................................................................................                   177
41.1.    Introducción ..................................................................................................................................     177
41.2.    Anatomia Externa del Abdomen (1)................................................................................................                    177
41.3.    Anatomia Interna del Abdomen (1).................................................................................................                   177
41.4.    Mecanismo de Lesión....................................................................................................................             177
41.5.    Valoración Inicial ...........................................................................................................................      177
41.6.    Valoración definitiva ......................................................................................................................        178
41.7.    Pruebas Diagnósticas ....................................................................................................................           178
41.8.    Actitud Terapeutica (5)...................................................................................................................          179
41.9.    . Algunas Lesiones Específicas (5) (2) (1) .....................................................................................                    181
41.10.   Flujogramas de Actuación .............................................................................................................              182
41.11.   Bibliografía ....................................................................................................................................   184

42.      Post Operatorio en Cirugia de Tórax ....................................................................................                            185
42.1.    Ventilación en el Post Operatorio...................................................................................................                185
42.2.    Balance Hidroelectrolitico..............................................................................................................            185
42.3.    Analgesia.......................................................................................................................................    185
42.4.    Movilización de Secreciones Bronquiales......................................................................................                       186
42.5.    Drenajes Tubulares de Tórax: ........................................................................................................               186
42.6.    Control Radiologico En El Postoperatorio de Cirugiá Toracica ......................................................                                 186
42.7.    Bibliografía ....................................................................................................................................   187

43.      Cuidado Intensivo Postoperatorio En Cirugia Cardiaca...................................................                                             188
43.1.    Subsistencia Cardiovascular:.........................................................................................................               188
43.2.    Subsistema Respiratorio ................................................................................................................            189
43.3.    Subsistema Renal : ........................................................................................................................         190
43.4.    Subsistema Metabólico :................................................................................................................             190
43.5.    Antibióticos : .................................................................................................................................    192



                                                                                    XIII
43.6.    Tratamiento de la Fiebre :...............................................................................................................            193
43.7.    Complicaciones.............................................................................................................................          193
43.8.    Hipertensión Arterial :....................................................................................................................          194
43.9.    Sangrado : .....................................................................................................................................     194
43.10.   Bibliografía : ..................................................................................................................................    197

X. Miscelaneas.

44.      Coagulacion Intravascular Diseminada..............................................................................                                   198
44.1.    Definición.-....................................................................................................................................     198
44.2.    Etiología.-......................................................................................................................................    198
44.3.    Formas Clinicas.- ..........................................................................................................................         198
44.4.    Cuadro Clinico.-............................................................................................................................         199
44.5.    Exámenes Complementarios.- .......................................................................................................                   199
44.6.    Tratamiento.-..................................................................................................................................      199
44.7.    Bibliografía.-..................................................................................................................................     199

45.      Anafilaxis....................................................................................................................................       200
45.1.    Definición.-....................................................................................................................................     200
45.2.    Etiología.-......................................................................................................................................    200
45.3.    Cuadro Clinico.-............................................................................................................................         201
45.4.    Examenes Complementarios.- .......................................................................................................                   202
45.5.    Diagnostico Diferencial.- ...............................................................................................................            202
45.6.    Tratamiento.-..................................................................................................................................      202
45.7.    Bibliografía ....................................................................................................................................    203

46.      Sindrome de Stevens Johnson ...............................................................................................                          205
46.1.    Definición ......................................................................................................................................    205
46.2.    Etiología ........................................................................................................................................   205
46.3.    Cuadro Clínico ..............................................................................................................................        206
46.4.    Examenes Complementarios..........................................................................................................                   206
46.5.    Diagnóstico Diferencial..................................................................................................................            207
46.6.    Manejo y Tratamiento.....................................................................................................................            207
46.7.    Complicaciones.............................................................................................................................          207
46.8.    Bibliografía ....................................................................................................................................    207

47.      Eclampsia y otras complicaciones obstétricas.................................................................                                        208
47.1.    Definición ......................................................................................................................................    208
47.2.    Etiología ........................................................................................................................................   208
47.3.    Cuadro Clínico ..............................................................................................................................        209
47.4.    Exámenes Complementarios..........................................................................................................                   209
47.5.    Diagnóstico ..................................................................................................................................       209
47.6.    Diagnóstico Diferencial..................................................................................................................            210
47.7.    Manejo y Tratamiento ....................................................................................................................            210




                                                                                    XIV
47.8.   Otras complicaciones obstétricas ..................................................................................................                  212
47.9.   Bibliografía ....................................................................................................................................    219

48.     Protocolo de Diagnóstico de Muerte Cerebral ..................................................................                                       221
48.1.   Definición ......................................................................................................................................    221
48.2.   Etiología ........................................................................................................................................   221
48.3.   Diagnóstico ...................................................................................................................................      221
48.4.   Exploración Neurológia .................................................................................................................             222
48.5.   Periodo de Observación e intervalo entre las pruebas ...................................................................                             226
48.6.   Exámenes complementarios ..........................................................................................................                  227
48.7.   Actividad Motora espinal en la muerte encefálica ..........................................................................                          227
48.8.   Bibliografía ....................................................................................................................................    228

49.     Scores de Gravedad..................................................................................................................                 229
49.1.   Protocolo de diagnóstico de Muerte General .................................................................................                         229
49.2.   Apache II........................................................................................................................................    230

50.     Parámetros y Fórmulas para la atención crítica...............................................................                                        231
50.1    Parámetros Hematimetricos normales en la altura.........................................................................                             231
50.2    Parámetros y Fórmulas en Cuidados Intensivos............................................................................                             232

51.     Índice Analítico.........................................................................................................................            236




                                                                                    XV
PRESENTACION



El Ministerio de Salud y Previsión Social, cuya atribución es garantizar la calidad de atención al paciente, normar, fortalecer
y evaluar los servicios que se brindan en los establecimientos de salud del Sistema Nacional, a partir de la aprobación
de los Reglamentos de la Comisión Nacional de Acreditación de Hospitales en Bolivia, mediante Resolución Secretarial
Nº 0329 de fecha 27 de abril de 1.994, ha logrado dar un impulso eficaz para emprender una serie de actuaciones a lo
largo de los últimos años, cuyos frutos ya comienzan a hacerse evidentes.

Los hospitales representan un elemento esencial en los sistemas locales de salud. Esto se debe no sólo al papel que
juegan en la atención de pacientes que requieren servicios más especializados que los disponibles en los centros y
puestos de salud, sino también por el apoyo que ofrecen a los establecimientos de menor complejidad en cuanto a
sistemas de información, funciones gerenciales, desarrollo de recursos humanos, logística e investigación.

En lo que respecta a la atención de situaciones de riesgo vital en nuestro país es, sin embargo, en general suficientemente
precaria como para dar lugar a sentimientos de satisfacción completa. No obstante, es obligado reconocer el notable
avance producido últimamente respecto a la aún insuficiencia de infraestructuras y la escasa difusión del conocimiento
de las técnicas asistenciales apropiadas entre el personal de salud para su aplicación en la asistencia del paciente en
estado crítico.

Con la edición del presente texto intitulado “Terapia Intensiva: Manual de Procedimientos de Diagnóstico y Tratamiento”,
un instrumento operativo para el Sistema Público Descentralizado y participativo de salud, nuestro Ministerio pretende
dar un nuevo impulso al desarrollo y fortalecimiento de los hospitales de nuestro país y en particular a las Unidades de
Cuidado Intensivo, con el objetivo principal de asegurar que los pacientes que demanden este servicio, y quienes presten
funciones en los mismos, lo hagan en condiciones de eficiencia y seguridad. Además, al constituirse este manual como
una herramienta más para el trabajo regular y en el sistema de evaluación a través de la Auditoria Médica, una de las
condiciones básicas a cumplir para la calificación y certificación de los hospitales, deberá ser un referente importante
para desarrollar, adecuar y evaluar protocolos de Diagnóstico y Tratamiento de los padecimientos más comunes.

 Espero que toda la información contenida en este Manual sea de utilidad para muchos profesionales y especialistas en
su ejercicio diario, y sobre todo deseo que el beneficio que el mismo pueda aportar, se manifieste en la recuperación del
paciente en estado crítico de nuestra población.




                                            DR. JAVIER TORRES GOITIA C.
                                       MINISTRO DE SALUD Y PREVISIÓN SOCIAL




                                                            XVII
PRÓLOGO


Los requerimientos de servicios médicos tales como la Medicina Crítica, son los que más a menudo exceden la
disponibilidad de recursos tanto materiales como humanos. En el contexto de estas limitadas condiciones, las instituciones
de salud proveedoras de este tipo de atención médica como el Instituto Nacional de Tórax (INT) y en particular su Unidad
de Terapia Intensiva (UTI), se han visto obligadas a establecer algunas definiciones éticas para distribuir equitativa y
eficientemente sus recursos disponibles.


Al mismo tiempo, se considera también la necesidad de que todas las etapas del proceso de atención médica de la UTI
deben documentarse en los Manuales técnicos y administrativos correspondientes, los cuales deberán mantenerse
permanentemente actualizados y al alcance del personal para su consulta; este enfoque permite asegurar la calidad del
servicio médico.


En atención a lo anterior, a principios de 1.997 se iniciaron los trabajos de planeación de este proyecto a todas luces
ambicioso: producir este MANUAL DE PROCEDIMIENTOS DE DIAGNÓSTICO Y TRATAMIENTO que versará sobre el
Diagnóstico y Tratamiento de los problemas más frecuentes. Los esfuerzos se centraron en el diseño de un pequeño libro
de consulta sencilla, rápida e información actualizada y sintética, características necesarias a los fines de contar con una
herramienta práctica y confiable junto a la cama del paciente para la identificación y resolución de las enfermedades o
trastornos patológicos habituales en una UTI. Por lo tanto, este manual está diseñado especialmente para el personal
asignado a la UTI del INT. También esta destinado a los Médicos Residentes en formación dentro la especialidad de Terapia
Intensiva, particularmente internistas, cardiólogos, neumólogos, anestesiólogos y cirujanos. Los estudiantes de medicina,
las enfermeras de la UTI y las estudiantes de enfermería igualmente considerarán a este compendio para sus actividades
diarias con los pacientes en estado crítico. Por último, pretende cubrir el vacío existente entre la didáctica de un libro
de texto más amplio y la práctica de los especialistas en Medicina Crítica y Terapia Intensiva más experimentados.


Cada monografía se diseñó para ayudar al lector en la definición del trastorno patológico, determinar sus causas,
identificar los signos y síntomas específicos, realizar los exámenes complementarios necesarios y aplicar cuales
tratamientos son eficaces y cuales intervenciones médicas son las más convenientes. En síntesis, un Manual de este tipo
supone que puede existir un orden en la medicina y en el estudio diagnóstico de los problemas frecuentes. Este
planteamiento ofrece uniformidad, un método para controlar los costos de la atención médica y solicitar las exploraciones
de forma apropiada, y la posibilidad de una calidad constante al abordar un mismo tipo de problemas clínicos.


Llegar a la edición de este Manual no sólo constituye un logro editorial, sino que adquiere una perspectiva y un significado
distinto del documento inicial. Además, es importante señalar que esta tarea no solamente es el fruto del entusiasmo de
un grupo de médicos que trabajamos en la UTI, sino que ha pasado a constituir una herramienta de la tradición y cultura
docente de la UTI del INT.




                                                            XIX
Es deseo de los autores que toda la información contenida en este Manual sea de ayuda para muchos profesionales y
especialistas para la toma de decisiones médicas en su ejercicio diario, y sobre todo, esperamos que el beneficio que
pueda aportar se manifieste en una recuperación y mayor bienestar para el enfermo, razón fundamental de nuestro trabajo
profesional.




                                               La Paz, Febrero de 2.003




                                               Dr. Oscar Vera Carrasco
                              JEFE DEL DEPARTAMENTO DE TERAPIA INTENSIVA DEL
                                          INSTITUTO NACIONAL DE TÓRAX




                                                         XX
TERAPIA INTENSIVA

                               1. PROCEDIMIENTOS EN LA UNIDAD DE TERAPIA INTENSIVA
       * Dr. Oscar Vera Carrasco
1.1.   EL PROCESO DE LA ATENCIÓN MÉDICA DE LA U.T.I.:
       1. Al ingreso del paciente, el grupo médico y de enfermeria de la UTI asumirán la responsabilidad de brindarle
          la atención que requiera para resolver sus problemas de salud.
       2. El médico de turno debe comunicar al personal de enfermeria de la UTI la condición clínica y la necesidad
          de vigilancia del paciente aceptado y se deberá preparar la cama y todos los elementos necesarios para dicha
          atención.
       3. El proceso asistencial que se lleve a cabo por los grupos médico y de enfermeria de la UTI, asi como del
          médico tratante del enfermo, se debe ajustar a las funciones identificadas en la descripción de puestos.
       4. Todas las indicaciones para el diagnóstico y tratamiento del enfermo son responsabilidad del médico de la
          UTI en colaboración y acuerdo con el médico del servicio de procedencia.
       5. La discrepancia en las decisiones entre los médicos de los servicios participantes sobre el diagnóstico y
          terapéutica deberá resolverse mediante la revisión del caso clínico con las Jefaturas de los servicios involucrados.
       6. El médico de turno de la UTI es el responsable de la coordinación y supervisión integral del plan de vigilancia.
       7. La responsabilidad de Enfermeria es vigilar el cumplimiento y ejecutar las indicaciones del médico de turno.

1.2.   METAS Y OBJETIVOS :
       El primer paso para determinar criterios de Admisión a la Unidad de Terapia Intensiva (UTI) del Instituto Nacional
       de Tórax (INT), será observar un mecanismo que sea capaz de distinguir a aquellos pacientes que se beneficiarán
       de esta Unidad de aquellos que no lo harán.
       El estado de salud de los pacientes será el criterio más importante para determinar el acceso a la UTI por sobre
       otras consideraciones como las económicas y legales, que si bien también son de importancia pero secundarias.
       Otras determinantes de admisión, tales como disponibilidad de camas, recursos humanos y técnicos, consideraciones
       éticas, morales y económicas, capacidad de la UTI de prestar los servicios con un nivel de calidad, van más allá
       de la finalidad de este Manual y deben ser tratadas en cada caso particular con el paciente, cuando es posible,
       o con la familia y el médico de cabecera.

1.3.   MODELOS DE PRIORIZACIÓN :
       Este sistema definirá a la mayor parte de los pacientes que serán beneficiados con la atención de la UTI (prioridad
       1) y aquellos que no lo harán al ingresar a ella (prioridad 4).

       Prioridad 1: Son pacientes inestables con necesidad de monitoreo y tratamiento intensivo que no puede ser
       entregado fuera de esta Unidad. En estos pacientes generalmente no hay límites para la prolongación de la terapia
       que están recibiendo. Pueden incluir pacientes post-operados, con insuficiencia respiratoria que requieren soporte
       ventilatorio, que están en choque o inestabilidad circulatoria, que necesitan monitoreo invasivo y/o drogas.
       Prioridad 2: Estos pacientes requieren monitoreo invasivo y potencialmente pueden necesitar una intervención
       inmediata y no se han estipulado límites terapéuticos. Por ejemplo pacientes con estados co-mórbidos quienes
       han desarrollado una enfermedad severa médica o quirúrgica.
       Prioridad 3: Pacientes que pueden recibir tratamiento intensivo para aliviar su enfermedad aguda, sin embargo,
       se le puede colocar límite a los esfuerzos terapéuticos, tales como no intubar o no efectuar reanimación
       cardiopulmonar si la requirieran. Ejemplos: pacientes con enfermedades neoplásicas malignas metastásicas
       complicadas con infección, taponamiento cardiaco u obstrucción de la vía aérea.
       Prioridad 4: Son pacientes no apropiados para cuidados en la UTI. Estos deberían ser admitidos sobre una base

                                                            1
TERAPIA INTENSIVA

       individual, bajo circunstancias inusuales y bajo la supervisión del Jefe de la Unidad. Estos mismos pacientes,
       se pueden clasificar en las siguientes categorías:

       a) Pacientes que se beneficiarían poco de los cuidados brindados por la UTI, basados en un bajo riesgo de
          intervención activa que no podría ser administrada en forma segura en una unidad que no fuera una UTI
          (demasiado bien para beneficiarse). Incluyen pacientes con cirugía vascular periférica, cetoacidosis
          hemodinamicamente estable, insuficiencia cardiaca congestiva leve, sobredosis de drogas sin alteración de
          la conciencia, etc.
       b) Pacientes con enfermedad terminal e irreversible que enfrentan un estado de muerte inminente (demasiado
          enfermos para beneficiarse). Por ejemplo: daño cerebral severo irreversible, falla multiorgánica irreversible,
          cáncer metastásico que no ha respondido a quimio y/o radioterapia (salvo que el paciente esté en un protocolo
          específico), pacientes capaces de tomar decisiones que rechazan el monitoreo invasivo y los cuidados
          intensivos por aquellos destinados sólo al confort, muerte cerebral que no son potenciales donadores de
          órganos, pacientes que se encuentran en estado vegetativo persistente, etc.

1.4.   ADMISIÓN DE PACIENTES A LA U.C.I..
       * El ingreso del enfermo a la U.C.I. será el resultado de la decisión compartidatida entre el médico tratante del
         Servicio de procedencia y el médico de turno de esta Unidad, siempre tomando en cuenta las posibilidades
         razonables de recuperación.
       * La solicitud para ingresar a un paciente a la U.C.I. la efectúa el médico del servicio tratante.
       * Las alteraciones reales o potenciales de los sistemas fisiológicos mayores factibles de recuperar y no la
         naturaleza del padecimiento serán las determinantes de admisión a la U.C.I.,tales como :
             • INSUFICIENCIA 0 INESTABILIDAD DE UNO O MÁS DE LOS SISTEMAS MAYORES.
             • ALTO RIESGO DE INESTABILIDAD DE SISTEMAS FISIOLOGICOS MAYORES.
             • NECESIDAD DE CUIDADOS ESPECIALES O ESPECIALIZADOS.
       * El criterio del médico de turno de la U.C.I. es el predominante para determinar el ingreso del enfermo.
       * En circunstancias de ocupación total de las camas asignadas, corresponde al médico de turno de la U.C.I.
         tomar la decisión de ingresar y egresar pacientes de la Unidad.

1.5.   CRITERIOS DE EXCLUSIÓN:
       * Los siguientes pacientes no deben ser considerados para su admisión en la U.C.I.:
       1 Patología Primaria irreversible, tales como: CA terminal, VIH, falla orgánica múltiple y patologías del SNC
         que causan la muerte durante la hospitalización corriente.
       2 Pacientes menores de 15 años de edad.
       3 Pacientes que no requieren cuidado crítico de enfermeria (Ej. < de la relación 1:2 en cuidado de enfermeria
         según descripción en los criterios de enfermeria 1:1 o 1:2.)
       4 Procedimientos diagnósticos y terapéuticos tales como broncoscopía y endoscopía.


1.6.   CRITERIOS DE ADMISIÓN:
       * Los siguientes pacientes deben ser considerados para su admisión en la U.C.I.:
       1 Pacientes que pasaron el criterio de exclusión.
       2 Pacientes con intubación endotraqueal y que requieren ventilación mecánica o protección de la vía aérea por:
          pérdida del reflejo de la tos y/o pérdida del reflejo nauseoso y/o edema de glotis y/o traqueomalasia.
                                                          2
TERAPIA INTENSIVA

        3   Falla respiratoria inminente por:
        *   Fatiga muscular (uso de músculos accesorios y taquipnea) y/o
        *   Hipoxia aguda (PaO2 < 10 mmHg. del normal).
        *   Evidencia radiográfica o endoscópica de estrechamiento de la vía aérea en asociación con estridor y/o
        *   Hipercapnia aguda (pH < 7.3 con la correspondiente elevación de la PaCO2).

4.-Administración de drogas vasoactivas por vía intravenosa y que requieren monitorización invasiva, tales como:
           - Inotrópicos
           - Agentes alfa y beta adrenérgicos
           - Antihipertensivos

5.-Tratamiento del shock:
        a) Shock inminente -no respuesta a la administración de líquidos en bolos y a un mínimo de 1.500 ml. en 20
           minutos.
           - Sindrome de Sepsis
           - Infarto de miocardio reciente (< 48 horas)
           - Neurogénico
           - Hipovolémico
        b) Shock manifiesto, con evidencia de
           - Trastorno mental y/o
           - Diuresis menor a 0,5 mi/kg/hora y/o
           - Presión arterial media menor a 65 mmHg. y/o
           - Presión arterial sistólica menor en 20 mmHg.del valor normal del paciente.

6.-Evaluación hemodinámica que requiere el uso de monitorizacion especializada de la U.C.I. tales como:
           * Swan-Ganz y/o
           * Presión intracraneal y/o
           * Hemofiltración arterio-venosa contínua y/o
           * Volumen expirado de C02 y/o
           * Medíción del V02 y VC02 y/o
           * Corrección rápida de trastornos electrolíticos (Cl K >15 mEq/hora).

7.-Otros pacientes con patologia específica, como:
           * Sobredosificación
           * Pacientes obstétricos/ginecológicos de alto riesgo
           * Quemados
           * Diálisis,cuando o donde no existan facilidades disponibles
           * Cirugia de alto riesgo, previa determinación de cada caso.


1.7. CRITERIOS DE ALTA DE PACIENTES EN LA U.C.I.
1. Pacientes con respiración espontánea:
           - Sin ventilación mecánica en la últimas 6 horas
           - Con vía aérea estable
           - Con reflejo tusígeno normal
           - Respiración sin signos de fatiga muscular (Ej. Uso de músculos accesorios, respiración paradojal).


                                                          3
TERAPIA INTENSIVA

2. Pacientes que no esten recibiendo dosificación de drogas vasoactivas o antihipertensivos por un mínimo de tres horas.
            - Inotrópicos
            - Alfa y beta adrenérgicos
            - Antihipertensivos

3. Pacientes hemodinamicamente estables y manteniendo una infusión de líquidos menor a 25 ml/hora y:
            - Presión arterial media mayor de 65 mmHg y/o
            - Presion arterial dentro de los 10 mmHg del paciente normal y/o
            - Débito urinario mayor a 0,5ml/kg/hora, excepto en los pacientes con insuficiencia renal águda o crónica

4. Pacientes que no requieren evaluación hemodinámica. Ej:
            - Swan-Ganz y/o
            - Presión intracraneal y/o
            - Hemofiltración arterio-venosa continua y/o
            - Volumen espirado final de CO2 y/o
            - Cuantificacion del VO2, VCO2 y/o
            - Reposición rápida de electrolitos.

5. Pacientes mecánicamente ventilados y con casi ninguna posibilidad de rehabilitación.


1.8.    MODELO DE ADMISIÓN POR DIAGNÓSTICOS :

        Este modelo se basa en un listado de condiciones o enfermedades específicas que determinan admisiones
        apropiadas a la UTI.

        1.8.1. SISTEMA CARDIOVASCULAR:
        Shock cardiogénico.
        Infarto agudo de miocardio complicado.
        Arritmias complejas que requieren monitorización contínua e intervención.
        Insuficiencia cardiaca congestiva con falla respiratoria y/o que requieran soporte hemodinámico.
        Angina inestable con inestabilidad hemodinámica, arrítmias o dolor torácico persistente.
        Emergencias hipertensivas.
        Paro cardiaco reanimado.
        Taponamiento cardiaco o constricción con inestabilidad hemodinámica.
        Bloqueo AV completo u otro que requiera marcapaso.
        Aneurisma disecante de aorta.

        1.8.2. SISTEMA RESPIRATORIO:
        Insuficiencia respiratoria aguda que requiera soporte ventilatorio.
        Falla respiratoria con intubación inminente.
        Embolia pulmonar con inestabilidad hemodinámica.
        Hemoptisis masiva.
        Obstrucción de la vía aérea post operatoria.
        Pacientes en Unidades de cuidado intermedio que inicien deterioro respiratorio.
        Necesidad de cuidados respiratorios de enfermería que no pueda brindarse en unidades de menor complejidad.


                                                         4
TERAPIA INTENSIVA

    1.8.3. TRASTORNOS NEUROLÓGICOS.
    Accidente Cerebrovascular con deterioro del estado de conciencia.
    Coma: metabólico, tóxico o anóxico.
    Hemorragia intracraneal con riesgo potencial de herniación.
    Hemorragia subaracnoidea aguda.
    Meningitis con alteración del estado de conciencia o compromiso respiratorio.
    Afecciones del SNC o neuromusculares con deterioro del estdo neurológico o de la función pulmonar.
    Estatus epiléptico.
    Muerte cerebral o muerte cerebral potencial en quienes estén siendo manejados agresivamente mientras se
    determina su condición de donante.
    Injuria cerebral aguda severa (TEC).
    Vasoespasmo cerebral.

    1.8.4. SOBREDOSIS DE DROGAS:
    Ingestión de drogas con inestabilidad hemodinámica.
    Ingestión de drogas con alteración significativa del estado de conciencia.
    Ingestión de drogas con riesgo de aspiración pulmonar.
    Convulsiones post ingesta de drogas.

    1.8.5. TRASTORNOS GASTROINTESTINALES.
    Hemorragia digestiva masiva incluyendo hipotensión, angina, sangrado incoercible o la presencia de condiciones
    co-mórbidas.
    Falla hepática fulminante o subfulminante.
    Pancreatitis aguda severa.
    Perforación esofágica con o sin mediastinitis.

    1.8.6. SISTEMA ENDOCRINO:
    Cetoacidosis diabética con inestabilidad hemodinámica, alteración de la conciencia, insuficiencia respiratoria,
    acidosis severa y alteraciones hidroelectrolíticas graves.
    Tormenta tiroidea o coma mixedematoso con inestabilidad hemodinámica.
    Estado hiperosmolar con coma o inestabilidad hemodinámica.
    Hipercalcemia severa con alteración de la conciencia y necesidad de monitoreo hemodinámico.
    Hipo o hipernatremia con convulsiones y alteración de la conciencia.
    Hipo o hipermagnesemia con compromiso hemodinámico, de conciencia, convulsiones y/o arrítmias.
    Hipo o hiperkalemia con arrítmias o debilidad muscular severa.
    Hipofosfatemia con debilidad muscular.

    1.8.7. QUIRÚRGICOS:
    Pacientes postoperados con necesidad de monitoreo hemodinámico, soporte ventilatorio y cuidado de enfermería
    intensivo (drenajes, ostomias, etc.).

    1.8.8. MISCELÁNEAS:
    Shock séptico
    Monitoreo hemodinámico
    Condiciones clínicas con altos requerimientos de cuidados de enfermería (ej.uso de ventilación mecánica no
    invasiva, etc.).


                                                       5
TERAPIA INTENSIVA

       Injurias ambientales (ahogamiento, hipo o hipertermia, radiación)
       Terapias nuevas o experimentales con potenciales complicaciones (trombolisis de infartos cerebrales,
       tromboembolismo pulmonar).
       Post operatorio de transplantes (renal, cardiaco, hepático, pulmonar).
       Cirugía en enfermedad pulmonar obstructiva crónica.

1.9.   MODELO DE ADMISIÓN POR PARÁMETROS OBJETIVOS :

       Este modelo desarrollado por la Joint Commisión on Acreditation of Healthcare Organizations, con el objetivo
       de estandarizar la atención de salud y los protocolos de acreditación para ser aplicados en cada hospital en forma
       individual incluye: signos clínicos, parámetros laboratoriales e imagenológicos como criterios de ingreso a las
       Unidades de cuidados críticos, el mismo que ha sido recientemente revisado y modificado.

       Nuestra UTI , tomando en cuenta el tipo de pacientes y patologías que con mayor frecuencia requieren de sus
       servicios, podría también tomar como referencia este modelo de admisión.

       Cabe hacer notar, que los criterios que serán listados a continuación, mientras no se establezca un consenso,
       son arbitrarios, ya que no existen datos disponibles hasta el presente que algún criterio o rango específico haya
       demostrado mejoría en los resultados.

       1.9.1. SIGNOS VITALES:

       Frecuencia de Pulso < 40 ó > 150 latidos por minuto.
       Presión arterial sistólica < 80 mmHg o 20 mmHg por debajo de la presión habitual del paciente.
       Presión arterial media < 60 mmHg.
       Presión arterial diastólica > 120 mmHg.
       Frecuencia respiratoria > 35 respiraciones por minuto.

       1.9.2. VALORES DE LABORATORIO:
       Sodio sérico < 110 mEq/L ó > 170 mEq/L
       Potasio sérico < 2 mEq/L ó > 7 mEq/L
       PaO2 < 50 mmHg (6.67 kPa)
       pH < 7.1 ó > 7.7
       Glucemia > 800 mg/dl
       Calcemia > 15 mg/dl
       Niveles tóxicos de drogas u otra substancia química en un paciente comprometido neurológica o hemodinamicamente.

       1.9.3. IMAGENOLOGÍA:
       Hemorragia cerebrovascular, contusión, hemorragia subaracnoidea con alteración de la conciencia o focalidad
       neurológica.
       Ruptura de víscera, vejiga, hígado, várices esofágicas, útero, con inestabilidad hemodinámica.
       Aneurisma disecante de la aorta.

       1.9.4. ELECTROCARDIOGRAFÍA:
       Infarto del miocardio con arrítmias complejas, inestabilidad hemodinámica o insuficiencia cardiaca congestiva.
       Arrítmias supraventriculares con inestabilidad hemodinámica.
       Taquicardia ventricular sostenida o fibrilación ventricular.

                                                          6
TERAPIA INTENSIVA

      Bloqueo AV completo.

      1.9.5. SIGNOS FÍSICOS DE COMIENZO AGUDO:
      Anisocoria más alteración de conciencia.
      Quemaduras mayor al 10 % de la superficie corporal.
      Anuria.
      Obstrucción de la vía aérea.
      Coma
      Status convulsivo.
      Cianosis.
      Taponamiento cardiaco.

1.10. BIBLIOGRAFÍA :

      • Society of Critical Care Medicine Task Force on Guidelines: Recommendations for intensive care unit
        admission and discharge criteria. Crit Care Med 1988; 16: 807-8.
      • Society of Critical Care Medicine Ethics Committee: Consensus statements on the triage of Critical Ill patients.
        JAMA 1994; 271: 1200-3.
      • Bone RC, Mc Elwee NE, Eubanks DH. Analysis of indications for intensive care unit admission- Clinical Efficacy
        Projects-American college of Chest Physicians. Chest 1993; 104: 1806-11.
      • Kollef MH, Shuster DP. Predicting ICU outcomes with scoring systems: Underlying concepts and principles.
        Critical Care Clinics 1994; 10: 1-18.
      • Zimmerman JE, Wagner DP, Knaus WA. The use of risk predictions to identify candidates for intermediate care
        units – Implications for intensive care utilization and cost. Chest 1995; 108: 490-9.
      • Bone RC. Consensus statement on the triage of critically patients. JAMA 1994; 271: 1200-3.
      • Kollef MH, Canfield DA, Zuckerman GR. Triage considerations for patients with acute gastrointestinal hemorrhage
        admitted to a medical intensive care unit. Crit Care Med 1995; 23: 1048-54.
      • Brett AS, Rothschild N, Gray-Rerry M. Predicting the clinical course in intentional drug overdose: Implications
        for the use of the intensive care units. Arch Intern Med 1987; 147: 133-7.
      • Acreditation Manual for Hospitals. Department of Publications JCAHO, Oakbrook Terrace, IL. Continuum of
        Care 1996; 155-60.
      • Task Force of the American College of Critical Care Medicine, Society of Critical Care Medicine. “Guidelines
        for intensive care unit admission, discharge and triage. Crit Care Med 1999; 27: 633-8.




                                                         7
TERAPIA INTENSIVA

                                                                               2. ARRITMIAS CARDIACAS
       * Dr. Oscar Vera Carrasco

2.1.   DEFINICIÓN:

       Todos los ritmos cardiacos que no sean el ritmo sinusal corresponden a una arritmia. Se clasifican en hipoactivas
       e hiperactivas .

2.2.   BRADICARDIA SINUSAL

       2.2.1. DIAGNÓSTICO:
       • Frecuencia cardiaca menor a 60 latidos por minuto
       • ECG ondas P de morfología normal.
       • Ondas P positivas en DII.
       • Generalmente se presenta en deportistas, ancianos, en respuesta algunos fármacos e hipotermia.

       2.2.2. TRATAMIENTO:
       Frecuencia cardiaca menor a 40 latidos por minuto acompañadas de hipotensión arterial sistémica:

       • ATROPINA 0.5 mg IV. Repetir cada 5 minutos hasta un máximo de 2 mg y obtener una frecuencia cardiaca
         de 60 por minuto, de lo contrario definir instalación de marcapaso, ante persistencia de compromiso
         hemodinámico.

2.3.   TAQUICARDIA SINUSAL

       2.3.1. DIAGNÓSTICO:
       • Frecuencia cardiaca mayor de 100 latidos por minuto.
       • ECG ondas P de morfología normal y positiva en DII
       • Generalmente asociada a fiebre, hipotensión, anemia, dolor, ansiedad, medicamentos.
       • Hipertiroidismo
       • Insuficiencia cardiaca.

       2.3.2. TRATAMIENTO:
       • Manejo de la patología de base.

2.4.   TAQUICARDIA SUPRAVENTRICULAR

       2.4.1. DIAGNÓSTICO:
       • Frecuencia cardiaca entre 130 a 220 latidos por minuto.
       • Ritmo regular
       • Inicio y terminación súbita
       • Puede ocurrir en corazón sano y cardiopatías congénitas.
       • ECG: onda P picuda o invertida en DII, DIII y aVF.

       2.4.2. TRATAMIENTO:
       • Masaje del seno carotídeo
       • VERAPAMILO 0,075 a 0,15 mg kg. peso I.V. disuelto en 20ml de agua destilada estéril o solución salina

                                                          8
TERAPIA INTENSIVA

          isotónica, pasar en 3 minutos. Esperar la respuesta durante 10 minutos de lo contrario repetir la anterior
          dosis en 30 minutos.

       • DIGOXINA 0,25 a 0,50 mg I.V. puede requerirse hasta 1,25 mg. Para mantenimiento. 0.125mg- 0,25mg V.O.
         o I.V.

       • METOPROLOL 5 mg I.V. lento cada 5 minutos, máximo 3 dosis.

       • CARDIOVERSIÓN ELÉCTRICA si el paciente presenta compromiso hemodinámico severo, 150 joules.

       • PROCAINAMIDA 100mg I.V. cada 5 minutos sin pasar de 1g. en caso de taquicardia de complejos anchos
         (donde no se puede administrar digital ni verapamilo).

       • Otras posibilidades ADENOSINA 6 mg en bolo I.V. rápido, puede administrarse un segundo bolo I. V. de
         12 mg rápido.

       2.4.3. EVALUACIÓN DEL TRATAMIENTO:
       Se espera mejoría con cualquiera de los medicamentos y procedimientos de los anteriores de la fase aguda.
       Se continuará manejo crónico con :

       • VERAPAMILO 80-480 mg día V.O. en una o dos dosis.
       • DIGOXINA 0,125- 0,25mg V.O. día en una dosis.
       • METOPROLOL 50mg V.O. cada 6 horas por dos días y luego 100mg V.O. cada doce horas.

2.5. FLUTER (ALETEO) AURICULAR:

       2.5.1. DIAGNÓSTICO:
       • Frecuencia auricular de 250-350 latidos por minuto
       • ECG patrón en diente de sierra en DII, DIII, aVF
       • Respuesta ventricular variable tipo 2:1
       • Puede originarse en caso de valvulopatía mitral, hipertensión, embolia pulmonar, pericarditis, hipertiroidismo,
          EPOC, alcoholismo o idiopática.

       2.5.2. TRATAMIENTO:
       • DIGOXINA
       • VERAPAMILO
       • METOPROLOL

       Aplicar en dosis iguales como en la Taquicardia supraventricular, así mismo como el manejo crónico.
       • CARDIOVERSION ELECTRICA 25-50 joules

2.6.   FIBRILACIÓN AURICULAR

       2.6.1. DIAGNÓSTICO:
       • Frecuencia auricular mayor de 350 latidos por minuto
       • ECG ausencia de ondas P
       • Intervalo R-R variable
                                                          9
TERAPIA INTENSIVA

       •     Línea isoeléctrica de morfología bizarra
       •     Respuesta ventricular variable

       2.6.2. TRATAMIENTO:
       Se inicia cuando la respuesta ventricular es mayor de 100 latidos por minuto asociada a la hipotensión arterial,
       falla cardiaca o angina recurrente.

       • DIGOXINA
       • VERAPAMILO: Dosis similares a las utilizadas en la taquicardia supraventricular.
       • CARDIOVERSIÓN ELÉCTRICA 25-50 joules, si hay compromiso hemodinámico.
       • Cardioversión farmacológica QUINIDINA 200 mg VO cada 2 horas por 5 dosis, el primer día y, 300 mg VO
         cada 2 horas 5 dosis el segundo día, y luego continuar con dosis de mantenimiento en forma crónica, 200-
         400 mg VO cada 6 horas.
       • ANTICOAGULACIÓN: Indefinida en casos de fibrilación auricular asociada a Embolismo sistémico, Valvulopatía
         mitral, Cardiomiopatía dilatada, tirotoxicosis.

2.7.   TAQUICARDIA AURICULAR PAROXÍSTICA CON BLOQUEO AURÍCULOVENTRICULAR

       2.7.1. DIAGNÓSTICO:
       • Frecuencia auricular de 130-220 por minuto y la ventricular según el grado de bloqueo.
       • La causa en el 75% de los pacientes es la intoxicación digitálica.
       • Lonograma.

       2.7.2. TRATAMIENTO:
       • Suspender el tratamiento digitálico
       • FENITOINA 13-18 mg kg.. peso disuelto en 100 ml de solución salina isotónica cada 5 minutos a una
          velocidad no mayor de 50 mg por minuto hasta que ceda la arritmia sin pasar de 600 mg.
       • Mantener el potasio sérico entre 4.5 y 5.0 mEq/l.

       2.7.3. EVALUACIÓN DEL TRATAMIENTO:
       La crisis cede con el anterior tratamiento, posteriormente se evaluara la dosis de digital que continuará el paciente.

2.8.   EXTRASÍSTOLES VENTRICULARES

       2.8.1. DIAGNÓSTICO:
       • Trastorno del ritmo con pausa compensadora entre latidos normales.
       • Puede ocurrir en un corazón sano
       • Cuando son más de 10 por hora se asocia a enfermedad coronaria, HTA, EPOC y cardiopatías.
       • También se asocia con el alcoholismo, hipertiroidismo, hipocalcemia, prolapso de la válvula mitral.

       2.8.2. TRATAMIENTO:
       En los siguientes casos.
       • Mas de 6 por minuto
       • Extrasístoles multifocales
       • Extrasístoles con fenómeno R en T
       • Extrasístoles pareadas.


                                                           10
TERAPIA INTENSIVA

       LIDOCAINA 1 mg/kg. peso IV, como bolo inicial y luego seguir con 0.5 mg/kg. peso cada 5 minutos hasta un
       máximo de 300 mg. Simultáneamente iniciar infusión continua a dosis de 20-50 mcg/kg/minuto durante 36-48
       horas, vigilando la aparición de hipotensión arterial, temblor y convulsiones..

       METOPROLOL 5 mg IV, lento cada 5 minutos por 3 dosis, luego 50-100 mg VO cada 12 horas por tiempo
       indefinido según respuesta.

       2.8.3. EVALUACIÓN DEL TRATAMIENTO:
       Se considera exitoso el tratamiento cuando las extrasístoles disminuyen en más del 83%

2.9.   TAQUICARDIA VENTRICULAR

       2.9.1. DIAGNÓSTICO:
       • Presencia de tres o más extrasístoles ventriculares consecutivas
       • Frecuencia cardiaca entre 100-180 latidos por minuto
       • Disociación AV en 85%
       • Asociada con cardiopatía isquemica, prolapso de la válvula mitral, miocarditis, trastornos hidroelectrolíticos

       2.9.2. TRATAMIENTO:
       • CARDIOVERSIÓN ELÉCTRICA con 100-200 joules si hay compromiso hemodinámico.
       • LIDOCAINA igual que en la anterior arritmia
       • PROCAINAMIDA 100 mg IV cada 5 minutos hasta que ceda la arritmia, sin pasar de 1 gramo y continuar
          infusión a una dosis de 2-6 mg/minuto
       • QUINIDINA sostenimiento con 200-400 mg VO cada 6 horas por tiempo indefinido de acuerdo a respuesta.

       Nota: La maniobra del puño precordial puede inducir fibrilación ventricular, por lo tanto, solo se realizará si se
       dispone de un desfibrilador en forma inmediata.

2.10. FIBRILACIÓN VENTRICULAR

       2.10.1. DIAGNÓSTICO:
       • Presencia de ondulaciones caóticas en la línea de base
       • Ausencia de complejos QRS
       • Ocurre en forma súbita en pacientes con isquemia o como fenómeno terminal de un corazón deteriorado
       • Lonograma, estado ácido-base

       2.10.2. TRATAMIENTO:
       • Desfibrilación eléctrica con 200 joules, si no responde efectuar otros dos intentos con 300 a 360 joules e
          iniciar reanimación cardiopulmonar.
       • Lidocaína igual que en extrasístoles ventriculares durante 36 a 48 horas según evolución

2.11. BLOQUEO AURÍCULO-VENTRICULAR

       2.11.1. BLOQUEO A-V DE PRIMER GRADO:

       DIAGNÓSTICO:
       • ECG: intervalo P-R mayor de 0,20 segundos


                                                         11
TERAPIA INTENSIVA

      • P normal y predominantemente positiva en DII
      • Asociada a digital, hipertonía vagal, isquemia

      TRATAMIENTO:
      No requiere, a no ser que se asocie a bradicardia que comprometa el estado hemodinámico.

      2.11.2. BLOQUEO A-V DE SEGUNDO GRADO:
      Es de dos tipos:

      1. MOBITZ I:

      DIAGNÓSTICO:
      • ECG: P-R se alarga progresivamente hasta que desaparece un complejo QRS

      TRATAMIENTO:
      • No requiere a menos que se asocie a bradicardia y compromiso del estado hemodinámico.

      2. MOBITZ II:

      DIAGNÓSTICO:
      • ECG: P-R constante con pérdida de latidos (QRS) ocasionales en secuencia 2:1,3:1,ó 4:1.

      TRATAMIENTO:
      • Requiere marcapaso transitorio transvenoso, hasta que pasen 48 horas sin trastorno de conducción AV

      2.11.3. BLOQUEO AV DE TERCER GRADO:

      DIAGNÓSTICO:
      • ECG: No existe intervalo P-R
      • No hay relación entre ondas P y complejos QRS
      • Las aurículas y los ventrículos se contraen en forma independiente

      TRATAMIENTO:
      • Marcapaso transitorio transvenoso el cual se mantendrá por 10 días aproximadamente en los infartos de cara
        inferior. En los de cara anterior se evaluara la necesidad de marcapaso definitivo según evolución.

2.12. BIBLIOGRAFÍA :

      • Khan GM. Management of cardiac arrhythmias. En: M. Gabriel Khan. Cardiac Drug Therapy. Fifth edition. WB.
        Saunders. London 2.000; 247-88.
      • Task Force of the Working Group on Arrhythmias of the European Society of Cardiology. The Sicilian Gambit.
        A new Approach of Antiarrhythmic Drug Based on Their on Arrhytmogenic Mechanisms. Circulation 1991;
        84 (4): 1831-51.
      • Bayés de Luna A, Cosín J. Diagnóstico y Tratamiento de las arritmias cardiacas. Editorial Doyma SA. Barcelona
        (España) 1978.


                                                       12
TERAPIA INTENSIVA

    • Torres MJ, Romero MMA, Lopez GA, Mesa RMD, Montero PFJ, Jiménez ML. Arrítmias cardiacas. En: L.
      Jiménez M, FJ Montero P. Protocolos de actuación en Medicina de Urgencias. Editorial Mosby/Doyma .
      Madrid (España) 1996; 25-45.
    • Hammil S. Fármacos antiarrítmicos. En: Branderburg R, Fuster V, Giuliani E, eds. Cardiología: Fundamentos
      y práctica (ed esp.) Madrid, CEA 1989; 620-50.
    • Wesley RC, Resh W, Zimmerman D. Reconsiderations of the routine and preferential use of lidocaine in the
      emergent treatment of ventricular arrhytmias. Crit Care Med 1991; 19 (11): 1439-44.
    • Yusuf S, Wittes J, Friedman L. Overview of results of randomized clinical trials in heart disease. JAMA 1988;
      2088-96.
    • Etastargel WW, Shand DG, Routledge PA, Barcowsky A, Wagner GS. Clinical comparison of rapid infusion
      and multiple injection methods for lidocaine loading. Am Heart J 1981; 102: 872-6.
    • Chow MS. Advanced cardiac life support controversy: where do antiarrhytmic agents fit in ?. Pharmacotherapy
      1997; 17 (2) : 84 S- 88 S.
    • Singh BN. Advantages of beta-blockers versus antiarrhytmic agents and calcium antagonists in secondary
      prevention after myocardial infarction. Am J Cardiol 1990; 66: 9 C- 22 C.
    • Green Span AM, Spilman SR, Horoitz LN. Electrophysiology of esmolol. Am J Cardiol 1985; 56: 19 F – 26
      F.
    • Vera C.O. Pautas para el manejo y tratamiento del infarto agudo de miocardio y sus complicaciones. Revista
      Médica. Órgano oficial del Colegio Médico Departamental de La Paz 1996; 3(2): 385-95.
    • Desal AD, Chun S, Sung RJ. The role of intravenous amiodarona in the management of cardiac arrhythmias.
      Ann Intern Med 1997; 127 (4): 294-303.
    • Nolan PE. Pharmacokinetics and pharmacodynamics of intravenous agents for ventricular arrhythmias.
      Pharmacotherapy 1997; 17: 65 S- 75 S.
    • Luce JM, Trohman RG. Arrhythmias in the Critically ill Patient. Crit Care Med 2.000; 28 : 10 (suppl): 115-
      79.
    • Eisenberg MS, Mengert TJ. Cardiac Resuscitation. N Engl J Med 2.001; 344 (17): 1304-11.




                                                     13
TERAPIA INTENSIVA

                                                                    3. INFARTO AGUDO DE MIOCARDIO
* Dr. Oscar Vera Carrasco


3.1.   DEFINICIÓN:

       El infarto agudo de miocardio (IAM) es la necrosis del músculo cardiaco debida a un aporte insuficiente de sangre
       oxigenada.

3.2.   FACTORES DE RIESGO:

       Los factores de riesgo de enfermedad coronaria incluido el IAM son

                            a)   Edad
                            b)   Sexo masculino
                            c)   Historia familiar
                            d)   Tabaquismo
                            e)   Hipertensión arterial sistémica
                            f)   Hipercolesterolemia
                            g)   Diabetes Mellitus
                            h)   Consumo de cocaína

3.3.   CUADRO CLINÍCO:

       El diagnóstico de IAM se fundamenta en la demostración de criterios clínicos, electrocardiográficos, o enzimáticos
       de necrosis miocárdica. Al menos deben confirmarse dos de los tres criterios.

       3.3.1. CLÍNICA:
       - Síntomas: presencia de dolor o molestia precordial sugestiva de isquemia miocárdica, que se prolonga durante
          más de 30 minutos. Generalmente el dolor es opresivo, intenso, en la región retroesternal, o precordial; puede
          irradiarse al brazo izquierdo o ambos brazos, a la región dorsal del tórax o a la mandíbula. No se modifica
          con los cambios posturales ni con la respiración.
       - Signos: es frecuente que se acompañe de diaforesis, la piel estará fría, náuseas o incluso vómitos, mareo o
          pérdida de conocimiento o disnea. El corazón puede presentar un soplo sistólico apical o de insuficiencia
          mitral, secundaria a disfunción de los músculos papilares. Además, puede escucharse galopes por un tercer
          (R3) o un cuarto (R4) ruidos cardiacos.
          En muchos casos la exploración física nos revela anomalías específicas. Los síntomas del IAM, pueden ser
          atípicos, lo que sucede con más frecuencia en los pacientes ancianos, diabéticos, o con enfermedades
          sistémicas severas.

       3.3.2. ELECTROCARDIOGRAMA:
       1. IAM de onda Q incluye lo siguiente:

       - Elevación del segmento ST: indica la existencia de un área de lesión.
       - Inversión de la onda T: signo de isquemia.
       - Ondas Q: indican áreas de infarto. El desarrollo de ondas puede producirse de forma precoz o no producirse
         durante varios días en el transcurso de la evolución del IAM.
                                                            14
TERAPIA INTENSIVA

       2. EL IAM sin onda Q: puede observarse elevación o depresión del segmento ST e inversión del segmento T.

       3. Localización del infarto y anomalías del ECG:

                           - Anterior          V1- V4
                           - Anteroseptal      V1- V2
                           - Anterolateral     I, aVL, V4, V5, V6.
                           - Lateral           I, aVL
                           - Inferior          II, III, aVF
                           - Posterior         R>S en V1

       3.3.3. PRUEBAS ENZIMÁTICAS:
       a) Isoenzima MB de la creatina fosfoquinasa (CPK-MB): se eleva entre las 3 y 36 horas de comienzo de los
          síntomas del IAM.
          Debe estar incrementada dos veces por encima del valor normal absoluto.

       b) Troponinas específicas del músculo cardiaco: las pruebas para la troponina I (cTnI) y la troponina T (cTnT)
          específicas del músculo cardiaco son incluso más sensibles y específicas que las CPK-MB para lesión
          miocárdica. Los niveles séricos de cTnI y cTnT aumentan a las 3-12 horas del IAM, llegan al máximo a las
          24-48 horas y vuelven a los niveles basales a lo largo de 5-14 días.

       c) Enzima aspartato aminotransferasa (AST) : esta enzima anteriormente conocida como TGO se eleva entre las
          8 y 12 horas después del IAM, con un pico a las 24 y 36 horas y se mantiene hasta los 3 a 5 días.

       d) Lactato deshidrogenasa (LD): antes conocida como LDH, esta elevada en la mayoría de los pacientes con
          IAM, no obstante es menos sensible que la CPK, y esta elevada en muchos trastornos clínicos.

3.4.   EXAMENES COMPLEMENTARIOS:

       - ECG: debe practicarse diariamente, cada vez que el paciente presente dolor y después de posibles intervenciones.
       - Radiografía de tórax: se practica un estudio al ingreso. Ulteriores controles quedan a criterio de los médicos
         de la UTI.
       - Biometría y química sanguinea, hemograma, coagulograma, glucemia, NUS, creatininemia.
       - Gasometría arterial e ionograma.
       - Ecocardiografía: es recomendable realizar una ECO en la fase aguda. En determinadas circunstancias se precisa
         mayor número de estudios.
       - Estudios radioisotopicos, debe complementarse la gamagrafia con pirofosfato del 99mTc en caso de diagnóstico
         dudoso.

3.5.   TRATAMIENTO:

       3.5.1. MEDIDAS GENERALES:
       • Monitorización electrocardiográfica continua. Efectuar ECG completo al ingreso.
       • Canalizar una vía venosa preferentemente central.
       • Otras medidas: dieta, protección gástrica, sedación, tratamiento laxante y otros, de acuerdo al estado particular
          de cada paciente.
       • Movilización: es recomendable, en ausencia de complicaciones, iniciar movilización activa, a partir de las
          24 horas de ingreso (sentar en un sillón).

                                                          15
TERAPIA INTENSIVA

3.5.2. MEDICAMENTOS:
• Evaluar las contraindicaciones para el uso de trombolíticos, bloqueantes beta adrenérgicos y ácido acetil
   salicílico.
• En caso de no existir ninguna contraindicación para el uso de los anteriores fármacos tomando en cuenta el
   tiempo transcurrido desde el inicio de los síntomas, puede aplicarse el siguiente esquema de tratamiento.
   Antes de las 6 horas: angioplastía coronaria transpercutánea (ACTP), o estreptoquinasa o activador histico
   del plasminógeno (tPA), más heparina asociada a un bloqueante beta adrenérgico por vía IV y VO, y ácido
   acetil salicilico (AAS).
   Entre las 6 y 12 horas: estreptoquinasa asociada a AAS. A partir del 5 día agregar un bloqueante beta adrenérgico
   por vía oral.
   Después de las 12 horas: AAS; a partir del 5 día asociar un bloqueante beta adrenérgico por VO.
• En caso de existir contraindicaciones para el uso de los anteriores fármacos, el tratamiento puede ser
   modificado de la siguiente manera.

- Si hubiera contraindicación para el uso de trombolíticos en general, tratar de viabilizar la realización de
  angioplastia primaria hasta la 6ª hora después de iniciado el cuadro de IAM.
- Si hubiera contraindicación para el uso de estreptoquinasa, utilizar tPA.
- Si hubiera contraindicación para el uso de bloqueantes beta adrenérgicos, cancelar su utilización.
- Si hubiera contraindicación para el uso de AAS, utilizar ticlopidina o suspender su uso.

• Tratamientos en situaciones especiales.

- En caso de disfunción ventricular severa Killip (III y IV), la indicación prioritaria deberá ser la reperfusión
  coronaria por angioplastia.
- En pacientes con evidencia de disfunción ventricular y sin hipotensión arterial, utilizar inhibidores de la ECA.
- En pacientes con signos de reoclución coronaria no reutilizar estreptoquinasa, administrar de preferencia tPA
  o angioplastía de rescate.
- En pacientes mayores de 75 años, de preferencia debe utilizarse estreptoquinasa y evitarse el uso del tPA.
- En presencia de infartos sin onda Q (infartos "no Q"), debe evitarse el uso de bloqueante beta adrenérgicos,
  pudiendo utilizarse diltiazem.

• Uso de otros medicamentos:

- Analgésicos: puede repetirse las medidas de tratamiento analgésico del servicio de urgencias, como ser:
  Morfina u otro analgésico por vía I.V.,en caso necesario. La meperidina puede ser una alternativa a la morfina
  en pacientes con estado vagal.
- Nitroglicerina: siempre que se utilice debe hacerse en perfusión IV. Es de uso habitual en la mayoría de los
  pacientes por persistencia del dolor, hipertensión arterial o para reducir la precarga. La presión arterial debe
  controlarse estrictamente y el cese del tratamiento debe ser paulatino. No es necesario el uso de nitratos por
  vía oral o transdérmica posteriormente.
- Bloqueantes de los canales de calcio: no están indicados como tratamiento rutinario en la fase aguda de IAM.
  Debe considerarse el uso de diltiazem en infartos sin onda Q con buena función ventricular.
- Lidocaina: no se recomienda su empleo como profilaxis rutinaria de arritmias ventriculares.
- Atropina: no se utiliza de rutina en el IAM, no complicado. No obstante se aplica en el síndrome hipervagal
  transitorio del infarto inferior o secundario a la administración de opiáceos.
- Magnesio: no se recomienda su empleo en la fase aguda, a la vista de los resultados de estudios recientes.


                                                   16
TERAPIA INTENSIVA

3.6.   CONTRAINDICACIONES:

       Tromboliticos:
       a) Absolutas
       - Trauma reciente, cirugía mayor o traumatismo de cráneo anterior a las 6 semanas.
       - Hemorragia gastrointestinal.
       - Ulcera péptica comprobada hace menos de tres meses.
       - Discrasia sanguínea o insuficiencia hepática con hipertensión portal.
       - Alergia (estreptoquinasa o APSAC)
       - Tratamiento previo con estreptoquinasa o APSAC.
       - AVC (con déficit residual) isquemia cerebral transitoria en los últimos 6 meses o hemorragia cerebrovascular
          (en cualquier época)
       - Embarazo.

       b) Relativas
       - Enfermedad orgánica grave asociada con riesgo alto de hemorragia o embolia.
       - Hipertensión arterial no controlada: presión sistólica mayor de 200mmHg o diastólica mayor de 110mmHg.
       - Menstruación o lactancia materna activa.
       - Punción de arteria no compresible en los últimos 14 días.
       - Resucitación cardiopulmonar prolongada.
       - Retinopatía diabética proliferativa.

       Bloqueantes adrenérgicos beta :
       - Historia de asma bronquial.
       - Intervalo PR mayor a 0.24 segundos, bloqueo AV de segundo y tercer grado.
       - Estertores húmedos en más de un tercio de campos pulmonares, o sibilancias a la auscultación pulmonar.
       - Frecuencia cardiaca menor a 50 latidos por minuto.
       - Presión arterial sistólica por debajo de 95mmHg .
       - Presión capilar pulmonar por encima de 24 mmHg (no es necesaria la monitorización hemodinámica para
          el uso de bloqueantes beta adrenérgicos).

       Acido acetilsalicílico:
       - Alergia a AAS
       - Hemorragia digestiva
       - Enfermedad péptica activa.

       3.6.1. DOSIS Y ESQUEMAS TERAPÉUTICAS:
       - Estreptoquinasa : 1.5 millones de unidades diluido en solución de dextrosa o solución salina isotónica en
          60 minutos (no utilizar heparina).
       - Activador histico del plasminogeno (tPA): 15 mg en bolo.
          0.75mg/kg. de peso en 30 minutos (no exceder de 50mg.)
          0.50mg/kg. de peso en 60 minutos (no exceder de 35mg.)
          (Usar siempre con heparina IV.)
       - Heparina:
          5.000 unidades IV en bolo, iniciar junto con tPA.
          1.000 unidades por hora (si el peso es mayor de 80kg.. 1.200U/hora).
          Mantener kTTP 1,5 – 2 veces el valor normal (60 – 85 seg.)
                                                       17
TERAPIA INTENSIVA

       - Acido acetilsalicílico:
         Dosis inicial : 500mg
         Dosis de mantenimiento : 200mg VO
         Iniciar luego que sea posible.

       - Metoprolol:
         5 mg IV tres dosis cada 10 minutos, total 15 mg.
         50 mg VO 6 horas después de la anterior dosis.
         50 mg VO cada 12 horas después del segundo día.
         100 mg VO cada 12 horas después del segundo día.

       - Captopril:
         Dosis inicial . 6,25 mg, incrementar progresivamente hasta 25 mg cada 4 horas al día o 50 mg cada 12
         horas al día.


3.7.   ALTA DE LA U.T.I. :

       Se recomienda en ausencia de complicaciones, en pacientes de bajo riesgo y tras la constatación de buena
       tolerancia a la movilización, el cese de la monitorización electrocardiográfica y el traslado al servicio de
       hospitalización cardiológico general a los 2 o 3 días de ingreso.

       En caso de disponerse de unidad de cuidados intermedios en el INT, puede variarse los anteriores criterios.

3.8.   MANEJO Y TRATAMIENTO DE LAS COMPLICACIONES DEL IAM.

       3.8.1. COMPLICACIONES MECÁNICAS :
       • Rotura aguda de la pared libre: esta complicación rara vez permite medidas terapéuticas efectivas. No obstante,
          puede intentarse cirugía si se mantiene minimamente constantes hemodinámicas luego de medidas urgentes
          de reanimación y pericardiocentesis.

       • Rotura subaguda de pared libre: el diagnóstico debe confirmarse por ecocardiograma, luego practicarse cirugía
         de urgencia. La pericardiocentesis, con extracción de pequeñas cantidades de sangre (el mínimo que permita
         una estabilización hemodinámica) puede contribuir a mantener la vida del paciente en casos de taponamiento
         severo hasta el tratamiento quirúrgico.No existe criterio uniforme respecto al masaje cardiaco en esta
         complicación.

       • Rotura de tabique interventricular: el diagnóstico clínico debe confirmarse por -ECO -2D y doppler. El
         tratamiento es la cirugía precoz. El tratamiento médico solo juega el papel de intentar mantener el paciente
         en las mejores condiciones hemodinámicas y metabólicas posibles antes de la intervención quirúrgica.

       • Insuficiencia Mitral aguda: en los casos con grave compromiso hemodinámico debe tratarse quirúrgicamente
         de forma urgente. Cuando los casos son menos severos, el tratamiento quirúrgico puede diferirse hasta la
         estabilización médica del cuadro y la realización de procedimientos diagnósticos complementarios como:
         ecocardiograma, transesofágica o cateterismo. Existe también un lugar para la angioplastía precoz para algún
         caso de insuficiencia mitral isquémica sin rotura.


                                                         18
TERAPIA INTENSIVA

    • Seudoaneurisma: puede reconocerse en ocasiones como una protrución del borde izquierdo del corazón en
      Rx. El diagnóstico se efectúa mediante ECO-2D, ventriculografía isotópica o de contraste, TAC o RM. El
      tratamiento es la resección quirúrgica, independientemente de su sintomatología, tamaño o localización.

    3.8.2. COMPLICACIONES TROMBOEMBÓLICAS.

    Trombosis intracavitaria: se recomienda la anticoagulación con heparina, seguida de anticoagulación oral
    en :
    a) IAM anteriores extensos.
    b) Insuficiencia cardiaca congestiva.
    c) Trombosis mural documentada.
    d) Grandes aneurismas apicales o segmentos disquinéticos.

    En estos pacientes se indica el uso precoz de heparina sódica por vía IV durante 4 días (a PT 1,5-2 veces el
    testigo), seguido de anticoagulación oral de 3 a 6 meses, (INR de 2 a 3.)

    Embolismo pulmonar: en situación clínica estable, el tratamiento es la heparina sódica, por vía IV. Si existe
    compromiso hemodinamico, esta indicada fibrinolísis y el resto de medidas especificas de esta entidad.

    Embolismo cerebral: no existe acuerdo unánime respecto a la anticoagulación, por lo que se deja a criterio
    de cada hospital.

    Embolismo periférico: el tratamiento incluye la anticoagulación y las medidas específicas según la localización

    3.8.3. PERICARDITIS POSTINFARTO.

    Pericarditis precóz: el tratamiento de elección es el ácido acetilsalicílico por vía oral o IV en dosis de 3 a 6
    g al día durante 4 a 5 días. Si no es efectivo puede utilizarse indometacina o prednisona (40 mg en dosis única).

    Pericarditis tardía o síndrome de Dressler: el tratamiento es el mismo que en la pericarditis precoz. Sin
    embargo, el síndrome de Dressler tiende a presentarse en forma recurrente, en cuyo caso resulta efectiva la
    colchicina (0,5 – 1 mg/día).

    3.8.4. TRASTORNOS DEL RITMO Y DE LA CONDUCCIÓN.

    Taquiarritmias :

    - Taquicardia sinusal: el tratamiento debe ir dirigido a corregir las causas (analgésicos, sedantes, diuréticos,
      fluidoterapia, etc.). Si no se logra una disminución de la frecuencia cardiaca esta indicado el uso de
      betabloqueantes (Ej. Atenolol vía oral o IV). Si la causa es la insuficiencia cardiaca el tratamiento será el
      de la disfunción ventricular.

    - Fibrilación y fluter auricular: el tratamiento depende de los efectos de estas arritmias sobre la situación
      clínica del paciente. En los casos en los que exista una rápida respuesta ventricular con compromiso
      hemodinámico y aparición de bajo gasto cardiaco o edema pulmonar, debe tratarse con cardioversión eléctrica
      urgente Si la tolerancia es buena, esta indicada la digitalización rápida. Otras alternativas son los bloqueantes
      beta adrenérgicos, Verapamilo o Amiodarona, siempre que el estado de la función ventricular no lo desaconseje.
                                                       19
TERAPIA INTENSIVA

- Otras arritmias supraventriculares:

a) Taquicardia auricular de foco ectópico: por su elevada frecuencia y duración precisa cardioversión eléctrica.
   Si su origen no es la intoxicación digitálica, el tratamiento puede ser Amiodarona.

b) Taquicardia de la unión A-V: puede considerarse el empleo de la digital o el Verapamilo, dependiendo del
   estado hemodinámico. Si estos son ineficaces esta indicada la cardioversión eléctrica.

c) Ritmos acelerados de la unión: son arritmias generalmente benignas que se asocian a infarto inferior, con
   frecuencia de 60 a 120 por minuto y que no suelen precisar tratamiento.

   Extrasistolia ventricular (EV): requieren terapia específica los que cumplen alguno de estos criterios:
   a) frecuencia superior a 6 por minuto. b) intervalo de acoplamiento corto (fenómeno de R sobre T) c)
   configuración, multiforme y d) presentación en salvas cortas.
   El tratamiento de elección es la lidocaina, la misma que se administra en dosis 1mg/kg. peso, que puede
   repetirse en bolos de 0,5 mg/kg. peso, sin sobrepasar los 4mg/kg. peso. El mantenimiento se logra con
   perfusion IV de 20 a 50 mcg/kg/minuto.
   Otras alternativas son la procainamida y la amiodarona por vía IV.

   Taquicardia ventricular (TV):
   El tratamiento de la TV polimorfa esta condicionada sobre todo por su repercusión hemodinámica ligada a
   su frecuencia y al estado de la frecuencia ventricular. Si la TV precipita de inmediato un estado de grave
   deterioro hemodinámico, el tratamiento es la cardioversión eléctrica o la desfibrinación.
   Cuando su repercusión no es tan dramática, el tratamiento de elección es la lidocaina o la procainamida. Si
   no se obtiene respuesta puede emplearse la sobreestimulación o la cardioversión eléctrica.
   Otras drogas alternativas pueden ser la amiodarona, el D-sotalol y los bloqueantes beta adrenérgicos.

   El tratamiento de la TV monomorfa no suele requerir choque eléctrico debido a su menor frecuencia,
   empleándose las drogas ya citadas en el tratamiento de la EV y la TV polimorfa. Si no se obtiene respuesta
   o es muy recidivante se puede intentar la sobreestimulación con catéter- marcapaso.

   Ritmo idioventricular acelerado (RIVA): por lo general no requiere tratamiento alguno. Cuando aparece
   en curso del IAM inferior como ritmo de escape y si su baja frecuencia produce alteración hemodinámica,
   está indicado restaurar el ritmo sinusal con atropina IV.
   Si se observa una aceleración de la frecuencia por encima de 120 latidos/minuto, para prevenir que degenere
   en TV, debe tratarse con lidocaina.

   Fibrilación ventricular (FV): el tratamiento es la desfibrilación inmediata. La celeridad en la aplicación del
   choque eléctrico tiene prioridad sobre cualquier maniobra o medicación. Se sugiere aplicar un primer choque
   de 200 watios/segundo e incrementar la intensidad en los siguientes hasta 400 w/seg. si no resulta efectivo.
   La persistencia y la recidiva reiterada de la FV precisan el empleo de dosis repetidas de lidocaina (1mg/kg.
   peso) o tosilato de Bretilio (5 mg/kg peso), o bien Procainamida o Magnesio por vía IV.

   BRADIARRITMIAS
   Bradiarritmias sinusales: cuando ocasionan alteraciones hemodinámicas, el tratamiento inicial es la atropina
   en dosis de 0,5 mg, repetidos cada 5 minutos hasta un máximo de 2 mg. Si la arritmia persiste esta indicado
   transitoriamente el uso de Isoproterenol en tanto se coloca, un electrocatéter en aurícula o ventrículo derecho.
                                                  20
TERAPIA INTENSIVA

       Bloqueos aurículo ventriculares (BAV) :
        a) BAV de grado I: no precisa tratamiento; únicamente debe vigilarse su posible progresión a grados de bloqueo
           más avanzados y evitar en lo posible las drogas depresoras de la conducción.
       b) Bloqueo AV grados II y III: en el IAM iferior el bloqueo AV grado II no requiere tratamiento alguno, salvo
           vigilancia para detectar el paso a bloqueo más avanzado. El bloqueo AV grado III cuando mantiene una
           frecuencia de 50 o más latidos por minuto, no precisa tratamiento. Cuando la frecuencia cardiaca es inferior
           a 40 o da lugar a sintomatología, el tratamiento inicial es la atropina IV en dosis ya citada, anteriormente, y
           si persiste la bradicardia extrema, infusión de isoproterenol para mantener una frecuencia adecuada mientras
           se coloca un electro catéter para estimulación con marcapaso intravenoso. Si existe compromiso hemodinámico
           agudo, se recomienda hasta la introducción de electro catéter, el uso de marcapaso.
           En el IAM anterior : el tratamiento en ambos grados de bloqueo es la colocación de un marcapaso intravenoso.
           Si existe compromiso hemodinámico agudo, se recomienda hasta la introducción de electrocatéter, el uso
           de marcapaso transcutáneo o infusión de Isoproterenol. En presencia de fallo ventricular izquierdo, sobre todo
           en el IAM anterior, se recomienda la estimulación secuencial.

3.9.   INDICACIONES DE MARCAPASO TEMPORAL EN EL IAM.

       - Asistolia
       - Bloqueo AV de tercer grado.
       - Bradiarritmias sinusales o de la unión AV severas que no respondona la atropina.
       - Bloqueo trifascicular.
       - Bloqueo bifascicular.
       - Bloqueo de rama izquierda completo.
       - Supresión de taquiarritmias supraventriculares y ventriculares por sobreestimulación.


3.10. INSUFICIENCIA CARDIACA Y CHOQUE CARDIOGÉNICO.

       3.10.1. MONITORIZACIÓN HEMODINÁMICA:
       Los criterios para realizar monitorización hemodinámica en el IAM no deben ser rígidos; cada U.C.I. o Unidad
       coronaria debe definir los suyos propios, no obstante, se aconsejan los siguientes:

       - No esta indicada en el IAM no complicado (en ausencia de cualquier signo clínico o radiológico de insuficiencia
         cardiaca).
       - Puede ser recomendable cuando existe algún criterio clínico o radiológico de insuficiencia cardiaca (considerar
         la implantación de un catéter de Swan- Ganz).
       - Es necesaria, para la correcta orientación terapéutica en los siguientes casos:
             o Enfermos con insuficiencia cardiaca grave (clase funcional III y IV de Killip y C-IV de Forrester).
             o Insuficiencia cardiaca refractaria al tratamiento médico convencional.
             o Enfermos en clase funcional C- III de Forrrester; particularmente si experimentan empeoramiento clínico
               y ante la sospecha de cualquier complicación mecánica.

       - La implantación de una vía intraarterial, solo es necesaria en pacientes con tensión arterial difícil de determinar
         mediante esfignomanometria y en los casos en los que existe vasoconstricción periférica muy importante.

       En todos los casos debe practicarse, además estudio ecocardiográfico y en los casos graves con carácter urgente.


                                                            21
TERAPIA INTENSIVA

3.11. INSUFICIENCIA CARDIACA CON CONGESTIÓN PULMONAR SIN PERFUSIÓN PERÍFÉRICA:

      - El tratamiento de elección son los diuréticos y los vasodilatadores venosos o mixtos.Si la situación clínica
        lo permite, pueden emplearse diuréticos y nitratos de acción prolongada o inhibidores de la ECA.
     - Cuando la sintomatología exige una actuación rápida o el deterioro hemodinámico es severo, es preferible
        el empleo de nitroglicerina IV o nitroprusiato. Si existe hipotensión arterial el empleo de nitroglicerina y
        especialmente de nitroprusiato puede ser peligroso, por lo que el tratamiento se inicia con dosis bajas o se
        administra dobutamina o dopamina de forma simultánea.
     - En presencia de insuficiencia respiratoria o hipoxemia severas, debe recurrirse a la asistencia ventilatoria
        mecánica.

3.12. INSUFICIENCIA CARDIACA CON CONGESTIÓN PULMONAR CON HIPOPERFUSION PERIFÉRICA:

     Si no existe hipotensión arterial, el fármaco de elección es la nitroglicerina IV. El nitroprusiato debe reservarse
     para los pacientes con hipertensión arterial y signos de congestión pulmonar e hipoperfusión periférica . El
     empleo de diuréticos debe realizarse con cautela.

     Si existe hipotensión arterial (TA sistólica menor a 100 mmHg), los fármacos de elección son la dobutamina y
     la dopamina o la combinación de ambos. Si se consigue mantener cifras adecuadas de presión arterial (TA
     sistólica mayor a 100mmHg) puede asociarse a nitroglicerina IV y diuréticos.

3.13. HIPOPERFUSIÓN PERIFÉRICA SIN CONGESTIÓN PULMONAR:

     El tratamiento consiste en el aporte adecuado de líquidos.
     Si existe hipotensión arterial y la respuesta a lo anterior no es adecuada, esta indicada la administración de
     dobutamina o dopamina.

3.14. DISFUNCIÓN ISQUÉMICA DEL VENTRÍCULO DERECHO:

     Cuando existe hipotensión arterial o signos de hipoperfusión periférica, la administración de líquidos (Dextrano,
     Solución salina isotónica) es la primera medida terapéutica , si no existen signos de congestión pulmonar.
     La administración de líquidos es más efectiva cuando en situación basal la presión capilar pulmonar es inferior
     a 15mmHg . Si esta medida es insuficiente, esta indicada la administración de dopamina y/o dobutamina.
     En las formas más graves de disfunción ventricular cuando existe bloqueo AV completo, puede plantearse la
     estimulación AV sincronizada.

3.15. CHOQUE CARDIOGÉNICO:

     Ante la evidencia de manifestaciones clínicas de shock, es necesario corregir los posibles factores asociados,
     realizar monitorización hemodinámica y un estudio ecocardiográfico.
     Una vez descartada las causas mecánicas del mismo, debe optimizarse la pre y post carga antes de instaurar el
     tratamiento habitual con inotropicos (Dobutamina y Dopamina) por vía intravenosa.
     En los casos en los que no se obtenga una respuesta evidente, se debe considerar las medidas de asistencia
     circulatoria mecánica con contrapulsación aórtica.
     Dada elevada mortalidad del shock cardiogénico a pesar de las medidas anteriores, debe practicarse estudio
     hemodinámico y revascularización si procede (dentro de las 12 horas después del inicio del episodio isquemico
     y cuando no existe afectación multiorgánica) en un centro que disponga de infraestructura para realizarla.
                                                         22
TERAPIA INTENSIVA

        En caso de precisarse un traslado, debe valorarse la relación riesgo – beneficio.
        Por último, en casos excepcionales el transplante cardiaco puede considerarse como una alternativa de tratamiento.

3.16. COMPLICACIONES ISQUÉMICAS:

        3.16.1. ISQUEMIA SILENTE:
        Incluye cualquier tipo de manifestación de isquemia no acompañada de angina. El método más sencillo para
        su detección es el ECG convencional de 12 derivaciones.
        Su identificación en principio implica la instauración de tratamiento antiisquémico. No obstante, es el grado de
        severidad de la isquemia el parámetro que influirá en las decisiones diagnósticas o terapéuticas cruentas
        (coronariografía y revascularización).

        3.16.2. ANGINA POSTINFARTO :
        Se define como la que aparece después de las 24 horas del IAM y durante su primer mes de evolución. Su
        identificación constituye una indicación de iniciar tratamiento antiisquémico, empleando nitratos, bloqueantes
        beta adrenérgicos,antagonistas de calcio, de forma aislada o en combinación, además, debe prologarse la estancia
        o reingresar al paciente en la U.C.I. o Unidad coronaria hasta la estabilización.
        Si la isquemia es severa o persiste, estaría indicada la administración de nitroglicerina intravenosa.
        En caso de persistir la isquemia a pesar de las anteriores medidas, esta indicado la práctica de coronariografía,
        que solo será urgente cuando exista la posibilidad de realizar algún procedimiento de revascularización
        inmediatamente después del cateterismo.

        3.16.3. REINFARTO:
        Es un nuevo episodio de necrosis miocárdica en el mismo territorio que el episodio inicial, después de transcurridas
        las primeras 24 horas de evolución y generalmente es secundario a un nuevo episodio de oclusión trombótica
        de la arteria responsable del primer infarto.
        El diagnóstico se basa en la presencia de los 3 criterios clásicos de infarto. Como tratamiento se tiene a la
        trombolisis similar al episodio inicial. El trombolitico de elección será el utilizado en cada hospital, pero si ya
        se realizó trombolísis previa con estreptoquinasa APSAC, es preferible el empleo de rt-PA o uroquinasa.

3.17. INDICACIONES DE CINECORONARIOGRAFÍA, ANGIOPLASTIA Y CIRUGÍA:
      1. CINECORONARIOGRAFÍA: no se recomienda cinecoronariografia de rutina en todos los pacientes con IAM.
         Se sugiere este estudio solamente en aquellos pacientes que presentan manifestaciones de isquemia persistente
         por clínica o electrocardiografía en reposo o de esfuerzo o cuando existe signos de mala función ventricular.

        2. ANGIOPLASTIA PRIMARIA: no se considera como tratamiento de elección en el IAM, por sus limitaciones
           logísticas. Donde exista disponibilidad de la misma, debe contemplarse en infartos anteriores extensos o con
           mala función ventricular izquierda y en casos de contraindicación de trombolisis.

        3. ANGIOPLASTÍA Y CIRUGIA ELECTIVAS: la indicación de angioplastía y cirugía deberá ser efectuada previa
           evaluación de los datos clínicos y angiográficos.
           La evaluación de isquemia en pacientes asintomáticos debe realizarse como un test ergométrico limitado por
           síntomas, a partir del 10° día del IAM.
           La centellografía miocárdica deberá ser utilizada solamente en aquellos casos que necesiten esclarecimientos
           especiales.
           Además de las situaciones de revascularización señaladas anteriormente, la cirugía en el IAM constituye el
           tratamiento de elección y con carácter de urgencia en las complicaciones mecánicas.
                                                            23
TERAPIA INTENSIVA

3.18. BIBLIOGRAFÍA:

      • Medicina Crítica: Manejo del infarto agudo de miocardio.ILDIBA 1991; V(11): 7-10.
      • Pasternak RC, Braunwald E, Sobel BE. Acute myocardial infarction. En: Braunwald E. ed. Herart Disease.
        filadelfia: Saunders, 1992; 11: 1200-91.
      • Lopez-Sendon J, Armada E, Gallego P, coma-Canella I. Infarto agudo de miocardio. Diagnóstico y complicaciones.
        Medicine 1993; 6 (42): 1851-55.
      • Alegría Esquerra E, Lopez Bescos L, Asin Cardiel E, Cabadés O'Callaghan A, San José Garagarza JM. Normas
        de actuación en el paciente con infarto agudo de miocardio. Rev Esp Cardiol 1994; 47 (supl 1): 72-6.
      • Rotinas Medicas do Servico de Cardiologia do Hospital Sao Francisco de Porto Alegre-Brasil, 1995.
      • Marder VJ, Sherry S. Trombolytic therapy. Current status. N Engl J Med 1998; 318: 1512-20.
      • The International Study of Infarct Survival Collaborative Group. ISIS-3. A randomised comparison of streptokinase
        vs. tissue plasminogen activator vs. anistreplase and of aspirin plus heparin vs. aspirine alone among 41.299
        cases of suspected acute myocardial infarction. Lancet 1992; 339: 753-770.
      • Lopez-Sendon J, Armada E, GallegomP, Coma-Canella I. Tratamiento de la fase aguda del infarto de miocardio.
        Medicine 1993; 6 (42): 1857-66.
      • The MIAMI Trial Research Group: Metoprolol en acute myocardial infarction (MIAMI). Am J Cardiol 1985;
        56: 1G-57G.
      • Rippe JM. Intensive Care Medicine, Second Edition. Little Brown and Company, Boston, 1991.
      • Parrillo JE: Current Therapy in Critical Care Medicine. Second. BC Decker Inc.,Philadelphia, 1991.
      • Froufe J, Lopez-Sendón J, Figueras BJ, Dominguez de Rozas JM, Quintana DJF, Vasquez RC. Infarto agudo
        de miocardio complicado. Rev Esp Cardiol 1994; 47: 27-45.
      • MancusomGM, Vecek JL, Forker AD. Adjuntive medical therapy for acute infarction. PGM 1994; 94 (4): 97-
        102.
      • Lopez de Sá E, Lopez-Sendón J, Roldan I, et al. Risk factors for systemic embolism after acute myocardial
        infarction. Prospective multicenter study. Circulation 1990; 82-74.
      • Lopez-Sendón J, et al. Efectividad de los diferentes fármacos trombolíticos en el tratamiento del infarto agudo
        de miocardio. Rev Esp Cardiol 1995; 48 (6): 407-33.
      • Pfeffer MA, Braunwald E, Moyé LA. Effect of captopril on mortality in patients with left ventricular dysfunction
        after myocardial infarction. Results of the Survival and Ventricular Enlargement Trial. N E$ngl J Med 1992;
        327: 669-77.
      • Swedberg K, Held P, Kjekshus J, et al. Effects of early administration of enalapril on mortality in patients with
        acute myocardial infaction. Results of the Cooperative New Scandinavian Enalapril Survival Study II (CONSESUS
        II). N Engl J Med 1992; 327: 678-84.
      • Forrester JS, Diamond G, Swan HJC. correlative classification of clinical and hemodynamic function after
        acute myocardial infarction. Am J Cardiol 1977; 39: 137.
      • Killip T, Kimball TJ. Treatment of myocardial infarction in coronary unit. A two year experience with 250
        patients. Am J Cardiol 1967; 20: 457-64.
      • The Multicenter Diltiazem Post Infarction Trial Research Group. The effect of diltiazem on mortality and
        reinfaction after myocardial infaction. N Engl J Med 1988; 319: 385-92.
      • ISIS-2 (Second International Study of Infarct Survival) collaborative group Randomised trial of intravenous
        streptokinase, oral aspirin, both or neither among 17.187 cases of suspected acute myocardial infarction:
        ISIS-2. Lancet 1988; 2: 349-60.
      • Selig MB. Acute myocardial infarction. An updated protocol for thrombolytic therapy. PGM 1992; 1: 209-24.
      • Rotman M, Wagner GS, Wallace AG. Bradyarrhytmias in acute myocardial infaction. Circulation 1972; 45:
        703.


                                                          24
TERAPIA INTENSIVA

    • Kleiman RB, Miller JM, Buxton AE, et al. Prognosis following sustained ventricular tachycardia occurring early
      after myocardial infarction. Am J Cardiol 1988; 62: 528.
    • Zoll PM, Zoll RH, et al. External non- temporary cardiac pacing: clinical trials. Circulation 1985; 71: 937.
    • DeWood MA, Spores J, Berg J Jr., Kendall RW, Grunwald RP, Seleinger SL, et al. Acute myocardial infarction:
      A decade of experience with surgical reperfusion in 701 patients. Circulation 1983; 68 (Supl 2): 8-16.
    • From RE Jr.,Varon J. Trastornos cardiovasculares. En: Joseph Varon.Cuidados intensivos. Editorial Mosby/Doyma.
      Madrid (España) 1995.
    • Coury Pedrosa R. Aspectos Clínicos do Infarto Agudo do Miocardio. En:David CM, Goldwasser R, Nácul FE.
      Medicina Intensiva: Diagnóstico e tratamento. Editorial Revinter. Rio de Janeiro (Brasil) 1997.
    • Marino PL. Tratamiento precoz del Infarto de Miocardio Agudo.En: Paul L. Marino. El Libro de la UCI. 2a.
      edición Editorial Masson-Williams and Wilkins. Barcelona(España) 1998; 525-40.
    • Smith SC, Goldberg AC. Cardiopatía isquémica. En: Shubhada N. Ahya, Kellie Flood, Subramanian Pranjothi.
      El Manual Washington de Terapéutica Médica. 30ma.edición. Editorial Lippincott Williams and Wilkins.2001;
      103-23.




                                                      25
TERAPIA INTENSIVA

                                                                                          4. PARO CARDIACO.
*Dr. Williams Panique Rojas
4.1.   DEFINICIÓN:
       El paro cardiaco es el cuadro clínico caracterizado por la detención súbita de la función cardiaca en una persona
       con o sin enfermedad cardiaca previa, pero cuya muerte no se esperaba en ese momento.

4.2.   ETIOLOGÍA:

       4.2.1. ALTERACIÓN DE LA ACTIVIDAD ELÉCTRICA:
       Fibrilación ventricular.
       Asistolia.
       Taquicardia ventricular.
       Bloqueo cardíaco completo.

       4.2.2. ALTERACIÓN DE LA CONTRACTILIDAD:
       Infarto miocárdico.
       Falla cardiaca.
       Hipoxia.
       Acidosis.
       Trastornos electrolíticos.
       Efectos de drogas.

       4.2.3. ALTERACIÓN DEL RETORNO VENOSO O DEL DÉBITO CARDÍACO:
       Hipovolemia.
       Taponamiento cardíaco.
       Aumento de la capacitancia venosa.
       Compresión vena cava.
       Embolia pulmonar.
       Ruptura del miocardio.
       Aneurisma disecante.

4.3.   CUADRO CLÍNICO:
       Se caracteriza por pérdida de la conciencia, ausencia de pulsos en las grandes arterias (carótida y femoral), paro
       respiratorio, cambios de coloración en la piel y mucosas (palidez y luego cianosis) y midriasis.

4.4.   TRATAMIENTO:

       4.4.1. REANIMACIÓN CARDIOPULMONAR BÁSICA:

       Fase I:
                      A. B. C. (vía aérea, respiración y circulación)
                      Despertar al sujeto.
                      Buscar ayuda.
                      Abrir las vías aéreas.
                      Ventilar.

                                                           26
TERAPIA INTENSIVA

                   Palpar pulso carotídeo.
                   Realizar compresión torácica.
                   Vigilar el pulso.

    Fase II:
    Apoyo vital avanzado:
                   D, E, F (drogas, electrocardiograma, tratamiento de la fibrilación).
                   Monitorización electrocardiográfica.
                   Desfibrilación y cardioversión.
                   Mantenimiento de la vía aérea y el tratamiento con oxígeno.
                   Vía de administración farmacológica.
                               Adrenalina.
                               Bicarbonato.
                   Antiarrítmicos:
                               Lidocaina.
                               Bretilio
                               Procainamida.
                               Atropina.
                               Calcio.
                   Tratamiento con marcapaso.
                   Isoproterenol.

    Fase III:
    Reanimación cerebral. La fase III de la RCPC es la reanimación a largo plazo, es decir, la reanimación con cuidados
    intensivos para el fracaso multiorgánico. Consiste en una combinación de pasos, para memorizar los cuales
    hemos ampliado el alfabeto:
    G. Para graduación (es decir, evaluación y selección de los cuidados intensivos);
    H. Humanización del resultado final mediante medidas de reanimación cerebral
    I. Tratamiento intensivo para reanimación general.

    4.4.2. SOPORTE CARDIOVASCULAR Y PULMONAR:
    Medidas inmediatas.
    Evitar la hipoperfusión: restaure volumen sanguíneo-bomba-presión.
    Insertar sonda vesical y catéter de PVC; catéter arterial opcional.
    Mantener y optimizr la presión arterial, PVC, flujo urinario (FU) (mantenga un FU superior a 0.5 ml/kg/hora).
    Monitorizar el ECG, evite/controle las arritmias (fármacos antiarrítmicos, marcapasos, cardioversión).
    Monitorizar y normalizar (optimizar) la temperatura corporal.
    Cuidar el tubo y el manguito traqueales, extubación.
    Mantener y optimizar la p02, pC02, pH y EB arteriales.
    Comenzar con FI02 del 90 - 100 %; luego disminuir a 50 % tan pronto como sea posible.

    4.4.3. SOPORTE MULTIORGÁNICO: RESUMEN DE REANIMACIÓN PROLONGADA:
    Fase III de la RCPC
    Soporte cardiovascular-pulmonar (para pacientes conscientes o inconscientes).
    Variables más importantes para monitorizar y controlar durante la fase crítica postagresión:
    Normotensión, hiperoxia, hipocapnia, hemodilución moderada, hiperglucemia moderada.
    Normalidad de electrolitos, osmolalidad en sangre, equilibrio hídrico. PIC (en casos seleccionados), prevención/control
    de las convulsiones.

                                                         27
TERAPIA INTENSIVA

     4.4.4. SOPORTE RENAL.

     4.4.5. SOPORTE HEPÁTICO/DIGESTIVO.

     4.4.6. HEMORRAGIA/COAGULACIÓN.
     TP, TTPa, recuento de plaquetas, tiempo de trombina fibrinógeno, productos de degradación de la fibrina (¿CID?)


4.5. PAUTAS DE REANIMACIÓN ESTÁNDAR ORIENTADA AL CEREBRO EN CASO DE COMA.

     4.5.1. HOMEOSTASIS EXTRACRANEAL:
     1.- Controlar la PAM y normalice el volumen sanguíneo con vasopresores/vasodiltadores y líquidos i.v.
     2.- Inmovilización con dosis “suavizantes” (no totalmente paralizantes) si es necesario, para facilitar la ventilación
         controlada.
     3.- Controlar (esencial) o prevenir (opcional) la agitación, las contracturas y las convulsiones:
     4.- Mantener la C02 arterial en 25 - 35 mmHg durante la ventilación controlada, 20 - 40 mmHg durante la
         respiración espontánea.
     5.- Mantener el pH arterial en 7.3 - 7.6 (con ventilación y NaHC03 i.v. según las necesidades).
     6.- Mantener la p02 arterial por encima de 100 mmHg con FI02 del 90 - 100 % después de 1 - 6 horas, FI02
         del 50 % PEEP mínima durante el coma.
     7.- Administrar corticosteroides (opcional).
     8.- Control de las constantes sanguíneas.
     9.- Mantener la normotermia, evitar la hipertermia.
     10.- Administrar líquidos I.V. no solamente dextrosa en agua.

     4.5.2. HOMEOSTASIS INTRACRANEAL:
     1. Descartar lesión ocupante de espacio.
     2. Monitorizar la PIC.
     3. Monitorización (opcional)
        EEG regular.
        EEG computarizado (monitorización de la función cerebral).
        Potenciales evocados (experimental).
        Tratar las convulsiones EEG.
     4. Monitorización de la recuperación neurológica y pronóstico.
        Determinación de la CPK-BB en LCR a las 48 - 72 horas.
        Monitorización de la profundidad del coma mediante la Escala de Coma de Glasgow o la Escala de coma de
        Pittsburg Glasgow.
        Monitorización del flujo sanguíneo y el metabolismo cerebrales (experimental).
     5. Determinación y manejo del resultado final.
        Determinación periódica de las categorías de capacidad cerebral.
        Determinación exacta y certificación de la muerte cerebral. Comenzando 6 horas horas después de la parada
        cardiaca. Si se certifica muerte cerebral, extraer los órganos del donante con autorización y suspender la IPPV.
        Determinar del estado vegetativo persistente. Si no hay respuesta 1-2 semanas después de la parada cardiaca
        (1 año después de un traumatismo cerebral), pensar en la posibilidad de “dejar morir”.




                                                          28
TERAPIA INTENSIVA

4.6.   TIPOS ESPECÍFICOS DE PAROS:

       4.6.1. FIBRILACIÓN VENTRICULAR:
       Los paros por fibrilación ventricular ocurren habitualmente en pacientes con cardiopatía isquémica subyacente.

       4.6.2. ASISTOLIA:
       Los paros por asistolia ocurren fundamentalmente en el hospital. Los pacientes suelen tener una cardiopatía grave
       de base, y una parte de ellos progresan hacia asistolia a partir de un trastorno del ritmo primario.

       4.6.3. DISOCIACIÓN ELECTROMECÁNICA:
       Este trastorno del ritmo es casi siempre mortal, a menos que se identifique la etiología de base. Por eso, es
       fundamental realizar una RCP escrupulosa y mantener la ventilación y un equilibrio ácido básico adecuado.

4.7.   BIBLIOGRAFÍA:

       • Alvarez F. Naranjo C. Soporte vital Básico. Manual de Soporte Vital Avanzado. Masson 1999; 287-13.
       • Ruano M. Latorre F. Soporte vital avanzado. Manual de Soporte Vital Avanzado. Masson 1999 287-37.
       • Guidelines for Cardiopulmonary Resuscitation and Emergency Cardiovascular Care. Circulation 2000; 102-
         186.




                                                          29
TERAPIA INTENSIVA

          Algoritmo Universal para soporte vital cardio pulmonar avanzado en Adultos
                                                                           * Dr. Oscar Vera Carrasco
                                          Determinar estado de conciencia


 Consciente:                                         Inconsciente:
 •Observar .                                         •Activar sistemas de Emergencia Médica.
 •Tratar como este indicado                          •Pedir desfibrilador- Conectar monitor.
                                                     •Verificar respiraciónb (abrir vía aérea, mirar, escuchar y sentir)




                                                                      No respira:
Respira:                                                              •Dar dos respiraciones lentamente.
•Coloque en pocisión de rescate si no hay trauma                      •Evalúe si hay circulación - pulso.
                                                                      •Evalúe ritmo

                  Pulso                                                            No


    *Oxigeno                 *Historia                                            Iniciar RCP
    *IV                      *examen Fisico
    *Monitor Cardiaco        *ECG.
    *Signos vitales
                                                                      Fibrilación o Taquicardia ventricular
                                                                      presente en monitor / desfibrilador?
             Determinar causa

                                                                            No                        Si


                        Hipotensión / shock/                                                  Desfibrilar
                        Edema agudo de pulmón.                     Actividad eléctrica        3 veces si es necesario
                                                                      Si                 No

                        Infarto agudo de Miocardio
                                                                                                           RCP por 1
                                                           Actividad eléctrica           Asistolia          Minuto
                        Arritmia                           Sin pulso



           Bradiarritmia           Taquiarritmia                                          RCP por
                                                                                         3 minutos

                                                        30
TERAPIA INTENSIVA




                      Durante RCP
                      • Verificar electrodos / paletas en cuanto a posición y contacto.
                      • Asegurar y verificar acceso IV.
                      • VF/TV refractoria shock inicial.
                      • Epinefrina 1 mg. cada 3 a 5 minutos.
                      O
                      • Vasopresina 40 U IVuna sola dosis, una vez.
                      • No ritmos de FV/TV.
                      • Epinefrina 1 mg. IV cada 3 a 5 minutos.
                      • Considerar buffers, antirrítmicos, marcapaso.
                      • Buscar y corregir causas reversibles.




                   Considerar causas que son potencialmente reversibles

                   - Hipovolemia                          - Tabletas (drogas, accidentes).
                   - Hipoxia.                             - Taponamiento cardiaco.
                   - Ion Hidrogeno - acidosis             - Neumotórax a tensión.
                   - Hiper / Hipokalemia u                - Trombosis coronaria
                    otra causa metabólica.                  (síndrome coronario agudo).
                   - Hipotermia.                          - Trombosis pulmonar
                                                            (embolia).




       Tomado de Guidelines for Cardiopulmonary and Emergency
       cardiovascular Care.
       Circulation 2.000; 102-186




                                                    31
TERAPIA INTENSIVA

                                     Tratamiento de la Asistolia
                                              Asistolia


        Manejo primario ABCD- RCP Básica y Desfibrilación
        Verificar estado de conciencia.
        Activar el sistema de emergencia de respuesta.
        Pedir desfibrilador.
        A Vía Aérea: Abrir Vía aérea.
        B Respiración: Proveer ventilación a presión positiva.
        C Circulación: Realizar compresión torácica.
        C Confirmar: asistolia verdadera.
        D Desfibrilación: Verificar si es FV/ TV sin pulso, shock si esta indicado.

        Manejo de la escena rápido: Cualquier evidencia personal que el intento de resucitación funcione


                 Manejo secundario ABCD - Meyor avance en el manejo y tratamiento
             A    Vía Aérea: Colocar dispositivo para vía aérea tan pronto como sea posible.
             B    Respiración: Confirmar colocación del dispositivo de vía aérea por examen.
             B    Respiración: Asegurar dispositivo de vía aérea.
             B    Respiración: Confirmar una efectiva oxigenación y ventilación.
             C    Circulación: Confirmar asistolia verdadera.
             C    Circulación: Establecer acceso IV.
             C    Circulación: Identificar ritmo y monitorizar.
             C    Circulación: Dar medicación apropiada para el ritmo y condición.
             D    Diagnostico diferencial: Buscar y tratar de identificar causas reversibles.


                                Marcapaso Transcutáneo
                                (Si considera, ejecutar inmediatamente)


                                     Epinefrina 1 mg IV
                                     Repetir cada 3 a 5 minutos


                            Atropina 1 mg. IV
                            Repetir cada 3 - 5 min. hasta un total de 0.0 4mg/kg.


                                             Asistolia Persistente
                            Continuar o suspender esfuerzos de resucitación?
                            • Considerar la calidad de resucitación.
                            • Rasgos atípicos presentes.
                            • Apoyo en el protocolo local para suspender esfuerzos?
Tomado de Guidelines 2.000 for Cardiopulmonary Resuscitation and Emergency Care. Circulation 2000;102-186.
                                                          32
TERAPIA INTENSIVA

                              Fibrilación Ventricular / Taquicardia Ventricular sin pulso
                   Manejo Primario ABC - RCP Básico y Desfibrilación
                            • Verificar estado de conciencia.
                            • Activar el Sistema de respuesta de emergencia.
                            • Pedir desfibrilador.
                   A Vía Aérea: Abrir vía aérea.
                   B Respiración: Proveer ventilación a presión positiva
                   C Circulación: Realizar compresión torácica.
                   D Defibrilación:Verifique FV/TV sin pulso, desfibrile hasta 3 veces (monofásico 200 J,
                     200 J a 300 J, 360 J o el equivalente bifásico) si es necesario.


                     Ritmo después de los primeros tres shocks?                              Asistolia

                                      No                                                                          Si


                            FV/TV Persistente o recurrente                                  Retorno circulación
                                                                                            espontánea
       Manejo secundario ABCD- Mayor avance en manejo y tratamiento
   A Vía Aérea: Intubación endotraqueal tan pronto sea posible.
                                                                                      • Controlar signos vitales.
   B Respiración: Confirmar localización del tubo en vía aérea.
                                                                                      • Mantener vía aérea.
   B Respiración: Asegurar localización del tubo.
                                                                                      • Mantener respiración.
   B Respiración: Confirmar ventilación y oxigenación efectiva.
                                                                                      • Proveer medicamentos
   C Circulación: Establecer acceso IV.
                                                                                      adecuados, para mantener
   C Circulación: Identificar ritmo y monitorización.
                                                                                      PA, FC y ritmo.
   C Circulación: Administrar drogas apropiadas al ritmo y condición.
   D Diagnostico Diferencial: Buscar y tratar de identificar causas reversibles.

                                                                                            Actividad
              Epinefrina 1 mg IV (bolo),repetir cada 3 a 5 minutos                          eléctrica sin pulso
                                       o                                                    (AESP)
               Vasopresina 40 U IV, una sola dosis, una sola vez

                Desfibrilar con una carga de 360 J
                (o equivalente bifásico) después de 30 a 60 seg
                de administrada la adrenalina

                          Considerar Antiarrítmicos
          Amiodarona (clase llb); Lidocaina (indeterminado).
          Magnesio (clase llb) en caso de torsade o Hipomagnesemia                     Desfibrilador Patrón
          Procainamida (clase llb)para TV/F intermitente o recurrente.                 debe ser
                             Considerar buffers                                        Droga- shock- Droga
          Para Hiperkalemia, acidosis metabólica preexistente,
          intoxicación por algunas drogas
 Tomado de Guidelines 2.000 for Cardiopulmonary Resuscitation and Emergency Cardiovascular Care.
 Circulation 2.000; 102-186.
                                                          33
TERAPIA INTENSIVA
                                    Actividad eléctrica sin pulso
                                         Actividad Eléctrica sin Pulso
            (Ritmo en monitor, sin pulso detectable) Incluye: - Disociación Electromecánica (DEM).
                                                - Pseudo - DEM.
                                                - Ritmo Idioventricular.
                                                - Ritmo de escape ventricular.
                                                - Ritmo Bradiasistólico.
                                                 - Ritmo Idioventricular postdesfibrilación.

               Manejo primario ABCD - RCP Básico y Desfibrilación
                             Verificar estado de conciencia.
                             Activar sistema de emergencia de respuesta.
                             Pedir desfibrilador.
               A Vía Aérea: Abrir vía aérea.
               B Respiración: Proveer ventilación a presión positiva.
               C Circulación: Realizar compresiones torácicas.
               D Defibrilacion: Verificar si es FV/ TV sin pulso, shock si esta indicado.

              Manejo secundario de ABCD- Mayor avance en manejo y tratamiento
             A Vía Aérea: Colocar dispositivo de vía aérea tan pronto sea posible.
             B Respiración: Confirmar colocación del tubo de vía aérea.
             B Respiración: Asegurar dispositivo de vía aérea.
             B Respiración: Confirmar efectiva oxigenación y ventilación.
             C Circulación: Establecer acceso IV.
             C Circulación: Identificar ritmo y monitorizar.
             C circulación: Administrar medicación adecuada para el ritmo y condición.
             C Circulación: Determinar flujo de sangre oculta (Pseudo DEM ).
             D Diagnostico Diferencial: Buscar y tratar de identificar causas reversibles.


            Revisión de causas más frecuentes                 (tratamiento en paréntesis)
- Hipovolemia (Infusión de volumen).                         - Sobredosis de drogas tales como Tricíclicos,
- Hipoxia (Ventilación).                                      Digitálicos, B bloqueantes, bloqueadores de
- Taponamiento Cardiaco (Periocardiocentesis).                canales de calcio.
- Neumotórax a tensión (Necesita descompresión).             - Hiper / Hipokalemia.
- Hipotermia.                                                - Acidosis.
- Embolismo pulmonar masivo.                                 - Infarto de Miocardio masivo.
 (Cirugía, trombolíticos).


                                    Epìnetrina 1 mg IV(Bolo).
                                    Repetir cada 3 - 5 minutos.

                   Atropina 1 mg IV (si Actividad eléctrica sin pulso es lenta)
                   Repetir cada 3-5 minutos, hasta un total de 0.04 mg/kg
Tomado de Guidelines 2.000 for Cardiopulmonary Resuscitation and Emergency Cardiovascular Care.
Circulation 2.000; 102-186.
TERAPIA INTENSIVA


                                     Algoritmo de Bradicardia


                           Bradicardia
                           Lento (Bradicardia absoluta=< 60 latidos/min.
                           Relativamente lento (rango menos que esperado
                           por una condición subyacente o causa).



            Examen Primario ABCD
            • Evaluar ABC.
            • Asegurar la vía aérea no invasivamente.
            • Asegurar monitor/ desfibrilador disponible.
            Examen Secundario ABCD
            • Evaluación secundaria ABC(¿será necesario manejo de vía aérea invasiva?).
            • Oxigeno, acceso IV, monitor, fluidos.
            • Signos vitales, oximetría de pulso, monitorizar PA.
            • Obtener y revisar ECG (12 derivaciones).
            • Obtener y revisar placa de Rayos X.
            • Problema - enfocar historia.
            • Problema - enfocar el examen físico.
            • Considerar causas (diagnósticos diferenciales)



                                    Signos y Síntomas Importantes?

                     No                                                    Si


     Bloqueo AV de segundo grado Tipo II                Secuencia de Intervención
                     o                                  • Atropina 0.5 a 1 mg.
         Bloqueo AV de tercer grado?                    • Marcapaso transcutaneo, si esta disponible.
                                                        • Dopamina 5 a 20 mcg/kg/min.
                                                        • Adrenalina 2 a 10 mcg/min

              No                                                             Si


         Observar                                     • Preparar marcapaso transvenoso- transitorio.
                                                      • Si los síntomas empeoran, usar marcapaso
                                                      transcutáneo hasta que se aplique un marcapaso
                                                      transvenoso.
TERAPIA INTENSIVA

Protocolo de Tratamiento con Desfibrilador Automático Externo (DAE)
                                                         Inconsciente:
                                                         - Verificar inconsciencia.
                                                         - Pedir ayuda (o activar sistema de emergencia).
                                                         - Pedir Desfibrilador Automático Externo.
                                                         - Identificar y responder a situaciones especiales,


                                                                Comenzar con ABCDs:
                                                                - Vía aérea: Abrir vía aérea.
                                                                - Respiración: Verificar respiración
                                                                (mirar, escuchar, sentir).
                       Si respira
                                                                                          No respira

  - Si la respiración es adecuada: colocar                             - Proveer dos respiraciones lentas
    en una posición de descanso.                                         (2 segundos por respiración).
  - Si la respiración es inadecuada: iniciar                           - Circulación: Verificar signos.
    respiración de rescate (1 respiración cada
    5 segundos)


  Si, circulación                                                                               No, circulación

  - Comenzar respiración de rescate                       Comenzar RCP (hasta que DAE llegue y este listo
    (1 respiración cada 5 segundos).                      para ser aplicado).
  - Monitorizar signos de circulación                     - Iniciar compresiones toráxicas (100 por minuto).
    (cada 30 a 60 segundos).                              - Combinar compresiones y ventilación.
                                                          - Rango de 15 compresiones por dos
                                                            respiraciones




Verificar signos de circulación: * si están ausentes           Iniciar desfibrilador en escena (DAE).
• Presionar, Analizar.                                        - Primero encender DAE.
• Iniciar desfibrilación.                                     - Colocar paletas DAE (parar compresión
• Repetir hasta 3 veces.                                        toráxica para aplicar paletas).
                                                              - Presionar, analizar.
                                                              - Shock hasta 3 ocasiones.



                             - Después de 3 shocks o después de cualquier otro shock, no esta indicado.
                             - Verificar signos de circulación:* reiniciar RCP por un minuto.

  Tomado de Guidelines 2000 for Cardiopulmonary Resuscitation and Emergency Cardiovescular Care.
  Circulation 2000; 102-186.
TERAPIA INTENSIVA



     ESCALA DE GRADUACIÓN DE INTERVENCIONES TERAPÉUTICAS EN RCP PROPUESTA POR LA A.H.A.


     CLASE I:

          Eficacia probada, no peligrosa. Indicada.

     CLASE II:

          Eficacia y seguridad inciertas. Aceptable:
                    Clase IIa Probable eficacia
                    Clase IIb posible eficacia.

     CLASE III:

                   Ineficaz, puede ser nociva. No indicada.


     CADENA DE SUPERVIVENCIA EN LA RCP Y CCE SEGÚN LA AMERICAN HEART ASSOCIATION

     1. Acceso rápido : reconocimiento precoz de los signos de alarma y activación inmediata del Sist. de emergencia.
     2. RCP básica precoz.
     3. Desfibrilación precoz.
     4. Soporte vital avanzado precoz: IET, fármacos alfa adrenérgicos, etc.
TERAPIA INTENSIVA


RECOMENDACIONES DE LAS CONFERENCIAS DE CONSENSO DE 1992 REFERENTES A LA INDICACIÓN DE FÁRMACOS
                                 ALFA ADRENERGICOS EN RCP

                                                   ERC                                     AHA


  Fármaco                                     Adrenalina                                Adrenalina
  de elección
  Dosis estándar                         1 mg cada 2 minutos                        1 mg cada 3-5 min
  Inicial en todas                                                                  puede darse similar
  las formas de                                                                 dosis en perfusión contínua.
  PCR
  Valoración                                En DEM y AS                            En PCR refractaria en
  opcional de dosis                          refractarias.                            dosis estándar.
  mayores                                   5mg/3bucles                             Dosis intermedias:
                                         Comenzando a partir                          2-5mg/3-5min.
                                           del tercer bucle.                         Rápida escalada:
                                                                                     1mg-3mg -5mg.
                                                                                       Altas dosis :
                                                                                    0,1mg/kg./3-5min.
                                                                                   Clase IIb, excepto en
                                                                                     Niños en AS IIa.

ERC : European Resuscitación Council; AHA : American Heart Association; PCR: parada cardiorrespiratoria; DEM:
disociación electromecánica; AS: asistolia.
TERAPIA INTENSIVA

RECOMENDACIONES DE LAS CONFERENCIAS DE CONSENSO DE 1992 SOBRE LA INDICACIÓN Y DOSIS DE NaHCO3
IV. EN LA RCP Y CCE

                  Criterios ERC                                          Criterios AHA



    1. NaHCO3: alcalinizante de elección.             Clase I
                                                      Hiperkalemia previa

    2. La muestra venosa refleja mejor el estado      Clase IIa
    ácido-base tisular.                               Ac. Metabólica preexistente. Intoxicación por
                                                      antidepresivos triciclitos. Para alcalinizar la orina,
                                                      si intoxicación por fármacos.



    3. Corrección del estado ácido base previa        Clase IIb
    gasometría                                        Pacientes tras IET con PCR prolongado.
                                                      Tras retorno a circulación espontánea después
                                                      PCR prolongado



    4. NaHCO3 si: pH venoso < 7,0- 7,1 Exceso         Clase III
    de bases < -10                                    Acidocis hipóxica láctica

    5. Valorar su uso en PCR > 10- 20 min.            Dosis 1 mEq/kg, seguida de 0,5 mEq/kg tras 10
                                                      min. de PCR y luego según gasometría.



    6. Dosis Inicial: 0,5 – 0,7 mEq/kg. (40-50 mEq)
TERAPIA INTENSIVA

RECOMENDACIONES FARMACOLÓGICAS DE LA CONFERENCIA DE CONSENSO DE DALLAS DE 1.992
(AHA)


LIDOCAINA:
       IIa-IIb: FV/TVSP persistente
       IIb: profilaxis en infarto agudo de miocardio
       Dosis: tras cuarto choque: c. 1,5mg/kg (max. 3mg/kg.) M. 2 a 4 mg/min.

BRETILIO:
        IIb: FV refractaria a DF y primera dosis de lidocaina.
        Dosis: C: 5mg/kg + 10 mg/kg/ 10 minutos (max. 35 mg/kg) M: 1-2 mg/min.

PROCAINAMIDA:
    IIa: FV/TVSP refractaria y taquicardia con QRS ancho
    Dosis: C: 20-30 mg/min (máx 17mg/kg.)
            M: 1-4 mg/min.

SULFATO DE MAGNESIO:
       I-IIa: TV polimorfa.
       IIa: FV refractaria.
       Dosis: 1-2 g (8-16 mEq).

ATROPINA:
       I: Bradicardia sintomática y bloqueo AV segundo grado tipo I.
       IIa: Bloqueo AV tercer grado con QRS estrecho.
       IIb: AS, DEM.
       III: Bloqueo AV segundo grado tipo II y tercer grado con QRS ancho.
       Dosis: 1mg/ 3-5 min (máx. 3mg).

ISOPROTERENOL:
       IIa: TV polimorfa y bradicardia extrema en corazón denervado
       IIB – III: bradicardia extrema en corazón inervado
       Dosis: 2-10 mcg/min.

ADENOSINA:
       I: taquicardia con QRS estrecho
       IIa: taquicardia con QRS ancho.
       Dosis: 6 mg (1-3 segundos) + 12 mg (1-2 min).

VERAPAMILO:
      No de elección en taquicardia con QRS estrecho.
      III: taquicardia con QRS ancho.
      Dosis: 2,5 – 5 mg + 5 – 10 mg/15 min (max. 20 mg)
TERAPIA INTENSIVA

    AMIODARONA:
          Opcional en FV/TV recurrente.

    CLORURO CÁLCICO:
          IIa: Hiperkalemia, hipocalcemia e intoxicación por calcioantagonistas.
          III: En toda forma de PCR
          Dosis: 2 – 4 mg/kg/10 min.

    TROMBOLÍTICOS:
          I: precozmente (< 6 h) en IAM
          IIa – III: en diferentes circunstancias.

    C: dosis de carga; M: dosis de mantenimiento.
TERAPIA INTENSIVA

                                                                                   5. CRISIS HIPERTENSIVA
*Dr.Oscar Vera Carrasco
5.1. DEFINICIÓN :

       Es una situación clínica potencialmente peligrosa para la vida causada por una elevación de la presión arterial
       sistémica.

       Tradicionalmente ha sido clasificada en EMERGENCIAS HIPERTENSIVAS, donde además de la hipertensión arterial
       existe disfunción orgánica y que requiere una reducción inmediata de los niveles presóricos (no necesariamente
       a valores normales) y, URGENCIAS HIPERTENSIVAS, que se presentan con una presión arterial diastólica mayor
       de 115 mmHg, sin evidencia de lesión orgánica y que generalmente son tratadas con antihipertensivos orales
       para la reducción de la presión arterial dentro de 24 – 48 horas.

       Las crisis hipertensivas rara vez se desarrollan con una presión arterial diastólica (PAD) < de 130 mmHg.

5.2.   ETIOLOGÍA :

       Las causas más frecuentes de crisis hipertensivas son las siguientes:

       Hipertensión arterial no tratada
       Pacientes de raza negra
       Fumadores de tabaco
       Mujeres que utilizan anticonceptivos orales
       Pacientes con hipertensión arterial secundaria (principalmente renovascular)
       Estados con exceso de catecolaminas (Feocromocitoma, cocainómanos)
       Suspensión abrupta de betabloqueantes y de Clonidina
       Ingesta de alimentos que contienen tiramina y uso simultáneo de Inhibidores de la MAO.

5.3.   CUADRO CLÍNICO :

       El diagnóstico clínico esta basado en la historia clínica, la duración de la hipertensión arterial y el inicio de la
       crisis actual.

       Además de la determinación de los niveles tensionales, debe acompañarse de un examen riguroso del sistema
       nervioso, fondo de ojo, corazón, pulmón abdómen y pulsos arteriales periféricos, para identificar los órganos
       lesionados y las lesiones vasculares en progresión.

5.4.   EXAMENES COMPLEMENTARIOS :

       5.4.1. LABORATORIO :
       Glucemia
       Nitrogeno ureico y creatininemia
       Sodio, potasio y calcio séricos
       Hemograma completo
       Análisis de orina
TERAPIA INTENSIVA

       5.4.2. ESTUDIOS DE GABINETE :
       Electrocariograma
       Teleradiografía de tórax
       Tomografía computarizada de cráneo (TAC)
       Tomografía computarizada de cráneo o Resonancia magnética nuclear de tórax (si existe sospecha de aneurisma
       disecante de aorta).

5.5.   MANEJO Y TRATAMIENTO :

       *El tratamiento de las EMERGENCIAS HIPERTENSIVAS debe tener como objetivo reducir la Presión Arterial Media
       (PAM) en torno al 25% en un periodo de tiempo que depende del órgano más comprometido, por ejemplo, en :

       Edema agudo de pulmón o disección de aórta : en 30 minutos.
       Encefalopatía hipertensiva : en 2 a 3 horas.
       Infarto o hemorragia cerebral : en 6 horas, debiendo mantenerse la Presión arterial SISTÓLICA en 170 mmHg y
       la DIASTÓLICA en 100 mmHg.
       Lesión cardiovascular : la reducción de la PA además de ser más rápida, puede ser mantenida en niveles más
       bajos (la demanda de O2 del VI disminuye con una reducción de la PA) pero debe tomarse mucho cuidado, ya
       que normalmente estos pacientes son también portadores de arterioesclerosis cerebral.

       a) Las reducciones de la PA pueden causar isquemia , por lo cual debe vigilarse minuciosamente a estos pacientes.

       b) Inicialmente se recomienda el tratamiento parenteral con fármacos de acción corta y en las siguientes dosis:

       NITROPRUSIATO DE SODIO: 0,25 – 10 mcg/kg/minuto.
       LABETALOL: 20 mg en bolo, 2 mg/minuto ( máximo 300 mg/dia).
       NITROGLICERINA: 5 mcg/minuto (aumentar 5-10 mcg cada 3-5 minutos en caso necesario).
       NICARDIPINA: 5 mg /hora y aumento de 2,5 mg/hora hasta que produzca efecto (máximo 15 mg/hora).
       ENALAPRILATO: 1,25 – 5mg IV cada 6 horas.
       FENTOLAMINA: 2-5 mg en bolo (puede repetirse cada 10 minutos hasta controlar la crisis hipertensiva).

       *El objetivo del tratamiento de las URGENCIAS HIPERTENSIVAS, cuya presión arterial es mayor a 115 mmHg y
       no existe evidencia de daño orgánico, es reducir la presión arterial a cifras “normales” dentro de 24 a 48 horas.

       En la mayoría de los pacientes, la simple observación y el tiempo es tan efectivo como una intervención
       farmacológica.

       Si se realiza tratamiento farmacológico se puede utilizar :

       CAPTOPRIL: 25 mg vía oral o sublingual
       LABETALOL: 200 mg vía oral.
       NIFEDIPINO: 10 a 20 mg vía oral.
TERAPIA INTENSIVA

CARACTERÍSTICAS FARMACOLÓGICAS DE LOS PRINCIPALES FÁRMACOS ANTIHIPERTENSIVOS
INTRAVENOSOS

NITROPRUSIATO DE SODIO :

Fármaco usado preferentemente en las emergencias hipertensivas (sustituida como droga de primera elección
solamente en la Isquemia miocárdica en progresión y en la Eclampsia).
Es un potente vasodilatador arterial y venoso.
Se metaboliza en el hígado produciendo tiocianato y en esta forma se excreta por vía renal.
Es capaz de producir intoxicación por cianuro, desarrolando depresión del SNC, convulsiones, acidosis láctica,
inestabilidad cardiovascular o, anorexia, fatiga, alucinaciones, náuseas y psicosis.

NITROGLICERINA :

Fármaco de elección en las emergencias hipertensivas cuando existe isquemia cardiaca.
Produce vasodilatación venosa y arterial, con un máximo efecto sobre la capacitancia de los vasos sanguineos.
Puede producirse tolerancia con su uso a las 24-48 horas de su inicio.
Por incrementar la presión intracraneana, se contraindica en la encefalopatía hipertensiva.

LABETALOL :

Es un bloqueante alfa y beta adrenérgico.
No altera el flujo sanguíneo cerebral y por lo que podría ser droga de elección en la hipertensión secundaria a
un incremento de la presión intracraneana.
Especialmente útil en la hipertensión mediada por catecolaminas como en el feocromocitoma y en la discontinuación
de la Clonidina.
Comienza su acción a los 5 minutos, tiene un efecto máximo a los 10 minutos y dura su acción 8 horas.
Es capaz de evitar la taquicardia refleja.

ENALAPRILATO :

Es un inhibidor de la Enzima convertidora de la Angiotensina I en Angiotensina II.
Puede ser usado en la emergencia hipertensiva coexistente con una insuficiencia cardiaca.
Debido a que en las emergencias hipertensivas los volúmenes plasmáticos son variables, la respuesta al
Enalaprilato es imprevisible.

FENTOLAMINA :

Puede ser utilizada en los estados de exceso de catecolaminas como en el Feocromocitoma.
Por tener un efecto muy fugaz, puede ocasionar taquicardia e isquemia miocárdica (actualmente es preferible usar
Nitroprusiato de sodio).

NICARDIPINA :

Es un bloqueante de los canales de calcio del grupo de las dihidropiridinas.
No obstante ser una droga eficáz, no posee ninguna ventaja en relación al Nitroprusiato de sodio.
TERAPIA INTENSIVA

BIBLIOGRAFÍA :

      • Prisant LM, et al. Treating Hipertensive Emergencies. Medicine 1993; 93(2): 92-110.
      • The Fifth Report of the Joint National Committee on Detection, Evaluation, and Tretment of High Blood Pressure.
        Arch Intern Med 1993; 153: 154-83.
      • Nogueira Armando da Rocha. Crise Hipertensiva. En: David CM, Goldwasser R, Nácul FE. Medicina intensiva:
        Diagnnostico e Tratamento. Editorial Revinter. Rio de Janeiro (Brasil) 1997; 149-51.
      • Khan M Gabriel. Hipertensión. In: Khan MG. Cardiac Drug Therapy. Fifth edition. WB Saunders. London 2.000;
        107-48.
      • Sixth Report of the Joint National Committee on Prevention, Detection, Evaluation and Treatment of High Blood
        Pressure. Arch Intern Med 1997; 157: 2413.
      • Bertel O, Conen D, Radu EW, et el. Nifedipine in hypertensive emergencies. BMJ 1983; 286:19.
      • Bauer JH, Reams GP. The role of calcium entry blockers in hypertensive emergencies. Circulation 1987;
        75(suppl): V-174.
      • Kaplan NM, Opie LH. Fármacos antihipertensivos. En: Lionel H Opie. Fármacos en Cardiología. 4ª edición.
        Editorial Interamericana Mc Graw-Hill. México DF 1995; 187-217.
      • Gifford RW. Management of hypertensive crisis. JAMA 1991; 266: 829-35.
      • Varon J. Crisis hipertensivas. En: Joseph Varon. Cuidados intensivos. Editorial Mosby/Doyma. Madrid (España)
        1995; 110-11.
      • Cutler JA. Calcium-chanel blockers for hipertensión: Uncertainly continúes. N Engl J Med 1998; 338: 679.
      • Morrison AR. Hipertension. En: Shubhada N Ahya, Kellie Flood. El Manual Washington de Terapéutica Médica.
        30ma. Edición. Editorial Lippinctt Williams and Wilkins 2.001; 76-95.
TERAPIA INTENSIVA

                                                                               6. CHOQUE CARDIOGÉNICO
*Dr. Jesús Gómez Mendívil


6.1.   DEFINICIÓN:

       Es un síndrome producido por la incapacidad del corazón para funcionar como bomba y mantener un gasto
       cardiaco (GC) adecuado que cubra las demandas metabólicas del organismo; esto se traduce en un estado de
       insuficiencia circulatoria aguda con un aporte de oxígeno (DO2) deteriorado e hipoperfusión tisular que conducirá
       a una disfunción orgánica progresiva y finalmente a la muerte.

6.2.   ETIOLOGÍA:

       La causa más frecuente es el infarto agudo de miocardio (IAM). Sin embargo podemos clasificar las causas en
       dos grupos:

       a) Choque con presión de llenado alta:
          Infarto de miocardio
          Taquiarritmias
          Bradiarritmias
          Miocarditis
          Post cirugía cardiaca
          Evolución final de miocardiopatias
          Infarto de ventrículo derecho

       Evolución final de valvulopatias (estenosis o insuficiencia aórtica, insuficiencia mitral)
       Trombosis o disfunción de prótesis valvulares

       b) Obstrucción al llenado:
          Taponamiento cardiaco
          Hipertensión pulmonar terminal
          Tumores o trombos oclusivos intracardiacos
          Estenosis mitral o tricúspide severas
          Trombosis de prótesis mitral o tricúspide

6.3.   PERFIL HEMODINÁMICO:

       TA media < 60 mmHg
       TA sistólica < 90 mmHg
       PCP > 18 mmHg
       D2VI >12 mmHg
       PmAI >12 mmHg
       IC < 2.0 L/min/m2
       Da-vO2 >5,5ml/dl
       RVS > 1400 din/seg.cm5
       DO2 = 300 ml/min/100 g de tejido
TERAPIA INTENSIVA

6.4.   DIAGNÓSTICO CLÍNICO:
       Los síntomas y signos que preceden al desarrollo de choque cardiogénico dependen en gran medida de la
       etiología, encontrándose entre los más destacables:
       Hipotensión arterial
       Traquicardia
       Bradicardia
       Ingurgitación yugular
       Galope por R3
       Pulsos arteriales filiformes o imperceptibles
       Palidez y frialdad de piel
       Diaforesis y piloerección
       Hipotermia
       Llenado capilar retardado
       Estertores pulmonares
       Soplos cardiacos
       Agitación, obnubilación
       Depresión del sensorio
       Oliguria (debito urinario < 0.5 ml kg/hora)

6.5.   DIAGNÓSTICO DIFERENCIAL:
                                         Evaluación del paciente
                                         en estado de choque



                                      No evidencia de traumatismo


                                         Ingurgitación yugular
                                         Edema pulmonar
                                         Alteraciones en el ECG


                     Si                                                          No


         C. Cardiogénico      C. Obstructivo             C. Hipovolémico          C. Distributivo
         IAM                    TEP                         HDA                        Anafilaxia
         Arritmias              Neumotórax                  H. Retroperitoneal        Sepsis
         Enf valvular           a tensión                   Rotura de aneuris-        C. Neurogénico
         Miocarditis            C. Obstétrico               ma de aórta               C. Tóxico
         Taponamiento                                       Embarazo ectópico         Sobredosis de
         Cardiaco                                           Pancreatitis              drogas
                                                            Obstrucción o             Insuficiencia
                                                            perforación               suprarrenal
                                                            intestinal
TERAPIA INTENSIVA

6.6.   EXAMENES COMPLEMENTARIOS:

       a) Electrocardiograma.-
             Imágenes de isquemia, lesión y necrosis
             Arritmias
             Trastornos de conducción (bloqueos)

       b) Radiografia de tórax.-
            Cardiomegalia
            Congestión pulmonar
            Edema pulmonar

       c) Ecocardiografía.-
             Evaluación de la función ventricular sistólica y diastólica derecha e izquierda
             Función valvular (estenosis y/o insuficiencia)
             Detección de derivaciones ( CIV)
             Liquido pericárdico o taponamiento
             Detección de complicaciones mecánicas en el IAM

       d) Gasometria arterial.-
            Hipoxemia variable
            Normo, hipo o hipercapnia
            Acidosis metabólica predominante.

       e) Laboratorio.- Solicitar:
             CK, CK-MB
             Electrolitos ( Na, K, Mg, )
             Pruebas de coagulación
             Glicemia, creatinina, ácido láctico

6.7.   TRATAMIENTO:

       6.7.1. OBJETIVOS:
       Mantener el flujo sanguíneo a los órganos más vulnerables: Riñones, hígado, SNC, corazón.
       Mantener la TA media por encima de 60 mmHg.
       Mantener un lactato arterial menor de 2,2 mEq/l.

       6.7.2. MEDIDAS GENERALES:
       Ventilación y oxigenación adecuadas con sistemas de alto flujo y elevadas fracciones inspiradas de oxígeno.
       Ventilación mecánica si esto resulta insuficiente.
       Instalación de vía venosa central, catéter de flotación, monitoreo invasivo de la TA, monitoreo electrocardiográfico
       y de oximetría de pulso permanente, sondaje vesical.
       Alivio del dolor y la ansiedad: Meperidina 0,5 – 1 mg kg/peso dosis; morfina 0,05 –0,1 mg kg/peso /dosis.
       Administración de volumen (cristaloides o coloides) a menos que exista signos de sobrecarga hídrica, manteniendo
       una PCP entre 18 y 22 mmHg.
TERAPIA INTENSIVA

       6.7.3. SOPORTE FARMACOLÓGICO:

       a) Agentes inotrópicos:

           Dopamina: a dosis de entre menos de 2 mcg/kg/min hasta 20 ug/kg/min
           Dobutamina: de elección en el choque cardiogénico por su importante acción B1 estimulante. Dosis inicial
           de 2,5 mcg/kg/min., hasta 20 mcg/kg/min.
           Noradrenalina: se usa solo en caso de hipotensión acentuada que no se corrige con los inotrópicos previos,
           líquidos parenterales y asistencia mecánica circulatoria. Por su efecto alfa1 y beta 1 adrenergico eleva la TA
           diastólica la perfusión coronaria y la contractilidad. Dosis de 0,5 a 20 mcg/min o 0,02 – 0,04 mcg/kg/min.
           que puede aumentarse cada 10 a 15 minutos. No se debe usar por tiempo prolongado.
           Isoproterenol: causa taquicardia, aumenta la contractilidad miocárdica y disminuye la resistencia vascular
           periférica mediante la estimulación de receptores tanto B1 como B2. La administración IV se inicia a una dosis
           de 0,01 ug/kg/min y aumentar hasta que se logre el efecto deseado.
           Digoxina: de elección en la fibrilación auricular con respuesta ventricular alta.

       b) Inhibidores de la fosfodiesterasa:

           Amrinona: potencia el efecto de la dobutamina al inhibir la fosfodiesterasa F-III e incrementar el AMPc
           intracelular. Reduce la RVS y aumenta la contractilidad y con ello el GC. La dosis inicial es de 0,75 mg/kg
           IV en 2 a 3 min seguida de 5 a 10 mcg/kg/min en infusión continua.
           Milrinona: Inhibidor selectivo de la isoenzima p-III e incrementa el 3’5’AMPc, 30 a 50 veces más potente que
           la amrinona. Dosis inicial: 50 mcg/kg en 10 min, seguido de 0,25 a 1 mcg/kg/min en infusión continua.

       c) Vasodilatadores: pueden mejorar el gasto cardiaco en pacientes con TA estabilizada, la indicación principal
          es la insuficiencia mitral aguda por rotura o disfunción del aparato valvular.

           Nitroglicerina: Dosis inicial l0 mcg/min, incrementándose en 10 mcg/min cada 5 a 10 min en caso necesario
           hasta niveles tales como 400 mcg/min.
           Nitroprusiato de sodio: Dosis de inicio 5 – 10 mcg/min, se incrementa de 2,5 a 5 mcg/min cada 10 min en
           caso necesario. La dosis deber reducirse cuando la presion arterial sistólica cae por debajo de 90 mmHg.

       6.7.4. SOPORTE MECÁNICO:
       a) Balón Intraaórtico de contrapulsación
       b) By pass cardiopulmonar percutáneo
       c) Dispositivos de asistencia ventricular
       d) Hemopump.

6.8.   BIBLIOGRAFIA:

       • Crawford M. Diagnóstico y tratamiento en Cardiolog-ia. 1ra ed..Mexico:Manual Moderno;1997.
       • Espino J. Introducción a la Cardiologia. 13 va ed.. Mexico: Manual Moderno; 1997.
       • Alzueta RJ, Barrera CA, Montiel TA, Jimenez NM. Shock cardiogenico. Medicine 1996;(7) 17.
       • Leiva JL, Saucedo JF, Nunez A,Gaxiola E, Najar S. Manual de urgencias cardiovasculares. 1ra ed.. Mexico:McGraw-
         hill Interamericana: 1996.
       • Bongard S, Sue D. Diagnóstico y Tratamiento en Cuidados Intensivos. 1ra ed.. México:El Manual Moderno.
TERAPIA INTENSIVA

• Aguilar C, Prado E, Cañedo Ch, Chevaile J, Saucedo J, Kaplan M, Diaz A, Eraño J. Manual de Terapéutica
  Médica y procedimientos de urgencias. 3ra ed.. México: McGraw-Hill Interamericana; 1997.
• Marino P. El Libro de la UCI. 2da ed..Barcelona: Masson; 1998.
• Muñoz L, Martinez C, Hernández T, Marin J, Martinez JM, Garcia R. Urgencias Médico Quirúrgicas, Manual
  de Problemas Clínicos. 1ra ed..Madrid: Diego Marín;1998.
• Grenvik A, Ayres S, Holbrook P, Schoemaker W. Compendio del Tratado de Medicina Crítica y Terapia Intensiva.
  Buenos Aires: Panamericana; 1998.
• Parsons P, Wiener-Kronish J. Secretos de los Cuidados Intensivos. 2da ed.. México: McGraw-Hill Interamericana;
  2001.
TERAPIA INTENSIVA


*Dr. Oscar Vera Carrasco                                                     7. SEPSIS Y SHOCK SÉPTICO
7.1.   DEFINICIONES :

       Sepsis : Síndrome de respuesta inflamatoria sistémica (SRIS) desencadenado como respuesta a una infección.

       Síndrome de respuesta inflamatoria sistémica : Respuesta sistémica desencadenada por una variedad de agresiones
       (infección, pancreatitis, isquemia, politraumatismo, shock hemorrágico) que se caracteriza por la presencia de
       2 o más de los siguientes parámetros :

       Temperatura rectal > 38º C ó < 36º C.
       Frecuencia cardiaca >90 lat/min.
       Frecuencia respiratoria >20 respiraciones/min.
       PaCO2 < 32 mmHg.
       Cifra de leucocitos >12.000 ó < 4.000/mm3. o más de 10% de formas inmaduras.

       Sepsis grave: Sepsis asociada a disfunción de algún órgano, hipoperfusión o hipotensión.

       Los déficits de perfusión pueden manifestarse como acidosis láctica, oliguria o disminución del nivel de conciencia,
       entre otros signos.

       La hipotensión de define como presión arterial sistólica <90 mmHg o una reducción de más de 40 mmHg con
       respecto a la basal.

       Shock séptico: Sepsis grave en la que, a pesar de un adecuado aporte de líquidos, persisten la hipotensión y los
       signos de hipoperfusión periférica, requiriendo tratamiento con agentes inotrópicos y/o vasopresores.

       Shock séptico refractario: Shock séptico de por lo menos una hora de duración y que no responde a la administración
       de líquido, ni a las intervenciones farmacológicas.

7.2.   ETIOLOGÍA :

       En general los microorganismos más frecuentemente involucrados como causa de sepsis son :
       Bacilos gramnegativos: E. Coli, K. Pneumoniae, Proteus sp. y P. Aeruginosa.
       Anaerobios: fundamentalmente Bacteroides sp.
       Staphylococcus aureus.

       Microorganismos causales menos frecuentes:
       Otros bacilos gramnegativos
       Neisseria meningitidis
       Streptococcus
       Estafilococos coagulasa-negativa
       Enterococcus
       Clostridium
       Mycobacterium tuberculosis, puede producir un cuadro de diseminación hematógena con shock séptico en
       afectos de SIDA.
TERAPIA INTENSIVA

       Resto de otros gérmenes : micolasmas, clamidias, rickettsias,virus, hongos protozoos y otros parásitos.

       Los focos primarios más comunes son : pulmón, abdómen y tracto urinario. En el 30% de los pacientes el foco
       primario no se objetiva.

7.3.   CUADRO CLÍNICO Y EVOLUCIÓN :

       El cuadro clínico de la sepsis incluye :

       •   Fiebre y escalofrios (a veces hipotermia)
       •   Alteración del estado mental
       •   Hiperventilación
       •   Lesiones cutáneas
       •   Hipotensión o insuficiencia parenquimatosa

       Los siguientes trastornos y signos y síntomas en función del órgano afectado :

       7.3.1. CARDIOVASCULARES :
       Vasodilatación inicial, seguida por un incremento de resistencias vasculares ( consecuencia de hipovolemia
       efectiva ); en fases finales datos de disfunción miocárdica.
       Alteraciones del equilibrio ácido-base : inicialmente alcalosis respiratoria(por taquipnea), posteriormente acidosis
       metabólica.

       7.3.2. ALTERACIONES DEL SNC :
       Se inician con agitación, progresan a confusión o delirium y pueden acabar en obnubilación o coma.

       7.3.3. ALTERACIONES CUTÁNEAS :
       Piel fría y húmeda (hipoperfusión tisular que induce vasoconstricción periférica). Excepciones a esta situación
       incluyen hiperemia cutánea en la fase temprana distributiva del shock, y vasodilatación periférica en la fase
       terminal. Petequias, equimosis, necrosis de partes acras, etc. (por alteraciones de la coagulación y desarrollo
       de coagulación intravascular diseminada).

       7.3.4. ALTERACIONES RENALES :
       Oliguria y necrosis tubular (por vasoconstricción renal, redistribución de flujo sanguíneo hacia otros órganos e
       hipoperfusión renal).

       7.3.5. ALTERACIONES PULMONARES :
       Edema intersticial y alveolar, cuya consecuencia es el Síndrome de Distrés Respiratorio Agudo (SDRA). Clínicamente
       se caracteriza por hipoxemia, infiltrados pulmonares difusos y signos de shunt de derecha a izquierda. La presión
       de enclavamiento o presión capilar pulmonar es normal.

       7.3.6. ALTERACIONES DIGESTIVAS :
       Son frecuentes la anorexia, náuseas, vómitos; íleo (consecuencia de alteraciones electrolíticas). Úlceras de estrés,
       reactivación de úlceras pépticas previas o relacionadas con trastornos de la coagulación/vasomoción, isquemia
       de diferentes órganos gastrointestinales. En una gran mayoría se detecta ictericia (por isquemia hepática) y
       elevaciones moderadas de las transaminasas.
TERAPIA INTENSIVA

       7.3.7. ALTERACIONES METABÓLICAS :
       Son frecuentes la hipertrigliceridemia (en respuesta a la infección) y en cuadros de mayor tiempo de evolución
       hipoalbuminemia.

       7.3.8. ALTERACIONES HEMATOLÓGICAS :
       La expresión hematológica típica consiste en leucocitosis (la leucopenia suele indicar un mal pronóstico), con
       desviación izquierda y cuerpos de Döhle. La trombocitosis suele acompañar a la fase aguda. En cuadros mantenidos
       se detecta anemia de trastornos crónicos.

7.4.   DIAGNÓSTICO :
       El diagnóstico de sepsis es fundamentalmente clínico (ver definición al inicio).

       Los cultivos de sangre o del foco primario o secundario permiten apoyar el diagnóstico.
       Los criterios de ingreso en una U.T.I. de enfermos con sepsis son los siguientes :

                No respuesta hemodinámica a la expansión de volumen, y 2 o más de los siguientes criterios :

       •   Hipotensión
       •   Oligoanuria
       •   Hipoperfusión
       •   Acidosis metabólica (pH <7.30)
       •   Disminución del nivel de conciencia

7.5.   DIAGNÓSTICO DIFERENCIAL :

       Un cuadro clínico parecido a una infección bacteriana se produce en los que existe SRIS desencadenada por otras
       agresiones como : pancreatitis, lisis tumorales, lesiones del SNC, rabdomiólisis e hipertermias malignas.
       Se deben descartar los shocks hipovolémicos, cardiogénicos y distributivos. Entre otros cuadros de shock con
       resistencias periféricas bajas, fuera del séptico, figuran el neurogénico y anafiláctico.

7.6.   EXAMENES COMPLEMENTARIOS :

       Laboratorio :

       Hemograma; pruebas de coagulación con determinación de fibrinógeno, PDF y recuento de plaquetas.
       Glucemia, enzimas hepáticas, bilirrubinemia, NUS y creatininemia.
       Gasometría arterial y equilibrio ácido-base.
       Ionograma: Cl- , Na+ , K+ , calcio iónico, P y Mg.
       Lactato y albuminemia.
       Estudios microbiológicos: Tinción gram, cultivos de muestras del eventual foco séptico y hemocultivos.

       Estudios de gabinete :

       Rx de tórax y abdómen
       Ecografía y/o TAC abdominales
TERAPIA INTENSIVA

       Otras pruebas :

       Electrocardiograma
       Punción lumbar

7.7.   TRATAMIENTO :

       La terapéutica es dependiente de la valoración global del estado del paciente. Es de capital importancia como
       primera medida el análisis de la repercusión hemodinámica de la sepsis tomando en cuenta lo siguiente :

       7.7.1. PRESIÓN ARTERIAL :
       - Se deben mantener la PAM > 60 mmHg y la PAS > 90 mmHg.

       7.7.2. PERFUSIÓN TISULAR :

       Coloración cutánea (livideces, cianosis)
       Diuresis (debe mantenerse por encima de 30 ml/hora)
       Estado mental (obnubilación o estupor)
       Acidosis láctica (la elevación de ácido láctico en sangre sugiere hipoperfusión).

               En función de los anteriores datos, como ya fue descrito anterior-
               mente,se considera una SEPSIS GRAVE cuando la presión arterial
               media (PAM) es inferior a 60 mmHg, una diuresis horaria inferior a
               30 ml/hora y, en caso de efectuarse un control hemodinámico in-
               vasivo, un índice cardiaco superior o igual a 4 litros/min/m2.

       7.7.3. TRATAMIENTO ETIOLÓGICO :
       Erradicar los gérmenes responsables. Para ello es preciso localizar el foco de infección y administrar los
       antimicrobianos que mejor se adapten a los posibles agentes patógenos, ello unido, en algunos casos, a actuaciones
       quirúrgicas sobre aquellos.

       La antibioticoterapia empírica inicial dependerá del foco de infección, de los gérmenes aislados con mayor
       frecuencia en nuestro medio y de la situación clínica. Como referencia puede tomarse en cuenta el siguiente
       cuadro :
TERAPIA INTENSIVA


                            ANTIBIOTICOTERAPIA ESPECÍFICA EN LA SEPSIS Y EN EL
                                            SHOCK SÉPTICO*

                                     Origen extrahospitalario           Origen intrahospitalario
      Punto de partida
                               Microorga-            Antibió-      Microorga-              Antibió-
                               nismos                ticos         nismo                   ticos
                                                                   S.aureus,
                                                                   enterococo           Cefalospori-
      Foco desconocido         Cocos gram(+) y      Cefazolina o   Bacilos gram         nas de 3 a.
                               bacilos gram (-)     CLOX + AMG     neg. y S. epi-       generación
                                                                   dermidis.
                               Vías altas:         Penicilina G    P. aeruginosa/       PA+CL+
                               Neisseria minin-
                                                                                        AMG
      Respiratorio             gitidis.            Eritromicina
                               Pulmón :                            Enterococo/
                                                   +CFT, o levo-   anaerobios           Ampicilina
                               Streptococcus       floxacino                            +CL+AMG
                               pneumoniae

                                                                   Klebsiella-
                                                                   enterobacter-        Piperacilina
      Abdomen: perito-         Enterobacter/       CL+CFT+AMG      P. aeruginosa/       +AMG
      nitis, colecistitis      anaerobios                          Enterococo


                                                                   Klebsiella-
      Urológico                Escherichia                                              CFTZD+
                                                   CFT+AMG         Enterobac-
                               coli                                                     CL+AMG
                                                                   ter-Serratia

                                                                   SARM/Kleb-
                                                                   siella-Entero-
      Ginecológico             E.coli/anae-                                             CL+CFTZD
                                                   CFT+CL+AMG      bacter-Serra-
                               robios                                                   +AMG
                                                                   tia/P. aerugi-
                                                                   nosa/Anaerob.
                                                                   SARM/Kleb-
                               Estafilococos/       CLO+CL+        siella/P. aeru-      Carbapenem
                               estreptococos        AMG            ginosa/Anae-         +GL+AMG
                                                                   robios


    AMG: aminoglucósidos; CFT: cefotaxima; CFTZD:ceftazidima; CL: clindamicina; CLO: cloxacilina;
    GL:glucopéptico; PA: penicilina antipseudomonas; SARM: staphylococcus aureus resistente a meticilina.
                                                      Modificado de Peréz CR. Medicine 2002;8(72):3865.
TERAPIA INTENSIVA

       7.7.4. TRATAMIENTO DE SOSTÉN DE LAS FUNCIONES VITALES :

       Este tratamiento consiste fundamentalmente en la expansión de volumen y en la administración de fármacos
       vasoactivos e inotrópicos.

       Los objetivos hemodinámicos básicos consisten en conseguir una presión arterial sistólica (PAS) superior a 90
       mmHg y una diuresis mayor de 0,5 ml/kg/hora. La presión venosa central (PVC) se debe mantener entre 10 y
       15 cmH20. Si fuera posible medir la presión capilar pulmonar, ésta debe mantenerse entre 12 y 18 mmHg.
       Los líquidos a administrarse pueden ser coloides o cristaloides. Si la PVC es ≤ 5 cmH20 iniciar la perfusión
       rápida de Solución salina isotónica o Solución de Ringer lactato( ≥ 1 litro/hora) o de coloides (dextranos,
       polímeros de gelatina o hidroexetil almidón).

       Esta indicada la transfusión sanguinea cuando el hematocrito es inferior a un 25% o existe evidencia de sangrado
       activo e hipovolemia concomitante.
       Es también importante mantener un aporte adecuado de oxígeno a los tejidos (hematocrito, gasto cardiaco y PaO2
       elevado) para mejorar el pronóstico de estos pacientes.

