Explotación del Gas y 
Optimización de la 
Producción
Análisis nodal 
El análisis nodal esta definido como la segmentación de 
un sistema de producción en puntos o nodos, en los 
cuales se producen cambios de presión. 
Los nodos están definidos por diferentes ecuaciones o 
correlaciones. 
Su objetivo principal, es el de diagnosticar el 
comportamiento de un pozo, optimizando la producción, 
variando parametros
Análisis nodal 
El análisis nodal es presentado para evaluar efectivamente 
un sistema completo de producción, considerando todos 
los componentes del sistema como : 
Presión de reservorio Hasta Presión el separador, 
incluyendo el flujo a través del medio poroso, flujo a través 
de las perforaciones de terminación, flujo a través de la 
tubería de producción con posibles restricciones de fondo 
, flujo por la línea horizontal pasando a través del 
estrangulador en superficie hacia el separador
El Sistema de producción y sus componentes 
El sistema de producción está formado por el 
yacimiento, la competición, el pozo y las líneas de flujo 
en la superficie. 
El yacimiento es una o varias unidades de flujo del 
subsuelo creadas e interconectadas por la naturaleza, 
La completación (perforaciones ó cañoneo), 
El pozo y 
Las facilidades de superficie es infraestructura 
construida para la extracción, control, medición, 
tratamiento y transporte de los fluidos hidrocarburos 
extraídos de los yacimientos.
Proceso de producción 
El proceso de producción en un pozo comprende el 
recorrido de los fluidos desde el radio externo de 
drenaje en el yacimiento hasta el separador de 
producción en la estación de flujo. En la figura se 
muestra el sistema completo con cuatro componentes 
claramente identificados: Yacimiento, Completación, 
Pozo, y Línea de Flujo Superficial. 
Existe una presión de partida de los fluidos en dicho 
proceso que es la presión estática del yacimiento, Pws, 
y una presión final o de entrega que es la presión del 
separador en la estación de flujo, Psep.
Transporte en el yacimiento: 
El movimiento de los fluidos comienza en el yacimiento a 
una distancia re del pozo donde la presión es Pws, viaja a 
través del medio poroso hasta llegar a la cara de la arena 
o radio del pozo, rw, donde la presión es Pwfs. 
En este nodo el fluido pierde energía en la medida que el 
medio sea de baja capacidad de flujo (Ko.h), presente 
restricciones en la cercanías del hoyo (daño, S) y el fluido 
ofrezca resistencia al flujo (μo). Mientras mas grande sea 
el pozo mayor será el área de comunicación entre el 
yacimiento y el pozo aumentando el índice de 
productividad del pozo. La perforación de pozos 
horizontales aumenta sustancialmente el índice de 
productividad del pozo.
Transporte en las perforaciones: 
Los fluidos aportados por el yacimiento atraviesan la 
completación que puede ser un revestidor de producción 
cementado y perforado, normalmente utilizado en 
formaciones consolidadas, o un empaque con grava, 
normalmente utilizado en formaciones poco consolidadas 
para el control de arena. En el primer caso la pérdida de 
energía se debe a la sobre compactación o trituración de 
la zona alrededor del túnel perforado y a la longitud de 
penetración de la perforación; en el segundo caso la 
perdida de energía se debe a la poca área expuesta a 
flujo. 
Al atravesar la completación los fluidos entran al fondo del 
pozo con una presión Pwf.
Transporte en el pozo: 
Ya dentro del pozo los fluidos ascienden a través de 
la tubería de producción venciendo la fuerza de 
gravedad y la fricción con las paredes internas de la 
tubería. Llegan al cabezal del pozo con una presión 
Pwh.
Transporte en la línea de flujo superficial: 
Al salir del pozo si existe un reductor de flujo en el cabezal 
ocurre una caída brusca de presión que dependerá 
fuertemente del diámetro del orificio del reductor, a la 
descarga del reductor la presión es la presión de la línea 
de flujo, Plf, luego atraviesa la línea de flujo superficial 
llegando al separador en la estación de flujo, con una 
presión igual a la presión del separador Psep, donde se 
separa la mayor parte del gas del petróleo.
Capacidad de producción del sistema. 
La perdida de energía en forma de presión a través de 
cada componente, depende de las características de 
los fluidos producidos y, especialmente, del caudal de 
flujo transportado, de tal manera que la capacidad de 
producción del sistema responde a un balance entre la 
capacidad de aporte de energía del yacimiento y la 
demanda de energía de la instalación para transportar 
los fluidos hasta la superficie.
La suma de las pérdidas de energía en forma de presión de 
cada componente es igual a la pérdida total, es decir, a la 
diferencia entre la presión de partida, Pws, y la presión 
final, Psep: 
Pws – Psep = ΔPy + Δ Pc + Δ Pp + Δ Pl 
Donde: 
Δ Py = Pws – Pwfs = Caída de presión en el yacimiento, (IPR). 
Δ Pc = Pwfs- Pwf = Caída de presión en la completación, 
Δ Pp = Pwf-Pwh = Caída de presión en el pozo. (FMT vertical). 
Δ Pl = Pwh – Psep = Caída de presión en la línea de flujo. (FMT 
horizontal)
Tradicionalmente el balance de energía se realiza en el 
fondo del pozo, pero la disponibilidad actual de 
simuladores del proceso de producción permite establecer 
dicho balance en otros puntos (nodos) de la trayectoria del 
proceso de producción: cabezal del pozo, separador, etc. 
Para realizar el balance de energía en el nodo se asumen 
convenientemente varias tasas de flujo y para cada una 
de ellas, se determina la presión con la cual el yacimiento 
entrega dicho caudal de flujo al nodo, y la presión 
requerida en la salida del nodo para transportar y entregar 
dicho caudal en el separador con una presión remanente 
igual a Psep.
Por ejemplo, sí el nodo esta en el fondo del pozo: 
Presión de llegada al nodo: Pwf (oferta) = Pws - Δ Py – ΔPc 
Presión de salida del nodo: Pwf (demanda)= Psep + Δ Pl + Δ Pp
En cambio, si el nodo esta en el cabezal del pozo: 
Presión de llegada al nodo: Pwh (oferta) = Pws – Δpy – Δpc - Δ Pp 
Presión de salida del nodo: Pwh (demanda) = Psep + Δ Pl
La representación gráfica de la presión de llegada de los 
fluidos al nodo en función del caudal o tasa de 
producción se denomina Curva de Oferta de energía 
del yacimiento (Inflow Curve), y la representación 
gráfica de la presión requerida a la salida del nodo en 
función del caudal de producción se denomina Curva 
de Demanda de energía de la instalación (Outflow 
Curve). 
Si se elige el fondo del pozo como el nodo, la curva de 
oferta es la IPR (“Inflow Performance Relationships”) y 
la de demanda es la VLP (“Vertical Lift Performance”)
El balance de energía entre la oferta y la demanda puede 
obtenerse numérica o gráficamente. 
Para realizarlo numéricamente consiste en asumir varias 
tasas de producción y calcular la presión de oferta y 
demanda en el respectivo nodo hasta que ambas 
presiones se igualen, el ensayo y error es necesario ya 
que no se puede resolver analíticamente por la 
complejidad de las formulas involucradas en el calculo de 
las ΔP’s en función del caudal de producción
Para obtener la curva de oferta en el fondo del pozo es 
necesario disponer de un modelo matemático que 
describa el comportamiento de afluencia de la arena 
productora, ello permitirá computar Δ Py y 
adicionalmente se requiere un modelo matemático para 
estimar la caída de presión a través del cañoneo o 
perforaciones (Δ Pc) y para obtener la curva de 
demanda en el fondo del pozo es necesario disponer 
de correlaciones de flujo multifásico en tuberías que 
permitan predecir aceptablemente Δ Pl y Δ Pp.
- Optimización Global del Sistema 
Una de las principales aplicaciones de los simuladores 
del proceso de producción es optimizar globalmente 
el sistema lo cual consiste en eliminar o minimizar 
las restricciones al flujo tanto en superficie como en 
el subsuelo, para ello es necesario la realización de 
múltiples balances con diferentes valores de las 
variables más importantes que intervienen en el 
proceso, para luego, cuantificar el impacto que 
dicha variable tiene sobre la capacidad de 
producción del sistema.
Para este análisis de sensibilidad la selección de la 
posición del nodo es importante ya que a pesar de que 
la misma no modifica la capacidad de producción del 
sistema, si interviene en el tiempo de ejecución del 
simulador. 
El nodo debe colocarse justamente antes (extremo 
aguas arriba) o después (extremo aguas abajo) del 
componente donde se modifica la variable. Por ejemplo, 
si se desea estudiar el efecto que tiene el diámetro de la 
línea de flujo sobre la producción del pozo, es más 
conveniente colocar el nodo en el cabezal o en el 
separador que en el fondo del pozo.
Cuando existe una tasa de producción donde la energía 
con la cual el yacimiento oferta los fluidos, en el nodo, es 
igual a la energía demandada por la instalación 
(separador y conjunto de tuberías: línea y tubería de 
producción) sin necesidad de utilizar fuentes externas de 
energía en el pozo, se dice entonces que el pozo es 
capaz de producir por FLUJO NATURAL. A través del 
tiempo, en yacimientos con empuje hidráulico, los pozos 
comienzan a producir con altos cortes de agua la columna 
de fluido se hará mas pesada y el pozo podría dejar de 
producir. Similarmente, en yacimientos volumétricos con 
empuje por gas en solución, la energía del yacimiento 
declinará en la medida en que no se reemplacen los 
fluidos extraídos trayendo como consecuencia el cese de 
la producción por flujo natural.
Cuando cesa la producción del pozo por flujo 
natural, se requiere el uso de una fuente externa 
de energía para lograr conciliar la oferta con la 
demanda; la utilización de esta fuente externa de 
energía en el pozo con fines de levantar los fluidos 
desde el fondo del pozo hasta el separador es lo 
que se denomina método de LEVANTAMIENTO 
ARTIFICIAL.
El objetivo de los métodos de Levantamiento Artificial 
es minimizar los requerimientos de energía en la cara 
de la arena productora con el objeto de maximizar el 
diferencial de presión a través del yacimiento y 
provocar, de esta manera, la mayor afluencia de 
fluidos sin que generen problemas de producción: 
migración de finos, arenamiento, conificación de 
agua ó gas, etc.
Comportamiento de afluencia de formaciones 
productoras 
Flujo de fluidos en el yacimiento. Estados de flujo. 
La simulación del flujo de fluidos en el yacimiento debe 
considerar : 
- La composición de los fluidos presentes, 
-Las condiciones de presión y temperatura para 
establecer -si existe flujo simultáneo de petróleo, agua 
y gas, 
- Las heterogeneidades del yacimiento, etc.
Para describir el flujo de fluidos en el yacimiento a 
través del tiempo, se debe utilizar el modelaje 
matemático de yacimientos y las soluciones numéricas 
de la ecuación de difusividad obtenidas con los 
simuladores comerciales (Familia Eclipse, por ejemplo). 
La capacidad de aporte del yacimiento hacia el pozo se 
cuantifica a través de modelos matemáticos 
simplificados como por ejemplo: la ecuación de Vogel, 
Fetckovich, Jones Blount & Glace, etc.
Área de drenaje 
Se considera el flujo en la región del yacimiento 
drenada por el pozo, comúnmente conocida como 
volumen de drenaje. 
Asumiendo 
- homogéneo 
-Espesor constante (h) 
por lo que en lo sucesivo se hablará de área de 
drenaje del yacimiento.
Un yacimiento está definido, como una trampa donde 
se encuentra contenido el petróleo, el gas, o ambas 
como mezclas complejas de compuestos, como un solo 
sistema hidráulico conectado cuyas características no 
solo depende de la composición sino también de la 
presión y temperatura a la que se encuentra. 
Muchos de los yacimientos de hidrocarburos se hallan 
conectados hidráulicamente a rocas llenas de agua, 
denominadas acuíferos, como también muchos de 
estos yacimientos se hallan localizados en grandes 
cuencas sedimentarias y comparten un acuífero común.
La temperatura de un reservorio es determinada por la 
profundidad y el comportamiento del fluido en un 
reservorio es determinado por su composición relación 
PVT. 
En un reservorio se tiene diferentes clases de fluido. 
Las temperaturas críticas de los hidrocarburos más 
pesados son más elevadas que los componentes 
livianos. 
De allí la temperatura crítica de la mezcla de un 
hidrocarburo predominantemente compuesto por 
componentes pesado, es más alta que el rango normal 
de temperatura en el reservorio.
Cuando la presión de reservorio cae por debajo del punto 
de saturación, el diagrama de fase del fluido original no 
es representativo, ya que el gas y líquido son producidos 
a razones diferentes a la combinación original, resultando 
un cambio en la composición del fluido. 
La segregación gravitacional de las dos fases con 
diferentes densidades también podría inhibir el contacto 
entre las dos fases previendo el equilibrio en el 
reservorio.
Los reservorios de hidrocarburos son clasificados de 
acuerdo a: 
• La composición de la mezcla de hidrocarburos en el 
reservorio. 
• La presión y temperatura inicial del reservorio. 
• La presión y temperatura de producción en 
superficie. 
El comportamiento termodinámico de una mezcla 
natural de hidrocarburos, puede ser utilizado para 
propósitos de clasificación, tomando como base del 
diagrama del comportamiento de las fases.
Un típico diagrama de Temperatura y Presión es 
utilizado para: 
Clasificar los reservorios. 
Clasificar naturalmente el sistema de hidrocarburos. 
Describir el comportamiento de fases del fluido.
La curva llamada envolvente de fases, que resulta de unir 
las curvas de punto de burbuja y punto de rocío que 
muestra la mezcla para diferentes temperaturas; 
curvas que se unen en el punto denominado crítico. 
La envolvente de fases divide el diagrama en tres 
regiones, 
-1ra región de líquidos, está situada fuera de la fase 
envolvente y a la izquierda de la isoterma crítica. 
-2da región de gases, se encuentra fuera de la fase 
envolvente y esta a la derecha de la isoterma crítica; 
-3ra región, encerrada por la fase envolvente, se conoce 
como región de dos fases
La 3ra región, se conoce como región de dos fases, en 
esta región, se encuentran todas las combinaciones de 
temperatura y presión en que la mezcla de 
hidrocarburo puede permanecer en dos fases en 
equilibrio, existiendo dentro de ella, las llamadas curvas 
de calidad, que indican un porcentaje de total de 
hidrocarburo que se encuentra en estado líquido y 
gaseoso. 
Todas estas curvas inciden en un punto crítico. Se 
distinguen, además, en el mismo diagrama, la 
cricondentérmica y la cricondenbárica, las cuales son la 
temperatura y la presión máximas, respectivamente, 
que en la mezcla de hidrocarburos pueden permanecer 
en dos fases en equilibrioi.
Conceptos básicos 
- Propiedades intensivas.- 
- Punto Crítico 
-Curva de Burbujeo (ebullición) . 
-Curva de rocío (condensación ) 
-Región de dos fases 
-Cricondenbar 
-Cricondenterma 
-Zona de Condensación Retrógrada 
-Saturación crítica de un Fluido
Propiedades intensivas.- Denominados a aquellas que 
son independientes de la cantidad de materia 
considerada como ser: la viscosidad, densidad, 
temperatura, etc. función principal de las propiedades 
físicas de los líquidos. 
Punto Crítico.- Es el estado a condición de presión y 
temperatura para el cual las propiedades intensivas de 
las fases líquidas y gaseosas son idénticas, donde cuya 
correspondencia es la presión y temperatura crítica.
Curva de Burbujeo (ebullición) .- 
Es el lugar geométrico de los puntos, presión 
temperatura, para los cuales se forma la primera 
burbuja de gas, al pasar de la fase líquida a la región de 
dos fases, siendo este estado el equilibrio de un sistema 
compuesto de petróleo crudo y gas, en la cual el 
petróleo ocupa prácticamente todo el sistema excepto 
en una cantidad infinitesimal de gas. 
El yacimiento de punto de burbujeo se considera 
cuando la temperatura normal está debajo de la 
temperatura crítica, ocurriendo también que a la bajada 
de la presión alcanzará el punto de burbujeo.
Curva de rocío (condensación) .- 
Es el lugar geométrico de los puntos, presión – 
temperatura, en los cuales se forma la primera gota de 
líquido, al pasar de la región de vapor a la región de las dos 
fases. El punto de rocío es análogo al punto de burbuja, 
siendo el estado en equilibrio de un sistema que está 
compuesto de petróleo y gas, lugar en la cual el gas ocupa 
prácticamente todo el sistema dando excepción a 
cantidades infinitesimales de petróleo. 
Región de dos fases.- Es la región comprendida entre las 
curvas de burbujeo y rocío (cricondenbara y 
cricondenterma). En esta región coexisten en equilibrio, las 
fases líquida y gaseosa.
Cricondenbar .- 
Es la máxima presión a la cual pueden coexistir en 
equilibrio un líquido y su vapor. 
Cricondenterma .- 
Es la máxima temperatura a la cual pueden coexistir 
en equilibrio un líquido y su vapor. 
Zona de Condensación Retrógrada .- 
Es aquella cuya zona está comprendida entre los 
puntos de las curvas cricondenbar y cricondenterma 
(punto crítico y punto de rocío), y que a la reducción 
de presión, a temperatura constante, ocurre una 
condensación.
Clasificación de los reservorios 
El estado físico de un fluido de yacimiento generalmente 
varía con la presión, pues la temperatura es 
esencialmente constante. 
Es práctica común clasificar a los yacimientos de acuerdo 
a las características de los hidrocarburos producidos y a 
las condiciones bajo las cuales se presenta su 
acumulación en el subsuelo. Así, tomando en cuenta las 
características de los fluidos producidos, se tienen 
reservorios de: 
• Reservorio de Petróleo 
• Reservorio de Gas
Reservorio de Petróleo 
Cuando la temperatura del reservorio T es menor que la 
temperatura crítica Tc del fluido del reservorio, 
El reservorio es clasificado como reservorio de petróleo. 
Dependiendo de la presión inicial del reservorio, los 
reservorios de petróleo pueden ser sub clasificados en 
las siguientes categorías: 
Reservorio de Petróleo Sub saturado 
Reservorio de Petróleo Saturado 
Reservorio con Capa de Gas
Reservorio de Petróleo Sub saturado Si la presión inicial 
del reservorio Pi, es mayor a la presión de burbuja (punto 1), 
la cual es mayor que la presión del punto de burbuja, Pb, y la 
temperatura esta por bajo de la temperatura critica del fluido 
del reservorio. 
.
Reservorio de Petróleo Saturado 
Cuando la presión inicial del reservorio está en el punto de 
burbuja del fluido del reservorio, ( punto 2), el reservorio es 
llamado reservorio saturado de petróleo. 
.
Reservorio con Capa de Gas 
Si la presión inicial del reservorio es menor que la presión en 
el punto de burbuja del fluido del reservorio, ( punto 3) el 
reservorio es predominado por una capa de gas en la zona 
de dos fases, la cual contiene una zona de líquido o de 
petróleo con una zona o capa de gas en la parte superior.
En general el petróleo es comúnmente clasificado en 
los siguientes tipos: 
Petróleo negro 
Petróleo de bajo rendimiento 
Petróleo de alto rendimiento (volátil) 
Petróleo cerca al punto crítico
Reservorio de Gas 
Se han sido descubierto yacimientos de gas a alta 
presión con propiedades materialmente diferentes de 
aquellos yacimientos de gas seco anteriormente 
encontrados. 
El fluido del yacimiento esta compuesto 
predominantemente por metano, pero se encuentra 
cantidades considerables de hidrocarburos pesados. 
Si la temperatura de reservorio es mayor que la 
temperatura crítica del fluido, el reservorio es 
considerado un reservorio de gas. 
Los reservorios que producen gas natural pueden ser 
clasificados, esencialmente, en cuatro categorías y 
estas son:
Clasificacion de reservorios de gas 
-Reservorio de Condensación Retrógrada de Gas 
-Reservorio de Gas-Condensado cerca al punto 
crítico 
-Reservorio de Gas-Húmedo 
-Reservorio de Gas-Seco
Reservorio de Condensación Retrógrada de Gas 
Si la temperatura del reservorio Tr está entre la 
temperatura crítica Tc y la cricondentérmica Tct 
del fluido 
el reservorio, es clasificado como reservorio de 
condensación retrógrada. 
El fluido existe como un gas a las condiciones iniciales 
del reservorio, cuando la presión de reservorio declina a 
una temperatura constante, la línea del punto de rocío es 
cruzada y se forma el líquido en el reservorio. Este 
líquido también se forma en el sistema de tubería en el 
separador debido al cambio de presión y temperatura.
Las condiciones iniciales de un reservorio de 
condensación retrógrada de gas es presentado por el 
punto 1 del diagrama de fases (presión – temperatura) , 
la presión del reservorio está por encima de la presión 
del punto de rocío, el sistema de hidrocarburo, el 
reservorio muestra una fase simple (fase vapor). 
Cuando la presión de reservorio declina isotérmicamente 
durante la producción, la presión inicial (punto 1) cae al 
(punto 2) que es la presión declinada y esta por encima 
del punto de rocío; existe una atracción entre moléculas 
de los componentes livianos y pesados, ocasionando su 
movimiento por separado, esto origina que la atracción 
entre los componentes más pesados sean más efectivos 
de esta manera el líquido comienza a condensarse.
Reservorio de Gas-Condensado cerca al punto 
crítico 
Si la temperatura de reservorio esta cerca de la 
temperatura crítica, la mezcla de hidrocarburo es 
clasificado como reservorio de gas condensado 
cerca del punto crítico. 
El comportamiento volumétrico de esta categoría de 
gas natural es descrita a través de la declinación 
isotérmica de presión. Todas las líneas de calidad 
convergen en el punto crítico, un aumento rápido de 
líquido ocurrirá inmediatamente por debajo del punto 
de rocío como la presión es reducida en el punto 2, 
este comportamiento puede ser justificado por el 
hecho de que varias líneas de calidad son cruzadas 
rápidamente por la reducción isotermal de presión.
Figura 2.12
Reservorio de Gas-Húmedo 
El diagrama de fase correspondiente a un reservorio de 
gas húmedo, en ella se puede observar que la 
temperatura del reservorio es mayor que la 
cricondetérmica de la mezcla, por tal razón nunca se 
integran las dos fases en el reservorio, únicamente 
existe la fase gaseosa en el reservorio, si el reservorio 
es agotado isotérmicamente a lo largo de la línea vertical 
A – B. 
.
El gas producido fluye hacia la superficie, y por 
ende, la presión y la temperatura de gas declinará. 
El gas entra en la región de dos fases, en la tubería 
de producción debido a los cambios de presión y 
temperatura y a la separación en la superficie. 
Esto es causado por una disminución suficiente en 
la energía cinética de moléculas pesadas con la 
caída de temperatura y su cambio subsiguiente para 
líquido a través de fuerzas atractivas entre 
moléculas
Figura 2.13
Reservorio de Gas-Seco 
Este último tipo de reservorio es lo que se conoce como 
reservorio de gas seco, 
Estos reservorios contienen principalmente metano, con 
pequeñas cantidades de etano, propano, y más 
pesados, el fluido de este reservorio entran en la región 
de dos fases a condiciones de superficie, durante la 
explotación del reservorio. 
Teóricamente los reservorios de gas seco no producen 
líquido en la superficie, por ende, la diferencia entre un 
gas seco y un gas húmedo es arbitraria y generalmente 
en sistemas de hidrocarburos que produzcan con 
relaciones gas petróleo mayores de 120000 PCS/ Bbls 
se considera gas seco. 1
Figura 2.14
TRABAJO DE INVESTIGACION 
Determinación del punto de rocío con la composición 
del gas 
Determinación del punto de rocío basado en datos de 
producción del campo
Pruebas PVT 
Los fluidos encontrados en yacimientos petrolíferos son 
esencialmente mezclas complejas de compuestos 
hidrocarburos, que contienen con frecuencia impurezas 
como nitrógeno, dióxido de carbono y sulfuro de hidrógeno. 
La composición del petróleo fiscal es completamente 
diferente a su composición a condiciones del yacimiento, 
debido principalmente a la liberación de la mayor parte del 
metano y etano en solución y a la vaporización de fracciones 
de propanos, butanos y pentanos a medida que la presión 
disminuye al pasar de condiciones del yacimiento a 
condiciones atmosféricas normales.
Existen dos métodos de obtener muestras de fluidos del 
yacimiento: 
Muestreo de Fondo 
. 
Muestreo de Superficie
Muestreo de Fondo 
Se baja un equipo especial de muestreo dentro y hasta el 
fondo del pozo, sujetado por un cable con el muestrador, 
a pozo cerrado, luego se deja fluir el pozo a bajos 
caudales para muestrear a condiciones de reservorio. 
Muestreo de Superficie 
Tomando muestras de gas y petróleo en la superficie y 
mezclándolas en las debidas proporciones de acuerdo con 
la razón gas petróleo medida a tiempo de muestreo. Las 
muestras deben obtenerse al comienzo de las 
operaciones de producción del yacimiento, 
preferiblemente en el primer pozo, para que en esta forma 
la muestra sea representativa del fluido original que se 
encuentra en el yacimiento.
La composición del fluido obtenido en el saca muestras 
depende de la historia del pozo, anterior de la operación 
de muestreo. 
Si el pozo no ha sido acondicionado adecuadamente 
antes de obtener la muestra, será imposible obtener 
muestras respectivas de fluidos del yacimiento. 
Kennerly y Reudelhumber, recomiendan un 
procedimiento para acondicionar debidamente el pozo.
La información obtenida del análisis de una muestra de 
fluido incluye generalmente los siguientes datos: 
a.Razones Gas en solución – Petróleo y Gas liberado – 
Petróleo y los volúmenes de las fases líquidas. 
b. Factores volumétricos, gravedad del petróleo fiscal y 
razones Gas – Petróleo del separador a condiciones 
fiscales, para diferentes presiones del separador. 
c. Presión del punto de burbujeo de los fluidos del 
yacimiento. 
d. Compresibilidad del petróleo saturado a condiciones 
del yacimiento.
e. Viscosidad del petróleo a condiciones del yacimiento 
como función de la presión. 
f. Análisis fraccional de una muestra de gas obtenida de 
la cabeza del pozo y del fluido saturado a condiciones 
de yacimiento. 
Para un análisis preliminar de un yacimiento, y si no se 
disponen de datos de laboratorio, generalmente puede 
hacerse estimaciones razonables a partir de 
correlaciones empíricas basadas en datos fáciles de 
obtener. Estos datos incluyen gravedad del petróleo 
fiscal, gravedad específica del gas producido, razón gas 
– petróleo al comienzo de la producción, viscosidad del 
petróleo fiscal, temperatura del yacimiento
TIPOS DE PRUEBAS PVT 
Las pruebas de PVT pueden realizarse de 3 maneras: 
1.Proceso a composición constante (masa constante). 
2. Proceso a volumen constante. 
3. Proceso de liberación diferencial (petróleo negro).
Proceso a composición constante: La composición 
global no cambia, se carga a la celda una cantidad de 
fluido, se expande la celda o el mercurio, se agita para 
alcanzar equilibrio y al aumentar el volumen el gas se va 
liberando. Luego se miden las variaciones de líquido y 
volúmenes de gas.
Proceso a Volumen constante: (Procedimiento para gas 
y petróleo volátil). Se carga cada celda con un volumen 
suficiente de fluido, primero aumentamos el tamaño de la 
celda,(sacamos un volumen de mercurio) a ese gas de 
expansión se lo retira y se mide su masa su composición.
Proceso de Liberación diferencial: 
(Para petróleo negro). En este tipo de prueba se baja la 
presión, de cada celda se extrae todo el gas que se 
expanda. Para que la prueba tenga valores de la ecuación 
de estado hay que calibrar con la ecuación de estado.
PROPIEDADES DEL GAS NATURAL 
Un gas es definido como un fluido homogéneo de baja 
densidad y viscosidad, la cual no tiene un volumen 
definido, expandible completamente. 
El conocimiento de la presión-volumen–temperatura 
(PVT) está relacionado con otras propiedades físicas y 
químicas de los gases en condiciones de reservorio. 
Es esencial conocer las propiedades físicas del gas 
natural obtenida en laboratorio a condiciones de fondo, 
para predecir y conocer el comportamiento de los gases 
referida a la mezcla.
GAS NATURAL 
Es una mezcla de hidrocarburos gaseosos, presentes en 
forma natural en estructuras subterráneas o trampas. 
El gas natural esta compuesto principalmente de metano 
(80%) y proporciones significativas de etano, propano, 
butano, pentano y pequeñas cantidades de hexano, 
heptano y fracciones más pesadas. 
Habrá siempre alguna cantidad de condensado y/o 
petróleo asociado como el gas.
El término gas natural también es usado para 
designar el gas tratado que abastece la industria y a 
los usuarios comerciales y domésticos, y tienen una 
cualidad específica. 
Esta mezcla de hidrocarburos gaseosos presentan 
algunas impurezas, principalmente de: 
- nitrógeno N2, 
- dióxido de carbono (CO2 )y 
- gas sulfhídrico (H2S )
COMPOSICION DEL GAS NATURAL
otros hidrocarburos: 
Propano C3H8 
Isobutano i - C4H10 Butano normal n- C4H10 
Isopentano i – C5H12 Pentano normal n- C5H12 
fracciones más pesadas + C7H16 
Hexano C6H14 
Impurezas como N2, CO2, H2S 
En algunas ocasiones hidrocarburos cíclicos y aromáticos
COMPORTAMIENTO DE LOS GASES IDEALES 
La teoría cinética postula que el gas ideal esta compuesto 
de una cantidad de partículas llamadas moléculas, cuyo 
volumen es insignificante comparado con el volumen total 
ocupado por el gas. También se asume que estas 
moléculas no tiene una fuerza de atracción o repulsión 
entre ellas y así se asume que todas las colisiones de las 
moléculas son perfectamente elásticas.
LEY DE LOS GASES IDEALES 
- El volumen ocupado por las moléculas es 
pequeño con respecto al volumen ocupado por 
el fluido total. 
- Las colisiones intermoleculares son 
enteramente elásticas, sin pérdida de energía 
en la colisión. 
- No tienen fuerzas atractivas o repulsivas entre 
las moléculas.
LEY DE BOYLE 
el volumen de un gas ideal es inversamente 
proporcional a la presión absoluta, si la temperatura 
del gas es constante.
LEY DE CHARLES 
1. A presión constante, el volumen variará directamente 
con la temperatura absoluta, expresado en la ecuación
2. A volumen constante, la presión absoluta varia con 
la temperatura expresada en la ecuación:
LEY DE CHARLES Y BOYLE 
LEY DE AVOGADRO 
A volúmenes iguales todos los gases en las mismas 
condiciones de presión y temperatura tienen el mismo 
número de moléculas cuyo valor es 
2,773 x 106 mol / lb mol
La ley de Avogadro , menciona que el peso de un 
volumen de gas, es una función del peso de las 
moléculas. 
El volumen y el peso del gas en libras es igual al 
valor numérico del peso molecular y es conocido 
como el volumen molar. 
Una libra mol de un gas ideal ocupa 
379,4 ft3 a 60ºF y 14.73 psia, 
estas condiciones de presión y temperatura son 
comúnmente referidas a las condiciones normales.
ECUACION PARA LOS GASES IDEALES 
La ecuación de estado para un gas ideal se puede reducir 
de una combinación de las leyes de Boyle, Charles / Gay 
Lussac y Avogadro. 
PV= (m/M) RT 
m = masa de gas lb 
M = peso molecular del gas lbm/lb – mol 
P = Presión absoluta, psia. 
V = Volumen, ft.3 
T = Temperatura absoluta, ºR. 
R = Constante universal de los gases,
El número de lb-mol de un gas es igual a la masa 
de gas dividido por el peso molecular del gas, 
n = Número de libras-mol, donde 1 lb-mol es el 
peso molecular del gas 
n = m/M 
Los valores de la constante de los gases R
Los valores de la constante de los gases R
MEZCLA DE GASES IDEALES 
LEY DE DALTON 
En una mezcla gaseosa cada gas ejerce una presión igual 
que aquella que ejercería si este ocupa el mismo volumen 
como una mezcla total. 
Esta presión es llamada presión parcial. 
La presión total es la suma del las presiones parciales. Esta 
ley es valida solamente cuando la mezcla y cada componente 
de la mezcla obedece a la ley de los gases ideales.
De acuerdo con la ley de Dalton, la presión es la suma de 
las presiones parciales. 
P = PA + PB + PC + ….
Donde: 
Yi = Fracción molar del componente i. 
ni = Numero de moles del componente i 
n = Los moles totales Σ ni
LEY DE AMAGAT 
En una mezcla gaseosa el volumen total es la suma de 
los volúmenes de cada componente que ocuparía en una 
presión y temperatura dada. 
Los volúmenes ocupados por los componentes 
individuales son conocidos como volúmenes parciales. 
Esta ley es correcta sólo si la mezcla y cada componente 
obedecen a la ley de los gases ideales.
De acuerdo con la Ley de Amagat, el volumen total es: 
La relación de volumen parcial del componente i al 
volumen total de la mezcla es:
FRACCION VOLUMETRICA 
La fracción volumétrica de un componente especifico 
en una mezcla esta definido como el volumen de un 
componente dividido el volumen total de la mezcla. 
Vi = vi / Vt 
Vi = Fracción volumétrica del componente i en el gas. 
vi = Volumen ocupado por el componente i. 
Vt = Volumen total de la mezcla.
Es conveniente en cualquier cálculo de ingeniería convertir 
de fracción molar a fracción de peso o viceversa. 
El procedimiento de conversión de la composición de la 
fase de gas de la fracción molar o fracción de peso esta 
mostrada en el siguiente procedimiento. 
1. Asuma que el número total de moles de la fase gasífera 
es uno n = 1. 
2. de ecuación de la fracción molar se tiene que ni = yi. 
