ELECTRODINAMICA
• Es la parte de la física que se
  encarga del estudio de las cargas
  eléctricas en movimiento dentro de un
  conductor.
• La corriente eléctrica es un
  movimiento de las cargas negativas a
  través de un conductor
• Existen dos clases de corriente
  eléctrica:
• La corriente continua (CC)
• La corriente alterna (CA)
E



-   -       -   -
CORRIENTE CONTINUA
• Se origina cuando el campo eléctrico
  permanece constante lo que provoca que
  los electrones se muevan siempre en el
  mismo sentido, es decir, de negativo a
  positivo
CORRIENTE ALTERNA
• Se origina cuando el campo eléctrico
  cambia alternativamente de sentido por lo
  que los electrones oscilan a un lado y otro
  del conductor , así, en un instante dado el
  polo positivo cambia a negativo y
  viceversa
Intensidad de corriente
              eléctrica
 Es la cantidad de carga que
                                        q
   pasa por cada sección de
   un conductor en un            I=
   segundo
 I= Intensidad de la corriente eléctrica
                                        ten
               C/s=A (Ampere)
q= Carga eléctrica que pasa por cada sección
            de un conductor en C
 t= tiempo que tarda en pasar la carga q en
                 segundos
1.- Determinar la intensidad de la corriente
  eléctrica en un conductor cuando circulan
  86 C por una sección del mismo en una
  hora. Dé el resultado en A y mA
• I=0.0238A, 23.8mA
2.-La intensidad de la corriente eléctrica en
  un circuito es de 13 mA. ¿Cuánto tiempo
  se requiere para que circulen por el
  circuito 120 C. Exprese el resultado en
  horas.
• T=2.56 h
3.- ¿Cuántos electrones pasan cada segundo
  por una sección de un conductor donde la
  intensidad de la corriente es de 5A.
• q=31.2x10*18 electrones
4.- Calcular la intensidad de la corriente
  eléctrica en A y mA si por una sección de un
  conductor circulan 65 C en 30 minutos.
• I=0.036A=36mA
5.- Determinar la cantidad de electrones que
  pasan cada 10 seg. Por una sección de un
  conductor donde la intensidad de la corriente
  es de 20mA. q=1.248x10*18 electrones
6.- Calcular el tiempo
 requerido para que por una
 sección de un conductor
 circulen 5 coulombs siendo la
 intensidad de la corriente de
 5mA. t=1000seg.
FUERZA ELECTROMOTRIZ
La fuerza electromotriz (fem) mide la
  cantidad de energía que proporciona un
  elemento generador de corriente eléctrica
                    T
Donde:
                ε=
                    q
Є= fuerza electromotriz (fem) en volts
T = trabajo realizado para que la carga
  recorra todo el circuito en joules
q= carga que recorre el circuito en C
PILA

• Es un dispositivo que
  transforma la energía
  química en energía
  eléctrica
Constitución de una pila seca
BATERIA
• Es una agrupación de dos o más pilas
  unidas en serie o paralelo, muy usada en
  radios portátiles, lámparas de mano o
  rasuradoras eléctricas es la pila seca que
  produce una fem de 1.5 V entre sus
  terminales
RESISTENCIA ELÉCTRICA
•    Es la oposición que presenta un
     conductor al paso de la corriente o flujo
     de electrones
•    Existen varios factores que influyen en la
     resistencia eléctrica de un conductor:
a)   La naturaleza de un conductor
b)   La longitud de un conductor
c)   Su sección o área transversal
d)   La temperatura
• La resistencia que corresponde a
  cada material recibe el nombre de
  resistencia específica o
  resistividad.
• La conductividad se emplea para
  especificar la capacidad de un
  material para conducir la corriente
  y se define como la inversa de la
  resistividad:
• Conductividad = 1/resistividad
                   1
                σ=
                   ρ
La unidad empleada para medir a la
resistencia eléctrica es el ohm en
  honor al físico alemán George
  Simon Ohm (1787-1854) quién
en 1841 recibió la medalla Copley
  de la Sociedad Real de Londres,
  por la publicación de un trabajo
  sobre corrientes eléctricas.
El ohm cuyo símbolo es la letra
 griega omega Ω, se define como la
 resistencia opuesta a una
corriente continua de electrones por
 una columna de mercurio a 0ºC de
 1 mm² de sección transversal y
 106.3 cm de largo
            V
         Ω=
            A
RESISTIVIDAD DE ALGUNOS
          METALES
          Metal    ‫ ﻡ‬en Ω-m a 0ºC
Plata             1.06x10*-8
Cobre             1.72x10*-8
Aluminio          3.21*10-8
Platino           11.05x10*-8
mercurio          94.10x10*-8
• La resistencia de un alambre conductor a
  una determinada temperatura es
  directamente proporcional a su longitud e
  inversamente proporcional al área de su
  sección transversal:
                     L
                R =ρ
                     A
• Donde:
• R= resistencia del conductor en ohm
• ‫ =ﻡ‬resistividad del material de que esta
  hecho el conductor en Ω-m
• L= longitud del conductor en m
• A= área de la sección transversal del
  conductor en m²
Ejemplo:

• Determinar la resistencia eléctrica
  de un alambre de cobre de 2 km
  de longitud y 0.8 mm² de área a
  0ºC.
• Resp: 43 Ω
• Determinar la resistencia eléctrica de un
  alambre de platino de 2 millas de longitud
  y 0.00658 pulg² de área a 0ºC.
• Experimentalmente, se ha demostrado que
  cuando se desea calcular la resistencia R de
  un conductor a cierta temperatura t, si se
  conoce su resistencia a 0ºC se utiliza:

             Rt = Ro (1 + αt )
• Donde:
• Rt= resistencia del conductor en ohm a una
  cierta temperatura
• Ro= resistencia del conductor en ohm a 0ºC
•     = coeficiente de temperatura de la
  resistencia del material conductor
Coeficiente de temperatura para
      algunas substancias
   Sustancia        α   en 1/ºC
    Acero            3x10*-3
     Plata          3.7x10*-3
    Cobre           3.8x10*-3
    Platino         3.9 x10*-3
    Fierro          5.1 x10*-3
    Níquel          8.8 x10*-3
    Carbón          -5 x10*-4
Ejercicios
1.- La resistencia de un alambre de cobre es de
  15Ω a 0ºC, calcular su resistencia a 60ºC. Resp.
  18.42Ω
2.- Un termómetro de platino tiene una resistencia
  de 8Ω a 150ºC, calcular su resistencia a 400 ºC.
  Ro=5.04Ω, Rt=12.90 Ω
3.- Calcular la resistencia eléctrica a 0ºC de un
  alambre de platino de 0.5 m de longitud y 0.7
  mm² de área en su sección transversal. Resp.
  7.89 x 10*-3 Ω
4.- Determine la longitud que debe tener un
  alambre de cobre enrollado de 0.5 mm² de
  área en su sección transversal para que a
  0ºC su resistencia sea de 12 Ω. Resp.
  3.49x10²m
5.- Un alambre de Plata tiene una resistencia
  de 5Ω a 0ºC ¿Cuál será su resistencia a
  25ºC. Resp. 5.46Ω
6.- Determinar la resistencia de un
  termómetro de platino a 500ºC si a 50ºC su
  resistencia es de 3.8Ω. Resp. 4.54Ω y
  1.29Ω
LEY DE OHM
George Simon Ohm (1787-1854), físico y
 profesor alemán, utilizó instrumentos
 de medición bastante confiables en
 sus experimentos y observó que si
 aumenta la diferencia de potencial en
 un circuito, mayor es la intensidad de
 la corriente eléctrica, también
 comprobó que al aumentar la
 resistencia del conductor disminuye la
 intensidad de la corriente eléctrica.
Símbolos de circuito de laboratorio


                         A
                    +
       V      fem                       Reóstato
                    -




