CONCEPTOS BÁSICOS DE INGENIERIA DE YACIMIENTOS
2.1.Porosidad
2.2.Saturación
2.3.Permeabilidad
2.4.Compresibilidad
2.5.Tensión Superficial- Presión Capilar
2.6.Tortuosidad
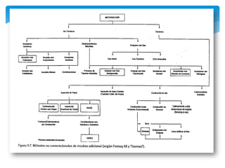
2.10.Reservas de Hidrocarburos. Estimación de Reservas.
mayo 2013
Ing. Pedro C. Torquemada L. mayo 20139
La permeabilidad relativa es un término adimensional que tiene importancia
cuando dos o más fluido se mueven a través del espacio poroso – por ejemplo:
petróleo y agua. Permeabilidad absoluta o especifica es la permeabilidad de un
medio poroso a un fluido a 100% de saturación. La permeabilidad efectiva es la
permeabilidad a una determinada fase cuando más de una fase satura el medio
poroso. La permeabilidad efectivo es una función de la saturación.
La permeabilidad relativa a una determinada fase está definida como la relación
de la permeabilidad efectiva a la absoluta ó en algunos casos a una
permeabilidad base. Por lo tanto, la permeabilidad relativa también es función
de la saturación.
En la información generada previo a 1973, la permeabilidad especifica al aire era
usada como la permeabilidad base. A partir de esa fecha, la base común ha sido
la permeabilidad del hidrocarburo en presencia de agua irreductible. Para un
reservorio agua-petróleo, significa que la permeabilidad base sería la
permeabilidad efectiva al petróleo a condiciones de agua irreducible. La figura a
continuación, ilustra datos de permeabilidad relativa gas-agua cuando agua
desplaza el gas:
Efectos de Mojabilidad
La preferencia natural del medio poroso que causa que un fluido se adhiera a su
superficie antes que otros, se denomina mojabilidad. Un sistema poroso mojado
por agua causa que el agua se adhiera a la superficie. La mojabilidad de la roca
tiene una dramática influencia en las curvas de permeabilidad relativa. Por esta
razón es necesario que las muestras de núcleo probadas en laboratorio refleje la
actual mojabilidad de la formación y que la saturación inicial de agua en la
muestra testeada, sea de la misma magnitud y tenga la misma locación espacial
que la que tiene en el reservorio. Esta necesidad tiene que generar una
recuperación de la muestra ó núcleo en “estado nativo”. Estos núcleos son
tomados con petróleo crudo o con fluidos base petróleo que no alteren la
mojabilidad o la saturación de agua presente en el núcleo recuperado. A
continuación se ilustra los efectos de la mojabilidad en un núcleo de mediciones
de permeabilidad relativa agua - petróleo
Los datos arriba mostrados indican que a medida que la roca se vuelve más mojada
por petróleo, la permeabilidad relativa al petróleo decrece y la permeabilidad
relativa al agua se incrementa a cualquier saturación dada. Este resultado es no
favorable para la recuperación. También indica que la saturación residual de petróleo
en rocas intermedias a mojadas por petróleo, es una función del volumen de agua
que fluye a través de la muestra de núcleo y la permeabilidad relativa al agua
existente a la salida, será mucho mayor para la formación mojada por petróleo.
Una observación interesante es que la reducción de fuerzas capilares en las roca
mojada por petróleo permite una menor saturación de petróleo residual a ser
alcanzada en la roca mojada por petróleo si la economía soporta continuar con
inyección de agua.
La mojabilidad puede ser estimada de forma de las curvas de permeabilidad relativa,
sin embargo, se debe recordar que un desplazamiento similar en las curvas de
permeabilidad relativa puede ser causado en otras propiedades de las rocas
Evaluación petrofísica integrada a nivel laboratorio
Se realiza la integración de los resultados de análisis petrofísicos
básicos especiales, SEM, DRX y petrología, con el fin de describir la
estructura del medio poroso, la mineralogía y establecer la capacidad
de flujo del aceite con respecto a otros fluidos en movimiento (agua,
gas), los cuales permiten determinar la capacidad de recobro de crudo
que tiene la roca (factor de recobro).