3. el número de moles n de un componente es igual a el 
peso de los componentes m dividido por el peso molecular 
de el componente. 
n=m/MW 
mi = yi* M Wi 
4. por lo tanto wi = mi/mt.
PESO MOLECULAR APARENTE 
Una mezcla gaseosa se comporta como si fuera un gas 
puro con un peso molecular definido. 
Este peso molecular es conocido como un peso 
molecular aparente y es definido como:
FRACCION MOLAR 
La fracción molar de un componente en particular es 
definido como el número de moles de un componente 
dividido, el número de moles totales de todos los 
componente de la mezcla. 
yi = ni /nt 
yi = Fracción molar del componente i en la mezcla. 
ni = Número de moles del componente i. 
nt = Número de moles total de la mezcla.
DENSIDAD RELATIVA DEL GAS 
La densidad del gas por definición es la relación entre 
las masas específicas del gas y del aire, ambas 
medidas en las mismas condiciones de presión y 
temperatura,
Admitiéndose comportamiento de gas ideal, el número 
de moles n es la relación entre la masa de gas m y su 
masa molecular M, 
La masa específica es definida conociendo la relación 
entre la masa y el volumen, o sea 
La masa específica del aire es :
GASES REALES 
La magnitud de desviación de los gases reales con 
respecto a los gases ideales se presenta cuando variamos 
la presión y temperatura, variando también con la 
composición del gas. 
El comportamiento de un gas real es diferente a un gas 
ideal, la razón para esto es que la ley de los gases 
perfectos fue derivada bajo la suposición que el volumen de 
moléculas es significante y existe atracción o repulsión 
entre las moléculas, que no son tomados en cuenta en 
gases ideales
Para expresar el comportamiento de la relación entre 
las variables P, V y T, se introduce el factor de 
corrección, denominado factor de compresibilidad de 
gas Z, 
Z varía con el cambio de presión, volumen, temperatura 
y la composición del gas. 
Los resultados de la determinación experimental del 
factor de compresibilidad son normalmente dados 
gráficamente
METODO DE OBTENCION DEL FACTOR DE 
COMPRESIBILIDAD Z 
Con la aparición del teorema de los estados 
correspondiente, desarrollado por Van der Waals se 
posibilito la elaboración de ábacos universales para la 
obtención del factor de compresibilidad Z. 
Siguiendo este teorema, los gases exhiben el mismo 
comportamiento cuando lo sometemos a las mismas 
condiciones de presión, temperatura y volumen 
reducidos. 
El término reducido traduce la razón entre la variable y/o 
su valor crítico
CORRELACIONES DE STANDING Y KATS 
La correlación de Standing y Katz, halla valores de Z en 
función de presiones y temperaturas reducidas, y fue 
desarrollada con base en datos experimentales para 
gases naturales sin impurezas. 
Su aplicación para gases ácidos requiere el uso de 
factores de corrección para la presencia de CO2 y H2S .
Para la determinación de Z se debe tener en cuenta 
las propiedades pseudo criticas 
Si la composición es conocida o 
Si la composición es desconocida 
Composición conocida. 
1.- Se deben determinar el Peso Molecular, presión y 
temperatura pseudo críticas para cada componente 
( datos que se obtienen de tablas de ctes p criticas ). 
2.- Obtener la Masa molecular aparente (Ma) con
3.- Obtener las coordenadas pseudo críticas. Estas 
pueden ser calculadas a través de media ponderadas 
de las coordenadas críticas de cada componente y su 
fracción molar en la mezcla:
Composición desconocida. 
־ 
1.- Con la densidad del gas conocida usar la Figura 
siguiente, donde la presión y temperatura pseudo 
críticas son dadas. 
O a través de las siguientes correlaciones 
presentadas por Standing
Estas ecuaciones están limitadas por el contenido de 
impurezas presentadas en la mezcla gaseosa, los 
máximos porcentajes son de 3% CO2 y 5% N2 , o un 
contenido total de impurezas de 7%. 
Para salvar este obstáculo las propiedades obtenidas 
pueden ser corregidas con la figura siguiente.
Para gas natural seco 
Corrección de las propiedades pseudo criticas 
Para gases que no son hidrocarburo
La temperatura pseudo critica se ajusta con 
Y la presión pseudo critica se ajusta con
Factor de ajuste puede hallarse también con
El factor de compresibilidad Z de la mezcla gaseosa 
es obtenido en la figura en función de las 
propiedades pseudo reducidas 
O si hay presencia de contaminantes
Correlaciones de Brill y Beggs
CORRELACIONES DE DRANCHUK, PURVIS Y ROBINSON 
Para representar el comportamiento de hidrocarburos livianos
FACTOR VOLUMETRICO DEL GAS NATURAL 
Relaciona el volumen de gas evaluado a condiciones de 
reservorio y el volumen del mismo gas medido a 
condiciones superficiales de Psc, y Tsc. 
Generalmente, se expresa en pies cúbicos o barriles de 
volumen en el reservorio por pié cúbico de gas las 
condiciones normales, o sus recíprocos, en pies cúbicos 
a las condiciones normales por pié cúbico o barril de 
volumen en el reservorio.
De acuerdo con la ecuación de estado de los gases 
reales, el volumen de una determinada masa de gas 
m, equivalente a un número de moles n es dada en 
condiciones de reservorio por: 
Donde T y P son la temperatura y la presión del 
reservorio. 
En las condiciones normales esta misma masa de 
gas ocupa el volumen
El factor volumétrico de la formación 
Utilizando, Tsc = 520 °R, Psc = 14,73 psia y Zsc = 1
La ecuación se transforma en :
COMPRESIBILIDAD ISOTERMICA DEL GAS 
NATURAL 
COMPRESIBILIDAD PARA UN GAS IDEAL
COMPRESIBILIDAD PARA UN GAS REAL
La evaluación de Cg para gases reales, requiere determinar 
el factor Z por variación de la presión y temperatura. 
La mayoría de las gráficas y ecuaciones de Z están 
expresadas como una función de presión y temperatura 
reducida. 
La compresibilidad reducida viene a ser definida como: 
Cr = Cg Pc. 
Este puede ser expresado como una función de Pr en un 
valor fijo de Tr por:
Los valores de la derivada puede tener una pendiente 
constante de Tr para el factor Z. 
Los valores de Cr Tr como una función de Pr y Tr vienen a 
ser presentadas gráficamente por Mattar,
El cambio de Z con P puede también ser calculado 
utilizando una expresión analítica, calculando el factor Z 
a las presiones ligeramente encima y abajo de la 
presión de interés
VISCOSIDAD DEL GAS NATURAL 
Es una medida de resistencia al movimiento de fluido 
y esta definida como la relación entre el esfuerzo 
cortante por unidad de área y el gradiente de 
velocidad en un punto determinado.
La viscosidad normalmente es expresada en centi 
poises o poises, pero se puede convertir para otras 
unidades:
DETERMINACION DE LA VISCOSIDAD: 
Método de Carr, Kobayashi y Burrows
DETERMINACION DE LA VISCOSIDAD: 
Método de Lee, González y Eakin 
La viscosidad del gas puede ser obtenida por medio de:
FACTOR DE COMPRESIBILIDAD PARA UN SISTEMA 
BIFASICO PARA GASES RETROGRADO 
Las correlaciones de Standing y Katz para el factor de 
compresibilidad son validas solamente para un sistema 
monofásico o gas seco. 
En los reservorios de Gas-Condensado retrógrado existe 
una condensación del fluido durante el agotamiento del 
reservorio por debajo del punto de Roció, obteniéndose 
un sistema bifásico con una fase líquida. 
En este caso se deberá utilizar el factor de 
compresibilidad para dos fases.
El comportamiento de la relación del factor de 
compresibilidad de un gas condensado frente a un gas 
seco como función de la presión, es uniforme hasta la 
presión de roció, luego el factor de compresibilidad para 
el gas seco cae por debajo del factor de compresibilidad 
de un reservorio de gas condensado.
En general, las correlaciones para la obtención del factor 
de dos fases están basadas en las propiedades 
pseudo reducidas del gas en el reservorio. 
Reyes y Alii, presentaron una correlación empírica para 
determinar el factor de compresibilidad de dos fases 
cuando el gas es rico (en porcentaje en mol del C7+ 
mayor e igual al 4 % y su densidad del gas mayor a 
0.911) relativamente puro (porcentaje de impureza H2S o 
CO2 menor o igual al 5 % en mol)
COORDENADAS SEUDOCRITICAS DE LA MEZCLA 
Una manera simple de presentar la temperatura y la 
presión seudo crítica de la mezcla, esta dada por las 
siguientes ecuaciones de Sutton 
Ppc (psi) = 756.8 – 131.0*SGg –3.6*SGg2 
Tpc ( R )= 169.2 + 349.5* SGg – 74.0*SGg2
Ejemplo 
Determine el factor de compresibilidad para un fluido 
bifásico 
Pr= 4987 psi , 
P roció = 3155 psi , 
SGg = 0.67, API =55, 
Sg mezcla = 0.828 
Tr= 200 o F 
Ppc (psi) = 756.8 – 131.0*SGg –3.6*SGg^2 = 645.51 
Tpc ( R )= 169.2 + 349.5* SGg – 74.0*SGg^2 = 408.60
TENSION INTERFACIAL 
La tensión interfacial existente entre el gas y el líquido 
tiene un pequeño efecto, en los cálculos de la 
gradiente de presión entre las dos fases. 
Sin embargo algunos de los métodos de predicción 
requiere un valor para la tensión interfacial usada en 
los calculos. 
Las graficas para la estimación de la tensión interfacial 
gas/petróleo de Baker and Swerdloff, y las graficas 
para la tensión interfacial gas/agua de Hough. 
El efecto de la temperatura puede ser estimada para 
una interpolación lineal
TENSION INTERFACIAL GAS/PETROLEO 
Las graficas de la tensión interfacial fueron presentadas 
para petróleo medido a las temperaturas de 68 o F y 
100 o F.
Se sugiere que si la temperatura es mayor a 100 o F, 
el valor de la tensión interfacial a 100 o F podría ser 
usado, y también si la Temperatura fuese menor de 
68 o F, se debe usar el valor calculado para la 
temperatura de 68 o F 
Para temperaturas intermedias, se debe utilizar una 
interpolación lineal entre los valores obtenidos
El efecto del gas dentro de la solución la presión 
incrementa en la mezcla gas/petróleo la relación y 
reduce la tensión superficial. 
La tensión interfacial del petróleo puede ser corregida 
por un factor multiplicador, con 
Donde P es la presión en psi 
La tensión interfacial a cualquier presión es obtenida 
con
TENSION INTERFACIAL GAS/AGUA 
Estas ecuaciones están graficadas como tensión 
interfacial vs la presión para dos temperaturas 
diferentes 
Al igual que las tensiones gas/petróleo tiene 
limitaciones en las temperatura, pero se interpola de 
igual manera, donde la temperatura esta en el rango de
ANALISIS DEL RESERVORIO 
Con el estudio del comportamiento del reservorio se 
puede optimizar la capacidad de producción. 
El análisis de las características y los factores que 
afectan al flujo de fluido a través del reservorio, y el 
sistema de tubería, nos lleva a optimizar e incrementar 
la capacidad de producción, siendo esta la base para 
la selección de métodos de predicción del 
comportamiento de flujo en todo el sistema. 
(Analizando como una sola unidad).
Al migrar el fluido desde el reservorio hacia la cañería 
de producción presenta pérdidas de presión, debido a 
la resistencia al flujo que ejercen la roca y las tuberías 
de producción. 
Estas pérdidas de presión dependen principalmente de 
Caudal de flujo, 
Propiedades del fluido, 
Propiedades de la roca y 
los factores de fricción.
La grafica nos muestra un esquema de caudal 
versus presión fluyente en el fondo de pozo, 
llamada relación del comportamiento de flujo de 
entrada (IPR inflow performance relationship) la 
cual nos permite visualizar el caudal de producción 
versus la presión de flujo. 
La curva A nos muestra el comportamiento de un 
índice de productividad constante, debido a que la 
presión fluyente se encuentra por encima del punto 
de rocío en un sistema monofásico
En la curva B nos muestra un sistema combinado; 
primeramente, observamos un sistema monofásico 
para luego tener un sistema bifásico con el índice de 
productividad variable, ya que la presión fluyente se 
encuentra por debajo de la presión de rocío. 
La curva C nos muestra un comportamiento de un 
sistema bifásico con un índice de productividad 
variable, debido a que la presión de reservorio se 
encuentra por debajo de la presión de rocío
Para calcular la caída de presión que ocurre en un 
reservorio, es necesario tener una ecuación que 
represente este comportamiento y exprese las pérdidas 
de energía o pérdidas de presión debido a las fuerzas 
de fricción que es una función de velocidad o régimen 
de flujo. 
La forma de la ecuación puede ser bastante diferente 
para los varios tipos de fluido, las ecuaciones básicas 
en todas las formas están basadas en la ley de Darcy.
LEY DE DARCY 
Es una relación empírica que se derivo para el flujo de 
fluido a través del filtro de arena no consolidada. 
Darcy, propuso una ecuación que relaciona la 
velocidad aparente del fluido con el gradiente de 
presión dp/dx 
y también demostró que la velocidad del fluido es 
inversamente proporcional a la viscosidad
Nota 
Los experimentos de Darcy, fueron hechos tomando el 
agua como fluido base. 
El filtro de arena fue saturado completamente con 
agua. 
Los filtros de arena de Darcy son de área constante, 
la ecuación no calcula los cambios de la velocidad con 
respecto a la posición
La Ley de Darcy en forma diferencial de la siguiente 
manera: 
El signo negativo se agrega porque si x’ se mide en 
la dirección del flujo, la presión p’ declina en la 
misma dirección (gradiente de presión negativo), de 
esto resulta que el signo menos debe agregarse para 
hacer la velocidad v’ positiva
Si Q' = v ' x A tendremos
FLUJO LINEAL 
Para el flujo lineal, el área de flujo es constante, 
debiendo integrar la ecuación de Darcy para obtener 
la caída de presión que ocurre en una longitud L 
dada: 
Suponiendo que k, μ, y q son independientes de la 
presión y que pueden ser evaluados con la presión 
promedio del sistema
La geometría para un sistema lineal es : 
Se puede observar que en un diagrama P vs L se 
producirá una línea recta de pendiente cte.
Si el fluido es compresible el caudal de flujo de masa 
debe ser constante y expresada en términos de 
presión, temperatura y gravedad especifica del gas
Para altas velocidades de flujo existe una turbulencia 
adicional, la ley de Darcy se modifica para calcular 
una caída de presión adicional ( por turbulencia )
Se puede obtener una aproximación al coeficiente de 
velocidad β
FLUJO RADIAL 
Aunque el flujo lineal raramente ocurre en un reservorio, 
se usan estas ecuaciones para calcular la caída de 
presión a través de la formación : 
Para flujo radial, se puede usar la Ley de Darcy para 
calcular el flujo dentro del pozo donde el fluido converge 
radialmente a un cilindro relativamente pequeño. 
El área abierta al flujo no es constante, hay que integrarla 
La selección de área abierta al flujo en cualquier radio es:
Definiendo el cambio en la presión con la ubicación 
como negativa con respecto a la dirección de flujo 
dP/dx se vuelve dP/dr
FLUJO DE GAS 
El flujo de gas para un flujo radial esta basado en la ley 
de Darcy, 
El fluido es compresible 
En la ecuación de estado real de un gas, donde el gas es 
medido bajo condiciones estándar de superficie. 
La ecuación para un fluido monofásico la definiremos de 
la siguiente forma: 
La ecuación de la continuidad es: 
ρ1q1 = ρ2q2 = Constante
Y la densidad para un gas real esta definida como 
Y para condiciones estándar de PSC y TSC 
El caudal std será :
Las variables en esta ecuación son p e r
En unidades de campo la ecuación será
REGIMEN DE FLUJO EN ESTADO ESTABLE 
Régimen de flujo en estado estable existe cuando no 
hay cambio de presión en el borde externo en función 
al tiempo. 
Prácticamente, también esto significa que el gradiente 
de presión se mantenga con el tiempo que nos 
muestra esquemáticamente la distribución radial de 
presión en torno de un pozo productor, en régimen 
permanente.
Las condiciones que proporcionan el régimen 
permanente de presión en determinadas áreas del 
reservorio son usualmente atribuidas a: 
Influjo natural de agua proveniente de un acuífero 
capaz de mantener la presión constante en la frontera 
externa del reservorio. 
Inyección de agua en torno del pozo productor de 
modo de contrabalancear la salida de los fluidos del 
reservorio.
La relación desarrollada por la ley Darcy para flujo de 
estado estable para un pozo de gas natural, 
introduciéndose un factor de daño “s” en la región 
próxima del fondo de pozo, 
Esta ecuación sugiere que el régimen de producción 
de un pozo de gas es aproximadamente proporcional 
a la diferencia de las presiones al cuadrado. Las 
propiedades de μ y Z son propiedades media entre 
Pe y Pwf
REGIMEN DE FLUJO DE ESTADO SEMIESTABLE 
El estado pseudo-estable significa que la presión en el 
borde externo no se mantiene 
y al momento que el régimen de flujo llega a tocar las 
fronteras, genera el agotamiento lo que significa que la 
presión en el borde externo cae en función del caudal que 
sale del yacimiento 
y esa caída de presión se refleja en todo el gradiente de 
presión en la misma manera, en otras palabras 5 psi que 
caen en un día en el borde externo son 5 psi que caen en 
cualquier punto del reservorio,
El régimen semi estable o régimen seudo permanente 
de presión, usualmente ocurre en las siguientes 
situaciones: 
Pozo produciendo a un caudal constante de un 
pequeño reservorio cerrado. 
Reservorio drenado por muchos pozos, con cada pozo 
aislado hidráulicamente .
Para un sistema de geometría radial , la condición de 
régimen pseudo permanente puede ser expresado por: 
La Figura nos muestra las distribuciones radiales de 
presión en diferentes tiempos en un reservorio 
cilíndrico cerrado con un pozo en el centro 
produciendo a un mismo caudal volumétricamente 
constante. 
Matemáticamente el escurrimiento del gas en régimen 
pseudo permanente o semi estable es tratado con una 
secuencia de régimen permanente.
Introduciendo el factor de daño incorporando el 
término 0.75 dentro de la expresión logarítmica, 
tenemos
Estas ecuaciones no son solamente aproximaciones en 
términos de propiedades, si no porque ellas asumen 
flujo de Darcy en el reservorio. 
Para caudales de flujo de gas bastante pequeños esta 
aproximación es aceptable. 
Para caudales de flujo más grandes donde el flujo en 
Darcy es evidente en el reservorio,
Ecuaciones para flujo Radial en función al Seudo 
Potencial (Psuedo Presión o Potencial de gas real) 
Otra forma de presentar las ecuaciones básicas del flujo 
de Darcy`s, está expresada de la siguiente manera en 
base al seudo potencial 
Usando la Seudo presión de un gas real en
si el caudal de producción esta en Mpcd y la presión 
base en 14.7 psi y Tb en 60 o F se tiene la siguiente 
ecuación :
Determinación del Pseudos Potencial M(P) 
Para cualquier cálculo de potencial o pronóstico en un 
reservorio de gas es necesario trabajar con los pseudo 
potenciales o con la presión al cuadrado ya que el 
comportamiento del factor de compresibilidad y la 
viscosidad del gas de 3000 a 5000 psi es errático y se 
tiene mucha distorsión en este rango de presión. 
Por lo cual es recomendable utilizar el seudo potencial 
para evitar estas incongruencias las cuales 
procederemos a calcular de la siguiente manera:
Para determinar el seudo potencial se debe tener 
como dato la gravedad especifica del gas de la 
mezcla SGg , Temperatura de Reservorio, y la 
presión de reservorio para darle un rango de 
calculo.
Ejemplo. 
Se tiene SG de la mezcla SGg=0.69, 
la temperatura de reservorio 145 o F 
la presión de reservorio 1948. 
Para determinar el potencial nosotros podemos asumir el 
rango cada cierto porcentaje hasta una presión superior a la 
del reservorio, 
Calculando el factor de compresibilidad y 
la viscosidad del gas a cada presión asumida. 
Como se muestra en la siguiente Tabla:
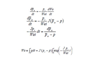
Capacidad de entrega de un pozo de gas con flujo 
no-darciano 
Una relación más precisa para un flujo estable de 
gas fue desarrollada por Aronofsky e Jenkins que da 
la solución de la ecuación diferencial para un flujo 
de gas a través de medios porosos, usando la 
ecuación de flujo de Forchheimer. Esta solución es:
Donde D es el coeficiente no Darcy 
rd es el radio de drene efectivo de Aronofsky Jenkins, 
rd = 0.472re. 
Por otro lado: 
De donde 
tD tiempo requerido para estabilizar el flujo
El término, llamado con frecuencia efecto de 
turbulencia se da en los pozos de altos caudales o 
potencial grandes. 
El coeficiente de turbulencia de Darcy D, está en el 
orden de 10-3 y para caudales de gas se lo interpreta 
en términos de Dq, próximo al valor del logaritmo 
natural de la relación ln rd / rw. 
Los valores pequeños de caudal q resultarían 
proporcionalmente valores pequeños de Dq. 
Con lo cual se tiene
El primer término, de lado derecho de la ecuación, es 
idéntico al desarrollado por Darcy. 
El segundo término, nos muestra el efecto de fluido no 
Darciano. 
Todos los multiplicadores de q y q2 pueden ser 
considerados constantes, por tanto la ecuación puede 
tomar la siguiente forma:
Flujo Transiente pozo de gas 
Flujo transiente de gas en un reservorio puede ser 
aproximado por la ley de Darcy y la ecuación de la 
continuidad 
Si la permeabilidad k es considerada constante, 
la ecuación puede ser aproximada: 
La pseudo-presión de un gas real puede ser usada 
en lugar de las diferencias de presiones al cuadrado 
en cualquier relación de capacidad de entrega de un 
pozo de gas, la ecuacion tendría la siguiente forma:
Puede ser usada de forma más apropiada la pseudo-presión 
de un gas real como un factor de integración 
para una solución exacta de la ecuación de la 
difusividad para un gas, la ecuación anterior puede ser 
la base para este análisis.
Por tanto la ecuación se convierte (Prt =Pwf) 
La aproximación logarítmica para la integral 
exponencial, conduce a una expresión análoga para un 
gas natural en términos de Pseudo-presión.
Tipos de pruebas 
La habilidad de analizar el comportamiento y los 
pronósticos de productividad de un pozo de gas, nos 
dan las distintas pruebas de producción que se pueden 
realizar en el pozo, dándonos un mejor entendimiento 
del comportamiento del reservorio, con un grado de 
seguridad que es de suma importancia en la industria 
del gas natural. 
Los resultados de una prueba de pozo nos determinan 
el comportamiento del caudal para los distintos 
diámetros de tubería y el comportamiento de flujo con la 
reducción de la presión de reservorio.
Prueba de flujo tras Flujo (Flow-After-Flow tests) 
Prueba Isócronal (tiempo de flujo ≠ tiempo de cierre) 
Prueba Isócronal Modificada (tiempo de flujo = 
tiempo de cierre) 
Pruebas de Producción
Prueba de flujo tras Flujo (Flow-After-Flow tests) 
Llamada también pruebas convencionales de 
contrapresión (Conventional Backpresure Test). 
En este tipo de prueba, el pozo se fluye a un determinado 
caudal midiendo la presión fluyente de fondo la cual 
normalmente se mantiene en estado transiente (no 
alcanzando el estado pseudo-estable). 
Luego el pozo cambia su flujo a un nuevo régimen, 
normalmente en estado transiente sin llegar estado 
pseudo estable. 
La presión puede ser medida con un medidor de presión 
de fondo de pozo.
Prueba Isócronal (tiempo de flujo ≠ tiempo de cierre) 
En un reservorio de baja permeabilidad es muy 
frecuente que el cierre después de un flujo no llegue a la 
estabilización y es impráctico extender por mucho 
tiempo el cierre si las condiciones de pozo no han 
llegado a un estado semi estable. 
El objetivo de la prueba isocronal, es obtener datos 
representativos para establecer una curva de capacidad 
de entrega estable produciendo el pozo a un flujo 
estable con el tiempo de cierre suficiente para obtener 
datos estabilizados en cada prueba. 
El Radio de investigación alcanzado en la prueba a un 
determinado tiempo es independiente del caudal de 
flujo.
Por tanto, si una serie de pruebas de flujo son 
ejecutadas en un pozo, para cada uno por el mismo 
periodo de tiempo, el radio de investigación será el 
mismo al fin de cada prueba. 
La Figura nos muestra el comportamiento de la 
prueba de flujo isocronal en función al caudal y a la 
presión de fondo fluyente. 
Observándose que en el periodo de cierre después de 
cada periodo de flujo debe estar en función al tiempo 
de estabilización determinado para la prueba, llegando 
a restituir a su presión de reservorio. Obsérvese que 
también es necesario que haya un periodo de flujo 
estabilizado al fin de la prueba.
Prueba Isócronal Modificada (tiempo de flujo = 
tiempo de cierre) 
Este tipo de prueba esta diseñada principalmente 
a reservorios de baja permeabilidad, ya que el tiempo 
de estabilización del flujo radial es elevado tanto para 
los periodos de flujo como para los periodos de 
prueba, y la variante que presenta frente a las pruebas 
isocronal es que el periodo de flujo es igual al periodo 
de cierre y no se requiere alcanzar las condiciones 
estabilizadas de presión entre cada etapa de flujo 
La figura nos muestra un diagrama esquemático del 
caudal y las presiones de fondo fluyente
Pruebas de Producción 
Estas clases de prueba se realizan continuamente en el 
campo para determinar los volúmenes producidos por 
pozo y así poder controlar la producción acumulada 
con el tiempo. 
Para que estas pruebas sean válidas para el análisis 
nodal, es importante que los pozos produzcan con 
velocidades mayores a las críticas para arrastrar el 
condensado y el agua que se nos acumula en el fondo 
del pozo y las condiciones de producción y presión 
tienen que estar estabilizadas, la cual nos distorsiona 
las presiones fluyente, y por ende los potenciales de 
pozo, las velocidades críticas para el arrastre de los 
fluidos en el fondo.
Con los datos de producción y las presiones fluyentes 
de fondo obtenido en una prueba de producción, 
podemos determinar los índices de productividad del 
pozo y el comportamiento de entrega como se muestra 
en la siguiente ecuación:
Método de Interpretación de prueba 
La habilidad de analizar el comportamiento y pronóstico 
de los pozos de gas y el índice de productividad de los 
mismos, se lo obtiene a través de métodos de 
interpretación de prueba, ya que podemos realizar un 
análisis de los resultados que arrojan las pruebas de 
pozos tanto de producción como así también de cierre. 
Previniendo los distintos problemas que se pueden 
presentar con la declinación de la presión de reservorio 
y los efectos de daño del pozo.
Los resultados de las pruebas de pozo son a menudo 
utilizados para optimizar o maximizar la producción, 
previniendo el desarrollo del campo, y las facilidades 
en superficie como plantas de procesamientos. 
Básicamente existen dos tipos de datos para la 
determinación de la capacidad de entrega: 
• Datos de pruebas (Isocronales, Flujo tras Flujo, 
Prueba de Producción) 
• Datos de Reservorio 
En la bibliografía actual, existen varios métodos de 
interpretación de pruebas de los cuales tomaremos 
los tres más principales para nuestro propósito
En 1936, Rawlins y Schellhardt, presentaron la ecuación 
como la ley de Darcy para un fluido compresible, donde 
“C” contiene todos los términos diferentes de la presión; 
como la viscosidad del gas, permeabilidad al flujo de 
gas, la temperatura de la formación, etc. Rawlins y 
Schellhardt, describen que la ecuación, la K era 
responsable por la turbulencia normalmente presente 
en pozos de gas, entonces modificaron la ecuación con 
un exponente “n”, ecuación
El exponente “n” puede variar de 
1.2 para flujo completamente laminar y 
0.5 para un flujo completamente turbulento. 
Si los valores para el coeficiente de flujo C y 
exponente n puede ser determinado por el régimen de 
flujo, para cualquier valor de Pwf , puede ser calculado, 
el caudal y se puede construir la curva del 
comportamiento de flujo de entrada.
Un parámetro comúnmente usado para ver el 
potencial cuando la Pwf=0, es llamado Potencial 
Absoluto de Flujo Abierto (AOF), el cual es definido 
como el máximo caudal que un pozo de gas 
produciría sin contrapresión.
Con el método clásico, se tiene dos constantes para 
determinar “C” y “n”. 
La teoría indica que “C” es una función de radio de 
investigación que significa que si dos periodos de flujo 
poseen un mismo radio de investigación, ellas tendrán 
el mismo“C”. 
Las razones de flujo poseen un mismo intervalo de 
tiempo, entonces tendrá un mismo radio de 
investigación y por tanto un mismo “C”. 
Para períodos estables de flujo, el “C” será el “C” 
estabilizado, que es el que estamos tratando de 
determinar..
Para una serie de periodos de flujo iguales que no 
son largos o suficientes para alcanzar la 
estabilización, los “Cs” ( coeficientes de flujo )de 
cada prueba serán los mismos, pero no seran los 
“C” estabilizados
Si el pozo ha fluido a un caudal estabilizado, como se 
muestra en el esquema log-log , podemos determinar un 
máximo potencial transiente de la prueba,
La gráfica logarítmica log-log de la diferencial de 
presión (P2−PR 
wf 
2 ) versus qg , nos muestra una línea 
recta 
el factor de turbulencia expresado por ( n ) es inversa 
a la pendiente de esta línea. 
Nos muestra, una prueba de producción con cuatro 
caudales de flujos, que estarían sobre una misma 
línea recta mostrando una condición de flujo 
estabilizado. 
El valor del exponente n se puede hallar con :
Una vez determinado el valor del exponente n , el 
valor C se puede determinar usando la siguiente 
ecuación: 
O el valor de la constante C en base a los datos de 
reservorio puede ser representado por la siguiente 
ecuación:
Si tenemos un flujo extendido como se muestra 
obtendremos un punto estabilizado por la cual 
pasamos una línea paralela a la línea de los puntos 
transiente. 
De modo que el valor de C es el valor estabilizado, y 
también el máximo potencial determinado.
Método Jones, Blount and Glaze 
Jones, Blount y Glaze, sugieren un procedimiento de 
análisis que permite determinar el efecto de 
turbulencia o no, que se presenta en la completación 
de pozos independiente del efecto de daño y flujo 
laminar. 
El procedimiento también avala el coeficiente de flujo 
laminar A, y el efecto de daño si el producto es 
conocido. kgh 
La ecuación presentada por Jones,,. para flujo de 
estado estable incluyendo el factor de turbulencia es:
El primer término de lado derecho es la caída de 
presión de flujo laminar o flujo Darciano, 
El segundo término, es la caída de presión adicional 
debido a la turbulencia. 
El coeficiente de velocidad β, es obtenido con
Algunas veces es conveniente establecer una relación 
entre dos parámetros que indican el grado de turbulencia 
que ocurre en un reservorio de gas. 
Estos parámetros son: el coeficiente de velocidad β, y el 
coeficiente de turbulencia Β. 
La ecuación se puede describirse para un flujo de estado 
semiestable o pseudoestable como:
Con lo que la ecuacion resulta : 
Para determinar los dos coeficientes existen dos 
formas: 
La primera hace uso de las pruebas convencionales con 
dos o más valores de flujo estabilizado, por lo menos un 
flujo estabilizado en pruebas de flujo isocronal. Los 
datos de caudal y presión obtenidos en la conducción 
de estas pruebas son producidos en coordenadas 
cartesianas
El diagrama resultante muestra una línea cuya 
pendiente es el coeficiente B que indica el grado de 
turbulencia. 
Prolongando la recta hasta el ejes de las coordenadas 
se tiene el coeficiente laminar A 
La segunda forma es de simples substituciones de los 
parámetros, previamente determinados en las 
ecuaciones
.Una vez determinados los coeficientes A y B se 
procede a la construcción de la curva del 
comportamiento de IPR, asumiendo diferentes valores 
de presión de fondo fluyente Pwf , determinando los 
caudales para estos mismo valores. También podemos 
asumir los caudales de producción y determinar las 
presiones fluyentes indiferentemente.
Método Brar y Aziz 
No es necesario contar con pruebas hasta alcanzar 
por lo menos un dato estabilizado, a partir de pruebas 
transientes se puede estimar la capacidad de entrega 
de un pozo . 
Como el periodo transiente esta ligado con las variaciones 
del tiempo, las constantes de la ecuación
están determinadas para distintos periodos de pruebas 
por lo tanto, el valor de A se convierte en A, valor que 
t 
crece hasta un máximo, manteniéndose constantes en 
este punto. 
Se debe ignorar el cambio del coeficiente β y tomar en 
cuenta sólo el que corresponde a la última etapa de flujo
PRODUCCIÓN POZOS HORIZONTALES 
Debido a los problemas de conificación de agua, gas y 
arenamiento por su alta diferencial de producción. se 
debe tomar la decisión de optimizar la producción con 
pozos horizontales.
En un pozo horizontal de longitud L que penetra un 
reservorio con permeabilidad horizontal Kh y la 
permeabilidad vertical Kv, crean un modelo de drenaje 
diferente a un pozo vertical con una mayor área de flujo 
y una menor presión diferencial. 
Es muy importante considerar la anisotropía de la 
permeabilidad vertical en los pozos horizontales. 
Mientras más grande sea la permeabilidad vertical, 
más alto es el índice de productividad de un pozo 
horizontal. 
La permeabilidad vertical baja puede dar pozos 
horizontales poco atractivos para cualquier inversión.
Joshi, presentó una relación de entrega de un pozo 
horizontal (mezcla del pseudo estado en un plano 
horizontal y pseudoestado estabilizado en un plano 
vertical) es: 
Donde I anillo, es una medida de la anisotropía de la 
permeabilidad vertical y la permeabilidad horizontal que 
esta dada por:
En esta ecuación. a es el medio eje grande del 
elipsoide de drenaje formado por un pozo horizontal 
de longitud, donde la expresión para este elipsoide es 
La relación entre el índice de productividad de un pozo 
horizontal y un pozo vertical en un reservorio 
específico podría ser muy grande. 