       La utilización de los fármacos vasoactivos (como Dopamina, Dobutamina o Noradrenalina) en la sepsis severa
       y en el shock séptico se justifica cuando la resistencia periférica continua descendida a pesar del aporte adecuado
       de cristaloides o coloides (2-3 litros de líquidos entre 1 y 3 horas de comenzado el tratamiento), la presión arterial
       sistólica se mantiene inferior a 90 mmHg, la PAM < a 60 mmHg, existen signos de hipoperfusión tisular y la PVC
       se eleva por encima de 8 cmH20 o la presión capilar pulmonar asciende a > 16 mmHg.

       Iniciar la administración de DOPAMINA a razón de 5 mcg/kg/min. Esta dosis se incrementa en 5 mcg/kg/min.
       cada 5 a 10 minutos hasta 20 mcg/kg/min., con el objeto de lograr una PAM > 60-70 mmHg o una PAS >90
       mmHg y una diuresis > 30 ml/hora.
       Si la Dopamina no es eficáz, reducirla a 1-2 mcg/kg/min. e iniciar la perfusión de NORADRENALINA a razón de
       8 mcg/min., elevándola progresivamente hasta un máximo de 70 mcg/min.

       En caso de que no se obtenga respuesta y exista un bajo índice cardiaco ( < 2,8 L/min/m2) con presiones
       enclavadas o Presión capilar pulmonar óptimas (12-18 mmHg), puede asociarse DOBUTAMINA a razón de 2
       mcg/kg/min., elevando la dosis con incrementos sucesivos cada 10 minutos hasta 40 mcg/kg/min.

       7.7.5. DOSIS DE DROGAS VASOACTIVAS

   Fármaco               Solución                Concentración                           Intervalo de dosis
                                                                                Microgramos             Microgotas*
 DOPAMINA           1 amp.o víal de 200 mg          800 mcg/ml                   5-20 mcg/min         0,37-1.5
                    en 250 ml de Sol.                                                                 microgotas/kg/min.
                    dextrosa al 5 %.
 DOBUTAMINA             1 amp.o víal de 250         1.000 mcg/ml               2-40 mcg/kg/min        0,12-2,4
                        mg en 250 ml de                                                               microgotas/kg/min.
                        Sol. dextrosa al 5%.
 NORADRENALINA          1 amp.o víal de 10          100 mcg/ml                 8-70 mcg/kg/min        4,8-42
                        mg en 100 ml de                                                               microgotas/kg/min.
                        Sol. dextrosa al 5%.
*1ml : 60 microgotas.
                                                            56
TERAPIA INTENSIVA

    MEDIDAS PARA EL SOPORTE DE LOS ÓRGANOS INSUFICIENTES :

    Si a pesar del aporte suplementario de oxígeno mediante mascarilla de Venturi al 35 %, la PaO2 se mantiene por
    debajo de 60 mmHg, son necesarias la intubación y la ventilación mecánica.
    En caso de que persista la oliguria (< 30 ml/hora) con parámetros hemodinámicos adecuados tras la reposición
    de volumen y drogas vasoactivas, administrar FUROSEMIDA a dosis de 1 mg/kg de peso y observar la diuresis
    durante 1 a 2 horas. Si no existe respuesta y la Creatinina sérica es < 5 mg/dl, pueden ensayarse dosis sucesivas
    de 5 y 10 mg/kg. Considerar la realización de hemofiltración.

    Corregir la acidosis metabólica mediante la administración de BICARBONATO DE SODIO, calculando la dosis
    con la siguiente fórmula :

    Dosis de bicarbonato mEq = déficit de bases x kg peso x 0,3.

    Si aparece diátesis hemorrágica en relación con Coagulación intravascular diseminada (CID), iniciar tratamiento
    sustitutivo con plasma fresco (para suministrar factores de la coagulación y antitrombina III), plaquetas (si están
    por debajo de 20.000/ul), crioprecipitado (concentración de fibrinógeno <100 mg/dl y, eventualmente, concentrado
    de antitrombina, heparina o ácido épsilon aminocaproico.

    La administración de heparina sólo esta indicada si fracasa el tratamiento sustitutivo anteriormente señalado y
    la hemorragia no está localizada en espacios que comprometen órganos vitales (SNC, pericardio, región peritraqueal)
    o predominan los signos de trombosis (isquemia acra, necrosis dérmica o tromboembolismo venoso).

     El uso de Épsilon aminocaproico puede estar indicada en los casos de CID que no responde al tratamiento
    sustitutivo. Debe administrarse con dosis bajas de heparina.

    Prevenir la aparición de lesiones agudas de la mucosa gástrica con la administración de bloqueantes H2 (Ranitidina)
    o de Sucralfato.

    Iniciar precozmente la alimentación enteral si la fuente de la sepsis no radica en el sistema digestivo, o en su
    defecto por vía parenteral.

    La administración de Corticoides sólo esta justificada si se sospecha la existencia de insuficiencia suprarrenal
    aguda y en entidades específicas como en la fiebre tifoidea severa, neumonía por Pneumocystis carinii en el SIDA
    o en la meningitis bacteriana en niños.

    7.7.6. OTRAS MEDIDAS TERAPÉUTICAS :
    Si existe obstrucción de la vía urinaria o biliar, un absceso, tejido necrótico, un cuerpo extraño o perforación de
    una víscera hueca, son prioritarios el DRENAJE Y/O EL DESBRIDAMIENTO QUIRÚRGICOS independientemente
    del estado hemodinámico del paciente. La inestabilidad cardiorespiratoria casi nunca es una razón aceptable para
    retrasar la intervención si la sepsis es la causa de la inestabilidad.

    Instalar un catéter venoso central y monitorizar la PVC.

    Colocar una sonda vesical para controlar la diuresis horaria.

    Monitorizar la presión arterial, la frecuencia cardiaca, la frecuencia respiratoria y la temperatura corporal.
                                                        57
TERAPIA INTENSIVA

       El paciente debe permanecer en decúbito, a ser posible con las extremidades inferiores elevadas unos 30° por
       encima de la cama, con el fin de favorecer el retorno venoso.

7.8.   VALORACIÓN DEL PRONÓSTICO :

       En función del estadio del proceso infeccioso, en la actualidad en las grandes series publicadas, la mortalidad
       atribuible al mismo es diferente : sepsis 15%; sepsis graves 25%; shock séptico 40%-50%; shock refractario,superior
       al 70%.
       El pronóstico es malo en presencia de edad avanzada, infección con microorganismos relativamente resistentes
       a los antibióticos como P. aeruginosa, alteración inmunológica del huésped y estado funcional deficiente antes
       de la sepsis.

       La cirrosis hepática prexistente implica un pronóstico malo.
       Una vez establecido el shock séptico, los factores que predicen un mal pronóstico incluyen hipotensión intratable
       que requiere dosis altas de drogas vasoactivas, leucopenia, CID, acidosis metabólica (láctica) persistente o
       creciente y deterioro de la función miocárdica.
       El signo más abominable es la insuficiencia orgánica secuencial a pesar de los tratamientos antimicrobiano y
       quirúrgico adecuados, y las medidas óptimas de apoyo.

7.9.   BIBLIOGRAFÍA:

       • American College of Chest Physician/Society of Critical Care Medicine Consensus Conference Committee.
         Definitions for sepsis and organ failure and guidelines for the use of innovative therapies in sepsis. Crit Care
         Med 1992;20:864-74.
       • Perez Cano R, Tinoco Racero y Rodriguez Leal C. Sepsis y Shock Séptico. Medicine 2002;8(72): 3861-65.
       • Martín Aspas A, Perez Cano R, Tinoco Racero I. Protocolo terapéutico de la sepsis y shock séptico. Medicine
         2002;8(72):3897-8.
       • Alvarez F, Cisneros JM, Fernández et al. Indicaciones de ingreso en el servicio de medicina intensiva de
         pacientes adultos con infecciones graves. Enferm Infecc Microbiol Clin 1998;16: 423-30.
       • Wheeler AP, Bernard GR. Treating patients with severe sepsis. N Engl J Med 1999; 340: 207-14.
       • Bone RC, Cerra FB, Dellinger RP, Fein AM, Knaus WA et al. Definitions for sepsis and organ failure and
         guidelines for the use of innovative therapies in sepsis. Chest 1992; 101:1644-55.
       • Mensa J, Gatell JM, Jimenez de Anta MT, Prats G, Dominguez-Gil A. Guía Terapéutica Antimicrobiana 2002.
         12ª. Edición. Editorial Masson. Barcelona (España) 2001; 387-9.
       • Luce JM. Patogénesis and management of septic shock. Chest 1987; 91: 883-7.
       • Lefering R, Neugebauer EA. Steroid controversy in sepsis and septic shock. A meta-analysis. Crit Care Med
         1995; 23: 1294-9.
       • Fainstein V. Infecciones en la Unidad de Cuidados Intensivos. En: Varon Joseph. Cuidados intensivos. Editorial
         Mosby/Doyma Libros. Madrid (España) 1995; 222-3.
       • Parrillo JE, Bone RC. Critical Care Medicine: Principles of Diagnosis and Management. S. Louis: Mosby
         1995.
       • David CM. Sepsis. En: David CM, Goldwasser R, Nácul FE. Medicina Intensiva. Diagnóstico e Tratamento.
         Editorial Revinter Rio de Janeiro (Brasil) 1997; 62-72.
       • Schierhout G, Roberts I. Fluid resuscitation with colloid or crystalloid solutions in critically ill patients. A
         systematic review of randomized trials. BMJ 1998; 316: 961-3.
       • Bressack MA, Raffin TA. Importance of venous return, venous resitance and mean circulatory pressure in the
         pathophysiology and management of shock. Chest 1987; 92: 906.
                                                           58
TERAPIA INTENSIVA

    • Light RB. Choque séptico. En: Hall JB, Schmidt GA, Lawrence DH Wood. Cuidados Intensivos. 2ª edición.
      Editorial Mc Graw-Hill Interamericana 2001; 807-21.
    • Pittet D, Thievent B, Wenzel RP, et al. Bedside prediction of mortality from bacteremic sepsis: A dynamic
      analysis of ICU patients. Am J Respir
    • Crit Care Med 1996; 153: 684.
    • Martin C, Papzian L, Perrin G, Saux P, Gouin F. Norepinephrine o dopamine for the treatment of hyperdynamic
      septic shock? Chest 1993; 103: 1286-9
    • Marik PE, Mohedin M. The contrasting effects of dopamine and norepinephrine on systemic and splachnic
      oxygen utilization in hyperdynamic sepsis. JAMA 1994; 272: 1354-7.
    • Honore PM, James J, Wauthier M, Lee PA, Dugernier T, Pirenne B et al. Prospective evaluation of short-term,
      high-volume isovolemic hemofiltration on the hemodynamic course and outcome in patients with intractable
      circulatory failure resulting from septic shock. Crit Care Med 2000; 28: 3581-5.
    • Sprung CL, Finch RG, Thijs LG, Glauser MP. International sepsis trial (INTERSEPT): Role and impact of a
      clinical evolution committee. Crit Care Med 1996; 24:1441-5.
    • Hoffman SL, Punjabi NH, Kumala S, et al: Reduction of mortality in Chloramphenicol-treated severe typhoid
      fever by high-dose dexamethasone. N Engl J Med 1984; 310: 82-8.
    • Gagnon S, Boota AM, Fischl, et al: Corticosteroids as adjunctive therapy for severe pneumocystis carinii
      pneumonia in the acquired immunodeficiency syndrome: A double-blind, placebo-controlled trial. N Engl J
      Med 1990; 323: 1441-50.
    • Odio CM, Faingezicht I, Paris M, et al : The beneficial effects of early dexamethasone administration in infants
       and children with bacterial meningitis. N Engl J Med 1991; 324:1525-31.
    • Light RB. Un acercamiento a la Sepsis de origen desconocido. En: may JB, Schmidt GA, Lawrence DH, Wood.
      Cuidados Intensivos. 2ª edición. Editorial MC Graw-Hill Interamericana 2001; 793-805.
    • Bernard GR, Ely EW, Wright TJ, Fraiz J, Stasek JE, Russell JA, et al. Safety and dose relationship of recombinant
      human activated protein C for coagulopathy in severe sepsis. Crit Care Med 2001; 29 (11): 2051-9.




                                                        59
TERAPIA INTENSIVA


       *Gonzalo Luis Poma Plata                                                 8. ISQUEMIA MESENTÉRICA

       El déficit circulatorio es raro en el tracto gastrointestinal por la circulación colateral entre los ejes celiacos y
       las arterias mesentéricas superior e inferior ,

       La circulación mesentérica aumenta con la digestión y disminuye con el ejercicio ,además presenta vasoconstricción
       por: estímulo simpático , reducción de flujo sanguíneo y fármacos.

       La isquemia mesentérica , puede ser aguda o crónica.

8.1.   ISQUEMIA MESENTÉRICA AGUDA:

       8.1.1. CLÍNICA:
       Inicialmente nauseas , vómitos, diarrea , así como sensibilidad abdominal difusa sin signos peritoneales y con
       ruidos intestinales activos , posteriormente, dolor abdominal ,fiebre , diarrea sanguinolenta y datos de peritonitis.

       8.1.2. ETIOLOGÍA:
       Transtornos asociados
       Estados de hipercoagulabilidad
       Trombosis venosa profunda periférica
       Neoplasias
       Deficiencia de antitrombina III
       Deficiencia de proteína C y S
       Anticonceptivos orales
       Embarazo
       Policitemia vera
       Trombocitosis
       Hipertensión portal
       Cirrosis
       Esplenomegalia congestiva
       Post escleroterapia de várices esofágicas
       Inflamación
       Pancreatitis
       Peritonitis (apendicitis, víscera perforada)
       Enfermedad intestinal inflamatoria
       Absceso pélvico o intraabdominal
       Enfermedad diverticular
       Estado postoperatorio o trauma
       Trauma abdominal cerrado
       Esplenectomía u otros estados postoperatorios

       1. Embolización de la arteria mesentérica superior en un 40%, (con un 30% de estos con antecedentes embólicos).
       2. Trombosis de la arteria mesentérica superior, en un 40%, trombo sobre placa ateroesclerótica, precedida a
          menudo por síntomas de isquemia mesentérica crónica (dolor postprandial, pérdida de peso, diarrea).
       3. Isquemia no oclusiva , en un 20% por vasoconstricción mesentérica debida a bajo rendimiento cardiaco,

                                                            60
TERAPIA INTENSIVA

         o sea un estado de “ bajo flujo” ( condiciones predisponentes: infarto de miocardio , falla cardiaca , enfermedad
         renal o hepática , trauma o intervención quirúrgica que causan hipovolemia o hipotensión).

      Cuando disminuye la circulación esplácnica hay hipoxia la que causa disminución en la síntesis de ATP y aumento
      en su degradación, con la elevación en la concentración de productos de la degradación del ATP tales como
      H+ , fosfato inorgánico y derivados de purinas que intervienen en la formación de radicales libres de oxígeno e
      incremento en la glicólisis anaerobia con la consiguiente producción de lactato.

      El aumento de H+ lleva a la generación de una gran cantidad de CO2 celular.
      Estos cambios isquémicos más intensos en la punta de las vellosidades ocurren a las 3 a 4 horas, la necrosis
      de la vellosidad es completa y se asocia con necrosis de las criptas, comprometiendo la regeneración epitelial.

      8.1.3. TRATAMIENTO:

      1. Medidas de soporte vital ,reanimación con líquidos.
      2. Definir diagnóstico ,la prueba diagnóstica definitiva es la angiografía mesentérica.
      3. Si hay datos de infarto intestinal o peritonitis :
         Laparotomía exploradora inmediata.
      4. Sí hay embolia ( por arteriografía):
                    Anticoagulación con heparina
                    Embolectomía
      5. Sí hay trombosis:
                    Laparotomía inmediata.
      6. Proceso no oclusivo (en la arteriografía) se ve estrechamiento marcado así como aspecto de “ podado” de
         los vasos distales:
         Reanimación con fluidos , optimizando rendimiento cardíaco.

8.2. ISQUEMIA MESENTÉRICA CRÓNICA:

      Complicación ateroesclerótica de 2 o 3 arterias viscerales principales caracterizada por dolor epigástrico crónico
      cólico 30 a 60 minutos postprandial. Existe presencia de ruidos intestinales.
      Se confirma con angiografía y se realiza bypass aortomesentérico o endarterectomía transaórtica.

8.3. BIBLIOGRAFÍA:

      • Rhee RY, et al. Mesenteric venous thrombosis. Surg Clin N A 1997; 77: 327-38.
      • Kaleya RN, et al. Acute mesenteric ischemia. Critical Care Clin 1995; 11: 479-511.
      • Jorgensen JE et al. Catástrofes vasculares abdominales: urgencias abdominales. ¿Ha cambiado algo? Clin
        Quir Norte Am 1997; 6: 1271-78.
      • Boley SJ, et al. Trombosis venosa mesentérica. Surg Clin North Am 1992; 72: 183-200.
      • Benjamin E, et al. Acute mesenteric ischemia: pathophysiology, diagnosis and treatment. Dis a Month 1993;
        39: 157-62.
      • Montgomery RA, et al. Mesenteric vascular insufficiency. Curr Probl Surg 1997; 34: 966-72.
      • Clavien PA et al. Venous mesenteric thrombosis: a particular entity. Br J Surg 1988; 75: 252-5.
      • Darryl T Hiyama y cols. Manual de cirugía Mont Redd Hospital. Segunda edición ,1996 Mosby Year Book,
        Barcelona España .


                                                          61
TERAPIA INTENSIVA


*Dr.Williams Panique Rojas                                  9. INSUFICIENCIA RESPIRATORIA AGUDA

9.1.   DEFINICIÓN:

       Se habla de insuficiencia respiratoria cuando el aparato respiratorio es incapaz de suministrar un aporte adecuado
       de oxígeno a los tejidos, lo que puede acompañarse o no de una eliminación deficiente de C02.

       Insuficiencia Respiratoria Aguda (IRA) es, desde el punto de vista clínico, toda situación en la cual se encuentre,
       que el aparato respiratorio resulte incapaz de aportar a la economía corporal, el oxígeno que ésta necesita para
       mantener la función de sus órganos. Se evidencia tempranamente por la demostración de Pa02 inferior a 50 mm
       Hg en sangre, con PC02 alta, normal o baja según la etiología, pH ácido o alcalótico y todo el cortejo sintomático
       del síndrome de dificultad respiratoria.

9.2.   ETIOLOGÍA:

       Según el defecto funcional del órgano responsable de la falla:

                               1.- Cerebral
                               2.- Medular
                               3.- Neuromuscular
                               4.- Tórax y pleura
                               5.- Vías aéreas superiores
                               6.- Cardiovascular
                               7.- Vías aéreas bajas y alvéolos

9.3.   CUADRO CLÍNICO:
       La IRA sea cual sea su origen presenta como característica fundamental la hipoxemia y es la clínica derivada de
       esta situación la que distingue esta entidad. Podemos afirmar que el principal elemento diagnóstico es el deterioro
       de la función orgánica que depende críticamente del oxigeno. Lo más fácil de determinar es el estado mental o
       alerta, pero también la aparición de arritmias, taquipnea, shock, cianosis o aún paro cardiorrespiratorio, oliguria,
       acidosis o inquietud nos deben hacer buscar la causa rápidamente y solucionarla, ojalá antes de que se instale
       plenamente la IRA. El reconocimiento de la disfunción orgánica secundaria a hipoxemia es capital para el
       pronóstico.

       9.3.1. EXÁMENES COMPLEMENTARIOS:
                          Gasometría arterial.
                          Rayos X.
                          Hemograma.
                          Ionograma.
                          Pruebas de función pulmonar


9.4.   TRATAMIENTO:
       Lo esencial es definir la capacidad del paciente para tomar el oxígeno que necesita y decidir sobre la mejor manera
       de aportárselo.


                                                           62
TERAPIA INTENSIVA

       La base del manejo adecuado de la IRA es su reconocimiento temprano, la identificación clara de su origen y la
       adopción inmediata de las medidas terapéuticas pertinentes que son de dos tipos:
       Las destinadas a controlar las causas de la IRA.
       Las que mantendrán vivo al paciente mientras las primeras surten su efecto.

       El objetivo es la corrección de la hipoxemia o hipercapnia hasta que se lleven a cabo acciones específicas para
       corregir si es posible, los factores que causen insuficiencia respiratoria.


       Oxigenoterapia               Cánula nasal.
       a través de :                Ventimask.
                                    Máscaras con humidificación elevada.
                                    Máscaras con reservorio sin entrada.
                                    Tienda facial.
                                    Tubo en "T".

       Formas de aporte de oxígeno:

       Equipo                             Flujo de oxigeno (L/min)         Fi02 obtenido ( % )
       Catéter o cáula nasal                        0.5 -6                       24 – 40
       Mascarilla facial                           10 – 12                       45 – 65
       Mascarilla de reinhalación                   6 – 10                        60 - 80
       Tubo en “T”                                 0.5 - 12                      24 – 100

       Para instalar el ventilador mecánico deben responderse las siguientes preguntas:
       Tiene el paciente una enfermedad reversible.
       Tiene el paciente complicaciones en otros órganos que contraindique el uso del ventilador?
       Se han agotado los recursos terapéuticos para manejar la IRA sin ventilador?
       Se intuba?
       Se realiza traqueotomía?

9.5.   BIBLIOGRAFÍA:

       • Schuster P. Elbert T. Insuficiencia Respiratoria Aguda. Manual de terapéutica Médica. Salvat Ed. 1992; 578-
         171.
       • Nabornasal J. Owens M. Hipoxemia y fisiología pulmonar. Secretos de la Anestesia. McGraw Hill Interamericana.
         1996t; 752-229.




                                                          63
TERAPIA INTENSIVA

                                          10. SINDROME DE DISTRÉS RESPIRATORIO AGUDO
                                                                                       *Dr.Oscar Vera Carrasco.
10.1. DEFINICIÓN:

      El Sindrome de Distrés Respiratorio Agudo (SDRA) es una forma de lesión pulmonar aguda caracterizada por
      un edema pulmonar por aumento de la permeabilidad en la membrana alveolo-capilar.

      Clínicamente se define por la presencia de

      *Distrés respiratorio agudo en un paciente con condiciones predisponentes.

      *Infiltrados bilaterales difusos en la Radiografia de tórax (patrón de edema pulmonar).

      *Hipoxemia (Pao2 < 55 mmHg con FI02 >0,5) con PaO2/FI02 ≤ 2OOmmHg.

      *Disminución de la distensibilidad estática pulmonar <40-50 ml/cm H20.

      *Presión de oclusión de la arteria pulmonar baja o normal (PcP ≤ de 18mm Hg).

10.2. ETIOLOGÍA:

      El SDRA suele asociarse a
      - Sepsis.
      - Aspiración del contenido gástrico.
      - Traumatismos.
      - Neumonia nosocomial
      - Coagulación intravascular diseminada.
      - Post circulación extracorpórea.
      - Hipotensión prolongada.
      - Fracturas múltiples (embolia grasa).
      - Transfusiones múltiples.
      - Inhalación de toxinas.
      - Quemaduras.
      - Pancreatitis.
      - Casi ahogamiento.
      - Embolia gaseosa.
      - Fármacos (cocaina,metadona,AAS,metadona,heroina).

10.3. CUADRO CLÍNICO:

      A) El SDRA puede desarrollarse en forma insidiosa en horas o dias tras la lesión inicial (Ej Neumonia) En
         ocasiones coincide con el factor desencadenante (Ej.Aspiración del contenido gástrico).

      B) Sintomatologia : Los signos y síntomas del SDRA son inespecíficos y generalmente se presenta con:
TERAPIA INTENSIVA

             a)   Disnea
             b)   Taquipnea
             c)   Estertores crepitantes de gruesa burbuja.
             d)   Cianosis central y periférico.
             e)   Agitación psicomotriz.

       C) Manifestaciones sistémicas de otras disfunciones orgánicas: pueden estar relacionadas con la causa
          desencadenante o puede representar la generalización de la respuesta inflamatoria:

             a)   Coagulación intravascular diseminada.
             b)   Insuficiencia renal aguda.
             c)   Insuficiencia hepática aguda.
             d)   Encefalopatia.
             e)   Sepsis

10.4. EXAMENES COMPLEMENTARIOS:

       1.- Hemograma y coagulograma.
       2.- Gasometria arterial.
       3.- Ionograma (C1-,Na+,K+).
       4.- Glucemia.
       5.- NUS, creatininemia.
       6.- Radiografia de tórax.
       7.- Otros:dependiendo de la causa desencadenante.

10.5. TRATAMIENTO:
      1. Tratamiento de los factores desencadenantes: Ej.:antimicrobianos para las infecciones y sepsis, drenaje de
         abscesos, reposición de la volemia en el shock hipovolémico.

       2. Tratamiento de Soporte:

       a) Oxigenoterapia y soporte ventilatorio (ver protocolo de insuficiencia respiratoria aguda y ventilación mecánica).

           El conocimiento actual del riesgo de lesión pulmonar que comporta el uso de volúmenes y presiones de
           insuflación elevadas, ha llevado a una estrategia alternativa en la que deben mantenerse presiones inspiratorias
           máximas por debajo de 35 cmH20, al usar Volúmenes corrientes (Vc) de 6 a 10 ml/kg peso. Para seguir esta
           estrategia, se inicia la ventilación mecánica con un Vc de 10 ml/kg peso. Si la presión inspiratoria máxima
           (PIP) resultante es superior a 35 cmH20, se reduce el Vc por pasos de 2 ml/kg hasta que la PIP descienda
           por debajo de 35 cmH20. Al usar estos Vc bajos, se sñade una PEEP (de 5 a 10 cmH20) para impedir las
           atelectasias por compresión y para limitar el colapso cíclico de las vías aéreas distales.

           Los objetivos de esta estrategia son: mantener una saturación arterial de oxígeno ≥ 90 % y prevenir
           complicaciones por una presión elevada de vías aéreas o valores elevados de FIO2 (>0.6).

           Los volumenes corrientes de 5 a 8 ml/kg peso puede originar hipercapnia, pero en ausencia de efectos
           adversos o contraindicaciones se permite continuar con esta hipercapnia denominada hipercapnia permisiva.
TERAPIA INTENSIVA

      b) Monitorización y soporte hemodinámico: Puede ser necesaria la colocación de un catéter de Swan Ganz para
         un adecuado manejo de líquidos y la valoración de los efectos cardiovasculares de la PEEP.

      c) Soporte nutricional (ver nutrición parenteral y enteral).

      d) Tratamiento de las complicaciones: Insuficiencia renal aguda, infecciones, coagulación intravascular diseminada
         barotrauma.

10.6. BIBLIOGRAFÍA :

      • Ware LB, Matthay MA. The acute Respiratory Distress Syndrome. N Engl J Med 2.000; 1334-46.
      • Kollef MH, Schuster DP. The Acute Respiratory Distress Syndrome. N Engl J Med 1995; 27-34.
      • Bidani A, Tzouanakis AE, Cardenas VJ, Zwischenberger JB. Permisive Hypercapnia in Acute Respiratory
        Failure. JAMA 1994; 272: 957-62.
      • Abraham E, Matthay MA, Dinarello CA, et al. Consensus conference definitions for sepsis, septic shock, acute
        lung injury, and respiratory distress síndrome: time for reevaluation. Crit Care Med 2.000; 28: 232-5.
      • Gattinoni L, Bombino M, Pelois P, et al. Lung structure and function in different stages of severe adult respiratory
        distress syndrome. JAMA 1994; 271: 1772-9
      • Amato MBP, Barbas CSV, Medeiros DM, et al. Effect of a protective-ventilation strategy in the acute respiratory
        distress syndrome. N Engl J Med 1998; 338: 347-54.
      • Stewart TE, Meade MO, Cook DJ, et al. Evaluation of a ventilation strategy to prevent barotraumas in patients
        at high risk of acute respiratory distress syndrome. N Engl J Med 1998; 338: 355-61.
      • Brochard L, Roudot- Thoraval F, Roupe E, et al. Tidal volume reduction for prevention of ventilator-induced
        lung injury in acute respiratory distress syndrome. Am J Respir Crit Care Med 1998; 158: 1831-8.
      • Reinoso MA. Trastornos pulmonares. En: Joseph Varon. Cuidados intensivos. Editorial Mosby/Doyma. Madrid
        (España) 1995; 336-39.
      • David CM. Síndrome de Angustia Respiratoria Aguda. En: David CD, Goldwaser R, Nácul FE. Medicina
        Intensiva: Diagnóstico e Trtamento. Editorial Revinter. Rio de Janeiro (Brasil) 1997; 164-9.
      • Bernard GR, Artigas A, Brighman KL, et al. The American-European Consensus Conference on ARDS: definitions,
        mechanisms, relevant outcomes, and clinical trial coordination. Am Rev Respir Crit Care Med 1994; 149: 818-
        24.
      • Gattinoni L, D’Andrea L, Pelosi P, et al. Regional effects and mechanism of positive end-expiratory pressure
        in early adult respiratory distress síndrome. JAMA 1993; 269: 2122-7.
      • Petty TL. The acute respiratory distress syndrome. Historical perspective. Chest 1994; 105 (suppl): 44 S-
        46 S.
      • Hickling KG, Walsh J, Henderson S, Jackson R. Low mortality rate in adult respiratory distress syndrome
        using low-volume, pressure-limited ventilation with permissive hypercapnia: a prospective study. Crit Care
        Med 1994; 22: 1568-78.
      • Marino PL. Síndrome de Distrés Respiratorio Agudo. En: El libro de la UCI. 2ª edición. Editorial Masson-
        Williams and Wilkins. España 1998; 401-16.
TERAPIA INTENSIVA

                                                       11. EDEMA AGUDO PULMONAR DE ALTURA
*Dr.Oscar Vera Carrasco.
11.1. DEFINICIÓN:

        El edema agudo Pulmonar de altura (EAPA), es una forma no cardiogénica de edema pulmonar que se produce
        como consecuencia del rápido ascenso a alturas iguales o superiores a 3000 metros sobre el nivel del mar.

11.2. ETIOLOGÍA:
      - Exposición rápida a la hipoxia de la altura.
      - Ocurre en sujetos hipersusceptibles a la hipoxia de la altura (generalmente niños y jóvenes) y sin antecedente
         de patología cardiopulmonar, que son expuestos por primera vez a la altura, o en nativos de la altura que
         regresan al nivel de origen después de una permanencia mayor a los 10 días en zonas bajas o a nivel del mar.
      - Otros factores coadyuvantes: exposición al frio, ejercicio físico, estrés.

11.3. CUADRO CLÍNICO:

        Tiene su inicio entre las 2 y 96 horas después del arribo a la altura. Se caracteriza por:
              - Disnea
              - Polipnea
              - Tos
              - Cianosis
              - Palpitaciones
              - Cefalea
              - Insomnio
              - Ansiedad
              - Náuseas
              - Vómitos
              - Expectoración espumosa y asalmonada
              - Taquicardia
              - Reforzamiento del 2do ruido pulmonar
              - Estertores húmedos de distribución topográfica asimétrica en ambos hemitórax, algunas veces con
                  presentación unilateral.

11.4. EXAMENES COMPLEMENTARIOS:
          - Hemograma
          - Radiografía de tórax
          - Electrocardiograma
          - Gasometria arterial
          - Ionograma (Cl-, Na, K)
          - Cateterismo cardiaco (en caso necesario)

11.5. DIAGNÓSTICO DIFERENCIAL:
          - Edema pulmonar cardiogénico
          - Neumonía a focos múltiples
          - Síndrome de Distrés Respiratorio agudo de otras causas.
          - Sorojche o mal agudo de la montaña
TERAPIA INTENSIVA

11.6. TRATAMIENTO:

      11.6.1. MEDIDAS GENERALES:
           - Reposo absoluto
           - Posición semisentada
           - Oxígeno a través de cánula nasal a razón de 3 a 4 L/min. O ventimask FIO2 36 a 40%
           - Vía venosa periférica (o central en caso necesario)
           - Intubación endotraqueal y asistencia ventilatoria mecánica en caso necesario.
           - Nada por vía oral en el EAPA grado III y IV.

      11.6.2. MEDICAMENTOS:
      En caso de no existir respuesta adecuada al reposo y la oxigenoterapia:

            - Furosemida 20 a 40 mg EV
            - Nifedipina de liberación sostenida, inicialmente 10 mg VO y luego 20 a 30 mg cada 12 horas.


11.7. BIBLIOGRAFÍA :

      • Vera C.O. Edema agudo pulmonar de altura: Aspectos clínicos, radiológicos, hemodinámicos, gasométricos
        y del medio interno. Revista Médica. Órgano oficial del Colegio Médico Departamental de La Paz 1996; 3 (1):
        272-81.
      • Vera C.O. Gases arteriales y estado ácido-base en el edema agudo pumonar de altura. Revista Médica. Órgano
        oficial del Colegio Médico Departamental de La Paz 1997; 7-11.
      • Hackett PH, Roach RC. High-Altitude Illness. N Engl J Med 2001; 345(2): 107-13.
      • Honigman B, Theis MK, Kosiol-Mc Lain J, et al. Acute mountain sickness in a general tourist population at
        moderate altitudes. Ann Intern Med 1993; 118: 587-92.
      • Hackett PH, Rennie D. The incidence, importance and prophylaxis of acute mountain sickness. Lancet 1976;
        2: 1149-55.
      • Ross RT. The random nature of cerebral mountain sickness. Lancet 1985; 1: 990-1.
      • Grissom CK, Roach RC, Sarnquist FH, Hackett PH. Acetazolamide in the treatment of acute mountain sickness:
        clinical efficacy and effect on gas exchange. Ann Intern Med 1992; 116: 461-5.
      • Oels O, Maggiorini M, Rtter M, et al. Nifedipine for high altitude pulmonary edema. Lancet 1989; 2: 1241-4.
      • Hackett PH, Creagh CE, Grover FR, et al. High altitude pulmonary edema in persons without the right pulmonary
        artery. N Engl J Med 1980; 302: 1070-3.
      • Hultgren HN. High-altitude pulmonary edema: current concepts. Annu Rev Med 1996; 47: 267-84.
      • Durmowicz AG, Woordeweir E, Nicholas R, Reeves JT. Inflammatory processes may predispose children to
        high-altitude pulmonary edema. J Pediatr 1997; 130: 838-40.
      • Scherrer U, Vollenweider L, Delabays A, et al. Inhaled nitric oxide for high-altitude pulmonary edema. N Engl
        J Med 1996; 334: 624-9.
      • Maggiorini M, Melot C, Pierre S, et al. High altitude pulmonary edema is initially caused by an increase in
        capillary pressure. Circulatio 2001; 103: 2078-83.
      • Nacije R, De Backer D, Vachiery JL, De Vuyst P. High-altitude pulmonary edema with primary pulmonary
        hypertension. Chest 1996; 110:286-9.
      • Hultgren HN, Lopez CE, Lundberg E, Miller H. Physiologic studies of pulmonary edema by beta-adrenergic
        stimulation of the alveolar transepithelial sodium transport. Am J Crit Care Med 2.000; 161: suppl: A 415.
      • Voelkel NF. High-Altitude Pulmonary Edema. N Engl J Med 2.002; 346 (21) 1606.
TERAPIA INTENSIVA

    • Sartori C, Allemann Y, Dplain H, Lepori M, Egli M, et al. Salmeterol for the prevention of High-Altitude
      Pulmonary Edema 2.002; 346 (21): 1631-5.
    • Kerem E, Bistritzer T, Hanukoglu A, et al. Pulmonary epithelial sodium-channel dysfunction and excess aiway
      liquid in pseudohypoaldosteronism. N Engl J Med 1999; 341: 156-62.
TERAPIA INTENSIVA

                                   12. ASPIRACIÓN PULMONAR O BRONCOASPIRACIÓN
*Dr.Oscar Vera Carrasco.

12.1. DEFINICIÓN :

           ASPIRACIÓN IMPLICA LA ENTRADA DE MATERIAL
           EXTRAÑO JUNTO CON LOS GASES INSPIRADOS EN
           LOS PULMONES .

12.2. TIPOS DE MATERIAL ASPIRADO :

       1. TÓXICO :     Ácidos, alcoholes, hidrocarburos volátiles, aceites y grasas de origen animal.
       2. NO TÓXICO : Agua, Sol. Salina, leche, sangre, bario, líquido gástrico de pH>a 7.3 y partículas sólidas.
       3. BACTERIANO : Polimicrobiano, incluido anaerobios.

12.3. SÍNDROMES CAUSADOS POR ASPIRACIÓN :
      Dependen del volumen y la naturaleza del material aspirado.

             *   Síndrome de Mendelsón (gran vol. de contenido gástrico).
             *   Aspiración de cuerpos extraños o líquidos con partículas espesas o gruesas.
             *   Neumonía bacteriana y absceso pulmonar.
             *   Neumonía lipoidea exógena.
             *   Traqueobronquitis.
             *   Semiahogamiento .

12.4. DIAGNÓSTICO :

       1. Es más frecuentemente una sospecha diagnóstica (paciente mayor, debilitado o sedado, con deterioro
          inexplicable del estado pulmonar).

       2. Retrospectivamente sobre la base del supuesto compromiso de las defensas de las vías aéreas en la época
          de la aspiración

       3. Exploración física y exámenes complementarios (Rayos X de tórax, estudios de vías resp. bajas y del tracto
          GI alto).

12.5. FACTORES DE RIESGO :

       Alteraciones del estado neurológico: Alteraciones de reflejos de la tos, vómito, deglución.
       Trastornos gastrointestinales: Disfagia de orígen neurológico, acalasia, estenosis o espasmo de esófago,
       divertículos esofagofaringeos, hernia de hiato esofágico, obstrucción intestinal, reducción del tiempo de
       vaciamiento gástrico.

       Factores iatrogénicos: SNG, insuflado de balón de TET y tubos de traqueostomía, fármacos que prolongan el
       vaciamiento gástrico.
TERAPIA INTENSIVA

12.6. ALTERACIONES FISIOPATOLÓGICAS :
      Depende de las siguientes características:

               * DE LA NATURALEZA DEL MATERIAL ASPIRADO
               * DEL VOLUMEN ASPIRADO
               * DE LA FRECUENCIA DE LA ASPIRACIÓN
               * DE LA DISTRIBUCIÓN DEL MATERIAL ASPIRADO

12.7. BRONCOASPIRACIÓN DE LÍQUIDOS TÓXICOS:

       *    La gravedad de las lesiones depende de la acidez, del volumen yde la composición del material aspirado.
       *    El grupo más frecuente y mejor estudiado es la Neumonitis química por aspiración del contenido gástrico.
       *    La lesión pulmonar puede manifestarse inmediatamente o dentro de algunas horas.
       *    Las alteraciones macroscópicas consisten en Edema, Necrosis y Atelectasia.
       *    Las alteraciones microscópicas son degeneración del epitelio bronquial, hemorragias y exudados peribronquiales,
            necrosis alveolar e infiltrado alveolar por neutrófilos.
       *   En la aspiración de líquidos tóxicos, la ACIDEZ parece ser el factor más importante.
       *    El volumen parece tener cierta importancia, cuando el pH del material aspirado se sitúa entre 1,5 y 3,0.
       *    La acidez es neutralizada dentro de algunos segundos después del contacto con la mucosa de las vías
            respiratorias.
       *    La MORBILIDAD y MORTALIDAD tienden a ser más elevados cuanto mayor es el volumen y la distribución
            pulmonar del líquido tóxico aspirado.
       *    En los casos de aspiración de LÍQUIDO GÁSTRICO conteniendo material produce una mortalidad de casi
            el 100 %.

       12.7.1. CUADRO CLÍNICO :

       La aspiración de cantidad significativa de líquidos tóxicos produce frecuentemente :
            * Disnea                                    * Roncus                            * Taquicardia
            * Respiración sibilante                     *Tos                                * Hipotensión arterial
            * Estertores                                *Fiebre                             * Cianosis
              La lesión del epitelio bronquial
              puede provocar :
            * Broncoespasmo                             * Sibilancias
            * Exudación masiva de mucosas               * Expectoración rosada (SDRA)
            *Disnea                                     * Disminución significativa del
                                                          vol. intravascular.

       12.7.2. EXAMENES COMPLEMENTARIOS :
       * Rx de tórax:
       - Condensaciones alveolares nodulares en segmentos de pulmón que se encontraban en posición dependiente
          en el momento de la aspiración.
       - En un 25-40 % se presentan condensaciones bilaterales diseminadas.
       - Las alteraciones radiológicas se manifiestan a veces después de 4 a 6 horas.
       * Gasometría arterial : disminución de PaO2 (precóz) y PaCO2 disminuida.
TERAPIA INTENSIVA

       12.7.3. TRATAMIENTO:

       * El éxito del tratamiento depende del diagnóstico y tratamiento precoz.
       * El tratamiento específico consiste en :
       1. O x i g e n o t e r a p ia
       2. Protección de las vías aéreas e higiene traqueobronquial.
       3. Tratamiento de las vías aéreas con presión positiva (PEEP, CPAP, o ventilación con presión positiva).
       4. Tratamiento medicamentoso (broncodilat., corticoides, antibióticos)
       5. B r o n c o s c o p í a.
       6. Reposición adecuada de líquidos.

12.8. COMPLICACIONES INFECCIOSAS EN LA BRONCOASPIRACIÓN:
      * Los agentes infecciosos dependen de la población de los pacientes.
      * En personas normales que desarrollan NEUMONÍA POR ASPIRACIÓN, los agentes patógenos son Anaerobios
        de la cavidad bucal (especies bacteroides, estreptococos anaerobios y especies de Fusobacterium).
      * Los pacientes hospitalizados o debilitados pueden tener colonización de boca y faringe por staphylococcus
        aureus o gram negativos.

12.9. PROFILAXIS DE LA BRONCOASPIRACIÓN:

       * Posición del paciente: Fowler o Trendelemburg en decúbito lateral o posición semidecúbito ventral con la
         cabeza más baja.
       * Aspiración Nasogástrica en Obstrucción intestinal.
       * Cuidado con la utilización de fármacos que disminuyen los reflejos de protección de vías aéreas y tiempo
         de vaciamiento gástrico (anestésicos, miorelajantes, opiáceos, ansiolíticos).
       * Antagonistas de los receptores H2 o Inhibidores de la bomba de protones (disminuyen el vol. Gástrico y
         elevan el pH).
       * Antiácidos orales No particulados (neutralizan el ácido gástrico)
       * Drogas Procinéticas gástricas (facilitan el vaciamiento gástrico).

12.10. BIBLIOGRAFÍA :

       • Bartlett JG. Pneumonia. In: Jhon G Bartlett. Management of Respiratory Tract Infections. 2nd edition. Lippincott
         Williams and Wilkins. Canada 1.999; 109-17.
       • Torres A, Serra-Batlles J, Ros E, et al. Pulmonary aspiration of gastric contents in patients receiving mehanical
         ventilation: the effect of body position. Ann Intern Med 1992; 116: 540.
       • Bartlett JG, Gorbach SL. The triple threat of aspiration pneumonia. Chest 1975; 68: 560.
       • Matthay MA, Rosen GD. Acid aspiration induced lung injury. Am J Respir Crit Care Med 1996; 154: 277.
       • Mendelson CL. The aspiration of stomach contents into the lungs during obstetric anesthesia. Am J Obstet
         Gynecol 1946; 52: 191.
       • Bynum LJ, Pierce AK. Pulmonary aspiration of gastric contents. Am Rev Respir Dis 1976; 114: 1129.
       • Wolfe JE, Bone RC, Ruth WE. Effects of corticosterois in the treatment of patients with gastric aspiration. Am
         J Med 1977; 63: 719.
       • Donnelly TJ, Miller YE. Broncoaspiración. En: Parsons PE, Kronish JPW. Secretos de los Cuidados Intensivos.
         2ª edición. Editorial Mc Graw-Hill Interamericana. México DF. 2.000; 156-9.
       • Finucane TE, Bynum JPW. Use of tube feeding to prevent aspiration pneumonia. Lancet 1996; 348: 1421-4.
TERAPIA INTENSIVA

                                                     13. NEUMONÍAS EN CUIDADOS INTENSIVOS
*Dr. Marco Antonio García


13.1. DEFINICIÓN:

       Se define como neumonía a todo proceso inflamatorio o no, que ocupa el espacio aéreo periférico. Esta puede
       estar dada por exudado inflamatorio (neumonías bacterianas); agua (edema pulmonar); por sangre (hemorragia
       pulmonar); proteínas (neumonías descamativas).

       La neumonía intrahospitalaria deberá presentarse en un lapso de tiempo de más de 49 hrs después del ingreso
       del paciente al hospital, excluyendo cualquier infección que se estubiera incubando al momento de hospitalizarse.

13.2. ETIOLOGIA:

       Principalmente por Stafilococcus Aureus. Por otro lado: Escherichia Coli, Klebsiella, Micoplasma, pseudomona.

13.3. CUADRO CLÍNICO Y CRITERIOS DE CONFIRMACIÓN DE NEUMONÍAS EN LA UCI:

       CRITERIOS CLÍNICOS, MICROBIOLÓGICOS E HISTOLÓGICOS:
       Fiebre
       Uso de músculos accesorios de la respiración
       Taquipnea, aleteo nasal, cornaje
       Tos con expectoración
       Si esta intubado: aspiración de secreción purulenta
       Condensación pulmonar completa o incompleta(bloques neumónicos)
       Crepitos, estertores, condensación pulmonar difusa o bilateral (bronconeumonía)
       Infiltrados pulmonares persistentes
       Cultivo: mas de 10(3) ufc / cc. LBA más de 10(4) ufc / cc
       Leucocitosis con neutrofilia
       Gérmenes intracelulares mayor a 2%
       Cavitación
       Histología: hepatizacion roja o gris

13.4. PROTOCOLO DIAGNÓSTICO DE NEUMONÍAS EN AL UCI:

       A todo paciente intubado, se le extraerá una primera muestra para cultivo de secreciones bronquiales con el fin
       de tener un conocimiento previo de la flora colonizante en ese momento.
       Es importante la toma de muestra antes de iniciar el uso de antibióticos.
       Siempre que se presente fiebre se obtendrán hemocultivos así como muestras de derrame pleural si hubiese.
       Si el proceso neumónico fuese bilateral, difuso o en un inmunodeprimido, además de lo señalado deberá pedirse
       inmunofluorescencia para legionella. VIH, serologia para virus respiratorios, Micoplasma, clamidia, psitacosis,
       Bk y cultivo para BK.
       Toma de muestra ideal mediante broncoscopia con catéter telescopado.
TERAPIA INTENSIVA

13.5. EXAMENES COMPLEMENTARIOS DE URGENCIA:

      Hemograma: Se puede encontrar Leucocitosis con desvío izquierdo.
      Gasometría: La Gasometría solo sirve para determinar la magnitud de la insuficiencia respiratoria y el tiempo
                     de evolución.
      Radiografía: Dependiendo de la etiología: patrón neumonico o bronconeumonico.
      Bacteriología: Tincion gran y cultivo para gérmenes comunes.

13.6. TRATAMIENTO:

     El tratamiento deberá tener un enfoque individual.
     Medidas generales:
     - Posición adecuada para permitir al paciente ventilar mejor, posición de semifowler, fowler o en posición de
          plegaria mahometana.
     - Indicación de una vía venosa permeable.
     - Mantener una vía aérea permeable.
     - Aspiración de secreciones.
     - Control de frecuencia respiratoria y cardiaca (monitoreo).
     - El oxígeno debe administrarse en concentraciones de acuerdo a su examen gasométrico.
     Hidratación correcta: se deberá evitar la sobrehidratación.
     Corrección del trastorno acido-base: Dependiendo de la alteración gasométrica.
     Antibioticoterapia Inicial Empírica:

           Cloxacilina + ceftazidima
           Eritromicina + cefotaxima
           Eritromicina + cefotaxima + rifampicina
           Eritromicina + ceftazidima + tobramicina
           Eritromicina + ciprofloxacino

     EL ESQUEMA PODRÁ SER MODIFICADO DE ACUERDO AL RESULTADO DEL CULTIVO SIEMPRE Y CUANDO
     NO HAYA RESPUESTA, DE LO CONTRARIO DEBERÁ MANTENERSE EL ESQUEMA INICIAL.

13.7. REFERENCIAS BIBLIOGRAFICAS:

     • I.Jimenez Murillo, F.J. Montero Pérez Protocolos de actuación en medicina de urgencias Ed. Mosby/Doyma
       libros,1998:77-80.
     • J.L. Diez Jarilla Problemas clínicos en neumología Ed. Mc Graw- Hill- Interamericana, 1999:101-119.
     • I.Lucas R. Casos clínicos de neumología Salvat editores S.A. 1999: 117-119.
     • J. Restrepo M.,D. Maldonado G. Fundamentos de medicina Neumología Ed. CIB 1989: 146-192.
     • E. Cespedes A. Protocolo de neumología Publicaciones cientificas VITA 2001:249-270.
     • A.Bisso A.,J. Candiotti V. Manual práctico de terapéutica médica 3° ed. Ed. Médica AB&C 1986:71-73.
     • S. Weinberger Neumología 2° ed. Ed.Interamericana-Mc Graw-Hill 199478-92.
     • H. Ponce de León del C. Rev. Neumología y cirugía de Tórax México 1998; 57:143-150
TERAPIA INTENSIVA

                                                                      14. CRISIS Y ESTATUS ASMÁTICO
*Dr. Marco Antonio García


14.1. DEFINICIÓN:

       El asma bronquial es una enfermedad inflamatoria crónica caracterizada por una respuesta excesiva del árbol
       traqueobronquial a diversos estímulos que da lugar a hipersecreción y obstrucción difusa de la vía aérea, reversible
       de forma expóntánea o mediante tratamiento.

       La descompensación asmática dependiendo del tiempo de evolución y la reversibilidad farmacológica o no, se
       la clasifica en:

       Crisis asmática: Presentación aguda, no más de 24 Hrs, que puede regresionar sin tratamiento.
       Estado asmático (Status asmático): Evolución de más de 72 Hrs que regresiona solo con tratamiento farmacológico,
       constituye una amenaza para la vida y que requiere hospitalización.

14.2. CLASIFICACIÓN DESDE EL PUNTO DE VISTA ASISTENCIAL:

       Grado I o Leve: Sin alteración de la actividad del enfermo y no requiere hospitalización.
       Grado II o Moderado: Perturba la actividad del sujeto con inasistencia al trabajo, requiere tratamiento
       reglado.Dependiendo de la respuesta al tratamiento puede requerir o no hospitalización.
       Grado III o Grave: Requiere internación urgente en sala de neumología.
       Grado IV o muy Grave: Requiere internación en una sala de UCI.

14.3. CUADRO CLÍNICO Y CRITERIOS DE GRAVEDAD:

       Disnea y tos generalmente progresiva.
       Aleteo nasal y uso progresivo de musculos accesosorios de la respiración.
       Cianosis central y periférica.
       Paciente que adopta la posición sentada o mahometana con el cuello hiperextendido.
       Cornaje en los casos de asma severa.
       Roncus y sibilancias en los casos de espasmo de bronquios gruesos.
       Espiración prolongada con gran disminución del murmullo vesicular si el espamo es de bronquios de pequeño
       calibre o bronquios membranosos.
       Es frecuente encontrar subcrepitantes de mediana y gruesa burbuja.
       Silencio auscultatorio en estados mas graves
       Alteración del estado de conciencia.
       Dificultad para hablar.
       Diaforesis
       Hipotensión
       Taquipnea >30rpm
       Taquicardia o bradicardia
       Pulso paradójico
TERAPIA INTENSIVA

14.4. DIAGNÓSTICO DIFERENCIAL:

      “No todo lo que causa sibilancias es asma y el asma no siempre produce sibilancias”, por tanto es necesario
      tomar en cuenta otras patologías que pueden prestar a confusión:

      14.4.1. LARINGE:
               Espasmo
               Inflamación aguda y crónica
               Edema angioneurótico
               Estenosis, cuerpo extraño y tumores

      14.4.2.TRAQUEA Y BRONQUIOS:
              Intrínsecos:
              Bronquitis aguda y crónica (espástica)
              Traqueomalasia o estenosis
              Tumor o cuerpo extraño
              Bronquiolitis o bronquiectasia
              Enfisema pulmonar
              Bronquiectasias
              Extrínsecos:
              Tiroides, ganglios
              Aneurisma de aórta
              Tumor mediastinal

         14.4.3. PULMONARES:
               Infecciosas: Tuberculosis, bronconeumonias, micosis
               Accidente vascular pulmonar
               Otros: enfisema, neoplasias, neumoconiosis, mucovisidosis, fibrosis, colagenosis

      14.4.4. MISCELÁNEAS:
               Insuficiencia cardiaca congestiva
               Cardiopatía congénita – estenosis mitral
               Miastenia gravis
               Sindrome carcinoide
               Poliarteritis nodosa
               Reflujo gastroesofágico

14.5. EXAMENES COMPLEMENTARIOS DE URGENCIA:

               Hemograma: Se puede encontrar leucocitosis con desvío izquierdo, sobre todo en las crisis con
               eosinofilia relativa y absoluta.

               Gasometría: La gasometría en el asma solo sirve para determinar la magnitud de la insuficiencia
               respiratoria y el tiempo de evolución.

               Determinación de flujos espiratorios: Son marcadores más sensibles que la gasometría al inicio
               de la crisis: Peak Flow (PF).
TERAPIA INTENSIVA

     Grado I: PaCO2 20-35mmHg PaO2 > 80 mmHg; PF >80% del valor de referencia.
     GradoII: PaCO2 <20 mmHg; PaO2 60-80 mmHg; PF 60-80%
     GradoIII: PaCO2 35-45 mmHg; PaO2 40-60 mmHg; PF 40-60%
     Grado IV: PaCO2 >45 mmHg; PaO2 < 40 mmHg; PF < 40%

     Radiografía: En las fases iniciales se puede tener una radiografía normal, a veces se pueden observar infiltrados
     pulmonares transitorios. En las fases crónicas del asma se encuentran signos radiológicos de atrapamiento aéreo
     con o sin alteración de la perfusión.

14.6. TRATAMIENTO:

      El tratamiento del asma deberá tener un enfoque individual.

     14.6.1. MEDIDAS GENERALES:
              Reposo absoluto.
              Posición adecuada para permitir al paciente ventilar mejor, posición de semifowler, fowler o en posición
              de plegaria mahomentana.
              Indicación de una vía venosa permeable.
              Mantener una vía aérea permeable.
              Aspiración de secreciones.
              Control de frecuencia respiratoria y cardiaca (monitoreo).
              Sedar al paciente siempre y cuando el caso así lo amerite (solo en la UCI).

     14.6.2. OXÍGENOTERAPIA:
              El oxígeno es importante, no solo por la hipoxemia que presenta el paciente, sino también por la
              hipertensión arterial pulmonar que se puede incrementar, sobre todo en pacientes crónicos y también
              por las complicaciones cerebrales o cardiacas derivadas de la hipoxemia.
              El oxígeno debe administrárse húmedo, por cánula nasal o bigotera o por máscara en concentraciones
              de acuerdo a su examen gasométrico.

     14.6.3. HIDRATACIÓN CORRECTA:
              Se calcula 2 litros por cada m2 de superficie corporal. Se deberá evitar la sobrehidratación
              Se prefiere administrar 2/3 de solución glucosada al 5% y 1/3 de solución salina fisiológica.
              También se puede calcular entre 50 y 75 ml/kg peso/día.

       Corrección del trastorno ácido-base: depende de la alteración gasométrica.

     14.6.4. ALTERNATIVAS BRONCODILATADORAS:
             Adrenalina (1:1000) 0,2 a 0,5 ml. vía sc c/15-20 min hasta 3 dosis. Administrar con cautela en mayores
             de 40 años. Contraindicado en hipertensos y arritmias.
             Nebulización con 10 a 30 gotas de Salbutamol en 5 ml. de SF, puede adicionarse atropina 0,05 mg/kg
             Aminofilina EV: Dosis de ataque 1,2 mg/kg./hora, utilizando 1/3 en bolo con una duración de 30
             minutos los 2/3 restantes se indicarán en goteo para 24 horas.
             1 mg/kg/hora en niños, 0,8 mg/kg/hora en jóvenes y fumadores, 0,6 mg/kg/hora en adultos, 0,4
             mg/kg/hora en ancianos y 0,1 a 0,3 mg/kg/hora en pacientes cardiopatas, con hepatopatías o que
             reciben cimetidina o eritromicina.


                                                        77
TERAPIA INTENSIVA

                La dosis de mantenimiento fluctúa entre 0,6 y 0,8 mg/kg./hora, la dosis total se recomienda no exceder
                de 1.500 mg/día.
                Estas dosis no son fijas debiendo tenerse en cuenta la respuesta terapéutica o síntomas de toxicidad.

      14.6.5. CORTICOTERAPIA:
              Hidrocortisona EV 250 mg c/ 6 –8 horas. Niños 5 mg/kg/día.
           .
14.7. CRITERIOS DE INGRESO A LA UCI:

       Empeoramiento del cuadro a pesar de haber agotado las anteriores medidas
       Incremento progresivo de la PCO2 y descenso del PH.
       Descenso de la PaO2 por debajo de 50 mmHg a pesar de administrarse oxigeno al 50%
       Alteración del nivel de conciencia
       Agotamiento muscular

14.8. BIBLIOGRAFIA:

       • l. Jimenez Murillo, F.J. Montero Pérez Protocolos de actuación en medicina de urgencias Ed. Mosby/Doyma
         libros,1998:77-80.
       • J.L. Diez Jarilla Problemas clínicos en neumología Ed. Mc Graw- Hill- Interamericana, 1999:101-119.
       • I.Lucas R. Casos clínicos de neumología Salvat editores S.A. 1999: 117-119.
       • J. Restrepo M.,D. Maldonado G. Fundamentos de medicina Neumología Ed. CIB 1989: 146-192.
       • E. Cespedes A. Protocolo de neumología Publicaciones cientificas VITA 2001:249-270.
       • A.Bisso A.,J. Candiotti V. Manual práctico de terapéutica médica 3° ed. Ed. Médica AB&C 1986:71-73.
       • S. Weinberger Neumología 2° ed. Ed.Interamericana-Mc Graw-Hill 199478-92.
       • H. Ponce de León del C. Rev. Neumología y cirugía de Tórax México 1998; 57:143-150.
TERAPIA INTENSIVA

                                                                                         15. HEMOPTISIS
*Dr. Marco Antonio García

15.1. DEFINICIÓN:

       Emisión de sangre mediante accesos de tos en cantidad que puede variar de pequeños filamentos a hemorragia
       masiva, procedente del tracto respiratorio por debajo del nivel de la laringe.

       Se considera hemoptisis leve cuando la cantidad de sangre no sobrepasa los 15 a 20 ml en 24 hrs y moderada
       cuando es mayor de 15 o 20 ml, pero menor de 200 a 600 ml en 24 hrs. La hemoptisis masiva es la pérdida de
       600 ml o más en 24 hrs o una rapidez de sangrado igual o mayor de 160-200 ml por hora. La hemoptisis
       exanguinante supone la pérdida de 1000 ml de sangre a una velocidad de al menos 150 ml por hora; por tanto
       la muerte se produce por ambos mecanismos: asfixia y exanguinación.

15.2. ETIOLOGÍA:

       * Transtornos traqueobronquiales:
         Traqueobronquitis aguda
         Bronquitis crónica
         Carcinoma broncogénico, adenoma bronquial
         Bronquiectasias
         Fibrosis quística
         Traumatismo traqueobronquial o cuerpo extraño
         Fístula traqueoesofágica, gangliobronquial o broncopleural
         Malformaciones arteriovenosas
       * Enfermedad pulmonar parenquimatosa localizada:
         Neumoniaa bacteriana
         Tuberculosis
         Absceso pulmonar
         Bronquiectasias
       * Infecciones parasitarias: Quiste hidatídico, absceso amebiano
       * Carcinoma metastásico
       * Endometriosis
       * Contusión pulmonar
       * Procesos cardiovasculares:
         Embolia e infarto pulmonar
         Estenosis mitral
         Falla cardiaca congestiva
         Edema pulmonar
         Aneurisma aórtico
       * Transtornos hematológicos:
         Terapia anticoagulante
         Hemofilia - Leucemia
         Trombocitopenia
         Enfermedad linfoproliferativa
         Coagulación intravascular diseminada
                                                       79
TERAPIA INTENSIVA

      *     Traumáticas:
            Biopsia (transtoraxica, transbronquial)
            Cateter de Swan-Ganz
            Trauma directo o intubación endotraqueal


15.3. CUADRO CLÍNICO:

      Las manifestaciones clínicas dependen de la patología de base y nos permitiran sospechar determinadas
      enfermedades:
      Tos crónica y expectoración abundante: bronquiectasias
      Sindrome tóxico infeccioso agudo y fiebre: neumonias
      Dolor toráxico pleurítico y disnea súbita: tromboembolismo
      Exploración física.- También dependerá de la etiología. En general los signos son:
      Hipotensión
      Taquipnea >30rpm
      Taquicardia
      Pulso paradójico

15.4. DIAGNÓSTICO DIFERENCIAL:

      El primer paso ante cualquier episodio de hemoptisis es confirmar que se trata realmente de una hemoptisis, es
      decir que la sangre proceda de la vía respiratoria subglótica y no del tracto digestivo o de la región oronasofaríngea.

15.5. EXAMENES COMPLEMENTARIOS DE URGENCIA:

      Radiografía: los hallazgos radiológicos dependerán de la etiología, pudiendo no encontrarse alteración alguna
      ej. Infiltrado precoz, fístula gangliobronquial.
      Hemograma: proporciona información acerca de la cuantía de la pérdida sanguínea y orienta en el diagnóstico
      de procesos infecciosos o no.
      Gasometría: la gasometría sirve para determinar la magnitud de la insuficiencia respiratoria y el tiempo de
      evolución.
      Gamagrafía y arteriografía: fundamental en el diagnóstico de TEP.
      Coagulograma: en alteraciones de la coagulación.
      Bioquimica sanguínea: Ej.Insuficiencia renal crónica- uremia.
      Electrocardiografía.
      TAC, resonancia magnética.
      Broncoscopia.

15.6. TRATAMIENTO:

      15.6.1. MEDIDAS GENERALES:

            Reposo absoluto
            NPO (obligada para la realización de broncoscopia)
            Monitoreo de constantes: TA, FC, PVC,temperatura, diuresis
            Posición adecuada para permitir al paciente ventilar mejor, decúbito lateral del lado afectado.
TERAPIA INTENSIVA

            Oxigenoterapia
            Indicación de una vía venosa permeable y administración de cristaloides dependiendo del estado
               hemodinámico y la patología de base.

      Mantener una vía aérea permeable y aspiración de secreciones y/o sangre.
      Cuantificación del sangrado
      Restitución de sangre entera fresca o concentrado de hematíes si el Hto es < a 27%
      Expansores plasmáticos en caso de no contar con el anterior
      Tranquilizar o sedar al paciente siempre y cuando el caso así lo amerite (solo en la UCI).

      15.6.2. MEDIDAS FARMACOLÓGICAS:
           Antitusígenos: pueden producir depresión respiratoria.
           Clobutinol (silomat) 1 amp. EV c/6-8 hr o infusión contínua en solución compatible .
           Clobutinol VO 1 compr. C/6-8 horas.
           Codeina 30 mg. 1 compr. VO c/6-8 horas.

            Sedantes: pueden producir depresión respiratoria.
            Uso supervisado o si se dispone de asistencia ventilatoria mecánica

            Procoagulantes: sólo si se demuestran alteraciones de la coagulación.
            Ácido Épsilon amicocaproico (Ipsilon).
            Etamsilato (dicinone)
            Hemocoagulasa(reptilase)

      15.6.3. POSIBILIDADES TERAPÉUTICAS:
           Broncoscopia: para intentar identificar el lugar de sangrado e intentar tratamientos locales para cohibir
               la hemorragia.
           Instilación de solución de adrenalina 1/20.000
           Instilación de suero salino helado
           Taponamiento endotraqueal (Fogarty, Swan Ganz).
           Intubación endotraqueal selectiva
           Laserterapia- crioterapia
           Embolización de la arteria bronquial

      15.6.4. TRATAMIENTO QUIRÚRGICO.

15.7. BIBLIOGRAFÍA:

      • l. Jimenez Murillo, F.J. Montero Pérez Protocolos de actuación en medicina de urgencias Ed. Mosby/Doyma
        libros,1998:71-75.
      • J.L. Diez Jarilla Problemas clínicos en neumología Ed. Mc Graw- Hill- Interamericana, 1999:29-38.
      • I.Lucas R. Casos clínicos de neumología Salvat editores S.A. 1999: 129-133.
      • J. Restrepo M.,D. Maldonado G. Fundamentos de medicina Neumología Ed. CIB 1989: 70.
      • E. Cespedes A. Protocolo de neumología Publicaciones cientificas VITA 2001;:99-111.
      • S. Weinberger Neumología 2° ed. Ed.Interamericana-Mc Graw-Hill 1994;28-29.
      • H. Ponce de León del C. Rev. Neumología y cirugía de Tórax México 1999; 58:1-3.


                                                       81
TERAPIA INTENSIVA

                                                              16. TROMBOEMBOLISMO PULMONAR
*Dr. Oscar Vera Carrasco

16.1. DEFINICIÓN :

       EL TROMBOEMBOLISMO PULMONAR (TEP) ES LA OBSTRUCCIÓN INTRAVASCULAR AGUDA DE LAS
       RAMAS DEL LECHO ARTERIAL PULMONAR POR TROMBOS PROCEDENTES DEL TERRITORIO VENOSO.

       El 90% de pacientes con TEP tienen como sitio de orígen de los trombos, venas por debajo de la vena cava
       inferior, principalmente venas femorales, iliacas y pélvicas.

16.2. FACTORES DE RIESGO :


       16.2.1. ÉSTASIS VENOSA

             -   Inmovilización
             -   Obesidad
             -   Insuficiencia Venosa profunda crónica
             -   Insuficiencia cardiaca congestiva
             -   Enfermedad pulmonar crónica
             -   Ocupación laboral que favorezca
             -   la éstasis venosa prolongada.

             (*) Factores de alto riesgo.

       16.2.2. TRAUMA:
            - Cirugía (periodo post operatorio), más en mayores de 40 años.
            - Cirugía ortopédica en cadera y rodilla (*).
            - Quemaduras
            - Fracturas de pelvis o de extremidades inferiores.
            - Periodo de post parto.

             (*) Fsctores de alto riesgo

       16.2.3. HIPERCOAGULABILIDAD :

             • Primaria :(*)

             -   Déficit de antitrombina III, proteina C o proteina S.
             -   Presencia de factor anticoagulante lúpico.
             -   Títulos elevados de anticuerpos anticardiolipina.
             -   Defecto en la liberación de activador del plasminógeno hístico (t-PA).
             -    Excesiva liberación de inhibidor del t-PA

             (*) Factores de alto riesgo

                                                         82
TERAPIA INTENSIVA

            • Secundaria (*) .

            - Inmovilización postoperatoria.
            - Alteraciones de la coagulación sec. a Sindrome nefrótico.
            - Inserción de un catéter venoso central permanente.
            - Anomalias plaquetarias relacionadas con procesos mieloproliferativos, hemoglobinuria paroxística
              nocturna o utilización de heparina.
            - Hiperviscosidad asociada a policitemia, leucemia, enfermedad de células falciformes.

            (*) Factores de alto riesgo

      16.2.4. ESTRÓGENOS:

            - Medicación anticonceptiva.

      16.2.5. NEOPLASIAS:

            - Adenocarcinoma de pulmón
            - Adenocarcinoma del tracto gastrointestinal

      16.2.6. OTROS:

            - Edad superior a 70 años
            - Esplenectomia

16.3. FORMAS DE PRESENTACIÓN CLÍNICA :

      1. INFARTO PULMONAR
         Dolor pleurítico y disnea

      2. EMBOLIA SUBMASIVA SIN INFARTO
         Disnea aguda inexplicable y aprensión

      3. EMBOLIA MASIVA (obstrucción > 50 %)
         Cor pulmonale agudo

16.4. CUADRO CLÍNICO :

      Signos y síntomas comunes

      * Frecuentes :                        - Crepitantes
         - Ausencia de síntomas             - Dolor (pantorrilla o torácico)
         - Taquipnea                        -Tos
         - Taquicardia                    * Infrecuentes :
         -Disnea                            - Roncus-Sibilancias
         - Aprensión                        - Cianosis
      * Ocasionales :                       - Tercer ruido
                                                         83
TERAPIA INTENSIVA

   -Fiebre                            - Ingurgitación yugular
   - Flebitis                         - Síncope
   - Sudoración                       - Hemoptisis; Angina de pecho

16.5. EXAMENES COMPLEMENTARIOS :

16.5.1. LABORATORIO :
         * Gasometría arterial : hipoxemia
         * Elevación del D(A-a)O2
         * Leve reducción de la PaCO2
         * Test bioquímicos: elevación de DHL (75%), TGO (30%) y bilirrubina (10-15%)

16.5.2. ELECTROCARDIOGRAMA :
         * Taquicardia sinusal
         * Desvio agudo del eje a la derecha
         * P pulmonale
         * Inversión de la onda T
         * Alteraciones del segmento ST en las derivaciones derechas.
         * S1, Q3, T3 o S1, S2, S3

16.5.3. RADIOGRAFÍA DE TÓRAX .
         * Áreas de hipoperfusión con zonas de hiperclaridad (Signo de Westermark).
         * Prominencia de los hilios pulmonares.
         * Elevación de cúpula hemidiafragmática.
         * Atelectasia laminar o segmentarias.
         * Derrame pleural.
         * Área de opacificación de configuración triangular, con base en pleura y vértice en el hilio pulmonar.
          A menudolocalizada en zonas posterobasales (Giba de Hampton).

16.5.4. ECOCARDIOGRAFÍA :

         Puede evidenciar:

         * Signos de hipertensión pulmonar.
         * Sobrecarga de cavidades cardiacas derechas.
         * Desvio del septo interventricular de derecha a izquierda.
         * Disminución del Ventrículo derecho.
         * Insuficiencia Tricuspidea.
         * Trombos intraarteriales

16.5.5. OTROS :
         * Angiografía digital pulmonar de sustracción.
         * Tomografía computarizada.
         * Resonancia magnética, imágenes con radioisótopos(indio 111) y angioscopía con fibra óptica.
         * Gammagrafía de Ventilación-Perfusión.



                                                84
TERAPIA INTENSIVA

               * Arteriografía pulmonar
               * Flebografía; RMN de TVP de extremidades infs. o pélvicas.
               * Pletismografía de impedancia
               * Exploración con ultrasonidos de venas profundas de piernas combinada con el Doppler en color.

16.6. CRITERIOS DE GRAVEDAD DEL TEP :

         * Inestabilidad hemodinámica
         * Hipoxemia grave
         * Tromboembolismo pulmonar masivo
         * Trastornos del ritmo cardiaco
         * Cardiopatía de base

16.7. TRATAMIENTO :

      16.7.1. ANTICOAGULACIÓN :

            A) Heparina sódica :por infusión IV continua, inyección intermitente o vía SC (7 -10 días) Infusión continua:
               Adm. inicial 5.000-10.000 UI (80 U/kg), seguida de infusión continua 18 U/kg/h. o 500 U/kg/dia.
               AJUSTAR LA DOSIS SEGÚN el Tiempo Percial de tromboplastina activada (PTTa) 1,5 a 2,5 veces
               superior al valor control c/ 6 horas.
            B. Heparinas de bajo peso molecular:
               * Dalteparina cálcica: 200 anti-Xa UI/kg SC c/24 horas (no exceder 8.000 UI por dosis)
               * Enoxaparina sódica: 1 mg/kg SC c/12 hs. o 1,5 mg/kg cada 24 hs. (no exceder 180 mg)
               * Nadroparina cálcica: 86 anti-Xa UI/kg SC BID (10 días)
               * Tinzaparina sódica: 175 anti-Xa UI/kg SC por dia.
            C. Anticoagulantes orales: Warfarina sódica:
               Dosis inicial: 10 mg/día. Posteriormente dependerá del INR o TP (ideal 2 a 3 de INR).

      16.7.2. TRATAMIENTO FIBRINOLÍTICO O TROMBOLÍTICO:

             Dentro las primeras 42 horas de evolución y mantener durante 24 horas.
            * Estreptoquinasa: Dosis inicial 250.000 U en infusión continua durante 20 a 30 min. Posteriormente
               100.000 U/h. durante 24 hs. (antes de infusión Hidrocortisona 100 mg IV y repetir c/12 hs.
            * Uroquinasa: Dosis inicial 4.400 UI/kg IV durante 10 min.,seguida de 4.400 UI/kg cada hora durante
               12-24 hs.
            * Activador tisular de plasminógeno (tPA): 100 mg IV en 2 a 3 hs.o 15 mg en bolo, 50 mg en infusión
               durante 30 min., seguido de 35 mg en infusión en 1 hora.

      16.7.3. TRATAMIENTO QUIRÚRGICO:
           * Interrupción de la vena cava inferior
           * Embolectomía pulmonar

      16.7.4. OTRAS MEDIDAS TERAPÉUTICAS .
           * Corregir la hipoxemia.
           * Uso de broncodilatadores cuando exista broncoespasmo.
           * Uso de a n a l g é s i c o s.
                                                         85
TERAPIA INTENSIVA

            * Soporte hemodinámico en caso necesario.
            * Soporte ventilatorio cuando este indicado

      16.8. MONITORIZACIÓN :
            *Clínica
            * Cardiovascular
            *Ventilatoria
                  * Intercambio gaseoso
                  * Coagulación

      16.9. PROFILAXIS:
              * Uso de heparina en dosis baja o heparinas de bajo peso molecular.
              * Anticoagulantes orales.
              * Dextran 40.
              * Batas de compresión neumática intermitente de piernas.
              * Medias elásticas de compresión gradual.
              * Fisioterapia.

16.10. BIBLIOGRAFÍA:

      • Stein PD, Henry JW. Prevalence of acute pulmonary embolism among patients in a general hospital and at
        autopsy. Chest 1995; 108: 978-81.
      • Cullen DJ, Nemeskal AR. The autopsy incidence of acute pulmonary embolism in critically ill surgical patients.
        Intensive Care Med 1986; 12: 399-403.
      • Stein PD, Goldhaber SZ, Henry JW, et al. Arterial blood gas analysis in the assessment of suspected acute
        pulmonary embolism. Chest 1996; 109: 78-81.
      • Come PC. Echocardiophic recognition of pulmonary arterial disease and determination of its cause. Am J Med
        1988; 84: 384-94.
      • PIOPED Investigators: Value of the ventilation/perfusion scan in acute pulmonary embolism: Results of the
        Prospective Investigation of Pulmonary Embolism Diagnosis (PIOPED). JAMA 1990; 263: 2753-9.
      • Stein PD, Hull RD, Saltzman HA, et al. Strategy for diagnosis of patients suspected acute pulmonary embolism.
        Chest 1993; 103: 1553-9.
      • Hull RD, Raskob GE, Hirs J, et al. Continous intravenous heparin in the initial treatment of proximal vein
        thrombosis. N Engl J Med 1986; 315: 1109-14.
      • Hull RD, Raskob GE, Rosenbloom D, et el. Heparin for 5 days as compared with 10 days in the initial treatment
        of proximal venous thrombosis. N Engl J Med 1990; 322: 1260-4.
      • Hull R, Pineo GF. Low molecular weight heparin treatment of venous thromboembolism. Prog Cardiovasc Dis
        1994; 37: 2: 71-8.
      • Witty LA, Krichman A, Tapson VF. Thrombolytic therapy for venous thromboembolism: utilization by practicing
        pulmonologist. Arch Intern Med 1994; 154: 1601.
      • Lund O, Nielsen TT, Schifter S, et al. Treatment of pulmonary embolism with full dose heparin, streptokinase
        or embolectomy-results and indications. Thorac Cardiovasc Surg 1986; 34: 240-6.
      • Toglia MR, Weg JG. Venous thromboembolism during pregnancy. N Engl J Med 1996; 335: 108-14.
      • Keane MG, Ingenito EP, Goldhaber SZ. Utilization of venous thromboembolism prophylaxis in the medical
        intensive care unit. Chest 1994; 106: 13-22.
      • Schmidt GA. Trastornos Embólicos Pulmonares: trombos, aire y gas. En: may, Schmidt, Wood. Cuidados


                                                      86
TERAPIA INTENSIVA

      Intensivos. 2a edición. Editorial Mc Graw-Hill Interamericana. México DF. 2.000; 469-91.
    • Rubí M, Barbé F. Tromboembolismo pulmonary. En: Agustí AGN. Función pulmonar aplicada. Editorial
      Mosby/Doyma. Madrid (España) 1995; 175-83.
    • Carson JL, Kelley MA, Duff A, et al. The clinical course of pulmonary embolism. N Engl J Med 1992; 326:
      1240.
    • Ginsberg JS. Management of venous thromboembolism. N Engl J Med 1996; 335: 1816.
    • Weitz JI. Low-molecular-weight heparins. New Engl J Med 1997; 337: 688.
    • Koopman MMW, Prandoni P, Piovella F, et al. Treatment of venous trombosis with intravenous unfractioned
      heparin administered in the hospital as compared with subcutaneous low-molecular-weight heparin administered
      at home. New Engl J Med 1996; 334: 682.
    • Hyers TM, Agnelli G, Hull RD, et al. Antithrombotic therapy for venous thromboembolic disease. Chest 2.001;
      119: 176 S.
    • Hirsh J, Dalen J, Anderson DR, et al. Oral anticoagulants: mechanism of action, clinical effectiveness, and
      optimal therapeutic range. Chest 2.001; 119 (1 suppl):8 S.
    • Goldhaber SZ. Evolving concepts in thrombolytic therapy for pulmonary embolism. Chest 1992; 101: 183 S.
    • Decousus H, Leizorovicz A, Parent F, et al. A clinical trial of vena caval filters in the prevention of pulmonary
      embolism in patients with proximal deep-vein thrombosis. N Engl J Med 1998; 338:409.




                                                        87
TERAPIA INTENSIVA

            17. VENTILACION MECÁNICA O ASISTENCIA RESPIRATORIA MECÁNICA
*Dr. Oscar Vera Carrasco

17.1. DEFINICIÓN:

       ES UN PROCEDIMIENTO DE SUSTITUCIÓN TEMPORAL DE LA FUNCIÓN VENTILATORIA NORMAL REALIZADA
       POR MEDIO DE VENTILADORES O RESPIRADORES, EN AQUELLAS SITUACIONES EN LAS QUE ÉSTA, POR
       DIVERSOS TRANSTORNOS PATOLÓGICOS, NO CUMPLE LOS OBJETIVOS FISIOLÓGICOS QUE LE SON PROPIOS.

17.2. INDICACIONES:

       1. OXIGENACIÓN INADECUADA: Disminuyen la PaO2.
          * Cortocircuito de derecha a izquierda (mezcla venosa)
          * Desequidibrio en la Ventilación/Perfusión (V/Q)

       2. VENTILACIÓN ALVEOLAR INADECUADA: Incrementan la PaCO2.
          * Depresión del centro respiratorio o Apnea.
          * Alteraciones de la caja torácica.
          * Falla de los músculos respiratorios.

       3. TRABAJO RESPIRATORIO EXCESIVO.
          * Disminución de la Compliance (músculos respiratorios consumen hasta el 25% del V02 total).Incrementa
          el consumo de oxígeno.

17.3. PRINCIPIOS BÁSICOS PARA INICIAR LA VENTILACIÓN MECÁNICA

       * La VM debe satisfacer los objetivos señalados anteriormente (Oxigenación y eliminación de C02 adecuados
          con los mínimos efectos secundarios.).

       *El patrón ventilatorio óptimo depende no sólo de las ptologías subyacentes, sino de otras variables como V02
           y VC02, resistencias de las vías aéreas y compliance.

       17.3.1. PARÁMETROS BÁSICOS A SELECCIONAR:

             FI02 : Ajustar para mantener PaO2 entre 60 y 90 mmHg (En la medida de lo posible escoger F102 entre
                0,4 y 0,6)

             Vc : Habitualmente es adecuado un Vc entre 10 a 12 ml/kg peso (disminuir en SDRA).

             FR: Como medida sistemática se escoge una FR entre 10 y 15 por minuto para generar un Vol. Minuto
                entre 8 y 12 L/minuto.

             Relación I/E: Habitualmente se escoge una I/E de 1:2 (imita resp. Espontánea)

             PEEP: Si esta indicado utilizar incrementos graduales de 3 a 5 cmH2O.


                                                      88
TERAPIA INTENSIVA


17.4. ESTRATEGIAS DE LA VENTILACIÓN MECANICA

           Parámetro ventilatorio                         Estrategias de ventilación

                                                    Tradicional                   Protección pulmonar
           Volumen corriente (Vc)                  10-15 ml/kg                         5-10 ml/kg
           Suspiros mecánicos                   Vol. 15-30 ml/kg
                                                                                        Ninguno
                                                 Frec. 6-12/hora
           Presión inspiratoria final               Pres. Pico
                                                                                Pres. plateau <35 cmH20
                                                   <50 cmH20
           PEEP                             Sólo cuando sea necesario
                                                                                       5-15 cmH2O
                                               mantener F102<0,6
           Gases en sangre arterial         PaCO2 normal o habitual             Permitida hipercapnia pH
                                                  pH 7,36-7,44                          7,20-7,44


17.5. VENTILADORES CICLADOS POR VOLUMEN:

      Sumínistran un Volumen corriente (Vc) prefijado y ciclan hasta entregarlo, de manera que se asegura un Volumen
      minuto fijo, sin considerar la presión en la vía aérea.

                              VENTAJAS                                    DESVENTAJAS

           Aseguran un Volumen fíjo (excepto fugas)               Riesgo de barotrauma.
           Capacidad para ventilar enfermos difíciles.


17.6. OBJETIVOS:

      *     Mantener PaO2 en límites seguros.
      *     Mantener PaCO2 y pH en valores próximos a la normalidad.
      *     Mantener reducidas las presiones de vias aéreas e intratorácicas.
      *     Mantener al paciente confortable y en condiciones de seguridad.

17.7. MODOS VENTILATORIOS:

      1.    Ventilación mecánica CONTROLADA (CMV)
      2.    Ventilación ASISTIDA-CONTROLADA (AC)
      3.    VENTILACIÓN MANDATORIA INTERMITENTE (IMV)
      4.    IMV SINCRONIZADA (SIMV)
      5.    VENTILACIÓN CON PRESIÓN CONTROLADA (PCV)
      6.    VENTILACIÓN CON PRESIÓN CONTROLADA Y RELACIÓN INVERTIDA (PCIRV)
      7.    VENTILACIÓN CON PRESIÓN DE SOPORTE (PSV)
      8.    PRESIÓN POSITIVA CONTÍNUA DE LA VíA AÉREA (CPAP)
                                                           89
TERAPIA INTENSIVA

17.7.1. VENTILACION MECÁNICA CONTROLADA (CMV):

      El Ventilador suministra un número preseleccionado de respiraciones por minuto, a un Volumen corriente
      también predeterminado.
    - La máquina es insensible a los esfuerzos respiratorios del paciente.
    - Es una modalidad de Soporte ventilatorio total.

17.7.2. VENTILACIÓN ASISTIDA CONTROLADA (AC):

    * Cuando el paciente puede respirar espontáneamente, se ajusta el ventilador de modo que suministre
      una respiración cada vez que el paciente inicia una respiración, se denomina VENTILACIÓN ASISTIDA.

    * Cuando el ventilador proporciona un Vc preselecciónado en respuesta a los esfuerzos inspiratorios del
      paciente, se denomina VENTILACIÓN ASISTIDA-CONTROLADA. El paciente decide la FR, permitiéndole
      así autoregular su Volumen minuto. No obstante se suele fíjar una Frecuencia respiratoria mínima.


17.7.3. VENTILACIÓN MANDATORIA INTERMITENTE (IMV)

    * El paciente combina la Ventilación controlada y la espontánea. Por tanto, puede respirar espontáneamente
      de una fuente de gas provista por el respirador y a su vez éste cada determinado tiempo le da una
      ventilación con el Ve establecido previamente

    * Si los ciclos mecánicos del respirador se hacen coincidir con el esfuerzo espontáneo del paciente, este
      modo se denomina VENTILACIÓN MANDATORIA INTERMITENTE SINCRONIZADA (IMVS).

17.7.4. VENTILACIÓN CONTROLADA POR PRESIÓN (PCV):

    * Es un modo ventilatorio donde la presión suministrada por el ventilador genera un Volumen corriente.
    * El ventilador cicla por tiempo, vale decir, se programa el tiempo inspiratorio o FR y él Vc dependerá
      del flujo.
      Se proporciona una presión contínua en la vía aérea que se mantiene durante la inspiración, hasta
      alcanzar una PRESIÓN predeterminada.

17.7.5. VENTILACIÓN CONTROLADA POR PRESIÓN Y RELACIÓN INVERTIDA (PCIVR):

    * Modo ventilatorio que va dirigido a alargar el tiempo inspiratorio por encima del 50 % de la duración
      total del ciclo respiratorio (relación I/E invertida).
      Genera un aumento de la Presión media intratorácica y atrapamiento de gas alveolar (auto PEEP).

17.7.6. VENTILACIÓN CON PRESIÓN DE SOPORTE (PSV):

       Es un modo de soporte ventilatorio parcial en las que las respiraciones espontáneas del paciente son
       suplementadas con una presión positiva inspiratoria fijada por el clínico, que se suma a la presión
       negativa generada por el propio paciente, aumentando así el Volumen de la ventilación y disminuyendo
       el Trabajo respiratorio.


                                              90
TERAPIA INTENSIVA

               Es un modo ventilatório de tipo asistido.
               Se usa fundamentalmente como un método de desconexión o "destete" de VM.

      17.7.7. PRESIÓN POSITIVA CONTÍNUA DE LA VÍA AÉREA (CPAP):

               Los ventiladores modernos incorporan en su mecanismo este sistema de CPAP, cuyo flujo debe ajustarse
               por encima del Volumen-minuto del paciente.
               Las Vías del circuito, inspiratoria y espiratoria están presurizadas al mismo nivel, produciendo esta
               presión contínua.
               Prácticamente es un sistema PEEP sin ventilador, o sea que el Paciente respira espontáneamente y
               mantiene una presión en su via aérea, superior a la del medio ambiente, sin aumentar el trabajo
               respiratorio.

      17.7.8. PRESIÓN POSITIVA AL FINAL DE LA ESPIRACIÓN (PEEP)

           * Es el mantenimiento artificial de una Presión positiva después de una espiración completa.
           * Se puede utilizar tanto en pacientes con intubación endotraqueal como con mascarilla facial.
           * Si se la utiliza conjuntamente con la ventilación mecánica controlada se conoce como CPPV.
           * Cuandó se emplea con un sistema que mantiene estable y positiva la Presión de la vía aérea durante
             la respiración espontánea se denomina CPAP.
           * También puede usarse con la IMV y con la VM asistida.

      USOS CLÍNICOS DE LA PEEP:

           * Hipoxemia persistente a pesar de una FI02 ≥ 50 %(SDRA).
           * Ventilación ciclada por Volumen con Vc bajos (5-10 ml/kg peso), impidiendo de esta forma la apertura
             y cierre repetidos de las vías aéreas de pequeño calibre y lesión pulmonar posterior
           * Enfermedad Pulmonar Obstuctiva Cróiaica (EPOC).

17.8. COMPLICACIONES DE LA VENTILACIÓN MECÁNICA

      17.8.1. RELACIONADAS CON LA VÍA AÉREA ARTIFICIAL :

           1. Durante la intubación
              a) Traumáticas: Lesiones de columna cervical, dentarias, de mucosas implicadas, perforación de seno
                 piriforine, epistaxis.
              b) Reflejas: Bradiarritmias, broncoespasmo, espasmo de glotis, hipotensión arterial, hipertensión
                 arterial, taquiarrítmias, tos, aumento de la presión intratorácica, barotrauma, vómitos, broncoaspiración.
              c) Otras: Imposibilidad de intubación, intubación esofágica, intubación en bronquio derecho.

           2. Durante y después de] mantenimiento de la vía aérea artificial:
              * Movilización del tubo endotraqueal (TET): auto extubación, intubación en bronquio derecho.
              * Obstrucción del TET: Tapón de moco, acodamiento, herniación del neumotaponamieinto.
              * Neumotaponamiento incompetente: Distensión gástrica, broncoaspiración.
              * Traumáticas: Lesiones orales, nasofaringeas laringeas, traqueales.
              * Infecciones: Otitis media, sinusitis, neumonías.


                                                          91
TERAPIA INTENSIVA

      17.8.2. RELACIONADAS CON LA PROPIA VM:

            * Problemas mecánicos y asistenciales: Error de montaje, fallo en alarmas, gases o eléctrico y error
              humano.
            * Barotrauma y Volutrauma: Neumotórax, neumomediastino, neumopericardio, neumoperitoneo, enfísema
              subcutáneo y enfisema intersticial.
            * Sobreinfecciones.
            * Atelectasia, Neumonías.
            * Toxicidad por Oxígeno.
            * Otras: Distensión gástrica, hipertensión intracraneal, retención de líquidos, hiponatrenia, lnsuficiencia
              Renal, desequilibrio ácidobase, tromboflebitis y TEP, úlceras de estrés, disfunción hepática.
              Transtornos Hemodinámicos, hematológicos y psicológicos.

17.9. DESCONEXIÓN O "DESTETE" DE LA VENTILACIÓN MECÁNICA

        Premisas básicas para iniciar la desconexión de la VM:
      - Presencia de estimulo respiratorio central.
      - Parénquima pulmonar funcionante suficiente para un intercambio gaseoso correcto.
      - Adecuada potencia y resitencia muscular.

      17.9.1. MÉTODOS:

            - Con tubo en "T".
            - Con Ventilación mandataria intermitente (IW).
            - Con apoyo de Ventilación con Presión de Soporte (PSV).

17.10. CRITERIOS PARA LA DESCONEXIÓN DE LA VM


                  PARAMETROS                                                      VALORES
   a) Intercambio gaseoso
      PaO2/FI02                                                         > 200 mmHg
      D(A-a)02 con Fi02 1                                               < 300 mmHg
      PaO2 con FI02 < 0,4                                               > 60 mmHg
      SaO2 con FI02 < 0,4 PEEP <5                                       > 95 %
      QS/Qt                                                             < 20 %

   b) Mecánica Ventilatoria
      Volumen corriente (Vc o VT)                                       > 5 mi/kg
      Capacidad Vital (VC)                                              > 10 mi/kg
      Frecuencia respiratoria (FR)                                      < 35 resp./min. (en adultos)
      Volumen minuto respiratorio (VE)                                  < 10 L/min.
      Presión inspiratoria negativa máxima (MIP)                        > -20 cm H2O
      Frec. Respiratoria /Volumen corriente                             < 100/min/L




                                                      92
TERAPIA INTENSIVA

17.11. PROTOCOLO PARA DESCONEXION DE LA VENTILACIÓN MECÁNICA CON TUBO EN “T”

      1. Obtener valores basases de Gasometría art., FC, FR y TA.
      2. Conseguir un ambiente tranquilo con la presencia de la Enfermera y el médico para apoyar psicológicamente
         al paciente.
      3. Evitar el uso de fármacos depresores del SNC.
      4. Incorporar al paciente en posición semisentada.
      5. Conectar el TET a un tubo en "T" y 02 suplementario con F102 un 10% > a la que tenía previamente el paciente
         en VM. Luego de 15min. Gasometría arterial (GSA). Si es aceptable la GSA probar un intervalo de 15 minutos;
         si es bien tolerado se intenta un intervalo de 30 minutos. Si durante todos los periodos tiene buena tolerancia
         clínica y GSA y no existe patología pulmonar subyacente, EXTUBACIÓN.
      6. En VM prolongada y/o EPOC se debe continuar el intervalo de retirada progresiva, con intervalos de 1, 2, 4,
         8, 12 horas.

17.12. PROTOCOLO DE DESCONEXIÓN DE LA VENTILACIÓN MECÁNICA CON IMV

      1. Obtener valores basases de GSA, FC, FR y TA.
      2. Evitar admintarar fármacos depresores del SNC.
      3. En pacientes con patología pulmonar subyacente, la frec. de la IMV de partida será igual al mitad de la obtenida
         en la A/C, luego reducir con intervalos de 30 min. hasta llegar a cero.
      - Si es bien tolerado clínica y gasometricamente, se puede EXTUBAR.
      - Si la disminución de la frecuencia de la IMV no fuera bien tolerada, subir nuevamente la Frec. hasta niveles
         que permitan el bienestar del paciente y una GSA aceptable para volver nuevamente el destete.

      4. En pacientes con VM prolongada y/o EPOC, iniciar la IMV con 8 respiratorias mandatorias y un Vc de 10
         ml/kg; utilizar una Fi02 un 10 % superior a la que se requería previamente.
      - Obtener Gasometrias arteriales a los 30 y 60 minutos.
      - Si existe empeoramiento de la GSA, subir la Frec. de la IMV hasta obtener la GSA adecuada.
      - Si los GSA son aceptables, disminuir la Frec. de la IMV a 6 respiraciones/minuto y luego ir bajando
         paulatinamente de 2 en 2 respiraciones hasta llegar a cero.
      - Si es bien tolerado clínica y gasometricamente, se coloca un tubo en "T" durante 12 horas antes de la
         EXTUBACIÓN.

17.13. PROTOCOLO DE LA DESCONEXIÓN DE LA VM CON PRESIÓN DE SOPORTE (PSV)

      * Modo en el que el paciente respira espontáneamente a través del ventilador, y éste proporciona una Presión
        inspiratoria predeterminada que aumenta el Vc espontáneo.
      * Esta presión provoca un Flujo de gas que se añade al que origina el paciente al realizar la presión negativa.
      * Se considera que un nivel de Presión de 6-7 cmH20 requiere el mismo trabajo respiratorio que la respiración
        espontánea.
      * Durante la inspiración el paciente controla el tiempo inspiratorio, el Flujo y la FR. El Vc depende del nivel
        de presión de soporte prefijado, del esfuerzo que realice el paciente y de su mecánica pulmonar.
        Este modo puede ser útil en pacientes con "Destete" difícil (EPOC)




                                                          93
TERAPIA INTENSIVA

17.14. FACTORES QUE PUEDEN DIFICULTAR EL "DESTETE"

      * H IPOX E MI A.

      * INESTABILIDAD HEMODINÁMICA.

      * DEPENDENCIA PSICOLÓGICA DEL VENTILADOR.

      * DESEQUILIBRIO ENTRE LA DEMANDA Y CAPACIDAD DE VENTILACIÓN.

17.15. BIBLIOGRAFÍA :

      • Amato MBP, Barbas CSV, Medeiros DM, et al. Effect of a protective-ventilation strategy on mortality in the
        acute respiratory distress syndrome. N Engl J Med 1998; 338: 347-54.
      • Gammon RB, Shin MS, Buchalter SE. Pulmonary barotraumas in mechanical ventilation. Patterns and risk
        factors. Chest 1992; 102: 568-72.
      • Lee PC, Helmoortel CM, Cohn SM, Fink MP. Are low tidal volumes safe?. Chest 1990; 97: 430-4.
      • Tobin MJ, Dantaker DR. Mechanical ventilation and weaning. In: Dantzker D (ed): Cardiopulmonary Critical
        Care. Philadelphia, WB Saunders 1991; 259-308.
      • Welsh CH. Ventilación mecánica. En: Parsons PE, Kronish JPW. Secretos de los Cuidados Intensivos. 2ª
        edición. Editorial MC Graw-Hill Interamericana. M´xico DF. 2.000; 49-55.
      • Kollef MH. Cuidados Intensivos. En: Ahya SN, Flood K, Paranjothi S. El Manual Washington de Terapéutica
        Médica. 30ma. Edición. Editorial Lippinkcott Williams and Wilkins. México 2.001; 201-9.
      • Net A, Benito S. Ventilación Mecánica.2ª. edición. Springer-Verlag Ibérica SA. Barcelona (España) 1993.
      • Slutsky AS, Mechanical ventilation. American College of Chest Physicians’ Consensus Conference. Chest
        1993; 104: 1833.
      • Tobin MJ. Priciples and Practice of Mechanical Ventilation (ed). Mc Graw-Hill. New York 1994.
      • Goldwasser R, David CM. Como Iniciar e Manter o Pciente em Ventilacao Mecânica. En: David CM, Goldwasser
        R, Nácul FE. Medicina Intensiva: Diagnóstico e Tratamento. Editorial Revinter. Rio de Janeiro (Brasil) 1997;
        170-3.
      • David CM. Monitorizacaoo da Ventilacao Mecánica. En: David CM, Goldwasser R, Nácul FE. MedicinaIntensiva:
        Diagnóstico e Tratamento. Editorial Revinter. Rio de Janeiro (Brasil) 1997; 174-81.
      • Bartlett RH. Fisiopatología en medicina intensiva. Editorial Masson. Barcelona (España) 1997; 91-108.
      • Marino Paul L. Principios de la Ventilación Mecánica. En: Marino PL. El libro de la UCI. 2ª. Edición. Editorial
        Masson-Williams and Wilkins. España 1998; 453-65.
      • Slutsky AS. American College of Chest Physicians’ Consensus Conference on Mechanical Ventilation. Chest
        1993; 104: 1833-57.
      • Combs AH, Varon J. Principios básicos. En: Varon J. Cuidados intensivos. Editorial Mosby/Doyma. Madrid
        (España) 1995; 49-62.
      • Lee KH, Kerwin BA, Miro AM. Función respiratoria. En: Grenvik A. Compendio del Tratado de Medicina Crítica
        y Terapia Intensiva. Editorial Médica Panamericana. Buenos Aires (Argentina) 1998; 297-319.
      • Marino JJ. Modos de Ventilación Mecánica. En: Pacin J. Terapia Intensiva. 3ª. Edición. Editorial Médica
        Panamericana. Buenos Aires (Argentina) 2.000; 47-64.
      • Tobin MJ. Advances in Mechanical Ventilation. N Engl J Med 2.001; 334(26): 1986-94.




                                                       94
TERAPIA INTENSIVA

                                                                     18. INSUFICIENCIA RENAL AGUDA.
*Dr. Williams Vidal Panique Rojas

18.1. DEFINICIÓN:

       La Insuficiencia Renal Aguda (IRA) es el estado que se produce como consecuencia del daño en la capacidad
       renal para excretar la carga de solutos que debe ser eliminada del organismo. El resultado es la acumulación de
       productos nitrogenados en sangre y tejidos; además, pueden o no presentarse signos y síntomas clínicos y
       puede cursar con o sin oliguria.

18.2. ETIOLOGÍA:

       Es sumamente variada e incluye gran cantidad de entidades primarias que en forma directa o indirecta pueden
       causarla.
       Se divide en:

       IRA prerenal:                Depleción de volumen absoluta del LEC.
                                    Depleción de volumen relativa del LEC.
                                    Cambios del tono vascular renal.

       IRA intrínseca:              Enfermedades glomerulares.
                                    Enfermedades tubulointersticiales.
                                    Enfermedades vasculares.

       IRA post renal:              Obstrucción uretral.
                                    Obstrucción vesical.
                                    Obstrucción ureteral.

18.3. CUADRO CLÍNICO:

       Puede presentarse como síndrome urémico, si la velocidad del deterioro de la función renal ha sido muy rápida
       como en los casos de sépsis; este síndrome se manifiesta por encefalopatía, gastritis u otros signos. Las
       alteraciones hidroelectrolíticas pueden manifestarse con sobrecarga o déficit de líquidos con la presencia o
       ausencia de edemas.

       El desequilibrio ácido-básico, usualmente acidosis metabólica, hace que el paciente tenga “sed de aire”, confusión,
       asterixis, alteraciones mentales y llegar hasta convulsiones y coma. Puede presentar alteraciones en el tracto
       gastrointestinal como vómitos y/o diarrea.

       EL volumen urinario puede estar por encima o por debajo del límite de oliguria o haber anuria franca. (Oliguria
       es un volumen urinario inferior a 400 ml/24 h).

       Pueden ocurrir arritmias cardiacas secundarias a hiperkalemia.

       Exámenes complementarios:
TERAPIA INTENSIVA

                     Exámenes de función renal.
                     Índices de falla renal.
                     Nitrógeno ureico urinario.
                     Creatinina plasmática.
                     Aclaramiento de creatinina.
                     Ionograma.
                     Gasometría arterial.
                     Ecografía renal.
                     Urografía excretora.

18.4. TRATAMIENTO:
      Identificar la causa de la IRA e instaurar tratamiento. El manejo de la IRA se puede dividir en dos fases:
                      1.- El de la entidad causal.
                      2.- La falla propiamente dicha.

18.5. BIBLIOGRAFÍA:

       • Meyer A. Acute Renal Failure. Care in the ICU. 1994: 968-588.




                                                       96
TERAPIA INTENSIVA

                                              19. ALTERACIONES DEL EQUILIBRIO ÁCIDO-BASE
*Dr. Oscar Vera Carrasco

19.1. DEFINICIÓN:

       Es un trastorno del medio interno dependiente de la predominancia de ÁCIDOS o BASES en el organismo. El
       resultado final viene expresado por el pH, cuyo valor en condiciones normales o de equilibrio se sitúa entre 7,35
       y 7,45.
       Toda variación de estos valores será en forma de disminución - ACIDOSIS -, en el que existe predominio de
       sustancias ácidas o hidrogeniones (H+) oaumento ALCALOSIS -, en el que la concentración de H+ es baja.


                                       VALORES NORMALES (3.600 mSNM)

                                   pH                          7.35 – 7.45
                                   PaCO2                       28 a 32mmHg
                                   HCO3                        18 +-2 mmol/l
                                   EB                          -7.1 +- 2.32 mmol/l
                               HCO3-st= bicarbonato estándar; EB Exceso o déficit de bases


19.2. CLASIFICACIÓN:

       19.2.1. ACIDOSIS:
               a) Metabólica
               b) Respiratoria

       19.2.2. ALCALOSIS:
                a) Metabólica
                b) Respiratoria

       19.2.3. MIXTO.

19.3. ACIDOSIS METABÓLICA

       19.3.1. DEFINICIÓN:

                 Es un proceso fisiopatológico producido por una elevación de la concentración de los iones H+, debida
                 a una pérdida de bases o por un exceso de ácidos no volátiles, o combinación de ambos.
                 La diferenciación entre la acidosis producida por una pérdida de bases o por un aumento de ácidos
                 no volátiles puede establecerse a través del llamado "anion gap" o brecha aniónica.


                                             ANION GAP = Na+ - (C1- + HCO3-)

                                                   Normal: 12 ± 4 mmol/L

                                                          97
TERAPIA INTENSIVA

19.3.2. CAUSAS DE ACIDOSIS METABÓLICA:

1. ACIDOSIS METABÓLICA Y ANION GAP AUMENTADO:

      - Cetoacidosis: diabetes, ayuno, cetosis alcohólica
      - Acidosis láctica: shock, sepsis, insuficiencia hepática severa, hipoxemia severa, hipoglucemia, biguanidas,
        rabdomiólisis masiva.
      - Intoxicaciones: salicilatos, metanol, etilenglicol, paraldehido.
      - Insuficiencia renal.

2. ACIDOSIS METABÓLICA CON ANION GAP NORMAL:

      - Por pérdida de bases: diarreas, fístulas y aspiraciones digestivas, ureterosigmoidostomia.
      - Administración de ácidos: cloruro de amonio, cloruro cálcico, aminoácidos catiónicos (alimentación
        parenteral).
      - Pérdidas renales elevadas de bicarbonato: acidosis tubular renal, hipoaldosteronismo, inhibidores de
        la anbidrasa carb6nica.

19.3.3. CRITERIOS DE DIAGNÓSTICO:

Clínico: Predominan los signos de la enfermedad de base y los derivados del esfuerzo respiratorio para compensar
las modificaciones del pH: signos de deshidratación, respiración rápida y profunda (Respiración de Kussmaul),
signos de hipovolemia, arritmias ventriculares, shock, dolor abdominal, náuseas y otros.


     HEMOGASOMÉTRICO:                     pH                 PaCO2               (HCO3-)           BE

     Acidosis metabólica                                       N
     Descompensada (aguda)

     Parcialmente compensada
     (subaguda)

     Totalmente Compensada                N
     (crónica)


19.3.4. MEDIDAS GENERALES:

      a)   N.P.O.
      b)   Sonda nasogástrica en caso de alteración de conciencia o distensión bdominal
      e)   Vía venosa central
      d)   Control de la PVC
      e)   Sonda vesical
      f)   Control estricto de líquidos administrados y eliminados



                                                   98
TERAPIA INTENSIVA

     19.3.5. EXAMENES COMPLEMENTARIOS:

              Gasometria arterial, ionograma (C1-, Na+, K+), glucemia, creatininemia, NUS.

     19.3.6. MANEJO TERAPÉUTICO:

          a) Soluciones cristaloides o coloides de acuerdo a la PVC, la perfusión tisular y la patologia de base.
          b) Corregir la acidosis metabólica aguda severa (pH < a 7,1) con bicarbonato de sodio I.V. utilizando la
             siguiente fórmula.


              HCO3= Deficit de bases x 0,3 x kg. de Peso
              De la cantidad de bicarbonato calculada, debe administrarse la mitad en la primera hora y la otra mitad
              a razón de 10 mEq cada media hora hasta corregir el déficit total. Solicitar nueva gasometria arterial
              30 minutos después de la última dosis.

     19.3.7. COMPLICACIONES:

          *   Depresión de la contractilidad miocárdica
          *   Disminución de la respuesta cardiovascular a las catecolaminas
          *   Predisposición a arritmias cardiacas
          *   Predisposición a hiperkalemia

19.4. ACIDOSIS RESPIRATORIA

     19.4.1. DEFINICIÓN:

              Se define como un proceso fisiopatológico en e cual la ventilación alveolar se encuentra disminuida
              Y produce una elevación de la concentración de H+ debida a un aumento del ácido carbónico (expresado
              como,una elevación de la PC02), lo que determina una disminución del pH por debajo de 7.35 (sangre
              arterial).

     19.4.2. CAUSAS DE ACIDOSIS RESPIRATORIA:

          * Por trastornos mecánicos del aparato respiratorio: fracturas costales, fractura de esternón, elevación
            del diafragma por obesidad, oclusión intestinal y otras, deformidades toráxicas, estrechamiento u
            obstrucción de las vías respiratorias, neumotórax, etc.

          * Por afectación del parénquima pulmonar: colapso pulmonar post operatorio,aspiración bronquial,
            estado de mal asmático, neumonías y bronconeumonias, sindrome de distress respiratorio agudo, etc.

          * Por trastornos del centro respiratorio: trauma craneoencefálico, medicamentos depresores del centro
            respiratorio, accidentes vásculo encefálicos, edema cerebral y otros.

          * Por causas periféricas: lesión neuromuscular (miastenia gravis, Sindrome de Guillain - Barré) y parálisis
            muscular por relajantes musculares, hipopotasemia.


                                                       99
TERAPIA INTENSIVA

19.4.3. CRITERIOS DE DIAGNÓSTICO:

CLÍNICO:
Está determinado por la patologia de base. Son clásicas: la apnea, bradipnea, cianosis, ansiedad, asterixis,
letargia, estupor, coma, convulsiones, cefalea, papiledema, paresias focales, temblor, mioclonias, taquicardia,
arritmias cardiacas, vasodilataci6n y otras.


       HEMOGASOMÉTRICO:                    pH                PaCO2             (HCO3-)           BE

       Acidosis respiratoria                                                      N              N
       Descompensada (aguda)

       Parcialmente compensada
       (subaguda)

       Compensada (crónica)                N


19.4.4. MEDIDAS GENERALES:

      a)   N.P.O.
      b)   Sonda nasogástrica en caso de alteración de la conciencia
      c)   Posición semisentado
      d)   Oxígeno por cánula nasal o máscara, 3 a 4 litros por minuto.
      e)   Intubación y ventilación mecánica en caso de deterioro del estado de conciencia.
      f)   Vía venosa central o periférica.
      g)   Sonda vesical.
      h)   Control estricto de líquidos administrados y eliminados.

19.4.5. EXAMENES COMPLEMENTARIOS:

           Gasometria arterial, íonograma (C1-, Na+, K+), hemograma, Rx de tórax, ECG.

19.4.6. MANEJO TERAPÉUTICO:

      a) Tratar la causa desencadenante de la acidosis.
      b) Mejorar la ventilación alveolar: permeabilización de vías aéreas, intubación endotraqueal soporte
         ventilatorio mecánico, fisioterapia respiratoria.
      c) Adecuada hidratación y humidificación del aire inspirado.

19.5. ALCALOSIS METABÓLICA

19.5.1. DEFINICIÓN:

           Es un cuadro clínico producido por una disminución de la concentración de iones H+ debido a una


                                                  100
TERAPIA INTENSIVA

               elevación de las bases fijas o por déficit de ácidos no volátiles, lo que determina una elevación del pH
               por encima de 7,35 (sangre arterial), con elevación del bicarbonato standar mayor de 18 mmol/L y del
               E.B. mayor de 2,5 mmol/L.

    19.5.2. CAUSAS DE ALCALOSIS METABÓLICA:
         * Ganancia excesiva de bases: bicarbonato, carbonato, acetato, citrato, sindrome de leche y otros alcalinos,
             coma hepático.
         * Pérdida excesiva de ácidos: vómitos, aspiración gástrica,
         * Pérdidas de potasio (uso de diuréticos), empleo de corticoides, hiperaldosteronismo primario, sindrome
             de Cushing, posthipercapnia,
         * Por contracción del volumen extracelular: deshidratación con hiponatremia e hipocloremia.

    19.5.3. CRITERIOS DE DIAGNÓSTICO:

    CLÍNICO:
            Las manifestaciones clínicas están en dependencia fundamentalmente de la disminución del K+ y del
            Cl-, y en menor grado de la enfermedad de base. Estas son: astenia, lasitud, apatia, depresión mental,
            letargia, anorexia, disminución de la fuerza y debilidad muscular; arreflexia,trastornos intestinales (íleo
            paralítico), distensión abdominal; taquicardia, arritmias cardiacas, alteraciones electrocardiográficas
            (hipokalemia), bradipnea, tetania y otros.



               HEMOGASOMÉTRICO:                    pH                 PaCO2              (HCO3-)           BE

               Alcalosis metabólica                                      N
               Descompensada (aguda)

               Parcialmente compensada
               (subaguda)

               Totalmente Compensada               N
               (crónica)




    19.5.4. MEDIDAS GENERALES:

          a)   N.P.O.
          b)   Sonda nasogástrica
          c)   Posición semisentada
          d)   Vía venosa central
          e)   Control de la PVC
          f)   Sonda vesical
          g)   Control estricto de líquidos administrados y eliminados


                                                        101
TERAPIA INTENSIVA

      19.5.5. EXAMENES COMPLEMENTARIOS:

            Gasometrica arterial, ionograma, creatininemia, NUS, ECG.

      19.5.6. MANEJO TERAPÉUTICO:

            a) Es muy importante la identificación y remoción de la causa.
            b) Si el pH arterial está entre 7,46 y 7,55 se utilizan soluciones de potasio en goteo intravenoso durante
               24 horas, previo cálculo del déficit.
            c) Si existe pérdida asociada de cloro, utilizar soluciones hipertónicas de Cloruro de Sodio (solución
               salina isotónica más cloruro de sodio hipertónico).
            d) Si el pH arterial está entre 7,56 y 7,63 puede utilizarse Acetazolamida 250 a 500 mg. c/6-8 horas hasta
               su corrección, además de las anteriores medidas.
            f) Si el pH arterial es mayor de 7,63 puede utilizarse cloruro de amonio o ácido clorhídrico diluidos en
               forma de solución acuosa a través de una vena central y bajo control estricto.

19.6. ALCALOSIS RESPIRATORIA

      19.6.1. DEFINICIÓN:

                Se trata de un estado fisiopatológico producido por hiperventilación y traducido por una disminución
                de la concentración de iones H+, debida a una disminución de la PC02, lo que trae como consecuencia
                un aumento del pH por encima de 7.45 (en sangre arterial) con una disminución de la PaCO2 menor
                de 28 mmHg.

      19.6.2. CAUSAS DE ALCALOSIS RESPIRATORIA:

            * De origen en el SNC: ansiedad, dolor, fiebre, lesión o inflamación del cerebro, hemorragia subaracnoidea,
              tumor, traumatismos.
            * Hipoxemia: altitud, trastornos de la ventilación/perfusión, trastornos de la difusión pulmonar, cortocircuitos
              pulmonares.
            * Intoxicación por drogas y uso de hormonas: salicilatos, hormona tiroidea, progesterona, catecolaminas,
              xantinas.
            * Condiciones específicas: cirrosis hepática, sepsis por gram negativos, ventilación mecánica, embarazo,
              tirotoxicosis, anemia, post corrección de acidosis metabólica.

      CRITERIOS DE DIAGNÓSTICO:

      CLÍNICO:
           El principal efecto de la alcalosis respiratoria sobre el organismo es la hiperexcitabilidad del sistema
               nervioso central y periférico, que se expresa por: incapacidad de concentración, ansiedad, reducción
               de la actividad psicomotríz, confusión, síncope, convulsiones, parestesias, temblor muscular, calambres,
               tetania. Además, náuseas, vómitos, taquicardia, hipotensión arterial, angina, alteraciones
               electrocardiográficas (depresión del segmento ST), arritmias ventriculares.




                                                           102
TERAPIA INTENSIVA


         HEMOGASOMÉTRICO:                     pH                 PaCO2              (HCO3-)           BE

         Alcalosis respiratoria                                                        N              N
         Descompensada (aguda)

         Parcialmente compensada
         (subaguda)

         Compensada (crónica)                 N



    19.6.3. MEDIDAS GENERALES:

         a) N.P.O.
         b) Sonda nasogástrica en caso de alteración de la conciencia
         c) Vía venosa central o periférico
         d) Oxígeno suplementario si la hiperventilación es por hipoxia (por cánula nasal o máscara 3 a 4 litros
            por minuto).
         e) Control de líquidos administrados y eliminados.

    19.6.4. EXAMENES COMPLEMENTARIOS:

              Gasometria arterial, ionograma (C1-,Na+,K+), hemograma, glucemia, NUS, creatininemia, Rx de tórax,
              ECG.

    19.6.5. MANEJO TERAPÉUTICO:

         a) Tratamiento de la causa de base.
         b) En caso de síncope o tetania, hacer que el paciente respire en bolsa de reinhalación, uso de ansiolíticos
            y apoyo emocional.
         c) Si el pH esta por encima de 7,55 y se acompaña de situaciones que amenazan la vida (pérdida de la
            conciencia, convulsiones, arritmias) el paciente puede sedarse, anestesiarse y relajarse para ventilación
            mecánica controlada.

    19.7. TRASTORNOS MIXTOS DEL EQUILIBRIO ÁCIDO-BASE

              Cuando dos o tres alteraciones simples del equilibrio ácido-base concurren en forma simultánea, se
              dice que el paciente tiene un trastorno mixto.
              Lo más común en la práctica clínica es encontrar trastornos ácido-básicos simples, pero situaciones
              clínicas complicadas, especialmente en pacientes críticos dan lugar a trastornos mixtos.

              El reconocimiento de los trastornos mixtos es predecible a partir del adecuado conocimiento de los
              trastornos fisiopatológicos de los desordenes simples.



                                                      103
TERAPIA INTENSIVA

                Por otra parte, el conocimiento de la magnitud de la compensación metabólica o respiratoria que puede
                ocurrir en respuesta a determinado trastorno primario, es crucial para identificar los trastornos mixtos
                y el tratamiento correspondiente.

19.8. BIBLIOGRAFÍA:

      • Besunder, J.B; Smith, P.G.: Toxic Effects of Electrolyte and Trace Mineral Administración in the Intensive Care
        Unit. Crit Care Med. 1991; 7(3): 665 - 672.
      • Beach FXM; Jones E.S.: Metabolic alkalosis treated with intravenus hydrochloric acid. Postgrad Med. J.
        1971; 47: 516.
      • Lauie, CJ; Crocker, E.F.; Kayl K. J. et al. : Marked hypochloremie metabolic alkalosis. With severe compensatory
        hypoventilation. South Med. J. 1986; 79: 1296.
      • Martin, W.J.; Matzke, G.R.: Treating severe metabolic alkalosi-s. Clin Pharm 1982; 1: 42.
      • Rosen, R.A.; Julian, B.A.; Dubovsky, E.V., et al: On the mechanism by which chloride corrects metabolio
        alkalosis in man. Am J. Med. 1988; 84: 449.
      • Shapiro, B.A.; Harrison, R.A.; Cane, R.D.; Templin, R.K.: Manejo clínico de los gases sanguíneos 4a ed.
        Editorial Médica Panamericana Buenos Aires (Argentina) 1989.
      • Rose, B.D.: Clinical Physiology of. Acid-Base and Electrolyte Disorders. Mc. Graw - Hill, New York, 1977.
      • Collins, R.D: Illustrated Manual of Fluid and Electrolyte Disorders. Philadelphia, Lippincott, 1976.
      • Cohen R.: Acid-base disturbances. Medicine International 1981; 1(7-9): 385-88.
      • Imbassahy E.: Orientacao , pratica no diagnóstico e tratamento dos disturbios hidreletrolíticos e do equilibrio
        ácido-básico. Rev. Bras Cir 1976; 66-(5/6): 127-152.
      • Lovesio C y col.: Homeostasis del Medio Interno en clínica y cirugia 2a. ed. Editorial "El Ateneo", Buenos
        Aires (Argentina) 1984.
      • Bidani, A. : Electrolyte and Acid-Base Disorders.The Medical Clínics of North America. 1986; 70(5): 1013.
      • Du Bose, T.D. Jr. : Clinicaal Approach to Patients with Acid Base Disorders. The Medical Clínics of North
        America 1983; 67(4): 799.
      • Shapiro, B.A.; Cane, R.D.: Interpretacion de gases en sangre. En: Shoemaker. Tratado de Medicina Crítica
        y Terapia intensiva. 2a. ed. Editorial Médica Panamericana. Buenos Aires (Argentina). 1991; 341-47.
      • Vera O.: Valores normales de gases sanguíneos arteriales y del equilibrio acido-base en la ciudad de La Paz
        - Bolivia. Cuadernos Hospital de Clínicas, 1991; 37(1): 18 - 27.




                                                         104
TERAPIA INTENSIVA

                                                               20. ALTERACIONES ELECTROLÍTICAS
*Dr. Oscar Vera Carrasco



20.1. DESEQUILIBRIOS DEL SODIO

       20.1.1. PRINCIPIOS BÁSICOS:

                 Los límites normales de la (Na+ p)son 135-145 mEq/l.
                 La concentración expresa el cociente entre masa de soluto y Volumen del solvente (C=M/V).
                 La (Na+p) puede variar no solo por cambios de la Masa corporal total de Na+, sinó también por cambios
                 del Volumen del agua corporal total (ACT).
                 Es mucho más frecuente que las alteraciones de la (Na+p) sean secundarias a trastornos del balance
                 de agua, que debidas a disturbios en el balance del Na+.

                 Las HIPONATREMIAS casi siempre se deben a exceso de ACT y las HIPERNATREM IAS a déficit de
                 ACT.

                 La principal función fisiológica del Na+ es mantener el Volumen del LEC y por ende del Volumen
                 circulante efectivo (VCE).
                 La excreción renal de Na+ se regula primariamente en respuesta al estado del VCE y no de la [Na+p.]
                 El principal mecanismo por el que se regula la (Na+p) es por el Control del balance de Agua,
                 primariamente por la secreción de la HAD y también por el mecanismo hipotalámico de la SED.

       20.1.2. CAUSAS DE HIPONATREMIA


                                                 HIPONATREMIA


              FICTICIA                                                             VERDADERA



                Hiperproteinemia                        SIN EDEMA                               CON
                Hiperlipidemia                                                                  EDEMA
                Hiperglucemia
                                                                           SECUNDARIA
                Solutos exógenos
                                                                           A TIAZIDAS



        Pérdida de Na+ mayor                   Exceso de Agua total                    Exceso de Na+
           que de Agua                       EXPANSIÓN MODESTA                        pero mayor de Agua
       DEPLECIÓN DEL VEC                     DEL VEC                                  EXPANSIÓN DEL VEC


                                                         105
TERAPIA INTENSIVA

        20.1.3. HIPONATREMIA VERDADERA

                                      SIN EDEMA                                            CON EDEMA




             Pérdida de Na+ > que                   Exceso de agua total                Exceso de Na+ pero > de
             de agua DEPLECIÓN                      EXPANSIÓN MO                        Agua EXPANSIÓN DEL
             DEL VEC                                DERADA DEL VEC                      VEC



Pérdidas Renales            Pérdidas Extrarenales      SSIHAD Medicamentos       Sind Nefrótico         Insuf. Renal
Diuréticos deficit          Vomito y diarrea           Cirugia Supresión de      Cirrosis Insuf.        Cronica Aguda
DOCA Nefritits              Quemaduras                 alcohol Addison           Cardiaca
perdedira de sal.           Pancreantitis              Hipotiroidismo
Cetonuria                   Peritonitis                Hiponatremia esencial
Bicarbonaturia              Traumatismos               Polidipsis compulsiva
                            Sudoración



                                                      HIPONATREMIA


                                                     OSMOLARIDAD SÉRICA




          Normal                                    Baja                                      Alta >295 mOsm/kg H20
          280-295 mOsm/kg H20                       <280 mOsm/kg H20



        Pseudohiponatremia (Ej.                     Determinación del ACT y                 1. No solutos de Na + (Ej.
        Hiperlipidemia, hiperprot.)                 contenido de Na+                        Glucosa, manitol)




                     Bajo                                      normal                                  alto


 1. Pérdidas extrarenales de Na+:             1. SSIHAD: Na+ U>30
    Na+U<15 mEq/l Osm. U>400                     mEq/l Osm.>300- 400.                    1. Na+ U <15mEq/l Osm U>400
 2. Pérdidas renales de Na+:                  2. Intoxicación por agua.                     (ej. Insuficiencia cardiaca).
    Na+U >30mEq/l Osm U<300                   3. Insuficiencia renal.                    2. Na + U>30 mEq/l
   (Ej.Diuréticos, Insuf. renal tubular.      4. Transtornos de la excreción de agua.       (Ej.Insuf. renal.)

                                                               106
TERAPIA INTENSIVA

      20.1.4. SIGNOS Y SÍNTOMAS DE HIPONATREMIA

                                                                       HIPONATREMIA
          TIPOS DE SIGNOS
                                                    MODERADA                                    GRAVE
                                          Calambres musculares                       Convulsiones Arreflexia
      NEUROLÓGICO                         Hiperreflexia tendinosa                    Hipert. endocraneal
                                          Hipertensión endocraneal (Fase             (Fase descompensada)
                                          compensada)

                                          Cambios de la TA y el pulso sec. a
      CARDIOVASCULARES
                                          Hipert. Intracraneal.


                                          Salivación, lagrimación y diarrea
      HÍSTICOS                            acuosa. La piel conserva la huella
                                          digital.


      RENALES                             Oliguria que progresa a anuria




      20.1.5. DIAGNÓSTICO Y TRATAMIENTO DE LA HIPONATREMIA

  HIPONATREMIA                                                                       DILUCIONAL
                                    DEPLECIONAL
= Na+ sérico < a 135 mEq/l                                     Enferm. Cardiacas,
                                                               hepáticas y renales                       SSIHAD

 CAUSA                       Pérdida de Na+               Exceso de agua             Exceso de Agua por exceso
                                                                                     de HAD
 CRITERIOS                   1. Disminución de Volumen    Aumento de Volumen (edema) Aumento de Volumen (no edema)
 DE DIAGNÓSTICO              2. Presión de venas          Presión de venas           Presión de venas yugulares
                                yugulares disminuidas     yugulares incrementada.    usual nornal
                             3. Hipotensión o caida       No hipotensión postural    No hipotensión postural.
                                postural de la TA.
                             4. Na+ U<20mEq/L             Na+ U variable (depende del Na+ U > 30 mEq/L
                                mientras no exista        grado de aldosteronismo
                                depelción por perdida     sec.)
                                renal primraia de Na+
                             5. Caida tardia de Osm       Osm. Sérica disminuida en        Osm. Sérica disminuida en
                                serica                    forma marcada                    forma marcada.

                                                         107
TERAPIA INTENSIVA

     20.2.           CAUSAS DEL SINDROME DE SIHAD:

     20.2.1. AUMENTO DE LA PRODUCCIÓN HIPOTALÁMICA :

             - Alteraciones neurológicas :
               Infecciones: meningitis, encefalitis, abscesos
               AVC isquémico o hemorrágico.
               Otros : traumatismos.
             - Enfermedades pulmonares: Neumonía, tuberculosis, Insuficiencia respiratoria aguda.
               Otros : Asma, atelectasia, pneumotórax.

     20.2.2. FÁRMACOS :

             - Psicotrópicos : Haloperidol, amitriptilina, inhibidores de la MAO.
             - Quimioterápicos: Ciclofosfamida, vincristina.
             - Otros : AINES, carbamazepina, clorpropamida

     20.2.3. ADMINISTRACIÓN EXÓGENA :

             - Vasopresina, oxitocina

     20.2.4. PRODUCCIÓN ECTÓPICA :

             - Carcinoma de pulmón, duodeno, páncreas, timo.

20.3. TRATAMIENTO DEL ESTADO HIPOTÓNICO

     Lo más importante prevenir. Evitar fluidos hipotónicos.
     Determinar la Osmolaridad plasmática para confirmar hiposmolaridad.

     20.3.1. HIPONATREMIA SINTOMÁTICA :

             Terapia aguda :
             1. Iniciar Cl Na hipertónico en la UCI y con bomba de infusión.
             2. Monitorizar natremia c/ 2 hs. hasta que el paciente esté estable y asintomático
             3. Finalizar Cl Na hipertónico cuando el paciente esté asintomático o su natremia haya aumentado 20-
                 25 mEq/l en las primeras horas de tratamiento. Esto evita desmielinización cerebral.
             4. Evitar alcanzar normonatremia o hipernatremia en los primeros 5 días de terapia, particularmente en
                 pacientes alcohólicos o portadores de daño hepático crónico.
             Terapia crónica :
             1. Restricción de agua.
             2. Dimetilclortetraciclina : 300-600 mg. V.O. 2 veces al dia.
             3. Litio.
             4. Antagonistas del receptor V2 (en fase de investigación).




                                                        108
TERAPIA INTENSIVA

      20.3.2. HIPONATREMIA ASINTOMÁTICA :

               1.   No es urgente ni prioritario.
               2.   Restricción de agua.
               3.   Evitar las correcciones rápidas, subir la natremia menos de 12 mEq/lpor día.
               4.   No usar soluciones hipertónicas.
               5.   Tratamiento de la enfermedad basal




20.4. HIPERNATREMIA

      20.4.1. CAUSAS DE HIPERNATREMIA

                                        SODIO SÉRICO > 145 mEq/L


  Pérdida de Na+ pero mayor de                  Pérdida de Agua                      Exceso en la ingesta de Na+.
    Agua/Na+ corporal bajo                     Na+ corporal normal                        Na+ corporal alto




 Pérdidas                 Pérdidas            Pérdidas             Pérdidas
                                                                                               Aldosteronismo
 Renales                Exttrarenales         Renales            Exttrarenales
                                                                                                  primario.
                                                                                               S. de Cushing.
                                                                                            Diálisis hipertónica.
   Diuresis                  Diarrea              Diabetes            Pérdidas              Bicarbonato de sodio
   osmótica:                 Sudor                insípida            insensibles:
   glucosa,                                        central            cutáneas.
   manitol,                                        parcial
     urea.                                       hipodipsia



      20.4.2. PÉRDIDA NETA DE AGUA:

            A. Pérdida de Agua pura :
              - Pérdidas insensibles no repuestas.
              - Hipodipsia
              - Diabetes insípida Central o Neurogénica: Defecto de la sintesis o liberacion de AVP por el
                 hipotalamo/hipofisis.
              - Diabetes Nefrogénica adquirida: Insensibilidad del receptor V2 a la AVP o bloqueo del receptor
                 inducido por Fármacos.
              - Diabetes Nefrogénica congénita.



                                                      109
TERAPIA INTENSIVA

        B. Pérdida de líquido hipotónico :
           - Causas Renales : Diuréticos de Asa, Diuresis osmótica, Diuresis post obstructiva, Fase poliúrica de
              la NTA, Enf. Renal intrínseca.
           - Causas Gastrointestinales: Vómitos, Drenaje por SNG, Diarrea, Fístula intestinal, Uso de purgantes
              osmóticos.
           - Causas cutáneas : Quemaduras, Sudoración excesiva.

      20.4.3. GANANCIA DE SODIO HIPERTÓNICO :

                   * Infusion de Bicarbonato de sodio hipertónico
                   * Dieta hipertónica
                   * Ingestión de Cloruro de sodio
                   * Ingestión de agua salada (o de mar)
                   * Drogas eméticas ricas en Cloruro de sodio
                   * Enemas con Solución salina hipertónica
                   * Inyeccion intrauterina de Sol. Salina hipertónica
                   * Infusion de Solución salina hipertónica
                   * Diálisis hipertónica
                   * Hiperaldosteronismo primario
                   * Sindrome de Cushing

20.5. ETIOLOGIA DE LA DIABETES INSÍPIDA

      20.5.1. DIABETES INSÍPIDA CENTRAL :

                   a) Hereditaria (rara)
                   b) Idiopatica (30%)
                   c) Cirugia hipotalamo-hipofisis (15%)
                   d) Tumores (10%):linfoma metástasis
                   e) Traumatismos craneales (10%)
                   f) Procesos infiltrativos hipotalamicos
                   g) Procesos vasculares cerebrales (10%)
                   h) Encefalopatía anóxica post PCR (10%)
                   i) Hiponatremia no tratada (asoc.a DM).
                    j) Anorexia nerviosa + polidipsia psicógena.

      20.5.2. DIABETES INSÍPIDA NEFROGÉNICA :

              1. Primaria o familiar
              2. Secundaria
                   a) Hipopotasemia
                   b) Hipercalcemia
                   c) Nefritis intersticial
                   d) Enfermedad medular quística
                   e) Farmacos: Litio, aciclovir, Anfotericina B, etc.



                                                         110
TERAPIA INTENSIVA

                 f) Amiloidosis
                 g) Mieloma
                 h) Desnutrición

     20.5.3. SIGNOS Y SÍNTOMAS DE LA HIPERNATREMIA

         • Inicio : con el 2 % de pérdida del peso corporal en agua

         • Evidentes : con pérdidas del 8-10 % del peso corporal en agua

         • Graves : con pérdidas mayores del 15 % del peso corporal en agua

         * S E D: Con disminución del 2% del peso en ACT
         * PIEL SECA, PÉRDIDA DE TURGOR, SIGNO DE PLIEGUE: Con disminución del 6 % del ACT
         * MUCOSA BUCAL SECA
         * DISMINUCIÓN DE LA TENSION DE GLOBOS OCULARES
         * OLIGURIA, UREMIA PRERENAL
         * TAQUICARDIA, HIPOTENSIÓN ORTOSTÁTICA, SHOCK
         * LETARGIA, HIPERREFLEXIA, TEMBLOR MUSCULAR,: Con disminución del 7-15 % del ACT
           CONVULSIONES, COMA (Osm plasmática > 310-315 mOsm/L).
         * TROMBOSIS DE SENOS VENOSOS CRANEALES HEMORRAGIAS CEREBRALES (Tracción de estructuras
           vasc.)
         * INCREMENTO DE OSMOLARIDAD PLASM., INCREMENTO DEL HtO.; INCREMENTO DE LA DENSIDAD
           Y OSMOLARIDAD URINARIA (Excepto Diabetes insípida), NATRIURIA BAJA (<20 meq/l)

    20.5.4. TRATAMIENTO DE LA HIPERNATREMIA

    PRINCIPIOS GENERALES:

             Considerar como EMERGENCIA al paciente hipernatrémico con síntomas del S. N.C.
             El paciente hipernatrémico asintomático ha podido adaptarse al medio hiperosmolar aumentando la
             Osmolaridad neuronal intracelular ("osmoles idiógenos").
             No disminuir muy rápidamente la (Na+p), especialmente en un paciente adaptado, para no provocar
             edema cerebral con riesgo de muerte.
             No exceder la velocidad de corrección a más de 1 mEq/l/hora (hasta 2 mEq/l/h en casos de emergencia).
             Llevar inicialmente el Na+p sólo hasta 150-155 mEq/L en las primeras 48 Hrs.

    TRATAMIENTO DE LA HIPERNATREMIA HIPOVOLÉMICA:

         La principales causas son diuresis osmótica (Diabetes mellitus, manitol) y sudoración excesiva.

         1. Restituir la perfusión tisular mediante la re-expansión del VEC con Sol. Salina isotónica.
         2. De persistir la hipernatremia, administrar Sol.Salina 0.5 normal calculando el Déficit de Agua por la
             fórmula:

                 ACT ideal= (ACT actual x Na+p actual)/Na+ ideal


                                                     111
TERAPIA INTENSIVA

    3. El Déficit de Agua libre se calcula por la diferencia entre el ACT ideal menos el ACT actual.

    *Recordar que 1 litro de.Sol..Salina.0.5 normal equivale a 0.5 L de Agua libre

TRATAMIENTO DE LA HIPERNATREIMIA EUVOLÉMICA:

    La causa más frecuente es la Diabetes insípida, central o nefrogénica.

    1. La correccióin se basa en la REPOSICIÓN DE AGUA LIBRE.
    2. La mejor vía para administrar Agua libre es la digestiva (oral o SNG).
    3. Si se usa la vía EV debe evitarse el uso de Sol. Glucosadas, por la asociación frecuente entre hipernatremia
       e hiperglucemia por resistencia periférica a la insulina.
    4. Deben preferirse Sol. Salinas al 0.5 o 0.25 Normal (contienen 0.5 y 0.75 litros de agua libre por litro
       de Solución respectivamente).
    5. El Déficit de Agua libre y la velocidad de infusión es igual a lo descrito anteriormente.

20.5.5. TRATAMIENTO DE LA DIABETES INSÍPIDA

DIABETES INSÍPIDA CENTRAL COMPLETA:

        Una vez corregida la deshidratación (si se hubiera producido) Desmopresina en Spray nasal : 10-20
        mcg cada 12-24 hs.
    Si es necesario Desmopresina sintética por vía I.V.: 1-4 mcg cada 12-24 hs.
    En enfermos críticos es preferible utilizar Hormona natural (Pitresin): 5 U vía S.C. cada 3-4 hs.

  DIABETES CENTRAL PARCIAL:

    Clorpropamida o Carbamazepina ( aumento de sensibilidad del receptor tubular a la AVP).

  DIABETES NEFROGÉNICA:
    Suspender posibles fármacos que la producen, luego Tiazidas y disminuir el aporte de Na+.

  TRATAMIENTO DE LA HIPERNATREMIA HIPERVOLÉMICA:

       Las causas más frecuentes son HIPERALDOSTERONISMO, CUSHING y administración excesiva de
       SALES DE SODIO (yatrogénica).
       El tratamiento se basa en el uso de DIURÉTICOS DE ASA y en casos extremos (o si coexiste insuficiencia
       Renal) el uso de DIÁLISIS.

FÓRMULAS UTILIZADAS EN EL MANEJO DE LA HIPERNATREMIA




                                                  112
TERAPIA INTENSIVA




                                         FÓ R M U L A                                            USO CLÍNICO
                                                                                                 Estimar el efecto de 1 L de
                                      Na+ infundido - Na+ sérico                                 cualquier infusión sobre el Na+
                                                                                                 sérico.
    1. Cambios en el =...............................................
           Na+ sérico                     ACT + 1
                                 (Na+ infundido + K+infundido) – Na*sérico
    2. Cambios en el=.........................................................................
                                                                                                     Estimar el efecto de 1 L de
    Na+ sérico                                ACT + 1                                                cualquier infusión que
                                                                                                     contenga Na+ y K+ sobre el
                                                                                                     Na+ sérico


20.6. HIPOPOTASEMIA

      20.6.1.DEFINICIÓN:
           La Hipopotasemia se define como una concentración sérica de potasio menor de 3.5 mEq/L.

      20.6.2. CAUSAS:
           Las causas se dividen en las siguientes categorías:
           Disminución de la ingesta.
           Incremento de la pérdida.
           Paso del espacio extracelular al intraceiular.

               Las causas específicas son las que se señalan a continuación:

           DISMINUCIÓN DE INGESTA:
                *Dieta inusual (ej. Té y pan tostado)
                *Soluciones parenterales deficientes en potasio

           AUMENTO DE LA EXCRECIÓN:

               Renal
                  * Aumento del efecto mineralocorticoide
                   - Hiperaldosteronismo primario
                   - Hiperaldosteronismo secundario
                      Deficiencia de volumen
                      Vómitos
                      Cirrosis hepática
                      Insuficiencia cardiaca congestiva
               Administración de mineralocorticoides




                                                                            113
TERAPIA INTENSIVA

        * Uso de diuréticos
        * Diuresis osmótica
        * Defectos tubulares
        * Hipomagnesemia
     Digestivos
        * Diarrea, vómitos, aspiración nasogástrica
        * Abuso de laxantes
        * Adenomas vellosos

  DESVIACIÓN INTRACELULAR:
    Hormonal
        * Insulinoterapia
        * Adrenérgicos beta 2 (ej. albuterol o salbutamol)
        * Aldosterona
    Físicos
        * Alcalemia (respiratoria o metabólica)
    Diversos
        * Parálisis periódica hipopotasémica

20.6.3. DIAGNÓSTICO:

Clínico:
           Parálisis flácida del músculo esquelético
           Falta de tono en el músculo liso (íleo)
           Astenia, debilidad muscular profunda e insuficiencia respiratoria
           Fatiga, mialgia y debilidad de extremidades
           Sed, hiporreflexia tendinosa, parestesias
           Rabdomiólisis
           Resistencia a la insulina y descenso en la liberación de la misma.
           Intolerancia a la glucosa
           Alteración de la capacidad de concentración urinaria
           Alteración en la reabsorción de magnesio
           Diabetes insípida nefrogénica
           Enfermedad túbulo-intersticial medular
           Alcalosis metabólica
           Predisposición a la intoxicación por digitálicos

  Manifestaciones electrocardiográficas:
       Aplanamiento o inversión de la onda T
       Depresión del segmento ST
       Aparición de ondas U
       Alargamiento del intervalo QT
       Intervalo PR prolongado
       Arrítmias ventriculares (taquiarritmias supraventriculares y arritmias ventriculares)
       Trastornos de la conducción (ensanchamiento del QRS)



                                                    114
TERAPIA INTENSIVA

    Laboratorio:
            K+ sérico < a 3.5 mEq/L.
            El K+ urinario es menor a 30 mEq/L en la diarrea y mayor a 30 mEq/L en el drenaje nasogástrico,
            alcalosis, uso de diuréticos y déficit de Mg.
            El cloro urinario es bajo (< a 15 mEq/L) en el drenaje nasogástrico y en la alcalosis, y es elevado (>
            25 mEq/L) en el déficit de Mg y en tratamiento con diuréticos.

    20.6.4. TRATAMIENTO:

          1. Objetivos terapéuticos
             Prevenir las complicaciones potencialmente fatales (arritmias, insuficiencia respiratoria y encefalopatía
             hepática).
             Corregir el déficit de potasio.
             Minimizar las pérdidas permanentes.
             Tratar la causa de base.

          2. Restitución de Potasio

             Si se encuentra una causa tratable de pérdida de K+, se aplica el tratamiento necesario y se administra
             complemento de potasio. En caso de hipopotasemia con síntomas mínimos casi siempre son satisfactorios
             los complementos orales. Se indica en aquellas situaciones en que la potasemia es leve (3 a 3,5 mEq/L)
             y asintomáticas.

             Se dispone de una solución de fosfato potásico (contiene 4,5 mEq de K+ y mmol de fosfato/ml) que
             algunos prefieren para la reposición de K+ en la cetoacidosis diabética. Un esquema inicial adecuado
             suele consistir en la administración de 40 a 80 mEq al día en dosis divididas.

             Si no se puede utilizar la vía oral, la hipopotasemia es moderada o la pérdida concurrente estimada es
             alta, se puede utilizar la vía intravenosa.

             Para la hipopotasemia grave (concentración < 2,0 mEq/l o síntomas que ponen en riesgo la vida) se
             administra potasio intravenoso. Debe utilizarse cloruro de potasio diluido en solución salina isotónica.
              El CIK no debe infundirse con soluciones glucosadas.

             Por vía periférica, la concentración de la solución no debe superar los 60 mEq/L, y un ritmo de infusión
             adecuado es 40-60 mEq/hora, con controles de potasemia cada 2 a 4 horas.

             El método estándar para la reposición intravenosa de K+ consiste en diluir 20 mEq de K+ en 100 ml
             de Solución salina isotónica y perfundir esta mezcla en 1 hora. La tasa máxima de reposición suele
             fijarse en 20 mEq/hora, pero en ocasiones es necesario administrar el K+ a una tasa que alcance 40
             mEq/hora (ej. cuando el K+ sérico es inferior a 1,5 mEq/L o hay arrítmias graves) y se han empleado
             tasas que alcanzan 80 mEq/hora de manera inocua. Hay que utilizar una gran vena central para la
             perfusión debido a las propiedades irrítativas de las soluciones hiperosmóticas del K+.

             Sin embargo, si la tasa de reposición ha de ser superior a 20 mEq/hora no debe administrarse la
             perfusión por un catéter central a causa del riesgo teórico de que se produzca una hiperpotasemia


                                                       115
TERAPIA INTENSIVA

                       transitoria en las cavidades cardiacas derechas, lo que podría predisponer a un paro cardiaco.
                       En estas circunstancias se puede dividir la perfusión y administrar por dos venas periféricas.
                       Se debe evitar la hiperventilación y el uso concomitante de bicarbonato, beta 2 agonistas o insulina.

                       Resulta indispensable ser muy precavido con el paciente que presenta disfunción renal o alteración en
                       los mecanismos de captación celular (ej. pacientes que reciben bloqueadores beta) y las mediciones
                       más frecuentes del nivel de K+ sérico son obligatorias.

                  Una fórmula que puede utilizarse para calcular el déficit de potasio es la siguiente:

         DÉFICIT DE K+ = K+ normal - K+ actual x 0,4 x kg. peso corporal.

                                               DÉFICIT DE K+ CORPORAL EN LA HiPOPOTASEMIA*



                                                                       Déficit de potasio
    Potasio sérico (mEq/L)...........................................................................................................................................
                                                                                  mEq                  Potasio total en el organismo (%)

                    3,0                                                        175                                                        5
                    2,5                                                        350                                                        10
                    2,0                                                        470                                                        15
                    1,5                                                        700                                                        20
                    1,0                                                        875                                                        25
*Déficit estimados para un adulto de 70 kg de peso con un contenido corporal total de K+ de 50 mEq/kg.



