FUERZAS Y EQUILIBRIO DE UNA PARTICULA Sistema de fuerzas en Equilibrio en el plano y en el espacio Biliografia Mecánica vectorial para ingenieros, Estática, décima edición, Russel C. Hibbeler, editorial pearson-prentice hall Mecánica vectorial para ingenieros, Estática, séptima edición, Beer - Johnston, editorial Mgraw Hill Paginas de internet
OBJETIVOS Entender  primera Ley del movimiento de Newton Identificar la fuerzas externas que actuan sobre una particula. De tal manera que se realice un diagrama de cuerpo  adecuado Diferenciar el concepto entre particula, y cuerpo rigido Aplicar la primera ley del movimiento de Newton para determinar  las magnitudes de las fuerzas que actuan sobre una particula en reposo
FUERZA:  Es un empujón o jalón de un objeto que es el resultado de la interacción de un  objeto con otro objeto. Siempre que hay una interacción entre dos objetos, hay una fuerza en cada uno de los objetos. Cuando la interacción cesa, los dos objetos ya no experimentan la fuerza. Las fuerzas sólo existen como resultado de una interacción.
TERMINOLOGIA *LINEA DE ACCION: Cuando una fuerza se representa mediante un vector, la línea recta colineal al vector se denomina línea de acción de la fuerza    Las unidades de fuerza son:  F
FUERZAS EXTERNAS: Cuando  un cuerpo ejerce fuerza sobre  sobre otro cuerpo FUERZAS INTERNAS: Cuando  una parte de un objeto esta sometida a una fuerza por otra parte del mismo cuerpo.  Como estas fuerzas hacen parte del mismo cuerpo nunca se dibujan en un D.C.L
*SISTEMAS DE FUERZAS:  Un sistema de fuerza es simplemente un conjunto particular de fuerzas. El sistema de fuerzas pueden ser coplanar o tridimensional FUERZAS  CONCURRENTES   Cuando  TODAS   las fuerzas que actúan sobre un mismo cuerpo  PASAN POR UN MISMO PUNTO , se dice que estas fuerzas son concurrentes. (concurren a un mismo punto ).
FUERZAS NO CONCURRENTES
TIPOS DE FUERZAS CONTACTO A DISTANCIA APLICADA FRICCION NORMAL ELASTICA TENSION RESISTENCA DEL AIRE GRAVITACIONAL ELECTRICA ELECTROMAGNETICA
EQUILIBRIO DE UN PARTÍCULA Primera ley de Newton:   “ Si la fuerza neta actuando sobre un cuerpo es cero, su movimiento no cambia:  Si el cuerpo se encuentra originalmente en reposo permanecerá en reposo o si se encuentra en movimiento con velocidad constante continuará así.” (fuerza neta sobre un cuerpo)
∑   F = 0  condición de equilibrio para un sistema de  Fuerzas
EJEMPLOS DE FUERZAS EN EQUILIBRIO
 
