SEMESTRE ACADÉMICO 2022-II
UNIVERSIDAD NACIONAL MAYOR DE SAN MARCOS
FACULTAD DE CIENCIAS MATEMÁTICAS
EQUIPO DE LOS DOCENTES DE CÁLCULO I
ASIGNATURA
CÁLCULO I
2022-II
UNIDAD DIDÁCTICA 2
TEMA DE
SESIÓN:
LÍMITES:
Límites trigonométricos. Límites de las funciones Exponencial y Logarítmica.
CAPACIDAD GENERAL:
CAPACIDAD ESPECÍFICA:
• Al finalizar el curso, el estudiante aplica el análisis de funciones y el cálculo diferencial de una
variable, para resolver problemas relacionados a su carrera profesional, apoyándose
estratégicamente en herramientas matemáticas con responsabilidad y trabajo en equipo.
• Resuelve situaciones problemáticas de contexto real referidas a analizar cambios discontinuos o
regularidades, entre valores o expresiones; traduciéndolas a expresiones algebraicas que pueden
incluir la regla de formación de funciones que mejor se ajusten al comportamiento del fenómeno
observado.
SEMANA 7
CAPACIDADES DE LA SEMANA 7
• Resuelve ejercicios de Límites trigonométricos.
• Resuelve ejercicios de Limites de Funciones
exponenciales y Logarítmicas.
VIBRACIONES DE LAS CUERDAS
¿Qué modelos representan
cada una de las imágenes
mostradas?
¿El límite de las vibraciones
que se forman al tocar una
guitarra representa al límite
de una función
trigonométrica?
¿Cómo construirías un caso
de un modelo trigonométrico
en donde puedas utilizar el
límite del mismo?
TRASLADANDO
AL PLANO
https://www.youtube.com/watch?v=lXsKia9SBS4 (Fundamentación del modelo)
Estudio del
x→0
lim
sen x
x . Se pone la calculadora en modo Rad para construir las siguientes tablas.
x 0,1 0,01 0,001 0,0001 0,00001 0,0000001
sen x
x
0,998334166468 0,999983333416 0,999999833333 0,999999998333 0,99999999998 0,999999999999
x - 0’1 - 0’01 - 0’001 - 0’0001 - 0’00001 - 0’0000001
sen x
x
0,998334166468 0,999983333416 0,999999833333 0,999999998333 0,99999999998 0,999999999999
Los resultados sugieren que
x→0+
lim
sen x
x
=1
Los resultados sugieren que
x→0-
lim
sen x
x
=1 En consecuencia:
x→0
lim
sen x
x
=1
Límites de funciones trigonométricas
x→0
lim
sen x
x
- 10 - 5 5 10
- 0.2
0.2
0.4
0.6
0.8
1
• La función no está
definida en 0.
• Pero está definida
en las proximidades
del punto 0
6) 𝑙𝑖𝑚
𝑥→𝑎
𝑐𝑠𝑐 𝑥 = 𝑐𝑠𝑐(𝑎)
LÍMITES TRIGONOMÉTRICOS
8
TEOREMA 1
Para todo número 𝑎 ∈ ℝ en el dominio de la función:
1) 𝑙𝑖𝑚
𝑥→𝑎
𝑠𝑒𝑛 𝑥 = 𝑠𝑒𝑛(𝑎)
2) 𝑙𝑖𝑚
𝑥→𝑎
𝑐𝑜𝑠 𝑥 = 𝑐𝑜𝑠(𝑎)
3) 𝑙𝑖𝑚
𝑥→𝑎
𝑡𝑎𝑛 𝑥 = 𝑡𝑎𝑛(𝑎)
4) 𝑙𝑖𝑚
𝑥→𝑎
𝑐𝑜𝑡 𝑥 = 𝑐𝑜𝑡(𝑎)
5) 𝑙𝑖𝑚
𝑥→𝑎
𝑠𝑒𝑐 𝑥 = 𝑠𝑒𝑐(𝑎)
DEMOSTRACIÓN
𝑙𝑖𝑚
𝑡→𝑎
𝑠𝑒𝑛 𝑡 = 𝑠𝑒𝑛(𝑎)
Primero vemos para el caso 𝑎 = 0.
Supongamos que 𝑡 > 0 . De la figura:
0 < 𝐵𝑃 < 𝐴𝑃 < 𝑎𝑟𝑐(𝐴𝑃)
y de ahí tenemos 0 < 𝑠𝑒𝑛 𝑡 < 𝑡. Si t < 0, se tiene
𝑡 < 𝑠𝑒𝑛 𝑡 < 0. Luego, aplicamos el teorema del
sándwich y concluimos que 𝑙𝑖𝑚
𝑡→0
𝑠𝑒𝑛 𝑡 = 0.
Para completar la demostración, necesitamos probar que 𝑙𝑖𝑚
𝑡→0
𝑐𝑜𝑠 𝑡 = 1. Esta se
deduce de la identidad pitagórica y lo que acabamos de demostrar:
𝑙𝑖𝑚
𝑡→0
𝑐𝑜𝑠 𝑡 = 𝑙𝑖𝑚
𝑡→0
1 − 𝑠𝑒𝑛2𝑡 = 1 − 𝑙𝑖𝑚
𝑡→0
𝑠𝑒𝑛 𝑡
2
= 1 − 02 = 1 .
9
𝑙𝑖𝑚
𝑡→𝑎
𝑠𝑒𝑛 𝑡 = 𝑙𝑖𝑚
ℎ→0
𝑠𝑒𝑛 𝑎 + ℎ
= 𝑙𝑖𝑚
ℎ→0
𝑠𝑒𝑛 𝑎 cos ℎ + cos 𝑎 𝑠𝑒𝑛 ℎ
= 𝑠𝑒𝑛 𝑎 1 + 𝑐𝑜𝑠 𝑎 0 = 𝑠𝑒𝑛 𝑎 .
Ahora, para demostrar que 𝑙𝑖𝑚
𝑡→𝑎
𝑠𝑒𝑛 𝑡 = 𝑠𝑒𝑛 𝑎, primero hacemos ℎ = 𝑡 − 𝑎
de modo que ℎ → 0 cuando 𝑡 → 𝑎. Entonces
LÍMITES TRIGONOMÉTRICOS ESPECIALES
Las afirmaciones 2) – 6) se demuestran análogamente (¡EJERCICIO!).
TEOREMA 2
a) 𝑙𝑖𝑚
𝑡→0
𝑠𝑒𝑛𝑡
𝑡
= 1 .
b )𝑙𝑖𝑚
𝑡→0
1−𝑐𝑜𝑠𝑡
𝑡
= 0 .
