Corriente continua (DC)
Corriente alterna (AC)
No varia con el tiempo
Varia con el tiempo en forma
sinusoidal tanto el voltaje
como la corriente
Un circuito que consiste de una resistencia
R conectada a una fuente CA, designada
por el símbolo
0=∆+∆ Rvv Reglas de Kirchhoff.
tsenItsen
R
V
R
v
i R
R max
max
ωω =
∆
=
∆
=
Diagrama fasorial para el circuito resistivo
donde se muestra que la corriente está en
fase con el voltaje.
CORRIENTE rms
similarmente:
La corriente rms ( Irms ) es el valor de
corriente alterna que produciría en un resistor
el mismo efecto de calentamiento que una
corriente continua.
2
máx
rms
I
I =
2
máx
rms
V
V =
Los voltímetros y amperímetros están
diseñados para medir valores rms de
la corriente o la tensión.
SOLUCION:
Valor Eficaz (Rms)
• Éstos significan la misma cosa para los
circuitos AC :
– “voltaje de C.C. equivalente ”
– “voltaje eficaz ”
– “voltaje rms”
– RMS = root mean square
max
2
1
VVVV rmseffequivalentDC ===
Corriente alterna en elementos de circuito
I.I. Corriente alterna en una resistenciaCorriente alterna en una resistencia
La tensión aplicada y la corriente están en
fase
tsen
R
ti o
ω
ε
=)(
tsenIti o ω=)(
Para calcular la corriente en el
circuito aplicamos la L.K.V
RI=ε Ritseno =ωε
tsenVtv o ω=)(
Notación fasorial
La corriente y el voltaje pueden representarse mediante vectores
bidimensionales llamados fasores.
El valor instantáneo de la caída de tensión es la
componente y del vector VR, que gira en sentido
antihorario con una velocidad ω.
A sen(ωt-δ1) Fasor A ( )A

B sen(ωt-δ2) Fasor B ( )B
 BAC

+=
Uso de los fasores
Combinar cantidades
sinusoidales con diferencias
de fase utilizando fasores se
convierte en una suma de
vectores.
Representación de fasor de voltaje
AC y de la corriente
oinstantánevoltaje0 →= tsenVv ω
Un fasor (vector rotatorio ) de
longitud V 0 y una frecuencia ω
tiene un componente en “y” igual al
voltaje AC .
Un fasor similar puede representar
la corriente.
El ángulo entre los fasores voltaje y
corriente es el adelanto/retraso entre
la corriente y el voltaje.
i = I0 senωt Corriente instantánea
Relación De Fase
θ = ángulo de fase
• Para adelanto θ°
v=Vpcos(ωt+θ)
• Para retraso θ°
v=Vpcos(ωt-θ)
Circuito AC que contiene
solamente la resistencia R
donde: VR0 = I0R
tIRseniRvR ω==
tsenVv RR ω=
tsenIi RR ω=
P = IrmsR2
Cada medidor da valores rms
2
maxV
Vrms = VVrms 7.70
2
100
==
R
V
I rms
rms
= AIrms 95.2
24
7.70
==
Una fuente de potencia de ca produce un voltaje
máximo Vmáx = 100 V. Esta alimentación de
potencia se conecta a un resistor de 24 Ω y se
miden la corriente y el voltaje en el resistor con un
amperímetro y un voltímetro de ca ideales, como
en la figura. ¿Cuáles son los valores que registra
cada medidor?
Ω6.184.102.8 =+=TotalR A
R
V
I
Total
circuito 806.0
6.18
15
===
RIP altavozaltavoz
2
2
1
= ( ) WPaltavoz 38.34.10806.0
2
1 2
=×=
Un amplificador de audio, representado por
medio de la fuente de ca y de un resistor en la
figura, entrega a un altavoz voltaje alterno a
frecuencias de audio. Si el voltaje de salida tiene
una amplitud de 15.0 V, R= 8.20 Ω, y el altavoz
es equivalente a una resistencia de 10.4 Ω, ¿cuál
es la potencia promedio en el tiempo que se le
entrega?
Las tres lámparas están en
paralelo
V
P
II 1
21 == AII 25.1
120
150
21 ===
2
1
1 96
25.1
120
R
I
V
R ==== Ω
A
V
P
I 833.0
120
1003
3 === Ω144
833.0
120
3
3 ===
I
V
R
AIIIItotal 33.3833.025.125.1321 =++=++=
La figura muestra tres lámparas conectadas a un
suministro de voltaje doméstico de 120 V ca
(rms). Las lámparas 1 y 2 tienen focos de 150 W y
la lámpara 3 tiene un foco de 100 W. Encuentre la
corriente rms y la resistencia de cada foco.
Aplicando Kirchhoff
Diagrama fasorial para un circuito
inductivo, mostrando que la corriente
se atrasa al voltaje en 900
.
Note que el voltaje alcanza su valor máximo un cuarto de periodo antes que
la corriente alcance su valor máximo. Por lo tanto decimos que:
L
V
I
ω
max
max
∆
=
Esta expresión se parece al de la corriente máxima en un sistema resistivo.
R
V
I max
max
∆
=
REACTANCIA
INDUCTIVA
Considere un circuito AC como en la figura. La frecuencia de la fuente CA se
regula mientras su amplitud de voltaje se mantiene constante. El foco brillará a
su máximo si: (a) altas frecuencias (b) bajas frecuencias (c) el brillo será el
mismo a todas las frecuencias.