Principio de acción y reacción:   El principio dice que para toda acción hay una reacción de igual magnitud pero de sentido opuesto. La clave para identificar las fuerzas que actúan en un cuerpo está regida por este principio, el cual lo debemos tener presente en todo diagrama de cuerpo libre que hagamos.
DIAGRAMA DE CUERPO LIBRE Un diagrama de cuerpo libre es un dibujo donde se muestra el cuerpo en estudio con todas las fuerzas que estén actuando sobre él.
EQUILIBRIO EN DOS DIMENSIONES ∑   F x  = 0  Condición de equilibrio para el eje horizontal. Condición de equilibrio para un sistema de fuerzas ∑   F y  = 0  Condición de equilibrio para el eje vertical.
EQUILIBRIO EN TRES  DIMENSIONES ∑   F x  = 0  Condición de equilibrio para el eje X Condición de equilibrio para un sistema de fuerzas ∑   F y  = 0  Condición de equilibrio para el eje Y ∑   F Z  = 0  Condición de equilibrio para el eje Z
PASOS PARA RESOLVER EJERCICIOS: 1.- El primer paso consiste en dibujar un diagrama de cuerpo libre, este diagrama muestra la partícula y  todas las fuerzas que actúan sobre la misma. 2.-Desconponer cada una de las fuerzas en sus componente rectangulares.  3.-Hacer igual a cero a la resultante o suma de las fuerzas que actúan sobre la partícula. Plano:  Espacio:
EJERCICIOS RESUELTOS Dos cables se amarran juntos en C y se cargan como se muestra en la figura. Determine la tensión en : a) en cable AC y b) el cable BC.
RESOLUCION: DCL 600 (1) (2)
SUSTITUYENDO (2) EN (1):
Los tirantes de cable  AB  y  AD  sostienen al poste  AC . Se sabe que la tensión es de 500 N en  AB  y 160 N en  AD , ahora determine gráficamente la magnitud y la dirección de la resultante de las fuerzas ejercidas por los tirantes en  A  usando  a)  la ley del paralelogramo y  b)  la regla del triángulo.
Calculamos: α  =  51.3 ° ,  β  =  59 ° Calculamos: R  =   575 N,  α  =   67 °
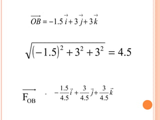
Determine la magnitud y la dirección de la fuerza P requerida para mantener el sistema de fuerzas concurrentes en equilibrio. 60º 120º 45º F 1  = 2 kN F 3  = 0.5 kN F 2  = 2 kN P z y x
=
= U OB  x F 2  =  =  kN =  kN
=  =
=  =  kN
    Dirección =
Un recipiente esta sostenido por tres cables que se atan al techo como se muestra. Determínese el peso W del recipiente sabiendo que la tensión en el cable AD es 4.3 kN
A(0,0,0)  B(-450,600,0)  C(0,600,-320)  D(500,600,360)
 
METODO DE NEWTON
 
 
 
 
 
 
 
 
La lámpara de 10 lb esta suspendida de dos resortes, cada uno con longitud no alargada de 4 pies y rigidez k = 5 lb/pie. Determine el ángulo    por equilibrio
Un automóvil va ser remolcado usando el arreglo de cuerdas que se muestra. La fuerza de remolque requerida es de 600 lb. Determine la longitud l mínima de cuerda AB para que la tensión en las cuerda AB o AC no exceda de 750 lb. Sugerencia: Use la condición de equilibrio en el punto A para determinar el ángulo    requerido para la conexión, luego determine l usando trigonometría aplicada al triángulo ABC
EJERCICIOS PARA DESARROLLAR EN CLASE
 
 
 