Esta razón del índice de productividad puede ser 
manifestada por un incremento en el caudal de 
producción, o un decremento en la caída de presión o 
ambos.
Por consiguiente, los pozos horizontales pueden ser 
excelentemente manejados donde los problemas de 
agua y cono de gas y arena están presente. 
Impacto del efecto de daño en el comportamiento de 
un pozo Horizontal 
El efecto de daño en un pozo horizontal esta 
representado por la ecuación siguiente:
Este efecto de daño, denominado como S'eq, es 
característico de la forma de daño en pozos horizontales, 
tomando en cuenta la anisotropía de la permeabilidad y 
probabilidad de penetración de daño más profundo, o más 
cercano a la sección vertical. 
El impacto de este efecto de daño en la reducción de los 
caudales puede ser muy grande..
Efectos de Producción de Agua y Permeabilidades 
Relativas 
En un reservorio gasífero, el agua está siempre presente 
por lo menos como connata, Swc. 
Así, en todas las ecuaciones anteriores la permeabilidad 
debería ser considerada como efectiva, y debería ser 
invariable (en ciertos casos significativamente menor) 
que la obtenida de las muestras de núcleos o de otras 
técnicas de laboratorio usando un simple fluido.
Si ambos fluidos gas y agua están fluyendo, la 
permeabilidad efectiva debería ser usada, como la 
suma de estas permeabilidades que es invariable y 
menos que la permeabilidad absoluta de la formación 
(para cualquier fluido). 
Esta permeabilidad efectiva esta relacionada a la 
permeabilidad relativa (también para las distintas 
propiedades de la roca).
Las permeabilidades relativas son determinadas en 
laboratorio y son características de la roca reservorio 
que está saturada con fluidos. No es una buena práctica 
usar las permeabilidades relativas obtenidas en un 
reservorio para predecir el comportamiento de otro 
reservorio similar. 
Usualmente, las curvas de permeabilidades relativas son 
presentadas como función de las saturaciones de agua 
Sw, como se muestra en la figura
Cuando la saturación de agua Sw es la saturación de 
agua connata, Swc no habría un flujo de agua libre, y 
por consiguiente, la permeabilidad efectiva Kw, debería 
ser igual a cero. Similarmente cuando la saturación de 
gas empieza con saturación residual de gas Sgr, no 
existe flujo y la permeabilidad efectiva debería ser igual 
a cero.
Luego, en un reservorio de gas, en un sistema bifásico 
la ecuación para el gas y agua es:
Efecto de daño en un pozo horizontal 
En la Ecuación 
el efecto de daño S'eq, fue adicionado a la 
ecuación de caudal del pozo horizontal. 
la ecuación para el efecto de daño que refleja el 
daño cerca del pozo horizontal. 
Se describe la forma de daño a lo largo y normal de 
un pozo horizontal
La anisotropía de la permeabilidad debería generar 
una forma elíptica normal al pozo. 
La forma de daño depende de la anisotropía de la 
permeabilidad
El tiempo de exposición durante la perforación y la 
completación del pozo, produciría un cono elíptico 
truncado con la base más grande cerca de la sección 
vertical del pozo. 
También, durante la producción el perfil de presión en 
el pozo implicaría una alta gradiente normal en la 
trayectoria del pozo cerca de la sección vertical. 
Por consiguiente, el daño inducido por producción sería 
elíptico
La geometría de la forma de daño resulta de un efecto 
de daño análogo a Hawkins fórmula para un pozo 
vertical: 
Donde a Hmax es el eje horizontal más grande (cerca 
de la sección vertical) de daño del cono. 
La ecuación anterior, no asume daño al final del pozo. 
El efecto de daño puede ser adicionado al denominador 
de la ecuación de caudal de un pozo horizontal pero 
deberá ser multiplicado por la relacion de anisotropia 
h* I ani / L,
La estimulación de la matriz de un pozo horizontal es 
más amplia que el proceso de un pozo vertical. 
Los volúmenes requeridos son más grandes, 
La colocación de fluidos para la estimulación a lo largo 
del pozo es mucho más difícil.
Factores que afectan la curva del comportamiento 
del pozo con el tiempo 
Como resultado del agotamiento del reservorio, con el 
transcurso del tiempo, existe una caída en la 
producción de los pozos debido al comportamiento o 
eficiencia del reservorio que es afectado por algunos 
parámetros sujetos al cambio, los cuales son 
Coeficiente C y exponente n 
Permeabilidad del gas 
Espesor de la formación 
Viscosidad del gas y el factor de compresibilidad 
Radio de pozo y radio de drene 
Factor daño
4.7.1Coeficiente C y exponente n 
En reservorios de alta permeabilidad donde el flujo de 
gas se, estabiliza rápidamente, el valor de C no tiene 
una variación significativa con el tiempo, esto implica 
que el valor del caudal máximo (AOF) obtenido de la 
curva de IPR permanece relativamente invariable 
durante la vida del reservorio. 
De cualquier manera, el caudal y la presión del 
reservorio varían con el tiempo afectando el 
comportamiento del coeficiente, esto se acentúa más 
en un reservorio de baja permeabilidad donde el 
caudal de producción de gas durante periodos de flujo 
relativamente cortos disminuye con el tiempo a una 
presión fija de cabeza. 
.
El coeficiente C contiene varios parámetros sujetos a 
cambios, a medida que la presión del reservorio 
declina antes el agotamiento de la caída, por esta 
razón es necesario recalcular el coeficiente C cada 
cierto período bajo nuevas condiciones de reservorio 
n se encuentra generalmente entre 0.5 y 1, 
para bajas permeabilidades n es aproximado a 1 
para altas permeabilidades n tiende a 0.5,
Permeabilidad del gas 
El único factor que tiene un efecto apreciable es la 
permeabilidad del gas, kg ,a la saturación de líquido en 
el reservorio, como consecuencia de una condensación 
retrógrada, por la disminución de presión de reservorio 
por debajo de la presión de rocío formando una fase 
líquida de condensado o por la presencia de agua en el 
reservorio, esto afecta apreciablemente en la 
permeabilidad y saturación del gas reduciendo 
cuantitativamente el valor de ambos parámetros. 
En reservorios de gas seco la permeabilidad 
permanece constante,
Espesor de la formación 
Durante la vida de un reservorio, el espesor de la 
formación es considerado invariable en los casos que 
estemos frente a reservorios volumétricos sin 
empujes de agua, pero cuando se tiene reservorios 
con un fuerte empuje del acuífero, el espesor del 
reservorio disminuye dependiendo del avance del 
nivel acuífero, también puede variar cuando los 
interválos de completación son modificados por la 
necesidad de perforar intervalos mucho más 
grandes. En estas circunstancias el pozo debe ser 
probado para determinar las nuevas condiciones.
Viscosidad del gas y el factor de compresibilidad 
Estos términos son dependientes de la presión medida 
del reservorio. 
Los cambios de viscosidad y del factor de 
compresibilidad del gas afectan los coeficientes de C y 
A 
Las ecuaciones muestran la relación que existe entre 
los valores actuales y futuros de C y A manteniéndose el 
radio de drene, el efecto daño y el espesor de la 
formación son constantes
Donde P y F indican las condiciones al tiempo 
presente y tiempo futuro respectivamente
Radio de pozo y radio de drene 
El radio del pozo es constante y sólo el radio 
efectivo del pozo varía cuando existe 
estimulación, esto es notado en el resultado 
cuantitativo del factor daño. 
El radio de drene depende del espaciamiento del 
pozo y puede ser considerado constante una vez 
alcanzado un flujo estable.
Factor daño 
Cuando el pozo es expuesto a una fractura o 
tratamiento ácido, el factor daño o efecto superficial 
de daño, varía incidiendo en los valores de C y n o los 
coeficientes de A y B siguiendo el método de análisis 
que se utiliza debiendo recalcularlos, para lo cual se 
tiene que realizar nuevas pruebas de pozo y evaluar 
los nuevos valores de los coeficientes afectados.
Caída de presión a través de las perforaciones 
Evaluación práctica de las perforaciones hechas por el 
Dr. Harry McCleod, 
Esto muestra que la compactación de la zona 
estudiada ocurre, alrededor de la perforación en 
condiciones normales. 
Para formaciones impermeables no solamente 
interesa un área abierta de flujo, sino también la 
longitud de la perforación. Ambos tienen un efecto 
sobre el caudal dentro del borde de la perforación.
La Figura muestra una 
típica perforación y la 
nomenclatura que se 
utiliza en este análisis. 
El orden para analizar 
el efecto de estas 
perforaciones es la 
capacidad de 
flujo
La Figura muestra que 
para efectuar una 
perforación de 90º, esta 
debe ser analizada 
como una sección 
mucho más pequeña en 
las paredes del pozo. 
Además, se ha asumido 
en este análisis que 
esta es una zona no 
dañada.
Suposiciones : 
La permeabilidad de la zona compactada es: 
a)10% de permeabilidad de formación si es perforado 
sobre balanceado. 
b) 40% de permeabilidad de formación si es perforado 
desbalanceado.
El espesor de la zona dañada es ½ pulgadas. 
La pequeña sección de la pared del pozo puede ser 
analizada como un reservorio infinito, 
esto es, si Pwfs permanece constante en el borde de la 
zona compactada, eliminando así mismo él -¾ de la ley 
de Darcy para un límite exterior cerrado. wfsp 
La ecuación presentada anteriormente por Jones, Blount 
y Glaze puede ser utilizada para evaluar las pérdidas de 
presión a través de las perforaciones
Cálculo del efecto de Daño de la Perforación 
Karakas y Tariq (1988), han presentado una solución 
semianalítica para el cálculo del efecto de daño en las 
perforaciones , ellos dividen en tres componentes los 
cuales son: 
- el efecto de circulación plano SH , 
- el efecto de convergencia vertical Sv , 
- el efecto de agujero Swb , 
el efecto del daño total de la perforación es: 
Sp = SH 
+ Sv 
+ Swb
La Figura nos muestra las variables para el cálculo de la 
capa externa de perforación. 
Estas incluyen 
-el radio del pozo, r, 
W-el radio de perforación, r, 
perfo-la longitud de la perforación l, 
perfo-ángulo de enfasamiento de la perforación 
-la distancia entre las perforaciones, hf,. 
per
Donde KH 
y KV, son las permeabilidades horizontal y vertical 
Las constantes a1, a2 
y b2 
son también funciones del 
enfasamiento de perforación
Para el cálculo del SWb 
una cantidad adimensional es 
calculada primeramente. 
Swb = C1 * e C2+rwD 
Las Constante C1 y C2 pueden ser obtenidas de la 
Tabla
Daños Cerca al Pozo y Perforaciones 
Son caracterizados por un efecto de daño compuesto 
Si las perforaciones terminan dentro de la zona de los 
daños 
(Iperf.< rs). En la ecuación 
(Sd)o, es el efecto de daño equivalente de agujero 
abierto dado por la fórmula de Hawkins.
Si las perforaciones terminan fuera de la zona de daño, 
entonces: 
Donde Sp es evaluada en una longitud de perforación 
modificada I perf. y un radio modificado rw, estos son:
Pérdidas de Presión en Líneas de Producción 
La producción de HC es en condiciones de flujo 
multifásico, es decir, gas condensado y agua, 
Con el estudio de los mecanismos y principios del fluido 
multifásico, se puede estimar adecuadamente las 
pérdidas de carga que se producen en la tubería o línea 
de conducción. 
El flujo en tuberías se define como el movimiento de gas 
libre, mezcla de fluidos o una combinación de algún 
modelo de flujo en tuberías sobre diferentes condiciones 
de operación.
Todas las pérdidas de carga son función del caudal de 
producción y de las propiedades o característica de los 
componentes del sistema. 
En el caso de un flujo en fase simple, sea este líquido o 
gas, la pérdida de presión puede ser calculada 
fácilmente, sin embargo durante la producción de un 
pozo se tiene un fluido multifásico lo que complica el 
cálculo de dichas pérdidas de presión, los tres términos 
que contribuyen a la pérdida de carga total del sistema 
por Fricción, Aceleración y Elevación.
Ecuación de energía 
La base teórica para la mayoría de las ecuaciones de 
flujo de fluidos es la ecuación general de energía, la cual 
es una expresión del balance o conservación de energía 
entre dos puntos en un sistema.
Dividiendo entre la masa m 
Con las relaciones termodinámicas 
H = Entalpia 
S = Entropia 
T = Temperatura
Para un proceso irreversible 
d (lw) perdida de trabajo por la irreversibilidad
Si ningún trabajo fue hecho por el sistema dw = 0 
Si consideramos una porción de tubería inclinada
La anterior ecuación puede ser escrita en términos de 
gradiente de presión multiplicando por 
La caída de presión será : 
El esfuerzo viscoso será :
El factor de fricción se define como : 
Esta ecuación define la relación entre el esfuerzo 
cortante sobre la pared y la energía cinética por unidad 
de volumen 
El esfuerzo de corte sobre la pared es un balance de 
fuerzas de presión y las fuerzas de viscosidad:
Si el esfuerzo cortante es 
El gradiente de presión será
Esta es la ecuacion de Fanning donde f ' es el factor de 
Fanning 
El factor de friccion de Darcy ( Moody ) f = 4 f '
El gradiente de presión total
Es la perdida de presión debido al peso de la 
columna de fluido, 
En flujo horizontal = 0 
Es el cambio de energía potencial entre 2 
posiciones 
Es la perdida de presión por fricción, que se 
origina por el movimiento del fluido contra las 
paredes de la tubería de producción 
Es la caída de presión que resulta del cambio 
de velocidad del fluido entre 2 posiciones
Para flujo multifasico la ecuación será :
Número de Reynolds 
El número de Reynolds, parámetro adimensional, 
utilizado para distinguir entre un flujo laminar y 
turbulento, se define como la relación entre el 
momento de fuerzas del fluido y las fuerzas viscosas o 
de corte.
La viscosidad dinámica del fluido μ, frecuentemente 
indicada en cp, puede ser convertida en lbm / ft seg 
utilizando el factor de conversión de 1 cp = 6.7197x10-4 lbm 
/ ft seg. Y la ecuación será : 
En términos de caudal de gas o número de 
Reynolds para condiciones bases de temperatura y 
presión se puede escribir como 
Donde q esta en Mscfd, μ esta en cp, y d esta en pulgadas
El régimen de flujo es relacionado al número de 
Reynolds
Rugosidad Relativa 
El factor de fricción a través de una tubería es afectado 
por la rugosidad en la pared de la tubería. 
La rugosidad es una función del material tubular, el 
método de manufactura y del medio ambiente al que es 
expuesto, por tanto, no es uniforme a lo largo de la 
longitud de la tubería. 
El efecto de rugosidad en tanto, no es debido a las 
dimensiones absolutas definida como la medida de la 
altura y el diámetro existentes en una zona de mayor 
protuberancia y una distribución relativamente 
uniforme.
La rugosidad relativa es la relación de la rugosidad 
absoluta y el diámetro interno de la tubería. 
Si no se tienen los datos disponibles como el gradiente de 
presión, factor de fricción y el número de Reynolds para 
hacer uso del diagrama de Moody, se usa el valor de 
0.0006 para tuberías y líneas.
Flujo laminar de fase simple 
Existe flujo laminar cuando se presenta un movimiento 
estacionario permanente en cada punto de la trayectoria 
del fluido, que dice, que las líneas de corriente se 
deslizan en forma de capas con velocidades 
suficientemente bajas sin causar remolinos. 
El factor de fricción para flujo laminar puede ser 
determinado analíticamente. La ecuación de Hagen- 
Poiseville para flujo laminar es:
En funcion del factor de fricción de Moody para flujo laminar 
En su forma equivalente para el factor de fricción de 
Fanning
Flujo turbulento de fase simple 
Existe un movimiento turbulento cuando la velocidad 
media lineal excede la velocidad crítica y las partículas 
siguen trayectoria errática. 
Estudios experimentales de flujo turbulento, han 
mostrado que el perfil de la velocidad y el gradiente de 
presión son muy sensibles a las características de la 
pared de tubería de producción y líneas de surgencia, 
características que se pueden clasificar como: tuberías 
lisas y tuberías rugosas.
Tuberías lisas 
Las ecuaciones propuesta por Drew, Koo y McAdams 
que se presentan son válidas para valores específicos 
de número de Reynolds, utilizado para intervalos de 
3x103 < NRe < 3x106. 
f = 0.0052 + 0.5NRe 
-0.32 
Y la ecuación presentada por Blasius, para número 
de Reynolds mayores a 105 en tuberías lisas: 
f = 0.31NRe 
-0.25
Tuberías rugosas 
En flujo turbulento, la rugosidad tiene un efecto 
determinante en el factor de fricción por consiguiente, la 
gradiente de presión debido a su dependencia con la 
rugosidad relativa y número de Reynolds, (Colebrook y 
While ), propusieron una ecuación aplicable a tuberías 
lisas como tubería de flujo de transición y totalmente 
rugosas en las zonas de flujo turbulento, la dificultad 
radica en que la ecuación no es lineal
Para valores considerados de rugosidad relativa entre 
10-6 y 10-2 , número de Reynolds entre 5x103 y 108, se 
puede utilizar la ecuación de Jain.
Flujo de fase simple 
La ecuación de gradiente de presión derivada 
anteriormente combinando con las ecuaciónes del 
gradiente de presión, aplicable para cualquier fluido en 
cualquier ángulo de inclinación de tubería, es 
Esta ecuación se aplica para cualquier fluido en 
estado estable, un flujo dimensional para el cual f , ρ 
, y u pueden conocidos
. 
El cambio de elevación al componente hidrostático es cero, 
solamente para flujo horizontal. 
Se aplica para fluido compresible o incompresible, flujo 
pseudo estable y transiente en las tuberías verticales o 
inclinadas. 
Para flujo descendente el seno del ángulo es negativo, y la 
presión hidrostática aumenta en dirección del flujo. 
La pérdida de fricción de los componentes se aplica para 
cualquier tipo de flujo en cualquier ángulo de inclinación 
de tubería.
Esto siempre causa una caída de presión en dirección de 
flujo. 
En flujo laminar las pérdidas de fricción linealmente son 
proporcional a la velocidad del fluido. 
En flujo turbulento, las pérdidas de fricción son 
proporcionales a un , donde 1.7 ≤ n ≤ 2. 
El cambio de energía cinética o la aceleración del 
componente es cero para área constante, flujo 
incompresible. 
Para cualquier cambio de velocidad, la caída de presión 
sucederá en dirección que la velocidad aumenta.
Flujo de dos fases 
Introduciendo una segunda fase dentro de una corriente 
de flujo complica el análisis de la ecuación de gradiente 
de presión. 
El gradiente de presión es incrementado para la misma 
masa de flujo, y el flujo podría desarrollar pulsaciones 
naturales. 
Los fluidos pueden separarse debido a la diferencia de 
densidades y pueden fluir en velocidades diferentes en la 
tubería.
Propiedades como la densidad, velocidad y la viscosidad, 
se vuelven muy difíciles para determinar. 
Antes de modificar la ecuación de gradiente de presión 
para las condiciones de flujo de dos fases, se debe 
definir y evaluar ciertas variables únicas para una mezcla 
de dos fases gas – líquido.
Variables de flujo de dos fases 
Para calcular el gradiente de presión se necesita los 
valores como densidad, viscosidad, y en algunos casos la 
tensión superficial para las condiciones de flujo. 
Cuando estas variables son calculadas para flujo de dos 
fases, se encuentran ciertas normas de mezclas y 
definiciones únicamente para esta aplicación. 
Analizaremos algunas de las propiedades más 
importantes, las cuales deben ser estudiadas antes de 
adaptar las ecuaciones de gradiente de presión para las 
condiciones de dos fases.
Escurrimiento de Líquido (Holdup), HL 
Es definido como la fracción de un elemento de tubería 
que es ocupado por el líquido en algún momento, esto 
es: 
si el volumen es muy pequeño, el escurrimiento del 
líquido será cero o uno. Siendo necesario determinar 
el escurrimiento del líquido, si se desea calcular tales 
valores como densidad de la mezcla, velocidad a 
través del gas y líquido, viscosidad efectiva y 
transferencia de calor..
El valor de escurrimiento del líquido varía desde cero, 
para flujo de gas de una sola fase, a uno para flujo de 
líquido de una sola fase. 
El escurrimiento de líquido puede ser medido 
experimentalmente por varios métodos, tales como 
pruebas de resistividad o capacidad, densitómetros 
nucleares, o por entrampar un segmento de corriente de 
flujo entre válvulas de echado rápido y midiendo el 
volumen de líquido atrapado. 
No se puede calcular analíticamente un valor de 
escurrimiento de líquido. Se debe determinar de 
correlaciones empíricas
El Volumen relativo instantáneo de líquido y gas 
algunas veces expresado en términos de fracción de 
volumen ocupado por el gas, llamado altura del gas , 
Hg 
, o fracción al vacío. 
La altura de gas es expresada como
Suspensión de líquido, λL 
Llamado algunas veces líquido de entrada, es definido 
como la razón de volumen de líquido en un elemento de 
tubería, el cual existirá si el gas y el líquido viajan a la 
misma velocidad (sin escurrimiento) dividido por el 
volumen de elemento de tubería. Esto se puede calcular 
conociendo los caudales de flujo de gas y líquido in – 
situ, utilizando 
La elevación de gas no volátil o fracción de gas es 
definido como:
Densidad 
Toda ecuación de flujo de fluido requiere que un valor de 
densidad de fluido 
La densidad se requiere en la evaluación de los cambios 
de energía debido a la energía potencial y los cambios de 
energía cinética. 
Para calcular los cambios de densidad con los cambios 
de presión y temperatura, se necesita tener una ecuación 
de estado para el líquido sobre consideraciones. 
Las ecuaciones de estado son fácilmente disponibles para 
fluidos de fase simple.
Cuando dos líquidos inmiscibles como petróleo y el agua 
fluyen simultáneamente, la definición de densidad se 
vuelve mas complicada. 
La densidad de una mezcla fluyente de gas – líquido es 
muy difícil de evaluar debido a la separación 
gravitacional de las fases, y la volatibilidad entre las 
mismas. 
La densidad de una mezcla de petróleo – agua se puede 
calcular de forma aproximada de la siguiente manera: 
ρL = ρoƒo + ρwƒw
Para calcular la densidad de una mezcla de gas – 
líquido, se necesita conocer el escurrimiento de líquido 
utilizando tres ecuaciones para densidad de dos fases 
para flujo de dos fases 
Ecuaciones utilizadas por la mayoría de los autores 
para determinar el gradiente de presión debido al 
cambio de presión
Velocidad 
Muchas correlaciones están basadas en una variable 
llamada velocidad superficial. La velocidad superficial de 
la fase de un líquido es definida como la velocidad en la 
cual esa fase existiría si este fluido pasa a través de toda 
sección transversal de tubería. 
La velocidad de gas superficial es calculada por:
El área real por la cual los flujos de gas están reducidos 
por la presencia de líquido al AHg. 
Por tanto, la velocidad real es calculada por: 
Donde A es el área de tubería. 
Las velocidades de líquido real y la superficial son 
calculadas de forma similar
Hg 
y HL 
son menores que uno, las velocidades reales son 
mayores que las velocidades superficiales. 
La velocidad de dos fases o mezcla es calculada en base 
a los caudales de flujo instantáneo total de la ecuación: 
Las fases de gas y líquido viajan a velocidades 
diferentes en la tubería. Algunos autores prefieren 
evaluar el grado de desprendimiento o escurrimiento 
de líquido para determinar la velocidad de 
deslizamiento Vs.
La velocidad de deslizamiento es definida como la 
diferencia entre las velocidades de gas real y liquido 
Utilizando estas definiciones para varias velocidades, 
forma de la ecuacion para no-escurrimiento de líquido 
real son:
Viscosidad 
El concepto de viscosidad de dos fases esta definida por 
las siguientes ecuaciones utilizadas por los autores para 
calcular la viscosidad de dos fases de gas – líquido son:
Tensión Superficial 
La tensión interfacial depende de otras propiedades de 
fluido como la gravedad de petróleo, gravedad del gas 
y gas disuelto. 
Si la fase líquida contiene petróleo y agua, los mismos 
factores de peso son utilizados para calcular la 
densidad y la viscosidad. Esto es:
Modificación de la ecuación de gradiente de presión 
para flujo de dos fases 
La ecuación de gradiente de presión, se aplica para 
cualquier flujo de fluido en una línea inclinada dado un 
ángulo θ de horizontal, dado previamente como:
Modelo simplificado para predecir velocidad mínima 
del gas para remover líquido del fondo y la 
velocidad erosional 
Turner hizo un análisis de la velocidad mínima 
necesaria para evitar el resbalamiento del líquido en el 
pozo y para mover la película de líquido en la pared del 
tubería. 
Este estudio generó un criterio para determinar la 
velocidad crítica usando el modelo de agua y 
comparando con de las velocidades críticas del gas 
producido en el pozo a temperatura en cabeza y presión 
en cabeza.
Las velocidades críticas encontradas por Turner para el 
modelo de caída resulta una ecuación simple de la 
velocidad hacia arriba, ascendente para evitar que las 
gotas más grandes caigan, lo cual es considerada como 
un esfuerzo de corte.
Despejando la velocidad final 
La relación entre la caída, el diámetro, velocidad y 
tensión superficial es
Usando la relación anterior, Turner recomendó que el 
número de Weber sea igual a 30 para caídas grandes,
El caudal mínimo para prevenir el resbalamiento de 
líquido es:
Cambio del Componente de elevación 
Donde ρs 
, es la densidad de la mezcla gas – líquido en 
la línea. 
Considerando una porción de línea, la cual contiene 
líquido y gas, la densidad de la mezcla puede ser 
calculada con la ecuación
Suponiéndose que no hay pérdidas de fuerza de 
transmisión entre la fase de líquido y gas, el término 
densidad es definido por la ecuación 
el uso de la ecuación implica la determinación de un 
valor exacto de elevación de líquido, en vista que la 
densidad puede ser calculada desde los caudales de 
flujo líquido y gas instantáneo.
Cambio del Componente del factor de fricción 
El componente del factor de fricción se vuelve 
Donde f, ρ y μ son definidos analíticamente
Cambio del Componente de aceleración 
El componente de aceleración para flujo de dos fases es 
representado por 
Se hacen varias suposiciones acerca de la magnitud 
relativa de sus parámetros. 
La consideración principal para resolver las ecuaciones, 
desarrollando los métodos para la predicción de 
elevación de líquido y factor de fricción de dos fases, es 
realizado mediante la aproximación.
Modelo de flujo de dos fases 
Cuando dos fluidos con diferentes propiedades físicas 
simultáneamente están en una tubería, se tiene una gama 
amplia de posibles modelos de flujo. 
La predicción de modelos de flujo, para pozos 
horizontales es la más compleja que para flujos de 
pozos verticales. 
Para flujo horizontal, las fases se tienden a separar 
por efecto de la densidad provocando una especie de 
flujo estratificado que es común.
Patrones de Flujo. 
La diferencia básica entre flujo de una sola fase y 
bifásico es que en este último la fase gaseosa y líquida 
pueden estar distribuidas en la tubería en una variedad 
de configuraciones de flujo, las cuales difieren unas de 
otras por la distribución especial de la interfase, 
resultando en características diferentes de flujo tales 
como los perfiles de velocidad y hold up. 
La existencia de patrones de flujo en un sistema bifásico 
dado depende de las siguientes variables:
Parámetros operacionales, es decir, tasas de flujo de 
gas y líquido. 
Variables geométricas incluyendo diámetro de la 
tubería y ángulo de inclinación. 
Las propiedades físicas de las dos fases, tales como; 
densidades, viscosidades y tensiones superficiales del 
gas y del líquido.
Bajo estos parámetros los patrones de flujo se 
clasifican como : 
- Patrones de flujo para Flujo Horizontal y 
cercanamente Horizontal 
- Patrones de flujo para Flujo Vertical y 
Fuertemente Inclinado
Patrones de flujo para Flujo Horizontal y 
cercanamente Horizontal. 
Los patrones de flujo existente en estas configuraciones 
pueden ser clasificados como: 
- Flujo Estratificado 
-Flujo Intermitente (Flujo Tapón y Flujo de Burbuja 
Alargada). 
- Flujo Anular (A). 
- Burbujas Dispersas..
Flujo Estratificado 
Abreviado como “St”, ocurre a tasas de flujo 
relativamente bajas de gas y líquido. Las dos fases 
son separadas por gravedad, donde la fase líquida 
fluye al fondo de la tubería y la fase gaseosa en el 
tope. Este patrón es subdividido en Stratified Smooth 
(SS), donde la interfase gas-líquido es lisa, y Stratified 
Wavy (SW), ocurre a tasas de gas relativamente altas, 
a la cual, ondas estables se forman sobre la interfase.
Flujo Intermitente (Flujo Tapón y Flujo de Burbuja 
Alargada). 
Abreviado como “I”, el flujo intermitente es caracterizado 
por flujo alternado de líquido y gas, plugs o slugs de 
líquido, los cuales llenan el área transversal de la 
tubería, son separados por bolsillos de gas, los cuales 
tienen una capa líquida estratificada fluyendo en el 
fondo de la tubería.
El mecanismo de flujo es el de un rápido movimiento 
del tapón de líquido ignorando el lento movimiento de 
la película de líquido a la cabeza del tapón. 
El líquido en el cuerpo del tapón podría ser aireado 
por pequeñas burbujas las cuales son concentradas 
en el frente del tapón y al tope de la tubería. 
El patrón de flujo intermitente es dividido en patrones 
de flujo Slug (SL) y de burbuja alongada (EB). 
El comportamiento de flujo entre estos patrones es el 
mismo con respecto al mecanismo de flujo,
Flujo Anular (A). 
Flujo anular ocurre a muy altas tasas de flujo de gas. 
La fase gaseosa fluye en un centro de alta velocidad, la 
cual podría contener gotas de líquido arrastradas. El 
líquido fluye como una delgada película alrededor de la 
pared de la tubería. La película al fondo es 
generalmente más gruesa que al tope
Burbujas Dispersas 
A muy altas tasas de flujo de líquido, 
la fase líquida es la fase continua, y la gaseosa es la 
dispersa como burbujas discretas. 
La transición a este patrón de flujo es definida por la 
condición donde burbujas son primero suspendidas en el 
líquido, o cuando burbujas alargadas, las cuales tocan el 
tope de la tubería, son destruidas.
Patrones de flujo para Flujo Vertical y Fuertemente 
Inclinado 
-Flujo Burbuja. 
-Flujo Slug (Tapón “Sl”). 
-Flujo Churn (Transición “Ch”). 
- Flujo Anular (Neblina “An”)
Flujo Burbuja. 
Como en el caso horizontal, la fase gaseosa 
es dispersa en pequeñas burbujas discretas 
en una fase líquida continua, siendo la 
distribución aproximadamente homogénea a 
través de la sección transversal de la tubería. 
Este patrón muestra 2 comportamientos 
A bajo caudal ocurre el deslizamiento entre 
fase de gas y liquido 
A alto caudal no ocurre el deslizamiento entre 
fase de gas y liquido
Flujo Slug (Tapón “Sl”). 
Este patrón de flujo en tuberías verticales es 
simétrico alrededor del eje de la tubería. 
La mayoría de la fase gaseosa esta localizada 
en burbujas de gas con un diámetro casi igual al 
diámetro de la tubería. 
El flujo consiste de sucesivas burbujas 
separadas por tapones de líquido. Una delgada 
película líquida fluye corriente abajo entre la 
burbuja y la pared de la tubería. 
La película penetra en el siguiente tapón líquido 
y crea una zona de mezcla aireada por gas
Flujo Churn (Transición “Ch”). 
Este patrón de flujo es caracterizado por 
un movimiento oscilatorio, este tipo de 
flujo es similar al Slug Flow, los límites no 
están bien claros entre las fases. 
Ocurre a mayores tasas de flujo de gas, 
donde el tapón de líquido en la tubería 
llega a ser corto y espumoso.
Flujo Anular (Neblina “An”) 
. 
En flujo vertical, debido a la simetría de 
flujo el espesor de la película líquida 
alrededor de la pared de la tubería es 
aproximadamente uniforme. 
Como en el caso horizontal el flujo es 
caracterizado por un rápido movimiento 
de gas en el centro. 
La fase líquida se mueve más lenta 
como una película alrededor de la pared 
de la tubería y como gotas arrastradas 
por el gas.
La interfase es altamente ondeada, resultando en 
un alto esfuerzo de corte interfacial. 
En flujo vertical corriente abajo, el patrón anular 
existe también a bajas tasas de flujo en la forma de 
“falling film”. 
El patrón tapón en flujo corriente abajo es similar al 
de flujo corriente arriba, excepto que generalmente 
la burbuja es inestable y localizada 
excéntricamente al eje de la tubería. 
La burbuja podría ascender o descender, 
dependiendo de las tasas de flujo relativa de las 
fases
Correlaciones de flujo multifásico en tuberías 
Existen muchas correlaciones empíricas generalizadas 
para predecir los gradientes de presión. Dichas 
correlaciones se clasifican en: 
Las correlaciones Tipo A, que consideran que no existe 
deslizamiento entre las fases y no establecen patrones 
de flujo 
Las correlaciones Tipo B, que consideran que existe 
deslizamiento entre las fases, pero no toman en cuenta 
los patrones de flujo. 
Las correlaciones Tipo C, que consideran que existe 
deslizamiento entre la fases y los patrones de flujo-
Correlación de Hagedorn & Brown. 