Para bajas frecuencias, la reactancia
inductiva será pequeña, de modo que la
corriente será máxima y el foco brillará
más.
En un circuito CA puramente inductivo, L = 25,0 mH y el voltaje rms es 150 V.
Calcule la reactancia inductiva y la corriente rms en el circuito si la frecuencia
es 60.0 Hz.
Ω= 42.9LX
¿Qué pasaría con la corriente rms en el circuito si la frecuencia se incrementara
a 6.00 KHz?
CAPACITORES EN CIRCUITOS CA
Aplicando Kirchhoff
tsenVCvCq C ωmax∆=∆=
Usando la identidad trigonométrica:
maxmax VCI ∆= ω
C
V
I
ω
1
max
max
∆
=
Como en el caso de los inductores, el denominador hace el rol de la
resistencia cuyas unidades son ohms y recibe el nombre de reactancia
capacitiva.
tsenVvC ωmax∆=∆
tsenXIv CC ωmax=∆
Considere el circuito CA de la figura. La frecuencia de la fuente CA se ajusta
mientras su amplitud de voltaje se mantiene constante. El foco brillará mas
para: (a) altas frecuencias (b) bajas frecuencias (c) el brillo será el mismo
para todas las frecuencias.
El foco brillará más para altas
frecuencias.
Considere el circuito CA de la figura. La frecuencia de la fuente CA es ajustada
mientras su amplitud de voltaje se mantiene constante. El foco brillará más
para: (a) altas frecuencias (b) bajas frecuencias (c) el brillo será el mismo
para todas las frecuencias.
El foco brillará más para bajas frecuencias.
1
3772 −
== sfπω
Si la frecuencia se duplicara, ¿cuál sería el valor de la corriente rms? Si la
frecuencia se incrementa, la reactancia capacitiva decrece (lo opuesto a lo
que ocurre con el inductor). El decrecimiento de la reactancia capacitiva
resulta en un incremento en la corriente.
La nueva reactancia capacitiva sería:
Ejemplo Reactancia de una bobina.
(a) se aplican 120-V dc;
(b) se aplican 120-V ac (rms) a 60.0 Hz.
A
R
V
I 120
1
120
===
LIV L
ω=
Lf
V
L
V
I rmsL
πω 2
2
==
( )
AI 5.1
3.0602
1202
==
π
Ω3.13
5.7
100
===
I
V
XL
( )
H
f
XX
L LL
0424.0
502
3.13
2
====
ππω
Ω40
5.2
100
===
I
V
XL
s
rad
L
XL
943
0424.0
40
===ω
a)
b)
En un circuito de ca puramente inductivo, como
en la figura, Vmax = 100 V. a) Si la corriente
máxima es 7.5 A a 50 Hz, calcule la inductancia L.
b) ¿A qué frecuencia angular ω la corriente
máxima es 2.5 A?
XL = ωL
Ejemplo Reactancia del condensador.
Cuáles son la corriente pico y rms en el circuito
mostrado si C = 1.0 µ F y Vrms = 120 V? Calcular
para f = 60 Hz
C
I
VC
ω
=
( )CfVI C
π2= ( )CfVI rms
π22=
( )( ) A.IMax
06401016021202 6
=×= −
π
A.
.
.I
I Max
rms
0450
411
0640
2
===
( )Cf
I
VC
π2
=
( ) VVV rms 3.282022max ===
maxmax CVQ
C
Q
VC =→=
( ) nCQ 77.23.281098 12
max =×= −
Un capacitor de 98.0 pF está conectado a un suministro de
potencia de 60.0 Hz que produce un voltaje rms de 20.0 V.
¿Cuál es la carga máxima que aparece en cualesquiera de las
placas del capacitor?
a) ¿Para qué frecuencias lineales un capacitor de 22.0 μF
tiene una reactancia por debajo de 175 Ω? b) Sobre este
mismo intervalo de frecuencia, ¿cuál es la reactancia de un
capacitor de 44.0 μF?
Relaciones RMS
Resistencia
rms
rms
I
V
R =
Reactancia Capacitiva
fCI
V
X
rms
rms
C
π2
1
==
Reactancia Inductiva
fL
I
V
X
rms
rms
L π2==
La unidad de la resistencia y de la reactancia es ohmios.
Potencia
Resistencia Capacitancia Inductancia
RIP rms
2
=
La energía disipada
en un resistor se
convierte en calor.
Crms XIP 2
= Lrms XIP 2
=
El condensador es un
dispositivo de almacenaje
de la energía.
Durante el ciclo la
energía se almacena
temporalmente en el
campo eléctrico.
Por lo tanto, la potencia
no es una potencia
verdadera sino potencia
reactiva llamada en
unidades de voltio-
amperio-reactivo (VAR).
El inductor es un dispositivo
de almacenaje de la energía.
Durante el ciclo AC la
energía se almacena
temporalmente en el campo
magnético
La potencia no es potencia
verdadero sino reactiva en
unidades VAR.
Impedancia Z
de un circuito
Es la relación de la
amplitud de voltaje
en un circuito a la
amplitud de corriente
en el circuito
I
V
Z =
CIRCUITOS RLC EN SERIE
La figura muestra un circuito que contiene un resistor, un inductor, y un
capacitor conectados en serie a través de una fuente de voltaje alternante.
Como antes, asumimos que el voltaje aplicado varía sinusoidalmente con el
tiempo. Es conveniente suponer que el voltaje aplicado instantáneo está dado
por:
Se puede notar que los voltajes
instantáneos sumados deben dar
el voltaje total:
Relaciones de fase entre los fasores de voltaje y corriente para:
(a) resistor, (b) inductor, y (c) capacitor conectados en serie.