Determinación teórica y experimental de permeabilidades relativas
de tres fases
El flujo de tres fases ocurre en los yacimientos de petróleo cuando la
saturación de agua es más alta que la irreducible, y adicionalmente
están presentes el aceite y gas como fases móviles. Predicciones
detalladas del comportamiento de los yacimientos de petróleo bajo
procesos de recobro como inyección de dióxido de carbono,
combustión in-situ, inyección de vapor, inyección de fluidos miscelares
e inyección de nitrógeno requieren de los datos de permeabilidad
relativa tres fases.
En décadas pasadas el uso de datos de permeabilidad relativa tres
fases para cálculos de ingeniería de yacimientos convencionales no ha
sido requerido frecuentemente. En consecuencia hay menos
conocimiento acerca de las características de permeabilidad relativa de
la roca de tres fases que de dos fases. La permeabilidad relativa de tres
fases es útil para el cálculo del comportamiento del yacimiento, para
campos que producen por empujes simultáneos de agua y gas, y para
analizar yacimientos que producen por empuje de gas en solución los
cuales están parcialmente depletados y son producidos por empuje de
agua.
Para que los datos de permeabilidad relativa conduzcan a predicciones
correctas, la dirección del cambio de saturación en el yacimiento debe
corresponder a la dirección del cambio de saturación para el cual los
datos fueron derivados.
En la industria petrolera se usan modelos matemáticos (analíticos y
numéricos), para estimar permeabilidades relativas de tres fases a
partir de datos de permeabilidades relativas de dos fases. Algunos de
los modelos más utilizados son Stone I, Stone II, Azis- Settari, Fayers &
Mathews, Corey, Naar & Wygal, Land, Parker. Los principales modelos
probabilísticos utilizados en los simuladores son Stone I, 1970; Stone II,
1973; en estos modelos se hace uso de aproximaciones estadísticas y
emplean conjuntos de curvas de permeabilidades relativas de dos
fases agua-petróleo y petróleo-gas, y partiendo de éstos, se estima la
permeabilidad relativa al petróleo para un sistema de tres fases. Los
anteriores modelos estiman la permeabilidad relativa a la fase petróleo
en un sistema trifásico a partir de datos de flujo de dos fases,
basándose en la suposición de que "cada fluido establece su propio
camino tortuoso, el cual forma canales de flujo muy estables".
La comparación entre las permeabilidades tres fases obtenidas
experimentalmente y las obtenidas a través de modelos analíticos y
numéricos no siempre muestra buena concordancia. En la mayoría de
los casos la interpolación lineal o por pesos entre las permeabilidades
relativas de dos fases (agua- aceite y gas-aceite) para construir
permeabilidades relativas tres fases, suministran una pobre
aproximación al flujo de tres fases que ocurre en el medio poroso.
Consecuentemente podemos afirmar, que la determinación de las
permeabilidades relativas de tres fases se ha llevado a cabo
principalmente utilizando modelos predictivos que generalmente no
se ajustan a las pruebas experimentales reales.
En este trabajo se muestra una comparación de los diferentes modelos
analíticos y técnicas de laboratorio, usados a nivel mundial para
evaluar permeabilidades relativas tres fases. Adicionalmente se
propone un equipo de desplazamiento para evaluar
experimentalmente tanto en estado estable como en estado no
estable permeabilidades relativas tres fases, a partir de los equipos
que tiene el laboratorio de análisis petrofísicos del Instituto
Colombiano del Petróleo de Ecopetrol.
SISTEMAS PARA ANÁLISIS DE
PROPIEDADES DE ROCAS
Los núcleos se toman en los pozos con el fin de
medir propiedades intrínsecas de la roca, como
permeabilidad y porosidad, o de los fluidos que
ella contiene.
La industria cuenta administrativamente con un
sistema que mantiene la información sobre
ubicación física del núcleo y de sus principales
características.