 Voltímetro   Fuente de Amperímetro   Reóstato
                FEM
Con base en sus observaciones, en 1827, Ohm
  enunció la Ley que lleva su nombre y dice:
“La intensidad de la corriente eléctrica que pasa por
  un conductor en un circuito es directamente
  proporcional a la diferencia de potencial aplicado
  a sus extremos e inversamente proporcional a la
  resistencia del conductor:
                                    V
                                 I=
Donde:                              R
I= intensidad de la corriente que circula por el
  conductor en A
R= resistencia del conductor en ohm
V= diferencia de potencial aplicado a los extremos
  del conductor en V
Ejemplo 2. Cuando una batería de 3 V se
        conecta a una luz, se observa una
    corriente de 6 mA. ¿Cuál es la resistencia
              del filamento de la luz?
         V  3.0 V
       R= =
         I 0.006 A
          R = 500 Ω
          R = 500 Ω
La unidad SI para la resistencia       +           -
                                            R
eléctrica es el ohm, Ω:
                                   I    6 mA
               1V                        V=3V
           1Ω=
               1A
                                       Fuente de FEM
EJERCICIOS
1.- Determinar la intensidad de la corriente
  eléctrica a través de una resistencia de
  30Ω al aplicarle una diferencia de
  potencial de 90 V. resp. 3A
2.- Un tostador eléctrico tiene una
  resistencia de 15Ω cuando está caliente.
  ¿Cuál será la intensidad de la corriente
  que fluirá al conectarlo a una línea de 120
  V? resp. 8A
V
I=
   R
3.- Un alambre conductor deja pasar 6 A al
  aplicarle una diferencia de potencial de
  110 V. ¿Cuál es el valor de su
  resistencia?
Resp. 18.33 Ω
4.- Calcular la diferencia de potencial
  aplicada a una resistencia de 10Ω, si por
  ella fluyen 5 A. resp. 50 V
5.- Calcular la intensidad de la corriente que
  pasará por una resistencia de 20 ohm al
  conectarse a un acumulador de 12 V. resp
  0.6 A
6.- Determinar la resistencia del filamento de una
  lámpara que deja pasar 0.6 A de intensidad de
  corriente al ser conectado a una diferencia de
  potencial de 120 V. resp. 200Ω
7.- Por una resistencia de 10 Ω circula una
  corriente de 2 A. ¿Cuál es el valor de la
  diferencia de potencial a que están conectados
  sus extremos?. Resp. 20 V
8.- Calcular la resistencia de un conductor que al
  conectarse a una diferencia de potencial de 12
  V deja pasar una corriente de 90 mA.
  Resp.133.33Ω
CIRCUITOS

           ELÉCTRICOS

Un circuito es un sistema eléctrico en el cual
  la corriente fluye por un conductor en una
trayectoria completa debido a una diferencia
 de potencial. Ejemplo: un foco conectado a
     una pila por medio de un conductor
Símbolos de circuito
            eléctrico
Con frecuencia, los circuitos eléctricos
contienen uno o más resistores agrupados y
unidos a una fuente de energía, como una batería.
   Los siguientes símbolos se usan con
                frecuencia:
   Tierra          Batería        Resistor
                   +    -

   + - + -
    - + - + -
• En cualquier circuito eléctrico por donde
  se desplacen los electrones a través de
  una trayectoria cerrada existen los
  siguientes elementos fundamentales:
               a) voltaje
                 b) corriente
                 c) resistencia
CIRCUITO EN SERIE
• Cuando las resistencias se conectan en
  serie, se unen por sus extremos una a
  continuación de la otra, de tal manera que
  la intensidad de corriente que pasa por
  una, es la misma en las demás, por lo que
  si se interrumpe una, lo mismo ocurrirá
  con las otras
CONEXIÓN EN SERIE
Re =R1 +R2 +............Rn
VT = 1 + 2 +
    V   V   .......Vn
V1 =IR1 ; V2 =IR2 ;........
      1.5 V   1.5V       1.5 V

                         A

              -      +
CIRCUITO EN PARALELO
• Cuando las resistencias se conectan en
  paralelo, sus terminales se unen en dos
  bornes que son los que se conectan a la
  fuente de energía o voltaje. En esta
  conexión, la corriente eléctrica se divide en
  cada uno de los ramales o derivaciones que
  tenga el circuito y dependerá del número de
  resistencias que se estén conectando en
  paralelo, de tal manera que, si una
  resistencia es desconectada las demás
  seguirán funcionando.
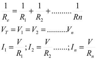
1  1  1               1
  = +    + ..........
Re R1 R2              Rn
VT = V1 = V2 = ..........Vn
    V       V               V
I1 = ; I 2 = .......; I n =
    R1      R2              Rn
Conexión mixta de resistencias
• Cuando se tiene una conexión mixta de
  resistencias, significa que están
  agrupadas tanto en serie como en
  paralelo.
• La forma de resolver es ir calculando
  parte por parte las resistencias
  equivalentes de cada conexión, ya sea en
  serie o en paralelo, de tal manera que se
  vaya simplificando el circuito hasta
  encontrar el valor de la resistencia
  equivalente.
R1        R2
              R3

     R4        R5
V


                        R8
    R6         R7
4Ω
        2Ω

   3Ω          1Ω
                    VT             3Ω             6Ω
                     12 V
        12 V




   VT          R1        R2                  R3


          2Ω        4Ω                  6Ω


12 V
1.- Calcular el valor de la resistencia que
    debe conectarse en paralelo con una
    resistencia de 10Ω, para que la
    resistencia equivalente del circuito se
    reduzca a 6 Ω.
 (15 Ω)
2.- Calcular la resistencia equivalente de
    cuatro resistencias cuyos valores son:
    R1=10 Ω, R2=20 Ω, R3=25 Ω, R4=50
    Ω, conectados:
a) En serie (105 Ω)
b) En paralelo (4.76 Ω)
3.- Dos focos uno de 70 Ω y otro de 80
   Ω se conectan en serie con una
   diferencia de potencial de 120V
a) Representar el circuito
b) Calcular la intensidad de la corriente
   que circula por el circuito (0.8 A)
c) La caída de voltaje o tensión en cada
   resistencia. (V1=56V, V2=64V)
4.- Una plancha eléctrica de 60 Ω se conecta
    en paralelo a un tostador eléctrico de 90 Ω,
    con un voltaje de 120V
a) Representar el circuito
b) Determinar el valor de la resistencia
    equivalente del circuito (35.71 Ω)
c) Calcular la intensidad de la corriente que
    circula por el circuito (3.3A)
d) ¡Qué valor tendrá la intensidad de la
    corriente que circula por cada resistencia
    (I 1=2A, I2=1.3A)
5.- Una serie formada por nueve focos de
    navidad con una resistencia de 20 Ω
    cada uno, se conecta a un voltaje de
    120V
a) ¿Cuál es el valor de la resistencia
    equivalente? (180 Ω)
b) ¿Cuál es la intensidad de la corriente
    que circula por cada resistencia (0.67
    A)
c) ¿Qué valor tendrá la caída de tensión
    en cada uno de los focos? (V1= 13.4V)
6.- Tres aparatos eléctricos de 8 Ω, 15 Ω
    y 20 Ω, se conectan en paralelo a una
    batería de 60V
a) Representar el circuito eléctrico
b) Calcular el valor de la resistencia
    equivalente. (4.15 Ω)
c) Determinar el valor de la corriente
    total suministrada por la batería
    (14.5A)
d) ¿Cuál es el valor de la corriente que
    circula por cada aparato? (I4=7.5A,
    I2=4A, I3=3A)
7.- Calcular la resistencia equivalente de tres
  resistencias cuyos valores son R1=2Ω, R2=5Ω,
  R3=7Ω, conectadas en serie y en paralelo (14
  y 1.19Ω)
8.- Una batería tiene una fuerza electromotriz
    (fem) de 20 V y una resistencia interna de 1.5
    Ω. Se conecta a dos resistencias en serie
    cuyos valores son 8Ω y 15Ω como se ve en la
    figura, calcular
a) La resistencia total del circuito (24.5 Ω)
b) La intensidad de la corriente que circula por el
    circuito (0.816 A)
c) La caída de tensión en cada una de las
    resistencias (6.6V,12.2V,1.2V)
d) El voltaje real que suministra la batería
    cuando está cerrado el circuito (18.8V)
R1=8Ω          R2=15Ω