10
c) 𝑙𝑖𝑚
𝑡→0
𝑡
sen 𝑡
= 1
d) 𝑙𝑖𝑚
𝑡→0
sen 𝑡 = 1
e) 𝑙𝑖𝑚
𝑡→0
cos 𝑡 = 0
f) 𝑙𝑖𝑚
𝑡→0
tan 𝑡 = 0
g) 𝑙𝑖𝑚
𝑡→0
tan 𝑡
𝑡
= 1
h) 𝑙𝑖𝑚
𝑡→0
𝑡
tan 𝑡
= 1
DEMOSTRACIÓN
a) 𝑙𝑖𝑚
𝑡→0
𝑠𝑒𝑛𝑡
𝑡
= 1 .
De la figura:
Á𝑟𝑒𝑎(𝑂𝐵𝐶) < Área(𝑂𝐵𝑃) < Área(𝑂𝐴𝑃)
1
2
𝑡 cos2 𝑡 <
1
2
𝑐𝑜𝑠𝑡 𝑠𝑒𝑛𝑡 <
1
2
𝑡 1 2
y de ahí:
c𝑜𝑠𝑡 <
𝑠𝑒𝑛𝑡
𝑡
<
1
𝑐𝑜𝑠𝑡
.
Luego, aplicamos el teorema del sándwich y
concluimos que 𝑙𝑖𝑚
𝑡→0
𝑠𝑒𝑛𝑡
𝑡
= 1.
b) 𝑙𝑖𝑚
𝑡→0
1−cos 𝑡
𝑡
= 𝑙𝑖𝑚
𝑡→0
1−cos 𝑡
𝑡
∙
1+𝑐𝑜𝑠 𝑡
1+cos 𝑡
= 𝑙𝑖𝑚
𝑡→0
1−𝑐𝑜𝑠2𝑡
𝑡 1+cos 𝑡
= 𝑙𝑖𝑚
𝑡→0
𝑠𝑒𝑛2𝑡
𝑡 1 + cos 𝑡
= 𝑙𝑖𝑚
𝑡→0
𝑠𝑒𝑛 𝑡
𝑡
𝑙𝑖𝑚
𝑡→0
𝑠𝑒𝑛 𝑡
𝑙𝑖𝑚
𝑡→0
1 + cos 𝑡
= 1 ∙
0
2
= 0.
11
EJEMPLO 1
Calcular los siguientes límites:
a) 𝑙𝑖𝑚
𝑥→0
𝑠𝑒𝑛 𝑘𝑥
𝑥
b) 𝑙𝑖𝑚
𝑥→𝑎
𝑠𝑒𝑛 𝑥 −𝑠𝑒𝑛 𝑎
𝑥 − 𝑎
SOLUCION:
a) 𝑙𝑖𝑚
𝑥→0
𝑠𝑒𝑛 𝑘𝑥
𝑥
= 𝑙𝑖𝑚
𝑥→0
𝑘
𝑠𝑒𝑛 𝑘𝑥
𝑘𝑥
= 𝑘 𝑙𝑖𝑚
𝑥→0
𝑠𝑒𝑛 𝑘𝑥
𝑘𝑥
1
= 𝑘 1 = 𝑘
b) 𝑙𝑖𝑚
𝑥→𝑎
𝑠𝑒𝑛 𝑥 −𝑠𝑒𝑛 𝑎
𝑥 − 𝑎
= 𝑙𝑖𝑚
𝑢→0
𝑠𝑒𝑛 𝑢+𝑎 − 𝑠𝑒𝑛 𝑎
𝑢
= 𝑙𝑖𝑚
𝑢→0
𝑠𝑒𝑛 𝑢 cos 𝑎+ cos 𝑢 𝑠𝑒𝑛 𝑎 −𝑠𝑒𝑛 𝑎
𝑢
= cos 𝑎 𝑙𝑖𝑚
𝑢→0
𝑠𝑒𝑛 𝑢
𝑢
+ 𝑠𝑒𝑛 𝑎 𝑙𝑖𝑚
𝑢→0
cos 𝑢 − 1
𝑢
= 𝑐𝑜𝑠 𝑎 1 + 𝑠𝑒𝑛 𝑎 0 = 𝑐𝑜𝑠 𝑎 .
12
EJEMPLO 2
lim
𝑥→
𝜋
4
𝑠𝑒𝑛(𝑥 −
𝜋
4
)
1 − 2 𝑐𝑜𝑠𝑥
= lim
𝑥−
𝜋
4
→0
𝑠𝑒𝑛(𝑥 −
𝜋
4
)
1 − 2 cos(𝑥 −
𝜋
4
+
𝜋
4
)
= lim
𝑢→0
𝑠𝑒𝑛𝑢
1 − 𝑐𝑜𝑠𝑢 + 𝑠𝑒𝑛𝑢
= lim
𝑢→0
2𝑠𝑒𝑛
𝑢
2
𝑐𝑜𝑠
𝑢
2
1 − 𝑐𝑜𝑠2 𝑢
2
+ 𝑠𝑒𝑛2 𝑢
2
+ 2𝑠𝑒𝑛
𝑢
2
𝑐𝑜𝑠
𝑢
2
13
𝑢 = 𝑥 −
𝜋
4
= lim
𝑢→0
𝑠𝑒𝑛(𝑢)
1 − 2 cos(𝑢 +
𝜋
4
)
= lim
𝑢→0
𝑠𝑒𝑛(𝑢)
1 − 2 cos 𝑢 . 𝑐𝑜𝑠
𝜋
4
− 𝑠𝑒𝑛 𝑢 . 𝑠𝑒𝑛
𝜋
4
= lim
𝑢→0
2𝑠𝑒𝑛
𝑢
2
𝑐𝑜𝑠
𝑢
2
2𝑠𝑒𝑛2 𝑢
2
+ 2𝑠𝑒𝑛
𝑢
2
𝑐𝑜𝑠
𝑢
2
= lim
𝑢→0
𝑐𝑜𝑠
𝑢
2
𝑠𝑒𝑛
𝑢
2
+ 𝑐𝑜𝑠
𝑢
2
= 1
Calcule lim
𝑥→
𝜋
4
𝑠𝑒𝑛(𝑥−
𝜋
4
)
1− 2 𝑐𝑜𝑠𝑥
Solución
0
0
EJEMPLO 3
14
Solución
EJEMPLO 4
15
Solución
EJEMPLO 5
16
Solución
EJEMPLO 6
17
Solución
EJEMPLO 7
18
Solución
EJEMPLO 8
19
Solución
El número 𝑒, llamado neperiano, se define como el límite de la sucesión 1 +
1
𝑛
𝑛
cuando
𝑛 crece indefinidamente, es decir
𝑒 = lim
𝑛→∞
1 +
1
𝑛
𝑛
FUNCIÓN EXPONENCIAL NATURAL
La función exponencial es la función exponencial de base 𝑒 y se define para todo 𝑥 como:
𝑒𝑥𝑝: ℝ → ℝ+
𝑥 → 𝑒𝑥
Cuya regla de correspondencia es 𝑒𝑥𝑝 = 𝑥, 𝑦 ∈ Τ
ℝ𝑥ℝ+
𝑦 = 𝑒𝑥
Como se puede observar el 𝐷𝑜𝑚 𝑒𝑥𝑝 = ℝ 𝑦 𝑅𝑎𝑛 𝑒𝑥𝑝 = ℝ+
La función exponencial es inyectiva y creciente en todo su dominio. Además se cumple que:
a) lim
𝑥→+∞
𝑒𝑥 = +∞ 𝑦
b) lim
𝑥→−∞
𝑒𝑥 = 0
FUNCIÓN LOGARITMO NATURAL