Desarrollaron una correlación general par un amplio rango 
de condiciones. Los aspectos principales de dichas 
correlación son: 
i.La ecuación de gradiente de presión incluyen el término de 
energía cinética y considera que existe deslizamiento entre 
las fases. 
ii. No considera los patrones de flujo. 
iii. El factor de fricción para flujo bifásico se calcula utilizando 
el diagrama de Moody.
iv. La viscosidad líquida tiene un efecto importante en 
las pérdidas de presión que ocurre en el flujo bifásico. 
v. El factor de entrampamiento líquido o fracción del 
volumen de la tubería ocupado por líquido es función 
de cuatro (4) números adimensionales: 
- número de velocidad líquida, 
- número de velocidad del gas, 
- número del diámetro de la tubería y 
- el número de la viscosidad líquida (introducidos por 
Duns & Ros).
Análisis de Flujo de Gas a Través de Choques 
El caudal de flujo de casi todos los pozos fluyentes es 
controlado con un choque en la cabeza del pozo para 
controlar el caudal de producción 
y asegurar la estabilidad del mismo. 
El choque, es un instrumento de restricción más 
comúnmente usado para efectuar una variación de 
presión o reducción de caudal,
Los choques, son usados para causar una caída de 
presión o reducir el caudal de flujo. 
Son capaces de causar grandes caídas de presión: 
Los choques entonces tienen, varias aplicaciones como 
dispositivos de control en la industria del petróleo y gas. 
Algunas veces estas aplicaciones pueden ser utilizados 
para: 
Mantener un caudal de flujo permisible en la cabeza del 
pozo. 
Controlar el caudal de producción. 
Proteger los equipos de superficie
Controlar y prevenir los problemas de arenamiento 
Prevenir una conificación de gas y agua
Clasificación de los Choques 
Choques superficiales. 
Choques de fondo. 
Choques superficiales 
La función principal del choque superficial es la de 
estrangular el flujo para proporcionar estabilidad en las 
instalaciones superficiales. 
Los choques superficiales pueden ser clasificados 
conforme a su desempeño 
Tipo positivo 
Tipo ajustables
Tipo positivo 
Esta compuesto de un cuerpo o caja en cuyo interior 
se puede instalar o cambiar manualmente diferentes 
diámetros de orificios. 
En la mayoría de los casos se utiliza el de orificio 
positivo, debido a su simplicidad y bajo costo.
• Tipo ajustable: 
• Es similar al choque positivo, con la excepción de que 
para ajustar el diámetro de la apertura del orificio de flujo 
tiene una varilla fina con graduaciones visibles que indican 
el diámetro efectivo del orificio.
Choques de fondo 
Los choques de fondo se encuentran en el interior de la 
tubería de producción, mas propiamente abajo de la 
válvula de seguridad. 
Los choques de fondo son muy útiles para lograr 
mayores velocidades en el extremo inferior de la 
columna de flujo. 
Con los choques de fondo se pueden sostener 
contrapresiones más bajas contra las formaciones 
productoras, estimulando así mismo los regímenes de 
producción.
Los choques de fondo se usan para 
reducir la presión fluyente en la cabeza del pozo y 
prevenir la formación de hidrato en las líneas 
superficiales 
Los choques de fondo se clasifican 
Tipo Fijo 
Tipo Removibles
Tipo fijo 
El choque de fondo tipo fijo se coloca rígidamente 
adherido a la tubería de producción, ésta se puede 
ajustar solo tirando la tubería. 
No es recomendable, especialmente en pozos que 
producen hidrocarburos con arena, que ocasionalmente 
tienen un desgaste rápido y requieren reposición 
frecuente del choque, por que se pueden ajustar y 
compensar el desgaste.
Tipo Removible 
Es el más práctico se puede sacar a la superficie para su 
inspección, ajuste o reposición sin alterar la tubería de 
producción. 
El choque de fondo removible, esta armado en un 
empacador equipado con cuñas de modo que se puede 
colocar en la tubería de flujo a cualquier profundidad 
deseada. 
Se puede bajar con Wire Line 
Consiste de un mandril con, un juego de cuñas, un 
elemento de empaque y el diámetro del orificio que ajusta 
libremente en una superficie cónica y tiene barras de 
extensión que se extienden para la cima por una borda 
en el mandril y dentro de los casquillos en un collar se 
puede deslizar libremente en el extremo superior del 
mandril.
Factores que influyen en el choque 
La selección del diámetro del choque, esta influenciado 
por la presión fluyente, 
el índice de productividad, razón gas – petróleo, etc. 
Diversos factores pueden ser considerados para 
determinar la producción o caudal en el sistema de flujo, 
entre estos tenemos: 
־ Comportamiento de entrada del flujo. 
־ Sistema superficial. 
־ Sistema subsuperficiales. 
־ Instalaciones superficiales.
Modelos de Flujo 
Cuando el flujo de gas o la mezcla gas-líquido fluyen a 
través del choque, el fluido puede acelerarse hasta 
alcanzar la velocidad del sonido en la garganta del 
choque, cuando esta condición ocurre el fluido es llamado 
crítico. 
El cambio de presión aguas abajo del choque no afectan 
al caudal de flujo, porque las perturbaciones de la presión 
no pueden viajar agua arriba más rápido que la velocidad 
sonica.
Para la predicción de la caída de presión para un 
caudal de flujo relacionada para los fluidos 
compresibles fluyendo a través del choque, 
deberíamos determinar el flujo crítico, o subcrítico, 
para aplicar su correspondiente correlación. 
.
La Figura muestra la dependencia del caudal de flujo 
a través del choque o la razón de las presiones 
aguas arriba a aguas abajo para un fluido 
compresible. 
El caudal es independiente de la relación de presión 
aguas arriba/aguas abajo, cuando el fluido es crítico 
El flujo a través de Choques, en general, puede ser 
de dos tipos: Subcríticos y Crítico.
Flujo Subcrítico 
El flujo es llamado Subcrítico cuando la velocidad del 
gas a través de las restricciones es menor a la 
velocidad del sonido del gas, y el caudal depende 
tanto de la presión de entrada como de la presión 
salida. 
Los choques subsuperficiales son normalmente 
proyectados para permitir el flujo subcrítico
Flujo Crítico 
El flujo es llamado crítico cuando la velocidad del gas a 
través de las restricciones es igual a la velocidad del 
sonido (1100 ft/seg. para el aire) en el gas. 
La velocidad máxima en la cual un efecto de presión o una 
perturbación se pueden propagar a través de un gas no 
puede exceder la velocidad del sonido del gas. 
Así mismo, una vez que la velocidad del sonido sea 
alcanzada, un aumento mayor en la diferencial de presión 
no aumentará la presión en la garganta del choque.
Por lo tanto, el caudal de flujo no puede exceder al 
caudal de flujo crítico conseguido cuando la razón de 
presión salida P2 y entrada P1 llega a un valor 
crítico, indica que esta presión sea decrecida. 
Al contrario del flujo subcrítico, el caudal de flujo, en 
flujo crítico, depende solamente de la presión 
entrada, porque las perturbaciones de presión que 
trafican en la velocidad del sonido implican que una 
perturbación de presión en la salida no tendrá efecto 
alguno sobre la presión de entrada o sobre el caudal 
de flujo. Los choques en superficies son 
normalmente desechados para favorecer un flujo 
crítico
Cuando el flujo de gas pasa a través de un orificio, la 
velocidad aguas arriba es controlada por la diferencial de 
presión a través del orificio. 
Como la diferencial de presión incrementa por un 
incremento en la presión agua arriba, una disminución en 
la presión aguas abajo o ambos, la velocidad del gas 
aumenta y se acerca a un valor conocido como la 
velocidad crítica. 
.
Después de que esta velocidad crítica alcanza la 
presión diferencial a través del orificio no afecta a 
la velocidad. 
La velocidad crítica se alcanza cuando la relación 
de la presión aguas arriba / aguas abajo es 
aproximadamente 2 o más. 
Sobre la relación de presión crítica no importa 
cuánta presión está aplicada en el lado de las 
aguas arriba
La fórmula para los cálculos de caudal de gas es 
.
Flujo de Gas 
La ecuación general para flujo a través de restricciones 
puede ser obtenida combinando la ecuación de 
Bernoulli con la ecuación de estado. 
Las pérdidas irreversibles o pérdidas de fatiga son 
explicadas por un coeficiente de descarga, el cual 
depende del tipo de restricciones.
Flujo de gas simple fase 
Cuando un fluido compresible pasa a través de una 
restricción, la expansión del fluido es un factor muy 
importante. 
Para fluidos isotrópicos de un gas ideal a través de 
un choque, el caudal esta relacionado a la relación 
de presión P1/P2. 
La ecuación general es válida solamente en el 
régimen subcrítico, antes del flujo crítico, cuando la 
máxima velocidad de flujo (igual a la velocidad del 
sonido) es obtenida
Si la razón de presiones en la cual el flujo crítico ocurre, 
es representado por (P1 / P2)c, entonces a través del 
cálculo elemental se puede demostrar que: 
k se asume , como una constante, k 0 1.293 
Generalmente, el valor de k 1.25 y 1.31,
A partir de la relación representada por la ecuación y 
que el flujo es crítico cuando la razón de presión esta 
en la región de 0.5549 (para k = 1.25) para 0.5439 
(para k = 1.31). 
El flujo es considerado crítico cuando la razón de 
presión es menor o igual a 0.55, el cual indica que 
k sea a 1.275 aproximadamente. 
si 
Reemplazando estos valores en la ecuacion :
BALANCE DE MATERIA EN RESERVORIO DE GAS 
Es un balance de moles de gas existente en el reservorio. 
Los moles existente en un reservorio en un determinado 
instante es la diferencia entre los moles original en el 
reservorio y los moles producidos. 
El volumen de los fluidos existente en el reservorio es la 
diferencia entre el volumen inicial y el volumen producido, 
ambos medidos a esa condición de presión 
La ecuación de balance de materiales para reservorio de 
gas esta sujeto a los dos principales mecanismos de 
producción, la expansión de fluido 
y la entrada de agua
Las principales aplicaciones de la ecuación de balance de 
materiales son: 
• Determinación de volumen original de gas. 
• Determinación de volumen original de condensado. 
• Determinación de la entrada de agua proveniente de 
acuíferos. 
• Prevención del comportamiento de reservorios. 
Conociéndose el volumen de reservorio, la porosidad de 
roca y la saturación de agua irresidual, pueden ser 
calculados los volúmenes originales de gas a través del 
método volumétrico. 
El volumen de gas, medido en condiciones estándar, esta 
dado por
Donde 
Vr es el volumen total del reservorio, 
φ es la porosidad de la roca. 
Sg la saturación de gas, 
Bg el factor volumétrico de gas, 
Sw la saturación de agua 
y el índice i se refiere a las condiciones iniciales
ECUACIÓN DE BALANCE DE MATERIAL 
Esta ecuacion puede ser obtenida a partir del principio de 
conservación de masa en el interior del reservorio, 
representado por la siguiente expresión: 
Masa producida = masa inicial – masa actual. 
Si la composición del gas producido es constante, los 
volúmenes producidos y volúmenes remanente en el 
reservorio son directamente proporcional a la masa, ya 
que para la ecuación de estado de los gases se tiene:
La ecuación de conservación de masa puede ser 
expresada a través de un balance de volúmenes, bajo 
una condición de P y T cualquiera de referencia: 
Volumen producido = volumen inicial – volumen actual 
Las condiciones de 1 atm (14,7 psi) y 15,6 ºC (60 ºF) 
como referencia, denominados condiciones naturales o 
estándar 
np 
= ni 
– n 
Donde np 
, ni 
y n son los números de moles producidos, 
iniciales y remanente en el reservorio respectivamente
El número de moles puede ser calculado a través de la 
ecuación de estado de los gases reales 
Donde Gp 
es el volumen de gas producido acumulado, 
medido en las condiciones estándar.
Donde Vi 
es el volumen inicial del gas en el reservorio 
medido a una presión P y temperatura T. 
Normalmente se admite que la temperatura del 
reservorio permanece constante durante su vida de 
productividad. 
El número de moles existentes en el reservorio en un 
instante cualquiera, cuando la presión medida es igual 
a P, es: 
Donde V es el volumen ocupado por el gas, medido 
en las condiciones de reservorio
Ecuación de balance de materiales general para un 
reservório de gas: 
Existen 3 mecanismos de producción los cuales son 
responsables de la recuperación de gas en los yacimientos 
- Expansión del Gas por declinación de la Presión 
- Empuje del Agua proveniente del Acuífero activo adyacente 
- Expansión del agua connota y reducción del volumen poroso 
por compactación al ocurrir disminución de la presión de poros
La ecuación para el balance de materiales considerando 
los tres mecanismos anteriormente mencionados se 
obtiene a partir del siguiente balance: 
El volumen de fluido producidos = Gp*Bg+Wp*Bw 
El espacio dejado por la producción es llenado por: 
• Expansión del Gas 
• Expansión del Agua Connata y reducción del 
volumen poroso 
• Intrusión del Agua
Teniendo en cuentas los mecanismos de producción la 
ecuación de vaciamiento viene expresada por: 
La expansión del Agua connata , y la reducción del 
volumen poroso se pueden obtener de las siguientes 
ecuaciones generales. 
Por lo tanto la suma de la expansión del agua y la 
reducción del volumen poroso esta expresada a 
continuación
Combinando las ecuaciones obtenemos el 
siguiente balance de materiales, considerando 
los tres mecanismos de producción 
Expansión del Gas Expansión del Agua 
connata y reducción 
del volumen 
Intrusión del Agua
El Balance de Materiales se usa para determinar la 
cantidad de hidrocarburo inicial en el reservorio y su 
comportamiento futuro en cualquier etapa de 
agotamiento, calculándose el volumen recuperable bajos 
las condiciones de abandono 
Las suposiciones consideradas en la deducción de la 
ecuación son las siguientes: 
• El espacio poroso se encuentra ocupado inicialmente 
por el gas y agua irresidual 
• La composición del gas no cambia en le etapa de 
explotación del reservorio 
• La temperatura del yacimiento se considera constante
Los reservorios de gas pueden ser clasificados de 
acuerdo a su energía con la cual producen, los cuales 
pueden ser: 
• Reservorios Volumétricos. 
• Reservorios con empuje de agua.
RESERVORIOS VOLUMÉTRICOS DE GAS 
Es aquel que produce solamente por depleción, o sea, 
por expansión de masa existente en el medio poroso, no 
habiendo por tanto influjo de agua proveniente de 
acuíferos. 
En este tipo de reservorio normalmente no produce agua, 
y las variaciones de volumen poroso (son debidos a la 
compresibilidad de la roca) y de agua irresidual (debidas 
a la compresibilidad del agua) son despreciables, cuando 
son comparadas con la expansión de gas.
balance de materia para un reservorio volumétrico de 
gas seco
El cálculo de volumen original de gas G puede ser 
efectuado de dos maneras 
Gráficamente. 
Extrapolándose la producción acumulada 
(GP) para p/Z =0, 
ya que todo el gas originalmente existente habría sido 
producido cuando la presión en el interior del poro fuese 
0 , pero en la práctica esto no ocurre debido a que se 
tiene una presión de abandono la cual puede estar en 
función a su capacidad de producción o a un limite 
económico, con lo cual determinaríamos nuestras 
reservas recuperables a la presión de abandono.
Analíticamente a partir de la ecuación
RESERVORIOS VOLUMÉTRICOS ANORMALMENTE 
PRESURIZADOS 
La hipótesis de que los efectos de la compresibilidad de la 
roca y el agua son despreciables no son válidos, debido a 
que el gas posee compresibilidades mucho mayor que las 
compresibilidades de la roca o del agua. 
Pero pueden ocurrir casos de reservorios anormalmente 
presurizados donde la roca reservorio generalmente es 
inconsolidada, y por lo tanto altamente presurizada, 
aparte de eso en reservorios altamente presurizados la 
compresibilidad del gas es menor de lo usual.
Los reservorios anormalmente presurizados pueden 
presentar gradientes de presión que están en el orden 
de 0.86 psi/pie, siendo que los valores normales están 
en torno de 0.433 psi/pie lo cual significa que la 
compresibilidad se reduce a la mitad de lo usual 
La curva convencional de declinación de presión 
P/Z vs Gp para yacimiento de gas con presiones 
anormales debe ser ajustada teniendo en cuenta las 
compresibilidades del agua connota Cw y de la 
formación Cf con el fin de obtener un valor correcto 
del volumen In-Situ.
Se consideran los efectos de la compresibilidad de la 
roca y agua, considerando que no existe entrada de 
agua. 
El volumen ocupado por el gas en un instante 
cualquiera es dado por:
Donde cw 
y cf 
son las compresibilidades del agua y de 
la formación, Vwi 
el volumen inicial de agua conata, Vpi 
el volumen poroso inicial y ΔP= Pi-P la caída de 
presión en el reservorio con relación a la presión 
inicial, por tanto: 
Utilizándose la definición de saturación de fluidos
Sustituyendo estos valores
Definiéndo
Un gráfico de ( 1 - CcwfΔp ) p/Z versus Gp debe resultar 
en una línea recta con coeficiente angular igual a – b. La 
figura muestra que, despreciándose los efectos de 
compresibilidad del agua y de la roca, la extrapolación 
del volumen original de gas podrá tornarse 
exageradamente optimista cuando el reservorio 
volumétrico de gas fuera anormalmente presurizado.
Reservorio de Gas Anormalmente Presurizado con 
entrada de Agua 
Como se puede observar en el grafico de comportamiento 
para un reservorio anormalmente presurizado
se pueden observar dos pendientes, el primer 
comportamiento o pendiente esta en función de la 
compresibilidad del gas mas formación y 
el segundo comportamiento esta en función de la 
compresibilidad del gas + la entrada de agua. 
Si alineamos los puntos de estos comportamientos 
tenemos dos valores In-Situ , 
el primer valor es mayor que el segundo debido a la 
expansión del fluido el cual no es representativo, la 
segunda pendiente es mas inclinada y el valor obtenido es 
menor y esta en función al verdadero mecanismo de 
empuje,
por lo tanto cuando se realiza un balance p/z debe ser 
corregido por sus compresibilidades efectivas a los 
distintos datos de presión 
El comportamiento de la compresibidad efectiva vs. el 
historial de presión es muy importante ya que de ello 
depende la confiabilidad del volumen In-Situ calculado 
ya que la compresibilidad efectiva no es constante en 
los reservorios anormalmente presurizado
La compresibilidad acumulativa del gas esta en 
función del volumen del gas inicial basados en los datos 
en los datos históricos de la presión y el gas 
acumulado. Para este cálculo se tomaran los valores de 
G volumen In-Situ Inicial
RESERVORIOS DE GAS CON ENTRADA DE AGUA 
En éste tipo de reservorio, a medida que produce el 
reservorio existe una entrada de agua hacia el interior del 
reservorio, proveniente de un acuífero contiguo a la zona 
de gas, para remplazar el volumen de gas producido 
manteniendo la presión de reservorio. 
La entrada del acuífero está en función a la velocidad con 
que el gas es producido en el reservorio. 
La grafica P/Z vs Gp para reservorio con empuje 
hidráulico presenta una curvatura cóncava hacia arriba y 
por esta razón el método de declinación de la presión no 
puede usarse para determinar el volumen In-Situ
esta curvatura es debido a la entrada adicional de 
energía proveniente del acuífero asociado
Si existe una reducción en la presión inicial de reservorio, 
existe también una expansión del acuífero adyacente y 
consecuentemente una entrada de agua en el reservorio 
Gp = Gi-Gr 
Gp = BgiVi – Bgf (Vi-We+BwWp) 
Sustituyendo Vi por su equivalente G/Bgi la ecuación se 
convierte: 
Gp = G – Bgf(G/Bgi –We + Bw Wp) 
Dividiendo los términos por Bgf se obtiene: 
Gp Bgf= G (Bgf-Bgi)+We- BwWp
El volumen Vi ocupado por el gas no es igual al volumen 
inicial cuando hay entrada y/o producción de agua. 
Despreciándose la variación de volumen poroso debido a 
la compresibilidad de la roca, o la expansión de agua 
connata, el volumen Vi puede ser calculado por 
Donde We es la entrada de agua (medido en condiciones 
de reservorio), Wp es la producción acumulada de agua 
(medido en condiciones normales) y Bw es el factor 
volumétrico del agua.
En caso de que la entrada de Agua We sea conocido, algo 
que generalmente no ocurre, el volumen de gas en 
condiciones de reservorio (Vi) puede ser obtenido a partir 
del volumen original de gas (G), medido en las condiciones 
naturales que es calculado con la ecuación
La ecuación 
podrá también ser utilizada para calcular la entrada de 
agua acumulada (We) y el volumen de gas inicial (Vi) 
con una mayor precisión que el método volumétrico, 
En cualquier instante del historial de producción, el 
cálculo del volumen original de gas (G) debe producir 
el mismo resultado, a diferentes tiempos de la vida 
productiva de un reservorio con influjo de agua.
Método de Cole para distinguir la actividad del acuífero 
Cole presento el grafico para determinar en forma 
cualitativa la actividad del acuífero asociado a 
yacimientos de Gas la cual consiste en graficar (F/Et) 
que es la producción total del fluido dividido la energía 
versus el acumulado del gas producido Gp
• Si el reservorio es volumétrico (We=0), se obtiene una 
línea recta horizontal, 
• Si se tiene un acuífero débil, se tiene una curva con 
pendiente negativa. Es muy importante en la detección 
temprana del acuífero que no han mostrado actividad a 
través de los pozos en producción, ni se han observado 
contacto en los registro. 
• Para un acuífero moderado la curva muestra 
inicialmente una pendiente positiva y al final una 
pendiente negativa. 
• Si se tiene un acuífero fuerte infinito la curva de 
comportamiento muestra una pendiente positiva todo el 
tiempo
Método Analítico de la Intrusión de Agua (We) 
basados en los datos Históricos de Producción 
Si se dispone de los historiales de producción de gas, 
presión, y agua y un valor estimado inicial del 
volumen In-Situ se puede utilizar el balance de 
materiales para determinar la entrada de Agua We, 
cuya ecuación es la siguiente 
Esta ecuación se puede aplicar a varias presiones 
durante el agotamiento del yacimiento, de esta manera 
se puede obtener el comportamiento de presión vs la 
entrada de agua y tiempo
LINEALIZACION DE LA ECUACIÓN DE BALANCE DE 
MATERIALES 
La ecuación del balance de materiales con entrada de 
agua no esta definida como una línea recta cuando se 
grafica los valores de p/Z en función de la producción 
de gas acumulada Gp, lo que impide la extrapolación 
para obtener el volumen original de gas Gi. 
El método de Oded Havlena de la línea re 
de la entrada de agua acumulada We.
El gráfico de y vs. x forma una línea recta, con 
coeficiente angular unitario y coeficiente lineal igual a 
Gi. 
La entrada de agua acumulada We debe ser calculado 
admitiéndose un modelo para el acuífero en función al 
tiempo de producción, 
Debido a que si tenemos valores incorrectos de entrada 
de agua We puede ser visualizado y analizado.
BALANCE PROPUESTO. 
Sabemos que el balance de materia del p/z vs producción 
acumulada en reservorio con entrada de agua no es 
aplicable debido a que en la depleción se asume que no 
tiene entrada de agua. 
Sin embargo si un reservorio es afectado por entrada de 
agua no se tiene una línea recta para determinar volumen 
de gas. 
Por lo tanto debido a estos problemas presentados se 
presento una ecuación para determinar el volumen In-situ.
En cualquier instante del historial de producción, el cálculo 
del volumen original de gas (Gi) debe producir el mismo 
resultado, a diferentes tiempos de la vida productiva de un 
reservorio con entrada de agua que se muestra a 
continuación 
Se grafica 
vs 
De la grafica se determina Pi / Zi para obtener el volumen inicial 
Para diferentes tiempos de vida productiva del reservorio obteniéndose 
el mismo valor original in situ Gi
También existe un método alternativo de entrada 
de agua en función a la producción y propiedades 
de los fluidos como se lo muestra en la ecuación 
cuyos cálculos difieren muy poco de los tomados 
por los otros métodos presentados en función 
característica y geometría del acuífero
el volumen original G se tomara del análisis P/z Vs Gp 
gas producido este Volumen Inicial G se podrá ajustar 
en función al lineamiento de los puntos. 
Existen dos procedimiento de calculo del volumen in-situ 
uno en forma convencional por la expansión de 
energía del gas y el segundo tomando por expansión 
de la energía total energía del gas + energía por 
expansión de formación y agua. 
En el grafico de Balance de Materiales para la línea 
recta se grafica en el eje Y (Producción/Energía) Vs la 
(We/Energía) en el Eje X.
CALCULO DEL VOLUMEN DE GAS EQUIVAENTE AL 
CONDENSADO PRODUCIDO 
El volumen de gas equivalente al condensado producido 
es obtenido aplicándose la ecuación de estado de los 
gases, admitiéndose comportamiento de gas ideal:
Donde To y Po son las condiciones normales de 
temperatura y presión, nc 
es él numero de moles de 
condensado producido y (GE) c es el volumen de gas 
equivalente. 
Él numero de moles condensado producido puede ser 
determinado empleándose la definición:
Donde Dc y Mc son, respectivamente, la densidad y masa 
molecular del condensado. 
Donde GE (gravedad especifica de condensado) c es 
obtenido en m3 std/ m3
Cuando no disponemos del análisis de laboratorio la más 
molecular del condensado puede ser estimado por la 
correlación de Cragoe (Craft & Hawkins.)
FACTOR DE RECUPERACIÓN 
El porcentaje de recuperación representa la fracción del 
volumen del volumen original de gas que pueda extraerse, 
el cual depende en forma general de los mecanismos de 
producción y de las propiedades de los fluidos en el yacimiento. 
El factor de recuperación (FR) de un reservorio de gas está 
definido como el cociente entre la producción acumulada 
Gp y el volumen original del gas G a las condiciones de 
abandono
El balance de volumétrico del gas también nos permite 
obtener el porcentaje de recuperación cuando se tiene un 
empuje fuerte del acuífero lo cual viene expresado de la 
siguiente manera: 
Gas Prod. Acum..= Gas In-Situ – Gas atrapado de la zona 
inv. por agua - Gas remanente de la zona no inv.
Si se quiere conocer el factor de recuperación del gas a 
condiciones de abandono se remplaza P/Z por Pab/Zab. 
En el caso de un porcentaje de recuperación a cualquier 
etapa de presión se puede estimar de la siguiente manera
Presión de Abandono 
Es la presión a la cual debe abandonarse un reservorio 
por que su explotación a presiones inferiores no es 
rentable. 
Por lo tanto la presión de abandono depende de los 
factores técnicos y económicos los cuales enunciamos a 
continuación: 
• Precio de Venta del Gas 
• Índice de productividad de los pozos, a mayor índice de 
productividad, menor presión de abandono. 
• Presión de Fondo fluyente es necesaria para que el gas 
fluya hasta la líneas de transporte
Agarwal, Al-Hussainy y Ramey presentaron un método 
para determinar la presión de abandono Pab en función 
al gas acumulado producido hasta estas condiciones 
con empuje hidráulico
INTRUSION DE AGUA 
Muchos reservorios están limitados parcial o totalmente por 
el acuífero adyacente, los mismos que pueden ser muy 
grandes o pequeños en comparación al reservorio de gas o 
petróleo. 
Cuando existe una caída de presión en el reservorio debido 
a la producción, se provoca una expansión del agua del 
acuífero, con la consiguiente intrusión de agua la cual es 
definida por We. 
El propio acuífero puede estar totalmente limitado, de 
manera que el reservorio y el acuífero forman una unidad 
volumétrica cerrada..
Por otra parte el reservorio puede aflorar en algún lugar 
donde se puede reabastecerse de aguas superficiales. 
Por último el acuífero puede ser lo bastante grande 
para mantener la presión del reservorio y ser acuíferos 
horizontales adyacentes 
Una caída de presión en el reservorio hace que el 
acuífero reaccione para contrarrestar o retardar la 
declinación de la presión suministrando una intrusión de 
agua la cual puede ocurrir debido a: 
• Expansión del agua. 
• Compresibilidad de las rocas del acuífero. 
• Flujo artesiano donde el acuífero se eleva por encima 
del nivel del reservorio.
Desde un punto de vista analítico, el acuífero puede 
considerarse como una unidad independiente que 
suministra agua al reservorio debido a la variación de la 
presión con el tiempo de producción. Un modelo simple 
para estimar la entrada de agua esta basada en la 
ecuación de compresibilidad. 
Donde Ct es la compresibilidad total del acuífero, 
Wi volumen inicial de agua del acuífero, 
Pi presión inicial en el contacto Agua/gas.
Esta ecuación presentada puede ser aplicada a 
acuíferos pequeños, donde existe un inmediato equilibrio 
de la presión entre el reservorio y el acuífero 
Para acuíferos grandes es necesario un modelo 
matemático en función del tiempo y declinación de la 
presión, 
Entre los modelos existentes en la literatura podemos 
ver el modelo de Van Everdingen & Hurst, Fetkovich, 
Hurst modificado, Carter-Tracy, Leung..
Clasificación de los acuíferos según su régimen de 
flujo 
Esta clasificación esta basada en la declinación de 
presión y el caudal de entrada de agua hacia el 
yacimiento que puede ser: 
estable, 
semiestable o 
inestable. 
Una representación de estos tipos de régimen de flujo se 
ilustra en la Fig donde se muestra el comportamiento de 
la presión con respecto al tiempo.
Acuíferos de régimen estable 
El acuífero presenta régimen estable si la presión en el 
yacimiento permanece constante, no cambia con el 
tiempo. 
Acuíferos de régimen semiestable 
También llamado régimen de seudo-estado, este tipo de 
régimen es caracterizado por la declinación lineal de la 
presión en función al tiempo y consecuentemente una 
constante declinación del caudal 
Acuíferos de régimen inestable 
El régimen inestable frecuentemente llamado transiente, 
tiene la característica de presentar un cambio de la 
presión y el caudal en función del tiempo. En ninguna 
parte del yacimiento presenta una presión constante
Clasificación de los acuíferos según su geometría 
de flujo 
Existen 3 formas de geometría en los acuíferos que 
pueden ser: 
lineal, radial o de fondo. 
Acuíferos lineales 
Estos acuíferos presentan una geometría de flujo 
paralela a su buzamiento, como se los muestra en la 
Fig. 
El sentido de flujo es unidireccional
Acuíferos radiales 
Son aquellos acuíferos que presentan geometría de flujo 
concéntrica, es decir, que el flujo empieza 
circunferencialmente hacia un punto central, como se 
ilustra en la Fig.
Acuíferos de fondo 
Existen formaciones saturadas con agua situadas en la 
parte inferior de la capa de petróleo. Como se observa en 
La geometría de flujo en este tipo de acuíferos es 
pendiente arriba, hacia la cresta de la estructura. Este 
movimiento se debe a que el agua del acuífero posee 
presión y al crearse una diferencial a su favor, por efecto 
de la extracción de petróleo, ingrese agua a la zona de 
petróleo
Clasificación de los acuíferos según su extensión 
Los acuíferos presentan limitaciones algunos son 
pequeños o algunos presentan áreas bastante 
grandes, en función a su límite exterior se los puede 
clasificar en: acuíferos finitos, infinitos o realimentados 
Acuíferos infinitos 
Son aquellos acuíferos que no presentan límites, son 
inmensamente grandes, en algunos casos forman 
grandes cuencas de agua. 
Acuíferos finitos 
Estos acuíferos también denominados sellados, tienen 
una extensión limitada de tal manera que se puede 
conocer su dimensión en su totalidad.
Acuíferos realimentados 
También se los conoce como sobrealimentados, esto 
debido a que son acuíferos que están conectados ya 
sea a otros acuíferos o a fuentes externas como 
grandes lagos o lagunas que suministran agua al 
acuífero. 
Determinación de la entrada de agua 
Se han elaborado modelos matemáticos para 
determinar la entrada del agua hacia el yacimiento. 
A excepción del modelo de Pote, en todos los modelos 
propuestos el tiempo es una variable dependiente de la 
entrada de agua. 
La aplicación del modelo se basa en función a la 
clasificación anteriormente mencionada.
Modelo de Pote 
Este modelo es utilizado en acuíferos que tienen las 
siguientes características: 
Geometría de flujo Radial 
Extensión finita o sellada 
Acuíferos pequeño o muy pequeño 
El tiempo es independiente 
Permeabilidades altas
Este modelo es basado en la definición de la 
compresibilidad. 
Ocurre una caída de presión en el yacimiento, debido a 
la producción de los fluidos, esto causa una expansión 
del agua del acuífero y flujo al yacimiento. 
La compresibilidad es definida matemáticamente 
La variación de volumen debido al cambio de presión 
viene dada por
Aplicando la definición de la compresibilidad en el 
acuífero se tiene: 
Entrada de Agua= (Compresibilidad del 
acuífero)*(Volumen del agua inicial)* (Caída de 
presión)
Determinación simultanea del volumen In-Situ y la 
entrada de agua aplicando el modelo de Pote para 
acuíferos pequeños de alta permeabilidad donde se 
presenta un flujo continuo de intrusión de agua débil 
hacia el yacimiento. Primeramente tenemos que definir 
las formulas de la entrada de agua en base a la 
ecuación general de balance de materia para 
reservorio de gas
Aplicando el método de la línea recta calculamos simultáneamente el volumen del 
acuífero y el gas In-Situ como así también su entrada de agua para cada etapa de 
presión.
Mediante la ecuación de balance de materiales determinar 
los siguientes parámetros: 
• Actividad del Acuífero 
• Determinación del G, W y We para diferentes presiones con 
el modelo del acuífero de Pote 
Los datos obtenidos del reservorio son los siguientes 
Pr= 6411Psi Kr= 100 md Por= 15 % Cf=0.000006 1/Psi 
Goes= 100 BCF Tr= 239 ° F h= 200 Pies Sw= 15 % 
Cw=0.000003 1/Psi Area = 320 Acre
Datos del historial de producción, presión del reservorio
Calculo para determinar el volumen In-Situ y Entrada de Agua
Grafico de Cole análisis de energía
La pendiente negativa en la figura nos muestra una 
presencia de un acuífero débil asociado. 