   ε=20V   ri=1.5 Ω
En las siguientes figuras se muestran
   varios circuitos de conexiones mixtas
   de resistencias. Calcular para cada
   caso:
a) La resistencia equivalente del circuito
b) La intensidad de la corriente total que
   circula por el mismo
POTENCIA ELÉCTRICA
• Es la rapidez con que se realiza un
  trabajo, también se interpreta como la
  energía que consume una máquina o
  cualquier dispositivo eléctrico en un
  segundo
 P=T/t P=VI             T=Pt
 P=I²R P=V²/R
• Donde:
• T= trabajo realizado, igual a la energía
  eléctrica consumida en watt-seg o Kw-h
• P= potencia eléctrica de la máquina o
  dispositivo eléctrico en W
• t= tiempo que dura funcionando la
  máquina o el dispositivo eléctrico en seg.
Ejemplo . Una herramienta se clasifica en 9 A
  cuando se usa con un circuito que proporciona
  120 V. ¿Qué potencia se usa para operar esta
                  herramienta?
   P = VI = (120 V)(9 A)   P = 1080 W
                            P = 1080 W


Ejemplo . Un calentador de 500 W extrae
una corriente de 10 A. ¿Cuál es la
resistencia?
               P 500 W
  P = I R; R = 2 =
       2
                           2
                               R = 5.00 Ω
                                R = 5.00 Ω
               I    (10 A)
EJERCICIOS
A) ¿Qué potencia eléctrica desarrolla una
   parrilla que recibe una diferencia de
   potencial de 120V y por su resistencia circula
   una corriente de 6A? (P=720W)
B) Determinar la energía eléctrica consumida en
   kW-h, al estar encendida la parrilla 45
   minutos. (T=0.54 kW-h)
C) ¿Cuál es el costo del consumo de energía
   eléctrica de la parrilla si el precio de 1 kW-h
   es de $40.00? ($21.60)
2.- Obtener la potencia eléctrica de un
  tostador de pan cuya resistencia es de 40Ω
  y por ella circula una corriente de 3A.
(P=360W)


3.- Calcular el costo del consumo de energía
  eléctrica de un foco de 60W que dura
  encendido una hora con quince minutos. El
  costo de 1kW-h considérese de $40.00
  ($3.00)
4.- Un foco de 100W se conecta a una diferencia de
    potencial de 120V. Determinar
a) La resistencia del filamento (144 Ω )
b) La intensidad de la corriente eléctrica que
   circula por él (0.83A)
c) La energía que consume el foco durante una hora
   30 minutos en kW-h (0.15 kW-h)
d) El costo de la energía consumida, si un kW-
   h=$40.00 ($6.00)
5.- a) Calcular la potencia eléctrica de un foco que
  recibe una diferencia de potencial de 120V, por
  su filamento circula una corriente de 0.5A.
  (P=60W)
b) Determinar también el valor de la resistencia
  del foco. (R=240 Ω )
6.- a) Obtener la potencia eléctrica de una
  plancha cuya resistencia es de 500 Ω al
  conectarse a una diferencia de potencial de
  120V. (P=28.8W)
b) ¿Cuál es la intensidad de la corriente que
  circula por la resistencia? (I=0.24A)
7.- Calcular el costo del consumo de
  energía eléctrica originado por un foco
  de 75W que dura encendido 30 min.
Un kW-h=$40.00 ( $1.50)
8.- Determinar:
a) La potencia eléctrica desarrollada por un
calentador eléctrico que se conecta a un
diferencia de potencial de 120V y por su
resistencia circula una corriente de 8A. ( p=960 W)
b) ¿Qué energía eléctrica consume en kW-h al estar
    encendido 15 min. (0.24 kW-h)
c) ¿Cuál es el costo de la energía eléctrica consumida
    por el calentador al considerar a $40.00 el kW-h?
    ($9.60)
Efecto Joule
El calor que produce una corriente eléctrica al
  circular por un conductor es directamente
  proporcional al cuadrado de la intensidad de
  la corriente, a la resistencia y al tiempo que
  dura circulando la corriente.
                            Q= 0.24I² R t
• Donde:
• Q= cantidad de calor producida en
  cal
• I= intensidad de la corriente
  eléctrica en A
• R= resistencia en Ω
• t= tiempo en seg.
CALORÍA: es la cantidad de calor
  aplicado a un gramo de agua para
  elevar su temperatura 1ºC
• KILOCALORIA: Es un múltiplo que
  equivale a 1000 calorías, es una unidad
  que normalmente se utiliza para los
  alimentos
            • 1 Kcal = 1 000 cal
• BTU: es la cantidad de calor aplicada a
  una libra (454 g) de agua para que
  eleve su temperatura a 1ºF
      • 1 BTU = 252 cal = 0.252 Kcal
               • 1J= 0.24 cal
               • 1 cal = 4.2 J
1.- Por la resistencia de 30 Ω de una
 plancha eléctrica circula una corriente
 de 4A al estar conectada a una
 diferencia de potencial de 120 V. ¿Qué
 cantidad de calor produce en cinco
 minutos? (34560 cal)
2.- Por el embobinado de un cautín
 eléctrico circulan 5 A al estar
 conectado a una diferencia de potencial
 de 120V. ¿Qué calor genera en un
 minuto? (8640 cal)
3.- Un tostador eléctrico de pan tiene una
 resistencia de 20Ω y se conecta durante
 dos minutos a una diferencia de potencial de
 120 V. ¿Qué cantidad de calor produce?
 (20736 cal)
4.- Calcular la cantidad de calor que produce
 un radiador eléctrico de 15 Ω de resistencia
 al circular una corriente de 8A, si esta
 conectado a una diferencia de potencial de
 120V durante 30 minutos (414720cal)
5.- Una plancha eléctrica tiene una resistencia
  de 16 Ω y se conecta durante 20 minutos a
  una diferencia de potencial de 120V. ¿Qué
  cantidad de calor produce? (259200 cal)


6.- Un tostador eléctrico tiene una resistencia
  por la que circulan 10ª al estar conectado a
  una diferencia de potencial de 120V. ¿Qué
  cantidad de calor desarrolla en tres minutos?
  (51840 cal)
7.- Determinar el calor desarrollado en
  dos minutos por un cautín eléctrico cuya
  potencia es de 150 W. (4320 cal)
Leyes de Kirchhoff
• La suma de todas las intensidades de
  corriente que llegan a un nodo (unión o
  empalme) de un circuito es igual a la
  suma de todas las intensidades de
  corriente que salen de él
• NODO
Es un punto de una red eléctrica en el
  cuál convergen tres o más conductores
Primera Ley de Kirchhoff
• La suma algebraica de todas las
  intensidades de corriente en cualquier
  unión o nodo de un circuito es igual a
  cero
1.- Determinar el valor de la
  intensidad de la corriente que pasa
  por I2 en el siguiente circuito,
  aplicando la primera ley de
  Kirchhoff      R2

      I3=3A
        I2
                 R3
       I1=8A
           -     +
R1
2.- En el siguiente circuito eléctrico
  calcular el valor de las intensidades que
  se desconocen así como el sentido de
  dicha corriente. Aplique la primera ley
  de Kirchhoff         R2