Es una función logaritmo de base 𝑒, denotada por 𝐿𝑛 y se define para todo 𝑥 > 0 como :
𝑓: ℝ+ → Τ
ℝ 𝑓 𝑥 = 𝐿𝑛 𝑥
La función logaritmo natural es inyectiva y creciente en todo su dominio y rango, además se cumple que:
a) lim
𝑥→+∞
𝐿𝑛𝑥 = +∞ 𝑏) lim
𝑥→0+
𝐿𝑛𝑥 = −∞
Una consecuencia inmediata de la propiedad 𝑒𝑥 = 𝑦 ↔ 𝑙𝑛𝑦 = 𝑥 es lo siguiente:
𝐿𝑛 𝑒𝑥 = 𝑥, ∀𝑥 ∈ ℝ 𝑦 𝑒𝑙𝑛𝑥 = 𝑥, ∀𝑥 ∈ ℝ+, las gráficas de cada una de ellas son reflexiones una de la
otra con respecto a la recta 𝑦 = 𝑥
Figura 1
Ahora veamos que pasa con las funciones:
𝑓 𝑥 = 1 +
1
𝑥
𝑥
𝑦 𝑔 𝑥 = 1 + 𝑥
1
𝑥 con dominios en < −∞, −1 >∪< 0, +∞ > 𝑦 < −1,0 >∪< 0, +∞ >
respectivamente.
Gráficamente tenemos:
Figura 2 Figura 3
En la figura 2 podemos observar que a mediada que 𝑥 crece sin límite a +∞ o decrece sin límite a −∞, la
función tiende a la recta 𝑦 = 𝑒 , es decir: lim
𝑥→∞
1 +
1
𝑥
𝑥
= 𝑒
En la figura 3 podemos observar que cuando 𝑥 tiende a cero los límites laterales son iguales, es decir:
lim
𝑥→0
1 + 𝑥
1
𝑥 = 𝑒
Mostraremos que 𝒍𝒊𝒎
𝒙→+∞
𝟏 +
𝟏
𝒙
𝒙
= 𝒆 , ∀𝒙 ∈< 𝟎, ∞ >
En efecto:
Tome un 𝑥 ∈< 0, ∞ >, entre dos números naturales consecutivos, esto es:
Si 𝑛 ≤ 𝑥 < 𝑛 + 1 →
1
𝑛+1
<
1
𝑥
≤
1
𝑛
↔ 1 +
1
𝑛+1
< 1 +
1
𝑥
≤ 1 +
1
𝑛
, elevando cada expresión a una potencia de
tal forma que no altere la desigualdad se tiene 1 +
1
𝑛+1
𝑛
< 1 +
1
𝑥
𝑥
≤ 1 +
1
𝑛
𝑛+1
como 𝑥 ∈ [𝑛, 𝑛 + 1 >, cuando 𝑥 → +∞, entonces 𝑛 → +∞, luego por el teorema del Sándwich
lim
𝑛→+∞
1 +
1
𝑛 + 1
𝑛
= lim
𝑛→+∞
1 +
1
𝑛 + 1
𝑛+1
1 +
1
𝑛 + 1
−1
= lim
𝑛→+∞
1 +
1
𝑛
𝑛+1
= 𝑒
Luego lim
𝑥→+∞
1 +
1
𝑥
𝑥
= 𝑒
𝑙𝑖𝑚
𝑥→∞
1 +
1
𝑥
𝑥
= 𝑒 .
b) 𝑙𝑖𝑚
𝑥→+∞
𝑥+10
𝑥
𝑥+10
= 𝑙𝑖𝑚
𝑥→+∞
1 +
10
𝑥
𝑥
1 +
10
𝑥
10
= 𝑒10 1 10 = 𝑒10.
EJEMPLO 9:
a) 𝑙𝑖𝑚
𝑥→+∞
1 +
𝑘
𝑥
𝑥
= 𝑙𝑖𝑚
𝑥→+∞
1 +
𝑘
𝑥
Τ
𝑥
𝑘
𝑘
= 𝑙𝑖𝑚
𝑥→+∞
1 +
𝑘
𝑥
Τ
𝑥
𝑘
𝑘
= 𝑒𝑘
.
c) 𝑙𝑖𝑚
𝑥→+∞
𝑥+5
𝑥+2
𝑥
= 𝑙𝑖𝑚
𝑥→+∞
1+
5
𝑥
𝑥
1+
2
𝑥
𝑥 =
𝑙𝑖𝑚
𝑥→+∞
1+
5
𝑥
𝑥
𝑙𝑖𝑚
𝑥→+∞
1+
2
𝑥
𝑥 =
𝑒5
𝑒2 = 𝑒3.
TEOREMA 3
24
𝑙𝑖𝑚
𝑥→0
1 + 𝑥 1/𝑥
= 𝑒 .
b)
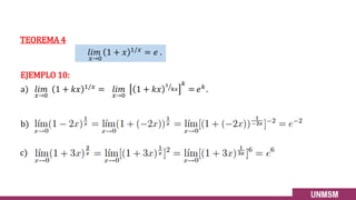
EJEMPLO 10:
a) 𝑙𝑖𝑚
𝑥→0
1 + 𝑘𝑥 1/𝑥 = 𝑙𝑖𝑚
𝑥→0
1 + 𝑘𝑥 ൗ
1
𝑘𝑥
𝑘
= 𝑒𝑘.
c)
TEOREMA 4
25
Si 𝑙𝑖𝑚
𝑥→𝑎
𝑓(𝑥) = 1 y 𝑙𝑖𝑚
𝑥→𝑎
𝑔(𝑥) = ∞, entonces
𝑙𝑖𝑚
𝑥→𝑎
𝑓 𝑥 𝑔(𝑥)
= 𝑙𝑖𝑚
𝑥→𝑎
[1 + (𝑓 𝑥 − 1)]
𝑓 𝑥 −1
𝑓(𝑥)−1
𝑔(𝑥)
= 𝑒
𝑙𝑖𝑚
𝑥→𝑎
𝑔(𝑥) 𝑓 𝑥 −1
.
