Trabajo  y energía
C 5 TRABAJO Y ENERGÍA MECÁNICA   Trabajo de una fuerza constante y de una fuerza variable.  Teorema del trabajo y la energía cinética. Potencia.  Sears, Física Universitaria
¿ Físicamente en qué se diferencian o asemejan ambas realizaciones? V 0  = 0 V = 0 V 0  = 0  t = s / V V = 0  t = h / V
Energía Medida cuantitativa del movimiento en todas sus formas.
Trabajo Medida cuantitativa de la transferencia de movimiento ordenado de un cuerpo a otro mediante la acción de una fuerza Cambio de posición, desplazamiento Relación geométrica entre el desplazamiento y la fuerza
Trabajo de una fuerza 1 2
En los tramos donde cita  < 9 0 o  el trabajo es motor En los tramos donde cita  >   9 0 o  el trabajo es resistivo En los tramos en que cita = 90 el trabajo es nulo El trabajo es un escalar Escalar [J]
Trabajo realizado por una fuerza constantee
X 1 X2 X ¿CUÁL SERA EL TRABAJO EFECTUADO POR LA FUERZA F? F X  =  X 2   -  X 1
Fuerza constante y desplazamiento rectilíneo mov  x F
F ES UNA FUERZA CONSTANTE W  =  F  X  COS
Trayectoria   RECTILÍNEA   y F  es   una   FUERZA CONSTANTE
EL TRABAJO REALIZADO POR UNA   FUERZA CONSTANTE   ES IGUAL AL PRODUCTO DE LA COMPONENTE DE LA FUERZA A LO LARGO DE LA DIRECCION DEL DESPLAZAMIENTO POR EL DESPLAZAMIENTO EL TRABAJO REALIZADO POR UNA   FUERZA CONSTANTE   ES IGUAL AL PRODUCTO ESCALAR DEL VECTOR FUERZA POR EL DEZPLAZAMIENTO
X 1 X 2 W X(m)
EN TODA GRAFICA  FUERZA  vs  DESPLAZAMIENTO   EL AREA BAJO LA CURVA NOS DA ELTRABAJO REALIZADO POR LA FUERZA PARALELA AL DEZPLAZAMIENTO
 0 <   <  /2 Como  Entonces el trabajo es positivo cos     > 0 F  X
   =   /2 Como  Entonces las fuerzas perpendiculares al desplazamiento no realizan trabajo cos     = 0 F  X
    /2 <   <  Como  Entonces el trabajo es negativo cos    <0 F  X
T ds W T = 0 W N = 0 mov  x N Fg W Fg = 0 W Fr <  0 Fr mov  x  Fg W Fg  > 0 N W N = 0
Ejemplo 1: Una masa m unida a una cuerda se encuentra girando en un plano Horizontal con una rapidez constante de 40m/s, hallar el trabajo efectuado por la cuerda, en una vuelta completa R
Ejemplo 2: en el sistema mostrado determinese el trabajo realizado por cada una de las fuerzas que actúa sobre m (   =53) 37   F = 100N    = 0,5
F Diagrama de cuerpo libre de m: mg = 100N N Fr   Y X 
FUERZA VARIABLE , Desplazamiento  rectilíneo   F F x W  =  F x X i i i
Área neta bajo la curva W
Un cuerpo se mueve desde  x= 0 hasta x = 6, bajo la acción de una fuerza tal como se indica , hallar el trabajo realizado 5 6 X(m) F x (N)
Expresión general  para el trabajo F r C F : Fuerza C : trayectoria
Esta es la llamada integral de línea W  =   F.dr =   ( F x  dx +F y dy + F z dz)   donde:F x , F y , F z : componentes de  F y además la curva C está definida a través de:  y =f(x),  z =f(x) C C El  trabajo efectuado por F   cuando el cuerpo se mueve  a  través de la curva  C  esta dada por la  expresión  :
En sistema mostrado determínese  el trabajo efectuado por la fuerza a a través del camino   a) C1  b) C2 y x 10 5
El trabajo es una magnitud aditiva 1 2 C F i F R © © ©
Problema Se arrastra una caja por un piso áspero aplicando una fuerza constante de magnitud 50N. La fuerza forma un ángulo de 37 o  arriba de la horizontal . Una fuerza de rozamiento de 10 N retarda el movimiento y  la caja se desplaza una distancia de 3m hacia la derecha  a) calculese el trabajo realizado por F  b) el trabajo realizado por la fricción  c) el trabajo, neto efectuado sobre la caja por todas las fuerzas que actúan sobre ella
Problema Una partícula que se mueve en el plano xy experimenta un desplazamiento: s  = ( 2 i  +3 j ) [m] según una trayectoria rectilínea. Mientras que una fuerza constante dada por  F  = ( 5 i  +3 j ) [N] actúa sobre ella. a) calcúlese la magnitud el desplazamiento y de la fuerza b) el trabajo realizado por F c) el ángulo que la fuerza forma con el desplazamiento
Potencia:  trabajo realizado por una fuerza, por unidad de tiempo [W] Se define  como el trabajo efectuado por unidad de  tiempo P  =   W/  t  :  Potencia  Promedio P = lim     W/  t  =  dW/dt     t    0 dW = F.dr entonces la potencia instantánea también se puede expresar como: P  = F.dr/dt = F.V Donde V es la velocidad  instantánea
Problema: Un elevador tiene una masa de 1000Kg y lleva una carga de 800Kg. Una fuerza de rozamiento constante de 4000N retarda su  movimiento hacia arriba.  a) cual debe ser la potencia que debe entregar el motor para levantar el elevador a una rapidez constante de 3m/s? b) que potencia debe entregar el motor en cualquier instante para proporcionar una aceleración hacia arriba de  1m/s 2 ?