                   I2=3A
    R1                                   R5
                   R3
             A                    B

                                                     C
                 I3=4A                I5=?
    I1=12A         R4


                              I6=8A      R6 R7
                  I4=?
                                              I7=?
                         R8

                                                 D
                     I8=?
3.- En el siguiente circuito eléctrico,
  determinar el valor de las intensidades que
  se desconocen, así como el sentido de dicha
  corriente, aplique la primera Ley de
  Kirchhoff         R2    R3     B     R6


       R1
                 I2=5A    I3=?                   I6   D
            A
                             I5=?          R5
                     R4
     I1=?                                        R7

                                       C
                 I4=8A                      I7=?
                                    I8=?
            -    +                              R8
Segunda Ley de Kirchhoff
“La suma de las fuerzas electromotrices
  en un circuito cerrado o malla es igual a
  la suma de todas las caídas de potencial
  en el circuito”    ∑‫∑=ع‬IR
           R1    R2                    R3



         V1=3V   V2=7V             V3=2V


                         12V


                   -           +
R1     R2

V1=2V   V2=4V


   V3=6V
 -     +
   6V
1.- En los siguientes circuitos eléctricos,
  calcular el valor de las intensidades que
  se desconocen así como el sentido de
  dicha corriente         R2
           R1
                         I2=?
          I1=6A
                     I3=2A I4=?
                      R3 R4
                                              R5
                                    I5=?
                        -       +
R1


      R2 I1=3A


      R3 I2=?


           I3=5A I4=9A   R4
-    R5

    I5=?
+
    R6


    I6=7
Calcular las caídas de tensión en los sig.
 circuitos aplicando la 2ª. Ley de Kirchhoff
           R1       R2       R3

        V1=15V    V2=20V V3=?



            -        +
                   60V
R2
R1             V2=?


 V1=20V              R3      R4
                   V3=10V   V4=?


     -         +
         60V
Capacitores
• Un capacitor o condensador eléctrico es
  un dispositivo empleado para almacenar
  cargas eléctricas.
• Un capacitor simple consta de dos
  láminas metálicas separadas por un
  aislante o dieléctrico que puede ser
  aire, vidrio, mica, aceite o papel
  encerado
Símbolos de circuito
            eléctrico
Los circuitos eléctricos con frecuencia contienen
dos o más capacitores agrupados juntos y unidos
a una fuente de energía, como una batería.
   Los siguientes símbolos se usan con
                frecuencia:
   tierra          batería         capacitor
                   +    -

                                    +    -
   + - + -
    - + - + -                       +    -
A       B
-   +
-   +
-   +
    +
-
• La capacidad o capacitancia de un capacitor
  se mide por la cantidad de carga eléctrica
  que puede almacenar.
• Para aumentar la capacitancia se pueden
  hacer las siguientes modificaciones:
• A) disminuir la distancia entre las placas
  metálicas de tal manera que al acercarse la
  placa positiva provocará que se atraigan más
  cargas negativas de la batería sobre la placa
  negativa y por su puesto más cargas positivas
  sobre la placa positiva.
b) Aumentar el área de las placas ya que
  mientras mayor superficie tengan, mayor
  será su capacidad de almacenamiento
c) Aumentar el voltaje de la batería
La cantidad de carga Q, que puede ser
  almacenada por un capacitor a un voltaje
  dado es proporcional a la capacitancia C y
  al voltaje V de donde: Q=CV
Cuando se desea calcular la capacitancia de
                                C=ε(A/d)
 un capacitor de placas paralelas se utiliza
 la siguiente expresión
Donde
C= capacitancia del capacitor, en faradios (F)
Q= carga almacenada por el capacitor en C
V= diferencia de potencial entre las placas del
  capacitor en V
ε=constante que depende del medio aislante y
  recibe el nombre de permitividad en F/m
A= área de una de las placas paralelas en m²
d= distancia entre las placas en m
• La constante Є llamada permeabilidad
  eléctrica es Eo=8.85x10*-12 F/m
• Por tanto: Є=Єo Єr
A la unidad de capacitancia se le ha dado el
  nombre de faradio (F) en honor de Michael
  Faraday (1791-1867), físico y químico inglés,
  pionero del estudio de la electricidad
Por definición: un capacitor tiene capacitancia
  de un faradio cuando al almacenar la carga
  de un coulomb su potencial aumenta a un
  volt
                    1F=1C/1V
Ejercicios
1.- Dos láminas cuadradas de estaño de 30
  cm de lado están adheridas a las caras
  opuestas de una lámina de mica de 0.1
  mm de espesor con una permitividad
  relativa Єr de 5.6. ¿Cuál es el valor de la
  capacitancia? R. 0.0446µF
2.- Las placas de un capacitor tienen una
  separación de 5 mm en el aire. Calcular
  su capacitancia si cada placa rectangular
  mide 15 cmX20cm (.0531nF)
Capacitores en serie
• Al igual que las resistencias eléctricas
  los capacitores se pueden conectar en
  serie y en paralelo como se muestra a
  continuación:




         SERIE

                                PARALELO
Circuitos en serie
Los capacitores u otros dispositivos conectados a
lo largo de una sola trayectoria se dice que están
conectados en serie. Vea el circuito siguiente:



                              Conexión en
     +    - +    - +   -
     +    - +    - +   -        serie de
     C1                C3    capacitores. “+
                C2
                               a – a + …”
           batería           La carga dentro de
                               los puntos es
                                  inducida.
Carga sobre capacitores en
            serie
Dado que la carga interna sólo es inducida,
la carga sobre cada capacitor es la misma.

        Q1     Q2         Q3
                                      La carga es la
    +        - +    - +        -   misma: conexión en
    +        - +    - +        -
                                         serie de
    C1             C2      C3          capacitores.
             Battery
                                   Q = Q1 = Q2 =Q3
Voltaje sobre capacitores en
               serie
Dado que la diferencia de potencial entre los
puntos A y B es independiente de la trayectoria, el
voltaje de la batería V debe ser igual a la suma de
los voltajes a través de cada capacitor.


        V1     V2         V3
                                         El voltaje total V de
    +        - +    - +        -        la conexión en serie
    +        - +    - +        -
                                          es la suma de los
   C1              C2          C3
                                                voltajes
 •A                                B
                                    •
             batería
                                         V = V 1 + V2 + V 3
Las ecuaciones empleadas son:
Conexión en serie       V=V1+V2+……Vn
Q= Q1=Q2=……Qn
                    1 1   1          1
                     =  +   + ......
                    C C1 C2          Cn

Conexión en paralelo     V=V1=V2=…..=Vn
Q=Q1+Q2+……….Qn
 C = C1 + C2 + .........Cn
C1           C2             C3

+           -   +          -   +           -

+           -   +          -   +           -

2 µF            4 µF                6 µF




                    24 V
EJERCICIO
1.- Tres capacitores de 2,7 y 12 pF se conectan
primero en serie y luego en paralelo a una batería de
   30V. a) Calcular la capacitancia equivalente en
   cada caso, b) la carga que se deposita en cada
   capacitor, c) la diferencia de potencial en cada
   capacitor (1.38pF, 21 pF, 41.4x10*-12C,20.7V,
   5.9V, 3.4V, 30V)
2.- Tres capacitores de 3, 6 y 8 pF se conectan
   primero en serie y luego en paralelo, con un voltaje
   de 120V. Calcular la capacitancia equivalente en
   cada caso.
 ( 17pF)
3.- De acuerdo con la conexión de
    capacitores mostrados en la figura,
    calcular:
a) La capacitancia equivalente de la
    combinación
b) La diferencia de potencial en cada
    capacitor
c) La carga que se deposita en cada
    capacitor
C1= 6µF