TEOREMA 5
EJEMPLO 11:
a) 𝑙𝑖𝑚
𝑥→+∞
3𝑥+1
3𝑥−1
6𝑥
= 𝑒
𝑙𝑖𝑚
𝑥→+∞
6𝑥
3𝑥+1
3𝑥−1
−1
= 𝑒
𝑙𝑖𝑚
𝑥→+∞
6𝑥
2
3𝑥−1 = 𝑒4 .
b) 𝑙𝑖𝑚
𝑥→0
𝑐𝑜𝑠𝑥 Τ
1
𝑥 = 𝑒
𝑙𝑖𝑚
𝑥→0
1
𝑥
𝑐𝑜𝑠𝑥−1
= 𝑒
𝑙𝑖𝑚
𝑥→0
𝑐𝑜𝑠𝑥−1
𝑥 = 𝑒0 = 1 .
c) 𝑙𝑖𝑚
𝑥→1
2
𝑥+1
𝑥2+𝑥+1
𝑥2−𝑥
= 𝑒
𝑙𝑖𝑚
𝑥→1
𝑥2+𝑥+1
𝑥2−𝑥
2
𝑥+1
−1
= 𝑒
𝑙𝑖𝑚
𝑥→1
𝑥2+𝑥+1
𝑥2−𝑥
1−𝑥
𝑥+1 = 𝑒
𝑙𝑖𝑚
𝑥→1
𝑥2+𝑥+1
−𝑥(𝑥+1) = 𝑒− Τ
3
2 .
d) 𝑙𝑖𝑚
𝑥→+∞
𝑥2+3𝑥+1
𝑥2−5𝑥+1
𝑥
= 𝑒
𝑙𝑖𝑚
𝑥→+∞
𝑥
𝑥2+3𝑥+1
𝑥2−5𝑥+1
−1
= 𝑒
𝑙𝑖𝑚
𝑥→+∞
𝑥
8𝑥
𝑥2−5𝑥+1 = 𝑒8
.
26
PROPIEDADES DE LOS LÍMITES EXPONENCIALES Y LOGARÍTMICOS
1) lim
𝑋→+∞
1 +
𝑎
𝑥
𝑥
= 𝑒𝑎
2) lim
𝑥→0
1 + 𝑎𝑥
1
𝑥 = 𝑒𝑎
3) Si lim
𝑥→𝑎
𝑓 𝑥 = 0, con 𝑓 𝑥 ≠ 0, para 𝑥 ≠ 𝑎 → lim
𝑥→𝑎
1 + 𝑓(𝑥)
1
𝑓(𝑥) = 𝑒
4) Si 𝑎 > 0 𝑦 𝑎 ≠ 1 → lim
𝑥→0
𝑎𝑥−1
𝑥
= 𝐿𝑛(𝑎)
5) Si lim
𝑥→𝑎
𝑓 𝑥 = 𝐿, L > 0 → lim
𝑥→𝑎
[𝐿𝑛 𝑓 𝑥 = 𝐿𝑛 lim
𝑥→𝑎
𝑓 𝑥 = 𝐿𝑛(𝐿)
6)lim
𝑥→0
𝐿𝑛 1+𝑥
𝑥
= 1
LÍMITES DE LA FORMA lim
𝑥→𝑎
𝑓(𝑥)𝑔(𝑥) = 𝐿
Anteriormente hemos visto el caso 3, pero falta ver el caso 1 y caso 2
Caso 1
lim
𝑥→𝑎
𝑓 𝑥 = 𝐴 𝑦 lim
𝑥→𝑎
𝑔 𝑥 = 𝐵 → 𝐿 = 𝐴𝐵
Caso 2
lim
𝑥→𝑎
𝑓 𝑥 = 𝐴 ≠ 1 𝑦 lim
𝑥→𝑎
𝑔 𝑥 = ±∞ , el problema de hallar 𝐿, se resuelve directamente, pues al tener 𝐿
la forma indeterminada 1±∞,ocurre que:
a) Si 𝐴 > 1 → 𝐿 = 𝐴+∞ = +∞ 𝑦 𝐿 = 𝐴−∞ = 0
b) Si 0 < 𝐴 < 1 → 𝐿 = 𝐴+∞ = 0 𝑦 𝐿 = 𝐴−∞ = 0
EJEMPLO 12
28
Solución
EJEMPLO 13
29
Solución
EJEMPLO 14
30
Solución
EJEMPLO 15
31
Solución
EJEMPLO 16
32
Solución
EJEMPLO 17
33
Solución
EJEMPLO 18
34
Solución
35
Solución
EJEMPLO 19
EJERCICIOS
1)lim
𝑥→1
1+𝑥
2+𝑥
1− 𝑥
1−𝑥
2) lim
𝑛→∞
𝑛+𝑥
𝑛−1
𝑛
3)lim
𝑥→1
1 + 𝑠𝑒𝑛(𝜋𝑥) cot(𝑥)
4)lim
𝑥→4
3𝑥−4−2𝑥−4
𝑥−4
5)lim
𝑥→𝑎
𝐿𝑛𝑥−𝐿𝑛𝑎
𝑥−𝑎
; 𝑎 > 0
6)Demostrar que lim
𝑥→0
𝑥𝑠𝑒𝑛
1
𝑥
= 0
7) Demostrar que si lim
𝑥→𝑎
𝑓(𝑥) = 0 → lim
𝑥→𝑎
𝑓 𝑥 = 0
8)Si
1−cos 3𝑥
𝑥2 ≤ 𝑓 𝑥 ≤
𝑡𝑎𝑛2 (3𝑥)
𝑥2 , hallar lim
𝑥→0
𝑓(𝑥)
9) Hallar lim
𝑥→0
𝑓(𝑥) , 𝑆𝑖 𝑓 𝑥 =
1−cos(3𝑥)
𝑥2 ; 𝑥 < 0
5; 𝑥 = 0
𝑠𝑒𝑛 10𝑥 −𝑡𝑔 𝑥
𝑠𝑒𝑛(2𝑥)
; 𝑥 > 0
1. Venero A.(2010). Análisis Matemático I. (2da. edición). Perú,
Ediciones Gemar
2. Pérez E.(2018). Matemática I-Modelamiento en el mundo real.
Académica Española.