Los parámetros generados a partir de los núcleos
permiten ejecutar correlaciones geológicas entre
pozos, mediante métodos estadísticos. También
permiten verificar los cálculos efectuados en las
evaluaciones petrofísicas (para la porosidad) y las
pruebas de presiones (para la permeabilidad).
Basándose en ellos se pueden establecer
correlaciones que permiten calcular la
permeabilidad absoluta a partir de otros datos de
la roca.
Existen programas que elaboran las correlaciones
de log K vs  y log K vs  So. Estas se utilizan en las
evaluaciones petrofísicas para obtener valores de
permeabilidad por estratos y deben usarse con
precaución.
La información de presión capilar requerida para el
estudio de yacimiento depende de la
humectabilidad preferencial de la roca y de los
mecanismos de producción, tanto primarias como
de recuperación adicional. El proceso de
estudiarla a partir del análisis de la roca, requiere
cálculos tediosos, por lo que existen programas de
computadora que los simplifican.; Estos
programas varían de acuerdo con el método:
Leverett, Kozeny y Heseidin.
.
Las curvas promedio de presión capilar son muy
útiles en estudios de simulación de yacimientos y
en evaluaciones petrofísicas.
Por último, la información de permeabilidad relativa
requerida para un estudio de yacimientos, depende
también de la humectabilidad preferencial de la roca y de
los mecanismos de producción. Las curvas de
permeabilidades relativas se generan a partir de análisis de
núcleos. Cuando no es posible determinar las curvas, se
deben hallar los valores en los puntos extremos y luego
ajustar o verificar tales puntos, Luego, conocidos los
extremos, se pueden calcular los valores intermedios
mediante programas especiales que generan
permeabilidad relativa con respecto a la saturación de
fluido.
También existen programas para calcular
permeabilidades relativas con base en la historia de
producción.
Si no existe información o núcleo para determinar la
permeabilidad relativa, se puede recurrir a los
programas que utilizan las correlaciones de Torcazo y
Willie; Whal y asociados o Corey y colaboradores.
Arreglo de pozos y Eficiencia de
Barrido
Procesos Inmiscibles
Inyección de gas
Consideraciones Prácticas durante la
inyección de agua y de gas
METODOS DE RECUPERACION MEJORADA DE PETROLEO
METODOS DE RECUPERACION MEJORADA DE PETROLEO
METODOS DE RECUPERACION MEJORADA DE PETROLEO
METODOS DE RECUPERACION MEJORADA DE PETROLEO
METODOS DE RECUPERACION MEJORADA DE PETROLEO
METODOS DE RECUPERACION MEJORADA DE PETROLEO
Es un proceso cíclico en el cual el
mismo pozo es usado para
inyección de vapor y producción de
petróleo con la finalidad de
aumentar la tasa de producción
mediante el calentamiento del
yacimiento reduciendo la viscosidad
del petróleo.
Involucra tres etapas: Inyección,
Remojo y Producción.
CONCEPTOS BÁSICOS
INYECCIÓN ALTERNADA
DE VAPOR (IAV)
ETAPA DE INYECCIÓN
CONCEPTOS BÁSICOS
Se inyecta vapor durante 2 a 6
semanas a través de un pozo
(inyector-productor). La tasa de
inyección debe ser aquella que
permita minimizar las perdidas
de calor a través de las
paredes del pozo y lograr el
máximo radio calentado y la
máxima temperatura en la
zona calentada.
ETAPA DE REMOJO
CONCEPTOS BÁSICOS
Se cierra el pozo durante 1 a 14 días para que el vapor ceda su calor a
la formación y a sus fluidos. El tiempo de remojo se estima de acuerdo a
la experiencia en campo, por lo que se recomienda lo siguiente:
• Si el yacimiento tiene activos los mecanismos de producción primaria y
suficiente presión se recomienda dejar un tiempo de remojo suficiente,
para que el vapor ceda calor al yacimiento.
• Si el yacimiento tiene poca presión, se recomienda dejar poco tiempo
de remojo con el fin de utilizar el aumento de presión del yacimiento en
las cercanías del pozo para empujar el petróleo hacia el fondo de los
pozos.
