Dos conductores cualesquiera separados por un aislador (o un vacío) forman un 
capacitor o condensador 
DEFINICION DE CAPACITANCIA 
La relación de carga respecto a la diferencia de potencial no cambia. Esta 
relación se conoce como CAPACITANCIA C. 
C Q 
= La unidad de C en el S.I. es el farad (F) 
V 
D 
V 
F = C
CAPACITOR DE PLACAS 
PARALELAS 
ò E · dA = qencerrada 
0 e 
0 
  
DV = E d Þ E = DV 0 0 
d 
E0 dA 
E A = Q 
0 e 
0 
A Q 
d 
0 e 
DV = 
Q = e 
A 
0 D d 
d 
V 
C 0A = e
PROBLEMA 
Calcule el área que debe tener la placa de un capacitor de placas paralelas 
para que su capacitancia sea de 1.0 F. Suponga que la separación entre sus 
placas es de 1.0 cm. 
e A Cd 
d 
0 
0 
e 
C = A Þ = 
( ) 
A 1.0 F 0.01 
m ´ - 
= 
8.85 10 12 C 2 / Nm 
2 
A =1129943503m2 
Si la placa fuera cuadrada, cada 
lado mediría: 
l = 336147m
CAPACITOR CILINDRICO 
b 
V V E ds 
a 
b a 
  
- = -ò × 
EA = Q Þ E = l 
l 
e rl 
0 0 2p e 
E = 2kl 
r 
DV = 2kl ln b = 2 k Q 
ln 
V Edr 2kl dr a 
D = -ò = - òb 
b 
a a 
r 
b 
l 
a 
C 
Q = 
k b 
ö a 
çè 
l 
V 
÷ø 
æ 
= 
D 2 ln
CAPACITOR ESFERICO 
- = -òb 
b a a V V Edr 
E = k Q 
Donde: r2 
V kQ r dr b 
a ò D = -2 
V kQ 1 1 1 
ö çè 
÷ø 
ö çè 
æ - = ÷ø 
D = - æ- 
b a 
kQ 
r 
Q ab 
= 
V kQ b a ( ) C 
ö çèæ - = D 
÷ø 
ab 
k b a 
V 
- 
= 
D 
Demuestre que si el radio 
exterior de la esfera se acerca 
al infinito, entonces: 
C a 0 = 4pe
COMBINACION DE CAPACITORES 
En paralelo 
q CV 1 1 = 
q C V 2 2 = 
q q (C C )V 1 2 1 2 + = + 
Q = + 
1 2 C C 
V 
1 2 C C C equiv  = + 
En una conexión en paralelo el potencial es el mismo.
En serie 
V = q 
1 C 
1 
V = q 
2 
2 C 
ö 
÷ ÷ø 
æ 
ç çè 
+ = + 
1 2 
1 2 
1 1 
C C 
V V q 
1 1 1 
q = + 
C C 
1 2 
V 
1 = 1 + 
1 
C C C equiv 
1 2 
Para una combinación en serie, la carga en los capacitores es la misma.
ENERGIA ALMACENADA EN UN CAPACITOR 
Usted tiene tres capacitores y una batería. ¿Cómo combinaría los capacitores 
y la batería en un circuito de modo que los capacitores almacenaran la máxima 
energía posible?