3. Villena M.(sf.).Cálculo Diferencial e Integral.
4. R. Figueroa (2011). Análisis matemático 1 (Cuarta edición).
Ediciones RFG.
5. Máximo Mitac – Luis Toro. Tópicos de cálculo, volumen I.
Referencias

Clase Teoría Semana 7.pdffffffffffffffff

  • 1.
    SEMESTRE ACADÉMICO 2022-II UNIVERSIDADNACIONAL MAYOR DE SAN MARCOS FACULTAD DE CIENCIAS MATEMÁTICAS EQUIPO DE LOS DOCENTES DE CÁLCULO I ASIGNATURA CÁLCULO I 2022-II
  • 2.
    UNIDAD DIDÁCTICA 2 TEMADE SESIÓN: LÍMITES: Límites trigonométricos. Límites de las funciones Exponencial y Logarítmica. CAPACIDAD GENERAL: CAPACIDAD ESPECÍFICA: • Al finalizar el curso, el estudiante aplica el análisis de funciones y el cálculo diferencial de una variable, para resolver problemas relacionados a su carrera profesional, apoyándose estratégicamente en herramientas matemáticas con responsabilidad y trabajo en equipo. • Resuelve situaciones problemáticas de contexto real referidas a analizar cambios discontinuos o regularidades, entre valores o expresiones; traduciéndolas a expresiones algebraicas que pueden incluir la regla de formación de funciones que mejor se ajusten al comportamiento del fenómeno observado. SEMANA 7
  • 3.
    CAPACIDADES DE LASEMANA 7 • Resuelve ejercicios de Límites trigonométricos. • Resuelve ejercicios de Limites de Funciones exponenciales y Logarítmicas.
  • 4.
    VIBRACIONES DE LASCUERDAS ¿Qué modelos representan cada una de las imágenes mostradas? ¿El límite de las vibraciones que se forman al tocar una guitarra representa al límite de una función trigonométrica? ¿Cómo construirías un caso de un modelo trigonométrico en donde puedas utilizar el límite del mismo?
  • 5.
  • 6.
    Estudio del x→0 lim sen x x. Se pone la calculadora en modo Rad para construir las siguientes tablas. x 0,1 0,01 0,001 0,0001 0,00001 0,0000001 sen x x 0,998334166468 0,999983333416 0,999999833333 0,999999998333 0,99999999998 0,999999999999 x - 0’1 - 0’01 - 0’001 - 0’0001 - 0’00001 - 0’0000001 sen x x 0,998334166468 0,999983333416 0,999999833333 0,999999998333 0,99999999998 0,999999999999 Los resultados sugieren que x→0+ lim sen x x =1 Los resultados sugieren que x→0- lim sen x x =1 En consecuencia: x→0 lim sen x x =1 Límites de funciones trigonométricas
  • 7.
    x→0 lim sen x x - 10- 5 5 10 - 0.2 0.2 0.4 0.6 0.8 1 • La función no está definida en 0. • Pero está definida en las proximidades del punto 0
  • 8.
    6) 𝑙𝑖𝑚 𝑥→𝑎 𝑐𝑠𝑐 𝑥= 𝑐𝑠𝑐(𝑎) LÍMITES TRIGONOMÉTRICOS 8 TEOREMA 1 Para todo número 𝑎 ∈ ℝ en el dominio de la función: 1) 𝑙𝑖𝑚 𝑥→𝑎 𝑠𝑒𝑛 𝑥 = 𝑠𝑒𝑛(𝑎) 2) 𝑙𝑖𝑚 𝑥→𝑎 𝑐𝑜𝑠 𝑥 = 𝑐𝑜𝑠(𝑎) 3) 𝑙𝑖𝑚 𝑥→𝑎 𝑡𝑎𝑛 𝑥 = 𝑡𝑎𝑛(𝑎) 4) 𝑙𝑖𝑚 𝑥→𝑎 𝑐𝑜𝑡 𝑥 = 𝑐𝑜𝑡(𝑎) 5) 𝑙𝑖𝑚 𝑥→𝑎 𝑠𝑒𝑐 𝑥 = 𝑠𝑒𝑐(𝑎)
  • 9.
    DEMOSTRACIÓN 𝑙𝑖𝑚 𝑡→𝑎 𝑠𝑒𝑛 𝑡 =𝑠𝑒𝑛(𝑎) Primero vemos para el caso 𝑎 = 0. Supongamos que 𝑡 > 0 . De la figura: 0 < 𝐵𝑃 < 𝐴𝑃 < 𝑎𝑟𝑐(𝐴𝑃) y de ahí tenemos 0 < 𝑠𝑒𝑛 𝑡 < 𝑡. Si t < 0, se tiene 𝑡 < 𝑠𝑒𝑛 𝑡 < 0. Luego, aplicamos el teorema del sándwich y concluimos que 𝑙𝑖𝑚 𝑡→0 𝑠𝑒𝑛 𝑡 = 0. Para completar la demostración, necesitamos probar que 𝑙𝑖𝑚 𝑡→0 𝑐𝑜𝑠 𝑡 = 1. Esta se deduce de la identidad pitagórica y lo que acabamos de demostrar: 𝑙𝑖𝑚 𝑡→0 𝑐𝑜𝑠 𝑡 = 𝑙𝑖𝑚 𝑡→0 1 − 𝑠𝑒𝑛2𝑡 = 1 − 𝑙𝑖𝑚 𝑡→0 𝑠𝑒𝑛 𝑡 2 = 1 − 02 = 1 . 9
  • 10.
    𝑙𝑖𝑚 𝑡→𝑎 𝑠𝑒𝑛 𝑡 =𝑙𝑖𝑚 ℎ→0 𝑠𝑒𝑛 𝑎 + ℎ = 𝑙𝑖𝑚 ℎ→0 𝑠𝑒𝑛 𝑎 cos ℎ + cos 𝑎 𝑠𝑒𝑛 ℎ = 𝑠𝑒𝑛 𝑎 1 + 𝑐𝑜𝑠 𝑎 0 = 𝑠𝑒𝑛 𝑎 . Ahora, para demostrar que 𝑙𝑖𝑚 𝑡→𝑎 𝑠𝑒𝑛 𝑡 = 𝑠𝑒𝑛 𝑎, primero hacemos ℎ = 𝑡 − 𝑎 de modo que ℎ → 0 cuando 𝑡 → 𝑎. Entonces LÍMITES TRIGONOMÉTRICOS ESPECIALES Las afirmaciones 2) – 6) se demuestran análogamente (¡EJERCICIO!). TEOREMA 2 a) 𝑙𝑖𝑚 𝑡→0 𝑠𝑒𝑛𝑡 𝑡 = 1 . b )𝑙𝑖𝑚 𝑡→0 1−𝑐𝑜𝑠𝑡 𝑡 = 0 . 10 c) 𝑙𝑖𝑚 𝑡→0 𝑡 sen 𝑡 = 1 d) 𝑙𝑖𝑚 𝑡→0 sen 𝑡 = 1 e) 𝑙𝑖𝑚 𝑡→0 cos 𝑡 = 0 f) 𝑙𝑖𝑚 𝑡→0 tan 𝑡 = 0 g) 𝑙𝑖𝑚 𝑡→0 tan 𝑡 𝑡 = 1 h) 𝑙𝑖𝑚 𝑡→0 𝑡 tan 𝑡 = 1
  • 11.