Motor T Mg f
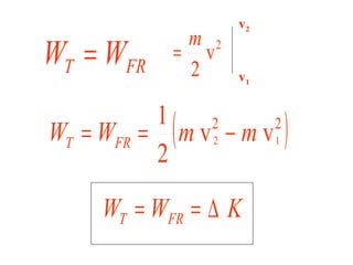
Teorema del W y la Energía cinética © © © © © v 1 v 2
v 1 v 2
Se define la energía cinética como : K= mV 2 /2 C omo la energía asociada  al Movimiento mecánico de un cuerpo, luego: E l  trabajo efectuado por la fuerza resultante   o el  trabajo total  es igual al cambio en la  energía cinética de la particula
Ejemplo 1: Un automóvil que viaja  a 48Km/h , se puede detener en una distancia mínima de 40 m al aplicar los frenos . Si el mismo auto se encuentra viajando a 96Km/h, Cual es la distancia mínima para detenerse? V i d V f  =0

Trabajo energia[1]

  • 1.
    Trabajo yenergía
  • 2.
    C 5 TRABAJOY ENERGÍA MECÁNICA Trabajo de una fuerza constante y de una fuerza variable. Teorema del trabajo y la energía cinética. Potencia. Sears, Física Universitaria
  • 3.
    ¿ Físicamente enqué se diferencian o asemejan ambas realizaciones? V 0 = 0 V = 0 V 0 = 0  t = s / V V = 0  t = h / V
  • 4.
    Energía Medida cuantitativadel movimiento en todas sus formas.
  • 5.
    Trabajo Medida cuantitativade la transferencia de movimiento ordenado de un cuerpo a otro mediante la acción de una fuerza Cambio de posición, desplazamiento Relación geométrica entre el desplazamiento y la fuerza
  • 6.
    Trabajo de unafuerza 1 2
  • 7.
    En los tramosdonde cita < 9 0 o el trabajo es motor En los tramos donde cita > 9 0 o el trabajo es resistivo En los tramos en que cita = 90 el trabajo es nulo El trabajo es un escalar Escalar [J]
  • 8.
    Trabajo realizado poruna fuerza constantee
  • 9.
    X 1 X2X ¿CUÁL SERA EL TRABAJO EFECTUADO POR LA FUERZA F? F X = X 2 - X 1
  • 10.
    Fuerza constante ydesplazamiento rectilíneo mov  x F
  • 11.
    F ES UNAFUERZA CONSTANTE W = F X COS
  • 12.
    Trayectoria RECTILÍNEA y F es una FUERZA CONSTANTE
  • 13.
    EL TRABAJO REALIZADOPOR UNA FUERZA CONSTANTE ES IGUAL AL PRODUCTO DE LA COMPONENTE DE LA FUERZA A LO LARGO DE LA DIRECCION DEL DESPLAZAMIENTO POR EL DESPLAZAMIENTO EL TRABAJO REALIZADO POR UNA FUERZA CONSTANTE ES IGUAL AL PRODUCTO ESCALAR DEL VECTOR FUERZA POR EL DEZPLAZAMIENTO
  • 14.
    X 1 X2 W X(m)
  • 15.
    EN TODA GRAFICA FUERZA vs DESPLAZAMIENTO EL AREA BAJO LA CURVA NOS DA ELTRABAJO REALIZADO POR LA FUERZA PARALELA AL DEZPLAZAMIENTO
  • 16.