Del gráfico (b):
Por lo tanto la máxima corriente es:
El denominador de la ecuación anterior se denomina IMPEDANCIA Z
SUS UNIDADES SON OHMIOS
El triángulo de
impedancia para un
circuito RLC en serie
da la relación:
R
XX CL −
=φtan
φtanRXX CL +=
( ) ( )( ) ( )





−Ω+
×
= −−−
0
611
60tan200
1000.40.602
1
0.602
1
ss
L
ππ
HL 84.0=
b) Calcule la máxima corriente en el circuito.
c) Encuentre el ángulo de fase entre la corriente y el voltaje
0
34−=φ
d) Calcule el máximo voltaje y el voltaje instantáneo a través de cada
elemento.
Los máximos voltajes son:
Los voltajes instantáneos son:
Cf
XC
π2
1
= ( )( ) Ω8
12
1033.1
1020602
1
×=
×
= −
πCX
22
CXRZ += ( ) ( ) Ω82823
1033.11033.11050 ×=×+×=Z
A
Z
V
I 5
8
1077.3
1033.1
5000 −
×=
×
== personapersona IRV =
( ) VVpersona 88.110501077.3 35
=×××= −
Una persona está trabajando cerca del secundario de
un transformador, como se muestra en la figura. El
voltaje primario es 120 V a 60 Hz. La capacitancia Ci,
que es la capacitancia entre la mano y el devanado
secundario, es 20.0 pF. Suponiendo que la persona
tiene una resistencia de cuerpo a tierra Re = 50.0 k Ω.
determine el voltaje rms a través del cuerpo.
Sugerencia: Redibuje el circuito con el secundario del
tranformador como una fuente de ca simple.
Circuito RLC en Serie
Solamente una corriente en la
conexión de serie utilizada como
referencia.
VR e I están en fase , VL adelanta la
corriente en 90º y VC se retrasa a la
corriente en 90º
Voltaje total - los fasores se suman de la
misma manera que los vectores.
( )222
0
0
CLR
LCR
VVVV
vvvv
−+=
++=
La misma relación para valores RMS
( )
( )22
222
CL
rmsrms
CLRrms
XXRZ
ZIV
VVVV
−+=
=
−+=
Impedancia
en ohms.
Z
ELICE
POTENCIA EN UN CIRCUITO CA
La potencia instantánea entregada por una fuente CA a un circuito es el
producto de corriente de la fuente y el voltaje aplicado.
Para un circuito RLC en serie, se puede expresar la potencia instantánea
como:
Promedio = 0
Expresando esta potencia en términos
de la corriente y voltaje rms, queda:
Remplazando en la ecuación anterior
Válido para carga
resistiva solamente.
No existen pérdida de potencia en circuitos CA puramente
capacitivos o puramente inductivos.
a)
b)
c)
Factor de Potencia, Potencia Real y
reactiva
ZIV rmsrms =
Factor de potencia = pf =cos φ
WcosφrmsrmsVIP =
Solamente los elementos resistivos disipan
energía.
Los elementos reactivos almacenan
energía temporalmente en una parte del
ciclo AC . Esta energía se devuelve en otra
parte del ciclo .
Sin embargo, las fuente de energía y otros
equipos tal como transformadores deben
poder manejar el VA máximo requerido .
( )22
CL XXRZ −+=
R
XX CL −
=φtan
R
L
Q 0
0
0
0
ω
ω
ω
=
∆
=
f0 frecuencia de resonancia
La fuente de voltaje en la figura tiene una
salida V = (100 V) cos( 1000t ). Determine a) la
corriente en el circuito y b) la potencia
suministrada por la fuente, c) Muestre que la
potencia disipada en el resistor es igual a la
potencia suministrada por la fuente.
XL = ωL XL = 1000(50x10-3
)=50Ω
1
C
XC
ω
=
( ) Ω=
×
= −
20
10501000
1
6CX
( )22
CL XXRZ −+=
( ) Ω=−+= 50205040
22
Z
La fuente de voltaje en la figura tiene una
salida V = (100 V) cos( 1000t ). Determine a) la
corriente en el circuito y b) la potencia
suministrada por la fuente, c) Muestre que la
potencia disipada en el resistor es igual a la
potencia suministrada por la fuente.
ZIV rmsrms =
R
XX CL −
=φtan
A
Z
V
I 2
50
100max
max ===
o
9.36
40
2050
tan 1
=




 −
= −
φ
cosIVP φ
2
1
= W.cosP 809361002
2
1
=×=
RIP 2
0
2
1
= ( ) WP 80402
2
1 2
==
Ω=×= 5005.01000LX
Ω=
××
= −
200
100.51000
1
6CX
( )22
CL XXRZ −+= ( ) ( ) Ω500200500400
22
=−+=Z
Z
V
I max
max =
AI 2.0
500
100
max ==
RIP 2
max
2
1
= ( ) WP 0.84002.0
2
1 2
==
Un voltaje de ca de la forma v = (100 V) sen(1000t) se aplica a un
circuito RLC en serie. Si R = 400 Ω, C= 5.0 μ F, y L = 0.50 H,
encuentre la corriente máxima y la potencia promedio disipada en
el circuito.