ETAPA DE PRODUCCIÓN
CONCEPTOS BÁSICOS
Una vez culminado el tiempo de remojo
se abre el pozo a producción.
Inicialmente se produce agua caliente y
vapor, y luego de una a dos semanas se
produce petróleo caliente, en mayor
cantidad que la producción de petróleo
frío, que estaba produciendo el pozo
antes de la estimulación con vapor. Esta
etapa termina cuando la tasa alcanza
valores similares a la tasa que producía
el pozo en frío culminando así el ciclo de
Inyección Alternada de Vapor.
Lineamientos generales sobre simulacion 2
Lineamientos generales sobre simulacion 2
Lineamientos generales sobre simulacion 2
Lineamientos generales sobre simulacion 2
Lineamientos generales sobre simulacion 2
Lineamientos generales sobre simulacion 2
Lineamientos generales sobre simulacion 2
Lineamientos generales sobre simulacion 2
Lineamientos generales sobre simulacion 2
Lineamientos generales sobre simulacion 2
Lineamientos generales sobre simulacion 2
Lineamientos generales sobre simulacion 2
Lineamientos generales sobre simulacion 2
Lineamientos generales sobre simulacion 2
Lineamientos generales sobre simulacion 2
Lineamientos generales sobre simulacion 2
Lineamientos generales sobre simulacion 2
Lineamientos generales sobre simulacion 2
Lineamientos generales sobre simulacion 2
Lineamientos generales sobre simulacion 2
Lineamientos generales sobre simulacion 2
Lineamientos generales sobre simulacion 2
Lineamientos generales sobre simulacion 2
Lineamientos generales sobre simulacion 2
Lineamientos generales sobre simulacion 2
Lineamientos generales sobre simulacion 2
Lineamientos generales sobre simulacion 2
Lineamientos generales sobre simulacion 2
Lineamientos generales sobre simulacion 2
Lineamientos generales sobre simulacion 2
Lineamientos generales sobre simulacion 2
Lineamientos generales sobre simulacion 2
Lineamientos generales sobre simulacion 2
Lineamientos generales sobre simulacion 2
Lineamientos generales sobre simulacion 2
Lineamientos generales sobre simulacion 2
Lineamientos generales sobre simulacion 2
Lineamientos generales sobre simulacion 2
Lineamientos generales sobre simulacion 2
Lineamientos generales sobre simulacion 2
Lineamientos generales sobre simulacion 2
Lineamientos generales sobre simulacion 2
Lineamientos generales sobre simulacion 2
Lineamientos generales sobre simulacion 2
Lineamientos generales sobre simulacion 2
Lineamientos generales sobre simulacion 2
Lineamientos generales sobre simulacion 2
Lineamientos generales sobre simulacion 2
Lineamientos generales sobre simulacion 2
Lineamientos generales sobre simulacion 2
Lineamientos generales sobre simulacion 2
Lineamientos generales sobre simulacion 2
Lineamientos generales sobre simulacion 2
Lineamientos generales sobre simulacion 2
Lineamientos generales sobre simulacion 2
Lineamientos generales sobre simulacion 2
Lineamientos generales sobre simulacion 2
Lineamientos generales sobre simulacion 2
Lineamientos generales sobre simulacion 2
Lineamientos generales sobre simulacion 2
Lineamientos generales sobre simulacion 2
Lineamientos generales sobre simulacion 2
Lineamientos generales sobre simulacion 2
Lineamientos generales sobre simulacion 2
Lineamientos generales sobre simulacion 2
Lineamientos generales sobre simulacion 2
Lineamientos generales sobre simulacion 2
Lineamientos generales sobre simulacion 2
Lineamientos generales sobre simulacion 2

Lineamientos generales sobre simulacion 2

  • 1.
    CONCEPTOS BÁSICOS DEINGENIERIA DE YACIMIENTOS 2.1.Porosidad 2.2.Saturación 2.3.Permeabilidad 2.4.Compresibilidad 2.5.Tensión Superficial- Presión Capilar 2.6.Tortuosidad 2.10.Reservas de Hidrocarburos. Estimación de Reservas.
  • 4.