                   C2= 8µF


                    C3= 12µF



                      -        +

                     120 V
Ce= 26µF, Q=3.12x10*-3,Q1=720x1o*-6, Q2=960x10*-6,
Q3=1.44x10*-3, V=120V=V1=V2=V3
C1=2pF

                  C3= 5 pF
C2= 4 pF




   -          +

       60 V
C1=6pF       C2= 5pF




         -         +
             60V
C1= 4µF       C2=8µF     C3= 10µF




          -          +

              90 V
4.- Un capacitor cuyo valor es de 40µF se
    conecta a una diferencia de potencial de
    120 V. Expresar la carga almacenada en C y
    a cuántos electrones equivale. (29.9x10*15
    electrones)
5.- Una bateria de 90 Volts se conecta a un
    capacitor de 20 µF. Calcular:
a) ¿Cuál es el valor de la carga depositada en
    cada placa?
b) ¿A cuántos electrones equivale dicha carga?
Resp: a) Q=1.8x10*-3 C, b) Q=11.2x10*15 e-
24 V          C1      C2    C3



       2 µF    4 µF        6 µF
24 V          C1
                   C2    3 µF




       4 µF         C3   6 µF

Electricidad

  • 2.
    ELECTRODINAMICA • Es laparte de la física que se encarga del estudio de las cargas eléctricas en movimiento dentro de un conductor. • La corriente eléctrica es un movimiento de las cargas negativas a través de un conductor • Existen dos clases de corriente eléctrica: • La corriente continua (CC) • La corriente alterna (CA)
  • 3.
    E - - - -
  • 5.
    CORRIENTE CONTINUA • Seorigina cuando el campo eléctrico permanece constante lo que provoca que los electrones se muevan siempre en el mismo sentido, es decir, de negativo a positivo
  • 6.
    CORRIENTE ALTERNA • Seorigina cuando el campo eléctrico cambia alternativamente de sentido por lo que los electrones oscilan a un lado y otro del conductor , así, en un instante dado el polo positivo cambia a negativo y viceversa
  • 9.
    Intensidad de corriente eléctrica Es la cantidad de carga que q pasa por cada sección de un conductor en un I= segundo I= Intensidad de la corriente eléctrica ten C/s=A (Ampere) q= Carga eléctrica que pasa por cada sección de un conductor en C t= tiempo que tarda en pasar la carga q en segundos
  • 10.
    1.- Determinar laintensidad de la corriente eléctrica en un conductor cuando circulan 86 C por una sección del mismo en una hora. Dé el resultado en A y mA • I=0.0238A, 23.8mA 2.-La intensidad de la corriente eléctrica en un circuito es de 13 mA. ¿Cuánto tiempo se requiere para que circulen por el circuito 120 C. Exprese el resultado en horas. • T=2.56 h
  • 11.
    3.- ¿Cuántos electronespasan cada segundo por una sección de un conductor donde la intensidad de la corriente es de 5A. • q=31.2x10*18 electrones 4.- Calcular la intensidad de la corriente eléctrica en A y mA si por una sección de un conductor circulan 65 C en 30 minutos. • I=0.036A=36mA 5.- Determinar la cantidad de electrones que pasan cada 10 seg. Por una sección de un conductor donde la intensidad de la corriente es de 20mA. q=1.248x10*18 electrones
  • 12.
    6.- Calcular eltiempo requerido para que por una sección de un conductor circulen 5 coulombs siendo la intensidad de la corriente de 5mA. t=1000seg.
  • 13.
    FUERZA ELECTROMOTRIZ La fuerzaelectromotriz (fem) mide la cantidad de energía que proporciona un elemento generador de corriente eléctrica T Donde: ε= q Є= fuerza electromotriz (fem) en volts T = trabajo realizado para que la carga recorra todo el circuito en joules q= carga que recorre el circuito en C
  • 14.
    PILA • Es undispositivo que transforma la energía química en energía eléctrica
  • 16.
  • 17.
    BATERIA • Es unaagrupación de dos o más pilas unidas en serie o paralelo, muy usada en radios portátiles, lámparas de mano o rasuradoras eléctricas es la pila seca que produce una fem de 1.5 V entre sus terminales
  • 19.
    RESISTENCIA ELÉCTRICA • Es la oposición que presenta un conductor al paso de la corriente o flujo de electrones • Existen varios factores que influyen en la resistencia eléctrica de un conductor: a) La naturaleza de un conductor b) La longitud de un conductor c) Su sección o área transversal d) La temperatura
  • 20.
    • La resistenciaque corresponde a cada material recibe el nombre de resistencia específica o resistividad. • La conductividad se emplea para especificar la capacidad de un material para conducir la corriente y se define como la inversa de la resistividad: • Conductividad = 1/resistividad 1 σ= ρ
  • 21.
    La unidad empleadapara medir a la resistencia eléctrica es el ohm en honor al físico alemán George Simon Ohm (1787-1854) quién en 1841 recibió la medalla Copley de la Sociedad Real de Londres, por la publicación de un trabajo sobre corrientes eléctricas.
  • 22.
    El ohm cuyosímbolo es la letra griega omega Ω, se define como la resistencia opuesta a una corriente continua de electrones por una columna de mercurio a 0ºC de 1 mm² de sección transversal y 106.3 cm de largo V Ω= A
  • 23.
    RESISTIVIDAD DE ALGUNOS METALES Metal ‫ ﻡ‬en Ω-m a 0ºC Plata 1.06x10*-8 Cobre 1.72x10*-8 Aluminio 3.21*10-8 Platino 11.05x10*-8 mercurio 94.10x10*-8
  • 24.
    • La resistenciade un alambre conductor a una determinada temperatura es directamente proporcional a su longitud e inversamente proporcional al área de su sección transversal: L R =ρ A • Donde: • R= resistencia del conductor en ohm • ‫ =ﻡ‬resistividad del material de que esta hecho el conductor en Ω-m • L= longitud del conductor en m • A= área de la sección transversal del conductor en m²
  • 25.
    Ejemplo: • Determinar laresistencia eléctrica de un alambre de cobre de 2 km de longitud y 0.8 mm² de área a 0ºC. • Resp: 43 Ω
  • 26.
    • Determinar laresistencia eléctrica de un alambre de platino de 2 millas de longitud y 0.00658 pulg² de área a 0ºC.
  • 27.
    • Experimentalmente, seha demostrado que cuando se desea calcular la resistencia R de un conductor a cierta temperatura t, si se conoce su resistencia a 0ºC se utiliza: Rt = Ro (1 + αt ) • Donde: • Rt= resistencia del conductor en ohm a una cierta temperatura • Ro= resistencia del conductor en ohm a 0ºC • = coeficiente de temperatura de la resistencia del material conductor
  • 28.
    Coeficiente de temperaturapara algunas substancias Sustancia α en 1/ºC Acero 3x10*-3 Plata 3.7x10*-3 Cobre 3.8x10*-3 Platino 3.9 x10*-3 Fierro 5.1 x10*-3 Níquel 8.8 x10*-3 Carbón -5 x10*-4
  • 29.
    Ejercicios 1.- La resistenciade un alambre de cobre es de 15Ω a 0ºC, calcular su resistencia a 60ºC. Resp. 18.42Ω 2.- Un termómetro de platino tiene una resistencia de 8Ω a 150ºC, calcular su resistencia a 400 ºC. Ro=5.04Ω, Rt=12.90 Ω 3.- Calcular la resistencia eléctrica a 0ºC de un alambre de platino de 0.5 m de longitud y 0.7 mm² de área en su sección transversal. Resp. 7.89 x 10*-3 Ω
  • 30.