20.7. HIPERPOTASEMIA

         20.7.2. CAUSAS
              * Disminución en la excreción renal (IRA)
              * Redistribución del Potasio hacia el espacio extracelular (acidosis)
              * Sobrecarga endógena de K+ (destrucción celular)
              * Sobrecarga exógena (Penicilina y terapia con K+).

         20.7.3. DIAGNÓSTICO:

                  Clínico:
                     * Disminución de la fuerza muscular
                     * Arreflexia



                                                                                  116
TERAPIA INTENSIVA

              * Parálisis muscular
              * Arrítmias cardiacas

          Laboratorio:
             * K+ plasmático > a 5,5 mEq/L.

          ECG:
            * Aumento de la amplitud de la onda T
            * Reducción del intervalo QT
            * Alargamiento del complejo QRS
            * Alargamiento del intervalo P-R
            * Depresión del segmento S-T
            * Desaparición del onda P

     20.7.4. TRATAMIENTO

          * De la causa (fundamental)
          * Otros:
            a) Gluconato de Calcio (antagoniza los efectos tóxicos cardiacos)
                 - Inicio de acción inmediato.
                 - Duración de acción: aproximadamente 1 Hora
                 - Dosis: 10ml al 10%
            b) Glucosa e Insulina (redistribuye el K+ hacia el espacio intracelular)
                 -Inicio de acción: entre 15- 30 minutos.
                 -Dosis recomendada: 10 U de Insulina simple en 100 ml de sol. de dextrosa al 50 %.
            c) Resinas de intercambio iónico (Poliestirenosulfato de Calcio): Aumenta la eliminación de potasio
                 a través del tarcto gastrointestinal.
                 - Inicio de acción: 1 – 2 Horas.
                 - Dosis recomendada: 15 gr VO. TID
            d) Diálisis (hemodiálisis o peritoneal).
            e) Calcitonina: cuando las anteriores medidas no fueron eficaces o cuando la hipercalcemia es severa
                 - Dosis: 4 U/kg IM o SC cada 8 horas.

20.8. HIPOMAGNESEMIA

     20.8.2. CAUSAS:

          *   Diarrea
          *   Uso de diuréticos
          *   Sindrome de mala absorción
          *   Cetoacidocis diabética
          *   Alcoholismo
          *   Aspiración gastrointestinal prolongada
          *   Toxemia del embarazo
          *   Medicamentos (Anfotericina B, aminoglucósidos, pentamidina, ciclosporina, digoxina, manitol, cisplatino)



                                                       117
TERAPIA INTENSIVA

     20.8.3. DIAGNÓSTICO

          Clinico:

             * Arritmias cardiacas
             * Excitabilidad neuromuscular
             * Signos de Trousseau y Chvostek
             * Mareos
             * Estridor laringeo
             * Espasmos musculares
             * Convulsiones
             * Confusión mental
             * Coma
             * Anorexia y náuseas
             * Hipopotasemia
             * Hipocalcemia

          Laboratorio:

             Mg plasmático < a 1,5 meq/l (no obstante niveles normales pueden existir con Mg corporal total
             disminuido).

          ECG :

             - Onda T plana o invertida
             - Posible depresión del segmento ST
             - Intervalo QT prolongado
             - Onda U prominente
             - Arrítmias

     20.8.4. TRATAMIENTO:

          * Corrección de la causa.
          * Reposición con Sulfato de Mg.

          - Dosis:          2 gr IV cada 8 horas durante 3 dias consecutivos.

20.9. HIPERMAGNESEMIA

     20.9.2. CAUSAS:
          * Insuficiencia renal (fase oligúrica)
          * Administración excesiva de Mg (comp. con Mg)
          * Deshidratación




                                                    118
TERAPIA INTENSIVA

     20.9.3. DIAGNÓSTICO

          Clínico:
             Disinución de la conducción neuromuscular con:
             Debilidad muscular
             Parálisis fláccida ascendente
             Bradicardia
             Hiporreflexia
             Paro cardiaco
             Depresión respiratoria
             Hipotensión
             Letargo
             Bradipnea
             Coma
          ECG :
             Ondas T altas y puntiagudas
             Ensanchamiento del complejo QRS
          Laboratorio:
             Mg plasmático > 2,6 mg/dl.

     20.9.4. TRATAMIENTO:

          * La Hipermagnesemia asintomática solo necesita disminuir la administración de Mg y el tratamiento
            de la causa.

          * La Hipermagnesemia sintomática necesita tratamiento con Gluconato de calcio al 10 % (10-20 ml IV):
            antagoniza los efectos tóxicos de la hipermagnesemia.

          * Diálisis perítoneal y hemodiálisis si existe insuficiencia renal.

20.10. HIPERCALCEMIA

     20.10.1. CAUSAS:

          *   Hiperparatiroidismo
          *   Neoplasias malignas
          *   lntoxicacion por vitamina D.
          *   Enfermedad de Paget
          *   Hipertiroidismo
          *   Inmovilización prolongada

     20.10.2. DIAGNÓSTICO:

          Clinico:
             Fatiga
             Náuseas


                                                       119
TERAPIA INTENSIVA

              Disminución de la fuerza muscular
              Vómitos
              Cefalea
              Constipación
              Confusión mental
              Poliuria
              Sopor
              Polidipsia
              Coma

          Laboratorio:
             Calcio plasmático > a 10,5 mg/dl.

     20.10.3. TRATAMIENTO:

              Además del tratamiento de la causa, consiste en lo siguiente:

          a) Hidratación para expansión del Volumen extracelular y promover su excreción renal.
             Se sugiere SF: iniciar 200-400 ml/h para inducir un balance hídrico (+) de 2000 ml en las 1ras. 24 hs.
          b) Furosemida: luego de hidratación se puede usar 20-40 mg IV cada 6 hs.
          c) Corticoides: útiles en la hipercalcemia asociada a neoplasias.
          d) Pamidronato: reduce la reabsorción ósea de Ca++(se usa cuando las medidas iniciales a y b no fueron
             eficaces o cuando la hipercalcemia es severa, >13,5 mg/dl).
             Dosis: 60-90 mg IV diluidos en 1 litro de SF para 4 hs.

20.11. HIPOCALCEMIA

     20.11.1. CAUSAS:

          *   Hipoalbuminemia (reduce el Ca++ total pero no el Ca++ ionizado).
          *   Insuficiencia renal
          *   Pancreatitis aguda
          *   Hipoparatiroidismo
          *   Hípomagnesemia severa
          *   Rabdomiólisis

     20.11.2. DIAGNÓSTICO:

          Clínico:
             Espasmos musculares
             Tetania
             Signos de Trousseau y Chvostec
             Crisis convulsivas
             Laringoespasmo
             Disminución de la contractibilidad miocárdica
             Arritmias cardiacas y paro cardiaco


                                                      120
TERAPIA INTENSIVA

               Laboratorio:
                 Calcemia plasmática < a 8,5 mg/dl.
                 La Hipoalbuminemia causa reducción del Ca++: por cada disminución de 1 g/dl de albúmina por debajo
                 de 4 g/dl corresponde a una reducción de 0,8 mg/dl de Ca++.

           ECG :
             * Prolongación del intervalo QT
             * Arritmias cardiacas

      20.11.3. TRATAMIENTO:

           * La hipocalcemia secundaria a hipoalbuminemia no requiere tratamiento.
           * En otras situaciones: Gluconato de calcio o Cloruro de calcio.
             Dosis:10 ml de cloruro de calcio al 10 % IV en 10 min.,seguidos por 40 ml diluidos en 1 litro de SF.
             en 12-24 horas.

20.12. HIPOFOSFATEMIA

      20.12.1. CAUSAS:

           *     Alcoholismo
           *     Hiperparatiroídismo
           *     Cetoacidosis diabética
           *     Uso de Sol.glucosada IV, insulina o antiácidos.
           *     Quemadura severa
           *     Alcalosis respiratoria en presencia de:
                 - Bacterias gram(-)
                 - Abstinencia alcohólica
                 - Hiperventilación primaria
                 - Sobredosis de salicilatos
                 - Golpe de calor
                 - Tirotoxicosis

           Laboratorio:
           * Fósforo plasmático < a 2,5 mg/dl.
           * Aumento de Ca++, Mg, HCO3- y glucosa urinarios.

           El fosfato urinario puede elevarse en casos de insuficiencia renal.
           El fosfato urinario bajo indica alguna causa externa.

      20.12.2. TRATAMIENTO:

           Se basa en el nivel del fósforo plasmático y en la corrección de la causa.

          Fósforo plasm.(mg/dl)                           Fosfato de sodio*
          2,0 - 2,5                                       0,08 mmol/lkg IV


                                                         121
TERAPIA INTENSIVA

            1,0 - 2,0                               0,16 mmol/kg IV
            < 1,0                                   0,24 mmol/kg IV
            El fosfato de sodio debe ser administrado en infusión continua durante por lo menos 3 horas.
            *1 mmol 31 mg.

20.13. BIBLIOGRAFIA :

      • Rose BD. Clinical physiology of acid-base and electrolyte disorders. 4th ed. New York : Mc Graw-Hill, 1994.
      • Narins R, Jones E, Stom M , et al. Diagnosis and strategies in disorders of fluid, electrolytes and acid-base
        homeostasis. Am J Med 1993; 72: 496-520.
      • Singer GG. Tratamiento hidroelectrolítico. En: Ahya SN, Flood K, Paranjothi S. El Manual Washington de
        Terapéutica Médica. 30ma.Edición. Lippincott Williams and Wilkins 2.001; 43-75.
      • Nácul FE. Disturbios Electrolíticos. En: David CM, Goldwasser R, Nácul FE. Medicina intensive. Editorial
        Revinter. Rio de Janeiro 1997; 234-39.
      • Hammes M, Brennan S, Lederer ED. Trastornos Electrolíticos Graves. En: May JB, Schmidt GA, Wood LDH.
        Cuidados intensivos. 2a. Edición. Mc Graw-Hill Interamericana. México DF. 2.001; 1267-81.
      • Brennan S. Trastornos renales e hidroelectrolíticos. En: Varon J. Cuidados intensivos. Editorial Mosby/Doyma.
        Madrid (España) 1995; 364-79.
      • Fernández CE, Jareño Ch A., Garcia de la Infanta A. Trastornos del Equilibrio Hidroelectrolítico. En: Urgencias.
        Colección Farmitalia Carlo Erba de Diagnóstico y Tratamiento. 1ª. Edición. Editorial JIMS. Barcelona (España)
        1988; 111-22.
      • Bazerque F, Kairiyama O. Síndromes Hiperosmolares. En: Juan Pacin. Terapia intensiva. 3ª edición. Editorial
        Médica Panamericana. Buenos Aires 2.000; 638-47.
      • Rose BD. New approach to disturbances in the plasma sodium concentration. Am J Med 1986; 81: 1033-40.
      • Adrogué HJ, Madias NE. Aiding fluid prescription for the dysnatremias. Intensive Care Med 1997; 23: 309-
        16.
      • Adrogué HJ, Madias NE. Hypernatremia. N Engl J Med 2.000; 342(20): 1493-98.
      • Hyperosmolar states-hypernatremia. In: Rose BD. Clinical physiology of acid-base and electrolyte disorders.
        4th ed. New York: Mc Graw-Hill 1994: 695-736.
      • Kairiyama O, Caputo D. Hipopotasemia. En: Juan Pacin. Terapia intensiva. 3ª edición. Editorial Médica
        Panamericana. Buenos Aires 2.000; 648-52.
      • Kairiyama O, Bazerque F. Hiperpotasemia. En: Juan Pacin. Terapia intensiva. 3ª edición. Editorial Médica
        Panamericana. Buenos Aires 2.000; 653-58.
      • Blevin LS, Wand GS. Diabetes insipidus. Crit Care Med 1992; 20:69-79.
      • Ayus JC, Arief AI. Pulmonary complications of hyponatremic encephalopathy: noncardiogenic pulmonary
        edema and hypercapnic respiratory failure. Chest 1995; 107: 517-21.
      • Zaloga GP. Hypocalcemia in critically ill patients. Crit Care Med 1992; 20: 251-62.
      • Agusti AG, Torres A, Estopa R, Agusti-Vidal A. Hypophosphatemia as cause of failed weaning: importance
        of metabolic factors. Crit Care Med 1984; 12:142-3.
      • Marino PL. El Libro de la UCI. 2ª edición. Editorial Masson-Williams and Wilkins. Barcelona (España) 1998.
      • Salem M, Munoz R, Chernow B. Hypomagnesemia in critical illness. Crit Care Clin 1991; 7: 225-52.
      • Van Hook JW. Hipermagnesemia. Crit Care Clin 1991; 7: 215-23.
      • Kaiyama O, Caputo D. Trastornos del Magnesio. En: Juan Pacin. Terapia intensiva. 3ª edición. Editorial Médica
        Panamericana. Buenos Aires 2.000; 659-64.




                                                         122
TERAPIA INTENSIVA

                                                                                                21. COMA
*Dr. Williams Vidal Panique Rojas



21.1. DEFINICIÓN:
        El término coma, indica arreactividad neurológica. Representa una parte de un todo que se extiende desde
        el funcionamiento normal hasta la ausencia de función neurológica con estados intermedios de somnolencia
        y estupor.

21.2. ETIOLOGÍA:
      Lesiones supratentoriales (que causan disfunción del tallo encefálico)
         Hemorragia cerebral
         Infarto cerebral voluminoso
         Hematoma subdural.
         Tumor cerebral.
         Absceso cerebral.

       Lesiones subtentoriales (que comprimen la formación reticular)
          Hemorragia protuberancial o cerebelosa.
          Infarto.
          Tumor.
          Absceso cerebeloso.

       Lesiones metabólicas y difusas.
          Anoxia o isquemia.
          Hipoglucemia.
          Deficiencia nutricional.
          Insuficiencia o deficiencia orgánica endógena.
          Envenenamiento exógeno.

          Infecciones:
                     Meningitis
                     Encefalitis.
          Transtornos iónicos y de electrolitos.
          Conmoción y estado postictales.
       Ausencia de respuesta psicógena.

21.3. EXÁMENES COMPLEMENTARIOS:

                      E.E.G.
                      T.A.C.
                      R.M.N.
                      Arteriografía cerebral.
                      Electrolitos.
                      Gasometría arterial.


                                                           123
TERAPIA INTENSIVA

21.4. DIAGNOSTICO DIFERENCIAL:

                    Masas supratentoriales.
                    Lesiones estructurales subtentoriales.
                    Enfermedad psiquiátrica.
                    La demencia.

21.5. TRATAMIENTO:
        Asegurar una adecuada vía aérea permeable y oxigenación.
        Mantener la circulación.
        Controlar las convulsiones generalizadas.
        Restaurar el equilibrio ácido básico y osmolar.
        Tratar las infecciones.
        Tratar las alteraciones de la temperatura corporal.
        Aplicar de 50 a 100 mg de tiamina por vía intravenosa.
        Considerar el uso de antídotos específicos.
        Controlar la agitación.
        Proteger las córneas contra abrasiones.

21.6. BIBLIOGRAFÍA:

       • Mohr JP, Coma. Problemas Clínicos en Neurología. 1994 350-5




                                                        124
TERAPIA INTENSIVA

                                                                                     22. ESTADO EPILÉPTICO
*Dr. Williams Vidal Panique Rojas

22.1. DEFINICIÓN:
      Se define como una actividad convulsiva continua durante 30 minutos o intermitente en un periodo de 30 minutos
      sin que el paciente recobre el conocimiento.

       Es la repetición rápida de cualquier tipo de ataques sin recuperación entre ellos. El término se aplica a los ataques
       de epilepsia generalizada, cuando el paciente sigue sin conocimiento y con ataques continuos, fluctuaciones
       clónicas y tónicas, incontinencia y respiración gravemente perturbada, fiebre alta, sudor intenso y aumento de
       la presión arterial.

22.2. ETIOLOGÍA:
         Supresión de anticonvulsivo.
         Relacionado con alcohol.
         Toxicidad farmacológica.
         Infección del sistema nervioso central.
         Neoplasia cerebral.
         Traumatismo.
         Epilepsia resistente a tratamiento.
         Apoplejía.
         Trastornos metabólicos.
         Paro cardiaco.
         Desconocida.

22.3. CUADRO CLÍNICO:
      Convulsiones tónico clónico subintrante.

       22.3.1. EXÁMENES COMPLEMENTARIOS:
                   Electroencefalograma.
                   Liquido cefalorraquídeo.
                   Radiografías de cráneo y tórax.
                   T.A.C.
                   Gammagrafia cerebral con isótopos radiactivos.
                   Electrolitos sanguíneos.
                   Punción lumbar.

22.4. TRATAMIENTO:
                Anticonvulsivantes:
                Diazepam.                                 Fenobarbital.
                Lorazepam.                                Pentobarbital.
                Fenitoina.                                Hidrato de cloral.
                Lidocaina.                                Valproato.

22.5. BIBLIOGRAFÍA:

       • Lueders Hans. O.Epilepsia. Problemas Clínicos en Neurología. 1994; 350-13.
                                                            125
TERAPIA INTENSIVA

                                                                             23. COMA HIPOGLUCÉMICO.
*Dr. Williams Vidal Panique Rojas


23.1. DEFINICIÓN:

           Es la pérdida de la conciencia por disminución de los niveles sanguíneos de glucosa.

23.2. ETIOLOGÍA:

       En los diabéticos es consecuencia de:
             Alteración en el contenido o en la cronología de las comidas.
             Aumento de la actividad física.
             Sobredosis de medicamentos.

       En los no diabéticos:
             Falta de aporte de hidratos de carbono.
             Ayuno prolongado.
             Ejercicio físico excesivo.

23.3. CUADRO CLÍNICO:

           Los síntomas de tipo autónomo son: sudoración, temblores, sensación de calor, angustia y náusea. En cambio
           las manifestaciones neuroglucopénicas son mareos, confusión, cansancio, dificultad para hablar, cefalalgia
           e imposibilidad de concentración psíquica.

23.4. EXÁMENES COMPLEMENTARIOS:

           Glicemia.
           Electrolitos séricos.

23.5. TRATAMIENTO:

       Administrar soluciones de dextrosa al 20 y 50 %.

23.6. BIBLIOGRAFÍA:

       • American Diabetes Asociation. Manejo Médico de la Diabetes Insulino Dependiente. 1994: 156.




                                                          126
TERAPIA INTENSIVA

                                                                               24. COMA CETOACIDÓTICO
*Dr. Williams Vidal Panique Rojas


24.1. DEFINICIÓN:

       La cetoacidosis diabética es una perturbación metabólica que incluye tres anormalidades coincidentes: hiperglicemia,
       hipercetonemia y acidosis metabólica.

24.2. ETIOLOGÍA:
                      Infección.
                      Omisión o uso inadecuado de insulina.
                      Diabetes de comienzo reciente.
                      Hechos diversos.

24.3. EXÁMENES COMPLEMENTARIOS:

                      Glicemia.
                      Cetonemia.
                      Gases arteriales.
                      Electrólitos.
                      Nitrógeno ureico.
                      Amilasa.
                      Examen de orina.
                      Radiografía de tórax.
                      Electrocardiograma.

24.4. TRATAMIENTO:
      Solución salina normal la primera hora y luego soluciones hipotónicas de acuerdo a PVC.
      Insulina cristalina I.V. de acuerdo a escala móvil.
      Potasio.
      No administrar bicarbonato si el pH es mayor a 7.0.

24.5. BIBLIOGRAFÍA:

       • American Diabetes Asociation. Manejo Médico de la Diabetes Insulino Dependiente. 1994: 76.
       • Kitabchi A. Wall B.Cetoacidosis diabética. Urgencias Endocrinas. Clínicas Medicas de Norteamérica.
         Interamericana Mc Graw Hill 1995/1; 239-9.




                                                           127
TERAPIA INTENSIVA

                                                      25. COMA HIPEROSMOLAR NO CETÓSICO.
*Dr. Williams Vidal Panique Rojas


25.1. DEFINICIÓN:

       Este síndrome se caracteriza por deshidratación, hiperglucemia y una mayor osmolalidad efectiva en ausencia
       de cetoacidosis significativa.

25.2. ETIOLOGÍA:

                      Pérdida de agua libre.
                      Incremento puro de solutos.
                      Hipertonicidad mixta.
                      Infecciones.
                      Yatrogenia.

25.3. CUADRO CLÍNICO:

                      Datos neurológicos focales en la hipertonicidad no cetósica.
                      Convulsiones.
                      Afasia.
                      Hemiparesia.
                      Defectos hemisensoriales.
                      Contracciones miotónicas.
                      Hipertonía o hipotonía muscular focal.
                      Hiperepnea.

25.4. TRATAMIENTO:

       Tratamiento inicial (horas 0 a 12)
                      Reposición volumétrica.
       Segunda etapa (horas 12 a 48)
                      Corrección de la causa subyacente de la hipertonicidad no cetósica.
                      Restaurar la tonicidad a la normalidad.
                      Corrección del desequilibrio ácido básico.
       Tercera etapa (días 2 a 4)
                      Reposición de electrolitos y agua, iones magnesio y fosfato.

25.5. BIBLIOGRAFÍA:

       • American Diabetes Asociation. Manejo Médico de la Diabetes Insulino Dependiente. 1994: 89.
       • Sorber D. Hipertonicidad no cetótica en la diabetes sacarina. Urgencias Endocrinas. Clínicas Medicas de
         Norteamérica. Interamericana Mc Graw Hill 1995/1 239 -41.



                                                         128
TERAPIA INTENSIVA

                                                                                 26. EDEMA CEREBRAL.
*Dr. Williams Vidal Panique Rojas

26.1. DEFINICIÓN:
      Se define simplemente como un aumento del contenido de agua en el encéfalo.

26.2. ETIOLOGÍA:
      Absceso cerebral.
      Hipertensión intracraneal benigna.
      Neoplasia cerebral con edema.
      Hemorragia cerebral.
      Trombosis del seno venoso cerebral.
      Cetoacidosis diabética.
      Eclampsia/encefalopatía hipertensiva.
      Encefalitis.
      Insuficiencia hepática fulminante.
      Hidrocefalia.
      Infarto cerebral.
      Intoxicación por plomo.
      Meningitis.
      Síndrome de Reye.
      Traumatismos.

26.3. CUADRO CLÍNICO:
      El edema cerebral no afecta de manera directa la actividad neuronal. Sus principales consecuencias se derivan
      de su efecto de masa y de deformación del tejido cerebral circunvecino. Las manifestaciones clínicas dependen
      del territorio afectado.

26.4. EXÁMENES COMPLEMENTARIOS:
                T.A.C.
                Catéter ventricular.
                Tornillos subaracnoideos.
                Monitor epidural.
                Monitor parenquimatoso fibróptico.
                Electroencefalograma.
                Potenciales evocados.

26.5. TRATAMIENTO:
                Manitol.
                Furosemida.
                Barbitúricos.
                Esteroides.
                Ventilación mecánica.

26.6. BIBLIOGRAFÍA:
      • Randall M. Chesnut. Secondary Brain Insults Alter Head Inury: Clinical perspectives. New Horizons. The
         Science and Practice of Acute Medicine. 1995: 593-366.
                                                        129
TERAPIA INTENSIVA

        27. ACCIDENTE CEREBROVASCULAR AGUDO: MANEJO CLÍNICO GENERAL
* Dr. Oscar Vera Carrasco
27.1. SOPORTE VITAL AVANZADO

     • Estabilizacion de las funciones respiratoria y cardiocirculatoria (ARM, monitoreo hemodinámico y de gases
       sanguineos, drogas vasoactivas, marcapaso, etc).
     • Evitar tanto hipoxemia como hipercapnia, mantener PaCO2 entre 20-25 mmHg.
     • Tratamiento de patologias agudas, crónicas reagudizadas o intercurrencias.

27.2. PREVENCIÓN/TRATAMIENTO

     Convulsiones : Si las presentó o si el paciente tiene una lesion cortico-subcortical que potencialmente pueda generarlas:
          • Diazepam: dosis incrementadas de 5 a 40 mg IV o
          • Difenilhidantoina : dosis de carga 15-18 mg/kg IV.; velocidad de infusion No mayor de 50 mg/min. Dosis de
                mantenimiento: 100 mg cada 8 horas.

     Agitación :
            • Midazolam : dosis de carga 0,15-0,3 mg/kg IV. ; dosis de mantenimiento: 0,005-0,13 mg/kg/hora.

     Hipertermia : medios fisicos o AINEs:
            • Paracetamol: 500 mg cada 6 horas VO - enteral.
            • Acido acetilsalicilico 500 mg cada 6 horas (NO EN AVC HEMORRÁGICO) vias IV u oral.

     Maniobras que aumentan la Presion intracraneana (PIC): tos, esfuerzos, colocacion de SNG, medidas rutinarias de enfermeria.
          • Elevación de la cabecera hasta 30º (reduce la PIC al favorecer el retorno venoso cefálico).
          • Efectuar sedacion previamente, si es posible.
          • Realizar maniobras suaves, precisas, rápidas y efectivas.

     Hiperglucemia : aumenta la producción de lactato en la zona de penumbra isquémica, produciendo un mayor daño tisular.
           • No administrar soluciones glucosadas.
           • Si la glucemia es mayor de 200 mg/dl., utilizar Insulina corriente en minidosis, perfusion continua, con bomba
                de infusion si es posible.

     Hipertension arterial:
           • No se aconseja efectuar sistemáticamente un tratamiento antihipertensivo, ya que el descenso agudo de la PA
                podría incrementar el alcance de las lesiones. Esto es aplicable también a los pacientes con HTA grave (Presión
                diastólica superior a 120 mmHg).
           • Inducir descensos progresivos, procurando mantener la PAM entre 95-115 mmHg.
           • Si hay edema cerebral, No usar vasodilatadores(NTG, Nitroprusiato) que aumentan FSC, favorecen más edema
                y elevan la PIC.
           • No usar bloqueantes cálcicos por vía sublingual: absorción rápida y errática que disminuye el FSC, aumentando
                 el fenómeno de isquemia (Nifedipino). Idem para el Diazóxido.
           • Si existe ACV isquemico y antecedentes de Hipertensión arterial sistémica, mantener la PA sistólica hasta 180
                mmHg.
           • Si existe ACV hemorrágico y antecedentes de Hipertensión arterial sistémica, mantener PA sistólica
                hasta 150 mmHg.

                                                            130
TERAPIA INTENSIVA


      MEDICAMENTOS :

            -    Nitroprusiato de sodio: 0,3-8 mcg/kg/min. IV en infusion continua; comienzo de accion:1-2 minutos
                 y duración de efecto:1-3 minutos.
                 Usar no más de 72 horas.

            -    Nitroglicerina: 5-300 mcg/minuto IV en infusión continua, comienzo de acción: 1-2 minutos, efecto
                 pico:1-2 minutos y duración de efecto: 1-3 minutos.

            -    Labetalol: 0,25 mg/kg IV en 10 minutos. Aumentar dosis de 40-80 mg. a intervalos de 10 minutos,
                 hasta obtener la PA deseada o hasta una dosis total de 300 mg. Velocidad de infusión: 2 mg/min.
                 Comienzo de acción: 3-5 minutos; efecto pico: 10-20 minutos y duración de efecto: 3-6 horas. No
                 usar en insuficiencia cardiaca y Asma bronquial.

            -    Enalapril: 0,625-1,25 mg Iv en bolo cada 6 horas. Comienzo de acción: 10-15 minutos; efecto pico:
                 30 minutos- 4 horas; duracion de efecto: 6-8 horas. Vigilar kalemia.

            -    Clonidina: 0,2 mg inicial y luego 0,1 mg/hora IV. Titular dosis.Vigilar ritmo cardiaco y sensorio.

                 En cuanto sea oportuno pasar a medicación antihipertensiva por via oral-enteral: bloqueantes de
                 canales de calcio, inhibidores de la ECA, etc.Nutrición precóz : oral-enteral si el TGI esta indemne.

27.3. NUTRICIÓN PRECÓZ: ORAL-ENTERAL SI EL TGI ESTA INDEMNE.

            -    Requerimientos calóricos: 35-45 kcal/kg/dia.
            -    Requerimientos proteicos: 1,3-1,8 g/kg/dia.
            -    Aporte de Vitaminas y Oligoelementos: complejo B, vitamina K, C, A; Mg, PO4, Zinc, etc.Rehabilitacion
                 temprana y continuada.

27.4. REHABILITACIÓN TEMPRANA Y CONTINUADA.

            -    Fisioterapia neuromuscular y respiratoria.

27.5. PREVENCIÓN DE LESIONES POR PRESIÓN (ESCARAS).

            -    Cambios de posición cada 2 horas para evitar úlceras por decúbito.

27.6. PREVENCIÓN/CONTROL DE INFECCIONES.

27.7. PROFILAXIS DE TROMBOSIS VENOSA PROFUNDA Y TROMBOEMBOLISMO PULMONAR:

      *ACV isquémico: 1. Heparina calcica 5.000-7.000 UI. SC. c/12 horas.
                      2. Enoxaparina 20 mg/dia, via SC.

      *ACV hemorrágico: Vendas elásticas intermitentes


                                                         131
TERAPIA INTENSIVA

27.8. VALORAR EL SOPORTE PSICOLÓGICO: SI RECUPERA CONCIENCIA.

27.9. O T R O S :

            -    Profilaxis de la gastropatía por estrés (Ranitidina, Sucralfato u Omeprazol), movilización temprana
                 en el paciente estable neurológicamente y con sumo cuidado en pacientes con insuficiencia vascular
                 del territorio posterior; cambios de posición cada 2 a 3 horas para evitar lesiones por decúbito y
                 prevenir contracturas.

27.10. BIBLIOGRAFÍA :

      • Hospital Interzonal General de Agudos “Prof. Dr. Rodolfo Rossi” – La Plata. Accidente Cerebrovascular:
        Algoritmos de Diagnóstico y tratamiento en pacientes críticos. Talleres Gráficos de Medical Graf. La Plata-
        Argentina 1998.
      • Hayek D, Veremakis C. Phisiologic Concerns during brain resuscitation. Critical Care. 2nd edition 1992; 1449-
        69.
      • Diringer MN. Neurologic Critical Care: Intracerebral Hemorraghe. Pathophisiology and management. Crit Care
        Med 1993; 21: 10; 1591-1603.
      • Villareal C, Narayan R. Neurologic monitoring. Critical Care. Second edition. Caps. 28-353-364. Civetta-
        Taylor-Kirby 1992.
      • Cherian L, Peek K, Robertson C, Goodman J, Grossman R. Caloric sources and recovery from central nervous
        system ischemia. Crit Care Med 1994; 22: 1841-50.
      • A Working Group Emergency Brain Resuscitation: Emergency Brain Resuscitation. Ann Int Med 1995; 122:
        622-7.
      • Alderman M. Blood Presure Management: Individualized treatment based on absolute risk and the potential
        for benefit. Ann Int Med 1993; 119: 329-35.
      • Prough D, De Witt D. Cerebral Protection. The Pharmacologic approach to criticaly ill patient. Third edition.
        B. Chernow 1994.
      • Yatsu FM. Cardiopulmonary-cerebral resuscitation. NEJM 1986; 440-1.
      • Stern B, Diringer MN. Pharmacologic approach to stroke and related neurologic emergencies. The pharmacologic
        approach to the critically ill patient. Third edition. B. chernow 1994.
      • Wijdicks EFM. The Clinical Practice of Critical Care Neurology. Lippincott-Raven publishers. Philadelphia-
        New York 1997.
      • Marino PL.Ictus y Trastornos afines. En: Paul L. Marino. El Libro de la UCI. 2a. edición. Editorial Masson-
        Williams and Wilkins. Bercelona (España) 1998; 881-92.
      • Yamada KA, Awadalla S. Trastornos neurológicos. En: Ahya,Flood, Paranjothi. El Manual Washington de
        Terapéutica Médica. 30ma. edición. Editorial Lippincott Williams and Wilkins 2001; 516-26.




                                                        132
TERAPIA INTENSIVA

                                                                      28. HEMORRAGIA SUBARACNOIDEA
Dr. Oscar Vera Carrasco


       La hemorragia subaracnoidea (HSA) puede debutar sólo con cefalea grave de comienzo súbito. También puede
       haber letargo o coma, fiebre, vómitos, convulsiones y dolor lumbar. Los déficit neurológicos focales, la rigidez
       de nuca y las hemorragias retinianas sugieren HSA.

28.1. CLASIFICACIÓN DE HUNT Y HESS:

       •   Grado I -. Asíntomático. Cefalea leve, rigidez de nuca.
       •   Grado II: Cefalea moderada-severa. Rigidez de nuca. Paresia de pares Caneales (generalmente III par).
       •   Grado III. Obnubilación, confusión, déficít motor leve.
       •   Grado VI . Estupor, hemiparesia moderada-severa. Rigidez de descerebración. trastornos neurovegetativos.
       •   Grado V: Coma, rigidez de descerebración.

28.2. CLASIFICACIÓN DE FISHER (TAC: CANTIDAD Y LOCALIZACIÓN DE SANGRE EN LA HSA) :

       •   Grado I.- No hay sangre detectable en la TAC.
       •   Grado II : Disposición difusa de la sangre en el espacio subaracnoideo (ESA), sin coágulos y una capa vertical de 1 mm.
       •   Grado III Coágulos localizados en ESA o una capa vertical de sangre > 1 mm..
       •   Grado IV. Sangre íntracerebral o íntraventricular, en ausencia de significativa cantidad de sangre subaracnoidea.

28.3. MANEJO Y TRATAMIENTO DE LA HEMORRAGIA SUBARACNOIDEA

       1. ESTABILIZACION INICIAL: soporte vital básico o avanzado (ABC para: mantener permeabilidad de vías
          aéreas, buena oxigenación y ventilación, adecuado estado hemodinámico).
       2. REPOSO, con cabecera hasta 30º.
       3. TRATAMIENTO D E LA CEFALEA:
             -    Paracetamol 500 mg cada 6 horas.
             -    Nalbufina 20 mg cada 6 horas o Morfina 1-2 mg cada 4 horas.
             NO UTILIZAR ACIDO ACETILSALICILICO.

       4. PREVENCIÓN DE LA ISQUEMIA CEREBRAL TARDÍA:
       Iniciar el tratamiento precozmente (24-48 horas de ocurrida la Hemorragia subaracnoidea).
       • Nimodipina por vía oral (vía recomendada) : 60 mg cada 4 horas. Es eficaz para reducir el vasoespasmo
          cerebral.
       • Nimodipina por vía EV. ( produce hipotensión arterial severa) : 0,5 mcg/kg/min. Comenzar con la mitad de
          la dosis. Si en 1 hora no disminuyó la PA, administrar la dosis completa.
          Si se utiliza esta vía, luego de 7 días se puede pasar a la vía oral o SNG.
       • Duración del tratamiento : hasta completar los 21 días de ocurrida la Hemorragia subaracnoidea.

       5. EVITAR LA AGITACIÓN:

       • Midazolam: Dosis de carga 0,15-0,3 mg/kg peso.                             Mantenimiento 0,13 mg/kg/hora..
         NO UTILIZAR NEUROLÉPTICOS

                                                              133
TERAPIA INTENSIVA

6. PREVENCIÓN TRATAMIENTO DE LAS CONVULSIONES:
     -  Difenilhidantoina : Dosis de carga 15-18 mg/kg por vía 1.V. Velocidad de inf'usión NO MAYOR de
        50 mg/hora. Dosis de mantenimiento: 100 mg cada 8 horas (5 a 6 mg/kg/día).

7. MONITORIZACIÓN DEL RITMO CARDIACO.

8. EVITAR LA HIPONATREMIA

      -    SIADH (disminución del Na+ dilucional) : restricción de líquidos.
      -    Pérdida real de Na+ : aporte de sodio. Cloruro de sodio al 3 % 50 ml TID en pacientes con riesgo
           de vasoespasmo cerebral.
           Realizar ionograma diario.

9. EVITAR LA HIPOVOLEMIA:
     -   Hidratación : 3.000-3500 ml/día, con aporte de Na+ (2.000 ml de Solución salina isotónica). Realizar
         balance hídrico diario.

10. ESTABILIZACIÓN DE LA PRESIÓN ARTERIAL:

      •    Inducir descensos progresivos, EVITAR HIPOTENSIÓN ARTERIAL (puede agravar los déficit isquémicos).
      •    Nitroprusiato de sodio : 0,5-8 mcg/kg/minuto, SOLO CUANDO NO EXISTE RIESGO DE HIPERTENSIÓN
           ENDOCRANEANA Y NO SE PUEDEN
           M A N E J A R L A S C I F R A S T E N S I O N A L E S C O N O T R O S A N T I H I P E RT E N S I V O S
      •    Los bloquenates alfa y beta adrenérgicos tienen poco efecto sobre el LCR, por lo que serían los
           fármacos indicados, de no existir contraindicaciones cardiopulmonares (Ej. Labetalol).
      •    Inhibidores de la ECA: 1-5 mg I.V. o Esmolol: en bolo 500 mcg/kg en 1 minuto si la PAM es mayor
           a 130 mmHg.
      •    Pasar rápidamente a la vía oral-enteral de ser posible.
      •    Mantener la Presión Arterial Sistólica : 120-150 mmHg; Presión Diastólica 60-90 mmHg.

11.CORRECCIÓN DE HIPERGLUCEMIA > de 200 mg/dl :

      •    Insulina corriente en perfusión continua intravenosa en minidosis.
      •    Si no existe acidosis usar la vía subcutánea.
           - Controles frecuentes de la glucemia.

12. PROFILAXIS DE LA TROMBOSIS VENOSA PROFUNDA Y TROMBOEMBOLISMO PULMONAR :

      -    Vendas elásticas intermitentes en extremidades inferiores.
           NO USAR.ANTIAGREGANTES PLAQUETARIOS NI HEPARINA.

13.PREVENCIÓN DE MANIOBRAS DE VALSALVA : evitar constipación, vómitos,etc.(elevan la PIC).

      -    Utilizar ablandadores de heces y laxantes suaves para prevenir el estreñimiento, además,
           antieméticos.



                                                  134
TERAPIA INTENSIVA

       14. NUTRlClON ORAL-ENTERAL PRECÓZ.

              -    Nutrición enteral a partir del segundo día.

       15.PREVENCIÓN/CONTROL DE INFECCIONES.

       16.REHABILITACIÓN TEMPRANA Y CONTINUADA.

              -    Fisioterapia neuromuscular y respiratoria.

       17.SOPORTE PSICOLÓGICO.

       18. TRATAMIENTO QUIRÚRGICO :

              -    Existe controversia respecto al tratamiento quirúrgico de los pacientes con hemorragia subaracnoidea
                   y aneurismas. La propensión a la hemorragia de los aneurismas induce el deseo de obliterar
                   quirúrgicamente toda lesión accesible, pero se debate el momento de la cirugía. Muchos prefieren
                   esperar 5-10 días después del episodio debido al vasoespasmo cerebral; otros recomiendan la cirugía
                   precoz.

       19. O T R O S :

              -    Profilaxis contra broncoaspiración, gastritis y úlceras por decúbito.

28.4. BIBLIOGRAFÍA :
      • Hospital Interzonal General de Agudos “Prof. Rodolfo Rossi” – La Plata. Accidente Cerebrovascular: Algoritmos
         de diagnóstico y tratamiento en pacientes críticos. Talleres Gráficos de Medical Graf. La Plata – argentina
         1998.
      • Hayek D, Veremakis C. Physiologic Concerns during brain resucitation. Critical Care. 2nd edition 1992; 1449-
         65.
      • Diringer MN. Neurologic Critical Care: Intracerebral Hemorraghe. Pathophisiology and management. Crit Care
         Med 1993; 21 (10): 1591- 1603.
      • Villareal C, Narayan R. Neurologic monitoring. Critical Care Med 1990; 18: 768-74.
      • Goldtein LB, Matcher DB. Clinical assessment of stroke. JAMA 1994; 271,(14): 1114-20.
      • Wijdicks EFM. The Clinical Practice of Critical Care Neurology. Lippincott-Raven publishers. Philadelphia-
         New York 1997.
      • Marino PL. Ictus y trastornos afines. En: Pul L. marino. El Libro de la UCI. 2a. edición. Editorial Masson-
         Williams and Wilkins. Barcelona(ESpaña) 1998; 881-92.
      • Yamada KA, Awadalla S. Trastornos neurológicos. En: Ahya, Food, Paranjothi. El Manual Washington de
         Terapéutica Médica. 30ma. edición. Editorial Lippincott Williams and Wilkins 2001; 516-26.




                                                           135
TERAPIA INTENSIVA

                                                                 29. SÍNDROME DE GUILLAÍN BARRÉ
                        (Polineuropatía desmielinizante inflamatoria aguda , Polineuritis Aguda Idiopática)
* Dr. Gonzalo Luis Poma Plata

29.1. DEFINICIÓN:

       Inmunopatía idiopática que ocasiona una neuropatía inflamatoria, de curso agudo o subagudo, predominantemente
       motora y desmielinizante.

29.2. ETIOLOGÍA Y PATOGENIA:

       Autoinmune, En dos tercios de los pacientes hay enfermedad precedente 1 a 3 semanas antes de desarrollar el
       cuadro paralítico. Generalmente infecciones por CMV, virus de Epstein-Barr y HIV, Campylobacter jejuni,
       Mycoplasma pneumoniae y BGN, vacunaciones, cirugía, , oro, D-penicilamina y fluorquinolonas, procesos
       autoinmunes como :púrpura trombocitopénica idiopática, glomerulonefritis, tiroiditis, colitis ulcerosa, púrpura
       de Schönlein-Henoch, miastenia grave o esclerosis múltiple y neoplasias como enfermedad de Hodgkin y otros
       linfomas.

       ANATOMÍA PATOLÓGICA. La desmielinización multisegmentaria junto a la infiltración celular perivascular
       endoneural multifocal, preferentemente en las raíces, en zonas sometidas a compresión y en terminaciones
       nerviosas distales .

29.3. CLÍNICA:

       Debilidad y la arreflexia, subaguda en días, generalmente simétrica, típica de comienzo distal en los miembros
       inferiores, patrón ascendente. A veces, comienzo craneal, en los miembros superiores o en zonas proximales.
       Grado de paresia variable, puede llegar a afectarse la musculatura respiratoria. En un gran porcentaje de casos
       existe afectación facial y, con menor frecuencia, de otros nervios craneales, oculomotores. La arreflexia
       osteotendinosa suele ser universal, aunque también puede ser más localizada, generalmente distal y simétrica.

       29.3.1. FORMAS CLÍNICAS:

             a) Síndrome de Fisher, caracterizado por arreflexia, ataxia y oftalmoparesia;

             b) Síndrome de Guillain-Barré motor puro, con afectación patológica exclusiva de las raíces anteriores;

             c) Síndrome de Guillain-Barré sensitivo puro, con localizaciones de las lesiones inflamatorias y
                desmielinización en las raíces posteriores y los nervios sensitivos;

              d) Síndrome de Guillain-Barré craneal, habitualmente con oftalmoplejía y diplejía facial.

                 En algunos casos se puede afectar también el sistema nervioso autónomo, se observa labilidad de la
                 presión arterial y de la frecuencia cardiaca, hipotensión, postural, episodios de bradicardia intensa, a
                 veces asistolia.


                                                          136
TERAPIA INTENSIVA

29.4. DIAGNÓSTICO Y DIAGNÓSTICO DIFERENCIAL.

      29.4.1. LCR Y ESTUDIOS ELECTROFISIOLÓGICOS.

                En el LCR : hiperproteinorraquia, que puede faltar en las primeras semanas de evolución. En casos
                aislados puede existir una leve pleocitosis (menor de 10 células/ml). Las concentraciones de proteínas
                en el LCR suelen ser normales durante los primeros 3 días de la afección, a continuación aumentan
                de manera constante y puede exceder 500mg/100 ml.

                Estudios electrofisiológicos : aumento de las latencias distales y de las ondas F, bloqueo de la conducción
                y disminución de las velocidades de conducción.
                Diagnósticos diferenciales : neuropatías de presentación subaguda como ser: porfiria, difteria, parálisis
                de garrapata y algunas neuropatías tóxicas, metabólicas, infecciosas y vasculíticas, neuropatía asociada
                a enfermedad crítica, asociada a sepsis y fracaso multiorgánico.

29.5. PRONÓSTICO:

      10-20 % de los pacientes requerirán ventilación asistida por insuficiencia respiratoria, y 2-4 % fallecerá por
      complicaciones.

29.6. TRATAMIENTO:

          Prevención y el tratamiento de las complicaciones (insuficiencia respiratoria, infecciones, disfunción autónoma,
          y tromboembolia pulmonar).
      -   Evaluar y dar soporte vital dependiendo del estado clínico, en caso de requerir ventilación mecánica.
      -   Gasometría arterial previa y posterior a conexión a ventilador.
      -   Evaluar tiempo potencial de intubación y posible traqueostomía.
      -   Definir vía de alimentación enteral.
          Tratamiento específico: la plasmaféresis,en relación con una disminución de los anticuerpos antimielina ,
          superior en las primeras 2 semanas.
          Tres a cinco sesiones durante 7 a 10 días, reemplazando 40-50 ml / kg /día, bien con albúmina o plasma
          fresco.
          Gammaglobulina intravenosa dosis (0,4 g/kg/día durante 5 días).
          El calor es útil para el alivio del dolor y permite una aplicación precoz de la fisioterapia.
          Evitar la inmovilización, dado que puede producir anquilosis.
          Deben iniciarse de inmediato movimientos pasivos de extensión completa de las extremidades; los ejercicios
          activos se inician en cuanto ceden los síntomas agudos. Heparina, 5000 U sc cada 12 horas
          Los corticoides empeoran el pronóstico de la enfermedad por lo que no deben utilizarse
          El 10% de los pacientes presentan recidivas después de la mejoría inicial y entran en un estadío crónico
          (polineuropatía crónica recidivante).
          Los corticoides reducen la debilidad en la fase crónica y puede ser necesario un tratamiento postural. Los
          fármacos inmunodepresores (azatioprina o ciclofosfamida) y la plasmaféresis son beneficiosas en algunos
          pacientes.




                                                          137
TERAPIA INTENSIVA

29.7. BIBLIOGRAFÍA

     • Pacin Juan ,Maskin Bernardo ,Pálizas Fernando. Terapia Intensiva 3ra Edición . Buenos Aires Argentina :
       Panamericana ,2000.
     • Grenvik Ake ,MD ; Ayres Stephen ,MD ; Holbrook Peter ,MD ; Shoemaker William , MD . Compendio del
       Tratado de Medicina Crítica y TERAPIA INTENSIVA . Buenos Aires Argentina : Panamericana , 1998.
     • Bartlett Robert H. Fisiopatología en Medicina Intensiva ,1ra Edición ,Barcelona España , Editorial Masson
       –Little ,Brown 1997.
     • Marino Paúl L . El libro de la UCI .2 da Edición .Barcelona España :
       MASSON – Williams & Wilkins ,1998.




                                                     138
TERAPIA INTENSIVA

                                                                         30. CETOACIDOSIS DIABÉTICA
* Dr. Oscar Vera Carrasco.

30.1. DEFINICIÓN :

        La cetoacidosis diabética (CAD) es un estado hiperglucémico en pacientes con diabetes mellitus, que se caracteriza
        por déficit de insulina y un exceso relativo de glucagón y de otras hormonas contrareguladoras.

        Se caracteriza también por la presencia de cetosis.

30.2. ETIOLOGÍA .

        Los factores precipitantes habituales son :

        Infecciones
        Estrés agudo (infarto agudo de miocardio, íctus, traumatismo)
        Interrupción de la administración de insulina
        Uso de ciertos fármacos (Glucocorticoides, Fenitoina, Propanolol)
        Interrupción de la nutrición parenteral

30.3. CUADRO CLÍNICO .

        30.3.1. HISTORIA:

                  La CAD se desarrolla en pacientes de todas las edades (75% adultos) con diabetes mellitus
                  insulinodependiente (DMID) y, con menor frecuencia con diabetes mellitus no insulinodependiente
                  (DMNID). En el marco de problemas médicos graves coexistentes.

                  La duración de los síntomas tiene un promedio de 3 días.
                  Son frecuentes los síntomas gastrointestinales: dolor abdominal en el 50% de los pacientes, y náuseas
                  y vómitos en el 75%.

        30.3.2. EXAMEN FÍSICO:

                  Deshidratación: sequedad de mucosas, hipotensión ortostática, taquicardia.
                  Aliento con olor a frutas
                  Hiperventilación (respiración de Kussmaul)
                  Dolor abdominal a la palpación

        30.4. EXAMENES DE LABORATORIO:

              Glucemia : 200 – 2.000 mg/dl.
              Cetonas sanguíneas (Betahidroxibutirato, acetoacetato): presentes.
              pH arterial < 7,4
              Osmolaridad: ligeramente elevada

                                                              139
TERAPIA INTENSIVA

           Glucosuria y cetonuria
           Anion gap o brecha aniónica : Elevado ( generalmente > de 18).

30.5. MANEJO Y TRATAMIENTO :

      30.5.1. EVALUACIÓN INICIAL :

           * Descartar una infección como factor precipitante:

           - Hemograma completo, análisis de orina, Rx de tórax y cultivos apropiados.
           - Alteración del estado mental: considerar la realización de una Punción lumbar para descartar meningitis.
           - Dolor abdominal: considerar una posible apendicitis, diverticulitis o enfermedad inflamatoria pélvica.

           * Descartar infarto agudo de miocardio (ECG) en pacientes ancianos o en los que presentan Diabetes
             mellitus de larga evolución incluso sin síntomas de dolor torácico.

      30.5.2. INSULINOTERAPIA :

                • 0,1 UI/kg peso de insulina regular o corriente vía IV en bolo, e iniciar la infusión de insulina regular
                  a una dosis de 0,1 UI/kg peso/hora en Solución salina isotónica.
                • Controlar la glucemia cada hora.
                • Si la glucemia no comienza a descender después de 4 horas, aumentar la dosis de insulina cada
                  hora hasta que comience a disminuir el nivel de glucemia.
                • Continuar con la infusión de insulina hasta que la glucemia sea de aproximadamente 250 mg/dl
                  y la cetonemia sea negativa (o positivo solo en suero diluido), o hasta que el nivel de cetonuria
                  sea pequeño o moderado.

           - El anion gap o la brecha aniónica debe reducirse aproximadamente al rango normal, a menos que
             exista otra causa de acidosis metabólica persistente.

                • Si el nivel de glucemia es igual o menor a 250 mg/dl, administrar solución salina al 0,45 % o
                  Solución salina normal con dextrosa al 5% o al 10% y 10 a 20 mEq/l de ClK a una velocidad de
                  10 g de glucosa y 2 mEq de potasio por hora.

           Al mismo tiempo continuar la infusión de Insulina a una velocidad de 0,25 a 0,35 UI por gramo de glucosa
                  administrado.

                • Monitorizar la glucemia cada hora. Una vez que la glucemia ha sido controlada y estabilizada,
                  disminuir la frecuencia del monitoreo a cada 2-4 horas. Intentar mantener los niveles de glucemia
                  entre 150-200 mg/dl hasta que el paciente pueda beber y comer.
                • Si la glucemia es :

           90 – 180 mg/dl: continuar con la velocidad de infusión actual de insulina.
           > 180 mg/dl: aumentar la velocidad de infusión de insulina en 0,5 UI/hora.
           < 90 mg/dl: disminuir la velocidad de infusión de insulina en 0,5 UI/hora.
           < 70 mg/dl: suspender la infusión de insulina durante 1 hora, luego disminuir la velocidad previa en 0,5
              UI/hora y continuar la infusión si el nivel de glucemia excede o es mayor a 70 mg/dl.
                                                         140
TERAPIA INTENSIVA

             ANTES DE SUSPENDER LA INFUSIÓN CONTINUA DE INSULINA administrar 5-10 UI de insulina regular
             o corriente por vía subcutánea (SC) para evitar la recidiva de hiperglucemia y la cetosis (semivida de
             insulina en infusión es de sólo 6-8 minutos).

    30.5.3. SOLUCIONES PARENTERALES:

              • Restablecer inmediatamente el volumen circulatorio con Solución salina isotónica o Ringer lactato:

         -   Primer litro I.V. (1.000 ml) en los primeros 30 minutos
         -   Segundo litro I.V. en la siguiente hora
         -   Valorar el estado de volumen y luego proseguir según precise la situación clínica.
         -   Si el paciente se encuentra en estado de Shock puede utilizarse coloides o expansores plasmáticos
             o requerir 2-3 litros de soluciones en las primeras 1-2 horas.

              • Reponer las pérdidas de líquidos intracelulares y totales:

         - Los pacientes pueden perder agua y sodio en cantidades de 100 ml de agua/kg peso y 7 mEq de Na+/kg
           peso, por lo que una buena elección en esta fase es una Solución salina al 0,45%.
         - La reposición debe ser gradual, a razón de 150-300 ml/hora en 12-24 horas.
         - Controlar el balance hídrico cada 1-2 horas y mantenerlo positivo; ajustar la velocidad de reposición
           I.V. según necesidad. Se suele precisar un balance positivo promedio de 5-7 litros durante el tratamiento.

    30.5.4. SUPLEMENTO DE POTASIO:

              • La administración de K+ debe iniciarse cuando el potasio sea < 5,0 mEq/l y se registre el débito
                urinario. El objetivo es mantener el K+ sérico ≥ 3,5 mEq/l para evitar arritmias cardiacas.
              • Si el K+ sérico en el momento del ingreso es de < 3,5 mEq/l añadir inmediatamente 40 mEq de
                ClK a cada litro de Soluciones I.V. Si el fosfato está bajo, puede administrarse fosfato potásico
                monobásico.
              • Determinar el potasio sérico cada 2 horas una vez iniciado el tratamiento con insulina y cada 2-
                4 horas posteriormente.
              • Administrar K+ I.V. hasta la resolución de la CAD; posteriormente puede administrarse K+ por vía
                oral.

    30.5.5. SOLUCIÓN DE BICARBONATO DE SODIO:

              • La administración de bicarbonato no ha demostrado acelerar la resolución de la acidosis, por lo
                que no suele ser recomendable. Excepción : en la hiperkalemia grave con cambios característicos
                en el ECG ( QRS ancho u ondas T picudas).
              • Si es necesario, administrar 50-100 mEq de bicarbonato de sodio en 500-1000 ml de solución
                salina al 0,45% en 1-2 horas.

    30.5.6. SUPLEMENTO DE FOSFATO :

              • La depleción promedio de fosfato en la CAD es de ± 1,0 mmol/kg.
              • Los niveles de fosfato con frecuencia descienden a ± 1,5 mg/dl con el tratamiento con insulina.


                                                      141
TERAPIA INTENSIVA

                 • La reposición I.V. no suele ser fundamental, sin embargo, si es necesaria la reposición si el nivel
                   de fósforo es ≤ 1,0 mg/dl, dado que la hipofosfatemia grave puede causar insuficiencia respiratoria.
                   En la hipokalemia concomitante el tratamiento de elección suele ser la administración de fosfato
                   potásico I.V.

      30.5.7. SUPLEMENTO DE MAGNESIO :

                 • Se produce una depleción leve de Mg en la CAD y con el tratamiento con insulina, pero generalmente
                   no requiere la administración de suplementos.
                 • Si el paciente desarrolla irritabilidad ventricular con la hipomagnesemia, puede administrarse
                   Sulfato de Magnesio a una dosis de 1-2 g I.V.

30.6. BIBLIOGRAFÍA :

      • Dahms WT. Diabetic ketoacidosis. En: Conn’s Current Therapy. Edited by Robert E Rakel. WB Saunders
        Company. Philadelphia 1993.
      • Ber genstal RM. Diabetic ketoacidosis. Posgrad 77: 151, 1985.
      • Berger W, et al. Treatment of diabetic ketoacidosis and non-ketocic hyperosmolar diabetic coma. Baillere’s
        Clinical Endocrinology and Metabolism 1992; 6: 1-22.
      • Kitabachi AE, et al. Cetoacidosis diabética. Clínicas médicas de Norteamérica 1995; 9-39.
      • Lebovitz HE. Diabes ketoacidosis. Lancet 1995; 345: 767-72.
      • Diez JJ. Cetoacidosis diabética y situaciones diadéticas hiperosmolares no cetósicas. Medicine 1998; 47:2078-
        86.
      • Siperstein MD. Diabetic ketoacidosis and hyperosmolar coma. Endocrinl Metab Clin North Am 1992; 2: 415-
        32.
      • Dagogo-Jack S. Diabetes mellitus y trastornos relacionados. En: Ahya SN, Flood K, Paranjothi S. El Manual
        Washington de Terapéutica Médica. 30ma. Edición. Editorial Lippincott Williams and Wilkins 2001; 458-62.
      • Nácul FE, Nácul LC. Cetoacidose Diabética e Síndrome Hiperosmolar Nào-Cetótica. En: David CM, Goldwaser
        R, Nácul FE. Medicina intensive. Editorial Revinter. Rio de Janeiro 1997; 248-50.
      • Marino Paul L. Acidosis Orgánicas. El libro de la UCI. 2ª edición. Editorial Masson-Williams and Wilkins.
        España 1998; 643-57.
      • Graf H, Arieff AI. The use of sodium bicarbonate in the therapy of organic acidosis. Intensive Care Med 1986;
        12: 286-8.
      • Fish LH. Diabetic ketoacidosis. Posgrad Med 1994; 96: 75-96.
      • Umpierrez GE, Kitabachi AE. Management strategies for diabetic ketoacidosis. J Crit Illness 1996; 11: 437-
        43.
      • Caputo D, Bazerque F. Cetoacidosis Diabética. En: Juan Pacin. Terapia Intensiva. 3ª. Edición. Editorial Médica
        Panamericana 2.000; 879-85.




                                                        142
TERAPIA INTENSIVA

                      31. SÍNDROME HIPERGLUCÉMICO HIPEROSMOLAR NO CETÓSICO
*Dr. Oscar Vera Carrasco



31.1. DEFINICIÓN :

       El Síndrome hiperglucémico hiperosmolar no cetósico (SHHNC) es una complicación aguda de la Diabetes
       mellitus No insulinodependiente, que se caracteriza por Hiperglucemia grave (> 600 mg/dl), aumento de la
       Osmolaridad plasmática(> 340 mOsm/L) , Deshidratación con insuficiencia prerrenal y ausencia de cetosis;
       además disminución del nivel de conciencia y/o signos neurológicos.

31.2. ETIOLOGÍA :

       31.2.1. LOS FACTORES PRECIPITANTES HABITUALES SON :

             - Infecciones (hasta un 60 %)
             - Estrés agudo ( infarto agudo de miocardio, AVC)
             - Abandono del tratamiento
             - Embolismo pulmonar
             - Intervenciones quirúrgicas
             - Traumatismos
             - Quemaduras
             - Inadecuada ingesta de agua
             - Uso de ciertos fármacos ( Glucocorticoides, Fenitoina, Propanolol, diuréticos tiazídicos, antagonistas
               del calcio)
             - Procedimientos terapéuticos (Interrupción de la nutrición parenteral, diálisis)

       31.2.2. EN ALGUNAS OCASIONES EL SHHNC SE DESARROLLA EN PACIENTES NO DIABÉTICOS:

             - Iatrogénico (sobrealimentación intravenosa hipertónica, diálisis peritoneal hiperosmolar)
             - Pérdidas graves de líquidos en pacientes con quemaduras.
             - Fórmulas de alimentación oral hipertónicas para lactantes.

31.3. CUADRO CLÍNICO :

       31.3.1. HISTORIA :

             - Los pacientes con SHHNC son típicamente ancianos con historia de DMNI.
             - La duración de los síntomas tiene un promedio de duración de 12 días.
             - Son frecuentes los síntomas gastrointestinales (sed intensa, dolor abdominal, náuseas y vómitos) y
               las convulsiones.
             - Típicamente, hasta en un 30 % de los casos la diabetes mellitus no estaba diagnosticada.




                                                        143
TERAPIA INTENSIVA


     31.3.2. EXÁMEN FÍSICO:

           * Alteración del estado mental : estupor, posible focalidad neurológica y coma (asociada a osmolalidades
             de 340-350 mOsm/kg).
           * Signos neurológicos focales.
           * Deshidratación: sequedad de mucosas, hipotensión ortostática, taquicardia.
           * Poliuria, polidipsia, náuseas, vómitos, debilidad muscular.

31.4. EXAMENES DE LABORATORIO:

     • Glucemia: generalmente > 600 mg/dl.
     • Osmolalidad en plasma > 340 mOsm/L ( calculándose la osmolalidad efectiva con la fórmula : 2 x [ Na+]
       [mEq/L] + Glucemia[mg/dl] / 18.
     • Cetonas sanguíneas : ausentes.
     • pH arterial : normal (bajo si la hipovolemia causa perfusión tisular deficiente).
     • Anion gap o brecha aniónica : normal o elevado.
     • Glucosuria.

31.5. MANEJO Y TRATAMIENTO:

     El manejo y tratamiento del SHHNC es similar al de la CAD, sin embargo, en general los pacientes precisan más
     hidratación y menos insulina. ( Ver protocolo de CAD).

     * Para la rehidratación puede ser útil el cálculo del déficit de agua libre mediante la siguiente fórmula :

     Litros a reponer = (Na+ actual – Na+ deseado) x Agua corporal total
                                Na+ deseado

           Siendo el agua corporal total = 0,6 x peso corporal

                   Se recomienda tratamiento con Solución salina isotónica (0,9%) si la natremia es menor de 150
                   mEq/l, siguiendo la pauta descrita anteriormente en la CAD. Si la Natremia es mayor de 150
                   mEq/l se realizará tratamiento con Solución salina hipotónica (0,45%) hasta que la natremia
                   sea inferior a 150 mEq/l , incorporándonos en ese momento a la pauta anterior. No administrar
                   más del 10% del peso corporal en las primeras 24 horas.

           * Una vez que la glucemia descienda por debajo de 250 mg/dl se comienza infusión de Solución glucosada
             al 5% a un ritmo de 100 ml/hora restando este volumen al salino.

           * En cuanto a la Insulinoterapia se utilizará la pauta descrita en la CAD, aunque hay que tener en cuenta
             que la rehidratación por si misma puede reducir la glucemia entre 20-80 % en 12 horas, por lo que
             las dosis de insulina pueden ser menores.

           * No es recomendable iniciar tratamiento con suplementos de potasio hasta conocer sus cifras en suero.
             El déficit total de este ión puede ser aun mayor que en la CAD. Los suplementos de potasio se


                                                       144
TERAPIA INTENSIVA

               administrarán en forma de cloruro de potásico en función de sus niveles plasmáticos: si es > 5,5 mEq/l
               no administrar pero medir a la hora, entre 4,5 y 5,5 mEq/l 20 mEq/l, entre 3,5 y 4,5 mEq/l 30 mEq/l y
               < de 3,5 mEq/l 40 mEq/l.

            * En este grupo de pacientes está indicada la profilaxis tromboembólica con Heparina de bajo peso
              molecular según protocolo establecido.

            * La transición al tratamiento definitivo se realiza de forma similar a la CAD, aunque en este caso, tras
              la recuperación, los pacientes son transferidos a Insulina subcutánea, habitualmente 0,5 UI/kg de
              insulina NPH, 60% en desayuno y 40% en cena, manteniendo este tratamiento 2-3 meses hasta evaluar
              ambulatoriamente el tratamiento con hipoglucemiantes orales.

31.6. BIBLIOGRAFÍA:

      • Berger W, et al. Treatment of diabetic ketoacidosis and non-ketocic hyperosmolar diabetic coma. Baillere’s
        clinical Endocrinology and Metabolism 1992;6: 1-22.
      • Diez JJ. Cetoacidosis diabética y situaciones diabéticas hiperosmolares no cetósicas. Medicine (Madrid)
        1998; 47: 2084-6.
      • Krentz AJ, Nattras M. Acute complications of diabetes mellitus: diabetic ketoacidosis, hyperosmolar non-
        ketosic síndrome and lactic acidosis. En: Pickup JC, Williams G eds. Texbook of diabetes, 2nd ed. Oxford:
        Blakwell Scientific Publications 1997; 39: 1-23.
      • Sperstein MD. Diabetic ketoacidosis and hyperosmolar coma. Endocrinol Metab Clin North Am 1992; 2: 415-
        32.
      • Genuth SM. Diabetic ketoacidosis and hyperglycemic hyperosmolar coma. En: Wardin CW ed. Current Therapy
        in Endocrinology and Metabolism. 6th ed. St Louis: Mosby-Year Book 1997; 438-47.




                                                        145
TERAPIA INTENSIVA

        32. TRASTORNOS EN LA SECRECIÓN DE HORMONA ANTIDIURÉTICA (ADH)
* Dr. Gonzalo Luis Poma Plata

       La variación de la osmolalidad del plasma en 1 % causa estimulación o supresión de la secreción de vasopresina.

       El umbral por debajo del cual la secreción de vasopresina queda frenada es 270-290 mOsml/kg, y se eleva de
       forma directamente proporcional a la elevación de la osmolalidad plasmática.
       Otro factor regulador es el volumen sanguíneo, a través de los receptores de volumen , los péptidos opiáceos
       endógenos y los analgésicos relacionados con la morfina; el estrés ejerce un efecto antidiurético, a través del
       aumento de la secreción de vasopresina, mediado por la adrenalina; las prostaglandinas, principalmente la PGE2
         , el sistema renina/ angiotensina modifica la secreción de arginina- vasopresina, a través de los baro y
       volureceptores.

32.1. DIABETES INSÍPIDA:

       32.1.1. DEFINICIÓN:

                 Síndrome consecuencia de una liberación insuficiente de ADH y se reconoce la existencia de una
                 diabetes insípida central absoluta o parcial y de una diabetes insípida nefrogénica.
                 En la diabetes insípida central absoluta hay una disminución muy importante del número de células
                 neurosecretoras de los núcleos hipotalámicos supraóptico y paraventricular.
                 En la diabetes insípida nefrogénica hay una falta de respuesta del túbulo renal ante la ADH .

       32.1.2. ETIOLOGÍA:

       Diabetes insípida central
               Déficit de ADH por una síntesis insuficiente o por un trastorno de la liberación hormonal absoluta o
               parcial.
               Causas: Tumores hipotalámicos o hipofisarios (craneofaringioma, glioma, adenoma hipofisario,
               carcinoma metastásico, principalmente de mama y pulmón, infiltración leucémica , diversas entidades
               granulomatosas (sarcoidosis, histiocitosis, tuberculosis, sífilis), procesos infecciosos (meningitis,
               encefalitis); alteraciones vasculares (aneurismas, síndrome de Sheehan, apoplejía hipofisaria), traumatismos
               craneoencefálicos y las intervenciones quirúrgicas sobre el área hipotálamo-hipofisaria alcohol o
               ciertos fármacos, como la difenilhidantoína.

             Diabetes insípida nefrogénica
                El túbulo renal no responde a la estimulación de ADH.
                La poliuria generada es inferior a la reconocible en la diabetes insípida central. La hipercalcemia y la
                hipopotasemia, afectan la función de las células tubulares, aunque la poliuria es reversible cuando se
                normalizan las concentraciones hidroelectrolíticas.
                El litio y la demeclociclina, inhiben la actividad de la adenilciclasa y generan diabetes insípida
                nefrogénica. La poliuria intensa y mantenida origina un efecto de lavado del gradiente osmolar medular
                renal, con lo que se reduce la capacidad de concentración máxima de la orina; dando diabetes insípida
                nefrogénica parcial.


                                                           146
TERAPIA INTENSIVA

    32.1.3. MANIFESTACIONES CLÍNICAS:

           La poliuria, responsable de una disminución del agua corporal, origina un aumento de la osmolalidad
           plasmática, que estimulará la sed y generará a su vez polidipsia.
           La nicturia contribuye a la fatiga e irritabilidad que suelen presentar estos pacientes. La orina se
           encuentra diluida, con densidades de 1,001 a 1,005, o bien osmolalidades urinarias de 50-200
           mOsml/kg, un volumen urinario diario superior a los 5 l.
           El síndrome de poliuria-polidipsia puede ser transitorio en los pacientes quirúrgicamente intervenidos
           del área hipotálamo-hipofisaria . Otras manifestaciones clínicas de origen central pueden acompañar
           al síndrome poliuria-polidipsia: hipertensión intracraneal, alteraciones del apetito, de la conducta sexual,
           del sueño, etc.
           Los pacientes con potomanía, o polidipsia primaria, generan una dilución del plasma que inhibirá
           la secreción de vasopresina, y altera el gradiente osmolar de la médula renal, lo cual reduce la capacidad
           de concentración de la orina

    32.1.4. DIAGNÓSTICO Y DIAGNÓSTICO DIFERENCIAL:

           Prueba de deshidratación (de Miller). restricción hídrica completa,
           Paciente con insuficiencia suprarrenal, deberá mantener el tratamiento sustitutivo con hidrocortisona.
           Antes de comenzar la prueba, se pesa al paciente, y a partir de ese momento, el sujeto vaciará la vejiga,
           obteniéndose una muestra urinaria para la determinación de la osmolalidad, que también se determinará
           en plasma. Cada hora muestras seriadas de orina, se anota la diuresis y el peso; con controles
           horarios de frecuencia cardíaca, presión arterial y temperatura corporal. La prueba se interrumpe
           cuando :
           La osmolalidad urinaria es superior a 800 mOsml/kg,
           La pérdida ponderal superior al 5 %,
           Obtención de una osmolalidad urinaria en 3 determinaciones horarias consecutivas con diferencias
           iguales o menores a 30 mOsml/kg, comparadas de dos en dos consecutivamente.
           Finalizado lo anterior, se determinarán de nuevo las osmolalidades plasmáticas y urinarias. Luego se
           administrará 5 U de vasopresina por vía subcutánea, o bien 20 mg de desmopresina por vía intranasal.
           Al cabo de 1 y 2 horas determinar de nuevo las osmolalidades plasmática y urinaria.
           En un individuo normal, o con potomanía, antes de administrar ADH, la osmolalidad urinaria será
           superior a 500 mOsml/kg, y la osmolalidad plasmática inferior a 300 mOsml/kg; 1 hora después de
           la administración de ADH, el ascenso de la osmolalidad urinaria será inferior al 5 %.
           Si hay déficit absoluto de ADH (diabetes insípida central absoluta), antes de administrar ADH, la
           osmolalidad plasmática estará relativamente elevada (298 y 322 mOsml/kg) y la osmolalidad urinaria
           será inferior a la plasmática. Después de la ADH, se producirá una marcada elevación de la osmolalidad
           urinaria (por lo general del orden del 50 %).
           En caso de déficit parcial de ADH (diabetes insípida central parcial), tras la ADH la osmolalidad urinaria
           se incrementará más de un 5 %, pero se situará por debajo del 45 %.
           Determinación de vasopresina en plasma por RIA.
           Prueba de infusión con suero salino hipertónico.
           Infusión de solución salina 5 % , se obtendrán muestras plasmáticas antes de la infusión y cada 30
           min durante 2 horas. Se determinarán en las muestras los cambios de la osmolalidad en el plasma y
           de los valores de vasopresina.
           Contraindicado en pacientes > 50 años, hipertensos o insuficiencia cardíaca conocida.


                                                      147
TERAPIA INTENSIVA

     32.1.5. TRATAMIENTO:

             Acetato de desmopresina (DDAVP) análogo sintético de la vasopresina (1-desamino-8-D-arginina-
             vasopresina) por vía intranasal, dosis de 100-200 mg, a partir de 100 mg/ml. efecto en 1 hora,
             persiste por 8-20 horas.
             Vasopresina acuosa (pitresina) por vía subcutánea o intramuscular, útil cuando no pueda administrase
             DDAVP acción a los 30-60 min y duración 6 horas; dosis 5-10 U cada 6-8 horas (2,5-10 U
             en niños).
             También indicada para el control rápido de la poliuria, tras un traumatismo craneal o cirugía hipofisaria.
             Tanato de vasopresina es un preparado de vasopresina en suspensión oleosa, por vía intramuscular.
             Las dosis de 2,5-5 U. dura 3 horas; no obstante, se consigue alivio sintomático 48-72 horas.
             La 8-lisina-vasopresina es un preparado sintético, como inhalador nasal, con rápida absorción por
             mucosa.
             En pacientes con angina la dosis se reducirá a la mínima suficiente . La desmopresina tiene menor
             efecto vasoconstrictor.
             Dosis elevadas de vasopresina pueden activar la contracción de la musculatura gastrointestinal y generan
             náuseas, dolor abdominal, diarrea. La desmopresina puede ocasionar también cefalea transitoria.
             El Clofibrato, en dosis orales de 1-2 g/día, reduce el flujo urinario en pacientes con diabetes insípida
             central, pero resulta ineficaz en la nefrogénica. aumenta la secreción de vasopresina.
             La Clorpropamida reduce la poliuria en más del 50 % de pacientes con diabetes insípida central.
             dosis 200-500 mg/día. Aumenta la secreción de vasopresina.
             Resulta efectiva en el tratamiento de la diabetes central parcial.
             El efecto antidiurético (paradójico) de las tiazidas se debe probablemente a la reducción del volumen
             plasmático . No son eficaces si no se acompañan de restricción dietética de sodio. Representan la
             forma más efectiva de tratamiento de la diabetes insípida nefrogénica, en la que pueden reducir la
             diuresis hasta un 50 %.

32.2. SÍNDROME DE SECRECIÓN INADECUADA DE HORMONA ANTIDIURÉTICA

     32.2.1. DEFINICIÓN:

             El síndrome de secreción inadecuada de ADH (SSIADH) liberación mantenida de ADH, con osmolalidad
             plasmática disminuida, y balance de agua libre positivo continuo.
             La hipervolemia incrementa el filtrado glomerular, disminuye la reabsorción de sodio en el túbulo
             proximal, incrementa la natriuresis y acentúa la hiponatremia. Hay supresión del eje renina-angiotensina-
              aldosterona, así como hiponatremia, asociada a una orina menos diluida de la capacidad máxima.

     32.2.2. ETIOLOGÍA:

             La más frecuentemente es el carcinoma bronquial indiferenciado de células pequeñas (estos pacientes
             presentan SSIADH en más del 50 % de los casos). Los pacientes sometidos a respiración mecánica,
             con presión espiratoria positiva, tienen niveles plasmáticos elevados de vasopresina por estimulación
             de los receptores intratorácicos.
             Fármacos: la Clorpropamida, parece potenciar la acción de la vasopresina en la nefrona distal.




                                                       148
TERAPIA INTENSIVA

      32.2.3. MANIFESTACIONES CLÍNICAS:

                Los síntomas corresponden a los de una intoxicación acuosa. Cuanto más rápidamente se instaure la
                hiponatremia, más intensos serán. Cuando la natremia es inferior a 120 mmol/l, aparecen trastornos
                del nivel de conciencia y de la conducta, con cefalea, anorexia, náuseas, vómitos y dolor abdominal.
                Cuando las concentraciones de sodio plasmático son aún inferiores, se intensifican los síntomas
                neurológicos; a partir de 110 mmol/l aparece hiporreflexia, arreflexia, signo de Babinski, convulsiones
                y muerte.Característica la ausencia de edemas.

      32.2.4. DIAGNÓSTICO:
                La osmolalidad urinaria supera a la osmolalidad plasmática y el equilibrio de agua libre es continuamente
               positivo, hay descenso de sodio, urea, creatinina, albúmina y ácido úrico en plasma, y la excreción
               urinaria de sodio supera a 20 mEq/l en presencia de hiponatremia. El diagnóstico definitivo : demostración
               de valores de ADH inadecuados para su osmolalidad .
               Comprobar normofunción tiroidea y suprarrenal, y descartar enfermedades que puedan evolucionar
               con disminución del volumen circulante efectivo (insuficiencia cardíaca congestiva, cirrosis hepática
               con ascitis).

      32.2.5. TRATAMIENTO:

                Casos moderados y graves: restricción acuosa (500-100 ml/día).
                Hiponatremia grave: se instaura rapidamente solución salina hipertónica (3 %) y, furosemida (40
                mg/día intravenosa) .
                Forma crónica del síndrome: Demeclociclina. La dosis diaria 600-1.200 mg.
                Litio no se recomienda como tratamiento crónico del SSIADH.

32.3. BIBLIOGRAFÍA

      • Pacin Juan ,Maskin Bernardo ,Pálizas Fernando. Terapia Intensiva 3ra Edición . Buenos Aires Argentina :
        Panamericana ,2000.
      • Grenvik Ake ,MD ; Ayres Stephen ,MD ; Holbrook Peter ,MD ; Shoemaker William MD . Compendio del Tratado
        de Medicina Crítica y TERAPIA INTENSIVA . Buenos Aires Argentina : Panamericana , 1998.
      • Bartlett Robert H. Fisiopatología en Medicina Intensiva ,1ra Edición .Barcelona España , Editorial Masson
        –Little ,Brown 1997.
      • Marino Paúl L . El libro de la UCI .2 da Edición .Barcelona España : MASSON – Williams & Wilkins ,1998.




                                                          149
TERAPIA INTENSIVA

                                                                                 33. CRISIS TIROTÓXICA
*Dr. Jesús Gómez Mendívil


33.1. DEFINICIÓN:

       La tormenta tiroidea o crisis tirotóxica, es el resultado de la insuficiencia de los mecanismos compensadores
       del organismo en el hipertiroidismo grave. En la clínica se define como un “aumento de la manifestación del
       hipertiroidismo que pone en peligro la vida”. La fuente de hormona tiroidea puede ser:
       Por síntesis y secreción excesiva de hormona en la glándula tiroides como respuesta a TSH o a sustancias
       anormales estimulantes de la tiroides.
       Hipersecreción autónoma de hormona o liberación anormal de hormona pre formada.
       Producción de hormona por una fuente exógena o ectópica.

       Las manifestaciones pueden ser leves o graves según la duración y magnitud del exceso de hormona y la
       presencia de enfermedades intercurrentes.

33.2. FACTORES DESENCADENANTES:

       Los pacientes que sufren tormenta tiroidea suelen tener tirotoxicosis mal controlada; a menudo hay un factor
       desencadenante identificable:
                     • Infecciones
                     •Cirugía
                     • Enfermedad psiquiátrica aguda
                     • Insuficiencia cardiaca congestiva
                     • Abandono del tratamiento antitiroideo
                     • Medios de contraste Iodado
                     • Palpación enérgica de una glándula hipertiroidea
                     • Ingesta exógena de hormona tiroidea
                     • TEP
                     • IAM
                     • AVC
                     • Obstrucción intestinal
                     • Cetoacidosis diabética
                     • Hipoglucemia
                     • Estrés emocional
                     • Extracción dental
                     • Anestesia
                     • Parto
                     • Gestosis
                     • Infarto mesentérico
                     • Traumatismos
                     • Fármacos: Simpaticomiméticos (pseudoefedrina), amiodarona
                     • Alimentos en base a algas marinas



                                                        150
TERAPIA INTENSIVA

33.3. CUADRO CLINICO:

      Las manifestaciones clínicas pueden clasificarse de acuerdo a sistemas:

      33.3.1. SISTEMA NERVIOSO CENTRAL:
               Agitación
               Delirio
               Psicosis
               Letargia
               Convulsiones
               Coma

      33.3.2. CARDIOVASCULAR:
               Taquicardia
               Arritmias
               ICC de alto gasto
               Edema pulmonar
               Hipertensión arterial sistémica
               Isquemia de miocardio
               Hipotensión arterial
               Choque

      33.3.3. GASTROINTESTINAL:
               Diarrea
               Náuseas y vómitos
               Dolor abdominal
               Ictericia
               Falla hepática

      33.3.4. SISTEMA TERMORREGULADOR:
               Hiperpirexia
               Temperatura central mayor a 40 grados Celsius.

                Casi siempre hay bocio, el mismo que puede ser difuso o multinodular. Los enfermos tienen debilidad
                muscular notable debido a miopatia proximal y caquexia generalizada. Hay temblores. La piel está
                caliente, húmeda, ruborosa, blanda y “aterciopelada”.

33.4. EXÁMENES COMPLEMENTARIOS:

      Al ingreso al servicio deberá tomarse muestras de sangre para determinación de pruebas de función tiroidea,
      renal, hepática, hematología básica, electrolitos. Las concentraciones hormonales no se han relacionado ni a la
      cantidad ni a la gravedad de las manifestaciones clínicas, lo que sugiere variaciones individuales en la sensibilidad
      a los niveles de hormona circulante. Los datos laboratoriales característicos de la tempestad tiroidea son:

            • T3, T4 y T4 libre elevadas
            • TSH suprimida


                                                           151
TERAPIA INTENSIVA

            •   Hiperglucemia
            •   Leucocitosis con desvió izquierdo
            •   Anemia
            •   Hipercalcemia
            •   Hipokalemia
            •   Enzimas hepáticas alteradas
            •   Hiper o normo cortisolemia

      Ante la sospecha de que una infección sea la causa desencadenante de la tormenta tiroidea, deben tomarse
      muestras para estudios bacteriológicos en fresco y cultivos.
      Una prueba rápida y fácil es la captación de I 131 de dos horas, que además de proporcionar orientación hacia
      el tipo de terapia que será necesaria, está elevada si la causa es un hipertiroidismo, y disminuida en la ingesta
      exógena de hormona tiroidea y en algunos casos de tiroiditis.
      La radiografía de tórax es útil para investigar focos infecciosos pulmonares.
      El ECG puede mostrar taquiarritmias supraventriculares, principalmente taquicardia sinusal y fibrilación auricular,
      también permite ver desnivel positivo del segmento ST con inversión de la onda T.

33.5. DIAGNOSTICO DIFERENCIAL:

      Merece especial atención el diagnóstico diferencial con: sepsis, feocromocitoma e hipertermia maligna.

33.6. TRATAMIENTO:

      Debe iniciarse tan pronto como se sospeche el diagnóstico, una vez tomadas las muestras para los diferentes
      exámenes, sin esperar los resultados.

      33.6.1. MEDIDAS GENERALES:
               Aporte hidroelectrolítico parenterál (3 a 5 litros al día), además de solución glucosada y tiamina para
               prevenir la encefalopatía de Wernicke.
               Combatir la hipertermia con medios físicos y paracetamol. Evitar salicilatos porque aumentan la
               concentración de hormona tiroidea libre. En casos rebeldes administrar : Clorpromazina 25 a 50 mg
               o meperidina 25 a 50 mg.
               Monitoreo hemodinámico constante. En pacientes con insuficiencia cardiaca y desequilibrio
               hidroelectrolítico suele ser necesario cateterizar corazón derecho, con medición de presión capilar
               pulmonar presión venosa central y gasto cardiaco.
               El choque inminente requiere corrección del déficit hídrico y administración de inotrópicos.
               La frecuencia cardiaca elevada puede controlarse con digoxina 0,25 a 0,50 mg IV o propanolol 1 a 2
               mg IV.
               Bloqueantes H2 IV para prevenir las úlceras de estrés
               Identificar y tratar la causa desencadenante.

      33.6.2. BLOQUEO DE LA SÍNTESIS DE HORMONA TIROIDEA:
               Metimazol: VO o rectal, 60 a 100 mg como dosis de impregnación y 25 mg cada 6 horas.
               Propil tiouracilo: VO. 600 a 1000 mg como dosis de ataque y 200 mg cada 6 horas. Es el fármaco de
               elección en el embarazo.



                                                          152
TERAPIA INTENSIVA

      33.6.3. BLOQUEO DE LA LIBERACIÓN DE HORMONA TIROIDEA.

            Solución saturada de Yoduro de potasio ( SSIK): VO, 5 gotas cada 6 horas pasadas 2 a 3 horas de
                administrado el antitiroideo.
            Lugol: VO, 10 gotas cada 8 horas.
            Ipodato: VO, 1 –3 g c/día. Es de elección en tiroiditis o ingesta exógena de hormona tiroidea.
            Yoduro sódico, IV, 0,5 mg c/12 horas, si no se dispone de de éste, preparar 500 ml de dextrosa al 5%
                más 10 gotas de lugol.
            Si está contraindicado el I, se usa carbonato de litio 300 mg c/6 horas VO.

      33.6.4. INHIBICIÓN DE LA CONVERSIÓN PERIFÉRICA DE T4 A T3 :

            Dexametasona 2 mg IV c/6 horas.
            Hidrocortisona 100 mg IV c/8 horas.

      33.6.5. BLOQUEO ADRENÉRGICO:

                Propanolol: 20 a 80 mg VO c/8 horas de acuerdo a respuesta clínica, siendo óptimo alcanzar una
                frecuencia cardiaca menor a 80 latidos por minuto y mejoría del temblor.

33.7. BIBLIOGRAFÍA:

      • Bongard S, Sue D. Diagnóstico y Tratamiento en Cuidados Intensivos. 1ra ed.. México:El Manual Moderno.
      • Aguilar C, Prado E, Cañedo Ch, Chevaile J, Saucedo J, Kaplan M, Diaz A, Eraño J. Manual de Terapéutica
        Médica y procedimientos de urgencias. 3ra ed.. México: McGraw-Hill Interamericana; 1997.
      • Marino P. El Libro de la UCI. 2da ed..Barcelona: Masson; 1998.
      • Muñoz L, Martinez C, Hernández T, Marin J, Martinez JM, Garcia R. Urgencias Médico Quirúrgicas, Manual
        de Problemas Clínicos. 1ra ed..Madrid: Diego Marín;1998.
      • Grenvik A, Ayres S, Holbrook P, Schoemaker W. Compendio del Tratado de Medicina Crítica y Terapia Intensiva.
        Buenos Aires: Panamericana; 1998.
      • Hall J, Schmidt G, Wood L. Cuidados intensivos. 2da ed.. México:McGrw-Hill Interamericana; 2000.
      • Villa FL. Medimecum. 7ma ed.. España: Adis; 2002.
      • Parsons P, Wiener-Kronish J. Secretos de los Cuidados Intensivos. 2da ed.. México: McGraw-Hill Interamericana;
        2001.




                                                        153
TERAPIA INTENSIVA

                                                                   34. HEMORRAGIA DIGESTIVA ALTA
*Dra. Marina Fuentes C.

34.1. DEFINICIÓN:

           Se denomina hemorragia digestiva alta (H.D.A.) al sangrado originado en el tracto digestivo ubicado entre
           la unión faríngeo esofágico ó es esfinter esofágico superior y el ángulo duodeno yeyunal de Treitz.

           La incidencia de H.D.A. se estima en el 1 a 2 por mil de la población general. La incidencia global de H.D.A.
           en pacientes críticos es de 10 – 20 %; sin embargo, el sangrado con trascendencia clínica (requerimiento
           transfusión) tendría una incidencia del 2 – 5 %.

           Los principales factores de riesgo de H.D.A. son:
           Úlcera gastroduodenal
           Lesión neurológica aguda
           Quemaduras externas
           Coagulopatias
           Insuficiencia respiratoria aguda
           Hemorragia digestiva previa

34.2. ETIOLOGÍA:

           Anatómicamente la H.D.A. puede provenir de lesiones en el esófago, estómago y duodeno y solo raramente
           se origina en el páncreas y las vías biliares.

       34.2.1. DE ORÍGEN ESOFÁGICO.

                 Las causas más frecuentes (15 % del total) son las varices esofágicas y la esofagitis por reflujo con o
                 sin úlcera, variando sus respectivas proporciones según la incidencia de hipertensión portal por la
                 cirrosis alcohólica que varían según la población del país o la región que se tome.

                 Raramente se complican con homorragia digestiva alta la esofagitis por ingesta de caústicos, los tumores
                 benignos o malignos de esófago el sindrome de Mallory Weis, hernia hiatal, diverticulitis, aneurisma
                 aórtico, malformaciones y la esofagitis aisladas, excepcionamente producen hemorragias severas
                 excepto cuando se asocia a una lesión difusa del esófago, estómago y duodeno inducida por medicamentos
                 o alcohol.

       34.2.2. DE ORÍGEN GÁSTRICO:
               Las causas más frecuentes (60 % del total) son la gastritis erosiva por estrés, sepsís o medicamentosa
               y la úlcera péptica. Le siguen en importancia los tumores benignos y malignos, hernias hiatales, las
               úlceras de neoboca quirúrgicas, los diverticulos, las varices submucosas y los tumores y quistes del
               páncreas.

                 Es evidente que la mayor frecuencia de hemorragias a nivel gástrico tiene clara vinculación con la
                 secreción de ácido clorhídrico, con la mayor concentración de hidrogeniones en la misma o con el
                 deterioro de la barrera mucosa.

                                                          154
TERAPIA INTENSIVA

      34.2.3.    EL DUODENO COMO ORÍGEN DE H.D.A. :

                 Las causas más frecuentes (25 % del total) son la úlcera péptica y la duodenitis hemorrágica,
                 secundariamente los diverticulos, la hemobilia, los tumores benignos, tumores de papila, tumores de
                 páncreas, vasculopatias, aneneurisma aórtico, cáncer de Vater.

34.3. CLÍNICA:

      Los signos de presentación son la hematemesis, melena, hematoquezia, sangre oculta en matería fecal y hemobilia.
      Las formas más observadas en pacientes críticos son la hematemesis y la melena.

      La H.D.A. puede ser causa de ingreso a la UTI, por patología gastrointestinal primaria, o presentarse como
      epifenómeno en pacientes críticos.

      Clínicamente la H.D.A. se clasifica en leve, moderada y grave y sin colapso hemodrinamico.

      34.3.1. LEVE:

                 Pérdida hemática del 10 % de la volemia o menor: conservación de la tensión arterial (T.A.), diuresis
                 y PVC, hematocrito normal o levemente descendido.

      34.3.2. MODERADA.

                 Pérdida del 20 % de la volemia (1000 – 2000 ml): paciente pálido, sudoroso y taquicardico; descenso
                 de la T.A. de 20 a 30 mmHg. por debajo de lo habitual; diuresis horaria normal o levemente descendida.

      34.3.3. GRAVE.
           - Sin colapso: pérdida de hasta 40 % de la volemia: hipotensión de 80 a 100 mmHg. de la sistólica; PVC
              descendida y diuresis horaria menor a 30 ml.

            - Con colapso: signos clínicos de colapso preriferico; pérdida del 40 % de la volemia: PVC 0, oligoanuria.

34.4. DIAGNÓSTICO:

      34.4.1. LABORATORIO:

                 Solicitar: hemotocrito, uremia, creatinina, recuento de glóbulos blancos, ionograma,. Glucemia, estado
                 ácido-base, tiempo de protrombina, KPTT, plaquetas, tiempo de sangria, hepatograma _ tipificación
                 de grupo y factor.

      34.4.2. ENDOSCOPIA:

                 Debe efectuarse dentro de las 24 horas de iniciada la hemorragia, dando el diagnóstico de casi el 100
                 % de los pacientes, cuando el paciente este compensado y preparado con un buen lavado y aspecto
                 gástrico.



                                                         155
TERAPIA INTENSIVA

             Las indicaciones de endoscopia son: sospecha de varices, sospecha de fistula aórto - entérica, H.D.A.
             rebelde al tratamiento, shock, tratamiento local: (en las lesiones I y II de Forrest).

     34.4.3. RADIOLOGÍA BARITADA:

             Su utilidad urgencia es excepcional. Se realiza después del estudio endoscópico para tener una
             apreciación anatomo-funcional del territorio digestivo que nos permitirá el diagnóstico de lesión parietal,
             pero no puede determinar el origen de la hemorragia en lesiones mucosas erosivas.
             Por otra parte, un estudio radiológico negativo, no excluye el diagnóstico de úlcera péptica sangrante
             que puede estar ocupada por un coágulo.

     34.4.4. ANGIOGRAFIA:

             Se requiere en un pequeño grupo de pacientes, y tiene utilidad diagnóstica y terapéutica en pacientes
             con hemorragia digestiva nociva y alto riesgo quirúrgico. Como método diagnóstico requiere un volumen
             de sangrado mayor a 0,5 ml por minuto.

             Como método terapéutico, permite la infusión selectiva de vasopresina, o la embolización de la lesión.

             El estudio selectivo se realiza en el tronco celiaco, la gastroepiploica izquierda y la mesentérica superior.

     34.4.5. LAPARATOMIA EXPLORADORA:

             Últimas técnicas diagnósticas a realizar ante la persistencia de la hemorragia, sin diagnóstico por las
             técnicas anteriormente descritas.

34.5. TRATAMIENTO:

          1.- Suspensión de la alimentación por vía oral y colocación de una SNG: nos permite evacuar y cuantificar
              aproximadamente la cantidad de sangrado y facilitar la correspondiente reposición. Realizar lavados
              gástricos con agua o solución fisiológica helada que nos permita extraer los coágulos o detener el
              sangrado por vasoconstrucción local, además de preparar al paciente para el estudio endoscópico y
              radiológico.

          2.- Estabilizar hemodinamicamente, a través de una vía central, monitorizando la PVC, la diuresis horaria,
              la tensión arterial, la frecuencia cardiaca y la perfusión hística.

             La reposición de volumen será electivamente de sangre homóloga, previamente controlada y compatibilizada
             en forma directa. En los casos de suma urgencia transfundir sangre O Rh hasta obtener la indicada,
             también pueden utilizarse sustitutos del plasma como las soluciones macromoléculas, soluciones
             hipertónicas o cristaloide dependiendo de la reserva cardiaca.

          3.- En el tratamiento farmacológico están indicados :

               - Cimetidina: inicialmente por vía intravenosa en dosis diarias de 1000 a 1400 mg, distantes en
                 200 mg cada 4 horas, administrados lentamente en dosis de hasta 2 mg. / kg de peso corporal


                                                        156
TERAPIA INTENSIVA

                  por hora, durante 48 horas a 72 horas después del cese de la hemorragia, pasando luego a vía
                  oral en dosis de 200 mg cada 4 horas.
              -   Ranitidina: 150 mg. en bolo (en 5 minutos) y 300 – 450 mg en goteo ( 24 horas).
              -   Antiácidos orales: aluminio, magnesio, etc. La dosis es necesaria para mantener el pH gástrico
                  por encima de 3-5. Si no se puede medir el pH, deben pasarse por SNG. 20 a 30 ml cada 1 a 3
                  horas.
              -   Sucralfato: dosis en sangrado 5 ml por hora por SNG. En pacientes estables 5 ml cada 6 horas
                  VO. No debe asociarse con drogas que eleven el pH gástrico, porque su eficacia es con un pH
                  menor a 4.
              -   Omeprazol: eleva el pH por disminuir la producción de ácido Clorhídrico, bloqueando en la célula
                  parietal la bomba de protones. La dosis es de 20 a 40 mg. cada 12 horas por SNG, 80 mg. en
                  bolo IV y 40 mg cada 12 horas IV.
              -   Misoprostol: es un análogo de las prostaglandinas. No se ha encontrado utilidad en las úlceras
                  de estrés, es más probable su eficacia para prevenir las ulceraciones por AINE. La dosis es de
                  100 – 200 mcg cada 6 horas por VO.

         Contraindicado en el embarazo.

              - Somatostatina: útil en el tratamiento de la hemorragia digestiva por varices esofágicas, reduce
                selectivamente el flujo esplácnico por vasoconstricción sin afectar la circulación sistémitica. La
                dosis de carga por vía intravenosa es de 50 - 250 mcg en bolo y el de mantenimiento es de 250
                a 500 mcg / hora en goteo, puede usarse por vía subcutánea con un rango desde 50 mcg cada
                24 horas hasta 200 mcg cada 8 horas. Esta contraindicada en el embarazo.
              - Vasopresina: actúa disminuyendo el flujo esplácnico. Se usa en infusión contínua endovenosa o
                intra arterial selectiva y actualmente no se usa en bolo por los numerosos efectos secundarios
                que pueden ocasionar. El esquema más utilizado es 0,4 U / minuto, hasta que la hemorragia se
                detiene o durante las primeras 24 horas, se sigue con 0,2 U / minuto, durante otras 24 horas y,
                finalmente, con 0,1 U / minuto durante las últimas 24 horas. Sus principales complicaciones son
                la esquemia cardiaca, intestinal y la necrosis de piel.

         4.- Tratamiento Endoscópico: puede ser Tópico, con adhesivo de tejidos, factores de coagulación,
             taponamiento ferromagnético.

              Inyectable: alcohol, adrenalina más etanolamina, esclerosantes, solución salina hipertónica.

              Mecánica: lazos, suturas, hemoclips, balones, ligaduras.

              Térmicos: electrocoagulación, Heater probe, fotocoagulación.

         5.- Tratamiento Quirúrgico: aunque actualmente la mayor parte de las HDA se solucionan con tratamiento
             médico, debe tenerse presente la posibilidad de tratamiento quirúrgico de Urgencia.

            Las indicaciones son: tratamiento intensivo de más de 5 horas de duración o la necesidad de transfundir
            más de 2 a 3 litros de sangre para mantener hemodinámica normal.

              - Hemorragias persistentes que requieren más de 3 unidades por día de sangre.
              - Recidiva de la hemorragia a pesar del tratamiento médico y endoscópico.
                                                     157
TERAPIA INTENSIVA

                  - Hemorragia más perforación u obstrucción pilórica.
                  - Úlcera con vaso visible por la alta probabilidad de resangrado.
                  - Reserva insuficiente de sangre.
                     La mortalidad en la cirugía de la H.D.A. es de un 80 % por gastropatia erosiva, un 50 % por várices
                      esofágicas en el shunt ( child C) y 25 % en la transección; por úlcera duodenal y gástrica un 5 a
                      15 % respectivamente.
            6.- Otros: la sonda balón de Sengstaken Blakemore o sus variantes, son utilizados en la H.D.A. originada
                por varices esofágica antes del tratamiento farmacológico específico, antes del tratamiento endoscópico
                y quirúrgico.

                Toda H.D.A. debe considerarse un proceso de alto riesgo, independientemente del volumen inicial de
                la misma y la repercusión hemodinámica que tenga en su comienzo, puesto que la evolución será
                totalmente impredecible mientras no se tenga conocimiento preciso de la lesión causada.
                Los pacientes sin alteración hemodinámica deberán internarse en sala general y los pacientes con
                descompensación hemodinámica en una unidad de cuidados Intensivos, para su diagnostico, y
                tratamiento ya indicados de acuerdo a la severidad del cuadro.

34.6. BIBLIOGRAFÍA:

      • Cook D. et al. risk factors for gastrointestinal bleeding in critical ill patient. N Engl Med 1994; 330-337.
      • Durham R, Shapiro M. Acte uypper gastrointestinal bleeding in the intensive Care Unit. En Carlson, R ,
        Reiner, H. Critical Care State of the Art. 1992.
      • Daniel Elisabe, Pascual Valdez. Hemorragia Digestiva Alta. En Pacin J, Dubin A, Gallesio A, Laffaire E, Maskin
        B, San roman A. Terapia Intensiva. 2da. Edicion. Buenos Aires: Panamericana. 1998.p.417-423.
      • Eric B Larson MD y Paul G Ramsey MD. En Cecil Terapeutica Medica. 2da. Edicion. México: Interamericana.
         1991.p.287-289.
      • Fred E. Silverstein. Endoscopia Gastrointestinal. En Harrison. Principios de Medicina Interna.14ta edicion.
        Mexico: Interamericana. 1998.p.1508-1547.
      • Harvey J Dworken. Hemorragia Gastrointestinal. En Shoemaker, Ayres, Grenvik, Holbrook, Thompson. Tratado
        de Medicina critica y Terapia Intensiva. 2da. Edicion. 1992.p.768-779.
      • Gilbert H. Mudge. Agentes que afectan el volumen y la composicion de los liquidos corporales. En Goodman
        y Gilman. Las Bases Farmacologucas de la Terapeutica. 7ma. Edicion. Buenos Aires: Panamericana. 1998.p.815-
        819.
      • Jensen D y col. A controlled study of ranitidine for the prevention of recurrent hemorrhage from duodenal
        ulcer. N Engl J Med. 1994; 330: 382.
      • Lacroix J, Infante Rivard C, Jenicek M, Cauthier M. Profilaxis of upper gastrointestinal bleeding in intensive
        Care United. A meta-analysis. Crit Care Med. 1988;17: 862.
      • Martin R Pujato. Hemorragia Digestiva Alta. En Fernando G Lasala, Carlos L Sagasta. Temas de Terapeutica
        Clinica. 2da. Edicion. Buenos Aires: Akadia.1980.p.317-322.
      • Paul Goldhaber. Alteraciones en la Funcion del Sistema Digestivo. En Harrison. Principios de Medicina
        Interna. 14ta. Edicion. Mexico: Interamericana. 1998.p.222-226.
      • Reusser P, Gyr K, Sheidegger D y col. Prospective endoscopy study of stress erosions and ulcers in critically
        ill neurosurgical patient. Current incidence and effect of acid-reductng prophylaxis. Crit Care Med. 1990; 18:
        270.
      • Schuster DP, Rowley H, Feinstein S y col. Prospective evaluation of the risk of upper gastrointestinal bleedin
        after admissi on to a medical intensive care unit. Am J Med. 1984: 76: 623.


                                                         158
TERAPIA INTENSIVA

                                                                            35. PANCREATITIS AGUDA.
*Dr. Williams Vidal Panique Rojas


35.1. DEFINICIÓN:

       La pancreatitis aguda es un proceso inflamatorio del páncreas con un amplio rango de gravedad clínica que varía
       desde una forma autolimitada, a una enfermedad letal complicada con un fallo multiorgánico.

35.2. ETIOLOGÍA:

          Alcoholismo.
                    Enfermedad de vías biliares.
                    Traumatismo: post-operatorio, lesiones abdominales, después de ERCP.
                    Infecciones: paperas, coxackievirus y echovirus, micoplasma, parasitosis.
                    Causas metabólicas: hiperlipidemia, hiperparatiroidismo, embarazo, uremia, después de transplante
               renal.
            Fármacos:
                    - Informes múltiples:
                                De inmunosupresión: corticosteroides, azatioprina, L-asparaginasa.
                                Diuréticos: tiazidas, furosemida, ácido etacrínico.
                    - Varios: fenformina, contraceptivos bucales.
                    - Informes poco frecuentes o dudosos:
                                Acetaminofeno, INH, rifampicina, propoxifeno.
                    Causas vasculares: choque, LES, periarteritis, embolia ateromatosa.
                    Causas mecánicas: Tumor de ampolla de Vater, divertículos duodenales, enfermedad de Crohn
                    duodenal, cirugía abdominal.
                    Úlcera duodenal penetrante.
                    Causas familiares.

35.3. CUADRO CLÍNICO:

       Dolor abdominal. El dolor es constante antes que tipo cólico, de inicio se localiza en epigastrio y cuadrante
       superior izquierdo, pero a medida que progresa se hace difuso y se irradia hacia el dorso. Ocurre vómito en el
       70 a 90 % de los casos.

       Los hallazgos físicos inespecíficos son fiebre, taquicardia e hipotensión. Casi siempre hay hipersensibilidad
       abdominal. En ocasiones, en la pancreatitis hemorrágica la sangre retroperitoneal se diseca hacia los flancos o
       alrededor del ombligo, para producir los signos de Grey Turner o Cullen.

35.4. EXÁMENES COMPLEMENTARIOS:
                       Amilasa sérica.
                       Glucosa sanguínea.
                       Calcio sérico.
                       Radiografía.
                       TAC.

                                                         159
TERAPIA INTENSIVA

                               ERCP.
                               RNM.

35.5. TRATAMIENTO:
                               Sintomático y de sostén:
                               Meperidina para el dolor.
                               Calcio.
                               Insulina.

35.6. BIBLIOGRAFÍA:

      • Simposio Internacional de Atlanta: Pancreatitis Aguda. 1994.
      • Reyes R. Rica H. Chanis G. Pancreatitis aguda y Crónica. 1992




                                                       160
TERAPIA INTENSIVA

                                                                           36. NUTRICIÓN PARENTERAL:
*Dr. Williams Panique Rojas

36.1. DEFINICIÓN:

       La nutrición parenteral se define como un apoyo nutricional endovenoso que, tiende a disminuir el deterioro
       nutricional de pacientes que no pueden recibir alimentos por vía digestiva. Es la técnica de asistencia nutricional
       intensiva cuando el tracto digestivo no pueda ser usado; por ser ello:
       Imposible: obstrucciones intestinales, resecciones intestinales, pancreatitis aguda grave, peritonitis, abscesos
       intraabdominales, complicaciones de cirugía digestiva.
       Insuficiente: mala absorción, diarreas crónicas, quemaduras, politraumatizados, sépsis.
       Desaconsejable: fístulas enterocutaneas, obstrucciones intestinales parciales, inflamaciones intestinales agudas,
       compromiso de conciencia con riesgo de broncoaspiración.

36.2. REQUERIMIENTO ENERGÉTICO:

       1.- Harris Benedict:
             Hombre: 66 + (13.7 x peso[kg.])+ ( 5 x talla[cm])- (6.8 x edad [años])
             Mujer: 665 + (9.6 x peso[kg.])+ (1.8 x cm talla[cm])- (4.7 x edad [años])

       2.- Roza:
             Masculino: GEB = 88.36 + (123.39 x peso [kg.]) + (4.79 x altura [mts]) – (5.67 x edad [años])
             Femenino: GEB = 447.59 + (9.24 x peso [kg.]) + (3.04 x altura [mts]) – (4.33 x edad [años])
             2.- Aproximado: 20 a 25 Cal/kg peso actual.

       Proteínas (Gramos /día):
             1.- Teóricos: 1 a 3 g/kg. peso.
             2.- Según Balance Nitrogenado:
                  Para mantención = ( NUU - 4 ) x 6.25
                  Para anabolismo = ( NUU + 8 ) x 6.25

36.3. REQUERIMIENTO DE ELECTRÓLITOS.



                         Electrólito             Requerimiento           Máximo de
                                                 mEq/l                   adición (3 lts)
                              Na+                     60 - 130                260
                              K+                         60                   200
                              Ca++      *             10 - 15                 20
                              P04       *              20 mM                  40
                              Mg++      *              8 - 20                 26
                      Drogas incompatibles con Nutrición parenteral (incluye mezcla 3 en 1)


                                                           161
TERAPIA INTENSIVA


      Drogas incompatibles con Nutrición parenteral (incluye mezcla 3 en 1)

                   Aminofilina                                Fenilhidantoina
                   Ampicilina                                 Lidocaína
                   Anfotericina B                             Manitol
                   Carbenicilina                              Meperidina
                   Cefalosporinas Ia IIa IIIa                 Metronidazol
                   Cloranfenicol                              Tetracicilinas
                   Clindamicina                               Tobramicina
                   Gentamicina                                Vancomicina


36.4. BIBLIOGRAFÍA:

      • Rambeau J. Rolandelli R. Nutricional Support. Care in the ICU. 1994 : 986-820.
      • Maíz A. Manual de Asistencia Nutricional. Mediterráneo. 1990; 140-8.




                                                      162
TERAPIA INTENSIVA

                                                                                  37. NUTRICIÓN ENTERAL.
*Dr. Williams Panique Rojas

37.1. DEFINICIÓN:

       Esta forma de tratamiento nutritivo intensivo es preferible a la alimentación parenteral cuando se requiere un
       tratamiento a largo plazo. La utilización de la vía intestinal presenta un menor número de efectos indeseables
       graves y permite la regulación intestinal de la absorción.

37.2. ETIOLOGÍA:

       Anorexia (depresión, anorexia nerviosa, neoplasias, enfermedades crónicas).
       Dificultad en masticación y deglución (traumatismos faciales, cirugía de cabeza y cuello, disfagia).
       Aumento de los requerimientos nutricionales (traumatismo, infección, cirugía, desnutridos en fase de recuperación).

37.3. REQUERIMIENTO ENERGÉTICO:

       37.3.1. 1.- HARRIS BENEDICT:

                 Hombre: 66 + (13.7 x peso[kg.])+ ( 5 x talla[cm])- (6.8 x edad [años])
                 Mujer: 665 + (9.6 x peso[kg.])+ (1.8 x cm talla[cm])- (4.7 x edad [años])

       37.3.2. 2.- ROZA:

                 Masculino: GEB = 88.36 + (123.39 x peso [kg.]) + (4.79 x altura [mts]) – (5.67 x edad [años])
                 Femenino: GEB = 447.59 + (9.24 x peso [kg.]) + (3.04 x altura [mts]) – (4.33 x edad [años])

       37.3.3. 3.- APROXIMADO: 20 A 25 CAL/KG PESO ACTUAL.

37.4. PROTEÍNAS (GRAMOS /DÍA):

                 1.- Teóricos: 1 a 3 g/kg. peso.
                 2.- Según Balance Nitrogenado:
                      Para mantención = ( NUU - 4 ) x 6.25
                      Para anabolismo = ( NUU + 8 ) x 6.25

37.5. TRATAMIENTO:

       Las fórmulas líquidas se pueden administrar directamente en el estómago o en el duodeno.
       Alimentación intragástrica aprovecha la capacidad de reserva del estomago y el efecto de dilución de las secreciones
       gástricas. Las secreciones gástricas se pueden mezclar con las soluciones nutritivas, de modo que se reduce la
        osmolalidad y el riesgo de diarrea.




                                                           163
TERAPIA INTENSIVA

      Las técnicas de alimentación enteral forzada varían según el tipo de sonda empleada. La alimentación puede ser:
                                En bolo.
                                En infusión continua.

      Alimentación duodenal: tiene como ventaja propuesta la reducción del riesgo de reflujo y neumonía por aspiración.
      Productos comerciales preelaborados.
      Dietas elementales.
      Aporte vitamínico y de minerales.

37.6. BIBLIOGRAFIA:

      • Rambeau J. Rolandelli R. Nutricional Support. Care in the ICU. 1994 : 986-820.
      • Maíz A. Manual de Asistencia Nutricional. Mediterráneo. 1990; 140-8




                                                         164
TERAPIA INTENSIVA

                                                 38. INTOXICACIÓN POR ORGANOFOSFORADOS
*Dr. Oscar Vera Carrasco


38.1. INTRODUCCIÓN :

       Los Organofosforados son inhibidores irreversibles de la acetilcolinesterasa utilizados actualmente en nuestro
       medio como insecticidas agrícolas y domésticos, y algunos como redenticidas (raticidas). Son derivados del
       ácido fosfórico, que presentan una estructura química inestable y se hidrolizan con rapidez, razón por la cual,
       no entrañan el riesgo de acumularse en el medio ambiente.

       Su toxicidad es muy variable, oscilando la dosis potencialmente letal por vía oral entre 10 mg para el Paratión y
       60 mg para el Malatión.

       Puede haber sobredosis o intoxicación con propósitos suicidas y debidas a exposición por desarrollar actividades
       agrícolas, incluidas la absorción cutánea. Son también bien absorbidas por las mucosas (conjuntivas) y las vías
       respiratoria y digestiva.

38.2. CLASIFICACIÓN DE LOS ORGANOFOSFORADOS SEGUN SU TOXICIDAD:


                                             GRADO DE TOXICIDAD

               Muy alta                            Moderada                                      Baja

               Carbofenotión                        Acetato                                       Fenitrotión
               Clofenvinfos                         Clorpirifos                                   Malatión
               Disulfotón                           Diazinón                                      Te m e f ó s
               Fonofos                              Diclorvos
               Forato                               Dicrotofos
               Mecarbam                             Dimetoato
               Meti-paratión                        Etión
               Mevinfos                             Fentión
               Ometoato                             Metidatión
               Paratión                             Monocrotofos
               Sulfotepp                            Merfos
                                                    Triclorión


38.3. MECANISMO DE ACCIÓN :

       Tanto en el hombre como en los insectos, los insecticidas organofosforados causan una inhibición de la
       acetilcolinesterasa por fosforilación, lo que conduce a una acumulación del neurotransmisor acetilcolina en los
       receptores y a la consiguiente hiperestimulación y posterior interrupción nerviosa, que puede llevar, en casos
       graves, a la insuficiencia respiratoria y a la muerte.



                                                          165
TERAPIA INTENSIVA

38.4. CUADRO CLÍNICO .

      La clínica dependerá del tipo de organofosforado, de la vía de ingreso al organismo, de la dosis y de la susceptibilidad
      individual; los casos más graves suelen deberse a la ingesta del pesticida. Tras la exposición aguda, en las
      primeras 12 a 24 horas el cuadro clínico es consecuencia de la acumulación de acetilcolina en las terminaciones
      nerviosas, presentándose combinaciones de los siguientes signos y síntomas que se describen a continuación.


38.5. SIGNOS Y SÍNTOMAS DE LA INTOXICACIÓN AGUDA POR ORGANOFOSFORADOS


      38.5.1. MUSCARÍNICOS:

                Aumento de la secreción bronquial y broncoconstricción (sibilancias)
                Diaforesis, sialorrea , lagrimeo,rinorrea y sudoración
                Náuseas, vómitos, diarrea y cólico intestinal
                Incontinencia urinaria y fecal
                Bradicardia, vasodilatación cutánea, hipotensión y bloqueos de conducción
                Anormalidades en el segmento ST y onda T (aumento del tono parasimpático)
                Miosis, visión borrosa, fificultad de acomodación, hiperemia conjuntival

      38.5.2. NICOTÍNICOS .
               Fasciculaciones de la musculatura estriada
               Debilidad muscular, parálisis y calambres
               Parálisis respiratoria
               Taquicardia e hipertensión
               Hiperglucemia y glucosuria
               Palidez
               Midriasis (muy infrecuente)

      38.5.3. CENTRALES :

                Ansiedad, cefalea, ataxia, irritabilidad y somnolencia
                Dificultad en el habla
                Confusión, delirio
                Convulsiones, coma y depresión respiratoria
                Psicosis
                Ataxia

      38.5.4. OTRAS MANIFESTACIONES :

                Pancreatitis
                Incremento de la amilasa sérica
                Los trastornos del ritmo cardiaco, el coma convulsivo y la insuficiencia respiratoria son posibles causas
                de muerte en estos pacientes.



                                                            166
TERAPIA INTENSIVA

               Debido a su alta lipofilia, algunos organofosforados, como el Fentión, Metiparatión pueden permanecer
               dias o semanas en el organismo y ocasionar una persistencia de la sintomatología o una recidiva del
               cuadro clínico tras un periodo de recuperación. Algunos autores han descrito un SÍNDROME INTERMEDIO
               que aparece a las 24-96 horas de la intoxicación y tras haber superado la fase colinérgica, caracterizado
               por la afectación de los músculos respiratorios, proximales de las extremidades y flexores del cuello;
               este síndrome, que puede persistir durante varios dias y acompañarse de una importante insuficiencia
               ventilatoria, no responde al tratamiento con antídoto.

               Manifestaciones clínicas tardias o crónicas son la neuropatía periférica y los trastornos de la conducta,
               la memoria o el estado de ánimo, que pueden aparecer a las 2-3 semanas de la exposición, y cuyo
               mecanismo patogénico se relaciona con la inhibición de la esterasa neurotóxica, y que tampoco
               responden a la atropina ni a las oximas. La recuperación puede tardar meses o años y ser incompleta.


38.6. EXAMENES DE LABORATORIO :

     No existen datos analíticos generales característicos (hematológicos o bioquímicos). Aunque algunos insecticidas
     organofosforados o sus metabolitos pueden ser detectados directamente en muestras biológicas; el procedimiento
     requiere una complejidad técnica que no se encuentra al alcance de la mayoría de los laboratorios.

     También puede realizarse un análisis toxicológico indirecto a través de la determinación de la actividad de las
     colinesterasas intraeritrocitarias (acetilcolinesterasa) y de la pseudocolinesterasa plasmáticas, considerándose
     que las primeras reflejan mejor la intoxicación.

     Los niveles normales de colinesterasa eritrocitaria son de 29-36 U/g de hemoglobina, mientras que los de la
     colinesterasa sérica oscilan entre 7 y 19 U/ml ; no obstante, existe una amplia variación individual en las cifras,
     que son influidas tanto por factores genéticos como por diversas enfermedades; por ello, en las intoxicaciones
     agudas es importante para el diagnóstico y la evolución seguir la curva de colinesterasas.

     La colinesterasa sérica es más sensible pero menos específica para el diagnóstico, regerándose espontáneamente
     en dias o semanas, mientras que la eritrocitaria puede tardar 3 o 4 meses en normalizarse.

     Es posible encontrar un nivel bajo falso de pseudocolinesterasa en pacientes con enfermedades hepáticas o
     desnutrición y también se observa como una variante genética.

     Los niveles normales de actividad enzimática no excluyen la intoxicación porque dichos niveles son muy variables.

     Las pruebas opcionales según criterio clínico y disponibilidad son las siguientes: ionograma, gasometría arterial.
     ECG, EEG y medición de metabolitos.

     En algunas ocasiones el cuadro clínico puede no ser claro, por lo que se puede recurrir a la PRUEBA ATROPÍNICA
     para descartar un diagnóstico de intoxicación por inhibidores de colinesterasa (u organofosforados). Esta prueba
     consiste en administrar Sulfato de Atropina 1 mg vía I.V. (0,01 mg/kg peso en niños). Si el paciente no tiene
     intoxicación aparecerá rápidamente taquicardia, rubicundez facial, sequedad de la boca y midriasis. Si tiene
     intoxicación no aparecerá ninguno de estos signos.



                                                         167
TERAPIA INTENSIVA

38.7. MANEJO Y TRATAMIENTO :

     • Medidas de soporte y descontaminación : Adoptar medidas que apoyen la ventilación y la circulación,
       descontaminar la piel y considere el LAVADO GÁSTRICO, si el paciente llega dentro la hora de la ingestión.
       En los casos de alteración del estado de conciencia debe protegerse adecuadamente la vía aérea mediante
       la intubación endotraqueal antes de realizar el lavado gástrico.

        La descontaminación es muy importante para reducir la dosis absorbida; cuando la vía de entrada es cutánea,
        deberá iniciarse en el medio extrahospitalario mediante la retirada de toda la ropa que lleve el enfermo en el
        momento de la exposición, y el lavado de la piel con agua jabonosa templada y un poco de etanol, medida
        que se repetirá 2 o 3 veces más cuando el enfermo esté en el hospital.

        Esta contraindicada la inducción del vómito en pacientes inconscientes. Administrar carbón activado en las
        dosis convencionales (adultos 1 g/kg peso corporal diluidos en 100 ml de agua; Niños 0,5 g/kg peso diluidos
        en 100 ml de agua). De ser necesario puede repetirse cada 4 horas con 0,5 g/kg peso en adultos y 0,25 g/kg
        peso en niños, por un periodo de 24 horas.

        Controlar la gasometría arterial y el ECG; un QTc prolongado es de mal pronóstico.

     • ATROPINA (sin conservadores) : Es el fármaco de elección para la intoxicación por organofosforados. Cuando
       los signos muscarínicos comprometen la ventilación (hipersecreción bronquial, broncoespasmo), debe
       utilizarse en cantidad suficiente para que mejoren estos signos o hasta que aparezcan los de la intoxicación
       atropínica; idealmente debiera administrarse por vía intravenosa, con monitorización electrocardiográfica y
       corrigiendo previamente la hipoxemia.

        La dosis inicial en el adulto es de 1 mg IV; si el paciente no presenta efectos adversos, repetir una dosis de
        2 mg cada 15 minutos, hasta obtener un grado de atropinización (manifestado por falta de secreciones,
        taquicardia, rubefacción facial, sequedad de la boca y midriasis) o de intoxicación atropínica, como fiebre y
        delirio.

        Cuando se establece la Atropinización debe disminuirse paulatinamente la dosis de Atropina en un 50 % y
        luego en un 25 % y alargando los periodos de administración, vigilando que no retornen los signos de
        intoxicación. Cuando se tenga una dosis mínima, ésta debe permanecer al menos 24 horas, para luego
        suspender la administración de Atropina.

        El paciente promedio requiere aproximadamente 40 mg/día, pero pueden ser necesarias dosis mayores (500-
        1.500 mg/dia). La administración intermitente deberá continuarse por un mínimo de 24 horas hasta que el
        organofosforado se metabolice. Los casos graves pueden necesitar varios días de terapia, debido a la lenta
        regeneración de la actividad de la acetilcolinesterasa.

        El diagnóstico de intoxicación por un inhibidor de la colinesterasa debe ponerse en duda si la atropinización
        se consigue después de 1 a 2 mg.

     • PRALIDOXIMA : administrar 1 a 2 g IV en 500 ml de Solución salina normal durante 30 minutos. Esta medida
       reactiva la colinesterasa y contrarresta la debilidad muscular, las fasciculaciones y la depresión respiratoria.



                                                        168
TERAPIA INTENSIVA

         Para que la Pralidoxima sea efectiva debe administrarse en las primeras 24 a 48 horas posteriores a la
         exposición, antes de la fosforilación irreversible de la colinesterasa (proceso que se conoce como
         "envejecimiento"). Si no hay mejoría se repite la misma dosis al cabo de 1 hora y, posteriormente, cada 6-
         12 horas.

         En casos muy graves o si recidiva la sintomatología, puede continuarse la adminstración de la misma dosis
         (1-2 g) en perfusión intravenosa continua, hasta un máximo de 48-72 horas y a un ritmo de 200 a 500 mg/hora
         titulada para alcanzar el efecto deseado.

      • TRATAR LAS CONVULSIONES : utilizar una benzodiazepina (ej. Diazepam 5-10 mg IV lenta,que puede repetirse)
        o Difenilhidantoina (Fenitoina). En caso de convulsiones graves que requieren relajantes musculares, no
        administrar Succinilcolina, que puede ocasionar una parálisis prolongada.

      * AUMENTAR LA ELIMINACIÓN : los organofosforados tienen un amplio volumen de distribución, y se eliminan
        fundamentalmente por metabolización hepática.

         No está justificado el uso de técnicas de depuración renal o extrarenal. La hemoperfusión debe ser tenida en
         cuenta en las grandes sobredosis con Paratión.

      • TRATAR LA INSUFICIENCIA RESPIRATORIA : con Ventilación mecánica.

38.8. BIBLIOGRAFÍA :

      • Barril JB, Carrera V. Polineuropatía retardada inducida por organofosforados: una gran desconocida. Med
        Clin (Barc) 1989; 92: 787-93
      • De Silva HJ, Wijewickrema R, Senanayake N. Does pralidoxime affect outcome of management in acute
        organophosphorus poisoning? Lancet 1992; 339: 1136-8.
      • Ferraro H. Intoxicaciones en la Unidad de Terapia Intensiva. En: Juan Pacin. Terapia intensiva. 3ª. Edición.
        Editorial Médica Panamericana. Buenos Aires (Argentina) 2000; 919-26.
      • Bardin P. Organophosphate and carbamate poisoning. Arch of Int Med 1994; 154: 1433-41.
      • Minton NA, Murray VSG. A review of organophosphate poisoning. Med Toxicol 1988; 3: 350-75.
      • Senanayke N, Karalliede L. Neurotoxic effects of organophosphorus insecticides. N Engl J Me 1987; 316:
        761-3.
      • Yelamos F, Diez F, Martín C, Blanco JL, García MJ, Landerlli A, Peña JF. Intoxicaciones agudas por insecticidas
        organofosforados en la provincia de Almería. Estudio de 187 casos. Med Clin (Barc) 1992; 98: 681-4.
      • Martnez J. Intoxicación por insecticides anticolinesterásicos. Rev Toxicol 1990; 7: 135-49.
      • Goodenberger D. Emergencias médicas. En: Shubhada N, Ahya, Kellie Flood, Subramanian Paranjothl. El
        Manual Washington de Terapéutica Médica. 30ma. Edición. Editorial Lippincott and Wilkins 2.001; 564-5




                                                         169
TERAPIA INTENSIVA

                                                                       39. INTOXICACIÓN ALCOHÓLICA
*Gonzalo Luis Poma Plata

       El alcohol aún en dosis pequeñas, se comporta invariablemente como un tóxico depresor del Sistema Nervioso
       Central.

39.1. SIGNOS Y SÍNTOMAS:

       39.1.1. PRIMER PERÍODO:

                Sub- Clínico: alcoholemia > 100 y < 500 mg. / l. Sin manifestaciones clínicas aparentes, pero con
                alteraciones electroencefalográficas o psicotécnicas.

       39.1.2. SEGUNDO PERIODO:

                Ebriedad ligera o intoxicación: alcoholemia 500mg/l. Progresiva disminución de inhibiciones,
                autocrítica, euforia, con mayor labilidad emocional, con nistagmo postural; ligera incoordinación
                neuromuscular, dificultad en la marcha o en la articulación de la palabra, vasodilatación periférica y
                ligera rubicundez del rostro por la excreción pulmonar del alcohol, presenta aliento alcohólico.

       39.1.3. TERCER PERÍODO:

                Ebriedad completa o intoxicación moderada: alcoholemia > 1500 y < 3000 mg/l.           Marcada
                incoordinación neuromuscular lenguaje confuso , los trastornos visuales se agudizan, se produce
                diplopía , nistagmo más intenso.

       39.1.4. CUARTO PERIODO:
                Intoxicación severa o grave : alcoholemia > 3000 mg/l. somnolencia.
                > 4000 mg/l.: estado estuporoso , entre 4000 - 5000mg./l. coma, bradipnea, superficial y estertorosa,
                con hipoventilación e hipoxia, taquicárdia e hipotensión arterial, con colapso y shock, hipotermia,
                edema cerebral que se exterioriza con vómitos, que a su vez suele producir neumonía por aspiración.
                Hipoglucemia que puede acompañarse de lacticidemia. debidos en cierta medida al bloqueo de la
                gluconeogénesis hepática producida por el alcohol, como resultado del aumento de la relación NADH/NAD
                En estás circunstancias el coma alcanza especial gravedad y suele acompañarse de desviación conjugada
                de los ojos, signos de Babinsky, rigidez en extensión de las extremidades, convulsiones y trismus.

39.2. TRATAMIENTO:

             1- Medidas de soporte vital báscio
             2- Intoxicaciones leves y moderadas: colocar al paciente acostado, abrigado y bajo observación. En caso
                de agitación psicomotriz : diazepam.
             3- Intoxicaciones graves y coma alcohólico: evitar la absorción de mayores cantidades de tóxico. Lavado
                gástrico con agua bicarbonatada y luego se dará un purgante ( sulfato de sodio 3 g en 250 ml. de agua).
             4- Con el paciente inconsciente se hace necesaria la intubación endotraqueal previo a cualquier procedimiento
                 considerando la ventilación mecánica


                                                          170
TERAPIA INTENSIVA

            5- Es importante mantener la temperatura corporal dentro de los límites normales.
            6- Con alcoholemia de: 6000 mg/l. de inmediato : hemodiálisis.
            7- El shock y el edema cerebral presentes se tratarán de acuerdo a las pautas terapéuticas correspondientes
               a dichos cuadros.

      *** Intoxicación por metanol:

               Depresión del SNC con periodo de latencia entre 10 y 30 horas en relación inversa con la cantidad
               de metanol ingerida , con náuseas, vómitos, dolor abdominal, debilidad, visión borrosa hasta pérdida
               total de la visión, depresión respiratoria y óbito.
               Diagnóstico: clínica más acidosis metabólica, con anión Gap aumentado y refractaria al tratamiento e
               hiato osmolar elevado.
               La confirmación al determinar los niveles de metanol en sangre.
               Tratamiento:
            1- Soporte vital del paciente
            2- Depuración extrarrenal
            3- Antídoto con Etanol a una dosis de 0.6 g en bolo seguido de una infusión continua a 66 - 154 mg/kg/h.,
               el etanol es dializable y si se somete al paciente a hemodiálisis será necesario aumentar la dosis de
               etanol.

39.3. BIBLIOGRAFÍA:

      • Pacin Juan ,Maskin Bernardo ,Pálizas Fernando. Terapia Intensiva 3ra Edición . Buenos Aires Argentina :
        Panamericana ,2000.
      • Grenvik Ake ,MD ; Ayres Stephen ,MD ; Holbrook Peter ,MD ; Shoemaker William , MD . Compendio del
        Tratado de Medicina Crítica y TERAPIA INTENSIVA . Buenos Aires Argentina : Panamericana , 1998.
      • Bartlett Robert H. Fisiopatología en Medicina Intensiva ,1ra Edición ,Barcelona España , Editorial Masson
        –Little ,Brown 1997.
      • Marino Paúl L . El libro de la UCI .2 da Edición .Barcelona España :MASSON – Williams & Wilkins ,1998.




                                                         171
TERAPIA INTENSIVA

                                                                        40. TRAUMATISMO DEL TÓRAX
*Dra. Marina Fuentes C.

       El aumento en las altas velocidades y la falla mecánica de los vehículos, y el aumento de la violencia en los
       medios urbanos, son las causas más importantes que incrementan progresivamente el número de politraumatismos
       en nuestro medio, entre ellos, el traumatismo de tórax.

       Las lesiones torácicas, son la causa, de uno de cada cuatro muertes producidas por trauma, y muchos de estos
       pacientes mueren después de llegar al hospital.

       El manejo de las primeras horas del paciente con traumatismo de tórax, sigue, las normas generales de atención
       inicial de los politraumatizados según el American College of Surgeons.

       Mantenimiento de una vía aérea permeable.
       Ventilación adecuada
       Circulación eficiente

       Existen, lesiones que comprometen en minutos la vida del paciente, y que obligan a una acción rápida y enérgica
       en la emergencia como son:
           Obstrucción de la vía aérea
           Neumotórax hipertensivo
           Hemotórax masivo
           Tórax paradójico
           Neumotórax abierto
           Taponamiento cardiaco.

       El examen físico y la radiografía de tórax, naturalmente brindan elementos diagnósticos suficientes, para el
       tratamiento en las primeras horas.

40.1. CLASIFICACIÓN:

       Clásicamente el traumatismo de tórax se divide en: Cerrado y Abierto.

       40.1.1. TRAUMATISMO DE TÓRAX CERRADO.
             Las lesiones mas severas son:

             1. Tórax paradójico (Tórax inestable):
                El tórax inestable, es una lesión en la pared torácica en la cual un segmento pierde fijación con el resto
                de la arquitectura parietal, originada por las fracturas segmentarías (fracturas localizadas en dos o más
                regiones de una misma costilla) de tres o más costillas adyacentes, en la región anterior o lateral del
                tórax; la región posterior es la más resguardada, debido a la masa muscular y al omoplato. Esta lesión
                se caracteriza por un movimiento paradójico hacia adentro de la zona afectada durante la inspiración,
                y un movimiento hacia afuera durante la espiración. La presencia de un área del tórax inestable, aumenta
                el trabajo respiratorio del paciente, y la hipoxemia presente es secundaria principalmente a la contusión
                pulmonar.


                                                          172
TERAPIA INTENSIVA

           La evolución del tórax inestable depende del daño subyacente y de otras lesiones asociados intratorácicas
           y extratorácicas.

           La mortalidad se ubica entre el 20% y el 25%.

           Existen controversias en cuanto a la necesidad de estabilizar quirúrgicamente el tórax inestable, hay
           consenso en que, en los traumatismos sin pérdida de pared, la estabilización quirúrgica no es de primera
           elección. Tratar individualmente a cada paciente; la contusión pulmonar, el dolor y la insuficiencia
           respiratoria aguda con asistencia respiratoria mecánica de acuerdo a los criterios establecidos.

    40.1.2. CONTUSIÓN PULMONAR:

           Engloba tres entidades que pueden presentarse en conjunto o aisladamente y son la contusión pura,
           la laceración pulmonar y el hematoma pulmonar.

           Las modificaciones radiológicas se manifiestan después de 24 a 48 horas del trauma, presentándose
           como: infiltrado difuso heterogeneo, infiltrado homogeneo de consolidación o como lesión en parches.

           Las laceraciones pulmonares son los que con mayor frecuencia cursan con hemoptisis; si la laceración
           es extensa y con lesión bronquial, se asociará neumotórax, neumomediastino y enfisema subcutáneo.

           La evolución de la contusion pulmonar depende de la extensión y la asociación de otras patológicas,
           como la infección pulmonar en los pacientes que deben ser intubados y ventilados.

    40.1.3. CONTUSIÓN MIOCÁRDICA:

           En todo paciente con traumatismo de tórax debe descartarse este cuadro; su incidencia es de alrededor
           del 25%, aunque en alguna literatura se mencionan desde el 3% al 76% de los traumatismos torácicos.

           Los cambios patológicos incluyen hemorragia subendocárdica, edema miocárdico, hemorragia intersticial,
           degeneración miofibrilar y miocitolisis. Esta lesión puede encontrarse en un infarto de miocardio agudo,
           pero generalmente los limites de la contusión son nítidas.

           El ventrículo derecho es el mayor afectado frecuentemente.

           En el ECG encontramos una variedad de cambios del segmento S-T, la onda T, bloqueos de rama,
           arritmias de reciente aparición, el desarrollo de ondas Q o signos de disfunción del nodo sinusal.

           La CPK-MB mayor del 5% del total de CPK es de gran utilidad.

           El ecocardiograma convencional o asociado con Doppler, es importante para evaluar la función cardiaca,
           pero es limitado su uso por no encontrarse una ventana adecuada en este tipo de pacientes.

           Las centellografias con pirofosfato-técnecio tienen utilidad en las lesiones transmurales.




                                                     173
TERAPIA INTENSIVA

       Si se sospecha contusión miocárdica, el paciente debe ser internado en una unidad de terapia intensiva
       para monitoro electrocardiografico continuo durante 3 a 4 días, con el fin de detectar y tratar las
       posibles complicaciones, como las arritmias, la insuficiencia cardiaca congestiva y el taponamiento
       cardiaco que requiere un tratamiento inmediato.

40.1.4. RUPTURA TRAUMÁTICA DE LA AÓRTA:

        Aproximadamente el 80 a 90% de los pacientes mueren en los primeros minutos después de la ruptura.
       La aórta descendente donde nace la arteria subclavia izquierda, es el sitio de mayor lesión en
       aproximadamente un 95%, en segundo lugar se encuentra el desgarro del tronco braquiocefálico. Las
       lesiones de la aórta ascendentes son poco frecuentes.

       Clínicamente se encuentra signos y síntomas de insuficiencia aórtica aguda y cambios de la voz debidos
       a la compresión del nervio laringeo recurrente izquierdo.

       Radiológicamente, se observa, ensanchamiento mediastínico y la deformidad del boton aórtico, desviación
       del esófago o de las SNG, desviación de la traquea, derrame pleural izquierdo, fractura del esternón
       y de la primera costilla; pero se debe tomar en cuenta que la radiografía no es especifica para el
       diagnóstico de lesión de aórta y, en menos al 10% las Rx de tórax es normal inmediatamente después
       del traumatismo, a pesar de existir lesión de la aórta.

       La angiografía debe realizarse sin dilación cuando se sospecha de una ruptura aórtica clínica y
       radiologicamente.

       También se puede realizar una tomografía computada con contraste.

40.1.5. RUPTURA DEL DIAFRAGMA:

       Habitualmente no se diagnostica en los primeras horas. Es mucho más frecuente en el lado izquierdo,
       con una relación de 9:1 con el derecho. Representa solo el 1 a 3% de los traumatismos cerrados.

       Clínicamente se manifiesta con hipoventilacion, auscultación de sonidos viscerales en el tórax o ileo
       sin otra causa.

       Radiologicamente, se puede encontrar atelectasia, elevación de diafragmática, derrame pleural o
       desplazamiento mediastínico, éstos son signos indirectos que hacen sospechar esta lesión.

       Si se tiene duda, debe confirmarse la presencia de visceras en el tórax a través de estudios con contraste
       oral, en el 24% de los casos la radiografía simple es normal.

       La ruptura diafragmática suele ocasionar hemoperitoneo, pero en un 25% el lavado periotoneal
       diagnóstico es negativo.

       El diagnóstico tardio conlleva un mal pronostico, por destrucción intestinal o ruptura aórtica.

       El tratamiento es quirúrgico.


                                                 174
TERAPIA INTENSIVA

     40.1.6. LESIONES DEL ESÓFAGO Y EL ÁRBOL TRAQUEOBRONQUIAL:

               La ruptura de esófago en el traumatismo cerrado es muy raro y, generalmente afecta el tercio inferior.
               La presencia de aire de localización anormal en una radiografía de tórax hace sospechar esta lesión.

               Se debe solicitar un esofagograma, si se sospecha esta lesión.

               Un diagnóstico        tardio se complica con una mediastinitis con alta mortalidad.

               El tratamiento es quirúrgico y precoz.

               Las lesiones del árbol traqueobronquial representa menos del 1%,y el 80% se localiza cerca de la
               carina o en la bifurcacion de los bronquios principales.

               Clínicamente se puede encontrar neumomediastino, enfisema subcutáneo o hemoptisis, son los signos
               más frecuentes.

               La fibrobroncoscopia es el estudio de elección.

               La mortalidad es de un 50%, y el pronóstico depende de la extensión de la lesión y del calibre de la
               vía aérea afectada.

40.2. TRAUMATISMO DE TÓRAX ABIERTO:

     Estas lesiones abiertas de tórax, pueden deberse a heridas por arma de fuego y arma blanca. Los pacientes
     con lesiones en la región central del tórax y con descompensación hemodinámica, deben ser internados en UTI
     o ingresarlos en una sala de cirugía, ya que las hemorragias severas y el taponamiento cardiaco conducirían a
     la muerte en pocos miniutos.

     En cambio los pacientes estables deben ser estudiados topográficamente con una endoscopia digestiva,
     broncoscopia y angiografía, son los procedimientos de elección.

     Si las lesiones comprometen la zona periférica del tórax (fuera de la línea medio clavicular), el compromiso del
     corazón y grandes vasos es menor. Generalmente se encuentra neumotórax, hemotórax o ambos; si se acompaña
     de inestabilidad hemodinámica estará indicado una toracotomia exploradora.

     En las lesiones bajas del tórax o tóracoabdominales debe descartarse una ruptura diafragmática.

40.3. PROCEDIMIENTOS DIAGNÓSTICOS EN EL TÓRAX TRAUMÁTICO:

     40.3.1. TOMOGRAFÍA AXIAL COMPUTARIZADA:

               No desempeña un papel central en la etapa inicial. Esta indicada para definir imágenes dudosas en
               la radiografía simple de tórax y estudiar las lesiones laringeas o complicaciones durante la evolución
               del paciente internado en una unidad critica.



                                                        175
TERAPIA INTENSIVA

       40.3.2. ECOCARDIOGRAFIA:

              Es un estudio útil para evaluar las lesiones cardiacas dudosas o cuando hay deterioro de la función
              cardiaca durante la evolución.

       40.3.3. LAPAROSCOPIA:

              En el tórax traumático, su utilidad, es para evaluar el compromiso de las vísceras abdominales en el
              traumatismo de diafragma o tóraco-abdominales.
              La videotoracoscopia es promisoria en la exploración del tórax, así como en la evacuación de coágulos
              y colecciones. En las situaciones de emergencia su utilidad es limitada por la no disponibilidad de
              este aparato y, porque su uso es sólo por Cirujanos especialistas del tórax.
              Como regla de oro, la radiografía de tórax, la eventual colocación de tubos de drenaje pleural y el
              posterior monitoreo de estos son irremplazables, asociado a una buena fisioterapia permite el diagnóstico
              y tratamiento de la mayor parte de estas lesiones.

40.4   BIBLIOGRAFIA:

           • Chiappero G, Muchico MA. Trauma de Tórax. En: Juan Pacin. Terapia Intensiva. 3ra. edición. Editorial
             Médica Panamericana - Buenos Aires (Argentina) 2000; 746 - 52
           • Colegio Americano de Cirujanos. Programa avanzada de apoyo vital en trauma para médicos. 6ta. ed.
             Chicago. Colegio Americano de Cirujanos 1997.
           • Moore FA, Haenel JB. Tórax Flaccido y contusión pulmonar. En: Parsons, Wiener - Kronish. Secretos
             de los Cuidados intensivos 1998; 492-98.




                                                       176
TERAPIA INTENSIVA

                                                                       41. TRAUMATISMO ABDOMINAL
Dr. Jesús Gómez Mendívil


41.1. INTRODUCCIÓN:

       El abdómen es una localización frecuente de lesión en el paciente politraumatizado, y éste es un de los principales
       factores que contribuyen a incrementar su morbilidad y mortalidad. Son causas frecuentes los accidentes de
       tránsito, accidentes laborales y deportivos y, las agresiones violentas (armas de fuego y armas blancas). Los
       traumatismos abdominales se dividen en dos tipos: Cerrado y penetrante (4).

41.2. ANATOMIA EXTERNA DEL ABDÓMEN (1):

             a) Abdomen anterior
             b) Flancos
             c) Espalda

41.3. ANATOMIA INTERNA DEL ABDÓMEN (1):

             a) Cavidad peritoneal: dividida a su vez en un abdómen superior o tóraco - abdominal y el abdómen
                inferior
             b) Cavidad pélvica
             c) Espacio retroperitoneal

41.4. MECANISMO DE LESIÓN:

       La severidad del traumatismo está relacionada con el agente agresor y la cantidad de energía producida y disipada
       (2).

       41.4.1. TRAUMA CERRADO:

                 Un impacto directo puede causar compresión o lesión por aplastamiento a las vísceras abdominales,
                 ocasionando su ruptura con hemorragia secundaria y peritonitis. Cinturones de seguridad horizontales
                 mal empleados pueden inducir un aumento brusco de la presión intra abdominal, con ruptura de una
                 víscera hueca o desgarro mesentérico resultante (2). Desaceleraciones rápidas pueden provocar laceración
                 de vísceras macizas especialmente en los sitios de inserción de sus ligamentos de soporte o pedículos
                 vasculares

       41.4.2. TRAUMA PENETRANTE:

                 Heridas por arma blanca o arma de fuego de baja velocidad causan daño al tejido por laceración o corte.
                 Heridas por proyectiles de alta velocidad tienen efecto adicional de cavitación temporal y causan lesiones
                 adicionales en su desviación y fragmentación (1).




                                                           177
TERAPIA INTENSIVA

      41.5. VALORACIÓN INICIAL:

             Los pasos son los habituales del A, B, C, D, E (6) (4) (3).
           - Vía aérea permeable, ventilación adecuada. Identificar y tratar causas de obstrucción aguda e insuficiencia
             respiratoria (cuerpos extraños, neumotórax, etc)
           - Circulación con control de hemorragia externa. Verificar pulso carotideo y controlar hemorragias
             externas, identificar y tratar el estado de choque (canalización de vías venosas y perfusión de líquidos
             intra venosos). En esta fase se debe considerar el abdomen como posible fuente de hemorragia
           - Evaluación neurológica: reconocer alteraciones del estado de conciencia, lesiones craneales o medulares,
             para determinar la necesidad de una TAC.
           - Exposición de todo el cuerpo, evitando siempre la hipotermia.
             En ausencia de otras lesiones que expliquen la hipotensión, indican laparotomía exploradora urgente:
           - Traumatismo abdominal penetrante
           - Signos de peritonitis
           - Distensión abdominal masiva.
             La ausencia de cualquiera de estos signos y persistencia de la hipotensión, autoriza la realización de
             punción y lavado peritoneal.