DENSIDAD DE ENERGÍA 
u = Energía ( ) 
Volumen 
Ed 
Ad 
A 
= = æ e 
ö d 
çèu CV 
Ad 
2 
0 
2 
1 
2 
1 
2 
÷ø 
2 
u = 1e E 
0 2
Calcule la capacitancia equivalente entre los puntos a y b y complete la tabla 
mostrada. Vab = 24V 
(C) 
μF 
Q (mC) V(V) U(J) 
C1 12 
C2 12 
C3 10 
C4 15 
C5 4 
e 
a · b d · 
1 = 1 + Þ ¢ = 
¢ 
C F C6 2 
C 
6m 
1 
15 
10 
1 = 1 + Þ = 
C F 
1 
C eq 
eq 
8m 
24 
12 
Q C V F Q C eq ab 8m 24 192m 1 1 = = ´ Þ = 
V Q ad 16 
m V 
V = 8 
V db C 
= 1 = = 
F 
C 
192 
12 
1 
m 
192 
96 
48 
48 
16 
8 
4.8 
3.2 
8 
8 
32 
16 
Q C V F V C db 12m 8 96m 2 2 = = ´ = 
Q V C V F C db 8 6m 48m 34 34 = = ´ = 
C1 
C2 
C3 C4 
C5 
C6 
V Q de 4.8 eb 3.2 
V V V 
F 
m 
= 3 = = Þ = 
C 
C 
48 
10 
3 
m 
Q C V F V C db 4m 8 32m 5 5 = = ´ = 
Q C V F V C db 2m 8 16m 6 6 = = ´ =
CAPACITORES CON DIELECTRICOS 
Cuando se inserta el dieléctrico, los experimentos muestran que la diferencia de 
potencial disminuye a un valor más pequeño V. 
Cuando se retira el dieléctrico, la diferencia de potencial recupera su valor original 
V0 , lo que demuestra que las cargas originales de las placas no han cambiado. 
C = Q 
C = Q (sin dieléctrico) 
(con dieléctrico) 
0 V 
0 
V
C = Q 
C = Q (con dieléctrico) 
(sin dieléctrico) 
0 V 
0 
V 
Cuando el espacio entre las placas está ocupado totalmente por el dieléctrico, 
la proporción de C a C0 recibe el nombre de constante dieléctrica del 
material k. 
÷ ÷ø ö 
æ 
k C ( ) 0 Cuando Q es constante 
ç çè 
= 
definicion de constante 
dieléctrica 
0 C 
k = V 
V
CARGA INDUCIDA Y POLARIZACION 
Moléculas polares sin 
campo eléctrico aplicado 
Moléculas polares, con 
campo eléctrico aplicado 
Moléculas no polares sin 
campo eléctrico aplicado 
Moléculas no polares con 
campo eléctrico aplicado
La polarización de un dieléctrico en un campo eléctrico E da origen a capas finas de 
cargas ligadas en las superficies, y esto crea densidades de cargas superficiales σi y 
-σi
PROBLEMA 
Un capacitor se construye a partir de dos placas cuadradas de lados l y 
separación d . Un material de constante dieléctrica k se inserta una distancia 
x dentro del capacitor como se muestra en la figura. 
a) Encuentre la capacitancia equivalente del dispositivo. 
b) Calcule la energía almacenada en el capacitor si la diferencia de potencial 
es ΔV. 
c) Encuentre la magnitud y la dirección de la fuerza ejercida sobre el 
dieléctrico, suponiendo una diferencia de potencial constante ΔV. Ignore la 
fricción 
x 
ℓ 
k d 
( ) 
d 
l x l 
a C C C k xl eq 
1 2 ) e e 
= + = 0 + 0 - 
d 
Ceq = 0 + 2 - e 
(kxl l xl) 
d 
= 0 [l2 + xl(k -1)] 
d 
Ceq 
e
x 
ℓ 
k d = 0 [l2 + xl(k -1)] 
d 
Ceq 
e 
0 [ 2 ( 1)]( )2 
b U = CV = e + - D 
) 1 2 l xl k V 
2 2 
d 
 c ) F = - dU ˆ = - e 0 - 1 D 2 
ˆ 
[l(k )]( V ) i 
d 
i 
dx 
2 
Dirigida hacia la izquierda ( ) l(k )i 
d 
F V 1 ˆ 
2 
2 
= -e 0 D - 
Carga libre 
Carga inducida 
-------- 
++++++++ A 
q(carga libre) 
E dA q E A q E q 
0 
ò   
= Þ = ÞÞ = 0 
0 
0 
0 
0. 
e e e 
k dieléctrico E  
- ¢ Þ = 
q q 
A 
- ¢ = 
E A q q E k 
k 
0 
0 
0 e e 
q¢(carga inducida) 
0 E  
superficie 
Gaussiana
- ¢ Þ = 
q q 
A 
- ¢ A = 
E A q q E k 
k 
0 
0 
0 e e 
E dA q E A q E q 
0 
ò   
= Þ = ÞÞ = 0 
0 
0 
0 
0. 