    DEMOSTRACIÓN a) 𝑙𝑖𝑚 𝑡→0 𝑠𝑒𝑛𝑡 𝑡 = 1. De la figura: Á𝑟𝑒𝑎(𝑂𝐵𝐶) < Área(𝑂𝐵𝑃) < Área(𝑂𝐴𝑃) 1 2 𝑡 cos2 𝑡 < 1 2 𝑐𝑜𝑠𝑡 𝑠𝑒𝑛𝑡 < 1 2 𝑡 1 2 y de ahí: c𝑜𝑠𝑡 < 𝑠𝑒𝑛𝑡 𝑡 < 1 𝑐𝑜𝑠𝑡 . Luego, aplicamos el teorema del sándwich y concluimos que 𝑙𝑖𝑚 𝑡→0 𝑠𝑒𝑛𝑡 𝑡 = 1. b) 𝑙𝑖𝑚 𝑡→0 1−cos 𝑡 𝑡 = 𝑙𝑖𝑚 𝑡→0 1−cos 𝑡 𝑡 ∙ 1+𝑐𝑜𝑠 𝑡 1+cos 𝑡 = 𝑙𝑖𝑚 𝑡→0 1−𝑐𝑜𝑠2𝑡 𝑡 1+cos 𝑡 = 𝑙𝑖𝑚 𝑡→0 𝑠𝑒𝑛2𝑡 𝑡 1 + cos 𝑡 = 𝑙𝑖𝑚 𝑡→0 𝑠𝑒𝑛 𝑡 𝑡 𝑙𝑖𝑚 𝑡→0 𝑠𝑒𝑛 𝑡 𝑙𝑖𝑚 𝑡→0 1 + cos 𝑡 = 1 ∙ 0 2 = 0. 11
  • 12.
    EJEMPLO 1 Calcular lossiguientes límites: a) 𝑙𝑖𝑚 𝑥→0 𝑠𝑒𝑛 𝑘𝑥 𝑥 b) 𝑙𝑖𝑚 𝑥→𝑎 𝑠𝑒𝑛 𝑥 −𝑠𝑒𝑛 𝑎 𝑥 − 𝑎 SOLUCION: a) 𝑙𝑖𝑚 𝑥→0 𝑠𝑒𝑛 𝑘𝑥 𝑥 = 𝑙𝑖𝑚 𝑥→0 𝑘 𝑠𝑒𝑛 𝑘𝑥 𝑘𝑥 = 𝑘 𝑙𝑖𝑚 𝑥→0 𝑠𝑒𝑛 𝑘𝑥 𝑘𝑥 1 = 𝑘 1 = 𝑘 b) 𝑙𝑖𝑚 𝑥→𝑎 𝑠𝑒𝑛 𝑥 −𝑠𝑒𝑛 𝑎 𝑥 − 𝑎 = 𝑙𝑖𝑚 𝑢→0 𝑠𝑒𝑛 𝑢+𝑎 − 𝑠𝑒𝑛 𝑎 𝑢 = 𝑙𝑖𝑚 𝑢→0 𝑠𝑒𝑛 𝑢 cos 𝑎+ cos 𝑢 𝑠𝑒𝑛 𝑎 −𝑠𝑒𝑛 𝑎 𝑢 = cos 𝑎 𝑙𝑖𝑚 𝑢→0 𝑠𝑒𝑛 𝑢 𝑢 + 𝑠𝑒𝑛 𝑎 𝑙𝑖𝑚 𝑢→0 cos 𝑢 − 1 𝑢 = 𝑐𝑜𝑠 𝑎 1 + 𝑠𝑒𝑛 𝑎 0 = 𝑐𝑜𝑠 𝑎 . 12
  • 13.
    EJEMPLO 2 lim 𝑥→ 𝜋 4 𝑠𝑒𝑛(𝑥 − 𝜋 4 ) 1− 2 𝑐𝑜𝑠𝑥 = lim 𝑥− 𝜋 4 →0 𝑠𝑒𝑛(𝑥 − 𝜋 4 ) 1 − 2 cos(𝑥 − 𝜋 4 + 𝜋 4 ) = lim 𝑢→0 𝑠𝑒𝑛𝑢 1 − 𝑐𝑜𝑠𝑢 + 𝑠𝑒𝑛𝑢 = lim 𝑢→0 2𝑠𝑒𝑛 𝑢 2 𝑐𝑜𝑠 𝑢 2 1 − 𝑐𝑜𝑠2 𝑢 2 + 𝑠𝑒𝑛2 𝑢 2 + 2𝑠𝑒𝑛 𝑢 2 𝑐𝑜𝑠 𝑢 2 13 𝑢 = 𝑥 − 𝜋 4 = lim 𝑢→0 𝑠𝑒𝑛(𝑢) 1 − 2 cos(𝑢 + 𝜋 4 ) = lim 𝑢→0 𝑠𝑒𝑛(𝑢) 1 − 2 cos 𝑢 . 𝑐𝑜𝑠 𝜋 4 − 𝑠𝑒𝑛 𝑢 . 𝑠𝑒𝑛 𝜋 4 = lim 𝑢→0 2𝑠𝑒𝑛 𝑢 2 𝑐𝑜𝑠 𝑢 2 2𝑠𝑒𝑛2 𝑢 2 + 2𝑠𝑒𝑛 𝑢 2 𝑐𝑜𝑠 𝑢 2 = lim 𝑢→0 𝑐𝑜𝑠 𝑢 2 𝑠𝑒𝑛 𝑢 2 + 𝑐𝑜𝑠 𝑢 2 = 1 Calcule lim 𝑥→ 𝜋 4 𝑠𝑒𝑛(𝑥− 𝜋 4 ) 1− 2 𝑐𝑜𝑠𝑥 Solución 0 0
  • 14.
  • 15.
  • 16.
  • 17.
  • 18.
  • 19.
  • 20.