XL = ωL
1
C
XC
ω
=
Un resistor de 80 Ω, un inductor de 200 mH y un capacitor de 0.150 μF se conectan en
paralelo a través de una fuente de 120 V (rms) que opera a 374 rad/s. a) Calcule la
corriente rms en el resistor, inductor y capacitor b) Cuál es la corriente rms entregada
por la fuente , c) Cuál es la frecuencia resonante del circuito
Hallar la corriente máxima y el ángulo de
desfase.
Hallar también la potencia media
suministrada por la f.em.
Datos: Vo = 100 V, R= 1 Ω, L=0.003 H, C=0.002
F, ω=120π rad/s
a
c
biL iC
iR
Nodo b
LCR
iiii +==0
( )CVi bcC
ω=






=
L
Vi bcL
ω
1






−=
L
CVi bc
ω
ω
1
0
L
VCVi bcbc
ω
ω
1
0
−=






==
C
iXiV CCCC
ω
1
( )LiXiV LLLL ω==
i0
222
0 bcab
VVV +=Fasores se suman
como vectores
2
2
022
0
2
0
1






−
+=
L
C
i
RiV
ω
ω


















−
+= 2
22
0
2
0
1
1
L
C
RiV
ω
ω 

















−
+
=
2
2
0
0
1
1
L
C
R
V
i
ω
ω
φcos
2
1
VIP =R
Z
IR
IZ
V
V
ab
bc
===φtan
R
L
C 





−
=
ω
ω
φ
1
tan
PROBLEMA
En la figura R1 = 60.0 Ω, R2 = 40.0 Ω, L= 0.400 H, C = 5.00 µF y Vrms =240 V.
¿Cuál es la potencia que suministra la fuente en el límite donde:
a) la frecuencia ω de la fuente es muy grande.
b) ω es muy pequeña.
LXL ω= Si ω ∞→
Entonces XL ∞→ Y la corriente en R1 es
cero.
( )
Ω
==∴
0.40
240
2
2
2
V
R
V
P
rms
WP 1440=
00Si →⇒→ LXω ∞→CXy
La corriente en R2 es cero y
( )
Ω
==
60
240
2
1
2
V
R
V
P
rms
WP 960=
PROBLEMA
En cierto circuito L-R-C en serie, R = 300 Ω, L = 0.400 H y C = 6.00x10-8
F.
Cuando la fuente de ca funciona a la frecuencia de operación del circuito, la
amplitud de corriente es de 0.500 A.
a) ¿Cuál es la amplitud del voltaje de la fuente?
b) ¿Cuál es la amplitud de voltaje entre los extremos del resistor, del inductor y
del capacitor?
c) ¿Cuál es la potencia promedio que la fuente suministra?
SOLUCION
a) A la frecuencia de resonancia Z = R
IRIZV == VAV 150300500.0 =Ω×=
VIRVb 150) ==
LXL ω=
C
LXX CL
ω
ω
1
=⇒=
LC
12
=ω LC
1
=ω
LC
L
XL =
C
LXL = Ω=
×
= −
2582
1000.6
400.0
8
H
XL
Ω=
×
= −
2582
1000.6
400.0
8
H
XL
Ω×== 2582500.0 AIXV LL
VVL 1291=
C
XC
ω
1
=
C
L
C
LC
XC == Ω= 2582CX VIXV CC 1291==
RIVIPc 2
2
1
cos
2
1
) == φ En resonancia cosΦ = 1
( ) ( )Ω= 300500.0
2
1 2
AP
WP 5.37=
LC
1
=ω
EL TRANSFORMADOR
La corriente alterna en el devanado primario establece un campo
magnético variable en el núcleo de hierro. Debido a que el hierro se
magnetiza fácilmente, aumenta en gran medida el campo magnético con
respecto al campo que hay en un núcleo de aire y orienta las líneas de
campo al devanado secundario
En un núcleo bien diseñado, casi todo el flujo magnético Φ que pasa a
través de cada vuelta del devanado primario también pasa a través de
cada vuelta del devanado secundario.
Dado que el campo magnético es variable, entonces el flujo a través de
los devanados primario y secundario también es variable y, por
consiguiente, en ambas bobinas se induce una fem.
En la bobina secundaria, la fem inducida surge de la inducción mutua y
está dada por la ley de Faraday de la inducción electromagnética como:
dt
d
NV ss
Φ
−=
En el devanado primario, la fem inducida Vp se debe a la
autoinducción y está especificada por la ley de Faraday como:
dt
d
NV pp
Φ
−= El término
dt
dΦ es el mismo en ambas
ecuaciones
Al dividir las ecuaciones anteriores:
p
s
p
s
N
N
V
V
= Esta es la ecuación del transformador
Razón de transformación
Si el interruptor se cierra, entonces en el circuito existe una corriente Is y
se suministra energía eléctrica al calentador.
La potencia media suministrada al devanado primario es igual a la
potencia media suministrada al devanado secundario.
sp PP =
p
s
p
s
s
p
sspp
N
N
V
V
I
I
IVIV ==⇒=
EJEMPLO
Un transformador reductor dentro de un receptor estereofónico tiene 330
vueltas en el devanado primario y 25 vueltas en el secundario. La clavija
conecta al primario a un tomacorriente de 120 V, y hay una corriente de
0.83 A en el primario mientras el receptor está encendido. Al devanado
secundario están conectados los circuitos transistores del receptor.