e e e 
q ¢ = q æ 1 - 
1 
÷ø 
- ¢ q 
k q ¢ = kq - q A 
kq kq 
A 
= 
0 0 e e 
ö k 
çè 
ò ¢ E dA = 
q - q k 
0 
. 
e 
  
ò 
1 1 
ö çè 
÷ø 
- æ - 
= 
0 
  
. 
e 
k 
q q 
E dA k
Un capacitor de placas paralelas es cargado con una batería hasta una carga 
Q0, como se muestra en la figura. Luego, la batería es removida, y una loza de 
material que tiene una constante dieléctrica K se inserta entre las placas. 
Calcule la energía guardada en el capacitor antes y después que el dieléctrico 
se ha insertado. 
La energía guardada sin dieléctrico es: 
Cuando se desconecta de la batería y se inserta el 
dieléctrico, la carga en el capacitor no cambia. Por lo 
tanto, la energía guardada en presencia del dieléctrico es: 
Pero la capacitancia en presencia del dieléctrico es: 
C=kC0 , así que U es:
El campo eléctrico no uniforme cerca de los filos del capacitor de placas 
paralelas causa que el dieléctrico sea halado hacia el capacitor. Note que el 
campo actúa sobre las cargas inducidas de la superficie, las cuales están 
distribuidas no uniformemente.
Se observa las cargas inducidas en el dieléctrico entre las placas del 
capacitor cargado. Note que la densidad de carga inducida en el 
dieléctrico es menor que la densidad de carga en las placas.
Un capacitor de placas paralelas tiene un área A y separación entre las 
placas d. Una loza metálica descargada de espesor a se inserta en la mitad 
entre las placas. 
a) Calcule la capacitancia del dispositivo. 
1 = 1 + 
1 
C C C 
1 2 
A 
= e e 
C A 
( ) ( ) 
2 
1 
2 
1 1 
0 0 
d a 
d a 
- 
+ 
- 
Observe que C se aproxima al infinito cuando a se acerca a d. ¿Por qué?
b) Muestre que la capacitancia del dispositivo no es afectada cuando el 
espesor de la loza se hace infinitésimamente pequeño. 
La cual es la capacitancia original 
c) Demuestre que la respuesta de la parte (a) no depende del lugar donde la 
loza se inserta. 
Imaginemos que la loza es movida hacia arriba de modo que la distancia 
entre el filo superior de la loza y la placa superior sea b. Luego, la distancia 
entre el filo inferior de la loza y la placa de abajo sería: d - b – a. Como en la 
parte (a), hallamos la capacitancia total de la combinación en serie. 
Este es el mismo resultado 
que en (a). Es 
independiente del valor de 
b.
En el ejemplo anterior encontramos que se puede insertar una loza metálica 
entre las placas de un capacitor y considerar la combinación como dos 
capacitores en serie. La capacitancia resultante fue independiente de la 
ubicación de la loza. Además, si el espesor de la loza se aproxima a cero, la 
capacitancia del sistema se aproxima a la capacitancia cuando la loza está 
ausente.
Un capacitor de placas paralelas se construye usando tres materiales 
dieléctricos. Se puede suponer que l >> d. Encuentre una expresión para la 
capacitancia del dispositivo en términos del área de placa A y d, k1 , k2. y k3
Considere el circuito mostrado en la figura, donde C1 = 6.00μF, C2 = 3.00μF, y 
ΔV = 20.0V. El capacitor 1 es cargado primeramente al cerrar el switch S1. 
Luego el switch S1 se abre y el capacitor cargado se conecta al capacitor 
descargado al cerrar el switch S2. Calcule la carga inicial de C1 y la carga final 
de cada uno.
Para el sistema de capacitores mostrado en la figura, calcule: 
a)La capacitancia equivalente del sistema. 
b)La carga en cada capacitor. 
c)La diferencia de potencial a través de cada capacitor.