El volumen In-Situ Determinado mediante el balance de 
Materiales aplicando el modelo de Pote es 
101003 MMPC 
y su pendiente determinada es 0.604 Bbl/MMPC. 
Por lo tanto el volumen de agua es:
Determinación Simultánea del Modelo de Pote
Remplazando W, Cw, Cf, Swi, Pi en la ecuación tenemos 
la instrucción de agua a diferentes presiones
MODELO DE FETKOVICH 
Este modelo se aplica a acuíferos finitos y admite que 
el flujo del acuífero para el reservorio se da sobre el 
régimen pseudo permanente. 
A pesar de ser aproximado, el modelo presentado por 
Fetkovich tiene la ventaja de permitir el cálculo 
continuo sin la necesidad de recalcular todos los 
pasos anteriores como ocurre en el modelo de van 
Everdingen & Hurst. 
Fetkovich admite el régimen pseudo permanente para 
el flujo de acuífero para el reservorio
Donde J es el índice de productividad, pa es la presión 
media del acuífero y p la presión en el contacto 
reservorio – acuífero. 
Partiendo de la ecuación de balance de materia (EBM), 
se puede escribir que: 
Donde ct = cw 
+ cf es la compresibilidad total del acuífero 
y Wi es el volumen de agua, inicial, replanteando la 
ecuación, se tiene:
Wei es la entrada máxima que un acuífero sellado puede 
aportar, correspondiente a la expansión de agua el 
acuífero al ser despresurizado de pi para la presión cero. 
De la ecuación 
Cuya derivada en relación al tiempo es dada por
Con el pasar del tiempo, el caudal aportado por el 
acuífero, decrece exponencialmente tendiendo a cero. 
O sea, el influjo dado por la ecuación tiende a un valor 
máximo. 
Tomando el límite de la ecuación para y usando la 
ecuación, el influjo máximo puede ser escrito como:
En la práctica la caída de presión en el contacto no es 
constante y la ecuación no es directamente aplicable. 
Fetkovich mostró que cuando la presión varía en el 
contacto, sin hacer la superposición. El influjo durante 
el primer intervalo de tiempo (Δt1) puede ser expresado 
por
Al utilizar el índice de productividad del acuífero, J, 
para flujo permanente, se admite que el acuífero sea 
realimentado de modo que la presión en su límite 
externo se mantenga constante e igual a pi. 
La condición de flujo permanente implica que no hay 
límite para el influjo máximo, esto es, Wci es infinito. 
En este caso, el caudal del acuífero, se reduce a:
La Tabla presenta el índice de productividad del 
acuífero, J, para los modelos de acuíferos radiales y 
lineal, regímenes de flujo permanente y pseudo 
permanente. 
Para otras geometrías, el índice de productividad 
para el régimen pseudo permanente puede ser 
definido como:
Donde CA 
es el factor de forma de Dietz (Tabla), A es el 
área del acuífero, ɤ es la exponencial de la constante de 
Euler (ɤ =1,781...) y res el radio del reservorio circular 
O 
El tiempo adimensional tDA 
es definido como 
t
Índice de productividad del acuífero para los flujos 
radial y lineal
Analisis nodal

Analisis nodal

  • 1.
    Explotación del Gasy Optimización de la Producción
  • 2.
    Análisis nodal Elanálisis nodal esta definido como la segmentación de un sistema de producción en puntos o nodos, en los cuales se producen cambios de presión. Los nodos están definidos por diferentes ecuaciones o correlaciones. Su objetivo principal, es el de diagnosticar el comportamiento de un pozo, optimizando la producción, variando parametros
  • 3.
    Análisis nodal Elanálisis nodal es presentado para evaluar efectivamente un sistema completo de producción, considerando todos los componentes del sistema como : Presión de reservorio Hasta Presión el separador, incluyendo el flujo a través del medio poroso, flujo a través de las perforaciones de terminación, flujo a través de la tubería de producción con posibles restricciones de fondo , flujo por la línea horizontal pasando a través del estrangulador en superficie hacia el separador
  • 4.
    El Sistema deproducción y sus componentes El sistema de producción está formado por el yacimiento, la competición, el pozo y las líneas de flujo en la superficie. El yacimiento es una o varias unidades de flujo del subsuelo creadas e interconectadas por la naturaleza, La completación (perforaciones ó cañoneo), El pozo y Las facilidades de superficie es infraestructura construida para la extracción, control, medición, tratamiento y transporte de los fluidos hidrocarburos extraídos de los yacimientos.
  • 5.
    Proceso de producción El proceso de producción en un pozo comprende el recorrido de los fluidos desde el radio externo de drenaje en el yacimiento hasta el separador de producción en la estación de flujo. En la figura se muestra el sistema completo con cuatro componentes claramente identificados: Yacimiento, Completación, Pozo, y Línea de Flujo Superficial. Existe una presión de partida de los fluidos en dicho proceso que es la presión estática del yacimiento, Pws, y una presión final o de entrega que es la presión del separador en la estación de flujo, Psep.
  • 7.
    Transporte en elyacimiento: El movimiento de los fluidos comienza en el yacimiento a una distancia re del pozo donde la presión es Pws, viaja a través del medio poroso hasta llegar a la cara de la arena o radio del pozo, rw, donde la presión es Pwfs. En este nodo el fluido pierde energía en la medida que el medio sea de baja capacidad de flujo (Ko.h), presente restricciones en la cercanías del hoyo (daño, S) y el fluido ofrezca resistencia al flujo (μo). Mientras mas grande sea el pozo mayor será el área de comunicación entre el yacimiento y el pozo aumentando el índice de productividad del pozo. La perforación de pozos horizontales aumenta sustancialmente el índice de productividad del pozo.
  • 8.
    Transporte en lasperforaciones: Los fluidos aportados por el yacimiento atraviesan la completación que puede ser un revestidor de producción cementado y perforado, normalmente utilizado en formaciones consolidadas, o un empaque con grava, normalmente utilizado en formaciones poco consolidadas para el control de arena. En el primer caso la pérdida de energía se debe a la sobre compactación o trituración de la zona alrededor del túnel perforado y a la longitud de penetración de la perforación; en el segundo caso la perdida de energía se debe a la poca área expuesta a flujo. Al atravesar la completación los fluidos entran al fondo del pozo con una presión Pwf.
  • 9.
    Transporte en elpozo: Ya dentro del pozo los fluidos ascienden a través de la tubería de producción venciendo la fuerza de gravedad y la fricción con las paredes internas de la tubería. Llegan al cabezal del pozo con una presión Pwh.
  • 10.
    Transporte en lalínea de flujo superficial: Al salir del pozo si existe un reductor de flujo en el cabezal ocurre una caída brusca de presión que dependerá fuertemente del diámetro del orificio del reductor, a la descarga del reductor la presión es la presión de la línea de flujo, Plf, luego atraviesa la línea de flujo superficial llegando al separador en la estación de flujo, con una presión igual a la presión del separador Psep, donde se separa la mayor parte del gas del petróleo.
  • 13.
    Capacidad de produccióndel sistema. La perdida de energía en forma de presión a través de cada componente, depende de las características de los fluidos producidos y, especialmente, del caudal de flujo transportado, de tal manera que la capacidad de producción del sistema responde a un balance entre la capacidad de aporte de energía del yacimiento y la demanda de energía de la instalación para transportar los fluidos hasta la superficie.
  • 14.
    La suma delas pérdidas de energía en forma de presión de cada componente es igual a la pérdida total, es decir, a la diferencia entre la presión de partida, Pws, y la presión final, Psep: Pws – Psep = ΔPy + Δ Pc + Δ Pp + Δ Pl Donde: Δ Py = Pws – Pwfs = Caída de presión en el yacimiento, (IPR). Δ Pc = Pwfs- Pwf = Caída de presión en la completación, Δ Pp = Pwf-Pwh = Caída de presión en el pozo. (FMT vertical). Δ Pl = Pwh – Psep = Caída de presión en la línea de flujo. (FMT horizontal)
  • 15.
    Tradicionalmente el balancede energía se realiza en el fondo del pozo, pero la disponibilidad actual de simuladores del proceso de producción permite establecer dicho balance en otros puntos (nodos) de la trayectoria del proceso de producción: cabezal del pozo, separador, etc. Para realizar el balance de energía en el nodo se asumen convenientemente varias tasas de flujo y para cada una de ellas, se determina la presión con la cual el yacimiento entrega dicho caudal de flujo al nodo, y la presión requerida en la salida del nodo para transportar y entregar dicho caudal en el separador con una presión remanente igual a Psep.
  • 16.
    Por ejemplo, síel nodo esta en el fondo del pozo: Presión de llegada al nodo: Pwf (oferta) = Pws - Δ Py – ΔPc Presión de salida del nodo: Pwf (demanda)= Psep + Δ Pl + Δ Pp
  • 17.
    En cambio, siel nodo esta en el cabezal del pozo: Presión de llegada al nodo: Pwh (oferta) = Pws – Δpy – Δpc - Δ Pp Presión de salida del nodo: Pwh (demanda) = Psep + Δ Pl
  • 18.
    La representación gráficade la presión de llegada de los fluidos al nodo en función del caudal o tasa de producción se denomina Curva de Oferta de energía del yacimiento (Inflow Curve), y la representación gráfica de la presión requerida a la salida del nodo en función del caudal de producción se denomina Curva de Demanda de energía de la instalación (Outflow Curve). Si se elige el fondo del pozo como el nodo, la curva de oferta es la IPR (“Inflow Performance Relationships”) y la de demanda es la VLP (“Vertical Lift Performance”)
  • 20.
    El balance deenergía entre la oferta y la demanda puede obtenerse numérica o gráficamente. Para realizarlo numéricamente consiste en asumir varias tasas de producción y calcular la presión de oferta y demanda en el respectivo nodo hasta que ambas presiones se igualen, el ensayo y error es necesario ya que no se puede resolver analíticamente por la complejidad de las formulas involucradas en el calculo de las ΔP’s en función del caudal de producción
  • 25.
    Para obtener lacurva de oferta en el fondo del pozo es necesario disponer de un modelo matemático que describa el comportamiento de afluencia de la arena productora, ello permitirá computar Δ Py y adicionalmente se requiere un modelo matemático para estimar la caída de presión a través del cañoneo o perforaciones (Δ Pc) y para obtener la curva de demanda en el fondo del pozo es necesario disponer de correlaciones de flujo multifásico en tuberías que permitan predecir aceptablemente Δ Pl y Δ Pp.
  • 26.
    - Optimización Globaldel Sistema Una de las principales aplicaciones de los simuladores del proceso de producción es optimizar globalmente el sistema lo cual consiste en eliminar o minimizar las restricciones al flujo tanto en superficie como en el subsuelo, para ello es necesario la realización de múltiples balances con diferentes valores de las variables más importantes que intervienen en el proceso, para luego, cuantificar el impacto que dicha variable tiene sobre la capacidad de producción del sistema.
  • 28.
    Para este análisisde sensibilidad la selección de la posición del nodo es importante ya que a pesar de que la misma no modifica la capacidad de producción del sistema, si interviene en el tiempo de ejecución del simulador. El nodo debe colocarse justamente antes (extremo aguas arriba) o después (extremo aguas abajo) del componente donde se modifica la variable. Por ejemplo, si se desea estudiar el efecto que tiene el diámetro de la línea de flujo sobre la producción del pozo, es más conveniente colocar el nodo en el cabezal o en el separador que en el fondo del pozo.
  • 29.
    Cuando existe unatasa de producción donde la energía con la cual el yacimiento oferta los fluidos, en el nodo, es igual a la energía demandada por la instalación (separador y conjunto de tuberías: línea y tubería de producción) sin necesidad de utilizar fuentes externas de energía en el pozo, se dice entonces que el pozo es capaz de producir por FLUJO NATURAL. A través del tiempo, en yacimientos con empuje hidráulico, los pozos comienzan a producir con altos cortes de agua la columna de fluido se hará mas pesada y el pozo podría dejar de producir. Similarmente, en yacimientos volumétricos con empuje por gas en solución, la energía del yacimiento declinará en la medida en que no se reemplacen los fluidos extraídos trayendo como consecuencia el cese de la producción por flujo natural.
  • 31.
    Cuando cesa laproducción del pozo por flujo natural, se requiere el uso de una fuente externa de energía para lograr conciliar la oferta con la demanda; la utilización de esta fuente externa de energía en el pozo con fines de levantar los fluidos desde el fondo del pozo hasta el separador es lo que se denomina método de LEVANTAMIENTO ARTIFICIAL.
  • 33.
    El objetivo delos métodos de Levantamiento Artificial es minimizar los requerimientos de energía en la cara de la arena productora con el objeto de maximizar el diferencial de presión a través del yacimiento y provocar, de esta manera, la mayor afluencia de fluidos sin que generen problemas de producción: migración de finos, arenamiento, conificación de agua ó gas, etc.
  • 35.
    Comportamiento de afluenciade formaciones productoras Flujo de fluidos en el yacimiento. Estados de flujo. La simulación del flujo de fluidos en el yacimiento debe considerar : - La composición de los fluidos presentes, -Las condiciones de presión y temperatura para establecer -si existe flujo simultáneo de petróleo, agua y gas, - Las heterogeneidades del yacimiento, etc.
  • 36.
    Para describir elflujo de fluidos en el yacimiento a través del tiempo, se debe utilizar el modelaje matemático de yacimientos y las soluciones numéricas de la ecuación de difusividad obtenidas con los simuladores comerciales (Familia Eclipse, por ejemplo). La capacidad de aporte del yacimiento hacia el pozo se cuantifica a través de modelos matemáticos simplificados como por ejemplo: la ecuación de Vogel, Fetckovich, Jones Blount & Glace, etc.
  • 37.
    Área de drenaje Se considera el flujo en la región del yacimiento drenada por el pozo, comúnmente conocida como volumen de drenaje. Asumiendo - homogéneo -Espesor constante (h) por lo que en lo sucesivo se hablará de área de drenaje del yacimiento.
  • 38.
    Un yacimiento estádefinido, como una trampa donde se encuentra contenido el petróleo, el gas, o ambas como mezclas complejas de compuestos, como un solo sistema hidráulico conectado cuyas características no solo depende de la composición sino también de la presión y temperatura a la que se encuentra. Muchos de los yacimientos de hidrocarburos se hallan conectados hidráulicamente a rocas llenas de agua, denominadas acuíferos, como también muchos de estos yacimientos se hallan localizados en grandes cuencas sedimentarias y comparten un acuífero común.
  • 39.
    La temperatura deun reservorio es determinada por la profundidad y el comportamiento del fluido en un reservorio es determinado por su composición relación PVT. En un reservorio se tiene diferentes clases de fluido. Las temperaturas críticas de los hidrocarburos más pesados son más elevadas que los componentes livianos. De allí la temperatura crítica de la mezcla de un hidrocarburo predominantemente compuesto por componentes pesado, es más alta que el rango normal de temperatura en el reservorio.
  • 41.
    Cuando la presiónde reservorio cae por debajo del punto de saturación, el diagrama de fase del fluido original no es representativo, ya que el gas y líquido son producidos a razones diferentes a la combinación original, resultando un cambio en la composición del fluido. La segregación gravitacional de las dos fases con diferentes densidades también podría inhibir el contacto entre las dos fases previendo el equilibrio en el reservorio.
  • 42.
    Los reservorios dehidrocarburos son clasificados de acuerdo a: • La composición de la mezcla de hidrocarburos en el reservorio. • La presión y temperatura inicial del reservorio. • La presión y temperatura de producción en superficie. El comportamiento termodinámico de una mezcla natural de hidrocarburos, puede ser utilizado para propósitos de clasificación, tomando como base del diagrama del comportamiento de las fases.
  • 44.
    Un típico diagramade Temperatura y Presión es utilizado para: Clasificar los reservorios. Clasificar naturalmente el sistema de hidrocarburos. Describir el comportamiento de fases del fluido.
  • 45.
    La curva llamadaenvolvente de fases, que resulta de unir las curvas de punto de burbuja y punto de rocío que muestra la mezcla para diferentes temperaturas; curvas que se unen en el punto denominado crítico. La envolvente de fases divide el diagrama en tres regiones, -1ra región de líquidos, está situada fuera de la fase envolvente y a la izquierda de la isoterma crítica. -2da región de gases, se encuentra fuera de la fase envolvente y esta a la derecha de la isoterma crítica; -3ra región, encerrada por la fase envolvente, se conoce como región de dos fases
  • 46.
    La 3ra región,se conoce como región de dos fases, en esta región, se encuentran todas las combinaciones de temperatura y presión en que la mezcla de hidrocarburo puede permanecer en dos fases en equilibrio, existiendo dentro de ella, las llamadas curvas de calidad, que indican un porcentaje de total de hidrocarburo que se encuentra en estado líquido y gaseoso. Todas estas curvas inciden en un punto crítico. Se distinguen, además, en el mismo diagrama, la cricondentérmica y la cricondenbárica, las cuales son la temperatura y la presión máximas, respectivamente, que en la mezcla de hidrocarburos pueden permanecer en dos fases en equilibrioi.
  • 47.
    Conceptos básicos -Propiedades intensivas.- - Punto Crítico -Curva de Burbujeo (ebullición) . -Curva de rocío (condensación ) -Región de dos fases -Cricondenbar -Cricondenterma -Zona de Condensación Retrógrada -Saturación crítica de un Fluido
  • 48.
    Propiedades intensivas.- Denominadosa aquellas que son independientes de la cantidad de materia considerada como ser: la viscosidad, densidad, temperatura, etc. función principal de las propiedades físicas de los líquidos. Punto Crítico.- Es el estado a condición de presión y temperatura para el cual las propiedades intensivas de las fases líquidas y gaseosas son idénticas, donde cuya correspondencia es la presión y temperatura crítica.
  • 49.
    Curva de Burbujeo(ebullición) .- Es el lugar geométrico de los puntos, presión temperatura, para los cuales se forma la primera burbuja de gas, al pasar de la fase líquida a la región de dos fases, siendo este estado el equilibrio de un sistema compuesto de petróleo crudo y gas, en la cual el petróleo ocupa prácticamente todo el sistema excepto en una cantidad infinitesimal de gas. El yacimiento de punto de burbujeo se considera cuando la temperatura normal está debajo de la temperatura crítica, ocurriendo también que a la bajada de la presión alcanzará el punto de burbujeo.
  • 50.
    Curva de rocío(condensación) .- Es el lugar geométrico de los puntos, presión – temperatura, en los cuales se forma la primera gota de líquido, al pasar de la región de vapor a la región de las dos fases. El punto de rocío es análogo al punto de burbuja, siendo el estado en equilibrio de un sistema que está compuesto de petróleo y gas, lugar en la cual el gas ocupa prácticamente todo el sistema dando excepción a cantidades infinitesimales de petróleo. Región de dos fases.- Es la región comprendida entre las curvas de burbujeo y rocío (cricondenbara y cricondenterma). En esta región coexisten en equilibrio, las fases líquida y gaseosa.
  • 51.
    Cricondenbar .- Esla máxima presión a la cual pueden coexistir en equilibrio un líquido y su vapor. Cricondenterma .- Es la máxima temperatura a la cual pueden coexistir en equilibrio un líquido y su vapor. Zona de Condensación Retrógrada .- Es aquella cuya zona está comprendida entre los puntos de las curvas cricondenbar y cricondenterma (punto crítico y punto de rocío), y que a la reducción de presión, a temperatura constante, ocurre una condensación.
  • 52.
    Clasificación de losreservorios El estado físico de un fluido de yacimiento generalmente varía con la presión, pues la temperatura es esencialmente constante. Es práctica común clasificar a los yacimientos de acuerdo a las características de los hidrocarburos producidos y a las condiciones bajo las cuales se presenta su acumulación en el subsuelo. Así, tomando en cuenta las características de los fluidos producidos, se tienen reservorios de: • Reservorio de Petróleo • Reservorio de Gas
  • 53.
    Reservorio de Petróleo Cuando la temperatura del reservorio T es menor que la temperatura crítica Tc del fluido del reservorio, El reservorio es clasificado como reservorio de petróleo. Dependiendo de la presión inicial del reservorio, los reservorios de petróleo pueden ser sub clasificados en las siguientes categorías: Reservorio de Petróleo Sub saturado Reservorio de Petróleo Saturado Reservorio con Capa de Gas
  • 55.
    Reservorio de PetróleoSub saturado Si la presión inicial del reservorio Pi, es mayor a la presión de burbuja (punto 1), la cual es mayor que la presión del punto de burbuja, Pb, y la temperatura esta por bajo de la temperatura critica del fluido del reservorio. .
  • 56.
    Reservorio de PetróleoSaturado Cuando la presión inicial del reservorio está en el punto de burbuja del fluido del reservorio, ( punto 2), el reservorio es llamado reservorio saturado de petróleo. .
  • 57.
    Reservorio con Capade Gas Si la presión inicial del reservorio es menor que la presión en el punto de burbuja del fluido del reservorio, ( punto 3) el reservorio es predominado por una capa de gas en la zona de dos fases, la cual contiene una zona de líquido o de petróleo con una zona o capa de gas en la parte superior.
  • 58.
    En general elpetróleo es comúnmente clasificado en los siguientes tipos: Petróleo negro Petróleo de bajo rendimiento Petróleo de alto rendimiento (volátil) Petróleo cerca al punto crítico
  • 59.
    Reservorio de Gas Se han sido descubierto yacimientos de gas a alta presión con propiedades materialmente diferentes de aquellos yacimientos de gas seco anteriormente encontrados. El fluido del yacimiento esta compuesto predominantemente por metano, pero se encuentra cantidades considerables de hidrocarburos pesados. Si la temperatura de reservorio es mayor que la temperatura crítica del fluido, el reservorio es considerado un reservorio de gas. Los reservorios que producen gas natural pueden ser clasificados, esencialmente, en cuatro categorías y estas son:
  • 60.
    Clasificacion de reservoriosde gas -Reservorio de Condensación Retrógrada de Gas -Reservorio de Gas-Condensado cerca al punto crítico -Reservorio de Gas-Húmedo -Reservorio de Gas-Seco
  • 62.
    Reservorio de CondensaciónRetrógrada de Gas Si la temperatura del reservorio Tr está entre la temperatura crítica Tc y la cricondentérmica Tct del fluido el reservorio, es clasificado como reservorio de condensación retrógrada. El fluido existe como un gas a las condiciones iniciales del reservorio, cuando la presión de reservorio declina a una temperatura constante, la línea del punto de rocío es cruzada y se forma el líquido en el reservorio. Este líquido también se forma en el sistema de tubería en el separador debido al cambio de presión y temperatura.
  • 63.
    Las condiciones inicialesde un reservorio de condensación retrógrada de gas es presentado por el punto 1 del diagrama de fases (presión – temperatura) , la presión del reservorio está por encima de la presión del punto de rocío, el sistema de hidrocarburo, el reservorio muestra una fase simple (fase vapor). Cuando la presión de reservorio declina isotérmicamente durante la producción, la presión inicial (punto 1) cae al (punto 2) que es la presión declinada y esta por encima del punto de rocío; existe una atracción entre moléculas de los componentes livianos y pesados, ocasionando su movimiento por separado, esto origina que la atracción entre los componentes más pesados sean más efectivos de esta manera el líquido comienza a condensarse.
  • 64.
    Reservorio de Gas-Condensadocerca al punto crítico Si la temperatura de reservorio esta cerca de la temperatura crítica, la mezcla de hidrocarburo es clasificado como reservorio de gas condensado cerca del punto crítico. El comportamiento volumétrico de esta categoría de gas natural es descrita a través de la declinación isotérmica de presión. Todas las líneas de calidad convergen en el punto crítico, un aumento rápido de líquido ocurrirá inmediatamente por debajo del punto de rocío como la presión es reducida en el punto 2, este comportamiento puede ser justificado por el hecho de que varias líneas de calidad son cruzadas rápidamente por la reducción isotermal de presión.
  • 65.
  • 66.
    Reservorio de Gas-Húmedo El diagrama de fase correspondiente a un reservorio de gas húmedo, en ella se puede observar que la temperatura del reservorio es mayor que la cricondetérmica de la mezcla, por tal razón nunca se integran las dos fases en el reservorio, únicamente existe la fase gaseosa en el reservorio, si el reservorio es agotado isotérmicamente a lo largo de la línea vertical A – B. .
  • 67.
    El gas producidofluye hacia la superficie, y por ende, la presión y la temperatura de gas declinará. El gas entra en la región de dos fases, en la tubería de producción debido a los cambios de presión y temperatura y a la separación en la superficie. Esto es causado por una disminución suficiente en la energía cinética de moléculas pesadas con la caída de temperatura y su cambio subsiguiente para líquido a través de fuerzas atractivas entre moléculas
  • 68.
  • 69.
    Reservorio de Gas-Seco Este último tipo de reservorio es lo que se conoce como reservorio de gas seco, Estos reservorios contienen principalmente metano, con pequeñas cantidades de etano, propano, y más pesados, el fluido de este reservorio entran en la región de dos fases a condiciones de superficie, durante la explotación del reservorio. Teóricamente los reservorios de gas seco no producen líquido en la superficie, por ende, la diferencia entre un gas seco y un gas húmedo es arbitraria y generalmente en sistemas de hidrocarburos que produzcan con relaciones gas petróleo mayores de 120000 PCS/ Bbls se considera gas seco. 1
  • 70.
  • 71.
    TRABAJO DE INVESTIGACION Determinación del punto de rocío con la composición del gas Determinación del punto de rocío basado en datos de producción del campo
  • 72.
    Pruebas PVT Losfluidos encontrados en yacimientos petrolíferos son esencialmente mezclas complejas de compuestos hidrocarburos, que contienen con frecuencia impurezas como nitrógeno, dióxido de carbono y sulfuro de hidrógeno. La composición del petróleo fiscal es completamente diferente a su composición a condiciones del yacimiento, debido principalmente a la liberación de la mayor parte del metano y etano en solución y a la vaporización de fracciones de propanos, butanos y pentanos a medida que la presión disminuye al pasar de condiciones del yacimiento a condiciones atmosféricas normales.
  • 73.
    Existen dos métodosde obtener muestras de fluidos del yacimiento: Muestreo de Fondo . Muestreo de Superficie
  • 74.
    Muestreo de Fondo Se baja un equipo especial de muestreo dentro y hasta el fondo del pozo, sujetado por un cable con el muestrador, a pozo cerrado, luego se deja fluir el pozo a bajos caudales para muestrear a condiciones de reservorio. Muestreo de Superficie Tomando muestras de gas y petróleo en la superficie y mezclándolas en las debidas proporciones de acuerdo con la razón gas petróleo medida a tiempo de muestreo. Las muestras deben obtenerse al comienzo de las operaciones de producción del yacimiento, preferiblemente en el primer pozo, para que en esta forma la muestra sea representativa del fluido original que se encuentra en el yacimiento.
  • 75.
    La composición delfluido obtenido en el saca muestras depende de la historia del pozo, anterior de la operación de muestreo. Si el pozo no ha sido acondicionado adecuadamente antes de obtener la muestra, será imposible obtener muestras respectivas de fluidos del yacimiento. Kennerly y Reudelhumber, recomiendan un procedimiento para acondicionar debidamente el pozo.
  • 76.
    La información obtenidadel análisis de una muestra de fluido incluye generalmente los siguientes datos: a.Razones Gas en solución – Petróleo y Gas liberado – Petróleo y los volúmenes de las fases líquidas. b. Factores volumétricos, gravedad del petróleo fiscal y razones Gas – Petróleo del separador a condiciones fiscales, para diferentes presiones del separador. c. Presión del punto de burbujeo de los fluidos del yacimiento. d. Compresibilidad del petróleo saturado a condiciones del yacimiento.
  • 77.
    e. Viscosidad delpetróleo a condiciones del yacimiento como función de la presión. f. Análisis fraccional de una muestra de gas obtenida de la cabeza del pozo y del fluido saturado a condiciones de yacimiento. Para un análisis preliminar de un yacimiento, y si no se disponen de datos de laboratorio, generalmente puede hacerse estimaciones razonables a partir de correlaciones empíricas basadas en datos fáciles de obtener. Estos datos incluyen gravedad del petróleo fiscal, gravedad específica del gas producido, razón gas – petróleo al comienzo de la producción, viscosidad del petróleo fiscal, temperatura del yacimiento
  • 78.
    TIPOS DE PRUEBASPVT Las pruebas de PVT pueden realizarse de 3 maneras: 1.Proceso a composición constante (masa constante). 2. Proceso a volumen constante. 3. Proceso de liberación diferencial (petróleo negro).
  • 79.
    Proceso a composiciónconstante: La composición global no cambia, se carga a la celda una cantidad de fluido, se expande la celda o el mercurio, se agita para alcanzar equilibrio y al aumentar el volumen el gas se va liberando. Luego se miden las variaciones de líquido y volúmenes de gas.
  • 80.
    Proceso a Volumenconstante: (Procedimiento para gas y petróleo volátil). Se carga cada celda con un volumen suficiente de fluido, primero aumentamos el tamaño de la celda,(sacamos un volumen de mercurio) a ese gas de expansión se lo retira y se mide su masa su composición.
  • 81.
    Proceso de Liberacióndiferencial: (Para petróleo negro). En este tipo de prueba se baja la presión, de cada celda se extrae todo el gas que se expanda. Para que la prueba tenga valores de la ecuación de estado hay que calibrar con la ecuación de estado.
  • 82.
    PROPIEDADES DEL GASNATURAL Un gas es definido como un fluido homogéneo de baja densidad y viscosidad, la cual no tiene un volumen definido, expandible completamente. El conocimiento de la presión-volumen–temperatura (PVT) está relacionado con otras propiedades físicas y químicas de los gases en condiciones de reservorio. Es esencial conocer las propiedades físicas del gas natural obtenida en laboratorio a condiciones de fondo, para predecir y conocer el comportamiento de los gases referida a la mezcla.
  • 83.
    GAS NATURAL Esuna mezcla de hidrocarburos gaseosos, presentes en forma natural en estructuras subterráneas o trampas. El gas natural esta compuesto principalmente de metano (80%) y proporciones significativas de etano, propano, butano, pentano y pequeñas cantidades de hexano, heptano y fracciones más pesadas. Habrá siempre alguna cantidad de condensado y/o petróleo asociado como el gas.
  • 84.
    El término gasnatural también es usado para designar el gas tratado que abastece la industria y a los usuarios comerciales y domésticos, y tienen una cualidad específica. Esta mezcla de hidrocarburos gaseosos presentan algunas impurezas, principalmente de: - nitrógeno N2, - dióxido de carbono (CO2 )y - gas sulfhídrico (H2S )
  • 85.
  • 86.
    otros hidrocarburos: PropanoC3H8 Isobutano i - C4H10 Butano normal n- C4H10 Isopentano i – C5H12 Pentano normal n- C5H12 fracciones más pesadas + C7H16 Hexano C6H14 Impurezas como N2, CO2, H2S En algunas ocasiones hidrocarburos cíclicos y aromáticos
  • 87.
    COMPORTAMIENTO DE LOSGASES IDEALES La teoría cinética postula que el gas ideal esta compuesto de una cantidad de partículas llamadas moléculas, cuyo volumen es insignificante comparado con el volumen total ocupado por el gas. También se asume que estas moléculas no tiene una fuerza de atracción o repulsión entre ellas y así se asume que todas las colisiones de las moléculas son perfectamente elásticas.
  • 88.
    LEY DE LOSGASES IDEALES - El volumen ocupado por las moléculas es pequeño con respecto al volumen ocupado por el fluido total. - Las colisiones intermoleculares son enteramente elásticas, sin pérdida de energía en la colisión. - No tienen fuerzas atractivas o repulsivas entre las moléculas.
  • 89.
    LEY DE BOYLE el volumen de un gas ideal es inversamente proporcional a la presión absoluta, si la temperatura del gas es constante.
  • 90.
    LEY DE CHARLES 1. A presión constante, el volumen variará directamente con la temperatura absoluta, expresado en la ecuación
  • 91.
    2. A volumenconstante, la presión absoluta varia con la temperatura expresada en la ecuación:
  • 92.
    LEY DE CHARLESY BOYLE LEY DE AVOGADRO A volúmenes iguales todos los gases en las mismas condiciones de presión y temperatura tienen el mismo número de moléculas cuyo valor es 2,773 x 106 mol / lb mol
  • 93.
    La ley deAvogadro , menciona que el peso de un volumen de gas, es una función del peso de las moléculas. El volumen y el peso del gas en libras es igual al valor numérico del peso molecular y es conocido como el volumen molar. Una libra mol de un gas ideal ocupa 379,4 ft3 a 60ºF y 14.73 psia, estas condiciones de presión y temperatura son comúnmente referidas a las condiciones normales.
  • 94.
    ECUACION PARA LOSGASES IDEALES La ecuación de estado para un gas ideal se puede reducir de una combinación de las leyes de Boyle, Charles / Gay Lussac y Avogadro. PV= (m/M) RT m = masa de gas lb M = peso molecular del gas lbm/lb – mol P = Presión absoluta, psia. V = Volumen, ft.3 T = Temperatura absoluta, ºR. R = Constante universal de los gases,
  • 95.
    El número delb-mol de un gas es igual a la masa de gas dividido por el peso molecular del gas, n = Número de libras-mol, donde 1 lb-mol es el peso molecular del gas n = m/M Los valores de la constante de los gases R
  • 96.
    Los valores dela constante de los gases R
  • 97.
    MEZCLA DE GASESIDEALES LEY DE DALTON En una mezcla gaseosa cada gas ejerce una presión igual que aquella que ejercería si este ocupa el mismo volumen como una mezcla total. Esta presión es llamada presión parcial. La presión total es la suma del las presiones parciales. Esta ley es valida solamente cuando la mezcla y cada componente de la mezcla obedece a la ley de los gases ideales.
  • 98.
    De acuerdo conla ley de Dalton, la presión es la suma de las presiones parciales. P = PA + PB + PC + ….