Encuentre:
a)La tensión a través del devanado secundario
b)la corriente en el secundario
c)la potencia eléctrica media suministrada a los circuitos transistores.
p
s
p
s
N
N
V
V
= VV
N
N
VV
p
s
ps 1.9
330
25
120 ===
b)
p
s
s
p
N
N
I
I
= AA
N
N
II
s
p
ps 11
25
330
83.0 ===
c) ( ) ( ) WVAVIP sss 1001.911 =×==
a)
Circuitos de corriente alterna

Circuitos de corriente alterna

  • 2.
    Corriente continua (DC) Corrientealterna (AC) No varia con el tiempo Varia con el tiempo en forma sinusoidal tanto el voltaje como la corriente
  • 3.
    Un circuito queconsiste de una resistencia R conectada a una fuente CA, designada por el símbolo 0=∆+∆ Rvv Reglas de Kirchhoff. tsenItsen R V R v i R R max max ωω = ∆ = ∆ =
  • 4.
    Diagrama fasorial parael circuito resistivo donde se muestra que la corriente está en fase con el voltaje.
  • 5.
  • 6.
    La corriente rms( Irms ) es el valor de corriente alterna que produciría en un resistor el mismo efecto de calentamiento que una corriente continua. 2 máx rms I I = 2 máx rms V V = Los voltímetros y amperímetros están diseñados para medir valores rms de la corriente o la tensión.
  • 7.
  • 8.
    Valor Eficaz (Rms) •Éstos significan la misma cosa para los circuitos AC : – “voltaje de C.C. equivalente ” – “voltaje eficaz ” – “voltaje rms” – RMS = root mean square max 2 1 VVVV rmseffequivalentDC ===
  • 9.
    Corriente alterna enelementos de circuito I.I. Corriente alterna en una resistenciaCorriente alterna en una resistencia La tensión aplicada y la corriente están en fase tsen R ti o ω ε =)( tsenIti o ω=)( Para calcular la corriente en el circuito aplicamos la L.K.V RI=ε Ritseno =ωε tsenVtv o ω=)(
  • 10.
    Notación fasorial La corrientey el voltaje pueden representarse mediante vectores bidimensionales llamados fasores. El valor instantáneo de la caída de tensión es la componente y del vector VR, que gira en sentido antihorario con una velocidad ω. A sen(ωt-δ1) Fasor A ( )A  B sen(ωt-δ2) Fasor B ( )B  BAC  += Uso de los fasores Combinar cantidades sinusoidales con diferencias de fase utilizando fasores se convierte en una suma de vectores.
  • 11.
    Representación de fasorde voltaje AC y de la corriente oinstantánevoltaje0 →= tsenVv ω Un fasor (vector rotatorio ) de longitud V 0 y una frecuencia ω tiene un componente en “y” igual al voltaje AC . Un fasor similar puede representar la corriente. El ángulo entre los fasores voltaje y corriente es el adelanto/retraso entre la corriente y el voltaje. i = I0 senωt Corriente instantánea
  • 12.
    Relación De Fase θ= ángulo de fase • Para adelanto θ° v=Vpcos(ωt+θ) • Para retraso θ° v=Vpcos(ωt-θ)
  • 13.
    Circuito AC quecontiene solamente la resistencia R donde: VR0 = I0R tIRseniRvR ω== tsenVv RR ω= tsenIi RR ω=
  • 14.
  • 15.
    Cada medidor davalores rms 2 maxV Vrms = VVrms 7.70 2 100 == R V I rms rms = AIrms 95.2 24 7.70 == Una fuente de potencia de ca produce un voltaje máximo Vmáx = 100 V. Esta alimentación de potencia se conecta a un resistor de 24 Ω y se miden la corriente y el voltaje en el resistor con un amperímetro y un voltímetro de ca ideales, como en la figura. ¿Cuáles son los valores que registra cada medidor?
  • 16.
    Ω6.184.102.8 =+=TotalR A R V I Total circuito806.0 6.18 15 === RIP altavozaltavoz 2 2 1 = ( ) WPaltavoz 38.34.10806.0 2 1 2 =×= Un amplificador de audio, representado por medio de la fuente de ca y de un resistor en la figura, entrega a un altavoz voltaje alterno a frecuencias de audio. Si el voltaje de salida tiene una amplitud de 15.0 V, R= 8.20 Ω, y el altavoz es equivalente a una resistencia de 10.4 Ω, ¿cuál es la potencia promedio en el tiempo que se le entrega?
  • 17.
    Las tres lámparasestán en paralelo V P II 1 21 == AII 25.1 120 150 21 === 2 1 1 96 25.1 120 R I V R ==== Ω A V P I 833.0 120 1003 3 === Ω144 833.0 120 3 3 === I V R AIIIItotal 33.3833.025.125.1321 =++=++= La figura muestra tres lámparas conectadas a un suministro de voltaje doméstico de 120 V ca (rms). Las lámparas 1 y 2 tienen focos de 150 W y la lámpara 3 tiene un foco de 100 W. Encuentre la corriente rms y la resistencia de cada foco.
  • 18.
  • 19.
    Diagrama fasorial paraun circuito inductivo, mostrando que la corriente se atrasa al voltaje en 900 .
  • 20.
    Note que elvoltaje alcanza su valor máximo un cuarto de periodo antes que la corriente alcance su valor máximo. Por lo tanto decimos que: L V I ω max max ∆ = Esta expresión se parece al de la corriente máxima en un sistema resistivo. R V I max max ∆ =
  • 21.