Calcule la capacitancia equivalente entre los puntos a y b en la combinación 
de capacitores mostrados en la figura
Considere dos alambres largos, paralelos y con cargas opuestas de radio d 
con sus centros separados por una distancia D. Suponiendo que la carga está 
distribuida uniformemente sobre la superficie de cada alambre, demuestre que 
la capacitancia por unidad de longitud de este par de alambres es: 
El campo eléctrico debido a la carga sobre el alambre positivo es 
perpendicular al alambre, radial y de magnitud: 
La diferencia de potencial entre los alambres debido a la presencia de esta 
carga es:
La capacitancia por unidad de longitud es:
Un capacitor de placas paralelas tiene una carga Q y placas de área A. ¿Cuál 
es la fuerza que actúa sobre una placa para atraer sobre ella a la otra placa?
(b) Calcule la constante de fuerza del 
resorte 
La fuerza que estira un resorte es:
Cada resorte se estira por una distancia 
igual a:
Un capacitor tiene placas cuadradas, cada una de lado a, formando un ángulo 
Ө entre si. Demuestre que, para Ө pequeño, la capacitancia está dada por: 
ö çè 
÷ø 
C a 
= æ - 
d 
a 
d 
2 
1 
2 
0 e q 
e 
d xsen 
q 
dC = adx 
0 
+ 
- =e ò + q 
C a (d xsen ) dx 1 
0 
x 
= e æ + q De acuerdo 
ö çè 
sen dx 
d 
C a 
d 
1 
0 1 
- 
ò ÷ø 
al binomio de 
Newton 
÷ø 
C = e a ò æ1- x 
0 q 
sen dx 
d 
d 
ö çè 
C a a ò ÷ø 
dx 
x 
e 0 1 q 
d 
= æ - 
d 
ö çè 
0 
ö 
÷ ÷ø 
æ 
ç çè 
a a 
C a 
= - 
d 
d 
2 
2 
C a 
= æ - 
a 
ö çè 
÷ø 
e q 0 1 
d 
2 
d 
2 
0 e q 
x 
dx 
q 
a 
d 
dA = adx
PROBLEMA 
+ + + + + + + + + + + + + + + + + + + + + 
- - - - - - - - - - - - - - - - - 
+ + + + + + + + + + + + + + + + + 
- - - - - - - - - - - - - - - - - - - - - - - - - - - 
-
- - - - - - - - - - - - - - - - - 
+ + + + + + + + + + + + + + + + + 
- - - - - - - - - - - - - - - - - - - - - - - - - - - 
- 
(c) Calcular la intensidad del campo eléctrico en la parte sin dieléctrico.
(d) Calcular la intensidad del campo eléctrico en el dieléctrico. 
(e) Calcular la diferencia de potencial entre las placas. 
Se tomará una superficie recta perpendicular a las placas desde abajo 
hacia arriba. 
(f) Calcule la Capacitancia al estar colocado el dieléctrico.

Capacitancia. ing. carlos moreno (ESPOL)

  • 1.
    Dos conductores cualesquieraseparados por un aislador (o un vacío) forman un capacitor o condensador DEFINICION DE CAPACITANCIA La relación de carga respecto a la diferencia de potencial no cambia. Esta relación se conoce como CAPACITANCIA C. C Q = La unidad de C en el S.I. es el farad (F) V D V F = C
  • 2.
    CAPACITOR DE PLACAS PARALELAS ò E · dA = qencerrada 0 e 0   DV = E d Þ E = DV 0 0 d E0 dA E A = Q 0 e 0 A Q d 0 e DV = Q = e A 0 D d d V C 0A = e
  • 3.
    PROBLEMA Calcule elárea que debe tener la placa de un capacitor de placas paralelas para que su capacitancia sea de 1.0 F. Suponga que la separación entre sus placas es de 1.0 cm. e A Cd d 0 0 e C = A Þ = ( ) A 1.0 F 0.01 m ´ - = 8.85 10 12 C 2 / Nm 2 A =1129943503m2 Si la placa fuera cuadrada, cada lado mediría: l = 336147m
  • 4.
    CAPACITOR CILINDRICO b V V E ds a b a   - = -ò × EA = Q Þ E = l l e rl 0 0 2p e E = 2kl r DV = 2kl ln b = 2 k Q ln V Edr 2kl dr a D = -ò = - òb b a a r b l a C Q = k b ö a çè l V ÷ø æ = D 2 ln
  • 5.