    El número 𝑒,llamado neperiano, se define como el límite de la sucesión 1 + 1 𝑛 𝑛 cuando 𝑛 crece indefinidamente, es decir 𝑒 = lim 𝑛→∞ 1 + 1 𝑛 𝑛 FUNCIÓN EXPONENCIAL NATURAL La función exponencial es la función exponencial de base 𝑒 y se define para todo 𝑥 como: 𝑒𝑥𝑝: ℝ → ℝ+ 𝑥 → 𝑒𝑥 Cuya regla de correspondencia es 𝑒𝑥𝑝 = 𝑥, 𝑦 ∈ Τ ℝ𝑥ℝ+ 𝑦 = 𝑒𝑥 Como se puede observar el 𝐷𝑜𝑚 𝑒𝑥𝑝 = ℝ 𝑦 𝑅𝑎𝑛 𝑒𝑥𝑝 = ℝ+ La función exponencial es inyectiva y creciente en todo su dominio. Además se cumple que: a) lim 𝑥→+∞ 𝑒𝑥 = +∞ 𝑦 b) lim 𝑥→−∞ 𝑒𝑥 = 0
  • 21.
    FUNCIÓN LOGARITMO NATURAL Esuna función logaritmo de base 𝑒, denotada por 𝐿𝑛 y se define para todo 𝑥 > 0 como : 𝑓: ℝ+ → Τ ℝ 𝑓 𝑥 = 𝐿𝑛 𝑥 La función logaritmo natural es inyectiva y creciente en todo su dominio y rango, además se cumple que: a) lim 𝑥→+∞ 𝐿𝑛𝑥 = +∞ 𝑏) lim 𝑥→0+ 𝐿𝑛𝑥 = −∞ Una consecuencia inmediata de la propiedad 𝑒𝑥 = 𝑦 ↔ 𝑙𝑛𝑦 = 𝑥 es lo siguiente: 𝐿𝑛 𝑒𝑥 = 𝑥, ∀𝑥 ∈ ℝ 𝑦 𝑒𝑙𝑛𝑥 = 𝑥, ∀𝑥 ∈ ℝ+, las gráficas de cada una de ellas son reflexiones una de la otra con respecto a la recta 𝑦 = 𝑥 Figura 1
  • 22.
    Ahora veamos quepasa con las funciones: 𝑓 𝑥 = 1 + 1 𝑥 𝑥 𝑦 𝑔 𝑥 = 1 + 𝑥 1 𝑥 con dominios en < −∞, −1 >∪< 0, +∞ > 𝑦 < −1,0 >∪< 0, +∞ > respectivamente. Gráficamente tenemos: Figura 2 Figura 3 En la figura 2 podemos observar que a mediada que 𝑥 crece sin límite a +∞ o decrece sin límite a −∞, la función tiende a la recta 𝑦 = 𝑒 , es decir: lim 𝑥→∞ 1 + 1 𝑥 𝑥 = 𝑒
  • 23.
    En la figura3 podemos observar que cuando 𝑥 tiende a cero los límites laterales son iguales, es decir: lim 𝑥→0 1 + 𝑥 1 𝑥 = 𝑒 Mostraremos que 𝒍𝒊𝒎 𝒙→+∞ 𝟏 + 𝟏 𝒙 𝒙 = 𝒆 , ∀𝒙 ∈< 𝟎, ∞ > En efecto: Tome un 𝑥 ∈< 0, ∞ >, entre dos números naturales consecutivos, esto es: Si 𝑛 ≤ 𝑥 < 𝑛 + 1 → 1 𝑛+1 < 1 𝑥 ≤ 1 𝑛 ↔ 1 + 1 𝑛+1 < 1 + 1 𝑥 ≤ 1 + 1 𝑛 , elevando cada expresión a una potencia de tal forma que no altere la desigualdad se tiene 1 + 1 𝑛+1 𝑛 < 1 + 1 𝑥 𝑥 ≤ 1 + 1 𝑛 𝑛+1 como 𝑥 ∈ [𝑛, 𝑛 + 1 >, cuando 𝑥 → +∞, entonces 𝑛 → +∞, luego por el teorema del Sándwich lim 𝑛→+∞ 1 + 1 𝑛 + 1 𝑛 = lim 𝑛→+∞ 1 + 1 𝑛 + 1 𝑛+1 1 + 1 𝑛 + 1 −1 = lim 𝑛→+∞ 1 + 1 𝑛 𝑛+1 = 𝑒 Luego lim 𝑥→+∞ 1 + 1 𝑥 𝑥 = 𝑒
  • 24.
    𝑙𝑖𝑚 𝑥→∞ 1 + 1 𝑥 𝑥 = 𝑒. b) 𝑙𝑖𝑚 𝑥→+∞ 𝑥+10 𝑥 𝑥+10 = 𝑙𝑖𝑚 𝑥→+∞ 1 + 10 𝑥 𝑥 1 + 10 𝑥 10 = 𝑒10 1 10 = 𝑒10. EJEMPLO 9: a) 𝑙𝑖𝑚 𝑥→+∞ 1 + 𝑘 𝑥 𝑥 = 𝑙𝑖𝑚 𝑥→+∞ 1 + 𝑘 𝑥 Τ 𝑥 𝑘 𝑘 = 𝑙𝑖𝑚 𝑥→+∞ 1 + 𝑘 𝑥 Τ 𝑥 𝑘 𝑘 = 𝑒𝑘 . c) 𝑙𝑖𝑚 𝑥→+∞ 𝑥+5 𝑥+2 𝑥 = 𝑙𝑖𝑚 𝑥→+∞ 1+ 5 𝑥 𝑥 1+ 2 𝑥 𝑥 = 𝑙𝑖𝑚 𝑥→+∞ 1+ 5 𝑥 𝑥 𝑙𝑖𝑚 𝑥→+∞ 1+ 2 𝑥 𝑥 = 𝑒5 𝑒2 = 𝑒3. TEOREMA 3 24
  • 25.
    𝑙𝑖𝑚 𝑥→0 1 + 𝑥1/𝑥 = 𝑒 . b) EJEMPLO 10: a) 𝑙𝑖𝑚 𝑥→0 1 + 𝑘𝑥 1/𝑥 = 𝑙𝑖𝑚 𝑥→0 1 + 𝑘𝑥 ൗ 1 𝑘𝑥 𝑘 = 𝑒𝑘. c) TEOREMA 4 25
  • 26.