41.6. VALORACIÓN DEFINITIVA:

      41.6.1. ANTECEDENTES Y ANAMNESIS:

                La historia del accidente o incidente (impacto frontal, lateral, trasero, vuelco de campana, fuerza del
                impacto, posibles lesiones por desaceleración, lesiones por contragolpe, utilización del cinturón de
                seguridad, bolsa de aire, tipo de objeto penetrante, tipo de arma de fuego, distancia a la que fue
                disparada, tiempo transcurrido, signos vitales el momento inicial, estimación de la hemorragia en el
                lugar del hecho, etc) nos orientará hacia el posible tipo de patrón lesional. También es importante
                obtener información médica y quirúrgica pasada y presente, medicaciones actuales, abuso de drogas
                o alcohol (1) (4).

      41.6.2.   EXPLORACIÓN FÍSICA:

                Es un proceso continuo y debe repetirse periódicamente durante la investigación diagnóstica (2). En
                pacientes paralizados o intoxicados, o en pacientes eufóricos por el consumo de drogas ilegales, no
                es confiable (2). El examen abdominal debe conducirse de manera meticulosa, sistemática y secuencial.
           -    Inspección: debe inspeccionarse el abdómen anterior y posterior, el tórax inferior y el periné . El paciente
                debe ser rotado cuidadosamente para realizar el examen completo .
           -    Auscultación: son causas frecuentes de abolición de los ruidos hidroaéreos la presencia de sangre o
                contenido gastrointestinal en cavidad peritoneal. Las lesiones de costillas, pelvis o columna también
                pueden ser causa de íleo sin lesión intra abdominal; La ausencia de ruidos hidroaéreos no constituye
                signo directo de lesión intraabdominal.
           -    Percusión: puede demostrar timpanismo -dilatación de vísceras huecas llenas de aire- o matidez -
                ocupación de la cavidad peritoneal por líquidos tales como sangre -.
           -    Palpación: comenzará con las costillas, pues la fractura de las últimas costillas puede ser causa de
                lesiones hepáticas o esplénicas. Debe palparse la pelvis ósea. Se palpará la cavidad abdominal y los
                flancos. Los hallazgos más frecuentes son el dolor abdominal a la palpación y descompresión (signo
                de rebote) y la resistencia muscular involuntaria que son signos confiables de irritación peritoneal
                                                           178
TERAPIA INTENSIVA

          - Evaluación digital de heridas penetrantes: solo en casos especiales tales como heridas tangenciales o
            superficiales de pared abdominal, realizada preferentemente por un cirujano experimentado. No en
            heridas cercanas a costillas por el riesgo de producir neumotórax.
          - Evaluación de estabilidad pélvica: para descubrir fracturas pélvicas y posibles lesiones asociadas.
          - Pene, región perineal y examen rectal: el tacto rectal tiene por finalidad evaluar el tono del esfínter anal,
            la presencia o ausencia de sangre, la integridad de los huesos pélvicos. La presencia de sangre en
            meato urinario sugiere la presencia de desgarro de uretra y otras lesiones de la vía urinaria.
          - Tacto vaginal: también forma parte de la evaluación secundaria.

     41.6.3. SONDAJES:

             Cateterizar vejiga o estómago se constituyen en medidas tanto diagnóstica como terapéutica - informa
             la presencia o no de sangre en la cámara gástrica a la vez que la descomprime-. El sondaje vesical,
             además de medir el débito urinario, nos permite evaluar la presencia de hematuria.

41.7. PRUEBAS DIAGNÓSTICAS:

          a) Estudios radiológicos: dependerán de la situación del paciente, mecanismo lesional, disponibilidades
             y experiencia del equipo de atención (5).
             En trauma cerrado, las radiografías de pie o acostado (manteniendo la estabilidad de la columna) pueden
             ser útiles en pacientes hemodinámicamente estables, para detectar aire extra luminal en el retroperitoneo
             o subdiafragmático, los cuales son indicadores de una laparotomía inmediata.
             En casos de trauma abdominal penetrante con inestabilidad hemodinámica, no debe realizarse ningún
             estudio radiológico en el departamento de urgencias (1). Si la herida penetrante está por encima del
             ombligo y hay estabilidad hemodinámica es de utilidad tomar una radiografía de tórax para excluir un
             hemo o neumotórax y buscar la presencia de neumoperitoneo.
             Estudios radiológicos contrastados tales como uretro-cistografía o urografía excretora están indicados
             cuando existe sospecha clínica de lesión de la vía urinaria, antes de proceder a la cateterización vesical.
             La urografía excretora se realiza inyectando un bolo intravenoso de medio de contraste yodado a una
             dosis de 200 mg. de Yodo / kilogramo peso (en un individuo de 70 kg. 1,5 ml por kg.. /peso de una
             solución al 60%) y la toma de radiografías a los 5 y 10 minutos (5).
          b) Ecografía: de gran valor en urgencias, puede realizarse a la par de otras medidas de reanimación y,
             requiere poco tiempo. Tiene alta sensibilidad para la detección de líquido intraperitoneal en cantidades
             de hasta de 70 ml (2).
          c) Tomografía computarizada (TAC): necesita movilizar al paciente, implica tiempo y administración de
             medios de contraste en el tubo digestivo o intra venosa, por tanto inviable en pacientes inestables.
             Escasa especificidad para lesión de víscera hueca y diafragma; Mayor especificidad para órganos
             sólidos, permitiendo clasificar el grado de lesión mediante la Organ Injury Scaling ( del I al VI si las
             lesiones son leves hasta irreparables).
          d) Paracentesis: solo se la realiza como primer paso del lavado peritoneal diagnóstico (3).
          e) Lavado peritoneal diagnóstico (LPD): descrita por Root en 1965, ha sido el “Gold standard test” para
             determinar la presencia de hemoperitoneo en el traumatismo abdominal cerrado y en las lesiones por
             arma blanca (5). Es una técnica rápida, barata, que se realiza sin desplazar al paciente. Se puede realizar
             en pacientes hemodinámicamente inestables o estables. Son contraindicaciones relativas la presencia
             de laparotomía previa, obesidad mórbida, embarazo avanzado y fracturas de pelvis de horas de evolución;
             es contraindicación absoluta la necesidad de laparotomía.


                                                        179
TERAPIA INTENSIVA

             Técnica (4) (5) (2): 1) descompresión gástrica y vesical a través de sondajes. 2) Utilizando anestésico
             local con epinefrina se practica una pequeña incisión vertical, en la línea media, a unos 2 a 3 cm por
             debajo del ombligo, y a través de esta se accede por punción a la cavidad peritoneal. Para ello puede
             utilizarse un equipo para diálisis peritoneal; en caso de no disponerse de él se puede utilizar una sonda
             K9, realizando con hilo de seda un punto en bolsa de tabaco que fija y evita pérdidas peri catéter . 3)
             El catéter peritoneal o la sonda K9 se dirigirá hacia el fondo de saco de Douglas con una inclinación
             de 45° sobre la horizontal. 4) Se introduce 10 ml por kg.. de peso de solución salina normal o ringer
             lactato tibio y tras 5 a 10 minutos se extrae el líquido dejando evacuar por efecto sifón para enviarlo
             al laboratorio. Los criterios de positividad que indican laparotomía urgente son:

               - Aspiración de sangre o líquido intestinal obtenido directamente al introducir el catéter
               - Obtención del líquido introducido para el lavado por la sonda vesical o el tubo de pleurotomía.
               - Líquido recuperado tras el lavado que incluya una o varias de las siguientes características: Más
                 de 100000 hematíes por mm3 o hematocrito mayor del 2% o 500| leucocitos por mm3; presencia
                 de bilis, bacterias, contenido intestinal o fibras vegetales en el sedimento; amilasa > 175 UI ó
                 > 30 U/l; fosfatasa alcalina > 3 U/l.

             Las complicaciones son escasas, los falsos negativos son infrecuentes, inferiores al 4% y se relacionan
             con trastornos del retroperitoneo, duodeno, diafragma, vejiga, riñones, etc; se asocia con un índice de
             certeza diagnóstica de más del 98%.
          f) Laparoscopia: de gran desarrollo en los últimos años (5). Poco accesible en nuestro medio por
             disponibilidad y costo.
          g) Pruebas de laboratorio: su ayuda al diagnóstico es solo relativa, incluyen: factor y grupo sanguíneo,
             hemograma, química sanguínea, coagulograma, electrolitos, examen general de orina y algunas pruebas
             especiales tales como alcoholemia, pruebas de embarazo y estudios toxicológicos (5).

41.8. ACTITUD TERAPÉUTICA (5):

          a) Trauma abdominal cerrado: los órganos más afectados en orden decreciente son: Bazo, hígado, hematoma
             retroperitoneal, riñón, intestino delgado, vejiga, mesenterio, páncreas, colon, uretra, diafragma, grandes
             vasos, duodeno, estómago y vía biliar extra hepática.
             La exploración física solo resulta útil para aumentar el grado de sospecha. En pacientes estables sin
             sospecha de rotura diafragmática o de víscera hueca debe procederse a realizar TAC o ECO abdominal,
             y puede efectuarse tratamiento conservador. Si existe posibilidad de cirugía urgente en cualquier
             momento, vigilar al paciente y seguimiento de la lesión con técnicas de imagen. Si se sospecha de
             rotura de víscera hueca puede realizarse LPD, pues tiene mayor sensibilidad para su diagnóstico.
             En pacientes inestables se seguirán los pasos de la resucitación inicial según normas de soporte vital
             avanzado en trauma. Si se descarta sangrado externo y hemotórax masivo, se realizará ecografía
             abdominal o LPD para buscar hemoperitoneo masivo, en cuyo caso se procede a la laparotomía de
             urgencia.

          b) Trauma abdominal penetrante: la afectación más común es de intestino delgado, mesenterio, epiplón,
             hígado, intestino grueso, diafragma, estómago, bazo, riñón, grandes vasos, duodeno, páncreas.
             En heridas penetrantes con choque y distensión abdominal, evisceración de asas, clara irritación
             peritoneal, hemorragia digestiva alta o baja, o en heridas por arma de fuego penetrantes en cavidad,
             está indicada la laparotomía urgente. En el 80 – 90% de las heridas por arma de fuego existen lesiones


                                                       180
TERAPIA INTENSIVA

              intra abdominales por lo que está indicada la laparotomía; el problema surge en lesiones tangenciales
              en pacientes estables, en estos casos puede recurrirse a la laparoscopia, TAC o LPD, aunque si su
              incidencia es baja puede ser un buen criterio indicar siempre cirugía.
              En lesiones por arma blanca, la penetración peritoneal no implica laparotomía urgente ya que solo en
              el 25 a 30% de los casos se comprueba lesiones de órganos intra peritoneales.
              En lesiones penetrantes pero con el paciente estable, puede realizarse TAC o LPD y observación estrecha.
              En las lesiones posteriores, puede recurrirse en pacientes estables, al estudio con TAC contrastada.
              Nunca debe explorarse localmente las lesiones si penetraron por la cavidad torácica.

41.9. ALGUNAS LESIONES ESPECÍFICAS (5) (2) (1):

      41.9.1. BAZO:

              Debe preservarse siempre que sea posible. Considerar laparotomía en pacientes inestables pese a la
              reposición con líquidos o la administración de más de 20 ml / kg.. peso de sangre. Se indica esplenectomia
              si debieron transfundirse más de 2 unidades de sangre en 24 horas; en pacientes inestables con pérdida
              persistente de sangre o traumatismo esplénico grado V.

      41.9.2. HÍGADO:

              Presenta una elevada mortalidad, en las fases iniciales por exanguinación y tardíamente por sepsis y
              disfunción orgánica múltiple. La tendencia actual es el tratamiento conservador (estabilidad hemodinámica
              y traumatismos de grado I a III). La inestabilidad hemodinámica y los traumatismos grado IV a VI por
              lo general requieren una laparotomía inmediata.

      41.9.3. LESIONES DE VÍSCERA HUECA:

              Lesiones duodenales cursan con la presencia de aire en retroperitoneo, obstrucción intestinal o sepsis;
              los traumatismos penetrantes con perforación de estómago producen hemorragia digestiva alta,
              neumoperitoneo e irritación peritoneal. El intestino se lesiona con más frecuencia en traumatismos
              penetrantes, aunque también lo hace en los cerrados (aceleración – desaceleración, aumento de la
              presión intra luminal ). El LPD tiene alta sensibilidad diagnóstica en este tipo de lesiones.

      41.9.4. APARATO GENITOURINARIO:

               El mecanismo lesional y la hematuria son los signos que más sugieren lesión de este sistema. En
              pacientes inestables debe realizarse pielografia intravenosa a la cabecera del paciente. Habitualmente
              el tratamiento es conservador, salvo en casos de choque o lesiones del pedículo renal.

      41.9.5. HEMATOMAS RETROPERITONEALES:

              El retroperitoneo puede almacenar cantidades importantes de sangre. La TAC y ecografía son métodos
              útiles para su descubrimiento.
              El LPD no tiene utilidad.




                                                        181
TERAPIA INTENSIVA

        41.9.6. LESIONES DIAFRAGMÁTICAS:

                Su diagnóstico es difícil, salvo cuando se produce herniación del contenido intestinal hacia espacio
                pleural. Una radiografía simple de tórax puede ser suficiente para el diagnóstico.

41.10. FLUJOGRAMAS DE ACTUACIÓN

        PROTOCOLO ANTE UN TRAUMATISMO ABDOMINAL CERRADO

                                            Tarumatismo
                                          abdominal cerrado



                                          Valoración inicial
                                            A, B, C, D, E.



           Si                                                                         No




     Sospecha de lesión                                                              Peritonitis
     de viscera hueca o                                                               Evidente
         diafragma




   No                     Si                                                Si                        No




     TAC                 LPD                                                                        TAC
                     Laporoscopica




                                                                                                  SVAT
            Observación                              Laparotomia
                                                                                               Reevaluación

                                                        182
TERAPIA INTENSIVA

    PROTOCOLO ANTE TRAUMATISMO ABDOMINAL PENETRANTE




                                     Traumatismo Abdominal penetrante



                                              valoración inicial
                                                 A,B,C,D,E,



                                           Evidencia de lesión de
                                               organos intra
                                               abdominales




             Si

                                                                                         No




                                                                                         LPD
                                                                                         ECO
        Laporotomia                                                                      TAC
                                                                                     Laparoscopia.
                                                                                 Examen clínico repetido




                                              Observación



    Modificado de Muñóz L y cols. Urgencias médico-quirúrgicas, manual de problemas clínicos. Tomo I. Editorial
    Diego Marín. 1998




                                                     183
TERAPIA INTENSIVA

41.11. BIBLIOGRAFÍA:

      • Colegio Americano de Cirujanos. Programa avanzado de apoyo vital en trauma para médicos. 6ta ed. Chicago:
        Colegio Americano de Cirujanos; 1997.
      • Grenvik A, Ayres S, Holbrook P, Shoemaker W. Compendio del tratado de medicina crítica y Terapia
        intensiva.Buenos Aires: Panamericana; 1998.
      • Aguilar C, Prado E, Cañedo Ch, Chevaile J, Saucedo J, Kaplan M, Diaz A, Eraño Instituto Nacional de la
        Nutrición “Salvador Zubirán”. Manual de terapéutica médica y procedimientos de urgencias, 3ra ed. México:
        Mc GRAW – HILL Interamericana; 1997.
      • Muñoz L, Martines C, Hernandez T, Marín J, Martinez JM, Garcia R . Urgencias médico quirúrgicas, Manual
        de problemas clínicos. 1ra ed.. Madrid: Diego Marín; 1998.
      • Hernando A, Rodríguez M, Sánchez-Izquierdo JA. Soporte vital avanzado en trauma. Madrid: MASSON; 2000.
      • Ruano M. Manual de soporte vital avanzado, 2da ed.. Madrid: MASSON; 1999.




                                                      184
TERAPIA INTENSIVA

                                                 42. POST OPERATORIO EN CIRUGÍA DE TÓRAX
*Dr. Oscar Vera Carrasco

       La sobrevivencia,recuperación y rehabilitación del paciente sometido a cirugía torácica depende del manejo
       adecuado de las siguientes medidas post quirúrgicas:

                 1. VENTILACIÓN
                 2. BALANCE HIDROELECTROLÍTICO
                 3. MANEJO ADECUADO DEL DOLOR
                 4. MOVlLIZACIÓN DE SECRECIONES
                 5. RADIOLOGIA

42.1. VENTILACIÓN EN EL POST OPERATORIO:

       La gran mayoría de los pacientes sometidos a resección pulmonar No requiere Asistencia respiratoria mecánica
       (ARM), excepto en neumopatías crónicas severas.

       La ARM puede ser necesaria cuando existiera sobredosis de medicamentos que provocan depresión respiratoria
       (opiaceos,benzodiazepinas, bloqueo peridural con morfina)
       El proceso de "destete" debe realizarse sobre la base de: la evaluación clínica,los gases sanguíneos, la medida
       del VC y otros indices correspondientes a la ARM.

       La evolución post operatoria de pacientes sometidos a resección pulmonar es mejor y con menos complicaciones,
       cuando es menor el tiempo de ARM.

42.2. BALANCE HIDROELECTROLÍTICO.

       La administración de líquidos durante el trans y post operatorio debe considerar las siguientes variables:

                  a) EDAD: pacientes de edad avanzada toleran menos la hiperhidratación.

                  b) FUNCIÓN MIOCÁRDICA: pacientes con lnsuficiencia cardiaca son mejor manejados mediante
                     el catéter de Swan-Ganz colocado previo a la cirugia.

                  c) ÁREA PULMONAR RESECADA: la neumonectomia aumenta de sobremanera el trabajo cardiaco.

                  d) DÉBITO URINARIO: una manera simple de verificar la perfusión renal y evaluar el estado
                     hemodinámico.

42.3. ANALGESIA:

       • Analgesia parenterál asociada a bloqueos locales y regionales.
       • Esquemas terapéuticos que pueden ser usados en las primeras 72 horas del post operatorio:



                                                         185
TERAPIA INTENSIVA

             a) Morfina: 1 a 3 mg IV cada hora asociada a bloqueo de nervios intercostales' con bupivacaina al 0,5%
                o al 0,75% con vasoconstrictor.

             b) Bloqueo peridural : con morfina (2 mg) asociado a bloqueo lntercostal con bupivacaina al 0,75 % con
                vasoconstrictor.
             Se puede asociar preparados con Codeina por via IM cada 4 horas.

42.4. MOVILIZACIÓN DE SECRECIONES BRONQUIALES:

             Esta condicionado a 3 items:

             a) Educación funcional pre operatoria: a través de fisioterapia.
             b) Asistencia post operatoria: analgesia adecuada y promoviendo ejercicios
                respiratorios efectivos.
             c) Fibrobroncoscopia:para toillete bronquial

42.5. DRENAJES TUBULARES DE TÓRAX:

      42.5.1. FORMAS DE DRENAJES PLEURAL:

      Objetivo:

      Promover el drenaje de secreciones pleurales (sangre,plasma,linfa,pus) y de aire en el trans y postoperatorio

      Drenajes pleurales rutinariamente utilizados:

      a) Drenajes simples conectado a sello de agua
      b) Drenaje con aspiración continua.
      c) Drenaje balanceado (principio de vasos comunicantes).

      42.5.2. CRITERIOS PARA RETIRO DE DRENAJES TORÁCICOS:

             a) Drenaje pleural < a 200 ml. en 24 horas.
             b) Ausencia de fuga de aire.
             c) Reexpansión pulmonar con control de Rx.

42.6. CONTROL RADIOLÓGICO EN EL POSTOPERATORIO DE CIRUGÍA TORÁCICA:

      * Debe ser realizado diariamente y preferentemente en posición sentada.
      * Los hallazgos que deben ser evaluados son los siguientes


      a)   Posición y forma del mediastino.
      b)   Presencia de neumotórax.
      c)   Cantidad de liquido pleural existente.
      d)   Posición de los drenajes torácicos.


                                                        186
TERAPIA INTENSIVA

      e) Presencia de atelectasias o consolidaciones del parénquima pulmonar.
      f) Posición de las cúpulas diafragmáticas.
      g) Cambios de forma y tamaño de la silueta cardiaca.

42.7. BIBLIOGRAFÍA :

      • Sabiston D. Textbook of Surgery. The biological basis of modern surgical practice 1986.
      • De Oliveira Rios J. Pós Operatorio em Cirugía de Tórax. En: David, Goldwasser, Nácul. Medicina Intensiva:
        Diagnóstico e Tratamento. Editorial Revinter. Rio de Janeiro (Brasil) 1997; 203-6.
      • Domino KB. Pulmonary function and disfunction in the traumatized patient. Anesth Clin North Am 1996; 14(1):
        59-84.
      • Hood M. Techniques in General Thoracic Surgery. 2a. ed. 1993.
      • Hood RM, et al. Surgical Diseases of the Pleura and Chest Wall. WB. Saunders Company 1986; 172-83.
      • Moore EE, Moore JB, Galloway AC, et al. Post injury Thoracotomy in the Emergency Department: A Critical
        Evaluation. Surgery 1979; 86: 590.
      • Bowling R, Mouroudis C, Richardson JD, et al. Emergency Pneumonectomy for Penetrating and Blunt Trauma.
        Am Surg 1985; 51: 136-9.
      • Shields T. General Thoracic Surgery. 4a. ed. 1994.




                                                       187
TERAPIA INTENSIVA

                        43. CUIDADO INTENSIVO POSTOPERATORIO EN CIRUGÍA CARDIACA.
*Dr. Oscar Vera Carrasco


43.1. SUBSISTEMA CARDIOVASCULAR:

       43.1.1. EVALUACIÓN CLÍNICA DE LA FUNCIÓN CARDIACA A TRAVÉS DE:
                • FRECUENCIA CARDIACA
                • PRESIONES ARTERIALES
                • PRESIÓN VENOSA CENTRAL
                • AMPLITUD DE PULSOS PERIFÉRICOS.

       43.1.2. CONTROL DE LA FRECUENCIA Y RITMO CARDIACO.


       43.1.3. MONITORIZACIÓN HEMODINÁMICA :
                - PAM Y PVC: EN TODOS LOS PACIENTES.
                - PAI Y CATÉTER DE SWAN-GANZ DE ACUERDO A INDICACIONES.

       43.1.4. MONITORIZACIÓN DEL DÉBITO CARDIACO: DE ACUERDO A LOS SIGUIENTES PARÁMETROS:


         .........................................................................................................................................................................

                                                     PIES                        T° dedos/                     Gradiente
                                    ............................................    Pies                         térmico
                                                                                                                       Central/                                       Diuresis
                                       Pulsos Color                      T°                                           Periférico                   PA                 ml/kg/h.
         ..........................................................................................................................................................................

         Adecuado                        >3+           Rosados Calientes Calientes +                                 Normal <4°C                  Normal                      >1

         Marginal                        2+           Pálidos          Frios                Igual                           4-6°C                    Normal                   <1

         Inadecuado                    1+ o 0 Moteado Frios                                 Frios +                         >6°C                     Hipotensión                0
         .................................................................................................................................................




       43.1.5. ASISTENCIA HEMODINÁMICA :

                • La reposición de la volemia debe realizarse con coloides o cristaloides de manera cuidadosa.
                • La reposición electrolítica es importante y debe incluir ClK (4-6 g) y SOMg (2-4 g) dia.




                                                                                      188
TERAPIA INTENSIVA

43.2. SUBSISTEMA RESPIRATORIO :

     43.2.1. INICIALMENTE TODOS LOS PACIENTES ESTÁN INTUBADOS Y CON ASISTENCIA RESPIRATORIA
             MECÁNICA (ARM).

     43.2.2. CONTROL DE LA VENTILACIÓN :

          •   El padrón ventilatorio ususal inicial es:
          -   Modo ventilatorio controlado.
          -   Volumen corriente: 8 – 12 ml/kg.
          -   FIO2: 0,6
          -   Frecuencia repiratoria: 10-12 cpm.
          -   PEEP: 3-5 cm H2O.
                • Luego modificar si es necesario el Modo Ventilatorio y la Frecuencia respiratoria para mantener
                   PaCO2 entre 25- 30 mmHg.
                • Adecuar la PaCO2 si es necesario, para mantener la PaO2 por encima de 60 mmHg y SaO2 por
                   encima de 90%.
                • Ajustar el PEEP siempre que la PaO2 sea menor a 80 mmHg con FIO2 mayor de 0,6 en presencia
                   de función cardiaca normal.
                • Iniciar el proceso de “destete” o discontinuación de la Ventilación mecánica, preferentemente
                   utilizando SIMV con presión asistida; sólo presión asistida si la FR espontáea fuera adecuada.Iniciar
                   presión de soporte con 20 cmH20 y reducir gradualmente hasta 5 cmH20.
                • Si existe anormalidades en los gases arteriales debe efectuarse siempre una radiografía de tórax.

     43.2.3. GASOMETRÍA ARTERIAL :

          - Como rutina efectuar 15 minutos después de instituida la ventilación mecánica a la llegada del paciente
            a la UTI. Posteriormente cada 6 horas, o más frecuentemente si hubiera necesidad.
          - Monitorizar la SaO2 con oxímetro en forma permanente y toda vez que se efectúe cambios en los
            parámetros ventilatorios, durante el proceso de “destete” o cuando existan alteraciones en el cuadro
            clínico.

     43.2.4. RAYOS X DE TÓRAX:

              Como rutina debe efectuarse a la admisión en la UTI y diariamente. En la misma debe observarse lo
              siguiente :

          •   Posición del tubo endotraqueal, catéteres, drenajes, área cardiaca y campos pulmonares.
          •   Ensanchamiento del mediastino.
          •   Pneumotórax.
          •   Derrame pleural o hemotórax.
          •   Edema pulmonar y atelectasias.




                                                        189
TERAPIA INTENSIVA

     43.2.5. CRITERIOS DE EXTUBACIÓN :

          • Función normal de todos los sistemas orgánicos.
          • Gasometría arterial normal con el paciente bajo ventilación mecánica asistida, presión de soporte de
            5 cmH20 y FIO2 0,4.

     43.2.6. POST EXTUBACIÓN :

          • Mantener oxigenoterapia a través de cánula nasal (“bigotera”) con un flujo de 2-5 l/minuto. Si la PaO2
             < de 60 mmHg usar Ventimask hasta el 60%.
          • Si se presenta signos de insuficiencia respiratoria solicitar una nueva gasometría arterial y considerar
            la necesidad de reinstituir ventilación mecánica.
          • Utilizar nebulizaciones con Solución salina y Fisioterapia respiratoria. Si existe broncoespasmo
            administrar broncodilatadores con la nebulización.
          • Iniciar dieta líquida completa 1 hora después de la extubación si el paciente se encuentra en estado
            de alerta, estable clínicamente y con el sistema digestivo normofuncionante.

43.3. SUBSISTEMA RENAL :

          1. Oliguria ( diuresis < 0,5 ml/kg/hora)

             a) Revisar la sonda vesical
             b) Corregir la hipovolemia si está presente
             c) Adecuar el Débito cardiaco
             d) Determinar niveles de creatininemia, NUS, Na+ y K+ séricos y urinarios.
             e) Administrar Furosemida 20-40 mg IV si persiste oliguria a pesar de las anteriores medidas.
             f) Considerar la infusión de Dopamina en dosis bajas hasta 24-36 horas.
             g) Incrementar la dosis de Furosemida hasta un máximo de 200-400 mg/dia en infusión.
             h) En persistencia de débito urinario disminuido valorar la necesidad de suspender la infusión de K+.
             i) Solicitar interconsulta al Servicio de Nefrología.

43.4. SUBSISTEMA METABÓLICO :

     43.4.1. LÍQUIDOS Y ELECTROLITOS – REPOSICIÓN DE RUTINA:

          a) POST. OPERATORIO INMEDIATO :
             - Sol. DSA al 5%.............................500 ml.
             -Cloruro de potasio........................ 13,5 mEq. Infusiom IV. 21 ml/h/m2 SC.

          b) 1er. y 2° DÍA DEL POSTOPERATORIO:
             - La misma solución anterior, 31ml/h/m2 SC.

     43.4.2. POTASIO:

          a) Si el K+ sérico es menor a 4,0 mEq/l.
             • 13.5 a 27 mEq. IV en 30 – 60 minutos.


                                                         190
TERAPIA INTENSIVA

            • Si existe tendencia a persistir hipopotasemia: puede repetirse lo anterior y/o aumentar la concentración
            en la solución de mantenimiento.

         b) Si el K+ sérico es mayor a 5,5 mEq/l.:
            • Suspender la administración de todas lass soluciónes infundidas y repetir la determinación de la
            kalemia en 1 hora.

        c) En caso de persistir la hipopotasemia:
             1. Sol. de glucosa hepertónica + insulina.
                SG 50%..........................................50 ml.
                Insulina regular……………………10 UI.
                Administrar en 15’ – 30’ (duración de acción 2 – 4 hrs.)
             2. Bicarbonato de sodio: 1 mEq/ kg. IV. (principalmente si exisyte Ac. Metabólica concomitante).

         d) En caso de hiperpotasemia :
             1. Gluconato de Ca++ : 0,5 g IV.., si los niveles de K+ son mayores a 6,5 mEq/ l
             2 Determinar la creatinina; si existe Insuficiencia Renal refractaria considerar
                 Diálisis.

    43.4.3. MAGNESIO:

         a) Determinar en forma rutinaria los nivele séricos en el Post operatorio inmediato y el primer día del
            Post operatorio.
             - Corregir si el nivel sérico es menor a 2 mg/dl.
             - Determinación imprescindible en arritmias.
         b) Dosis de administracion:
             - 2 g ó 4 ml de Sol al 50% diluido en una jeringa de 20 ml de Sol de DSA al 5%, administrar en
                 15 minutos.
         c) Contraindicaciónes: Insuficiencia renal (creatinina mayor 2,5mg / dl) y bloqueo AV 2° y 3er. grado.

    43.4.4. ACIDOSIS METABÓLICA:

         Si el déficit de base es mayor a -4:
         a) No tratar si la PaCO2 es menor a 25 mmHg y pH mayor a 7.4 (alcalosis respiratoria compensada).
         b) Administrar bicarbonato de sodio al 8,4% si la PaCO2 es mayor a 25 mmHg y pH menor 7,4, calculandose
              el déficit de bases de acuerdo a la siguiente fórmula:
                   DBE = déficit de bases x Peso (kg.) x 0.3
                   (Administrar en una hora la mitad del déficit calculado)
         c) Corregir las causas de Acidosis Metabólica: bajo débito, insuficiencia renal, Cetoacidosis diabética,
             etc.

    43.4.5. HEMATOCRITO / HEMOGLOBINA:

         • Si el Hto. es menor a 30 % ó la Hb. es menor a 10 g/dl, en presencia de inestabilidad hemodinámica,
           administrar concentrado de Glóbulos rojos. (Principalmente en pacientes graves y edad avanzada).



                                                      191
TERAPIA INTENSIVA

      43.4.6.DIABETES MELLITUS:
           • La glucemia deseada está entre 120 – 200 mg /dl.
           • Los pacientes que reciben Insulina NPH, deben recibir la mitad de su dosis la mañana de la cirugía.
           • Los que reciben hipoglucemiantes orales, estos deben suspenderse 48 horas antes de la cirugía y
             acompañarse con hemaglucotest / insulina regular. Si fuera necesario instituir dosis bajas de insulina
             NPH (10-20 U.I./ día).
           • En la U.T.I.:
               - Determinar la glucemia y hemoglucotest (HGT) al ingreso.
               - Repetir HGT c / 4 hrs. hasta las 8 hrs del 1er. día, del P.O. . Nueva glucemia en la mañana del 1er.
                   día del P.O. o antes para correlacionar con el HGT.

           Esquema de la Insulina regular / HGT :

                           HGT                                                   Insulina
                           Menor a 160                                           0 UI.
                           160 – 200                                             3 UI.
                           200 – 300                                             5 UI.
                           300 – 500                                             8 UI.
                           mayor a 500                                           12 UI.



           • Reiniciar Insulina NPH cuando se habilitala vía oral, en dosis equivalente a 2/3 de la suma de las dosis
             reqiueridas de Insulina regular el día anterior.
           • Los pacientes que reciben hipoglucemiantes orales deben reiniciarlos cuando ya esten con vía oral,
             conforme a controles de glucemia y necesidades de Insiulina regular.
           • Indicaciones para el uso de Insulina regular en infusión IV., contínua :
           - Glucemias permanentemente elevadas (mayor a 400 mg/dl).
           - Mala respuesta al esquema anterior. (especialmente en presencia de bajo débito y dificultad de absorción
             SC.)
           MODO DE USO:
           - Sol, Salina Isotónica ....................................................... 250 ml
           - Insulina regular................................................................. 50 UI (0,2 U / ml).
           - Iniciar con 0.1 UI / kg / hora; disminuyendo gradualmente; suspendiendo cuando la glucemia se
             encuentre entre 250 –300 mg / dl, momento en que se sustituye por la insulina en el esquema SC.
           - Efectuar controles de HGT cada hora durante la infision IV.

43.5. ANTIBIÓTICOS :

           1. Utilizar Cefazolina 1g IV durante la inducción anestésica y en el post operatorio 1 g IV cada 8 horas,
              hasta completar un total de 6 dosis.

                Dosis pediátrica: Cefazolina 25-50 mg/kg/dia divididas en 3 dosis.

                Los pacientes alérgicos a Cefalosporinas: Sulfametoxazol + Trimetoprima 1 ampolla diluida en 200 ml


                                                        192
TERAPIA INTENSIVA

                de Solución de Dextrosa al 5% vía IV, 1 hora antes de la cirugía y luego cada 12 horas, hasta un total
                de 5 dosis.

            2. Los pacientes en tratamiento por endocarditis infecciosa deben mantener el esquema antibiótico que
               estaba utilizando previamente.

43.6. TRATAMIENTO DE LA FIEBRE :

      1. La presencia de hipertermia moderada es común en los primeros días del post operatorio, y por lo tanto, debe
         ser tratada sintomáticamente.

          Si la temperatura es > 37.5 º C usar Acetaminofeno o Paracetamol 500 mg VO cada 4 horas o Terapirol
          (Dipirona) 500 mg IV cada 4 horas si el paciente esta NPO.

      2. Si el paciente presenta hipertermia persistente, con una temperatura > 38 º C y signos sugestivos de infección,
         solicitar hemocultivos, urocultivos, cultivo de catéteres y de secreciones para identificar un posible foco
         infeccioso.

          Si la hipertermia es persistente, después del 4º día de la cirugía, sin que existan signos de infección, solicitar
          todos los cultivos y tratar de identificar el foco infeccioso.

43.7. COMPLICACIONES:

      •   Arritmias cardiacas
      •   Hipertensión arterial
      •   Hemorragias
      •   Neurológicas
      •   Psiquiátritas
      •   Parálisis diafragmática
      •   Gastrointestinales
      •   Endocrinológicas
      •   Síndrome de bajo débito
      •   Insuficiencia renal

      43.7.1. ARRITMIAS CARDIACAS :

            Secundarias a :
            • TRASTORNOS ELECTROLÍTICOS
            • ISQUEMIA MIOCÁRDICA
            • TRASTORNOS ÁCIDO BASICOS
            • HIPOTERMIA
            • CATECOLAMINAS
            • TRAUMA QUIRÚRGICO




                                                           193
TERAPIA INTENSIVA

      43.7.2. ARRITMIAS SUPRAVENTRICULARES:
           • Taquicardia sinusal : secundaria a dolor , fiebre, hipovolemia, descarga adrenergica.
           • Bradicardia sinusal: secundaria a fármacos (beta bloqueantes, digital, amiodarona, diltiazem)

      43.7.3. TAQUICARDIAS SUPRAVENTRICULARES:

            • Fibrilacion auricular (83%) : secundaria a trauma (clampeo aórtico), reacción inflamatoria, aumento
              de la aurícula.
            • Flutter auricular y taquicardias : menos comunes en el post operatorio.

      43.7.4. ARRITMIAS VENTRICULARES:

                 Extrasistolia ventricular, taquicardia ventricular, fibrilacion ventricular: investigar HIPOXIA, DISTURBIO
                 METABÓLICO, ISQUEMIA.

      43.7.5. TRASTORNOS DE LA CONDUCCIÓN A-V :

                 Asociados al uso de Cardioplejia, drogas, isquemia, disfunción del VI, hiperpotasemiia, manipulación
                 valvular.

      43.7.6. ARSENAL TERAPÉUTICO:

            a)   Bradicardia sinusal: Atropina, isoproterenol, marcapaso transitorio
            b)   Taquicardia sinusal. Tratatar causas, betabloqueantes
            c)   Extrasistolia auricular: Digital, digital/quinidina, Amiodarona, betabloqueantes
            d)   Fibrilación auricular: Digital/quinidina, Amiodarona, cardioversión eléctrica, betabloqueantes.
            e)   Flutter auricular: cardioversión eléctrica, Amiodarona, digital.
            f)   Taquicardia supraventricular: Verapamilo, digital.
            g)   Bloqueo A-V: Atropina, isoproterenosl, marcapaso transitorio
            h)   Extrasistolia ventricular: Lidocaina, K+, Mg++
            i)   Fibrilación ventricular: Cardioversión eléctrica, maniobras de reanimación (PCP-C), Lidocaina.


43.8. HIPERTENSIÓN ARTERIAL :

      a) Factores etiológicos : hipoxemia, hipercapnia, hipotermia, dolor, exceso de catecolaminas y manipulación
         de grandes vasos.

      b) El medicamento de elección para el tratamiento es el Nitroprusiato de sodio. Entre otros antihipertensivos
         pueden utilizarse la Nitroglicerina (especialmente en portadores de cardiopatía isquémica), Nifedipina e
         Inhibidores de la ECA.

43.9. SANGRADO :

      a) Secundario a: coagulopatía post Circulación extracorpórea (CEC), consumo de factores de la coagulación,
         hemodilución, uso de Heparina y problemas quirúrgicos (sutura).


                                                           194
TERAPIA INTENSIVA


     b) Puede ocurrir hipotensión arterial            por la hipovolemia o por taponamiento cardiaco.

     c) Esta indicada la REOPERACIÓN si ocurre sangrado de 500 ml en la primera hora del post operatorio o 100
        ml/hora.

     CRITERIOS PARA LA REOPERACIÓN POR SANGRADO POST CIRUGÍA CARDIOVASCULAR:


     43.9.1. DRENAJE DE TÓRAX QUE INDICA REOPERACIÓN

  Peso
  Kg                              No. de horas en ml/h                                          Total en ml
                   1ª. h                   2ª. h                  3ª. H                 4a. h              5a. h

    5,0               70                     60                     50                    120                  130
    6,0               70                     60                     50                    130                  155
    7,0               70                     61                     50                    152                  181
    8,0               90                     69                     52                    174                  207
    9,0               90                     78                     59                    195                  233
   10,0              108                     87                     65                    217                  259
   12,0              130                    104                     78                    260                  311
   14,0              152                    122                     91                    304                  363
   16,0              174                    139                    104                    347                  414
   18,0              195                    156                    117                    391                  466
   20,0              217                    174                    130                    434                  518
   25,0              271                    217                    163                    542                  647
   30,0              325                    260                    195                    651                  777
   35,0              380                    304                    228                    759                  906
   40,0              434                    347                    260                    868                 1036
   45,0              488                    391                    293                    976                 1165
 > 50,0              500                    400                    300                   1000                 1200


          d) Observar sangrado a nivel de la incisión quirúrgica y zonas de punción (sugieren de-
             fectos de la coagulación)
          e) Solicitar los siguientes exámenes de laboratorio : TP. K-TTP, recuento de plaquetas, fibrinógeno y tiempo
              de Trombina.

              En caso de drenaje anormal o sangrado excesivo en las incisiones y en el
              Sitio de las punciones, solicitar: Tiempo de sangría de IVY, PDF y dedímeros.

          f) Observar con atención los signos de taponamiento cardiaco.

          g) En presencia de REVERSIÓN INADECUADA o “REBOTE” luego de la administración de Heparina:


                                                       195
TERAPIA INTENSIVA


     • Diagnóstico : TCA y K-TTP alterados, por encima de 110 y 46 segundos respectivamente; Tiempo de
       Trombina > 2 veces al normal.
     • Tratamiento: Protamina 25 mg IV lentamente, hasta una dosis méxima de 100 mg. (reacciones adversas:
       hipotensión arterial, la que debe ser revertida con la administración de volumen, calcio e inotrópicos).

     h) Deficiencia de factores de la coagulación :

     • Diagnóstico : K-TTP, Tiempo de Trombina y fibrinógeno alterados.
     • Tratamiento: Plasma fresco congelado 10-15 ml/kg. Crioprecipitado 1U/10 kg..

     i) Fibrinolísis :

     • Sospechar en pacientes con consumo de factores de la coagulación: hipofibrinogenemia, presencia de
       PDF y dedímeros alterados, además, cuando existe la presencia de coágulos en cavidades (hemotórax
       o hemopneumotórax).
     • Tratamiento : Ácido Épsilon aminocaproico (Ipsilon) 5 g diluidos en 200 ml de Solución glucosada al
       5%, administrar en 1 hora, seguido por 1 g + 50 ml de Solución glucosada al 5% por hora y por otras
       6 horas.

43.9.2. NEUROLÓGICAS :

         Secundaria a : edad avanzada, CEC prolongada ( >120-180 minutos), trombo mural, presión sanguínea
         mantenida durante la CEC ( inferior a 50 mmHg; 70 mmHg en pacientes con alteraciones cerebrovasculares),
         hipotensión pre-operatoria, fibrilación auricular, enfermedad carotidea, embolia aérea y la microembolización
         de trombos de calcio, fibrina y plaquetas.

43.9.3. PSIQUIÁTRICAS :

         a) La incidencia de delirio puede alcanzar hasta el 51 % de los pacientes.
         b) Esta relacionado a la edad, lesión orgánica previa, medicación, hipoperfusión cerebral post CEC.
         c) Tratamiento de elección : haloperidol.

43.9.4. PARÁLISIS DIAFRAGMÁTICA :

     Lesión quirúrgica del nervio frénico secundaria a la disección de la arteria mamaria interna izquierda.

43.9.5. GASTROINTESTINALES :

         a)   Hemorragia digestiva.
         b)   I l e o.
         c)   Isquemia mesentérica.
         d)   Hiperbilirrubinemia.

43.9.6. ENDOCRINOLÓGICAS :

Los pacientes diabéticos tienen tendencia a estados de hiperosmolaridad y cetoacidosis.
                                                    196
TERAPIA INTENSIVA

    43.9.7. SÍNDROME BAJO DÉBITO CARDIACO :

          Complicación común secunadaria a :
          a) Taponamiento cardiaco.
          b) Disfunción grave del VI y/o VD.
          c) Infarto de miocardio.
          d) CEC prolongada.
          e) Hipovolemia.

              El manejo debe efectuarse con la ayuda de un catéter de Swan-Ganz. Evaluar el uso de inotrópicos (Dobutamina,
              Dopamina, Milrinona,, Noradrenalina), vasodilatadores (Nitroglicerina, Nitroprusiato de sodio) y soporte
              hemodinámico mecánico (balón intraórtico).

    43.9.8. INSUFICIENCIA RENAL:

          a) La presencia de insuficiencia renal (incidencia del 2%) post operatoria es una complicación temida debido
             a la elevación significativa de la mortalidad, principalmente si la insuficiencia renal es oligúrica (60-65 %)
             en comparación con la no oligúrica (10%).
          b) Las causas son variables, pudiendo estar relacionadas con :

          •   Disfunción renal pre-operatoria.
          •   S é p s i s.
          •   Síndrome de bajo débito cardiaco.
          •   Hemólisis.
          •   Uso de medicamentos.

          c) Debe mantenerse un débito urinario con un volumen mayor de 400 ml/24 horas o 1 ml/kg/hora.
          d) Corregir las causas, vale decir, identificarlas y optimizar el débito cardiaco y tratar la hipovolemia.
          e) Utilizar Furosemida en bolos o en infusión continua después de descartar la hipovolemia; restringir líquidos,
             corregir las dosis de la medicación de acuerdo al Clearence de creatinina y, corregir la dieta.
          f) Indicar diálisis cuando exista hipervolemia, hiperpotasemia, acidosis y uremia.

    43.10. BIBLIOGRAFÍA :

    • Sanz Gonzalo T. El postoperatorio en cirugía cardiovascular. Med Intensiva 1992; 16(1): 9-19.
    • Valladares do Nascimento FJ. Manuseio do Paciente em Pós-Operatório de Cirurgia Cardíaca. En: David CM,Goldwasser
      R, Nacul FE. Medicina Intensiva: Diagnóstico e Tratamento. Editorial Revinter. Rio de Janeiro 1997; 152-6.
    • Shoemaker WC. Tekbook of critical care.3 ed. Philadelphia NB Saunders 1995.
    • Bojar RM. Manual of perioperative care in cardiac and thoracic surgery. Boston. Blackwell 1990.
    • Rotinas Médicas Do Servicio de Cardiología Do Hospital Sao Francisco de Porto Alegre (Brasil) 1995.
    • Kirklin JW, Blackstone EH, Kirklin JK. Cirugía cardiaca. En: Tratado de cardiología. Editorial Interamericana Mc Graw-
      Hill 1990; 1805-22.
    • Marruecos L, Roglan A, Artigas A, Perez M, Solé O, Solanes H. Alteraciones neurológicas en el postoperatorio de
      cirugía cardiaca con circulación extracorpórea. Med Intensiva 1985; 9: 291-6.
    • Barash PG.Cardiopulmonary bypass and postoperative neurologic dysfunction. Am Heart J 1980; 99: 6757.
    • Salgado J. Cuidado posoperatorio cardiaco. En: Manuel Ramiro H, Oscar Saita-Kamino (ed). Temas de Medicina
      Interna: Cuidados intensivos. Editorial Interamericana. Mc Graw-Hill 1995; 3(2): 467-78.
    • Berner M. Management of low cardiac output after cardiac surgery. Crit Care Med 1993; 21 (suppl 9): s 331.
                                                          197
TERAPIA INTENSIVA

                                           44. COAGULACION INTRAVASCULAR DISEMINADA
*Dr. Jesús Gómez Mendívil

44.1. DEFINICIÓN:

       Es la coagulopatia compleja más importante en las Unidades de Terapia Intensiva, se trata básicamente de un
       estado en el que hay mayor tendencia de trombos intra vasculares. Se produce como consecuencia de una
       activación intravascular acelerada y patológica de la cascada de la coagulación y la fibrinolisis, con generación
       extensa de trombina en la sangre circulante, con el consiguiente depósito de fibrina en la microcirculación y
       consumo de plaquetas y factores de la coagulación.

44.2. ETIOLOGÍA:

       Son múltiples las situaciones clínicas que pueden desencadenar una coagulación intravascular diseminada (CID).

       44.2.1. OBSTÉTRICAS:

             Embolismo de líquido amniótico
             Desprendimiento prematuro de placenta
             Placenta previa
             Feto muerto retenido
             Eclampsia
             Aborto séptico

       44.2.2. INFECCIONES.

       44.2.3. TRAUMATISMOS TISULARES:

             Cirugías grandes
             Golpe de calor
             Inmunopatias
             Anafilaxia
             Transfusiones
             Rechazo a transplante renal

       44.2.4. NEOPLASIAS:

             Tumores sólidos
             Leucemias

44.3. FORMAS CLÍNICAS:

             Se reconocen dos:
             CID aguda
             CID crónica

                                                          198
TERAPIA INTENSIVA

44.4. CUADRO CLÍNICO:

      Las manifestaciones pueden variar desde simples petequias aisladas hasta hemorragias manifiestas letales genito
      urinarias, gastrointestinales, pulmonares, cerebrales.
      Al otro extremo se hallan los fenómenos trombóticos microvasculares que cursan con isquemia y/o necrosis a
      distintos niveles como ser: riñones, cerebro, piel, pulmones, corazón, vísceras abdominales

44.5. EXÁMENES COMPLEMENTARIOS:

      Es de esperar encontrar los siguientes datos laboratoriales:
      Trombocitopenia
      Tiempos de protrombina, trombina, parcial de tromboplastina activada alargados
      Aumento de los productos de degradación del fibrinógeno y fibrina (N < 8ug/dl)
      Descenso del nivel de fibrinógeno (N 200 – 400 mg/dL)
      Aumento del dímero D (N < 0,5 ug/mL)
      Disminución de la antitrombina III ( N 21 –30 mg/dL)

44.6. TRATAMIENTO:

      1. Suprimir el fenómeno desencadenante.
      2. Mantener estabilidad ventilatoria y hemodinámica.
      3. Heparina: su uso es muy controvertido, no existe acuerdo entre autores respecto a beneficios con su uso ni
         al momento o la dosis a la que debería emplearse.
      4. Concentrado de plaquetas: se usa a una dosis de 1 U / 01 kg de peso, o a 6 u 8 U cada 12 a 24 horas, a una
         velocidad de infusión de 5 ml/min (300 ml/hora), (6 U = 300 ml).
      5. Plasma fresco congelado: 4 U cada 12 –24 hrs (10 – 15 ml/kg).
      6. Crioprecipitados: 10 U o 1 U/10 kg, a intervalos, hasta elevar el fibrinógeno por encima de 100 mg/dl.
      7. Los antifibrinolíticos tampoco han logrado consenso a cerca de su empleo en esta patología. Se emplea a
         una dosis de 0,1 g/kg en 50 ml de solución fisiológica o dextrosa al 5% en 20 –30 minutos seguida de una
         infusión contínuade 0,5 a 1 g/hora cada 4 horas por no más de 48 horas.
      8. Antitrombina III: su utilidad no está bien demostrada.

44.7. BIBLIOGRAFÍA:

      • Bongard S, Sue D. Diagnóstico y Tratamiento en Cuidados Intensivos. 1ra ed.. México:El Manual Moderno.
      • Aguilar C, Prado E, Cañedo Ch, Chevaile J, Saucedo J, Kaplan M, Diaz A, Eraño J. Manual de Terapéutica
        Médica y procedimientos de urgencias. 3ra ed.. México: McGraw-Hill Interamericana; 1997.
      • Marino P. El Libro de la UCI. 2da ed..Barcelona: Masson; 1998.
      • Muñoz L, Martinez C, Hernández T, Marin J, Martinez JM, Garcia R. Urgencias Médico Quirúrgicas, Manual
        de Problemas Clínicos. 1ra ed..Madrid: Diego Marín;1998.
      • Grenvik A, Ayres S, Holbrook P, Schoemaker W. Compendio del Tratado de Medicina Crítica y Terapia Intensiva.
        Buenos Aires: Panamericana; 1998.
      • Hall J, Schmidt G, Wood L. Cuidados intensivos. 2da ed.. México:McGrw-Hill Interamericana; 2000.
      • Villa FL. Medimecum. 7ma ed.. España: Adis; 2002.
      • Parsons P, Wiener-Kronish J. Secretos de los Cuidados Intensivos. 2da ed.. México: McGraw-Hill Interamericana;
        2001.


                                                        199
TERAPIA INTENSIVA

                                                                                              45. ANAFILAXIS
*Dr. Jesús Gómez Mendívil

45.1. DEFINICIÓN:

       La anafilaxia es un cuadro alérgico severo cuyos signos y síntomas resultan de una reacción de hipersensibilidad
       inmediata entre un antígeno previamente reconocido por el sistema inmune y anticuerpos del tipo IgE. La reacción
       antígeno anticuerpo produce liberación de mediadores químicos tales como:
       • Histamina
       • Factor quimiotáctico eosinófilo de la anafilaxia
       • Sustancia de reacción lenta de la anafilaxia
       • Leucotrienos
       • Factor activador de las plaquetas
       • Cininas y prostaglandinas

       Estos mediadores causan:
       • Aumento de la permeabilidad vascular
       • Alteración del tono de la musculatura lisa
       • Activación de la vía clásica del complemento
       • Activación de los componentes de la cascada de la coagulación.
       • Mayor liberación de otros mediadores

       Lo que lleva a:
       • Fuga de líquido del intravascular al intersiticio
       • Disminución de la resistencia vascular periférica
       • Depresión del miocardio
       • Broncoconstricción
       • Insuficiencia respiratoria
       • Choque

       La reacción anafilactoide es clínicamente similar a la anafilaxia, se diferencia por su mecanismo patogénico, no
       está mediada por inmuno complejos, no ocurre de forma indefectible tras exposiciones sucesivas.

       Las reacciones anafiláctica y anafilactoide son agudas y potencialmente letales, pero la mortalidad por estas
       causas puede reducirse con un adecuado reconocimiento y oportuna aplicación de maniobras básicas y avanzadas
       de RCP.

45.2. ETIOLOGÍA:

       Las causas son múltiples, podemos clasificarlas en:

       45.2.1. ANAFILÁCTICAS O MEDIADAS POR IGE:

             Alimentos: huevos, leche, pescados, chocolates.
             Medicamentos: antibióticos B lactámicos.


                                                         200
TERAPIA INTENSIVA

            Picadura de insectos.
            Proteinas heterólogas: hormonas, antitoxinas.
            Rotura de quiete hidatídico.
            Contacto con látex.

      45.2.2. ANAFILACTOIDES, MEDIADAS POR COMPLEMENTO:

            Sangre y sus derivados
            Contrastes iodados
            Liberación directa de mediadores: Opiaceos, tiamina, manitol, dextrano, hidralacina.

      45.2.3. OTROS:

            Ejercicio
            Inmersión en agua
            Angioedema hereditario
            Anafilaxia idiopática

45.3. CUADRO CLÍNICO:

      El inicio de una reacción anafiláctica puede variar desde pocos minutos hasta una a dos horas, depende de la
      sensibilidad de la persona, la cantidad y vía de ingreso del alérgeno. Puede presentarse con manifestaciones
      locales (urticaria, angioedema) o sistémicas:

      45.3.1. MANIFESTACIONES CARDIOVASCULARES:

            Opresión torácica
            Hipotensión
            Taquicardia
            Isquemia de miocardio
            Taquiarritmias
            Fibrilación ventricular
            Disociación electromecánica
            Asistolia

      45.3.2. MANIFESTACIONES RESPIRATORIAS:

            Prurito o congestión nasal
            Tos
            Sibilancias
            Taquipnea
            Estridor laringeo
            Edema faringeo, epiglótico, glótico




                                                       201
TERAPIA INTENSIVA

      45.3.3. MANIFESTACIONES GASTROINTESTINALES:

            Dolor abdominal
            Diarrea
            Náuseas y vómitos

      45.3.4. MANIFESTACIONES CUTÁNEAS:

            Prurito
            Piel caliente
            Edema
            Eritema

      45.3.5. OTRAS MANIFESTACIONES:

            Urgencia miccional
            Contracciones uterinas
            Convulsiones
            Coma

45.4. EXAMENES COMPLEMENTARIOS:

      Aunque los estudios diagnósticos complementarios no tienen utilidad en la anafilaxia aguda, porque el diagnóstico
      es enteramente clínico, pueden servirnos para evaluar la repercusión sistémica de la misma:
      Rx PA de tórax
      ECG
      Hemograma
      Química sanguínea básica
      Gasometría arterial
      Determinación del complemento

45.5. DIAGNÓSTICO DIFERENCIAL:

      La anafilaxis puede confundirse con entidades tales como:
      Coma hipoglicémico
      IAM
      Síncope vaso vagal
      Choque séptico
      Choque cardiogénico
      Estatus asmático

45.6. TRATAMIENTO:

      Se basa en el reconocimiento temprano de la anafilaxis. Debe suprimirse el alérgeno sospechoso.




                                                         202
TERAPIA INTENSIVA

      45.6.1. MEDIDAS GENERALES:

           Posición de trendelemburg
           Vías respiratorias permeables
           Administración suplementaria de oxígeno, intubación orotraqueal y ventilación mecánica en caso necesario
           Acceso venoso de amplio calibre
           Monitoreo de constantes vitales

      45.6.2. TRATAMIENTO INICIAL:

               Expansión de la volemia inicialmente con soluciones cristaloides, administrar 1 a 2 litros de Solución
               salina normal o Solución Ringer normal en el lapso de 30 a 60 minutos.
               Adrenalina: 0,5 mg SC cada 5 a 10 min. de acuerdo a respuesta; en caso necesario administrar por vía
               intravenosa a dosis de 0,05 a 0,1 mg en bolos cada 1 a 5 min, hasta llegar a una dosis total de
               0,015mg/kg.

      45.6.3. TRATAMIENTO SECUNDARIO:

           d) Antihistamínicos: la asociación de bloqueantes histamínicos H1 y H2 tiene mejor resultado que el
              empleo aislado de bloqueantes H1. Se puede emplear:
              Difenhidramina: 1mg/kg, IM o IV cada 6 a 8 horas.
              Clorfeniramina: 0,1 mg/kg IV c/8 horas.
              Ranitidina. 50 mg IV cada 8 horas.
              Cimetidina: 4 mg/kg.

           b) Catecolaminas:
              Agonistas B2 inhalados: Terbutalina, albuterol(salbutamol)
              Isoproterenol: especialmente en broncoespasmo resistente. La dosis inicial es de 0,5 a 1 mcg/min. para
              un paciente de 70 kg de peso.
              Noradrenalina: permite mantener adecuada Tensión arterial y Frecuencia cardiaca hasta lograr expandir
              el espacio intravascular.

           e) Esteroides: a dosis elevadas son útiles en el tratamiento de los síntomas tardíos.
              Hidrocortisona: 250 mg IV cada 6 horas.
              Metilprednisolona: 50 mg IV cada 6 horas.

           f) Otros fármacos:
              Glucagon: a razón de 1 mg IV cada 5 min. Es efectivo en pacientes con bloqueo adrenérgico previo,
              en los que la adrenalina tiene poco efecto.

45.7. BIBLIOGRAFÍA :

      • Bongard S, Sue D. Diagnóstico y Tratamiento en Cuidados Intensivos. 1ra ed.. México:El Manual Moderno.
      • Aguilar C, Prado E, Cañedo Ch, Chevaile J, Saucedo J, Kaplan M, Diaz A, Eraño J. Manual de Terapéutica
        Médica y procedimientos de urgencias. 3ra ed.. México: McGraw-Hill Interamericana; 1997.
      • Marino P. El Libro de la UCI. 2da ed..Barcelona: Masson; 1998.


                                                       203
TERAPIA INTENSIVA

• Muñoz L, Martinez C, Hernández T, Marin J, Martinez JM, Garcia R. Urgencias Médico Quirúrgicas, Manual
  de Problemas Clínicos. 1ra ed..Madrid: Diego Marín;1998.
  Grenvik A, Ayres S, Holbrook P, Schoemaker W. Compendio del Tratado de Medicina Crítica y Terapia Intensiva.
  Buenos Aires: Panamericana; 1998.
• Hall J, Schmidt G, Wood L. Cuidados intensivos. 2da ed.. México:McGrw-Hill Interamericana; 2000.
• Villa FL. Medimecum. 7ma ed.. España: Adis; 2002.
• Parsons P, Wiener-Kronish J. Secretos de los Cuidados Intensivos. 2da ed.. México: McGraw-Hill Interamericana;
  2001.




                                                  204
TERAPIA INTENSIVA

                                                         46. SÍNDROME DE STEVENS – JOHNSON
*Dr. Oscar Vera Carrasco


46.1. DEFINICIÓN:


       Es una variante severa del Eritema Multiforme (EM), consistente en una reacción de hipersensibilización que
       afecta la piel y las membranas mucosas. Adicionalmente pueden quedar implicados algunos otros órganos.

46.2. ETIOLOGÍA:

       El Síndrome de Stevens-Johnson (SSJ) es idiopático en el 50%.
       En el resto de los casos puede ser una reacción alérgica a uno de los siguientes factores:

       1. Infecciones:

             •   Virales (Ej. Herpes simple, sarampión, virus de la varicela, coxsackie, hepatitis B)
             •   Bacterianas ( Ej. Estreptococos, pseudomonas, micoplasmas, Yersina, brucelosis difteria, tularemia)
             •   Micobacterianas (Ej. Tuberculosis)
             •   Espiroquetas (Ej. Sífilis)
             •   Hongos (Ej. Histoplasmosis)
             •   Protozoarios.

       2. Medicamentos:

             •   Analgésicos (Ej. Aspirina, AINES)
             •   Antibióticos ( Ej. Sulfonamidas, penicilinas, cefalosporinas, tetraciclina)
             •   Anticonvulsivantes (Ej. Etosuximida)
             •   Antihipertensivos (Ej. Minoxidil)
             •   Glucocorticoides.
             •   Bloqueantes histamínicos H2.

       3. Inmunizaciones :

             •   Vacuna de la tos ferina
             •   Vacuna de la difteria
             •   Vacuna oral de la polio
             •   BCG.
             •   Suero de caballo


       4. Neoplasias: (Ej. Linfomas)

       5. Trastornos del tejido conjuntivo : (Ej. Lupus eritematoso sistémico)


                                                           205
TERAPIA INTENSIVA

      6. Cambios hormonales : (Ej. De la menstruación y embarazo maligno)

      7. Agentes físicos :

            • Radioterapia.
            • Luz solar.

      8. Otras :

            • Sarcoidosis.
            • Sindrome de Reiter.
            • Enfermedad inflamatoria intestinal

46.3. CUADRO CLÍNICO:

      • Se caracteriza por un desarrollo súbito y progresivo de un rash pleomórfico con vesiculas y ampollas en piel
        y membranas mucosas.
      • El signo de Nikolsky está ausente.
      • Suele ir acompañado de estomatitis.
      • En la piel y las mucosas afectadas se produce sensación de ardor o quemazón, sin prurito.
      • Suele manifestarse fiebre de 39-40 ° C., cefalea, malestar general, rinitis, conjuntivitis, ulceraciones de la
        córnea, vulvovaginitis o balanitis erosiva.
      • En los casos más graves pueden aparecer alteraciones hidroelectrolíticas, taquipnea, disnea, hematuria,
        albuminuria, arritmias cardiacas, pericarditis, insuficiencia cardiaca congestiva, convulsuiones y coma.
      • Los sintomas y signos prodrómicos son :

            -   Malestar general y cefalea
            -   Faringitis y rinorrea
            -   Diarrea
            -   Artralgias

      • Las lesiones más tempranas del EM a menudo son pápulas rojas edematosas rodeadas de un área de
        blanqueamiento. Crecen hasta formar pequeñas placas con alteraciones concéntricas del color y la morfología.
      • Las denominadas lesiones en diana son áreas de necrosis epidérmica central con o sin formación de ampolla.
      • Los pacientes ingresados en la UTI suelen presentar una necrosis tisular extensa y una depleción grave de
        líquidos.

46.4. EXAMENES COMPLEMENTARIOS:

      a) Laboratorio : Generalmente no son diagnósticos.
      b) Estudio histopatológico : la biopsia cutánea revela un infiltrado linfocítico perivascular en la dermis superior,
         formación de ampollas subepidérmicas y tumefacción de células endoteliales.

         El hallazgo más característico es la necrosis epidérmica, espongiosis, edema intracelular, cambios vacuolares
         en la unión dermoepidérmica, edema y extravasación de eritrocitos.



                                                          206
TERAPIA INTENSIVA

46.5. DIAGNÓSTICO DIFERENCIAL:

      Hay que diferenciarlo de :
      • Impétigo ampolloso
      • Pénfigo vulgar
      • Septicemia
      • Penfigoide
      • Enfermedad vascular del colágeno
      • Meningococcemia
      • Sindrome de Behcet

46.6. MANEJO Y TRATAMIENTO:

      a) Suspender la administración de fármacos o agentes sospechosos, así como de medicamentos no esenciales.
      b) Tratar la enfermedad infecciosa subyacente con el antibiótico que el cultivo considere más adecuado. El
         Aciclovir puede ser de utilidad si se identifica un herpes como infección subyacente.
      c) Las áreas afectadas de la piel deben lavarse con solución de Burow o de Domebro y si son muy extensas
         aislarlas (como en caso de quemaduras)
      d) Para aliviar los ardores de la cavidad oral usar enjuages con solución salina isotónica templada. La conjuntivitis
         se puede tratar con Lidocaina.
      e) Reponer los líquidos en función de la gravedad de la enfermedad.
      f No se recomienda el empleo empírico de antibióticos.
      g) La utilidad de los CORTICOSTEROIDES sistémicos es controvertida. En ausencia de estudios clínicos
         controlados, algunos autores consideran de utilidad en particular en los casos que evolucionan con rapidez
         y con mayor severidad. Se recomienda iniciar tratamiento con Prednisona a dosis de 1-2 mg/kg/dia (o
         equivalente I.V.) seguidas de dosis decreciente.
      h) Realizar interconsultas con las especialidades de Oftalmologia y Cirugía plástica según el grado y las
         localizaciones afectadas.

46.7. COMPLICACIONES:

      Las más frecuentes son las siguientes :
      • Infecciones secundarias
      • Complicaciones pulmonares
      • Deshidratación y alteraciones electrolíticas
      • Necrosis tubular aguda
      • Complicaciones oftalmológicas
      • Arritmias cardiacas

46.8. REFERENCIAS BIBLIOGRÁFICAS:

      • Varon J. Otras Urgencias. En : Joseph Varon. Cuidados intensivos. Editorial Mosby/Doyma Libros 1.995;
        457-59.
      • Patterson R, Dykewics MS, Gonzales A, et col. Erythema multiforme and the Stevens-Johnson syndrome –
        descriptive and therapeutic controversy. Chest 1.990 ; 98: 331-36.
      • Araujo OE, Flowers FP. Stevens-Johnson syndrome. J.Emerg Med 1.984; 2: 129-35.


                                                           207
TERAPIA INTENSIVA

                           47.       ECLAMPSIA Y OTRAS COMPLICACIONES OBSTÉTRICAS
*Dr. Oscar Vera Carrasco

47.1   DEFINICIÓN :

       La Eclampsia es un cuadro que presenta una mujer con preeclampsia, a la que se añaden convulsiones, coma o
       ambos problemas.

       Una forma de considerar la Eclampsia es situarla en el punto extremo del espectro patológico de la preeclampsia,
       caracterizada por la triada de hipertensión arterial, edema patológico y proteinuria en una mujer gestante. Aparece
       generalmente al final de la gestación y en el preparto; el 70-80 % de los casos se presenta en el preparto o
       intraparto, mientras que el 20 al 30 % de los casos restantes ocurren en el posparto y a veces con signos mínimos
       de preeclampsia.

       La Preclampsia y Eclampsia son consideradas partes del cuadro general de hipertensión inducida por el embarazo.

47.2   ETIOLOGÍA :

       Entre las innumerables teorías propuestas acerca de la preeclampsia y eclampsia, que incluyen fenómenos
       inmunológicos, disfunción endocrina placentaria, trastornos hormonales, alteraciones de la coagulación y factores
       de la dieta, la más aceptada es que existe un incremento relativo de Tromboxano A2, en comparación con la
       concentración de Prostaciclina; la fuente de ambos es la placenta. El exceso de Tromboxano A2 intensifica la
       vasoconstricción y la agregación plaquetaria.

       El incremento de la producción de endotelina y la reducción de la liberación de óxido nítrico, también son
       importantes para la ocurrencia de esta complicación.

       La mujeres eclámpticas muestran hipersensibilidad a la angiotensina II, a las catecolaminas y a la vasopresina.

       En concreto, la causa de la Eclampsia no está determinada claramente. Probablemente, como las demás
       manifestaciones de la enfermedad, se relacione con microangiopatía trombótica con microinfartos y hemorragia
       petequial. La significación del edema cerebral no es clara. Se identificó como causa de muerte en algunas
       pacientes. Igualmente, se desconoce la causa específica de las convulsiones; entre los mecanismos propuestos
       están problemas cerebrales por vasoespasmo, hemorragia, isquemia o edema y encefalopatía hipertensiva o
       metabólica.

       Tampoco queda claro la relación de la Eclampsia con el grado de la hipertensión arterial.

47.3   CUADRO CLÍNICO :

       El cuadro clínico de la Eclampsia se caracteriza por crisis convulsivas, coma o ambas a la vez.

       El cuadro convulsivo se presenta en cerca de un 50 % antes del parto, 25 % durante el parto y 25 % en el
       posparto. En casi todos los estudios, la mayor parte de los casos ocurren en el tercer trimestre (28ª semana y el
       parto).


                                                           208
TERAPIA INTENSIVA

       Debido a que la Eclampsia es una de las complicaciones maternas de la preeclampsia grave, corresponde
       determinar los marcadores de gravedad de esta enfermedad, los mismos que alertarán al médico acerca del mayor
       riesgo de complicaciones. Estos incluyen lo siguiente:

       • Presión arterial sistólica mayor a 160 mmHg o diastólica igual o mayor a 110 mmHg ( en especial después
         de 24 horas de hospitalización).
       • Proteinuria mayor de 2 g en 24 horas o mayor de 100 mg/dl en una muestra tomada al azar.
       • Hemoconcentración notable.
       • Oliguria o edema pulmonar.

       Algunos síntomas de mal pronóstico en pacientes con preeclampsia comprenden: cefalea, alteraciones de la
       visión, escotomas, alteraciones de la conciencia, clonus, dolor epigástrico o en el cuadrante superior derecho
       del abdomen, aumento de la creatininemia, coagulopatía por consumo con trombocitopenia, anemia hemolítica
       microangiopática o ambas, e incluso elevación moderada de las pruebas de función hepática.

47.4   EXAMENES COMPLEMENTARIOS :

       • Laboratorio: el diagnóstico de Eclampsia no depende de un conjunto específico de estudios de laboratorio.
         Algunas de las anormalidades más frecuentes incluyen .

            - Hiperuricemia : más de 6,2 mg/dl.
            - Biometría hemática: hematocrito elevado (hemoconcentración) y plaquetopenia.
            - Pruebas de función hepática: enzimas Aminotransferasa de alanina y Aminotransferasa de aspartato
               elevadas.
            - Gasometría arterial: muestra alteraciones de la PaO2 y pH o estado ácido base, en presencia de trastornos
               respiratorios y/o metabólicos.
       • EEG: muestra anormalidades agudas en el periodo posictal inmediato, pero sus características no son
         patognomónicas de la Eclampsia.
       • Ecografía abdominal y obstétrica.
       • Rx de tórax: para descartar broncoaspiración.

       Cerca del 10 % de las pacientes con Eclampsia presentan el Síndrome de HELLP (hemolysis, elevated liver
       enzyme levels, and low palatelet count), carcterizado por hemólisis, incremento de las enzimas hepáticas y
       plaquetpenia.

47.5   DIAGNÓSTICO :

       • El criterio para hacer el diagnóstico de Eclampsia es la aparición de convulsiones en una mujer que
         muestre preeclampsia después de la vigésima semana de la gestación o durante las primeras 48 horas después
         del parto.
       • La evolución de la Eclampsia puede ser gradual, pero el inicio real de las convulsiones generalizadas puede
         ser repentino y constituir una urgencia gravísima de tipo médico.
       • Se debe estar atento a la aparición de cefalea, visión borrosa, fotofobia, dolor epigástrico o en el cuadrante
         superior derecho del abdomen e hiperreflexia.




                                                         209
TERAPIA INTENSIVA

47.6   DIAGNÓSTICO DIFERENCIAL :

       Las patologías del diagnóstico diferencial incluyen .

       •   Accidentes cerebrovasculares.
       •   Encefalopatía hipertensiva.
       •   Feocromocitoma.
       •   Tumor y abscesos cerebrales.
       •   Enfermedades infecciosas.
       •   Desequilibrios metabólicos.
       •   E p i l e p s i a.

47.7   MANEJO Y TRATAMIENTO :

       • Objetivos del tratamiento :
           - Controlar las convulsiones y evitar su recurrencia.
           - Apoyar las funciones vitales de la madre.
           - Controlar la hipertensión arterial.
           - Corregir la hipoxemia o la acidemia.
           - Hacer preparativos para el parto.

       • Tratamiento farmacológico:

       1. Anticonvulsivantes:

       SULFATO DE MAGNESIO: es el anticonvulsivante más utilizado con fines profilácticos durante el trabajo de
       parto. Si se presenta una convulsión, por lo común se administrara Diazepam o Fenitoina.
       El Sulfato de Magnesio se administra por vía endovenosa a una dosis inicial de 4 g en un lapso de 10 minutos,
       y luego se continúa por infusión contínua a razón de 2 a 3 g/hora. El nivel terapéutico de Mg sérico es de 4 a 6
       mEq/l.

       Debe observarse con todo detalle a la paciente en busca de signos de toxicidad del Magnesio. Cuando su
       concentración sérica es de 8 a 10 mEq/l, desaparece el reflejo rotuliano y cuando el nivel es de 12 mEq/l, existe
       profunda depresión respiratoria.

       Es importante tener GLUCONATO DE CALCIO para usarlo como antídoto.

       Los niveles elevados de Mg pueden ser temporalmente nefrotóxicos. La diuresis debe mantenerse entre 25 y 30
       ml/hora. Si existe oliguria, debe disminuirse o interrumpirse temporalmente la infusión de Mg.

       Por lo general el tratamiento con Sulfato de Magnesio se continúa por lo menos 24 horas después del parto, o
       talvez más tiempo según la situación clínica.




                                                          210
TERAPIA INTENSIVA

TOXICIDAD DEL MAGNESIO
.............................................................................................................................................
         Menifestaciones                                                              Nivel (mEq/l)
.............................................................................................................................................

Pérdida del reflejo rotuliano                                                              8-12
Sensación de calor, rubor                                                                  9-12
Somnolencia                                                                                10-12
Lenguaje titubeante                                                                        10-12
Parálisis muscular                                                                         15-17
Distrés respiratorio                                                                       15-17
Paro cardiaco                                                                              30-35
.............................................................................................................................................


2. ANTIHIPERTENSIVOS : el objetivo del tratamiento antihipertensivo consiste en prevenir complicaciones
como encefalopatía y hemorragia. La presión arterial diastólica sostenida de 110 mmHg o más debe recibir
tratamiento para mantener la presión arterial media (PAM) en 105 a 126 mmHg y la presión distólica (PD) entre
95 y 105 mmHg.

Los antihipertensivos que pueden ser utilizados son los siguientes:

        - HIDRALAZINA: la hipertensión arterial se controla con una dosis endovenosa inicial de 5 mg y luego
          5 a 10 mg cada 20 a 30 minutos, según se necesite, hasta que la presión sistólica esté entre 140 y 150
          mmHg o la presión diastólica entre 90 y 100 mmHg. En ocasiones puede ser necesaria la administración
          por goteo intravenosos continuo. Efectos adversos taquicardia y cefalea.
        - LABETALOL: otra alternativa de tratamiento consiste en la administración de este fármaco por vía
          endovenosa, dosis inicial 10 mg, luego se incrementa hasta 40 mg cada 10 a 20 minutos, hasta un
          máximo de 300 mg. Puede emplearse en infusión continua a razón de 0,5 a 2 mg/minuto.
        - DIAZÓXIDO: puede usarse en pacientes refractarias; se administran 30 mg en minibolos cada 5 minutos.
        - NITROPRUSIATO DE SODIO: cuando la hipertensión arterial no responde a los anteriores fármacos,
          puede utilizarse Nitroprusiato de sodio a dosis estándar; iniciar con 0,25 mcg/kg/minuto, durante un
          periodo corto (30 minutos) en crisis aguda. Tiene el riesgo de intoxicación fetal por cianuro. Además
          está hasta cierto punto contraindicada.

            Si no es posible emplear Hidralazina ni Labetalol o no resultan eficaces, se puede intentar la administración
            de un BLOQUEADOR DEL CANAL DE CALCIO por vía intravenosa, pero se corre el riesgo de hipotensión;
            la Nifedipina también es capaz de producir insuficiencia respiratoria cuando se utiliza con Sulfato
            de Magnesio, además, bloqueo neuromuscular y otros efectos adversos farmacológicos potenciales
            (cefalea, palpitaciones, retención de líquido).

• Conducta Obstétrica: después de todo lo anterior, existe la necesidad de inducir el parto. Si el cuello uterino
  es satisfactorio, deberán tomarse medidas para inducir el trabajo de parto.

    Es muy importante la vigilancia continua del latido fetal y también la medición periódica del pH de la sangre
    obtenida del cuero cabelludo del feto, para saber el estado en que se encuentra el producto.


                                                               211
TERAPIA INTENSIVA

       Si existen signos de sufrimiento fetal, debe practicarse cesárea. Otras razones para esta última conducta incluyen
       presentación fetal anormal, desprendimiento prematuro de placenta o prematurez extrema.

       PRINCIPALES COMPLICACIONES DE LA ECLAMPSIA :

       Las posibles complicaciones de la Eclampsia son las siguientes:

             •   Coagulación intravascular diseminada (CID)
             •   Hemorragia intracerebral
             •   Edema pulmonar
             •   Neumonía por aspiración
             •   Necrosis tubular aguda
             •   Desprendimiento de retina
             •   Rotura de hígado
             •   Desprendimiento prematuro de placenta
             •   Síndrome de Sheehan con insuficiencia hipofisaria aguda
             •   Síndrome de Distrés Respiratorio Agudo (SDRA)
             •   Disfunción orgánica múltiple

47.8   OTRAS COMPLICACIONES OBSTÉTRICAS :

       1. EDEMA CEREBRAL:

       a) Sintomatología: cefalea, excitación psicomotríz, visión borrosa, alteración de la conciencia, hiperreflexia
          osteotendinosa, vómitos de tipo explosivo, parálisis de los pares craneales III y IV, postura de descerebración
          o decorticación.
       b) Exámenes complementarios: los mismos de la Eclampsia.
       c) Manejo y tratamiento:

             • Mantener permeabilidad de vías aéreas.
             • Posición en decúbito dorsal con cabecera a 30°.
             • Colocar sonda nasogástrica (SNG) y sonda vesical.
             • Asistencia respiratoria mecánica: hiperventilación para mantener una PaCO2 entre 20 a 25 mmHg.
             • Hidratación parenteral con Sol. salina isotónica para cubrir necesidades de requerimientos basales y
               de acuerdo a las condiciones hemodinámicas de la paciente.
             • Manitol I.V. : Dosis inicial 1 a 2 g/kg peso/dosis de una solución al 20 % (100g), seguida de una dosis
               de mantenimiento de 0,3 a 0,5 g/kg peso cada 4-6 horas. No permitir que la osmolalidad supere los
               330-340 mOsm.
             • Nimodipino: eficaz para la hemorragia subaracnoidea asociada a edema cerebral. Dosis: 60 mg por
               SNG cada 4 a 6 horas; puede utilizarse por vía I.V. (ver hemorragia subaracnoidea).

       2. SINDROME CONVULSIVO (Status convulsivo) :

       a) Sintomatología: estado de coma y convulsiones generalizadas tónico-clónicas continuas o recurrentes sin
          recuperación de la conciencia intercrisis.



                                                          212
TERAPIA INTENSIVA

b) Exámenes complementarios: los de la Eclampsia.

c) Manejo y tratamiento:

      • Mantener permeabilidad de vías aéreas.
      • Oxigenoterapia a través de máscara oronasal con FiO2 36-44 %; en caso necesario Asistencia Respiratoria
        Mecánica (ARM).
      • Hidratación parenteral con Sol. salina isotónica para cubrir requerimientos basales y de acuerdo a
        condiciones hemodinámicas de la paciente.
      • Sulfato de Magnesio: 2 g/hora I.V. en infusión de una solución de Sulfato de Mg al 10 % en Dextrosa
        al 5 % 500 ml.
      • Diazepam: 2 mg/minuto, hasta un total de 20 mg. Si es necesario en infusión continua utilizar 50 a 100
        mg de Diazepam en 500 ml de Dextrosa al 5 %.
      • Fenitoina: 18 a 20 mg/kg peso en una dilución en Sol. salina isotónica, a razón de 50 mg/minuto.
        Monitorizar actividad eléctrica cardiaca (ECG) y hemodinámica.
      • Otras alternativas: Tiopental sódico, dosis inicial 3-5 mg/kg peso I.V., seguido de 50 mg cada 2 a 5
        minutos. Midazolam, dosis inicial 0,2 mg/kg peso, seguida de infusión continua a razón de 0,075 a
        0,011 mg/minuto.

3. SINDROME HELLP:

   Término que identifica un grupo de pacientes con Preeclampsia severa que presentan alto riesgo de desarrollo
   de disfunción multiorgánica.

   Se denominó HELLP, por presentar Hemolysis (H), elevated liver enzymes (EL) y low platelets (LP).

      a) Sintomatología: dolor en el hipocondrio derecho y epigastrio, náuseas, vómitos y cefalea. cuando se
         asocia con ictericia, se puede confundir con otra patología aguda del hígado o vías biliares.
      b) Exámenes complementarios: se caracteriza por lo siguiente:

      • Recuento de plaquetas: < 100.000/mm3 (puede ser severa con menos de 30.000/mm3 en el 5-10 %
        de los casos). La trombocitopenia aislada en evolución puede ser una de las primeras claves para el
        diagnóstico.
      • Enzimas: TGP y TGO por encima de 70 U/L y evidencia de hemólísis en el frotis de sangre periférica
        con aumento de LDH. Aumento de la bilirrubinemia ( ≥ 1,2 mg/dl).
      • Hemograma: a pesar de la hemólisis, la anemia severa no es común y raramente se requiere transfusión
        de sangre.

      c) Manejo y tratamiento:

      • El tratamiento definitivo del Síndrome HELLP es el parto. algunos casos no mejoran aún después de
        72-92 horas del alumbramiento.
      • Para pacientes con HELLP severo posparto se aconseja las siguientes medidas terapéuticas:

1.-Administración precoz de corticosteroides ( Dexametasona 10 mg I.V. cada 12 horas) hasta que el recuento
plaquetario supere 100.000/mm3.


                                                  213
TERAPIA INTENSIVA

    2.-Plasmaféresis: se utiliza reemplazo con plasma fresco (hasta 3 litros) en el HELLP "prolongado" cuya
    sintomatología no remite después de 72-96 horas del parto. Si no hay respuesta se repite a las 48 horas.
    Con la utilización precoz de corticosteroides, según algunos autores es cada vez menos necesaria su utilización.

    4. CHOQUE HIPOVOLÉMICO:

    El Choque se define como un estado de hipoperfusión tisular, en la que el suministro de oxígeno es insuficiente
    para satisfacer las necesidades metabólicas del organismo.

    Las CAUSAS OBSTÉTRICAS más frecuentes son las siguientes:

          •   Desprendimiento prematuro de la placenta.
          •   Placenta previa.
          •   Rotura uterina.
          •   Atonia uterina.
          •   Traumatismo quirúrgico obstétrico (ej. desgarros cervicales o vaginales o una incisión del útero durante
              la cesárea).
          •   Inversión uterina.
          •   Coagulopatías.
          •   Retención de restos placentarios (ej. aborto) o corioamnionitis.
          •   Laceraciones del conducto del parto.
          •   Embarazo ectópico o abdominal.
          •   Coagulación intravascular diseminada (CID).

    a) Manifestaciones clínicas de hipoperfusión:
         • Palidez de piel y mucosas
         • Taquicardia y taquipnea
         • Diaforesis
         • Oliguria
         • Disminución sensorial, confusión, somnolencia.
         • Extremidades frías
         • Hipotensión (PA sistólica inferior a 80 mmHg).
         • Disminución del llenado capilar ( > 2 segundos).
         • Acidosis metabólica.

    b) Exámenes complementarios:
          • Hematocrito.
          • Grupo sanguineo.
          • Estudios de coagulación (TP, TPTa, sangría).
          • Gasometría arterial.
          • Rx de tórax.

    c) Manejo y tratamiento:
         • Monitoreo :
               - ECG: FC, arrítmias, isquemia.
               - Catéter arterial: PA y gases en sangre arterial.


                                                        214
TERAPIA INTENSIVA

              - Catéter en la arteria pulmonar (reservada para etapas avanzadas de Choque): presiones en la arteria
                pulmonar, gases en sangre venosa mixta y gasto cardiaco.
              - Catéter venoso central: presión en la aurícula derecha (igual a la PVC) y manejo de líquidos.
              - sonda Foley: débito urinario mayor a 0,5 ml/hora (0,5-1 ml/hora).

        • Objetivos terapéuticos óptimos:
           - PAM: > 80 mmHg y PAS > 110 mmHg.
           - Presión capilar pulmonar: 8-12 mmHg.
           - PVC: 7-14 cm H20.
           - Indice cardiaco: 4,5 L/min/m2, un 50 % mayor que lo normal (2,8-3,6).
           - Consumo de oxígeno: > 100 ml/min/m2.
           - DO2 : 600 a 1.000 ml/min/m2, mayor que lo normal.
           - Volemia: que supere en 500 ml lo normal (ej. 3,2 L/m2 en los varones y 2,8 en las mujeres).
           - Lactato sanguíneo: < 4 mmol/l.

        • Tratamiento: el primero y más importante objetivo es restablecer la volemia.

1.- En general, administrar un bolo inicial de cristaloides en un volumen de 1 a 2 litros a través de dos vías
    periféricas gruesas (14 a 16 G), según una valoración clínica inicial de la pérdida y tomando como referencia
    los siguientes parámetros:

                                     VALORACIÓN DE LAS PÉRDIDAS EN EL SHOCK*
.............................................................................................................................................
PARÁMETRO                                     Clase I                 Clase II              Clase III                 Clase IV
.............................................................................................................................................
Pérdida en % de volemia                          15                   15-30                  30-40                       >40

Frecuencia cardiaca                            <100                  100-120               120-140                      >140

Presión arterial                             Normal                  Normal               Disminuida                Disminuida

Frecuencia respiratoria                       14-20                   20-30                  30-40                      >40

Diuresis (ml/hora)                              >30                   20-30                   5-15                       <5

Estado mental                              Ligeramente          Moderadamente              Ansioso y                 Letárgico
                                              ansioso                ansioso                confuso
.............................................................................................................................................
*Tomado del Manual del estudiante del ATLS. 5a. ed. Valoración de la pérdida en el Shock traumático. Editado por la Sociedad Americana de
Cirugía 1989.


2.- Algunos pacientes con Shock severo y que no se compensan rápidamente con los líquidos, se deben tratar
    con la asociación de líquidos y drogas vasoactivas para alcanzar presiones de por lo menos 90 mmHg
    de sistólica o 60 mmHg de media.




                                                               215
TERAPIA INTENSIVA

    3.- En cuanto a la reposición de la masas de glóbulos rojos (GR) perdidos, es importante tener en cuenta que el
        hematocrito de la paciente con Shock hipovolémico no demuestra el estado de volemia. No obstante, cabe
        señalar que valores menores del 30 % disminuyen la disponibilidad del O2.

       Los GR más plasma sólo están indicados en pacientes con hemorragia y trastornos de la coagulación
       asociados.

    4.- En relación con los coloides, utilizados exclusivam,ente como "expanpansores plasmáticos", en nuestro
        país se pueden utilizar los del tipo de las gelatinas (Poligelina), ya que la albúmina puede ser de utilidad
        en pacientes hipovolémicos con ascitis e insuficiencia hepática o en la hipoalbuminemia severa. Otras
        sustancias como el Dextran o el plasma no se deben utilizar como expansores.

       Cuando la cantidad de líquidos infundidos es alta y la hipotensión persiste, la utilización de expansores del
       tipo de gelatinas con la regla del 3x1 (tres partes de soluciones isotónicas por una de coloides) es una
       buena aproximación. Si la hipotensión es marcada se utilizan drogas drogas vasoactivas.

    5. EMBOLIA GASEOSA VENOSA:

    Aunque rara, la Embolia gaseosa venosa constituye el 1 % de todas las muertes maternas. Ocurre durante el
    trabajo de parto normal, el parto en una mujer con placenta previa, los abortos intencionales en los que se utiliza
    aire, las relaciones sexuales orogenitales y la inflación de la vagina durante diversos procedimientos ginecológicos.

    Se cree que el aire penetra en los senos venosos subplacentarios, luego se emboliza a través de la circulación
    venosa y por último obstruye el flujo sanguíneo pulmonar cuando alcanza el ventrículo derecho. Otros dos
    mecanismos pueden ser: la obstrucción de las arteriolas pulmonares por microémbolos de fibrina y el reclutamiento
    y la activación de leucocitos polimorfonucleares por las proteínas agregadas.

    a) Sintomatología:
           • Tos
           • Disnea
           • Mareos
           • Sensación de muerte
           • Taquipnea
           • Taquicardia
           • Diaforesis
           • Sibilancias
           • Estertores
           • Dolor retroesternal
           • Hipotensión
           • Sonido de burbujeo o "ruido de una rueda de molino" a la auscultación precordial.
           • Signos de insuficiencia cardiaca derecha aguda.
           • Shock
           • Paro respiratorio

    b) Exámenes complementarios:
          • Biometría hemática: trombocitopenia.
          • Gasometría arterial. hipoxemia e hipercapnia o hipocapnia.
                                                         216
TERAPIA INTENSIVA

      • ECG: taquicardia sinusal, sobrecarga del corazón derecho, isquemia y arritmias.
      • Rx de tórax: normal o las siguientes alteraciones, oligohemia en los lóbulos superiores, atelectasia,
        aire en la arteria pulmonar o intracavitario cardiaco, ensanchamiento de la arteria pulmonar, signos de
        edema pulmonar.
      • Ecocardiografía: signos de sobrecarga derecha.
      • Hemodinámica: incremento de la PVC, PAP, ventrículo derecho; disminución del gasto cardiaco y PAM.

c) Manejo y tratamiento:
     • La paciente debe colocarse de inmediato en posición de decúbito lateral izquierdo.
     • La aspiración de aire hacia el corazón derecho o el flujo pulmonar puede lograrse mediante un catéter
         arterial pulmonar.
     • Ventilación con FiO2 del 100 % (para reducir el tamaño del émbolo mediante la remoción de nitrógeno).
     • Soporte hemodinámico: utilizar cristaloides y drogas vasoactivas de acuerdo al estado clínico y los
         datos de la monitorización hemodinámica.

6. EMBOLIA PULMONAR DE LÍQUIDO AMNIÓTICO:

El embolismo de líquido amniótico es la transferencia de líquido amniótico que contiene vello de lanugo, vérnix,
meconio y sustancias tromboplásticas a la circulación pulmonar.

Se trata de un fenómeno raro (1 de cada 8.000 a 80.000 embarazos), pero catastrófico y que a menudo se asocia
a muerte. Esto requiere la ruptura de membranas, una apertura en la circulación materna como ocurre en la
ruptura uterina, la placenta acreta, la cesárea, la placenta retenida, el desprendimiento de placenta o la placenta
previa.

No es posible prevenir; más frecuente en la segunda fase del parto. La tasa de mortalidad es del 80 %; el 25 %
de la muertes se produce en los primeros minutos posteriores a su presentación.

a) Sintomatología: se caracteriza por la aparición súbita de sufrimiento materno.
       • Disnea intensa, broncoespasmo y taquipnea.
       • Taquicardia, hipotensión y arrítmias.
       • Cianosis, hipoxemia grave.
       • Colapso cardiovascular agudo; a menudo paro cardiaco.
       • Coagulación intravascular diseminada.
       • Convulsiones y coma.
       • Otros. inquietud, sudoración, ansiedad y tos.

b) Factores de riesgo:
      • Edad avanzada de la madre (promedio 32 años).
      • Embarazo múltiple.
      • Fetos de gran tamaño.
      • Partos cortos, problemáticos.
      • Administración de oxitocina.
      • Rotura tardía de membranas sin encajamiento de la presentación.
      • Amniotomía.
      • Cesárea.


                                                    217
TERAPIA INTENSIVA

          • Embarazo a término en presencia de un dispositivo intrauterino.

    c) Diagnóstico diferencial:
          • Tromboembolismo pulmonar agudo.
          • Embolismo gaseoso.
          • Infarto agudo de miocardio.
          • Aspiración aguda del contenido gástrico.
          • Neumotórax masivo (uni o bilateral).
          • Desprendimiento de placenta con coagulopatía.
          • Hipersensibilidad a anestésicos locales.

    d) Exámenes complementarios:
          • Laboratorio: identificación de detritus de líquido amniótico (lanugo y mucina, células tromboplásticas
             y escamosas) en muestras de sangre obtenidas del catéter arterial pulmonar. Disminución de fibrinógeno,
             aumento de los productos de degradación del fibrinógeno, prolongación de los tiempos de tromboplastina
             parcial (TTP) y protrombina (TP).

              Gasometría arterial: hipoxemia grave y desaturación arterial de O2 de evolución rápida, incremento de
              la PaCO2 y disminución del pH.

          • Estudios de gabinete: Rx de tórax, ECG, ecografía obstétrica y cardiaca.
          • Estudio hemodinámico: aumento leve a moderado de la presión en la arteria pulmonar, aumento variable
            de la PVC, elevación de la Presión capilar pulmonar y disminución del gasto cardiaco.

    e) Manejo y tratamiento:
         • Intubación endotraqueal y Asistencia respiratoria mecánica (ARM) con presión positiva al final de la
             espiración (PEEP).
         • Soporte de volumen con o sin productos sanguíneos.
         • Monitorización de la PVC.
         • Cateterización arterial periférica y de la arteria pulmonar.
         • No existe un tratamiento farmacológico específico, los fármacos de elección son los vasoactivos
             (Dobutamian, Dopamina) y los broncodilatadores.
         • La coagulopatía debe ser tratada en forma agresiva.

    7. ROTURA HEPÁTICA :

    La hemorragia intrahepática o hematoma subcapsular son también complicaciones maternas de la Preeclampsia
    grave; se presentan en el 2 % de los casos y, pueden evolucionar a rotura hepática.

    Manejo y tratamiento: en la rotura hepática se produce hemorragia intraabdominal masiva que requiere:
         • Reposición masiva de la volemia.
         • Corrección de la CID.
         • Monitorización cardiovascualar estrecha.
         • Iniciar la exploración y la reparación quirúrgica cuando la paciente esté "estable". Debido a la disfunción
            o lesión hepática, a menudo se realiza el taponamiento de la rotura.
         • Ante la sospecha de rotura hepática antes o después del parto, puede ser necesario seguir el siguiente
            procedimiento:
                                                       218
TERAPIA INTENSIVA

       a) Antes del parto:
             - Realizar cesárea.
             - Si no existe hematoma o está íntegro OBSERVACIÓN.
             - En presencia de rotura del hematoma con hemoperitoneo efectuar laparotomía (taponar/drenar el hígado).

       b) Posterior al parto:
             - Si la paciente se encuentra inestable, administrar productos sanguíneos y tomar otras medidas de
                 soporte vital, luego laparatomía.
             - Si la paciente se encuentra desde un principio estable, realizar TAC con contraste.
             - Si no existe hematoma o está íntegro OBSERVACIÓN.
             - Ante la sospecha de rotura de hematoma, confirmar con paracentesis.
             - Si la paracentesis o punción abdominal es positiva, efectuar laparotomia (taponar/drenar el hígado).
             - Si la paracentesis es negativa, realizar arteriografía hepática. De ser negativo este estudio, OBSERVAR;
                 por el contrario, en caso de detectarse hemorragia intrahepática, puede ser necesaria la embolización
                 de la arteria hepática.

       8. DESPRENDIMIENTO PREMATURO DE PLACENTA:

       El desprendimiento placentario ocurre en 1 de cada 77 a 250 embarazos, con mayor incidencia en hipertensas
       (50 % por hipertensión crónica y el resto por preeclampsia), paridad alta, tabaquismo, uso de cocaína y
       desprendimiento previo.

       La CAUSA no está bien definida, pero el factor desencadenante puede ser la rotura de las arteriolas espirales con
       formación de un hematoma, el cual diseca la placenta de su sitio de inserción.

             • Se asocia frecuentemente a sufrimiento fetal.
             • La gravedad de la pérdida sanguínea materna se correlaciona con la magnitud y duración del
               desprendimiento y el daño al feto.
             • Se pierde un promedio de 2 a 3 litros de sangre cuando el desprendimiento produce la muerte del feto.
             • El diagnóstico es clínico, aunque el ultrasonido puede ser útil. Al principio la paciente experimenta
               dolor vaginal y hemorragia, que puede diagnosticarse de manera incorrecta como parto prematuro.
             • A menudo se acompaña de coagulopatía con TP y TTP prolongados, nivel bajo de fibrinógeno y
               plaquetopenia. El aumento en la concentración de productos de la degradación de fibrina se relaciona
               con hemorragia posparto.
             • Puede requerir una transfusión intensa o masiva.
             • Las cuatro complicaciones más importantes de la hipovolemia y el Shock en estas pacientes son:

             1. Necrosis tubular aguda.
             2. Necrosis corticorrenal.
             3. Síndrome de Sheehan con insuficiencia hipofisaria aguda.
             4. El SDRA, causa principal de muerte en la UCI-OB de los autores.

47.9   BIBLIOGRAFÍA :

       • Murahata SA. Eclampsia y otras complicaciones obstétricas. En: Polly E Parsons, Jeanine P Wiener-Kronish.
         Secretos de los cuidados Intensivos. 2a. edición. Editorial Mc Graw-hill Interamericana. México DF. 1998;
         597-600.
                                                          219
TERAPIA INTENSIVA

    • Hjertberg R. Eclampsia: Treatment and Prophylaxis. Workshop Treatment of Hypertension in Pregnancy 1997.1.
      Uppsala, Sweden 1997; 99-111.
    • Strek ME, O' Connor M, Hall J. Enfermedad crítica en el embarazo. En: Hall, Schmidt, Wood. Cuidados
      intensivos. 2a. edición. Editorial McGraw-Hill Interamericana. México DF. 2.000; 1717-40.
    • Cunningham FG, Lindheimer MD. Hypertension in pregnancy. N Engl J Med 1990; 323: 1609.
    • Sibai BM. Treatment of hypertension in pregnant women. N Engl J Med 1996; 335:257.
    • Hernandez C, Cunningham FG. Eclampsia. Clin Obstet Gynecol 1990; 33: 460-6.
    • Sibai BM. Magnesium Sulfate is the ideal anticonvulsant in preeclampsia-eclampsia. Am J Obstet Gynecol
      1990;162: 1141-45.
    • Carpenter RJ, Jr. Embarazo. En: Joseph Varon. Cuidados intensivos. Editorial Mosby/Doyma. Madrid-España
      1995; 301-20.
    • Usta IM, Sibai BM. Emergent management of puerperal eclampsia. Obstet Gynecol Clin North Am 1995; 22(2):
      315-35.
    • Douglas KA, Redman CWG. Eclampsia in the United Kingdom. BMJ 1994; 309: 1395-1400.
    • Roberts JM. Magnesium for preeclampsia and eclampsia. Editorial N Engl J Med 1995; 333: 250-1.
    • Duley L. Magnesium sulphate regimens for women with eclampsia: message from the Collaborative Eclampsia
      Trial. Br J Obstet Gynecol 1996; 103: 103-5.
    • Robertson S. Reanimación. En: Grenvik, Ayres, Holbrook, Shoemaker. Compendio del Tratado de Medicina
      Crítica y Terapia Intensiva. Editorial Médica Panamericana. Buenos-Argentina 1998; 9-21.
    • Masson RG. Amniotic fluid embolism. Clin Chest Med 1992; 13: 657.




                                                    220
TERAPIA INTENSIVA

                            48.         PROTOCOLO DE DIAGNÓSTICO DE MUERTE CEREBRAL
*Dr. Oscar Vera Carrasco

48.1   DEFINICIÓN :

       La muerte cerebral (MC) se define como el cese irreversible en las funciones de todas las estructuras neurológicas
       intracraneales, tanto de los hemisferios cerebrales como del troncoencefálico.

48.2   ETIOLOGÍA :

       Las causas que más frecuentemente conducen a la MC son las siguientes:

       • Accidentes cerebrovasculares (ACV).
       • Traumatismos craneoencefálicos (TCE).
       • Encefalopatías anóxicas post paro cardiaco.

       Es imprescindible conocer la causa del coma y documentar la presencia de lesiones estructurales en una tomografía
       axial computarizada (TAC) craneal para descartar causas metabólicas o tóxicas potencialmente reversibles.

48.3   DIAGNÓSTICO :

       El diagnóstico clínico se realiza mediante una exploración neurológica que demuestra la presencia de: COMA
       ARREACTIVO, AUSENCIA DE REFLEJOS TRONCOENCEFÁLICOS Y APNEA, luego de un mínimo de 6 horas de
       atención médica.

       Para realizar el diagnóstico de MC han de cumplirse las siguientes condiciones: COMA ESTRUCTURAL, DE
       ETIOLOGÍA CONOCIDA Y CARÁCTER IRREVERSIBLE.

       • Prerrequisitos: antes de empezar la exploración clínica neurológica, comprobar que el paciente se encuentra
         en condiciones generales adecuadas que no alteren los hallazgos de la exploración física.

       1. Estabilidad hemodinámica: el paciente debe encontrarse hemodinamicamente estable y con una presión arterial
          (PA) adecuada para garantizar la perfusión cerebral. No será valorable una exploración efectuada en estado
          de shock, con PA bajas y por lo tanto flujo cerebral disminuido.
       2. Temperatura: en presencia de MC, al perderse la función del centro termorregulador se produce una hipotermia
          espontánea y progresiva. Cabe señalar que, en situaciones de hipotermias accidentales graves o hipotermias
          inducidas, no se podrá valorar adecuadamente la exploración neurológica.

          Como prerrequisito básico, antes de iniciar la exploración física del paciente, es obligatorio comprobar la
          temperatura corporal del mismo, realizando si fuera preciso, una monitorización central, ya sea timpánica,
          esofágica o rectal.

          Los criterios de muerte neurológica del Reino Unido recomiendan una temperatura central superior a 35° C,
          mientras que la Academia Americana de Neurología acepta como válida una temperatura superior a 32° C.
          Otros criterios acerca del nivel de este parámetro para aceptar como válida la exploración neurológica, incluida
          la recomendación nacional, son las siguientes:

                                                          221
TERAPIA INTENSIVA

       TEMPERATURA NECESARIA PARA ACEPTAR COMO VÁLIDA LA EXPLORACIÓN NEUROLÓGICA
       ......................................................................................................................................

                         Criterios de Harvard (1986)                                         > 32,2° C
                         Comisión Presidencial USA (1981)                                    > 32,2° C
                         Criterios Canadienses (1986)                                        > 32,2° C
                         Comisión Coordinadora Nacional de Transplantes
                         de órganos y tejidos de Bolivia (Decreto N° 24671
                         de la ley de 21 de junio de 1997                                    > 34,0° C
       .....................................................................................................................................

       3. Alteraciones metabólicas: es obligatorio descartar alteraciones metabólicas importantes de tipo hidroelectrolítico,
          ácido base o endocrinológicas (coma hipoglucémico, encefalopatía hepática, coma hipotiroideo). También
          es necesario que el paciente este bien oxigenado y mantenga niveles aceptables de PaCO2.

       4. Intoxicaciones: antes de efectuar la exploración clínica para confirmar el diagnóstico de MC, es necesario
          descartar las intoxicaciones por drogas, tóxicos o fármacos depresores del Sistema Nervioso Central (SNC),
          elaborando una exhaustiva historia clínica y realizando las determinaciones analíticas en sangre y orina que
          se consideren oportunas según la valoración clínica individual de cada paciente.

           La frecuente utilización de fármacos depresores del SNC en las UCIs, tales como las benzodiazepinas, propofol,
           opioides y barbitúricos, alteran de forma importante los hallazgos obtenidos en la exploración neurológica,
           por lo que será preciso antes de realizar el examen asegurarse que el paciente no está recibiendo en ese
           momento fármacos depresores del SNC o que puede estar aún bajo sus efectos, si los fármacos han sido
           retirados del tratamiento recientemente.

           Los relajantes neuromusculares, como el bromuro de pancuronio o el besilato de atracurio, producen una
           parálisis muscular que obviamente hacen negativa las respuestas motoras al estímulo algésico y algunos
           reflejos troncoencefálicos, por lo que hay que asegurarse que han sido administrados antes de realizar la
           exploración neurológica.

48.4   EXPLORACIÓN NEUROLÓGICA:

       El paciente tiene que encontrarse en coma profundo y arreactivo, con hipotonia generalizada.

       • Exploración algésica: al estímulo algésico, NO DEBE EXISTIR NINGUN TIPO DE RESPUESTA MOTORA. La
         exploración algésica debe ser realizada fundamentalmente en el territorio de los nervios craneales, provocando
         estímulos algésicos intensos a nivel supraorbitario, labio superior o a nivel de la articulación témporomandibular.
         No se deben obtener respuestas o actitudes de descerebración ni decorticación, así como tampoco ningún
         otro tipo de respuesta motora integrada corticalmente o reacción vegetativa.

       • Exploración de los reflejos troncoencefálicos: exploran la actividad de los pares craneales, y su integración
         en los núcleos correspondientes del troncoencefálico. Estos reflejos a explorar son los siguientes:

       - REFLEJO FOTOMOTOR: se realiza estimulación con foco de luz potente, observándose en condiciones normales
         contracción pupilar.


                                                                   222
TERAPIA INTENSIVA

   Vía aferente: II par craneal (nervio óptico); vía eferente: III par craneal (nervio motor ocular común), y nivel:
   mesencéfalo.

   En la MC las pupilas pueden ser circulares, ovales o discóricas y de tamaño medio o midriáticas (de 4 a 9
   mm), permaneciendo siempre arreactivas a la luz. No debe existir tampoco respuesta consensual. El tamaño
   pupilar más frecuente es de 4 a 6 mm, pero también pueden observarse pupilas midriáticas, ya que las
   conexiones entre el músculo dilatador de la pupila y las vías simpáticas cervicales permanecen intactas.

   Es importante señalar, que el reflejo fotomotor puede alterarse por otras causas como, traumatismos oculares,
   cirugía previa y por la utilización de colirios que contengan anticolinérgicos (ej. tropicamida) y también por
   la administración de atropina por vía intravenosa, por lo que este reflejo se debe explorar siempre antes de
   realizar la Prueba de Atropina.

   Las pupilas midriáticas y arreactivas pueden también ser producidas por la administración de altas dosis de
   catecolaminas (adrenalina, dopamina) y no ser un signo de herniación uncal.

- REFLEJO CORNEAL: se realiza estimulación de la córnea con una torunda de algodón o una gasa, observándose
  en condiciones normales una contracción palpebral, pudiéndose también observar lagrimeo.

   En la MC no existe ningún tipo de respuesta.
   La utilización de relajantes neuromusculares o la presencia de intenso edema corneal pueden alterar o abolir
   el reflejo corneal.

- REFLEJO OCULOENCEFÁLICO: se denomina también reflejo propioceptivo de torsión cefálica o fenómeno
  de "ojos de muñeca".

   Consiste en la realización de giros rápidos de la cabeza en sentido horizontal, manteniendo abiertos los ojos
   del paciente, observándose en condiciones normales una desviación ocular conjugada opuesta al lado del
   movimiento, volviendo los ojos posteriormente a su posición de reposo.

   También puede explorarse provocando movimientos de la cabeza en sentido vertical; cuando el cuello es
   flexionado se produce una desviación de los ojos hacia arriba.

   Vía aferente: VIII par craneal (nervio auditivo; vía eferente: III y VI par craneal (nervio motor ocular común y
   motor ocular externo), y nivel: unión bulboprotuberancial.

   En la MC, la mirada permanece centrada y fija sin observarse ningún tipo de movimiento ocular.

   La demostración de la ausencia de reflejo oculocefalogiro, debe evitarse en pacientes con sospecha de fractura
   de columna cervical.

- REFLEJO OCULOVESTIBULAR: inicialmente se debe efectuar una exploración mediante otoscopio del conducto
  auditivo externo para comprobar que no existen tapones de cerumen, coágulos de sangre, ni perforación del
  tímpano.

   Se coloca la cabeza elevada a 30° sobre la horizontal, de manera que el conducto semicircular lateral se
   encuentre vertical y la estimulación timpánica pueda provocar una respuesta máxima. Luego se inyectan en
                                                    223
TERAPIA INTENSIVA

       el conducto auditivo externo a través de una sonda 50 ml de agua fría, manteniendo abiertos los ojos del
       paciente durante 1 minuto y observándose en condiciones normales un nistagmo con el componente lento
       hacia el oído irrigado y el componente rápido alejado del conducto irrigado.

       El nistagmo es regular, rítmico y dura menos de 2-3 minutos, existiendo poca desviación del ojo fuera de la
       línea media. Conviene esperar unos 5 minutos antes de realizar el reflejo en el lado contralateral, para permitir
        que el sistema oculovestibular se estabilice.

       Vía aferente: VIII par craneal (nervio auditivo); vía eferente: III y VI par craneal (nervio motor ocular común y
       motor ocular externo), y nivel: unión bulboprotuberancial.

       En la MC no existe ningún tipo de movimiento ocular.

       Importante: algunos fármacos como los aminoglucósidos, sedantes, antiepilépticos o antidepresivos tricíclicos,
       pueden disminuir o abolir el reflejo oculovestibular.

    - REFLEJO NAUSEOSO: mediante una sonda o un baja lenguas se realiza estimulación del velo paladar blando,
      úvula y orofaringe, observándose en condiciones normales la aparición de náuseas.

       Vía aferente: IX par craneal (nervio glosofaríngeo); vía eferente: X par craneal (nervio neumogástrico o vago),
       y nivel bulbo.

       En la MC no existe ningún tipo de respuesta.

    - REFLEJO TUSÍGENO: se realiza mediante una sonda que se introduce a través del tubo endotraqueal, la misma
      que provoca una estimulación de la traquea, observándose en condiciones normales la aparición de tos.

       Vía aferente: IX par craneal (nervio glosofaríngeo); vía eferente: X par craneal (nervio neumogástrico o vago),
       y nivel: bulbo.

       En la MC no existe ningún tipo de respuesta.

    • PRUEBA DE LA ATROPINA: esta prueba explora la actividad del X par craneal (neumogástrico o vago) y de
      sus núcleos troncoencefálicos.

       El fenómeno de resistencia al efecto parasimpaticolítico de la atropina es considerado como un criterio más
       para el diagnóstico de MC.

       Se administra 0,04 mg/kg peso de Sulfato de atropina por vía intravenosa y se comprueba la frecuencia
       cardiaca pre y postinyección de atropina.

       En la MC la frecuencia cardiaca no debe superar el 10 % de la frecuencia cardiaca basal.

       Hay que procurar no administrar la atropina por la misma vía venosa donde estén administrando fármacos
       vasoactivos como la dopamina, ya que pudieran producir taquicardia y alterar los resultados.

       La atropina también es capaz de provocar dilatación pupilar, por lo que esta prueba debe efectuarse después
                                                        224
TERAPIA INTENSIVA

   de la exploración del reflejo fotomotor; además, el incremento brusco de la frecuencia cardiaca, en pacientes
   con hipertensión endocraneal intensa que aún no están con MC puede ocasionar incrementos peligrosos de
   la presión intracraneal (PIC), por ,lo que esta prueba debe realizarse una vez explorados todos los anteriores
   reflejos troncoencefálicos y las respuestas motoras al estímulo algésico.

• PRUEBA DE LA APNEA: la prueba de apnea permite confirmar la ausencia de respiración espontánea, luego
  de la estimulación máxima de los centros respiratorios bulbares por la hipercapnia.

   Cronológicamente, debe ser realizada al final de toda la exploración.

   - Prerrequisitos :

   Es aconsejable que el paciente mantenga una volemia adecuada, esté normotérmico, con temperaturas próximas
   a los 36° C, y que la presión arterial sistólica (PAS) sea igual o superior a 90 mmHg.

   Previamente a su realización, se debe oxigenar al paciente con O2 al 100 %, durante unos 15 minutos, y
   modificar adecuadamente los parámetros del respirador para corregir la hiperventilación previa, con el objetivo
   de obtener un valor de PaCO2 de 40 mmHg a nivel del mar (30 mmHg en la ciudad de La Paz-Bolivia), lo
   que nos permitiría realizar una prueba más corta y evitar la apnea poshiperventilación.

   Para realizar correctamente la prueba de la apnea, se deben seguir los siguientes pasos:

1. Efectuar una gasometría arterial (después de haber hiperoxigenado al paciente y corregido la PaCO2), para
   constatar la cifra de PaCO2 previa y calcular el tiempo que el paciente tiene que estar desconectado del
   respirador.

2. Desconectar el respirador, e introducir a través del tubo endotraqueal un catéter conectado a una fuente de
   oxígeno a razón de 6 litros por minuto, con la finalidad de conseguir una oxigenación por difusión.

   En condiciones de normotermia y partiendo de una PaCO2 normal preapnea, el tiempo de desconexión del
   respirador debe ser de unos 8 a 10 minutos.

3. Durante el tiempo que permanezca desconectado de la ventilación mecánica, se observará el tórax y el
   abdomen, comprobando que no exista ningún tipo de movimientos respiratorios; se monitorizará la saturación
   de O2 mediante pulsioximetría, y se vigilará en el monitor la PA y el ritmo cardiaco.

4. Realizar una gasometría arterial al finalizar el tiempo programado de desconexión del respirador y reconectar
   a ventilación mecánica al paciente.

   La prueba de apnea será positiva si al final del periodo de observación la PaCO2 es superior a 50-60 mmHg,
   cifra suficiente para provocar el estímulo del centro respiratorio.

   Los criterios ingleses recomiendan valores de PaCO2 superiores a 50 mmHg, mientras que los criterios
   americanos elaborados en la Comisión Presidencial y la Academia Americana de Neurología recomiendan
   cifras iguales o mayores a 60 mmHg, o 20 mmHg más alta que el valor basal normal.



                                                   225
TERAPIA INTENSIVA

          La Comisión Coordinadora Nacional de Transplantes de órganos y tejidos de Bolivia señala como positiva
          la prueba cuando la PaCO2 alcanza 50 mmHg.

          En caso de que la PaCO2 no alcance los 50 o 60 mmHg, se deberá repetir la prueba, calculando un aumento
          promedio de la PaCO2 de 3 mmHg por minuto en adultos y de 4 mmHg por minuto en niños (en estos últimos,
          la duración de la prueba será de solo 5 minutos).

          En los pacientes con neumopatía crónica y retenedores de CO2, para estimular el centro respiratorio se requiere
          alcanzar niveles más altos de CO2, y que estarán en función de los niveles previos con los que se manejaba
          el paciente, no existiendo en estos casos recomendaciones precisas para realizar la prueba de apnea.

          Se ha descrito una prueba de apnea modificada menos complicada y que se efectúa de la siguiente manera:

             1. Programar la ventilación mecánica con una FiO2 de 1 y 4 respiraciones por minuto.
             2. Realizar una gasometría arterial a los 15 minutos para documentar el de PaCO2.
             3. Desconectar al paciente del ventilador mecánico y repetir una gasometría arterial cuando la saturación
                arterial de O2 sea inferior al 90 %.
             4. Si la PaCO2 es superior a 60 mmHg y no se han observado movimientos respiratorios, la prueba de
                MC es positiva.

48.5   PERIODO DE OBSERVACIÓN E INTERVALO ENTRE LAS PRUEBAS:

       El periodo de observación tiene como objetivo, confirmar la irreversibilidad del cuadro neurológico que se estudia.

       En general, los intervalos de tiempo en la evaluación son dispares, así los criterios del Reino Unido y Canadá
       recomiendan un intervalo muy variable, desde 2 a 24 horas, dejando la elección a criterio médico, según las
       características clínicas de cada paciente. En el American Collaborative Study se recomienda un intervalo superior
       a 30 minutos, iniciando la exploración después de un mínimo de 6 horas posteriores al comienzo del coma. En
       España, el Decreto ley sobre Extracción y Trasplantes de Órganos determina un intervalo de 6 horas entre dos
       exploraciones después del inicio del coma. Últimamente, la academia americana de neurología recomienda repetir
       la exploración neurológica a las 6 horas.

       La Comisión Coordinadora Nacional de Trasplante de Órganos y tejidos de Bolivia recomienda un periodo de
       observación de por lo menos 6 horas. En los casos de lesión encefálica de tipo anóxica-hipóxica, este intervalo
       de observación deberá ser de 18 horas.

       Cuando la encefalopatía anóxica post paro cardiaco es causa de MC, de manera general se recomienda periodos
       de observación de 24 horas.

       Según el criterio de D. Escudero Augusto (Medicina intensiva 2000; 24 (3):106-116), el periodo de observación
       es un problema de “juicio clínico” y que debe ser el médico experto responsable del paciente quien valore cada
       caso de forma individual. Al mismo tiempo señala que, no puede ser considerado igual un paciente con grave
       deterioro del SNC y pérdida de masa encefálica producida por arma de fuego, que un paciente con encefalopatía
       anóxica post paro cardiaco; por lo que considera el periodo de observación de 6 horas un intervalo orientativo,
       el que podría ser modificado de forma individual teniendo en cuenta la etiología y gravedad de la lesión causante,
       además se debería valorar de forma conjunta todos los datos clínicos y de monitorización neurológica disponibles.


                                                           226
TERAPIA INTENSIVA

       Por último, corresponde remarcar que el TIEMPO DE OBSERVACIÓN Y LA REPETICIÓN DE LA EXPLORACIÓN
       NEUROLÓGICA PASADAS 6 HORAS, SE REFIERE EXCLUSIVAMENTE AL DIAGNÓSTICO DE MUERTE CEREBRAL
       CLÍNICA. Este tiempo puede reducirse o incluso no ser considerado si se realizan pruebas instrumentales
       complementarias que demuestren incuestionablemente la ausencia de circulación cerebral.

48.6   EXAMENES COMPLEMENTARIOS :

       En los casos de duda, pueden complementarse los criterios clínicos anteriormente descritos, con exámenes que
       certifiquen la ausencia de las actividades bioeléctricas o de la perfusión encefálica. Estos exámenes auxiliares o
       PRUEBAS CONFIRMATORIAS para determinar la muerte cerebral son :

       • Electroencefalograma (EEG): en la mayoría de las instituciones de atención de la salud no se requiere un EEG
         con un silencio eléctrico cerebral (isoeléctrico) como criterio de MC, sin embargo, puede utilizarse como
         prueba de confirmación.
       • Angiografía cerebral: en presencia de sustancias tóxicas o agentes sedantes, la irreversibilidad del coma puede
         no poder determinarse clínicamente. En estos casos, puede utilizarse la angiografía de cuatro vasos para
         determinar la ausencia de flujo sanguíneo cerebral durante 30 segundos, y así, la naturaleza irreversible del
         coma, confirmando el diagnóstico de MC.
       • Estudios radioisotópicos cerebrales: en algunos centros se han utilizado estudios nucleares con Tc 99m
         hexametazime de la circulación cerebral como prueba de confirmación de MC.
       • Ecografía Doppler transcraneal: al igual que el anterior, en los centros donde se cuente con este equipo, puede
         efectuarse este estudio.
       • Estudio de potenciales evocados: el estudio de potenciales evocados del tronco cerebral es de utilización
         opcional, como confirmación de la ausencia de actividad del tronco cerebral determinada clínicamente o en
         las situaciones en que la presencia de lesiones en la cara y el cuello imposibilite la realización del examen
         clínico.

       En caso de que las pruebas confirmatorias sean positivas y se demuestre la ausencia de la actividad eléctrica
       cerebral o de perfusión sanguínea, por cualquiera de los métodos anteriormente indicados, la Comisión Nacional
       de Trasplantes de Órganos y tejidos de nuestro país recomienda repetir el examen clínico después de 60 minutos.
       Si al cabo de este tiempo, los hallazgos anteriores se repiten, se puede certificar de inmediato la MC, no siendo
       necesario repetir ninguna de las observaciones antes mencionadas.

48.7   ACTIVIDAD MOTORA ESPINAL EN LA MUERTE ENCEFÁLICA:

       La MC conlleva una desconexión aguda de la médula espinal con respecto a todas las estructuras intracraneales,
       no obstante, puede observarse la recuperación de algunas de sus funciones reflejas automáticas, que no invalidan
       el diagnóstico de MC.

       Esta actividad motora de origen medular puede no estar presente, aparecer inmediatamente o evidenciarse varias
       horas después de haberse efectuado el diagnóstico de MC.

       La actividad motora de origen medular, tanto refleja como espontánea se observa con relativa frecuencia, por lo
       que es muy importante saber reconocerla y diferenciarla de las respuestas motoras de origen encefálico, para
       evitar problemas de interpretación y situaciones que podrían causar dudas en el personal de salud no especialista
       o en la familia del paciente.


                                                          227
TERAPIA INTENSIVA

       Dentro la variedad de reflejos de origen medular que pueden observarse en pacientes con MC es muy amplia;
       entre los más frecuentes se pueden destacar los siguientes:
       Reflejos cutáneoabdominales, cremasteriano, plantar flexor, reflejo de retirada y reflejos tónicocervicales. En el
       reflejo cervicoflexor del brazo se observa una contracción de los músculos flexores del brazo que suele separarse
       unos centímetros de la cama, cuando se realiza una flexión rápida y forzada del cuello; existe también el reflejo
       cervicoflexor de la cadera y reflejo cervicoabdominal; la respuesta pude disminuir con la repetición del estímulo.

       Además de los anteriores reflejos de origen medular, también puede observarse otro tipo de actividad motora
       espontánea, especialmente mioclonías espinales y actividades tónicas en miembros superiores que remedan
       situaciones posturales más o menos estereotipadas, y en ocasiones con movimientos complejos. Puede también
       presentarse un movimiento espontáneo de elevación de los miembros superiores, al que Ropper denominó “Signo
       de Lázaro”, el mismo que aparece durante la realización de la prueba de apnea o cuando se suspenden las medidas
       de soporte vital y se retira la ventilación mecánica; este signo se debería a la isquemia medular aguda producida
       por todo esto último.

       Como variación del signo de Lázaro, en algunas oportunidades se pueden observar movimientos aislados
       complejos de las extremidades superiores, unas veces en forma espontánea o provocados por flexión del cuello
       y estímulos nociceptivos o combinados con otros movimientos de flexión del tronco, hasta mantener la sedestación
       por algunos segundos.

       Por último, también es posible la aparición de movimientos secuenciales y complejos de los dedos del pie, de
       forma espontánea o provocados por estímulos nociceptivos, y en alguna oportunidad priapismo.

       Si los pacientes con MC presentan algún tipo de actividad motora de origen medular, corresponde informar
       adecuadamente y tranquilizar al personal de salud no especialista, al mismo tiempo, existe la posibilidad de
       utilizar un relajante muscular antes de que el paciente reciba visita de sus familiares.

48.8   BIBLIOGRAFÍA :

       • Escudero Augusto D. Diagnóstico clínico de muerte encefálica. Prerrequisitos y exploración neurológica. Med
         intensiva 2.000; 24 (3): 106-16.
       • Wijdicks EFM. The Diagnosis of Brain Death. N Engl J Med 2.001; 334, 16: 1215-20.
       • Wijdicks EFM. Determining brain death in adults. Neurology 1995; 45: 1003-11.
       • Marino PL. Trastornos de la actividad mental. En: Paul L. Marino. El Libro de la UCI. 2ª. Edición. Editorial
         Masson-Williams and Wilkins. Barcelona (España) 1998; 860-3.
       • Wijdicks EFM. The Clinical Practice of Critical Care Neurology. Ed. Lippincott-Raven Publishers. Philadelphia
         USA 1997; 320-31.
       • Silverman D, Saunders MG, Schwab RS, Masland RL. Cerebral death and the electroencephalogram: report
         of the adhoc committee of the American Electroencephalographic Society on EEG Criteria for determination
         of cerebral death. JAMA 1969; 209: 1505-10.
       • Fromm RE Jr. Varon J. Trastornos neurológicos. En: Joseph Varon. Cuidados intensivos. Editorial Mosby/Doyma
         . Madrid (España) 1995; 241-6.
       • Comisión Coordinadora Nacional de Trasplante de Órganos y Tejidos. Manual de Trasplante. Ministerio de
         Salud y Previsión Social. La Paz-Bolivia 2001; 42-6.
       • Hall JB, Fink ME. Coma, estado vegetativo persistente y muerte cerebral. En: Hall, Schmidt, Wood. Cuidados
         Intensivos. 2a. edición. Editorial Mc Graw-Hill Interamericana. México DF. 2000; 1111-16.


                                                          228
TERAPIA INTENSIVA

                                                                                                           49.              SCORES DE GRAVEDAD
49.1. PROTOCOLO DE DIAGNÓSTICO DE MUERTE CEREBRAL:
                                  INSTITUTO NACIONAL DEL TORAX
                                   UNIDAD DE TERAPIA INTENSIVA
                         PROTOCOLODE DIAGNÓSTICO DE MUERTE CEREBRAL
       (Criterios modificados de la Universidad de Pittsburg y la Escuela Médica de Harvard)

Para afirmar que se produjo muerte cerebral, se deben cumplir con los siguientes criterios en dos ocasiones consecutivas,
con un mínimo de dos horas entre ambas determinaciones.

Nombre ......................................................................... Cama ................................ Apache II ......../..............

Edad        ................................ Sexo ............................                  1ª DETERMINACIÓN                    2ª DETERMINACIÓN
                                                                                                   SI      NO                            SI       NO
    PACIENTE HEMODINAMICAMENTE ESTABLE
    TEMPERATURA CORPORAL SUPERIOR A 34
    GRADOS C.
    EXISTE LESION NEUROLÓGICA
    NO LOCALIZA EN RESPUESTA A DOLOR
    NIVEL SÉRICO SUBTERAPÉUTICO DE ETANOL
    NIVEL SÉRICO SUBTERAPÉUTICO DE FÁRMACOS
    DEPRESORES DEL SNC
    POSTURA DE DECORTICACIÓN AUSENTE
    POSTURA DE DESCEREBRACION AUSENTE
    ESCALOSFRIOS AUSENTES
    MOVIMIENTOS ESPONTÁNEOS AUSENTES
    REFLEJO FOTOMOTOR BILATERAL AUSENTE
    REFLEJO CORNEAL BILATERAL AUSENTE
    REFLEJO OCULOVESTIBULAR BILATERAL
    AUSENTE
    REFLEJO OCULOCEFALICO AUSENTE
    ELECTROENCEFALOGRAMA ISOELECTRICO
    PRUEBA DE APNEA, PERSISTE LA MISMA
    LUEGO DE 3 MINUTOS DE LA MISMA
    PRUEBA DE APNEA, CO2 FINAL IGUAL O MAYOR
    A 60 mmHg.
    PRUEBA DE APNEA, Pa CO2 SE INCREMENTO
    MAS DE 2,5 mmHg. POR MINUTO
    COCIENTE VENO-YUGULAR DE OXIGENO
    MENOR A 1 (OPCIONAL)
    FRECUENCIA CARDIACA NO AUMENTA MAS DE
    5 LATIDOS/min. LUEGO DE 1 mg. DE ATROPINA IV
 Fecha y hora primera determinación:
 Fecha y hora segunda determinación:

 Diagnostico: ...................................................................................................................
 Responsables:
                                                                                     229
TERAPIA INTENSIVA

49.2     APACHE II:




                                          INSTITUTO NACIONAL DEL TORAX                                   Fecha
    Diagnostico de ingreso:               UNIDAD DE TERAPIA INTENSIVA                                    Puntaje APACHE II
    Patología previa:
                                                              APACHE II                                  Probabilidad mortalidad

 Edad en años EDAD                        Mortalidad 1er nive        >o = puntos           100%
 Menor de 44                 0                        2do nivel 27/34 puntos               89 %
       45 a 54               2                        3er nivel     <de 27 puntos          50 %
       55 a 64               3            Probabilidad de fallecer en pacientes quirúrgicos o no quirúrgicos.
       65 a 74               5            APCHE II 0/4            5/9 10/14 15/19 20/24 25/29 30/34 >35
 Mayor de 75                 6            No quirúrgico4          8      15     24        42       54       75 79
                                          Quirúrgico 3            5      7      12        30       38       74 88

          PUNTAJE APACHE II: EDAD + APS + ENFERMEDAD CRÓNICA: AL INGRESO Y A LAS 48 HORAS
VARIABLES                   4          3            2             1             0             1            2             3           4
Presión arterial media      >160       130/159      110/129                     70/109                     50/69                     <49
Frecuencia cardiaca         >180       140/179      110/139                     70/109                     55/69         40/54       <39
Frecuencia respiratoria     >50        35/49                      25/34         12/24         10/11        6/9                       <5
G(A-a) sí FiO2 es
Mayor a 0.5                 >500       350/499      200/349                     <200
Pa O2 sí FiO2
Es menor a 0.5                                                                  >70           60/70                      55/60       <55
PH arterial                 >7.7       7.6/7.69                   7.5/7.59      7.33/7.49                  7.25/7.32     7.15/7.24   <7.15
Na sérico mmol litro        >180       160/179      155/159       150/154       130/149                    120/129       111/119     <110
K sérico mmol litro         >7         6/69                       5.5/5.9       3.5/5.4       3.0/3.4      2.5/2.9                   <2.5
Creatinima sérica*          >3.5       2.0/3.4      1.5/1.9                     0.6/1.4                    <0.6
Hematocrito                 >60                     50/59.9       46/49.9       30/45.9                    20/29.9                   <20
Leucograma miles            >40                     20/39.9       15/19.9       3/14.9                     1/2.9                     <1
Glasgow
(15-Glasgow obtenido)
Temperatura rectal          >41        39/40.9                    38.5/38.9     36/38.4       34/35.9      32/33.9       39/31.9     <29.9
TOTAL APS


 Si hay insuficiencia severa y crónica :hepática ,cardiaca ,renal ,respiratoria o tiene inmunosupresión
 previa al ingreso entonces añadir :                                     ENFERMEDAD CRÓNICA

 En pacientes medicos o quirúrgicos en postoperatorio inmediato, de emergencia.....................5 puntos
 En pacientes postoperatorio de cirugía programada...................................................................2 puntos
 *En caso de insuficiencia renal aguda se multiplica por 2 el puntaje obtenido en creatinina.



                                                                      230
TERAPIA INTENSIVA

                           50. PARÁMETROS Y FÓRMULAS PARA LA ATENCIÓN CRÍTICA

50.1. PARÁMETROS HEMATIMÉTRICOS NORMALES EN LA ALTURA:

 LA PAZ (3.600 mSNM)                                    NIVEL DEL MAR


   1) SERIE ERITROCITARIA :

   Sexo masculino (20- 60 años)                           Sexo masculino
              Hto. (%) : 50-56 ±2                                  Hto. 40 -52 (46)
              Hb. (g/dl) : 16-18 ±1.5                              Hb. 13.5-18 (15.8)
   Eritrocitos : 5.200.000-6.100.000mm3 (±350.000)        Eritrocitos : 4.600.000-6.200.000mm3 (5.400.000)
   Reticulocitos : 60.000-150.000mm3 (± 17.000)           Reticulocitos : 0.6- 2,6 % (1,6) (± 17.000)
   Concentración promedio de Hb corpuscular (g-dl):       Concentración promedio de Hb. corpuscular (g/dl):
                                                          32-36 (34)

   Sexo femenino (20 – 50 años)                           Sexo Masculino
              Hto. % : 45-51 ± 2,5                                 Hto. : 36-48 (42)
              Hb. (g/dl) : 14,5 – 16,5 ± 0,5                       Hb. : 12 -16 (14)
   Eritrocitos (mm3): 4.500.000-5.400.000                 Eritrocitos: 4,200,000- 5,400,000 (4.800.000)
              ±300.000                                             Reticulocitos (%) : 0,4 – 2,4 (1,4)
   Reticulocitos (mm3) : 60.000- 110.000




     2) SERIE LEUCOCITARIA :
          - No se encuentra variaciones con lo que se encuentra a nivel del mar.

         Sexo masculino:

           5.650 – 10.000mm3 +-650                             4.500 – 11.000mm3(7.400)

           Formula leucocitaria
           C S E B L M (%)                                     N : 1,8 – 7,7 (4,4)
           - 56 3 1 37                                         E : 0- 0,45 (0,2)
                                                               B : 0 – 0, 20 (0,04)
                                                               L : 1 – 4,8 (2,5)
                                                               M : 0- 0,8 (0,3)
           Sexo femenino
           6.110 – 9.800 mm3



                                                      231
TERAPIA INTENSIVA

           Fórmula leucocitaria:
            C      S          E           B              L     M (%)
             -     58         3,5         1              34    3

       3. SERIE PLAQUETARIA:

       Sexo masculino:

       290,000mm3 +-85.000                                                            150.000 – 350.000mm3

       Sexo femenino:

       260.000mm3 +- 62.000

       4. VALORES PREFERENCIALES DE LA COAGULACIÓN:

            Tiempo de sangrado:                                TS :         3,5 – 7,5 min.
            Retracción del coágulo:                            Retracción del coágulo :
            (cualitativo)                                      - Aparente : en 30 – 60 min
                                                               - Completa en 24 horas
                                                               - Habitualmente en 6 hrs.

               Tiempo de coagulación (Lee Whitte)              TC (Lee White)

                                                               - En tubos de vidrio : 5 – 15 min.
                                                               - En tubos de silicon : 20 - 60min.

               Tiempo de lisis de euglobina                    Tiempo de Lisis de euglobina : 120 – 240 min.
               Factores de coagulación:                        Factores de coagulación:
                                                               II, V, VII, VIII, IX, X, XI o XII: 100% o 1U/ml

               Productos de degradación de la fibrina:         Factores de degradación de la fibrina :
                                                               Menor de 10 mcg/ml o título igual o menor a 1.4
               Fibrinógeno:                                    Fibrinógeno: 200 - 400 mg/ml
               Tiempo parcial de tromboplastina                Tiempo parcial de tromboplastina activada
               Activada:                                       20 - 40 seg
               Tiempo de protombina:                           Tiempo de protrombina: 11-14 seg
               Tiempo de trombina:                             Tiempo de trombina: 10 – 15 seg
               Tiempo de lisis de coágulo de sangre total      Tiempo de lisis de coágulo de sangre total
                                                               Menor: > 24 horas

50.2   PARÁMETROS Y FÓRMULAS EN CUIDADOS INTENSIVOS:

       Modificado de Kollef M.H. El Manual Washington. 30ma. edición Editorial Masson 2.001




                                                         232
TERAPIA INTENSIVA

  Parámetros hemodinámicos:
  Presión arterial sistémica (PAS)                                                    100-140/60-90 mm Hg
  Presión diferencial (PD)= PAS sistolica – PAS diastólica                            30-50 mmHg
  Presión arterial media
  (PAM)= [PAS sistólica + (2 x PAS diastólica)]/3                                     70 – 100 mm Hg
  Presión auricular derecha (PAD)                                                     0-6 mmHg
  PAD media                                                                           3mm Hg
  Presión ventricular derecha (PVD)                                                   17-30/0-6 mmHg
  Presión arterial pulmonar (PAP)                                                     15-30/5-13 mmHg
  PAP media                                                                           10-18 mmHg
  Presión media de oclusión en la arteria pulmonar (POAP)                             2 – 12 mm Hg
  (es decir, presión capilar pulmonarde enclavamiento (PCPE)
  Frecuencia cardiaca (FC)                                                            60-100 lat/min
  Superficie corporal (SC) (en m2) =[talla(cm)]0,718 x [peso (kg) ]0,427 x 0,007449
  Volumen sísitolico (VS)                                                             60-120 ml/contracción
  Índice de volumen sistólico= VS/SC                                                  40-50 ml/contracción/m2
  Gasto cardiaco (GC)= SV x FC                                                        3-7 l/min
  Índice cardiaco = GC/SC                                                             2,5 – 4,5 l/min/m2
  Resistencia vascular sistémica                                                      800-1200 din/segcm5
  (RVS)=(PAM – PAD media) x 80/GC
  Resistencia vascular pulmonar                                                       120 -250 din/seg/cm-5
  (RVP) = (PAP media - POAP) X 80/GC


      50.2.1. VALORES DE LOS GASES SANGUINEOS (3600 msnm):

                                            MEDIA                                          SD
         BAR                                511 mmHg                                       2.29
         Hb                                 15,4 g/dl                                      1.40
         pH                                 7,36                                           0,027
         PaCO2                              28.8 mmHg                                      3,56
         PaO2                               55,9 mmHg                                      8,07
         HCO3-                              16.5 mmol/l                                    2,29
         SBC                                18,6 mmol/L                                    1,78
         TCO2                               17,3 mmol/l                                    2,39
         BE                                 -7,1 mmol/l                                    2,32
         SBE                                -7,5 mmol/l                                    2,88
         BB                                 40,9 mmol/L                                    2,49
         O2 SAT                             86,2%                                          6,41
         O2 CT                              18,5 vol%                                      1,91
         AaDO2                              7,7 mmHg                                       7,46

                                                        233
TERAPIA INTENSIVA

50.2.2. ECUACIONES DEL EQUILIBRIO ÁCIDO BÁSICO:

- Ecuación de Henderson-Hasselbalch: pH = pK + log ( [HCO3-] / 0,03 Pa CO2)
- Ecuación de Henderson-Hasselbalch para la concentración de H+:
      [H+](nM/l) = 24 x ( Pa CO2 / [ HCO3- ]).
      - Acidosis Metabólica:
      - Déficit de Bicarbonato ( mEq / l) = [0,5 x peso corporal (kg)] x (24 - [HCO3-]).
      - PaCO2 esperada = 1.5 x (HCO3) + 8 ± 2
      - Alcalosis metabólica:
      - Exceso de bicarbonato = [0.4 x peso corporal (kg) ] x ([HCO3-] – 24 )
      - PaCO2 esperada = 0,7 x [HCO3-] + 21 ± 1.5 (cuando HCO3 ≤ a 40 mEq/l)
      - PaCO2 esperada = 0.75 x [HCO3-] + 19 ± 7.5 (cuando [HCO3-] mayor a 40 mEq/l)
      - Acidosis respiratoria:
              Aguda _ pH /_ PaCO2 = 0.008
              Crónica _ pH/_ PaCO2 = 0.003
      - Alcalosis respiratoría:
              Aguda_ pH/ _ PaCO2 = 0,008
              Crónica _ pH/_ PaCO2 = 0,002

50.2.3. TRANSPORTE DE OXÍGENO:

     - Contenido Arterial de Oxigeno :
       (CaO2)= 1,39 x SaO2 x Hb + (0,0031 x PaO2 )                                18-21 ml de O2/dl
     - Contenido de oxígeno en la sangre venosa mezclada
       (CvO2) = (1.39 x SvO2 x Hb ) + (0,0031 x PvO2)                             14.5-15.5 ml de O2/dl
     - Contenido de Oxígeno capilar
       (CcapO2 = 1.39 x ScapO2 x Hb x ( 0,0031 x PaO2) (se asume que ScapO2 = 1.00) 21 ml de O2/dl
     - Diferencia entre el contenido de oxigeno arterial – sangre venosa mezclada
       (Ca-vO2)                                                                   3.5-5.5 ml de O2/dl
     - Consumo de Oxigeno ( VO2 ) = GC x (Ca – vO2)                               200 – 250 ml / min
     - Entrega de Oxigeno (DO2) = GC x CaO2                                       1000 ml / min
     - Cociente o tasa de extracción de Oxigeno = VO2 / DO2                       22-32%
     - Ecuación de Fick: GC = 10 VO2 / [Hb x 1.39 (SaO2-SvO2)]                    3-7 l/min

50.2.4. PARÁMETROS RESPIRATORIOS:

- Cociente respiratorio(CR) = VCO2/VO2                                        0,7 – 1.0
- Presión Alveolar de oxigeno (PAO2)=FiO2(Patm - PH20)- PaCO2/CR (ecuación del aire alveolar)
- Gradiente de oxigeno alveoloarterial : [P(A- a)O2]
      Para FiO2 = 21%                                                         5 – 25 mmHg
      Para FiO2 = 100%                                                        <150 mmHg
- Cortocircuito fisiologico (Qs/Qt)= (CcapO2)/ (CcapO2- CvO2),
       donde se asume que ScapO2 es de 1.0                                    <5%
- Ventilación por minuto (VE)= kVCO2/PaCO2 = (0.863 x VCO2)/[PaCO2 (1-Vd/Vt)] 4-6l/min.
- Ecuación de Bohr del espacio muerto(Vd/Vt)=(PaCO2-PCO2 espirtorio)/PaCO2    0,2 0,3
- Espacio muerto fisiologico(Vd/Vt)=(PaCO2-PCO2 espiratorio)/PaCO2            0,2 – 0,3


                                              234
TERAPIA INTENSIVA

    - Distensibilidad del sistema respiratorio(DSR)durante la ventilación mecánica:
          DSR estática = Vt/ (VP meseta- PEEP)                                            70 – 100ml/cmH2O*
          DSR dinámica = VT/ (P máxima- PEEP)                                             60 – 100ml/cm H2O

     .*P meseta se obtiene mediante la inserción de una pausa de 0,3 seg. al final de la inspiración, para obtener
    un valor de presión en meseta.