    CAPACITOR ESFERICO -= -òb b a a V V Edr E = k Q Donde: r2 V kQ r dr b a ò D = -2 V kQ 1 1 1 ö çè ÷ø ö çè æ - = ÷ø D = - æ- b a kQ r Q ab = V kQ b a ( ) C ö çèæ - = D ÷ø ab k b a V - = D Demuestre que si el radio exterior de la esfera se acerca al infinito, entonces: C a 0 = 4pe
  • 6.
    COMBINACION DE CAPACITORES En paralelo q CV 1 1 = q C V 2 2 = q q (C C )V 1 2 1 2 + = + Q = + 1 2 C C V 1 2 C C C equiv = + En una conexión en paralelo el potencial es el mismo.
  • 7.
    En serie V= q 1 C 1 V = q 2 2 C ö ÷ ÷ø æ ç çè + = + 1 2 1 2 1 1 C C V V q 1 1 1 q = + C C 1 2 V 1 = 1 + 1 C C C equiv 1 2 Para una combinación en serie, la carga en los capacitores es la misma.
  • 8.
    ENERGIA ALMACENADA ENUN CAPACITOR Usted tiene tres capacitores y una batería. ¿Cómo combinaría los capacitores y la batería en un circuito de modo que los capacitores almacenaran la máxima energía posible?
  • 9.
    DENSIDAD DE ENERGÍA u = Energía ( ) Volumen Ed Ad A = = æ e ö d çèu CV Ad 2 0 2 1 2 1 2 ÷ø 2 u = 1e E 0 2
  • 10.
    Calcule la capacitanciaequivalente entre los puntos a y b y complete la tabla mostrada. Vab = 24V (C) μF Q (mC) V(V) U(J) C1 12 C2 12 C3 10 C4 15 C5 4 e a · b d · 1 = 1 + Þ ¢ = ¢ C F C6 2 C 6m 1 15 10 1 = 1 + Þ = C F 1 C eq eq 8m 24 12 Q C V F Q C eq ab 8m 24 192m 1 1 = = ´ Þ = V Q ad 16 m V V = 8 V db C = 1 = = F C 192 12 1 m 192 96 48 48 16 8 4.8 3.2 8 8 32 16 Q C V F V C db 12m 8 96m 2 2 = = ´ = Q V C V F C db 8 6m 48m 34 34 = = ´ = C1 C2 C3 C4 C5 C6 V Q de 4.8 eb 3.2 V V V F m = 3 = = Þ = C C 48 10 3 m Q C V F V C db 4m 8 32m 5 5 = = ´ = Q C V F V C db 2m 8 16m 6 6 = = ´ =
  • 11.
    CAPACITORES CON DIELECTRICOS Cuando se inserta el dieléctrico, los experimentos muestran que la diferencia de potencial disminuye a un valor más pequeño V. Cuando se retira el dieléctrico, la diferencia de potencial recupera su valor original V0 , lo que demuestra que las cargas originales de las placas no han cambiado. C = Q C = Q (sin dieléctrico) (con dieléctrico) 0 V 0 V
  • 12.
    C = Q C = Q (con dieléctrico) (sin dieléctrico) 0 V 0 V Cuando el espacio entre las placas está ocupado totalmente por el dieléctrico, la proporción de C a C0 recibe el nombre de constante dieléctrica del material k. ÷ ÷ø ö æ k C ( ) 0 Cuando Q es constante ç çè = definicion de constante dieléctrica 0 C k = V V
  • 13.
    CARGA INDUCIDA YPOLARIZACION Moléculas polares sin campo eléctrico aplicado Moléculas polares, con campo eléctrico aplicado Moléculas no polares sin campo eléctrico aplicado Moléculas no polares con campo eléctrico aplicado
  • 14.
    La polarización deun dieléctrico en un campo eléctrico E da origen a capas finas de cargas ligadas en las superficies, y esto crea densidades de cargas superficiales σi y -σi
  • 15.
