Instituto Universitario de Tecnología
Antonio José de Sucre
Extensión Barquisimeto
Estudiantes de: Relaciones Industriales, Escuela 76
Yoselyn Del Carmen Freitez Silva
Cedula Identidad: V- 23.904.695
Asignatura: Matemática Financiera
Sección: S1 Intensivo 2017-2
Profesor.: Víctor Castillo
Octubre 2017
A = 2.007.551,178
DESCUENTO SIMPLE
1. Calcule el valor de los pagos y la tabla de amortización para saldar
una deuda de Bs. 6.800.000,00 contratada al 28% anual convertible
trimestralmente, si la deuda debe cancelarse en 1 año, haciendo
pagos trimestrales y el primero de ellos se realiza dentro del primer
trimestre.
DATOS:
7
FORMULA
SOLUCIÓN:
C .
A = (1 + i)n
– 1
i (1 + i)n
6.800.000,00
A = (1 + 0,07)4
– 1
0,07 (1 + 0,07)4
6.800.000,00
A = (1,07)4
– 1
0,07 (1,07)4
6.800.000,00
A = 0,31079601
0,09175572
A = 6.800.000,00
3,387211282
2.400.000,00
A = (1,013)12
– 1
0,013 (1,013)12
2.400.000,00
A = 0,167651776
0,015179473
A = 217.300,019
2. Una Casa de préstamos otorga a una persona natural un crédito para
viajar por Bs. 2.400.000,00 a pagar en 12 mensualidades vencidas,
con una tasa del 16% anual capitalizable mensualmente.
DATOS:
FORMULA
SOLUCIÓN:
Fecha Pago Intereses
sobre el
Saldo
Amortización Saldo
0 ----------- ------------ ---------- 6.800.000,00
1 2.007.551,178 476.000 1.531.551,178 5.268.448,822
2 2.007.551,178 368.791,4175 1.638.759,76 3.629.689,062
3 2.007.551,178 254.078,2343 1.753.472,944 1.876.216,118
4 2.007.551,178 131.335,1283 1.876.216,05 0.068
Totales 8.030.204,713 1.230.204,78 6.799.999,932 ------------
C .
A = (1 + i)n
– 1
i (1 + i)n
2.400.000,00
A = (1 + 0,013)12
– 1
0,013 (1 + 0,013)12
A = 2.400.000,00
11,04463745
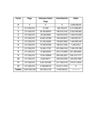
Fecha Pago Intereses Sobre
Pago
Amortización Saldo
0 0 0 0 2.400.000,00
1 217.300,019 31.200 186.100,019 2.213.899,981
2 217.300,019 28.780,69975 188.519,3192 2.025.380,662
3 217.300,019 26.329,9486 190.970,0704 1.834.410,592
4 217.300,019 23.847,33769 193.452,6813 1.640.957,911
5 217.300,019 21.332,45284 195.967,5662 1.444.990,345
6 217.300,019 18.784,87448 198.515,1445 1.246.475,2
7 217.300,019 16.204,17761 201.096,0124 1.045.379,188
8 217.300,019 13.589,92944 203.710,0896 841.669,0984
9 217.300,019 10.941,69828 206.358,3207 635.310,7777
10 217.300,019 8.259,04011 209.040,9789 426.269,7988
11 217.300,019 5.541,507385 211.758,5116 214.511.2872
12 217.300,019 2.788,646733 214.511,3723 0
Totales 2.607.600,238 207.600,3129 2.400.000,00 -------------

Ejercicio practico de amortizaciones

  • 1.
    Instituto Universitario deTecnología Antonio José de Sucre Extensión Barquisimeto Estudiantes de: Relaciones Industriales, Escuela 76 Yoselyn Del Carmen Freitez Silva Cedula Identidad: V- 23.904.695 Asignatura: Matemática Financiera Sección: S1 Intensivo 2017-2 Profesor.: Víctor Castillo Octubre 2017
  • 2.
    A = 2.007.551,178 DESCUENTOSIMPLE 1. Calcule el valor de los pagos y la tabla de amortización para saldar una deuda de Bs. 6.800.000,00 contratada al 28% anual convertible trimestralmente, si la deuda debe cancelarse en 1 año, haciendo pagos trimestrales y el primero de ellos se realiza dentro del primer trimestre. DATOS: 7 FORMULA SOLUCIÓN: C . A = (1 + i)n – 1 i (1 + i)n 6.800.000,00 A = (1 + 0,07)4 – 1 0,07 (1 + 0,07)4 6.800.000,00 A = (1,07)4 – 1 0,07 (1,07)4 6.800.000,00 A = 0,31079601 0,09175572 A = 6.800.000,00 3,387211282
  • 3.
    2.400.000,00 A = (1,013)12 –1 0,013 (1,013)12 2.400.000,00 A = 0,167651776 0,015179473 A = 217.300,019 2. Una Casa de préstamos otorga a una persona natural un crédito para viajar por Bs. 2.400.000,00 a pagar en 12 mensualidades vencidas, con una tasa del 16% anual capitalizable mensualmente. DATOS: FORMULA SOLUCIÓN: Fecha Pago Intereses sobre el Saldo Amortización Saldo 0 ----------- ------------ ---------- 6.800.000,00 1 2.007.551,178 476.000 1.531.551,178 5.268.448,822 2 2.007.551,178 368.791,4175 1.638.759,76 3.629.689,062 3 2.007.551,178 254.078,2343 1.753.472,944 1.876.216,118 4 2.007.551,178 131.335,1283 1.876.216,05 0.068 Totales 8.030.204,713 1.230.204,78 6.799.999,932 ------------ C . A = (1 + i)n – 1 i (1 + i)n 2.400.000,00 A = (1 + 0,013)12 – 1 0,013 (1 + 0,013)12 A = 2.400.000,00 11,04463745
  • 4.
    Fecha Pago InteresesSobre Pago Amortización Saldo 0 0 0 0 2.400.000,00 1 217.300,019 31.200 186.100,019 2.213.899,981 2 217.300,019 28.780,69975 188.519,3192 2.025.380,662 3 217.300,019 26.329,9486 190.970,0704 1.834.410,592 4 217.300,019 23.847,33769 193.452,6813 1.640.957,911 5 217.300,019 21.332,45284 195.967,5662 1.444.990,345 6 217.300,019 18.784,87448 198.515,1445 1.246.475,2 7 217.300,019 16.204,17761 201.096,0124 1.045.379,188 8 217.300,019 13.589,92944 203.710,0896 841.669,0984 9 217.300,019 10.941,69828 206.358,3207 635.310,7777 10 217.300,019 8.259,04011 209.040,9789 426.269,7988 11 217.300,019 5.541,507385 211.758,5116 214.511.2872 12 217.300,019 2.788,646733 214.511,3723 0 Totales 2.607.600,238 207.600,3129 2.400.000,00 -------------