                                                      235
TERAPIA INTENSIVA

51. ÍNDICE ANALÍTICO

A                                             Ch                                    enfermedad severa,1
abdomen, 177                                  choque, 21, 46, 214                   enfermedad terminal, 2
acalasia,70                                   CHOQUE CARDIOGENICO, 46               Enfermeria, 1
acidosis metabólica,97                        Cianosis,65, 67, 75                   Enterococcus, 51
Acidosis metabólica,98                        circulación mesentérica, 60           Epsilon, 81
Activador tisular de plasminógeno 16, 17,     circulación extracorpórea,197         Épsilon aminocaprioco, 81
85                                            cirrosis hepática, 58, 106            EQUILIBRIO ACIDO-BASE, 97
Adenocarcinoma de pulmón, 83                  cirugía vascular periférica, 2        Eritromicina, 55, 74
Adenocarcinoma del tracto gastrointestinal,   clamidia, 52                          Estatus epiléptico, 125, 212
83                                            Clobutinol, 81                        estenosis, mistral 76
Adrenalina, 27, 38, 77, 203                   Clostridium, 51                       Estreptoquinasa, 17, 85
aérea vía, 26, 30, 32, 33, 34                 Cloxacilina, 55, 74                   Estrógenos, 83
alcoholes, 170                                Codeina, 81                           Etamsilato, 81
aleteo nasal,73, 75                           colagenosis,                          EXTUBACIóN, 93
Aleteo nasal, 73, 75                          Coma, 123, 126, 127, 128, 208, 221    F
Alimentación duodenal, 164                    coma de Pittsburg, 229                Falla respiratoria, 3, 4
alimentación intragastrica, 163               Compliance, 88                        Fatiga muscular, 3
Aminofilina, 77                               Condensaciones, 71, 73                FENTOLAMINA, 43
Amrinona, 49                                  Congestión pulmonar, 22               Feocromocitoma, 42, 210
anaerobios, 51, 55                            Cornaje, 75                           Fibrilación ventricular, 11, 33
Aneurisma, 4, 6, 43                           CPAP, 91                              Fibrosis quística, 79
Anisocoria, 7                                 Creatinina, 49, 96                    Fogarty, 81
anticonceptivos, 42, 83                       crioterapia,                          fondo de ojo, 42
Apnea, 88, 221, 225                           CRISIS HIPERTENSIVA, 42               G
arreactividad neurológica, 123                CRISIS Y ESTATUS ASMATICO, 75         Galope por R3, 47
Arritmias, 4, 8, 20, 193                      criterios de Admisión, 2              Gasometría, 99
Asistolia, 21, 32                             D                                     Gasometria arterial,100, 102, 103
asma bronquial. Véase crisis y estatus        D(A-a), 92, 233                       Gasometría arterial, 102, 103
asmático 75                                   derrame pleural, 84                   Giba de Hampton, 84
aspiración de LÍQUIDO GÁSTRICO, 70, 71        DHL, 15, 84                           Glucemia, 6
asterixis, 100                                Diaforesis, 47, 75, 214               H
Atelectasia, 71, 187                          dicinone, 81                          Harris Benedict, 163
ATENCION, proceso 1.                          Disnea, 65, 67, 71, 75, 83            Hemobilia, 155
B                                             Disociación electromecánica, 29, 34   hemocultivos, 53
barotrauma, 92                                Distensión abdominal, 101             Hemograma, 53
Bradiarritmias,20                             Dosis de bicarbonato, 39              HEMOPTISIS, 79
BRONCOASPIRACIÓN, 7 0                         drogas vasoactivas, 56                Hemoptisis masiva, 79
BRONCOASPIRACIÓN DE LÍQUIDOS                  E                                     hernia de hiato esofágico, 154
TÓXICOS, 71                                   Edema agudo pulmonarde altura, 67     hidrocarburos, 70
broncoespasmo, 71                             Edema angioneurótico, 76              Hidrocortisona, 78, 85, 203
Broncoespasmo, 71, 75                         el médico del servicio tratante., 2   hipercapnia aguda, 65
bronconeumonias, 76                           Electrocardiograma, 14, 48, 67, 84    Hipercoagulabilidad, 82
broncoscopía, 80, 81                          Electrolíricas, 105                   hipertensión arterial secundaria, 42
Bronquiectasias, 79                           embolectomía, 85                      hipoperfusión, 22, 46, 214
C                                             embolia grasa, 64                     Hipoxia aguda, 62, 64, 170, 216
Cánula nasal, 63, 68, 77                      Embolia pulmonar, 82, 217             I
CAPTOPRIL, 43                                 ENALAPRILATO, 43                      ictericia, 213
Cavitación, 73                                Endometriosis, 79                     INESTABILIDAD CIRCULATORIA, 1
ceftacidima, 74, 55                           enfermedad aguda. Véase 1             Infarto, 14, 123

                                                                 236
TERAPIA INTENSIVA

Infarto del miocardio, 14                  Oliguria, 47, 95, 190                   síndrome urémico, 90
Infarto agudo, 14                          Post operados, 1                        SRIS, 51
infarto agudo de miocardio. Véase choque   oxígeno, 62                             Stafilococcus Aureus, 55, 73
cardiogénico 46                                                                    Sucralfato, 132
Ingestión de drogas, 154                   P                                       Swan-Ganz, 3, 21
Insuficiencia cardiaca congestiva, 19      pacientes inestables, 1                 T
Insuficiencia renal aguda., 95             PaCO2, 62                               taponamiento, 46
Insuficiencia respiratoria, 62             Pancreatitis aguda, 159                 Taponamiento cardiaco, 46, 172
Insuficiencia Respiratoria Aguda., 62      PaO2, 62, 64                            taquicardia refleja, 44
intoxicación por cianuro, 44               PARÁMETROS OBJETIVOS, 6                 TGO, 15
Intubación endotraqueal selectiva, 81      Paro Cardiaco., 26                      Tienda facial, 63
intubar, 63, 68                            Patología Primaria irreversible, 2      tiramina, 42
IRA intrínseca, 95                         PEEP, 88, 89, 91                        Tiroides, 150
IRA post renal, 95                         pérdida del reflejo nauseoso, 2         tobramicina, 162
isquemia, 60                               placa ateroesclerótica, 60              Traqueomalasia, 2
Isquemia Mesentérica, 60                   prerenal, 95                            traqueostomía, 63
J                                          Presión intracraneal, 130               TROMBOEMBOLISMO PULMONAR, 82
Jefaturas, 1                               PRESION POSITIVA AL FINAL DE LA         Tuberculosis, 51, 76, 79
K                                          ESPIIRACION (PEEP, 91                   U
Klebsiella, 55                             PRESIÓN POSITIVA CONTÍNUA DE LA VÍA     Urografía excretora., 179
L                                          AÉREA (CPAP, 89,91                      Uroquinasa, 85
La neumonía intrahospitalaria, 73          PRIORIZACIÓN, 1                         V
LABETALOL, 43, 211                         proteínas, 73                           Vasoespasmo cerebral., 133
Leucocitosis, 73                           pseudomona, 51, 73                      VENTILACIÓN ASISTIDA CONTROLADA
M                                          psitacosis,                             (AC, 89, 90
médico de turno, 1                         PTTa, 199                               VENTILACIÓN CON PRESIÓN DE SOPORTE
Miastenia gravis, 76                       puestos, 1                              (PSV), 89, 90
Micoplasma, 52, 73, 159                    Pulso paradógico, 75                    VENTILACIÓN CONTROLADA POR
monitoreo invasivo, 1                      Q                                       PRESIÓN (PCV), 89, 90
mucovisidosis, 75                          Quiste hidatídico, 79                   VENTILACION MANDATORIA.
muerte cerecral, 221                       R                                       INTERMITENTE (IMV), 89. 90
N                                          reflejo de la tos, 70, 2201, 222, 223   Ventilación mecánica CONTROLADA (CMV),
Necrosis, 71                               reflejos, 70                            89, 90
neoplásicas, 76                            Reflujo gastroesofágico, 76             VENTILACION MIECANICA, 88
neumoconiosis, 76                          respiración paradojal, 172              Ventilación/Perfusión, 84
Neumonía bacteriana, 73                    Roncus y sibilancias, 75                Ventimask, 63
Neumonía lipoidea exógena, 70              Rotura de aneurisma, 47                 vigilancia, 1
neumonías bacterianas, 73                  S
NEUMONIAS EN CUIDADOS INTENSIVOS,          salbutamol, 77
73                                         SDRA, 64, 219
Neumonitis, 71                             sed de aire, 95
neumoperitoneo, 179                        Semiahogamiento, 70
neutrofilia, 73                            semisentada, posición 101
NIFEDIPINO, 43, 211                        SEPSIS. Véase shock séptico 51
Nitrogeno ureico, 96                       shock, 51
NITROGLICERINA, 43, 44                     Shock cardiogénico, 46
NITROPRUSIATO, 43, 44                      Shock séptico, 51
NITROPRUSIATO DE SODIO, 43, 44, 211        SHOCK SÉPTICO, 51
Nutrición enteral., 135, 163               Signo de Westermark, 84
Nutrición parenteral, 161                  Sindrome carcinoide, 76
O                                          SINDROME DE DISTRÉS RESPIRATRIO, 64
ocupante de espacio, 28                    Síndrome de Mendelsón, 70
                                                               237
Terapia intensivista
Terapia intensivista