  • 9.
    Ing. Pedro C.Torquemada L. mayo 20139
  • 14.
    La permeabilidad relativaes un término adimensional que tiene importancia cuando dos o más fluido se mueven a través del espacio poroso – por ejemplo: petróleo y agua. Permeabilidad absoluta o especifica es la permeabilidad de un medio poroso a un fluido a 100% de saturación. La permeabilidad efectiva es la permeabilidad a una determinada fase cuando más de una fase satura el medio poroso. La permeabilidad efectivo es una función de la saturación. La permeabilidad relativa a una determinada fase está definida como la relación de la permeabilidad efectiva a la absoluta ó en algunos casos a una permeabilidad base. Por lo tanto, la permeabilidad relativa también es función de la saturación. En la información generada previo a 1973, la permeabilidad especifica al aire era usada como la permeabilidad base. A partir de esa fecha, la base común ha sido la permeabilidad del hidrocarburo en presencia de agua irreductible. Para un reservorio agua-petróleo, significa que la permeabilidad base sería la permeabilidad efectiva al petróleo a condiciones de agua irreducible. La figura a continuación, ilustra datos de permeabilidad relativa gas-agua cuando agua desplaza el gas:
  • 18.
    Efectos de Mojabilidad Lapreferencia natural del medio poroso que causa que un fluido se adhiera a su superficie antes que otros, se denomina mojabilidad. Un sistema poroso mojado por agua causa que el agua se adhiera a la superficie. La mojabilidad de la roca tiene una dramática influencia en las curvas de permeabilidad relativa. Por esta razón es necesario que las muestras de núcleo probadas en laboratorio refleje la actual mojabilidad de la formación y que la saturación inicial de agua en la muestra testeada, sea de la misma magnitud y tenga la misma locación espacial que la que tiene en el reservorio. Esta necesidad tiene que generar una recuperación de la muestra ó núcleo en “estado nativo”. Estos núcleos son tomados con petróleo crudo o con fluidos base petróleo que no alteren la mojabilidad o la saturación de agua presente en el núcleo recuperado. A continuación se ilustra los efectos de la mojabilidad en un núcleo de mediciones de permeabilidad relativa agua - petróleo
  • 20.
    Los datos arribamostrados indican que a medida que la roca se vuelve más mojada por petróleo, la permeabilidad relativa al petróleo decrece y la permeabilidad relativa al agua se incrementa a cualquier saturación dada. Este resultado es no favorable para la recuperación. También indica que la saturación residual de petróleo en rocas intermedias a mojadas por petróleo, es una función del volumen de agua que fluye a través de la muestra de núcleo y la permeabilidad relativa al agua existente a la salida, será mucho mayor para la formación mojada por petróleo. Una observación interesante es que la reducción de fuerzas capilares en las roca mojada por petróleo permite una menor saturación de petróleo residual a ser alcanzada en la roca mojada por petróleo si la economía soporta continuar con inyección de agua. La mojabilidad puede ser estimada de forma de las curvas de permeabilidad relativa, sin embargo, se debe recordar que un desplazamiento similar en las curvas de permeabilidad relativa puede ser causado en otras propiedades de las rocas
  • 34.
    Evaluación petrofísica integradaa nivel laboratorio Se realiza la integración de los resultados de análisis petrofísicos básicos especiales, SEM, DRX y petrología, con el fin de describir la estructura del medio poroso, la mineralogía y establecer la capacidad de flujo del aceite con respecto a otros fluidos en movimiento (agua, gas), los cuales permiten determinar la capacidad de recobro de crudo que tiene la roca (factor de recobro).
  • 35.
    Determinación teórica yexperimental de permeabilidades relativas de tres fases El flujo de tres fases ocurre en los yacimientos de petróleo cuando la saturación de agua es más alta que la irreducible, y adicionalmente están presentes el aceite y gas como fases móviles. Predicciones detalladas del comportamiento de los yacimientos de petróleo bajo procesos de recobro como inyección de dióxido de carbono, combustión in-situ, inyección de vapor, inyección de fluidos miscelares e inyección de nitrógeno requieren de los datos de permeabilidad relativa tres fases.