    4.- Determine lalongitud que debe tener un alambre de cobre enrollado de 0.5 mm² de área en su sección transversal para que a 0ºC su resistencia sea de 12 Ω. Resp. 3.49x10²m 5.- Un alambre de Plata tiene una resistencia de 5Ω a 0ºC ¿Cuál será su resistencia a 25ºC. Resp. 5.46Ω 6.- Determinar la resistencia de un termómetro de platino a 500ºC si a 50ºC su resistencia es de 3.8Ω. Resp. 4.54Ω y 1.29Ω
  • 31.
    LEY DE OHM GeorgeSimon Ohm (1787-1854), físico y profesor alemán, utilizó instrumentos de medición bastante confiables en sus experimentos y observó que si aumenta la diferencia de potencial en un circuito, mayor es la intensidad de la corriente eléctrica, también comprobó que al aumentar la resistencia del conductor disminuye la intensidad de la corriente eléctrica.
  • 32.
    Símbolos de circuitode laboratorio A + V fem Reóstato - Voltímetro Fuente de Amperímetro Reóstato FEM
  • 33.
    Con base ensus observaciones, en 1827, Ohm enunció la Ley que lleva su nombre y dice: “La intensidad de la corriente eléctrica que pasa por un conductor en un circuito es directamente proporcional a la diferencia de potencial aplicado a sus extremos e inversamente proporcional a la resistencia del conductor: V I= Donde: R I= intensidad de la corriente que circula por el conductor en A R= resistencia del conductor en ohm V= diferencia de potencial aplicado a los extremos del conductor en V
  • 34.
    Ejemplo 2. Cuandouna batería de 3 V se conecta a una luz, se observa una corriente de 6 mA. ¿Cuál es la resistencia del filamento de la luz? V 3.0 V R= = I 0.006 A R = 500 Ω R = 500 Ω La unidad SI para la resistencia + - R eléctrica es el ohm, Ω: I 6 mA 1V V=3V 1Ω= 1A Fuente de FEM
  • 35.
    EJERCICIOS 1.- Determinar laintensidad de la corriente eléctrica a través de una resistencia de 30Ω al aplicarle una diferencia de potencial de 90 V. resp. 3A 2.- Un tostador eléctrico tiene una resistencia de 15Ω cuando está caliente. ¿Cuál será la intensidad de la corriente que fluirá al conectarlo a una línea de 120 V? resp. 8A
  • 36.
  • 37.
    3.- Un alambreconductor deja pasar 6 A al aplicarle una diferencia de potencial de 110 V. ¿Cuál es el valor de su resistencia? Resp. 18.33 Ω 4.- Calcular la diferencia de potencial aplicada a una resistencia de 10Ω, si por ella fluyen 5 A. resp. 50 V 5.- Calcular la intensidad de la corriente que pasará por una resistencia de 20 ohm al conectarse a un acumulador de 12 V. resp 0.6 A
  • 38.
    6.- Determinar laresistencia del filamento de una lámpara que deja pasar 0.6 A de intensidad de corriente al ser conectado a una diferencia de potencial de 120 V. resp. 200Ω 7.- Por una resistencia de 10 Ω circula una corriente de 2 A. ¿Cuál es el valor de la diferencia de potencial a que están conectados sus extremos?. Resp. 20 V 8.- Calcular la resistencia de un conductor que al conectarse a una diferencia de potencial de 12 V deja pasar una corriente de 90 mA. Resp.133.33Ω
  • 39.
    CIRCUITOS ELÉCTRICOS Un circuito es un sistema eléctrico en el cual la corriente fluye por un conductor en una trayectoria completa debido a una diferencia de potencial. Ejemplo: un foco conectado a una pila por medio de un conductor
  • 40.
    Símbolos de circuito eléctrico Con frecuencia, los circuitos eléctricos contienen uno o más resistores agrupados y unidos a una fuente de energía, como una batería. Los siguientes símbolos se usan con frecuencia: Tierra Batería Resistor + - + - + - - + - + -
  • 42.
    • En cualquiercircuito eléctrico por donde se desplacen los electrones a través de una trayectoria cerrada existen los siguientes elementos fundamentales: a) voltaje b) corriente c) resistencia
  • 43.
    CIRCUITO EN SERIE •Cuando las resistencias se conectan en serie, se unen por sus extremos una a continuación de la otra, de tal manera que la intensidad de corriente que pasa por una, es la misma en las demás, por lo que si se interrumpe una, lo mismo ocurrirá con las otras
  • 44.
    CONEXIÓN EN SERIE Re=R1 +R2 +............Rn VT = 1 + 2 + V V .......Vn V1 =IR1 ; V2 =IR2 ;........ 1.5 V 1.5V 1.5 V A - +
  • 47.
    CIRCUITO EN PARALELO •Cuando las resistencias se conectan en paralelo, sus terminales se unen en dos bornes que son los que se conectan a la fuente de energía o voltaje. En esta conexión, la corriente eléctrica se divide en cada uno de los ramales o derivaciones que tenga el circuito y dependerá del número de resistencias que se estén conectando en paralelo, de tal manera que, si una resistencia es desconectada las demás seguirán funcionando.
  • 48.
    1 1 1 1 = + + .......... Re R1 R2 Rn VT = V1 = V2 = ..........Vn V V V I1 = ; I 2 = .......; I n = R1 R2 Rn
  • 50.
    Conexión mixta deresistencias • Cuando se tiene una conexión mixta de resistencias, significa que están agrupadas tanto en serie como en paralelo. • La forma de resolver es ir calculando parte por parte las resistencias equivalentes de cada conexión, ya sea en serie o en paralelo, de tal manera que se vaya simplificando el circuito hasta encontrar el valor de la resistencia equivalente.
  • 51.
    R1 R2 R3 R4 R5 V R8 R6 R7
  • 52.
    4Ω 2Ω 3Ω 1Ω VT 3Ω 6Ω 12 V 12 V VT R1 R2 R3 2Ω 4Ω 6Ω 12 V
  • 53.
    1.- Calcular elvalor de la resistencia que debe conectarse en paralelo con una resistencia de 10Ω, para que la resistencia equivalente del circuito se reduzca a 6 Ω. (15 Ω) 2.- Calcular la resistencia equivalente de cuatro resistencias cuyos valores son: R1=10 Ω, R2=20 Ω, R3=25 Ω, R4=50 Ω, conectados: a) En serie (105 Ω) b) En paralelo (4.76 Ω)
  • 54.
    3.- Dos focosuno de 70 Ω y otro de 80 Ω se conectan en serie con una diferencia de potencial de 120V a) Representar el circuito b) Calcular la intensidad de la corriente que circula por el circuito (0.8 A) c) La caída de voltaje o tensión en cada resistencia. (V1=56V, V2=64V)
  • 55.
    4.- Una planchaeléctrica de 60 Ω se conecta en paralelo a un tostador eléctrico de 90 Ω, con un voltaje de 120V a) Representar el circuito b) Determinar el valor de la resistencia equivalente del circuito (35.71 Ω) c) Calcular la intensidad de la corriente que circula por el circuito (3.3A) d) ¡Qué valor tendrá la intensidad de la corriente que circula por cada resistencia (I 1=2A, I2=1.3A)
  • 56.
    5.- Una serieformada por nueve focos de navidad con una resistencia de 20 Ω cada uno, se conecta a un voltaje de 120V a) ¿Cuál es el valor de la resistencia equivalente? (180 Ω) b) ¿Cuál es la intensidad de la corriente que circula por cada resistencia (0.67 A) c) ¿Qué valor tendrá la caída de tensión en cada uno de los focos? (V1= 13.4V)
  • 57.