Terapia intensivista

  • 3.
    Secretaría Departamental deSalud Instituto Nacional de Tórax Departamento de Terapia Intensiva la Paz – Bolivia PROGRAMA DE MEJORA DE LA CALIDAD DE LA ATENCIÓN TERAPIA INTENSIVA Manual de Procedimientos de Diagnóstico y Tratamiento Dr. Oscar Vera Carrasco Jefe del Departamento de Terapia Intensiva del Instituto Nacional de Tórax. Jefe de la Cátedra de Farmacología de la Facultad de Medicina - U.M.S.A. Especialista en Medicina Crítica y Terapia Intensiva. SEGUNDA EDICIÓN 2.003 La PAZ - BOLIVIA 1
  • 4.
    NOTA La medicina es una ciencia en continuo desarrollo. Conforme surjan nuevos conocimientos, se requerirán cambios de la terapéutica. Los autores de esta obra han puesto cuidado en confirmar la exactitud de la información que se presenta y en describir las prácticas que han ganado aceptación general. No obstante, no se responsabilizan por errores u omisiones, o por las consecuencias de aplicar la información contenida en este texto. Tampoco garantizan, de manera explícita o implícita, que el contenido de esta publicación sea completa o exacta. La aplicación de esta información a una situación específica sigue siendo responsabilidad profesional de cada médico. Los autores han hecho los máximos esfuerzos por asegurar que la selección de los fármacos y las dosis propuestas en este Manual concuerden con las recomendaciones actuales y las prácticas en vigor al momento de la publicación. Sin embargo, en vista de la investigación permanente y el flujo constante de información relacionada con la farmacoterpia y las reacciones adversas a los medicamentos, se recomienda recurrir a otras fuentes para tener certeza de cualquier cambio en las indicaciones o dosis, así como advertencias y precauciones nuevas. Esto es especialmente importante cuando el fármaco recomendado es nuevo o de uso infrecuente. Prohibida la reproducción total o parcial de esta obra, por cualquier medio, sin autorización escrita de los autores. DERECHOS RESERVADOS 2003 II
  • 5.
    Colaboradores Dr. Williams PaniqueRojas Especialista en Medicina Crítica y Terapia Intensiva del Instituto Nacional de Tórax y COSSMIL. Dra. Marina Fuentes C. Especialista en Medicina Crítica y Terapia Intensiva del Instituto Nacional de Tórax. Dr. Jesús Gómez Mendívil Especialista Cardiólogo de la Unidad de Terapia Intensiva del Instituto Nacional de Tórax. Diplomado en Urgencias Médicas. Dr. Marco Antonio García Especialista en Neumología y Endoscopía del Instituto Nacional de Tórax. Dr. Gonzalo L. Poma Plata. Especialista en Medicina Crítica y Terapia Intensiva del Instituto Nacional de Tórax. Agradecimientos A la Dra. Victoria De Urioste por haber hecho posible la publicación de este texto. Al Dr. Dayler Patiño Robles por la transcripción y diagramación del texto. TITULO: TERAPIA INTENSIVA: Manual de Procedimientos de Diagnóstico y Tratamiento. Autor: Dr. Oscar Vera Carrasco Nº ISBN: 99905-0-290-0 Depósito Legal: 4-1-375-03 Impreso: Impresiones Gráficas “Virgo” Telf. 2316177 • Fax: 2370501 Este Libro fue elaborado con el apoyo de la OPS/OMS, Centro del Programa Nacional de Medicina Esenciales de Bolivia (PNMEBOL). III
  • 6.
    FICHA BIBLIOGRÁFICA Bo Vera Carrasco, Oscar WB300 Terapia intensiva: Manual de procedimientos de diagnóstico y C331t tratamiento./ Oscar Vera Carrasco.- 2ed. La Paz: OPS/OMS, 2003. 237p. - (Programa de mejora de la calidad de la atención) I. TERAPIA INTENSIVA^sdiag II. TERAPIA INTENSIVA^sterap III. UNIDADES DE TERAPIA INTENSIVA^snormas IV. CALIDAD DE LA ATENCION DE SALUD^stend V. t. IV
  • 7.
    Contenido Presentación .............................................................................................................................................. VXII Prólogo ..................................................................................................................................................... XIX I. Atencion de Pacientes en la Unidad de Terapia Intensiva 1. Procedimientos En la Unidad de Terapia Intensiva .......................................................... 1 1.1. El Proceso de la Atencion Medica de la U.T.I. ................................................................................ 1 1.2. Metas y Objetivos : ........................................................................................................................ 1 1.3. Modelos de Priorización :.............................................................................................................. 1 1.4. Admision de Pacientes a la U.C.I.................................................................................................. 2 1.5. Criterios de Exclusión.................................................................................................................... 2 1.6. Criterios de Admisión:................................................................................................................... 2 1.7. Criterios de Alta de Pacientes En la U.C.I. ...................................................................................... 3 1.8. Modelo de Admisión por Diagnósticos :........................................................................................ 4 1.9. Modelo de Admisión por parámetros Objetivos :........................................................................... 6 1.10. Bibliografía : .................................................................................................................................. 7 II Transtornos Cardiovasculares 2. Arritmias Cardiacas ................................................................................................................. 8 2.1. Definicion ...................................................................................................................................... 8 2.2. Bradicardia Sinusal........................................................................................................................ 8 2.3. Taquicardia Sinusal ....................................................................................................................... 8 2.4. Taquicardia Supraventricular ......................................................................................................... 8 2.5. Fluter (Aleteo) Auricular................................................................................................................. 9 2.6. Fibrilacion Auricular ...................................................................................................................... 9 2.7. Taquicardia Auricular Paroxística con Bloqueo Auriculoventricular. .............................................. 10 2.8. Extrasistoles Ventriculares............................................................................................................. 10 2.9. Taquicardia Ventricular .................................................................................................................. 11 2.10. Fibrilacion Ventricular ................................................................................................................... 11 2.11. Bloqueo Aurículo-ventricular........................................................................................................ 11 2.12. Bibliografía : .................................................................................................................................. 12 3. Infarto Agudo de Miocardio ................................................................................................... 14 3.1. Definición ...................................................................................................................................... 14 3.2. Factores de riesgo ......................................................................................................................... 14 3.3. Cuadro clínico ............................................................................................................................... 14 3.4. Examenes complementarios........................................................................................................... 15 3.5. Tratamiento .................................................................................................................................... 15 3.6. Contraindicaciones:....................................................................................................................... 17 3.7. Alta de la U.T.I. : ............................................................................................................................. 18 3.8. Manejo y Tratamiento de las Complicaciones del IAM................................................................... 18 3.9. Indicaciones de Marcapaso Temporal en el IAM............................................................................ 21 V
  • 8.
    3.10. Insuficiencia Cardiaca y Choque Cardiogénico.............................................................................. 21 3.11. Insuficiencia Cardiaca con Congestión Pulmonar con Perfusión Periférica................................... 22 3.12 Insuficiencia Cardiaca con Congestión Pulmonar con Hipoperfusión Periférica............................ 22 3.13. Hipoperfusion Periférica sin Congestión Pulmonar....................................................................... 22 3.14. Disfunción Isquémica del Ventrículo derecho................................................................................ 22 3.15. Choque Cardiogénico.................................................................................................................... 22 3.16. Complicaciones Isquémicas .......................................................................................................... 23 3.17. Indicaciones de Cinecoronarigrafia Angioplastia y Cirugia........................................................... 23 3.18. Bibliografía .................................................................................................................................... 24 4. Paro Cardiaco............................................................................................................................ 26 4.1. Definición: ..................................................................................................................................... 26 4.2. Etiología: ....................................................................................................................................... 26 4.3. Cuadro Clínico: ............................................................................................................................. 26 4.4. Tratamiento: ................................................................................................................................... 26 4.5. Pautas de Reanimación Estándar orientada al Cerebro en caso de Coma....................................... 28 4.6. Tipos específicos de Paros: ........................................................................................................... 29 4.7. Bibliografía: ................................................................................................................................... 29 5. Crisis Hipertensiva .................................................................................................................. 42 5.1. Definición : .................................................................................................................................... 42 5.2. Etiologia : ...................................................................................................................................... 42 5.3. Cuadro Clínico : ............................................................................................................................ 42 5.4. Examenes Complementarios :........................................................................................................ 42 5.5. Manejo y Tratamiento :................................................................................................................... 43 6. Choque Cardiogenico............................................................................................................... 46 6.1. Definición: .................................................................................................................................... 46 6.2. Etiología: ....................................................................................................................................... 46 6.3. Perfil Hemodinámico.-................................................................................................................... 46 6.4. Diagnóstico Clínico.-..................................................................................................................... 47 6.5. Diagnóstico Diferencial .- .............................................................................................................. 47 6.6. Examenes Complementarios.- ....................................................................................................... 48 6.7. Tratamiento.-.................................................................................................................................. 48 6.8. Bibliografia.-.................................................................................................................................. 49 7. Sepsis y Shock Séptico ......................................................................................................... 51 7.1. Definiciones :................................................................................................................................. 51 7.2. Etiología : ...................................................................................................................................... 51 7.3. Cuadro clínico y evolución : .......................................................................................................... 52 7.4. Diagnóstico : ................................................................................................................................. 53 7.5. Diagnóstico Diferencial :................................................................................................................ 53 7.6. Examenes Complementarios :........................................................................................................ 53 7.7. Tratamiento : .................................................................................................................................. 54 VI
  • 9.
    7.8. Valoración del Pronóstico :............................................................................................................ 58 7.9. Bibliografia .................................................................................................................................... 58 8. Isquemia Mesentérica ............................................................................................................ 60 8.1. Isquemia Mesentérica Aguda.- ...................................................................................................... 60 8.2. Isquemia Mesentérica Crónica.- .................................................................................................... 61 8.3. Bibliografía.-.................................................................................................................................. 61 III Transtornos Respiratorios 9. Insuficiencia Respiratoria Aguda. ........................................................................................ 62 9.1. Definición. ..................................................................................................................................... 62 9.2. Etiología. ....................................................................................................................................... 62 9.3. Cuadro Clínico. ............................................................................................................................. 62 9.4. Tratamiento. ................................................................................................................................... 62 9.5. Bibliografía: ................................................................................................................................... 63 10. Sindrome de Distrés Respiratorio Agudo ............................................................................ 64 10.1. Definición ...................................................................................................................................... 64 10.2. Etiologia ........................................................................................................................................ 64 10.3. Cuadro Clínico .............................................................................................................................. 64 10.4. Examenes Complementarios.......................................................................................................... 65 10.5. Tratamiento .................................................................................................................................... 65 10.6. Bibliografía : .................................................................................................................................. 65 11. Edema Agudo Pulmonar de Altura ........................................................................................ 67 11.1. Definición ...................................................................................................................................... 67 11.2. Etiologia ........................................................................................................................................ 67 11.3. Cuadro Clínico. ............................................................................................................................. 67 11.4. Examenes Complementarios.......................................................................................................... 67 11.5. Diagnóstico Diferencial.................................................................................................................. 67 11.6. Tratamiento .................................................................................................................................... 68 11.7. Bibliografía : .................................................................................................................................. 68 12. Aspiración Pulmonar o Broncoaspiración ...................................................................... 70 12.1. definición :..................................................................................................................................... 70 12.2. Tipos de Material Aspirado : .......................................................................................................... 70 12.3. Síndromes Causados Por Aspiración : .......................................................................................... 70 12.4. Diagnóstico : ................................................................................................................................. 70 12.5. Factores de riesgo : ....................................................................................................................... 70 12.6. Alteraciones Fisiopatológicas :....................................................................................................... 71 12.7. Broncoaspiración de líquidos tóxicos............................................................................................ 71 12.8. Complicaciones Infecciosas en la Broncoaspiración ..................................................................... 71 12.9. Profilaxis de la Broncoaspiración .................................................................................................. 71 12.10. Bibliografía : .................................................................................................................................. 71 VII
  • 10.
    13. Neumonias en Cuidados Intensivos...................................................................................... 73 13.1. Definición ...................................................................................................................................... 73 13.2. Etiologia ........................................................................................................................................ 73 13.3. Cuadro Clinico y Criterios de Confirmación de Neumonias en la UCI.......................................... 73 13.4. Protocolo Diagnostico de Neumonias en al UCI........................................................................... 73 13.5. Examenes Complementarios de Urgencia:..................................................................................... 74 13.6. Tratamiento. ................................................................................................................................... 74 13.7. Referencias Bibliograficas.............................................................................................................. 74 14. Crisis y Estatus Asmatico ....................................................................................................... 75 14.1. Definición ...................................................................................................................................... 75 14.2. Clasificación desde el punto de vista asistencial:........................................................................... 75 14.3. Cuadro Clinico y Criterios de gravedad ......................................................................................... 75 14.4. Diagnostico Diferencial.................................................................................................................. 76 14.5. Examenes Complementarios de Urgencia:..................................................................................... 76 14.6. Tratamiento. ................................................................................................................................... 77 14.7. Criterios de Ingreso a la UCI......................................................................................................... 78 14.8. Bibliografia .................................................................................................................................... 78 15. Hemoptisis.................................................................................................................................. 79 15.1. Definición ...................................................................................................................................... 79 15.2. Etiología ........................................................................................................................................ 79 15.3. Cuadro Clinico .............................................................................................................................. 80 15.4. Diagnóstico Diferencial.................................................................................................................. 80 15.5. Examenes Complementarios de Urgencia:..................................................................................... 80 15.6. Tratamiento. ................................................................................................................................... 80 15.7. Bibliografia .................................................................................................................................... 81 16. Tromboembolismo Pulmonar................................................................................................. 82 16.1. Definición : .................................................................................................................................... 82 16.2. Factores de Riesgo : ...................................................................................................................... 82 16.3. Formas de presentación Clínica :................................................................................................... 83 16.4. Cuadro Clínico : ............................................................................................................................ 83 16.5. Examenes Complementarios :........................................................................................................ 84 16.6. Criterios de Gravedad del TEP : ..................................................................................................... 85 16.7. Tratamiento : .................................................................................................................................. 85 16.8. Monitorización :............................................................................................................................. 86 16.9. P R O F I L A X I S : ....................................................................................................................... 86 16.10. Bibliografía : .................................................................................................................................. 86 17. Ventilación Mecánica o Asistencia Respiratoria Mecánica .......................................... 88 17.1. definición:...................................................................................................................................... 88 17.2. Indicaciones: ................................................................................................................................. 88 17.3. Principios Básicos para iniciar la Ventilación Mecánica............................................................... 88 17.4. Estrategias de la Ventilación Mecánica ......................................................................................... 89 VIII
  • 11.
    17.5. Ventiladores Ciclados por Volumen:.............................................................................................. 89 17.6. Objetivos: ...................................................................................................................................... 89 17.7. Modos Ventilatorios: ..................................................................................................................... 89 17.8. Complicaciones de la Ventilación Mecánica.................................................................................. 91 17.9. Desconexión o "Destete" de la Ventilación Mecánica ................................................................... 92 17.10. Criterios para la Desconexión de la Ventilación Mecánica............................................................. 92 17.11. Protocolo para Desconexión de la Ventilación Mecánica Con Tubo en “T” ................................... 93 17.12. Protocolo de Desconexión de la Ventilación Mecánica Con IMV................................................... 93 17.13. Protocolo de la Desconexión de la VM con Presión de Soporte (PSV) .......................................... 93 17.14. Factores que pueden dificultar El "Destete" .................................................................................... 94 17.15. Bibliografía : .................................................................................................................................. 94 IV Transtornos Renales y del Medio Interno 18. Insuficiencia Renal Aguda. .................................................................................................... 95 18.1. Definición: ..................................................................................................................................... 95 18.2. Etiología: ....................................................................................................................................... 95 18.3. Cuadro Clínico: ............................................................................................................................. 95 18.4. Tratamiento: ................................................................................................................................... 96 18.5. Bibliografía: ................................................................................................................................... 96 19. Alteraciones del Equilibrio Acido-base............................................................................... 97 19.1. Definición ...................................................................................................................................... 97 19.2. Clasificacion:................................................................................................................................. 97 19.3. Acidosis Metabólica....................................................................................................................... 97 19.4. Acidosis Respiratoria ..................................................................................................................... 99 19.5. Alcalosis Metabólica...................................................................................................................... 100 19.6. Alcalosis Respiratoria .................................................................................................................... 102 19.7. Trastornos Mixtos del Equilibrio Acido-base................................................................................. 103 19.8. Bibliografia: ................................................................................................................................... 104 20. Alteraciones Electrolíticas .................................................................................................... 105 20.1. Desequilibrios del Sodio ............................................................................................................... 105 20.2. Causas del Síndrome de SIHAD ................................................................................................... 108 20.3. Tratamiento del Estado Hipotónico................................................................................................. 108 20.4. H I P E R N A T R E M I A............................................................................................................... 109 20.5. Etiologia de la Diabetes Insípida.................................................................................................. 110 20.6. Hipopotasemia............................................................................................................................... 113 20.7. Hiperpotasemia.............................................................................................................................. 116 20.8. Hipomagnesemia........................................................................................................................... 117 20.9. Hipermagnesemia.......................................................................................................................... 118 20.10 Hipercalcemia................................................................................................................................ 119 20.11. Hipocalcemia................................................................................................................................. 120 20.12. Hipofosfatemia ............................................................................................................................... 121 20.13. Bibliografia : .................................................................................................................................. 122 IX
  • 12.
    TERAPIA INTENSIVA V TranstornosNeurologicos 21. Coma............................................................................................................................................ 123 21.1. Definición: ..................................................................................................................................... 123 21.2. Etiología: ....................................................................................................................................... 123 21.3. Exámenes Complementarios:......................................................................................................... 124 21.4. Diagnostico Diferencial:................................................................................................................. 124 21.5. Tratamiento: ................................................................................................................................... 124 21.6. Bibliografía: ................................................................................................................................... 124 22. Estado Epiléptico...................................................................................................................... 125 22.1. Definición: ..................................................................................................................................... 125 22.2. Etiología: ....................................................................................................................................... 125 22.3. Cuadro Clínico: ............................................................................................................................. 125 22.4. Tratamiento: ................................................................................................................................... 125 22.5. Bibliografía: ................................................................................................................................... 125 23. Coma Hipoglucémico. .............................................................................................................. 126 23.1. Definición: ..................................................................................................................................... 126 23.2. Etiología: ....................................................................................................................................... 126 23.3. Cuadro Clínico: ............................................................................................................................. 126 23.4. Exámenes Complementarios:......................................................................................................... 126 23.5. Tratamiento: ................................................................................................................................... 126 23.6. Bibliografía: ................................................................................................................................... 126 24. Coma Cetoacidótico................................................................................................................. 127 24.1. Definición: ..................................................................................................................................... 127 24.2. Etiología: ....................................................................................................................................... 127 24.3. Exámenes Complementarios:......................................................................................................... 127 24.4. Tratamiento: ................................................................................................................................... 127 24.5. Bibliografía: ................................................................................................................................... 127 25. Coma Hiperosmolar no Cetósico. .......................................................................................... 128 25.1. Definición: ..................................................................................................................................... 128 25.2. Etiología: ....................................................................................................................................... 128 25.3. Cuadro Clínico: ............................................................................................................................. 128 25.4. Tratamiento: ................................................................................................................................... 128 25.5. Bibliografía: ................................................................................................................................... 128 26. Edema Cerebral......................................................................................................................... 129 26.1. Definición: ..................................................................................................................................... 129 26.2. Etiología: ....................................................................................................................................... 129 26.3. Cuadro Clínico: ............................................................................................................................. 129 26.4. Exámenes Complementarios:......................................................................................................... 129 26.5. Tratamiento: ................................................................................................................................... 129 26.6. Bibliografía: ................................................................................................................................... 129 X
  • 13.
    27. Accidente Cerebrovascular Agudo Manejo Clínico General........................................... 130 27.1. Soporte Vital Avanzado : ................................................................................................................ 130 27.2. Prevención/Tratamiento : ............................................................................................................... 130 28. Hemorragia Subaracnoidea .................................................................................................... 133 28.1. Clasificación de Hunt y Hess: ........................................................................................................ 133 28.2. Manejo y Tratamiento de la Hemorragia Subaracnoidea ............................................................... 133 28.3. Bibliografía : .................................................................................................................................. 135 29. Síndrome de Guillaín Barré..................................................................................................... 136 29.1. Definición ...................................................................................................................................... 136 29.2. Etiología y Patogenia...................................................................................................................... 136 29.3. Clínica.-......................................................................................................................................... 136 29.4. Diagnóstico y Diagnóstico Diferencial. .......................................................................................... 137 29.5. Pronóstico. .................................................................................................................................... 137 29.6. Tratamiento .................................................................................................................................... 137 29.7. Bibliografía .................................................................................................................................... 138 VI Transtornos Endocrinológicos 30. Cetoacidosis Diabética .......................................................................................................... 139 30.1. Definición : .................................................................................................................................... 139 30.2. Etiología . ...................................................................................................................................... 139 30.3. Cuadro Clínico . ............................................................................................................................ 139 30.4. Examenes de laboratorio :.............................................................................................................. 139 30.5. Manejo y Tratamiento :................................................................................................................... 140 30.6. Bibliografía : .................................................................................................................................. 142 31. Síndrome Hiperglucémico Hiperosmolar no Cetósico...................................................... 143 31.1. Definición : .................................................................................................................................... 143 31.2. Etiología : ...................................................................................................................................... 143 31.3. Cuadro Clínico : ............................................................................................................................ 143 31.4. Examenes de laboratorio :.............................................................................................................. 144 31.5. Manejo y Tratamiento :................................................................................................................... 144 31.6. Bibliografía : .................................................................................................................................. 145 32. Trastornos en la Secrecion de Hormona Antidiurética (ADH) ......................................... 146 32.1. Diabetes Insípida ........................................................................................................................... 146 32.2. Síndrome de Secreción Inadecuada de Hormona Antidiurética..................................................... 148 32.3. Bobliografía ................................................................................................................................... 149 33. Crisis Tirotoxica........................................................................................................................ 150 33.1. Definición.-.................................................................................................................................... 150 33.2. Factores desencadenantes.-........................................................................................................... 150 33.3. Cuadro Clinico.-............................................................................................................................ 151 XI
  • 14.
    33.4. Exámenes Complementarios.- ....................................................................................................... 151 33.5. Diagnóstico Diferencial.- ............................................................................................................... 152 33.6. Tratamiento.-.................................................................................................................................. 152 33.7. Bibliografía.-.................................................................................................................................. 153 VII Transtornos Digestivos y Nutrición 34. Hemorragia Digestiva Alta...................................................................................................... 154 34.1. Definición.-.................................................................................................................................... 154 34.2. Etiología.-...................................................................................................................................... 154 34.3. Clínica.-......................................................................................................................................... 155 34.4. Diagnóstico ................................................................................................................................... 155 34.5. Tratamiento.-.................................................................................................................................. 156 34.6. Bibliografia .................................................................................................................................... 158 35. Pancreatitis Aguda................................................................................................................... 159 35.1. Definición: ..................................................................................................................................... 159 35.2. Etiología: ....................................................................................................................................... 159 35.3. Cuadro Clínico: ............................................................................................................................. 159 35.4. Exámenes Complementarios:......................................................................................................... 159 35.5. Tratamiento: ................................................................................................................................... 160 35.6. Bibliografía: ................................................................................................................................... 160 36. Nutrición Parenteral: ............................................................................................................... 161 36.1. Definición: ..................................................................................................................................... 161 36.2. Requerimiento Energético.............................................................................................................. 161 36.3. Requerimiento de Electrolitos ........................................................................................................ 161 36.4. Bibliografía: ................................................................................................................................... 162 37. Nutrición Enteral....................................................................................................................... 163 37.1. Definición: ..................................................................................................................................... 163 37.2. Etiología: ....................................................................................................................................... 163 37.3. Requerimiento Energético.............................................................................................................. 163 37.4. Proteínas (Gramos /Día): ............................................................................................................... 163 37.5. Tratamiento: ................................................................................................................................... 163 37.6. Bibliografía: ................................................................................................................................... 164 VIII Intoxicaciones 38. Intoxicación por Organofosforados ...................................................................................... 165 38.1. Introducción : ................................................................................................................................ 165 38.2. Clasificación de Los Organofosforados Según su Toxicidad ......................................................... 165 38.3. Mecanismo de acción :.................................................................................................................. 165 38.4. Cuadro Clínico . ............................................................................................................................ 166 38.5. Signos y Síntomas de la Intoxicación Aguda por Organofosforados.............................................. 166 XII
  • 15.
    38.6. Examenes de laboratorio ............................................................................................................... 167 38.7. Manejo y Tratamiento :................................................................................................................... 168 38.8. Bibliografía : .................................................................................................................................. 169 39. Intoxicación Alcohólica .......................................................................................................... 170 39.1. Signos y Síntomas......................................................................................................................... 170 39.2. Tratamiento .................................................................................................................................... 170 39.3. Bibliografía.-.................................................................................................................................. 171 IX. Traumatismos y Cirugia 40. Traumatismo del Tórax ............................................................................................................ 172 40.1. Clasificacion.- ............................................................................................................................... 172 40.2. Traumatismo de Tórax Abierto.-..................................................................................................... 175 40.3. Procedimientos Diagnósticos en el Tórax Traumático.-................................................................. 175 40.4 Bibliografía .................................................................................................................................... 176 41. Traumismo Abdominal ............................................................................................................. 177 41.1. Introducción .................................................................................................................................. 177 41.2. Anatomia Externa del Abdomen (1)................................................................................................ 177 41.3. Anatomia Interna del Abdomen (1)................................................................................................. 177 41.4. Mecanismo de Lesión.................................................................................................................... 177 41.5. Valoración Inicial ........................................................................................................................... 177 41.6. Valoración definitiva ...................................................................................................................... 178 41.7. Pruebas Diagnósticas .................................................................................................................... 178 41.8. Actitud Terapeutica (5)................................................................................................................... 179 41.9. . Algunas Lesiones Específicas (5) (2) (1) ..................................................................................... 181 41.10. Flujogramas de Actuación ............................................................................................................. 182 41.11. Bibliografía .................................................................................................................................... 184 42. Post Operatorio en Cirugia de Tórax .................................................................................... 185 42.1. Ventilación en el Post Operatorio................................................................................................... 185 42.2. Balance Hidroelectrolitico.............................................................................................................. 185 42.3. Analgesia....................................................................................................................................... 185 42.4. Movilización de Secreciones Bronquiales...................................................................................... 186 42.5. Drenajes Tubulares de Tórax: ........................................................................................................ 186 42.6. Control Radiologico En El Postoperatorio de Cirugiá Toracica ...................................................... 186 42.7. Bibliografía .................................................................................................................................... 187 43. Cuidado Intensivo Postoperatorio En Cirugia Cardiaca................................................... 188 43.1. Subsistencia Cardiovascular:......................................................................................................... 188 43.2. Subsistema Respiratorio ................................................................................................................ 189 43.3. Subsistema Renal : ........................................................................................................................ 190 43.4. Subsistema Metabólico :................................................................................................................ 190 43.5. Antibióticos : ................................................................................................................................. 192 XIII
  • 16.
    43.6. Tratamiento de la Fiebre :............................................................................................................... 193 43.7. Complicaciones............................................................................................................................. 193 43.8. Hipertensión Arterial :.................................................................................................................... 194 43.9. Sangrado : ..................................................................................................................................... 194 43.10. Bibliografía : .................................................................................................................................. 197 X. Miscelaneas. 44. Coagulacion Intravascular Diseminada.............................................................................. 198 44.1. Definición.-.................................................................................................................................... 198 44.2. Etiología.-...................................................................................................................................... 198 44.3. Formas Clinicas.- .......................................................................................................................... 198 44.4. Cuadro Clinico.-............................................................................................................................ 199 44.5. Exámenes Complementarios.- ....................................................................................................... 199 44.6. Tratamiento.-.................................................................................................................................. 199 44.7. Bibliografía.-.................................................................................................................................. 199 45. Anafilaxis.................................................................................................................................... 200 45.1. Definición.-.................................................................................................................................... 200 45.2. Etiología.-...................................................................................................................................... 200 45.3. Cuadro Clinico.-............................................................................................................................ 201 45.4. Examenes Complementarios.- ....................................................................................................... 202 45.5. Diagnostico Diferencial.- ............................................................................................................... 202 45.6. Tratamiento.-.................................................................................................................................. 202 45.7. Bibliografía .................................................................................................................................... 203 46. Sindrome de Stevens Johnson ............................................................................................... 205 46.1. Definición ...................................................................................................................................... 205 46.2. Etiología ........................................................................................................................................ 205 46.3. Cuadro Clínico .............................................................................................................................. 206 46.4. Examenes Complementarios.......................................................................................................... 206 46.5. Diagnóstico Diferencial.................................................................................................................. 207 46.6. Manejo y Tratamiento..................................................................................................................... 207 46.7. Complicaciones............................................................................................................................. 207 46.8. Bibliografía .................................................................................................................................... 207 47. Eclampsia y otras complicaciones obstétricas................................................................. 208 47.1. Definición ...................................................................................................................................... 208 47.2. Etiología ........................................................................................................................................ 208 47.3. Cuadro Clínico .............................................................................................................................. 209 47.4. Exámenes Complementarios.......................................................................................................... 209 47.5. Diagnóstico .................................................................................................................................. 209 47.6. Diagnóstico Diferencial.................................................................................................................. 210 47.7. Manejo y Tratamiento .................................................................................................................... 210 XIV
  • 17.
    47.8. Otras complicaciones obstétricas .................................................................................................. 212 47.9. Bibliografía .................................................................................................................................... 219 48. Protocolo de Diagnóstico de Muerte Cerebral .................................................................. 221 48.1. Definición ...................................................................................................................................... 221 48.2. Etiología ........................................................................................................................................ 221 48.3. Diagnóstico ................................................................................................................................... 221 48.4. Exploración Neurológia ................................................................................................................. 222 48.5. Periodo de Observación e intervalo entre las pruebas ................................................................... 226 48.6. Exámenes complementarios .......................................................................................................... 227 48.7. Actividad Motora espinal en la muerte encefálica .......................................................................... 227 48.8. Bibliografía .................................................................................................................................... 228 49. Scores de Gravedad.................................................................................................................. 229 49.1. Protocolo de diagnóstico de Muerte General ................................................................................. 229 49.2. Apache II........................................................................................................................................ 230 50. Parámetros y Fórmulas para la atención crítica............................................................... 231 50.1 Parámetros Hematimetricos normales en la altura......................................................................... 231 50.2 Parámetros y Fórmulas en Cuidados Intensivos............................................................................ 232 51. Índice Analítico......................................................................................................................... 236 XV
  • 19.
    PRESENTACION El Ministerio deSalud y Previsión Social, cuya atribución es garantizar la calidad de atención al paciente, normar, fortalecer y evaluar los servicios que se brindan en los establecimientos de salud del Sistema Nacional, a partir de la aprobación de los Reglamentos de la Comisión Nacional de Acreditación de Hospitales en Bolivia, mediante Resolución Secretarial Nº 0329 de fecha 27 de abril de 1.994, ha logrado dar un impulso eficaz para emprender una serie de actuaciones a lo largo de los últimos años, cuyos frutos ya comienzan a hacerse evidentes. Los hospitales representan un elemento esencial en los sistemas locales de salud. Esto se debe no sólo al papel que juegan en la atención de pacientes que requieren servicios más especializados que los disponibles en los centros y puestos de salud, sino también por el apoyo que ofrecen a los establecimientos de menor complejidad en cuanto a sistemas de información, funciones gerenciales, desarrollo de recursos humanos, logística e investigación. En lo que respecta a la atención de situaciones de riesgo vital en nuestro país es, sin embargo, en general suficientemente precaria como para dar lugar a sentimientos de satisfacción completa. No obstante, es obligado reconocer el notable avance producido últimamente respecto a la aún insuficiencia de infraestructuras y la escasa difusión del conocimiento de las técnicas asistenciales apropiadas entre el personal de salud para su aplicación en la asistencia del paciente en estado crítico. Con la edición del presente texto intitulado “Terapia Intensiva: Manual de Procedimientos de Diagnóstico y Tratamiento”, un instrumento operativo para el Sistema Público Descentralizado y participativo de salud, nuestro Ministerio pretende dar un nuevo impulso al desarrollo y fortalecimiento de los hospitales de nuestro país y en particular a las Unidades de Cuidado Intensivo, con el objetivo principal de asegurar que los pacientes que demanden este servicio, y quienes presten funciones en los mismos, lo hagan en condiciones de eficiencia y seguridad. Además, al constituirse este manual como una herramienta más para el trabajo regular y en el sistema de evaluación a través de la Auditoria Médica, una de las condiciones básicas a cumplir para la calificación y certificación de los hospitales, deberá ser un referente importante para desarrollar, adecuar y evaluar protocolos de Diagnóstico y Tratamiento de los padecimientos más comunes. Espero que toda la información contenida en este Manual sea de utilidad para muchos profesionales y especialistas en su ejercicio diario, y sobre todo deseo que el beneficio que el mismo pueda aportar, se manifieste en la recuperación del paciente en estado crítico de nuestra población. DR. JAVIER TORRES GOITIA C. MINISTRO DE SALUD Y PREVISIÓN SOCIAL XVII
  • 21.
    PRÓLOGO Los requerimientos deservicios médicos tales como la Medicina Crítica, son los que más a menudo exceden la disponibilidad de recursos tanto materiales como humanos. En el contexto de estas limitadas condiciones, las instituciones de salud proveedoras de este tipo de atención médica como el Instituto Nacional de Tórax (INT) y en particular su Unidad de Terapia Intensiva (UTI), se han visto obligadas a establecer algunas definiciones éticas para distribuir equitativa y eficientemente sus recursos disponibles. Al mismo tiempo, se considera también la necesidad de que todas las etapas del proceso de atención médica de la UTI deben documentarse en los Manuales técnicos y administrativos correspondientes, los cuales deberán mantenerse permanentemente actualizados y al alcance del personal para su consulta; este enfoque permite asegurar la calidad del servicio médico. En atención a lo anterior, a principios de 1.997 se iniciaron los trabajos de planeación de este proyecto a todas luces ambicioso: producir este MANUAL DE PROCEDIMIENTOS DE DIAGNÓSTICO Y TRATAMIENTO que versará sobre el Diagnóstico y Tratamiento de los problemas más frecuentes. Los esfuerzos se centraron en el diseño de un pequeño libro de consulta sencilla, rápida e información actualizada y sintética, características necesarias a los fines de contar con una herramienta práctica y confiable junto a la cama del paciente para la identificación y resolución de las enfermedades o trastornos patológicos habituales en una UTI. Por lo tanto, este manual está diseñado especialmente para el personal asignado a la UTI del INT. También esta destinado a los Médicos Residentes en formación dentro la especialidad de Terapia Intensiva, particularmente internistas, cardiólogos, neumólogos, anestesiólogos y cirujanos. Los estudiantes de medicina, las enfermeras de la UTI y las estudiantes de enfermería igualmente considerarán a este compendio para sus actividades diarias con los pacientes en estado crítico. Por último, pretende cubrir el vacío existente entre la didáctica de un libro de texto más amplio y la práctica de los especialistas en Medicina Crítica y Terapia Intensiva más experimentados. Cada monografía se diseñó para ayudar al lector en la definición del trastorno patológico, determinar sus causas, identificar los signos y síntomas específicos, realizar los exámenes complementarios necesarios y aplicar cuales tratamientos son eficaces y cuales intervenciones médicas son las más convenientes. En síntesis, un Manual de este tipo supone que puede existir un orden en la medicina y en el estudio diagnóstico de los problemas frecuentes. Este planteamiento ofrece uniformidad, un método para controlar los costos de la atención médica y solicitar las exploraciones de forma apropiada, y la posibilidad de una calidad constante al abordar un mismo tipo de problemas clínicos. Llegar a la edición de este Manual no sólo constituye un logro editorial, sino que adquiere una perspectiva y un significado distinto del documento inicial. Además, es importante señalar que esta tarea no solamente es el fruto del entusiasmo de un grupo de médicos que trabajamos en la UTI, sino que ha pasado a constituir una herramienta de la tradición y cultura docente de la UTI del INT. XIX
  • 22.
    Es deseo delos autores que toda la información contenida en este Manual sea de ayuda para muchos profesionales y especialistas para la toma de decisiones médicas en su ejercicio diario, y sobre todo, esperamos que el beneficio que pueda aportar se manifieste en una recuperación y mayor bienestar para el enfermo, razón fundamental de nuestro trabajo profesional. La Paz, Febrero de 2.003 Dr. Oscar Vera Carrasco JEFE DEL DEPARTAMENTO DE TERAPIA INTENSIVA DEL INSTITUTO NACIONAL DE TÓRAX XX
  • 23.
    TERAPIA INTENSIVA 1. PROCEDIMIENTOS EN LA UNIDAD DE TERAPIA INTENSIVA * Dr. Oscar Vera Carrasco 1.1. EL PROCESO DE LA ATENCIÓN MÉDICA DE LA U.T.I.: 1. Al ingreso del paciente, el grupo médico y de enfermeria de la UTI asumirán la responsabilidad de brindarle la atención que requiera para resolver sus problemas de salud. 2. El médico de turno debe comunicar al personal de enfermeria de la UTI la condición clínica y la necesidad de vigilancia del paciente aceptado y se deberá preparar la cama y todos los elementos necesarios para dicha atención. 3. El proceso asistencial que se lleve a cabo por los grupos médico y de enfermeria de la UTI, asi como del médico tratante del enfermo, se debe ajustar a las funciones identificadas en la descripción de puestos. 4. Todas las indicaciones para el diagnóstico y tratamiento del enfermo son responsabilidad del médico de la UTI en colaboración y acuerdo con el médico del servicio de procedencia. 5. La discrepancia en las decisiones entre los médicos de los servicios participantes sobre el diagnóstico y terapéutica deberá resolverse mediante la revisión del caso clínico con las Jefaturas de los servicios involucrados. 6. El médico de turno de la UTI es el responsable de la coordinación y supervisión integral del plan de vigilancia. 7. La responsabilidad de Enfermeria es vigilar el cumplimiento y ejecutar las indicaciones del médico de turno. 1.2. METAS Y OBJETIVOS : El primer paso para determinar criterios de Admisión a la Unidad de Terapia Intensiva (UTI) del Instituto Nacional de Tórax (INT), será observar un mecanismo que sea capaz de distinguir a aquellos pacientes que se beneficiarán de esta Unidad de aquellos que no lo harán. El estado de salud de los pacientes será el criterio más importante para determinar el acceso a la UTI por sobre otras consideraciones como las económicas y legales, que si bien también son de importancia pero secundarias. Otras determinantes de admisión, tales como disponibilidad de camas, recursos humanos y técnicos, consideraciones éticas, morales y económicas, capacidad de la UTI de prestar los servicios con un nivel de calidad, van más allá de la finalidad de este Manual y deben ser tratadas en cada caso particular con el paciente, cuando es posible, o con la familia y el médico de cabecera. 1.3. MODELOS DE PRIORIZACIÓN : Este sistema definirá a la mayor parte de los pacientes que serán beneficiados con la atención de la UTI (prioridad 1) y aquellos que no lo harán al ingresar a ella (prioridad 4). Prioridad 1: Son pacientes inestables con necesidad de monitoreo y tratamiento intensivo que no puede ser entregado fuera de esta Unidad. En estos pacientes generalmente no hay límites para la prolongación de la terapia que están recibiendo. Pueden incluir pacientes post-operados, con insuficiencia respiratoria que requieren soporte ventilatorio, que están en choque o inestabilidad circulatoria, que necesitan monitoreo invasivo y/o drogas. Prioridad 2: Estos pacientes requieren monitoreo invasivo y potencialmente pueden necesitar una intervención inmediata y no se han estipulado límites terapéuticos. Por ejemplo pacientes con estados co-mórbidos quienes han desarrollado una enfermedad severa médica o quirúrgica. Prioridad 3: Pacientes que pueden recibir tratamiento intensivo para aliviar su enfermedad aguda, sin embargo, se le puede colocar límite a los esfuerzos terapéuticos, tales como no intubar o no efectuar reanimación cardiopulmonar si la requirieran. Ejemplos: pacientes con enfermedades neoplásicas malignas metastásicas complicadas con infección, taponamiento cardiaco u obstrucción de la vía aérea. Prioridad 4: Son pacientes no apropiados para cuidados en la UTI. Estos deberían ser admitidos sobre una base 1
  • 24.
    TERAPIA INTENSIVA individual, bajo circunstancias inusuales y bajo la supervisión del Jefe de la Unidad. Estos mismos pacientes, se pueden clasificar en las siguientes categorías: a) Pacientes que se beneficiarían poco de los cuidados brindados por la UTI, basados en un bajo riesgo de intervención activa que no podría ser administrada en forma segura en una unidad que no fuera una UTI (demasiado bien para beneficiarse). Incluyen pacientes con cirugía vascular periférica, cetoacidosis hemodinamicamente estable, insuficiencia cardiaca congestiva leve, sobredosis de drogas sin alteración de la conciencia, etc. b) Pacientes con enfermedad terminal e irreversible que enfrentan un estado de muerte inminente (demasiado enfermos para beneficiarse). Por ejemplo: daño cerebral severo irreversible, falla multiorgánica irreversible, cáncer metastásico que no ha respondido a quimio y/o radioterapia (salvo que el paciente esté en un protocolo específico), pacientes capaces de tomar decisiones que rechazan el monitoreo invasivo y los cuidados intensivos por aquellos destinados sólo al confort, muerte cerebral que no son potenciales donadores de órganos, pacientes que se encuentran en estado vegetativo persistente, etc. 1.4. ADMISIÓN DE PACIENTES A LA U.C.I.. * El ingreso del enfermo a la U.C.I. será el resultado de la decisión compartidatida entre el médico tratante del Servicio de procedencia y el médico de turno de esta Unidad, siempre tomando en cuenta las posibilidades razonables de recuperación. * La solicitud para ingresar a un paciente a la U.C.I. la efectúa el médico del servicio tratante. * Las alteraciones reales o potenciales de los sistemas fisiológicos mayores factibles de recuperar y no la naturaleza del padecimiento serán las determinantes de admisión a la U.C.I.,tales como : • INSUFICIENCIA 0 INESTABILIDAD DE UNO O MÁS DE LOS SISTEMAS MAYORES. • ALTO RIESGO DE INESTABILIDAD DE SISTEMAS FISIOLOGICOS MAYORES. • NECESIDAD DE CUIDADOS ESPECIALES O ESPECIALIZADOS. * El criterio del médico de turno de la U.C.I. es el predominante para determinar el ingreso del enfermo. * En circunstancias de ocupación total de las camas asignadas, corresponde al médico de turno de la U.C.I. tomar la decisión de ingresar y egresar pacientes de la Unidad. 1.5. CRITERIOS DE EXCLUSIÓN: * Los siguientes pacientes no deben ser considerados para su admisión en la U.C.I.: 1 Patología Primaria irreversible, tales como: CA terminal, VIH, falla orgánica múltiple y patologías del SNC que causan la muerte durante la hospitalización corriente. 2 Pacientes menores de 15 años de edad. 3 Pacientes que no requieren cuidado crítico de enfermeria (Ej. < de la relación 1:2 en cuidado de enfermeria según descripción en los criterios de enfermeria 1:1 o 1:2.) 4 Procedimientos diagnósticos y terapéuticos tales como broncoscopía y endoscopía. 1.6. CRITERIOS DE ADMISIÓN: * Los siguientes pacientes deben ser considerados para su admisión en la U.C.I.: 1 Pacientes que pasaron el criterio de exclusión. 2 Pacientes con intubación endotraqueal y que requieren ventilación mecánica o protección de la vía aérea por: pérdida del reflejo de la tos y/o pérdida del reflejo nauseoso y/o edema de glotis y/o traqueomalasia. 2
  • 25.
    TERAPIA INTENSIVA 3 Falla respiratoria inminente por: * Fatiga muscular (uso de músculos accesorios y taquipnea) y/o * Hipoxia aguda (PaO2 < 10 mmHg. del normal). * Evidencia radiográfica o endoscópica de estrechamiento de la vía aérea en asociación con estridor y/o * Hipercapnia aguda (pH < 7.3 con la correspondiente elevación de la PaCO2). 4.-Administración de drogas vasoactivas por vía intravenosa y que requieren monitorización invasiva, tales como: - Inotrópicos - Agentes alfa y beta adrenérgicos - Antihipertensivos 5.-Tratamiento del shock: a) Shock inminente -no respuesta a la administración de líquidos en bolos y a un mínimo de 1.500 ml. en 20 minutos. - Sindrome de Sepsis - Infarto de miocardio reciente (< 48 horas) - Neurogénico - Hipovolémico b) Shock manifiesto, con evidencia de - Trastorno mental y/o - Diuresis menor a 0,5 mi/kg/hora y/o - Presión arterial media menor a 65 mmHg. y/o - Presión arterial sistólica menor en 20 mmHg.del valor normal del paciente. 6.-Evaluación hemodinámica que requiere el uso de monitorizacion especializada de la U.C.I. tales como: * Swan-Ganz y/o * Presión intracraneal y/o * Hemofiltración arterio-venosa contínua y/o * Volumen expirado de C02 y/o * Medíción del V02 y VC02 y/o * Corrección rápida de trastornos electrolíticos (Cl K >15 mEq/hora). 7.-Otros pacientes con patologia específica, como: * Sobredosificación * Pacientes obstétricos/ginecológicos de alto riesgo * Quemados * Diálisis,cuando o donde no existan facilidades disponibles * Cirugia de alto riesgo, previa determinación de cada caso. 1.7. CRITERIOS DE ALTA DE PACIENTES EN LA U.C.I. 1. Pacientes con respiración espontánea: - Sin ventilación mecánica en la últimas 6 horas - Con vía aérea estable - Con reflejo tusígeno normal - Respiración sin signos de fatiga muscular (Ej. Uso de músculos accesorios, respiración paradojal). 3
  • 26.
    TERAPIA INTENSIVA 2. Pacientesque no esten recibiendo dosificación de drogas vasoactivas o antihipertensivos por un mínimo de tres horas. - Inotrópicos - Alfa y beta adrenérgicos - Antihipertensivos 3. Pacientes hemodinamicamente estables y manteniendo una infusión de líquidos menor a 25 ml/hora y: - Presión arterial media mayor de 65 mmHg y/o - Presion arterial dentro de los 10 mmHg del paciente normal y/o - Débito urinario mayor a 0,5ml/kg/hora, excepto en los pacientes con insuficiencia renal águda o crónica 4. Pacientes que no requieren evaluación hemodinámica. Ej: - Swan-Ganz y/o - Presión intracraneal y/o - Hemofiltración arterio-venosa continua y/o - Volumen espirado final de CO2 y/o - Cuantificacion del VO2, VCO2 y/o - Reposición rápida de electrolitos. 5. Pacientes mecánicamente ventilados y con casi ninguna posibilidad de rehabilitación. 1.8. MODELO DE ADMISIÓN POR DIAGNÓSTICOS : Este modelo se basa en un listado de condiciones o enfermedades específicas que determinan admisiones apropiadas a la UTI. 1.8.1. SISTEMA CARDIOVASCULAR: Shock cardiogénico. Infarto agudo de miocardio complicado. Arritmias complejas que requieren monitorización contínua e intervención. Insuficiencia cardiaca congestiva con falla respiratoria y/o que requieran soporte hemodinámico. Angina inestable con inestabilidad hemodinámica, arrítmias o dolor torácico persistente. Emergencias hipertensivas. Paro cardiaco reanimado. Taponamiento cardiaco o constricción con inestabilidad hemodinámica. Bloqueo AV completo u otro que requiera marcapaso. Aneurisma disecante de aorta. 1.8.2. SISTEMA RESPIRATORIO: Insuficiencia respiratoria aguda que requiera soporte ventilatorio. Falla respiratoria con intubación inminente. Embolia pulmonar con inestabilidad hemodinámica. Hemoptisis masiva. Obstrucción de la vía aérea post operatoria. Pacientes en Unidades de cuidado intermedio que inicien deterioro respiratorio. Necesidad de cuidados respiratorios de enfermería que no pueda brindarse en unidades de menor complejidad. 4
  • 27.
    TERAPIA INTENSIVA 1.8.3. TRASTORNOS NEUROLÓGICOS. Accidente Cerebrovascular con deterioro del estado de conciencia. Coma: metabólico, tóxico o anóxico. Hemorragia intracraneal con riesgo potencial de herniación. Hemorragia subaracnoidea aguda. Meningitis con alteración del estado de conciencia o compromiso respiratorio. Afecciones del SNC o neuromusculares con deterioro del estdo neurológico o de la función pulmonar. Estatus epiléptico. Muerte cerebral o muerte cerebral potencial en quienes estén siendo manejados agresivamente mientras se determina su condición de donante. Injuria cerebral aguda severa (TEC). Vasoespasmo cerebral. 1.8.4. SOBREDOSIS DE DROGAS: Ingestión de drogas con inestabilidad hemodinámica. Ingestión de drogas con alteración significativa del estado de conciencia. Ingestión de drogas con riesgo de aspiración pulmonar. Convulsiones post ingesta de drogas. 1.8.5. TRASTORNOS GASTROINTESTINALES. Hemorragia digestiva masiva incluyendo hipotensión, angina, sangrado incoercible o la presencia de condiciones co-mórbidas. Falla hepática fulminante o subfulminante. Pancreatitis aguda severa. Perforación esofágica con o sin mediastinitis. 1.8.6. SISTEMA ENDOCRINO: Cetoacidosis diabética con inestabilidad hemodinámica, alteración de la conciencia, insuficiencia respiratoria, acidosis severa y alteraciones hidroelectrolíticas graves. Tormenta tiroidea o coma mixedematoso con inestabilidad hemodinámica. Estado hiperosmolar con coma o inestabilidad hemodinámica. Hipercalcemia severa con alteración de la conciencia y necesidad de monitoreo hemodinámico. Hipo o hipernatremia con convulsiones y alteración de la conciencia. Hipo o hipermagnesemia con compromiso hemodinámico, de conciencia, convulsiones y/o arrítmias. Hipo o hiperkalemia con arrítmias o debilidad muscular severa. Hipofosfatemia con debilidad muscular. 1.8.7. QUIRÚRGICOS: Pacientes postoperados con necesidad de monitoreo hemodinámico, soporte ventilatorio y cuidado de enfermería intensivo (drenajes, ostomias, etc.). 1.8.8. MISCELÁNEAS: Shock séptico Monitoreo hemodinámico Condiciones clínicas con altos requerimientos de cuidados de enfermería (ej.uso de ventilación mecánica no invasiva, etc.). 5
  • 28.
    TERAPIA INTENSIVA Injurias ambientales (ahogamiento, hipo o hipertermia, radiación) Terapias nuevas o experimentales con potenciales complicaciones (trombolisis de infartos cerebrales, tromboembolismo pulmonar). Post operatorio de transplantes (renal, cardiaco, hepático, pulmonar). Cirugía en enfermedad pulmonar obstructiva crónica. 1.9. MODELO DE ADMISIÓN POR PARÁMETROS OBJETIVOS : Este modelo desarrollado por la Joint Commisión on Acreditation of Healthcare Organizations, con el objetivo de estandarizar la atención de salud y los protocolos de acreditación para ser aplicados en cada hospital en forma individual incluye: signos clínicos, parámetros laboratoriales e imagenológicos como criterios de ingreso a las Unidades de cuidados críticos, el mismo que ha sido recientemente revisado y modificado. Nuestra UTI , tomando en cuenta el tipo de pacientes y patologías que con mayor frecuencia requieren de sus servicios, podría también tomar como referencia este modelo de admisión. Cabe hacer notar, que los criterios que serán listados a continuación, mientras no se establezca un consenso, son arbitrarios, ya que no existen datos disponibles hasta el presente que algún criterio o rango específico haya demostrado mejoría en los resultados. 1.9.1. SIGNOS VITALES: Frecuencia de Pulso < 40 ó > 150 latidos por minuto. Presión arterial sistólica < 80 mmHg o 20 mmHg por debajo de la presión habitual del paciente. Presión arterial media < 60 mmHg. Presión arterial diastólica > 120 mmHg. Frecuencia respiratoria > 35 respiraciones por minuto. 1.9.2. VALORES DE LABORATORIO: Sodio sérico < 110 mEq/L ó > 170 mEq/L Potasio sérico < 2 mEq/L ó > 7 mEq/L PaO2 < 50 mmHg (6.67 kPa) pH < 7.1 ó > 7.7 Glucemia > 800 mg/dl Calcemia > 15 mg/dl Niveles tóxicos de drogas u otra substancia química en un paciente comprometido neurológica o hemodinamicamente. 1.9.3. IMAGENOLOGÍA: Hemorragia cerebrovascular, contusión, hemorragia subaracnoidea con alteración de la conciencia o focalidad neurológica. Ruptura de víscera, vejiga, hígado, várices esofágicas, útero, con inestabilidad hemodinámica. Aneurisma disecante de la aorta. 1.9.4. ELECTROCARDIOGRAFÍA: Infarto del miocardio con arrítmias complejas, inestabilidad hemodinámica o insuficiencia cardiaca congestiva. Arrítmias supraventriculares con inestabilidad hemodinámica. Taquicardia ventricular sostenida o fibrilación ventricular. 6
  • 29.
    TERAPIA INTENSIVA Bloqueo AV completo. 1.9.5. SIGNOS FÍSICOS DE COMIENZO AGUDO: Anisocoria más alteración de conciencia. Quemaduras mayor al 10 % de la superficie corporal. Anuria. Obstrucción de la vía aérea. Coma Status convulsivo. Cianosis. Taponamiento cardiaco. 1.10. BIBLIOGRAFÍA : • Society of Critical Care Medicine Task Force on Guidelines: Recommendations for intensive care unit admission and discharge criteria. Crit Care Med 1988; 16: 807-8. • Society of Critical Care Medicine Ethics Committee: Consensus statements on the triage of Critical Ill patients. JAMA 1994; 271: 1200-3. • Bone RC, Mc Elwee NE, Eubanks DH. Analysis of indications for intensive care unit admission- Clinical Efficacy Projects-American college of Chest Physicians. Chest 1993; 104: 1806-11. • Kollef MH, Shuster DP. Predicting ICU outcomes with scoring systems: Underlying concepts and principles. Critical Care Clinics 1994; 10: 1-18. • Zimmerman JE, Wagner DP, Knaus WA. The use of risk predictions to identify candidates for intermediate care units – Implications for intensive care utilization and cost. Chest 1995; 108: 490-9. • Bone RC. Consensus statement on the triage of critically patients. JAMA 1994; 271: 1200-3. • Kollef MH, Canfield DA, Zuckerman GR. Triage considerations for patients with acute gastrointestinal hemorrhage admitted to a medical intensive care unit. Crit Care Med 1995; 23: 1048-54. • Brett AS, Rothschild N, Gray-Rerry M. Predicting the clinical course in intentional drug overdose: Implications for the use of the intensive care units. Arch Intern Med 1987; 147: 133-7. • Acreditation Manual for Hospitals. Department of Publications JCAHO, Oakbrook Terrace, IL. Continuum of Care 1996; 155-60. • Task Force of the American College of Critical Care Medicine, Society of Critical Care Medicine. “Guidelines for intensive care unit admission, discharge and triage. Crit Care Med 1999; 27: 633-8. 7
  • 30.
    TERAPIA INTENSIVA 2. ARRITMIAS CARDIACAS * Dr. Oscar Vera Carrasco 2.1. DEFINICIÓN: Todos los ritmos cardiacos que no sean el ritmo sinusal corresponden a una arritmia. Se clasifican en hipoactivas e hiperactivas . 2.2. BRADICARDIA SINUSAL 2.2.1. DIAGNÓSTICO: • Frecuencia cardiaca menor a 60 latidos por minuto • ECG ondas P de morfología normal. • Ondas P positivas en DII. • Generalmente se presenta en deportistas, ancianos, en respuesta algunos fármacos e hipotermia. 2.2.2. TRATAMIENTO: Frecuencia cardiaca menor a 40 latidos por minuto acompañadas de hipotensión arterial sistémica: • ATROPINA 0.5 mg IV. Repetir cada 5 minutos hasta un máximo de 2 mg y obtener una frecuencia cardiaca de 60 por minuto, de lo contrario definir instalación de marcapaso, ante persistencia de compromiso hemodinámico. 2.3. TAQUICARDIA SINUSAL 2.3.1. DIAGNÓSTICO: • Frecuencia cardiaca mayor de 100 latidos por minuto. • ECG ondas P de morfología normal y positiva en DII • Generalmente asociada a fiebre, hipotensión, anemia, dolor, ansiedad, medicamentos. • Hipertiroidismo • Insuficiencia cardiaca. 2.3.2. TRATAMIENTO: • Manejo de la patología de base. 2.4. TAQUICARDIA SUPRAVENTRICULAR 2.4.1. DIAGNÓSTICO: • Frecuencia cardiaca entre 130 a 220 latidos por minuto. • Ritmo regular • Inicio y terminación súbita • Puede ocurrir en corazón sano y cardiopatías congénitas. • ECG: onda P picuda o invertida en DII, DIII y aVF. 2.4.2. TRATAMIENTO: • Masaje del seno carotídeo • VERAPAMILO 0,075 a 0,15 mg kg. peso I.V. disuelto en 20ml de agua destilada estéril o solución salina 8
  • 31.
    TERAPIA INTENSIVA isotónica, pasar en 3 minutos. Esperar la respuesta durante 10 minutos de lo contrario repetir la anterior dosis en 30 minutos. • DIGOXINA 0,25 a 0,50 mg I.V. puede requerirse hasta 1,25 mg. Para mantenimiento. 0.125mg- 0,25mg V.O. o I.V. • METOPROLOL 5 mg I.V. lento cada 5 minutos, máximo 3 dosis. • CARDIOVERSIÓN ELÉCTRICA si el paciente presenta compromiso hemodinámico severo, 150 joules. • PROCAINAMIDA 100mg I.V. cada 5 minutos sin pasar de 1g. en caso de taquicardia de complejos anchos (donde no se puede administrar digital ni verapamilo). • Otras posibilidades ADENOSINA 6 mg en bolo I.V. rápido, puede administrarse un segundo bolo I. V. de 12 mg rápido. 2.4.3. EVALUACIÓN DEL TRATAMIENTO: Se espera mejoría con cualquiera de los medicamentos y procedimientos de los anteriores de la fase aguda. Se continuará manejo crónico con : • VERAPAMILO 80-480 mg día V.O. en una o dos dosis. • DIGOXINA 0,125- 0,25mg V.O. día en una dosis. • METOPROLOL 50mg V.O. cada 6 horas por dos días y luego 100mg V.O. cada doce horas. 2.5. FLUTER (ALETEO) AURICULAR: 2.5.1. DIAGNÓSTICO: • Frecuencia auricular de 250-350 latidos por minuto • ECG patrón en diente de sierra en DII, DIII, aVF • Respuesta ventricular variable tipo 2:1 • Puede originarse en caso de valvulopatía mitral, hipertensión, embolia pulmonar, pericarditis, hipertiroidismo, EPOC, alcoholismo o idiopática. 2.5.2. TRATAMIENTO: • DIGOXINA • VERAPAMILO • METOPROLOL Aplicar en dosis iguales como en la Taquicardia supraventricular, así mismo como el manejo crónico. • CARDIOVERSION ELECTRICA 25-50 joules 2.6. FIBRILACIÓN AURICULAR 2.6.1. DIAGNÓSTICO: • Frecuencia auricular mayor de 350 latidos por minuto • ECG ausencia de ondas P • Intervalo R-R variable 9
  • 32.
    TERAPIA INTENSIVA • Línea isoeléctrica de morfología bizarra • Respuesta ventricular variable 2.6.2. TRATAMIENTO: Se inicia cuando la respuesta ventricular es mayor de 100 latidos por minuto asociada a la hipotensión arterial, falla cardiaca o angina recurrente. • DIGOXINA • VERAPAMILO: Dosis similares a las utilizadas en la taquicardia supraventricular. • CARDIOVERSIÓN ELÉCTRICA 25-50 joules, si hay compromiso hemodinámico. • Cardioversión farmacológica QUINIDINA 200 mg VO cada 2 horas por 5 dosis, el primer día y, 300 mg VO cada 2 horas 5 dosis el segundo día, y luego continuar con dosis de mantenimiento en forma crónica, 200- 400 mg VO cada 6 horas. • ANTICOAGULACIÓN: Indefinida en casos de fibrilación auricular asociada a Embolismo sistémico, Valvulopatía mitral, Cardiomiopatía dilatada, tirotoxicosis. 2.7. TAQUICARDIA AURICULAR PAROXÍSTICA CON BLOQUEO AURÍCULOVENTRICULAR 2.7.1. DIAGNÓSTICO: • Frecuencia auricular de 130-220 por minuto y la ventricular según el grado de bloqueo. • La causa en el 75% de los pacientes es la intoxicación digitálica. • Lonograma. 2.7.2. TRATAMIENTO: • Suspender el tratamiento digitálico • FENITOINA 13-18 mg kg.. peso disuelto en 100 ml de solución salina isotónica cada 5 minutos a una velocidad no mayor de 50 mg por minuto hasta que ceda la arritmia sin pasar de 600 mg. • Mantener el potasio sérico entre 4.5 y 5.0 mEq/l. 2.7.3. EVALUACIÓN DEL TRATAMIENTO: La crisis cede con el anterior tratamiento, posteriormente se evaluara la dosis de digital que continuará el paciente. 2.8. EXTRASÍSTOLES VENTRICULARES 2.8.1. DIAGNÓSTICO: • Trastorno del ritmo con pausa compensadora entre latidos normales. • Puede ocurrir en un corazón sano • Cuando son más de 10 por hora se asocia a enfermedad coronaria, HTA, EPOC y cardiopatías. • También se asocia con el alcoholismo, hipertiroidismo, hipocalcemia, prolapso de la válvula mitral. 2.8.2. TRATAMIENTO: En los siguientes casos. • Mas de 6 por minuto • Extrasístoles multifocales • Extrasístoles con fenómeno R en T • Extrasístoles pareadas. 10
  • 33.
    TERAPIA INTENSIVA LIDOCAINA 1 mg/kg. peso IV, como bolo inicial y luego seguir con 0.5 mg/kg. peso cada 5 minutos hasta un máximo de 300 mg. Simultáneamente iniciar infusión continua a dosis de 20-50 mcg/kg/minuto durante 36-48 horas, vigilando la aparición de hipotensión arterial, temblor y convulsiones.. METOPROLOL 5 mg IV, lento cada 5 minutos por 3 dosis, luego 50-100 mg VO cada 12 horas por tiempo indefinido según respuesta. 2.8.3. EVALUACIÓN DEL TRATAMIENTO: Se considera exitoso el tratamiento cuando las extrasístoles disminuyen en más del 83% 2.9. TAQUICARDIA VENTRICULAR 2.9.1. DIAGNÓSTICO: • Presencia de tres o más extrasístoles ventriculares consecutivas • Frecuencia cardiaca entre 100-180 latidos por minuto • Disociación AV en 85% • Asociada con cardiopatía isquemica, prolapso de la válvula mitral, miocarditis, trastornos hidroelectrolíticos 2.9.2. TRATAMIENTO: • CARDIOVERSIÓN ELÉCTRICA con 100-200 joules si hay compromiso hemodinámico. • LIDOCAINA igual que en la anterior arritmia • PROCAINAMIDA 100 mg IV cada 5 minutos hasta que ceda la arritmia, sin pasar de 1 gramo y continuar infusión a una dosis de 2-6 mg/minuto • QUINIDINA sostenimiento con 200-400 mg VO cada 6 horas por tiempo indefinido de acuerdo a respuesta. Nota: La maniobra del puño precordial puede inducir fibrilación ventricular, por lo tanto, solo se realizará si se dispone de un desfibrilador en forma inmediata. 2.10. FIBRILACIÓN VENTRICULAR 2.10.1. DIAGNÓSTICO: • Presencia de ondulaciones caóticas en la línea de base • Ausencia de complejos QRS • Ocurre en forma súbita en pacientes con isquemia o como fenómeno terminal de un corazón deteriorado • Lonograma, estado ácido-base 2.10.2. TRATAMIENTO: • Desfibrilación eléctrica con 200 joules, si no responde efectuar otros dos intentos con 300 a 360 joules e iniciar reanimación cardiopulmonar. • Lidocaína igual que en extrasístoles ventriculares durante 36 a 48 horas según evolución 2.11. BLOQUEO AURÍCULO-VENTRICULAR 2.11.1. BLOQUEO A-V DE PRIMER GRADO: DIAGNÓSTICO: • ECG: intervalo P-R mayor de 0,20 segundos 11
  • 34.
    TERAPIA INTENSIVA • P normal y predominantemente positiva en DII • Asociada a digital, hipertonía vagal, isquemia TRATAMIENTO: No requiere, a no ser que se asocie a bradicardia que comprometa el estado hemodinámico. 2.11.2. BLOQUEO A-V DE SEGUNDO GRADO: Es de dos tipos: 1. MOBITZ I: DIAGNÓSTICO: • ECG: P-R se alarga progresivamente hasta que desaparece un complejo QRS TRATAMIENTO: • No requiere a menos que se asocie a bradicardia y compromiso del estado hemodinámico. 2. MOBITZ II: DIAGNÓSTICO: • ECG: P-R constante con pérdida de latidos (QRS) ocasionales en secuencia 2:1,3:1,ó 4:1. TRATAMIENTO: • Requiere marcapaso transitorio transvenoso, hasta que pasen 48 horas sin trastorno de conducción AV 2.11.3. BLOQUEO AV DE TERCER GRADO: DIAGNÓSTICO: • ECG: No existe intervalo P-R • No hay relación entre ondas P y complejos QRS • Las aurículas y los ventrículos se contraen en forma independiente TRATAMIENTO: • Marcapaso transitorio transvenoso el cual se mantendrá por 10 días aproximadamente en los infartos de cara inferior. En los de cara anterior se evaluara la necesidad de marcapaso definitivo según evolución. 2.12. BIBLIOGRAFÍA : • Khan GM. Management of cardiac arrhythmias. En: M. Gabriel Khan. Cardiac Drug Therapy. Fifth edition. WB. Saunders. London 2.000; 247-88. • Task Force of the Working Group on Arrhythmias of the European Society of Cardiology. The Sicilian Gambit. A new Approach of Antiarrhythmic Drug Based on Their on Arrhytmogenic Mechanisms. Circulation 1991; 84 (4): 1831-51. • Bayés de Luna A, Cosín J. Diagnóstico y Tratamiento de las arritmias cardiacas. Editorial Doyma SA. Barcelona (España) 1978. 12
  • 35.
    TERAPIA INTENSIVA • Torres MJ, Romero MMA, Lopez GA, Mesa RMD, Montero PFJ, Jiménez ML. Arrítmias cardiacas. En: L. Jiménez M, FJ Montero P. Protocolos de actuación en Medicina de Urgencias. Editorial Mosby/Doyma . Madrid (España) 1996; 25-45. • Hammil S. Fármacos antiarrítmicos. En: Branderburg R, Fuster V, Giuliani E, eds. Cardiología: Fundamentos y práctica (ed esp.) Madrid, CEA 1989; 620-50. • Wesley RC, Resh W, Zimmerman D. Reconsiderations of the routine and preferential use of lidocaine in the emergent treatment of ventricular arrhytmias. Crit Care Med 1991; 19 (11): 1439-44. • Yusuf S, Wittes J, Friedman L. Overview of results of randomized clinical trials in heart disease. JAMA 1988; 2088-96. • Etastargel WW, Shand DG, Routledge PA, Barcowsky A, Wagner GS. Clinical comparison of rapid infusion and multiple injection methods for lidocaine loading. Am Heart J 1981; 102: 872-6. • Chow MS. Advanced cardiac life support controversy: where do antiarrhytmic agents fit in ?. Pharmacotherapy 1997; 17 (2) : 84 S- 88 S. • Singh BN. Advantages of beta-blockers versus antiarrhytmic agents and calcium antagonists in secondary prevention after myocardial infarction. Am J Cardiol 1990; 66: 9 C- 22 C. • Green Span AM, Spilman SR, Horoitz LN. Electrophysiology of esmolol. Am J Cardiol 1985; 56: 19 F – 26 F. • Vera C.O. Pautas para el manejo y tratamiento del infarto agudo de miocardio y sus complicaciones. Revista Médica. Órgano oficial del Colegio Médico Departamental de La Paz 1996; 3(2): 385-95. • Desal AD, Chun S, Sung RJ. The role of intravenous amiodarona in the management of cardiac arrhythmias. Ann Intern Med 1997; 127 (4): 294-303. • Nolan PE. Pharmacokinetics and pharmacodynamics of intravenous agents for ventricular arrhythmias. Pharmacotherapy 1997; 17: 65 S- 75 S. • Luce JM, Trohman RG. Arrhythmias in the Critically ill Patient. Crit Care Med 2.000; 28 : 10 (suppl): 115- 79. • Eisenberg MS, Mengert TJ. Cardiac Resuscitation. N Engl J Med 2.001; 344 (17): 1304-11. 13
  • 36.
    TERAPIA INTENSIVA 3. INFARTO AGUDO DE MIOCARDIO * Dr. Oscar Vera Carrasco 3.1. DEFINICIÓN: El infarto agudo de miocardio (IAM) es la necrosis del músculo cardiaco debida a un aporte insuficiente de sangre oxigenada. 3.2. FACTORES DE RIESGO: Los factores de riesgo de enfermedad coronaria incluido el IAM son a) Edad b) Sexo masculino c) Historia familiar d) Tabaquismo e) Hipertensión arterial sistémica f) Hipercolesterolemia g) Diabetes Mellitus h) Consumo de cocaína 3.3. CUADRO CLINÍCO: El diagnóstico de IAM se fundamenta en la demostración de criterios clínicos, electrocardiográficos, o enzimáticos de necrosis miocárdica. Al menos deben confirmarse dos de los tres criterios. 3.3.1. CLÍNICA: - Síntomas: presencia de dolor o molestia precordial sugestiva de isquemia miocárdica, que se prolonga durante más de 30 minutos. Generalmente el dolor es opresivo, intenso, en la región retroesternal, o precordial; puede irradiarse al brazo izquierdo o ambos brazos, a la región dorsal del tórax o a la mandíbula. No se modifica con los cambios posturales ni con la respiración. - Signos: es frecuente que se acompañe de diaforesis, la piel estará fría, náuseas o incluso vómitos, mareo o pérdida de conocimiento o disnea. El corazón puede presentar un soplo sistólico apical o de insuficiencia mitral, secundaria a disfunción de los músculos papilares. Además, puede escucharse galopes por un tercer (R3) o un cuarto (R4) ruidos cardiacos. En muchos casos la exploración física nos revela anomalías específicas. Los síntomas del IAM, pueden ser atípicos, lo que sucede con más frecuencia en los pacientes ancianos, diabéticos, o con enfermedades sistémicas severas. 3.3.2. ELECTROCARDIOGRAMA: 1. IAM de onda Q incluye lo siguiente: - Elevación del segmento ST: indica la existencia de un área de lesión. - Inversión de la onda T: signo de isquemia. - Ondas Q: indican áreas de infarto. El desarrollo de ondas puede producirse de forma precoz o no producirse durante varios días en el transcurso de la evolución del IAM. 14
  • 37.
    TERAPIA INTENSIVA 2. EL IAM sin onda Q: puede observarse elevación o depresión del segmento ST e inversión del segmento T. 3. Localización del infarto y anomalías del ECG: - Anterior V1- V4 - Anteroseptal V1- V2 - Anterolateral I, aVL, V4, V5, V6. - Lateral I, aVL - Inferior II, III, aVF - Posterior R>S en V1 3.3.3. PRUEBAS ENZIMÁTICAS: a) Isoenzima MB de la creatina fosfoquinasa (CPK-MB): se eleva entre las 3 y 36 horas de comienzo de los síntomas del IAM. Debe estar incrementada dos veces por encima del valor normal absoluto. b) Troponinas específicas del músculo cardiaco: las pruebas para la troponina I (cTnI) y la troponina T (cTnT) específicas del músculo cardiaco son incluso más sensibles y específicas que las CPK-MB para lesión miocárdica. Los niveles séricos de cTnI y cTnT aumentan a las 3-12 horas del IAM, llegan al máximo a las 24-48 horas y vuelven a los niveles basales a lo largo de 5-14 días. c) Enzima aspartato aminotransferasa (AST) : esta enzima anteriormente conocida como TGO se eleva entre las 8 y 12 horas después del IAM, con un pico a las 24 y 36 horas y se mantiene hasta los 3 a 5 días. d) Lactato deshidrogenasa (LD): antes conocida como LDH, esta elevada en la mayoría de los pacientes con IAM, no obstante es menos sensible que la CPK, y esta elevada en muchos trastornos clínicos. 3.4. EXAMENES COMPLEMENTARIOS: - ECG: debe practicarse diariamente, cada vez que el paciente presente dolor y después de posibles intervenciones. - Radiografía de tórax: se practica un estudio al ingreso. Ulteriores controles quedan a criterio de los médicos de la UTI. - Biometría y química sanguinea, hemograma, coagulograma, glucemia, NUS, creatininemia. - Gasometría arterial e ionograma. - Ecocardiografía: es recomendable realizar una ECO en la fase aguda. En determinadas circunstancias se precisa mayor número de estudios. - Estudios radioisotopicos, debe complementarse la gamagrafia con pirofosfato del 99mTc en caso de diagnóstico dudoso. 3.5. TRATAMIENTO: 3.5.1. MEDIDAS GENERALES: • Monitorización electrocardiográfica continua. Efectuar ECG completo al ingreso. • Canalizar una vía venosa preferentemente central. • Otras medidas: dieta, protección gástrica, sedación, tratamiento laxante y otros, de acuerdo al estado particular de cada paciente. • Movilización: es recomendable, en ausencia de complicaciones, iniciar movilización activa, a partir de las 24 horas de ingreso (sentar en un sillón). 15
  • 38.
    TERAPIA INTENSIVA 3.5.2. MEDICAMENTOS: •Evaluar las contraindicaciones para el uso de trombolíticos, bloqueantes beta adrenérgicos y ácido acetil salicílico. • En caso de no existir ninguna contraindicación para el uso de los anteriores fármacos tomando en cuenta el tiempo transcurrido desde el inicio de los síntomas, puede aplicarse el siguiente esquema de tratamiento. Antes de las 6 horas: angioplastía coronaria transpercutánea (ACTP), o estreptoquinasa o activador histico del plasminógeno (tPA), más heparina asociada a un bloqueante beta adrenérgico por vía IV y VO, y ácido acetil salicilico (AAS). Entre las 6 y 12 horas: estreptoquinasa asociada a AAS. A partir del 5 día agregar un bloqueante beta adrenérgico por vía oral. Después de las 12 horas: AAS; a partir del 5 día asociar un bloqueante beta adrenérgico por VO. • En caso de existir contraindicaciones para el uso de los anteriores fármacos, el tratamiento puede ser modificado de la siguiente manera. - Si hubiera contraindicación para el uso de trombolíticos en general, tratar de viabilizar la realización de angioplastia primaria hasta la 6ª hora después de iniciado el cuadro de IAM. - Si hubiera contraindicación para el uso de estreptoquinasa, utilizar tPA. - Si hubiera contraindicación para el uso de bloqueantes beta adrenérgicos, cancelar su utilización. - Si hubiera contraindicación para el uso de AAS, utilizar ticlopidina o suspender su uso. • Tratamientos en situaciones especiales. - En caso de disfunción ventricular severa Killip (III y IV), la indicación prioritaria deberá ser la reperfusión coronaria por angioplastia. - En pacientes con evidencia de disfunción ventricular y sin hipotensión arterial, utilizar inhibidores de la ECA. - En pacientes con signos de reoclución coronaria no reutilizar estreptoquinasa, administrar de preferencia tPA o angioplastía de rescate. - En pacientes mayores de 75 años, de preferencia debe utilizarse estreptoquinasa y evitarse el uso del tPA. - En presencia de infartos sin onda Q (infartos "no Q"), debe evitarse el uso de bloqueante beta adrenérgicos, pudiendo utilizarse diltiazem. • Uso de otros medicamentos: - Analgésicos: puede repetirse las medidas de tratamiento analgésico del servicio de urgencias, como ser: Morfina u otro analgésico por vía I.V.,en caso necesario. La meperidina puede ser una alternativa a la morfina en pacientes con estado vagal. - Nitroglicerina: siempre que se utilice debe hacerse en perfusión IV. Es de uso habitual en la mayoría de los pacientes por persistencia del dolor, hipertensión arterial o para reducir la precarga. La presión arterial debe controlarse estrictamente y el cese del tratamiento debe ser paulatino. No es necesario el uso de nitratos por vía oral o transdérmica posteriormente. - Bloqueantes de los canales de calcio: no están indicados como tratamiento rutinario en la fase aguda de IAM. Debe considerarse el uso de diltiazem en infartos sin onda Q con buena función ventricular. - Lidocaina: no se recomienda su empleo como profilaxis rutinaria de arritmias ventriculares. - Atropina: no se utiliza de rutina en el IAM, no complicado. No obstante se aplica en el síndrome hipervagal transitorio del infarto inferior o secundario a la administración de opiáceos. - Magnesio: no se recomienda su empleo en la fase aguda, a la vista de los resultados de estudios recientes. 16
  • 39.
    TERAPIA INTENSIVA 3.6. CONTRAINDICACIONES: Tromboliticos: a) Absolutas - Trauma reciente, cirugía mayor o traumatismo de cráneo anterior a las 6 semanas. - Hemorragia gastrointestinal. - Ulcera péptica comprobada hace menos de tres meses. - Discrasia sanguínea o insuficiencia hepática con hipertensión portal. - Alergia (estreptoquinasa o APSAC) - Tratamiento previo con estreptoquinasa o APSAC. - AVC (con déficit residual) isquemia cerebral transitoria en los últimos 6 meses o hemorragia cerebrovascular (en cualquier época) - Embarazo. b) Relativas - Enfermedad orgánica grave asociada con riesgo alto de hemorragia o embolia. - Hipertensión arterial no controlada: presión sistólica mayor de 200mmHg o diastólica mayor de 110mmHg. - Menstruación o lactancia materna activa. - Punción de arteria no compresible en los últimos 14 días. - Resucitación cardiopulmonar prolongada. - Retinopatía diabética proliferativa. Bloqueantes adrenérgicos beta : - Historia de asma bronquial. - Intervalo PR mayor a 0.24 segundos, bloqueo AV de segundo y tercer grado. - Estertores húmedos en más de un tercio de campos pulmonares, o sibilancias a la auscultación pulmonar. - Frecuencia cardiaca menor a 50 latidos por minuto. - Presión arterial sistólica por debajo de 95mmHg . - Presión capilar pulmonar por encima de 24 mmHg (no es necesaria la monitorización hemodinámica para el uso de bloqueantes beta adrenérgicos). Acido acetilsalicílico: - Alergia a AAS - Hemorragia digestiva - Enfermedad péptica activa. 3.6.1. DOSIS Y ESQUEMAS TERAPÉUTICAS: - Estreptoquinasa : 1.5 millones de unidades diluido en solución de dextrosa o solución salina isotónica en 60 minutos (no utilizar heparina). - Activador histico del plasminogeno (tPA): 15 mg en bolo. 0.75mg/kg. de peso en 30 minutos (no exceder de 50mg.) 0.50mg/kg. de peso en 60 minutos (no exceder de 35mg.) (Usar siempre con heparina IV.) - Heparina: 5.000 unidades IV en bolo, iniciar junto con tPA. 1.000 unidades por hora (si el peso es mayor de 80kg.. 1.200U/hora). Mantener kTTP 1,5 – 2 veces el valor normal (60 – 85 seg.) 17
  • 40.
    TERAPIA INTENSIVA - Acido acetilsalicílico: Dosis inicial : 500mg Dosis de mantenimiento : 200mg VO Iniciar luego que sea posible. - Metoprolol: 5 mg IV tres dosis cada 10 minutos, total 15 mg. 50 mg VO 6 horas después de la anterior dosis. 50 mg VO cada 12 horas después del segundo día. 100 mg VO cada 12 horas después del segundo día. - Captopril: Dosis inicial . 6,25 mg, incrementar progresivamente hasta 25 mg cada 4 horas al día o 50 mg cada 12 horas al día. 3.7. ALTA DE LA U.T.I. : Se recomienda en ausencia de complicaciones, en pacientes de bajo riesgo y tras la constatación de buena tolerancia a la movilización, el cese de la monitorización electrocardiográfica y el traslado al servicio de hospitalización cardiológico general a los 2 o 3 días de ingreso. En caso de disponerse de unidad de cuidados intermedios en el INT, puede variarse los anteriores criterios. 3.8. MANEJO Y TRATAMIENTO DE LAS COMPLICACIONES DEL IAM. 3.8.1. COMPLICACIONES MECÁNICAS : • Rotura aguda de la pared libre: esta complicación rara vez permite medidas terapéuticas efectivas. No obstante, puede intentarse cirugía si se mantiene minimamente constantes hemodinámicas luego de medidas urgentes de reanimación y pericardiocentesis. • Rotura subaguda de pared libre: el diagnóstico debe confirmarse por ecocardiograma, luego practicarse cirugía de urgencia. La pericardiocentesis, con extracción de pequeñas cantidades de sangre (el mínimo que permita una estabilización hemodinámica) puede contribuir a mantener la vida del paciente en casos de taponamiento severo hasta el tratamiento quirúrgico.No existe criterio uniforme respecto al masaje cardiaco en esta complicación. • Rotura de tabique interventricular: el diagnóstico clínico debe confirmarse por -ECO -2D y doppler. El tratamiento es la cirugía precoz. El tratamiento médico solo juega el papel de intentar mantener el paciente en las mejores condiciones hemodinámicas y metabólicas posibles antes de la intervención quirúrgica. • Insuficiencia Mitral aguda: en los casos con grave compromiso hemodinámico debe tratarse quirúrgicamente de forma urgente. Cuando los casos son menos severos, el tratamiento quirúrgico puede diferirse hasta la estabilización médica del cuadro y la realización de procedimientos diagnósticos complementarios como: ecocardiograma, transesofágica o cateterismo. Existe también un lugar para la angioplastía precoz para algún caso de insuficiencia mitral isquémica sin rotura. 18
  • 41.
    TERAPIA INTENSIVA • Seudoaneurisma: puede reconocerse en ocasiones como una protrución del borde izquierdo del corazón en Rx. El diagnóstico se efectúa mediante ECO-2D, ventriculografía isotópica o de contraste, TAC o RM. El tratamiento es la resección quirúrgica, independientemente de su sintomatología, tamaño o localización. 3.8.2. COMPLICACIONES TROMBOEMBÓLICAS. Trombosis intracavitaria: se recomienda la anticoagulación con heparina, seguida de anticoagulación oral en : a) IAM anteriores extensos. b) Insuficiencia cardiaca congestiva. c) Trombosis mural documentada. d) Grandes aneurismas apicales o segmentos disquinéticos. En estos pacientes se indica el uso precoz de heparina sódica por vía IV durante 4 días (a PT 1,5-2 veces el testigo), seguido de anticoagulación oral de 3 a 6 meses, (INR de 2 a 3.) Embolismo pulmonar: en situación clínica estable, el tratamiento es la heparina sódica, por vía IV. Si existe compromiso hemodinamico, esta indicada fibrinolísis y el resto de medidas especificas de esta entidad. Embolismo cerebral: no existe acuerdo unánime respecto a la anticoagulación, por lo que se deja a criterio de cada hospital. Embolismo periférico: el tratamiento incluye la anticoagulación y las medidas específicas según la localización 3.8.3. PERICARDITIS POSTINFARTO. Pericarditis precóz: el tratamiento de elección es el ácido acetilsalicílico por vía oral o IV en dosis de 3 a 6 g al día durante 4 a 5 días. Si no es efectivo puede utilizarse indometacina o prednisona (40 mg en dosis única). Pericarditis tardía o síndrome de Dressler: el tratamiento es el mismo que en la pericarditis precoz. Sin embargo, el síndrome de Dressler tiende a presentarse en forma recurrente, en cuyo caso resulta efectiva la colchicina (0,5 – 1 mg/día). 3.8.4. TRASTORNOS DEL RITMO Y DE LA CONDUCCIÓN. Taquiarritmias : - Taquicardia sinusal: el tratamiento debe ir dirigido a corregir las causas (analgésicos, sedantes, diuréticos, fluidoterapia, etc.). Si no se logra una disminución de la frecuencia cardiaca esta indicado el uso de betabloqueantes (Ej. Atenolol vía oral o IV). Si la causa es la insuficiencia cardiaca el tratamiento será el de la disfunción ventricular. - Fibrilación y fluter auricular: el tratamiento depende de los efectos de estas arritmias sobre la situación clínica del paciente. En los casos en los que exista una rápida respuesta ventricular con compromiso hemodinámico y aparición de bajo gasto cardiaco o edema pulmonar, debe tratarse con cardioversión eléctrica urgente Si la tolerancia es buena, esta indicada la digitalización rápida. Otras alternativas son los bloqueantes beta adrenérgicos, Verapamilo o Amiodarona, siempre que el estado de la función ventricular no lo desaconseje. 19
  • 42.
    TERAPIA INTENSIVA - Otrasarritmias supraventriculares: a) Taquicardia auricular de foco ectópico: por su elevada frecuencia y duración precisa cardioversión eléctrica. Si su origen no es la intoxicación digitálica, el tratamiento puede ser Amiodarona. b) Taquicardia de la unión A-V: puede considerarse el empleo de la digital o el Verapamilo, dependiendo del estado hemodinámico. Si estos son ineficaces esta indicada la cardioversión eléctrica. c) Ritmos acelerados de la unión: son arritmias generalmente benignas que se asocian a infarto inferior, con frecuencia de 60 a 120 por minuto y que no suelen precisar tratamiento. Extrasistolia ventricular (EV): requieren terapia específica los que cumplen alguno de estos criterios: a) frecuencia superior a 6 por minuto. b) intervalo de acoplamiento corto (fenómeno de R sobre T) c) configuración, multiforme y d) presentación en salvas cortas. El tratamiento de elección es la lidocaina, la misma que se administra en dosis 1mg/kg. peso, que puede repetirse en bolos de 0,5 mg/kg. peso, sin sobrepasar los 4mg/kg. peso. El mantenimiento se logra con perfusion IV de 20 a 50 mcg/kg/minuto. Otras alternativas son la procainamida y la amiodarona por vía IV. Taquicardia ventricular (TV): El tratamiento de la TV polimorfa esta condicionada sobre todo por su repercusión hemodinámica ligada a su frecuencia y al estado de la frecuencia ventricular. Si la TV precipita de inmediato un estado de grave deterioro hemodinámico, el tratamiento es la cardioversión eléctrica o la desfibrinación. Cuando su repercusión no es tan dramática, el tratamiento de elección es la lidocaina o la procainamida. Si no se obtiene respuesta puede emplearse la sobreestimulación o la cardioversión eléctrica. Otras drogas alternativas pueden ser la amiodarona, el D-sotalol y los bloqueantes beta adrenérgicos. El tratamiento de la TV monomorfa no suele requerir choque eléctrico debido a su menor frecuencia, empleándose las drogas ya citadas en el tratamiento de la EV y la TV polimorfa. Si no se obtiene respuesta o es muy recidivante se puede intentar la sobreestimulación con catéter- marcapaso. Ritmo idioventricular acelerado (RIVA): por lo general no requiere tratamiento alguno. Cuando aparece en curso del IAM inferior como ritmo de escape y si su baja frecuencia produce alteración hemodinámica, está indicado restaurar el ritmo sinusal con atropina IV. Si se observa una aceleración de la frecuencia por encima de 120 latidos/minuto, para prevenir que degenere en TV, debe tratarse con lidocaina. Fibrilación ventricular (FV): el tratamiento es la desfibrilación inmediata. La celeridad en la aplicación del choque eléctrico tiene prioridad sobre cualquier maniobra o medicación. Se sugiere aplicar un primer choque de 200 watios/segundo e incrementar la intensidad en los siguientes hasta 400 w/seg. si no resulta efectivo. La persistencia y la recidiva reiterada de la FV precisan el empleo de dosis repetidas de lidocaina (1mg/kg. peso) o tosilato de Bretilio (5 mg/kg peso), o bien Procainamida o Magnesio por vía IV. BRADIARRITMIAS Bradiarritmias sinusales: cuando ocasionan alteraciones hemodinámicas, el tratamiento inicial es la atropina en dosis de 0,5 mg, repetidos cada 5 minutos hasta un máximo de 2 mg. Si la arritmia persiste esta indicado transitoriamente el uso de Isoproterenol en tanto se coloca, un electrocatéter en aurícula o ventrículo derecho. 20
  • 43.
    TERAPIA INTENSIVA Bloqueos aurículo ventriculares (BAV) : a) BAV de grado I: no precisa tratamiento; únicamente debe vigilarse su posible progresión a grados de bloqueo más avanzados y evitar en lo posible las drogas depresoras de la conducción. b) Bloqueo AV grados II y III: en el IAM iferior el bloqueo AV grado II no requiere tratamiento alguno, salvo vigilancia para detectar el paso a bloqueo más avanzado. El bloqueo AV grado III cuando mantiene una frecuencia de 50 o más latidos por minuto, no precisa tratamiento. Cuando la frecuencia cardiaca es inferior a 40 o da lugar a sintomatología, el tratamiento inicial es la atropina IV en dosis ya citada, anteriormente, y si persiste la bradicardia extrema, infusión de isoproterenol para mantener una frecuencia adecuada mientras se coloca un electro catéter para estimulación con marcapaso intravenoso. Si existe compromiso hemodinámico agudo, se recomienda hasta la introducción de electro catéter, el uso de marcapaso. En el IAM anterior : el tratamiento en ambos grados de bloqueo es la colocación de un marcapaso intravenoso. Si existe compromiso hemodinámico agudo, se recomienda hasta la introducción de electrocatéter, el uso de marcapaso transcutáneo o infusión de Isoproterenol. En presencia de fallo ventricular izquierdo, sobre todo en el IAM anterior, se recomienda la estimulación secuencial. 3.9. INDICACIONES DE MARCAPASO TEMPORAL EN EL IAM. - Asistolia - Bloqueo AV de tercer grado. - Bradiarritmias sinusales o de la unión AV severas que no respondona la atropina. - Bloqueo trifascicular. - Bloqueo bifascicular. - Bloqueo de rama izquierda completo. - Supresión de taquiarritmias supraventriculares y ventriculares por sobreestimulación. 3.10. INSUFICIENCIA CARDIACA Y CHOQUE CARDIOGÉNICO. 3.10.1. MONITORIZACIÓN HEMODINÁMICA: Los criterios para realizar monitorización hemodinámica en el IAM no deben ser rígidos; cada U.C.I. o Unidad coronaria debe definir los suyos propios, no obstante, se aconsejan los siguientes: - No esta indicada en el IAM no complicado (en ausencia de cualquier signo clínico o radiológico de insuficiencia cardiaca). - Puede ser recomendable cuando existe algún criterio clínico o radiológico de insuficiencia cardiaca (considerar la implantación de un catéter de Swan- Ganz). - Es necesaria, para la correcta orientación terapéutica en los siguientes casos: o Enfermos con insuficiencia cardiaca grave (clase funcional III y IV de Killip y C-IV de Forrester). o Insuficiencia cardiaca refractaria al tratamiento médico convencional. o Enfermos en clase funcional C- III de Forrrester; particularmente si experimentan empeoramiento clínico y ante la sospecha de cualquier complicación mecánica. - La implantación de una vía intraarterial, solo es necesaria en pacientes con tensión arterial difícil de determinar mediante esfignomanometria y en los casos en los que existe vasoconstricción periférica muy importante. En todos los casos debe practicarse, además estudio ecocardiográfico y en los casos graves con carácter urgente. 21
  • 44.
    TERAPIA INTENSIVA 3.11. INSUFICIENCIACARDIACA CON CONGESTIÓN PULMONAR SIN PERFUSIÓN PERÍFÉRICA: - El tratamiento de elección son los diuréticos y los vasodilatadores venosos o mixtos.Si la situación clínica lo permite, pueden emplearse diuréticos y nitratos de acción prolongada o inhibidores de la ECA. - Cuando la sintomatología exige una actuación rápida o el deterioro hemodinámico es severo, es preferible el empleo de nitroglicerina IV o nitroprusiato. Si existe hipotensión arterial el empleo de nitroglicerina y especialmente de nitroprusiato puede ser peligroso, por lo que el tratamiento se inicia con dosis bajas o se administra dobutamina o dopamina de forma simultánea. - En presencia de insuficiencia respiratoria o hipoxemia severas, debe recurrirse a la asistencia ventilatoria mecánica. 3.12. INSUFICIENCIA CARDIACA CON CONGESTIÓN PULMONAR CON HIPOPERFUSION PERIFÉRICA: Si no existe hipotensión arterial, el fármaco de elección es la nitroglicerina IV. El nitroprusiato debe reservarse para los pacientes con hipertensión arterial y signos de congestión pulmonar e hipoperfusión periférica . El empleo de diuréticos debe realizarse con cautela. Si existe hipotensión arterial (TA sistólica menor a 100 mmHg), los fármacos de elección son la dobutamina y la dopamina o la combinación de ambos. Si se consigue mantener cifras adecuadas de presión arterial (TA sistólica mayor a 100mmHg) puede asociarse a nitroglicerina IV y diuréticos. 3.13. HIPOPERFUSIÓN PERIFÉRICA SIN CONGESTIÓN PULMONAR: El tratamiento consiste en el aporte adecuado de líquidos. Si existe hipotensión arterial y la respuesta a lo anterior no es adecuada, esta indicada la administración de dobutamina o dopamina. 3.14. DISFUNCIÓN ISQUÉMICA DEL VENTRÍCULO DERECHO: Cuando existe hipotensión arterial o signos de hipoperfusión periférica, la administración de líquidos (Dextrano, Solución salina isotónica) es la primera medida terapéutica , si no existen signos de congestión pulmonar. La administración de líquidos es más efectiva cuando en situación basal la presión capilar pulmonar es inferior a 15mmHg . Si esta medida es insuficiente, esta indicada la administración de dopamina y/o dobutamina. En las formas más graves de disfunción ventricular cuando existe bloqueo AV completo, puede plantearse la estimulación AV sincronizada. 3.15. CHOQUE CARDIOGÉNICO: Ante la evidencia de manifestaciones clínicas de shock, es necesario corregir los posibles factores asociados, realizar monitorización hemodinámica y un estudio ecocardiográfico. Una vez descartada las causas mecánicas del mismo, debe optimizarse la pre y post carga antes de instaurar el tratamiento habitual con inotropicos (Dobutamina y Dopamina) por vía intravenosa. En los casos en los que no se obtenga una respuesta evidente, se debe considerar las medidas de asistencia circulatoria mecánica con contrapulsación aórtica. Dada elevada mortalidad del shock cardiogénico a pesar de las medidas anteriores, debe practicarse estudio hemodinámico y revascularización si procede (dentro de las 12 horas después del inicio del episodio isquemico y cuando no existe afectación multiorgánica) en un centro que disponga de infraestructura para realizarla. 22
  • 45.
    TERAPIA INTENSIVA En caso de precisarse un traslado, debe valorarse la relación riesgo – beneficio. Por último, en casos excepcionales el transplante cardiaco puede considerarse como una alternativa de tratamiento. 3.16. COMPLICACIONES ISQUÉMICAS: 3.16.1. ISQUEMIA SILENTE: Incluye cualquier tipo de manifestación de isquemia no acompañada de angina. El método más sencillo para su detección es el ECG convencional de 12 derivaciones. Su identificación en principio implica la instauración de tratamiento antiisquémico. No obstante, es el grado de severidad de la isquemia el parámetro que influirá en las decisiones diagnósticas o terapéuticas cruentas (coronariografía y revascularización). 3.16.2. ANGINA POSTINFARTO : Se define como la que aparece después de las 24 horas del IAM y durante su primer mes de evolución. Su identificación constituye una indicación de iniciar tratamiento antiisquémico, empleando nitratos, bloqueantes beta adrenérgicos,antagonistas de calcio, de forma aislada o en combinación, además, debe prologarse la estancia o reingresar al paciente en la U.C.I. o Unidad coronaria hasta la estabilización. Si la isquemia es severa o persiste, estaría indicada la administración de nitroglicerina intravenosa. En caso de persistir la isquemia a pesar de las anteriores medidas, esta indicado la práctica de coronariografía, que solo será urgente cuando exista la posibilidad de realizar algún procedimiento de revascularización inmediatamente después del cateterismo. 3.16.3. REINFARTO: Es un nuevo episodio de necrosis miocárdica en el mismo territorio que el episodio inicial, después de transcurridas las primeras 24 horas de evolución y generalmente es secundario a un nuevo episodio de oclusión trombótica de la arteria responsable del primer infarto. El diagnóstico se basa en la presencia de los 3 criterios clásicos de infarto. Como tratamiento se tiene a la trombolisis similar al episodio inicial. El trombolitico de elección será el utilizado en cada hospital, pero si ya se realizó trombolísis previa con estreptoquinasa APSAC, es preferible el empleo de rt-PA o uroquinasa. 3.17. INDICACIONES DE CINECORONARIOGRAFÍA, ANGIOPLASTIA Y CIRUGÍA: 1. CINECORONARIOGRAFÍA: no se recomienda cinecoronariografia de rutina en todos los pacientes con IAM. Se sugiere este estudio solamente en aquellos pacientes que presentan manifestaciones de isquemia persistente por clínica o electrocardiografía en reposo o de esfuerzo o cuando existe signos de mala función ventricular. 2. ANGIOPLASTIA PRIMARIA: no se considera como tratamiento de elección en el IAM, por sus limitaciones logísticas. Donde exista disponibilidad de la misma, debe contemplarse en infartos anteriores extensos o con mala función ventricular izquierda y en casos de contraindicación de trombolisis. 3. ANGIOPLASTÍA Y CIRUGIA ELECTIVAS: la indicación de angioplastía y cirugía deberá ser efectuada previa evaluación de los datos clínicos y angiográficos. La evaluación de isquemia en pacientes asintomáticos debe realizarse como un test ergométrico limitado por síntomas, a partir del 10° día del IAM. La centellografía miocárdica deberá ser utilizada solamente en aquellos casos que necesiten esclarecimientos especiales. Además de las situaciones de revascularización señaladas anteriormente, la cirugía en el IAM constituye el tratamiento de elección y con carácter de urgencia en las complicaciones mecánicas. 23
  • 46.
    TERAPIA INTENSIVA 3.18. BIBLIOGRAFÍA: • Medicina Crítica: Manejo del infarto agudo de miocardio.ILDIBA 1991; V(11): 7-10. • Pasternak RC, Braunwald E, Sobel BE. Acute myocardial infarction. En: Braunwald E. ed. Herart Disease. filadelfia: Saunders, 1992; 11: 1200-91. • Lopez-Sendon J, Armada E, Gallego P, coma-Canella I. Infarto agudo de miocardio. Diagnóstico y complicaciones. Medicine 1993; 6 (42): 1851-55. • Alegría Esquerra E, Lopez Bescos L, Asin Cardiel E, Cabadés O'Callaghan A, San José Garagarza JM. Normas de actuación en el paciente con infarto agudo de miocardio. Rev Esp Cardiol 1994; 47 (supl 1): 72-6. • Rotinas Medicas do Servico de Cardiologia do Hospital Sao Francisco de Porto Alegre-Brasil, 1995. • Marder VJ, Sherry S. Trombolytic therapy. Current status. N Engl J Med 1998; 318: 1512-20. • The International Study of Infarct Survival Collaborative Group. ISIS-3. A randomised comparison of streptokinase vs. tissue plasminogen activator vs. anistreplase and of aspirin plus heparin vs. aspirine alone among 41.299 cases of suspected acute myocardial infarction. Lancet 1992; 339: 753-770. • Lopez-Sendon J, Armada E, GallegomP, Coma-Canella I. Tratamiento de la fase aguda del infarto de miocardio. Medicine 1993; 6 (42): 1857-66. • The MIAMI Trial Research Group: Metoprolol en acute myocardial infarction (MIAMI). Am J Cardiol 1985; 56: 1G-57G. • Rippe JM. Intensive Care Medicine, Second Edition. Little Brown and Company, Boston, 1991. • Parrillo JE: Current Therapy in Critical Care Medicine. Second. BC Decker Inc.,Philadelphia, 1991. • Froufe J, Lopez-Sendón J, Figueras BJ, Dominguez de Rozas JM, Quintana DJF, Vasquez RC. Infarto agudo de miocardio complicado. Rev Esp Cardiol 1994; 47: 27-45. • MancusomGM, Vecek JL, Forker AD. Adjuntive medical therapy for acute infarction. PGM 1994; 94 (4): 97- 102. • Lopez de Sá E, Lopez-Sendón J, Roldan I, et al. Risk factors for systemic embolism after acute myocardial infarction. Prospective multicenter study. Circulation 1990; 82-74. • Lopez-Sendón J, et al. Efectividad de los diferentes fármacos trombolíticos en el tratamiento del infarto agudo de miocardio. Rev Esp Cardiol 1995; 48 (6): 407-33. • Pfeffer MA, Braunwald E, Moyé LA. Effect of captopril on mortality in patients with left ventricular dysfunction after myocardial infarction. Results of the Survival and Ventricular Enlargement Trial. N E$ngl J Med 1992; 327: 669-77. • Swedberg K, Held P, Kjekshus J, et al. Effects of early administration of enalapril on mortality in patients with acute myocardial infaction. Results of the Cooperative New Scandinavian Enalapril Survival Study II (CONSESUS II). N Engl J Med 1992; 327: 678-84. • Forrester JS, Diamond G, Swan HJC. correlative classification of clinical and hemodynamic function after acute myocardial infarction. Am J Cardiol 1977; 39: 137. • Killip T, Kimball TJ. Treatment of myocardial infarction in coronary unit. A two year experience with 250 patients. Am J Cardiol 1967; 20: 457-64. • The Multicenter Diltiazem Post Infarction Trial Research Group. The effect of diltiazem on mortality and reinfaction after myocardial infaction. N Engl J Med 1988; 319: 385-92. • ISIS-2 (Second International Study of Infarct Survival) collaborative group Randomised trial of intravenous streptokinase, oral aspirin, both or neither among 17.187 cases of suspected acute myocardial infarction: ISIS-2. Lancet 1988; 2: 349-60. • Selig MB. Acute myocardial infarction. An updated protocol for thrombolytic therapy. PGM 1992; 1: 209-24. • Rotman M, Wagner GS, Wallace AG. Bradyarrhytmias in acute myocardial infaction. Circulation 1972; 45: 703. 24
  • 47.
    TERAPIA INTENSIVA • Kleiman RB, Miller JM, Buxton AE, et al. Prognosis following sustained ventricular tachycardia occurring early after myocardial infarction. Am J Cardiol 1988; 62: 528. • Zoll PM, Zoll RH, et al. External non- temporary cardiac pacing: clinical trials. Circulation 1985; 71: 937. • DeWood MA, Spores J, Berg J Jr., Kendall RW, Grunwald RP, Seleinger SL, et al. Acute myocardial infarction: A decade of experience with surgical reperfusion in 701 patients. Circulation 1983; 68 (Supl 2): 8-16. • From RE Jr.,Varon J. Trastornos cardiovasculares. En: Joseph Varon.Cuidados intensivos. Editorial Mosby/Doyma. Madrid (España) 1995. • Coury Pedrosa R. Aspectos Clínicos do Infarto Agudo do Miocardio. En:David CM, Goldwasser R, Nácul FE. Medicina Intensiva: Diagnóstico e tratamento. Editorial Revinter. Rio de Janeiro (Brasil) 1997. • Marino PL. Tratamiento precoz del Infarto de Miocardio Agudo.En: Paul L. Marino. El Libro de la UCI. 2a. edición Editorial Masson-Williams and Wilkins. Barcelona(España) 1998; 525-40. • Smith SC, Goldberg AC. Cardiopatía isquémica. En: Shubhada N. Ahya, Kellie Flood, Subramanian Pranjothi. El Manual Washington de Terapéutica Médica. 30ma.edición. Editorial Lippincott Williams and Wilkins.2001; 103-23. 25
  • 48.
    TERAPIA INTENSIVA 4. PARO CARDIACO. *Dr. Williams Panique Rojas 4.1. DEFINICIÓN: El paro cardiaco es el cuadro clínico caracterizado por la detención súbita de la función cardiaca en una persona con o sin enfermedad cardiaca previa, pero cuya muerte no se esperaba en ese momento. 4.2. ETIOLOGÍA: 4.2.1. ALTERACIÓN DE LA ACTIVIDAD ELÉCTRICA: Fibrilación ventricular. Asistolia. Taquicardia ventricular. Bloqueo cardíaco completo. 4.2.2. ALTERACIÓN DE LA CONTRACTILIDAD: Infarto miocárdico. Falla cardiaca. Hipoxia. Acidosis. Trastornos electrolíticos. Efectos de drogas. 4.2.3. ALTERACIÓN DEL RETORNO VENOSO O DEL DÉBITO CARDÍACO: Hipovolemia. Taponamiento cardíaco. Aumento de la capacitancia venosa. Compresión vena cava. Embolia pulmonar. Ruptura del miocardio. Aneurisma disecante. 4.3. CUADRO CLÍNICO: Se caracteriza por pérdida de la conciencia, ausencia de pulsos en las grandes arterias (carótida y femoral), paro respiratorio, cambios de coloración en la piel y mucosas (palidez y luego cianosis) y midriasis. 4.4. TRATAMIENTO: 4.4.1. REANIMACIÓN CARDIOPULMONAR BÁSICA: Fase I: A. B. C. (vía aérea, respiración y circulación) Despertar al sujeto. Buscar ayuda. Abrir las vías aéreas. Ventilar. 26
  • 49.
    TERAPIA INTENSIVA Palpar pulso carotídeo. Realizar compresión torácica. Vigilar el pulso. Fase II: Apoyo vital avanzado: D, E, F (drogas, electrocardiograma, tratamiento de la fibrilación). Monitorización electrocardiográfica. Desfibrilación y cardioversión. Mantenimiento de la vía aérea y el tratamiento con oxígeno. Vía de administración farmacológica. Adrenalina. Bicarbonato. Antiarrítmicos: Lidocaina. Bretilio Procainamida. Atropina. Calcio. Tratamiento con marcapaso. Isoproterenol. Fase III: Reanimación cerebral. La fase III de la RCPC es la reanimación a largo plazo, es decir, la reanimación con cuidados intensivos para el fracaso multiorgánico. Consiste en una combinación de pasos, para memorizar los cuales hemos ampliado el alfabeto: G. Para graduación (es decir, evaluación y selección de los cuidados intensivos); H. Humanización del resultado final mediante medidas de reanimación cerebral I. Tratamiento intensivo para reanimación general. 4.4.2. SOPORTE CARDIOVASCULAR Y PULMONAR: Medidas inmediatas. Evitar la hipoperfusión: restaure volumen sanguíneo-bomba-presión. Insertar sonda vesical y catéter de PVC; catéter arterial opcional. Mantener y optimizr la presión arterial, PVC, flujo urinario (FU) (mantenga un FU superior a 0.5 ml/kg/hora). Monitorizar el ECG, evite/controle las arritmias (fármacos antiarrítmicos, marcapasos, cardioversión). Monitorizar y normalizar (optimizar) la temperatura corporal. Cuidar el tubo y el manguito traqueales, extubación. Mantener y optimizar la p02, pC02, pH y EB arteriales. Comenzar con FI02 del 90 - 100 %; luego disminuir a 50 % tan pronto como sea posible. 4.4.3. SOPORTE MULTIORGÁNICO: RESUMEN DE REANIMACIÓN PROLONGADA: Fase III de la RCPC Soporte cardiovascular-pulmonar (para pacientes conscientes o inconscientes). Variables más importantes para monitorizar y controlar durante la fase crítica postagresión: Normotensión, hiperoxia, hipocapnia, hemodilución moderada, hiperglucemia moderada. Normalidad de electrolitos, osmolalidad en sangre, equilibrio hídrico. PIC (en casos seleccionados), prevención/control de las convulsiones. 27
  • 50.
    TERAPIA INTENSIVA 4.4.4. SOPORTE RENAL. 4.4.5. SOPORTE HEPÁTICO/DIGESTIVO. 4.4.6. HEMORRAGIA/COAGULACIÓN. TP, TTPa, recuento de plaquetas, tiempo de trombina fibrinógeno, productos de degradación de la fibrina (¿CID?) 4.5. PAUTAS DE REANIMACIÓN ESTÁNDAR ORIENTADA AL CEREBRO EN CASO DE COMA. 4.5.1. HOMEOSTASIS EXTRACRANEAL: 1.- Controlar la PAM y normalice el volumen sanguíneo con vasopresores/vasodiltadores y líquidos i.v. 2.- Inmovilización con dosis “suavizantes” (no totalmente paralizantes) si es necesario, para facilitar la ventilación controlada. 3.- Controlar (esencial) o prevenir (opcional) la agitación, las contracturas y las convulsiones: 4.- Mantener la C02 arterial en 25 - 35 mmHg durante la ventilación controlada, 20 - 40 mmHg durante la respiración espontánea. 5.- Mantener el pH arterial en 7.3 - 7.6 (con ventilación y NaHC03 i.v. según las necesidades). 6.- Mantener la p02 arterial por encima de 100 mmHg con FI02 del 90 - 100 % después de 1 - 6 horas, FI02 del 50 % PEEP mínima durante el coma. 7.- Administrar corticosteroides (opcional). 8.- Control de las constantes sanguíneas. 9.- Mantener la normotermia, evitar la hipertermia. 10.- Administrar líquidos I.V. no solamente dextrosa en agua. 4.5.2. HOMEOSTASIS INTRACRANEAL: 1. Descartar lesión ocupante de espacio. 2. Monitorizar la PIC. 3. Monitorización (opcional) EEG regular. EEG computarizado (monitorización de la función cerebral). Potenciales evocados (experimental). Tratar las convulsiones EEG. 4. Monitorización de la recuperación neurológica y pronóstico. Determinación de la CPK-BB en LCR a las 48 - 72 horas. Monitorización de la profundidad del coma mediante la Escala de Coma de Glasgow o la Escala de coma de Pittsburg Glasgow. Monitorización del flujo sanguíneo y el metabolismo cerebrales (experimental). 5. Determinación y manejo del resultado final. Determinación periódica de las categorías de capacidad cerebral. Determinación exacta y certificación de la muerte cerebral. Comenzando 6 horas horas después de la parada cardiaca. Si se certifica muerte cerebral, extraer los órganos del donante con autorización y suspender la IPPV. Determinar del estado vegetativo persistente. Si no hay respuesta 1-2 semanas después de la parada cardiaca (1 año después de un traumatismo cerebral), pensar en la posibilidad de “dejar morir”. 28
  • 51.
    TERAPIA INTENSIVA 4.6. TIPOS ESPECÍFICOS DE PAROS: 4.6.1. FIBRILACIÓN VENTRICULAR: Los paros por fibrilación ventricular ocurren habitualmente en pacientes con cardiopatía isquémica subyacente. 4.6.2. ASISTOLIA: Los paros por asistolia ocurren fundamentalmente en el hospital. Los pacientes suelen tener una cardiopatía grave de base, y una parte de ellos progresan hacia asistolia a partir de un trastorno del ritmo primario. 4.6.3. DISOCIACIÓN ELECTROMECÁNICA: Este trastorno del ritmo es casi siempre mortal, a menos que se identifique la etiología de base. Por eso, es fundamental realizar una RCP escrupulosa y mantener la ventilación y un equilibrio ácido básico adecuado. 4.7. BIBLIOGRAFÍA: • Alvarez F. Naranjo C. Soporte vital Básico. Manual de Soporte Vital Avanzado. Masson 1999; 287-13. • Ruano M. Latorre F. Soporte vital avanzado. Manual de Soporte Vital Avanzado. Masson 1999 287-37. • Guidelines for Cardiopulmonary Resuscitation and Emergency Cardiovascular Care. Circulation 2000; 102- 186. 29
  • 52.
    TERAPIA INTENSIVA Algoritmo Universal para soporte vital cardio pulmonar avanzado en Adultos * Dr. Oscar Vera Carrasco Determinar estado de conciencia Consciente: Inconsciente: •Observar . •Activar sistemas de Emergencia Médica. •Tratar como este indicado •Pedir desfibrilador- Conectar monitor. •Verificar respiraciónb (abrir vía aérea, mirar, escuchar y sentir) No respira: Respira: •Dar dos respiraciones lentamente. •Coloque en pocisión de rescate si no hay trauma •Evalúe si hay circulación - pulso. •Evalúe ritmo Pulso No *Oxigeno *Historia Iniciar RCP *IV *examen Fisico *Monitor Cardiaco *ECG. *Signos vitales Fibrilación o Taquicardia ventricular presente en monitor / desfibrilador? Determinar causa No Si Hipotensión / shock/ Desfibrilar Edema agudo de pulmón. Actividad eléctrica 3 veces si es necesario Si No Infarto agudo de Miocardio RCP por 1 Actividad eléctrica Asistolia Minuto Arritmia Sin pulso Bradiarritmia Taquiarritmia RCP por 3 minutos 30
  • 53.
    TERAPIA INTENSIVA Durante RCP • Verificar electrodos / paletas en cuanto a posición y contacto. • Asegurar y verificar acceso IV. • VF/TV refractoria shock inicial. • Epinefrina 1 mg. cada 3 a 5 minutos. O • Vasopresina 40 U IVuna sola dosis, una vez. • No ritmos de FV/TV. • Epinefrina 1 mg. IV cada 3 a 5 minutos. • Considerar buffers, antirrítmicos, marcapaso. • Buscar y corregir causas reversibles. Considerar causas que son potencialmente reversibles - Hipovolemia - Tabletas (drogas, accidentes). - Hipoxia. - Taponamiento cardiaco. - Ion Hidrogeno - acidosis - Neumotórax a tensión. - Hiper / Hipokalemia u - Trombosis coronaria otra causa metabólica. (síndrome coronario agudo). - Hipotermia. - Trombosis pulmonar (embolia). Tomado de Guidelines for Cardiopulmonary and Emergency cardiovascular Care. Circulation 2.000; 102-186 31
  • 54.
    TERAPIA INTENSIVA Tratamiento de la Asistolia Asistolia Manejo primario ABCD- RCP Básica y Desfibrilación Verificar estado de conciencia. Activar el sistema de emergencia de respuesta. Pedir desfibrilador. A Vía Aérea: Abrir Vía aérea. B Respiración: Proveer ventilación a presión positiva. C Circulación: Realizar compresión torácica. C Confirmar: asistolia verdadera. D Desfibrilación: Verificar si es FV/ TV sin pulso, shock si esta indicado. Manejo de la escena rápido: Cualquier evidencia personal que el intento de resucitación funcione Manejo secundario ABCD - Meyor avance en el manejo y tratamiento A Vía Aérea: Colocar dispositivo para vía aérea tan pronto como sea posible. B Respiración: Confirmar colocación del dispositivo de vía aérea por examen. B Respiración: Asegurar dispositivo de vía aérea. B Respiración: Confirmar una efectiva oxigenación y ventilación. C Circulación: Confirmar asistolia verdadera. C Circulación: Establecer acceso IV. C Circulación: Identificar ritmo y monitorizar. C Circulación: Dar medicación apropiada para el ritmo y condición. D Diagnostico diferencial: Buscar y tratar de identificar causas reversibles. Marcapaso Transcutáneo (Si considera, ejecutar inmediatamente) Epinefrina 1 mg IV Repetir cada 3 a 5 minutos Atropina 1 mg. IV Repetir cada 3 - 5 min. hasta un total de 0.0 4mg/kg. Asistolia Persistente Continuar o suspender esfuerzos de resucitación? • Considerar la calidad de resucitación. • Rasgos atípicos presentes. • Apoyo en el protocolo local para suspender esfuerzos? Tomado de Guidelines 2.000 for Cardiopulmonary Resuscitation and Emergency Care. Circulation 2000;102-186. 32
  • 55.
    TERAPIA INTENSIVA Fibrilación Ventricular / Taquicardia Ventricular sin pulso Manejo Primario ABC - RCP Básico y Desfibrilación • Verificar estado de conciencia. • Activar el Sistema de respuesta de emergencia. • Pedir desfibrilador. A Vía Aérea: Abrir vía aérea. B Respiración: Proveer ventilación a presión positiva C Circulación: Realizar compresión torácica. D Defibrilación:Verifique FV/TV sin pulso, desfibrile hasta 3 veces (monofásico 200 J, 200 J a 300 J, 360 J o el equivalente bifásico) si es necesario. Ritmo después de los primeros tres shocks? Asistolia No Si FV/TV Persistente o recurrente Retorno circulación espontánea Manejo secundario ABCD- Mayor avance en manejo y tratamiento A Vía Aérea: Intubación endotraqueal tan pronto sea posible. • Controlar signos vitales. B Respiración: Confirmar localización del tubo en vía aérea. • Mantener vía aérea. B Respiración: Asegurar localización del tubo. • Mantener respiración. B Respiración: Confirmar ventilación y oxigenación efectiva. • Proveer medicamentos C Circulación: Establecer acceso IV. adecuados, para mantener C Circulación: Identificar ritmo y monitorización. PA, FC y ritmo. C Circulación: Administrar drogas apropiadas al ritmo y condición. D Diagnostico Diferencial: Buscar y tratar de identificar causas reversibles. Actividad Epinefrina 1 mg IV (bolo),repetir cada 3 a 5 minutos eléctrica sin pulso o (AESP) Vasopresina 40 U IV, una sola dosis, una sola vez Desfibrilar con una carga de 360 J (o equivalente bifásico) después de 30 a 60 seg de administrada la adrenalina Considerar Antiarrítmicos Amiodarona (clase llb); Lidocaina (indeterminado). Magnesio (clase llb) en caso de torsade o Hipomagnesemia Desfibrilador Patrón Procainamida (clase llb)para TV/F intermitente o recurrente. debe ser Considerar buffers Droga- shock- Droga Para Hiperkalemia, acidosis metabólica preexistente, intoxicación por algunas drogas Tomado de Guidelines 2.000 for Cardiopulmonary Resuscitation and Emergency Cardiovascular Care. Circulation 2.000; 102-186. 33
  • 56.
    TERAPIA INTENSIVA Actividad eléctrica sin pulso Actividad Eléctrica sin Pulso (Ritmo en monitor, sin pulso detectable) Incluye: - Disociación Electromecánica (DEM). - Pseudo - DEM. - Ritmo Idioventricular. - Ritmo de escape ventricular. - Ritmo Bradiasistólico. - Ritmo Idioventricular postdesfibrilación. Manejo primario ABCD - RCP Básico y Desfibrilación Verificar estado de conciencia. Activar sistema de emergencia de respuesta. Pedir desfibrilador. A Vía Aérea: Abrir vía aérea. B Respiración: Proveer ventilación a presión positiva. C Circulación: Realizar compresiones torácicas. D Defibrilacion: Verificar si es FV/ TV sin pulso, shock si esta indicado. Manejo secundario de ABCD- Mayor avance en manejo y tratamiento A Vía Aérea: Colocar dispositivo de vía aérea tan pronto sea posible. B Respiración: Confirmar colocación del tubo de vía aérea. B Respiración: Asegurar dispositivo de vía aérea. B Respiración: Confirmar efectiva oxigenación y ventilación. C Circulación: Establecer acceso IV. C Circulación: Identificar ritmo y monitorizar. C circulación: Administrar medicación adecuada para el ritmo y condición. C Circulación: Determinar flujo de sangre oculta (Pseudo DEM ). D Diagnostico Diferencial: Buscar y tratar de identificar causas reversibles. Revisión de causas más frecuentes (tratamiento en paréntesis) - Hipovolemia (Infusión de volumen). - Sobredosis de drogas tales como Tricíclicos, - Hipoxia (Ventilación). Digitálicos, B bloqueantes, bloqueadores de - Taponamiento Cardiaco (Periocardiocentesis). canales de calcio. - Neumotórax a tensión (Necesita descompresión). - Hiper / Hipokalemia. - Hipotermia. - Acidosis. - Embolismo pulmonar masivo. - Infarto de Miocardio masivo. (Cirugía, trombolíticos). Epìnetrina 1 mg IV(Bolo). Repetir cada 3 - 5 minutos. Atropina 1 mg IV (si Actividad eléctrica sin pulso es lenta) Repetir cada 3-5 minutos, hasta un total de 0.04 mg/kg Tomado de Guidelines 2.000 for Cardiopulmonary Resuscitation and Emergency Cardiovascular Care. Circulation 2.000; 102-186.
  • 57.
    TERAPIA INTENSIVA Algoritmo de Bradicardia Bradicardia Lento (Bradicardia absoluta=< 60 latidos/min. Relativamente lento (rango menos que esperado por una condición subyacente o causa). Examen Primario ABCD • Evaluar ABC. • Asegurar la vía aérea no invasivamente. • Asegurar monitor/ desfibrilador disponible. Examen Secundario ABCD • Evaluación secundaria ABC(¿será necesario manejo de vía aérea invasiva?). • Oxigeno, acceso IV, monitor, fluidos. • Signos vitales, oximetría de pulso, monitorizar PA. • Obtener y revisar ECG (12 derivaciones). • Obtener y revisar placa de Rayos X. • Problema - enfocar historia. • Problema - enfocar el examen físico. • Considerar causas (diagnósticos diferenciales) Signos y Síntomas Importantes? No Si Bloqueo AV de segundo grado Tipo II Secuencia de Intervención o • Atropina 0.5 a 1 mg. Bloqueo AV de tercer grado? • Marcapaso transcutaneo, si esta disponible. • Dopamina 5 a 20 mcg/kg/min. • Adrenalina 2 a 10 mcg/min No Si Observar • Preparar marcapaso transvenoso- transitorio. • Si los síntomas empeoran, usar marcapaso transcutáneo hasta que se aplique un marcapaso transvenoso.
  • 58.
    TERAPIA INTENSIVA Protocolo deTratamiento con Desfibrilador Automático Externo (DAE) Inconsciente: - Verificar inconsciencia. - Pedir ayuda (o activar sistema de emergencia). - Pedir Desfibrilador Automático Externo. - Identificar y responder a situaciones especiales, Comenzar con ABCDs: - Vía aérea: Abrir vía aérea. - Respiración: Verificar respiración (mirar, escuchar, sentir). Si respira No respira - Si la respiración es adecuada: colocar - Proveer dos respiraciones lentas en una posición de descanso. (2 segundos por respiración). - Si la respiración es inadecuada: iniciar - Circulación: Verificar signos. respiración de rescate (1 respiración cada 5 segundos) Si, circulación No, circulación - Comenzar respiración de rescate Comenzar RCP (hasta que DAE llegue y este listo (1 respiración cada 5 segundos). para ser aplicado). - Monitorizar signos de circulación - Iniciar compresiones toráxicas (100 por minuto). (cada 30 a 60 segundos). - Combinar compresiones y ventilación. - Rango de 15 compresiones por dos respiraciones Verificar signos de circulación: * si están ausentes Iniciar desfibrilador en escena (DAE). • Presionar, Analizar. - Primero encender DAE. • Iniciar desfibrilación. - Colocar paletas DAE (parar compresión • Repetir hasta 3 veces. toráxica para aplicar paletas). - Presionar, analizar. - Shock hasta 3 ocasiones. - Después de 3 shocks o después de cualquier otro shock, no esta indicado. - Verificar signos de circulación:* reiniciar RCP por un minuto. Tomado de Guidelines 2000 for Cardiopulmonary Resuscitation and Emergency Cardiovescular Care. Circulation 2000; 102-186.
  • 59.
    TERAPIA INTENSIVA ESCALA DE GRADUACIÓN DE INTERVENCIONES TERAPÉUTICAS EN RCP PROPUESTA POR LA A.H.A. CLASE I: Eficacia probada, no peligrosa. Indicada. CLASE II: Eficacia y seguridad inciertas. Aceptable: Clase IIa Probable eficacia Clase IIb posible eficacia. CLASE III: Ineficaz, puede ser nociva. No indicada. CADENA DE SUPERVIVENCIA EN LA RCP Y CCE SEGÚN LA AMERICAN HEART ASSOCIATION 1. Acceso rápido : reconocimiento precoz de los signos de alarma y activación inmediata del Sist. de emergencia. 2. RCP básica precoz. 3. Desfibrilación precoz. 4. Soporte vital avanzado precoz: IET, fármacos alfa adrenérgicos, etc.
  • 60.
    TERAPIA INTENSIVA RECOMENDACIONES DELAS CONFERENCIAS DE CONSENSO DE 1992 REFERENTES A LA INDICACIÓN DE FÁRMACOS ALFA ADRENERGICOS EN RCP ERC AHA Fármaco Adrenalina Adrenalina de elección Dosis estándar 1 mg cada 2 minutos 1 mg cada 3-5 min Inicial en todas puede darse similar las formas de dosis en perfusión contínua. PCR Valoración En DEM y AS En PCR refractaria en opcional de dosis refractarias. dosis estándar. mayores 5mg/3bucles Dosis intermedias: Comenzando a partir 2-5mg/3-5min. del tercer bucle. Rápida escalada: 1mg-3mg -5mg. Altas dosis : 0,1mg/kg./3-5min. Clase IIb, excepto en Niños en AS IIa. ERC : European Resuscitación Council; AHA : American Heart Association; PCR: parada cardiorrespiratoria; DEM: disociación electromecánica; AS: asistolia.
  • 61.
    TERAPIA INTENSIVA RECOMENDACIONES DELAS CONFERENCIAS DE CONSENSO DE 1992 SOBRE LA INDICACIÓN Y DOSIS DE NaHCO3 IV. EN LA RCP Y CCE Criterios ERC Criterios AHA 1. NaHCO3: alcalinizante de elección. Clase I Hiperkalemia previa 2. La muestra venosa refleja mejor el estado Clase IIa ácido-base tisular. Ac. Metabólica preexistente. Intoxicación por antidepresivos triciclitos. Para alcalinizar la orina, si intoxicación por fármacos. 3. Corrección del estado ácido base previa Clase IIb gasometría Pacientes tras IET con PCR prolongado. Tras retorno a circulación espontánea después PCR prolongado 4. NaHCO3 si: pH venoso < 7,0- 7,1 Exceso Clase III de bases < -10 Acidocis hipóxica láctica 5. Valorar su uso en PCR > 10- 20 min. Dosis 1 mEq/kg, seguida de 0,5 mEq/kg tras 10 min. de PCR y luego según gasometría. 6. Dosis Inicial: 0,5 – 0,7 mEq/kg. (40-50 mEq)
  • 62.
    TERAPIA INTENSIVA RECOMENDACIONES FARMACOLÓGICASDE LA CONFERENCIA DE CONSENSO DE DALLAS DE 1.992 (AHA) LIDOCAINA: IIa-IIb: FV/TVSP persistente IIb: profilaxis en infarto agudo de miocardio Dosis: tras cuarto choque: c. 1,5mg/kg (max. 3mg/kg.) M. 2 a 4 mg/min. BRETILIO: IIb: FV refractaria a DF y primera dosis de lidocaina. Dosis: C: 5mg/kg + 10 mg/kg/ 10 minutos (max. 35 mg/kg) M: 1-2 mg/min. PROCAINAMIDA: IIa: FV/TVSP refractaria y taquicardia con QRS ancho Dosis: C: 20-30 mg/min (máx 17mg/kg.) M: 1-4 mg/min. SULFATO DE MAGNESIO: I-IIa: TV polimorfa. IIa: FV refractaria. Dosis: 1-2 g (8-16 mEq). ATROPINA: I: Bradicardia sintomática y bloqueo AV segundo grado tipo I. IIa: Bloqueo AV tercer grado con QRS estrecho. IIb: AS, DEM. III: Bloqueo AV segundo grado tipo II y tercer grado con QRS ancho. Dosis: 1mg/ 3-5 min (máx. 3mg). ISOPROTERENOL: IIa: TV polimorfa y bradicardia extrema en corazón denervado IIB – III: bradicardia extrema en corazón inervado Dosis: 2-10 mcg/min. ADENOSINA: I: taquicardia con QRS estrecho IIa: taquicardia con QRS ancho. Dosis: 6 mg (1-3 segundos) + 12 mg (1-2 min). VERAPAMILO: No de elección en taquicardia con QRS estrecho. III: taquicardia con QRS ancho. Dosis: 2,5 – 5 mg + 5 – 10 mg/15 min (max. 20 mg)
  • 63.
    TERAPIA INTENSIVA AMIODARONA: Opcional en FV/TV recurrente. CLORURO CÁLCICO: IIa: Hiperkalemia, hipocalcemia e intoxicación por calcioantagonistas. III: En toda forma de PCR Dosis: 2 – 4 mg/kg/10 min. TROMBOLÍTICOS: I: precozmente (< 6 h) en IAM IIa – III: en diferentes circunstancias. C: dosis de carga; M: dosis de mantenimiento.
  • 64.
    TERAPIA INTENSIVA 5. CRISIS HIPERTENSIVA *Dr.Oscar Vera Carrasco 5.1. DEFINICIÓN : Es una situación clínica potencialmente peligrosa para la vida causada por una elevación de la presión arterial sistémica. Tradicionalmente ha sido clasificada en EMERGENCIAS HIPERTENSIVAS, donde además de la hipertensión arterial existe disfunción orgánica y que requiere una reducción inmediata de los niveles presóricos (no necesariamente a valores normales) y, URGENCIAS HIPERTENSIVAS, que se presentan con una presión arterial diastólica mayor de 115 mmHg, sin evidencia de lesión orgánica y que generalmente son tratadas con antihipertensivos orales para la reducción de la presión arterial dentro de 24 – 48 horas. Las crisis hipertensivas rara vez se desarrollan con una presión arterial diastólica (PAD) < de 130 mmHg. 5.2. ETIOLOGÍA : Las causas más frecuentes de crisis hipertensivas son las siguientes: Hipertensión arterial no tratada Pacientes de raza negra Fumadores de tabaco Mujeres que utilizan anticonceptivos orales Pacientes con hipertensión arterial secundaria (principalmente renovascular) Estados con exceso de catecolaminas (Feocromocitoma, cocainómanos) Suspensión abrupta de betabloqueantes y de Clonidina Ingesta de alimentos que contienen tiramina y uso simultáneo de Inhibidores de la MAO. 5.3. CUADRO CLÍNICO : El diagnóstico clínico esta basado en la historia clínica, la duración de la hipertensión arterial y el inicio de la crisis actual. Además de la determinación de los niveles tensionales, debe acompañarse de un examen riguroso del sistema nervioso, fondo de ojo, corazón, pulmón abdómen y pulsos arteriales periféricos, para identificar los órganos lesionados y las lesiones vasculares en progresión. 5.4. EXAMENES COMPLEMENTARIOS : 5.4.1. LABORATORIO : Glucemia Nitrogeno ureico y creatininemia Sodio, potasio y calcio séricos Hemograma completo Análisis de orina
  • 65.
    TERAPIA INTENSIVA 5.4.2. ESTUDIOS DE GABINETE : Electrocariograma Teleradiografía de tórax Tomografía computarizada de cráneo (TAC) Tomografía computarizada de cráneo o Resonancia magnética nuclear de tórax (si existe sospecha de aneurisma disecante de aorta). 5.5. MANEJO Y TRATAMIENTO : *El tratamiento de las EMERGENCIAS HIPERTENSIVAS debe tener como objetivo reducir la Presión Arterial Media (PAM) en torno al 25% en un periodo de tiempo que depende del órgano más comprometido, por ejemplo, en : Edema agudo de pulmón o disección de aórta : en 30 minutos. Encefalopatía hipertensiva : en 2 a 3 horas. Infarto o hemorragia cerebral : en 6 horas, debiendo mantenerse la Presión arterial SISTÓLICA en 170 mmHg y la DIASTÓLICA en 100 mmHg. Lesión cardiovascular : la reducción de la PA además de ser más rápida, puede ser mantenida en niveles más bajos (la demanda de O2 del VI disminuye con una reducción de la PA) pero debe tomarse mucho cuidado, ya que normalmente estos pacientes son también portadores de arterioesclerosis cerebral. a) Las reducciones de la PA pueden causar isquemia , por lo cual debe vigilarse minuciosamente a estos pacientes. b) Inicialmente se recomienda el tratamiento parenteral con fármacos de acción corta y en las siguientes dosis: NITROPRUSIATO DE SODIO: 0,25 – 10 mcg/kg/minuto. LABETALOL: 20 mg en bolo, 2 mg/minuto ( máximo 300 mg/dia). NITROGLICERINA: 5 mcg/minuto (aumentar 5-10 mcg cada 3-5 minutos en caso necesario). NICARDIPINA: 5 mg /hora y aumento de 2,5 mg/hora hasta que produzca efecto (máximo 15 mg/hora). ENALAPRILATO: 1,25 – 5mg IV cada 6 horas. FENTOLAMINA: 2-5 mg en bolo (puede repetirse cada 10 minutos hasta controlar la crisis hipertensiva). *El objetivo del tratamiento de las URGENCIAS HIPERTENSIVAS, cuya presión arterial es mayor a 115 mmHg y no existe evidencia de daño orgánico, es reducir la presión arterial a cifras “normales” dentro de 24 a 48 horas. En la mayoría de los pacientes, la simple observación y el tiempo es tan efectivo como una intervención farmacológica. Si se realiza tratamiento farmacológico se puede utilizar : CAPTOPRIL: 25 mg vía oral o sublingual LABETALOL: 200 mg vía oral. NIFEDIPINO: 10 a 20 mg vía oral.
  • 66.
    TERAPIA INTENSIVA CARACTERÍSTICAS FARMACOLÓGICASDE LOS PRINCIPALES FÁRMACOS ANTIHIPERTENSIVOS INTRAVENOSOS NITROPRUSIATO DE SODIO : Fármaco usado preferentemente en las emergencias hipertensivas (sustituida como droga de primera elección solamente en la Isquemia miocárdica en progresión y en la Eclampsia). Es un potente vasodilatador arterial y venoso. Se metaboliza en el hígado produciendo tiocianato y en esta forma se excreta por vía renal. Es capaz de producir intoxicación por cianuro, desarrolando depresión del SNC, convulsiones, acidosis láctica, inestabilidad cardiovascular o, anorexia, fatiga, alucinaciones, náuseas y psicosis. NITROGLICERINA : Fármaco de elección en las emergencias hipertensivas cuando existe isquemia cardiaca. Produce vasodilatación venosa y arterial, con un máximo efecto sobre la capacitancia de los vasos sanguineos. Puede producirse tolerancia con su uso a las 24-48 horas de su inicio. Por incrementar la presión intracraneana, se contraindica en la encefalopatía hipertensiva. LABETALOL : Es un bloqueante alfa y beta adrenérgico. No altera el flujo sanguíneo cerebral y por lo que podría ser droga de elección en la hipertensión secundaria a un incremento de la presión intracraneana. Especialmente útil en la hipertensión mediada por catecolaminas como en el feocromocitoma y en la discontinuación de la Clonidina. Comienza su acción a los 5 minutos, tiene un efecto máximo a los 10 minutos y dura su acción 8 horas. Es capaz de evitar la taquicardia refleja. ENALAPRILATO : Es un inhibidor de la Enzima convertidora de la Angiotensina I en Angiotensina II. Puede ser usado en la emergencia hipertensiva coexistente con una insuficiencia cardiaca. Debido a que en las emergencias hipertensivas los volúmenes plasmáticos son variables, la respuesta al Enalaprilato es imprevisible. FENTOLAMINA : Puede ser utilizada en los estados de exceso de catecolaminas como en el Feocromocitoma. Por tener un efecto muy fugaz, puede ocasionar taquicardia e isquemia miocárdica (actualmente es preferible usar Nitroprusiato de sodio). NICARDIPINA : Es un bloqueante de los canales de calcio del grupo de las dihidropiridinas. No obstante ser una droga eficáz, no posee ninguna ventaja en relación al Nitroprusiato de sodio.
  • 67.
    TERAPIA INTENSIVA BIBLIOGRAFÍA : • Prisant LM, et al. Treating Hipertensive Emergencies. Medicine 1993; 93(2): 92-110. • The Fifth Report of the Joint National Committee on Detection, Evaluation, and Tretment of High Blood Pressure. Arch Intern Med 1993; 153: 154-83. • Nogueira Armando da Rocha. Crise Hipertensiva. En: David CM, Goldwasser R, Nácul FE. Medicina intensiva: Diagnnostico e Tratamento. Editorial Revinter. Rio de Janeiro (Brasil) 1997; 149-51. • Khan M Gabriel. Hipertensión. In: Khan MG. Cardiac Drug Therapy. Fifth edition. WB Saunders. London 2.000; 107-48. • Sixth Report of the Joint National Committee on Prevention, Detection, Evaluation and Treatment of High Blood Pressure. Arch Intern Med 1997; 157: 2413. • Bertel O, Conen D, Radu EW, et el. Nifedipine in hypertensive emergencies. BMJ 1983; 286:19. • Bauer JH, Reams GP. The role of calcium entry blockers in hypertensive emergencies. Circulation 1987; 75(suppl): V-174. • Kaplan NM, Opie LH. Fármacos antihipertensivos. En: Lionel H Opie. Fármacos en Cardiología. 4ª edición. Editorial Interamericana Mc Graw-Hill. México DF 1995; 187-217. • Gifford RW. Management of hypertensive crisis. JAMA 1991; 266: 829-35. • Varon J. Crisis hipertensivas. En: Joseph Varon. Cuidados intensivos. Editorial Mosby/Doyma. Madrid (España) 1995; 110-11. • Cutler JA. Calcium-chanel blockers for hipertensión: Uncertainly continúes. N Engl J Med 1998; 338: 679. • Morrison AR. Hipertension. En: Shubhada N Ahya, Kellie Flood. El Manual Washington de Terapéutica Médica. 30ma. Edición. Editorial Lippinctt Williams and Wilkins 2.001; 76-95.
  • 68.
    TERAPIA INTENSIVA 6. CHOQUE CARDIOGÉNICO *Dr. Jesús Gómez Mendívil 6.1. DEFINICIÓN: Es un síndrome producido por la incapacidad del corazón para funcionar como bomba y mantener un gasto cardiaco (GC) adecuado que cubra las demandas metabólicas del organismo; esto se traduce en un estado de insuficiencia circulatoria aguda con un aporte de oxígeno (DO2) deteriorado e hipoperfusión tisular que conducirá a una disfunción orgánica progresiva y finalmente a la muerte. 6.2. ETIOLOGÍA: La causa más frecuente es el infarto agudo de miocardio (IAM). Sin embargo podemos clasificar las causas en dos grupos: a) Choque con presión de llenado alta: Infarto de miocardio Taquiarritmias Bradiarritmias Miocarditis Post cirugía cardiaca Evolución final de miocardiopatias Infarto de ventrículo derecho Evolución final de valvulopatias (estenosis o insuficiencia aórtica, insuficiencia mitral) Trombosis o disfunción de prótesis valvulares b) Obstrucción al llenado: Taponamiento cardiaco Hipertensión pulmonar terminal Tumores o trombos oclusivos intracardiacos Estenosis mitral o tricúspide severas Trombosis de prótesis mitral o tricúspide 6.3. PERFIL HEMODINÁMICO: TA media < 60 mmHg TA sistólica < 90 mmHg PCP > 18 mmHg D2VI >12 mmHg PmAI >12 mmHg IC < 2.0 L/min/m2 Da-vO2 >5,5ml/dl RVS > 1400 din/seg.cm5 DO2 = 300 ml/min/100 g de tejido
  • 69.
    TERAPIA INTENSIVA 6.4. DIAGNÓSTICO CLÍNICO: Los síntomas y signos que preceden al desarrollo de choque cardiogénico dependen en gran medida de la etiología, encontrándose entre los más destacables: Hipotensión arterial Traquicardia Bradicardia Ingurgitación yugular Galope por R3 Pulsos arteriales filiformes o imperceptibles Palidez y frialdad de piel Diaforesis y piloerección Hipotermia Llenado capilar retardado Estertores pulmonares Soplos cardiacos Agitación, obnubilación Depresión del sensorio Oliguria (debito urinario < 0.5 ml kg/hora) 6.5. DIAGNÓSTICO DIFERENCIAL: Evaluación del paciente en estado de choque No evidencia de traumatismo Ingurgitación yugular Edema pulmonar Alteraciones en el ECG Si No C. Cardiogénico C. Obstructivo C. Hipovolémico C. Distributivo IAM TEP HDA Anafilaxia Arritmias Neumotórax H. Retroperitoneal Sepsis Enf valvular a tensión Rotura de aneuris- C. Neurogénico Miocarditis C. Obstétrico ma de aórta C. Tóxico Taponamiento Embarazo ectópico Sobredosis de Cardiaco Pancreatitis drogas Obstrucción o Insuficiencia perforación suprarrenal intestinal
  • 70.
    TERAPIA INTENSIVA 6.6. EXAMENES COMPLEMENTARIOS: a) Electrocardiograma.- Imágenes de isquemia, lesión y necrosis Arritmias Trastornos de conducción (bloqueos) b) Radiografia de tórax.- Cardiomegalia Congestión pulmonar Edema pulmonar c) Ecocardiografía.- Evaluación de la función ventricular sistólica y diastólica derecha e izquierda Función valvular (estenosis y/o insuficiencia) Detección de derivaciones ( CIV) Liquido pericárdico o taponamiento Detección de complicaciones mecánicas en el IAM d) Gasometria arterial.- Hipoxemia variable Normo, hipo o hipercapnia Acidosis metabólica predominante. e) Laboratorio.- Solicitar: CK, CK-MB Electrolitos ( Na, K, Mg, ) Pruebas de coagulación Glicemia, creatinina, ácido láctico 6.7. TRATAMIENTO: 6.7.1. OBJETIVOS: Mantener el flujo sanguíneo a los órganos más vulnerables: Riñones, hígado, SNC, corazón. Mantener la TA media por encima de 60 mmHg. Mantener un lactato arterial menor de 2,2 mEq/l. 6.7.2. MEDIDAS GENERALES: Ventilación y oxigenación adecuadas con sistemas de alto flujo y elevadas fracciones inspiradas de oxígeno. Ventilación mecánica si esto resulta insuficiente. Instalación de vía venosa central, catéter de flotación, monitoreo invasivo de la TA, monitoreo electrocardiográfico y de oximetría de pulso permanente, sondaje vesical. Alivio del dolor y la ansiedad: Meperidina 0,5 – 1 mg kg/peso dosis; morfina 0,05 –0,1 mg kg/peso /dosis. Administración de volumen (cristaloides o coloides) a menos que exista signos de sobrecarga hídrica, manteniendo una PCP entre 18 y 22 mmHg.
  • 71.
    TERAPIA INTENSIVA 6.7.3. SOPORTE FARMACOLÓGICO: a) Agentes inotrópicos: Dopamina: a dosis de entre menos de 2 mcg/kg/min hasta 20 ug/kg/min Dobutamina: de elección en el choque cardiogénico por su importante acción B1 estimulante. Dosis inicial de 2,5 mcg/kg/min., hasta 20 mcg/kg/min. Noradrenalina: se usa solo en caso de hipotensión acentuada que no se corrige con los inotrópicos previos, líquidos parenterales y asistencia mecánica circulatoria. Por su efecto alfa1 y beta 1 adrenergico eleva la TA diastólica la perfusión coronaria y la contractilidad. Dosis de 0,5 a 20 mcg/min o 0,02 – 0,04 mcg/kg/min. que puede aumentarse cada 10 a 15 minutos. No se debe usar por tiempo prolongado. Isoproterenol: causa taquicardia, aumenta la contractilidad miocárdica y disminuye la resistencia vascular periférica mediante la estimulación de receptores tanto B1 como B2. La administración IV se inicia a una dosis de 0,01 ug/kg/min y aumentar hasta que se logre el efecto deseado. Digoxina: de elección en la fibrilación auricular con respuesta ventricular alta. b) Inhibidores de la fosfodiesterasa: Amrinona: potencia el efecto de la dobutamina al inhibir la fosfodiesterasa F-III e incrementar el AMPc intracelular. Reduce la RVS y aumenta la contractilidad y con ello el GC. La dosis inicial es de 0,75 mg/kg IV en 2 a 3 min seguida de 5 a 10 mcg/kg/min en infusión continua. Milrinona: Inhibidor selectivo de la isoenzima p-III e incrementa el 3’5’AMPc, 30 a 50 veces más potente que la amrinona. Dosis inicial: 50 mcg/kg en 10 min, seguido de 0,25 a 1 mcg/kg/min en infusión continua. c) Vasodilatadores: pueden mejorar el gasto cardiaco en pacientes con TA estabilizada, la indicación principal es la insuficiencia mitral aguda por rotura o disfunción del aparato valvular. Nitroglicerina: Dosis inicial l0 mcg/min, incrementándose en 10 mcg/min cada 5 a 10 min en caso necesario hasta niveles tales como 400 mcg/min. Nitroprusiato de sodio: Dosis de inicio 5 – 10 mcg/min, se incrementa de 2,5 a 5 mcg/min cada 10 min en caso necesario. La dosis deber reducirse cuando la presion arterial sistólica cae por debajo de 90 mmHg. 6.7.4. SOPORTE MECÁNICO: a) Balón Intraaórtico de contrapulsación b) By pass cardiopulmonar percutáneo c) Dispositivos de asistencia ventricular d) Hemopump. 6.8. BIBLIOGRAFIA: • Crawford M. Diagnóstico y tratamiento en Cardiolog-ia. 1ra ed..Mexico:Manual Moderno;1997. • Espino J. Introducción a la Cardiologia. 13 va ed.. Mexico: Manual Moderno; 1997. • Alzueta RJ, Barrera CA, Montiel TA, Jimenez NM. Shock cardiogenico. Medicine 1996;(7) 17. • Leiva JL, Saucedo JF, Nunez A,Gaxiola E, Najar S. Manual de urgencias cardiovasculares. 1ra ed.. Mexico:McGraw- hill Interamericana: 1996. • Bongard S, Sue D. Diagnóstico y Tratamiento en Cuidados Intensivos. 1ra ed.. México:El Manual Moderno.
  • 72.
    TERAPIA INTENSIVA • AguilarC, Prado E, Cañedo Ch, Chevaile J, Saucedo J, Kaplan M, Diaz A, Eraño J. Manual de Terapéutica Médica y procedimientos de urgencias. 3ra ed.. México: McGraw-Hill Interamericana; 1997. • Marino P. El Libro de la UCI. 2da ed..Barcelona: Masson; 1998. • Muñoz L, Martinez C, Hernández T, Marin J, Martinez JM, Garcia R. Urgencias Médico Quirúrgicas, Manual de Problemas Clínicos. 1ra ed..Madrid: Diego Marín;1998. • Grenvik A, Ayres S, Holbrook P, Schoemaker W. Compendio del Tratado de Medicina Crítica y Terapia Intensiva. Buenos Aires: Panamericana; 1998. • Parsons P, Wiener-Kronish J. Secretos de los Cuidados Intensivos. 2da ed.. México: McGraw-Hill Interamericana; 2001.
  • 73.
    TERAPIA INTENSIVA *Dr. OscarVera Carrasco 7. SEPSIS Y SHOCK SÉPTICO 7.1. DEFINICIONES : Sepsis : Síndrome de respuesta inflamatoria sistémica (SRIS) desencadenado como respuesta a una infección. Síndrome de respuesta inflamatoria sistémica : Respuesta sistémica desencadenada por una variedad de agresiones (infección, pancreatitis, isquemia, politraumatismo, shock hemorrágico) que se caracteriza por la presencia de 2 o más de los siguientes parámetros : Temperatura rectal > 38º C ó < 36º C. Frecuencia cardiaca >90 lat/min. Frecuencia respiratoria >20 respiraciones/min. PaCO2 < 32 mmHg. Cifra de leucocitos >12.000 ó < 4.000/mm3. o más de 10% de formas inmaduras. Sepsis grave: Sepsis asociada a disfunción de algún órgano, hipoperfusión o hipotensión. Los déficits de perfusión pueden manifestarse como acidosis láctica, oliguria o disminución del nivel de conciencia, entre otros signos. La hipotensión de define como presión arterial sistólica <90 mmHg o una reducción de más de 40 mmHg con respecto a la basal. Shock séptico: Sepsis grave en la que, a pesar de un adecuado aporte de líquidos, persisten la hipotensión y los signos de hipoperfusión periférica, requiriendo tratamiento con agentes inotrópicos y/o vasopresores. Shock séptico refractario: Shock séptico de por lo menos una hora de duración y que no responde a la administración de líquido, ni a las intervenciones farmacológicas. 7.2. ETIOLOGÍA : En general los microorganismos más frecuentemente involucrados como causa de sepsis son : Bacilos gramnegativos: E. Coli, K. Pneumoniae, Proteus sp. y P. Aeruginosa. Anaerobios: fundamentalmente Bacteroides sp. Staphylococcus aureus. Microorganismos causales menos frecuentes: Otros bacilos gramnegativos Neisseria meningitidis Streptococcus Estafilococos coagulasa-negativa Enterococcus Clostridium Mycobacterium tuberculosis, puede producir un cuadro de diseminación hematógena con shock séptico en afectos de SIDA.
  • 74.
    TERAPIA INTENSIVA Resto de otros gérmenes : micolasmas, clamidias, rickettsias,virus, hongos protozoos y otros parásitos. Los focos primarios más comunes son : pulmón, abdómen y tracto urinario. En el 30% de los pacientes el foco primario no se objetiva. 7.3. CUADRO CLÍNICO Y EVOLUCIÓN : El cuadro clínico de la sepsis incluye : • Fiebre y escalofrios (a veces hipotermia) • Alteración del estado mental • Hiperventilación • Lesiones cutáneas • Hipotensión o insuficiencia parenquimatosa Los siguientes trastornos y signos y síntomas en función del órgano afectado : 7.3.1. CARDIOVASCULARES : Vasodilatación inicial, seguida por un incremento de resistencias vasculares ( consecuencia de hipovolemia efectiva ); en fases finales datos de disfunción miocárdica. Alteraciones del equilibrio ácido-base : inicialmente alcalosis respiratoria(por taquipnea), posteriormente acidosis metabólica. 7.3.2. ALTERACIONES DEL SNC : Se inician con agitación, progresan a confusión o delirium y pueden acabar en obnubilación o coma. 7.3.3. ALTERACIONES CUTÁNEAS : Piel fría y húmeda (hipoperfusión tisular que induce vasoconstricción periférica). Excepciones a esta situación incluyen hiperemia cutánea en la fase temprana distributiva del shock, y vasodilatación periférica en la fase terminal. Petequias, equimosis, necrosis de partes acras, etc. (por alteraciones de la coagulación y desarrollo de coagulación intravascular diseminada). 7.3.4. ALTERACIONES RENALES : Oliguria y necrosis tubular (por vasoconstricción renal, redistribución de flujo sanguíneo hacia otros órganos e hipoperfusión renal). 7.3.5. ALTERACIONES PULMONARES : Edema intersticial y alveolar, cuya consecuencia es el Síndrome de Distrés Respiratorio Agudo (SDRA). Clínicamente se caracteriza por hipoxemia, infiltrados pulmonares difusos y signos de shunt de derecha a izquierda. La presión de enclavamiento o presión capilar pulmonar es normal. 7.3.6. ALTERACIONES DIGESTIVAS : Son frecuentes la anorexia, náuseas, vómitos; íleo (consecuencia de alteraciones electrolíticas). Úlceras de estrés, reactivación de úlceras pépticas previas o relacionadas con trastornos de la coagulación/vasomoción, isquemia de diferentes órganos gastrointestinales. En una gran mayoría se detecta ictericia (por isquemia hepática) y elevaciones moderadas de las transaminasas.
  • 75.
    TERAPIA INTENSIVA 7.3.7. ALTERACIONES METABÓLICAS : Son frecuentes la hipertrigliceridemia (en respuesta a la infección) y en cuadros de mayor tiempo de evolución hipoalbuminemia. 7.3.8. ALTERACIONES HEMATOLÓGICAS : La expresión hematológica típica consiste en leucocitosis (la leucopenia suele indicar un mal pronóstico), con desviación izquierda y cuerpos de Döhle. La trombocitosis suele acompañar a la fase aguda. En cuadros mantenidos se detecta anemia de trastornos crónicos. 7.4. DIAGNÓSTICO : El diagnóstico de sepsis es fundamentalmente clínico (ver definición al inicio). Los cultivos de sangre o del foco primario o secundario permiten apoyar el diagnóstico. Los criterios de ingreso en una U.T.I. de enfermos con sepsis son los siguientes : No respuesta hemodinámica a la expansión de volumen, y 2 o más de los siguientes criterios : • Hipotensión • Oligoanuria • Hipoperfusión • Acidosis metabólica (pH <7.30) • Disminución del nivel de conciencia 7.5. DIAGNÓSTICO DIFERENCIAL : Un cuadro clínico parecido a una infección bacteriana se produce en los que existe SRIS desencadenada por otras agresiones como : pancreatitis, lisis tumorales, lesiones del SNC, rabdomiólisis e hipertermias malignas. Se deben descartar los shocks hipovolémicos, cardiogénicos y distributivos. Entre otros cuadros de shock con resistencias periféricas bajas, fuera del séptico, figuran el neurogénico y anafiláctico. 7.6. EXAMENES COMPLEMENTARIOS : Laboratorio : Hemograma; pruebas de coagulación con determinación de fibrinógeno, PDF y recuento de plaquetas. Glucemia, enzimas hepáticas, bilirrubinemia, NUS y creatininemia. Gasometría arterial y equilibrio ácido-base. Ionograma: Cl- , Na+ , K+ , calcio iónico, P y Mg. Lactato y albuminemia. Estudios microbiológicos: Tinción gram, cultivos de muestras del eventual foco séptico y hemocultivos. Estudios de gabinete : Rx de tórax y abdómen Ecografía y/o TAC abdominales
  • 76.
    TERAPIA INTENSIVA Otras pruebas : Electrocardiograma Punción lumbar 7.7. TRATAMIENTO : La terapéutica es dependiente de la valoración global del estado del paciente. Es de capital importancia como primera medida el análisis de la repercusión hemodinámica de la sepsis tomando en cuenta lo siguiente : 7.7.1. PRESIÓN ARTERIAL : - Se deben mantener la PAM > 60 mmHg y la PAS > 90 mmHg. 7.7.2. PERFUSIÓN TISULAR : Coloración cutánea (livideces, cianosis) Diuresis (debe mantenerse por encima de 30 ml/hora) Estado mental (obnubilación o estupor) Acidosis láctica (la elevación de ácido láctico en sangre sugiere hipoperfusión). En función de los anteriores datos, como ya fue descrito anterior- mente,se considera una SEPSIS GRAVE cuando la presión arterial media (PAM) es inferior a 60 mmHg, una diuresis horaria inferior a 30 ml/hora y, en caso de efectuarse un control hemodinámico in- vasivo, un índice cardiaco superior o igual a 4 litros/min/m2. 7.7.3. TRATAMIENTO ETIOLÓGICO : Erradicar los gérmenes responsables. Para ello es preciso localizar el foco de infección y administrar los antimicrobianos que mejor se adapten a los posibles agentes patógenos, ello unido, en algunos casos, a actuaciones quirúrgicas sobre aquellos. La antibioticoterapia empírica inicial dependerá del foco de infección, de los gérmenes aislados con mayor frecuencia en nuestro medio y de la situación clínica. Como referencia puede tomarse en cuenta el siguiente cuadro :
  • 77.
    TERAPIA INTENSIVA ANTIBIOTICOTERAPIA ESPECÍFICA EN LA SEPSIS Y EN EL SHOCK SÉPTICO* Origen extrahospitalario Origen intrahospitalario Punto de partida Microorga- Antibió- Microorga- Antibió- nismos ticos nismo ticos S.aureus, enterococo Cefalospori- Foco desconocido Cocos gram(+) y Cefazolina o Bacilos gram nas de 3 a. bacilos gram (-) CLOX + AMG neg. y S. epi- generación dermidis. Vías altas: Penicilina G P. aeruginosa/ PA+CL+ Neisseria minin- AMG Respiratorio gitidis. Eritromicina Pulmón : Enterococo/ +CFT, o levo- anaerobios Ampicilina Streptococcus floxacino +CL+AMG pneumoniae Klebsiella- enterobacter- Piperacilina Abdomen: perito- Enterobacter/ CL+CFT+AMG P. aeruginosa/ +AMG nitis, colecistitis anaerobios Enterococo Klebsiella- Urológico Escherichia CFTZD+ CFT+AMG Enterobac- coli CL+AMG ter-Serratia SARM/Kleb- siella-Entero- Ginecológico E.coli/anae- CL+CFTZD CFT+CL+AMG bacter-Serra- robios +AMG tia/P. aerugi- nosa/Anaerob. SARM/Kleb- Estafilococos/ CLO+CL+ siella/P. aeru- Carbapenem estreptococos AMG ginosa/Anae- +GL+AMG robios AMG: aminoglucósidos; CFT: cefotaxima; CFTZD:ceftazidima; CL: clindamicina; CLO: cloxacilina; GL:glucopéptico; PA: penicilina antipseudomonas; SARM: staphylococcus aureus resistente a meticilina. Modificado de Peréz CR. Medicine 2002;8(72):3865.
  • 78.