  • 36.
    En décadas pasadasel uso de datos de permeabilidad relativa tres fases para cálculos de ingeniería de yacimientos convencionales no ha sido requerido frecuentemente. En consecuencia hay menos conocimiento acerca de las características de permeabilidad relativa de la roca de tres fases que de dos fases. La permeabilidad relativa de tres fases es útil para el cálculo del comportamiento del yacimiento, para campos que producen por empujes simultáneos de agua y gas, y para analizar yacimientos que producen por empuje de gas en solución los cuales están parcialmente depletados y son producidos por empuje de agua. Para que los datos de permeabilidad relativa conduzcan a predicciones correctas, la dirección del cambio de saturación en el yacimiento debe corresponder a la dirección del cambio de saturación para el cual los datos fueron derivados.
  • 37.
    En la industriapetrolera se usan modelos matemáticos (analíticos y numéricos), para estimar permeabilidades relativas de tres fases a partir de datos de permeabilidades relativas de dos fases. Algunos de los modelos más utilizados son Stone I, Stone II, Azis- Settari, Fayers & Mathews, Corey, Naar & Wygal, Land, Parker. Los principales modelos probabilísticos utilizados en los simuladores son Stone I, 1970; Stone II, 1973; en estos modelos se hace uso de aproximaciones estadísticas y emplean conjuntos de curvas de permeabilidades relativas de dos fases agua-petróleo y petróleo-gas, y partiendo de éstos, se estima la permeabilidad relativa al petróleo para un sistema de tres fases. Los anteriores modelos estiman la permeabilidad relativa a la fase petróleo en un sistema trifásico a partir de datos de flujo de dos fases, basándose en la suposición de que "cada fluido establece su propio camino tortuoso, el cual forma canales de flujo muy estables".
  • 38.
    La comparación entrelas permeabilidades tres fases obtenidas experimentalmente y las obtenidas a través de modelos analíticos y numéricos no siempre muestra buena concordancia. En la mayoría de los casos la interpolación lineal o por pesos entre las permeabilidades relativas de dos fases (agua- aceite y gas-aceite) para construir permeabilidades relativas tres fases, suministran una pobre aproximación al flujo de tres fases que ocurre en el medio poroso. Consecuentemente podemos afirmar, que la determinación de las permeabilidades relativas de tres fases se ha llevado a cabo principalmente utilizando modelos predictivos que generalmente no se ajustan a las pruebas experimentales reales.
  • 39.
    En este trabajose muestra una comparación de los diferentes modelos analíticos y técnicas de laboratorio, usados a nivel mundial para evaluar permeabilidades relativas tres fases. Adicionalmente se propone un equipo de desplazamiento para evaluar experimentalmente tanto en estado estable como en estado no estable permeabilidades relativas tres fases, a partir de los equipos que tiene el laboratorio de análisis petrofísicos del Instituto Colombiano del Petróleo de Ecopetrol.
  • 40.
    SISTEMAS PARA ANÁLISISDE PROPIEDADES DE ROCAS
  • 41.
    Los núcleos setoman en los pozos con el fin de medir propiedades intrínsecas de la roca, como permeabilidad y porosidad, o de los fluidos que ella contiene. La industria cuenta administrativamente con un sistema que mantiene la información sobre ubicación física del núcleo y de sus principales características.
  • 42.
    Los parámetros generadosa partir de los núcleos permiten ejecutar correlaciones geológicas entre pozos, mediante métodos estadísticos. También permiten verificar los cálculos efectuados en las evaluaciones petrofísicas (para la porosidad) y las pruebas de presiones (para la permeabilidad). Basándose en ellos se pueden establecer correlaciones que permiten calcular la permeabilidad absoluta a partir de otros datos de la roca.
  • 43.
    Existen programas queelaboran las correlaciones de log K vs  y log K vs  So. Estas se utilizan en las evaluaciones petrofísicas para obtener valores de permeabilidad por estratos y deben usarse con precaución.
  • 44.