  • 99.
    Donde: Yi =Fracción molar del componente i. ni = Numero de moles del componente i n = Los moles totales Σ ni
  • 100.
    LEY DE AMAGAT En una mezcla gaseosa el volumen total es la suma de los volúmenes de cada componente que ocuparía en una presión y temperatura dada. Los volúmenes ocupados por los componentes individuales son conocidos como volúmenes parciales. Esta ley es correcta sólo si la mezcla y cada componente obedecen a la ley de los gases ideales.
  • 101.
    De acuerdo conla Ley de Amagat, el volumen total es: La relación de volumen parcial del componente i al volumen total de la mezcla es:
  • 102.
    FRACCION VOLUMETRICA Lafracción volumétrica de un componente especifico en una mezcla esta definido como el volumen de un componente dividido el volumen total de la mezcla. Vi = vi / Vt Vi = Fracción volumétrica del componente i en el gas. vi = Volumen ocupado por el componente i. Vt = Volumen total de la mezcla.
  • 103.
    Es conveniente encualquier cálculo de ingeniería convertir de fracción molar a fracción de peso o viceversa. El procedimiento de conversión de la composición de la fase de gas de la fracción molar o fracción de peso esta mostrada en el siguiente procedimiento. 1. Asuma que el número total de moles de la fase gasífera es uno n = 1. 2. de ecuación de la fracción molar se tiene que ni = yi. 3. el número de moles n de un componente es igual a el peso de los componentes m dividido por el peso molecular de el componente. n=m/MW mi = yi* M Wi 4. por lo tanto wi = mi/mt.
  • 105.
    PESO MOLECULAR APARENTE Una mezcla gaseosa se comporta como si fuera un gas puro con un peso molecular definido. Este peso molecular es conocido como un peso molecular aparente y es definido como:
  • 106.
    FRACCION MOLAR Lafracción molar de un componente en particular es definido como el número de moles de un componente dividido, el número de moles totales de todos los componente de la mezcla. yi = ni /nt yi = Fracción molar del componente i en la mezcla. ni = Número de moles del componente i. nt = Número de moles total de la mezcla.
  • 108.
    DENSIDAD RELATIVA DELGAS La densidad del gas por definición es la relación entre las masas específicas del gas y del aire, ambas medidas en las mismas condiciones de presión y temperatura,
  • 109.
    Admitiéndose comportamiento degas ideal, el número de moles n es la relación entre la masa de gas m y su masa molecular M, La masa específica es definida conociendo la relación entre la masa y el volumen, o sea La masa específica del aire es :
  • 111.
    GASES REALES Lamagnitud de desviación de los gases reales con respecto a los gases ideales se presenta cuando variamos la presión y temperatura, variando también con la composición del gas. El comportamiento de un gas real es diferente a un gas ideal, la razón para esto es que la ley de los gases perfectos fue derivada bajo la suposición que el volumen de moléculas es significante y existe atracción o repulsión entre las moléculas, que no son tomados en cuenta en gases ideales
  • 112.
    Para expresar elcomportamiento de la relación entre las variables P, V y T, se introduce el factor de corrección, denominado factor de compresibilidad de gas Z, Z varía con el cambio de presión, volumen, temperatura y la composición del gas. Los resultados de la determinación experimental del factor de compresibilidad son normalmente dados gráficamente
  • 113.
    METODO DE OBTENCIONDEL FACTOR DE COMPRESIBILIDAD Z Con la aparición del teorema de los estados correspondiente, desarrollado por Van der Waals se posibilito la elaboración de ábacos universales para la obtención del factor de compresibilidad Z. Siguiendo este teorema, los gases exhiben el mismo comportamiento cuando lo sometemos a las mismas condiciones de presión, temperatura y volumen reducidos. El término reducido traduce la razón entre la variable y/o su valor crítico
  • 115.
    CORRELACIONES DE STANDINGY KATS La correlación de Standing y Katz, halla valores de Z en función de presiones y temperaturas reducidas, y fue desarrollada con base en datos experimentales para gases naturales sin impurezas. Su aplicación para gases ácidos requiere el uso de factores de corrección para la presencia de CO2 y H2S .
  • 116.
    Para la determinaciónde Z se debe tener en cuenta las propiedades pseudo criticas Si la composición es conocida o Si la composición es desconocida Composición conocida. 1.- Se deben determinar el Peso Molecular, presión y temperatura pseudo críticas para cada componente ( datos que se obtienen de tablas de ctes p criticas ). 2.- Obtener la Masa molecular aparente (Ma) con
  • 117.
    3.- Obtener lascoordenadas pseudo críticas. Estas pueden ser calculadas a través de media ponderadas de las coordenadas críticas de cada componente y su fracción molar en la mezcla:
  • 118.
    Composición desconocida. ־ 1.- Con la densidad del gas conocida usar la Figura siguiente, donde la presión y temperatura pseudo críticas son dadas. O a través de las siguientes correlaciones presentadas por Standing
  • 120.
    Estas ecuaciones estánlimitadas por el contenido de impurezas presentadas en la mezcla gaseosa, los máximos porcentajes son de 3% CO2 y 5% N2 , o un contenido total de impurezas de 7%. Para salvar este obstáculo las propiedades obtenidas pueden ser corregidas con la figura siguiente.
  • 122.
    Para gas naturalseco Corrección de las propiedades pseudo criticas Para gases que no son hidrocarburo
  • 123.
    La temperatura pseudocritica se ajusta con Y la presión pseudo critica se ajusta con
  • 124.
    Factor de ajustepuede hallarse también con
  • 125.
    El factor decompresibilidad Z de la mezcla gaseosa es obtenido en la figura en función de las propiedades pseudo reducidas O si hay presencia de contaminantes
  • 127.
  • 128.
    CORRELACIONES DE DRANCHUK,PURVIS Y ROBINSON Para representar el comportamiento de hidrocarburos livianos
  • 130.
    FACTOR VOLUMETRICO DELGAS NATURAL Relaciona el volumen de gas evaluado a condiciones de reservorio y el volumen del mismo gas medido a condiciones superficiales de Psc, y Tsc. Generalmente, se expresa en pies cúbicos o barriles de volumen en el reservorio por pié cúbico de gas las condiciones normales, o sus recíprocos, en pies cúbicos a las condiciones normales por pié cúbico o barril de volumen en el reservorio.
  • 131.
    De acuerdo conla ecuación de estado de los gases reales, el volumen de una determinada masa de gas m, equivalente a un número de moles n es dada en condiciones de reservorio por: Donde T y P son la temperatura y la presión del reservorio. En las condiciones normales esta misma masa de gas ocupa el volumen
  • 132.
    El factor volumétricode la formación Utilizando, Tsc = 520 °R, Psc = 14,73 psia y Zsc = 1
  • 133.
    La ecuación setransforma en :
  • 134.
    COMPRESIBILIDAD ISOTERMICA DELGAS NATURAL COMPRESIBILIDAD PARA UN GAS IDEAL
  • 135.
  • 136.
    La evaluación deCg para gases reales, requiere determinar el factor Z por variación de la presión y temperatura. La mayoría de las gráficas y ecuaciones de Z están expresadas como una función de presión y temperatura reducida. La compresibilidad reducida viene a ser definida como: Cr = Cg Pc. Este puede ser expresado como una función de Pr en un valor fijo de Tr por:
  • 137.
    Los valores dela derivada puede tener una pendiente constante de Tr para el factor Z. Los valores de Cr Tr como una función de Pr y Tr vienen a ser presentadas gráficamente por Mattar,
  • 140.
    El cambio deZ con P puede también ser calculado utilizando una expresión analítica, calculando el factor Z a las presiones ligeramente encima y abajo de la presión de interés
  • 141.
    VISCOSIDAD DEL GASNATURAL Es una medida de resistencia al movimiento de fluido y esta definida como la relación entre el esfuerzo cortante por unidad de área y el gradiente de velocidad en un punto determinado.
  • 142.
    La viscosidad normalmentees expresada en centi poises o poises, pero se puede convertir para otras unidades:
  • 143.
    DETERMINACION DE LAVISCOSIDAD: Método de Carr, Kobayashi y Burrows
  • 148.
    DETERMINACION DE LAVISCOSIDAD: Método de Lee, González y Eakin La viscosidad del gas puede ser obtenida por medio de:
  • 149.
    FACTOR DE COMPRESIBILIDADPARA UN SISTEMA BIFASICO PARA GASES RETROGRADO Las correlaciones de Standing y Katz para el factor de compresibilidad son validas solamente para un sistema monofásico o gas seco. En los reservorios de Gas-Condensado retrógrado existe una condensación del fluido durante el agotamiento del reservorio por debajo del punto de Roció, obteniéndose un sistema bifásico con una fase líquida. En este caso se deberá utilizar el factor de compresibilidad para dos fases.
  • 150.
    El comportamiento dela relación del factor de compresibilidad de un gas condensado frente a un gas seco como función de la presión, es uniforme hasta la presión de roció, luego el factor de compresibilidad para el gas seco cae por debajo del factor de compresibilidad de un reservorio de gas condensado.
  • 151.
    En general, lascorrelaciones para la obtención del factor de dos fases están basadas en las propiedades pseudo reducidas del gas en el reservorio. Reyes y Alii, presentaron una correlación empírica para determinar el factor de compresibilidad de dos fases cuando el gas es rico (en porcentaje en mol del C7+ mayor e igual al 4 % y su densidad del gas mayor a 0.911) relativamente puro (porcentaje de impureza H2S o CO2 menor o igual al 5 % en mol)
  • 153.
    COORDENADAS SEUDOCRITICAS DELA MEZCLA Una manera simple de presentar la temperatura y la presión seudo crítica de la mezcla, esta dada por las siguientes ecuaciones de Sutton Ppc (psi) = 756.8 – 131.0*SGg –3.6*SGg2 Tpc ( R )= 169.2 + 349.5* SGg – 74.0*SGg2
  • 154.
    Ejemplo Determine elfactor de compresibilidad para un fluido bifásico Pr= 4987 psi , P roció = 3155 psi , SGg = 0.67, API =55, Sg mezcla = 0.828 Tr= 200 o F Ppc (psi) = 756.8 – 131.0*SGg –3.6*SGg^2 = 645.51 Tpc ( R )= 169.2 + 349.5* SGg – 74.0*SGg^2 = 408.60
  • 155.
    TENSION INTERFACIAL Latensión interfacial existente entre el gas y el líquido tiene un pequeño efecto, en los cálculos de la gradiente de presión entre las dos fases. Sin embargo algunos de los métodos de predicción requiere un valor para la tensión interfacial usada en los calculos. Las graficas para la estimación de la tensión interfacial gas/petróleo de Baker and Swerdloff, y las graficas para la tensión interfacial gas/agua de Hough. El efecto de la temperatura puede ser estimada para una interpolación lineal
  • 156.
    TENSION INTERFACIAL GAS/PETROLEO Las graficas de la tensión interfacial fueron presentadas para petróleo medido a las temperaturas de 68 o F y 100 o F.
  • 157.
    Se sugiere quesi la temperatura es mayor a 100 o F, el valor de la tensión interfacial a 100 o F podría ser usado, y también si la Temperatura fuese menor de 68 o F, se debe usar el valor calculado para la temperatura de 68 o F Para temperaturas intermedias, se debe utilizar una interpolación lineal entre los valores obtenidos
  • 158.
    El efecto delgas dentro de la solución la presión incrementa en la mezcla gas/petróleo la relación y reduce la tensión superficial. La tensión interfacial del petróleo puede ser corregida por un factor multiplicador, con Donde P es la presión en psi La tensión interfacial a cualquier presión es obtenida con
  • 159.
    TENSION INTERFACIAL GAS/AGUA Estas ecuaciones están graficadas como tensión interfacial vs la presión para dos temperaturas diferentes Al igual que las tensiones gas/petróleo tiene limitaciones en las temperatura, pero se interpola de igual manera, donde la temperatura esta en el rango de
  • 160.
    ANALISIS DEL RESERVORIO Con el estudio del comportamiento del reservorio se puede optimizar la capacidad de producción. El análisis de las características y los factores que afectan al flujo de fluido a través del reservorio, y el sistema de tubería, nos lleva a optimizar e incrementar la capacidad de producción, siendo esta la base para la selección de métodos de predicción del comportamiento de flujo en todo el sistema. (Analizando como una sola unidad).
  • 161.
    Al migrar elfluido desde el reservorio hacia la cañería de producción presenta pérdidas de presión, debido a la resistencia al flujo que ejercen la roca y las tuberías de producción. Estas pérdidas de presión dependen principalmente de Caudal de flujo, Propiedades del fluido, Propiedades de la roca y los factores de fricción.
  • 163.
    La grafica nosmuestra un esquema de caudal versus presión fluyente en el fondo de pozo, llamada relación del comportamiento de flujo de entrada (IPR inflow performance relationship) la cual nos permite visualizar el caudal de producción versus la presión de flujo. La curva A nos muestra el comportamiento de un índice de productividad constante, debido a que la presión fluyente se encuentra por encima del punto de rocío en un sistema monofásico
  • 164.
    En la curvaB nos muestra un sistema combinado; primeramente, observamos un sistema monofásico para luego tener un sistema bifásico con el índice de productividad variable, ya que la presión fluyente se encuentra por debajo de la presión de rocío. La curva C nos muestra un comportamiento de un sistema bifásico con un índice de productividad variable, debido a que la presión de reservorio se encuentra por debajo de la presión de rocío
  • 165.
    Para calcular lacaída de presión que ocurre en un reservorio, es necesario tener una ecuación que represente este comportamiento y exprese las pérdidas de energía o pérdidas de presión debido a las fuerzas de fricción que es una función de velocidad o régimen de flujo. La forma de la ecuación puede ser bastante diferente para los varios tipos de fluido, las ecuaciones básicas en todas las formas están basadas en la ley de Darcy.
  • 166.
    LEY DE DARCY Es una relación empírica que se derivo para el flujo de fluido a través del filtro de arena no consolidada. Darcy, propuso una ecuación que relaciona la velocidad aparente del fluido con el gradiente de presión dp/dx y también demostró que la velocidad del fluido es inversamente proporcional a la viscosidad
  • 167.
    Nota Los experimentosde Darcy, fueron hechos tomando el agua como fluido base. El filtro de arena fue saturado completamente con agua. Los filtros de arena de Darcy son de área constante, la ecuación no calcula los cambios de la velocidad con respecto a la posición
  • 168.
    La Ley deDarcy en forma diferencial de la siguiente manera: El signo negativo se agrega porque si x’ se mide en la dirección del flujo, la presión p’ declina en la misma dirección (gradiente de presión negativo), de esto resulta que el signo menos debe agregarse para hacer la velocidad v’ positiva
  • 169.
    Si Q' =v ' x A tendremos
  • 170.
    FLUJO LINEAL Parael flujo lineal, el área de flujo es constante, debiendo integrar la ecuación de Darcy para obtener la caída de presión que ocurre en una longitud L dada: Suponiendo que k, μ, y q son independientes de la presión y que pueden ser evaluados con la presión promedio del sistema
  • 173.
    La geometría paraun sistema lineal es : Se puede observar que en un diagrama P vs L se producirá una línea recta de pendiente cte.
  • 174.
    Si el fluidoes compresible el caudal de flujo de masa debe ser constante y expresada en términos de presión, temperatura y gravedad especifica del gas
  • 175.
    Para altas velocidadesde flujo existe una turbulencia adicional, la ley de Darcy se modifica para calcular una caída de presión adicional ( por turbulencia )
  • 176.
    Se puede obteneruna aproximación al coeficiente de velocidad β
  • 177.
    FLUJO RADIAL Aunqueel flujo lineal raramente ocurre en un reservorio, se usan estas ecuaciones para calcular la caída de presión a través de la formación : Para flujo radial, se puede usar la Ley de Darcy para calcular el flujo dentro del pozo donde el fluido converge radialmente a un cilindro relativamente pequeño. El área abierta al flujo no es constante, hay que integrarla La selección de área abierta al flujo en cualquier radio es:
  • 178.
    Definiendo el cambioen la presión con la ubicación como negativa con respecto a la dirección de flujo dP/dx se vuelve dP/dr
  • 179.
    FLUJO DE GAS El flujo de gas para un flujo radial esta basado en la ley de Darcy, El fluido es compresible En la ecuación de estado real de un gas, donde el gas es medido bajo condiciones estándar de superficie. La ecuación para un fluido monofásico la definiremos de la siguiente forma: La ecuación de la continuidad es: ρ1q1 = ρ2q2 = Constante
  • 180.
    Y la densidadpara un gas real esta definida como Y para condiciones estándar de PSC y TSC El caudal std será :
  • 181.
    Las variables enesta ecuación son p e r
  • 182.
    En unidades decampo la ecuación será
  • 184.
    REGIMEN DE FLUJOEN ESTADO ESTABLE Régimen de flujo en estado estable existe cuando no hay cambio de presión en el borde externo en función al tiempo. Prácticamente, también esto significa que el gradiente de presión se mantenga con el tiempo que nos muestra esquemáticamente la distribución radial de presión en torno de un pozo productor, en régimen permanente.
  • 186.
    Las condiciones queproporcionan el régimen permanente de presión en determinadas áreas del reservorio son usualmente atribuidas a: Influjo natural de agua proveniente de un acuífero capaz de mantener la presión constante en la frontera externa del reservorio. Inyección de agua en torno del pozo productor de modo de contrabalancear la salida de los fluidos del reservorio.
  • 187.
    La relación desarrolladapor la ley Darcy para flujo de estado estable para un pozo de gas natural, introduciéndose un factor de daño “s” en la región próxima del fondo de pozo, Esta ecuación sugiere que el régimen de producción de un pozo de gas es aproximadamente proporcional a la diferencia de las presiones al cuadrado. Las propiedades de μ y Z son propiedades media entre Pe y Pwf
  • 188.
    REGIMEN DE FLUJODE ESTADO SEMIESTABLE El estado pseudo-estable significa que la presión en el borde externo no se mantiene y al momento que el régimen de flujo llega a tocar las fronteras, genera el agotamiento lo que significa que la presión en el borde externo cae en función del caudal que sale del yacimiento y esa caída de presión se refleja en todo el gradiente de presión en la misma manera, en otras palabras 5 psi que caen en un día en el borde externo son 5 psi que caen en cualquier punto del reservorio,
  • 190.
    El régimen semiestable o régimen seudo permanente de presión, usualmente ocurre en las siguientes situaciones: Pozo produciendo a un caudal constante de un pequeño reservorio cerrado. Reservorio drenado por muchos pozos, con cada pozo aislado hidráulicamente .
  • 191.
    Para un sistemade geometría radial , la condición de régimen pseudo permanente puede ser expresado por: La Figura nos muestra las distribuciones radiales de presión en diferentes tiempos en un reservorio cilíndrico cerrado con un pozo en el centro produciendo a un mismo caudal volumétricamente constante. Matemáticamente el escurrimiento del gas en régimen pseudo permanente o semi estable es tratado con una secuencia de régimen permanente.
  • 192.
    Introduciendo el factorde daño incorporando el término 0.75 dentro de la expresión logarítmica, tenemos
  • 193.
    Estas ecuaciones noson solamente aproximaciones en términos de propiedades, si no porque ellas asumen flujo de Darcy en el reservorio. Para caudales de flujo de gas bastante pequeños esta aproximación es aceptable. Para caudales de flujo más grandes donde el flujo en Darcy es evidente en el reservorio,
  • 194.
    Ecuaciones para flujoRadial en función al Seudo Potencial (Psuedo Presión o Potencial de gas real) Otra forma de presentar las ecuaciones básicas del flujo de Darcy`s, está expresada de la siguiente manera en base al seudo potencial Usando la Seudo presión de un gas real en
  • 195.
    si el caudalde producción esta en Mpcd y la presión base en 14.7 psi y Tb en 60 o F se tiene la siguiente ecuación :
  • 196.
    Determinación del PseudosPotencial M(P) Para cualquier cálculo de potencial o pronóstico en un reservorio de gas es necesario trabajar con los pseudo potenciales o con la presión al cuadrado ya que el comportamiento del factor de compresibilidad y la viscosidad del gas de 3000 a 5000 psi es errático y se tiene mucha distorsión en este rango de presión. Por lo cual es recomendable utilizar el seudo potencial para evitar estas incongruencias las cuales procederemos a calcular de la siguiente manera:
  • 198.
    Para determinar elseudo potencial se debe tener como dato la gravedad especifica del gas de la mezcla SGg , Temperatura de Reservorio, y la presión de reservorio para darle un rango de calculo.
  • 199.
    Ejemplo. Se tieneSG de la mezcla SGg=0.69, la temperatura de reservorio 145 o F la presión de reservorio 1948. Para determinar el potencial nosotros podemos asumir el rango cada cierto porcentaje hasta una presión superior a la del reservorio, Calculando el factor de compresibilidad y la viscosidad del gas a cada presión asumida. Como se muestra en la siguiente Tabla:
  • 202.
    Capacidad de entregade un pozo de gas con flujo no-darciano Una relación más precisa para un flujo estable de gas fue desarrollada por Aronofsky e Jenkins que da la solución de la ecuación diferencial para un flujo de gas a través de medios porosos, usando la ecuación de flujo de Forchheimer. Esta solución es:
  • 203.
    Donde D esel coeficiente no Darcy rd es el radio de drene efectivo de Aronofsky Jenkins, rd = 0.472re. Por otro lado: De donde tD tiempo requerido para estabilizar el flujo
  • 204.
    El término, llamadocon frecuencia efecto de turbulencia se da en los pozos de altos caudales o potencial grandes. El coeficiente de turbulencia de Darcy D, está en el orden de 10-3 y para caudales de gas se lo interpreta en términos de Dq, próximo al valor del logaritmo natural de la relación ln rd / rw. Los valores pequeños de caudal q resultarían proporcionalmente valores pequeños de Dq. Con lo cual se tiene
  • 205.
    El primer término,de lado derecho de la ecuación, es idéntico al desarrollado por Darcy. El segundo término, nos muestra el efecto de fluido no Darciano. Todos los multiplicadores de q y q2 pueden ser considerados constantes, por tanto la ecuación puede tomar la siguiente forma:
  • 207.
    Flujo Transiente pozode gas Flujo transiente de gas en un reservorio puede ser aproximado por la ley de Darcy y la ecuación de la continuidad Si la permeabilidad k es considerada constante, la ecuación puede ser aproximada: La pseudo-presión de un gas real puede ser usada en lugar de las diferencias de presiones al cuadrado en cualquier relación de capacidad de entrega de un pozo de gas, la ecuacion tendría la siguiente forma:
  • 208.
    Puede ser usadade forma más apropiada la pseudo-presión de un gas real como un factor de integración para una solución exacta de la ecuación de la difusividad para un gas, la ecuación anterior puede ser la base para este análisis.
  • 211.
    Por tanto laecuación se convierte (Prt =Pwf) La aproximación logarítmica para la integral exponencial, conduce a una expresión análoga para un gas natural en términos de Pseudo-presión.
  • 212.
    Tipos de pruebas La habilidad de analizar el comportamiento y los pronósticos de productividad de un pozo de gas, nos dan las distintas pruebas de producción que se pueden realizar en el pozo, dándonos un mejor entendimiento del comportamiento del reservorio, con un grado de seguridad que es de suma importancia en la industria del gas natural. Los resultados de una prueba de pozo nos determinan el comportamiento del caudal para los distintos diámetros de tubería y el comportamiento de flujo con la reducción de la presión de reservorio.
  • 213.
    Prueba de flujotras Flujo (Flow-After-Flow tests) Prueba Isócronal (tiempo de flujo ≠ tiempo de cierre) Prueba Isócronal Modificada (tiempo de flujo = tiempo de cierre) Pruebas de Producción
  • 214.
    Prueba de flujotras Flujo (Flow-After-Flow tests) Llamada también pruebas convencionales de contrapresión (Conventional Backpresure Test). En este tipo de prueba, el pozo se fluye a un determinado caudal midiendo la presión fluyente de fondo la cual normalmente se mantiene en estado transiente (no alcanzando el estado pseudo-estable). Luego el pozo cambia su flujo a un nuevo régimen, normalmente en estado transiente sin llegar estado pseudo estable. La presión puede ser medida con un medidor de presión de fondo de pozo.
  • 217.
    Prueba Isócronal (tiempode flujo ≠ tiempo de cierre) En un reservorio de baja permeabilidad es muy frecuente que el cierre después de un flujo no llegue a la estabilización y es impráctico extender por mucho tiempo el cierre si las condiciones de pozo no han llegado a un estado semi estable. El objetivo de la prueba isocronal, es obtener datos representativos para establecer una curva de capacidad de entrega estable produciendo el pozo a un flujo estable con el tiempo de cierre suficiente para obtener datos estabilizados en cada prueba. El Radio de investigación alcanzado en la prueba a un determinado tiempo es independiente del caudal de flujo.
  • 218.
    Por tanto, siuna serie de pruebas de flujo son ejecutadas en un pozo, para cada uno por el mismo periodo de tiempo, el radio de investigación será el mismo al fin de cada prueba. La Figura nos muestra el comportamiento de la prueba de flujo isocronal en función al caudal y a la presión de fondo fluyente. Observándose que en el periodo de cierre después de cada periodo de flujo debe estar en función al tiempo de estabilización determinado para la prueba, llegando a restituir a su presión de reservorio. Obsérvese que también es necesario que haya un periodo de flujo estabilizado al fin de la prueba.
  • 220.
    Prueba Isócronal Modificada(tiempo de flujo = tiempo de cierre) Este tipo de prueba esta diseñada principalmente a reservorios de baja permeabilidad, ya que el tiempo de estabilización del flujo radial es elevado tanto para los periodos de flujo como para los periodos de prueba, y la variante que presenta frente a las pruebas isocronal es que el periodo de flujo es igual al periodo de cierre y no se requiere alcanzar las condiciones estabilizadas de presión entre cada etapa de flujo La figura nos muestra un diagrama esquemático del caudal y las presiones de fondo fluyente
  • 222.
    Pruebas de Producción Estas clases de prueba se realizan continuamente en el campo para determinar los volúmenes producidos por pozo y así poder controlar la producción acumulada con el tiempo. Para que estas pruebas sean válidas para el análisis nodal, es importante que los pozos produzcan con velocidades mayores a las críticas para arrastrar el condensado y el agua que se nos acumula en el fondo del pozo y las condiciones de producción y presión tienen que estar estabilizadas, la cual nos distorsiona las presiones fluyente, y por ende los potenciales de pozo, las velocidades críticas para el arrastre de los fluidos en el fondo.
  • 223.
    Con los datosde producción y las presiones fluyentes de fondo obtenido en una prueba de producción, podemos determinar los índices de productividad del pozo y el comportamiento de entrega como se muestra en la siguiente ecuación:
  • 224.
    Método de Interpretaciónde prueba La habilidad de analizar el comportamiento y pronóstico de los pozos de gas y el índice de productividad de los mismos, se lo obtiene a través de métodos de interpretación de prueba, ya que podemos realizar un análisis de los resultados que arrojan las pruebas de pozos tanto de producción como así también de cierre. Previniendo los distintos problemas que se pueden presentar con la declinación de la presión de reservorio y los efectos de daño del pozo.
  • 225.
    Los resultados delas pruebas de pozo son a menudo utilizados para optimizar o maximizar la producción, previniendo el desarrollo del campo, y las facilidades en superficie como plantas de procesamientos. Básicamente existen dos tipos de datos para la determinación de la capacidad de entrega: • Datos de pruebas (Isocronales, Flujo tras Flujo, Prueba de Producción) • Datos de Reservorio En la bibliografía actual, existen varios métodos de interpretación de pruebas de los cuales tomaremos los tres más principales para nuestro propósito
  • 226.
    En 1936, Rawlinsy Schellhardt, presentaron la ecuación como la ley de Darcy para un fluido compresible, donde “C” contiene todos los términos diferentes de la presión; como la viscosidad del gas, permeabilidad al flujo de gas, la temperatura de la formación, etc. Rawlins y Schellhardt, describen que la ecuación, la K era responsable por la turbulencia normalmente presente en pozos de gas, entonces modificaron la ecuación con un exponente “n”, ecuación
  • 227.
    El exponente “n”puede variar de 1.2 para flujo completamente laminar y 0.5 para un flujo completamente turbulento. Si los valores para el coeficiente de flujo C y exponente n puede ser determinado por el régimen de flujo, para cualquier valor de Pwf , puede ser calculado, el caudal y se puede construir la curva del comportamiento de flujo de entrada.
  • 228.
    Un parámetro comúnmenteusado para ver el potencial cuando la Pwf=0, es llamado Potencial Absoluto de Flujo Abierto (AOF), el cual es definido como el máximo caudal que un pozo de gas produciría sin contrapresión.
  • 229.
    Con el métodoclásico, se tiene dos constantes para determinar “C” y “n”. La teoría indica que “C” es una función de radio de investigación que significa que si dos periodos de flujo poseen un mismo radio de investigación, ellas tendrán el mismo“C”. Las razones de flujo poseen un mismo intervalo de tiempo, entonces tendrá un mismo radio de investigación y por tanto un mismo “C”. Para períodos estables de flujo, el “C” será el “C” estabilizado, que es el que estamos tratando de determinar..
  • 230.
    Para una seriede periodos de flujo iguales que no son largos o suficientes para alcanzar la estabilización, los “Cs” ( coeficientes de flujo )de cada prueba serán los mismos, pero no seran los “C” estabilizados
  • 231.
    Si el pozoha fluido a un caudal estabilizado, como se muestra en el esquema log-log , podemos determinar un máximo potencial transiente de la prueba,
  • 232.
    La gráfica logarítmicalog-log de la diferencial de presión (P2−PR wf 2 ) versus qg , nos muestra una línea recta el factor de turbulencia expresado por ( n ) es inversa a la pendiente de esta línea. Nos muestra, una prueba de producción con cuatro caudales de flujos, que estarían sobre una misma línea recta mostrando una condición de flujo estabilizado. El valor del exponente n se puede hallar con :
  • 233.
    Una vez determinadoel valor del exponente n , el valor C se puede determinar usando la siguiente ecuación: O el valor de la constante C en base a los datos de reservorio puede ser representado por la siguiente ecuación:
  • 234.
    Si tenemos unflujo extendido como se muestra obtendremos un punto estabilizado por la cual pasamos una línea paralela a la línea de los puntos transiente. De modo que el valor de C es el valor estabilizado, y también el máximo potencial determinado.
  • 235.
    Método Jones, Blountand Glaze Jones, Blount y Glaze, sugieren un procedimiento de análisis que permite determinar el efecto de turbulencia o no, que se presenta en la completación de pozos independiente del efecto de daño y flujo laminar. El procedimiento también avala el coeficiente de flujo laminar A, y el efecto de daño si el producto es conocido. kgh La ecuación presentada por Jones,,. para flujo de estado estable incluyendo el factor de turbulencia es:
  • 236.
    El primer términode lado derecho es la caída de presión de flujo laminar o flujo Darciano, El segundo término, es la caída de presión adicional debido a la turbulencia. El coeficiente de velocidad β, es obtenido con
  • 237.
    Algunas veces esconveniente establecer una relación entre dos parámetros que indican el grado de turbulencia que ocurre en un reservorio de gas. Estos parámetros son: el coeficiente de velocidad β, y el coeficiente de turbulencia Β. La ecuación se puede describirse para un flujo de estado semiestable o pseudoestable como:
  • 238.
    Con lo quela ecuacion resulta : Para determinar los dos coeficientes existen dos formas: La primera hace uso de las pruebas convencionales con dos o más valores de flujo estabilizado, por lo menos un flujo estabilizado en pruebas de flujo isocronal. Los datos de caudal y presión obtenidos en la conducción de estas pruebas son producidos en coordenadas cartesianas
  • 240.
    El diagrama resultantemuestra una línea cuya pendiente es el coeficiente B que indica el grado de turbulencia. Prolongando la recta hasta el ejes de las coordenadas se tiene el coeficiente laminar A La segunda forma es de simples substituciones de los parámetros, previamente determinados en las ecuaciones
  • 241.
    .Una vez determinadoslos coeficientes A y B se procede a la construcción de la curva del comportamiento de IPR, asumiendo diferentes valores de presión de fondo fluyente Pwf , determinando los caudales para estos mismo valores. También podemos asumir los caudales de producción y determinar las presiones fluyentes indiferentemente.
  • 242.
    Método Brar yAziz No es necesario contar con pruebas hasta alcanzar por lo menos un dato estabilizado, a partir de pruebas transientes se puede estimar la capacidad de entrega de un pozo . Como el periodo transiente esta ligado con las variaciones del tiempo, las constantes de la ecuación
  • 243.
    están determinadas paradistintos periodos de pruebas por lo tanto, el valor de A se convierte en A, valor que t crece hasta un máximo, manteniéndose constantes en este punto. Se debe ignorar el cambio del coeficiente β y tomar en cuenta sólo el que corresponde a la última etapa de flujo
  • 245.
    PRODUCCIÓN POZOS HORIZONTALES Debido a los problemas de conificación de agua, gas y arenamiento por su alta diferencial de producción. se debe tomar la decisión de optimizar la producción con pozos horizontales.
  • 246.
    En un pozohorizontal de longitud L que penetra un reservorio con permeabilidad horizontal Kh y la permeabilidad vertical Kv, crean un modelo de drenaje diferente a un pozo vertical con una mayor área de flujo y una menor presión diferencial. Es muy importante considerar la anisotropía de la permeabilidad vertical en los pozos horizontales. Mientras más grande sea la permeabilidad vertical, más alto es el índice de productividad de un pozo horizontal. La permeabilidad vertical baja puede dar pozos horizontales poco atractivos para cualquier inversión.
  • 247.
    Joshi, presentó unarelación de entrega de un pozo horizontal (mezcla del pseudo estado en un plano horizontal y pseudoestado estabilizado en un plano vertical) es: Donde I anillo, es una medida de la anisotropía de la permeabilidad vertical y la permeabilidad horizontal que esta dada por:
  • 248.