    TERAPIA INTENSIVA 7.7.4. TRATAMIENTO DE SOSTÉN DE LAS FUNCIONES VITALES : Este tratamiento consiste fundamentalmente en la expansión de volumen y en la administración de fármacos vasoactivos e inotrópicos. Los objetivos hemodinámicos básicos consisten en conseguir una presión arterial sistólica (PAS) superior a 90 mmHg y una diuresis mayor de 0,5 ml/kg/hora. La presión venosa central (PVC) se debe mantener entre 10 y 15 cmH20. Si fuera posible medir la presión capilar pulmonar, ésta debe mantenerse entre 12 y 18 mmHg. Los líquidos a administrarse pueden ser coloides o cristaloides. Si la PVC es ≤ 5 cmH20 iniciar la perfusión rápida de Solución salina isotónica o Solución de Ringer lactato( ≥ 1 litro/hora) o de coloides (dextranos, polímeros de gelatina o hidroexetil almidón). Esta indicada la transfusión sanguinea cuando el hematocrito es inferior a un 25% o existe evidencia de sangrado activo e hipovolemia concomitante. Es también importante mantener un aporte adecuado de oxígeno a los tejidos (hematocrito, gasto cardiaco y PaO2 elevado) para mejorar el pronóstico de estos pacientes. La utilización de los fármacos vasoactivos (como Dopamina, Dobutamina o Noradrenalina) en la sepsis severa y en el shock séptico se justifica cuando la resistencia periférica continua descendida a pesar del aporte adecuado de cristaloides o coloides (2-3 litros de líquidos entre 1 y 3 horas de comenzado el tratamiento), la presión arterial sistólica se mantiene inferior a 90 mmHg, la PAM < a 60 mmHg, existen signos de hipoperfusión tisular y la PVC se eleva por encima de 8 cmH20 o la presión capilar pulmonar asciende a > 16 mmHg. Iniciar la administración de DOPAMINA a razón de 5 mcg/kg/min. Esta dosis se incrementa en 5 mcg/kg/min. cada 5 a 10 minutos hasta 20 mcg/kg/min., con el objeto de lograr una PAM > 60-70 mmHg o una PAS >90 mmHg y una diuresis > 30 ml/hora. Si la Dopamina no es eficáz, reducirla a 1-2 mcg/kg/min. e iniciar la perfusión de NORADRENALINA a razón de 8 mcg/min., elevándola progresivamente hasta un máximo de 70 mcg/min. En caso de que no se obtenga respuesta y exista un bajo índice cardiaco ( < 2,8 L/min/m2) con presiones enclavadas o Presión capilar pulmonar óptimas (12-18 mmHg), puede asociarse DOBUTAMINA a razón de 2 mcg/kg/min., elevando la dosis con incrementos sucesivos cada 10 minutos hasta 40 mcg/kg/min. 7.7.5. DOSIS DE DROGAS VASOACTIVAS Fármaco Solución Concentración Intervalo de dosis Microgramos Microgotas* DOPAMINA 1 amp.o víal de 200 mg 800 mcg/ml 5-20 mcg/min 0,37-1.5 en 250 ml de Sol. microgotas/kg/min. dextrosa al 5 %. DOBUTAMINA 1 amp.o víal de 250 1.000 mcg/ml 2-40 mcg/kg/min 0,12-2,4 mg en 250 ml de microgotas/kg/min. Sol. dextrosa al 5%. NORADRENALINA 1 amp.o víal de 10 100 mcg/ml 8-70 mcg/kg/min 4,8-42 mg en 100 ml de microgotas/kg/min. Sol. dextrosa al 5%. *1ml : 60 microgotas. 56
  • 79.
    TERAPIA INTENSIVA MEDIDAS PARA EL SOPORTE DE LOS ÓRGANOS INSUFICIENTES : Si a pesar del aporte suplementario de oxígeno mediante mascarilla de Venturi al 35 %, la PaO2 se mantiene por debajo de 60 mmHg, son necesarias la intubación y la ventilación mecánica. En caso de que persista la oliguria (< 30 ml/hora) con parámetros hemodinámicos adecuados tras la reposición de volumen y drogas vasoactivas, administrar FUROSEMIDA a dosis de 1 mg/kg de peso y observar la diuresis durante 1 a 2 horas. Si no existe respuesta y la Creatinina sérica es < 5 mg/dl, pueden ensayarse dosis sucesivas de 5 y 10 mg/kg. Considerar la realización de hemofiltración. Corregir la acidosis metabólica mediante la administración de BICARBONATO DE SODIO, calculando la dosis con la siguiente fórmula : Dosis de bicarbonato mEq = déficit de bases x kg peso x 0,3. Si aparece diátesis hemorrágica en relación con Coagulación intravascular diseminada (CID), iniciar tratamiento sustitutivo con plasma fresco (para suministrar factores de la coagulación y antitrombina III), plaquetas (si están por debajo de 20.000/ul), crioprecipitado (concentración de fibrinógeno <100 mg/dl y, eventualmente, concentrado de antitrombina, heparina o ácido épsilon aminocaproico. La administración de heparina sólo esta indicada si fracasa el tratamiento sustitutivo anteriormente señalado y la hemorragia no está localizada en espacios que comprometen órganos vitales (SNC, pericardio, región peritraqueal) o predominan los signos de trombosis (isquemia acra, necrosis dérmica o tromboembolismo venoso). El uso de Épsilon aminocaproico puede estar indicada en los casos de CID que no responde al tratamiento sustitutivo. Debe administrarse con dosis bajas de heparina. Prevenir la aparición de lesiones agudas de la mucosa gástrica con la administración de bloqueantes H2 (Ranitidina) o de Sucralfato. Iniciar precozmente la alimentación enteral si la fuente de la sepsis no radica en el sistema digestivo, o en su defecto por vía parenteral. La administración de Corticoides sólo esta justificada si se sospecha la existencia de insuficiencia suprarrenal aguda y en entidades específicas como en la fiebre tifoidea severa, neumonía por Pneumocystis carinii en el SIDA o en la meningitis bacteriana en niños. 7.7.6. OTRAS MEDIDAS TERAPÉUTICAS : Si existe obstrucción de la vía urinaria o biliar, un absceso, tejido necrótico, un cuerpo extraño o perforación de una víscera hueca, son prioritarios el DRENAJE Y/O EL DESBRIDAMIENTO QUIRÚRGICOS independientemente del estado hemodinámico del paciente. La inestabilidad cardiorespiratoria casi nunca es una razón aceptable para retrasar la intervención si la sepsis es la causa de la inestabilidad. Instalar un catéter venoso central y monitorizar la PVC. Colocar una sonda vesical para controlar la diuresis horaria. Monitorizar la presión arterial, la frecuencia cardiaca, la frecuencia respiratoria y la temperatura corporal. 57
  • 80.
    TERAPIA INTENSIVA El paciente debe permanecer en decúbito, a ser posible con las extremidades inferiores elevadas unos 30° por encima de la cama, con el fin de favorecer el retorno venoso. 7.8. VALORACIÓN DEL PRONÓSTICO : En función del estadio del proceso infeccioso, en la actualidad en las grandes series publicadas, la mortalidad atribuible al mismo es diferente : sepsis 15%; sepsis graves 25%; shock séptico 40%-50%; shock refractario,superior al 70%. El pronóstico es malo en presencia de edad avanzada, infección con microorganismos relativamente resistentes a los antibióticos como P. aeruginosa, alteración inmunológica del huésped y estado funcional deficiente antes de la sepsis. La cirrosis hepática prexistente implica un pronóstico malo. Una vez establecido el shock séptico, los factores que predicen un mal pronóstico incluyen hipotensión intratable que requiere dosis altas de drogas vasoactivas, leucopenia, CID, acidosis metabólica (láctica) persistente o creciente y deterioro de la función miocárdica. El signo más abominable es la insuficiencia orgánica secuencial a pesar de los tratamientos antimicrobiano y quirúrgico adecuados, y las medidas óptimas de apoyo. 7.9. BIBLIOGRAFÍA: • American College of Chest Physician/Society of Critical Care Medicine Consensus Conference Committee. Definitions for sepsis and organ failure and guidelines for the use of innovative therapies in sepsis. Crit Care Med 1992;20:864-74. • Perez Cano R, Tinoco Racero y Rodriguez Leal C. Sepsis y Shock Séptico. Medicine 2002;8(72): 3861-65. • Martín Aspas A, Perez Cano R, Tinoco Racero I. Protocolo terapéutico de la sepsis y shock séptico. Medicine 2002;8(72):3897-8. • Alvarez F, Cisneros JM, Fernández et al. Indicaciones de ingreso en el servicio de medicina intensiva de pacientes adultos con infecciones graves. Enferm Infecc Microbiol Clin 1998;16: 423-30. • Wheeler AP, Bernard GR. Treating patients with severe sepsis. N Engl J Med 1999; 340: 207-14. • Bone RC, Cerra FB, Dellinger RP, Fein AM, Knaus WA et al. Definitions for sepsis and organ failure and guidelines for the use of innovative therapies in sepsis. Chest 1992; 101:1644-55. • Mensa J, Gatell JM, Jimenez de Anta MT, Prats G, Dominguez-Gil A. Guía Terapéutica Antimicrobiana 2002. 12ª. Edición. Editorial Masson. Barcelona (España) 2001; 387-9. • Luce JM. Patogénesis and management of septic shock. Chest 1987; 91: 883-7. • Lefering R, Neugebauer EA. Steroid controversy in sepsis and septic shock. A meta-analysis. Crit Care Med 1995; 23: 1294-9. • Fainstein V. Infecciones en la Unidad de Cuidados Intensivos. En: Varon Joseph. Cuidados intensivos. Editorial Mosby/Doyma Libros. Madrid (España) 1995; 222-3. • Parrillo JE, Bone RC. Critical Care Medicine: Principles of Diagnosis and Management. S. Louis: Mosby 1995. • David CM. Sepsis. En: David CM, Goldwasser R, Nácul FE. Medicina Intensiva. Diagnóstico e Tratamento. Editorial Revinter Rio de Janeiro (Brasil) 1997; 62-72. • Schierhout G, Roberts I. Fluid resuscitation with colloid or crystalloid solutions in critically ill patients. A systematic review of randomized trials. BMJ 1998; 316: 961-3. • Bressack MA, Raffin TA. Importance of venous return, venous resitance and mean circulatory pressure in the pathophysiology and management of shock. Chest 1987; 92: 906. 58
  • 81.
    TERAPIA INTENSIVA • Light RB. Choque séptico. En: Hall JB, Schmidt GA, Lawrence DH Wood. Cuidados Intensivos. 2ª edición. Editorial Mc Graw-Hill Interamericana 2001; 807-21. • Pittet D, Thievent B, Wenzel RP, et al. Bedside prediction of mortality from bacteremic sepsis: A dynamic analysis of ICU patients. Am J Respir • Crit Care Med 1996; 153: 684. • Martin C, Papzian L, Perrin G, Saux P, Gouin F. Norepinephrine o dopamine for the treatment of hyperdynamic septic shock? Chest 1993; 103: 1286-9 • Marik PE, Mohedin M. The contrasting effects of dopamine and norepinephrine on systemic and splachnic oxygen utilization in hyperdynamic sepsis. JAMA 1994; 272: 1354-7. • Honore PM, James J, Wauthier M, Lee PA, Dugernier T, Pirenne B et al. Prospective evaluation of short-term, high-volume isovolemic hemofiltration on the hemodynamic course and outcome in patients with intractable circulatory failure resulting from septic shock. Crit Care Med 2000; 28: 3581-5. • Sprung CL, Finch RG, Thijs LG, Glauser MP. International sepsis trial (INTERSEPT): Role and impact of a clinical evolution committee. Crit Care Med 1996; 24:1441-5. • Hoffman SL, Punjabi NH, Kumala S, et al: Reduction of mortality in Chloramphenicol-treated severe typhoid fever by high-dose dexamethasone. N Engl J Med 1984; 310: 82-8. • Gagnon S, Boota AM, Fischl, et al: Corticosteroids as adjunctive therapy for severe pneumocystis carinii pneumonia in the acquired immunodeficiency syndrome: A double-blind, placebo-controlled trial. N Engl J Med 1990; 323: 1441-50. • Odio CM, Faingezicht I, Paris M, et al : The beneficial effects of early dexamethasone administration in infants and children with bacterial meningitis. N Engl J Med 1991; 324:1525-31. • Light RB. Un acercamiento a la Sepsis de origen desconocido. En: may JB, Schmidt GA, Lawrence DH, Wood. Cuidados Intensivos. 2ª edición. Editorial MC Graw-Hill Interamericana 2001; 793-805. • Bernard GR, Ely EW, Wright TJ, Fraiz J, Stasek JE, Russell JA, et al. Safety and dose relationship of recombinant human activated protein C for coagulopathy in severe sepsis. Crit Care Med 2001; 29 (11): 2051-9. 59
  • 82.
    TERAPIA INTENSIVA *Gonzalo Luis Poma Plata 8. ISQUEMIA MESENTÉRICA El déficit circulatorio es raro en el tracto gastrointestinal por la circulación colateral entre los ejes celiacos y las arterias mesentéricas superior e inferior , La circulación mesentérica aumenta con la digestión y disminuye con el ejercicio ,además presenta vasoconstricción por: estímulo simpático , reducción de flujo sanguíneo y fármacos. La isquemia mesentérica , puede ser aguda o crónica. 8.1. ISQUEMIA MESENTÉRICA AGUDA: 8.1.1. CLÍNICA: Inicialmente nauseas , vómitos, diarrea , así como sensibilidad abdominal difusa sin signos peritoneales y con ruidos intestinales activos , posteriormente, dolor abdominal ,fiebre , diarrea sanguinolenta y datos de peritonitis. 8.1.2. ETIOLOGÍA: Transtornos asociados Estados de hipercoagulabilidad Trombosis venosa profunda periférica Neoplasias Deficiencia de antitrombina III Deficiencia de proteína C y S Anticonceptivos orales Embarazo Policitemia vera Trombocitosis Hipertensión portal Cirrosis Esplenomegalia congestiva Post escleroterapia de várices esofágicas Inflamación Pancreatitis Peritonitis (apendicitis, víscera perforada) Enfermedad intestinal inflamatoria Absceso pélvico o intraabdominal Enfermedad diverticular Estado postoperatorio o trauma Trauma abdominal cerrado Esplenectomía u otros estados postoperatorios 1. Embolización de la arteria mesentérica superior en un 40%, (con un 30% de estos con antecedentes embólicos). 2. Trombosis de la arteria mesentérica superior, en un 40%, trombo sobre placa ateroesclerótica, precedida a menudo por síntomas de isquemia mesentérica crónica (dolor postprandial, pérdida de peso, diarrea). 3. Isquemia no oclusiva , en un 20% por vasoconstricción mesentérica debida a bajo rendimiento cardiaco, 60
  • 83.
    TERAPIA INTENSIVA o sea un estado de “ bajo flujo” ( condiciones predisponentes: infarto de miocardio , falla cardiaca , enfermedad renal o hepática , trauma o intervención quirúrgica que causan hipovolemia o hipotensión). Cuando disminuye la circulación esplácnica hay hipoxia la que causa disminución en la síntesis de ATP y aumento en su degradación, con la elevación en la concentración de productos de la degradación del ATP tales como H+ , fosfato inorgánico y derivados de purinas que intervienen en la formación de radicales libres de oxígeno e incremento en la glicólisis anaerobia con la consiguiente producción de lactato. El aumento de H+ lleva a la generación de una gran cantidad de CO2 celular. Estos cambios isquémicos más intensos en la punta de las vellosidades ocurren a las 3 a 4 horas, la necrosis de la vellosidad es completa y se asocia con necrosis de las criptas, comprometiendo la regeneración epitelial. 8.1.3. TRATAMIENTO: 1. Medidas de soporte vital ,reanimación con líquidos. 2. Definir diagnóstico ,la prueba diagnóstica definitiva es la angiografía mesentérica. 3. Si hay datos de infarto intestinal o peritonitis : Laparotomía exploradora inmediata. 4. Sí hay embolia ( por arteriografía): Anticoagulación con heparina Embolectomía 5. Sí hay trombosis: Laparotomía inmediata. 6. Proceso no oclusivo (en la arteriografía) se ve estrechamiento marcado así como aspecto de “ podado” de los vasos distales: Reanimación con fluidos , optimizando rendimiento cardíaco. 8.2. ISQUEMIA MESENTÉRICA CRÓNICA: Complicación ateroesclerótica de 2 o 3 arterias viscerales principales caracterizada por dolor epigástrico crónico cólico 30 a 60 minutos postprandial. Existe presencia de ruidos intestinales. Se confirma con angiografía y se realiza bypass aortomesentérico o endarterectomía transaórtica. 8.3. BIBLIOGRAFÍA: • Rhee RY, et al. Mesenteric venous thrombosis. Surg Clin N A 1997; 77: 327-38. • Kaleya RN, et al. Acute mesenteric ischemia. Critical Care Clin 1995; 11: 479-511. • Jorgensen JE et al. Catástrofes vasculares abdominales: urgencias abdominales. ¿Ha cambiado algo? Clin Quir Norte Am 1997; 6: 1271-78. • Boley SJ, et al. Trombosis venosa mesentérica. Surg Clin North Am 1992; 72: 183-200. • Benjamin E, et al. Acute mesenteric ischemia: pathophysiology, diagnosis and treatment. Dis a Month 1993; 39: 157-62. • Montgomery RA, et al. Mesenteric vascular insufficiency. Curr Probl Surg 1997; 34: 966-72. • Clavien PA et al. Venous mesenteric thrombosis: a particular entity. Br J Surg 1988; 75: 252-5. • Darryl T Hiyama y cols. Manual de cirugía Mont Redd Hospital. Segunda edición ,1996 Mosby Year Book, Barcelona España . 61
  • 84.
    TERAPIA INTENSIVA *Dr.Williams PaniqueRojas 9. INSUFICIENCIA RESPIRATORIA AGUDA 9.1. DEFINICIÓN: Se habla de insuficiencia respiratoria cuando el aparato respiratorio es incapaz de suministrar un aporte adecuado de oxígeno a los tejidos, lo que puede acompañarse o no de una eliminación deficiente de C02. Insuficiencia Respiratoria Aguda (IRA) es, desde el punto de vista clínico, toda situación en la cual se encuentre, que el aparato respiratorio resulte incapaz de aportar a la economía corporal, el oxígeno que ésta necesita para mantener la función de sus órganos. Se evidencia tempranamente por la demostración de Pa02 inferior a 50 mm Hg en sangre, con PC02 alta, normal o baja según la etiología, pH ácido o alcalótico y todo el cortejo sintomático del síndrome de dificultad respiratoria. 9.2. ETIOLOGÍA: Según el defecto funcional del órgano responsable de la falla: 1.- Cerebral 2.- Medular 3.- Neuromuscular 4.- Tórax y pleura 5.- Vías aéreas superiores 6.- Cardiovascular 7.- Vías aéreas bajas y alvéolos 9.3. CUADRO CLÍNICO: La IRA sea cual sea su origen presenta como característica fundamental la hipoxemia y es la clínica derivada de esta situación la que distingue esta entidad. Podemos afirmar que el principal elemento diagnóstico es el deterioro de la función orgánica que depende críticamente del oxigeno. Lo más fácil de determinar es el estado mental o alerta, pero también la aparición de arritmias, taquipnea, shock, cianosis o aún paro cardiorrespiratorio, oliguria, acidosis o inquietud nos deben hacer buscar la causa rápidamente y solucionarla, ojalá antes de que se instale plenamente la IRA. El reconocimiento de la disfunción orgánica secundaria a hipoxemia es capital para el pronóstico. 9.3.1. EXÁMENES COMPLEMENTARIOS: Gasometría arterial. Rayos X. Hemograma. Ionograma. Pruebas de función pulmonar 9.4. TRATAMIENTO: Lo esencial es definir la capacidad del paciente para tomar el oxígeno que necesita y decidir sobre la mejor manera de aportárselo. 62
  • 85.
    TERAPIA INTENSIVA La base del manejo adecuado de la IRA es su reconocimiento temprano, la identificación clara de su origen y la adopción inmediata de las medidas terapéuticas pertinentes que son de dos tipos: Las destinadas a controlar las causas de la IRA. Las que mantendrán vivo al paciente mientras las primeras surten su efecto. El objetivo es la corrección de la hipoxemia o hipercapnia hasta que se lleven a cabo acciones específicas para corregir si es posible, los factores que causen insuficiencia respiratoria. Oxigenoterapia Cánula nasal. a través de : Ventimask. Máscaras con humidificación elevada. Máscaras con reservorio sin entrada. Tienda facial. Tubo en "T". Formas de aporte de oxígeno: Equipo Flujo de oxigeno (L/min) Fi02 obtenido ( % ) Catéter o cáula nasal 0.5 -6 24 – 40 Mascarilla facial 10 – 12 45 – 65 Mascarilla de reinhalación 6 – 10 60 - 80 Tubo en “T” 0.5 - 12 24 – 100 Para instalar el ventilador mecánico deben responderse las siguientes preguntas: Tiene el paciente una enfermedad reversible. Tiene el paciente complicaciones en otros órganos que contraindique el uso del ventilador? Se han agotado los recursos terapéuticos para manejar la IRA sin ventilador? Se intuba? Se realiza traqueotomía? 9.5. BIBLIOGRAFÍA: • Schuster P. Elbert T. Insuficiencia Respiratoria Aguda. Manual de terapéutica Médica. Salvat Ed. 1992; 578- 171. • Nabornasal J. Owens M. Hipoxemia y fisiología pulmonar. Secretos de la Anestesia. McGraw Hill Interamericana. 1996t; 752-229. 63
  • 86.
    TERAPIA INTENSIVA 10. SINDROME DE DISTRÉS RESPIRATORIO AGUDO *Dr.Oscar Vera Carrasco. 10.1. DEFINICIÓN: El Sindrome de Distrés Respiratorio Agudo (SDRA) es una forma de lesión pulmonar aguda caracterizada por un edema pulmonar por aumento de la permeabilidad en la membrana alveolo-capilar. Clínicamente se define por la presencia de *Distrés respiratorio agudo en un paciente con condiciones predisponentes. *Infiltrados bilaterales difusos en la Radiografia de tórax (patrón de edema pulmonar). *Hipoxemia (Pao2 < 55 mmHg con FI02 >0,5) con PaO2/FI02 ≤ 2OOmmHg. *Disminución de la distensibilidad estática pulmonar <40-50 ml/cm H20. *Presión de oclusión de la arteria pulmonar baja o normal (PcP ≤ de 18mm Hg). 10.2. ETIOLOGÍA: El SDRA suele asociarse a - Sepsis. - Aspiración del contenido gástrico. - Traumatismos. - Neumonia nosocomial - Coagulación intravascular diseminada. - Post circulación extracorpórea. - Hipotensión prolongada. - Fracturas múltiples (embolia grasa). - Transfusiones múltiples. - Inhalación de toxinas. - Quemaduras. - Pancreatitis. - Casi ahogamiento. - Embolia gaseosa. - Fármacos (cocaina,metadona,AAS,metadona,heroina). 10.3. CUADRO CLÍNICO: A) El SDRA puede desarrollarse en forma insidiosa en horas o dias tras la lesión inicial (Ej Neumonia) En ocasiones coincide con el factor desencadenante (Ej.Aspiración del contenido gástrico). B) Sintomatologia : Los signos y síntomas del SDRA son inespecíficos y generalmente se presenta con:
  • 87.
    TERAPIA INTENSIVA a) Disnea b) Taquipnea c) Estertores crepitantes de gruesa burbuja. d) Cianosis central y periférico. e) Agitación psicomotriz. C) Manifestaciones sistémicas de otras disfunciones orgánicas: pueden estar relacionadas con la causa desencadenante o puede representar la generalización de la respuesta inflamatoria: a) Coagulación intravascular diseminada. b) Insuficiencia renal aguda. c) Insuficiencia hepática aguda. d) Encefalopatia. e) Sepsis 10.4. EXAMENES COMPLEMENTARIOS: 1.- Hemograma y coagulograma. 2.- Gasometria arterial. 3.- Ionograma (C1-,Na+,K+). 4.- Glucemia. 5.- NUS, creatininemia. 6.- Radiografia de tórax. 7.- Otros:dependiendo de la causa desencadenante. 10.5. TRATAMIENTO: 1. Tratamiento de los factores desencadenantes: Ej.:antimicrobianos para las infecciones y sepsis, drenaje de abscesos, reposición de la volemia en el shock hipovolémico. 2. Tratamiento de Soporte: a) Oxigenoterapia y soporte ventilatorio (ver protocolo de insuficiencia respiratoria aguda y ventilación mecánica). El conocimiento actual del riesgo de lesión pulmonar que comporta el uso de volúmenes y presiones de insuflación elevadas, ha llevado a una estrategia alternativa en la que deben mantenerse presiones inspiratorias máximas por debajo de 35 cmH20, al usar Volúmenes corrientes (Vc) de 6 a 10 ml/kg peso. Para seguir esta estrategia, se inicia la ventilación mecánica con un Vc de 10 ml/kg peso. Si la presión inspiratoria máxima (PIP) resultante es superior a 35 cmH20, se reduce el Vc por pasos de 2 ml/kg hasta que la PIP descienda por debajo de 35 cmH20. Al usar estos Vc bajos, se sñade una PEEP (de 5 a 10 cmH20) para impedir las atelectasias por compresión y para limitar el colapso cíclico de las vías aéreas distales. Los objetivos de esta estrategia son: mantener una saturación arterial de oxígeno ≥ 90 % y prevenir complicaciones por una presión elevada de vías aéreas o valores elevados de FIO2 (>0.6). Los volumenes corrientes de 5 a 8 ml/kg peso puede originar hipercapnia, pero en ausencia de efectos adversos o contraindicaciones se permite continuar con esta hipercapnia denominada hipercapnia permisiva.
  • 88.
    TERAPIA INTENSIVA b) Monitorización y soporte hemodinámico: Puede ser necesaria la colocación de un catéter de Swan Ganz para un adecuado manejo de líquidos y la valoración de los efectos cardiovasculares de la PEEP. c) Soporte nutricional (ver nutrición parenteral y enteral). d) Tratamiento de las complicaciones: Insuficiencia renal aguda, infecciones, coagulación intravascular diseminada barotrauma. 10.6. BIBLIOGRAFÍA : • Ware LB, Matthay MA. The acute Respiratory Distress Syndrome. N Engl J Med 2.000; 1334-46. • Kollef MH, Schuster DP. The Acute Respiratory Distress Syndrome. N Engl J Med 1995; 27-34. • Bidani A, Tzouanakis AE, Cardenas VJ, Zwischenberger JB. Permisive Hypercapnia in Acute Respiratory Failure. JAMA 1994; 272: 957-62. • Abraham E, Matthay MA, Dinarello CA, et al. Consensus conference definitions for sepsis, septic shock, acute lung injury, and respiratory distress síndrome: time for reevaluation. Crit Care Med 2.000; 28: 232-5. • Gattinoni L, Bombino M, Pelois P, et al. Lung structure and function in different stages of severe adult respiratory distress syndrome. JAMA 1994; 271: 1772-9 • Amato MBP, Barbas CSV, Medeiros DM, et al. Effect of a protective-ventilation strategy in the acute respiratory distress syndrome. N Engl J Med 1998; 338: 347-54. • Stewart TE, Meade MO, Cook DJ, et al. Evaluation of a ventilation strategy to prevent barotraumas in patients at high risk of acute respiratory distress syndrome. N Engl J Med 1998; 338: 355-61. • Brochard L, Roudot- Thoraval F, Roupe E, et al. Tidal volume reduction for prevention of ventilator-induced lung injury in acute respiratory distress syndrome. Am J Respir Crit Care Med 1998; 158: 1831-8. • Reinoso MA. Trastornos pulmonares. En: Joseph Varon. Cuidados intensivos. Editorial Mosby/Doyma. Madrid (España) 1995; 336-39. • David CM. Síndrome de Angustia Respiratoria Aguda. En: David CD, Goldwaser R, Nácul FE. Medicina Intensiva: Diagnóstico e Trtamento. Editorial Revinter. Rio de Janeiro (Brasil) 1997; 164-9. • Bernard GR, Artigas A, Brighman KL, et al. The American-European Consensus Conference on ARDS: definitions, mechanisms, relevant outcomes, and clinical trial coordination. Am Rev Respir Crit Care Med 1994; 149: 818- 24. • Gattinoni L, D’Andrea L, Pelosi P, et al. Regional effects and mechanism of positive end-expiratory pressure in early adult respiratory distress síndrome. JAMA 1993; 269: 2122-7. • Petty TL. The acute respiratory distress syndrome. Historical perspective. Chest 1994; 105 (suppl): 44 S- 46 S. • Hickling KG, Walsh J, Henderson S, Jackson R. Low mortality rate in adult respiratory distress syndrome using low-volume, pressure-limited ventilation with permissive hypercapnia: a prospective study. Crit Care Med 1994; 22: 1568-78. • Marino PL. Síndrome de Distrés Respiratorio Agudo. En: El libro de la UCI. 2ª edición. Editorial Masson- Williams and Wilkins. España 1998; 401-16.
  • 89.
    TERAPIA INTENSIVA 11. EDEMA AGUDO PULMONAR DE ALTURA *Dr.Oscar Vera Carrasco. 11.1. DEFINICIÓN: El edema agudo Pulmonar de altura (EAPA), es una forma no cardiogénica de edema pulmonar que se produce como consecuencia del rápido ascenso a alturas iguales o superiores a 3000 metros sobre el nivel del mar. 11.2. ETIOLOGÍA: - Exposición rápida a la hipoxia de la altura. - Ocurre en sujetos hipersusceptibles a la hipoxia de la altura (generalmente niños y jóvenes) y sin antecedente de patología cardiopulmonar, que son expuestos por primera vez a la altura, o en nativos de la altura que regresan al nivel de origen después de una permanencia mayor a los 10 días en zonas bajas o a nivel del mar. - Otros factores coadyuvantes: exposición al frio, ejercicio físico, estrés. 11.3. CUADRO CLÍNICO: Tiene su inicio entre las 2 y 96 horas después del arribo a la altura. Se caracteriza por: - Disnea - Polipnea - Tos - Cianosis - Palpitaciones - Cefalea - Insomnio - Ansiedad - Náuseas - Vómitos - Expectoración espumosa y asalmonada - Taquicardia - Reforzamiento del 2do ruido pulmonar - Estertores húmedos de distribución topográfica asimétrica en ambos hemitórax, algunas veces con presentación unilateral. 11.4. EXAMENES COMPLEMENTARIOS: - Hemograma - Radiografía de tórax - Electrocardiograma - Gasometria arterial - Ionograma (Cl-, Na, K) - Cateterismo cardiaco (en caso necesario) 11.5. DIAGNÓSTICO DIFERENCIAL: - Edema pulmonar cardiogénico - Neumonía a focos múltiples - Síndrome de Distrés Respiratorio agudo de otras causas. - Sorojche o mal agudo de la montaña
  • 90.
    TERAPIA INTENSIVA 11.6. TRATAMIENTO: 11.6.1. MEDIDAS GENERALES: - Reposo absoluto - Posición semisentada - Oxígeno a través de cánula nasal a razón de 3 a 4 L/min. O ventimask FIO2 36 a 40% - Vía venosa periférica (o central en caso necesario) - Intubación endotraqueal y asistencia ventilatoria mecánica en caso necesario. - Nada por vía oral en el EAPA grado III y IV. 11.6.2. MEDICAMENTOS: En caso de no existir respuesta adecuada al reposo y la oxigenoterapia: - Furosemida 20 a 40 mg EV - Nifedipina de liberación sostenida, inicialmente 10 mg VO y luego 20 a 30 mg cada 12 horas. 11.7. BIBLIOGRAFÍA : • Vera C.O. Edema agudo pulmonar de altura: Aspectos clínicos, radiológicos, hemodinámicos, gasométricos y del medio interno. Revista Médica. Órgano oficial del Colegio Médico Departamental de La Paz 1996; 3 (1): 272-81. • Vera C.O. Gases arteriales y estado ácido-base en el edema agudo pumonar de altura. Revista Médica. Órgano oficial del Colegio Médico Departamental de La Paz 1997; 7-11. • Hackett PH, Roach RC. High-Altitude Illness. N Engl J Med 2001; 345(2): 107-13. • Honigman B, Theis MK, Kosiol-Mc Lain J, et al. Acute mountain sickness in a general tourist population at moderate altitudes. Ann Intern Med 1993; 118: 587-92. • Hackett PH, Rennie D. The incidence, importance and prophylaxis of acute mountain sickness. Lancet 1976; 2: 1149-55. • Ross RT. The random nature of cerebral mountain sickness. Lancet 1985; 1: 990-1. • Grissom CK, Roach RC, Sarnquist FH, Hackett PH. Acetazolamide in the treatment of acute mountain sickness: clinical efficacy and effect on gas exchange. Ann Intern Med 1992; 116: 461-5. • Oels O, Maggiorini M, Rtter M, et al. Nifedipine for high altitude pulmonary edema. Lancet 1989; 2: 1241-4. • Hackett PH, Creagh CE, Grover FR, et al. High altitude pulmonary edema in persons without the right pulmonary artery. N Engl J Med 1980; 302: 1070-3. • Hultgren HN. High-altitude pulmonary edema: current concepts. Annu Rev Med 1996; 47: 267-84. • Durmowicz AG, Woordeweir E, Nicholas R, Reeves JT. Inflammatory processes may predispose children to high-altitude pulmonary edema. J Pediatr 1997; 130: 838-40. • Scherrer U, Vollenweider L, Delabays A, et al. Inhaled nitric oxide for high-altitude pulmonary edema. N Engl J Med 1996; 334: 624-9. • Maggiorini M, Melot C, Pierre S, et al. High altitude pulmonary edema is initially caused by an increase in capillary pressure. Circulatio 2001; 103: 2078-83. • Nacije R, De Backer D, Vachiery JL, De Vuyst P. High-altitude pulmonary edema with primary pulmonary hypertension. Chest 1996; 110:286-9. • Hultgren HN, Lopez CE, Lundberg E, Miller H. Physiologic studies of pulmonary edema by beta-adrenergic stimulation of the alveolar transepithelial sodium transport. Am J Crit Care Med 2.000; 161: suppl: A 415. • Voelkel NF. High-Altitude Pulmonary Edema. N Engl J Med 2.002; 346 (21) 1606.
  • 91.
    TERAPIA INTENSIVA • Sartori C, Allemann Y, Dplain H, Lepori M, Egli M, et al. Salmeterol for the prevention of High-Altitude Pulmonary Edema 2.002; 346 (21): 1631-5. • Kerem E, Bistritzer T, Hanukoglu A, et al. Pulmonary epithelial sodium-channel dysfunction and excess aiway liquid in pseudohypoaldosteronism. N Engl J Med 1999; 341: 156-62.
  • 92.
    TERAPIA INTENSIVA 12. ASPIRACIÓN PULMONAR O BRONCOASPIRACIÓN *Dr.Oscar Vera Carrasco. 12.1. DEFINICIÓN : ASPIRACIÓN IMPLICA LA ENTRADA DE MATERIAL EXTRAÑO JUNTO CON LOS GASES INSPIRADOS EN LOS PULMONES . 12.2. TIPOS DE MATERIAL ASPIRADO : 1. TÓXICO : Ácidos, alcoholes, hidrocarburos volátiles, aceites y grasas de origen animal. 2. NO TÓXICO : Agua, Sol. Salina, leche, sangre, bario, líquido gástrico de pH>a 7.3 y partículas sólidas. 3. BACTERIANO : Polimicrobiano, incluido anaerobios. 12.3. SÍNDROMES CAUSADOS POR ASPIRACIÓN : Dependen del volumen y la naturaleza del material aspirado. * Síndrome de Mendelsón (gran vol. de contenido gástrico). * Aspiración de cuerpos extraños o líquidos con partículas espesas o gruesas. * Neumonía bacteriana y absceso pulmonar. * Neumonía lipoidea exógena. * Traqueobronquitis. * Semiahogamiento . 12.4. DIAGNÓSTICO : 1. Es más frecuentemente una sospecha diagnóstica (paciente mayor, debilitado o sedado, con deterioro inexplicable del estado pulmonar). 2. Retrospectivamente sobre la base del supuesto compromiso de las defensas de las vías aéreas en la época de la aspiración 3. Exploración física y exámenes complementarios (Rayos X de tórax, estudios de vías resp. bajas y del tracto GI alto). 12.5. FACTORES DE RIESGO : Alteraciones del estado neurológico: Alteraciones de reflejos de la tos, vómito, deglución. Trastornos gastrointestinales: Disfagia de orígen neurológico, acalasia, estenosis o espasmo de esófago, divertículos esofagofaringeos, hernia de hiato esofágico, obstrucción intestinal, reducción del tiempo de vaciamiento gástrico. Factores iatrogénicos: SNG, insuflado de balón de TET y tubos de traqueostomía, fármacos que prolongan el vaciamiento gástrico.
  • 93.
    TERAPIA INTENSIVA 12.6. ALTERACIONESFISIOPATOLÓGICAS : Depende de las siguientes características: * DE LA NATURALEZA DEL MATERIAL ASPIRADO * DEL VOLUMEN ASPIRADO * DE LA FRECUENCIA DE LA ASPIRACIÓN * DE LA DISTRIBUCIÓN DEL MATERIAL ASPIRADO 12.7. BRONCOASPIRACIÓN DE LÍQUIDOS TÓXICOS: * La gravedad de las lesiones depende de la acidez, del volumen yde la composición del material aspirado. * El grupo más frecuente y mejor estudiado es la Neumonitis química por aspiración del contenido gástrico. * La lesión pulmonar puede manifestarse inmediatamente o dentro de algunas horas. * Las alteraciones macroscópicas consisten en Edema, Necrosis y Atelectasia. * Las alteraciones microscópicas son degeneración del epitelio bronquial, hemorragias y exudados peribronquiales, necrosis alveolar e infiltrado alveolar por neutrófilos. * En la aspiración de líquidos tóxicos, la ACIDEZ parece ser el factor más importante. * El volumen parece tener cierta importancia, cuando el pH del material aspirado se sitúa entre 1,5 y 3,0. * La acidez es neutralizada dentro de algunos segundos después del contacto con la mucosa de las vías respiratorias. * La MORBILIDAD y MORTALIDAD tienden a ser más elevados cuanto mayor es el volumen y la distribución pulmonar del líquido tóxico aspirado. * En los casos de aspiración de LÍQUIDO GÁSTRICO conteniendo material produce una mortalidad de casi el 100 %. 12.7.1. CUADRO CLÍNICO : La aspiración de cantidad significativa de líquidos tóxicos produce frecuentemente : * Disnea * Roncus * Taquicardia * Respiración sibilante *Tos * Hipotensión arterial * Estertores *Fiebre * Cianosis La lesión del epitelio bronquial puede provocar : * Broncoespasmo * Sibilancias * Exudación masiva de mucosas * Expectoración rosada (SDRA) *Disnea * Disminución significativa del vol. intravascular. 12.7.2. EXAMENES COMPLEMENTARIOS : * Rx de tórax: - Condensaciones alveolares nodulares en segmentos de pulmón que se encontraban en posición dependiente en el momento de la aspiración. - En un 25-40 % se presentan condensaciones bilaterales diseminadas. - Las alteraciones radiológicas se manifiestan a veces después de 4 a 6 horas. * Gasometría arterial : disminución de PaO2 (precóz) y PaCO2 disminuida.
  • 94.
    TERAPIA INTENSIVA 12.7.3. TRATAMIENTO: * El éxito del tratamiento depende del diagnóstico y tratamiento precoz. * El tratamiento específico consiste en : 1. O x i g e n o t e r a p ia 2. Protección de las vías aéreas e higiene traqueobronquial. 3. Tratamiento de las vías aéreas con presión positiva (PEEP, CPAP, o ventilación con presión positiva). 4. Tratamiento medicamentoso (broncodilat., corticoides, antibióticos) 5. B r o n c o s c o p í a. 6. Reposición adecuada de líquidos. 12.8. COMPLICACIONES INFECCIOSAS EN LA BRONCOASPIRACIÓN: * Los agentes infecciosos dependen de la población de los pacientes. * En personas normales que desarrollan NEUMONÍA POR ASPIRACIÓN, los agentes patógenos son Anaerobios de la cavidad bucal (especies bacteroides, estreptococos anaerobios y especies de Fusobacterium). * Los pacientes hospitalizados o debilitados pueden tener colonización de boca y faringe por staphylococcus aureus o gram negativos. 12.9. PROFILAXIS DE LA BRONCOASPIRACIÓN: * Posición del paciente: Fowler o Trendelemburg en decúbito lateral o posición semidecúbito ventral con la cabeza más baja. * Aspiración Nasogástrica en Obstrucción intestinal. * Cuidado con la utilización de fármacos que disminuyen los reflejos de protección de vías aéreas y tiempo de vaciamiento gástrico (anestésicos, miorelajantes, opiáceos, ansiolíticos). * Antagonistas de los receptores H2 o Inhibidores de la bomba de protones (disminuyen el vol. Gástrico y elevan el pH). * Antiácidos orales No particulados (neutralizan el ácido gástrico) * Drogas Procinéticas gástricas (facilitan el vaciamiento gástrico). 12.10. BIBLIOGRAFÍA : • Bartlett JG. Pneumonia. In: Jhon G Bartlett. Management of Respiratory Tract Infections. 2nd edition. Lippincott Williams and Wilkins. Canada 1.999; 109-17. • Torres A, Serra-Batlles J, Ros E, et al. Pulmonary aspiration of gastric contents in patients receiving mehanical ventilation: the effect of body position. Ann Intern Med 1992; 116: 540. • Bartlett JG, Gorbach SL. The triple threat of aspiration pneumonia. Chest 1975; 68: 560. • Matthay MA, Rosen GD. Acid aspiration induced lung injury. Am J Respir Crit Care Med 1996; 154: 277. • Mendelson CL. The aspiration of stomach contents into the lungs during obstetric anesthesia. Am J Obstet Gynecol 1946; 52: 191. • Bynum LJ, Pierce AK. Pulmonary aspiration of gastric contents. Am Rev Respir Dis 1976; 114: 1129. • Wolfe JE, Bone RC, Ruth WE. Effects of corticosterois in the treatment of patients with gastric aspiration. Am J Med 1977; 63: 719. • Donnelly TJ, Miller YE. Broncoaspiración. En: Parsons PE, Kronish JPW. Secretos de los Cuidados Intensivos. 2ª edición. Editorial Mc Graw-Hill Interamericana. México DF. 2.000; 156-9. • Finucane TE, Bynum JPW. Use of tube feeding to prevent aspiration pneumonia. Lancet 1996; 348: 1421-4.
  • 95.
    TERAPIA INTENSIVA 13. NEUMONÍAS EN CUIDADOS INTENSIVOS *Dr. Marco Antonio García 13.1. DEFINICIÓN: Se define como neumonía a todo proceso inflamatorio o no, que ocupa el espacio aéreo periférico. Esta puede estar dada por exudado inflamatorio (neumonías bacterianas); agua (edema pulmonar); por sangre (hemorragia pulmonar); proteínas (neumonías descamativas). La neumonía intrahospitalaria deberá presentarse en un lapso de tiempo de más de 49 hrs después del ingreso del paciente al hospital, excluyendo cualquier infección que se estubiera incubando al momento de hospitalizarse. 13.2. ETIOLOGIA: Principalmente por Stafilococcus Aureus. Por otro lado: Escherichia Coli, Klebsiella, Micoplasma, pseudomona. 13.3. CUADRO CLÍNICO Y CRITERIOS DE CONFIRMACIÓN DE NEUMONÍAS EN LA UCI: CRITERIOS CLÍNICOS, MICROBIOLÓGICOS E HISTOLÓGICOS: Fiebre Uso de músculos accesorios de la respiración Taquipnea, aleteo nasal, cornaje Tos con expectoración Si esta intubado: aspiración de secreción purulenta Condensación pulmonar completa o incompleta(bloques neumónicos) Crepitos, estertores, condensación pulmonar difusa o bilateral (bronconeumonía) Infiltrados pulmonares persistentes Cultivo: mas de 10(3) ufc / cc. LBA más de 10(4) ufc / cc Leucocitosis con neutrofilia Gérmenes intracelulares mayor a 2% Cavitación Histología: hepatizacion roja o gris 13.4. PROTOCOLO DIAGNÓSTICO DE NEUMONÍAS EN AL UCI: A todo paciente intubado, se le extraerá una primera muestra para cultivo de secreciones bronquiales con el fin de tener un conocimiento previo de la flora colonizante en ese momento. Es importante la toma de muestra antes de iniciar el uso de antibióticos. Siempre que se presente fiebre se obtendrán hemocultivos así como muestras de derrame pleural si hubiese. Si el proceso neumónico fuese bilateral, difuso o en un inmunodeprimido, además de lo señalado deberá pedirse inmunofluorescencia para legionella. VIH, serologia para virus respiratorios, Micoplasma, clamidia, psitacosis, Bk y cultivo para BK. Toma de muestra ideal mediante broncoscopia con catéter telescopado.
  • 96.
    TERAPIA INTENSIVA 13.5. EXAMENESCOMPLEMENTARIOS DE URGENCIA: Hemograma: Se puede encontrar Leucocitosis con desvío izquierdo. Gasometría: La Gasometría solo sirve para determinar la magnitud de la insuficiencia respiratoria y el tiempo de evolución. Radiografía: Dependiendo de la etiología: patrón neumonico o bronconeumonico. Bacteriología: Tincion gran y cultivo para gérmenes comunes. 13.6. TRATAMIENTO: El tratamiento deberá tener un enfoque individual. Medidas generales: - Posición adecuada para permitir al paciente ventilar mejor, posición de semifowler, fowler o en posición de plegaria mahometana. - Indicación de una vía venosa permeable. - Mantener una vía aérea permeable. - Aspiración de secreciones. - Control de frecuencia respiratoria y cardiaca (monitoreo). - El oxígeno debe administrarse en concentraciones de acuerdo a su examen gasométrico. Hidratación correcta: se deberá evitar la sobrehidratación. Corrección del trastorno acido-base: Dependiendo de la alteración gasométrica. Antibioticoterapia Inicial Empírica: Cloxacilina + ceftazidima Eritromicina + cefotaxima Eritromicina + cefotaxima + rifampicina Eritromicina + ceftazidima + tobramicina Eritromicina + ciprofloxacino EL ESQUEMA PODRÁ SER MODIFICADO DE ACUERDO AL RESULTADO DEL CULTIVO SIEMPRE Y CUANDO NO HAYA RESPUESTA, DE LO CONTRARIO DEBERÁ MANTENERSE EL ESQUEMA INICIAL. 13.7. REFERENCIAS BIBLIOGRAFICAS: • I.Jimenez Murillo, F.J. Montero Pérez Protocolos de actuación en medicina de urgencias Ed. Mosby/Doyma libros,1998:77-80. • J.L. Diez Jarilla Problemas clínicos en neumología Ed. Mc Graw- Hill- Interamericana, 1999:101-119. • I.Lucas R. Casos clínicos de neumología Salvat editores S.A. 1999: 117-119. • J. Restrepo M.,D. Maldonado G. Fundamentos de medicina Neumología Ed. CIB 1989: 146-192. • E. Cespedes A. Protocolo de neumología Publicaciones cientificas VITA 2001:249-270. • A.Bisso A.,J. Candiotti V. Manual práctico de terapéutica médica 3° ed. Ed. Médica AB&C 1986:71-73. • S. Weinberger Neumología 2° ed. Ed.Interamericana-Mc Graw-Hill 199478-92. • H. Ponce de León del C. Rev. Neumología y cirugía de Tórax México 1998; 57:143-150
  • 97.
    TERAPIA INTENSIVA 14. CRISIS Y ESTATUS ASMÁTICO *Dr. Marco Antonio García 14.1. DEFINICIÓN: El asma bronquial es una enfermedad inflamatoria crónica caracterizada por una respuesta excesiva del árbol traqueobronquial a diversos estímulos que da lugar a hipersecreción y obstrucción difusa de la vía aérea, reversible de forma expóntánea o mediante tratamiento. La descompensación asmática dependiendo del tiempo de evolución y la reversibilidad farmacológica o no, se la clasifica en: Crisis asmática: Presentación aguda, no más de 24 Hrs, que puede regresionar sin tratamiento. Estado asmático (Status asmático): Evolución de más de 72 Hrs que regresiona solo con tratamiento farmacológico, constituye una amenaza para la vida y que requiere hospitalización. 14.2. CLASIFICACIÓN DESDE EL PUNTO DE VISTA ASISTENCIAL: Grado I o Leve: Sin alteración de la actividad del enfermo y no requiere hospitalización. Grado II o Moderado: Perturba la actividad del sujeto con inasistencia al trabajo, requiere tratamiento reglado.Dependiendo de la respuesta al tratamiento puede requerir o no hospitalización. Grado III o Grave: Requiere internación urgente en sala de neumología. Grado IV o muy Grave: Requiere internación en una sala de UCI. 14.3. CUADRO CLÍNICO Y CRITERIOS DE GRAVEDAD: Disnea y tos generalmente progresiva. Aleteo nasal y uso progresivo de musculos accesosorios de la respiración. Cianosis central y periférica. Paciente que adopta la posición sentada o mahometana con el cuello hiperextendido. Cornaje en los casos de asma severa. Roncus y sibilancias en los casos de espasmo de bronquios gruesos. Espiración prolongada con gran disminución del murmullo vesicular si el espamo es de bronquios de pequeño calibre o bronquios membranosos. Es frecuente encontrar subcrepitantes de mediana y gruesa burbuja. Silencio auscultatorio en estados mas graves Alteración del estado de conciencia. Dificultad para hablar. Diaforesis Hipotensión Taquipnea >30rpm Taquicardia o bradicardia Pulso paradójico
  • 98.
    TERAPIA INTENSIVA 14.4. DIAGNÓSTICODIFERENCIAL: “No todo lo que causa sibilancias es asma y el asma no siempre produce sibilancias”, por tanto es necesario tomar en cuenta otras patologías que pueden prestar a confusión: 14.4.1. LARINGE: Espasmo Inflamación aguda y crónica Edema angioneurótico Estenosis, cuerpo extraño y tumores 14.4.2.TRAQUEA Y BRONQUIOS: Intrínsecos: Bronquitis aguda y crónica (espástica) Traqueomalasia o estenosis Tumor o cuerpo extraño Bronquiolitis o bronquiectasia Enfisema pulmonar Bronquiectasias Extrínsecos: Tiroides, ganglios Aneurisma de aórta Tumor mediastinal 14.4.3. PULMONARES: Infecciosas: Tuberculosis, bronconeumonias, micosis Accidente vascular pulmonar Otros: enfisema, neoplasias, neumoconiosis, mucovisidosis, fibrosis, colagenosis 14.4.4. MISCELÁNEAS: Insuficiencia cardiaca congestiva Cardiopatía congénita – estenosis mitral Miastenia gravis Sindrome carcinoide Poliarteritis nodosa Reflujo gastroesofágico 14.5. EXAMENES COMPLEMENTARIOS DE URGENCIA: Hemograma: Se puede encontrar leucocitosis con desvío izquierdo, sobre todo en las crisis con eosinofilia relativa y absoluta. Gasometría: La gasometría en el asma solo sirve para determinar la magnitud de la insuficiencia respiratoria y el tiempo de evolución. Determinación de flujos espiratorios: Son marcadores más sensibles que la gasometría al inicio de la crisis: Peak Flow (PF).
  • 99.
    TERAPIA INTENSIVA Grado I: PaCO2 20-35mmHg PaO2 > 80 mmHg; PF >80% del valor de referencia. GradoII: PaCO2 <20 mmHg; PaO2 60-80 mmHg; PF 60-80% GradoIII: PaCO2 35-45 mmHg; PaO2 40-60 mmHg; PF 40-60% Grado IV: PaCO2 >45 mmHg; PaO2 < 40 mmHg; PF < 40% Radiografía: En las fases iniciales se puede tener una radiografía normal, a veces se pueden observar infiltrados pulmonares transitorios. En las fases crónicas del asma se encuentran signos radiológicos de atrapamiento aéreo con o sin alteración de la perfusión. 14.6. TRATAMIENTO: El tratamiento del asma deberá tener un enfoque individual. 14.6.1. MEDIDAS GENERALES: Reposo absoluto. Posición adecuada para permitir al paciente ventilar mejor, posición de semifowler, fowler o en posición de plegaria mahomentana. Indicación de una vía venosa permeable. Mantener una vía aérea permeable. Aspiración de secreciones. Control de frecuencia respiratoria y cardiaca (monitoreo). Sedar al paciente siempre y cuando el caso así lo amerite (solo en la UCI). 14.6.2. OXÍGENOTERAPIA: El oxígeno es importante, no solo por la hipoxemia que presenta el paciente, sino también por la hipertensión arterial pulmonar que se puede incrementar, sobre todo en pacientes crónicos y también por las complicaciones cerebrales o cardiacas derivadas de la hipoxemia. El oxígeno debe administrárse húmedo, por cánula nasal o bigotera o por máscara en concentraciones de acuerdo a su examen gasométrico. 14.6.3. HIDRATACIÓN CORRECTA: Se calcula 2 litros por cada m2 de superficie corporal. Se deberá evitar la sobrehidratación Se prefiere administrar 2/3 de solución glucosada al 5% y 1/3 de solución salina fisiológica. También se puede calcular entre 50 y 75 ml/kg peso/día. Corrección del trastorno ácido-base: depende de la alteración gasométrica. 14.6.4. ALTERNATIVAS BRONCODILATADORAS: Adrenalina (1:1000) 0,2 a 0,5 ml. vía sc c/15-20 min hasta 3 dosis. Administrar con cautela en mayores de 40 años. Contraindicado en hipertensos y arritmias. Nebulización con 10 a 30 gotas de Salbutamol en 5 ml. de SF, puede adicionarse atropina 0,05 mg/kg Aminofilina EV: Dosis de ataque 1,2 mg/kg./hora, utilizando 1/3 en bolo con una duración de 30 minutos los 2/3 restantes se indicarán en goteo para 24 horas. 1 mg/kg/hora en niños, 0,8 mg/kg/hora en jóvenes y fumadores, 0,6 mg/kg/hora en adultos, 0,4 mg/kg/hora en ancianos y 0,1 a 0,3 mg/kg/hora en pacientes cardiopatas, con hepatopatías o que reciben cimetidina o eritromicina. 77
  • 100.
    TERAPIA INTENSIVA La dosis de mantenimiento fluctúa entre 0,6 y 0,8 mg/kg./hora, la dosis total se recomienda no exceder de 1.500 mg/día. Estas dosis no son fijas debiendo tenerse en cuenta la respuesta terapéutica o síntomas de toxicidad. 14.6.5. CORTICOTERAPIA: Hidrocortisona EV 250 mg c/ 6 –8 horas. Niños 5 mg/kg/día. . 14.7. CRITERIOS DE INGRESO A LA UCI: Empeoramiento del cuadro a pesar de haber agotado las anteriores medidas Incremento progresivo de la PCO2 y descenso del PH. Descenso de la PaO2 por debajo de 50 mmHg a pesar de administrarse oxigeno al 50% Alteración del nivel de conciencia Agotamiento muscular 14.8. BIBLIOGRAFIA: • l. Jimenez Murillo, F.J. Montero Pérez Protocolos de actuación en medicina de urgencias Ed. Mosby/Doyma libros,1998:77-80. • J.L. Diez Jarilla Problemas clínicos en neumología Ed. Mc Graw- Hill- Interamericana, 1999:101-119. • I.Lucas R. Casos clínicos de neumología Salvat editores S.A. 1999: 117-119. • J. Restrepo M.,D. Maldonado G. Fundamentos de medicina Neumología Ed. CIB 1989: 146-192. • E. Cespedes A. Protocolo de neumología Publicaciones cientificas VITA 2001:249-270. • A.Bisso A.,J. Candiotti V. Manual práctico de terapéutica médica 3° ed. Ed. Médica AB&C 1986:71-73. • S. Weinberger Neumología 2° ed. Ed.Interamericana-Mc Graw-Hill 199478-92. • H. Ponce de León del C. Rev. Neumología y cirugía de Tórax México 1998; 57:143-150.
  • 101.
    TERAPIA INTENSIVA 15. HEMOPTISIS *Dr. Marco Antonio García 15.1. DEFINICIÓN: Emisión de sangre mediante accesos de tos en cantidad que puede variar de pequeños filamentos a hemorragia masiva, procedente del tracto respiratorio por debajo del nivel de la laringe. Se considera hemoptisis leve cuando la cantidad de sangre no sobrepasa los 15 a 20 ml en 24 hrs y moderada cuando es mayor de 15 o 20 ml, pero menor de 200 a 600 ml en 24 hrs. La hemoptisis masiva es la pérdida de 600 ml o más en 24 hrs o una rapidez de sangrado igual o mayor de 160-200 ml por hora. La hemoptisis exanguinante supone la pérdida de 1000 ml de sangre a una velocidad de al menos 150 ml por hora; por tanto la muerte se produce por ambos mecanismos: asfixia y exanguinación. 15.2. ETIOLOGÍA: * Transtornos traqueobronquiales: Traqueobronquitis aguda Bronquitis crónica Carcinoma broncogénico, adenoma bronquial Bronquiectasias Fibrosis quística Traumatismo traqueobronquial o cuerpo extraño Fístula traqueoesofágica, gangliobronquial o broncopleural Malformaciones arteriovenosas * Enfermedad pulmonar parenquimatosa localizada: Neumoniaa bacteriana Tuberculosis Absceso pulmonar Bronquiectasias * Infecciones parasitarias: Quiste hidatídico, absceso amebiano * Carcinoma metastásico * Endometriosis * Contusión pulmonar * Procesos cardiovasculares: Embolia e infarto pulmonar Estenosis mitral Falla cardiaca congestiva Edema pulmonar Aneurisma aórtico * Transtornos hematológicos: Terapia anticoagulante Hemofilia - Leucemia Trombocitopenia Enfermedad linfoproliferativa Coagulación intravascular diseminada 79
  • 102.
    TERAPIA INTENSIVA * Traumáticas: Biopsia (transtoraxica, transbronquial) Cateter de Swan-Ganz Trauma directo o intubación endotraqueal 15.3. CUADRO CLÍNICO: Las manifestaciones clínicas dependen de la patología de base y nos permitiran sospechar determinadas enfermedades: Tos crónica y expectoración abundante: bronquiectasias Sindrome tóxico infeccioso agudo y fiebre: neumonias Dolor toráxico pleurítico y disnea súbita: tromboembolismo Exploración física.- También dependerá de la etiología. En general los signos son: Hipotensión Taquipnea >30rpm Taquicardia Pulso paradójico 15.4. DIAGNÓSTICO DIFERENCIAL: El primer paso ante cualquier episodio de hemoptisis es confirmar que se trata realmente de una hemoptisis, es decir que la sangre proceda de la vía respiratoria subglótica y no del tracto digestivo o de la región oronasofaríngea. 15.5. EXAMENES COMPLEMENTARIOS DE URGENCIA: Radiografía: los hallazgos radiológicos dependerán de la etiología, pudiendo no encontrarse alteración alguna ej. Infiltrado precoz, fístula gangliobronquial. Hemograma: proporciona información acerca de la cuantía de la pérdida sanguínea y orienta en el diagnóstico de procesos infecciosos o no. Gasometría: la gasometría sirve para determinar la magnitud de la insuficiencia respiratoria y el tiempo de evolución. Gamagrafía y arteriografía: fundamental en el diagnóstico de TEP. Coagulograma: en alteraciones de la coagulación. Bioquimica sanguínea: Ej.Insuficiencia renal crónica- uremia. Electrocardiografía. TAC, resonancia magnética. Broncoscopia. 15.6. TRATAMIENTO: 15.6.1. MEDIDAS GENERALES: Reposo absoluto NPO (obligada para la realización de broncoscopia) Monitoreo de constantes: TA, FC, PVC,temperatura, diuresis Posición adecuada para permitir al paciente ventilar mejor, decúbito lateral del lado afectado.
  • 103.
    TERAPIA INTENSIVA Oxigenoterapia Indicación de una vía venosa permeable y administración de cristaloides dependiendo del estado hemodinámico y la patología de base. Mantener una vía aérea permeable y aspiración de secreciones y/o sangre. Cuantificación del sangrado Restitución de sangre entera fresca o concentrado de hematíes si el Hto es < a 27% Expansores plasmáticos en caso de no contar con el anterior Tranquilizar o sedar al paciente siempre y cuando el caso así lo amerite (solo en la UCI). 15.6.2. MEDIDAS FARMACOLÓGICAS: Antitusígenos: pueden producir depresión respiratoria. Clobutinol (silomat) 1 amp. EV c/6-8 hr o infusión contínua en solución compatible . Clobutinol VO 1 compr. C/6-8 horas. Codeina 30 mg. 1 compr. VO c/6-8 horas. Sedantes: pueden producir depresión respiratoria. Uso supervisado o si se dispone de asistencia ventilatoria mecánica Procoagulantes: sólo si se demuestran alteraciones de la coagulación. Ácido Épsilon amicocaproico (Ipsilon). Etamsilato (dicinone) Hemocoagulasa(reptilase) 15.6.3. POSIBILIDADES TERAPÉUTICAS: Broncoscopia: para intentar identificar el lugar de sangrado e intentar tratamientos locales para cohibir la hemorragia. Instilación de solución de adrenalina 1/20.000 Instilación de suero salino helado Taponamiento endotraqueal (Fogarty, Swan Ganz). Intubación endotraqueal selectiva Laserterapia- crioterapia Embolización de la arteria bronquial 15.6.4. TRATAMIENTO QUIRÚRGICO. 15.7. BIBLIOGRAFÍA: • l. Jimenez Murillo, F.J. Montero Pérez Protocolos de actuación en medicina de urgencias Ed. Mosby/Doyma libros,1998:71-75. • J.L. Diez Jarilla Problemas clínicos en neumología Ed. Mc Graw- Hill- Interamericana, 1999:29-38. • I.Lucas R. Casos clínicos de neumología Salvat editores S.A. 1999: 129-133. • J. Restrepo M.,D. Maldonado G. Fundamentos de medicina Neumología Ed. CIB 1989: 70. • E. Cespedes A. Protocolo de neumología Publicaciones cientificas VITA 2001;:99-111. • S. Weinberger Neumología 2° ed. Ed.Interamericana-Mc Graw-Hill 1994;28-29. • H. Ponce de León del C. Rev. Neumología y cirugía de Tórax México 1999; 58:1-3. 81
  • 104.
    TERAPIA INTENSIVA 16. TROMBOEMBOLISMO PULMONAR *Dr. Oscar Vera Carrasco 16.1. DEFINICIÓN : EL TROMBOEMBOLISMO PULMONAR (TEP) ES LA OBSTRUCCIÓN INTRAVASCULAR AGUDA DE LAS RAMAS DEL LECHO ARTERIAL PULMONAR POR TROMBOS PROCEDENTES DEL TERRITORIO VENOSO. El 90% de pacientes con TEP tienen como sitio de orígen de los trombos, venas por debajo de la vena cava inferior, principalmente venas femorales, iliacas y pélvicas. 16.2. FACTORES DE RIESGO : 16.2.1. ÉSTASIS VENOSA - Inmovilización - Obesidad - Insuficiencia Venosa profunda crónica - Insuficiencia cardiaca congestiva - Enfermedad pulmonar crónica - Ocupación laboral que favorezca - la éstasis venosa prolongada. (*) Factores de alto riesgo. 16.2.2. TRAUMA: - Cirugía (periodo post operatorio), más en mayores de 40 años. - Cirugía ortopédica en cadera y rodilla (*). - Quemaduras - Fracturas de pelvis o de extremidades inferiores. - Periodo de post parto. (*) Fsctores de alto riesgo 16.2.3. HIPERCOAGULABILIDAD : • Primaria :(*) - Déficit de antitrombina III, proteina C o proteina S. - Presencia de factor anticoagulante lúpico. - Títulos elevados de anticuerpos anticardiolipina. - Defecto en la liberación de activador del plasminógeno hístico (t-PA). - Excesiva liberación de inhibidor del t-PA (*) Factores de alto riesgo 82
  • 105.
    TERAPIA INTENSIVA • Secundaria (*) . - Inmovilización postoperatoria. - Alteraciones de la coagulación sec. a Sindrome nefrótico. - Inserción de un catéter venoso central permanente. - Anomalias plaquetarias relacionadas con procesos mieloproliferativos, hemoglobinuria paroxística nocturna o utilización de heparina. - Hiperviscosidad asociada a policitemia, leucemia, enfermedad de células falciformes. (*) Factores de alto riesgo 16.2.4. ESTRÓGENOS: - Medicación anticonceptiva. 16.2.5. NEOPLASIAS: - Adenocarcinoma de pulmón - Adenocarcinoma del tracto gastrointestinal 16.2.6. OTROS: - Edad superior a 70 años - Esplenectomia 16.3. FORMAS DE PRESENTACIÓN CLÍNICA : 1. INFARTO PULMONAR Dolor pleurítico y disnea 2. EMBOLIA SUBMASIVA SIN INFARTO Disnea aguda inexplicable y aprensión 3. EMBOLIA MASIVA (obstrucción > 50 %) Cor pulmonale agudo 16.4. CUADRO CLÍNICO : Signos y síntomas comunes * Frecuentes : - Crepitantes - Ausencia de síntomas - Dolor (pantorrilla o torácico) - Taquipnea -Tos - Taquicardia * Infrecuentes : -Disnea - Roncus-Sibilancias - Aprensión - Cianosis * Ocasionales : - Tercer ruido 83
  • 106.
    TERAPIA INTENSIVA -Fiebre - Ingurgitación yugular - Flebitis - Síncope - Sudoración - Hemoptisis; Angina de pecho 16.5. EXAMENES COMPLEMENTARIOS : 16.5.1. LABORATORIO : * Gasometría arterial : hipoxemia * Elevación del D(A-a)O2 * Leve reducción de la PaCO2 * Test bioquímicos: elevación de DHL (75%), TGO (30%) y bilirrubina (10-15%) 16.5.2. ELECTROCARDIOGRAMA : * Taquicardia sinusal * Desvio agudo del eje a la derecha * P pulmonale * Inversión de la onda T * Alteraciones del segmento ST en las derivaciones derechas. * S1, Q3, T3 o S1, S2, S3 16.5.3. RADIOGRAFÍA DE TÓRAX . * Áreas de hipoperfusión con zonas de hiperclaridad (Signo de Westermark). * Prominencia de los hilios pulmonares. * Elevación de cúpula hemidiafragmática. * Atelectasia laminar o segmentarias. * Derrame pleural. * Área de opacificación de configuración triangular, con base en pleura y vértice en el hilio pulmonar. A menudolocalizada en zonas posterobasales (Giba de Hampton). 16.5.4. ECOCARDIOGRAFÍA : Puede evidenciar: * Signos de hipertensión pulmonar. * Sobrecarga de cavidades cardiacas derechas. * Desvio del septo interventricular de derecha a izquierda. * Disminución del Ventrículo derecho. * Insuficiencia Tricuspidea. * Trombos intraarteriales 16.5.5. OTROS : * Angiografía digital pulmonar de sustracción. * Tomografía computarizada. * Resonancia magnética, imágenes con radioisótopos(indio 111) y angioscopía con fibra óptica. * Gammagrafía de Ventilación-Perfusión. 84
  • 107.
    TERAPIA INTENSIVA * Arteriografía pulmonar * Flebografía; RMN de TVP de extremidades infs. o pélvicas. * Pletismografía de impedancia * Exploración con ultrasonidos de venas profundas de piernas combinada con el Doppler en color. 16.6. CRITERIOS DE GRAVEDAD DEL TEP : * Inestabilidad hemodinámica * Hipoxemia grave * Tromboembolismo pulmonar masivo * Trastornos del ritmo cardiaco * Cardiopatía de base 16.7. TRATAMIENTO : 16.7.1. ANTICOAGULACIÓN : A) Heparina sódica :por infusión IV continua, inyección intermitente o vía SC (7 -10 días) Infusión continua: Adm. inicial 5.000-10.000 UI (80 U/kg), seguida de infusión continua 18 U/kg/h. o 500 U/kg/dia. AJUSTAR LA DOSIS SEGÚN el Tiempo Percial de tromboplastina activada (PTTa) 1,5 a 2,5 veces superior al valor control c/ 6 horas. B. Heparinas de bajo peso molecular: * Dalteparina cálcica: 200 anti-Xa UI/kg SC c/24 horas (no exceder 8.000 UI por dosis) * Enoxaparina sódica: 1 mg/kg SC c/12 hs. o 1,5 mg/kg cada 24 hs. (no exceder 180 mg) * Nadroparina cálcica: 86 anti-Xa UI/kg SC BID (10 días) * Tinzaparina sódica: 175 anti-Xa UI/kg SC por dia. C. Anticoagulantes orales: Warfarina sódica: Dosis inicial: 10 mg/día. Posteriormente dependerá del INR o TP (ideal 2 a 3 de INR). 16.7.2. TRATAMIENTO FIBRINOLÍTICO O TROMBOLÍTICO: Dentro las primeras 42 horas de evolución y mantener durante 24 horas. * Estreptoquinasa: Dosis inicial 250.000 U en infusión continua durante 20 a 30 min. Posteriormente 100.000 U/h. durante 24 hs. (antes de infusión Hidrocortisona 100 mg IV y repetir c/12 hs. * Uroquinasa: Dosis inicial 4.400 UI/kg IV durante 10 min.,seguida de 4.400 UI/kg cada hora durante 12-24 hs. * Activador tisular de plasminógeno (tPA): 100 mg IV en 2 a 3 hs.o 15 mg en bolo, 50 mg en infusión durante 30 min., seguido de 35 mg en infusión en 1 hora. 16.7.3. TRATAMIENTO QUIRÚRGICO: * Interrupción de la vena cava inferior * Embolectomía pulmonar 16.7.4. OTRAS MEDIDAS TERAPÉUTICAS . * Corregir la hipoxemia. * Uso de broncodilatadores cuando exista broncoespasmo. * Uso de a n a l g é s i c o s. 85
  • 108.
    TERAPIA INTENSIVA * Soporte hemodinámico en caso necesario. * Soporte ventilatorio cuando este indicado 16.8. MONITORIZACIÓN : *Clínica * Cardiovascular *Ventilatoria * Intercambio gaseoso * Coagulación 16.9. PROFILAXIS: * Uso de heparina en dosis baja o heparinas de bajo peso molecular. * Anticoagulantes orales. * Dextran 40. * Batas de compresión neumática intermitente de piernas. * Medias elásticas de compresión gradual. * Fisioterapia. 16.10. BIBLIOGRAFÍA: • Stein PD, Henry JW. Prevalence of acute pulmonary embolism among patients in a general hospital and at autopsy. Chest 1995; 108: 978-81. • Cullen DJ, Nemeskal AR. The autopsy incidence of acute pulmonary embolism in critically ill surgical patients. Intensive Care Med 1986; 12: 399-403. • Stein PD, Goldhaber SZ, Henry JW, et al. Arterial blood gas analysis in the assessment of suspected acute pulmonary embolism. Chest 1996; 109: 78-81. • Come PC. Echocardiophic recognition of pulmonary arterial disease and determination of its cause. Am J Med 1988; 84: 384-94. • PIOPED Investigators: Value of the ventilation/perfusion scan in acute pulmonary embolism: Results of the Prospective Investigation of Pulmonary Embolism Diagnosis (PIOPED). JAMA 1990; 263: 2753-9. • Stein PD, Hull RD, Saltzman HA, et al. Strategy for diagnosis of patients suspected acute pulmonary embolism. Chest 1993; 103: 1553-9. • Hull RD, Raskob GE, Hirs J, et al. Continous intravenous heparin in the initial treatment of proximal vein thrombosis. N Engl J Med 1986; 315: 1109-14. • Hull RD, Raskob GE, Rosenbloom D, et el. Heparin for 5 days as compared with 10 days in the initial treatment of proximal venous thrombosis. N Engl J Med 1990; 322: 1260-4. • Hull R, Pineo GF. Low molecular weight heparin treatment of venous thromboembolism. Prog Cardiovasc Dis 1994; 37: 2: 71-8. • Witty LA, Krichman A, Tapson VF. Thrombolytic therapy for venous thromboembolism: utilization by practicing pulmonologist. Arch Intern Med 1994; 154: 1601. • Lund O, Nielsen TT, Schifter S, et al. Treatment of pulmonary embolism with full dose heparin, streptokinase or embolectomy-results and indications. Thorac Cardiovasc Surg 1986; 34: 240-6. • Toglia MR, Weg JG. Venous thromboembolism during pregnancy. N Engl J Med 1996; 335: 108-14. • Keane MG, Ingenito EP, Goldhaber SZ. Utilization of venous thromboembolism prophylaxis in the medical intensive care unit. Chest 1994; 106: 13-22. • Schmidt GA. Trastornos Embólicos Pulmonares: trombos, aire y gas. En: may, Schmidt, Wood. Cuidados 86
  • 109.
    TERAPIA INTENSIVA Intensivos. 2a edición. Editorial Mc Graw-Hill Interamericana. México DF. 2.000; 469-91. • Rubí M, Barbé F. Tromboembolismo pulmonary. En: Agustí AGN. Función pulmonar aplicada. Editorial Mosby/Doyma. Madrid (España) 1995; 175-83. • Carson JL, Kelley MA, Duff A, et al. The clinical course of pulmonary embolism. N Engl J Med 1992; 326: 1240. • Ginsberg JS. Management of venous thromboembolism. N Engl J Med 1996; 335: 1816. • Weitz JI. Low-molecular-weight heparins. New Engl J Med 1997; 337: 688. • Koopman MMW, Prandoni P, Piovella F, et al. Treatment of venous trombosis with intravenous unfractioned heparin administered in the hospital as compared with subcutaneous low-molecular-weight heparin administered at home. New Engl J Med 1996; 334: 682. • Hyers TM, Agnelli G, Hull RD, et al. Antithrombotic therapy for venous thromboembolic disease. Chest 2.001; 119: 176 S. • Hirsh J, Dalen J, Anderson DR, et al. Oral anticoagulants: mechanism of action, clinical effectiveness, and optimal therapeutic range. Chest 2.001; 119 (1 suppl):8 S. • Goldhaber SZ. Evolving concepts in thrombolytic therapy for pulmonary embolism. Chest 1992; 101: 183 S. • Decousus H, Leizorovicz A, Parent F, et al. A clinical trial of vena caval filters in the prevention of pulmonary embolism in patients with proximal deep-vein thrombosis. N Engl J Med 1998; 338:409. 87
  • 110.
    TERAPIA INTENSIVA 17. VENTILACION MECÁNICA O ASISTENCIA RESPIRATORIA MECÁNICA *Dr. Oscar Vera Carrasco 17.1. DEFINICIÓN: ES UN PROCEDIMIENTO DE SUSTITUCIÓN TEMPORAL DE LA FUNCIÓN VENTILATORIA NORMAL REALIZADA POR MEDIO DE VENTILADORES O RESPIRADORES, EN AQUELLAS SITUACIONES EN LAS QUE ÉSTA, POR DIVERSOS TRANSTORNOS PATOLÓGICOS, NO CUMPLE LOS OBJETIVOS FISIOLÓGICOS QUE LE SON PROPIOS. 17.2. INDICACIONES: 1. OXIGENACIÓN INADECUADA: Disminuyen la PaO2. * Cortocircuito de derecha a izquierda (mezcla venosa) * Desequidibrio en la Ventilación/Perfusión (V/Q) 2. VENTILACIÓN ALVEOLAR INADECUADA: Incrementan la PaCO2. * Depresión del centro respiratorio o Apnea. * Alteraciones de la caja torácica. * Falla de los músculos respiratorios. 3. TRABAJO RESPIRATORIO EXCESIVO. * Disminución de la Compliance (músculos respiratorios consumen hasta el 25% del V02 total).Incrementa el consumo de oxígeno. 17.3. PRINCIPIOS BÁSICOS PARA INICIAR LA VENTILACIÓN MECÁNICA * La VM debe satisfacer los objetivos señalados anteriormente (Oxigenación y eliminación de C02 adecuados con los mínimos efectos secundarios.). *El patrón ventilatorio óptimo depende no sólo de las ptologías subyacentes, sino de otras variables como V02 y VC02, resistencias de las vías aéreas y compliance. 17.3.1. PARÁMETROS BÁSICOS A SELECCIONAR: FI02 : Ajustar para mantener PaO2 entre 60 y 90 mmHg (En la medida de lo posible escoger F102 entre 0,4 y 0,6) Vc : Habitualmente es adecuado un Vc entre 10 a 12 ml/kg peso (disminuir en SDRA). FR: Como medida sistemática se escoge una FR entre 10 y 15 por minuto para generar un Vol. Minuto entre 8 y 12 L/minuto. Relación I/E: Habitualmente se escoge una I/E de 1:2 (imita resp. Espontánea) PEEP: Si esta indicado utilizar incrementos graduales de 3 a 5 cmH2O. 88
  • 111.
    TERAPIA INTENSIVA 17.4. ESTRATEGIASDE LA VENTILACIÓN MECANICA Parámetro ventilatorio Estrategias de ventilación Tradicional Protección pulmonar Volumen corriente (Vc) 10-15 ml/kg 5-10 ml/kg Suspiros mecánicos Vol. 15-30 ml/kg Ninguno Frec. 6-12/hora Presión inspiratoria final Pres. Pico Pres. plateau <35 cmH20 <50 cmH20 PEEP Sólo cuando sea necesario 5-15 cmH2O mantener F102<0,6 Gases en sangre arterial PaCO2 normal o habitual Permitida hipercapnia pH pH 7,36-7,44 7,20-7,44 17.5. VENTILADORES CICLADOS POR VOLUMEN: Sumínistran un Volumen corriente (Vc) prefijado y ciclan hasta entregarlo, de manera que se asegura un Volumen minuto fijo, sin considerar la presión en la vía aérea. VENTAJAS DESVENTAJAS Aseguran un Volumen fíjo (excepto fugas) Riesgo de barotrauma. Capacidad para ventilar enfermos difíciles. 17.6. OBJETIVOS: * Mantener PaO2 en límites seguros. * Mantener PaCO2 y pH en valores próximos a la normalidad. * Mantener reducidas las presiones de vias aéreas e intratorácicas. * Mantener al paciente confortable y en condiciones de seguridad. 17.7. MODOS VENTILATORIOS: 1. Ventilación mecánica CONTROLADA (CMV) 2. Ventilación ASISTIDA-CONTROLADA (AC) 3. VENTILACIÓN MANDATORIA INTERMITENTE (IMV) 4. IMV SINCRONIZADA (SIMV) 5. VENTILACIÓN CON PRESIÓN CONTROLADA (PCV) 6. VENTILACIÓN CON PRESIÓN CONTROLADA Y RELACIÓN INVERTIDA (PCIRV) 7. VENTILACIÓN CON PRESIÓN DE SOPORTE (PSV) 8. PRESIÓN POSITIVA CONTÍNUA DE LA VíA AÉREA (CPAP) 89
  • 112.
    TERAPIA INTENSIVA 17.7.1. VENTILACIONMECÁNICA CONTROLADA (CMV): El Ventilador suministra un número preseleccionado de respiraciones por minuto, a un Volumen corriente también predeterminado. - La máquina es insensible a los esfuerzos respiratorios del paciente. - Es una modalidad de Soporte ventilatorio total. 17.7.2. VENTILACIÓN ASISTIDA CONTROLADA (AC): * Cuando el paciente puede respirar espontáneamente, se ajusta el ventilador de modo que suministre una respiración cada vez que el paciente inicia una respiración, se denomina VENTILACIÓN ASISTIDA. * Cuando el ventilador proporciona un Vc preselecciónado en respuesta a los esfuerzos inspiratorios del paciente, se denomina VENTILACIÓN ASISTIDA-CONTROLADA. El paciente decide la FR, permitiéndole así autoregular su Volumen minuto. No obstante se suele fíjar una Frecuencia respiratoria mínima. 17.7.3. VENTILACIÓN MANDATORIA INTERMITENTE (IMV) * El paciente combina la Ventilación controlada y la espontánea. Por tanto, puede respirar espontáneamente de una fuente de gas provista por el respirador y a su vez éste cada determinado tiempo le da una ventilación con el Ve establecido previamente * Si los ciclos mecánicos del respirador se hacen coincidir con el esfuerzo espontáneo del paciente, este modo se denomina VENTILACIÓN MANDATORIA INTERMITENTE SINCRONIZADA (IMVS). 17.7.4. VENTILACIÓN CONTROLADA POR PRESIÓN (PCV): * Es un modo ventilatorio donde la presión suministrada por el ventilador genera un Volumen corriente. * El ventilador cicla por tiempo, vale decir, se programa el tiempo inspiratorio o FR y él Vc dependerá del flujo. Se proporciona una presión contínua en la vía aérea que se mantiene durante la inspiración, hasta alcanzar una PRESIÓN predeterminada. 17.7.5. VENTILACIÓN CONTROLADA POR PRESIÓN Y RELACIÓN INVERTIDA (PCIVR): * Modo ventilatorio que va dirigido a alargar el tiempo inspiratorio por encima del 50 % de la duración total del ciclo respiratorio (relación I/E invertida). Genera un aumento de la Presión media intratorácica y atrapamiento de gas alveolar (auto PEEP). 17.7.6. VENTILACIÓN CON PRESIÓN DE SOPORTE (PSV): Es un modo de soporte ventilatorio parcial en las que las respiraciones espontáneas del paciente son suplementadas con una presión positiva inspiratoria fijada por el clínico, que se suma a la presión negativa generada por el propio paciente, aumentando así el Volumen de la ventilación y disminuyendo el Trabajo respiratorio. 90
  • 113.
    TERAPIA INTENSIVA Es un modo ventilatório de tipo asistido. Se usa fundamentalmente como un método de desconexión o "destete" de VM. 17.7.7. PRESIÓN POSITIVA CONTÍNUA DE LA VÍA AÉREA (CPAP): Los ventiladores modernos incorporan en su mecanismo este sistema de CPAP, cuyo flujo debe ajustarse por encima del Volumen-minuto del paciente. Las Vías del circuito, inspiratoria y espiratoria están presurizadas al mismo nivel, produciendo esta presión contínua. Prácticamente es un sistema PEEP sin ventilador, o sea que el Paciente respira espontáneamente y mantiene una presión en su via aérea, superior a la del medio ambiente, sin aumentar el trabajo respiratorio. 17.7.8. PRESIÓN POSITIVA AL FINAL DE LA ESPIRACIÓN (PEEP) * Es el mantenimiento artificial de una Presión positiva después de una espiración completa. * Se puede utilizar tanto en pacientes con intubación endotraqueal como con mascarilla facial. * Si se la utiliza conjuntamente con la ventilación mecánica controlada se conoce como CPPV. * Cuandó se emplea con un sistema que mantiene estable y positiva la Presión de la vía aérea durante la respiración espontánea se denomina CPAP. * También puede usarse con la IMV y con la VM asistida. USOS CLÍNICOS DE LA PEEP: * Hipoxemia persistente a pesar de una FI02 ≥ 50 %(SDRA). * Ventilación ciclada por Volumen con Vc bajos (5-10 ml/kg peso), impidiendo de esta forma la apertura y cierre repetidos de las vías aéreas de pequeño calibre y lesión pulmonar posterior * Enfermedad Pulmonar Obstuctiva Cróiaica (EPOC). 17.8. COMPLICACIONES DE LA VENTILACIÓN MECÁNICA 17.8.1. RELACIONADAS CON LA VÍA AÉREA ARTIFICIAL : 1. Durante la intubación a) Traumáticas: Lesiones de columna cervical, dentarias, de mucosas implicadas, perforación de seno piriforine, epistaxis. b) Reflejas: Bradiarritmias, broncoespasmo, espasmo de glotis, hipotensión arterial, hipertensión arterial, taquiarrítmias, tos, aumento de la presión intratorácica, barotrauma, vómitos, broncoaspiración. c) Otras: Imposibilidad de intubación, intubación esofágica, intubación en bronquio derecho. 2. Durante y después de] mantenimiento de la vía aérea artificial: * Movilización del tubo endotraqueal (TET): auto extubación, intubación en bronquio derecho. * Obstrucción del TET: Tapón de moco, acodamiento, herniación del neumotaponamieinto. * Neumotaponamiento incompetente: Distensión gástrica, broncoaspiración. * Traumáticas: Lesiones orales, nasofaringeas laringeas, traqueales. * Infecciones: Otitis media, sinusitis, neumonías. 91
  • 114.
    TERAPIA INTENSIVA 17.8.2. RELACIONADAS CON LA PROPIA VM: * Problemas mecánicos y asistenciales: Error de montaje, fallo en alarmas, gases o eléctrico y error humano. * Barotrauma y Volutrauma: Neumotórax, neumomediastino, neumopericardio, neumoperitoneo, enfísema subcutáneo y enfisema intersticial. * Sobreinfecciones. * Atelectasia, Neumonías. * Toxicidad por Oxígeno. * Otras: Distensión gástrica, hipertensión intracraneal, retención de líquidos, hiponatrenia, lnsuficiencia Renal, desequilibrio ácidobase, tromboflebitis y TEP, úlceras de estrés, disfunción hepática. Transtornos Hemodinámicos, hematológicos y psicológicos. 17.9. DESCONEXIÓN O "DESTETE" DE LA VENTILACIÓN MECÁNICA Premisas básicas para iniciar la desconexión de la VM: - Presencia de estimulo respiratorio central. - Parénquima pulmonar funcionante suficiente para un intercambio gaseoso correcto. - Adecuada potencia y resitencia muscular. 17.9.1. MÉTODOS: - Con tubo en "T". - Con Ventilación mandataria intermitente (IW). - Con apoyo de Ventilación con Presión de Soporte (PSV). 17.10. CRITERIOS PARA LA DESCONEXIÓN DE LA VM PARAMETROS VALORES a) Intercambio gaseoso PaO2/FI02 > 200 mmHg D(A-a)02 con Fi02 1 < 300 mmHg PaO2 con FI02 < 0,4 > 60 mmHg SaO2 con FI02 < 0,4 PEEP <5 > 95 % QS/Qt < 20 % b) Mecánica Ventilatoria Volumen corriente (Vc o VT) > 5 mi/kg Capacidad Vital (VC) > 10 mi/kg Frecuencia respiratoria (FR) < 35 resp./min. (en adultos) Volumen minuto respiratorio (VE) < 10 L/min. Presión inspiratoria negativa máxima (MIP) > -20 cm H2O Frec. Respiratoria /Volumen corriente < 100/min/L 92
  • 115.
    TERAPIA INTENSIVA 17.11. PROTOCOLOPARA DESCONEXION DE LA VENTILACIÓN MECÁNICA CON TUBO EN “T” 1. Obtener valores basases de Gasometría art., FC, FR y TA. 2. Conseguir un ambiente tranquilo con la presencia de la Enfermera y el médico para apoyar psicológicamente al paciente. 3. Evitar el uso de fármacos depresores del SNC. 4. Incorporar al paciente en posición semisentada. 5. Conectar el TET a un tubo en "T" y 02 suplementario con F102 un 10% > a la que tenía previamente el paciente en VM. Luego de 15min. Gasometría arterial (GSA). Si es aceptable la GSA probar un intervalo de 15 minutos; si es bien tolerado se intenta un intervalo de 30 minutos. Si durante todos los periodos tiene buena tolerancia clínica y GSA y no existe patología pulmonar subyacente, EXTUBACIÓN. 6. En VM prolongada y/o EPOC se debe continuar el intervalo de retirada progresiva, con intervalos de 1, 2, 4, 8, 12 horas. 17.12. PROTOCOLO DE DESCONEXIÓN DE LA VENTILACIÓN MECÁNICA CON IMV 1. Obtener valores basases de GSA, FC, FR y TA. 2. Evitar admintarar fármacos depresores del SNC. 3. En pacientes con patología pulmonar subyacente, la frec. de la IMV de partida será igual al mitad de la obtenida en la A/C, luego reducir con intervalos de 30 min. hasta llegar a cero. - Si es bien tolerado clínica y gasometricamente, se puede EXTUBAR. - Si la disminución de la frecuencia de la IMV no fuera bien tolerada, subir nuevamente la Frec. hasta niveles que permitan el bienestar del paciente y una GSA aceptable para volver nuevamente el destete. 4. En pacientes con VM prolongada y/o EPOC, iniciar la IMV con 8 respiratorias mandatorias y un Vc de 10 ml/kg; utilizar una Fi02 un 10 % superior a la que se requería previamente. - Obtener Gasometrias arteriales a los 30 y 60 minutos. - Si existe empeoramiento de la GSA, subir la Frec. de la IMV hasta obtener la GSA adecuada. - Si los GSA son aceptables, disminuir la Frec. de la IMV a 6 respiraciones/minuto y luego ir bajando paulatinamente de 2 en 2 respiraciones hasta llegar a cero. - Si es bien tolerado clínica y gasometricamente, se coloca un tubo en "T" durante 12 horas antes de la EXTUBACIÓN. 17.13. PROTOCOLO DE LA DESCONEXIÓN DE LA VM CON PRESIÓN DE SOPORTE (PSV) * Modo en el que el paciente respira espontáneamente a través del ventilador, y éste proporciona una Presión inspiratoria predeterminada que aumenta el Vc espontáneo. * Esta presión provoca un Flujo de gas que se añade al que origina el paciente al realizar la presión negativa. * Se considera que un nivel de Presión de 6-7 cmH20 requiere el mismo trabajo respiratorio que la respiración espontánea. * Durante la inspiración el paciente controla el tiempo inspiratorio, el Flujo y la FR. El Vc depende del nivel de presión de soporte prefijado, del esfuerzo que realice el paciente y de su mecánica pulmonar. Este modo puede ser útil en pacientes con "Destete" difícil (EPOC) 93
  • 116.
    TERAPIA INTENSIVA 17.14. FACTORESQUE PUEDEN DIFICULTAR EL "DESTETE" * H IPOX E MI A. * INESTABILIDAD HEMODINÁMICA. * DEPENDENCIA PSICOLÓGICA DEL VENTILADOR. * DESEQUILIBRIO ENTRE LA DEMANDA Y CAPACIDAD DE VENTILACIÓN. 17.15. BIBLIOGRAFÍA : • Amato MBP, Barbas CSV, Medeiros DM, et al. Effect of a protective-ventilation strategy on mortality in the acute respiratory distress syndrome. N Engl J Med 1998; 338: 347-54. • Gammon RB, Shin MS, Buchalter SE. Pulmonary barotraumas in mechanical ventilation. Patterns and risk factors. Chest 1992; 102: 568-72. • Lee PC, Helmoortel CM, Cohn SM, Fink MP. Are low tidal volumes safe?. Chest 1990; 97: 430-4. • Tobin MJ, Dantaker DR. Mechanical ventilation and weaning. In: Dantzker D (ed): Cardiopulmonary Critical Care. Philadelphia, WB Saunders 1991; 259-308. • Welsh CH. Ventilación mecánica. En: Parsons PE, Kronish JPW. Secretos de los Cuidados Intensivos. 2ª edición. Editorial MC Graw-Hill Interamericana. M´xico DF. 2.000; 49-55. • Kollef MH. Cuidados Intensivos. En: Ahya SN, Flood K, Paranjothi S. El Manual Washington de Terapéutica Médica. 30ma. Edición. Editorial Lippinkcott Williams and Wilkins. México 2.001; 201-9. • Net A, Benito S. Ventilación Mecánica.2ª. edición. Springer-Verlag Ibérica SA. Barcelona (España) 1993. • Slutsky AS, Mechanical ventilation. American College of Chest Physicians’ Consensus Conference. Chest 1993; 104: 1833. • Tobin MJ. Priciples and Practice of Mechanical Ventilation (ed). Mc Graw-Hill. New York 1994. • Goldwasser R, David CM. Como Iniciar e Manter o Pciente em Ventilacao Mecânica. En: David CM, Goldwasser R, Nácul FE. Medicina Intensiva: Diagnóstico e Tratamento. Editorial Revinter. Rio de Janeiro (Brasil) 1997; 170-3. • David CM. Monitorizacaoo da Ventilacao Mecánica. En: David CM, Goldwasser R, Nácul FE. MedicinaIntensiva: Diagnóstico e Tratamento. Editorial Revinter. Rio de Janeiro (Brasil) 1997; 174-81. • Bartlett RH. Fisiopatología en medicina intensiva. Editorial Masson. Barcelona (España) 1997; 91-108. • Marino Paul L. Principios de la Ventilación Mecánica. En: Marino PL. El libro de la UCI. 2ª. Edición. Editorial Masson-Williams and Wilkins. España 1998; 453-65. • Slutsky AS. American College of Chest Physicians’ Consensus Conference on Mechanical Ventilation. Chest 1993; 104: 1833-57. • Combs AH, Varon J. Principios básicos. En: Varon J. Cuidados intensivos. Editorial Mosby/Doyma. Madrid (España) 1995; 49-62. • Lee KH, Kerwin BA, Miro AM. Función respiratoria. En: Grenvik A. Compendio del Tratado de Medicina Crítica y Terapia Intensiva. Editorial Médica Panamericana. Buenos Aires (Argentina) 1998; 297-319. • Marino JJ. Modos de Ventilación Mecánica. En: Pacin J. Terapia Intensiva. 3ª. Edición. Editorial Médica Panamericana. Buenos Aires (Argentina) 2.000; 47-64. • Tobin MJ. Advances in Mechanical Ventilation. N Engl J Med 2.001; 334(26): 1986-94. 94
  • 117.
    TERAPIA INTENSIVA 18. INSUFICIENCIA RENAL AGUDA. *Dr. Williams Vidal Panique Rojas 18.1. DEFINICIÓN: La Insuficiencia Renal Aguda (IRA) es el estado que se produce como consecuencia del daño en la capacidad renal para excretar la carga de solutos que debe ser eliminada del organismo. El resultado es la acumulación de productos nitrogenados en sangre y tejidos; además, pueden o no presentarse signos y síntomas clínicos y puede cursar con o sin oliguria. 18.2. ETIOLOGÍA: Es sumamente variada e incluye gran cantidad de entidades primarias que en forma directa o indirecta pueden causarla. Se divide en: IRA prerenal: Depleción de volumen absoluta del LEC. Depleción de volumen relativa del LEC. Cambios del tono vascular renal. IRA intrínseca: Enfermedades glomerulares. Enfermedades tubulointersticiales. Enfermedades vasculares. IRA post renal: Obstrucción uretral. Obstrucción vesical. Obstrucción ureteral. 18.3. CUADRO CLÍNICO: Puede presentarse como síndrome urémico, si la velocidad del deterioro de la función renal ha sido muy rápida como en los casos de sépsis; este síndrome se manifiesta por encefalopatía, gastritis u otros signos. Las alteraciones hidroelectrolíticas pueden manifestarse con sobrecarga o déficit de líquidos con la presencia o ausencia de edemas. El desequilibrio ácido-básico, usualmente acidosis metabólica, hace que el paciente tenga “sed de aire”, confusión, asterixis, alteraciones mentales y llegar hasta convulsiones y coma. Puede presentar alteraciones en el tracto gastrointestinal como vómitos y/o diarrea. EL volumen urinario puede estar por encima o por debajo del límite de oliguria o haber anuria franca. (Oliguria es un volumen urinario inferior a 400 ml/24 h). Pueden ocurrir arritmias cardiacas secundarias a hiperkalemia. Exámenes complementarios:
  • 118.
    TERAPIA INTENSIVA Exámenes de función renal. Índices de falla renal. Nitrógeno ureico urinario. Creatinina plasmática. Aclaramiento de creatinina. Ionograma. Gasometría arterial. Ecografía renal. Urografía excretora. 18.4. TRATAMIENTO: Identificar la causa de la IRA e instaurar tratamiento. El manejo de la IRA se puede dividir en dos fases: 1.- El de la entidad causal. 2.- La falla propiamente dicha. 18.5. BIBLIOGRAFÍA: • Meyer A. Acute Renal Failure. Care in the ICU. 1994: 968-588. 96
  • 119.
    TERAPIA INTENSIVA 19. ALTERACIONES DEL EQUILIBRIO ÁCIDO-BASE *Dr. Oscar Vera Carrasco 19.1. DEFINICIÓN: Es un trastorno del medio interno dependiente de la predominancia de ÁCIDOS o BASES en el organismo. El resultado final viene expresado por el pH, cuyo valor en condiciones normales o de equilibrio se sitúa entre 7,35 y 7,45. Toda variación de estos valores será en forma de disminución - ACIDOSIS -, en el que existe predominio de sustancias ácidas o hidrogeniones (H+) oaumento ALCALOSIS -, en el que la concentración de H+ es baja. VALORES NORMALES (3.600 mSNM) pH 7.35 – 7.45 PaCO2 28 a 32mmHg HCO3 18 +-2 mmol/l EB -7.1 +- 2.32 mmol/l HCO3-st= bicarbonato estándar; EB Exceso o déficit de bases 19.2. CLASIFICACIÓN: 19.2.1. ACIDOSIS: a) Metabólica b) Respiratoria 19.2.2. ALCALOSIS: a) Metabólica b) Respiratoria 19.2.3. MIXTO. 19.3. ACIDOSIS METABÓLICA 19.3.1. DEFINICIÓN: Es un proceso fisiopatológico producido por una elevación de la concentración de los iones H+, debida a una pérdida de bases o por un exceso de ácidos no volátiles, o combinación de ambos. La diferenciación entre la acidosis producida por una pérdida de bases o por un aumento de ácidos no volátiles puede establecerse a través del llamado "anion gap" o brecha aniónica. ANION GAP = Na+ - (C1- + HCO3-) Normal: 12 ± 4 mmol/L 97
  • 120.
    TERAPIA INTENSIVA 19.3.2. CAUSASDE ACIDOSIS METABÓLICA: 1. ACIDOSIS METABÓLICA Y ANION GAP AUMENTADO: - Cetoacidosis: diabetes, ayuno, cetosis alcohólica - Acidosis láctica: shock, sepsis, insuficiencia hepática severa, hipoxemia severa, hipoglucemia, biguanidas, rabdomiólisis masiva. - Intoxicaciones: salicilatos, metanol, etilenglicol, paraldehido. - Insuficiencia renal. 2. ACIDOSIS METABÓLICA CON ANION GAP NORMAL: - Por pérdida de bases: diarreas, fístulas y aspiraciones digestivas, ureterosigmoidostomia. - Administración de ácidos: cloruro de amonio, cloruro cálcico, aminoácidos catiónicos (alimentación parenteral). - Pérdidas renales elevadas de bicarbonato: acidosis tubular renal, hipoaldosteronismo, inhibidores de la anbidrasa carb6nica. 19.3.3. CRITERIOS DE DIAGNÓSTICO: Clínico: Predominan los signos de la enfermedad de base y los derivados del esfuerzo respiratorio para compensar las modificaciones del pH: signos de deshidratación, respiración rápida y profunda (Respiración de Kussmaul), signos de hipovolemia, arritmias ventriculares, shock, dolor abdominal, náuseas y otros. HEMOGASOMÉTRICO: pH PaCO2 (HCO3-) BE Acidosis metabólica N Descompensada (aguda) Parcialmente compensada (subaguda) Totalmente Compensada N (crónica) 19.3.4. MEDIDAS GENERALES: a) N.P.O. b) Sonda nasogástrica en caso de alteración de conciencia o distensión bdominal e) Vía venosa central d) Control de la PVC e) Sonda vesical f) Control estricto de líquidos administrados y eliminados 98
  • 121.
    TERAPIA INTENSIVA 19.3.5. EXAMENES COMPLEMENTARIOS: Gasometria arterial, ionograma (C1-, Na+, K+), glucemia, creatininemia, NUS. 19.3.6. MANEJO TERAPÉUTICO: a) Soluciones cristaloides o coloides de acuerdo a la PVC, la perfusión tisular y la patologia de base. b) Corregir la acidosis metabólica aguda severa (pH < a 7,1) con bicarbonato de sodio I.V. utilizando la siguiente fórmula. HCO3= Deficit de bases x 0,3 x kg. de Peso De la cantidad de bicarbonato calculada, debe administrarse la mitad en la primera hora y la otra mitad a razón de 10 mEq cada media hora hasta corregir el déficit total. Solicitar nueva gasometria arterial 30 minutos después de la última dosis. 19.3.7. COMPLICACIONES: * Depresión de la contractilidad miocárdica * Disminución de la respuesta cardiovascular a las catecolaminas * Predisposición a arritmias cardiacas * Predisposición a hiperkalemia 19.4. ACIDOSIS RESPIRATORIA 19.4.1. DEFINICIÓN: Se define como un proceso fisiopatológico en e cual la ventilación alveolar se encuentra disminuida Y produce una elevación de la concentración de H+ debida a un aumento del ácido carbónico (expresado como,una elevación de la PC02), lo que determina una disminución del pH por debajo de 7.35 (sangre arterial). 19.4.2. CAUSAS DE ACIDOSIS RESPIRATORIA: * Por trastornos mecánicos del aparato respiratorio: fracturas costales, fractura de esternón, elevación del diafragma por obesidad, oclusión intestinal y otras, deformidades toráxicas, estrechamiento u obstrucción de las vías respiratorias, neumotórax, etc. * Por afectación del parénquima pulmonar: colapso pulmonar post operatorio,aspiración bronquial, estado de mal asmático, neumonías y bronconeumonias, sindrome de distress respiratorio agudo, etc. * Por trastornos del centro respiratorio: trauma craneoencefálico, medicamentos depresores del centro respiratorio, accidentes vásculo encefálicos, edema cerebral y otros. * Por causas periféricas: lesión neuromuscular (miastenia gravis, Sindrome de Guillain - Barré) y parálisis muscular por relajantes musculares, hipopotasemia. 99
  • 122.
    TERAPIA INTENSIVA 19.4.3. CRITERIOSDE DIAGNÓSTICO: CLÍNICO: Está determinado por la patologia de base. Son clásicas: la apnea, bradipnea, cianosis, ansiedad, asterixis, letargia, estupor, coma, convulsiones, cefalea, papiledema, paresias focales, temblor, mioclonias, taquicardia, arritmias cardiacas, vasodilataci6n y otras. HEMOGASOMÉTRICO: pH PaCO2 (HCO3-) BE Acidosis respiratoria N N Descompensada (aguda) Parcialmente compensada (subaguda) Compensada (crónica) N 19.4.4. MEDIDAS GENERALES: a) N.P.O. b) Sonda nasogástrica en caso de alteración de la conciencia c) Posición semisentado d) Oxígeno por cánula nasal o máscara, 3 a 4 litros por minuto. e) Intubación y ventilación mecánica en caso de deterioro del estado de conciencia. f) Vía venosa central o periférica. g) Sonda vesical. h) Control estricto de líquidos administrados y eliminados. 19.4.5. EXAMENES COMPLEMENTARIOS: Gasometria arterial, íonograma (C1-, Na+, K+), hemograma, Rx de tórax, ECG. 19.4.6. MANEJO TERAPÉUTICO: a) Tratar la causa desencadenante de la acidosis. b) Mejorar la ventilación alveolar: permeabilización de vías aéreas, intubación endotraqueal soporte ventilatorio mecánico, fisioterapia respiratoria. c) Adecuada hidratación y humidificación del aire inspirado. 19.5. ALCALOSIS METABÓLICA 19.5.1. DEFINICIÓN: Es un cuadro clínico producido por una disminución de la concentración de iones H+ debido a una 100
  • 123.
    TERAPIA INTENSIVA elevación de las bases fijas o por déficit de ácidos no volátiles, lo que determina una elevación del pH por encima de 7,35 (sangre arterial), con elevación del bicarbonato standar mayor de 18 mmol/L y del E.B. mayor de 2,5 mmol/L. 19.5.2. CAUSAS DE ALCALOSIS METABÓLICA: * Ganancia excesiva de bases: bicarbonato, carbonato, acetato, citrato, sindrome de leche y otros alcalinos, coma hepático. * Pérdida excesiva de ácidos: vómitos, aspiración gástrica, * Pérdidas de potasio (uso de diuréticos), empleo de corticoides, hiperaldosteronismo primario, sindrome de Cushing, posthipercapnia, * Por contracción del volumen extracelular: deshidratación con hiponatremia e hipocloremia. 19.5.3. CRITERIOS DE DIAGNÓSTICO: CLÍNICO: Las manifestaciones clínicas están en dependencia fundamentalmente de la disminución del K+ y del Cl-, y en menor grado de la enfermedad de base. Estas son: astenia, lasitud, apatia, depresión mental, letargia, anorexia, disminución de la fuerza y debilidad muscular; arreflexia,trastornos intestinales (íleo paralítico), distensión abdominal; taquicardia, arritmias cardiacas, alteraciones electrocardiográficas (hipokalemia), bradipnea, tetania y otros. HEMOGASOMÉTRICO: pH PaCO2 (HCO3-) BE Alcalosis metabólica N Descompensada (aguda) Parcialmente compensada (subaguda) Totalmente Compensada N (crónica) 19.5.4. MEDIDAS GENERALES: a) N.P.O. b) Sonda nasogástrica c) Posición semisentada d) Vía venosa central e) Control de la PVC f) Sonda vesical g) Control estricto de líquidos administrados y eliminados 101
  • 124.
    TERAPIA INTENSIVA 19.5.5. EXAMENES COMPLEMENTARIOS: Gasometrica arterial, ionograma, creatininemia, NUS, ECG. 19.5.6. MANEJO TERAPÉUTICO: a) Es muy importante la identificación y remoción de la causa. b) Si el pH arterial está entre 7,46 y 7,55 se utilizan soluciones de potasio en goteo intravenoso durante 24 horas, previo cálculo del déficit. c) Si existe pérdida asociada de cloro, utilizar soluciones hipertónicas de Cloruro de Sodio (solución salina isotónica más cloruro de sodio hipertónico). d) Si el pH arterial está entre 7,56 y 7,63 puede utilizarse Acetazolamida 250 a 500 mg. c/6-8 horas hasta su corrección, además de las anteriores medidas. f) Si el pH arterial es mayor de 7,63 puede utilizarse cloruro de amonio o ácido clorhídrico diluidos en forma de solución acuosa a través de una vena central y bajo control estricto. 19.6. ALCALOSIS RESPIRATORIA 19.6.1. DEFINICIÓN: Se trata de un estado fisiopatológico producido por hiperventilación y traducido por una disminución de la concentración de iones H+, debida a una disminución de la PC02, lo que trae como consecuencia un aumento del pH por encima de 7.45 (en sangre arterial) con una disminución de la PaCO2 menor de 28 mmHg. 19.6.2. CAUSAS DE ALCALOSIS RESPIRATORIA: * De origen en el SNC: ansiedad, dolor, fiebre, lesión o inflamación del cerebro, hemorragia subaracnoidea, tumor, traumatismos. * Hipoxemia: altitud, trastornos de la ventilación/perfusión, trastornos de la difusión pulmonar, cortocircuitos pulmonares. * Intoxicación por drogas y uso de hormonas: salicilatos, hormona tiroidea, progesterona, catecolaminas, xantinas. * Condiciones específicas: cirrosis hepática, sepsis por gram negativos, ventilación mecánica, embarazo, tirotoxicosis, anemia, post corrección de acidosis metabólica. CRITERIOS DE DIAGNÓSTICO: CLÍNICO: El principal efecto de la alcalosis respiratoria sobre el organismo es la hiperexcitabilidad del sistema nervioso central y periférico, que se expresa por: incapacidad de concentración, ansiedad, reducción de la actividad psicomotríz, confusión, síncope, convulsiones, parestesias, temblor muscular, calambres, tetania. Además, náuseas, vómitos, taquicardia, hipotensión arterial, angina, alteraciones electrocardiográficas (depresión del segmento ST), arritmias ventriculares. 102
  • 125.
    TERAPIA INTENSIVA HEMOGASOMÉTRICO: pH PaCO2 (HCO3-) BE Alcalosis respiratoria N N Descompensada (aguda) Parcialmente compensada (subaguda) Compensada (crónica) N 19.6.3. MEDIDAS GENERALES: a) N.P.O. b) Sonda nasogástrica en caso de alteración de la conciencia c) Vía venosa central o periférico d) Oxígeno suplementario si la hiperventilación es por hipoxia (por cánula nasal o máscara 3 a 4 litros por minuto). e) Control de líquidos administrados y eliminados. 19.6.4. EXAMENES COMPLEMENTARIOS: Gasometria arterial, ionograma (C1-,Na+,K+), hemograma, glucemia, NUS, creatininemia, Rx de tórax, ECG. 19.6.5. MANEJO TERAPÉUTICO: a) Tratamiento de la causa de base. b) En caso de síncope o tetania, hacer que el paciente respire en bolsa de reinhalación, uso de ansiolíticos y apoyo emocional. c) Si el pH esta por encima de 7,55 y se acompaña de situaciones que amenazan la vida (pérdida de la conciencia, convulsiones, arritmias) el paciente puede sedarse, anestesiarse y relajarse para ventilación mecánica controlada. 19.7. TRASTORNOS MIXTOS DEL EQUILIBRIO ÁCIDO-BASE Cuando dos o tres alteraciones simples del equilibrio ácido-base concurren en forma simultánea, se dice que el paciente tiene un trastorno mixto. Lo más común en la práctica clínica es encontrar trastornos ácido-básicos simples, pero situaciones clínicas complicadas, especialmente en pacientes críticos dan lugar a trastornos mixtos. El reconocimiento de los trastornos mixtos es predecible a partir del adecuado conocimiento de los trastornos fisiopatológicos de los desordenes simples. 103
  • 126.
    TERAPIA INTENSIVA Por otra parte, el conocimiento de la magnitud de la compensación metabólica o respiratoria que puede ocurrir en respuesta a determinado trastorno primario, es crucial para identificar los trastornos mixtos y el tratamiento correspondiente. 19.8. BIBLIOGRAFÍA: • Besunder, J.B; Smith, P.G.: Toxic Effects of Electrolyte and Trace Mineral Administración in the Intensive Care Unit. Crit Care Med. 1991; 7(3): 665 - 672. • Beach FXM; Jones E.S.: Metabolic alkalosis treated with intravenus hydrochloric acid. Postgrad Med. J. 1971; 47: 516. • Lauie, CJ; Crocker, E.F.; Kayl K. J. et al. : Marked hypochloremie metabolic alkalosis. With severe compensatory hypoventilation. South Med. J. 1986; 79: 1296. • Martin, W.J.; Matzke, G.R.: Treating severe metabolic alkalosi-s. Clin Pharm 1982; 1: 42. • Rosen, R.A.; Julian, B.A.; Dubovsky, E.V., et al: On the mechanism by which chloride corrects metabolio alkalosis in man. Am J. Med. 1988; 84: 449. • Shapiro, B.A.; Harrison, R.A.; Cane, R.D.; Templin, R.K.: Manejo clínico de los gases sanguíneos 4a ed. Editorial Médica Panamericana Buenos Aires (Argentina) 1989. • Rose, B.D.: Clinical Physiology of. Acid-Base and Electrolyte Disorders. Mc. Graw - Hill, New York, 1977. • Collins, R.D: Illustrated Manual of Fluid and Electrolyte Disorders. Philadelphia, Lippincott, 1976. • Cohen R.: Acid-base disturbances. Medicine International 1981; 1(7-9): 385-88. • Imbassahy E.: Orientacao , pratica no diagnóstico e tratamento dos disturbios hidreletrolíticos e do equilibrio ácido-básico. Rev. Bras Cir 1976; 66-(5/6): 127-152. • Lovesio C y col.: Homeostasis del Medio Interno en clínica y cirugia 2a. ed. Editorial "El Ateneo", Buenos Aires (Argentina) 1984. • Bidani, A. : Electrolyte and Acid-Base Disorders.The Medical Clínics of North America. 1986; 70(5): 1013. • Du Bose, T.D. Jr. : Clinicaal Approach to Patients with Acid Base Disorders. The Medical Clínics of North America 1983; 67(4): 799. • Shapiro, B.A.; Cane, R.D.: Interpretacion de gases en sangre. En: Shoemaker. Tratado de Medicina Crítica y Terapia intensiva. 2a. ed. Editorial Médica Panamericana. Buenos Aires (Argentina). 1991; 341-47. • Vera O.: Valores normales de gases sanguíneos arteriales y del equilibrio acido-base en la ciudad de La Paz - Bolivia. Cuadernos Hospital de Clínicas, 1991; 37(1): 18 - 27. 104
  • 127.
    TERAPIA INTENSIVA 20. ALTERACIONES ELECTROLÍTICAS *Dr. Oscar Vera Carrasco 20.1. DESEQUILIBRIOS DEL SODIO 20.1.1. PRINCIPIOS BÁSICOS: Los límites normales de la (Na+ p)son 135-145 mEq/l. La concentración expresa el cociente entre masa de soluto y Volumen del solvente (C=M/V). La (Na+p) puede variar no solo por cambios de la Masa corporal total de Na+, sinó también por cambios del Volumen del agua corporal total (ACT). Es mucho más frecuente que las alteraciones de la (Na+p) sean secundarias a trastornos del balance de agua, que debidas a disturbios en el balance del Na+. Las HIPONATREMIAS casi siempre se deben a exceso de ACT y las HIPERNATREM IAS a déficit de ACT. La principal función fisiológica del Na+ es mantener el Volumen del LEC y por ende del Volumen circulante efectivo (VCE). La excreción renal de Na+ se regula primariamente en respuesta al estado del VCE y no de la [Na+p.] El principal mecanismo por el que se regula la (Na+p) es por el Control del balance de Agua, primariamente por la secreción de la HAD y también por el mecanismo hipotalámico de la SED. 20.1.2. CAUSAS DE HIPONATREMIA HIPONATREMIA FICTICIA VERDADERA Hiperproteinemia SIN EDEMA CON Hiperlipidemia EDEMA Hiperglucemia SECUNDARIA Solutos exógenos A TIAZIDAS Pérdida de Na+ mayor Exceso de Agua total Exceso de Na+ que de Agua EXPANSIÓN MODESTA pero mayor de Agua DEPLECIÓN DEL VEC DEL VEC EXPANSIÓN DEL VEC 105
  • 128.
    TERAPIA INTENSIVA 20.1.3. HIPONATREMIA VERDADERA SIN EDEMA CON EDEMA Pérdida de Na+ > que Exceso de agua total Exceso de Na+ pero > de de agua DEPLECIÓN EXPANSIÓN MO Agua EXPANSIÓN DEL DEL VEC DERADA DEL VEC VEC Pérdidas Renales Pérdidas Extrarenales SSIHAD Medicamentos Sind Nefrótico Insuf. Renal Diuréticos deficit Vomito y diarrea Cirugia Supresión de Cirrosis Insuf. Cronica Aguda DOCA Nefritits Quemaduras alcohol Addison Cardiaca perdedira de sal. Pancreantitis Hipotiroidismo Cetonuria Peritonitis Hiponatremia esencial Bicarbonaturia Traumatismos Polidipsis compulsiva Sudoración HIPONATREMIA OSMOLARIDAD SÉRICA Normal Baja Alta >295 mOsm/kg H20 280-295 mOsm/kg H20 <280 mOsm/kg H20 Pseudohiponatremia (Ej. Determinación del ACT y 1. No solutos de Na + (Ej. Hiperlipidemia, hiperprot.) contenido de Na+ Glucosa, manitol) Bajo normal alto 1. Pérdidas extrarenales de Na+: 1. SSIHAD: Na+ U>30 Na+U<15 mEq/l Osm. U>400 mEq/l Osm.>300- 400. 1. Na+ U <15mEq/l Osm U>400 2. Pérdidas renales de Na+: 2. Intoxicación por agua. (ej. Insuficiencia cardiaca). Na+U >30mEq/l Osm U<300 3. Insuficiencia renal. 2. Na + U>30 mEq/l (Ej.Diuréticos, Insuf. renal tubular. 4. Transtornos de la excreción de agua. (Ej.Insuf. renal.) 106
  • 129.
    TERAPIA INTENSIVA 20.1.4. SIGNOS Y SÍNTOMAS DE HIPONATREMIA HIPONATREMIA TIPOS DE SIGNOS MODERADA GRAVE Calambres musculares Convulsiones Arreflexia NEUROLÓGICO Hiperreflexia tendinosa Hipert. endocraneal Hipertensión endocraneal (Fase (Fase descompensada) compensada) Cambios de la TA y el pulso sec. a CARDIOVASCULARES Hipert. Intracraneal. Salivación, lagrimación y diarrea HÍSTICOS acuosa. La piel conserva la huella digital. RENALES Oliguria que progresa a anuria 20.1.5. DIAGNÓSTICO Y TRATAMIENTO DE LA HIPONATREMIA HIPONATREMIA DILUCIONAL DEPLECIONAL = Na+ sérico < a 135 mEq/l Enferm. Cardiacas, hepáticas y renales SSIHAD CAUSA Pérdida de Na+ Exceso de agua Exceso de Agua por exceso de HAD CRITERIOS 1. Disminución de Volumen Aumento de Volumen (edema) Aumento de Volumen (no edema) DE DIAGNÓSTICO 2. Presión de venas Presión de venas Presión de venas yugulares yugulares disminuidas yugulares incrementada. usual nornal 3. Hipotensión o caida No hipotensión postural No hipotensión postural. postural de la TA. 4. Na+ U<20mEq/L Na+ U variable (depende del Na+ U > 30 mEq/L mientras no exista grado de aldosteronismo depelción por perdida sec.) renal primraia de Na+ 5. Caida tardia de Osm Osm. Sérica disminuida en Osm. Sérica disminuida en serica forma marcada forma marcada. 107
  • 130.
    TERAPIA INTENSIVA 20.2. CAUSAS DEL SINDROME DE SIHAD: 20.2.1. AUMENTO DE LA PRODUCCIÓN HIPOTALÁMICA : - Alteraciones neurológicas : Infecciones: meningitis, encefalitis, abscesos AVC isquémico o hemorrágico. Otros : traumatismos. - Enfermedades pulmonares: Neumonía, tuberculosis, Insuficiencia respiratoria aguda. Otros : Asma, atelectasia, pneumotórax. 20.2.2. FÁRMACOS : - Psicotrópicos : Haloperidol, amitriptilina, inhibidores de la MAO. - Quimioterápicos: Ciclofosfamida, vincristina. - Otros : AINES, carbamazepina, clorpropamida 20.2.3. ADMINISTRACIÓN EXÓGENA : - Vasopresina, oxitocina 20.2.4. PRODUCCIÓN ECTÓPICA : - Carcinoma de pulmón, duodeno, páncreas, timo. 20.3. TRATAMIENTO DEL ESTADO HIPOTÓNICO Lo más importante prevenir. Evitar fluidos hipotónicos. Determinar la Osmolaridad plasmática para confirmar hiposmolaridad. 20.3.1. HIPONATREMIA SINTOMÁTICA : Terapia aguda : 1. Iniciar Cl Na hipertónico en la UCI y con bomba de infusión. 2. Monitorizar natremia c/ 2 hs. hasta que el paciente esté estable y asintomático 3. Finalizar Cl Na hipertónico cuando el paciente esté asintomático o su natremia haya aumentado 20- 25 mEq/l en las primeras horas de tratamiento. Esto evita desmielinización cerebral. 4. Evitar alcanzar normonatremia o hipernatremia en los primeros 5 días de terapia, particularmente en pacientes alcohólicos o portadores de daño hepático crónico. Terapia crónica : 1. Restricción de agua. 2. Dimetilclortetraciclina : 300-600 mg. V.O. 2 veces al dia. 3. Litio. 4. Antagonistas del receptor V2 (en fase de investigación). 108
  • 131.
    TERAPIA INTENSIVA 20.3.2. HIPONATREMIA ASINTOMÁTICA : 1. No es urgente ni prioritario. 2. Restricción de agua. 3. Evitar las correcciones rápidas, subir la natremia menos de 12 mEq/lpor día. 4. No usar soluciones hipertónicas. 5. Tratamiento de la enfermedad basal 20.4. HIPERNATREMIA 20.4.1. CAUSAS DE HIPERNATREMIA SODIO SÉRICO > 145 mEq/L Pérdida de Na+ pero mayor de Pérdida de Agua Exceso en la ingesta de Na+. Agua/Na+ corporal bajo Na+ corporal normal Na+ corporal alto Pérdidas Pérdidas Pérdidas Pérdidas Aldosteronismo Renales Exttrarenales Renales Exttrarenales primario. S. de Cushing. Diálisis hipertónica. Diuresis Diarrea Diabetes Pérdidas Bicarbonato de sodio osmótica: Sudor insípida insensibles: glucosa, central cutáneas. manitol, parcial urea. hipodipsia 20.4.2. PÉRDIDA NETA DE AGUA: A. Pérdida de Agua pura : - Pérdidas insensibles no repuestas. - Hipodipsia - Diabetes insípida Central o Neurogénica: Defecto de la sintesis o liberacion de AVP por el hipotalamo/hipofisis. - Diabetes Nefrogénica adquirida: Insensibilidad del receptor V2 a la AVP o bloqueo del receptor inducido por Fármacos. - Diabetes Nefrogénica congénita. 109
  • 132.
    TERAPIA INTENSIVA B. Pérdida de líquido hipotónico : - Causas Renales : Diuréticos de Asa, Diuresis osmótica, Diuresis post obstructiva, Fase poliúrica de la NTA, Enf. Renal intrínseca. - Causas Gastrointestinales: Vómitos, Drenaje por SNG, Diarrea, Fístula intestinal, Uso de purgantes osmóticos. - Causas cutáneas : Quemaduras, Sudoración excesiva. 20.4.3. GANANCIA DE SODIO HIPERTÓNICO : * Infusion de Bicarbonato de sodio hipertónico * Dieta hipertónica * Ingestión de Cloruro de sodio * Ingestión de agua salada (o de mar) * Drogas eméticas ricas en Cloruro de sodio * Enemas con Solución salina hipertónica * Inyeccion intrauterina de Sol. Salina hipertónica * Infusion de Solución salina hipertónica * Diálisis hipertónica * Hiperaldosteronismo primario * Sindrome de Cushing 20.5. ETIOLOGIA DE LA DIABETES INSÍPIDA 20.5.1. DIABETES INSÍPIDA CENTRAL : a) Hereditaria (rara) b) Idiopatica (30%) c) Cirugia hipotalamo-hipofisis (15%) d) Tumores (10%):linfoma metástasis e) Traumatismos craneales (10%) f) Procesos infiltrativos hipotalamicos g) Procesos vasculares cerebrales (10%) h) Encefalopatía anóxica post PCR (10%) i) Hiponatremia no tratada (asoc.a DM). j) Anorexia nerviosa + polidipsia psicógena. 20.5.2. DIABETES INSÍPIDA NEFROGÉNICA : 1. Primaria o familiar 2. Secundaria a) Hipopotasemia b) Hipercalcemia c) Nefritis intersticial d) Enfermedad medular quística e) Farmacos: Litio, aciclovir, Anfotericina B, etc. 110
  • 133.
    TERAPIA INTENSIVA f) Amiloidosis g) Mieloma h) Desnutrición 20.5.3. SIGNOS Y SÍNTOMAS DE LA HIPERNATREMIA • Inicio : con el 2 % de pérdida del peso corporal en agua • Evidentes : con pérdidas del 8-10 % del peso corporal en agua • Graves : con pérdidas mayores del 15 % del peso corporal en agua * S E D: Con disminución del 2% del peso en ACT * PIEL SECA, PÉRDIDA DE TURGOR, SIGNO DE PLIEGUE: Con disminución del 6 % del ACT * MUCOSA BUCAL SECA * DISMINUCIÓN DE LA TENSION DE GLOBOS OCULARES * OLIGURIA, UREMIA PRERENAL * TAQUICARDIA, HIPOTENSIÓN ORTOSTÁTICA, SHOCK * LETARGIA, HIPERREFLEXIA, TEMBLOR MUSCULAR,: Con disminución del 7-15 % del ACT CONVULSIONES, COMA (Osm plasmática > 310-315 mOsm/L). * TROMBOSIS DE SENOS VENOSOS CRANEALES HEMORRAGIAS CEREBRALES (Tracción de estructuras vasc.) * INCREMENTO DE OSMOLARIDAD PLASM., INCREMENTO DEL HtO.; INCREMENTO DE LA DENSIDAD Y OSMOLARIDAD URINARIA (Excepto Diabetes insípida), NATRIURIA BAJA (<20 meq/l) 20.5.4. TRATAMIENTO DE LA HIPERNATREMIA PRINCIPIOS GENERALES: Considerar como EMERGENCIA al paciente hipernatrémico con síntomas del S. N.C. El paciente hipernatrémico asintomático ha podido adaptarse al medio hiperosmolar aumentando la Osmolaridad neuronal intracelular ("osmoles idiógenos"). No disminuir muy rápidamente la (Na+p), especialmente en un paciente adaptado, para no provocar edema cerebral con riesgo de muerte. No exceder la velocidad de corrección a más de 1 mEq/l/hora (hasta 2 mEq/l/h en casos de emergencia). Llevar inicialmente el Na+p sólo hasta 150-155 mEq/L en las primeras 48 Hrs. TRATAMIENTO DE LA HIPERNATREMIA HIPOVOLÉMICA: La principales causas son diuresis osmótica (Diabetes mellitus, manitol) y sudoración excesiva. 1. Restituir la perfusión tisular mediante la re-expansión del VEC con Sol. Salina isotónica. 2. De persistir la hipernatremia, administrar Sol.Salina 0.5 normal calculando el Déficit de Agua por la fórmula: ACT ideal= (ACT actual x Na+p actual)/Na+ ideal 111
  • 134.
    TERAPIA INTENSIVA 3. El Déficit de Agua libre se calcula por la diferencia entre el ACT ideal menos el ACT actual. *Recordar que 1 litro de.Sol..Salina.0.5 normal equivale a 0.5 L de Agua libre TRATAMIENTO DE LA HIPERNATREIMIA EUVOLÉMICA: La causa más frecuente es la Diabetes insípida, central o nefrogénica. 1. La correccióin se basa en la REPOSICIÓN DE AGUA LIBRE. 2. La mejor vía para administrar Agua libre es la digestiva (oral o SNG). 3. Si se usa la vía EV debe evitarse el uso de Sol. Glucosadas, por la asociación frecuente entre hipernatremia e hiperglucemia por resistencia periférica a la insulina. 4. Deben preferirse Sol. Salinas al 0.5 o 0.25 Normal (contienen 0.5 y 0.75 litros de agua libre por litro de Solución respectivamente). 5. El Déficit de Agua libre y la velocidad de infusión es igual a lo descrito anteriormente. 20.5.5. TRATAMIENTO DE LA DIABETES INSÍPIDA DIABETES INSÍPIDA CENTRAL COMPLETA: Una vez corregida la deshidratación (si se hubiera producido) Desmopresina en Spray nasal : 10-20 mcg cada 12-24 hs. Si es necesario Desmopresina sintética por vía I.V.: 1-4 mcg cada 12-24 hs. En enfermos críticos es preferible utilizar Hormona natural (Pitresin): 5 U vía S.C. cada 3-4 hs. DIABETES CENTRAL PARCIAL: Clorpropamida o Carbamazepina ( aumento de sensibilidad del receptor tubular a la AVP). DIABETES NEFROGÉNICA: Suspender posibles fármacos que la producen, luego Tiazidas y disminuir el aporte de Na+. TRATAMIENTO DE LA HIPERNATREMIA HIPERVOLÉMICA: Las causas más frecuentes son HIPERALDOSTERONISMO, CUSHING y administración excesiva de SALES DE SODIO (yatrogénica). El tratamiento se basa en el uso de DIURÉTICOS DE ASA y en casos extremos (o si coexiste insuficiencia Renal) el uso de DIÁLISIS. FÓRMULAS UTILIZADAS EN EL MANEJO DE LA HIPERNATREMIA 112
  • 135.
    TERAPIA INTENSIVA FÓ R M U L A USO CLÍNICO Estimar el efecto de 1 L de Na+ infundido - Na+ sérico cualquier infusión sobre el Na+ sérico. 1. Cambios en el =............................................... Na+ sérico ACT + 1 (Na+ infundido + K+infundido) – Na*sérico 2. Cambios en el=......................................................................... Estimar el efecto de 1 L de Na+ sérico ACT + 1 cualquier infusión que contenga Na+ y K+ sobre el Na+ sérico 20.6. HIPOPOTASEMIA 20.6.1.DEFINICIÓN: La Hipopotasemia se define como una concentración sérica de potasio menor de 3.5 mEq/L. 20.6.2. CAUSAS: Las causas se dividen en las siguientes categorías: Disminución de la ingesta. Incremento de la pérdida. Paso del espacio extracelular al intraceiular. Las causas específicas son las que se señalan a continuación: DISMINUCIÓN DE INGESTA: *Dieta inusual (ej. Té y pan tostado) *Soluciones parenterales deficientes en potasio AUMENTO DE LA EXCRECIÓN: Renal * Aumento del efecto mineralocorticoide - Hiperaldosteronismo primario - Hiperaldosteronismo secundario Deficiencia de volumen Vómitos Cirrosis hepática Insuficiencia cardiaca congestiva Administración de mineralocorticoides 113
  • 136.
    TERAPIA INTENSIVA * Uso de diuréticos * Diuresis osmótica * Defectos tubulares * Hipomagnesemia Digestivos * Diarrea, vómitos, aspiración nasogástrica * Abuso de laxantes * Adenomas vellosos DESVIACIÓN INTRACELULAR: Hormonal * Insulinoterapia * Adrenérgicos beta 2 (ej. albuterol o salbutamol) * Aldosterona Físicos * Alcalemia (respiratoria o metabólica) Diversos * Parálisis periódica hipopotasémica 20.6.3. DIAGNÓSTICO: Clínico: Parálisis flácida del músculo esquelético Falta de tono en el músculo liso (íleo) Astenia, debilidad muscular profunda e insuficiencia respiratoria Fatiga, mialgia y debilidad de extremidades Sed, hiporreflexia tendinosa, parestesias Rabdomiólisis Resistencia a la insulina y descenso en la liberación de la misma. Intolerancia a la glucosa Alteración de la capacidad de concentración urinaria Alteración en la reabsorción de magnesio Diabetes insípida nefrogénica Enfermedad túbulo-intersticial medular Alcalosis metabólica Predisposición a la intoxicación por digitálicos Manifestaciones electrocardiográficas: Aplanamiento o inversión de la onda T Depresión del segmento ST Aparición de ondas U Alargamiento del intervalo QT Intervalo PR prolongado Arrítmias ventriculares (taquiarritmias supraventriculares y arritmias ventriculares) Trastornos de la conducción (ensanchamiento del QRS) 114
  • 137.
    TERAPIA INTENSIVA Laboratorio: K+ sérico < a 3.5 mEq/L. El K+ urinario es menor a 30 mEq/L en la diarrea y mayor a 30 mEq/L en el drenaje nasogástrico, alcalosis, uso de diuréticos y déficit de Mg. El cloro urinario es bajo (< a 15 mEq/L) en el drenaje nasogástrico y en la alcalosis, y es elevado (> 25 mEq/L) en el déficit de Mg y en tratamiento con diuréticos. 20.6.4. TRATAMIENTO: 1. Objetivos terapéuticos Prevenir las complicaciones potencialmente fatales (arritmias, insuficiencia respiratoria y encefalopatía hepática). Corregir el déficit de potasio. Minimizar las pérdidas permanentes. Tratar la causa de base. 2. Restitución de Potasio Si se encuentra una causa tratable de pérdida de K+, se aplica el tratamiento necesario y se administra complemento de potasio. En caso de hipopotasemia con síntomas mínimos casi siempre son satisfactorios los complementos orales. Se indica en aquellas situaciones en que la potasemia es leve (3 a 3,5 mEq/L) y asintomáticas. Se dispone de una solución de fosfato potásico (contiene 4,5 mEq de K+ y mmol de fosfato/ml) que algunos prefieren para la reposición de K+ en la cetoacidosis diabética. Un esquema inicial adecuado suele consistir en la administración de 40 a 80 mEq al día en dosis divididas. Si no se puede utilizar la vía oral, la hipopotasemia es moderada o la pérdida concurrente estimada es alta, se puede utilizar la vía intravenosa. Para la hipopotasemia grave (concentración < 2,0 mEq/l o síntomas que ponen en riesgo la vida) se administra potasio intravenoso. Debe utilizarse cloruro de potasio diluido en solución salina isotónica. El CIK no debe infundirse con soluciones glucosadas. Por vía periférica, la concentración de la solución no debe superar los 60 mEq/L, y un ritmo de infusión adecuado es 40-60 mEq/hora, con controles de potasemia cada 2 a 4 horas. El método estándar para la reposición intravenosa de K+ consiste en diluir 20 mEq de K+ en 100 ml de Solución salina isotónica y perfundir esta mezcla en 1 hora. La tasa máxima de reposición suele fijarse en 20 mEq/hora, pero en ocasiones es necesario administrar el K+ a una tasa que alcance 40 mEq/hora (ej. cuando el K+ sérico es inferior a 1,5 mEq/L o hay arrítmias graves) y se han empleado tasas que alcanzan 80 mEq/hora de manera inocua. Hay que utilizar una gran vena central para la perfusión debido a las propiedades irrítativas de las soluciones hiperosmóticas del K+. Sin embargo, si la tasa de reposición ha de ser superior a 20 mEq/hora no debe administrarse la perfusión por un catéter central a causa del riesgo teórico de que se produzca una hiperpotasemia 115
  • 138.
    TERAPIA INTENSIVA transitoria en las cavidades cardiacas derechas, lo que podría predisponer a un paro cardiaco. En estas circunstancias se puede dividir la perfusión y administrar por dos venas periféricas. Se debe evitar la hiperventilación y el uso concomitante de bicarbonato, beta 2 agonistas o insulina. Resulta indispensable ser muy precavido con el paciente que presenta disfunción renal o alteración en los mecanismos de captación celular (ej. pacientes que reciben bloqueadores beta) y las mediciones más frecuentes del nivel de K+ sérico son obligatorias. Una fórmula que puede utilizarse para calcular el déficit de potasio es la siguiente: DÉFICIT DE K+ = K+ normal - K+ actual x 0,4 x kg. peso corporal. DÉFICIT DE K+ CORPORAL EN LA HiPOPOTASEMIA* Déficit de potasio Potasio sérico (mEq/L)........................................................................................................................................... mEq Potasio total en el organismo (%) 3,0 175 5 2,5 350 10 2,0 470 15 1,5 700 20 1,0 875 25 *Déficit estimados para un adulto de 70 kg de peso con un contenido corporal total de K+ de 50 mEq/kg. 20.7. HIPERPOTASEMIA 20.7.2. CAUSAS * Disminución en la excreción renal (IRA) * Redistribución del Potasio hacia el espacio extracelular (acidosis) * Sobrecarga endógena de K+ (destrucción celular) * Sobrecarga exógena (Penicilina y terapia con K+). 20.7.3. DIAGNÓSTICO: Clínico: * Disminución de la fuerza muscular * Arreflexia 116
  • 139.
    TERAPIA INTENSIVA * Parálisis muscular * Arrítmias cardiacas Laboratorio: * K+ plasmático > a 5,5 mEq/L. ECG: * Aumento de la amplitud de la onda T * Reducción del intervalo QT * Alargamiento del complejo QRS * Alargamiento del intervalo P-R * Depresión del segmento S-T * Desaparición del onda P 20.7.4. TRATAMIENTO * De la causa (fundamental) * Otros: a) Gluconato de Calcio (antagoniza los efectos tóxicos cardiacos) - Inicio de acción inmediato. - Duración de acción: aproximadamente 1 Hora - Dosis: 10ml al 10% b) Glucosa e Insulina (redistribuye el K+ hacia el espacio intracelular) -Inicio de acción: entre 15- 30 minutos. -Dosis recomendada: 10 U de Insulina simple en 100 ml de sol. de dextrosa al 50 %. c) Resinas de intercambio iónico (Poliestirenosulfato de Calcio): Aumenta la eliminación de potasio a través del tarcto gastrointestinal. - Inicio de acción: 1 – 2 Horas. - Dosis recomendada: 15 gr VO. TID d) Diálisis (hemodiálisis o peritoneal). e) Calcitonina: cuando las anteriores medidas no fueron eficaces o cuando la hipercalcemia es severa - Dosis: 4 U/kg IM o SC cada 8 horas. 20.8. HIPOMAGNESEMIA 20.8.2. CAUSAS: * Diarrea * Uso de diuréticos * Sindrome de mala absorción * Cetoacidocis diabética * Alcoholismo * Aspiración gastrointestinal prolongada * Toxemia del embarazo * Medicamentos (Anfotericina B, aminoglucósidos, pentamidina, ciclosporina, digoxina, manitol, cisplatino) 117
  • 140.
    TERAPIA INTENSIVA 20.8.3. DIAGNÓSTICO Clinico: * Arritmias cardiacas * Excitabilidad neuromuscular * Signos de Trousseau y Chvostek * Mareos * Estridor laringeo * Espasmos musculares * Convulsiones * Confusión mental * Coma * Anorexia y náuseas * Hipopotasemia * Hipocalcemia Laboratorio: Mg plasmático < a 1,5 meq/l (no obstante niveles normales pueden existir con Mg corporal total disminuido). ECG : - Onda T plana o invertida - Posible depresión del segmento ST - Intervalo QT prolongado - Onda U prominente - Arrítmias 20.8.4. TRATAMIENTO: * Corrección de la causa. * Reposición con Sulfato de Mg. - Dosis: 2 gr IV cada 8 horas durante 3 dias consecutivos. 20.9. HIPERMAGNESEMIA 20.9.2. CAUSAS: * Insuficiencia renal (fase oligúrica) * Administración excesiva de Mg (comp. con Mg) * Deshidratación 118
  • 141.
    TERAPIA INTENSIVA 20.9.3. DIAGNÓSTICO Clínico: Disinución de la conducción neuromuscular con: Debilidad muscular Parálisis fláccida ascendente Bradicardia Hiporreflexia Paro cardiaco Depresión respiratoria Hipotensión Letargo Bradipnea Coma ECG : Ondas T altas y puntiagudas Ensanchamiento del complejo QRS Laboratorio: Mg plasmático > 2,6 mg/dl. 20.9.4. TRATAMIENTO: * La Hipermagnesemia asintomática solo necesita disminuir la administración de Mg y el tratamiento de la causa. * La Hipermagnesemia sintomática necesita tratamiento con Gluconato de calcio al 10 % (10-20 ml IV): antagoniza los efectos tóxicos de la hipermagnesemia. * Diálisis perítoneal y hemodiálisis si existe insuficiencia renal. 20.10. HIPERCALCEMIA 20.10.1. CAUSAS: * Hiperparatiroidismo * Neoplasias malignas * lntoxicacion por vitamina D. * Enfermedad de Paget * Hipertiroidismo * Inmovilización prolongada 20.10.2. DIAGNÓSTICO: Clinico: Fatiga Náuseas 119
  • 142.
    TERAPIA INTENSIVA Disminución de la fuerza muscular Vómitos Cefalea Constipación Confusión mental Poliuria Sopor Polidipsia Coma Laboratorio: Calcio plasmático > a 10,5 mg/dl. 20.10.3. TRATAMIENTO: Además del tratamiento de la causa, consiste en lo siguiente: a) Hidratación para expansión del Volumen extracelular y promover su excreción renal. Se sugiere SF: iniciar 200-400 ml/h para inducir un balance hídrico (+) de 2000 ml en las 1ras. 24 hs. b) Furosemida: luego de hidratación se puede usar 20-40 mg IV cada 6 hs. c) Corticoides: útiles en la hipercalcemia asociada a neoplasias. d) Pamidronato: reduce la reabsorción ósea de Ca++(se usa cuando las medidas iniciales a y b no fueron eficaces o cuando la hipercalcemia es severa, >13,5 mg/dl). Dosis: 60-90 mg IV diluidos en 1 litro de SF para 4 hs. 20.11. HIPOCALCEMIA 20.11.1. CAUSAS: * Hipoalbuminemia (reduce el Ca++ total pero no el Ca++ ionizado). * Insuficiencia renal * Pancreatitis aguda * Hipoparatiroidismo * Hípomagnesemia severa * Rabdomiólisis 20.11.2. DIAGNÓSTICO: Clínico: Espasmos musculares Tetania Signos de Trousseau y Chvostec Crisis convulsivas Laringoespasmo Disminución de la contractibilidad miocárdica Arritmias cardiacas y paro cardiaco 120
  • 143.
    TERAPIA INTENSIVA Laboratorio: Calcemia plasmática < a 8,5 mg/dl. La Hipoalbuminemia causa reducción del Ca++: por cada disminución de 1 g/dl de albúmina por debajo de 4 g/dl corresponde a una reducción de 0,8 mg/dl de Ca++. ECG : * Prolongación del intervalo QT * Arritmias cardiacas 20.11.3. TRATAMIENTO: * La hipocalcemia secundaria a hipoalbuminemia no requiere tratamiento. * En otras situaciones: Gluconato de calcio o Cloruro de calcio. Dosis:10 ml de cloruro de calcio al 10 % IV en 10 min.,seguidos por 40 ml diluidos en 1 litro de SF. en 12-24 horas. 20.12. HIPOFOSFATEMIA 20.12.1. CAUSAS: * Alcoholismo * Hiperparatiroídismo * Cetoacidosis diabética * Uso de Sol.glucosada IV, insulina o antiácidos. * Quemadura severa * Alcalosis respiratoria en presencia de: - Bacterias gram(-) - Abstinencia alcohólica - Hiperventilación primaria - Sobredosis de salicilatos - Golpe de calor - Tirotoxicosis Laboratorio: * Fósforo plasmático < a 2,5 mg/dl. * Aumento de Ca++, Mg, HCO3- y glucosa urinarios. El fosfato urinario puede elevarse en casos de insuficiencia renal. El fosfato urinario bajo indica alguna causa externa. 20.12.2. TRATAMIENTO: Se basa en el nivel del fósforo plasmático y en la corrección de la causa. Fósforo plasm.(mg/dl) Fosfato de sodio* 2,0 - 2,5 0,08 mmol/lkg IV 121
  • 144.
    TERAPIA INTENSIVA 1,0 - 2,0 0,16 mmol/kg IV < 1,0 0,24 mmol/kg IV El fosfato de sodio debe ser administrado en infusión continua durante por lo menos 3 horas. *1 mmol 31 mg. 20.13. BIBLIOGRAFIA : • Rose BD. Clinical physiology of acid-base and electrolyte disorders. 4th ed. New York : Mc Graw-Hill, 1994. • Narins R, Jones E, Stom M , et al. Diagnosis and strategies in disorders of fluid, electrolytes and acid-base homeostasis. Am J Med 1993; 72: 496-520. • Singer GG. Tratamiento hidroelectrolítico. En: Ahya SN, Flood K, Paranjothi S. El Manual Washington de Terapéutica Médica. 30ma.Edición. Lippincott Williams and Wilkins 2.001; 43-75. • Nácul FE. Disturbios Electrolíticos. En: David CM, Goldwasser R, Nácul FE. Medicina intensive. Editorial Revinter. Rio de Janeiro 1997; 234-39. • Hammes M, Brennan S, Lederer ED. Trastornos Electrolíticos Graves. En: May JB, Schmidt GA, Wood LDH. Cuidados intensivos. 2a. Edición. Mc Graw-Hill Interamericana. México DF. 2.001; 1267-81. • Brennan S. Trastornos renales e hidroelectrolíticos. En: Varon J. Cuidados intensivos. Editorial Mosby/Doyma. Madrid (España) 1995; 364-79. • Fernández CE, Jareño Ch A., Garcia de la Infanta A. Trastornos del Equilibrio Hidroelectrolítico. En: Urgencias. Colección Farmitalia Carlo Erba de Diagnóstico y Tratamiento. 1ª. Edición. Editorial JIMS. Barcelona (España) 1988; 111-22. • Bazerque F, Kairiyama O. Síndromes Hiperosmolares. En: Juan Pacin. Terapia intensiva. 3ª edición. Editorial Médica Panamericana. Buenos Aires 2.000; 638-47. • Rose BD. New approach to disturbances in the plasma sodium concentration. Am J Med 1986; 81: 1033-40. • Adrogué HJ, Madias NE. Aiding fluid prescription for the dysnatremias. Intensive Care Med 1997; 23: 309- 16. • Adrogué HJ, Madias NE. Hypernatremia. N Engl J Med 2.000; 342(20): 1493-98. • Hyperosmolar states-hypernatremia. In: Rose BD. Clinical physiology of acid-base and electrolyte disorders. 4th ed. New York: Mc Graw-Hill 1994: 695-736. • Kairiyama O, Caputo D. Hipopotasemia. En: Juan Pacin. Terapia intensiva. 3ª edición. Editorial Médica Panamericana. Buenos Aires 2.000; 648-52. • Kairiyama O, Bazerque F. Hiperpotasemia. En: Juan Pacin. Terapia intensiva. 3ª edición. Editorial Médica Panamericana. Buenos Aires 2.000; 653-58. • Blevin LS, Wand GS. Diabetes insipidus. Crit Care Med 1992; 20:69-79. • Ayus JC, Arief AI. Pulmonary complications of hyponatremic encephalopathy: noncardiogenic pulmonary edema and hypercapnic respiratory failure. Chest 1995; 107: 517-21. • Zaloga GP. Hypocalcemia in critically ill patients. Crit Care Med 1992; 20: 251-62. • Agusti AG, Torres A, Estopa R, Agusti-Vidal A. Hypophosphatemia as cause of failed weaning: importance of metabolic factors. Crit Care Med 1984; 12:142-3. • Marino PL. El Libro de la UCI. 2ª edición. Editorial Masson-Williams and Wilkins. Barcelona (España) 1998. • Salem M, Munoz R, Chernow B. Hypomagnesemia in critical illness. Crit Care Clin 1991; 7: 225-52. • Van Hook JW. Hipermagnesemia. Crit Care Clin 1991; 7: 215-23. • Kaiyama O, Caputo D. Trastornos del Magnesio. En: Juan Pacin. Terapia intensiva. 3ª edición. Editorial Médica Panamericana. Buenos Aires 2.000; 659-64. 122
  • 145.
    TERAPIA INTENSIVA 21. COMA *Dr. Williams Vidal Panique Rojas 21.1. DEFINICIÓN: El término coma, indica arreactividad neurológica. Representa una parte de un todo que se extiende desde el funcionamiento normal hasta la ausencia de función neurológica con estados intermedios de somnolencia y estupor. 21.2. ETIOLOGÍA: Lesiones supratentoriales (que causan disfunción del tallo encefálico) Hemorragia cerebral Infarto cerebral voluminoso Hematoma subdural. Tumor cerebral. Absceso cerebral. Lesiones subtentoriales (que comprimen la formación reticular) Hemorragia protuberancial o cerebelosa. Infarto. Tumor. Absceso cerebeloso. Lesiones metabólicas y difusas. Anoxia o isquemia. Hipoglucemia. Deficiencia nutricional. Insuficiencia o deficiencia orgánica endógena. Envenenamiento exógeno. Infecciones: Meningitis Encefalitis. Transtornos iónicos y de electrolitos. Conmoción y estado postictales. Ausencia de respuesta psicógena. 21.3. EXÁMENES COMPLEMENTARIOS: E.E.G. T.A.C. R.M.N. Arteriografía cerebral. Electrolitos. Gasometría arterial. 123
  • 146.
    TERAPIA INTENSIVA 21.4. DIAGNOSTICODIFERENCIAL: Masas supratentoriales. Lesiones estructurales subtentoriales. Enfermedad psiquiátrica. La demencia. 21.5. TRATAMIENTO: Asegurar una adecuada vía aérea permeable y oxigenación. Mantener la circulación. Controlar las convulsiones generalizadas. Restaurar el equilibrio ácido básico y osmolar. Tratar las infecciones. Tratar las alteraciones de la temperatura corporal. Aplicar de 50 a 100 mg de tiamina por vía intravenosa. Considerar el uso de antídotos específicos. Controlar la agitación. Proteger las córneas contra abrasiones. 21.6. BIBLIOGRAFÍA: • Mohr JP, Coma. Problemas Clínicos en Neurología. 1994 350-5 124
  • 147.
    TERAPIA INTENSIVA 22. ESTADO EPILÉPTICO *Dr. Williams Vidal Panique Rojas 22.1. DEFINICIÓN: Se define como una actividad convulsiva continua durante 30 minutos o intermitente en un periodo de 30 minutos sin que el paciente recobre el conocimiento. Es la repetición rápida de cualquier tipo de ataques sin recuperación entre ellos. El término se aplica a los ataques de epilepsia generalizada, cuando el paciente sigue sin conocimiento y con ataques continuos, fluctuaciones clónicas y tónicas, incontinencia y respiración gravemente perturbada, fiebre alta, sudor intenso y aumento de la presión arterial. 22.2. ETIOLOGÍA: Supresión de anticonvulsivo. Relacionado con alcohol. Toxicidad farmacológica. Infección del sistema nervioso central. Neoplasia cerebral. Traumatismo. Epilepsia resistente a tratamiento. Apoplejía. Trastornos metabólicos. Paro cardiaco. Desconocida. 22.3. CUADRO CLÍNICO: Convulsiones tónico clónico subintrante. 22.3.1. EXÁMENES COMPLEMENTARIOS: Electroencefalograma. Liquido cefalorraquídeo. Radiografías de cráneo y tórax. T.A.C. Gammagrafia cerebral con isótopos radiactivos. Electrolitos sanguíneos. Punción lumbar. 22.4. TRATAMIENTO: Anticonvulsivantes: Diazepam. Fenobarbital. Lorazepam. Pentobarbital. Fenitoina. Hidrato de cloral. Lidocaina. Valproato. 22.5. BIBLIOGRAFÍA: • Lueders Hans. O.Epilepsia. Problemas Clínicos en Neurología. 1994; 350-13. 125
  • 148.
    TERAPIA INTENSIVA 23. COMA HIPOGLUCÉMICO. *Dr. Williams Vidal Panique Rojas 23.1. DEFINICIÓN: Es la pérdida de la conciencia por disminución de los niveles sanguíneos de glucosa. 23.2. ETIOLOGÍA: En los diabéticos es consecuencia de: Alteración en el contenido o en la cronología de las comidas. Aumento de la actividad física. Sobredosis de medicamentos. En los no diabéticos: Falta de aporte de hidratos de carbono. Ayuno prolongado. Ejercicio físico excesivo. 23.3. CUADRO CLÍNICO: Los síntomas de tipo autónomo son: sudoración, temblores, sensación de calor, angustia y náusea. En cambio las manifestaciones neuroglucopénicas son mareos, confusión, cansancio, dificultad para hablar, cefalalgia e imposibilidad de concentración psíquica. 23.4. EXÁMENES COMPLEMENTARIOS: Glicemia. Electrolitos séricos. 23.5. TRATAMIENTO: Administrar soluciones de dextrosa al 20 y 50 %. 23.6. BIBLIOGRAFÍA: • American Diabetes Asociation. Manejo Médico de la Diabetes Insulino Dependiente. 1994: 156. 126
  • 149.
    TERAPIA INTENSIVA 24. COMA CETOACIDÓTICO *Dr. Williams Vidal Panique Rojas 24.1. DEFINICIÓN: La cetoacidosis diabética es una perturbación metabólica que incluye tres anormalidades coincidentes: hiperglicemia, hipercetonemia y acidosis metabólica. 24.2. ETIOLOGÍA: Infección. Omisión o uso inadecuado de insulina. Diabetes de comienzo reciente. Hechos diversos. 24.3. EXÁMENES COMPLEMENTARIOS: Glicemia. Cetonemia. Gases arteriales. Electrólitos. Nitrógeno ureico. Amilasa. Examen de orina. Radiografía de tórax. Electrocardiograma. 24.4. TRATAMIENTO: Solución salina normal la primera hora y luego soluciones hipotónicas de acuerdo a PVC. Insulina cristalina I.V. de acuerdo a escala móvil. Potasio. No administrar bicarbonato si el pH es mayor a 7.0. 24.5. BIBLIOGRAFÍA: • American Diabetes Asociation. Manejo Médico de la Diabetes Insulino Dependiente. 1994: 76. • Kitabchi A. Wall B.Cetoacidosis diabética. Urgencias Endocrinas. Clínicas Medicas de Norteamérica. Interamericana Mc Graw Hill 1995/1; 239-9. 127
  • 150.
    TERAPIA INTENSIVA 25. COMA HIPEROSMOLAR NO CETÓSICO. *Dr. Williams Vidal Panique Rojas 25.1. DEFINICIÓN: Este síndrome se caracteriza por deshidratación, hiperglucemia y una mayor osmolalidad efectiva en ausencia de cetoacidosis significativa. 25.2. ETIOLOGÍA: Pérdida de agua libre. Incremento puro de solutos. Hipertonicidad mixta. Infecciones. Yatrogenia. 25.3. CUADRO CLÍNICO: Datos neurológicos focales en la hipertonicidad no cetósica. Convulsiones. Afasia. Hemiparesia. Defectos hemisensoriales. Contracciones miotónicas. Hipertonía o hipotonía muscular focal. Hiperepnea. 25.4. TRATAMIENTO: Tratamiento inicial (horas 0 a 12) Reposición volumétrica. Segunda etapa (horas 12 a 48) Corrección de la causa subyacente de la hipertonicidad no cetósica. Restaurar la tonicidad a la normalidad. Corrección del desequilibrio ácido básico. Tercera etapa (días 2 a 4) Reposición de electrolitos y agua, iones magnesio y fosfato. 25.5. BIBLIOGRAFÍA: • American Diabetes Asociation. Manejo Médico de la Diabetes Insulino Dependiente. 1994: 89. • Sorber D. Hipertonicidad no cetótica en la diabetes sacarina. Urgencias Endocrinas. Clínicas Medicas de Norteamérica. Interamericana Mc Graw Hill 1995/1 239 -41. 128
  • 151.
    TERAPIA INTENSIVA 26. EDEMA CEREBRAL. *Dr. Williams Vidal Panique Rojas 26.1. DEFINICIÓN: Se define simplemente como un aumento del contenido de agua en el encéfalo. 26.2. ETIOLOGÍA: Absceso cerebral. Hipertensión intracraneal benigna. Neoplasia cerebral con edema. Hemorragia cerebral. Trombosis del seno venoso cerebral. Cetoacidosis diabética. Eclampsia/encefalopatía hipertensiva. Encefalitis. Insuficiencia hepática fulminante. Hidrocefalia. Infarto cerebral. Intoxicación por plomo. Meningitis. Síndrome de Reye. Traumatismos. 26.3. CUADRO CLÍNICO: El edema cerebral no afecta de manera directa la actividad neuronal. Sus principales consecuencias se derivan de su efecto de masa y de deformación del tejido cerebral circunvecino. Las manifestaciones clínicas dependen del territorio afectado. 26.4. EXÁMENES COMPLEMENTARIOS: T.A.C. Catéter ventricular. Tornillos subaracnoideos. Monitor epidural. Monitor parenquimatoso fibróptico. Electroencefalograma. Potenciales evocados. 26.5. TRATAMIENTO: Manitol. Furosemida. Barbitúricos. Esteroides. Ventilación mecánica. 26.6. BIBLIOGRAFÍA: • Randall M. Chesnut. Secondary Brain Insults Alter Head Inury: Clinical perspectives. New Horizons. The Science and Practice of Acute Medicine. 1995: 593-366. 129
  • 152.
    TERAPIA INTENSIVA 27. ACCIDENTE CEREBROVASCULAR AGUDO: MANEJO CLÍNICO GENERAL * Dr. Oscar Vera Carrasco 27.1. SOPORTE VITAL AVANZADO • Estabilizacion de las funciones respiratoria y cardiocirculatoria (ARM, monitoreo hemodinámico y de gases sanguineos, drogas vasoactivas, marcapaso, etc). • Evitar tanto hipoxemia como hipercapnia, mantener PaCO2 entre 20-25 mmHg. • Tratamiento de patologias agudas, crónicas reagudizadas o intercurrencias. 27.2. PREVENCIÓN/TRATAMIENTO Convulsiones : Si las presentó o si el paciente tiene una lesion cortico-subcortical que potencialmente pueda generarlas: • Diazepam: dosis incrementadas de 5 a 40 mg IV o • Difenilhidantoina : dosis de carga 15-18 mg/kg IV.; velocidad de infusion No mayor de 50 mg/min. Dosis de mantenimiento: 100 mg cada 8 horas. Agitación : • Midazolam : dosis de carga 0,15-0,3 mg/kg IV. ; dosis de mantenimiento: 0,005-0,13 mg/kg/hora. Hipertermia : medios fisicos o AINEs: • Paracetamol: 500 mg cada 6 horas VO - enteral. • Acido acetilsalicilico 500 mg cada 6 horas (NO EN AVC HEMORRÁGICO) vias IV u oral. Maniobras que aumentan la Presion intracraneana (PIC): tos, esfuerzos, colocacion de SNG, medidas rutinarias de enfermeria. • Elevación de la cabecera hasta 30º (reduce la PIC al favorecer el retorno venoso cefálico). • Efectuar sedacion previamente, si es posible. • Realizar maniobras suaves, precisas, rápidas y efectivas. Hiperglucemia : aumenta la producción de lactato en la zona de penumbra isquémica, produciendo un mayor daño tisular. • No administrar soluciones glucosadas. • Si la glucemia es mayor de 200 mg/dl., utilizar Insulina corriente en minidosis, perfusion continua, con bomba de infusion si es posible. Hipertension arterial: • No se aconseja efectuar sistemáticamente un tratamiento antihipertensivo, ya que el descenso agudo de la PA podría incrementar el alcance de las lesiones. Esto es aplicable también a los pacientes con HTA grave (Presión diastólica superior a 120 mmHg). • Inducir descensos progresivos, procurando mantener la PAM entre 95-115 mmHg. • Si hay edema cerebral, No usar vasodilatadores(NTG, Nitroprusiato) que aumentan FSC, favorecen más edema y elevan la PIC. • No usar bloqueantes cálcicos por vía sublingual: absorción rápida y errática que disminuye el FSC, aumentando el fenómeno de isquemia (Nifedipino). Idem para el Diazóxido. • Si existe ACV isquemico y antecedentes de Hipertensión arterial sistémica, mantener la PA sistólica hasta 180 mmHg. • Si existe ACV hemorrágico y antecedentes de Hipertensión arterial sistémica, mantener PA sistólica hasta 150 mmHg. 130
  • 153.
    TERAPIA INTENSIVA MEDICAMENTOS : - Nitroprusiato de sodio: 0,3-8 mcg/kg/min. IV en infusion continua; comienzo de accion:1-2 minutos y duración de efecto:1-3 minutos. Usar no más de 72 horas. - Nitroglicerina: 5-300 mcg/minuto IV en infusión continua, comienzo de acción: 1-2 minutos, efecto pico:1-2 minutos y duración de efecto: 1-3 minutos. - Labetalol: 0,25 mg/kg IV en 10 minutos. Aumentar dosis de 40-80 mg. a intervalos de 10 minutos, hasta obtener la PA deseada o hasta una dosis total de 300 mg. Velocidad de infusión: 2 mg/min. Comienzo de acción: 3-5 minutos; efecto pico: 10-20 minutos y duración de efecto: 3-6 horas. No usar en insuficiencia cardiaca y Asma bronquial. - Enalapril: 0,625-1,25 mg Iv en bolo cada 6 horas. Comienzo de acción: 10-15 minutos; efecto pico: 30 minutos- 4 horas; duracion de efecto: 6-8 horas. Vigilar kalemia. - Clonidina: 0,2 mg inicial y luego 0,1 mg/hora IV. Titular dosis.Vigilar ritmo cardiaco y sensorio. En cuanto sea oportuno pasar a medicación antihipertensiva por via oral-enteral: bloqueantes de canales de calcio, inhibidores de la ECA, etc.Nutrición precóz : oral-enteral si el TGI esta indemne. 27.3. NUTRICIÓN PRECÓZ: ORAL-ENTERAL SI EL TGI ESTA INDEMNE. - Requerimientos calóricos: 35-45 kcal/kg/dia. - Requerimientos proteicos: 1,3-1,8 g/kg/dia. - Aporte de Vitaminas y Oligoelementos: complejo B, vitamina K, C, A; Mg, PO4, Zinc, etc.Rehabilitacion temprana y continuada. 27.4. REHABILITACIÓN TEMPRANA Y CONTINUADA. - Fisioterapia neuromuscular y respiratoria. 27.5. PREVENCIÓN DE LESIONES POR PRESIÓN (ESCARAS). - Cambios de posición cada 2 horas para evitar úlceras por decúbito. 27.6. PREVENCIÓN/CONTROL DE INFECCIONES. 27.7. PROFILAXIS DE TROMBOSIS VENOSA PROFUNDA Y TROMBOEMBOLISMO PULMONAR: *ACV isquémico: 1. Heparina calcica 5.000-7.000 UI. SC. c/12 horas. 2. Enoxaparina 20 mg/dia, via SC. *ACV hemorrágico: Vendas elásticas intermitentes 131
  • 154.
    TERAPIA INTENSIVA 27.8. VALORAREL SOPORTE PSICOLÓGICO: SI RECUPERA CONCIENCIA. 27.9. O T R O S : - Profilaxis de la gastropatía por estrés (Ranitidina, Sucralfato u Omeprazol), movilización temprana en el paciente estable neurológicamente y con sumo cuidado en pacientes con insuficiencia vascular del territorio posterior; cambios de posición cada 2 a 3 horas para evitar lesiones por decúbito y prevenir contracturas. 27.10. BIBLIOGRAFÍA : • Hospital Interzonal General de Agudos “Prof. Dr. Rodolfo Rossi” – La Plata. Accidente Cerebrovascular: Algoritmos de Diagnóstico y tratamiento en pacientes críticos. Talleres Gráficos de Medical Graf. La Plata- Argentina 1998. • Hayek D, Veremakis C. Phisiologic Concerns during brain resuscitation. Critical Care. 2nd edition 1992; 1449- 69. • Diringer MN. Neurologic Critical Care: Intracerebral Hemorraghe. Pathophisiology and management. Crit Care Med 1993; 21: 10; 1591-1603. • Villareal C, Narayan R. Neurologic monitoring. Critical Care. Second edition. Caps. 28-353-364. Civetta- Taylor-Kirby 1992. • Cherian L, Peek K, Robertson C, Goodman J, Grossman R. Caloric sources and recovery from central nervous system ischemia. Crit Care Med 1994; 22: 1841-50. • A Working Group Emergency Brain Resuscitation: Emergency Brain Resuscitation. Ann Int Med 1995; 122: 622-7. • Alderman M. Blood Presure Management: Individualized treatment based on absolute risk and the potential for benefit. Ann Int Med 1993; 119: 329-35. • Prough D, De Witt D. Cerebral Protection. The Pharmacologic approach to criticaly ill patient. Third edition. B. Chernow 1994. • Yatsu FM. Cardiopulmonary-cerebral resuscitation. NEJM 1986; 440-1. • Stern B, Diringer MN. Pharmacologic approach to stroke and related neurologic emergencies. The pharmacologic approach to the critically ill patient. Third edition. B. chernow 1994. • Wijdicks EFM. The Clinical Practice of Critical Care Neurology. Lippincott-Raven publishers. Philadelphia- New York 1997. • Marino PL.Ictus y Trastornos afines. En: Paul L. Marino. El Libro de la UCI. 2a. edición. Editorial Masson- Williams and Wilkins. Bercelona (España) 1998; 881-92. • Yamada KA, Awadalla S. Trastornos neurológicos. En: Ahya,Flood, Paranjothi. El Manual Washington de Terapéutica Médica. 30ma. edición. Editorial Lippincott Williams and Wilkins 2001; 516-26. 132
  • 155.
    TERAPIA INTENSIVA 28. HEMORRAGIA SUBARACNOIDEA Dr. Oscar Vera Carrasco La hemorragia subaracnoidea (HSA) puede debutar sólo con cefalea grave de comienzo súbito. También puede haber letargo o coma, fiebre, vómitos, convulsiones y dolor lumbar. Los déficit neurológicos focales, la rigidez de nuca y las hemorragias retinianas sugieren HSA. 28.1. CLASIFICACIÓN DE HUNT Y HESS: • Grado I -. Asíntomático. Cefalea leve, rigidez de nuca. • Grado II: Cefalea moderada-severa. Rigidez de nuca. Paresia de pares Caneales (generalmente III par). • Grado III. Obnubilación, confusión, déficít motor leve. • Grado VI . Estupor, hemiparesia moderada-severa. Rigidez de descerebración. trastornos neurovegetativos. • Grado V: Coma, rigidez de descerebración. 28.2. CLASIFICACIÓN DE FISHER (TAC: CANTIDAD Y LOCALIZACIÓN DE SANGRE EN LA HSA) : • Grado I.- No hay sangre detectable en la TAC. • Grado II : Disposición difusa de la sangre en el espacio subaracnoideo (ESA), sin coágulos y una capa vertical de 1 mm. • Grado III Coágulos localizados en ESA o una capa vertical de sangre > 1 mm.. • Grado IV. Sangre íntracerebral o íntraventricular, en ausencia de significativa cantidad de sangre subaracnoidea. 28.3. MANEJO Y TRATAMIENTO DE LA HEMORRAGIA SUBARACNOIDEA 1. ESTABILIZACION INICIAL: soporte vital básico o avanzado (ABC para: mantener permeabilidad de vías aéreas, buena oxigenación y ventilación, adecuado estado hemodinámico). 2. REPOSO, con cabecera hasta 30º. 3. TRATAMIENTO D E LA CEFALEA: - Paracetamol 500 mg cada 6 horas. - Nalbufina 20 mg cada 6 horas o Morfina 1-2 mg cada 4 horas. NO UTILIZAR ACIDO ACETILSALICILICO. 4. PREVENCIÓN DE LA ISQUEMIA CEREBRAL TARDÍA: Iniciar el tratamiento precozmente (24-48 horas de ocurrida la Hemorragia subaracnoidea). • Nimodipina por vía oral (vía recomendada) : 60 mg cada 4 horas. Es eficaz para reducir el vasoespasmo cerebral. • Nimodipina por vía EV. ( produce hipotensión arterial severa) : 0,5 mcg/kg/min. Comenzar con la mitad de la dosis. Si en 1 hora no disminuyó la PA, administrar la dosis completa. Si se utiliza esta vía, luego de 7 días se puede pasar a la vía oral o SNG. • Duración del tratamiento : hasta completar los 21 días de ocurrida la Hemorragia subaracnoidea. 5. EVITAR LA AGITACIÓN: • Midazolam: Dosis de carga 0,15-0,3 mg/kg peso. Mantenimiento 0,13 mg/kg/hora.. NO UTILIZAR NEUROLÉPTICOS 133
  • 156.
    TERAPIA INTENSIVA 6. PREVENCIÓNTRATAMIENTO DE LAS CONVULSIONES: - Difenilhidantoina : Dosis de carga 15-18 mg/kg por vía 1.V. Velocidad de inf'usión NO MAYOR de 50 mg/hora. Dosis de mantenimiento: 100 mg cada 8 horas (5 a 6 mg/kg/día). 7. MONITORIZACIÓN DEL RITMO CARDIACO. 8. EVITAR LA HIPONATREMIA - SIADH (disminución del Na+ dilucional) : restricción de líquidos. - Pérdida real de Na+ : aporte de sodio. Cloruro de sodio al 3 % 50 ml TID en pacientes con riesgo de vasoespasmo cerebral. Realizar ionograma diario. 9. EVITAR LA HIPOVOLEMIA: - Hidratación : 3.000-3500 ml/día, con aporte de Na+ (2.000 ml de Solución salina isotónica). Realizar balance hídrico diario. 10. ESTABILIZACIÓN DE LA PRESIÓN ARTERIAL: • Inducir descensos progresivos, EVITAR HIPOTENSIÓN ARTERIAL (puede agravar los déficit isquémicos). • Nitroprusiato de sodio : 0,5-8 mcg/kg/minuto, SOLO CUANDO NO EXISTE RIESGO DE HIPERTENSIÓN ENDOCRANEANA Y NO SE PUEDEN M A N E J A R L A S C I F R A S T E N S I O N A L E S C O N O T R O S A N T I H I P E RT E N S I V O S • Los bloquenates alfa y beta adrenérgicos tienen poco efecto sobre el LCR, por lo que serían los fármacos indicados, de no existir contraindicaciones cardiopulmonares (Ej. Labetalol). • Inhibidores de la ECA: 1-5 mg I.V. o Esmolol: en bolo 500 mcg/kg en 1 minuto si la PAM es mayor a 130 mmHg. • Pasar rápidamente a la vía oral-enteral de ser posible. • Mantener la Presión Arterial Sistólica : 120-150 mmHg; Presión Diastólica 60-90 mmHg. 11.CORRECCIÓN DE HIPERGLUCEMIA > de 200 mg/dl : • Insulina corriente en perfusión continua intravenosa en minidosis. • Si no existe acidosis usar la vía subcutánea. - Controles frecuentes de la glucemia. 12. PROFILAXIS DE LA TROMBOSIS VENOSA PROFUNDA Y TROMBOEMBOLISMO PULMONAR : - Vendas elásticas intermitentes en extremidades inferiores. NO USAR.ANTIAGREGANTES PLAQUETARIOS NI HEPARINA. 13.PREVENCIÓN DE MANIOBRAS DE VALSALVA : evitar constipación, vómitos,etc.(elevan la PIC). - Utilizar ablandadores de heces y laxantes suaves para prevenir el estreñimiento, además, antieméticos. 134
  • 157.
    TERAPIA INTENSIVA 14. NUTRlClON ORAL-ENTERAL PRECÓZ. - Nutrición enteral a partir del segundo día. 15.PREVENCIÓN/CONTROL DE INFECCIONES. 16.REHABILITACIÓN TEMPRANA Y CONTINUADA. - Fisioterapia neuromuscular y respiratoria. 17.SOPORTE PSICOLÓGICO. 18. TRATAMIENTO QUIRÚRGICO : - Existe controversia respecto al tratamiento quirúrgico de los pacientes con hemorragia subaracnoidea y aneurismas. La propensión a la hemorragia de los aneurismas induce el deseo de obliterar quirúrgicamente toda lesión accesible, pero se debate el momento de la cirugía. Muchos prefieren esperar 5-10 días después del episodio debido al vasoespasmo cerebral; otros recomiendan la cirugía precoz. 19. O T R O S : - Profilaxis contra broncoaspiración, gastritis y úlceras por decúbito. 28.4. BIBLIOGRAFÍA : • Hospital Interzonal General de Agudos “Prof. Rodolfo Rossi” – La Plata. Accidente Cerebrovascular: Algoritmos de diagnóstico y tratamiento en pacientes críticos. Talleres Gráficos de Medical Graf. La Plata – argentina 1998. • Hayek D, Veremakis C. Physiologic Concerns during brain resucitation. Critical Care. 2nd edition 1992; 1449- 65. • Diringer MN. Neurologic Critical Care: Intracerebral Hemorraghe. Pathophisiology and management. Crit Care Med 1993; 21 (10): 1591- 1603. • Villareal C, Narayan R. Neurologic monitoring. Critical Care Med 1990; 18: 768-74. • Goldtein LB, Matcher DB. Clinical assessment of stroke. JAMA 1994; 271,(14): 1114-20. • Wijdicks EFM. The Clinical Practice of Critical Care Neurology. Lippincott-Raven publishers. Philadelphia- New York 1997. • Marino PL. Ictus y trastornos afines. En: Pul L. marino. El Libro de la UCI. 2a. edición. Editorial Masson- Williams and Wilkins. Barcelona(ESpaña) 1998; 881-92. • Yamada KA, Awadalla S. Trastornos neurológicos. En: Ahya, Food, Paranjothi. El Manual Washington de Terapéutica Médica. 30ma. edición. Editorial Lippincott Williams and Wilkins 2001; 516-26. 135
  • 158.
    TERAPIA INTENSIVA 29. SÍNDROME DE GUILLAÍN BARRÉ (Polineuropatía desmielinizante inflamatoria aguda , Polineuritis Aguda Idiopática) * Dr. Gonzalo Luis Poma Plata 29.1. DEFINICIÓN: Inmunopatía idiopática que ocasiona una neuropatía inflamatoria, de curso agudo o subagudo, predominantemente motora y desmielinizante. 29.2. ETIOLOGÍA Y PATOGENIA: Autoinmune, En dos tercios de los pacientes hay enfermedad precedente 1 a 3 semanas antes de desarrollar el cuadro paralítico. Generalmente infecciones por CMV, virus de Epstein-Barr y HIV, Campylobacter jejuni, Mycoplasma pneumoniae y BGN, vacunaciones, cirugía, , oro, D-penicilamina y fluorquinolonas, procesos autoinmunes como :púrpura trombocitopénica idiopática, glomerulonefritis, tiroiditis, colitis ulcerosa, púrpura de Schönlein-Henoch, miastenia grave o esclerosis múltiple y neoplasias como enfermedad de Hodgkin y otros linfomas. ANATOMÍA PATOLÓGICA. La desmielinización multisegmentaria junto a la infiltración celular perivascular endoneural multifocal, preferentemente en las raíces, en zonas sometidas a compresión y en terminaciones nerviosas distales . 29.3. CLÍNICA: Debilidad y la arreflexia, subaguda en días, generalmente simétrica, típica de comienzo distal en los miembros inferiores, patrón ascendente. A veces, comienzo craneal, en los miembros superiores o en zonas proximales. Grado de paresia variable, puede llegar a afectarse la musculatura respiratoria. En un gran porcentaje de casos existe afectación facial y, con menor frecuencia, de otros nervios craneales, oculomotores. La arreflexia osteotendinosa suele ser universal, aunque también puede ser más localizada, generalmente distal y simétrica. 29.3.1. FORMAS CLÍNICAS: a) Síndrome de Fisher, caracterizado por arreflexia, ataxia y oftalmoparesia; b) Síndrome de Guillain-Barré motor puro, con afectación patológica exclusiva de las raíces anteriores; c) Síndrome de Guillain-Barré sensitivo puro, con localizaciones de las lesiones inflamatorias y desmielinización en las raíces posteriores y los nervios sensitivos; d) Síndrome de Guillain-Barré craneal, habitualmente con oftalmoplejía y diplejía facial. En algunos casos se puede afectar también el sistema nervioso autónomo, se observa labilidad de la presión arterial y de la frecuencia cardiaca, hipotensión, postural, episodios de bradicardia intensa, a veces asistolia. 136
  • 159.
    TERAPIA INTENSIVA 29.4. DIAGNÓSTICOY DIAGNÓSTICO DIFERENCIAL. 29.4.1. LCR Y ESTUDIOS ELECTROFISIOLÓGICOS. En el LCR : hiperproteinorraquia, que puede faltar en las primeras semanas de evolución. En casos aislados puede existir una leve pleocitosis (menor de 10 células/ml). Las concentraciones de proteínas en el LCR suelen ser normales durante los primeros 3 días de la afección, a continuación aumentan de manera constante y puede exceder 500mg/100 ml. Estudios electrofisiológicos : aumento de las latencias distales y de las ondas F, bloqueo de la conducción y disminución de las velocidades de conducción. Diagnósticos diferenciales : neuropatías de presentación subaguda como ser: porfiria, difteria, parálisis de garrapata y algunas neuropatías tóxicas, metabólicas, infecciosas y vasculíticas, neuropatía asociada a enfermedad crítica, asociada a sepsis y fracaso multiorgánico. 29.5. PRONÓSTICO: 10-20 % de los pacientes requerirán ventilación asistida por insuficiencia respiratoria, y 2-4 % fallecerá por complicaciones. 29.6. TRATAMIENTO: Prevención y el tratamiento de las complicaciones (insuficiencia respiratoria, infecciones, disfunción autónoma, y tromboembolia pulmonar). - Evaluar y dar soporte vital dependiendo del estado clínico, en caso de requerir ventilación mecánica. - Gasometría arterial previa y posterior a conexión a ventilador. - Evaluar tiempo potencial de intubación y posible traqueostomía. - Definir vía de alimentación enteral. Tratamiento específico: la plasmaféresis,en relación con una disminución de los anticuerpos antimielina , superior en las primeras 2 semanas. Tres a cinco sesiones durante 7 a 10 días, reemplazando 40-50 ml / kg /día, bien con albúmina o plasma fresco. Gammaglobulina intravenosa dosis (0,4 g/kg/día durante 5 días). El calor es útil para el alivio del dolor y permite una aplicación precoz de la fisioterapia. Evitar la inmovilización, dado que puede producir anquilosis. Deben iniciarse de inmediato movimientos pasivos de extensión completa de las extremidades; los ejercicios activos se inician en cuanto ceden los síntomas agudos. Heparina, 5000 U sc cada 12 horas Los corticoides empeoran el pronóstico de la enfermedad por lo que no deben utilizarse El 10% de los pacientes presentan recidivas después de la mejoría inicial y entran en un estadío crónico (polineuropatía crónica recidivante). Los corticoides reducen la debilidad en la fase crónica y puede ser necesario un tratamiento postural. Los fármacos inmunodepresores (azatioprina o ciclofosfamida) y la plasmaféresis son beneficiosas en algunos pacientes. 137
  • 160.
    TERAPIA INTENSIVA 29.7. BIBLIOGRAFÍA • Pacin Juan ,Maskin Bernardo ,Pálizas Fernando. Terapia Intensiva 3ra Edición . Buenos Aires Argentina : Panamericana ,2000. • Grenvik Ake ,MD ; Ayres Stephen ,MD ; Holbrook Peter ,MD ; Shoemaker William , MD . Compendio del Tratado de Medicina Crítica y TERAPIA INTENSIVA . Buenos Aires Argentina : Panamericana , 1998. • Bartlett Robert H. Fisiopatología en Medicina Intensiva ,1ra Edición ,Barcelona España , Editorial Masson –Little ,Brown 1997. • Marino Paúl L . El libro de la UCI .2 da Edición .Barcelona España : MASSON – Williams & Wilkins ,1998. 138
  • 161.
    TERAPIA INTENSIVA 30. CETOACIDOSIS DIABÉTICA * Dr. Oscar Vera Carrasco. 30.1. DEFINICIÓN : La cetoacidosis diabética (CAD) es un estado hiperglucémico en pacientes con diabetes mellitus, que se caracteriza por déficit de insulina y un exceso relativo de glucagón y de otras hormonas contrareguladoras. Se caracteriza también por la presencia de cetosis. 30.2. ETIOLOGÍA . Los factores precipitantes habituales son : Infecciones Estrés agudo (infarto agudo de miocardio, íctus, traumatismo) Interrupción de la administración de insulina Uso de ciertos fármacos (Glucocorticoides, Fenitoina, Propanolol) Interrupción de la nutrición parenteral 30.3. CUADRO CLÍNICO . 30.3.1. HISTORIA: La CAD se desarrolla en pacientes de todas las edades (75% adultos) con diabetes mellitus insulinodependiente (DMID) y, con menor frecuencia con diabetes mellitus no insulinodependiente (DMNID). En el marco de problemas médicos graves coexistentes. La duración de los síntomas tiene un promedio de 3 días. Son frecuentes los síntomas gastrointestinales: dolor abdominal en el 50% de los pacientes, y náuseas y vómitos en el 75%. 30.3.2. EXAMEN FÍSICO: Deshidratación: sequedad de mucosas, hipotensión ortostática, taquicardia. Aliento con olor a frutas Hiperventilación (respiración de Kussmaul) Dolor abdominal a la palpación 30.4. EXAMENES DE LABORATORIO: Glucemia : 200 – 2.000 mg/dl. Cetonas sanguíneas (Betahidroxibutirato, acetoacetato): presentes. pH arterial < 7,4 Osmolaridad: ligeramente elevada 139
  • 162.
    TERAPIA INTENSIVA Glucosuria y cetonuria Anion gap o brecha aniónica : Elevado ( generalmente > de 18). 30.5. MANEJO Y TRATAMIENTO : 30.5.1. EVALUACIÓN INICIAL : * Descartar una infección como factor precipitante: - Hemograma completo, análisis de orina, Rx de tórax y cultivos apropiados. - Alteración del estado mental: considerar la realización de una Punción lumbar para descartar meningitis. - Dolor abdominal: considerar una posible apendicitis, diverticulitis o enfermedad inflamatoria pélvica. * Descartar infarto agudo de miocardio (ECG) en pacientes ancianos o en los que presentan Diabetes mellitus de larga evolución incluso sin síntomas de dolor torácico. 30.5.2. INSULINOTERAPIA : • 0,1 UI/kg peso de insulina regular o corriente vía IV en bolo, e iniciar la infusión de insulina regular a una dosis de 0,1 UI/kg peso/hora en Solución salina isotónica. • Controlar la glucemia cada hora. • Si la glucemia no comienza a descender después de 4 horas, aumentar la dosis de insulina cada hora hasta que comience a disminuir el nivel de glucemia. • Continuar con la infusión de insulina hasta que la glucemia sea de aproximadamente 250 mg/dl y la cetonemia sea negativa (o positivo solo en suero diluido), o hasta que el nivel de cetonuria sea pequeño o moderado. - El anion gap o la brecha aniónica debe reducirse aproximadamente al rango normal, a menos que exista otra causa de acidosis metabólica persistente. • Si el nivel de glucemia es igual o menor a 250 mg/dl, administrar solución salina al 0,45 % o Solución salina normal con dextrosa al 5% o al 10% y 10 a 20 mEq/l de ClK a una velocidad de 10 g de glucosa y 2 mEq de potasio por hora. Al mismo tiempo continuar la infusión de Insulina a una velocidad de 0,25 a 0,35 UI por gramo de glucosa administrado. • Monitorizar la glucemia cada hora. Una vez que la glucemia ha sido controlada y estabilizada, disminuir la frecuencia del monitoreo a cada 2-4 horas. Intentar mantener los niveles de glucemia entre 150-200 mg/dl hasta que el paciente pueda beber y comer. • Si la glucemia es : 90 – 180 mg/dl: continuar con la velocidad de infusión actual de insulina. > 180 mg/dl: aumentar la velocidad de infusión de insulina en 0,5 UI/hora. < 90 mg/dl: disminuir la velocidad de infusión de insulina en 0,5 UI/hora. < 70 mg/dl: suspender la infusión de insulina durante 1 hora, luego disminuir la velocidad previa en 0,5 UI/hora y continuar la infusión si el nivel de glucemia excede o es mayor a 70 mg/dl. 140
  • 163.
    TERAPIA INTENSIVA ANTES DE SUSPENDER LA INFUSIÓN CONTINUA DE INSULINA administrar 5-10 UI de insulina regular o corriente por vía subcutánea (SC) para evitar la recidiva de hiperglucemia y la cetosis (semivida de insulina en infusión es de sólo 6-8 minutos). 30.5.3. SOLUCIONES PARENTERALES: • Restablecer inmediatamente el volumen circulatorio con Solución salina isotónica o Ringer lactato: - Primer litro I.V. (1.000 ml) en los primeros 30 minutos - Segundo litro I.V. en la siguiente hora - Valorar el estado de volumen y luego proseguir según precise la situación clínica. - Si el paciente se encuentra en estado de Shock puede utilizarse coloides o expansores plasmáticos o requerir 2-3 litros de soluciones en las primeras 1-2 horas. • Reponer las pérdidas de líquidos intracelulares y totales: - Los pacientes pueden perder agua y sodio en cantidades de 100 ml de agua/kg peso y 7 mEq de Na+/kg peso, por lo que una buena elección en esta fase es una Solución salina al 0,45%. - La reposición debe ser gradual, a razón de 150-300 ml/hora en 12-24 horas. - Controlar el balance hídrico cada 1-2 horas y mantenerlo positivo; ajustar la velocidad de reposición I.V. según necesidad. Se suele precisar un balance positivo promedio de 5-7 litros durante el tratamiento. 30.5.4. SUPLEMENTO DE POTASIO: • La administración de K+ debe iniciarse cuando el potasio sea < 5,0 mEq/l y se registre el débito urinario. El objetivo es mantener el K+ sérico ≥ 3,5 mEq/l para evitar arritmias cardiacas. • Si el K+ sérico en el momento del ingreso es de < 3,5 mEq/l añadir inmediatamente 40 mEq de ClK a cada litro de Soluciones I.V. Si el fosfato está bajo, puede administrarse fosfato potásico monobásico. • Determinar el potasio sérico cada 2 horas una vez iniciado el tratamiento con insulina y cada 2- 4 horas posteriormente. • Administrar K+ I.V. hasta la resolución de la CAD; posteriormente puede administrarse K+ por vía oral. 30.5.5. SOLUCIÓN DE BICARBONATO DE SODIO: • La administración de bicarbonato no ha demostrado acelerar la resolución de la acidosis, por lo que no suele ser recomendable. Excepción : en la hiperkalemia grave con cambios característicos en el ECG ( QRS ancho u ondas T picudas). • Si es necesario, administrar 50-100 mEq de bicarbonato de sodio en 500-1000 ml de solución salina al 0,45% en 1-2 horas. 30.5.6. SUPLEMENTO DE FOSFATO : • La depleción promedio de fosfato en la CAD es de ± 1,0 mmol/kg. • Los niveles de fosfato con frecuencia descienden a ± 1,5 mg/dl con el tratamiento con insulina. 141
  • 164.
    TERAPIA INTENSIVA • La reposición I.V. no suele ser fundamental, sin embargo, si es necesaria la reposición si el nivel de fósforo es ≤ 1,0 mg/dl, dado que la hipofosfatemia grave puede causar insuficiencia respiratoria. En la hipokalemia concomitante el tratamiento de elección suele ser la administración de fosfato potásico I.V. 30.5.7. SUPLEMENTO DE MAGNESIO : • Se produce una depleción leve de Mg en la CAD y con el tratamiento con insulina, pero generalmente no requiere la administración de suplementos. • Si el paciente desarrolla irritabilidad ventricular con la hipomagnesemia, puede administrarse Sulfato de Magnesio a una dosis de 1-2 g I.V. 30.6. BIBLIOGRAFÍA : • Dahms WT. Diabetic ketoacidosis. En: Conn’s Current Therapy. Edited by Robert E Rakel. WB Saunders Company. Philadelphia 1993. • Ber genstal RM. Diabetic ketoacidosis. Posgrad 77: 151, 1985. • Berger W, et al. Treatment of diabetic ketoacidosis and non-ketocic hyperosmolar diabetic coma. Baillere’s Clinical Endocrinology and Metabolism 1992; 6: 1-22. • Kitabachi AE, et al. Cetoacidosis diabética. Clínicas médicas de Norteamérica 1995; 9-39. • Lebovitz HE. Diabes ketoacidosis. Lancet 1995; 345: 767-72. • Diez JJ. Cetoacidosis diabética y situaciones diadéticas hiperosmolares no cetósicas. Medicine 1998; 47:2078- 86. • Siperstein MD. Diabetic ketoacidosis and hyperosmolar coma. Endocrinl Metab Clin North Am 1992; 2: 415- 32. • Dagogo-Jack S. Diabetes mellitus y trastornos relacionados. En: Ahya SN, Flood K, Paranjothi S. El Manual Washington de Terapéutica Médica. 30ma. Edición. Editorial Lippincott Williams and Wilkins 2001; 458-62. • Nácul FE, Nácul LC. Cetoacidose Diabética e Síndrome Hiperosmolar Nào-Cetótica. En: David CM, Goldwaser R, Nácul FE. Medicina intensive. Editorial Revinter. Rio de Janeiro 1997; 248-50. • Marino Paul L. Acidosis Orgánicas. El libro de la UCI. 2ª edición. Editorial Masson-Williams and Wilkins. España 1998; 643-57. • Graf H, Arieff AI. The use of sodium bicarbonate in the therapy of organic acidosis. Intensive Care Med 1986; 12: 286-8. • Fish LH. Diabetic ketoacidosis. Posgrad Med 1994; 96: 75-96. • Umpierrez GE, Kitabachi AE. Management strategies for diabetic ketoacidosis. J Crit Illness 1996; 11: 437- 43. • Caputo D, Bazerque F. Cetoacidosis Diabética. En: Juan Pacin. Terapia Intensiva. 3ª. Edición. Editorial Médica Panamericana 2.000; 879-85. 142
  • 165.
    TERAPIA INTENSIVA 31. SÍNDROME HIPERGLUCÉMICO HIPEROSMOLAR NO CETÓSICO *Dr. Oscar Vera Carrasco 31.1. DEFINICIÓN : El Síndrome hiperglucémico hiperosmolar no cetósico (SHHNC) es una complicación aguda de la Diabetes mellitus No insulinodependiente, que se caracteriza por Hiperglucemia grave (> 600 mg/dl), aumento de la Osmolaridad plasmática(> 340 mOsm/L) , Deshidratación con insuficiencia prerrenal y ausencia de cetosis; además disminución del nivel de conciencia y/o signos neurológicos. 31.2. ETIOLOGÍA : 31.2.1. LOS FACTORES PRECIPITANTES HABITUALES SON : - Infecciones (hasta un 60 %) - Estrés agudo ( infarto agudo de miocardio, AVC) - Abandono del tratamiento - Embolismo pulmonar - Intervenciones quirúrgicas - Traumatismos - Quemaduras - Inadecuada ingesta de agua - Uso de ciertos fármacos ( Glucocorticoides, Fenitoina, Propanolol, diuréticos tiazídicos, antagonistas del calcio) - Procedimientos terapéuticos (Interrupción de la nutrición parenteral, diálisis) 31.2.2. EN ALGUNAS OCASIONES EL SHHNC SE DESARROLLA EN PACIENTES NO DIABÉTICOS: - Iatrogénico (sobrealimentación intravenosa hipertónica, diálisis peritoneal hiperosmolar) - Pérdidas graves de líquidos en pacientes con quemaduras. - Fórmulas de alimentación oral hipertónicas para lactantes. 31.3. CUADRO CLÍNICO : 31.3.1. HISTORIA : - Los pacientes con SHHNC son típicamente ancianos con historia de DMNI. - La duración de los síntomas tiene un promedio de duración de 12 días. - Son frecuentes los síntomas gastrointestinales (sed intensa, dolor abdominal, náuseas y vómitos) y las convulsiones. - Típicamente, hasta en un 30 % de los casos la diabetes mellitus no estaba diagnosticada. 143
  • 166.
    TERAPIA INTENSIVA 31.3.2. EXÁMEN FÍSICO: * Alteración del estado mental : estupor, posible focalidad neurológica y coma (asociada a osmolalidades de 340-350 mOsm/kg). * Signos neurológicos focales. * Deshidratación: sequedad de mucosas, hipotensión ortostática, taquicardia. * Poliuria, polidipsia, náuseas, vómitos, debilidad muscular. 31.4. EXAMENES DE LABORATORIO: • Glucemia: generalmente > 600 mg/dl. • Osmolalidad en plasma > 340 mOsm/L ( calculándose la osmolalidad efectiva con la fórmula : 2 x [ Na+] [mEq/L] + Glucemia[mg/dl] / 18. • Cetonas sanguíneas : ausentes. • pH arterial : normal (bajo si la hipovolemia causa perfusión tisular deficiente). • Anion gap o brecha aniónica : normal o elevado. • Glucosuria. 31.5. MANEJO Y TRATAMIENTO: El manejo y tratamiento del SHHNC es similar al de la CAD, sin embargo, en general los pacientes precisan más hidratación y menos insulina. ( Ver protocolo de CAD). * Para la rehidratación puede ser útil el cálculo del déficit de agua libre mediante la siguiente fórmula : Litros a reponer = (Na+ actual – Na+ deseado) x Agua corporal total Na+ deseado Siendo el agua corporal total = 0,6 x peso corporal Se recomienda tratamiento con Solución salina isotónica (0,9%) si la natremia es menor de 150 mEq/l, siguiendo la pauta descrita anteriormente en la CAD. Si la Natremia es mayor de 150 mEq/l se realizará tratamiento con Solución salina hipotónica (0,45%) hasta que la natremia sea inferior a 150 mEq/l , incorporándonos en ese momento a la pauta anterior. No administrar más del 10% del peso corporal en las primeras 24 horas. * Una vez que la glucemia descienda por debajo de 250 mg/dl se comienza infusión de Solución glucosada al 5% a un ritmo de 100 ml/hora restando este volumen al salino. * En cuanto a la Insulinoterapia se utilizará la pauta descrita en la CAD, aunque hay que tener en cuenta que la rehidratación por si misma puede reducir la glucemia entre 20-80 % en 12 horas, por lo que las dosis de insulina pueden ser menores. * No es recomendable iniciar tratamiento con suplementos de potasio hasta conocer sus cifras en suero. El déficit total de este ión puede ser aun mayor que en la CAD. Los suplementos de potasio se 144
  • 167.
    TERAPIA INTENSIVA administrarán en forma de cloruro de potásico en función de sus niveles plasmáticos: si es > 5,5 mEq/l no administrar pero medir a la hora, entre 4,5 y 5,5 mEq/l 20 mEq/l, entre 3,5 y 4,5 mEq/l 30 mEq/l y < de 3,5 mEq/l 40 mEq/l. * En este grupo de pacientes está indicada la profilaxis tromboembólica con Heparina de bajo peso molecular según protocolo establecido. * La transición al tratamiento definitivo se realiza de forma similar a la CAD, aunque en este caso, tras la recuperación, los pacientes son transferidos a Insulina subcutánea, habitualmente 0,5 UI/kg de insulina NPH, 60% en desayuno y 40% en cena, manteniendo este tratamiento 2-3 meses hasta evaluar ambulatoriamente el tratamiento con hipoglucemiantes orales. 31.6. BIBLIOGRAFÍA: • Berger W, et al. Treatment of diabetic ketoacidosis and non-ketocic hyperosmolar diabetic coma. Baillere’s clinical Endocrinology and Metabolism 1992;6: 1-22. • Diez JJ. Cetoacidosis diabética y situaciones diabéticas hiperosmolares no cetósicas. Medicine (Madrid) 1998; 47: 2084-6. • Krentz AJ, Nattras M. Acute complications of diabetes mellitus: diabetic ketoacidosis, hyperosmolar non- ketosic síndrome and lactic acidosis. En: Pickup JC, Williams G eds. Texbook of diabetes, 2nd ed. Oxford: Blakwell Scientific Publications 1997; 39: 1-23. • Sperstein MD. Diabetic ketoacidosis and hyperosmolar coma. Endocrinol Metab Clin North Am 1992; 2: 415- 32. • Genuth SM. Diabetic ketoacidosis and hyperglycemic hyperosmolar coma. En: Wardin CW ed. Current Therapy in Endocrinology and Metabolism. 6th ed. St Louis: Mosby-Year Book 1997; 438-47. 145
  • 168.
    TERAPIA INTENSIVA 32. TRASTORNOS EN LA SECRECIÓN DE HORMONA ANTIDIURÉTICA (ADH) * Dr. Gonzalo Luis Poma Plata La variación de la osmolalidad del plasma en 1 % causa estimulación o supresión de la secreción de vasopresina. El umbral por debajo del cual la secreción de vasopresina queda frenada es 270-290 mOsml/kg, y se eleva de forma directamente proporcional a la elevación de la osmolalidad plasmática. Otro factor regulador es el volumen sanguíneo, a través de los receptores de volumen , los péptidos opiáceos endógenos y los analgésicos relacionados con la morfina; el estrés ejerce un efecto antidiurético, a través del aumento de la secreción de vasopresina, mediado por la adrenalina; las prostaglandinas, principalmente la PGE2 , el sistema renina/ angiotensina modifica la secreción de arginina- vasopresina, a través de los baro y volureceptores. 32.1. DIABETES INSÍPIDA: 32.1.1. DEFINICIÓN: Síndrome consecuencia de una liberación insuficiente de ADH y se reconoce la existencia de una diabetes insípida central absoluta o parcial y de una diabetes insípida nefrogénica. En la diabetes insípida central absoluta hay una disminución muy importante del número de células neurosecretoras de los núcleos hipotalámicos supraóptico y paraventricular. En la diabetes insípida nefrogénica hay una falta de respuesta del túbulo renal ante la ADH . 32.1.2. ETIOLOGÍA: Diabetes insípida central Déficit de ADH por una síntesis insuficiente o por un trastorno de la liberación hormonal absoluta o parcial. Causas: Tumores hipotalámicos o hipofisarios (craneofaringioma, glioma, adenoma hipofisario, carcinoma metastásico, principalmente de mama y pulmón, infiltración leucémica , diversas entidades granulomatosas (sarcoidosis, histiocitosis, tuberculosis, sífilis), procesos infecciosos (meningitis, encefalitis); alteraciones vasculares (aneurismas, síndrome de Sheehan, apoplejía hipofisaria), traumatismos craneoencefálicos y las intervenciones quirúrgicas sobre el área hipotálamo-hipofisaria alcohol o ciertos fármacos, como la difenilhidantoína. Diabetes insípida nefrogénica El túbulo renal no responde a la estimulación de ADH. La poliuria generada es inferior a la reconocible en la diabetes insípida central. La hipercalcemia y la hipopotasemia, afectan la función de las células tubulares, aunque la poliuria es reversible cuando se normalizan las concentraciones hidroelectrolíticas. El litio y la demeclociclina, inhiben la actividad de la adenilciclasa y generan diabetes insípida nefrogénica. La poliuria intensa y mantenida origina un efecto de lavado del gradiente osmolar medular renal, con lo que se reduce la capacidad de concentración máxima de la orina; dando diabetes insípida nefrogénica parcial. 146
  • 169.
    TERAPIA INTENSIVA 32.1.3. MANIFESTACIONES CLÍNICAS: La poliuria, responsable de una disminución del agua corporal, origina un aumento de la osmolalidad plasmática, que estimulará la sed y generará a su vez polidipsia. La nicturia contribuye a la fatiga e irritabilidad que suelen presentar estos pacientes. La orina se encuentra diluida, con densidades de 1,001 a 1,005, o bien osmolalidades urinarias de 50-200 mOsml/kg, un volumen urinario diario superior a los 5 l. El síndrome de poliuria-polidipsia puede ser transitorio en los pacientes quirúrgicamente intervenidos del área hipotálamo-hipofisaria . Otras manifestaciones clínicas de origen central pueden acompañar al síndrome poliuria-polidipsia: hipertensión intracraneal, alteraciones del apetito, de la conducta sexual, del sueño, etc. Los pacientes con potomanía, o polidipsia primaria, generan una dilución del plasma que inhibirá la secreción de vasopresina, y altera el gradiente osmolar de la médula renal, lo cual reduce la capacidad de concentración de la orina 32.1.4. DIAGNÓSTICO Y DIAGNÓSTICO DIFERENCIAL: Prueba de deshidratación (de Miller). restricción hídrica completa, Paciente con insuficiencia suprarrenal, deberá mantener el tratamiento sustitutivo con hidrocortisona. Antes de comenzar la prueba, se pesa al paciente, y a partir de ese momento, el sujeto vaciará la vejiga, obteniéndose una muestra urinaria para la determinación de la osmolalidad, que también se determinará en plasma. Cada hora muestras seriadas de orina, se anota la diuresis y el peso; con controles horarios de frecuencia cardíaca, presión arterial y temperatura corporal. La prueba se interrumpe cuando : La osmolalidad urinaria es superior a 800 mOsml/kg, La pérdida ponderal superior al 5 %, Obtención de una osmolalidad urinaria en 3 determinaciones horarias consecutivas con diferencias iguales o menores a 30 mOsml/kg, comparadas de dos en dos consecutivamente. Finalizado lo anterior, se determinarán de nuevo las osmolalidades plasmáticas y urinarias. Luego se administrará 5 U de vasopresina por vía subcutánea, o bien 20 mg de desmopresina por vía intranasal. Al cabo de 1 y 2 horas determinar de nuevo las osmolalidades plasmática y urinaria. En un individuo normal, o con potomanía, antes de administrar ADH, la osmolalidad urinaria será superior a 500 mOsml/kg, y la osmolalidad plasmática inferior a 300 mOsml/kg; 1 hora después de la administración de ADH, el ascenso de la osmolalidad urinaria será inferior al 5 %. Si hay déficit absoluto de ADH (diabetes insípida central absoluta), antes de administrar ADH, la osmolalidad plasmática estará relativamente elevada (298 y 322 mOsml/kg) y la osmolalidad urinaria será inferior a la plasmática. Después de la ADH, se producirá una marcada elevación de la osmolalidad urinaria (por lo general del orden del 50 %). En caso de déficit parcial de ADH (diabetes insípida central parcial), tras la ADH la osmolalidad urinaria se incrementará más de un 5 %, pero se situará por debajo del 45 %. Determinación de vasopresina en plasma por RIA. Prueba de infusión con suero salino hipertónico. Infusión de solución salina 5 % , se obtendrán muestras plasmáticas antes de la infusión y cada 30 min durante 2 horas. Se determinarán en las muestras los cambios de la osmolalidad en el plasma y de los valores de vasopresina. Contraindicado en pacientes > 50 años, hipertensos o insuficiencia cardíaca conocida. 147
  • 170.
    TERAPIA INTENSIVA 32.1.5. TRATAMIENTO: Acetato de desmopresina (DDAVP) análogo sintético de la vasopresina (1-desamino-8-D-arginina- vasopresina) por vía intranasal, dosis de 100-200 mg, a partir de 100 mg/ml. efecto en 1 hora, persiste por 8-20 horas. Vasopresina acuosa (pitresina) por vía subcutánea o intramuscular, útil cuando no pueda administrase DDAVP acción a los 30-60 min y duración 6 horas; dosis 5-10 U cada 6-8 horas (2,5-10 U en niños). También indicada para el control rápido de la poliuria, tras un traumatismo craneal o cirugía hipofisaria. Tanato de vasopresina es un preparado de vasopresina en suspensión oleosa, por vía intramuscular. Las dosis de 2,5-5 U. dura 3 horas; no obstante, se consigue alivio sintomático 48-72 horas. La 8-lisina-vasopresina es un preparado sintético, como inhalador nasal, con rápida absorción por mucosa. En pacientes con angina la dosis se reducirá a la mínima suficiente . La desmopresina tiene menor efecto vasoconstrictor. Dosis elevadas de vasopresina pueden activar la contracción de la musculatura gastrointestinal y generan náuseas, dolor abdominal, diarrea. La desmopresina puede ocasionar también cefalea transitoria. El Clofibrato, en dosis orales de 1-2 g/día, reduce el flujo urinario en pacientes con diabetes insípida central, pero resulta ineficaz en la nefrogénica. aumenta la secreción de vasopresina. La Clorpropamida reduce la poliuria en más del 50 % de pacientes con diabetes insípida central. dosis 200-500 mg/día. Aumenta la secreción de vasopresina. Resulta efectiva en el tratamiento de la diabetes central parcial. El efecto antidiurético (paradójico) de las tiazidas se debe probablemente a la reducción del volumen plasmático . No son eficaces si no se acompañan de restricción dietética de sodio. Representan la forma más efectiva de tratamiento de la diabetes insípida nefrogénica, en la que pueden reducir la diuresis hasta un 50 %. 32.2. SÍNDROME DE SECRECIÓN INADECUADA DE HORMONA ANTIDIURÉTICA 32.2.1. DEFINICIÓN: El síndrome de secreción inadecuada de ADH (SSIADH) liberación mantenida de ADH, con osmolalidad plasmática disminuida, y balance de agua libre positivo continuo. La hipervolemia incrementa el filtrado glomerular, disminuye la reabsorción de sodio en el túbulo proximal, incrementa la natriuresis y acentúa la hiponatremia. Hay supresión del eje renina-angiotensina- aldosterona, así como hiponatremia, asociada a una orina menos diluida de la capacidad máxima. 32.2.2. ETIOLOGÍA: La más frecuentemente es el carcinoma bronquial indiferenciado de células pequeñas (estos pacientes presentan SSIADH en más del 50 % de los casos). Los pacientes sometidos a respiración mecánica, con presión espiratoria positiva, tienen niveles plasmáticos elevados de vasopresina por estimulación de los receptores intratorácicos. Fármacos: la Clorpropamida, parece potenciar la acción de la vasopresina en la nefrona distal. 148
  • 171.
    TERAPIA INTENSIVA 32.2.3. MANIFESTACIONES CLÍNICAS: Los síntomas corresponden a los de una intoxicación acuosa. Cuanto más rápidamente se instaure la hiponatremia, más intensos serán. Cuando la natremia es inferior a 120 mmol/l, aparecen trastornos del nivel de conciencia y de la conducta, con cefalea, anorexia, náuseas, vómitos y dolor abdominal. Cuando las concentraciones de sodio plasmático son aún inferiores, se intensifican los síntomas neurológicos; a partir de 110 mmol/l aparece hiporreflexia, arreflexia, signo de Babinski, convulsiones y muerte.Característica la ausencia de edemas. 32.2.4. DIAGNÓSTICO: La osmolalidad urinaria supera a la osmolalidad plasmática y el equilibrio de agua libre es continuamente positivo, hay descenso de sodio, urea, creatinina, albúmina y ácido úrico en plasma, y la excreción urinaria de sodio supera a 20 mEq/l en presencia de hiponatremia. El diagnóstico definitivo : demostración de valores de ADH inadecuados para su osmolalidad . Comprobar normofunción tiroidea y suprarrenal, y descartar enfermedades que puedan evolucionar con disminución del volumen circulante efectivo (insuficiencia cardíaca congestiva, cirrosis hepática con ascitis). 32.2.5. TRATAMIENTO: Casos moderados y graves: restricción acuosa (500-100 ml/día). Hiponatremia grave: se instaura rapidamente solución salina hipertónica (3 %) y, furosemida (40 mg/día intravenosa) . Forma crónica del síndrome: Demeclociclina. La dosis diaria 600-1.200 mg. Litio no se recomienda como tratamiento crónico del SSIADH. 32.3. BIBLIOGRAFÍA • Pacin Juan ,Maskin Bernardo ,Pálizas Fernando. Terapia Intensiva 3ra Edición . Buenos Aires Argentina : Panamericana ,2000. • Grenvik Ake ,MD ; Ayres Stephen ,MD ; Holbrook Peter ,MD ; Shoemaker William MD . Compendio del Tratado de Medicina Crítica y TERAPIA INTENSIVA . Buenos Aires Argentina : Panamericana , 1998. • Bartlett Robert H. Fisiopatología en Medicina Intensiva ,1ra Edición .Barcelona España , Editorial Masson –Little ,Brown 1997. • Marino Paúl L . El libro de la UCI .2 da Edición .Barcelona España : MASSON – Williams & Wilkins ,1998. 149
  • 172.
    TERAPIA INTENSIVA 33. CRISIS TIROTÓXICA *Dr. Jesús Gómez Mendívil 33.1. DEFINICIÓN: La tormenta tiroidea o crisis tirotóxica, es el resultado de la insuficiencia de los mecanismos compensadores del organismo en el hipertiroidismo grave. En la clínica se define como un “aumento de la manifestación del hipertiroidismo que pone en peligro la vida”. La fuente de hormona tiroidea puede ser: Por síntesis y secreción excesiva de hormona en la glándula tiroides como respuesta a TSH o a sustancias anormales estimulantes de la tiroides. Hipersecreción autónoma de hormona o liberación anormal de hormona pre formada. Producción de hormona por una fuente exógena o ectópica. Las manifestaciones pueden ser leves o graves según la duración y magnitud del exceso de hormona y la presencia de enfermedades intercurrentes. 33.2. FACTORES DESENCADENANTES: Los pacientes que sufren tormenta tiroidea suelen tener tirotoxicosis mal controlada; a menudo hay un factor desencadenante identificable: • Infecciones •Cirugía • Enfermedad psiquiátrica aguda • Insuficiencia cardiaca congestiva • Abandono del tratamiento antitiroideo • Medios de contraste Iodado • Palpación enérgica de una glándula hipertiroidea • Ingesta exógena de hormona tiroidea • TEP • IAM • AVC • Obstrucción intestinal • Cetoacidosis diabética • Hipoglucemia • Estrés emocional • Extracción dental • Anestesia • Parto • Gestosis • Infarto mesentérico • Traumatismos • Fármacos: Simpaticomiméticos (pseudoefedrina), amiodarona • Alimentos en base a algas marinas 150
  • 173.
    TERAPIA INTENSIVA 33.3. CUADROCLINICO: Las manifestaciones clínicas pueden clasificarse de acuerdo a sistemas: 33.3.1. SISTEMA NERVIOSO CENTRAL: Agitación Delirio Psicosis Letargia Convulsiones Coma 33.3.2. CARDIOVASCULAR: Taquicardia Arritmias ICC de alto gasto Edema pulmonar Hipertensión arterial sistémica Isquemia de miocardio Hipotensión arterial Choque 33.3.3. GASTROINTESTINAL: Diarrea Náuseas y vómitos Dolor abdominal Ictericia Falla hepática 33.3.4. SISTEMA TERMORREGULADOR: Hiperpirexia Temperatura central mayor a 40 grados Celsius. Casi siempre hay bocio, el mismo que puede ser difuso o multinodular. Los enfermos tienen debilidad muscular notable debido a miopatia proximal y caquexia generalizada. Hay temblores. La piel está caliente, húmeda, ruborosa, blanda y “aterciopelada”. 33.4. EXÁMENES COMPLEMENTARIOS: Al ingreso al servicio deberá tomarse muestras de sangre para determinación de pruebas de función tiroidea, renal, hepática, hematología básica, electrolitos. Las concentraciones hormonales no se han relacionado ni a la cantidad ni a la gravedad de las manifestaciones clínicas, lo que sugiere variaciones individuales en la sensibilidad a los niveles de hormona circulante. Los datos laboratoriales característicos de la tempestad tiroidea son: • T3, T4 y T4 libre elevadas • TSH suprimida 151