    REACTANCIA INDUCTIVA Considere un circuitoAC como en la figura. La frecuencia de la fuente CA se regula mientras su amplitud de voltaje se mantiene constante. El foco brillará a su máximo si: (a) altas frecuencias (b) bajas frecuencias (c) el brillo será el mismo a todas las frecuencias. Para bajas frecuencias, la reactancia inductiva será pequeña, de modo que la corriente será máxima y el foco brillará más.
  • 22.
    En un circuitoCA puramente inductivo, L = 25,0 mH y el voltaje rms es 150 V. Calcule la reactancia inductiva y la corriente rms en el circuito si la frecuencia es 60.0 Hz. Ω= 42.9LX ¿Qué pasaría con la corriente rms en el circuito si la frecuencia se incrementara a 6.00 KHz?
  • 23.
    CAPACITORES EN CIRCUITOSCA Aplicando Kirchhoff tsenVCvCq C ωmax∆=∆= Usando la identidad trigonométrica:
  • 25.
    maxmax VCI ∆=ω C V I ω 1 max max ∆ = Como en el caso de los inductores, el denominador hace el rol de la resistencia cuyas unidades son ohms y recibe el nombre de reactancia capacitiva. tsenVvC ωmax∆=∆ tsenXIv CC ωmax=∆
  • 26.
    Considere el circuitoCA de la figura. La frecuencia de la fuente CA se ajusta mientras su amplitud de voltaje se mantiene constante. El foco brillará mas para: (a) altas frecuencias (b) bajas frecuencias (c) el brillo será el mismo para todas las frecuencias. El foco brillará más para altas frecuencias.
  • 27.
    Considere el circuitoCA de la figura. La frecuencia de la fuente CA es ajustada mientras su amplitud de voltaje se mantiene constante. El foco brillará más para: (a) altas frecuencias (b) bajas frecuencias (c) el brillo será el mismo para todas las frecuencias. El foco brillará más para bajas frecuencias.
  • 28.
    1 3772 − == sfπω Sila frecuencia se duplicara, ¿cuál sería el valor de la corriente rms? Si la frecuencia se incrementa, la reactancia capacitiva decrece (lo opuesto a lo que ocurre con el inductor). El decrecimiento de la reactancia capacitiva resulta en un incremento en la corriente. La nueva reactancia capacitiva sería:
  • 29.
    Ejemplo Reactancia deuna bobina. (a) se aplican 120-V dc; (b) se aplican 120-V ac (rms) a 60.0 Hz. A R V I 120 1 120 === LIV L ω= Lf V L V I rmsL πω 2 2 == ( ) AI 5.1 3.0602 1202 == π
  • 30.
    Ω3.13 5.7 100 === I V XL ( ) H f XX L LL 0424.0 502 3.13 2 ==== ππω Ω40 5.2 100 === I V XL s rad L XL 943 0424.0 40 ===ω a) b) Enun circuito de ca puramente inductivo, como en la figura, Vmax = 100 V. a) Si la corriente máxima es 7.5 A a 50 Hz, calcule la inductancia L. b) ¿A qué frecuencia angular ω la corriente máxima es 2.5 A? XL = ωL
  • 31.
    Ejemplo Reactancia delcondensador. Cuáles son la corriente pico y rms en el circuito mostrado si C = 1.0 µ F y Vrms = 120 V? Calcular para f = 60 Hz C I VC ω = ( )CfVI C π2= ( )CfVI rms π22= ( )( ) A.IMax 06401016021202 6 =×= − π A. . .I I Max rms 0450 411 0640 2 === ( )Cf I VC π2 =
  • 32.
    ( ) VVVrms 3.282022max === maxmax CVQ C Q VC =→= ( ) nCQ 77.23.281098 12 max =×= − Un capacitor de 98.0 pF está conectado a un suministro de potencia de 60.0 Hz que produce un voltaje rms de 20.0 V. ¿Cuál es la carga máxima que aparece en cualesquiera de las placas del capacitor?
  • 33.
    a) ¿Para quéfrecuencias lineales un capacitor de 22.0 μF tiene una reactancia por debajo de 175 Ω? b) Sobre este mismo intervalo de frecuencia, ¿cuál es la reactancia de un capacitor de 44.0 μF?
  • 34.
    Relaciones RMS Resistencia rms rms I V R = ReactanciaCapacitiva fCI V X rms rms C π2 1 == Reactancia Inductiva fL I V X rms rms L π2== La unidad de la resistencia y de la reactancia es ohmios.
  • 35.
    Potencia Resistencia Capacitancia Inductancia RIPrms 2 = La energía disipada en un resistor se convierte en calor. Crms XIP 2 = Lrms XIP 2 = El condensador es un dispositivo de almacenaje de la energía. Durante el ciclo la energía se almacena temporalmente en el campo eléctrico. Por lo tanto, la potencia no es una potencia verdadera sino potencia reactiva llamada en unidades de voltio- amperio-reactivo (VAR). El inductor es un dispositivo de almacenaje de la energía. Durante el ciclo AC la energía se almacena temporalmente en el campo magnético La potencia no es potencia verdadero sino reactiva en unidades VAR.
  • 36.
    Impedancia Z de uncircuito Es la relación de la amplitud de voltaje en un circuito a la amplitud de corriente en el circuito I V Z =
  • 37.