    En esta ecuación.a es el medio eje grande del elipsoide de drenaje formado por un pozo horizontal de longitud, donde la expresión para este elipsoide es La relación entre el índice de productividad de un pozo horizontal y un pozo vertical en un reservorio específico podría ser muy grande. Esta razón del índice de productividad puede ser manifestada por un incremento en el caudal de producción, o un decremento en la caída de presión o ambos.
  • 249.
    Por consiguiente, lospozos horizontales pueden ser excelentemente manejados donde los problemas de agua y cono de gas y arena están presente. Impacto del efecto de daño en el comportamiento de un pozo Horizontal El efecto de daño en un pozo horizontal esta representado por la ecuación siguiente:
  • 250.
    Este efecto dedaño, denominado como S'eq, es característico de la forma de daño en pozos horizontales, tomando en cuenta la anisotropía de la permeabilidad y probabilidad de penetración de daño más profundo, o más cercano a la sección vertical. El impacto de este efecto de daño en la reducción de los caudales puede ser muy grande..
  • 251.
    Efectos de Producciónde Agua y Permeabilidades Relativas En un reservorio gasífero, el agua está siempre presente por lo menos como connata, Swc. Así, en todas las ecuaciones anteriores la permeabilidad debería ser considerada como efectiva, y debería ser invariable (en ciertos casos significativamente menor) que la obtenida de las muestras de núcleos o de otras técnicas de laboratorio usando un simple fluido.
  • 252.
    Si ambos fluidosgas y agua están fluyendo, la permeabilidad efectiva debería ser usada, como la suma de estas permeabilidades que es invariable y menos que la permeabilidad absoluta de la formación (para cualquier fluido). Esta permeabilidad efectiva esta relacionada a la permeabilidad relativa (también para las distintas propiedades de la roca).
  • 253.
    Las permeabilidades relativasson determinadas en laboratorio y son características de la roca reservorio que está saturada con fluidos. No es una buena práctica usar las permeabilidades relativas obtenidas en un reservorio para predecir el comportamiento de otro reservorio similar. Usualmente, las curvas de permeabilidades relativas son presentadas como función de las saturaciones de agua Sw, como se muestra en la figura
  • 254.
    Cuando la saturaciónde agua Sw es la saturación de agua connata, Swc no habría un flujo de agua libre, y por consiguiente, la permeabilidad efectiva Kw, debería ser igual a cero. Similarmente cuando la saturación de gas empieza con saturación residual de gas Sgr, no existe flujo y la permeabilidad efectiva debería ser igual a cero.
  • 255.
    Luego, en unreservorio de gas, en un sistema bifásico la ecuación para el gas y agua es:
  • 256.
    Efecto de dañoen un pozo horizontal En la Ecuación el efecto de daño S'eq, fue adicionado a la ecuación de caudal del pozo horizontal. la ecuación para el efecto de daño que refleja el daño cerca del pozo horizontal. Se describe la forma de daño a lo largo y normal de un pozo horizontal
  • 257.
    La anisotropía dela permeabilidad debería generar una forma elíptica normal al pozo. La forma de daño depende de la anisotropía de la permeabilidad
  • 258.
    El tiempo deexposición durante la perforación y la completación del pozo, produciría un cono elíptico truncado con la base más grande cerca de la sección vertical del pozo. También, durante la producción el perfil de presión en el pozo implicaría una alta gradiente normal en la trayectoria del pozo cerca de la sección vertical. Por consiguiente, el daño inducido por producción sería elíptico
  • 259.
    La geometría dela forma de daño resulta de un efecto de daño análogo a Hawkins fórmula para un pozo vertical: Donde a Hmax es el eje horizontal más grande (cerca de la sección vertical) de daño del cono. La ecuación anterior, no asume daño al final del pozo. El efecto de daño puede ser adicionado al denominador de la ecuación de caudal de un pozo horizontal pero deberá ser multiplicado por la relacion de anisotropia h* I ani / L,
  • 260.
    La estimulación dela matriz de un pozo horizontal es más amplia que el proceso de un pozo vertical. Los volúmenes requeridos son más grandes, La colocación de fluidos para la estimulación a lo largo del pozo es mucho más difícil.
  • 261.
    Factores que afectanla curva del comportamiento del pozo con el tiempo Como resultado del agotamiento del reservorio, con el transcurso del tiempo, existe una caída en la producción de los pozos debido al comportamiento o eficiencia del reservorio que es afectado por algunos parámetros sujetos al cambio, los cuales son Coeficiente C y exponente n Permeabilidad del gas Espesor de la formación Viscosidad del gas y el factor de compresibilidad Radio de pozo y radio de drene Factor daño
  • 262.
    4.7.1Coeficiente C yexponente n En reservorios de alta permeabilidad donde el flujo de gas se, estabiliza rápidamente, el valor de C no tiene una variación significativa con el tiempo, esto implica que el valor del caudal máximo (AOF) obtenido de la curva de IPR permanece relativamente invariable durante la vida del reservorio. De cualquier manera, el caudal y la presión del reservorio varían con el tiempo afectando el comportamiento del coeficiente, esto se acentúa más en un reservorio de baja permeabilidad donde el caudal de producción de gas durante periodos de flujo relativamente cortos disminuye con el tiempo a una presión fija de cabeza. .
  • 263.
    El coeficiente Ccontiene varios parámetros sujetos a cambios, a medida que la presión del reservorio declina antes el agotamiento de la caída, por esta razón es necesario recalcular el coeficiente C cada cierto período bajo nuevas condiciones de reservorio n se encuentra generalmente entre 0.5 y 1, para bajas permeabilidades n es aproximado a 1 para altas permeabilidades n tiende a 0.5,
  • 264.
    Permeabilidad del gas El único factor que tiene un efecto apreciable es la permeabilidad del gas, kg ,a la saturación de líquido en el reservorio, como consecuencia de una condensación retrógrada, por la disminución de presión de reservorio por debajo de la presión de rocío formando una fase líquida de condensado o por la presencia de agua en el reservorio, esto afecta apreciablemente en la permeabilidad y saturación del gas reduciendo cuantitativamente el valor de ambos parámetros. En reservorios de gas seco la permeabilidad permanece constante,
  • 265.
    Espesor de laformación Durante la vida de un reservorio, el espesor de la formación es considerado invariable en los casos que estemos frente a reservorios volumétricos sin empujes de agua, pero cuando se tiene reservorios con un fuerte empuje del acuífero, el espesor del reservorio disminuye dependiendo del avance del nivel acuífero, también puede variar cuando los interválos de completación son modificados por la necesidad de perforar intervalos mucho más grandes. En estas circunstancias el pozo debe ser probado para determinar las nuevas condiciones.
  • 266.
    Viscosidad del gasy el factor de compresibilidad Estos términos son dependientes de la presión medida del reservorio. Los cambios de viscosidad y del factor de compresibilidad del gas afectan los coeficientes de C y A Las ecuaciones muestran la relación que existe entre los valores actuales y futuros de C y A manteniéndose el radio de drene, el efecto daño y el espesor de la formación son constantes
  • 267.
    Donde P yF indican las condiciones al tiempo presente y tiempo futuro respectivamente
  • 268.
    Radio de pozoy radio de drene El radio del pozo es constante y sólo el radio efectivo del pozo varía cuando existe estimulación, esto es notado en el resultado cuantitativo del factor daño. El radio de drene depende del espaciamiento del pozo y puede ser considerado constante una vez alcanzado un flujo estable.
  • 269.
    Factor daño Cuandoel pozo es expuesto a una fractura o tratamiento ácido, el factor daño o efecto superficial de daño, varía incidiendo en los valores de C y n o los coeficientes de A y B siguiendo el método de análisis que se utiliza debiendo recalcularlos, para lo cual se tiene que realizar nuevas pruebas de pozo y evaluar los nuevos valores de los coeficientes afectados.
  • 270.
    Caída de presióna través de las perforaciones Evaluación práctica de las perforaciones hechas por el Dr. Harry McCleod, Esto muestra que la compactación de la zona estudiada ocurre, alrededor de la perforación en condiciones normales. Para formaciones impermeables no solamente interesa un área abierta de flujo, sino también la longitud de la perforación. Ambos tienen un efecto sobre el caudal dentro del borde de la perforación.
  • 271.
    La Figura muestrauna típica perforación y la nomenclatura que se utiliza en este análisis. El orden para analizar el efecto de estas perforaciones es la capacidad de flujo
  • 272.
    La Figura muestraque para efectuar una perforación de 90º, esta debe ser analizada como una sección mucho más pequeña en las paredes del pozo. Además, se ha asumido en este análisis que esta es una zona no dañada.
  • 273.
    Suposiciones : Lapermeabilidad de la zona compactada es: a)10% de permeabilidad de formación si es perforado sobre balanceado. b) 40% de permeabilidad de formación si es perforado desbalanceado.
  • 274.
    El espesor dela zona dañada es ½ pulgadas. La pequeña sección de la pared del pozo puede ser analizada como un reservorio infinito, esto es, si Pwfs permanece constante en el borde de la zona compactada, eliminando así mismo él -¾ de la ley de Darcy para un límite exterior cerrado. wfsp La ecuación presentada anteriormente por Jones, Blount y Glaze puede ser utilizada para evaluar las pérdidas de presión a través de las perforaciones
  • 277.
    Cálculo del efectode Daño de la Perforación Karakas y Tariq (1988), han presentado una solución semianalítica para el cálculo del efecto de daño en las perforaciones , ellos dividen en tres componentes los cuales son: - el efecto de circulación plano SH , - el efecto de convergencia vertical Sv , - el efecto de agujero Swb , el efecto del daño total de la perforación es: Sp = SH + Sv + Swb
  • 278.
    La Figura nosmuestra las variables para el cálculo de la capa externa de perforación. Estas incluyen -el radio del pozo, r, W-el radio de perforación, r, perfo-la longitud de la perforación l, perfo-ángulo de enfasamiento de la perforación -la distancia entre las perforaciones, hf,. per
  • 282.
    Donde KH yKV, son las permeabilidades horizontal y vertical Las constantes a1, a2 y b2 son también funciones del enfasamiento de perforación
  • 283.
    Para el cálculodel SWb una cantidad adimensional es calculada primeramente. Swb = C1 * e C2+rwD Las Constante C1 y C2 pueden ser obtenidas de la Tabla
  • 284.
    Daños Cerca alPozo y Perforaciones Son caracterizados por un efecto de daño compuesto Si las perforaciones terminan dentro de la zona de los daños (Iperf.< rs). En la ecuación (Sd)o, es el efecto de daño equivalente de agujero abierto dado por la fórmula de Hawkins.
  • 285.
    Si las perforacionesterminan fuera de la zona de daño, entonces: Donde Sp es evaluada en una longitud de perforación modificada I perf. y un radio modificado rw, estos son:
  • 286.
    Pérdidas de Presiónen Líneas de Producción La producción de HC es en condiciones de flujo multifásico, es decir, gas condensado y agua, Con el estudio de los mecanismos y principios del fluido multifásico, se puede estimar adecuadamente las pérdidas de carga que se producen en la tubería o línea de conducción. El flujo en tuberías se define como el movimiento de gas libre, mezcla de fluidos o una combinación de algún modelo de flujo en tuberías sobre diferentes condiciones de operación.
  • 287.
    Todas las pérdidasde carga son función del caudal de producción y de las propiedades o característica de los componentes del sistema. En el caso de un flujo en fase simple, sea este líquido o gas, la pérdida de presión puede ser calculada fácilmente, sin embargo durante la producción de un pozo se tiene un fluido multifásico lo que complica el cálculo de dichas pérdidas de presión, los tres términos que contribuyen a la pérdida de carga total del sistema por Fricción, Aceleración y Elevación.
  • 288.
    Ecuación de energía La base teórica para la mayoría de las ecuaciones de flujo de fluidos es la ecuación general de energía, la cual es una expresión del balance o conservación de energía entre dos puntos en un sistema.
  • 289.
    Dividiendo entre lamasa m Con las relaciones termodinámicas H = Entalpia S = Entropia T = Temperatura
  • 290.
    Para un procesoirreversible d (lw) perdida de trabajo por la irreversibilidad
  • 291.
    Si ningún trabajofue hecho por el sistema dw = 0 Si consideramos una porción de tubería inclinada
  • 293.
    La anterior ecuaciónpuede ser escrita en términos de gradiente de presión multiplicando por La caída de presión será : El esfuerzo viscoso será :
  • 294.
    El factor defricción se define como : Esta ecuación define la relación entre el esfuerzo cortante sobre la pared y la energía cinética por unidad de volumen El esfuerzo de corte sobre la pared es un balance de fuerzas de presión y las fuerzas de viscosidad:
  • 295.
    Si el esfuerzocortante es El gradiente de presión será
  • 296.
    Esta es laecuacion de Fanning donde f ' es el factor de Fanning El factor de friccion de Darcy ( Moody ) f = 4 f '
  • 297.
    El gradiente depresión total
  • 298.
    Es la perdidade presión debido al peso de la columna de fluido, En flujo horizontal = 0 Es el cambio de energía potencial entre 2 posiciones Es la perdida de presión por fricción, que se origina por el movimiento del fluido contra las paredes de la tubería de producción Es la caída de presión que resulta del cambio de velocidad del fluido entre 2 posiciones
  • 299.
    Para flujo multifasicola ecuación será :
  • 300.
    Número de Reynolds El número de Reynolds, parámetro adimensional, utilizado para distinguir entre un flujo laminar y turbulento, se define como la relación entre el momento de fuerzas del fluido y las fuerzas viscosas o de corte.
  • 301.
    La viscosidad dinámicadel fluido μ, frecuentemente indicada en cp, puede ser convertida en lbm / ft seg utilizando el factor de conversión de 1 cp = 6.7197x10-4 lbm / ft seg. Y la ecuación será : En términos de caudal de gas o número de Reynolds para condiciones bases de temperatura y presión se puede escribir como Donde q esta en Mscfd, μ esta en cp, y d esta en pulgadas
  • 302.
    El régimen deflujo es relacionado al número de Reynolds
  • 303.
    Rugosidad Relativa Elfactor de fricción a través de una tubería es afectado por la rugosidad en la pared de la tubería. La rugosidad es una función del material tubular, el método de manufactura y del medio ambiente al que es expuesto, por tanto, no es uniforme a lo largo de la longitud de la tubería. El efecto de rugosidad en tanto, no es debido a las dimensiones absolutas definida como la medida de la altura y el diámetro existentes en una zona de mayor protuberancia y una distribución relativamente uniforme.
  • 304.
    La rugosidad relativaes la relación de la rugosidad absoluta y el diámetro interno de la tubería. Si no se tienen los datos disponibles como el gradiente de presión, factor de fricción y el número de Reynolds para hacer uso del diagrama de Moody, se usa el valor de 0.0006 para tuberías y líneas.
  • 308.
    Flujo laminar defase simple Existe flujo laminar cuando se presenta un movimiento estacionario permanente en cada punto de la trayectoria del fluido, que dice, que las líneas de corriente se deslizan en forma de capas con velocidades suficientemente bajas sin causar remolinos. El factor de fricción para flujo laminar puede ser determinado analíticamente. La ecuación de Hagen- Poiseville para flujo laminar es:
  • 309.
    En funcion delfactor de fricción de Moody para flujo laminar En su forma equivalente para el factor de fricción de Fanning
  • 310.
    Flujo turbulento defase simple Existe un movimiento turbulento cuando la velocidad media lineal excede la velocidad crítica y las partículas siguen trayectoria errática. Estudios experimentales de flujo turbulento, han mostrado que el perfil de la velocidad y el gradiente de presión son muy sensibles a las características de la pared de tubería de producción y líneas de surgencia, características que se pueden clasificar como: tuberías lisas y tuberías rugosas.
  • 311.
    Tuberías lisas Lasecuaciones propuesta por Drew, Koo y McAdams que se presentan son válidas para valores específicos de número de Reynolds, utilizado para intervalos de 3x103 < NRe < 3x106. f = 0.0052 + 0.5NRe -0.32 Y la ecuación presentada por Blasius, para número de Reynolds mayores a 105 en tuberías lisas: f = 0.31NRe -0.25
  • 312.
    Tuberías rugosas Enflujo turbulento, la rugosidad tiene un efecto determinante en el factor de fricción por consiguiente, la gradiente de presión debido a su dependencia con la rugosidad relativa y número de Reynolds, (Colebrook y While ), propusieron una ecuación aplicable a tuberías lisas como tubería de flujo de transición y totalmente rugosas en las zonas de flujo turbulento, la dificultad radica en que la ecuación no es lineal
  • 313.
    Para valores consideradosde rugosidad relativa entre 10-6 y 10-2 , número de Reynolds entre 5x103 y 108, se puede utilizar la ecuación de Jain.
  • 314.
    Flujo de fasesimple La ecuación de gradiente de presión derivada anteriormente combinando con las ecuaciónes del gradiente de presión, aplicable para cualquier fluido en cualquier ángulo de inclinación de tubería, es Esta ecuación se aplica para cualquier fluido en estado estable, un flujo dimensional para el cual f , ρ , y u pueden conocidos
  • 315.
    . El cambiode elevación al componente hidrostático es cero, solamente para flujo horizontal. Se aplica para fluido compresible o incompresible, flujo pseudo estable y transiente en las tuberías verticales o inclinadas. Para flujo descendente el seno del ángulo es negativo, y la presión hidrostática aumenta en dirección del flujo. La pérdida de fricción de los componentes se aplica para cualquier tipo de flujo en cualquier ángulo de inclinación de tubería.
  • 316.
    Esto siempre causauna caída de presión en dirección de flujo. En flujo laminar las pérdidas de fricción linealmente son proporcional a la velocidad del fluido. En flujo turbulento, las pérdidas de fricción son proporcionales a un , donde 1.7 ≤ n ≤ 2. El cambio de energía cinética o la aceleración del componente es cero para área constante, flujo incompresible. Para cualquier cambio de velocidad, la caída de presión sucederá en dirección que la velocidad aumenta.
  • 317.
    Flujo de dosfases Introduciendo una segunda fase dentro de una corriente de flujo complica el análisis de la ecuación de gradiente de presión. El gradiente de presión es incrementado para la misma masa de flujo, y el flujo podría desarrollar pulsaciones naturales. Los fluidos pueden separarse debido a la diferencia de densidades y pueden fluir en velocidades diferentes en la tubería.
  • 318.
    Propiedades como ladensidad, velocidad y la viscosidad, se vuelven muy difíciles para determinar. Antes de modificar la ecuación de gradiente de presión para las condiciones de flujo de dos fases, se debe definir y evaluar ciertas variables únicas para una mezcla de dos fases gas – líquido.
  • 319.
    Variables de flujode dos fases Para calcular el gradiente de presión se necesita los valores como densidad, viscosidad, y en algunos casos la tensión superficial para las condiciones de flujo. Cuando estas variables son calculadas para flujo de dos fases, se encuentran ciertas normas de mezclas y definiciones únicamente para esta aplicación. Analizaremos algunas de las propiedades más importantes, las cuales deben ser estudiadas antes de adaptar las ecuaciones de gradiente de presión para las condiciones de dos fases.
  • 320.
    Escurrimiento de Líquido(Holdup), HL Es definido como la fracción de un elemento de tubería que es ocupado por el líquido en algún momento, esto es: si el volumen es muy pequeño, el escurrimiento del líquido será cero o uno. Siendo necesario determinar el escurrimiento del líquido, si se desea calcular tales valores como densidad de la mezcla, velocidad a través del gas y líquido, viscosidad efectiva y transferencia de calor..
  • 321.
    El valor deescurrimiento del líquido varía desde cero, para flujo de gas de una sola fase, a uno para flujo de líquido de una sola fase. El escurrimiento de líquido puede ser medido experimentalmente por varios métodos, tales como pruebas de resistividad o capacidad, densitómetros nucleares, o por entrampar un segmento de corriente de flujo entre válvulas de echado rápido y midiendo el volumen de líquido atrapado. No se puede calcular analíticamente un valor de escurrimiento de líquido. Se debe determinar de correlaciones empíricas
  • 322.
    El Volumen relativoinstantáneo de líquido y gas algunas veces expresado en términos de fracción de volumen ocupado por el gas, llamado altura del gas , Hg , o fracción al vacío. La altura de gas es expresada como
  • 323.
    Suspensión de líquido,λL Llamado algunas veces líquido de entrada, es definido como la razón de volumen de líquido en un elemento de tubería, el cual existirá si el gas y el líquido viajan a la misma velocidad (sin escurrimiento) dividido por el volumen de elemento de tubería. Esto se puede calcular conociendo los caudales de flujo de gas y líquido in – situ, utilizando La elevación de gas no volátil o fracción de gas es definido como:
  • 324.
    Densidad Toda ecuaciónde flujo de fluido requiere que un valor de densidad de fluido La densidad se requiere en la evaluación de los cambios de energía debido a la energía potencial y los cambios de energía cinética. Para calcular los cambios de densidad con los cambios de presión y temperatura, se necesita tener una ecuación de estado para el líquido sobre consideraciones. Las ecuaciones de estado son fácilmente disponibles para fluidos de fase simple.
  • 325.
    Cuando dos líquidosinmiscibles como petróleo y el agua fluyen simultáneamente, la definición de densidad se vuelve mas complicada. La densidad de una mezcla fluyente de gas – líquido es muy difícil de evaluar debido a la separación gravitacional de las fases, y la volatibilidad entre las mismas. La densidad de una mezcla de petróleo – agua se puede calcular de forma aproximada de la siguiente manera: ρL = ρoƒo + ρwƒw
  • 326.
    Para calcular ladensidad de una mezcla de gas – líquido, se necesita conocer el escurrimiento de líquido utilizando tres ecuaciones para densidad de dos fases para flujo de dos fases Ecuaciones utilizadas por la mayoría de los autores para determinar el gradiente de presión debido al cambio de presión
  • 327.
    Velocidad Muchas correlacionesestán basadas en una variable llamada velocidad superficial. La velocidad superficial de la fase de un líquido es definida como la velocidad en la cual esa fase existiría si este fluido pasa a través de toda sección transversal de tubería. La velocidad de gas superficial es calculada por:
  • 328.
    El área realpor la cual los flujos de gas están reducidos por la presencia de líquido al AHg. Por tanto, la velocidad real es calculada por: Donde A es el área de tubería. Las velocidades de líquido real y la superficial son calculadas de forma similar
  • 329.
    Hg y HL son menores que uno, las velocidades reales son mayores que las velocidades superficiales. La velocidad de dos fases o mezcla es calculada en base a los caudales de flujo instantáneo total de la ecuación: Las fases de gas y líquido viajan a velocidades diferentes en la tubería. Algunos autores prefieren evaluar el grado de desprendimiento o escurrimiento de líquido para determinar la velocidad de deslizamiento Vs.
  • 330.
    La velocidad dedeslizamiento es definida como la diferencia entre las velocidades de gas real y liquido Utilizando estas definiciones para varias velocidades, forma de la ecuacion para no-escurrimiento de líquido real son:
  • 331.
    Viscosidad El conceptode viscosidad de dos fases esta definida por las siguientes ecuaciones utilizadas por los autores para calcular la viscosidad de dos fases de gas – líquido son:
  • 332.
    Tensión Superficial Latensión interfacial depende de otras propiedades de fluido como la gravedad de petróleo, gravedad del gas y gas disuelto. Si la fase líquida contiene petróleo y agua, los mismos factores de peso son utilizados para calcular la densidad y la viscosidad. Esto es:
  • 333.
    Modificación de laecuación de gradiente de presión para flujo de dos fases La ecuación de gradiente de presión, se aplica para cualquier flujo de fluido en una línea inclinada dado un ángulo θ de horizontal, dado previamente como:
  • 334.
    Modelo simplificado parapredecir velocidad mínima del gas para remover líquido del fondo y la velocidad erosional Turner hizo un análisis de la velocidad mínima necesaria para evitar el resbalamiento del líquido en el pozo y para mover la película de líquido en la pared del tubería. Este estudio generó un criterio para determinar la velocidad crítica usando el modelo de agua y comparando con de las velocidades críticas del gas producido en el pozo a temperatura en cabeza y presión en cabeza.
  • 335.
    Las velocidades críticasencontradas por Turner para el modelo de caída resulta una ecuación simple de la velocidad hacia arriba, ascendente para evitar que las gotas más grandes caigan, lo cual es considerada como un esfuerzo de corte.
  • 336.
    Despejando la velocidadfinal La relación entre la caída, el diámetro, velocidad y tensión superficial es
  • 337.
    Usando la relaciónanterior, Turner recomendó que el número de Weber sea igual a 30 para caídas grandes,
  • 338.
    El caudal mínimopara prevenir el resbalamiento de líquido es:
  • 339.
    Cambio del Componentede elevación Donde ρs , es la densidad de la mezcla gas – líquido en la línea. Considerando una porción de línea, la cual contiene líquido y gas, la densidad de la mezcla puede ser calculada con la ecuación
  • 340.
    Suponiéndose que nohay pérdidas de fuerza de transmisión entre la fase de líquido y gas, el término densidad es definido por la ecuación el uso de la ecuación implica la determinación de un valor exacto de elevación de líquido, en vista que la densidad puede ser calculada desde los caudales de flujo líquido y gas instantáneo.
  • 341.
    Cambio del Componentedel factor de fricción El componente del factor de fricción se vuelve Donde f, ρ y μ son definidos analíticamente
  • 342.
    Cambio del Componentede aceleración El componente de aceleración para flujo de dos fases es representado por Se hacen varias suposiciones acerca de la magnitud relativa de sus parámetros. La consideración principal para resolver las ecuaciones, desarrollando los métodos para la predicción de elevación de líquido y factor de fricción de dos fases, es realizado mediante la aproximación.
  • 343.
    Modelo de flujode dos fases Cuando dos fluidos con diferentes propiedades físicas simultáneamente están en una tubería, se tiene una gama amplia de posibles modelos de flujo. La predicción de modelos de flujo, para pozos horizontales es la más compleja que para flujos de pozos verticales. Para flujo horizontal, las fases se tienden a separar por efecto de la densidad provocando una especie de flujo estratificado que es común.
  • 344.
    Patrones de Flujo. La diferencia básica entre flujo de una sola fase y bifásico es que en este último la fase gaseosa y líquida pueden estar distribuidas en la tubería en una variedad de configuraciones de flujo, las cuales difieren unas de otras por la distribución especial de la interfase, resultando en características diferentes de flujo tales como los perfiles de velocidad y hold up. La existencia de patrones de flujo en un sistema bifásico dado depende de las siguientes variables:
  • 345.
    Parámetros operacionales, esdecir, tasas de flujo de gas y líquido. Variables geométricas incluyendo diámetro de la tubería y ángulo de inclinación. Las propiedades físicas de las dos fases, tales como; densidades, viscosidades y tensiones superficiales del gas y del líquido.
  • 346.
    Bajo estos parámetroslos patrones de flujo se clasifican como : - Patrones de flujo para Flujo Horizontal y cercanamente Horizontal - Patrones de flujo para Flujo Vertical y Fuertemente Inclinado
  • 347.
    Patrones de flujopara Flujo Horizontal y cercanamente Horizontal. Los patrones de flujo existente en estas configuraciones pueden ser clasificados como: - Flujo Estratificado -Flujo Intermitente (Flujo Tapón y Flujo de Burbuja Alargada). - Flujo Anular (A). - Burbujas Dispersas..
  • 348.
    Flujo Estratificado Abreviadocomo “St”, ocurre a tasas de flujo relativamente bajas de gas y líquido. Las dos fases son separadas por gravedad, donde la fase líquida fluye al fondo de la tubería y la fase gaseosa en el tope. Este patrón es subdividido en Stratified Smooth (SS), donde la interfase gas-líquido es lisa, y Stratified Wavy (SW), ocurre a tasas de gas relativamente altas, a la cual, ondas estables se forman sobre la interfase.
  • 349.
    Flujo Intermitente (FlujoTapón y Flujo de Burbuja Alargada). Abreviado como “I”, el flujo intermitente es caracterizado por flujo alternado de líquido y gas, plugs o slugs de líquido, los cuales llenan el área transversal de la tubería, son separados por bolsillos de gas, los cuales tienen una capa líquida estratificada fluyendo en el fondo de la tubería.
  • 350.
    El mecanismo deflujo es el de un rápido movimiento del tapón de líquido ignorando el lento movimiento de la película de líquido a la cabeza del tapón. El líquido en el cuerpo del tapón podría ser aireado por pequeñas burbujas las cuales son concentradas en el frente del tapón y al tope de la tubería. El patrón de flujo intermitente es dividido en patrones de flujo Slug (SL) y de burbuja alongada (EB). El comportamiento de flujo entre estos patrones es el mismo con respecto al mecanismo de flujo,
  • 351.
    Flujo Anular (A). Flujo anular ocurre a muy altas tasas de flujo de gas. La fase gaseosa fluye en un centro de alta velocidad, la cual podría contener gotas de líquido arrastradas. El líquido fluye como una delgada película alrededor de la pared de la tubería. La película al fondo es generalmente más gruesa que al tope
  • 352.
    Burbujas Dispersas Amuy altas tasas de flujo de líquido, la fase líquida es la fase continua, y la gaseosa es la dispersa como burbujas discretas. La transición a este patrón de flujo es definida por la condición donde burbujas son primero suspendidas en el líquido, o cuando burbujas alargadas, las cuales tocan el tope de la tubería, son destruidas.
  • 353.
    Patrones de flujopara Flujo Vertical y Fuertemente Inclinado -Flujo Burbuja. -Flujo Slug (Tapón “Sl”). -Flujo Churn (Transición “Ch”). - Flujo Anular (Neblina “An”)
  • 354.
    Flujo Burbuja. Comoen el caso horizontal, la fase gaseosa es dispersa en pequeñas burbujas discretas en una fase líquida continua, siendo la distribución aproximadamente homogénea a través de la sección transversal de la tubería. Este patrón muestra 2 comportamientos A bajo caudal ocurre el deslizamiento entre fase de gas y liquido A alto caudal no ocurre el deslizamiento entre fase de gas y liquido
  • 355.
    Flujo Slug (Tapón“Sl”). Este patrón de flujo en tuberías verticales es simétrico alrededor del eje de la tubería. La mayoría de la fase gaseosa esta localizada en burbujas de gas con un diámetro casi igual al diámetro de la tubería. El flujo consiste de sucesivas burbujas separadas por tapones de líquido. Una delgada película líquida fluye corriente abajo entre la burbuja y la pared de la tubería. La película penetra en el siguiente tapón líquido y crea una zona de mezcla aireada por gas
  • 356.
    Flujo Churn (Transición“Ch”). Este patrón de flujo es caracterizado por un movimiento oscilatorio, este tipo de flujo es similar al Slug Flow, los límites no están bien claros entre las fases. Ocurre a mayores tasas de flujo de gas, donde el tapón de líquido en la tubería llega a ser corto y espumoso.
  • 357.
    Flujo Anular (Neblina“An”) . En flujo vertical, debido a la simetría de flujo el espesor de la película líquida alrededor de la pared de la tubería es aproximadamente uniforme. Como en el caso horizontal el flujo es caracterizado por un rápido movimiento de gas en el centro. La fase líquida se mueve más lenta como una película alrededor de la pared de la tubería y como gotas arrastradas por el gas.
  • 358.
    La interfase esaltamente ondeada, resultando en un alto esfuerzo de corte interfacial. En flujo vertical corriente abajo, el patrón anular existe también a bajas tasas de flujo en la forma de “falling film”. El patrón tapón en flujo corriente abajo es similar al de flujo corriente arriba, excepto que generalmente la burbuja es inestable y localizada excéntricamente al eje de la tubería. La burbuja podría ascender o descender, dependiendo de las tasas de flujo relativa de las fases
  • 359.
    Correlaciones de flujomultifásico en tuberías Existen muchas correlaciones empíricas generalizadas para predecir los gradientes de presión. Dichas correlaciones se clasifican en: Las correlaciones Tipo A, que consideran que no existe deslizamiento entre las fases y no establecen patrones de flujo Las correlaciones Tipo B, que consideran que existe deslizamiento entre las fases, pero no toman en cuenta los patrones de flujo. Las correlaciones Tipo C, que consideran que existe deslizamiento entre la fases y los patrones de flujo-
  • 360.
    Correlación de Hagedorn& Brown. Desarrollaron una correlación general par un amplio rango de condiciones. Los aspectos principales de dichas correlación son: i.La ecuación de gradiente de presión incluyen el término de energía cinética y considera que existe deslizamiento entre las fases. ii. No considera los patrones de flujo. iii. El factor de fricción para flujo bifásico se calcula utilizando el diagrama de Moody.
  • 361.
    iv. La viscosidadlíquida tiene un efecto importante en las pérdidas de presión que ocurre en el flujo bifásico. v. El factor de entrampamiento líquido o fracción del volumen de la tubería ocupado por líquido es función de cuatro (4) números adimensionales: - número de velocidad líquida, - número de velocidad del gas, - número del diámetro de la tubería y - el número de la viscosidad líquida (introducidos por Duns & Ros).
  • 411.
    Análisis de Flujode Gas a Través de Choques El caudal de flujo de casi todos los pozos fluyentes es controlado con un choque en la cabeza del pozo para controlar el caudal de producción y asegurar la estabilidad del mismo. El choque, es un instrumento de restricción más comúnmente usado para efectuar una variación de presión o reducción de caudal,
  • 412.
    Los choques, sonusados para causar una caída de presión o reducir el caudal de flujo. Son capaces de causar grandes caídas de presión: Los choques entonces tienen, varias aplicaciones como dispositivos de control en la industria del petróleo y gas. Algunas veces estas aplicaciones pueden ser utilizados para: Mantener un caudal de flujo permisible en la cabeza del pozo. Controlar el caudal de producción. Proteger los equipos de superficie
  • 413.
    Controlar y prevenirlos problemas de arenamiento Prevenir una conificación de gas y agua
  • 414.