    PROBLEMA Un capacitorse construye a partir de dos placas cuadradas de lados l y separación d . Un material de constante dieléctrica k se inserta una distancia x dentro del capacitor como se muestra en la figura. a) Encuentre la capacitancia equivalente del dispositivo. b) Calcule la energía almacenada en el capacitor si la diferencia de potencial es ΔV. c) Encuentre la magnitud y la dirección de la fuerza ejercida sobre el dieléctrico, suponiendo una diferencia de potencial constante ΔV. Ignore la fricción x ℓ k d ( ) d l x l a C C C k xl eq 1 2 ) e e = + = 0 + 0 - d Ceq = 0 + 2 - e (kxl l xl) d = 0 [l2 + xl(k -1)] d Ceq e
  • 16.
    x ℓ kd = 0 [l2 + xl(k -1)] d Ceq e 0 [ 2 ( 1)]( )2 b U = CV = e + - D ) 1 2 l xl k V 2 2 d  c ) F = - dU ˆ = - e 0 - 1 D 2 ˆ [l(k )]( V ) i d i dx 2 Dirigida hacia la izquierda ( ) l(k )i d F V 1 ˆ 2 2 = -e 0 D - 
  • 17.
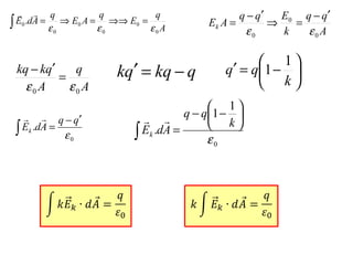
    Carga libre Cargainducida -------- ++++++++ A q(carga libre) E dA q E A q E q 0 ò   = Þ = ÞÞ = 0 0 0 0 0. e e e k dieléctrico E  - ¢ Þ = q q A - ¢ = E A q q E k k 0 0 0 e e q¢(carga inducida) 0 E  superficie Gaussiana
  • 18.
    - ¢ Þ= q q A - ¢ A = E A q q E k k 0 0 0 e e E dA q E A q E q 0 ò   = Þ = ÞÞ = 0 0 0 0 0. e e e q ¢ = q æ 1 - 1 ÷ø - ¢ q k q ¢ = kq - q A kq kq A = 0 0 e e ö k çè ò ¢ E dA = q - q k 0 . e   ò 1 1 ö çè ÷ø - æ - = 0   . e k q q E dA k
  • 19.
    Un capacitor deplacas paralelas es cargado con una batería hasta una carga Q0, como se muestra en la figura. Luego, la batería es removida, y una loza de material que tiene una constante dieléctrica K se inserta entre las placas. Calcule la energía guardada en el capacitor antes y después que el dieléctrico se ha insertado. La energía guardada sin dieléctrico es: Cuando se desconecta de la batería y se inserta el dieléctrico, la carga en el capacitor no cambia. Por lo tanto, la energía guardada en presencia del dieléctrico es: Pero la capacitancia en presencia del dieléctrico es: C=kC0 , así que U es:
  • 20.
    El campo eléctricono uniforme cerca de los filos del capacitor de placas paralelas causa que el dieléctrico sea halado hacia el capacitor. Note que el campo actúa sobre las cargas inducidas de la superficie, las cuales están distribuidas no uniformemente.
  • 21.
    Se observa lascargas inducidas en el dieléctrico entre las placas del capacitor cargado. Note que la densidad de carga inducida en el dieléctrico es menor que la densidad de carga en las placas.
  • 22.
    Un capacitor deplacas paralelas tiene un área A y separación entre las placas d. Una loza metálica descargada de espesor a se inserta en la mitad entre las placas. a) Calcule la capacitancia del dispositivo. 1 = 1 + 1 C C C 1 2 A = e e C A ( ) ( ) 2 1 2 1 1 0 0 d a d a - + - Observe que C se aproxima al infinito cuando a se acerca a d. ¿Por qué?
  • 23.
    b) Muestre quela capacitancia del dispositivo no es afectada cuando el espesor de la loza se hace infinitésimamente pequeño. La cual es la capacitancia original c) Demuestre que la respuesta de la parte (a) no depende del lugar donde la loza se inserta. Imaginemos que la loza es movida hacia arriba de modo que la distancia entre el filo superior de la loza y la placa superior sea b. Luego, la distancia entre el filo inferior de la loza y la placa de abajo sería: d - b – a. Como en la parte (a), hallamos la capacitancia total de la combinación en serie. Este es el mismo resultado que en (a). Es independiente del valor de b.