    Si 𝑙𝑖𝑚 𝑥→𝑎 𝑓(𝑥) =1 y 𝑙𝑖𝑚 𝑥→𝑎 𝑔(𝑥) = ∞, entonces 𝑙𝑖𝑚 𝑥→𝑎 𝑓 𝑥 𝑔(𝑥) = 𝑙𝑖𝑚 𝑥→𝑎 [1 + (𝑓 𝑥 − 1)] 𝑓 𝑥 −1 𝑓(𝑥)−1 𝑔(𝑥) = 𝑒 𝑙𝑖𝑚 𝑥→𝑎 𝑔(𝑥) 𝑓 𝑥 −1 . TEOREMA 5 EJEMPLO 11: a) 𝑙𝑖𝑚 𝑥→+∞ 3𝑥+1 3𝑥−1 6𝑥 = 𝑒 𝑙𝑖𝑚 𝑥→+∞ 6𝑥 3𝑥+1 3𝑥−1 −1 = 𝑒 𝑙𝑖𝑚 𝑥→+∞ 6𝑥 2 3𝑥−1 = 𝑒4 . b) 𝑙𝑖𝑚 𝑥→0 𝑐𝑜𝑠𝑥 Τ 1 𝑥 = 𝑒 𝑙𝑖𝑚 𝑥→0 1 𝑥 𝑐𝑜𝑠𝑥−1 = 𝑒 𝑙𝑖𝑚 𝑥→0 𝑐𝑜𝑠𝑥−1 𝑥 = 𝑒0 = 1 . c) 𝑙𝑖𝑚 𝑥→1 2 𝑥+1 𝑥2+𝑥+1 𝑥2−𝑥 = 𝑒 𝑙𝑖𝑚 𝑥→1 𝑥2+𝑥+1 𝑥2−𝑥 2 𝑥+1 −1 = 𝑒 𝑙𝑖𝑚 𝑥→1 𝑥2+𝑥+1 𝑥2−𝑥 1−𝑥 𝑥+1 = 𝑒 𝑙𝑖𝑚 𝑥→1 𝑥2+𝑥+1 −𝑥(𝑥+1) = 𝑒− Τ 3 2 . d) 𝑙𝑖𝑚 𝑥→+∞ 𝑥2+3𝑥+1 𝑥2−5𝑥+1 𝑥 = 𝑒 𝑙𝑖𝑚 𝑥→+∞ 𝑥 𝑥2+3𝑥+1 𝑥2−5𝑥+1 −1 = 𝑒 𝑙𝑖𝑚 𝑥→+∞ 𝑥 8𝑥 𝑥2−5𝑥+1 = 𝑒8 . 26
  • 27.
    PROPIEDADES DE LOSLÍMITES EXPONENCIALES Y LOGARÍTMICOS 1) lim 𝑋→+∞ 1 + 𝑎 𝑥 𝑥 = 𝑒𝑎 2) lim 𝑥→0 1 + 𝑎𝑥 1 𝑥 = 𝑒𝑎 3) Si lim 𝑥→𝑎 𝑓 𝑥 = 0, con 𝑓 𝑥 ≠ 0, para 𝑥 ≠ 𝑎 → lim 𝑥→𝑎 1 + 𝑓(𝑥) 1 𝑓(𝑥) = 𝑒 4) Si 𝑎 > 0 𝑦 𝑎 ≠ 1 → lim 𝑥→0 𝑎𝑥−1 𝑥 = 𝐿𝑛(𝑎) 5) Si lim 𝑥→𝑎 𝑓 𝑥 = 𝐿, L > 0 → lim 𝑥→𝑎 [𝐿𝑛 𝑓 𝑥 = 𝐿𝑛 lim 𝑥→𝑎 𝑓 𝑥 = 𝐿𝑛(𝐿) 6)lim 𝑥→0 𝐿𝑛 1+𝑥 𝑥 = 1 LÍMITES DE LA FORMA lim 𝑥→𝑎 𝑓(𝑥)𝑔(𝑥) = 𝐿 Anteriormente hemos visto el caso 3, pero falta ver el caso 1 y caso 2 Caso 1 lim 𝑥→𝑎 𝑓 𝑥 = 𝐴 𝑦 lim 𝑥→𝑎 𝑔 𝑥 = 𝐵 → 𝐿 = 𝐴𝐵 Caso 2 lim 𝑥→𝑎 𝑓 𝑥 = 𝐴 ≠ 1 𝑦 lim 𝑥→𝑎 𝑔 𝑥 = ±∞ , el problema de hallar 𝐿, se resuelve directamente, pues al tener 𝐿 la forma indeterminada 1±∞,ocurre que: a) Si 𝐴 > 1 → 𝐿 = 𝐴+∞ = +∞ 𝑦 𝐿 = 𝐴−∞ = 0 b) Si 0 < 𝐴 < 1 → 𝐿 = 𝐴+∞ = 0 𝑦 𝐿 = 𝐴−∞ = 0
  • 28.
  • 29.
  • 30.
  • 31.
  • 32.
  • 33.
  • 34.
  • 35.
  • 36.
    EJERCICIOS 1)lim 𝑥→1 1+𝑥 2+𝑥 1− 𝑥 1−𝑥 2) lim 𝑛→∞ 𝑛+𝑥 𝑛−1 𝑛 3)lim 𝑥→1 1+ 𝑠𝑒𝑛(𝜋𝑥) cot(𝑥) 4)lim 𝑥→4 3𝑥−4−2𝑥−4 𝑥−4 5)lim 𝑥→𝑎 𝐿𝑛𝑥−𝐿𝑛𝑎 𝑥−𝑎 ; 𝑎 > 0 6)Demostrar que lim 𝑥→0 𝑥𝑠𝑒𝑛 1 𝑥 = 0 7) Demostrar que si lim 𝑥→𝑎 𝑓(𝑥) = 0 → lim 𝑥→𝑎 𝑓 𝑥 = 0 8)Si 1−cos 3𝑥 𝑥2 ≤ 𝑓 𝑥 ≤ 𝑡𝑎𝑛2 (3𝑥) 𝑥2 , hallar lim 𝑥→0 𝑓(𝑥) 9) Hallar lim 𝑥→0 𝑓(𝑥) , 𝑆𝑖 𝑓 𝑥 = 1−cos(3𝑥) 𝑥2 ; 𝑥 < 0 5; 𝑥 = 0 𝑠𝑒𝑛 10𝑥 −𝑡𝑔 𝑥 𝑠𝑒𝑛(2𝑥) ; 𝑥 > 0
  • 37.
    1. Venero A.(2010).Análisis Matemático I. (2da. edición). Perú, Ediciones Gemar 2. Pérez E.(2018). Matemática I-Modelamiento en el mundo real. Académica Española. 3. Villena M.(sf.).Cálculo Diferencial e Integral. 4. R. Figueroa (2011). Análisis matemático 1 (Cuarta edición). Ediciones RFG. 5. Máximo Mitac – Luis Toro. Tópicos de cálculo, volumen I. Referencias