    Clasificación de losChoques Choques superficiales. Choques de fondo. Choques superficiales La función principal del choque superficial es la de estrangular el flujo para proporcionar estabilidad en las instalaciones superficiales. Los choques superficiales pueden ser clasificados conforme a su desempeño Tipo positivo Tipo ajustables
  • 415.
    Tipo positivo Estacompuesto de un cuerpo o caja en cuyo interior se puede instalar o cambiar manualmente diferentes diámetros de orificios. En la mayoría de los casos se utiliza el de orificio positivo, debido a su simplicidad y bajo costo.
  • 416.
    • Tipo ajustable: • Es similar al choque positivo, con la excepción de que para ajustar el diámetro de la apertura del orificio de flujo tiene una varilla fina con graduaciones visibles que indican el diámetro efectivo del orificio.
  • 417.
    Choques de fondo Los choques de fondo se encuentran en el interior de la tubería de producción, mas propiamente abajo de la válvula de seguridad. Los choques de fondo son muy útiles para lograr mayores velocidades en el extremo inferior de la columna de flujo. Con los choques de fondo se pueden sostener contrapresiones más bajas contra las formaciones productoras, estimulando así mismo los regímenes de producción.
  • 418.
    Los choques defondo se usan para reducir la presión fluyente en la cabeza del pozo y prevenir la formación de hidrato en las líneas superficiales Los choques de fondo se clasifican Tipo Fijo Tipo Removibles
  • 419.
    Tipo fijo Elchoque de fondo tipo fijo se coloca rígidamente adherido a la tubería de producción, ésta se puede ajustar solo tirando la tubería. No es recomendable, especialmente en pozos que producen hidrocarburos con arena, que ocasionalmente tienen un desgaste rápido y requieren reposición frecuente del choque, por que se pueden ajustar y compensar el desgaste.
  • 420.
    Tipo Removible Esel más práctico se puede sacar a la superficie para su inspección, ajuste o reposición sin alterar la tubería de producción. El choque de fondo removible, esta armado en un empacador equipado con cuñas de modo que se puede colocar en la tubería de flujo a cualquier profundidad deseada. Se puede bajar con Wire Line Consiste de un mandril con, un juego de cuñas, un elemento de empaque y el diámetro del orificio que ajusta libremente en una superficie cónica y tiene barras de extensión que se extienden para la cima por una borda en el mandril y dentro de los casquillos en un collar se puede deslizar libremente en el extremo superior del mandril.
  • 421.
    Factores que influyenen el choque La selección del diámetro del choque, esta influenciado por la presión fluyente, el índice de productividad, razón gas – petróleo, etc. Diversos factores pueden ser considerados para determinar la producción o caudal en el sistema de flujo, entre estos tenemos: ־ Comportamiento de entrada del flujo. ־ Sistema superficial. ־ Sistema subsuperficiales. ־ Instalaciones superficiales.
  • 422.
    Modelos de Flujo Cuando el flujo de gas o la mezcla gas-líquido fluyen a través del choque, el fluido puede acelerarse hasta alcanzar la velocidad del sonido en la garganta del choque, cuando esta condición ocurre el fluido es llamado crítico. El cambio de presión aguas abajo del choque no afectan al caudal de flujo, porque las perturbaciones de la presión no pueden viajar agua arriba más rápido que la velocidad sonica.
  • 423.
    Para la predicciónde la caída de presión para un caudal de flujo relacionada para los fluidos compresibles fluyendo a través del choque, deberíamos determinar el flujo crítico, o subcrítico, para aplicar su correspondiente correlación. .
  • 424.
    La Figura muestrala dependencia del caudal de flujo a través del choque o la razón de las presiones aguas arriba a aguas abajo para un fluido compresible. El caudal es independiente de la relación de presión aguas arriba/aguas abajo, cuando el fluido es crítico El flujo a través de Choques, en general, puede ser de dos tipos: Subcríticos y Crítico.
  • 425.
    Flujo Subcrítico Elflujo es llamado Subcrítico cuando la velocidad del gas a través de las restricciones es menor a la velocidad del sonido del gas, y el caudal depende tanto de la presión de entrada como de la presión salida. Los choques subsuperficiales son normalmente proyectados para permitir el flujo subcrítico
  • 426.
    Flujo Crítico Elflujo es llamado crítico cuando la velocidad del gas a través de las restricciones es igual a la velocidad del sonido (1100 ft/seg. para el aire) en el gas. La velocidad máxima en la cual un efecto de presión o una perturbación se pueden propagar a través de un gas no puede exceder la velocidad del sonido del gas. Así mismo, una vez que la velocidad del sonido sea alcanzada, un aumento mayor en la diferencial de presión no aumentará la presión en la garganta del choque.
  • 427.
    Por lo tanto,el caudal de flujo no puede exceder al caudal de flujo crítico conseguido cuando la razón de presión salida P2 y entrada P1 llega a un valor crítico, indica que esta presión sea decrecida. Al contrario del flujo subcrítico, el caudal de flujo, en flujo crítico, depende solamente de la presión entrada, porque las perturbaciones de presión que trafican en la velocidad del sonido implican que una perturbación de presión en la salida no tendrá efecto alguno sobre la presión de entrada o sobre el caudal de flujo. Los choques en superficies son normalmente desechados para favorecer un flujo crítico
  • 428.
    Cuando el flujode gas pasa a través de un orificio, la velocidad aguas arriba es controlada por la diferencial de presión a través del orificio. Como la diferencial de presión incrementa por un incremento en la presión agua arriba, una disminución en la presión aguas abajo o ambos, la velocidad del gas aumenta y se acerca a un valor conocido como la velocidad crítica. .
  • 429.
    Después de queesta velocidad crítica alcanza la presión diferencial a través del orificio no afecta a la velocidad. La velocidad crítica se alcanza cuando la relación de la presión aguas arriba / aguas abajo es aproximadamente 2 o más. Sobre la relación de presión crítica no importa cuánta presión está aplicada en el lado de las aguas arriba
  • 430.
    La fórmula paralos cálculos de caudal de gas es .
  • 433.
    Flujo de Gas La ecuación general para flujo a través de restricciones puede ser obtenida combinando la ecuación de Bernoulli con la ecuación de estado. Las pérdidas irreversibles o pérdidas de fatiga son explicadas por un coeficiente de descarga, el cual depende del tipo de restricciones.
  • 434.
    Flujo de gassimple fase Cuando un fluido compresible pasa a través de una restricción, la expansión del fluido es un factor muy importante. Para fluidos isotrópicos de un gas ideal a través de un choque, el caudal esta relacionado a la relación de presión P1/P2. La ecuación general es válida solamente en el régimen subcrítico, antes del flujo crítico, cuando la máxima velocidad de flujo (igual a la velocidad del sonido) es obtenida
  • 436.
    Si la razónde presiones en la cual el flujo crítico ocurre, es representado por (P1 / P2)c, entonces a través del cálculo elemental se puede demostrar que: k se asume , como una constante, k 0 1.293 Generalmente, el valor de k 1.25 y 1.31,
  • 437.
    A partir dela relación representada por la ecuación y que el flujo es crítico cuando la razón de presión esta en la región de 0.5549 (para k = 1.25) para 0.5439 (para k = 1.31). El flujo es considerado crítico cuando la razón de presión es menor o igual a 0.55, el cual indica que k sea a 1.275 aproximadamente. si Reemplazando estos valores en la ecuacion :
  • 452.
    BALANCE DE MATERIAEN RESERVORIO DE GAS Es un balance de moles de gas existente en el reservorio. Los moles existente en un reservorio en un determinado instante es la diferencia entre los moles original en el reservorio y los moles producidos. El volumen de los fluidos existente en el reservorio es la diferencia entre el volumen inicial y el volumen producido, ambos medidos a esa condición de presión La ecuación de balance de materiales para reservorio de gas esta sujeto a los dos principales mecanismos de producción, la expansión de fluido y la entrada de agua
  • 453.
    Las principales aplicacionesde la ecuación de balance de materiales son: • Determinación de volumen original de gas. • Determinación de volumen original de condensado. • Determinación de la entrada de agua proveniente de acuíferos. • Prevención del comportamiento de reservorios. Conociéndose el volumen de reservorio, la porosidad de roca y la saturación de agua irresidual, pueden ser calculados los volúmenes originales de gas a través del método volumétrico. El volumen de gas, medido en condiciones estándar, esta dado por
  • 454.
    Donde Vr esel volumen total del reservorio, φ es la porosidad de la roca. Sg la saturación de gas, Bg el factor volumétrico de gas, Sw la saturación de agua y el índice i se refiere a las condiciones iniciales
  • 455.
    ECUACIÓN DE BALANCEDE MATERIAL Esta ecuacion puede ser obtenida a partir del principio de conservación de masa en el interior del reservorio, representado por la siguiente expresión: Masa producida = masa inicial – masa actual. Si la composición del gas producido es constante, los volúmenes producidos y volúmenes remanente en el reservorio son directamente proporcional a la masa, ya que para la ecuación de estado de los gases se tiene:
  • 456.
    La ecuación deconservación de masa puede ser expresada a través de un balance de volúmenes, bajo una condición de P y T cualquiera de referencia: Volumen producido = volumen inicial – volumen actual Las condiciones de 1 atm (14,7 psi) y 15,6 ºC (60 ºF) como referencia, denominados condiciones naturales o estándar np = ni – n Donde np , ni y n son los números de moles producidos, iniciales y remanente en el reservorio respectivamente
  • 457.
    El número demoles puede ser calculado a través de la ecuación de estado de los gases reales Donde Gp es el volumen de gas producido acumulado, medido en las condiciones estándar.
  • 458.
    Donde Vi esel volumen inicial del gas en el reservorio medido a una presión P y temperatura T. Normalmente se admite que la temperatura del reservorio permanece constante durante su vida de productividad. El número de moles existentes en el reservorio en un instante cualquiera, cuando la presión medida es igual a P, es: Donde V es el volumen ocupado por el gas, medido en las condiciones de reservorio
  • 459.
    Ecuación de balancede materiales general para un reservório de gas: Existen 3 mecanismos de producción los cuales son responsables de la recuperación de gas en los yacimientos - Expansión del Gas por declinación de la Presión - Empuje del Agua proveniente del Acuífero activo adyacente - Expansión del agua connota y reducción del volumen poroso por compactación al ocurrir disminución de la presión de poros
  • 460.
    La ecuación parael balance de materiales considerando los tres mecanismos anteriormente mencionados se obtiene a partir del siguiente balance: El volumen de fluido producidos = Gp*Bg+Wp*Bw El espacio dejado por la producción es llenado por: • Expansión del Gas • Expansión del Agua Connata y reducción del volumen poroso • Intrusión del Agua
  • 461.
    Teniendo en cuentaslos mecanismos de producción la ecuación de vaciamiento viene expresada por: La expansión del Agua connata , y la reducción del volumen poroso se pueden obtener de las siguientes ecuaciones generales. Por lo tanto la suma de la expansión del agua y la reducción del volumen poroso esta expresada a continuación
  • 462.
    Combinando las ecuacionesobtenemos el siguiente balance de materiales, considerando los tres mecanismos de producción Expansión del Gas Expansión del Agua connata y reducción del volumen Intrusión del Agua
  • 463.
    El Balance deMateriales se usa para determinar la cantidad de hidrocarburo inicial en el reservorio y su comportamiento futuro en cualquier etapa de agotamiento, calculándose el volumen recuperable bajos las condiciones de abandono Las suposiciones consideradas en la deducción de la ecuación son las siguientes: • El espacio poroso se encuentra ocupado inicialmente por el gas y agua irresidual • La composición del gas no cambia en le etapa de explotación del reservorio • La temperatura del yacimiento se considera constante
  • 464.
    Los reservorios degas pueden ser clasificados de acuerdo a su energía con la cual producen, los cuales pueden ser: • Reservorios Volumétricos. • Reservorios con empuje de agua.
  • 465.
    RESERVORIOS VOLUMÉTRICOS DEGAS Es aquel que produce solamente por depleción, o sea, por expansión de masa existente en el medio poroso, no habiendo por tanto influjo de agua proveniente de acuíferos. En este tipo de reservorio normalmente no produce agua, y las variaciones de volumen poroso (son debidos a la compresibilidad de la roca) y de agua irresidual (debidas a la compresibilidad del agua) son despreciables, cuando son comparadas con la expansión de gas.
  • 466.
    balance de materiapara un reservorio volumétrico de gas seco
  • 467.
    El cálculo devolumen original de gas G puede ser efectuado de dos maneras Gráficamente. Extrapolándose la producción acumulada (GP) para p/Z =0, ya que todo el gas originalmente existente habría sido producido cuando la presión en el interior del poro fuese 0 , pero en la práctica esto no ocurre debido a que se tiene una presión de abandono la cual puede estar en función a su capacidad de producción o a un limite económico, con lo cual determinaríamos nuestras reservas recuperables a la presión de abandono.
  • 468.
    Analíticamente a partirde la ecuación
  • 469.
    RESERVORIOS VOLUMÉTRICOS ANORMALMENTE PRESURIZADOS La hipótesis de que los efectos de la compresibilidad de la roca y el agua son despreciables no son válidos, debido a que el gas posee compresibilidades mucho mayor que las compresibilidades de la roca o del agua. Pero pueden ocurrir casos de reservorios anormalmente presurizados donde la roca reservorio generalmente es inconsolidada, y por lo tanto altamente presurizada, aparte de eso en reservorios altamente presurizados la compresibilidad del gas es menor de lo usual.
  • 470.
    Los reservorios anormalmentepresurizados pueden presentar gradientes de presión que están en el orden de 0.86 psi/pie, siendo que los valores normales están en torno de 0.433 psi/pie lo cual significa que la compresibilidad se reduce a la mitad de lo usual La curva convencional de declinación de presión P/Z vs Gp para yacimiento de gas con presiones anormales debe ser ajustada teniendo en cuenta las compresibilidades del agua connota Cw y de la formación Cf con el fin de obtener un valor correcto del volumen In-Situ.
  • 471.
    Se consideran losefectos de la compresibilidad de la roca y agua, considerando que no existe entrada de agua. El volumen ocupado por el gas en un instante cualquiera es dado por:
  • 472.
    Donde cw ycf son las compresibilidades del agua y de la formación, Vwi el volumen inicial de agua conata, Vpi el volumen poroso inicial y ΔP= Pi-P la caída de presión en el reservorio con relación a la presión inicial, por tanto: Utilizándose la definición de saturación de fluidos
  • 473.
  • 474.
  • 475.
    Un gráfico de( 1 - CcwfΔp ) p/Z versus Gp debe resultar en una línea recta con coeficiente angular igual a – b. La figura muestra que, despreciándose los efectos de compresibilidad del agua y de la roca, la extrapolación del volumen original de gas podrá tornarse exageradamente optimista cuando el reservorio volumétrico de gas fuera anormalmente presurizado.
  • 476.
    Reservorio de GasAnormalmente Presurizado con entrada de Agua Como se puede observar en el grafico de comportamiento para un reservorio anormalmente presurizado
  • 477.
    se pueden observardos pendientes, el primer comportamiento o pendiente esta en función de la compresibilidad del gas mas formación y el segundo comportamiento esta en función de la compresibilidad del gas + la entrada de agua. Si alineamos los puntos de estos comportamientos tenemos dos valores In-Situ , el primer valor es mayor que el segundo debido a la expansión del fluido el cual no es representativo, la segunda pendiente es mas inclinada y el valor obtenido es menor y esta en función al verdadero mecanismo de empuje,
  • 478.
    por lo tantocuando se realiza un balance p/z debe ser corregido por sus compresibilidades efectivas a los distintos datos de presión El comportamiento de la compresibidad efectiva vs. el historial de presión es muy importante ya que de ello depende la confiabilidad del volumen In-Situ calculado ya que la compresibilidad efectiva no es constante en los reservorios anormalmente presurizado
  • 479.
    La compresibilidad acumulativadel gas esta en función del volumen del gas inicial basados en los datos en los datos históricos de la presión y el gas acumulado. Para este cálculo se tomaran los valores de G volumen In-Situ Inicial
  • 480.
    RESERVORIOS DE GASCON ENTRADA DE AGUA En éste tipo de reservorio, a medida que produce el reservorio existe una entrada de agua hacia el interior del reservorio, proveniente de un acuífero contiguo a la zona de gas, para remplazar el volumen de gas producido manteniendo la presión de reservorio. La entrada del acuífero está en función a la velocidad con que el gas es producido en el reservorio. La grafica P/Z vs Gp para reservorio con empuje hidráulico presenta una curvatura cóncava hacia arriba y por esta razón el método de declinación de la presión no puede usarse para determinar el volumen In-Situ
  • 481.
    esta curvatura esdebido a la entrada adicional de energía proveniente del acuífero asociado
  • 482.
    Si existe unareducción en la presión inicial de reservorio, existe también una expansión del acuífero adyacente y consecuentemente una entrada de agua en el reservorio Gp = Gi-Gr Gp = BgiVi – Bgf (Vi-We+BwWp) Sustituyendo Vi por su equivalente G/Bgi la ecuación se convierte: Gp = G – Bgf(G/Bgi –We + Bw Wp) Dividiendo los términos por Bgf se obtiene: Gp Bgf= G (Bgf-Bgi)+We- BwWp
  • 483.
    El volumen Viocupado por el gas no es igual al volumen inicial cuando hay entrada y/o producción de agua. Despreciándose la variación de volumen poroso debido a la compresibilidad de la roca, o la expansión de agua connata, el volumen Vi puede ser calculado por Donde We es la entrada de agua (medido en condiciones de reservorio), Wp es la producción acumulada de agua (medido en condiciones normales) y Bw es el factor volumétrico del agua.
  • 484.
    En caso deque la entrada de Agua We sea conocido, algo que generalmente no ocurre, el volumen de gas en condiciones de reservorio (Vi) puede ser obtenido a partir del volumen original de gas (G), medido en las condiciones naturales que es calculado con la ecuación
  • 485.
    La ecuación podrátambién ser utilizada para calcular la entrada de agua acumulada (We) y el volumen de gas inicial (Vi) con una mayor precisión que el método volumétrico, En cualquier instante del historial de producción, el cálculo del volumen original de gas (G) debe producir el mismo resultado, a diferentes tiempos de la vida productiva de un reservorio con influjo de agua.
  • 486.
    Método de Colepara distinguir la actividad del acuífero Cole presento el grafico para determinar en forma cualitativa la actividad del acuífero asociado a yacimientos de Gas la cual consiste en graficar (F/Et) que es la producción total del fluido dividido la energía versus el acumulado del gas producido Gp
  • 488.
    • Si elreservorio es volumétrico (We=0), se obtiene una línea recta horizontal, • Si se tiene un acuífero débil, se tiene una curva con pendiente negativa. Es muy importante en la detección temprana del acuífero que no han mostrado actividad a través de los pozos en producción, ni se han observado contacto en los registro. • Para un acuífero moderado la curva muestra inicialmente una pendiente positiva y al final una pendiente negativa. • Si se tiene un acuífero fuerte infinito la curva de comportamiento muestra una pendiente positiva todo el tiempo
  • 489.
    Método Analítico dela Intrusión de Agua (We) basados en los datos Históricos de Producción Si se dispone de los historiales de producción de gas, presión, y agua y un valor estimado inicial del volumen In-Situ se puede utilizar el balance de materiales para determinar la entrada de Agua We, cuya ecuación es la siguiente Esta ecuación se puede aplicar a varias presiones durante el agotamiento del yacimiento, de esta manera se puede obtener el comportamiento de presión vs la entrada de agua y tiempo
  • 490.
    LINEALIZACION DE LAECUACIÓN DE BALANCE DE MATERIALES La ecuación del balance de materiales con entrada de agua no esta definida como una línea recta cuando se grafica los valores de p/Z en función de la producción de gas acumulada Gp, lo que impide la extrapolación para obtener el volumen original de gas Gi. El método de Oded Havlena de la línea re de la entrada de agua acumulada We.
  • 492.
    El gráfico dey vs. x forma una línea recta, con coeficiente angular unitario y coeficiente lineal igual a Gi. La entrada de agua acumulada We debe ser calculado admitiéndose un modelo para el acuífero en función al tiempo de producción, Debido a que si tenemos valores incorrectos de entrada de agua We puede ser visualizado y analizado.
  • 494.
    BALANCE PROPUESTO. Sabemosque el balance de materia del p/z vs producción acumulada en reservorio con entrada de agua no es aplicable debido a que en la depleción se asume que no tiene entrada de agua. Sin embargo si un reservorio es afectado por entrada de agua no se tiene una línea recta para determinar volumen de gas. Por lo tanto debido a estos problemas presentados se presento una ecuación para determinar el volumen In-situ.
  • 495.
    En cualquier instantedel historial de producción, el cálculo del volumen original de gas (Gi) debe producir el mismo resultado, a diferentes tiempos de la vida productiva de un reservorio con entrada de agua que se muestra a continuación Se grafica vs De la grafica se determina Pi / Zi para obtener el volumen inicial Para diferentes tiempos de vida productiva del reservorio obteniéndose el mismo valor original in situ Gi
  • 496.
    También existe unmétodo alternativo de entrada de agua en función a la producción y propiedades de los fluidos como se lo muestra en la ecuación cuyos cálculos difieren muy poco de los tomados por los otros métodos presentados en función característica y geometría del acuífero
  • 497.
    el volumen originalG se tomara del análisis P/z Vs Gp gas producido este Volumen Inicial G se podrá ajustar en función al lineamiento de los puntos. Existen dos procedimiento de calculo del volumen in-situ uno en forma convencional por la expansión de energía del gas y el segundo tomando por expansión de la energía total energía del gas + energía por expansión de formación y agua. En el grafico de Balance de Materiales para la línea recta se grafica en el eje Y (Producción/Energía) Vs la (We/Energía) en el Eje X.
  • 499.
    CALCULO DEL VOLUMENDE GAS EQUIVAENTE AL CONDENSADO PRODUCIDO El volumen de gas equivalente al condensado producido es obtenido aplicándose la ecuación de estado de los gases, admitiéndose comportamiento de gas ideal:
  • 500.
    Donde To yPo son las condiciones normales de temperatura y presión, nc es él numero de moles de condensado producido y (GE) c es el volumen de gas equivalente. Él numero de moles condensado producido puede ser determinado empleándose la definición:
  • 501.
    Donde Dc yMc son, respectivamente, la densidad y masa molecular del condensado. Donde GE (gravedad especifica de condensado) c es obtenido en m3 std/ m3
  • 502.
    Cuando no disponemosdel análisis de laboratorio la más molecular del condensado puede ser estimado por la correlación de Cragoe (Craft & Hawkins.)
  • 503.
    FACTOR DE RECUPERACIÓN El porcentaje de recuperación representa la fracción del volumen del volumen original de gas que pueda extraerse, el cual depende en forma general de los mecanismos de producción y de las propiedades de los fluidos en el yacimiento. El factor de recuperación (FR) de un reservorio de gas está definido como el cociente entre la producción acumulada Gp y el volumen original del gas G a las condiciones de abandono
  • 504.
    El balance devolumétrico del gas también nos permite obtener el porcentaje de recuperación cuando se tiene un empuje fuerte del acuífero lo cual viene expresado de la siguiente manera: Gas Prod. Acum..= Gas In-Situ – Gas atrapado de la zona inv. por agua - Gas remanente de la zona no inv.
  • 505.
    Si se quiereconocer el factor de recuperación del gas a condiciones de abandono se remplaza P/Z por Pab/Zab. En el caso de un porcentaje de recuperación a cualquier etapa de presión se puede estimar de la siguiente manera
  • 506.
    Presión de Abandono Es la presión a la cual debe abandonarse un reservorio por que su explotación a presiones inferiores no es rentable. Por lo tanto la presión de abandono depende de los factores técnicos y económicos los cuales enunciamos a continuación: • Precio de Venta del Gas • Índice de productividad de los pozos, a mayor índice de productividad, menor presión de abandono. • Presión de Fondo fluyente es necesaria para que el gas fluya hasta la líneas de transporte
  • 507.
    Agarwal, Al-Hussainy yRamey presentaron un método para determinar la presión de abandono Pab en función al gas acumulado producido hasta estas condiciones con empuje hidráulico
  • 508.
    INTRUSION DE AGUA Muchos reservorios están limitados parcial o totalmente por el acuífero adyacente, los mismos que pueden ser muy grandes o pequeños en comparación al reservorio de gas o petróleo. Cuando existe una caída de presión en el reservorio debido a la producción, se provoca una expansión del agua del acuífero, con la consiguiente intrusión de agua la cual es definida por We. El propio acuífero puede estar totalmente limitado, de manera que el reservorio y el acuífero forman una unidad volumétrica cerrada..
  • 509.
    Por otra parteel reservorio puede aflorar en algún lugar donde se puede reabastecerse de aguas superficiales. Por último el acuífero puede ser lo bastante grande para mantener la presión del reservorio y ser acuíferos horizontales adyacentes Una caída de presión en el reservorio hace que el acuífero reaccione para contrarrestar o retardar la declinación de la presión suministrando una intrusión de agua la cual puede ocurrir debido a: • Expansión del agua. • Compresibilidad de las rocas del acuífero. • Flujo artesiano donde el acuífero se eleva por encima del nivel del reservorio.
  • 510.
    Desde un puntode vista analítico, el acuífero puede considerarse como una unidad independiente que suministra agua al reservorio debido a la variación de la presión con el tiempo de producción. Un modelo simple para estimar la entrada de agua esta basada en la ecuación de compresibilidad. Donde Ct es la compresibilidad total del acuífero, Wi volumen inicial de agua del acuífero, Pi presión inicial en el contacto Agua/gas.
  • 511.
    Esta ecuación presentadapuede ser aplicada a acuíferos pequeños, donde existe un inmediato equilibrio de la presión entre el reservorio y el acuífero Para acuíferos grandes es necesario un modelo matemático en función del tiempo y declinación de la presión, Entre los modelos existentes en la literatura podemos ver el modelo de Van Everdingen & Hurst, Fetkovich, Hurst modificado, Carter-Tracy, Leung..
  • 512.
    Clasificación de losacuíferos según su régimen de flujo Esta clasificación esta basada en la declinación de presión y el caudal de entrada de agua hacia el yacimiento que puede ser: estable, semiestable o inestable. Una representación de estos tipos de régimen de flujo se ilustra en la Fig donde se muestra el comportamiento de la presión con respecto al tiempo.
  • 514.
    Acuíferos de régimenestable El acuífero presenta régimen estable si la presión en el yacimiento permanece constante, no cambia con el tiempo. Acuíferos de régimen semiestable También llamado régimen de seudo-estado, este tipo de régimen es caracterizado por la declinación lineal de la presión en función al tiempo y consecuentemente una constante declinación del caudal Acuíferos de régimen inestable El régimen inestable frecuentemente llamado transiente, tiene la característica de presentar un cambio de la presión y el caudal en función del tiempo. En ninguna parte del yacimiento presenta una presión constante
  • 515.
    Clasificación de losacuíferos según su geometría de flujo Existen 3 formas de geometría en los acuíferos que pueden ser: lineal, radial o de fondo. Acuíferos lineales Estos acuíferos presentan una geometría de flujo paralela a su buzamiento, como se los muestra en la Fig. El sentido de flujo es unidireccional
  • 517.
    Acuíferos radiales Sonaquellos acuíferos que presentan geometría de flujo concéntrica, es decir, que el flujo empieza circunferencialmente hacia un punto central, como se ilustra en la Fig.
  • 518.
    Acuíferos de fondo Existen formaciones saturadas con agua situadas en la parte inferior de la capa de petróleo. Como se observa en La geometría de flujo en este tipo de acuíferos es pendiente arriba, hacia la cresta de la estructura. Este movimiento se debe a que el agua del acuífero posee presión y al crearse una diferencial a su favor, por efecto de la extracción de petróleo, ingrese agua a la zona de petróleo
  • 519.
    Clasificación de losacuíferos según su extensión Los acuíferos presentan limitaciones algunos son pequeños o algunos presentan áreas bastante grandes, en función a su límite exterior se los puede clasificar en: acuíferos finitos, infinitos o realimentados Acuíferos infinitos Son aquellos acuíferos que no presentan límites, son inmensamente grandes, en algunos casos forman grandes cuencas de agua. Acuíferos finitos Estos acuíferos también denominados sellados, tienen una extensión limitada de tal manera que se puede conocer su dimensión en su totalidad.
  • 520.
    Acuíferos realimentados Tambiénse los conoce como sobrealimentados, esto debido a que son acuíferos que están conectados ya sea a otros acuíferos o a fuentes externas como grandes lagos o lagunas que suministran agua al acuífero. Determinación de la entrada de agua Se han elaborado modelos matemáticos para determinar la entrada del agua hacia el yacimiento. A excepción del modelo de Pote, en todos los modelos propuestos el tiempo es una variable dependiente de la entrada de agua. La aplicación del modelo se basa en función a la clasificación anteriormente mencionada.
  • 521.
    Modelo de Pote Este modelo es utilizado en acuíferos que tienen las siguientes características: Geometría de flujo Radial Extensión finita o sellada Acuíferos pequeño o muy pequeño El tiempo es independiente Permeabilidades altas
  • 522.
    Este modelo esbasado en la definición de la compresibilidad. Ocurre una caída de presión en el yacimiento, debido a la producción de los fluidos, esto causa una expansión del agua del acuífero y flujo al yacimiento. La compresibilidad es definida matemáticamente La variación de volumen debido al cambio de presión viene dada por
  • 523.
    Aplicando la definiciónde la compresibilidad en el acuífero se tiene: Entrada de Agua= (Compresibilidad del acuífero)*(Volumen del agua inicial)* (Caída de presión)
  • 524.
    Determinación simultanea delvolumen In-Situ y la entrada de agua aplicando el modelo de Pote para acuíferos pequeños de alta permeabilidad donde se presenta un flujo continuo de intrusión de agua débil hacia el yacimiento. Primeramente tenemos que definir las formulas de la entrada de agua en base a la ecuación general de balance de materia para reservorio de gas
  • 525.
    Aplicando el métodode la línea recta calculamos simultáneamente el volumen del acuífero y el gas In-Situ como así también su entrada de agua para cada etapa de presión.
  • 526.
    Mediante la ecuaciónde balance de materiales determinar los siguientes parámetros: • Actividad del Acuífero • Determinación del G, W y We para diferentes presiones con el modelo del acuífero de Pote Los datos obtenidos del reservorio son los siguientes Pr= 6411Psi Kr= 100 md Por= 15 % Cf=0.000006 1/Psi Goes= 100 BCF Tr= 239 ° F h= 200 Pies Sw= 15 % Cw=0.000003 1/Psi Area = 320 Acre
  • 527.
    Datos del historialde producción, presión del reservorio
  • 528.
    Calculo para determinarel volumen In-Situ y Entrada de Agua
  • 529.
    Grafico de Coleanálisis de energía
  • 530.
    La pendiente negativaen la figura nos muestra una presencia de un acuífero débil asociado. El volumen In-Situ Determinado mediante el balance de Materiales aplicando el modelo de Pote es 101003 MMPC y su pendiente determinada es 0.604 Bbl/MMPC. Por lo tanto el volumen de agua es:
  • 531.
  • 532.
    Remplazando W, Cw,Cf, Swi, Pi en la ecuación tenemos la instrucción de agua a diferentes presiones
  • 533.
    MODELO DE FETKOVICH Este modelo se aplica a acuíferos finitos y admite que el flujo del acuífero para el reservorio se da sobre el régimen pseudo permanente. A pesar de ser aproximado, el modelo presentado por Fetkovich tiene la ventaja de permitir el cálculo continuo sin la necesidad de recalcular todos los pasos anteriores como ocurre en el modelo de van Everdingen & Hurst. Fetkovich admite el régimen pseudo permanente para el flujo de acuífero para el reservorio
  • 534.
    Donde J esel índice de productividad, pa es la presión media del acuífero y p la presión en el contacto reservorio – acuífero. Partiendo de la ecuación de balance de materia (EBM), se puede escribir que: Donde ct = cw + cf es la compresibilidad total del acuífero y Wi es el volumen de agua, inicial, replanteando la ecuación, se tiene:
  • 535.
    Wei es laentrada máxima que un acuífero sellado puede aportar, correspondiente a la expansión de agua el acuífero al ser despresurizado de pi para la presión cero. De la ecuación Cuya derivada en relación al tiempo es dada por
  • 537.
    Con el pasardel tiempo, el caudal aportado por el acuífero, decrece exponencialmente tendiendo a cero. O sea, el influjo dado por la ecuación tiende a un valor máximo. Tomando el límite de la ecuación para y usando la ecuación, el influjo máximo puede ser escrito como:
  • 538.
    En la prácticala caída de presión en el contacto no es constante y la ecuación no es directamente aplicable. Fetkovich mostró que cuando la presión varía en el contacto, sin hacer la superposición. El influjo durante el primer intervalo de tiempo (Δt1) puede ser expresado por
  • 540.
    Al utilizar elíndice de productividad del acuífero, J, para flujo permanente, se admite que el acuífero sea realimentado de modo que la presión en su límite externo se mantenga constante e igual a pi. La condición de flujo permanente implica que no hay límite para el influjo máximo, esto es, Wci es infinito. En este caso, el caudal del acuífero, se reduce a:
  • 541.
    La Tabla presentael índice de productividad del acuífero, J, para los modelos de acuíferos radiales y lineal, regímenes de flujo permanente y pseudo permanente. Para otras geometrías, el índice de productividad para el régimen pseudo permanente puede ser definido como:
  • 542.
    Donde CA esel factor de forma de Dietz (Tabla), A es el área del acuífero, ɤ es la exponencial de la constante de Euler (ɤ =1,781...) y res el radio del reservorio circular O El tiempo adimensional tDA es definido como t
  • 543.
    Índice de productividaddel acuífero para los flujos radial y lineal

Notas del editor

  • #2 Drilling and Production Operations PAG 35 13.2.1 DPOL(2.0)