    La información depresión capilar requerida para el estudio de yacimiento depende de la humectabilidad preferencial de la roca y de los mecanismos de producción, tanto primarias como de recuperación adicional. El proceso de estudiarla a partir del análisis de la roca, requiere cálculos tediosos, por lo que existen programas de computadora que los simplifican.; Estos programas varían de acuerdo con el método: Leverett, Kozeny y Heseidin. .
  • 45.
    Las curvas promediode presión capilar son muy útiles en estudios de simulación de yacimientos y en evaluaciones petrofísicas.
  • 46.
    Por último, lainformación de permeabilidad relativa requerida para un estudio de yacimientos, depende también de la humectabilidad preferencial de la roca y de los mecanismos de producción. Las curvas de permeabilidades relativas se generan a partir de análisis de núcleos. Cuando no es posible determinar las curvas, se deben hallar los valores en los puntos extremos y luego ajustar o verificar tales puntos, Luego, conocidos los extremos, se pueden calcular los valores intermedios mediante programas especiales que generan permeabilidad relativa con respecto a la saturación de fluido.
  • 47.
    También existen programaspara calcular permeabilidades relativas con base en la historia de producción. Si no existe información o núcleo para determinar la permeabilidad relativa, se puede recurrir a los programas que utilizan las correlaciones de Torcazo y Willie; Whal y asociados o Corey y colaboradores.
  • 48.
    Arreglo de pozosy Eficiencia de Barrido
  • 96.
  • 150.
    Consideraciones Prácticas durantela inyección de agua y de gas
  • 207.
    METODOS DE RECUPERACIONMEJORADA DE PETROLEO
  • 208.
    METODOS DE RECUPERACIONMEJORADA DE PETROLEO
  • 209.
    METODOS DE RECUPERACIONMEJORADA DE PETROLEO
  • 210.
    METODOS DE RECUPERACIONMEJORADA DE PETROLEO
  • 211.
    METODOS DE RECUPERACIONMEJORADA DE PETROLEO
  • 212.
    METODOS DE RECUPERACIONMEJORADA DE PETROLEO
  • 213.
    Es un procesocíclico en el cual el mismo pozo es usado para inyección de vapor y producción de petróleo con la finalidad de aumentar la tasa de producción mediante el calentamiento del yacimiento reduciendo la viscosidad del petróleo. Involucra tres etapas: Inyección, Remojo y Producción. CONCEPTOS BÁSICOS INYECCIÓN ALTERNADA DE VAPOR (IAV)
  • 214.
    ETAPA DE INYECCIÓN CONCEPTOSBÁSICOS Se inyecta vapor durante 2 a 6 semanas a través de un pozo (inyector-productor). La tasa de inyección debe ser aquella que permita minimizar las perdidas de calor a través de las paredes del pozo y lograr el máximo radio calentado y la máxima temperatura en la zona calentada.
  • 215.
    ETAPA DE REMOJO CONCEPTOSBÁSICOS Se cierra el pozo durante 1 a 14 días para que el vapor ceda su calor a la formación y a sus fluidos. El tiempo de remojo se estima de acuerdo a la experiencia en campo, por lo que se recomienda lo siguiente: • Si el yacimiento tiene activos los mecanismos de producción primaria y suficiente presión se recomienda dejar un tiempo de remojo suficiente, para que el vapor ceda calor al yacimiento. • Si el yacimiento tiene poca presión, se recomienda dejar poco tiempo de remojo con el fin de utilizar el aumento de presión del yacimiento en las cercanías del pozo para empujar el petróleo hacia el fondo de los pozos.
  • 216.
    ETAPA DE PRODUCCIÓN CONCEPTOSBÁSICOS Una vez culminado el tiempo de remojo se abre el pozo a producción. Inicialmente se produce agua caliente y vapor, y luego de una a dos semanas se produce petróleo caliente, en mayor cantidad que la producción de petróleo frío, que estaba produciendo el pozo antes de la estimulación con vapor. Esta etapa termina cuando la tasa alcanza valores similares a la tasa que producía el pozo en frío culminando así el ciclo de Inyección Alternada de Vapor.