     0 < <  /2 Como Entonces el trabajo es positivo cos  > 0 F  X
  • 17.
    =  /2 Como Entonces las fuerzas perpendiculares al desplazamiento no realizan trabajo cos  = 0 F  X
  • 18.
     /2 <  <  Como Entonces el trabajo es negativo cos  <0 F  X
  • 19.
    T ds WT = 0 W N = 0 mov  x N Fg W Fg = 0 W Fr < 0 Fr mov  x  Fg W Fg > 0 N W N = 0
  • 20.
    Ejemplo 1: Unamasa m unida a una cuerda se encuentra girando en un plano Horizontal con una rapidez constante de 40m/s, hallar el trabajo efectuado por la cuerda, en una vuelta completa R
  • 21.
    Ejemplo 2: enel sistema mostrado determinese el trabajo realizado por cada una de las fuerzas que actúa sobre m (  =53) 37  F = 100N  = 0,5
  • 22.
    F Diagrama decuerpo libre de m: mg = 100N N Fr   Y X 
  • 23.
    FUERZA VARIABLE ,Desplazamiento rectilíneo F F x W = F x X i i i
  • 24.
    Área neta bajola curva W
  • 25.
    Un cuerpo semueve desde x= 0 hasta x = 6, bajo la acción de una fuerza tal como se indica , hallar el trabajo realizado 5 6 X(m) F x (N)
  • 26.
    Expresión general para el trabajo F r C F : Fuerza C : trayectoria
  • 27.
    Esta es lallamada integral de línea W =  F.dr =  ( F x dx +F y dy + F z dz) donde:F x , F y , F z : componentes de F y además la curva C está definida a través de: y =f(x), z =f(x) C C El trabajo efectuado por F cuando el cuerpo se mueve a través de la curva C esta dada por la expresión :
  • 28.
    En sistema mostradodetermínese el trabajo efectuado por la fuerza a a través del camino a) C1 b) C2 y x 10 5
  • 29.
    El trabajo esuna magnitud aditiva 1 2 C F i F R © © ©
  • 30.
    Problema Se arrastrauna caja por un piso áspero aplicando una fuerza constante de magnitud 50N. La fuerza forma un ángulo de 37 o arriba de la horizontal . Una fuerza de rozamiento de 10 N retarda el movimiento y la caja se desplaza una distancia de 3m hacia la derecha a) calculese el trabajo realizado por F b) el trabajo realizado por la fricción c) el trabajo, neto efectuado sobre la caja por todas las fuerzas que actúan sobre ella
  • 31.
    Problema Una partículaque se mueve en el plano xy experimenta un desplazamiento: s = ( 2 i +3 j ) [m] según una trayectoria rectilínea. Mientras que una fuerza constante dada por F = ( 5 i +3 j ) [N] actúa sobre ella. a) calcúlese la magnitud el desplazamiento y de la fuerza b) el trabajo realizado por F c) el ángulo que la fuerza forma con el desplazamiento
  • 32.
    Potencia: trabajorealizado por una fuerza, por unidad de tiempo [W] Se define como el trabajo efectuado por unidad de tiempo P =  W/  t : Potencia Promedio P = lim   W/  t = dW/dt   t  0 dW = F.dr entonces la potencia instantánea también se puede expresar como: P = F.dr/dt = F.V Donde V es la velocidad instantánea
  • 33.
    Problema: Un elevadortiene una masa de 1000Kg y lleva una carga de 800Kg. Una fuerza de rozamiento constante de 4000N retarda su movimiento hacia arriba. a) cual debe ser la potencia que debe entregar el motor para levantar el elevador a una rapidez constante de 3m/s? b) que potencia debe entregar el motor en cualquier instante para proporcionar una aceleración hacia arriba de 1m/s 2 ?
  • 34.
  • 35.
    Teorema del Wy la Energía cinética © © © © © v 1 v 2
  • 36.
  • 37.
    Se define laenergía cinética como : K= mV 2 /2 C omo la energía asociada al Movimiento mecánico de un cuerpo, luego: E l trabajo efectuado por la fuerza resultante o el trabajo total es igual al cambio en la energía cinética de la particula
  • 38.
    Ejemplo 1: Unautomóvil que viaja a 48Km/h , se puede detener en una distancia mínima de 40 m al aplicar los frenos . Si el mismo auto se encuentra viajando a 96Km/h, Cual es la distancia mínima para detenerse? V i d V f =0