    6.- Tres aparatoseléctricos de 8 Ω, 15 Ω y 20 Ω, se conectan en paralelo a una batería de 60V a) Representar el circuito eléctrico b) Calcular el valor de la resistencia equivalente. (4.15 Ω) c) Determinar el valor de la corriente total suministrada por la batería (14.5A) d) ¿Cuál es el valor de la corriente que circula por cada aparato? (I4=7.5A, I2=4A, I3=3A)
  • 58.
    7.- Calcular laresistencia equivalente de tres resistencias cuyos valores son R1=2Ω, R2=5Ω, R3=7Ω, conectadas en serie y en paralelo (14 y 1.19Ω)
  • 59.
    8.- Una bateríatiene una fuerza electromotriz (fem) de 20 V y una resistencia interna de 1.5 Ω. Se conecta a dos resistencias en serie cuyos valores son 8Ω y 15Ω como se ve en la figura, calcular a) La resistencia total del circuito (24.5 Ω) b) La intensidad de la corriente que circula por el circuito (0.816 A) c) La caída de tensión en cada una de las resistencias (6.6V,12.2V,1.2V) d) El voltaje real que suministra la batería cuando está cerrado el circuito (18.8V)
  • 60.
    R1=8Ω R2=15Ω ε=20V ri=1.5 Ω
  • 61.
    En las siguientesfiguras se muestran varios circuitos de conexiones mixtas de resistencias. Calcular para cada caso: a) La resistencia equivalente del circuito b) La intensidad de la corriente total que circula por el mismo
  • 62.
    POTENCIA ELÉCTRICA • Esla rapidez con que se realiza un trabajo, también se interpreta como la energía que consume una máquina o cualquier dispositivo eléctrico en un segundo P=T/t P=VI T=Pt P=I²R P=V²/R
  • 63.
    • Donde: • T=trabajo realizado, igual a la energía eléctrica consumida en watt-seg o Kw-h • P= potencia eléctrica de la máquina o dispositivo eléctrico en W • t= tiempo que dura funcionando la máquina o el dispositivo eléctrico en seg.
  • 64.
    Ejemplo . Unaherramienta se clasifica en 9 A cuando se usa con un circuito que proporciona 120 V. ¿Qué potencia se usa para operar esta herramienta? P = VI = (120 V)(9 A) P = 1080 W P = 1080 W Ejemplo . Un calentador de 500 W extrae una corriente de 10 A. ¿Cuál es la resistencia? P 500 W P = I R; R = 2 = 2 2 R = 5.00 Ω R = 5.00 Ω I (10 A)
  • 65.
    EJERCICIOS A) ¿Qué potenciaeléctrica desarrolla una parrilla que recibe una diferencia de potencial de 120V y por su resistencia circula una corriente de 6A? (P=720W) B) Determinar la energía eléctrica consumida en kW-h, al estar encendida la parrilla 45 minutos. (T=0.54 kW-h) C) ¿Cuál es el costo del consumo de energía eléctrica de la parrilla si el precio de 1 kW-h es de $40.00? ($21.60)
  • 66.
    2.- Obtener lapotencia eléctrica de un tostador de pan cuya resistencia es de 40Ω y por ella circula una corriente de 3A. (P=360W) 3.- Calcular el costo del consumo de energía eléctrica de un foco de 60W que dura encendido una hora con quince minutos. El costo de 1kW-h considérese de $40.00 ($3.00)
  • 67.
    4.- Un focode 100W se conecta a una diferencia de potencial de 120V. Determinar a) La resistencia del filamento (144 Ω ) b) La intensidad de la corriente eléctrica que circula por él (0.83A) c) La energía que consume el foco durante una hora 30 minutos en kW-h (0.15 kW-h) d) El costo de la energía consumida, si un kW- h=$40.00 ($6.00)
  • 69.
    5.- a) Calcularla potencia eléctrica de un foco que recibe una diferencia de potencial de 120V, por su filamento circula una corriente de 0.5A. (P=60W) b) Determinar también el valor de la resistencia del foco. (R=240 Ω ) 6.- a) Obtener la potencia eléctrica de una plancha cuya resistencia es de 500 Ω al conectarse a una diferencia de potencial de 120V. (P=28.8W) b) ¿Cuál es la intensidad de la corriente que circula por la resistencia? (I=0.24A)
  • 70.
    7.- Calcular elcosto del consumo de energía eléctrica originado por un foco de 75W que dura encendido 30 min. Un kW-h=$40.00 ( $1.50)
  • 71.
    8.- Determinar: a) Lapotencia eléctrica desarrollada por un calentador eléctrico que se conecta a un diferencia de potencial de 120V y por su resistencia circula una corriente de 8A. ( p=960 W) b) ¿Qué energía eléctrica consume en kW-h al estar encendido 15 min. (0.24 kW-h) c) ¿Cuál es el costo de la energía eléctrica consumida por el calentador al considerar a $40.00 el kW-h? ($9.60)
  • 72.
    Efecto Joule El calorque produce una corriente eléctrica al circular por un conductor es directamente proporcional al cuadrado de la intensidad de la corriente, a la resistencia y al tiempo que dura circulando la corriente. Q= 0.24I² R t
  • 74.
    • Donde: • Q=cantidad de calor producida en cal • I= intensidad de la corriente eléctrica en A • R= resistencia en Ω • t= tiempo en seg. CALORÍA: es la cantidad de calor aplicado a un gramo de agua para elevar su temperatura 1ºC
  • 75.
    • KILOCALORIA: Esun múltiplo que equivale a 1000 calorías, es una unidad que normalmente se utiliza para los alimentos • 1 Kcal = 1 000 cal • BTU: es la cantidad de calor aplicada a una libra (454 g) de agua para que eleve su temperatura a 1ºF • 1 BTU = 252 cal = 0.252 Kcal • 1J= 0.24 cal • 1 cal = 4.2 J
  • 76.
    1.- Por laresistencia de 30 Ω de una plancha eléctrica circula una corriente de 4A al estar conectada a una diferencia de potencial de 120 V. ¿Qué cantidad de calor produce en cinco minutos? (34560 cal) 2.- Por el embobinado de un cautín eléctrico circulan 5 A al estar conectado a una diferencia de potencial de 120V. ¿Qué calor genera en un minuto? (8640 cal)
  • 77.
    3.- Un tostadoreléctrico de pan tiene una resistencia de 20Ω y se conecta durante dos minutos a una diferencia de potencial de 120 V. ¿Qué cantidad de calor produce? (20736 cal) 4.- Calcular la cantidad de calor que produce un radiador eléctrico de 15 Ω de resistencia al circular una corriente de 8A, si esta conectado a una diferencia de potencial de 120V durante 30 minutos (414720cal)
  • 78.
    5.- Una planchaeléctrica tiene una resistencia de 16 Ω y se conecta durante 20 minutos a una diferencia de potencial de 120V. ¿Qué cantidad de calor produce? (259200 cal) 6.- Un tostador eléctrico tiene una resistencia por la que circulan 10ª al estar conectado a una diferencia de potencial de 120V. ¿Qué cantidad de calor desarrolla en tres minutos? (51840 cal)
  • 79.
    7.- Determinar elcalor desarrollado en dos minutos por un cautín eléctrico cuya potencia es de 150 W. (4320 cal)
  • 80.
    Leyes de Kirchhoff •La suma de todas las intensidades de corriente que llegan a un nodo (unión o empalme) de un circuito es igual a la suma de todas las intensidades de corriente que salen de él • NODO Es un punto de una red eléctrica en el cuál convergen tres o más conductores
  • 81.
    Primera Ley deKirchhoff • La suma algebraica de todas las intensidades de corriente en cualquier unión o nodo de un circuito es igual a cero
  • 82.
    1.- Determinar elvalor de la intensidad de la corriente que pasa por I2 en el siguiente circuito, aplicando la primera ley de Kirchhoff R2 I3=3A I2 R3 I1=8A - + R1
  • 83.