    CIRCUITOS RLC ENSERIE La figura muestra un circuito que contiene un resistor, un inductor, y un capacitor conectados en serie a través de una fuente de voltaje alternante. Como antes, asumimos que el voltaje aplicado varía sinusoidalmente con el tiempo. Es conveniente suponer que el voltaje aplicado instantáneo está dado por:
  • 38.
    Se puede notarque los voltajes instantáneos sumados deben dar el voltaje total: Relaciones de fase entre los fasores de voltaje y corriente para: (a) resistor, (b) inductor, y (c) capacitor conectados en serie.
  • 39.
    Del gráfico (b): Porlo tanto la máxima corriente es: El denominador de la ecuación anterior se denomina IMPEDANCIA Z
  • 40.
    SUS UNIDADES SONOHMIOS El triángulo de impedancia para un circuito RLC en serie da la relación:
  • 42.
    R XX CL − =φtan φtanRXXCL += ( ) ( )( ) ( )      −Ω+ × = −−− 0 611 60tan200 1000.40.602 1 0.602 1 ss L ππ HL 84.0=
  • 43.
    b) Calcule lamáxima corriente en el circuito. c) Encuentre el ángulo de fase entre la corriente y el voltaje 0 34−=φ
  • 44.
    d) Calcule elmáximo voltaje y el voltaje instantáneo a través de cada elemento. Los máximos voltajes son: Los voltajes instantáneos son:
  • 45.
    Cf XC π2 1 = ( )() Ω8 12 1033.1 1020602 1 ×= × = − πCX 22 CXRZ += ( ) ( ) Ω82823 1033.11033.11050 ×=×+×=Z A Z V I 5 8 1077.3 1033.1 5000 − ×= × == personapersona IRV = ( ) VVpersona 88.110501077.3 35 =×××= − Una persona está trabajando cerca del secundario de un transformador, como se muestra en la figura. El voltaje primario es 120 V a 60 Hz. La capacitancia Ci, que es la capacitancia entre la mano y el devanado secundario, es 20.0 pF. Suponiendo que la persona tiene una resistencia de cuerpo a tierra Re = 50.0 k Ω. determine el voltaje rms a través del cuerpo. Sugerencia: Redibuje el circuito con el secundario del tranformador como una fuente de ca simple.
  • 46.
    Circuito RLC enSerie Solamente una corriente en la conexión de serie utilizada como referencia. VR e I están en fase , VL adelanta la corriente en 90º y VC se retrasa a la corriente en 90º Voltaje total - los fasores se suman de la misma manera que los vectores. ( )222 0 0 CLR LCR VVVV vvvv −+= ++= La misma relación para valores RMS ( ) ( )22 222 CL rmsrms CLRrms XXRZ ZIV VVVV −+= = −+= Impedancia en ohms. Z
  • 47.
  • 50.
    POTENCIA EN UNCIRCUITO CA La potencia instantánea entregada por una fuente CA a un circuito es el producto de corriente de la fuente y el voltaje aplicado. Para un circuito RLC en serie, se puede expresar la potencia instantánea como: Promedio = 0 Expresando esta potencia en términos de la corriente y voltaje rms, queda:
  • 51.
    Remplazando en laecuación anterior Válido para carga resistiva solamente. No existen pérdida de potencia en circuitos CA puramente capacitivos o puramente inductivos.
  • 52.
  • 53.
    Factor de Potencia,Potencia Real y reactiva ZIV rmsrms = Factor de potencia = pf =cos φ WcosφrmsrmsVIP = Solamente los elementos resistivos disipan energía. Los elementos reactivos almacenan energía temporalmente en una parte del ciclo AC . Esta energía se devuelve en otra parte del ciclo . Sin embargo, las fuente de energía y otros equipos tal como transformadores deben poder manejar el VA máximo requerido . ( )22 CL XXRZ −+= R XX CL − =φtan
  • 54.
  • 55.
    La fuente devoltaje en la figura tiene una salida V = (100 V) cos( 1000t ). Determine a) la corriente en el circuito y b) la potencia suministrada por la fuente, c) Muestre que la potencia disipada en el resistor es igual a la potencia suministrada por la fuente. XL = ωL XL = 1000(50x10-3 )=50Ω 1 C XC ω = ( ) Ω= × = − 20 10501000 1 6CX ( )22 CL XXRZ −+= ( ) Ω=−+= 50205040 22 Z
  • 56.
    La fuente devoltaje en la figura tiene una salida V = (100 V) cos( 1000t ). Determine a) la corriente en el circuito y b) la potencia suministrada por la fuente, c) Muestre que la potencia disipada en el resistor es igual a la potencia suministrada por la fuente. ZIV rmsrms = R XX CL − =φtan A Z V I 2 50 100max max === o 9.36 40 2050 tan 1 =      − = − φ cosIVP φ 2 1 = W.cosP 809361002 2 1 =×= RIP 2 0 2 1 = ( ) WP 80402 2 1 2 ==
  • 57.
    Ω=×= 5005.01000LX Ω= ×× = − 200 100.51000 1 6CX ()22 CL XXRZ −+= ( ) ( ) Ω500200500400 22 =−+=Z Z V I max max = AI 2.0 500 100 max == RIP 2 max 2 1 = ( ) WP 0.84002.0 2 1 2 == Un voltaje de ca de la forma v = (100 V) sen(1000t) se aplica a un circuito RLC en serie. Si R = 400 Ω, C= 5.0 μ F, y L = 0.50 H, encuentre la corriente máxima y la potencia promedio disipada en el circuito. XL = ωL 1 C XC ω =
  • 58.