  • 24.
    En el ejemploanterior encontramos que se puede insertar una loza metálica entre las placas de un capacitor y considerar la combinación como dos capacitores en serie. La capacitancia resultante fue independiente de la ubicación de la loza. Además, si el espesor de la loza se aproxima a cero, la capacitancia del sistema se aproxima a la capacitancia cuando la loza está ausente.
  • 25.
    Un capacitor deplacas paralelas se construye usando tres materiales dieléctricos. Se puede suponer que l >> d. Encuentre una expresión para la capacitancia del dispositivo en términos del área de placa A y d, k1 , k2. y k3
  • 26.
    Considere el circuitomostrado en la figura, donde C1 = 6.00μF, C2 = 3.00μF, y ΔV = 20.0V. El capacitor 1 es cargado primeramente al cerrar el switch S1. Luego el switch S1 se abre y el capacitor cargado se conecta al capacitor descargado al cerrar el switch S2. Calcule la carga inicial de C1 y la carga final de cada uno.
  • 27.
    Para el sistemade capacitores mostrado en la figura, calcule: a)La capacitancia equivalente del sistema. b)La carga en cada capacitor. c)La diferencia de potencial a través de cada capacitor.
  • 28.
    Calcule la capacitanciaequivalente entre los puntos a y b en la combinación de capacitores mostrados en la figura
  • 29.
    Considere dos alambreslargos, paralelos y con cargas opuestas de radio d con sus centros separados por una distancia D. Suponiendo que la carga está distribuida uniformemente sobre la superficie de cada alambre, demuestre que la capacitancia por unidad de longitud de este par de alambres es: El campo eléctrico debido a la carga sobre el alambre positivo es perpendicular al alambre, radial y de magnitud: La diferencia de potencial entre los alambres debido a la presencia de esta carga es:
  • 30.
    La capacitancia porunidad de longitud es:
  • 31.
    Un capacitor deplacas paralelas tiene una carga Q y placas de área A. ¿Cuál es la fuerza que actúa sobre una placa para atraer sobre ella a la otra placa?
  • 32.
    (b) Calcule laconstante de fuerza del resorte La fuerza que estira un resorte es:
  • 33.
    Cada resorte seestira por una distancia igual a:
  • 34.
    Un capacitor tieneplacas cuadradas, cada una de lado a, formando un ángulo Ө entre si. Demuestre que, para Ө pequeño, la capacitancia está dada por: ö çè ÷ø C a = æ - d a d 2 1 2 0 e q e d xsen q dC = adx 0 + - =e ò + q C a (d xsen ) dx 1 0 x = e æ + q De acuerdo ö çè sen dx d C a d 1 0 1 - ò ÷ø al binomio de Newton ÷ø C = e a ò æ1- x 0 q sen dx d d ö çè C a a ò ÷ø dx x e 0 1 q d = æ - d ö çè 0 ö ÷ ÷ø æ ç çè a a C a = - d d 2 2 C a = æ - a ö çè ÷ø e q 0 1 d 2 d 2 0 e q x dx q a d dA = adx
  • 35.
    PROBLEMA + ++ + + + + + + + + + + + + + + + + + + - - - - - - - - - - - - - - - - - + + + + + + + + + + + + + + + + + - - - - - - - - - - - - - - - - - - - - - - - - - - - -
  • 36.
    - - -- - - - - - - - - - - - - - + + + + + + + + + + + + + + + + + - - - - - - - - - - - - - - - - - - - - - - - - - - - - (c) Calcular la intensidad del campo eléctrico en la parte sin dieléctrico.
  • 37.
    (d) Calcular laintensidad del campo eléctrico en el dieléctrico. (e) Calcular la diferencia de potencial entre las placas. Se tomará una superficie recta perpendicular a las placas desde abajo hacia arriba. (f) Calcule la Capacitancia al estar colocado el dieléctrico.