  • 174.
    TERAPIA INTENSIVA • Hiperglucemia • Leucocitosis con desvió izquierdo • Anemia • Hipercalcemia • Hipokalemia • Enzimas hepáticas alteradas • Hiper o normo cortisolemia Ante la sospecha de que una infección sea la causa desencadenante de la tormenta tiroidea, deben tomarse muestras para estudios bacteriológicos en fresco y cultivos. Una prueba rápida y fácil es la captación de I 131 de dos horas, que además de proporcionar orientación hacia el tipo de terapia que será necesaria, está elevada si la causa es un hipertiroidismo, y disminuida en la ingesta exógena de hormona tiroidea y en algunos casos de tiroiditis. La radiografía de tórax es útil para investigar focos infecciosos pulmonares. El ECG puede mostrar taquiarritmias supraventriculares, principalmente taquicardia sinusal y fibrilación auricular, también permite ver desnivel positivo del segmento ST con inversión de la onda T. 33.5. DIAGNOSTICO DIFERENCIAL: Merece especial atención el diagnóstico diferencial con: sepsis, feocromocitoma e hipertermia maligna. 33.6. TRATAMIENTO: Debe iniciarse tan pronto como se sospeche el diagnóstico, una vez tomadas las muestras para los diferentes exámenes, sin esperar los resultados. 33.6.1. MEDIDAS GENERALES: Aporte hidroelectrolítico parenterál (3 a 5 litros al día), además de solución glucosada y tiamina para prevenir la encefalopatía de Wernicke. Combatir la hipertermia con medios físicos y paracetamol. Evitar salicilatos porque aumentan la concentración de hormona tiroidea libre. En casos rebeldes administrar : Clorpromazina 25 a 50 mg o meperidina 25 a 50 mg. Monitoreo hemodinámico constante. En pacientes con insuficiencia cardiaca y desequilibrio hidroelectrolítico suele ser necesario cateterizar corazón derecho, con medición de presión capilar pulmonar presión venosa central y gasto cardiaco. El choque inminente requiere corrección del déficit hídrico y administración de inotrópicos. La frecuencia cardiaca elevada puede controlarse con digoxina 0,25 a 0,50 mg IV o propanolol 1 a 2 mg IV. Bloqueantes H2 IV para prevenir las úlceras de estrés Identificar y tratar la causa desencadenante. 33.6.2. BLOQUEO DE LA SÍNTESIS DE HORMONA TIROIDEA: Metimazol: VO o rectal, 60 a 100 mg como dosis de impregnación y 25 mg cada 6 horas. Propil tiouracilo: VO. 600 a 1000 mg como dosis de ataque y 200 mg cada 6 horas. Es el fármaco de elección en el embarazo. 152
  • 175.
    TERAPIA INTENSIVA 33.6.3. BLOQUEO DE LA LIBERACIÓN DE HORMONA TIROIDEA. Solución saturada de Yoduro de potasio ( SSIK): VO, 5 gotas cada 6 horas pasadas 2 a 3 horas de administrado el antitiroideo. Lugol: VO, 10 gotas cada 8 horas. Ipodato: VO, 1 –3 g c/día. Es de elección en tiroiditis o ingesta exógena de hormona tiroidea. Yoduro sódico, IV, 0,5 mg c/12 horas, si no se dispone de de éste, preparar 500 ml de dextrosa al 5% más 10 gotas de lugol. Si está contraindicado el I, se usa carbonato de litio 300 mg c/6 horas VO. 33.6.4. INHIBICIÓN DE LA CONVERSIÓN PERIFÉRICA DE T4 A T3 : Dexametasona 2 mg IV c/6 horas. Hidrocortisona 100 mg IV c/8 horas. 33.6.5. BLOQUEO ADRENÉRGICO: Propanolol: 20 a 80 mg VO c/8 horas de acuerdo a respuesta clínica, siendo óptimo alcanzar una frecuencia cardiaca menor a 80 latidos por minuto y mejoría del temblor. 33.7. BIBLIOGRAFÍA: • Bongard S, Sue D. Diagnóstico y Tratamiento en Cuidados Intensivos. 1ra ed.. México:El Manual Moderno. • Aguilar C, Prado E, Cañedo Ch, Chevaile J, Saucedo J, Kaplan M, Diaz A, Eraño J. Manual de Terapéutica Médica y procedimientos de urgencias. 3ra ed.. México: McGraw-Hill Interamericana; 1997. • Marino P. El Libro de la UCI. 2da ed..Barcelona: Masson; 1998. • Muñoz L, Martinez C, Hernández T, Marin J, Martinez JM, Garcia R. Urgencias Médico Quirúrgicas, Manual de Problemas Clínicos. 1ra ed..Madrid: Diego Marín;1998. • Grenvik A, Ayres S, Holbrook P, Schoemaker W. Compendio del Tratado de Medicina Crítica y Terapia Intensiva. Buenos Aires: Panamericana; 1998. • Hall J, Schmidt G, Wood L. Cuidados intensivos. 2da ed.. México:McGrw-Hill Interamericana; 2000. • Villa FL. Medimecum. 7ma ed.. España: Adis; 2002. • Parsons P, Wiener-Kronish J. Secretos de los Cuidados Intensivos. 2da ed.. México: McGraw-Hill Interamericana; 2001. 153
  • 176.
    TERAPIA INTENSIVA 34. HEMORRAGIA DIGESTIVA ALTA *Dra. Marina Fuentes C. 34.1. DEFINICIÓN: Se denomina hemorragia digestiva alta (H.D.A.) al sangrado originado en el tracto digestivo ubicado entre la unión faríngeo esofágico ó es esfinter esofágico superior y el ángulo duodeno yeyunal de Treitz. La incidencia de H.D.A. se estima en el 1 a 2 por mil de la población general. La incidencia global de H.D.A. en pacientes críticos es de 10 – 20 %; sin embargo, el sangrado con trascendencia clínica (requerimiento transfusión) tendría una incidencia del 2 – 5 %. Los principales factores de riesgo de H.D.A. son: Úlcera gastroduodenal Lesión neurológica aguda Quemaduras externas Coagulopatias Insuficiencia respiratoria aguda Hemorragia digestiva previa 34.2. ETIOLOGÍA: Anatómicamente la H.D.A. puede provenir de lesiones en el esófago, estómago y duodeno y solo raramente se origina en el páncreas y las vías biliares. 34.2.1. DE ORÍGEN ESOFÁGICO. Las causas más frecuentes (15 % del total) son las varices esofágicas y la esofagitis por reflujo con o sin úlcera, variando sus respectivas proporciones según la incidencia de hipertensión portal por la cirrosis alcohólica que varían según la población del país o la región que se tome. Raramente se complican con homorragia digestiva alta la esofagitis por ingesta de caústicos, los tumores benignos o malignos de esófago el sindrome de Mallory Weis, hernia hiatal, diverticulitis, aneurisma aórtico, malformaciones y la esofagitis aisladas, excepcionamente producen hemorragias severas excepto cuando se asocia a una lesión difusa del esófago, estómago y duodeno inducida por medicamentos o alcohol. 34.2.2. DE ORÍGEN GÁSTRICO: Las causas más frecuentes (60 % del total) son la gastritis erosiva por estrés, sepsís o medicamentosa y la úlcera péptica. Le siguen en importancia los tumores benignos y malignos, hernias hiatales, las úlceras de neoboca quirúrgicas, los diverticulos, las varices submucosas y los tumores y quistes del páncreas. Es evidente que la mayor frecuencia de hemorragias a nivel gástrico tiene clara vinculación con la secreción de ácido clorhídrico, con la mayor concentración de hidrogeniones en la misma o con el deterioro de la barrera mucosa. 154
  • 177.
    TERAPIA INTENSIVA 34.2.3. EL DUODENO COMO ORÍGEN DE H.D.A. : Las causas más frecuentes (25 % del total) son la úlcera péptica y la duodenitis hemorrágica, secundariamente los diverticulos, la hemobilia, los tumores benignos, tumores de papila, tumores de páncreas, vasculopatias, aneneurisma aórtico, cáncer de Vater. 34.3. CLÍNICA: Los signos de presentación son la hematemesis, melena, hematoquezia, sangre oculta en matería fecal y hemobilia. Las formas más observadas en pacientes críticos son la hematemesis y la melena. La H.D.A. puede ser causa de ingreso a la UTI, por patología gastrointestinal primaria, o presentarse como epifenómeno en pacientes críticos. Clínicamente la H.D.A. se clasifica en leve, moderada y grave y sin colapso hemodrinamico. 34.3.1. LEVE: Pérdida hemática del 10 % de la volemia o menor: conservación de la tensión arterial (T.A.), diuresis y PVC, hematocrito normal o levemente descendido. 34.3.2. MODERADA. Pérdida del 20 % de la volemia (1000 – 2000 ml): paciente pálido, sudoroso y taquicardico; descenso de la T.A. de 20 a 30 mmHg. por debajo de lo habitual; diuresis horaria normal o levemente descendida. 34.3.3. GRAVE. - Sin colapso: pérdida de hasta 40 % de la volemia: hipotensión de 80 a 100 mmHg. de la sistólica; PVC descendida y diuresis horaria menor a 30 ml. - Con colapso: signos clínicos de colapso preriferico; pérdida del 40 % de la volemia: PVC 0, oligoanuria. 34.4. DIAGNÓSTICO: 34.4.1. LABORATORIO: Solicitar: hemotocrito, uremia, creatinina, recuento de glóbulos blancos, ionograma,. Glucemia, estado ácido-base, tiempo de protrombina, KPTT, plaquetas, tiempo de sangria, hepatograma _ tipificación de grupo y factor. 34.4.2. ENDOSCOPIA: Debe efectuarse dentro de las 24 horas de iniciada la hemorragia, dando el diagnóstico de casi el 100 % de los pacientes, cuando el paciente este compensado y preparado con un buen lavado y aspecto gástrico. 155
  • 178.
    TERAPIA INTENSIVA Las indicaciones de endoscopia son: sospecha de varices, sospecha de fistula aórto - entérica, H.D.A. rebelde al tratamiento, shock, tratamiento local: (en las lesiones I y II de Forrest). 34.4.3. RADIOLOGÍA BARITADA: Su utilidad urgencia es excepcional. Se realiza después del estudio endoscópico para tener una apreciación anatomo-funcional del territorio digestivo que nos permitirá el diagnóstico de lesión parietal, pero no puede determinar el origen de la hemorragia en lesiones mucosas erosivas. Por otra parte, un estudio radiológico negativo, no excluye el diagnóstico de úlcera péptica sangrante que puede estar ocupada por un coágulo. 34.4.4. ANGIOGRAFIA: Se requiere en un pequeño grupo de pacientes, y tiene utilidad diagnóstica y terapéutica en pacientes con hemorragia digestiva nociva y alto riesgo quirúrgico. Como método diagnóstico requiere un volumen de sangrado mayor a 0,5 ml por minuto. Como método terapéutico, permite la infusión selectiva de vasopresina, o la embolización de la lesión. El estudio selectivo se realiza en el tronco celiaco, la gastroepiploica izquierda y la mesentérica superior. 34.4.5. LAPARATOMIA EXPLORADORA: Últimas técnicas diagnósticas a realizar ante la persistencia de la hemorragia, sin diagnóstico por las técnicas anteriormente descritas. 34.5. TRATAMIENTO: 1.- Suspensión de la alimentación por vía oral y colocación de una SNG: nos permite evacuar y cuantificar aproximadamente la cantidad de sangrado y facilitar la correspondiente reposición. Realizar lavados gástricos con agua o solución fisiológica helada que nos permita extraer los coágulos o detener el sangrado por vasoconstrucción local, además de preparar al paciente para el estudio endoscópico y radiológico. 2.- Estabilizar hemodinamicamente, a través de una vía central, monitorizando la PVC, la diuresis horaria, la tensión arterial, la frecuencia cardiaca y la perfusión hística. La reposición de volumen será electivamente de sangre homóloga, previamente controlada y compatibilizada en forma directa. En los casos de suma urgencia transfundir sangre O Rh hasta obtener la indicada, también pueden utilizarse sustitutos del plasma como las soluciones macromoléculas, soluciones hipertónicas o cristaloide dependiendo de la reserva cardiaca. 3.- En el tratamiento farmacológico están indicados : - Cimetidina: inicialmente por vía intravenosa en dosis diarias de 1000 a 1400 mg, distantes en 200 mg cada 4 horas, administrados lentamente en dosis de hasta 2 mg. / kg de peso corporal 156
  • 179.
    TERAPIA INTENSIVA por hora, durante 48 horas a 72 horas después del cese de la hemorragia, pasando luego a vía oral en dosis de 200 mg cada 4 horas. - Ranitidina: 150 mg. en bolo (en 5 minutos) y 300 – 450 mg en goteo ( 24 horas). - Antiácidos orales: aluminio, magnesio, etc. La dosis es necesaria para mantener el pH gástrico por encima de 3-5. Si no se puede medir el pH, deben pasarse por SNG. 20 a 30 ml cada 1 a 3 horas. - Sucralfato: dosis en sangrado 5 ml por hora por SNG. En pacientes estables 5 ml cada 6 horas VO. No debe asociarse con drogas que eleven el pH gástrico, porque su eficacia es con un pH menor a 4. - Omeprazol: eleva el pH por disminuir la producción de ácido Clorhídrico, bloqueando en la célula parietal la bomba de protones. La dosis es de 20 a 40 mg. cada 12 horas por SNG, 80 mg. en bolo IV y 40 mg cada 12 horas IV. - Misoprostol: es un análogo de las prostaglandinas. No se ha encontrado utilidad en las úlceras de estrés, es más probable su eficacia para prevenir las ulceraciones por AINE. La dosis es de 100 – 200 mcg cada 6 horas por VO. Contraindicado en el embarazo. - Somatostatina: útil en el tratamiento de la hemorragia digestiva por varices esofágicas, reduce selectivamente el flujo esplácnico por vasoconstricción sin afectar la circulación sistémitica. La dosis de carga por vía intravenosa es de 50 - 250 mcg en bolo y el de mantenimiento es de 250 a 500 mcg / hora en goteo, puede usarse por vía subcutánea con un rango desde 50 mcg cada 24 horas hasta 200 mcg cada 8 horas. Esta contraindicada en el embarazo. - Vasopresina: actúa disminuyendo el flujo esplácnico. Se usa en infusión contínua endovenosa o intra arterial selectiva y actualmente no se usa en bolo por los numerosos efectos secundarios que pueden ocasionar. El esquema más utilizado es 0,4 U / minuto, hasta que la hemorragia se detiene o durante las primeras 24 horas, se sigue con 0,2 U / minuto, durante otras 24 horas y, finalmente, con 0,1 U / minuto durante las últimas 24 horas. Sus principales complicaciones son la esquemia cardiaca, intestinal y la necrosis de piel. 4.- Tratamiento Endoscópico: puede ser Tópico, con adhesivo de tejidos, factores de coagulación, taponamiento ferromagnético. Inyectable: alcohol, adrenalina más etanolamina, esclerosantes, solución salina hipertónica. Mecánica: lazos, suturas, hemoclips, balones, ligaduras. Térmicos: electrocoagulación, Heater probe, fotocoagulación. 5.- Tratamiento Quirúrgico: aunque actualmente la mayor parte de las HDA se solucionan con tratamiento médico, debe tenerse presente la posibilidad de tratamiento quirúrgico de Urgencia. Las indicaciones son: tratamiento intensivo de más de 5 horas de duración o la necesidad de transfundir más de 2 a 3 litros de sangre para mantener hemodinámica normal. - Hemorragias persistentes que requieren más de 3 unidades por día de sangre. - Recidiva de la hemorragia a pesar del tratamiento médico y endoscópico. 157
  • 180.
    TERAPIA INTENSIVA - Hemorragia más perforación u obstrucción pilórica. - Úlcera con vaso visible por la alta probabilidad de resangrado. - Reserva insuficiente de sangre. La mortalidad en la cirugía de la H.D.A. es de un 80 % por gastropatia erosiva, un 50 % por várices esofágicas en el shunt ( child C) y 25 % en la transección; por úlcera duodenal y gástrica un 5 a 15 % respectivamente. 6.- Otros: la sonda balón de Sengstaken Blakemore o sus variantes, son utilizados en la H.D.A. originada por varices esofágica antes del tratamiento farmacológico específico, antes del tratamiento endoscópico y quirúrgico. Toda H.D.A. debe considerarse un proceso de alto riesgo, independientemente del volumen inicial de la misma y la repercusión hemodinámica que tenga en su comienzo, puesto que la evolución será totalmente impredecible mientras no se tenga conocimiento preciso de la lesión causada. Los pacientes sin alteración hemodinámica deberán internarse en sala general y los pacientes con descompensación hemodinámica en una unidad de cuidados Intensivos, para su diagnostico, y tratamiento ya indicados de acuerdo a la severidad del cuadro. 34.6. BIBLIOGRAFÍA: • Cook D. et al. risk factors for gastrointestinal bleeding in critical ill patient. N Engl Med 1994; 330-337. • Durham R, Shapiro M. Acte uypper gastrointestinal bleeding in the intensive Care Unit. En Carlson, R , Reiner, H. Critical Care State of the Art. 1992. • Daniel Elisabe, Pascual Valdez. Hemorragia Digestiva Alta. En Pacin J, Dubin A, Gallesio A, Laffaire E, Maskin B, San roman A. Terapia Intensiva. 2da. Edicion. Buenos Aires: Panamericana. 1998.p.417-423. • Eric B Larson MD y Paul G Ramsey MD. En Cecil Terapeutica Medica. 2da. Edicion. México: Interamericana. 1991.p.287-289. • Fred E. Silverstein. Endoscopia Gastrointestinal. En Harrison. Principios de Medicina Interna.14ta edicion. Mexico: Interamericana. 1998.p.1508-1547. • Harvey J Dworken. Hemorragia Gastrointestinal. En Shoemaker, Ayres, Grenvik, Holbrook, Thompson. Tratado de Medicina critica y Terapia Intensiva. 2da. Edicion. 1992.p.768-779. • Gilbert H. Mudge. Agentes que afectan el volumen y la composicion de los liquidos corporales. En Goodman y Gilman. Las Bases Farmacologucas de la Terapeutica. 7ma. Edicion. Buenos Aires: Panamericana. 1998.p.815- 819. • Jensen D y col. A controlled study of ranitidine for the prevention of recurrent hemorrhage from duodenal ulcer. N Engl J Med. 1994; 330: 382. • Lacroix J, Infante Rivard C, Jenicek M, Cauthier M. Profilaxis of upper gastrointestinal bleeding in intensive Care United. A meta-analysis. Crit Care Med. 1988;17: 862. • Martin R Pujato. Hemorragia Digestiva Alta. En Fernando G Lasala, Carlos L Sagasta. Temas de Terapeutica Clinica. 2da. Edicion. Buenos Aires: Akadia.1980.p.317-322. • Paul Goldhaber. Alteraciones en la Funcion del Sistema Digestivo. En Harrison. Principios de Medicina Interna. 14ta. Edicion. Mexico: Interamericana. 1998.p.222-226. • Reusser P, Gyr K, Sheidegger D y col. Prospective endoscopy study of stress erosions and ulcers in critically ill neurosurgical patient. Current incidence and effect of acid-reductng prophylaxis. Crit Care Med. 1990; 18: 270. • Schuster DP, Rowley H, Feinstein S y col. Prospective evaluation of the risk of upper gastrointestinal bleedin after admissi on to a medical intensive care unit. Am J Med. 1984: 76: 623. 158
  • 181.
    TERAPIA INTENSIVA 35. PANCREATITIS AGUDA. *Dr. Williams Vidal Panique Rojas 35.1. DEFINICIÓN: La pancreatitis aguda es un proceso inflamatorio del páncreas con un amplio rango de gravedad clínica que varía desde una forma autolimitada, a una enfermedad letal complicada con un fallo multiorgánico. 35.2. ETIOLOGÍA: Alcoholismo. Enfermedad de vías biliares. Traumatismo: post-operatorio, lesiones abdominales, después de ERCP. Infecciones: paperas, coxackievirus y echovirus, micoplasma, parasitosis. Causas metabólicas: hiperlipidemia, hiperparatiroidismo, embarazo, uremia, después de transplante renal. Fármacos: - Informes múltiples: De inmunosupresión: corticosteroides, azatioprina, L-asparaginasa. Diuréticos: tiazidas, furosemida, ácido etacrínico. - Varios: fenformina, contraceptivos bucales. - Informes poco frecuentes o dudosos: Acetaminofeno, INH, rifampicina, propoxifeno. Causas vasculares: choque, LES, periarteritis, embolia ateromatosa. Causas mecánicas: Tumor de ampolla de Vater, divertículos duodenales, enfermedad de Crohn duodenal, cirugía abdominal. Úlcera duodenal penetrante. Causas familiares. 35.3. CUADRO CLÍNICO: Dolor abdominal. El dolor es constante antes que tipo cólico, de inicio se localiza en epigastrio y cuadrante superior izquierdo, pero a medida que progresa se hace difuso y se irradia hacia el dorso. Ocurre vómito en el 70 a 90 % de los casos. Los hallazgos físicos inespecíficos son fiebre, taquicardia e hipotensión. Casi siempre hay hipersensibilidad abdominal. En ocasiones, en la pancreatitis hemorrágica la sangre retroperitoneal se diseca hacia los flancos o alrededor del ombligo, para producir los signos de Grey Turner o Cullen. 35.4. EXÁMENES COMPLEMENTARIOS: Amilasa sérica. Glucosa sanguínea. Calcio sérico. Radiografía. TAC. 159
  • 182.
    TERAPIA INTENSIVA ERCP. RNM. 35.5. TRATAMIENTO: Sintomático y de sostén: Meperidina para el dolor. Calcio. Insulina. 35.6. BIBLIOGRAFÍA: • Simposio Internacional de Atlanta: Pancreatitis Aguda. 1994. • Reyes R. Rica H. Chanis G. Pancreatitis aguda y Crónica. 1992 160
  • 183.
    TERAPIA INTENSIVA 36. NUTRICIÓN PARENTERAL: *Dr. Williams Panique Rojas 36.1. DEFINICIÓN: La nutrición parenteral se define como un apoyo nutricional endovenoso que, tiende a disminuir el deterioro nutricional de pacientes que no pueden recibir alimentos por vía digestiva. Es la técnica de asistencia nutricional intensiva cuando el tracto digestivo no pueda ser usado; por ser ello: Imposible: obstrucciones intestinales, resecciones intestinales, pancreatitis aguda grave, peritonitis, abscesos intraabdominales, complicaciones de cirugía digestiva. Insuficiente: mala absorción, diarreas crónicas, quemaduras, politraumatizados, sépsis. Desaconsejable: fístulas enterocutaneas, obstrucciones intestinales parciales, inflamaciones intestinales agudas, compromiso de conciencia con riesgo de broncoaspiración. 36.2. REQUERIMIENTO ENERGÉTICO: 1.- Harris Benedict: Hombre: 66 + (13.7 x peso[kg.])+ ( 5 x talla[cm])- (6.8 x edad [años]) Mujer: 665 + (9.6 x peso[kg.])+ (1.8 x cm talla[cm])- (4.7 x edad [años]) 2.- Roza: Masculino: GEB = 88.36 + (123.39 x peso [kg.]) + (4.79 x altura [mts]) – (5.67 x edad [años]) Femenino: GEB = 447.59 + (9.24 x peso [kg.]) + (3.04 x altura [mts]) – (4.33 x edad [años]) 2.- Aproximado: 20 a 25 Cal/kg peso actual. Proteínas (Gramos /día): 1.- Teóricos: 1 a 3 g/kg. peso. 2.- Según Balance Nitrogenado: Para mantención = ( NUU - 4 ) x 6.25 Para anabolismo = ( NUU + 8 ) x 6.25 36.3. REQUERIMIENTO DE ELECTRÓLITOS. Electrólito Requerimiento Máximo de mEq/l adición (3 lts) Na+ 60 - 130 260 K+ 60 200 Ca++ * 10 - 15 20 P04 * 20 mM 40 Mg++ * 8 - 20 26 Drogas incompatibles con Nutrición parenteral (incluye mezcla 3 en 1) 161
  • 184.
    TERAPIA INTENSIVA Drogas incompatibles con Nutrición parenteral (incluye mezcla 3 en 1) Aminofilina Fenilhidantoina Ampicilina Lidocaína Anfotericina B Manitol Carbenicilina Meperidina Cefalosporinas Ia IIa IIIa Metronidazol Cloranfenicol Tetracicilinas Clindamicina Tobramicina Gentamicina Vancomicina 36.4. BIBLIOGRAFÍA: • Rambeau J. Rolandelli R. Nutricional Support. Care in the ICU. 1994 : 986-820. • Maíz A. Manual de Asistencia Nutricional. Mediterráneo. 1990; 140-8. 162
  • 185.
    TERAPIA INTENSIVA 37. NUTRICIÓN ENTERAL. *Dr. Williams Panique Rojas 37.1. DEFINICIÓN: Esta forma de tratamiento nutritivo intensivo es preferible a la alimentación parenteral cuando se requiere un tratamiento a largo plazo. La utilización de la vía intestinal presenta un menor número de efectos indeseables graves y permite la regulación intestinal de la absorción. 37.2. ETIOLOGÍA: Anorexia (depresión, anorexia nerviosa, neoplasias, enfermedades crónicas). Dificultad en masticación y deglución (traumatismos faciales, cirugía de cabeza y cuello, disfagia). Aumento de los requerimientos nutricionales (traumatismo, infección, cirugía, desnutridos en fase de recuperación). 37.3. REQUERIMIENTO ENERGÉTICO: 37.3.1. 1.- HARRIS BENEDICT: Hombre: 66 + (13.7 x peso[kg.])+ ( 5 x talla[cm])- (6.8 x edad [años]) Mujer: 665 + (9.6 x peso[kg.])+ (1.8 x cm talla[cm])- (4.7 x edad [años]) 37.3.2. 2.- ROZA: Masculino: GEB = 88.36 + (123.39 x peso [kg.]) + (4.79 x altura [mts]) – (5.67 x edad [años]) Femenino: GEB = 447.59 + (9.24 x peso [kg.]) + (3.04 x altura [mts]) – (4.33 x edad [años]) 37.3.3. 3.- APROXIMADO: 20 A 25 CAL/KG PESO ACTUAL. 37.4. PROTEÍNAS (GRAMOS /DÍA): 1.- Teóricos: 1 a 3 g/kg. peso. 2.- Según Balance Nitrogenado: Para mantención = ( NUU - 4 ) x 6.25 Para anabolismo = ( NUU + 8 ) x 6.25 37.5. TRATAMIENTO: Las fórmulas líquidas se pueden administrar directamente en el estómago o en el duodeno. Alimentación intragástrica aprovecha la capacidad de reserva del estomago y el efecto de dilución de las secreciones gástricas. Las secreciones gástricas se pueden mezclar con las soluciones nutritivas, de modo que se reduce la osmolalidad y el riesgo de diarrea. 163
  • 186.
    TERAPIA INTENSIVA Las técnicas de alimentación enteral forzada varían según el tipo de sonda empleada. La alimentación puede ser: En bolo. En infusión continua. Alimentación duodenal: tiene como ventaja propuesta la reducción del riesgo de reflujo y neumonía por aspiración. Productos comerciales preelaborados. Dietas elementales. Aporte vitamínico y de minerales. 37.6. BIBLIOGRAFIA: • Rambeau J. Rolandelli R. Nutricional Support. Care in the ICU. 1994 : 986-820. • Maíz A. Manual de Asistencia Nutricional. Mediterráneo. 1990; 140-8 164
  • 187.
    TERAPIA INTENSIVA 38. INTOXICACIÓN POR ORGANOFOSFORADOS *Dr. Oscar Vera Carrasco 38.1. INTRODUCCIÓN : Los Organofosforados son inhibidores irreversibles de la acetilcolinesterasa utilizados actualmente en nuestro medio como insecticidas agrícolas y domésticos, y algunos como redenticidas (raticidas). Son derivados del ácido fosfórico, que presentan una estructura química inestable y se hidrolizan con rapidez, razón por la cual, no entrañan el riesgo de acumularse en el medio ambiente. Su toxicidad es muy variable, oscilando la dosis potencialmente letal por vía oral entre 10 mg para el Paratión y 60 mg para el Malatión. Puede haber sobredosis o intoxicación con propósitos suicidas y debidas a exposición por desarrollar actividades agrícolas, incluidas la absorción cutánea. Son también bien absorbidas por las mucosas (conjuntivas) y las vías respiratoria y digestiva. 38.2. CLASIFICACIÓN DE LOS ORGANOFOSFORADOS SEGUN SU TOXICIDAD: GRADO DE TOXICIDAD Muy alta Moderada Baja Carbofenotión Acetato Fenitrotión Clofenvinfos Clorpirifos Malatión Disulfotón Diazinón Te m e f ó s Fonofos Diclorvos Forato Dicrotofos Mecarbam Dimetoato Meti-paratión Etión Mevinfos Fentión Ometoato Metidatión Paratión Monocrotofos Sulfotepp Merfos Triclorión 38.3. MECANISMO DE ACCIÓN : Tanto en el hombre como en los insectos, los insecticidas organofosforados causan una inhibición de la acetilcolinesterasa por fosforilación, lo que conduce a una acumulación del neurotransmisor acetilcolina en los receptores y a la consiguiente hiperestimulación y posterior interrupción nerviosa, que puede llevar, en casos graves, a la insuficiencia respiratoria y a la muerte. 165
  • 188.
    TERAPIA INTENSIVA 38.4. CUADROCLÍNICO . La clínica dependerá del tipo de organofosforado, de la vía de ingreso al organismo, de la dosis y de la susceptibilidad individual; los casos más graves suelen deberse a la ingesta del pesticida. Tras la exposición aguda, en las primeras 12 a 24 horas el cuadro clínico es consecuencia de la acumulación de acetilcolina en las terminaciones nerviosas, presentándose combinaciones de los siguientes signos y síntomas que se describen a continuación. 38.5. SIGNOS Y SÍNTOMAS DE LA INTOXICACIÓN AGUDA POR ORGANOFOSFORADOS 38.5.1. MUSCARÍNICOS: Aumento de la secreción bronquial y broncoconstricción (sibilancias) Diaforesis, sialorrea , lagrimeo,rinorrea y sudoración Náuseas, vómitos, diarrea y cólico intestinal Incontinencia urinaria y fecal Bradicardia, vasodilatación cutánea, hipotensión y bloqueos de conducción Anormalidades en el segmento ST y onda T (aumento del tono parasimpático) Miosis, visión borrosa, fificultad de acomodación, hiperemia conjuntival 38.5.2. NICOTÍNICOS . Fasciculaciones de la musculatura estriada Debilidad muscular, parálisis y calambres Parálisis respiratoria Taquicardia e hipertensión Hiperglucemia y glucosuria Palidez Midriasis (muy infrecuente) 38.5.3. CENTRALES : Ansiedad, cefalea, ataxia, irritabilidad y somnolencia Dificultad en el habla Confusión, delirio Convulsiones, coma y depresión respiratoria Psicosis Ataxia 38.5.4. OTRAS MANIFESTACIONES : Pancreatitis Incremento de la amilasa sérica Los trastornos del ritmo cardiaco, el coma convulsivo y la insuficiencia respiratoria son posibles causas de muerte en estos pacientes. 166
  • 189.
    TERAPIA INTENSIVA Debido a su alta lipofilia, algunos organofosforados, como el Fentión, Metiparatión pueden permanecer dias o semanas en el organismo y ocasionar una persistencia de la sintomatología o una recidiva del cuadro clínico tras un periodo de recuperación. Algunos autores han descrito un SÍNDROME INTERMEDIO que aparece a las 24-96 horas de la intoxicación y tras haber superado la fase colinérgica, caracterizado por la afectación de los músculos respiratorios, proximales de las extremidades y flexores del cuello; este síndrome, que puede persistir durante varios dias y acompañarse de una importante insuficiencia ventilatoria, no responde al tratamiento con antídoto. Manifestaciones clínicas tardias o crónicas son la neuropatía periférica y los trastornos de la conducta, la memoria o el estado de ánimo, que pueden aparecer a las 2-3 semanas de la exposición, y cuyo mecanismo patogénico se relaciona con la inhibición de la esterasa neurotóxica, y que tampoco responden a la atropina ni a las oximas. La recuperación puede tardar meses o años y ser incompleta. 38.6. EXAMENES DE LABORATORIO : No existen datos analíticos generales característicos (hematológicos o bioquímicos). Aunque algunos insecticidas organofosforados o sus metabolitos pueden ser detectados directamente en muestras biológicas; el procedimiento requiere una complejidad técnica que no se encuentra al alcance de la mayoría de los laboratorios. También puede realizarse un análisis toxicológico indirecto a través de la determinación de la actividad de las colinesterasas intraeritrocitarias (acetilcolinesterasa) y de la pseudocolinesterasa plasmáticas, considerándose que las primeras reflejan mejor la intoxicación. Los niveles normales de colinesterasa eritrocitaria son de 29-36 U/g de hemoglobina, mientras que los de la colinesterasa sérica oscilan entre 7 y 19 U/ml ; no obstante, existe una amplia variación individual en las cifras, que son influidas tanto por factores genéticos como por diversas enfermedades; por ello, en las intoxicaciones agudas es importante para el diagnóstico y la evolución seguir la curva de colinesterasas. La colinesterasa sérica es más sensible pero menos específica para el diagnóstico, regerándose espontáneamente en dias o semanas, mientras que la eritrocitaria puede tardar 3 o 4 meses en normalizarse. Es posible encontrar un nivel bajo falso de pseudocolinesterasa en pacientes con enfermedades hepáticas o desnutrición y también se observa como una variante genética. Los niveles normales de actividad enzimática no excluyen la intoxicación porque dichos niveles son muy variables. Las pruebas opcionales según criterio clínico y disponibilidad son las siguientes: ionograma, gasometría arterial. ECG, EEG y medición de metabolitos. En algunas ocasiones el cuadro clínico puede no ser claro, por lo que se puede recurrir a la PRUEBA ATROPÍNICA para descartar un diagnóstico de intoxicación por inhibidores de colinesterasa (u organofosforados). Esta prueba consiste en administrar Sulfato de Atropina 1 mg vía I.V. (0,01 mg/kg peso en niños). Si el paciente no tiene intoxicación aparecerá rápidamente taquicardia, rubicundez facial, sequedad de la boca y midriasis. Si tiene intoxicación no aparecerá ninguno de estos signos. 167
  • 190.
    TERAPIA INTENSIVA 38.7. MANEJOY TRATAMIENTO : • Medidas de soporte y descontaminación : Adoptar medidas que apoyen la ventilación y la circulación, descontaminar la piel y considere el LAVADO GÁSTRICO, si el paciente llega dentro la hora de la ingestión. En los casos de alteración del estado de conciencia debe protegerse adecuadamente la vía aérea mediante la intubación endotraqueal antes de realizar el lavado gástrico. La descontaminación es muy importante para reducir la dosis absorbida; cuando la vía de entrada es cutánea, deberá iniciarse en el medio extrahospitalario mediante la retirada de toda la ropa que lleve el enfermo en el momento de la exposición, y el lavado de la piel con agua jabonosa templada y un poco de etanol, medida que se repetirá 2 o 3 veces más cuando el enfermo esté en el hospital. Esta contraindicada la inducción del vómito en pacientes inconscientes. Administrar carbón activado en las dosis convencionales (adultos 1 g/kg peso corporal diluidos en 100 ml de agua; Niños 0,5 g/kg peso diluidos en 100 ml de agua). De ser necesario puede repetirse cada 4 horas con 0,5 g/kg peso en adultos y 0,25 g/kg peso en niños, por un periodo de 24 horas. Controlar la gasometría arterial y el ECG; un QTc prolongado es de mal pronóstico. • ATROPINA (sin conservadores) : Es el fármaco de elección para la intoxicación por organofosforados. Cuando los signos muscarínicos comprometen la ventilación (hipersecreción bronquial, broncoespasmo), debe utilizarse en cantidad suficiente para que mejoren estos signos o hasta que aparezcan los de la intoxicación atropínica; idealmente debiera administrarse por vía intravenosa, con monitorización electrocardiográfica y corrigiendo previamente la hipoxemia. La dosis inicial en el adulto es de 1 mg IV; si el paciente no presenta efectos adversos, repetir una dosis de 2 mg cada 15 minutos, hasta obtener un grado de atropinización (manifestado por falta de secreciones, taquicardia, rubefacción facial, sequedad de la boca y midriasis) o de intoxicación atropínica, como fiebre y delirio. Cuando se establece la Atropinización debe disminuirse paulatinamente la dosis de Atropina en un 50 % y luego en un 25 % y alargando los periodos de administración, vigilando que no retornen los signos de intoxicación. Cuando se tenga una dosis mínima, ésta debe permanecer al menos 24 horas, para luego suspender la administración de Atropina. El paciente promedio requiere aproximadamente 40 mg/día, pero pueden ser necesarias dosis mayores (500- 1.500 mg/dia). La administración intermitente deberá continuarse por un mínimo de 24 horas hasta que el organofosforado se metabolice. Los casos graves pueden necesitar varios días de terapia, debido a la lenta regeneración de la actividad de la acetilcolinesterasa. El diagnóstico de intoxicación por un inhibidor de la colinesterasa debe ponerse en duda si la atropinización se consigue después de 1 a 2 mg. • PRALIDOXIMA : administrar 1 a 2 g IV en 500 ml de Solución salina normal durante 30 minutos. Esta medida reactiva la colinesterasa y contrarresta la debilidad muscular, las fasciculaciones y la depresión respiratoria. 168
  • 191.
    TERAPIA INTENSIVA Para que la Pralidoxima sea efectiva debe administrarse en las primeras 24 a 48 horas posteriores a la exposición, antes de la fosforilación irreversible de la colinesterasa (proceso que se conoce como "envejecimiento"). Si no hay mejoría se repite la misma dosis al cabo de 1 hora y, posteriormente, cada 6- 12 horas. En casos muy graves o si recidiva la sintomatología, puede continuarse la adminstración de la misma dosis (1-2 g) en perfusión intravenosa continua, hasta un máximo de 48-72 horas y a un ritmo de 200 a 500 mg/hora titulada para alcanzar el efecto deseado. • TRATAR LAS CONVULSIONES : utilizar una benzodiazepina (ej. Diazepam 5-10 mg IV lenta,que puede repetirse) o Difenilhidantoina (Fenitoina). En caso de convulsiones graves que requieren relajantes musculares, no administrar Succinilcolina, que puede ocasionar una parálisis prolongada. * AUMENTAR LA ELIMINACIÓN : los organofosforados tienen un amplio volumen de distribución, y se eliminan fundamentalmente por metabolización hepática. No está justificado el uso de técnicas de depuración renal o extrarenal. La hemoperfusión debe ser tenida en cuenta en las grandes sobredosis con Paratión. • TRATAR LA INSUFICIENCIA RESPIRATORIA : con Ventilación mecánica. 38.8. BIBLIOGRAFÍA : • Barril JB, Carrera V. Polineuropatía retardada inducida por organofosforados: una gran desconocida. Med Clin (Barc) 1989; 92: 787-93 • De Silva HJ, Wijewickrema R, Senanayake N. Does pralidoxime affect outcome of management in acute organophosphorus poisoning? Lancet 1992; 339: 1136-8. • Ferraro H. Intoxicaciones en la Unidad de Terapia Intensiva. En: Juan Pacin. Terapia intensiva. 3ª. Edición. Editorial Médica Panamericana. Buenos Aires (Argentina) 2000; 919-26. • Bardin P. Organophosphate and carbamate poisoning. Arch of Int Med 1994; 154: 1433-41. • Minton NA, Murray VSG. A review of organophosphate poisoning. Med Toxicol 1988; 3: 350-75. • Senanayke N, Karalliede L. Neurotoxic effects of organophosphorus insecticides. N Engl J Me 1987; 316: 761-3. • Yelamos F, Diez F, Martín C, Blanco JL, García MJ, Landerlli A, Peña JF. Intoxicaciones agudas por insecticidas organofosforados en la provincia de Almería. Estudio de 187 casos. Med Clin (Barc) 1992; 98: 681-4. • Martnez J. Intoxicación por insecticides anticolinesterásicos. Rev Toxicol 1990; 7: 135-49. • Goodenberger D. Emergencias médicas. En: Shubhada N, Ahya, Kellie Flood, Subramanian Paranjothl. El Manual Washington de Terapéutica Médica. 30ma. Edición. Editorial Lippincott and Wilkins 2.001; 564-5 169
  • 192.
    TERAPIA INTENSIVA 39. INTOXICACIÓN ALCOHÓLICA *Gonzalo Luis Poma Plata El alcohol aún en dosis pequeñas, se comporta invariablemente como un tóxico depresor del Sistema Nervioso Central. 39.1. SIGNOS Y SÍNTOMAS: 39.1.1. PRIMER PERÍODO: Sub- Clínico: alcoholemia > 100 y < 500 mg. / l. Sin manifestaciones clínicas aparentes, pero con alteraciones electroencefalográficas o psicotécnicas. 39.1.2. SEGUNDO PERIODO: Ebriedad ligera o intoxicación: alcoholemia 500mg/l. Progresiva disminución de inhibiciones, autocrítica, euforia, con mayor labilidad emocional, con nistagmo postural; ligera incoordinación neuromuscular, dificultad en la marcha o en la articulación de la palabra, vasodilatación periférica y ligera rubicundez del rostro por la excreción pulmonar del alcohol, presenta aliento alcohólico. 39.1.3. TERCER PERÍODO: Ebriedad completa o intoxicación moderada: alcoholemia > 1500 y < 3000 mg/l. Marcada incoordinación neuromuscular lenguaje confuso , los trastornos visuales se agudizan, se produce diplopía , nistagmo más intenso. 39.1.4. CUARTO PERIODO: Intoxicación severa o grave : alcoholemia > 3000 mg/l. somnolencia. > 4000 mg/l.: estado estuporoso , entre 4000 - 5000mg./l. coma, bradipnea, superficial y estertorosa, con hipoventilación e hipoxia, taquicárdia e hipotensión arterial, con colapso y shock, hipotermia, edema cerebral que se exterioriza con vómitos, que a su vez suele producir neumonía por aspiración. Hipoglucemia que puede acompañarse de lacticidemia. debidos en cierta medida al bloqueo de la gluconeogénesis hepática producida por el alcohol, como resultado del aumento de la relación NADH/NAD En estás circunstancias el coma alcanza especial gravedad y suele acompañarse de desviación conjugada de los ojos, signos de Babinsky, rigidez en extensión de las extremidades, convulsiones y trismus. 39.2. TRATAMIENTO: 1- Medidas de soporte vital báscio 2- Intoxicaciones leves y moderadas: colocar al paciente acostado, abrigado y bajo observación. En caso de agitación psicomotriz : diazepam. 3- Intoxicaciones graves y coma alcohólico: evitar la absorción de mayores cantidades de tóxico. Lavado gástrico con agua bicarbonatada y luego se dará un purgante ( sulfato de sodio 3 g en 250 ml. de agua). 4- Con el paciente inconsciente se hace necesaria la intubación endotraqueal previo a cualquier procedimiento considerando la ventilación mecánica 170
  • 193.
    TERAPIA INTENSIVA 5- Es importante mantener la temperatura corporal dentro de los límites normales. 6- Con alcoholemia de: 6000 mg/l. de inmediato : hemodiálisis. 7- El shock y el edema cerebral presentes se tratarán de acuerdo a las pautas terapéuticas correspondientes a dichos cuadros. *** Intoxicación por metanol: Depresión del SNC con periodo de latencia entre 10 y 30 horas en relación inversa con la cantidad de metanol ingerida , con náuseas, vómitos, dolor abdominal, debilidad, visión borrosa hasta pérdida total de la visión, depresión respiratoria y óbito. Diagnóstico: clínica más acidosis metabólica, con anión Gap aumentado y refractaria al tratamiento e hiato osmolar elevado. La confirmación al determinar los niveles de metanol en sangre. Tratamiento: 1- Soporte vital del paciente 2- Depuración extrarrenal 3- Antídoto con Etanol a una dosis de 0.6 g en bolo seguido de una infusión continua a 66 - 154 mg/kg/h., el etanol es dializable y si se somete al paciente a hemodiálisis será necesario aumentar la dosis de etanol. 39.3. BIBLIOGRAFÍA: • Pacin Juan ,Maskin Bernardo ,Pálizas Fernando. Terapia Intensiva 3ra Edición . Buenos Aires Argentina : Panamericana ,2000. • Grenvik Ake ,MD ; Ayres Stephen ,MD ; Holbrook Peter ,MD ; Shoemaker William , MD . Compendio del Tratado de Medicina Crítica y TERAPIA INTENSIVA . Buenos Aires Argentina : Panamericana , 1998. • Bartlett Robert H. Fisiopatología en Medicina Intensiva ,1ra Edición ,Barcelona España , Editorial Masson –Little ,Brown 1997. • Marino Paúl L . El libro de la UCI .2 da Edición .Barcelona España :MASSON – Williams & Wilkins ,1998. 171
  • 194.
    TERAPIA INTENSIVA 40. TRAUMATISMO DEL TÓRAX *Dra. Marina Fuentes C. El aumento en las altas velocidades y la falla mecánica de los vehículos, y el aumento de la violencia en los medios urbanos, son las causas más importantes que incrementan progresivamente el número de politraumatismos en nuestro medio, entre ellos, el traumatismo de tórax. Las lesiones torácicas, son la causa, de uno de cada cuatro muertes producidas por trauma, y muchos de estos pacientes mueren después de llegar al hospital. El manejo de las primeras horas del paciente con traumatismo de tórax, sigue, las normas generales de atención inicial de los politraumatizados según el American College of Surgeons. Mantenimiento de una vía aérea permeable. Ventilación adecuada Circulación eficiente Existen, lesiones que comprometen en minutos la vida del paciente, y que obligan a una acción rápida y enérgica en la emergencia como son: Obstrucción de la vía aérea Neumotórax hipertensivo Hemotórax masivo Tórax paradójico Neumotórax abierto Taponamiento cardiaco. El examen físico y la radiografía de tórax, naturalmente brindan elementos diagnósticos suficientes, para el tratamiento en las primeras horas. 40.1. CLASIFICACIÓN: Clásicamente el traumatismo de tórax se divide en: Cerrado y Abierto. 40.1.1. TRAUMATISMO DE TÓRAX CERRADO. Las lesiones mas severas son: 1. Tórax paradójico (Tórax inestable): El tórax inestable, es una lesión en la pared torácica en la cual un segmento pierde fijación con el resto de la arquitectura parietal, originada por las fracturas segmentarías (fracturas localizadas en dos o más regiones de una misma costilla) de tres o más costillas adyacentes, en la región anterior o lateral del tórax; la región posterior es la más resguardada, debido a la masa muscular y al omoplato. Esta lesión se caracteriza por un movimiento paradójico hacia adentro de la zona afectada durante la inspiración, y un movimiento hacia afuera durante la espiración. La presencia de un área del tórax inestable, aumenta el trabajo respiratorio del paciente, y la hipoxemia presente es secundaria principalmente a la contusión pulmonar. 172
  • 195.
    TERAPIA INTENSIVA La evolución del tórax inestable depende del daño subyacente y de otras lesiones asociados intratorácicas y extratorácicas. La mortalidad se ubica entre el 20% y el 25%. Existen controversias en cuanto a la necesidad de estabilizar quirúrgicamente el tórax inestable, hay consenso en que, en los traumatismos sin pérdida de pared, la estabilización quirúrgica no es de primera elección. Tratar individualmente a cada paciente; la contusión pulmonar, el dolor y la insuficiencia respiratoria aguda con asistencia respiratoria mecánica de acuerdo a los criterios establecidos. 40.1.2. CONTUSIÓN PULMONAR: Engloba tres entidades que pueden presentarse en conjunto o aisladamente y son la contusión pura, la laceración pulmonar y el hematoma pulmonar. Las modificaciones radiológicas se manifiestan después de 24 a 48 horas del trauma, presentándose como: infiltrado difuso heterogeneo, infiltrado homogeneo de consolidación o como lesión en parches. Las laceraciones pulmonares son los que con mayor frecuencia cursan con hemoptisis; si la laceración es extensa y con lesión bronquial, se asociará neumotórax, neumomediastino y enfisema subcutáneo. La evolución de la contusion pulmonar depende de la extensión y la asociación de otras patológicas, como la infección pulmonar en los pacientes que deben ser intubados y ventilados. 40.1.3. CONTUSIÓN MIOCÁRDICA: En todo paciente con traumatismo de tórax debe descartarse este cuadro; su incidencia es de alrededor del 25%, aunque en alguna literatura se mencionan desde el 3% al 76% de los traumatismos torácicos. Los cambios patológicos incluyen hemorragia subendocárdica, edema miocárdico, hemorragia intersticial, degeneración miofibrilar y miocitolisis. Esta lesión puede encontrarse en un infarto de miocardio agudo, pero generalmente los limites de la contusión son nítidas. El ventrículo derecho es el mayor afectado frecuentemente. En el ECG encontramos una variedad de cambios del segmento S-T, la onda T, bloqueos de rama, arritmias de reciente aparición, el desarrollo de ondas Q o signos de disfunción del nodo sinusal. La CPK-MB mayor del 5% del total de CPK es de gran utilidad. El ecocardiograma convencional o asociado con Doppler, es importante para evaluar la función cardiaca, pero es limitado su uso por no encontrarse una ventana adecuada en este tipo de pacientes. Las centellografias con pirofosfato-técnecio tienen utilidad en las lesiones transmurales. 173
  • 196.
    TERAPIA INTENSIVA Si se sospecha contusión miocárdica, el paciente debe ser internado en una unidad de terapia intensiva para monitoro electrocardiografico continuo durante 3 a 4 días, con el fin de detectar y tratar las posibles complicaciones, como las arritmias, la insuficiencia cardiaca congestiva y el taponamiento cardiaco que requiere un tratamiento inmediato. 40.1.4. RUPTURA TRAUMÁTICA DE LA AÓRTA: Aproximadamente el 80 a 90% de los pacientes mueren en los primeros minutos después de la ruptura. La aórta descendente donde nace la arteria subclavia izquierda, es el sitio de mayor lesión en aproximadamente un 95%, en segundo lugar se encuentra el desgarro del tronco braquiocefálico. Las lesiones de la aórta ascendentes son poco frecuentes. Clínicamente se encuentra signos y síntomas de insuficiencia aórtica aguda y cambios de la voz debidos a la compresión del nervio laringeo recurrente izquierdo. Radiológicamente, se observa, ensanchamiento mediastínico y la deformidad del boton aórtico, desviación del esófago o de las SNG, desviación de la traquea, derrame pleural izquierdo, fractura del esternón y de la primera costilla; pero se debe tomar en cuenta que la radiografía no es especifica para el diagnóstico de lesión de aórta y, en menos al 10% las Rx de tórax es normal inmediatamente después del traumatismo, a pesar de existir lesión de la aórta. La angiografía debe realizarse sin dilación cuando se sospecha de una ruptura aórtica clínica y radiologicamente. También se puede realizar una tomografía computada con contraste. 40.1.5. RUPTURA DEL DIAFRAGMA: Habitualmente no se diagnostica en los primeras horas. Es mucho más frecuente en el lado izquierdo, con una relación de 9:1 con el derecho. Representa solo el 1 a 3% de los traumatismos cerrados. Clínicamente se manifiesta con hipoventilacion, auscultación de sonidos viscerales en el tórax o ileo sin otra causa. Radiologicamente, se puede encontrar atelectasia, elevación de diafragmática, derrame pleural o desplazamiento mediastínico, éstos son signos indirectos que hacen sospechar esta lesión. Si se tiene duda, debe confirmarse la presencia de visceras en el tórax a través de estudios con contraste oral, en el 24% de los casos la radiografía simple es normal. La ruptura diafragmática suele ocasionar hemoperitoneo, pero en un 25% el lavado periotoneal diagnóstico es negativo. El diagnóstico tardio conlleva un mal pronostico, por destrucción intestinal o ruptura aórtica. El tratamiento es quirúrgico. 174
  • 197.
    TERAPIA INTENSIVA 40.1.6. LESIONES DEL ESÓFAGO Y EL ÁRBOL TRAQUEOBRONQUIAL: La ruptura de esófago en el traumatismo cerrado es muy raro y, generalmente afecta el tercio inferior. La presencia de aire de localización anormal en una radiografía de tórax hace sospechar esta lesión. Se debe solicitar un esofagograma, si se sospecha esta lesión. Un diagnóstico tardio se complica con una mediastinitis con alta mortalidad. El tratamiento es quirúrgico y precoz. Las lesiones del árbol traqueobronquial representa menos del 1%,y el 80% se localiza cerca de la carina o en la bifurcacion de los bronquios principales. Clínicamente se puede encontrar neumomediastino, enfisema subcutáneo o hemoptisis, son los signos más frecuentes. La fibrobroncoscopia es el estudio de elección. La mortalidad es de un 50%, y el pronóstico depende de la extensión de la lesión y del calibre de la vía aérea afectada. 40.2. TRAUMATISMO DE TÓRAX ABIERTO: Estas lesiones abiertas de tórax, pueden deberse a heridas por arma de fuego y arma blanca. Los pacientes con lesiones en la región central del tórax y con descompensación hemodinámica, deben ser internados en UTI o ingresarlos en una sala de cirugía, ya que las hemorragias severas y el taponamiento cardiaco conducirían a la muerte en pocos miniutos. En cambio los pacientes estables deben ser estudiados topográficamente con una endoscopia digestiva, broncoscopia y angiografía, son los procedimientos de elección. Si las lesiones comprometen la zona periférica del tórax (fuera de la línea medio clavicular), el compromiso del corazón y grandes vasos es menor. Generalmente se encuentra neumotórax, hemotórax o ambos; si se acompaña de inestabilidad hemodinámica estará indicado una toracotomia exploradora. En las lesiones bajas del tórax o tóracoabdominales debe descartarse una ruptura diafragmática. 40.3. PROCEDIMIENTOS DIAGNÓSTICOS EN EL TÓRAX TRAUMÁTICO: 40.3.1. TOMOGRAFÍA AXIAL COMPUTARIZADA: No desempeña un papel central en la etapa inicial. Esta indicada para definir imágenes dudosas en la radiografía simple de tórax y estudiar las lesiones laringeas o complicaciones durante la evolución del paciente internado en una unidad critica. 175
  • 198.
    TERAPIA INTENSIVA 40.3.2. ECOCARDIOGRAFIA: Es un estudio útil para evaluar las lesiones cardiacas dudosas o cuando hay deterioro de la función cardiaca durante la evolución. 40.3.3. LAPAROSCOPIA: En el tórax traumático, su utilidad, es para evaluar el compromiso de las vísceras abdominales en el traumatismo de diafragma o tóraco-abdominales. La videotoracoscopia es promisoria en la exploración del tórax, así como en la evacuación de coágulos y colecciones. En las situaciones de emergencia su utilidad es limitada por la no disponibilidad de este aparato y, porque su uso es sólo por Cirujanos especialistas del tórax. Como regla de oro, la radiografía de tórax, la eventual colocación de tubos de drenaje pleural y el posterior monitoreo de estos son irremplazables, asociado a una buena fisioterapia permite el diagnóstico y tratamiento de la mayor parte de estas lesiones. 40.4 BIBLIOGRAFIA: • Chiappero G, Muchico MA. Trauma de Tórax. En: Juan Pacin. Terapia Intensiva. 3ra. edición. Editorial Médica Panamericana - Buenos Aires (Argentina) 2000; 746 - 52 • Colegio Americano de Cirujanos. Programa avanzada de apoyo vital en trauma para médicos. 6ta. ed. Chicago. Colegio Americano de Cirujanos 1997. • Moore FA, Haenel JB. Tórax Flaccido y contusión pulmonar. En: Parsons, Wiener - Kronish. Secretos de los Cuidados intensivos 1998; 492-98. 176
  • 199.
    TERAPIA INTENSIVA 41. TRAUMATISMO ABDOMINAL Dr. Jesús Gómez Mendívil 41.1. INTRODUCCIÓN: El abdómen es una localización frecuente de lesión en el paciente politraumatizado, y éste es un de los principales factores que contribuyen a incrementar su morbilidad y mortalidad. Son causas frecuentes los accidentes de tránsito, accidentes laborales y deportivos y, las agresiones violentas (armas de fuego y armas blancas). Los traumatismos abdominales se dividen en dos tipos: Cerrado y penetrante (4). 41.2. ANATOMIA EXTERNA DEL ABDÓMEN (1): a) Abdomen anterior b) Flancos c) Espalda 41.3. ANATOMIA INTERNA DEL ABDÓMEN (1): a) Cavidad peritoneal: dividida a su vez en un abdómen superior o tóraco - abdominal y el abdómen inferior b) Cavidad pélvica c) Espacio retroperitoneal 41.4. MECANISMO DE LESIÓN: La severidad del traumatismo está relacionada con el agente agresor y la cantidad de energía producida y disipada (2). 41.4.1. TRAUMA CERRADO: Un impacto directo puede causar compresión o lesión por aplastamiento a las vísceras abdominales, ocasionando su ruptura con hemorragia secundaria y peritonitis. Cinturones de seguridad horizontales mal empleados pueden inducir un aumento brusco de la presión intra abdominal, con ruptura de una víscera hueca o desgarro mesentérico resultante (2). Desaceleraciones rápidas pueden provocar laceración de vísceras macizas especialmente en los sitios de inserción de sus ligamentos de soporte o pedículos vasculares 41.4.2. TRAUMA PENETRANTE: Heridas por arma blanca o arma de fuego de baja velocidad causan daño al tejido por laceración o corte. Heridas por proyectiles de alta velocidad tienen efecto adicional de cavitación temporal y causan lesiones adicionales en su desviación y fragmentación (1). 177
  • 200.
    TERAPIA INTENSIVA 41.5. VALORACIÓN INICIAL: Los pasos son los habituales del A, B, C, D, E (6) (4) (3). - Vía aérea permeable, ventilación adecuada. Identificar y tratar causas de obstrucción aguda e insuficiencia respiratoria (cuerpos extraños, neumotórax, etc) - Circulación con control de hemorragia externa. Verificar pulso carotideo y controlar hemorragias externas, identificar y tratar el estado de choque (canalización de vías venosas y perfusión de líquidos intra venosos). En esta fase se debe considerar el abdomen como posible fuente de hemorragia - Evaluación neurológica: reconocer alteraciones del estado de conciencia, lesiones craneales o medulares, para determinar la necesidad de una TAC. - Exposición de todo el cuerpo, evitando siempre la hipotermia. En ausencia de otras lesiones que expliquen la hipotensión, indican laparotomía exploradora urgente: - Traumatismo abdominal penetrante - Signos de peritonitis - Distensión abdominal masiva. La ausencia de cualquiera de estos signos y persistencia de la hipotensión, autoriza la realización de punción y lavado peritoneal. 41.6. VALORACIÓN DEFINITIVA: 41.6.1. ANTECEDENTES Y ANAMNESIS: La historia del accidente o incidente (impacto frontal, lateral, trasero, vuelco de campana, fuerza del impacto, posibles lesiones por desaceleración, lesiones por contragolpe, utilización del cinturón de seguridad, bolsa de aire, tipo de objeto penetrante, tipo de arma de fuego, distancia a la que fue disparada, tiempo transcurrido, signos vitales el momento inicial, estimación de la hemorragia en el lugar del hecho, etc) nos orientará hacia el posible tipo de patrón lesional. También es importante obtener información médica y quirúrgica pasada y presente, medicaciones actuales, abuso de drogas o alcohol (1) (4). 41.6.2. EXPLORACIÓN FÍSICA: Es un proceso continuo y debe repetirse periódicamente durante la investigación diagnóstica (2). En pacientes paralizados o intoxicados, o en pacientes eufóricos por el consumo de drogas ilegales, no es confiable (2). El examen abdominal debe conducirse de manera meticulosa, sistemática y secuencial. - Inspección: debe inspeccionarse el abdómen anterior y posterior, el tórax inferior y el periné . El paciente debe ser rotado cuidadosamente para realizar el examen completo . - Auscultación: son causas frecuentes de abolición de los ruidos hidroaéreos la presencia de sangre o contenido gastrointestinal en cavidad peritoneal. Las lesiones de costillas, pelvis o columna también pueden ser causa de íleo sin lesión intra abdominal; La ausencia de ruidos hidroaéreos no constituye signo directo de lesión intraabdominal. - Percusión: puede demostrar timpanismo -dilatación de vísceras huecas llenas de aire- o matidez - ocupación de la cavidad peritoneal por líquidos tales como sangre -. - Palpación: comenzará con las costillas, pues la fractura de las últimas costillas puede ser causa de lesiones hepáticas o esplénicas. Debe palparse la pelvis ósea. Se palpará la cavidad abdominal y los flancos. Los hallazgos más frecuentes son el dolor abdominal a la palpación y descompresión (signo de rebote) y la resistencia muscular involuntaria que son signos confiables de irritación peritoneal 178
  • 201.
    TERAPIA INTENSIVA - Evaluación digital de heridas penetrantes: solo en casos especiales tales como heridas tangenciales o superficiales de pared abdominal, realizada preferentemente por un cirujano experimentado. No en heridas cercanas a costillas por el riesgo de producir neumotórax. - Evaluación de estabilidad pélvica: para descubrir fracturas pélvicas y posibles lesiones asociadas. - Pene, región perineal y examen rectal: el tacto rectal tiene por finalidad evaluar el tono del esfínter anal, la presencia o ausencia de sangre, la integridad de los huesos pélvicos. La presencia de sangre en meato urinario sugiere la presencia de desgarro de uretra y otras lesiones de la vía urinaria. - Tacto vaginal: también forma parte de la evaluación secundaria. 41.6.3. SONDAJES: Cateterizar vejiga o estómago se constituyen en medidas tanto diagnóstica como terapéutica - informa la presencia o no de sangre en la cámara gástrica a la vez que la descomprime-. El sondaje vesical, además de medir el débito urinario, nos permite evaluar la presencia de hematuria. 41.7. PRUEBAS DIAGNÓSTICAS: a) Estudios radiológicos: dependerán de la situación del paciente, mecanismo lesional, disponibilidades y experiencia del equipo de atención (5). En trauma cerrado, las radiografías de pie o acostado (manteniendo la estabilidad de la columna) pueden ser útiles en pacientes hemodinámicamente estables, para detectar aire extra luminal en el retroperitoneo o subdiafragmático, los cuales son indicadores de una laparotomía inmediata. En casos de trauma abdominal penetrante con inestabilidad hemodinámica, no debe realizarse ningún estudio radiológico en el departamento de urgencias (1). Si la herida penetrante está por encima del ombligo y hay estabilidad hemodinámica es de utilidad tomar una radiografía de tórax para excluir un hemo o neumotórax y buscar la presencia de neumoperitoneo. Estudios radiológicos contrastados tales como uretro-cistografía o urografía excretora están indicados cuando existe sospecha clínica de lesión de la vía urinaria, antes de proceder a la cateterización vesical. La urografía excretora se realiza inyectando un bolo intravenoso de medio de contraste yodado a una dosis de 200 mg. de Yodo / kilogramo peso (en un individuo de 70 kg. 1,5 ml por kg.. /peso de una solución al 60%) y la toma de radiografías a los 5 y 10 minutos (5). b) Ecografía: de gran valor en urgencias, puede realizarse a la par de otras medidas de reanimación y, requiere poco tiempo. Tiene alta sensibilidad para la detección de líquido intraperitoneal en cantidades de hasta de 70 ml (2). c) Tomografía computarizada (TAC): necesita movilizar al paciente, implica tiempo y administración de medios de contraste en el tubo digestivo o intra venosa, por tanto inviable en pacientes inestables. Escasa especificidad para lesión de víscera hueca y diafragma; Mayor especificidad para órganos sólidos, permitiendo clasificar el grado de lesión mediante la Organ Injury Scaling ( del I al VI si las lesiones son leves hasta irreparables). d) Paracentesis: solo se la realiza como primer paso del lavado peritoneal diagnóstico (3). e) Lavado peritoneal diagnóstico (LPD): descrita por Root en 1965, ha sido el “Gold standard test” para determinar la presencia de hemoperitoneo en el traumatismo abdominal cerrado y en las lesiones por arma blanca (5). Es una técnica rápida, barata, que se realiza sin desplazar al paciente. Se puede realizar en pacientes hemodinámicamente inestables o estables. Son contraindicaciones relativas la presencia de laparotomía previa, obesidad mórbida, embarazo avanzado y fracturas de pelvis de horas de evolución; es contraindicación absoluta la necesidad de laparotomía. 179
  • 202.
    TERAPIA INTENSIVA Técnica (4) (5) (2): 1) descompresión gástrica y vesical a través de sondajes. 2) Utilizando anestésico local con epinefrina se practica una pequeña incisión vertical, en la línea media, a unos 2 a 3 cm por debajo del ombligo, y a través de esta se accede por punción a la cavidad peritoneal. Para ello puede utilizarse un equipo para diálisis peritoneal; en caso de no disponerse de él se puede utilizar una sonda K9, realizando con hilo de seda un punto en bolsa de tabaco que fija y evita pérdidas peri catéter . 3) El catéter peritoneal o la sonda K9 se dirigirá hacia el fondo de saco de Douglas con una inclinación de 45° sobre la horizontal. 4) Se introduce 10 ml por kg.. de peso de solución salina normal o ringer lactato tibio y tras 5 a 10 minutos se extrae el líquido dejando evacuar por efecto sifón para enviarlo al laboratorio. Los criterios de positividad que indican laparotomía urgente son: - Aspiración de sangre o líquido intestinal obtenido directamente al introducir el catéter - Obtención del líquido introducido para el lavado por la sonda vesical o el tubo de pleurotomía. - Líquido recuperado tras el lavado que incluya una o varias de las siguientes características: Más de 100000 hematíes por mm3 o hematocrito mayor del 2% o 500| leucocitos por mm3; presencia de bilis, bacterias, contenido intestinal o fibras vegetales en el sedimento; amilasa > 175 UI ó > 30 U/l; fosfatasa alcalina > 3 U/l. Las complicaciones son escasas, los falsos negativos son infrecuentes, inferiores al 4% y se relacionan con trastornos del retroperitoneo, duodeno, diafragma, vejiga, riñones, etc; se asocia con un índice de certeza diagnóstica de más del 98%. f) Laparoscopia: de gran desarrollo en los últimos años (5). Poco accesible en nuestro medio por disponibilidad y costo. g) Pruebas de laboratorio: su ayuda al diagnóstico es solo relativa, incluyen: factor y grupo sanguíneo, hemograma, química sanguínea, coagulograma, electrolitos, examen general de orina y algunas pruebas especiales tales como alcoholemia, pruebas de embarazo y estudios toxicológicos (5). 41.8. ACTITUD TERAPÉUTICA (5): a) Trauma abdominal cerrado: los órganos más afectados en orden decreciente son: Bazo, hígado, hematoma retroperitoneal, riñón, intestino delgado, vejiga, mesenterio, páncreas, colon, uretra, diafragma, grandes vasos, duodeno, estómago y vía biliar extra hepática. La exploración física solo resulta útil para aumentar el grado de sospecha. En pacientes estables sin sospecha de rotura diafragmática o de víscera hueca debe procederse a realizar TAC o ECO abdominal, y puede efectuarse tratamiento conservador. Si existe posibilidad de cirugía urgente en cualquier momento, vigilar al paciente y seguimiento de la lesión con técnicas de imagen. Si se sospecha de rotura de víscera hueca puede realizarse LPD, pues tiene mayor sensibilidad para su diagnóstico. En pacientes inestables se seguirán los pasos de la resucitación inicial según normas de soporte vital avanzado en trauma. Si se descarta sangrado externo y hemotórax masivo, se realizará ecografía abdominal o LPD para buscar hemoperitoneo masivo, en cuyo caso se procede a la laparotomía de urgencia. b) Trauma abdominal penetrante: la afectación más común es de intestino delgado, mesenterio, epiplón, hígado, intestino grueso, diafragma, estómago, bazo, riñón, grandes vasos, duodeno, páncreas. En heridas penetrantes con choque y distensión abdominal, evisceración de asas, clara irritación peritoneal, hemorragia digestiva alta o baja, o en heridas por arma de fuego penetrantes en cavidad, está indicada la laparotomía urgente. En el 80 – 90% de las heridas por arma de fuego existen lesiones 180
  • 203.
    TERAPIA INTENSIVA intra abdominales por lo que está indicada la laparotomía; el problema surge en lesiones tangenciales en pacientes estables, en estos casos puede recurrirse a la laparoscopia, TAC o LPD, aunque si su incidencia es baja puede ser un buen criterio indicar siempre cirugía. En lesiones por arma blanca, la penetración peritoneal no implica laparotomía urgente ya que solo en el 25 a 30% de los casos se comprueba lesiones de órganos intra peritoneales. En lesiones penetrantes pero con el paciente estable, puede realizarse TAC o LPD y observación estrecha. En las lesiones posteriores, puede recurrirse en pacientes estables, al estudio con TAC contrastada. Nunca debe explorarse localmente las lesiones si penetraron por la cavidad torácica. 41.9. ALGUNAS LESIONES ESPECÍFICAS (5) (2) (1): 41.9.1. BAZO: Debe preservarse siempre que sea posible. Considerar laparotomía en pacientes inestables pese a la reposición con líquidos o la administración de más de 20 ml / kg.. peso de sangre. Se indica esplenectomia si debieron transfundirse más de 2 unidades de sangre en 24 horas; en pacientes inestables con pérdida persistente de sangre o traumatismo esplénico grado V. 41.9.2. HÍGADO: Presenta una elevada mortalidad, en las fases iniciales por exanguinación y tardíamente por sepsis y disfunción orgánica múltiple. La tendencia actual es el tratamiento conservador (estabilidad hemodinámica y traumatismos de grado I a III). La inestabilidad hemodinámica y los traumatismos grado IV a VI por lo general requieren una laparotomía inmediata. 41.9.3. LESIONES DE VÍSCERA HUECA: Lesiones duodenales cursan con la presencia de aire en retroperitoneo, obstrucción intestinal o sepsis; los traumatismos penetrantes con perforación de estómago producen hemorragia digestiva alta, neumoperitoneo e irritación peritoneal. El intestino se lesiona con más frecuencia en traumatismos penetrantes, aunque también lo hace en los cerrados (aceleración – desaceleración, aumento de la presión intra luminal ). El LPD tiene alta sensibilidad diagnóstica en este tipo de lesiones. 41.9.4. APARATO GENITOURINARIO: El mecanismo lesional y la hematuria son los signos que más sugieren lesión de este sistema. En pacientes inestables debe realizarse pielografia intravenosa a la cabecera del paciente. Habitualmente el tratamiento es conservador, salvo en casos de choque o lesiones del pedículo renal. 41.9.5. HEMATOMAS RETROPERITONEALES: El retroperitoneo puede almacenar cantidades importantes de sangre. La TAC y ecografía son métodos útiles para su descubrimiento. El LPD no tiene utilidad. 181
  • 204.
    TERAPIA INTENSIVA 41.9.6. LESIONES DIAFRAGMÁTICAS: Su diagnóstico es difícil, salvo cuando se produce herniación del contenido intestinal hacia espacio pleural. Una radiografía simple de tórax puede ser suficiente para el diagnóstico. 41.10. FLUJOGRAMAS DE ACTUACIÓN PROTOCOLO ANTE UN TRAUMATISMO ABDOMINAL CERRADO Tarumatismo abdominal cerrado Valoración inicial A, B, C, D, E. Si No Sospecha de lesión Peritonitis de viscera hueca o Evidente diafragma No Si Si No TAC LPD TAC Laporoscopica SVAT Observación Laparotomia Reevaluación 182
  • 205.
    TERAPIA INTENSIVA PROTOCOLO ANTE TRAUMATISMO ABDOMINAL PENETRANTE Traumatismo Abdominal penetrante valoración inicial A,B,C,D,E, Evidencia de lesión de organos intra abdominales Si No LPD ECO Laporotomia TAC Laparoscopia. Examen clínico repetido Observación Modificado de Muñóz L y cols. Urgencias médico-quirúrgicas, manual de problemas clínicos. Tomo I. Editorial Diego Marín. 1998 183
  • 206.
    TERAPIA INTENSIVA 41.11. BIBLIOGRAFÍA: • Colegio Americano de Cirujanos. Programa avanzado de apoyo vital en trauma para médicos. 6ta ed. Chicago: Colegio Americano de Cirujanos; 1997. • Grenvik A, Ayres S, Holbrook P, Shoemaker W. Compendio del tratado de medicina crítica y Terapia intensiva.Buenos Aires: Panamericana; 1998. • Aguilar C, Prado E, Cañedo Ch, Chevaile J, Saucedo J, Kaplan M, Diaz A, Eraño Instituto Nacional de la Nutrición “Salvador Zubirán”. Manual de terapéutica médica y procedimientos de urgencias, 3ra ed. México: Mc GRAW – HILL Interamericana; 1997. • Muñoz L, Martines C, Hernandez T, Marín J, Martinez JM, Garcia R . Urgencias médico quirúrgicas, Manual de problemas clínicos. 1ra ed.. Madrid: Diego Marín; 1998. • Hernando A, Rodríguez M, Sánchez-Izquierdo JA. Soporte vital avanzado en trauma. Madrid: MASSON; 2000. • Ruano M. Manual de soporte vital avanzado, 2da ed.. Madrid: MASSON; 1999. 184
  • 207.
    TERAPIA INTENSIVA 42. POST OPERATORIO EN CIRUGÍA DE TÓRAX *Dr. Oscar Vera Carrasco La sobrevivencia,recuperación y rehabilitación del paciente sometido a cirugía torácica depende del manejo adecuado de las siguientes medidas post quirúrgicas: 1. VENTILACIÓN 2. BALANCE HIDROELECTROLÍTICO 3. MANEJO ADECUADO DEL DOLOR 4. MOVlLIZACIÓN DE SECRECIONES 5. RADIOLOGIA 42.1. VENTILACIÓN EN EL POST OPERATORIO: La gran mayoría de los pacientes sometidos a resección pulmonar No requiere Asistencia respiratoria mecánica (ARM), excepto en neumopatías crónicas severas. La ARM puede ser necesaria cuando existiera sobredosis de medicamentos que provocan depresión respiratoria (opiaceos,benzodiazepinas, bloqueo peridural con morfina) El proceso de "destete" debe realizarse sobre la base de: la evaluación clínica,los gases sanguíneos, la medida del VC y otros indices correspondientes a la ARM. La evolución post operatoria de pacientes sometidos a resección pulmonar es mejor y con menos complicaciones, cuando es menor el tiempo de ARM. 42.2. BALANCE HIDROELECTROLÍTICO. La administración de líquidos durante el trans y post operatorio debe considerar las siguientes variables: a) EDAD: pacientes de edad avanzada toleran menos la hiperhidratación. b) FUNCIÓN MIOCÁRDICA: pacientes con lnsuficiencia cardiaca son mejor manejados mediante el catéter de Swan-Ganz colocado previo a la cirugia. c) ÁREA PULMONAR RESECADA: la neumonectomia aumenta de sobremanera el trabajo cardiaco. d) DÉBITO URINARIO: una manera simple de verificar la perfusión renal y evaluar el estado hemodinámico. 42.3. ANALGESIA: • Analgesia parenterál asociada a bloqueos locales y regionales. • Esquemas terapéuticos que pueden ser usados en las primeras 72 horas del post operatorio: 185
  • 208.
    TERAPIA INTENSIVA a) Morfina: 1 a 3 mg IV cada hora asociada a bloqueo de nervios intercostales' con bupivacaina al 0,5% o al 0,75% con vasoconstrictor. b) Bloqueo peridural : con morfina (2 mg) asociado a bloqueo lntercostal con bupivacaina al 0,75 % con vasoconstrictor. Se puede asociar preparados con Codeina por via IM cada 4 horas. 42.4. MOVILIZACIÓN DE SECRECIONES BRONQUIALES: Esta condicionado a 3 items: a) Educación funcional pre operatoria: a través de fisioterapia. b) Asistencia post operatoria: analgesia adecuada y promoviendo ejercicios respiratorios efectivos. c) Fibrobroncoscopia:para toillete bronquial 42.5. DRENAJES TUBULARES DE TÓRAX: 42.5.1. FORMAS DE DRENAJES PLEURAL: Objetivo: Promover el drenaje de secreciones pleurales (sangre,plasma,linfa,pus) y de aire en el trans y postoperatorio Drenajes pleurales rutinariamente utilizados: a) Drenajes simples conectado a sello de agua b) Drenaje con aspiración continua. c) Drenaje balanceado (principio de vasos comunicantes). 42.5.2. CRITERIOS PARA RETIRO DE DRENAJES TORÁCICOS: a) Drenaje pleural < a 200 ml. en 24 horas. b) Ausencia de fuga de aire. c) Reexpansión pulmonar con control de Rx. 42.6. CONTROL RADIOLÓGICO EN EL POSTOPERATORIO DE CIRUGÍA TORÁCICA: * Debe ser realizado diariamente y preferentemente en posición sentada. * Los hallazgos que deben ser evaluados son los siguientes a) Posición y forma del mediastino. b) Presencia de neumotórax. c) Cantidad de liquido pleural existente. d) Posición de los drenajes torácicos. 186
  • 209.
    TERAPIA INTENSIVA e) Presencia de atelectasias o consolidaciones del parénquima pulmonar. f) Posición de las cúpulas diafragmáticas. g) Cambios de forma y tamaño de la silueta cardiaca. 42.7. BIBLIOGRAFÍA : • Sabiston D. Textbook of Surgery. The biological basis of modern surgical practice 1986. • De Oliveira Rios J. Pós Operatorio em Cirugía de Tórax. En: David, Goldwasser, Nácul. Medicina Intensiva: Diagnóstico e Tratamento. Editorial Revinter. Rio de Janeiro (Brasil) 1997; 203-6. • Domino KB. Pulmonary function and disfunction in the traumatized patient. Anesth Clin North Am 1996; 14(1): 59-84. • Hood M. Techniques in General Thoracic Surgery. 2a. ed. 1993. • Hood RM, et al. Surgical Diseases of the Pleura and Chest Wall. WB. Saunders Company 1986; 172-83. • Moore EE, Moore JB, Galloway AC, et al. Post injury Thoracotomy in the Emergency Department: A Critical Evaluation. Surgery 1979; 86: 590. • Bowling R, Mouroudis C, Richardson JD, et al. Emergency Pneumonectomy for Penetrating and Blunt Trauma. Am Surg 1985; 51: 136-9. • Shields T. General Thoracic Surgery. 4a. ed. 1994. 187
  • 210.
    TERAPIA INTENSIVA 43. CUIDADO INTENSIVO POSTOPERATORIO EN CIRUGÍA CARDIACA. *Dr. Oscar Vera Carrasco 43.1. SUBSISTEMA CARDIOVASCULAR: 43.1.1. EVALUACIÓN CLÍNICA DE LA FUNCIÓN CARDIACA A TRAVÉS DE: • FRECUENCIA CARDIACA • PRESIONES ARTERIALES • PRESIÓN VENOSA CENTRAL • AMPLITUD DE PULSOS PERIFÉRICOS. 43.1.2. CONTROL DE LA FRECUENCIA Y RITMO CARDIACO. 43.1.3. MONITORIZACIÓN HEMODINÁMICA : - PAM Y PVC: EN TODOS LOS PACIENTES. - PAI Y CATÉTER DE SWAN-GANZ DE ACUERDO A INDICACIONES. 43.1.4. MONITORIZACIÓN DEL DÉBITO CARDIACO: DE ACUERDO A LOS SIGUIENTES PARÁMETROS: ......................................................................................................................................................................... PIES T° dedos/ Gradiente ............................................ Pies térmico Central/ Diuresis Pulsos Color T° Periférico PA ml/kg/h. .......................................................................................................................................................................... Adecuado >3+ Rosados Calientes Calientes + Normal <4°C Normal >1 Marginal 2+ Pálidos Frios Igual 4-6°C Normal <1 Inadecuado 1+ o 0 Moteado Frios Frios + >6°C Hipotensión 0 ................................................................................................................................................. 43.1.5. ASISTENCIA HEMODINÁMICA : • La reposición de la volemia debe realizarse con coloides o cristaloides de manera cuidadosa. • La reposición electrolítica es importante y debe incluir ClK (4-6 g) y SOMg (2-4 g) dia. 188
  • 211.
    TERAPIA INTENSIVA 43.2. SUBSISTEMARESPIRATORIO : 43.2.1. INICIALMENTE TODOS LOS PACIENTES ESTÁN INTUBADOS Y CON ASISTENCIA RESPIRATORIA MECÁNICA (ARM). 43.2.2. CONTROL DE LA VENTILACIÓN : • El padrón ventilatorio ususal inicial es: - Modo ventilatorio controlado. - Volumen corriente: 8 – 12 ml/kg. - FIO2: 0,6 - Frecuencia repiratoria: 10-12 cpm. - PEEP: 3-5 cm H2O. • Luego modificar si es necesario el Modo Ventilatorio y la Frecuencia respiratoria para mantener PaCO2 entre 25- 30 mmHg. • Adecuar la PaCO2 si es necesario, para mantener la PaO2 por encima de 60 mmHg y SaO2 por encima de 90%. • Ajustar el PEEP siempre que la PaO2 sea menor a 80 mmHg con FIO2 mayor de 0,6 en presencia de función cardiaca normal. • Iniciar el proceso de “destete” o discontinuación de la Ventilación mecánica, preferentemente utilizando SIMV con presión asistida; sólo presión asistida si la FR espontáea fuera adecuada.Iniciar presión de soporte con 20 cmH20 y reducir gradualmente hasta 5 cmH20. • Si existe anormalidades en los gases arteriales debe efectuarse siempre una radiografía de tórax. 43.2.3. GASOMETRÍA ARTERIAL : - Como rutina efectuar 15 minutos después de instituida la ventilación mecánica a la llegada del paciente a la UTI. Posteriormente cada 6 horas, o más frecuentemente si hubiera necesidad. - Monitorizar la SaO2 con oxímetro en forma permanente y toda vez que se efectúe cambios en los parámetros ventilatorios, durante el proceso de “destete” o cuando existan alteraciones en el cuadro clínico. 43.2.4. RAYOS X DE TÓRAX: Como rutina debe efectuarse a la admisión en la UTI y diariamente. En la misma debe observarse lo siguiente : • Posición del tubo endotraqueal, catéteres, drenajes, área cardiaca y campos pulmonares. • Ensanchamiento del mediastino. • Pneumotórax. • Derrame pleural o hemotórax. • Edema pulmonar y atelectasias. 189
  • 212.
    TERAPIA INTENSIVA 43.2.5. CRITERIOS DE EXTUBACIÓN : • Función normal de todos los sistemas orgánicos. • Gasometría arterial normal con el paciente bajo ventilación mecánica asistida, presión de soporte de 5 cmH20 y FIO2 0,4. 43.2.6. POST EXTUBACIÓN : • Mantener oxigenoterapia a través de cánula nasal (“bigotera”) con un flujo de 2-5 l/minuto. Si la PaO2 < de 60 mmHg usar Ventimask hasta el 60%. • Si se presenta signos de insuficiencia respiratoria solicitar una nueva gasometría arterial y considerar la necesidad de reinstituir ventilación mecánica. • Utilizar nebulizaciones con Solución salina y Fisioterapia respiratoria. Si existe broncoespasmo administrar broncodilatadores con la nebulización. • Iniciar dieta líquida completa 1 hora después de la extubación si el paciente se encuentra en estado de alerta, estable clínicamente y con el sistema digestivo normofuncionante. 43.3. SUBSISTEMA RENAL : 1. Oliguria ( diuresis < 0,5 ml/kg/hora) a) Revisar la sonda vesical b) Corregir la hipovolemia si está presente c) Adecuar el Débito cardiaco d) Determinar niveles de creatininemia, NUS, Na+ y K+ séricos y urinarios. e) Administrar Furosemida 20-40 mg IV si persiste oliguria a pesar de las anteriores medidas. f) Considerar la infusión de Dopamina en dosis bajas hasta 24-36 horas. g) Incrementar la dosis de Furosemida hasta un máximo de 200-400 mg/dia en infusión. h) En persistencia de débito urinario disminuido valorar la necesidad de suspender la infusión de K+. i) Solicitar interconsulta al Servicio de Nefrología. 43.4. SUBSISTEMA METABÓLICO : 43.4.1. LÍQUIDOS Y ELECTROLITOS – REPOSICIÓN DE RUTINA: a) POST. OPERATORIO INMEDIATO : - Sol. DSA al 5%.............................500 ml. -Cloruro de potasio........................ 13,5 mEq. Infusiom IV. 21 ml/h/m2 SC. b) 1er. y 2° DÍA DEL POSTOPERATORIO: - La misma solución anterior, 31ml/h/m2 SC. 43.4.2. POTASIO: a) Si el K+ sérico es menor a 4,0 mEq/l. • 13.5 a 27 mEq. IV en 30 – 60 minutos. 190
  • 213.
    TERAPIA INTENSIVA • Si existe tendencia a persistir hipopotasemia: puede repetirse lo anterior y/o aumentar la concentración en la solución de mantenimiento. b) Si el K+ sérico es mayor a 5,5 mEq/l.: • Suspender la administración de todas lass soluciónes infundidas y repetir la determinación de la kalemia en 1 hora. c) En caso de persistir la hipopotasemia: 1. Sol. de glucosa hepertónica + insulina. SG 50%..........................................50 ml. Insulina regular……………………10 UI. Administrar en 15’ – 30’ (duración de acción 2 – 4 hrs.) 2. Bicarbonato de sodio: 1 mEq/ kg. IV. (principalmente si exisyte Ac. Metabólica concomitante). d) En caso de hiperpotasemia : 1. Gluconato de Ca++ : 0,5 g IV.., si los niveles de K+ son mayores a 6,5 mEq/ l 2 Determinar la creatinina; si existe Insuficiencia Renal refractaria considerar Diálisis. 43.4.3. MAGNESIO: a) Determinar en forma rutinaria los nivele séricos en el Post operatorio inmediato y el primer día del Post operatorio. - Corregir si el nivel sérico es menor a 2 mg/dl. - Determinación imprescindible en arritmias. b) Dosis de administracion: - 2 g ó 4 ml de Sol al 50% diluido en una jeringa de 20 ml de Sol de DSA al 5%, administrar en 15 minutos. c) Contraindicaciónes: Insuficiencia renal (creatinina mayor 2,5mg / dl) y bloqueo AV 2° y 3er. grado. 43.4.4. ACIDOSIS METABÓLICA: Si el déficit de base es mayor a -4: a) No tratar si la PaCO2 es menor a 25 mmHg y pH mayor a 7.4 (alcalosis respiratoria compensada). b) Administrar bicarbonato de sodio al 8,4% si la PaCO2 es mayor a 25 mmHg y pH menor 7,4, calculandose el déficit de bases de acuerdo a la siguiente fórmula: DBE = déficit de bases x Peso (kg.) x 0.3 (Administrar en una hora la mitad del déficit calculado) c) Corregir las causas de Acidosis Metabólica: bajo débito, insuficiencia renal, Cetoacidosis diabética, etc. 43.4.5. HEMATOCRITO / HEMOGLOBINA: • Si el Hto. es menor a 30 % ó la Hb. es menor a 10 g/dl, en presencia de inestabilidad hemodinámica, administrar concentrado de Glóbulos rojos. (Principalmente en pacientes graves y edad avanzada). 191
  • 214.
    TERAPIA INTENSIVA 43.4.6.DIABETES MELLITUS: • La glucemia deseada está entre 120 – 200 mg /dl. • Los pacientes que reciben Insulina NPH, deben recibir la mitad de su dosis la mañana de la cirugía. • Los que reciben hipoglucemiantes orales, estos deben suspenderse 48 horas antes de la cirugía y acompañarse con hemaglucotest / insulina regular. Si fuera necesario instituir dosis bajas de insulina NPH (10-20 U.I./ día). • En la U.T.I.: - Determinar la glucemia y hemoglucotest (HGT) al ingreso. - Repetir HGT c / 4 hrs. hasta las 8 hrs del 1er. día, del P.O. . Nueva glucemia en la mañana del 1er. día del P.O. o antes para correlacionar con el HGT. Esquema de la Insulina regular / HGT : HGT Insulina Menor a 160 0 UI. 160 – 200 3 UI. 200 – 300 5 UI. 300 – 500 8 UI. mayor a 500 12 UI. • Reiniciar Insulina NPH cuando se habilitala vía oral, en dosis equivalente a 2/3 de la suma de las dosis reqiueridas de Insulina regular el día anterior. • Los pacientes que reciben hipoglucemiantes orales deben reiniciarlos cuando ya esten con vía oral, conforme a controles de glucemia y necesidades de Insiulina regular. • Indicaciones para el uso de Insulina regular en infusión IV., contínua : - Glucemias permanentemente elevadas (mayor a 400 mg/dl). - Mala respuesta al esquema anterior. (especialmente en presencia de bajo débito y dificultad de absorción SC.) MODO DE USO: - Sol, Salina Isotónica ....................................................... 250 ml - Insulina regular................................................................. 50 UI (0,2 U / ml). - Iniciar con 0.1 UI / kg / hora; disminuyendo gradualmente; suspendiendo cuando la glucemia se encuentre entre 250 –300 mg / dl, momento en que se sustituye por la insulina en el esquema SC. - Efectuar controles de HGT cada hora durante la infision IV. 43.5. ANTIBIÓTICOS : 1. Utilizar Cefazolina 1g IV durante la inducción anestésica y en el post operatorio 1 g IV cada 8 horas, hasta completar un total de 6 dosis. Dosis pediátrica: Cefazolina 25-50 mg/kg/dia divididas en 3 dosis. Los pacientes alérgicos a Cefalosporinas: Sulfametoxazol + Trimetoprima 1 ampolla diluida en 200 ml 192
  • 215.
    TERAPIA INTENSIVA de Solución de Dextrosa al 5% vía IV, 1 hora antes de la cirugía y luego cada 12 horas, hasta un total de 5 dosis. 2. Los pacientes en tratamiento por endocarditis infecciosa deben mantener el esquema antibiótico que estaba utilizando previamente. 43.6. TRATAMIENTO DE LA FIEBRE : 1. La presencia de hipertermia moderada es común en los primeros días del post operatorio, y por lo tanto, debe ser tratada sintomáticamente. Si la temperatura es > 37.5 º C usar Acetaminofeno o Paracetamol 500 mg VO cada 4 horas o Terapirol (Dipirona) 500 mg IV cada 4 horas si el paciente esta NPO. 2. Si el paciente presenta hipertermia persistente, con una temperatura > 38 º C y signos sugestivos de infección, solicitar hemocultivos, urocultivos, cultivo de catéteres y de secreciones para identificar un posible foco infeccioso. Si la hipertermia es persistente, después del 4º día de la cirugía, sin que existan signos de infección, solicitar todos los cultivos y tratar de identificar el foco infeccioso. 43.7. COMPLICACIONES: • Arritmias cardiacas • Hipertensión arterial • Hemorragias • Neurológicas • Psiquiátritas • Parálisis diafragmática • Gastrointestinales • Endocrinológicas • Síndrome de bajo débito • Insuficiencia renal 43.7.1. ARRITMIAS CARDIACAS : Secundarias a : • TRASTORNOS ELECTROLÍTICOS • ISQUEMIA MIOCÁRDICA • TRASTORNOS ÁCIDO BASICOS • HIPOTERMIA • CATECOLAMINAS • TRAUMA QUIRÚRGICO 193
  • 216.
    TERAPIA INTENSIVA 43.7.2. ARRITMIAS SUPRAVENTRICULARES: • Taquicardia sinusal : secundaria a dolor , fiebre, hipovolemia, descarga adrenergica. • Bradicardia sinusal: secundaria a fármacos (beta bloqueantes, digital, amiodarona, diltiazem) 43.7.3. TAQUICARDIAS SUPRAVENTRICULARES: • Fibrilacion auricular (83%) : secundaria a trauma (clampeo aórtico), reacción inflamatoria, aumento de la aurícula. • Flutter auricular y taquicardias : menos comunes en el post operatorio. 43.7.4. ARRITMIAS VENTRICULARES: Extrasistolia ventricular, taquicardia ventricular, fibrilacion ventricular: investigar HIPOXIA, DISTURBIO METABÓLICO, ISQUEMIA. 43.7.5. TRASTORNOS DE LA CONDUCCIÓN A-V : Asociados al uso de Cardioplejia, drogas, isquemia, disfunción del VI, hiperpotasemiia, manipulación valvular. 43.7.6. ARSENAL TERAPÉUTICO: a) Bradicardia sinusal: Atropina, isoproterenol, marcapaso transitorio b) Taquicardia sinusal. Tratatar causas, betabloqueantes c) Extrasistolia auricular: Digital, digital/quinidina, Amiodarona, betabloqueantes d) Fibrilación auricular: Digital/quinidina, Amiodarona, cardioversión eléctrica, betabloqueantes. e) Flutter auricular: cardioversión eléctrica, Amiodarona, digital. f) Taquicardia supraventricular: Verapamilo, digital. g) Bloqueo A-V: Atropina, isoproterenosl, marcapaso transitorio h) Extrasistolia ventricular: Lidocaina, K+, Mg++ i) Fibrilación ventricular: Cardioversión eléctrica, maniobras de reanimación (PCP-C), Lidocaina. 43.8. HIPERTENSIÓN ARTERIAL : a) Factores etiológicos : hipoxemia, hipercapnia, hipotermia, dolor, exceso de catecolaminas y manipulación de grandes vasos. b) El medicamento de elección para el tratamiento es el Nitroprusiato de sodio. Entre otros antihipertensivos pueden utilizarse la Nitroglicerina (especialmente en portadores de cardiopatía isquémica), Nifedipina e Inhibidores de la ECA. 43.9. SANGRADO : a) Secundario a: coagulopatía post Circulación extracorpórea (CEC), consumo de factores de la coagulación, hemodilución, uso de Heparina y problemas quirúrgicos (sutura). 194
  • 217.
    TERAPIA INTENSIVA b) Puede ocurrir hipotensión arterial por la hipovolemia o por taponamiento cardiaco. c) Esta indicada la REOPERACIÓN si ocurre sangrado de 500 ml en la primera hora del post operatorio o 100 ml/hora. CRITERIOS PARA LA REOPERACIÓN POR SANGRADO POST CIRUGÍA CARDIOVASCULAR: 43.9.1. DRENAJE DE TÓRAX QUE INDICA REOPERACIÓN Peso Kg No. de horas en ml/h Total en ml 1ª. h 2ª. h 3ª. H 4a. h 5a. h 5,0 70 60 50 120 130 6,0 70 60 50 130 155 7,0 70 61 50 152 181 8,0 90 69 52 174 207 9,0 90 78 59 195 233 10,0 108 87 65 217 259 12,0 130 104 78 260 311 14,0 152 122 91 304 363 16,0 174 139 104 347 414 18,0 195 156 117 391 466 20,0 217 174 130 434 518 25,0 271 217 163 542 647 30,0 325 260 195 651 777 35,0 380 304 228 759 906 40,0 434 347 260 868 1036 45,0 488 391 293 976 1165 > 50,0 500 400 300 1000 1200 d) Observar sangrado a nivel de la incisión quirúrgica y zonas de punción (sugieren de- fectos de la coagulación) e) Solicitar los siguientes exámenes de laboratorio : TP. K-TTP, recuento de plaquetas, fibrinógeno y tiempo de Trombina. En caso de drenaje anormal o sangrado excesivo en las incisiones y en el Sitio de las punciones, solicitar: Tiempo de sangría de IVY, PDF y dedímeros. f) Observar con atención los signos de taponamiento cardiaco. g) En presencia de REVERSIÓN INADECUADA o “REBOTE” luego de la administración de Heparina: 195
  • 218.
    TERAPIA INTENSIVA • Diagnóstico : TCA y K-TTP alterados, por encima de 110 y 46 segundos respectivamente; Tiempo de Trombina > 2 veces al normal. • Tratamiento: Protamina 25 mg IV lentamente, hasta una dosis méxima de 100 mg. (reacciones adversas: hipotensión arterial, la que debe ser revertida con la administración de volumen, calcio e inotrópicos). h) Deficiencia de factores de la coagulación : • Diagnóstico : K-TTP, Tiempo de Trombina y fibrinógeno alterados. • Tratamiento: Plasma fresco congelado 10-15 ml/kg. Crioprecipitado 1U/10 kg.. i) Fibrinolísis : • Sospechar en pacientes con consumo de factores de la coagulación: hipofibrinogenemia, presencia de PDF y dedímeros alterados, además, cuando existe la presencia de coágulos en cavidades (hemotórax o hemopneumotórax). • Tratamiento : Ácido Épsilon aminocaproico (Ipsilon) 5 g diluidos en 200 ml de Solución glucosada al 5%, administrar en 1 hora, seguido por 1 g + 50 ml de Solución glucosada al 5% por hora y por otras 6 horas. 43.9.2. NEUROLÓGICAS : Secundaria a : edad avanzada, CEC prolongada ( >120-180 minutos), trombo mural, presión sanguínea mantenida durante la CEC ( inferior a 50 mmHg; 70 mmHg en pacientes con alteraciones cerebrovasculares), hipotensión pre-operatoria, fibrilación auricular, enfermedad carotidea, embolia aérea y la microembolización de trombos de calcio, fibrina y plaquetas. 43.9.3. PSIQUIÁTRICAS : a) La incidencia de delirio puede alcanzar hasta el 51 % de los pacientes. b) Esta relacionado a la edad, lesión orgánica previa, medicación, hipoperfusión cerebral post CEC. c) Tratamiento de elección : haloperidol. 43.9.4. PARÁLISIS DIAFRAGMÁTICA : Lesión quirúrgica del nervio frénico secundaria a la disección de la arteria mamaria interna izquierda. 43.9.5. GASTROINTESTINALES : a) Hemorragia digestiva. b) I l e o. c) Isquemia mesentérica. d) Hiperbilirrubinemia. 43.9.6. ENDOCRINOLÓGICAS : Los pacientes diabéticos tienen tendencia a estados de hiperosmolaridad y cetoacidosis. 196
  • 219.
    TERAPIA INTENSIVA 43.9.7. SÍNDROME BAJO DÉBITO CARDIACO : Complicación común secunadaria a : a) Taponamiento cardiaco. b) Disfunción grave del VI y/o VD. c) Infarto de miocardio. d) CEC prolongada. e) Hipovolemia. El manejo debe efectuarse con la ayuda de un catéter de Swan-Ganz. Evaluar el uso de inotrópicos (Dobutamina, Dopamina, Milrinona,, Noradrenalina), vasodilatadores (Nitroglicerina, Nitroprusiato de sodio) y soporte hemodinámico mecánico (balón intraórtico). 43.9.8. INSUFICIENCIA RENAL: a) La presencia de insuficiencia renal (incidencia del 2%) post operatoria es una complicación temida debido a la elevación significativa de la mortalidad, principalmente si la insuficiencia renal es oligúrica (60-65 %) en comparación con la no oligúrica (10%). b) Las causas son variables, pudiendo estar relacionadas con : • Disfunción renal pre-operatoria. • S é p s i s. • Síndrome de bajo débito cardiaco. • Hemólisis. • Uso de medicamentos. c) Debe mantenerse un débito urinario con un volumen mayor de 400 ml/24 horas o 1 ml/kg/hora. d) Corregir las causas, vale decir, identificarlas y optimizar el débito cardiaco y tratar la hipovolemia. e) Utilizar Furosemida en bolos o en infusión continua después de descartar la hipovolemia; restringir líquidos, corregir las dosis de la medicación de acuerdo al Clearence de creatinina y, corregir la dieta. f) Indicar diálisis cuando exista hipervolemia, hiperpotasemia, acidosis y uremia. 43.10. BIBLIOGRAFÍA : • Sanz Gonzalo T. El postoperatorio en cirugía cardiovascular. Med Intensiva 1992; 16(1): 9-19. • Valladares do Nascimento FJ. Manuseio do Paciente em Pós-Operatório de Cirurgia Cardíaca. En: David CM,Goldwasser R, Nacul FE. Medicina Intensiva: Diagnóstico e Tratamento. Editorial Revinter. Rio de Janeiro 1997; 152-6. • Shoemaker WC. Tekbook of critical care.3 ed. Philadelphia NB Saunders 1995. • Bojar RM. Manual of perioperative care in cardiac and thoracic surgery. Boston. Blackwell 1990. • Rotinas Médicas Do Servicio de Cardiología Do Hospital Sao Francisco de Porto Alegre (Brasil) 1995. • Kirklin JW, Blackstone EH, Kirklin JK. Cirugía cardiaca. En: Tratado de cardiología. Editorial Interamericana Mc Graw- Hill 1990; 1805-22. • Marruecos L, Roglan A, Artigas A, Perez M, Solé O, Solanes H. Alteraciones neurológicas en el postoperatorio de cirugía cardiaca con circulación extracorpórea. Med Intensiva 1985; 9: 291-6. • Barash PG.Cardiopulmonary bypass and postoperative neurologic dysfunction. Am Heart J 1980; 99: 6757. • Salgado J. Cuidado posoperatorio cardiaco. En: Manuel Ramiro H, Oscar Saita-Kamino (ed). Temas de Medicina Interna: Cuidados intensivos. Editorial Interamericana. Mc Graw-Hill 1995; 3(2): 467-78. • Berner M. Management of low cardiac output after cardiac surgery. Crit Care Med 1993; 21 (suppl 9): s 331. 197
  • 220.
    TERAPIA INTENSIVA 44. COAGULACION INTRAVASCULAR DISEMINADA *Dr. Jesús Gómez Mendívil 44.1. DEFINICIÓN: Es la coagulopatia compleja más importante en las Unidades de Terapia Intensiva, se trata básicamente de un estado en el que hay mayor tendencia de trombos intra vasculares. Se produce como consecuencia de una activación intravascular acelerada y patológica de la cascada de la coagulación y la fibrinolisis, con generación extensa de trombina en la sangre circulante, con el consiguiente depósito de fibrina en la microcirculación y consumo de plaquetas y factores de la coagulación. 44.2. ETIOLOGÍA: Son múltiples las situaciones clínicas que pueden desencadenar una coagulación intravascular diseminada (CID). 44.2.1. OBSTÉTRICAS: Embolismo de líquido amniótico Desprendimiento prematuro de placenta Placenta previa Feto muerto retenido Eclampsia Aborto séptico 44.2.2. INFECCIONES. 44.2.3. TRAUMATISMOS TISULARES: Cirugías grandes Golpe de calor Inmunopatias Anafilaxia Transfusiones Rechazo a transplante renal 44.2.4. NEOPLASIAS: Tumores sólidos Leucemias 44.3. FORMAS CLÍNICAS: Se reconocen dos: CID aguda CID crónica 198
  • 221.
    TERAPIA INTENSIVA 44.4. CUADROCLÍNICO: Las manifestaciones pueden variar desde simples petequias aisladas hasta hemorragias manifiestas letales genito urinarias, gastrointestinales, pulmonares, cerebrales. Al otro extremo se hallan los fenómenos trombóticos microvasculares que cursan con isquemia y/o necrosis a distintos niveles como ser: riñones, cerebro, piel, pulmones, corazón, vísceras abdominales 44.5. EXÁMENES COMPLEMENTARIOS: Es de esperar encontrar los siguientes datos laboratoriales: Trombocitopenia Tiempos de protrombina, trombina, parcial de tromboplastina activada alargados Aumento de los productos de degradación del fibrinógeno y fibrina (N < 8ug/dl) Descenso del nivel de fibrinógeno (N 200 – 400 mg/dL) Aumento del dímero D (N < 0,5 ug/mL) Disminución de la antitrombina III ( N 21 –30 mg/dL) 44.6. TRATAMIENTO: 1. Suprimir el fenómeno desencadenante. 2. Mantener estabilidad ventilatoria y hemodinámica. 3. Heparina: su uso es muy controvertido, no existe acuerdo entre autores respecto a beneficios con su uso ni al momento o la dosis a la que debería emplearse. 4. Concentrado de plaquetas: se usa a una dosis de 1 U / 01 kg de peso, o a 6 u 8 U cada 12 a 24 horas, a una velocidad de infusión de 5 ml/min (300 ml/hora), (6 U = 300 ml). 5. Plasma fresco congelado: 4 U cada 12 –24 hrs (10 – 15 ml/kg). 6. Crioprecipitados: 10 U o 1 U/10 kg, a intervalos, hasta elevar el fibrinógeno por encima de 100 mg/dl. 7. Los antifibrinolíticos tampoco han logrado consenso a cerca de su empleo en esta patología. Se emplea a una dosis de 0,1 g/kg en 50 ml de solución fisiológica o dextrosa al 5% en 20 –30 minutos seguida de una infusión contínuade 0,5 a 1 g/hora cada 4 horas por no más de 48 horas. 8. Antitrombina III: su utilidad no está bien demostrada. 44.7. BIBLIOGRAFÍA: • Bongard S, Sue D. Diagnóstico y Tratamiento en Cuidados Intensivos. 1ra ed.. México:El Manual Moderno. • Aguilar C, Prado E, Cañedo Ch, Chevaile J, Saucedo J, Kaplan M, Diaz A, Eraño J. Manual de Terapéutica Médica y procedimientos de urgencias. 3ra ed.. México: McGraw-Hill Interamericana; 1997. • Marino P. El Libro de la UCI. 2da ed..Barcelona: Masson; 1998. • Muñoz L, Martinez C, Hernández T, Marin J, Martinez JM, Garcia R. Urgencias Médico Quirúrgicas, Manual de Problemas Clínicos. 1ra ed..Madrid: Diego Marín;1998. • Grenvik A, Ayres S, Holbrook P, Schoemaker W. Compendio del Tratado de Medicina Crítica y Terapia Intensiva. Buenos Aires: Panamericana; 1998. • Hall J, Schmidt G, Wood L. Cuidados intensivos. 2da ed.. México:McGrw-Hill Interamericana; 2000. • Villa FL. Medimecum. 7ma ed.. España: Adis; 2002. • Parsons P, Wiener-Kronish J. Secretos de los Cuidados Intensivos. 2da ed.. México: McGraw-Hill Interamericana; 2001. 199
  • 222.
    TERAPIA INTENSIVA 45. ANAFILAXIS *Dr. Jesús Gómez Mendívil 45.1. DEFINICIÓN: La anafilaxia es un cuadro alérgico severo cuyos signos y síntomas resultan de una reacción de hipersensibilidad inmediata entre un antígeno previamente reconocido por el sistema inmune y anticuerpos del tipo IgE. La reacción antígeno anticuerpo produce liberación de mediadores químicos tales como: • Histamina • Factor quimiotáctico eosinófilo de la anafilaxia • Sustancia de reacción lenta de la anafilaxia • Leucotrienos • Factor activador de las plaquetas • Cininas y prostaglandinas Estos mediadores causan: • Aumento de la permeabilidad vascular • Alteración del tono de la musculatura lisa • Activación de la vía clásica del complemento • Activación de los componentes de la cascada de la coagulación. • Mayor liberación de otros mediadores Lo que lleva a: • Fuga de líquido del intravascular al intersiticio • Disminución de la resistencia vascular periférica • Depresión del miocardio • Broncoconstricción • Insuficiencia respiratoria • Choque La reacción anafilactoide es clínicamente similar a la anafilaxia, se diferencia por su mecanismo patogénico, no está mediada por inmuno complejos, no ocurre de forma indefectible tras exposiciones sucesivas. Las reacciones anafiláctica y anafilactoide son agudas y potencialmente letales, pero la mortalidad por estas causas puede reducirse con un adecuado reconocimiento y oportuna aplicación de maniobras básicas y avanzadas de RCP. 45.2. ETIOLOGÍA: Las causas son múltiples, podemos clasificarlas en: 45.2.1. ANAFILÁCTICAS O MEDIADAS POR IGE: Alimentos: huevos, leche, pescados, chocolates. Medicamentos: antibióticos B lactámicos. 200
  • 223.
    TERAPIA INTENSIVA Picadura de insectos. Proteinas heterólogas: hormonas, antitoxinas. Rotura de quiete hidatídico. Contacto con látex. 45.2.2. ANAFILACTOIDES, MEDIADAS POR COMPLEMENTO: Sangre y sus derivados Contrastes iodados Liberación directa de mediadores: Opiaceos, tiamina, manitol, dextrano, hidralacina. 45.2.3. OTROS: Ejercicio Inmersión en agua Angioedema hereditario Anafilaxia idiopática 45.3. CUADRO CLÍNICO: El inicio de una reacción anafiláctica puede variar desde pocos minutos hasta una a dos horas, depende de la sensibilidad de la persona, la cantidad y vía de ingreso del alérgeno. Puede presentarse con manifestaciones locales (urticaria, angioedema) o sistémicas: 45.3.1. MANIFESTACIONES CARDIOVASCULARES: Opresión torácica Hipotensión Taquicardia Isquemia de miocardio Taquiarritmias Fibrilación ventricular Disociación electromecánica Asistolia 45.3.2. MANIFESTACIONES RESPIRATORIAS: Prurito o congestión nasal Tos Sibilancias Taquipnea Estridor laringeo Edema faringeo, epiglótico, glótico 201
  • 224.
    TERAPIA INTENSIVA 45.3.3. MANIFESTACIONES GASTROINTESTINALES: Dolor abdominal Diarrea Náuseas y vómitos 45.3.4. MANIFESTACIONES CUTÁNEAS: Prurito Piel caliente Edema Eritema 45.3.5. OTRAS MANIFESTACIONES: Urgencia miccional Contracciones uterinas Convulsiones Coma 45.4. EXAMENES COMPLEMENTARIOS: Aunque los estudios diagnósticos complementarios no tienen utilidad en la anafilaxia aguda, porque el diagnóstico es enteramente clínico, pueden servirnos para evaluar la repercusión sistémica de la misma: Rx PA de tórax ECG Hemograma Química sanguínea básica Gasometría arterial Determinación del complemento 45.5. DIAGNÓSTICO DIFERENCIAL: La anafilaxis puede confundirse con entidades tales como: Coma hipoglicémico IAM Síncope vaso vagal Choque séptico Choque cardiogénico Estatus asmático 45.6. TRATAMIENTO: Se basa en el reconocimiento temprano de la anafilaxis. Debe suprimirse el alérgeno sospechoso. 202
  • 225.
    TERAPIA INTENSIVA 45.6.1. MEDIDAS GENERALES: Posición de trendelemburg Vías respiratorias permeables Administración suplementaria de oxígeno, intubación orotraqueal y ventilación mecánica en caso necesario Acceso venoso de amplio calibre Monitoreo de constantes vitales 45.6.2. TRATAMIENTO INICIAL: Expansión de la volemia inicialmente con soluciones cristaloides, administrar 1 a 2 litros de Solución salina normal o Solución Ringer normal en el lapso de 30 a 60 minutos. Adrenalina: 0,5 mg SC cada 5 a 10 min. de acuerdo a respuesta; en caso necesario administrar por vía intravenosa a dosis de 0,05 a 0,1 mg en bolos cada 1 a 5 min, hasta llegar a una dosis total de 0,015mg/kg. 45.6.3. TRATAMIENTO SECUNDARIO: d) Antihistamínicos: la asociación de bloqueantes histamínicos H1 y H2 tiene mejor resultado que el empleo aislado de bloqueantes H1. Se puede emplear: Difenhidramina: 1mg/kg, IM o IV cada 6 a 8 horas. Clorfeniramina: 0,1 mg/kg IV c/8 horas. Ranitidina. 50 mg IV cada 8 horas. Cimetidina: 4 mg/kg. b) Catecolaminas: Agonistas B2 inhalados: Terbutalina, albuterol(salbutamol) Isoproterenol: especialmente en broncoespasmo resistente. La dosis inicial es de 0,5 a 1 mcg/min. para un paciente de 70 kg de peso. Noradrenalina: permite mantener adecuada Tensión arterial y Frecuencia cardiaca hasta lograr expandir el espacio intravascular. e) Esteroides: a dosis elevadas son útiles en el tratamiento de los síntomas tardíos. Hidrocortisona: 250 mg IV cada 6 horas. Metilprednisolona: 50 mg IV cada 6 horas. f) Otros fármacos: Glucagon: a razón de 1 mg IV cada 5 min. Es efectivo en pacientes con bloqueo adrenérgico previo, en los que la adrenalina tiene poco efecto. 45.7. BIBLIOGRAFÍA : • Bongard S, Sue D. Diagnóstico y Tratamiento en Cuidados Intensivos. 1ra ed.. México:El Manual Moderno. • Aguilar C, Prado E, Cañedo Ch, Chevaile J, Saucedo J, Kaplan M, Diaz A, Eraño J. Manual de Terapéutica Médica y procedimientos de urgencias. 3ra ed.. México: McGraw-Hill Interamericana; 1997. • Marino P. El Libro de la UCI. 2da ed..Barcelona: Masson; 1998. 203
  • 226.
    TERAPIA INTENSIVA • MuñozL, Martinez C, Hernández T, Marin J, Martinez JM, Garcia R. Urgencias Médico Quirúrgicas, Manual de Problemas Clínicos. 1ra ed..Madrid: Diego Marín;1998. Grenvik A, Ayres S, Holbrook P, Schoemaker W. Compendio del Tratado de Medicina Crítica y Terapia Intensiva. Buenos Aires: Panamericana; 1998. • Hall J, Schmidt G, Wood L. Cuidados intensivos. 2da ed.. México:McGrw-Hill Interamericana; 2000. • Villa FL. Medimecum. 7ma ed.. España: Adis; 2002. • Parsons P, Wiener-Kronish J. Secretos de los Cuidados Intensivos. 2da ed.. México: McGraw-Hill Interamericana; 2001. 204
  • 227.
    TERAPIA INTENSIVA 46. SÍNDROME DE STEVENS – JOHNSON *Dr. Oscar Vera Carrasco 46.1. DEFINICIÓN: Es una variante severa del Eritema Multiforme (EM), consistente en una reacción de hipersensibilización que afecta la piel y las membranas mucosas. Adicionalmente pueden quedar implicados algunos otros órganos. 46.2. ETIOLOGÍA: El Síndrome de Stevens-Johnson (SSJ) es idiopático en el 50%. En el resto de los casos puede ser una reacción alérgica a uno de los siguientes factores: 1. Infecciones: • Virales (Ej. Herpes simple, sarampión, virus de la varicela, coxsackie, hepatitis B) • Bacterianas ( Ej. Estreptococos, pseudomonas, micoplasmas, Yersina, brucelosis difteria, tularemia) • Micobacterianas (Ej. Tuberculosis) • Espiroquetas (Ej. Sífilis) • Hongos (Ej. Histoplasmosis) • Protozoarios. 2. Medicamentos: • Analgésicos (Ej. Aspirina, AINES) • Antibióticos ( Ej. Sulfonamidas, penicilinas, cefalosporinas, tetraciclina) • Anticonvulsivantes (Ej. Etosuximida) • Antihipertensivos (Ej. Minoxidil) • Glucocorticoides. • Bloqueantes histamínicos H2. 3. Inmunizaciones : • Vacuna de la tos ferina • Vacuna de la difteria • Vacuna oral de la polio • BCG. • Suero de caballo 4. Neoplasias: (Ej. Linfomas) 5. Trastornos del tejido conjuntivo : (Ej. Lupus eritematoso sistémico) 205
  • 228.
    TERAPIA INTENSIVA 6. Cambios hormonales : (Ej. De la menstruación y embarazo maligno) 7. Agentes físicos : • Radioterapia. • Luz solar. 8. Otras : • Sarcoidosis. • Sindrome de Reiter. • Enfermedad inflamatoria intestinal 46.3. CUADRO CLÍNICO: • Se caracteriza por un desarrollo súbito y progresivo de un rash pleomórfico con vesiculas y ampollas en piel y membranas mucosas. • El signo de Nikolsky está ausente. • Suele ir acompañado de estomatitis. • En la piel y las mucosas afectadas se produce sensación de ardor o quemazón, sin prurito. • Suele manifestarse fiebre de 39-40 ° C., cefalea, malestar general, rinitis, conjuntivitis, ulceraciones de la córnea, vulvovaginitis o balanitis erosiva. • En los casos más graves pueden aparecer alteraciones hidroelectrolíticas, taquipnea, disnea, hematuria, albuminuria, arritmias cardiacas, pericarditis, insuficiencia cardiaca congestiva, convulsuiones y coma. • Los sintomas y signos prodrómicos son : - Malestar general y cefalea - Faringitis y rinorrea - Diarrea - Artralgias • Las lesiones más tempranas del EM a menudo son pápulas rojas edematosas rodeadas de un área de blanqueamiento. Crecen hasta formar pequeñas placas con alteraciones concéntricas del color y la morfología. • Las denominadas lesiones en diana son áreas de necrosis epidérmica central con o sin formación de ampolla. • Los pacientes ingresados en la UTI suelen presentar una necrosis tisular extensa y una depleción grave de líquidos. 46.4. EXAMENES COMPLEMENTARIOS: a) Laboratorio : Generalmente no son diagnósticos. b) Estudio histopatológico : la biopsia cutánea revela un infiltrado linfocítico perivascular en la dermis superior, formación de ampollas subepidérmicas y tumefacción de células endoteliales. El hallazgo más característico es la necrosis epidérmica, espongiosis, edema intracelular, cambios vacuolares en la unión dermoepidérmica, edema y extravasación de eritrocitos. 206
  • 229.
    TERAPIA INTENSIVA 46.5. DIAGNÓSTICODIFERENCIAL: Hay que diferenciarlo de : • Impétigo ampolloso • Pénfigo vulgar • Septicemia • Penfigoide • Enfermedad vascular del colágeno • Meningococcemia • Sindrome de Behcet 46.6. MANEJO Y TRATAMIENTO: a) Suspender la administración de fármacos o agentes sospechosos, así como de medicamentos no esenciales. b) Tratar la enfermedad infecciosa subyacente con el antibiótico que el cultivo considere más adecuado. El Aciclovir puede ser de utilidad si se identifica un herpes como infección subyacente. c) Las áreas afectadas de la piel deben lavarse con solución de Burow o de Domebro y si son muy extensas aislarlas (como en caso de quemaduras) d) Para aliviar los ardores de la cavidad oral usar enjuages con solución salina isotónica templada. La conjuntivitis se puede tratar con Lidocaina. e) Reponer los líquidos en función de la gravedad de la enfermedad. f No se recomienda el empleo empírico de antibióticos. g) La utilidad de los CORTICOSTEROIDES sistémicos es controvertida. En ausencia de estudios clínicos controlados, algunos autores consideran de utilidad en particular en los casos que evolucionan con rapidez y con mayor severidad. Se recomienda iniciar tratamiento con Prednisona a dosis de 1-2 mg/kg/dia (o equivalente I.V.) seguidas de dosis decreciente. h) Realizar interconsultas con las especialidades de Oftalmologia y Cirugía plástica según el grado y las localizaciones afectadas. 46.7. COMPLICACIONES: Las más frecuentes son las siguientes : • Infecciones secundarias • Complicaciones pulmonares • Deshidratación y alteraciones electrolíticas • Necrosis tubular aguda • Complicaciones oftalmológicas • Arritmias cardiacas 46.8. REFERENCIAS BIBLIOGRÁFICAS: • Varon J. Otras Urgencias. En : Joseph Varon. Cuidados intensivos. Editorial Mosby/Doyma Libros 1.995; 457-59. • Patterson R, Dykewics MS, Gonzales A, et col. Erythema multiforme and the Stevens-Johnson syndrome – descriptive and therapeutic controversy. Chest 1.990 ; 98: 331-36. • Araujo OE, Flowers FP. Stevens-Johnson syndrome. J.Emerg Med 1.984; 2: 129-35. 207
  • 230.
    TERAPIA INTENSIVA 47. ECLAMPSIA Y OTRAS COMPLICACIONES OBSTÉTRICAS *Dr. Oscar Vera Carrasco 47.1 DEFINICIÓN : La Eclampsia es un cuadro que presenta una mujer con preeclampsia, a la que se añaden convulsiones, coma o ambos problemas. Una forma de considerar la Eclampsia es situarla en el punto extremo del espectro patológico de la preeclampsia, caracterizada por la triada de hipertensión arterial, edema patológico y proteinuria en una mujer gestante. Aparece generalmente al final de la gestación y en el preparto; el 70-80 % de los casos se presenta en el preparto o intraparto, mientras que el 20 al 30 % de los casos restantes ocurren en el posparto y a veces con signos mínimos de preeclampsia. La Preclampsia y Eclampsia son consideradas partes del cuadro general de hipertensión inducida por el embarazo. 47.2 ETIOLOGÍA : Entre las innumerables teorías propuestas acerca de la preeclampsia y eclampsia, que incluyen fenómenos inmunológicos, disfunción endocrina placentaria, trastornos hormonales, alteraciones de la coagulación y factores de la dieta, la más aceptada es que existe un incremento relativo de Tromboxano A2, en comparación con la concentración de Prostaciclina; la fuente de ambos es la placenta. El exceso de Tromboxano A2 intensifica la vasoconstricción y la agregación plaquetaria. El incremento de la producción de endotelina y la reducción de la liberación de óxido nítrico, también son importantes para la ocurrencia de esta complicación. La mujeres eclámpticas muestran hipersensibilidad a la angiotensina II, a las catecolaminas y a la vasopresina. En concreto, la causa de la Eclampsia no está determinada claramente. Probablemente, como las demás manifestaciones de la enfermedad, se relacione con microangiopatía trombótica con microinfartos y hemorragia petequial. La significación del edema cerebral no es clara. Se identificó como causa de muerte en algunas pacientes. Igualmente, se desconoce la causa específica de las convulsiones; entre los mecanismos propuestos están problemas cerebrales por vasoespasmo, hemorragia, isquemia o edema y encefalopatía hipertensiva o metabólica. Tampoco queda claro la relación de la Eclampsia con el grado de la hipertensión arterial. 47.3 CUADRO CLÍNICO : El cuadro clínico de la Eclampsia se caracteriza por crisis convulsivas, coma o ambas a la vez. El cuadro convulsivo se presenta en cerca de un 50 % antes del parto, 25 % durante el parto y 25 % en el posparto. En casi todos los estudios, la mayor parte de los casos ocurren en el tercer trimestre (28ª semana y el parto). 208
  • 231.
    TERAPIA INTENSIVA Debido a que la Eclampsia es una de las complicaciones maternas de la preeclampsia grave, corresponde determinar los marcadores de gravedad de esta enfermedad, los mismos que alertarán al médico acerca del mayor riesgo de complicaciones. Estos incluyen lo siguiente: • Presión arterial sistólica mayor a 160 mmHg o diastólica igual o mayor a 110 mmHg ( en especial después de 24 horas de hospitalización). • Proteinuria mayor de 2 g en 24 horas o mayor de 100 mg/dl en una muestra tomada al azar. • Hemoconcentración notable. • Oliguria o edema pulmonar. Algunos síntomas de mal pronóstico en pacientes con preeclampsia comprenden: cefalea, alteraciones de la visión, escotomas, alteraciones de la conciencia, clonus, dolor epigástrico o en el cuadrante superior derecho del abdomen, aumento de la creatininemia, coagulopatía por consumo con trombocitopenia, anemia hemolítica microangiopática o ambas, e incluso elevación moderada de las pruebas de función hepática. 47.4 EXAMENES COMPLEMENTARIOS : • Laboratorio: el diagnóstico de Eclampsia no depende de un conjunto específico de estudios de laboratorio. Algunas de las anormalidades más frecuentes incluyen . - Hiperuricemia : más de 6,2 mg/dl. - Biometría hemática: hematocrito elevado (hemoconcentración) y plaquetopenia. - Pruebas de función hepática: enzimas Aminotransferasa de alanina y Aminotransferasa de aspartato elevadas. - Gasometría arterial: muestra alteraciones de la PaO2 y pH o estado ácido base, en presencia de trastornos respiratorios y/o metabólicos. • EEG: muestra anormalidades agudas en el periodo posictal inmediato, pero sus características no son patognomónicas de la Eclampsia. • Ecografía abdominal y obstétrica. • Rx de tórax: para descartar broncoaspiración. Cerca del 10 % de las pacientes con Eclampsia presentan el Síndrome de HELLP (hemolysis, elevated liver enzyme levels, and low palatelet count), carcterizado por hemólisis, incremento de las enzimas hepáticas y plaquetpenia. 47.5 DIAGNÓSTICO : • El criterio para hacer el diagnóstico de Eclampsia es la aparición de convulsiones en una mujer que muestre preeclampsia después de la vigésima semana de la gestación o durante las primeras 48 horas después del parto. • La evolución de la Eclampsia puede ser gradual, pero el inicio real de las convulsiones generalizadas puede ser repentino y constituir una urgencia gravísima de tipo médico. • Se debe estar atento a la aparición de cefalea, visión borrosa, fotofobia, dolor epigástrico o en el cuadrante superior derecho del abdomen e hiperreflexia. 209
  • 232.
    TERAPIA INTENSIVA 47.6 DIAGNÓSTICO DIFERENCIAL : Las patologías del diagnóstico diferencial incluyen . • Accidentes cerebrovasculares. • Encefalopatía hipertensiva. • Feocromocitoma. • Tumor y abscesos cerebrales. • Enfermedades infecciosas. • Desequilibrios metabólicos. • E p i l e p s i a. 47.7 MANEJO Y TRATAMIENTO : • Objetivos del tratamiento : - Controlar las convulsiones y evitar su recurrencia. - Apoyar las funciones vitales de la madre. - Controlar la hipertensión arterial. - Corregir la hipoxemia o la acidemia. - Hacer preparativos para el parto. • Tratamiento farmacológico: 1. Anticonvulsivantes: SULFATO DE MAGNESIO: es el anticonvulsivante más utilizado con fines profilácticos durante el trabajo de parto. Si se presenta una convulsión, por lo común se administrara Diazepam o Fenitoina. El Sulfato de Magnesio se administra por vía endovenosa a una dosis inicial de 4 g en un lapso de 10 minutos, y luego se continúa por infusión contínua a razón de 2 a 3 g/hora. El nivel terapéutico de Mg sérico es de 4 a 6 mEq/l. Debe observarse con todo detalle a la paciente en busca de signos de toxicidad del Magnesio. Cuando su concentración sérica es de 8 a 10 mEq/l, desaparece el reflejo rotuliano y cuando el nivel es de 12 mEq/l, existe profunda depresión respiratoria. Es importante tener GLUCONATO DE CALCIO para usarlo como antídoto. Los niveles elevados de Mg pueden ser temporalmente nefrotóxicos. La diuresis debe mantenerse entre 25 y 30 ml/hora. Si existe oliguria, debe disminuirse o interrumpirse temporalmente la infusión de Mg. Por lo general el tratamiento con Sulfato de Magnesio se continúa por lo menos 24 horas después del parto, o talvez más tiempo según la situación clínica. 210
  • 233.
    TERAPIA INTENSIVA TOXICIDAD DELMAGNESIO ............................................................................................................................................. Menifestaciones Nivel (mEq/l) ............................................................................................................................................. Pérdida del reflejo rotuliano 8-12 Sensación de calor, rubor 9-12 Somnolencia 10-12 Lenguaje titubeante 10-12 Parálisis muscular 15-17 Distrés respiratorio 15-17 Paro cardiaco 30-35 ............................................................................................................................................. 2. ANTIHIPERTENSIVOS : el objetivo del tratamiento antihipertensivo consiste en prevenir complicaciones como encefalopatía y hemorragia. La presión arterial diastólica sostenida de 110 mmHg o más debe recibir tratamiento para mantener la presión arterial media (PAM) en 105 a 126 mmHg y la presión distólica (PD) entre 95 y 105 mmHg. Los antihipertensivos que pueden ser utilizados son los siguientes: - HIDRALAZINA: la hipertensión arterial se controla con una dosis endovenosa inicial de 5 mg y luego 5 a 10 mg cada 20 a 30 minutos, según se necesite, hasta que la presión sistólica esté entre 140 y 150 mmHg o la presión diastólica entre 90 y 100 mmHg. En ocasiones puede ser necesaria la administración por goteo intravenosos continuo. Efectos adversos taquicardia y cefalea. - LABETALOL: otra alternativa de tratamiento consiste en la administración de este fármaco por vía endovenosa, dosis inicial 10 mg, luego se incrementa hasta 40 mg cada 10 a 20 minutos, hasta un máximo de 300 mg. Puede emplearse en infusión continua a razón de 0,5 a 2 mg/minuto. - DIAZÓXIDO: puede usarse en pacientes refractarias; se administran 30 mg en minibolos cada 5 minutos. - NITROPRUSIATO DE SODIO: cuando la hipertensión arterial no responde a los anteriores fármacos, puede utilizarse Nitroprusiato de sodio a dosis estándar; iniciar con 0,25 mcg/kg/minuto, durante un periodo corto (30 minutos) en crisis aguda. Tiene el riesgo de intoxicación fetal por cianuro. Además está hasta cierto punto contraindicada. Si no es posible emplear Hidralazina ni Labetalol o no resultan eficaces, se puede intentar la administración de un BLOQUEADOR DEL CANAL DE CALCIO por vía intravenosa, pero se corre el riesgo de hipotensión; la Nifedipina también es capaz de producir insuficiencia respiratoria cuando se utiliza con Sulfato de Magnesio, además, bloqueo neuromuscular y otros efectos adversos farmacológicos potenciales (cefalea, palpitaciones, retención de líquido). • Conducta Obstétrica: después de todo lo anterior, existe la necesidad de inducir el parto. Si el cuello uterino es satisfactorio, deberán tomarse medidas para inducir el trabajo de parto. Es muy importante la vigilancia continua del latido fetal y también la medición periódica del pH de la sangre obtenida del cuero cabelludo del feto, para saber el estado en que se encuentra el producto. 211
  • 234.
    TERAPIA INTENSIVA Si existen signos de sufrimiento fetal, debe practicarse cesárea. Otras razones para esta última conducta incluyen presentación fetal anormal, desprendimiento prematuro de placenta o prematurez extrema. PRINCIPALES COMPLICACIONES DE LA ECLAMPSIA : Las posibles complicaciones de la Eclampsia son las siguientes: • Coagulación intravascular diseminada (CID) • Hemorragia intracerebral • Edema pulmonar • Neumonía por aspiración • Necrosis tubular aguda • Desprendimiento de retina • Rotura de hígado • Desprendimiento prematuro de placenta • Síndrome de Sheehan con insuficiencia hipofisaria aguda • Síndrome de Distrés Respiratorio Agudo (SDRA) • Disfunción orgánica múltiple 47.8 OTRAS COMPLICACIONES OBSTÉTRICAS : 1. EDEMA CEREBRAL: a) Sintomatología: cefalea, excitación psicomotríz, visión borrosa, alteración de la conciencia, hiperreflexia osteotendinosa, vómitos de tipo explosivo, parálisis de los pares craneales III y IV, postura de descerebración o decorticación. b) Exámenes complementarios: los mismos de la Eclampsia. c) Manejo y tratamiento: • Mantener permeabilidad de vías aéreas. • Posición en decúbito dorsal con cabecera a 30°. • Colocar sonda nasogástrica (SNG) y sonda vesical. • Asistencia respiratoria mecánica: hiperventilación para mantener una PaCO2 entre 20 a 25 mmHg. • Hidratación parenteral con Sol. salina isotónica para cubrir necesidades de requerimientos basales y de acuerdo a las condiciones hemodinámicas de la paciente. • Manitol I.V. : Dosis inicial 1 a 2 g/kg peso/dosis de una solución al 20 % (100g), seguida de una dosis de mantenimiento de 0,3 a 0,5 g/kg peso cada 4-6 horas. No permitir que la osmolalidad supere los 330-340 mOsm. • Nimodipino: eficaz para la hemorragia subaracnoidea asociada a edema cerebral. Dosis: 60 mg por SNG cada 4 a 6 horas; puede utilizarse por vía I.V. (ver hemorragia subaracnoidea). 2. SINDROME CONVULSIVO (Status convulsivo) : a) Sintomatología: estado de coma y convulsiones generalizadas tónico-clónicas continuas o recurrentes sin recuperación de la conciencia intercrisis. 212
  • 235.
    TERAPIA INTENSIVA b) Exámenescomplementarios: los de la Eclampsia. c) Manejo y tratamiento: • Mantener permeabilidad de vías aéreas. • Oxigenoterapia a través de máscara oronasal con FiO2 36-44 %; en caso necesario Asistencia Respiratoria Mecánica (ARM). • Hidratación parenteral con Sol. salina isotónica para cubrir requerimientos basales y de acuerdo a condiciones hemodinámicas de la paciente. • Sulfato de Magnesio: 2 g/hora I.V. en infusión de una solución de Sulfato de Mg al 10 % en Dextrosa al 5 % 500 ml. • Diazepam: 2 mg/minuto, hasta un total de 20 mg. Si es necesario en infusión continua utilizar 50 a 100 mg de Diazepam en 500 ml de Dextrosa al 5 %. • Fenitoina: 18 a 20 mg/kg peso en una dilución en Sol. salina isotónica, a razón de 50 mg/minuto. Monitorizar actividad eléctrica cardiaca (ECG) y hemodinámica. • Otras alternativas: Tiopental sódico, dosis inicial 3-5 mg/kg peso I.V., seguido de 50 mg cada 2 a 5 minutos. Midazolam, dosis inicial 0,2 mg/kg peso, seguida de infusión continua a razón de 0,075 a 0,011 mg/minuto. 3. SINDROME HELLP: Término que identifica un grupo de pacientes con Preeclampsia severa que presentan alto riesgo de desarrollo de disfunción multiorgánica. Se denominó HELLP, por presentar Hemolysis (H), elevated liver enzymes (EL) y low platelets (LP). a) Sintomatología: dolor en el hipocondrio derecho y epigastrio, náuseas, vómitos y cefalea. cuando se asocia con ictericia, se puede confundir con otra patología aguda del hígado o vías biliares. b) Exámenes complementarios: se caracteriza por lo siguiente: • Recuento de plaquetas: < 100.000/mm3 (puede ser severa con menos de 30.000/mm3 en el 5-10 % de los casos). La trombocitopenia aislada en evolución puede ser una de las primeras claves para el diagnóstico. • Enzimas: TGP y TGO por encima de 70 U/L y evidencia de hemólísis en el frotis de sangre periférica con aumento de LDH. Aumento de la bilirrubinemia ( ≥ 1,2 mg/dl). • Hemograma: a pesar de la hemólisis, la anemia severa no es común y raramente se requiere transfusión de sangre. c) Manejo y tratamiento: • El tratamiento definitivo del Síndrome HELLP es el parto. algunos casos no mejoran aún después de 72-92 horas del alumbramiento. • Para pacientes con HELLP severo posparto se aconseja las siguientes medidas terapéuticas: 1.-Administración precoz de corticosteroides ( Dexametasona 10 mg I.V. cada 12 horas) hasta que el recuento plaquetario supere 100.000/mm3. 213
  • 236.
    TERAPIA INTENSIVA 2.-Plasmaféresis: se utiliza reemplazo con plasma fresco (hasta 3 litros) en el HELLP "prolongado" cuya sintomatología no remite después de 72-96 horas del parto. Si no hay respuesta se repite a las 48 horas. Con la utilización precoz de corticosteroides, según algunos autores es cada vez menos necesaria su utilización. 4. CHOQUE HIPOVOLÉMICO: El Choque se define como un estado de hipoperfusión tisular, en la que el suministro de oxígeno es insuficiente para satisfacer las necesidades metabólicas del organismo. Las CAUSAS OBSTÉTRICAS más frecuentes son las siguientes: • Desprendimiento prematuro de la placenta. • Placenta previa. • Rotura uterina. • Atonia uterina. • Traumatismo quirúrgico obstétrico (ej. desgarros cervicales o vaginales o una incisión del útero durante la cesárea). • Inversión uterina. • Coagulopatías. • Retención de restos placentarios (ej. aborto) o corioamnionitis. • Laceraciones del conducto del parto. • Embarazo ectópico o abdominal. • Coagulación intravascular diseminada (CID). a) Manifestaciones clínicas de hipoperfusión: • Palidez de piel y mucosas • Taquicardia y taquipnea • Diaforesis • Oliguria • Disminución sensorial, confusión, somnolencia. • Extremidades frías • Hipotensión (PA sistólica inferior a 80 mmHg). • Disminución del llenado capilar ( > 2 segundos). • Acidosis metabólica. b) Exámenes complementarios: • Hematocrito. • Grupo sanguineo. • Estudios de coagulación (TP, TPTa, sangría). • Gasometría arterial. • Rx de tórax. c) Manejo y tratamiento: • Monitoreo : - ECG: FC, arrítmias, isquemia. - Catéter arterial: PA y gases en sangre arterial. 214
  • 237.
    TERAPIA INTENSIVA - Catéter en la arteria pulmonar (reservada para etapas avanzadas de Choque): presiones en la arteria pulmonar, gases en sangre venosa mixta y gasto cardiaco. - Catéter venoso central: presión en la aurícula derecha (igual a la PVC) y manejo de líquidos. - sonda Foley: débito urinario mayor a 0,5 ml/hora (0,5-1 ml/hora). • Objetivos terapéuticos óptimos: - PAM: > 80 mmHg y PAS > 110 mmHg. - Presión capilar pulmonar: 8-12 mmHg. - PVC: 7-14 cm H20. - Indice cardiaco: 4,5 L/min/m2, un 50 % mayor que lo normal (2,8-3,6). - Consumo de oxígeno: > 100 ml/min/m2. - DO2 : 600 a 1.000 ml/min/m2, mayor que lo normal. - Volemia: que supere en 500 ml lo normal (ej. 3,2 L/m2 en los varones y 2,8 en las mujeres). - Lactato sanguíneo: < 4 mmol/l. • Tratamiento: el primero y más importante objetivo es restablecer la volemia. 1.- En general, administrar un bolo inicial de cristaloides en un volumen de 1 a 2 litros a través de dos vías periféricas gruesas (14 a 16 G), según una valoración clínica inicial de la pérdida y tomando como referencia los siguientes parámetros: VALORACIÓN DE LAS PÉRDIDAS EN EL SHOCK* ............................................................................................................................................. PARÁMETRO Clase I Clase II Clase III Clase IV ............................................................................................................................................. Pérdida en % de volemia 15 15-30 30-40 >40 Frecuencia cardiaca <100 100-120 120-140 >140 Presión arterial Normal Normal Disminuida Disminuida Frecuencia respiratoria 14-20 20-30 30-40 >40 Diuresis (ml/hora) >30 20-30 5-15 <5 Estado mental Ligeramente Moderadamente Ansioso y Letárgico ansioso ansioso confuso ............................................................................................................................................. *Tomado del Manual del estudiante del ATLS. 5a. ed. Valoración de la pérdida en el Shock traumático. Editado por la Sociedad Americana de Cirugía 1989. 2.- Algunos pacientes con Shock severo y que no se compensan rápidamente con los líquidos, se deben tratar con la asociación de líquidos y drogas vasoactivas para alcanzar presiones de por lo menos 90 mmHg de sistólica o 60 mmHg de media. 215
  • 238.
    TERAPIA INTENSIVA 3.- En cuanto a la reposición de la masas de glóbulos rojos (GR) perdidos, es importante tener en cuenta que el hematocrito de la paciente con Shock hipovolémico no demuestra el estado de volemia. No obstante, cabe señalar que valores menores del 30 % disminuyen la disponibilidad del O2. Los GR más plasma sólo están indicados en pacientes con hemorragia y trastornos de la coagulación asociados. 4.- En relación con los coloides, utilizados exclusivam,ente como "expanpansores plasmáticos", en nuestro país se pueden utilizar los del tipo de las gelatinas (Poligelina), ya que la albúmina puede ser de utilidad en pacientes hipovolémicos con ascitis e insuficiencia hepática o en la hipoalbuminemia severa. Otras sustancias como el Dextran o el plasma no se deben utilizar como expansores. Cuando la cantidad de líquidos infundidos es alta y la hipotensión persiste, la utilización de expansores del tipo de gelatinas con la regla del 3x1 (tres partes de soluciones isotónicas por una de coloides) es una buena aproximación. Si la hipotensión es marcada se utilizan drogas drogas vasoactivas. 5. EMBOLIA GASEOSA VENOSA: Aunque rara, la Embolia gaseosa venosa constituye el 1 % de todas las muertes maternas. Ocurre durante el trabajo de parto normal, el parto en una mujer con placenta previa, los abortos intencionales en los que se utiliza aire, las relaciones sexuales orogenitales y la inflación de la vagina durante diversos procedimientos ginecológicos. Se cree que el aire penetra en los senos venosos subplacentarios, luego se emboliza a través de la circulación venosa y por último obstruye el flujo sanguíneo pulmonar cuando alcanza el ventrículo derecho. Otros dos mecanismos pueden ser: la obstrucción de las arteriolas pulmonares por microémbolos de fibrina y el reclutamiento y la activación de leucocitos polimorfonucleares por las proteínas agregadas. a) Sintomatología: • Tos • Disnea • Mareos • Sensación de muerte • Taquipnea • Taquicardia • Diaforesis • Sibilancias • Estertores • Dolor retroesternal • Hipotensión • Sonido de burbujeo o "ruido de una rueda de molino" a la auscultación precordial. • Signos de insuficiencia cardiaca derecha aguda. • Shock • Paro respiratorio b) Exámenes complementarios: • Biometría hemática: trombocitopenia. • Gasometría arterial. hipoxemia e hipercapnia o hipocapnia. 216
  • 239.
    TERAPIA INTENSIVA • ECG: taquicardia sinusal, sobrecarga del corazón derecho, isquemia y arritmias. • Rx de tórax: normal o las siguientes alteraciones, oligohemia en los lóbulos superiores, atelectasia, aire en la arteria pulmonar o intracavitario cardiaco, ensanchamiento de la arteria pulmonar, signos de edema pulmonar. • Ecocardiografía: signos de sobrecarga derecha. • Hemodinámica: incremento de la PVC, PAP, ventrículo derecho; disminución del gasto cardiaco y PAM. c) Manejo y tratamiento: • La paciente debe colocarse de inmediato en posición de decúbito lateral izquierdo. • La aspiración de aire hacia el corazón derecho o el flujo pulmonar puede lograrse mediante un catéter arterial pulmonar. • Ventilación con FiO2 del 100 % (para reducir el tamaño del émbolo mediante la remoción de nitrógeno). • Soporte hemodinámico: utilizar cristaloides y drogas vasoactivas de acuerdo al estado clínico y los datos de la monitorización hemodinámica. 6. EMBOLIA PULMONAR DE LÍQUIDO AMNIÓTICO: El embolismo de líquido amniótico es la transferencia de líquido amniótico que contiene vello de lanugo, vérnix, meconio y sustancias tromboplásticas a la circulación pulmonar. Se trata de un fenómeno raro (1 de cada 8.000 a 80.000 embarazos), pero catastrófico y que a menudo se asocia a muerte. Esto requiere la ruptura de membranas, una apertura en la circulación materna como ocurre en la ruptura uterina, la placenta acreta, la cesárea, la placenta retenida, el desprendimiento de placenta o la placenta previa. No es posible prevenir; más frecuente en la segunda fase del parto. La tasa de mortalidad es del 80 %; el 25 % de la muertes se produce en los primeros minutos posteriores a su presentación. a) Sintomatología: se caracteriza por la aparición súbita de sufrimiento materno. • Disnea intensa, broncoespasmo y taquipnea. • Taquicardia, hipotensión y arrítmias. • Cianosis, hipoxemia grave. • Colapso cardiovascular agudo; a menudo paro cardiaco. • Coagulación intravascular diseminada. • Convulsiones y coma. • Otros. inquietud, sudoración, ansiedad y tos. b) Factores de riesgo: • Edad avanzada de la madre (promedio 32 años). • Embarazo múltiple. • Fetos de gran tamaño. • Partos cortos, problemáticos. • Administración de oxitocina. • Rotura tardía de membranas sin encajamiento de la presentación. • Amniotomía. • Cesárea. 217
  • 240.
    TERAPIA INTENSIVA • Embarazo a término en presencia de un dispositivo intrauterino. c) Diagnóstico diferencial: • Tromboembolismo pulmonar agudo. • Embolismo gaseoso. • Infarto agudo de miocardio. • Aspiración aguda del contenido gástrico. • Neumotórax masivo (uni o bilateral). • Desprendimiento de placenta con coagulopatía. • Hipersensibilidad a anestésicos locales. d) Exámenes complementarios: • Laboratorio: identificación de detritus de líquido amniótico (lanugo y mucina, células tromboplásticas y escamosas) en muestras de sangre obtenidas del catéter arterial pulmonar. Disminución de fibrinógeno, aumento de los productos de degradación del fibrinógeno, prolongación de los tiempos de tromboplastina parcial (TTP) y protrombina (TP). Gasometría arterial: hipoxemia grave y desaturación arterial de O2 de evolución rápida, incremento de la PaCO2 y disminución del pH. • Estudios de gabinete: Rx de tórax, ECG, ecografía obstétrica y cardiaca. • Estudio hemodinámico: aumento leve a moderado de la presión en la arteria pulmonar, aumento variable de la PVC, elevación de la Presión capilar pulmonar y disminución del gasto cardiaco. e) Manejo y tratamiento: • Intubación endotraqueal y Asistencia respiratoria mecánica (ARM) con presión positiva al final de la espiración (PEEP). • Soporte de volumen con o sin productos sanguíneos. • Monitorización de la PVC. • Cateterización arterial periférica y de la arteria pulmonar. • No existe un tratamiento farmacológico específico, los fármacos de elección son los vasoactivos (Dobutamian, Dopamina) y los broncodilatadores. • La coagulopatía debe ser tratada en forma agresiva. 7. ROTURA HEPÁTICA : La hemorragia intrahepática o hematoma subcapsular son también complicaciones maternas de la Preeclampsia grave; se presentan en el 2 % de los casos y, pueden evolucionar a rotura hepática. Manejo y tratamiento: en la rotura hepática se produce hemorragia intraabdominal masiva que requiere: • Reposición masiva de la volemia. • Corrección de la CID. • Monitorización cardiovascualar estrecha. • Iniciar la exploración y la reparación quirúrgica cuando la paciente esté "estable". Debido a la disfunción o lesión hepática, a menudo se realiza el taponamiento de la rotura. • Ante la sospecha de rotura hepática antes o después del parto, puede ser necesario seguir el siguiente procedimiento: 218
  • 241.
    TERAPIA INTENSIVA a) Antes del parto: - Realizar cesárea. - Si no existe hematoma o está íntegro OBSERVACIÓN. - En presencia de rotura del hematoma con hemoperitoneo efectuar laparotomía (taponar/drenar el hígado). b) Posterior al parto: - Si la paciente se encuentra inestable, administrar productos sanguíneos y tomar otras medidas de soporte vital, luego laparatomía. - Si la paciente se encuentra desde un principio estable, realizar TAC con contraste. - Si no existe hematoma o está íntegro OBSERVACIÓN. - Ante la sospecha de rotura de hematoma, confirmar con paracentesis. - Si la paracentesis o punción abdominal es positiva, efectuar laparotomia (taponar/drenar el hígado). - Si la paracentesis es negativa, realizar arteriografía hepática. De ser negativo este estudio, OBSERVAR; por el contrario, en caso de detectarse hemorragia intrahepática, puede ser necesaria la embolización de la arteria hepática. 8. DESPRENDIMIENTO PREMATURO DE PLACENTA: El desprendimiento placentario ocurre en 1 de cada 77 a 250 embarazos, con mayor incidencia en hipertensas (50 % por hipertensión crónica y el resto por preeclampsia), paridad alta, tabaquismo, uso de cocaína y desprendimiento previo. La CAUSA no está bien definida, pero el factor desencadenante puede ser la rotura de las arteriolas espirales con formación de un hematoma, el cual diseca la placenta de su sitio de inserción. • Se asocia frecuentemente a sufrimiento fetal. • La gravedad de la pérdida sanguínea materna se correlaciona con la magnitud y duración del desprendimiento y el daño al feto. • Se pierde un promedio de 2 a 3 litros de sangre cuando el desprendimiento produce la muerte del feto. • El diagnóstico es clínico, aunque el ultrasonido puede ser útil. Al principio la paciente experimenta dolor vaginal y hemorragia, que puede diagnosticarse de manera incorrecta como parto prematuro. • A menudo se acompaña de coagulopatía con TP y TTP prolongados, nivel bajo de fibrinógeno y plaquetopenia. El aumento en la concentración de productos de la degradación de fibrina se relaciona con hemorragia posparto. • Puede requerir una transfusión intensa o masiva. • Las cuatro complicaciones más importantes de la hipovolemia y el Shock en estas pacientes son: 1. Necrosis tubular aguda. 2. Necrosis corticorrenal. 3. Síndrome de Sheehan con insuficiencia hipofisaria aguda. 4. El SDRA, causa principal de muerte en la UCI-OB de los autores. 47.9 BIBLIOGRAFÍA : • Murahata SA. Eclampsia y otras complicaciones obstétricas. En: Polly E Parsons, Jeanine P Wiener-Kronish. Secretos de los cuidados Intensivos. 2a. edición. Editorial Mc Graw-hill Interamericana. México DF. 1998; 597-600. 219
  • 242.
    TERAPIA INTENSIVA • Hjertberg R. Eclampsia: Treatment and Prophylaxis. Workshop Treatment of Hypertension in Pregnancy 1997.1. Uppsala, Sweden 1997; 99-111. • Strek ME, O' Connor M, Hall J. Enfermedad crítica en el embarazo. En: Hall, Schmidt, Wood. Cuidados intensivos. 2a. edición. Editorial McGraw-Hill Interamericana. México DF. 2.000; 1717-40. • Cunningham FG, Lindheimer MD. Hypertension in pregnancy. N Engl J Med 1990; 323: 1609. • Sibai BM. Treatment of hypertension in pregnant women. N Engl J Med 1996; 335:257. • Hernandez C, Cunningham FG. Eclampsia. Clin Obstet Gynecol 1990; 33: 460-6. • Sibai BM. Magnesium Sulfate is the ideal anticonvulsant in preeclampsia-eclampsia. Am J Obstet Gynecol 1990;162: 1141-45. • Carpenter RJ, Jr. Embarazo. En: Joseph Varon. Cuidados intensivos. Editorial Mosby/Doyma. Madrid-España 1995; 301-20. • Usta IM, Sibai BM. Emergent management of puerperal eclampsia. Obstet Gynecol Clin North Am 1995; 22(2): 315-35. • Douglas KA, Redman CWG. Eclampsia in the United Kingdom. BMJ 1994; 309: 1395-1400. • Roberts JM. Magnesium for preeclampsia and eclampsia. Editorial N Engl J Med 1995; 333: 250-1. • Duley L. Magnesium sulphate regimens for women with eclampsia: message from the Collaborative Eclampsia Trial. Br J Obstet Gynecol 1996; 103: 103-5. • Robertson S. Reanimación. En: Grenvik, Ayres, Holbrook, Shoemaker. Compendio del Tratado de Medicina Crítica y Terapia Intensiva. Editorial Médica Panamericana. Buenos-Argentina 1998; 9-21. • Masson RG. Amniotic fluid embolism. Clin Chest Med 1992; 13: 657. 220
  • 243.
    TERAPIA INTENSIVA 48. PROTOCOLO DE DIAGNÓSTICO DE MUERTE CEREBRAL *Dr. Oscar Vera Carrasco 48.1 DEFINICIÓN : La muerte cerebral (MC) se define como el cese irreversible en las funciones de todas las estructuras neurológicas intracraneales, tanto de los hemisferios cerebrales como del troncoencefálico. 48.2 ETIOLOGÍA : Las causas que más frecuentemente conducen a la MC son las siguientes: • Accidentes cerebrovasculares (ACV). • Traumatismos craneoencefálicos (TCE). • Encefalopatías anóxicas post paro cardiaco. Es imprescindible conocer la causa del coma y documentar la presencia de lesiones estructurales en una tomografía axial computarizada (TAC) craneal para descartar causas metabólicas o tóxicas potencialmente reversibles. 48.3 DIAGNÓSTICO : El diagnóstico clínico se realiza mediante una exploración neurológica que demuestra la presencia de: COMA ARREACTIVO, AUSENCIA DE REFLEJOS TRONCOENCEFÁLICOS Y APNEA, luego de un mínimo de 6 horas de atención médica. Para realizar el diagnóstico de MC han de cumplirse las siguientes condiciones: COMA ESTRUCTURAL, DE ETIOLOGÍA CONOCIDA Y CARÁCTER IRREVERSIBLE. • Prerrequisitos: antes de empezar la exploración clínica neurológica, comprobar que el paciente se encuentra en condiciones generales adecuadas que no alteren los hallazgos de la exploración física. 1. Estabilidad hemodinámica: el paciente debe encontrarse hemodinamicamente estable y con una presión arterial (PA) adecuada para garantizar la perfusión cerebral. No será valorable una exploración efectuada en estado de shock, con PA bajas y por lo tanto flujo cerebral disminuido. 2. Temperatura: en presencia de MC, al perderse la función del centro termorregulador se produce una hipotermia espontánea y progresiva. Cabe señalar que, en situaciones de hipotermias accidentales graves o hipotermias inducidas, no se podrá valorar adecuadamente la exploración neurológica. Como prerrequisito básico, antes de iniciar la exploración física del paciente, es obligatorio comprobar la temperatura corporal del mismo, realizando si fuera preciso, una monitorización central, ya sea timpánica, esofágica o rectal. Los criterios de muerte neurológica del Reino Unido recomiendan una temperatura central superior a 35° C, mientras que la Academia Americana de Neurología acepta como válida una temperatura superior a 32° C. Otros criterios acerca del nivel de este parámetro para aceptar como válida la exploración neurológica, incluida la recomendación nacional, son las siguientes: 221
  • 244.
    TERAPIA INTENSIVA TEMPERATURA NECESARIA PARA ACEPTAR COMO VÁLIDA LA EXPLORACIÓN NEUROLÓGICA ...................................................................................................................................... Criterios de Harvard (1986) > 32,2° C Comisión Presidencial USA (1981) > 32,2° C Criterios Canadienses (1986) > 32,2° C Comisión Coordinadora Nacional de Transplantes de órganos y tejidos de Bolivia (Decreto N° 24671 de la ley de 21 de junio de 1997 > 34,0° C ..................................................................................................................................... 3. Alteraciones metabólicas: es obligatorio descartar alteraciones metabólicas importantes de tipo hidroelectrolítico, ácido base o endocrinológicas (coma hipoglucémico, encefalopatía hepática, coma hipotiroideo). También es necesario que el paciente este bien oxigenado y mantenga niveles aceptables de PaCO2. 4. Intoxicaciones: antes de efectuar la exploración clínica para confirmar el diagnóstico de MC, es necesario descartar las intoxicaciones por drogas, tóxicos o fármacos depresores del Sistema Nervioso Central (SNC), elaborando una exhaustiva historia clínica y realizando las determinaciones analíticas en sangre y orina que se consideren oportunas según la valoración clínica individual de cada paciente. La frecuente utilización de fármacos depresores del SNC en las UCIs, tales como las benzodiazepinas, propofol, opioides y barbitúricos, alteran de forma importante los hallazgos obtenidos en la exploración neurológica, por lo que será preciso antes de realizar el examen asegurarse que el paciente no está recibiendo en ese momento fármacos depresores del SNC o que puede estar aún bajo sus efectos, si los fármacos han sido retirados del tratamiento recientemente. Los relajantes neuromusculares, como el bromuro de pancuronio o el besilato de atracurio, producen una parálisis muscular que obviamente hacen negativa las respuestas motoras al estímulo algésico y algunos reflejos troncoencefálicos, por lo que hay que asegurarse que han sido administrados antes de realizar la exploración neurológica. 48.4 EXPLORACIÓN NEUROLÓGICA: El paciente tiene que encontrarse en coma profundo y arreactivo, con hipotonia generalizada. • Exploración algésica: al estímulo algésico, NO DEBE EXISTIR NINGUN TIPO DE RESPUESTA MOTORA. La exploración algésica debe ser realizada fundamentalmente en el territorio de los nervios craneales, provocando estímulos algésicos intensos a nivel supraorbitario, labio superior o a nivel de la articulación témporomandibular. No se deben obtener respuestas o actitudes de descerebración ni decorticación, así como tampoco ningún otro tipo de respuesta motora integrada corticalmente o reacción vegetativa. • Exploración de los reflejos troncoencefálicos: exploran la actividad de los pares craneales, y su integración en los núcleos correspondientes del troncoencefálico. Estos reflejos a explorar son los siguientes: - REFLEJO FOTOMOTOR: se realiza estimulación con foco de luz potente, observándose en condiciones normales contracción pupilar. 222
  • 245.
    TERAPIA INTENSIVA Vía aferente: II par craneal (nervio óptico); vía eferente: III par craneal (nervio motor ocular común), y nivel: mesencéfalo. En la MC las pupilas pueden ser circulares, ovales o discóricas y de tamaño medio o midriáticas (de 4 a 9 mm), permaneciendo siempre arreactivas a la luz. No debe existir tampoco respuesta consensual. El tamaño pupilar más frecuente es de 4 a 6 mm, pero también pueden observarse pupilas midriáticas, ya que las conexiones entre el músculo dilatador de la pupila y las vías simpáticas cervicales permanecen intactas. Es importante señalar, que el reflejo fotomotor puede alterarse por otras causas como, traumatismos oculares, cirugía previa y por la utilización de colirios que contengan anticolinérgicos (ej. tropicamida) y también por la administración de atropina por vía intravenosa, por lo que este reflejo se debe explorar siempre antes de realizar la Prueba de Atropina. Las pupilas midriáticas y arreactivas pueden también ser producidas por la administración de altas dosis de catecolaminas (adrenalina, dopamina) y no ser un signo de herniación uncal. - REFLEJO CORNEAL: se realiza estimulación de la córnea con una torunda de algodón o una gasa, observándose en condiciones normales una contracción palpebral, pudiéndose también observar lagrimeo. En la MC no existe ningún tipo de respuesta. La utilización de relajantes neuromusculares o la presencia de intenso edema corneal pueden alterar o abolir el reflejo corneal. - REFLEJO OCULOENCEFÁLICO: se denomina también reflejo propioceptivo de torsión cefálica o fenómeno de "ojos de muñeca". Consiste en la realización de giros rápidos de la cabeza en sentido horizontal, manteniendo abiertos los ojos del paciente, observándose en condiciones normales una desviación ocular conjugada opuesta al lado del movimiento, volviendo los ojos posteriormente a su posición de reposo. También puede explorarse provocando movimientos de la cabeza en sentido vertical; cuando el cuello es flexionado se produce una desviación de los ojos hacia arriba. Vía aferente: VIII par craneal (nervio auditivo; vía eferente: III y VI par craneal (nervio motor ocular común y motor ocular externo), y nivel: unión bulboprotuberancial. En la MC, la mirada permanece centrada y fija sin observarse ningún tipo de movimiento ocular. La demostración de la ausencia de reflejo oculocefalogiro, debe evitarse en pacientes con sospecha de fractura de columna cervical. - REFLEJO OCULOVESTIBULAR: inicialmente se debe efectuar una exploración mediante otoscopio del conducto auditivo externo para comprobar que no existen tapones de cerumen, coágulos de sangre, ni perforación del tímpano. Se coloca la cabeza elevada a 30° sobre la horizontal, de manera que el conducto semicircular lateral se encuentre vertical y la estimulación timpánica pueda provocar una respuesta máxima. Luego se inyectan en 223
  • 246.
    TERAPIA INTENSIVA el conducto auditivo externo a través de una sonda 50 ml de agua fría, manteniendo abiertos los ojos del paciente durante 1 minuto y observándose en condiciones normales un nistagmo con el componente lento hacia el oído irrigado y el componente rápido alejado del conducto irrigado. El nistagmo es regular, rítmico y dura menos de 2-3 minutos, existiendo poca desviación del ojo fuera de la línea media. Conviene esperar unos 5 minutos antes de realizar el reflejo en el lado contralateral, para permitir que el sistema oculovestibular se estabilice. Vía aferente: VIII par craneal (nervio auditivo); vía eferente: III y VI par craneal (nervio motor ocular común y motor ocular externo), y nivel: unión bulboprotuberancial. En la MC no existe ningún tipo de movimiento ocular. Importante: algunos fármacos como los aminoglucósidos, sedantes, antiepilépticos o antidepresivos tricíclicos, pueden disminuir o abolir el reflejo oculovestibular. - REFLEJO NAUSEOSO: mediante una sonda o un baja lenguas se realiza estimulación del velo paladar blando, úvula y orofaringe, observándose en condiciones normales la aparición de náuseas. Vía aferente: IX par craneal (nervio glosofaríngeo); vía eferente: X par craneal (nervio neumogástrico o vago), y nivel bulbo. En la MC no existe ningún tipo de respuesta. - REFLEJO TUSÍGENO: se realiza mediante una sonda que se introduce a través del tubo endotraqueal, la misma que provoca una estimulación de la traquea, observándose en condiciones normales la aparición de tos. Vía aferente: IX par craneal (nervio glosofaríngeo); vía eferente: X par craneal (nervio neumogástrico o vago), y nivel: bulbo. En la MC no existe ningún tipo de respuesta. • PRUEBA DE LA ATROPINA: esta prueba explora la actividad del X par craneal (neumogástrico o vago) y de sus núcleos troncoencefálicos. El fenómeno de resistencia al efecto parasimpaticolítico de la atropina es considerado como un criterio más para el diagnóstico de MC. Se administra 0,04 mg/kg peso de Sulfato de atropina por vía intravenosa y se comprueba la frecuencia cardiaca pre y postinyección de atropina. En la MC la frecuencia cardiaca no debe superar el 10 % de la frecuencia cardiaca basal. Hay que procurar no administrar la atropina por la misma vía venosa donde estén administrando fármacos vasoactivos como la dopamina, ya que pudieran producir taquicardia y alterar los resultados. La atropina también es capaz de provocar dilatación pupilar, por lo que esta prueba debe efectuarse después 224
  • 247.
    TERAPIA INTENSIVA de la exploración del reflejo fotomotor; además, el incremento brusco de la frecuencia cardiaca, en pacientes con hipertensión endocraneal intensa que aún no están con MC puede ocasionar incrementos peligrosos de la presión intracraneal (PIC), por ,lo que esta prueba debe realizarse una vez explorados todos los anteriores reflejos troncoencefálicos y las respuestas motoras al estímulo algésico. • PRUEBA DE LA APNEA: la prueba de apnea permite confirmar la ausencia de respiración espontánea, luego de la estimulación máxima de los centros respiratorios bulbares por la hipercapnia. Cronológicamente, debe ser realizada al final de toda la exploración. - Prerrequisitos : Es aconsejable que el paciente mantenga una volemia adecuada, esté normotérmico, con temperaturas próximas a los 36° C, y que la presión arterial sistólica (PAS) sea igual o superior a 90 mmHg. Previamente a su realización, se debe oxigenar al paciente con O2 al 100 %, durante unos 15 minutos, y modificar adecuadamente los parámetros del respirador para corregir la hiperventilación previa, con el objetivo de obtener un valor de PaCO2 de 40 mmHg a nivel del mar (30 mmHg en la ciudad de La Paz-Bolivia), lo que nos permitiría realizar una prueba más corta y evitar la apnea poshiperventilación. Para realizar correctamente la prueba de la apnea, se deben seguir los siguientes pasos: 1. Efectuar una gasometría arterial (después de haber hiperoxigenado al paciente y corregido la PaCO2), para constatar la cifra de PaCO2 previa y calcular el tiempo que el paciente tiene que estar desconectado del respirador. 2. Desconectar el respirador, e introducir a través del tubo endotraqueal un catéter conectado a una fuente de oxígeno a razón de 6 litros por minuto, con la finalidad de conseguir una oxigenación por difusión. En condiciones de normotermia y partiendo de una PaCO2 normal preapnea, el tiempo de desconexión del respirador debe ser de unos 8 a 10 minutos. 3. Durante el tiempo que permanezca desconectado de la ventilación mecánica, se observará el tórax y el abdomen, comprobando que no exista ningún tipo de movimientos respiratorios; se monitorizará la saturación de O2 mediante pulsioximetría, y se vigilará en el monitor la PA y el ritmo cardiaco. 4. Realizar una gasometría arterial al finalizar el tiempo programado de desconexión del respirador y reconectar a ventilación mecánica al paciente. La prueba de apnea será positiva si al final del periodo de observación la PaCO2 es superior a 50-60 mmHg, cifra suficiente para provocar el estímulo del centro respiratorio. Los criterios ingleses recomiendan valores de PaCO2 superiores a 50 mmHg, mientras que los criterios americanos elaborados en la Comisión Presidencial y la Academia Americana de Neurología recomiendan cifras iguales o mayores a 60 mmHg, o 20 mmHg más alta que el valor basal normal. 225
  • 248.
    TERAPIA INTENSIVA La Comisión Coordinadora Nacional de Transplantes de órganos y tejidos de Bolivia señala como positiva la prueba cuando la PaCO2 alcanza 50 mmHg. En caso de que la PaCO2 no alcance los 50 o 60 mmHg, se deberá repetir la prueba, calculando un aumento promedio de la PaCO2 de 3 mmHg por minuto en adultos y de 4 mmHg por minuto en niños (en estos últimos, la duración de la prueba será de solo 5 minutos). En los pacientes con neumopatía crónica y retenedores de CO2, para estimular el centro respiratorio se requiere alcanzar niveles más altos de CO2, y que estarán en función de los niveles previos con los que se manejaba el paciente, no existiendo en estos casos recomendaciones precisas para realizar la prueba de apnea. Se ha descrito una prueba de apnea modificada menos complicada y que se efectúa de la siguiente manera: 1. Programar la ventilación mecánica con una FiO2 de 1 y 4 respiraciones por minuto. 2. Realizar una gasometría arterial a los 15 minutos para documentar el de PaCO2. 3. Desconectar al paciente del ventilador mecánico y repetir una gasometría arterial cuando la saturación arterial de O2 sea inferior al 90 %. 4. Si la PaCO2 es superior a 60 mmHg y no se han observado movimientos respiratorios, la prueba de MC es positiva. 48.5 PERIODO DE OBSERVACIÓN E INTERVALO ENTRE LAS PRUEBAS: El periodo de observación tiene como objetivo, confirmar la irreversibilidad del cuadro neurológico que se estudia. En general, los intervalos de tiempo en la evaluación son dispares, así los criterios del Reino Unido y Canadá recomiendan un intervalo muy variable, desde 2 a 24 horas, dejando la elección a criterio médico, según las características clínicas de cada paciente. En el American Collaborative Study se recomienda un intervalo superior a 30 minutos, iniciando la exploración después de un mínimo de 6 horas posteriores al comienzo del coma. En España, el Decreto ley sobre Extracción y Trasplantes de Órganos determina un intervalo de 6 horas entre dos exploraciones después del inicio del coma. Últimamente, la academia americana de neurología recomienda repetir la exploración neurológica a las 6 horas. La Comisión Coordinadora Nacional de Trasplante de Órganos y tejidos de Bolivia recomienda un periodo de observación de por lo menos 6 horas. En los casos de lesión encefálica de tipo anóxica-hipóxica, este intervalo de observación deberá ser de 18 horas. Cuando la encefalopatía anóxica post paro cardiaco es causa de MC, de manera general se recomienda periodos de observación de 24 horas. Según el criterio de D. Escudero Augusto (Medicina intensiva 2000; 24 (3):106-116), el periodo de observación es un problema de “juicio clínico” y que debe ser el médico experto responsable del paciente quien valore cada caso de forma individual. Al mismo tiempo señala que, no puede ser considerado igual un paciente con grave deterioro del SNC y pérdida de masa encefálica producida por arma de fuego, que un paciente con encefalopatía anóxica post paro cardiaco; por lo que considera el periodo de observación de 6 horas un intervalo orientativo, el que podría ser modificado de forma individual teniendo en cuenta la etiología y gravedad de la lesión causante, además se debería valorar de forma conjunta todos los datos clínicos y de monitorización neurológica disponibles. 226
  • 249.
    TERAPIA INTENSIVA Por último, corresponde remarcar que el TIEMPO DE OBSERVACIÓN Y LA REPETICIÓN DE LA EXPLORACIÓN NEUROLÓGICA PASADAS 6 HORAS, SE REFIERE EXCLUSIVAMENTE AL DIAGNÓSTICO DE MUERTE CEREBRAL CLÍNICA. Este tiempo puede reducirse o incluso no ser considerado si se realizan pruebas instrumentales complementarias que demuestren incuestionablemente la ausencia de circulación cerebral. 48.6 EXAMENES COMPLEMENTARIOS : En los casos de duda, pueden complementarse los criterios clínicos anteriormente descritos, con exámenes que certifiquen la ausencia de las actividades bioeléctricas o de la perfusión encefálica. Estos exámenes auxiliares o PRUEBAS CONFIRMATORIAS para determinar la muerte cerebral son : • Electroencefalograma (EEG): en la mayoría de las instituciones de atención de la salud no se requiere un EEG con un silencio eléctrico cerebral (isoeléctrico) como criterio de MC, sin embargo, puede utilizarse como prueba de confirmación. • Angiografía cerebral: en presencia de sustancias tóxicas o agentes sedantes, la irreversibilidad del coma puede no poder determinarse clínicamente. En estos casos, puede utilizarse la angiografía de cuatro vasos para determinar la ausencia de flujo sanguíneo cerebral durante 30 segundos, y así, la naturaleza irreversible del coma, confirmando el diagnóstico de MC. • Estudios radioisotópicos cerebrales: en algunos centros se han utilizado estudios nucleares con Tc 99m hexametazime de la circulación cerebral como prueba de confirmación de MC. • Ecografía Doppler transcraneal: al igual que el anterior, en los centros donde se cuente con este equipo, puede efectuarse este estudio. • Estudio de potenciales evocados: el estudio de potenciales evocados del tronco cerebral es de utilización opcional, como confirmación de la ausencia de actividad del tronco cerebral determinada clínicamente o en las situaciones en que la presencia de lesiones en la cara y el cuello imposibilite la realización del examen clínico. En caso de que las pruebas confirmatorias sean positivas y se demuestre la ausencia de la actividad eléctrica cerebral o de perfusión sanguínea, por cualquiera de los métodos anteriormente indicados, la Comisión Nacional de Trasplantes de Órganos y tejidos de nuestro país recomienda repetir el examen clínico después de 60 minutos. Si al cabo de este tiempo, los hallazgos anteriores se repiten, se puede certificar de inmediato la MC, no siendo necesario repetir ninguna de las observaciones antes mencionadas. 48.7 ACTIVIDAD MOTORA ESPINAL EN LA MUERTE ENCEFÁLICA: La MC conlleva una desconexión aguda de la médula espinal con respecto a todas las estructuras intracraneales, no obstante, puede observarse la recuperación de algunas de sus funciones reflejas automáticas, que no invalidan el diagnóstico de MC. Esta actividad motora de origen medular puede no estar presente, aparecer inmediatamente o evidenciarse varias horas después de haberse efectuado el diagnóstico de MC. La actividad motora de origen medular, tanto refleja como espontánea se observa con relativa frecuencia, por lo que es muy importante saber reconocerla y diferenciarla de las respuestas motoras de origen encefálico, para evitar problemas de interpretación y situaciones que podrían causar dudas en el personal de salud no especialista o en la familia del paciente. 227
  • 250.
    TERAPIA INTENSIVA Dentro la variedad de reflejos de origen medular que pueden observarse en pacientes con MC es muy amplia; entre los más frecuentes se pueden destacar los siguientes: Reflejos cutáneoabdominales, cremasteriano, plantar flexor, reflejo de retirada y reflejos tónicocervicales. En el reflejo cervicoflexor del brazo se observa una contracción de los músculos flexores del brazo que suele separarse unos centímetros de la cama, cuando se realiza una flexión rápida y forzada del cuello; existe también el reflejo cervicoflexor de la cadera y reflejo cervicoabdominal; la respuesta pude disminuir con la repetición del estímulo. Además de los anteriores reflejos de origen medular, también puede observarse otro tipo de actividad motora espontánea, especialmente mioclonías espinales y actividades tónicas en miembros superiores que remedan situaciones posturales más o menos estereotipadas, y en ocasiones con movimientos complejos. Puede también presentarse un movimiento espontáneo de elevación de los miembros superiores, al que Ropper denominó “Signo de Lázaro”, el mismo que aparece durante la realización de la prueba de apnea o cuando se suspenden las medidas de soporte vital y se retira la ventilación mecánica; este signo se debería a la isquemia medular aguda producida por todo esto último. Como variación del signo de Lázaro, en algunas oportunidades se pueden observar movimientos aislados complejos de las extremidades superiores, unas veces en forma espontánea o provocados por flexión del cuello y estímulos nociceptivos o combinados con otros movimientos de flexión del tronco, hasta mantener la sedestación por algunos segundos. Por último, también es posible la aparición de movimientos secuenciales y complejos de los dedos del pie, de forma espontánea o provocados por estímulos nociceptivos, y en alguna oportunidad priapismo. Si los pacientes con MC presentan algún tipo de actividad motora de origen medular, corresponde informar adecuadamente y tranquilizar al personal de salud no especialista, al mismo tiempo, existe la posibilidad de utilizar un relajante muscular antes de que el paciente reciba visita de sus familiares. 48.8 BIBLIOGRAFÍA : • Escudero Augusto D. Diagnóstico clínico de muerte encefálica. Prerrequisitos y exploración neurológica. Med intensiva 2.000; 24 (3): 106-16. • Wijdicks EFM. The Diagnosis of Brain Death. N Engl J Med 2.001; 334, 16: 1215-20. • Wijdicks EFM. Determining brain death in adults. Neurology 1995; 45: 1003-11. • Marino PL. Trastornos de la actividad mental. En: Paul L. Marino. El Libro de la UCI. 2ª. Edición. Editorial Masson-Williams and Wilkins. Barcelona (España) 1998; 860-3. • Wijdicks EFM. The Clinical Practice of Critical Care Neurology. Ed. Lippincott-Raven Publishers. Philadelphia USA 1997; 320-31. • Silverman D, Saunders MG, Schwab RS, Masland RL. Cerebral death and the electroencephalogram: report of the adhoc committee of the American Electroencephalographic Society on EEG Criteria for determination of cerebral death. JAMA 1969; 209: 1505-10. • Fromm RE Jr. Varon J. Trastornos neurológicos. En: Joseph Varon. Cuidados intensivos. Editorial Mosby/Doyma . Madrid (España) 1995; 241-6. • Comisión Coordinadora Nacional de Trasplante de Órganos y Tejidos. Manual de Trasplante. Ministerio de Salud y Previsión Social. La Paz-Bolivia 2001; 42-6. • Hall JB, Fink ME. Coma, estado vegetativo persistente y muerte cerebral. En: Hall, Schmidt, Wood. Cuidados Intensivos. 2a. edición. Editorial Mc Graw-Hill Interamericana. México DF. 2000; 1111-16. 228
  • 251.
    TERAPIA INTENSIVA 49. SCORES DE GRAVEDAD 49.1. PROTOCOLO DE DIAGNÓSTICO DE MUERTE CEREBRAL: INSTITUTO NACIONAL DEL TORAX UNIDAD DE TERAPIA INTENSIVA PROTOCOLODE DIAGNÓSTICO DE MUERTE CEREBRAL (Criterios modificados de la Universidad de Pittsburg y la Escuela Médica de Harvard) Para afirmar que se produjo muerte cerebral, se deben cumplir con los siguientes criterios en dos ocasiones consecutivas, con un mínimo de dos horas entre ambas determinaciones. Nombre ......................................................................... Cama ................................ Apache II ......../.............. Edad ................................ Sexo ............................ 1ª DETERMINACIÓN 2ª DETERMINACIÓN SI NO SI NO PACIENTE HEMODINAMICAMENTE ESTABLE TEMPERATURA CORPORAL SUPERIOR A 34 GRADOS C. EXISTE LESION NEUROLÓGICA NO LOCALIZA EN RESPUESTA A DOLOR NIVEL SÉRICO SUBTERAPÉUTICO DE ETANOL NIVEL SÉRICO SUBTERAPÉUTICO DE FÁRMACOS DEPRESORES DEL SNC POSTURA DE DECORTICACIÓN AUSENTE POSTURA DE DESCEREBRACION AUSENTE ESCALOSFRIOS AUSENTES MOVIMIENTOS ESPONTÁNEOS AUSENTES REFLEJO FOTOMOTOR BILATERAL AUSENTE REFLEJO CORNEAL BILATERAL AUSENTE REFLEJO OCULOVESTIBULAR BILATERAL AUSENTE REFLEJO OCULOCEFALICO AUSENTE ELECTROENCEFALOGRAMA ISOELECTRICO PRUEBA DE APNEA, PERSISTE LA MISMA LUEGO DE 3 MINUTOS DE LA MISMA PRUEBA DE APNEA, CO2 FINAL IGUAL O MAYOR A 60 mmHg. PRUEBA DE APNEA, Pa CO2 SE INCREMENTO MAS DE 2,5 mmHg. POR MINUTO COCIENTE VENO-YUGULAR DE OXIGENO MENOR A 1 (OPCIONAL) FRECUENCIA CARDIACA NO AUMENTA MAS DE 5 LATIDOS/min. LUEGO DE 1 mg. DE ATROPINA IV Fecha y hora primera determinación: Fecha y hora segunda determinación: Diagnostico: ................................................................................................................... Responsables: 229
  • 252.
    TERAPIA INTENSIVA 49.2 APACHE II: INSTITUTO NACIONAL DEL TORAX Fecha Diagnostico de ingreso: UNIDAD DE TERAPIA INTENSIVA Puntaje APACHE II Patología previa: APACHE II Probabilidad mortalidad Edad en años EDAD Mortalidad 1er nive >o = puntos 100% Menor de 44 0 2do nivel 27/34 puntos 89 % 45 a 54 2 3er nivel <de 27 puntos 50 % 55 a 64 3 Probabilidad de fallecer en pacientes quirúrgicos o no quirúrgicos. 65 a 74 5 APCHE II 0/4 5/9 10/14 15/19 20/24 25/29 30/34 >35 Mayor de 75 6 No quirúrgico4 8 15 24 42 54 75 79 Quirúrgico 3 5 7 12 30 38 74 88 PUNTAJE APACHE II: EDAD + APS + ENFERMEDAD CRÓNICA: AL INGRESO Y A LAS 48 HORAS VARIABLES 4 3 2 1 0 1 2 3 4 Presión arterial media >160 130/159 110/129 70/109 50/69 <49 Frecuencia cardiaca >180 140/179 110/139 70/109 55/69 40/54 <39 Frecuencia respiratoria >50 35/49 25/34 12/24 10/11 6/9 <5 G(A-a) sí FiO2 es Mayor a 0.5 >500 350/499 200/349 <200 Pa O2 sí FiO2 Es menor a 0.5 >70 60/70 55/60 <55 PH arterial >7.7 7.6/7.69 7.5/7.59 7.33/7.49 7.25/7.32 7.15/7.24 <7.15 Na sérico mmol litro >180 160/179 155/159 150/154 130/149 120/129 111/119 <110 K sérico mmol litro >7 6/69 5.5/5.9 3.5/5.4 3.0/3.4 2.5/2.9 <2.5 Creatinima sérica* >3.5 2.0/3.4 1.5/1.9 0.6/1.4 <0.6 Hematocrito >60 50/59.9 46/49.9 30/45.9 20/29.9 <20 Leucograma miles >40 20/39.9 15/19.9 3/14.9 1/2.9 <1 Glasgow (15-Glasgow obtenido) Temperatura rectal >41 39/40.9 38.5/38.9 36/38.4 34/35.9 32/33.9 39/31.9 <29.9 TOTAL APS Si hay insuficiencia severa y crónica :hepática ,cardiaca ,renal ,respiratoria o tiene inmunosupresión previa al ingreso entonces añadir : ENFERMEDAD CRÓNICA En pacientes medicos o quirúrgicos en postoperatorio inmediato, de emergencia.....................5 puntos En pacientes postoperatorio de cirugía programada...................................................................2 puntos *En caso de insuficiencia renal aguda se multiplica por 2 el puntaje obtenido en creatinina. 230
  • 253.
    TERAPIA INTENSIVA 50. PARÁMETROS Y FÓRMULAS PARA LA ATENCIÓN CRÍTICA 50.1. PARÁMETROS HEMATIMÉTRICOS NORMALES EN LA ALTURA: LA PAZ (3.600 mSNM) NIVEL DEL MAR 1) SERIE ERITROCITARIA : Sexo masculino (20- 60 años) Sexo masculino Hto. (%) : 50-56 ±2 Hto. 40 -52 (46) Hb. (g/dl) : 16-18 ±1.5 Hb. 13.5-18 (15.8) Eritrocitos : 5.200.000-6.100.000mm3 (±350.000) Eritrocitos : 4.600.000-6.200.000mm3 (5.400.000) Reticulocitos : 60.000-150.000mm3 (± 17.000) Reticulocitos : 0.6- 2,6 % (1,6) (± 17.000) Concentración promedio de Hb corpuscular (g-dl): Concentración promedio de Hb. corpuscular (g/dl): 32-36 (34) Sexo femenino (20 – 50 años) Sexo Masculino Hto. % : 45-51 ± 2,5 Hto. : 36-48 (42) Hb. (g/dl) : 14,5 – 16,5 ± 0,5 Hb. : 12 -16 (14) Eritrocitos (mm3): 4.500.000-5.400.000 Eritrocitos: 4,200,000- 5,400,000 (4.800.000) ±300.000 Reticulocitos (%) : 0,4 – 2,4 (1,4) Reticulocitos (mm3) : 60.000- 110.000 2) SERIE LEUCOCITARIA : - No se encuentra variaciones con lo que se encuentra a nivel del mar. Sexo masculino: 5.650 – 10.000mm3 +-650 4.500 – 11.000mm3(7.400) Formula leucocitaria C S E B L M (%) N : 1,8 – 7,7 (4,4) - 56 3 1 37 E : 0- 0,45 (0,2) B : 0 – 0, 20 (0,04) L : 1 – 4,8 (2,5) M : 0- 0,8 (0,3) Sexo femenino 6.110 – 9.800 mm3 231
  • 254.
    TERAPIA INTENSIVA Fórmula leucocitaria: C S E B L M (%) - 58 3,5 1 34 3 3. SERIE PLAQUETARIA: Sexo masculino: 290,000mm3 +-85.000 150.000 – 350.000mm3 Sexo femenino: 260.000mm3 +- 62.000 4. VALORES PREFERENCIALES DE LA COAGULACIÓN: Tiempo de sangrado: TS : 3,5 – 7,5 min. Retracción del coágulo: Retracción del coágulo : (cualitativo) - Aparente : en 30 – 60 min - Completa en 24 horas - Habitualmente en 6 hrs. Tiempo de coagulación (Lee Whitte) TC (Lee White) - En tubos de vidrio : 5 – 15 min. - En tubos de silicon : 20 - 60min. Tiempo de lisis de euglobina Tiempo de Lisis de euglobina : 120 – 240 min. Factores de coagulación: Factores de coagulación: II, V, VII, VIII, IX, X, XI o XII: 100% o 1U/ml Productos de degradación de la fibrina: Factores de degradación de la fibrina : Menor de 10 mcg/ml o título igual o menor a 1.4 Fibrinógeno: Fibrinógeno: 200 - 400 mg/ml Tiempo parcial de tromboplastina Tiempo parcial de tromboplastina activada Activada: 20 - 40 seg Tiempo de protombina: Tiempo de protrombina: 11-14 seg Tiempo de trombina: Tiempo de trombina: 10 – 15 seg Tiempo de lisis de coágulo de sangre total Tiempo de lisis de coágulo de sangre total Menor: > 24 horas 50.2 PARÁMETROS Y FÓRMULAS EN CUIDADOS INTENSIVOS: Modificado de Kollef M.H. El Manual Washington. 30ma. edición Editorial Masson 2.001 232
  • 255.
    TERAPIA INTENSIVA Parámetros hemodinámicos: Presión arterial sistémica (PAS) 100-140/60-90 mm Hg Presión diferencial (PD)= PAS sistolica – PAS diastólica 30-50 mmHg Presión arterial media (PAM)= [PAS sistólica + (2 x PAS diastólica)]/3 70 – 100 mm Hg Presión auricular derecha (PAD) 0-6 mmHg PAD media 3mm Hg Presión ventricular derecha (PVD) 17-30/0-6 mmHg Presión arterial pulmonar (PAP) 15-30/5-13 mmHg PAP media 10-18 mmHg Presión media de oclusión en la arteria pulmonar (POAP) 2 – 12 mm Hg (es decir, presión capilar pulmonarde enclavamiento (PCPE) Frecuencia cardiaca (FC) 60-100 lat/min Superficie corporal (SC) (en m2) =[talla(cm)]0,718 x [peso (kg) ]0,427 x 0,007449 Volumen sísitolico (VS) 60-120 ml/contracción Índice de volumen sistólico= VS/SC 40-50 ml/contracción/m2 Gasto cardiaco (GC)= SV x FC 3-7 l/min Índice cardiaco = GC/SC 2,5 – 4,5 l/min/m2 Resistencia vascular sistémica 800-1200 din/segcm5 (RVS)=(PAM – PAD media) x 80/GC Resistencia vascular pulmonar 120 -250 din/seg/cm-5 (RVP) = (PAP media - POAP) X 80/GC 50.2.1. VALORES DE LOS GASES SANGUINEOS (3600 msnm): MEDIA SD BAR 511 mmHg 2.29 Hb 15,4 g/dl 1.40 pH 7,36 0,027 PaCO2 28.8 mmHg 3,56 PaO2 55,9 mmHg 8,07 HCO3- 16.5 mmol/l 2,29 SBC 18,6 mmol/L 1,78 TCO2 17,3 mmol/l 2,39 BE -7,1 mmol/l 2,32 SBE -7,5 mmol/l 2,88 BB 40,9 mmol/L 2,49 O2 SAT 86,2% 6,41 O2 CT 18,5 vol% 1,91 AaDO2 7,7 mmHg 7,46 233
  • 256.
    TERAPIA INTENSIVA 50.2.2. ECUACIONESDEL EQUILIBRIO ÁCIDO BÁSICO: - Ecuación de Henderson-Hasselbalch: pH = pK + log ( [HCO3-] / 0,03 Pa CO2) - Ecuación de Henderson-Hasselbalch para la concentración de H+: [H+](nM/l) = 24 x ( Pa CO2 / [ HCO3- ]). - Acidosis Metabólica: - Déficit de Bicarbonato ( mEq / l) = [0,5 x peso corporal (kg)] x (24 - [HCO3-]). - PaCO2 esperada = 1.5 x (HCO3) + 8 ± 2 - Alcalosis metabólica: - Exceso de bicarbonato = [0.4 x peso corporal (kg) ] x ([HCO3-] – 24 ) - PaCO2 esperada = 0,7 x [HCO3-] + 21 ± 1.5 (cuando HCO3 ≤ a 40 mEq/l) - PaCO2 esperada = 0.75 x [HCO3-] + 19 ± 7.5 (cuando [HCO3-] mayor a 40 mEq/l) - Acidosis respiratoria: Aguda _ pH /_ PaCO2 = 0.008 Crónica _ pH/_ PaCO2 = 0.003 - Alcalosis respiratoría: Aguda_ pH/ _ PaCO2 = 0,008 Crónica _ pH/_ PaCO2 = 0,002 50.2.3. TRANSPORTE DE OXÍGENO: - Contenido Arterial de Oxigeno : (CaO2)= 1,39 x SaO2 x Hb + (0,0031 x PaO2 ) 18-21 ml de O2/dl - Contenido de oxígeno en la sangre venosa mezclada (CvO2) = (1.39 x SvO2 x Hb ) + (0,0031 x PvO2) 14.5-15.5 ml de O2/dl - Contenido de Oxígeno capilar (CcapO2 = 1.39 x ScapO2 x Hb x ( 0,0031 x PaO2) (se asume que ScapO2 = 1.00) 21 ml de O2/dl - Diferencia entre el contenido de oxigeno arterial – sangre venosa mezclada (Ca-vO2) 3.5-5.5 ml de O2/dl - Consumo de Oxigeno ( VO2 ) = GC x (Ca – vO2) 200 – 250 ml / min - Entrega de Oxigeno (DO2) = GC x CaO2 1000 ml / min - Cociente o tasa de extracción de Oxigeno = VO2 / DO2 22-32% - Ecuación de Fick: GC = 10 VO2 / [Hb x 1.39 (SaO2-SvO2)] 3-7 l/min 50.2.4. PARÁMETROS RESPIRATORIOS: - Cociente respiratorio(CR) = VCO2/VO2 0,7 – 1.0 - Presión Alveolar de oxigeno (PAO2)=FiO2(Patm - PH20)- PaCO2/CR (ecuación del aire alveolar) - Gradiente de oxigeno alveoloarterial : [P(A- a)O2] Para FiO2 = 21% 5 – 25 mmHg Para FiO2 = 100% <150 mmHg - Cortocircuito fisiologico (Qs/Qt)= (CcapO2)/ (CcapO2- CvO2), donde se asume que ScapO2 es de 1.0 <5% - Ventilación por minuto (VE)= kVCO2/PaCO2 = (0.863 x VCO2)/[PaCO2 (1-Vd/Vt)] 4-6l/min. - Ecuación de Bohr del espacio muerto(Vd/Vt)=(PaCO2-PCO2 espirtorio)/PaCO2 0,2 0,3 - Espacio muerto fisiologico(Vd/Vt)=(PaCO2-PCO2 espiratorio)/PaCO2 0,2 – 0,3 234
  • 257.
    TERAPIA INTENSIVA - Distensibilidad del sistema respiratorio(DSR)durante la ventilación mecánica: DSR estática = Vt/ (VP meseta- PEEP) 70 – 100ml/cmH2O* DSR dinámica = VT/ (P máxima- PEEP) 60 – 100ml/cm H2O .*P meseta se obtiene mediante la inserción de una pausa de 0,3 seg. al final de la inspiración, para obtener un valor de presión en meseta. 235
  • 258.
    TERAPIA INTENSIVA 51. ÍNDICEANALÍTICO A Ch enfermedad severa,1 abdomen, 177 choque, 21, 46, 214 enfermedad terminal, 2 acalasia,70 CHOQUE CARDIOGENICO, 46 Enfermeria, 1 acidosis metabólica,97 Cianosis,65, 67, 75 Enterococcus, 51 Acidosis metabólica,98 circulación mesentérica, 60 Epsilon, 81 Activador tisular de plasminógeno 16, 17, circulación extracorpórea,197 Épsilon aminocaprioco, 81 85 cirrosis hepática, 58, 106 EQUILIBRIO ACIDO-BASE, 97 Adenocarcinoma de pulmón, 83 cirugía vascular periférica, 2 Eritromicina, 55, 74 Adenocarcinoma del tracto gastrointestinal, clamidia, 52 Estatus epiléptico, 125, 212 83 Clobutinol, 81 estenosis, mistral 76 Adrenalina, 27, 38, 77, 203 Clostridium, 51 Estreptoquinasa, 17, 85 aérea vía, 26, 30, 32, 33, 34 Cloxacilina, 55, 74 Estrógenos, 83 alcoholes, 170 Codeina, 81 Etamsilato, 81 aleteo nasal,73, 75 colagenosis, EXTUBACIóN, 93 Aleteo nasal, 73, 75 Coma, 123, 126, 127, 128, 208, 221 F Alimentación duodenal, 164 coma de Pittsburg, 229 Falla respiratoria, 3, 4 alimentación intragastrica, 163 Compliance, 88 Fatiga muscular, 3 Aminofilina, 77 Condensaciones, 71, 73 FENTOLAMINA, 43 Amrinona, 49 Congestión pulmonar, 22 Feocromocitoma, 42, 210 anaerobios, 51, 55 Cornaje, 75 Fibrilación ventricular, 11, 33 Aneurisma, 4, 6, 43 CPAP, 91 Fibrosis quística, 79 Anisocoria, 7 Creatinina, 49, 96 Fogarty, 81 anticonceptivos, 42, 83 crioterapia, fondo de ojo, 42 Apnea, 88, 221, 225 CRISIS HIPERTENSIVA, 42 G arreactividad neurológica, 123 CRISIS Y ESTATUS ASMATICO, 75 Galope por R3, 47 Arritmias, 4, 8, 20, 193 criterios de Admisión, 2 Gasometría, 99 Asistolia, 21, 32 D Gasometria arterial,100, 102, 103 asma bronquial. Véase crisis y estatus D(A-a), 92, 233 Gasometría arterial, 102, 103 asmático 75 derrame pleural, 84 Giba de Hampton, 84 aspiración de LÍQUIDO GÁSTRICO, 70, 71 DHL, 15, 84 Glucemia, 6 asterixis, 100 Diaforesis, 47, 75, 214 H Atelectasia, 71, 187 dicinone, 81 Harris Benedict, 163 ATENCION, proceso 1. Disnea, 65, 67, 71, 75, 83 Hemobilia, 155 B Disociación electromecánica, 29, 34 hemocultivos, 53 barotrauma, 92 Distensión abdominal, 101 Hemograma, 53 Bradiarritmias,20 Dosis de bicarbonato, 39 HEMOPTISIS, 79 BRONCOASPIRACIÓN, 7 0 drogas vasoactivas, 56 Hemoptisis masiva, 79 BRONCOASPIRACIÓN DE LÍQUIDOS E hernia de hiato esofágico, 154 TÓXICOS, 71 Edema agudo pulmonarde altura, 67 hidrocarburos, 70 broncoespasmo, 71 Edema angioneurótico, 76 Hidrocortisona, 78, 85, 203 Broncoespasmo, 71, 75 el médico del servicio tratante., 2 hipercapnia aguda, 65 bronconeumonias, 76 Electrocardiograma, 14, 48, 67, 84 Hipercoagulabilidad, 82 broncoscopía, 80, 81 Electrolíricas, 105 hipertensión arterial secundaria, 42 Bronquiectasias, 79 embolectomía, 85 hipoperfusión, 22, 46, 214 C embolia grasa, 64 Hipoxia aguda, 62, 64, 170, 216 Cánula nasal, 63, 68, 77 Embolia pulmonar, 82, 217 I CAPTOPRIL, 43 ENALAPRILATO, 43 ictericia, 213 Cavitación, 73 Endometriosis, 79 INESTABILIDAD CIRCULATORIA, 1 ceftacidima, 74, 55 enfermedad aguda. Véase 1 Infarto, 14, 123 236
  • 259.
    TERAPIA INTENSIVA Infarto delmiocardio, 14 Oliguria, 47, 95, 190 síndrome urémico, 90 Infarto agudo, 14 Post operados, 1 SRIS, 51 infarto agudo de miocardio. Véase choque oxígeno, 62 Stafilococcus Aureus, 55, 73 cardiogénico 46 Sucralfato, 132 Ingestión de drogas, 154 P Swan-Ganz, 3, 21 Insuficiencia cardiaca congestiva, 19 pacientes inestables, 1 T Insuficiencia renal aguda., 95 PaCO2, 62 taponamiento, 46 Insuficiencia respiratoria, 62 Pancreatitis aguda, 159 Taponamiento cardiaco, 46, 172 Insuficiencia Respiratoria Aguda., 62 PaO2, 62, 64 taquicardia refleja, 44 intoxicación por cianuro, 44 PARÁMETROS OBJETIVOS, 6 TGO, 15 Intubación endotraqueal selectiva, 81 Paro Cardiaco., 26 Tienda facial, 63 intubar, 63, 68 Patología Primaria irreversible, 2 tiramina, 42 IRA intrínseca, 95 PEEP, 88, 89, 91 Tiroides, 150 IRA post renal, 95 pérdida del reflejo nauseoso, 2 tobramicina, 162 isquemia, 60 placa ateroesclerótica, 60 Traqueomalasia, 2 Isquemia Mesentérica, 60 prerenal, 95 traqueostomía, 63 J Presión intracraneal, 130 TROMBOEMBOLISMO PULMONAR, 82 Jefaturas, 1 PRESION POSITIVA AL FINAL DE LA Tuberculosis, 51, 76, 79 K ESPIIRACION (PEEP, 91 U Klebsiella, 55 PRESIÓN POSITIVA CONTÍNUA DE LA VÍA Urografía excretora., 179 L AÉREA (CPAP, 89,91 Uroquinasa, 85 La neumonía intrahospitalaria, 73 PRIORIZACIÓN, 1 V LABETALOL, 43, 211 proteínas, 73 Vasoespasmo cerebral., 133 Leucocitosis, 73 pseudomona, 51, 73 VENTILACIÓN ASISTIDA CONTROLADA M psitacosis, (AC, 89, 90 médico de turno, 1 PTTa, 199 VENTILACIÓN CON PRESIÓN DE SOPORTE Miastenia gravis, 76 puestos, 1 (PSV), 89, 90 Micoplasma, 52, 73, 159 Pulso paradógico, 75 VENTILACIÓN CONTROLADA POR monitoreo invasivo, 1 Q PRESIÓN (PCV), 89, 90 mucovisidosis, 75 Quiste hidatídico, 79 VENTILACION MANDATORIA. muerte cerecral, 221 R INTERMITENTE (IMV), 89. 90 N reflejo de la tos, 70, 2201, 222, 223 Ventilación mecánica CONTROLADA (CMV), Necrosis, 71 reflejos, 70 89, 90 neoplásicas, 76 Reflujo gastroesofágico, 76 VENTILACION MIECANICA, 88 neumoconiosis, 76 respiración paradojal, 172 Ventilación/Perfusión, 84 Neumonía bacteriana, 73 Roncus y sibilancias, 75 Ventimask, 63 Neumonía lipoidea exógena, 70 Rotura de aneurisma, 47 vigilancia, 1 neumonías bacterianas, 73 S NEUMONIAS EN CUIDADOS INTENSIVOS, salbutamol, 77 73 SDRA, 64, 219 Neumonitis, 71 sed de aire, 95 neumoperitoneo, 179 Semiahogamiento, 70 neutrofilia, 73 semisentada, posición 101 NIFEDIPINO, 43, 211 SEPSIS. Véase shock séptico 51 Nitrogeno ureico, 96 shock, 51 NITROGLICERINA, 43, 44 Shock cardiogénico, 46 NITROPRUSIATO, 43, 44 Shock séptico, 51 NITROPRUSIATO DE SODIO, 43, 44, 211 SHOCK SÉPTICO, 51 Nutrición enteral., 135, 163 Signo de Westermark, 84 Nutrición parenteral, 161 Sindrome carcinoide, 76 O SINDROME DE DISTRÉS RESPIRATRIO, 64 ocupante de espacio, 28 Síndrome de Mendelsón, 70 237