    2.- En elsiguiente circuito eléctrico calcular el valor de las intensidades que se desconocen así como el sentido de dicha corriente. Aplique la primera ley de Kirchhoff R2 I2=3A R1 R5 R3 A B C I3=4A I5=? I1=12A R4 I6=8A R6 R7 I4=? I7=? R8 D I8=?
  • 84.
    3.- En elsiguiente circuito eléctrico, determinar el valor de las intensidades que se desconocen, así como el sentido de dicha corriente, aplique la primera Ley de Kirchhoff R2 R3 B R6 R1 I2=5A I3=? I6 D A I5=? R5 R4 I1=? R7 C I4=8A I7=? I8=? - + R8
  • 85.
    Segunda Ley deKirchhoff “La suma de las fuerzas electromotrices en un circuito cerrado o malla es igual a la suma de todas las caídas de potencial en el circuito” ∑‫∑=ع‬IR R1 R2 R3 V1=3V V2=7V V3=2V 12V - +
  • 86.
    R1 R2 V1=2V V2=4V V3=6V - + 6V
  • 87.
    1.- En lossiguientes circuitos eléctricos, calcular el valor de las intensidades que se desconocen así como el sentido de dicha corriente R2 R1 I2=? I1=6A I3=2A I4=? R3 R4 R5 I5=? - +
  • 88.
    R1 R2 I1=3A R3 I2=? I3=5A I4=9A R4 - R5 I5=? + R6 I6=7
  • 89.
    Calcular las caídasde tensión en los sig. circuitos aplicando la 2ª. Ley de Kirchhoff R1 R2 R3 V1=15V V2=20V V3=? - + 60V
  • 90.
    R2 R1 V2=? V1=20V R3 R4 V3=10V V4=? - + 60V
  • 91.
    Capacitores • Un capacitoro condensador eléctrico es un dispositivo empleado para almacenar cargas eléctricas. • Un capacitor simple consta de dos láminas metálicas separadas por un aislante o dieléctrico que puede ser aire, vidrio, mica, aceite o papel encerado
  • 92.
    Símbolos de circuito eléctrico Los circuitos eléctricos con frecuencia contienen dos o más capacitores agrupados juntos y unidos a una fuente de energía, como una batería. Los siguientes símbolos se usan con frecuencia: tierra batería capacitor + - + - + - + - - + - + - + -
  • 93.
    A B - + - + - + + -
  • 96.
    • La capacidado capacitancia de un capacitor se mide por la cantidad de carga eléctrica que puede almacenar. • Para aumentar la capacitancia se pueden hacer las siguientes modificaciones: • A) disminuir la distancia entre las placas metálicas de tal manera que al acercarse la placa positiva provocará que se atraigan más cargas negativas de la batería sobre la placa negativa y por su puesto más cargas positivas sobre la placa positiva.
  • 97.
    b) Aumentar elárea de las placas ya que mientras mayor superficie tengan, mayor será su capacidad de almacenamiento c) Aumentar el voltaje de la batería La cantidad de carga Q, que puede ser almacenada por un capacitor a un voltaje dado es proporcional a la capacitancia C y al voltaje V de donde: Q=CV Cuando se desea calcular la capacitancia de C=ε(A/d) un capacitor de placas paralelas se utiliza la siguiente expresión
  • 98.
    Donde C= capacitancia delcapacitor, en faradios (F) Q= carga almacenada por el capacitor en C V= diferencia de potencial entre las placas del capacitor en V ε=constante que depende del medio aislante y recibe el nombre de permitividad en F/m A= área de una de las placas paralelas en m² d= distancia entre las placas en m • La constante Є llamada permeabilidad eléctrica es Eo=8.85x10*-12 F/m • Por tanto: Є=Єo Єr
  • 99.
    A la unidadde capacitancia se le ha dado el nombre de faradio (F) en honor de Michael Faraday (1791-1867), físico y químico inglés, pionero del estudio de la electricidad Por definición: un capacitor tiene capacitancia de un faradio cuando al almacenar la carga de un coulomb su potencial aumenta a un volt 1F=1C/1V
  • 100.
    Ejercicios 1.- Dos láminascuadradas de estaño de 30 cm de lado están adheridas a las caras opuestas de una lámina de mica de 0.1 mm de espesor con una permitividad relativa Єr de 5.6. ¿Cuál es el valor de la capacitancia? R. 0.0446µF
  • 101.
    2.- Las placasde un capacitor tienen una separación de 5 mm en el aire. Calcular su capacitancia si cada placa rectangular mide 15 cmX20cm (.0531nF)
  • 102.
    Capacitores en serie •Al igual que las resistencias eléctricas los capacitores se pueden conectar en serie y en paralelo como se muestra a continuación: SERIE PARALELO
  • 103.
    Circuitos en serie Loscapacitores u otros dispositivos conectados a lo largo de una sola trayectoria se dice que están conectados en serie. Vea el circuito siguiente: Conexión en + - + - + - + - + - + - serie de C1 C3 capacitores. “+ C2 a – a + …” batería La carga dentro de los puntos es inducida.
  • 104.
    Carga sobre capacitoresen serie Dado que la carga interna sólo es inducida, la carga sobre cada capacitor es la misma. Q1 Q2 Q3 La carga es la + - + - + - misma: conexión en + - + - + - serie de C1 C2 C3 capacitores. Battery Q = Q1 = Q2 =Q3
  • 105.
    Voltaje sobre capacitoresen serie Dado que la diferencia de potencial entre los puntos A y B es independiente de la trayectoria, el voltaje de la batería V debe ser igual a la suma de los voltajes a través de cada capacitor. V1 V2 V3 El voltaje total V de + - + - + - la conexión en serie + - + - + - es la suma de los C1 C2 C3 voltajes •A B • batería V = V 1 + V2 + V 3
  • 106.
    Las ecuaciones empleadasson: Conexión en serie V=V1+V2+……Vn Q= Q1=Q2=……Qn 1 1 1 1 = + + ...... C C1 C2 Cn Conexión en paralelo V=V1=V2=…..=Vn Q=Q1+Q2+……….Qn C = C1 + C2 + .........Cn
  • 107.
    C1 C2 C3 + - + - + - + - + - + - 2 µF 4 µF 6 µF 24 V
  • 108.
    EJERCICIO 1.- Tres capacitoresde 2,7 y 12 pF se conectan primero en serie y luego en paralelo a una batería de 30V. a) Calcular la capacitancia equivalente en cada caso, b) la carga que se deposita en cada capacitor, c) la diferencia de potencial en cada capacitor (1.38pF, 21 pF, 41.4x10*-12C,20.7V, 5.9V, 3.4V, 30V) 2.- Tres capacitores de 3, 6 y 8 pF se conectan primero en serie y luego en paralelo, con un voltaje de 120V. Calcular la capacitancia equivalente en cada caso. ( 17pF)
  • 109.
    3.- De acuerdocon la conexión de capacitores mostrados en la figura, calcular: a) La capacitancia equivalente de la combinación b) La diferencia de potencial en cada capacitor c) La carga que se deposita en cada capacitor
  • 110.
    C1= 6µF C2= 8µF C3= 12µF - + 120 V Ce= 26µF, Q=3.12x10*-3,Q1=720x1o*-6, Q2=960x10*-6, Q3=1.44x10*-3, V=120V=V1=V2=V3
  • 111.
    C1=2pF C3= 5 pF C2= 4 pF - + 60 V
  • 112.
    C1=6pF C2= 5pF - + 60V
  • 113.
    C1= 4µF C2=8µF C3= 10µF - + 90 V
  • 114.
    4.- Un capacitorcuyo valor es de 40µF se conecta a una diferencia de potencial de 120 V. Expresar la carga almacenada en C y a cuántos electrones equivale. (29.9x10*15 electrones) 5.- Una bateria de 90 Volts se conecta a un capacitor de 20 µF. Calcular: a) ¿Cuál es el valor de la carga depositada en cada placa? b) ¿A cuántos electrones equivale dicha carga? Resp: a) Q=1.8x10*-3 C, b) Q=11.2x10*15 e-
  • 115.
    24 V C1 C2 C3 2 µF 4 µF 6 µF
  • 116.
    24 V C1 C2 3 µF 4 µF C3 6 µF