    Un resistor de80 Ω, un inductor de 200 mH y un capacitor de 0.150 μF se conectan en paralelo a través de una fuente de 120 V (rms) que opera a 374 rad/s. a) Calcule la corriente rms en el resistor, inductor y capacitor b) Cuál es la corriente rms entregada por la fuente , c) Cuál es la frecuencia resonante del circuito
  • 59.
    Hallar la corrientemáxima y el ángulo de desfase. Hallar también la potencia media suministrada por la f.em. Datos: Vo = 100 V, R= 1 Ω, L=0.003 H, C=0.002 F, ω=120π rad/s a c biL iC iR Nodo b LCR iiii +==0 ( )CVi bcC ω=       = L Vi bcL ω 1       −= L CVi bc ω ω 1 0 L VCVi bcbc ω ω 1 0 −=       == C iXiV CCCC ω 1 ( )LiXiV LLLL ω==
  • 60.
    i0 222 0 bcab VVV +=Fasoresse suman como vectores 2 2 022 0 2 0 1       − += L C i RiV ω ω                   − += 2 22 0 2 0 1 1 L C RiV ω ω                   − + = 2 2 0 0 1 1 L C R V i ω ω φcos 2 1 VIP =R Z IR IZ V V ab bc ===φtan R L C       − = ω ω φ 1 tan
  • 62.
    PROBLEMA En la figuraR1 = 60.0 Ω, R2 = 40.0 Ω, L= 0.400 H, C = 5.00 µF y Vrms =240 V. ¿Cuál es la potencia que suministra la fuente en el límite donde: a) la frecuencia ω de la fuente es muy grande. b) ω es muy pequeña. LXL ω= Si ω ∞→ Entonces XL ∞→ Y la corriente en R1 es cero. ( ) Ω ==∴ 0.40 240 2 2 2 V R V P rms WP 1440= 00Si →⇒→ LXω ∞→CXy La corriente en R2 es cero y ( ) Ω == 60 240 2 1 2 V R V P rms WP 960=
  • 63.
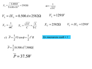
    PROBLEMA En cierto circuitoL-R-C en serie, R = 300 Ω, L = 0.400 H y C = 6.00x10-8 F. Cuando la fuente de ca funciona a la frecuencia de operación del circuito, la amplitud de corriente es de 0.500 A. a) ¿Cuál es la amplitud del voltaje de la fuente? b) ¿Cuál es la amplitud de voltaje entre los extremos del resistor, del inductor y del capacitor? c) ¿Cuál es la potencia promedio que la fuente suministra? SOLUCION a) A la frecuencia de resonancia Z = R IRIZV == VAV 150300500.0 =Ω×= VIRVb 150) == LXL ω= C LXX CL ω ω 1 =⇒= LC 12 =ω LC 1 =ω LC L XL = C LXL = Ω= × = − 2582 1000.6 400.0 8 H XL
  • 64.
    Ω= × = − 2582 1000.6 400.0 8 H XL Ω×== 2582500.0AIXV LL VVL 1291= C XC ω 1 = C L C LC XC == Ω= 2582CX VIXV CC 1291== RIVIPc 2 2 1 cos 2 1 ) == φ En resonancia cosΦ = 1 ( ) ( )Ω= 300500.0 2 1 2 AP WP 5.37= LC 1 =ω
  • 65.
    EL TRANSFORMADOR La corrientealterna en el devanado primario establece un campo magnético variable en el núcleo de hierro. Debido a que el hierro se magnetiza fácilmente, aumenta en gran medida el campo magnético con respecto al campo que hay en un núcleo de aire y orienta las líneas de campo al devanado secundario
  • 66.
    En un núcleobien diseñado, casi todo el flujo magnético Φ que pasa a través de cada vuelta del devanado primario también pasa a través de cada vuelta del devanado secundario. Dado que el campo magnético es variable, entonces el flujo a través de los devanados primario y secundario también es variable y, por consiguiente, en ambas bobinas se induce una fem. En la bobina secundaria, la fem inducida surge de la inducción mutua y está dada por la ley de Faraday de la inducción electromagnética como: dt d NV ss Φ −= En el devanado primario, la fem inducida Vp se debe a la autoinducción y está especificada por la ley de Faraday como: dt d NV pp Φ −= El término dt dΦ es el mismo en ambas ecuaciones
  • 67.
    Al dividir lasecuaciones anteriores: p s p s N N V V = Esta es la ecuación del transformador Razón de transformación Si el interruptor se cierra, entonces en el circuito existe una corriente Is y se suministra energía eléctrica al calentador. La potencia media suministrada al devanado primario es igual a la potencia media suministrada al devanado secundario. sp PP = p s p s s p sspp N N V V I I IVIV ==⇒=
  • 68.
    EJEMPLO Un transformador reductordentro de un receptor estereofónico tiene 330 vueltas en el devanado primario y 25 vueltas en el secundario. La clavija conecta al primario a un tomacorriente de 120 V, y hay una corriente de 0.83 A en el primario mientras el receptor está encendido. Al devanado secundario están conectados los circuitos transistores del receptor. Encuentre: a)La tensión a través del devanado secundario b)la corriente en el secundario c)la potencia eléctrica media suministrada a los circuitos transistores. p s p s N N V V = VV N N VV p s ps 1.9 330 25 120 === b) p s s p N N I I = AA N N II s p ps 11 25 330 83.0 === c) ( ) ( ) WVAVIP sss 1001.911 =×== a)