Fuerzas equilibrio particula

  • 1.
    FUERZAS Y EQUILIBRIODE UNA PARTICULA Sistema de fuerzas en Equilibrio en el plano y en el espacio Biliografia Mecánica vectorial para ingenieros, Estática, décima edición, Russel C. Hibbeler, editorial pearson-prentice hall Mecánica vectorial para ingenieros, Estática, séptima edición, Beer - Johnston, editorial Mgraw Hill Paginas de internet
  • 2.
    OBJETIVOS Entender primera Ley del movimiento de Newton Identificar la fuerzas externas que actuan sobre una particula. De tal manera que se realice un diagrama de cuerpo adecuado Diferenciar el concepto entre particula, y cuerpo rigido Aplicar la primera ley del movimiento de Newton para determinar las magnitudes de las fuerzas que actuan sobre una particula en reposo
  • 3.
    FUERZA: Esun empujón o jalón de un objeto que es el resultado de la interacción de un objeto con otro objeto. Siempre que hay una interacción entre dos objetos, hay una fuerza en cada uno de los objetos. Cuando la interacción cesa, los dos objetos ya no experimentan la fuerza. Las fuerzas sólo existen como resultado de una interacción.
  • 4.
    TERMINOLOGIA *LINEA DEACCION: Cuando una fuerza se representa mediante un vector, la línea recta colineal al vector se denomina línea de acción de la fuerza   Las unidades de fuerza son: F
  • 5.
    FUERZAS EXTERNAS: Cuando un cuerpo ejerce fuerza sobre sobre otro cuerpo FUERZAS INTERNAS: Cuando una parte de un objeto esta sometida a una fuerza por otra parte del mismo cuerpo. Como estas fuerzas hacen parte del mismo cuerpo nunca se dibujan en un D.C.L
  • 6.
    *SISTEMAS DE FUERZAS: Un sistema de fuerza es simplemente un conjunto particular de fuerzas. El sistema de fuerzas pueden ser coplanar o tridimensional FUERZAS CONCURRENTES Cuando TODAS las fuerzas que actúan sobre un mismo cuerpo PASAN POR UN MISMO PUNTO , se dice que estas fuerzas son concurrentes. (concurren a un mismo punto ).
  • 7.
  • 8.
    TIPOS DE FUERZASCONTACTO A DISTANCIA APLICADA FRICCION NORMAL ELASTICA TENSION RESISTENCA DEL AIRE GRAVITACIONAL ELECTRICA ELECTROMAGNETICA
  • 9.
    EQUILIBRIO DE UNPARTÍCULA Primera ley de Newton: “ Si la fuerza neta actuando sobre un cuerpo es cero, su movimiento no cambia: Si el cuerpo se encuentra originalmente en reposo permanecerá en reposo o si se encuentra en movimiento con velocidad constante continuará así.” (fuerza neta sobre un cuerpo)
  • 10.
    F = 0 condición de equilibrio para un sistema de Fuerzas
  • 11.
    EJEMPLOS DE FUERZASEN EQUILIBRIO
  • 12.
  • 13.
    Principio de accióny reacción: El principio dice que para toda acción hay una reacción de igual magnitud pero de sentido opuesto. La clave para identificar las fuerzas que actúan en un cuerpo está regida por este principio, el cual lo debemos tener presente en todo diagrama de cuerpo libre que hagamos.
  • 14.
    DIAGRAMA DE CUERPOLIBRE Un diagrama de cuerpo libre es un dibujo donde se muestra el cuerpo en estudio con todas las fuerzas que estén actuando sobre él.
  • 15.
    EQUILIBRIO EN DOSDIMENSIONES ∑ F x = 0 Condición de equilibrio para el eje horizontal. Condición de equilibrio para un sistema de fuerzas ∑ F y = 0 Condición de equilibrio para el eje vertical.
  • 16.
    EQUILIBRIO EN TRES DIMENSIONES ∑ F x = 0 Condición de equilibrio para el eje X Condición de equilibrio para un sistema de fuerzas ∑ F y = 0 Condición de equilibrio para el eje Y ∑ F Z = 0 Condición de equilibrio para el eje Z
  • 17.
    PASOS PARA RESOLVEREJERCICIOS: 1.- El primer paso consiste en dibujar un diagrama de cuerpo libre, este diagrama muestra la partícula y todas las fuerzas que actúan sobre la misma. 2.-Desconponer cada una de las fuerzas en sus componente rectangulares. 3.-Hacer igual a cero a la resultante o suma de las fuerzas que actúan sobre la partícula. Plano: Espacio:
  • 18.
    EJERCICIOS RESUELTOS Doscables se amarran juntos en C y se cargan como se muestra en la figura. Determine la tensión en : a) en cable AC y b) el cable BC.
  • 19.
  • 20.
  • 21.
    Los tirantes decable AB y AD sostienen al poste AC . Se sabe que la tensión es de 500 N en AB y 160 N en AD , ahora determine gráficamente la magnitud y la dirección de la resultante de las fuerzas ejercidas por los tirantes en A usando a) la ley del paralelogramo y b) la regla del triángulo.
  • 22.
    Calculamos: α = 51.3 ° , β = 59 ° Calculamos: R = 575 N, α = 67 °
  • 23.
    Determine la magnitudy la dirección de la fuerza P requerida para mantener el sistema de fuerzas concurrentes en equilibrio. 60º 120º 45º F 1 = 2 kN F 3 = 0.5 kN F 2 = 2 kN P z y x
  • 24.
  • 25.
    = U OB x F 2 = = kN = kN
  • 26.
  • 27.
    = = kN
  • 28.
    Dirección =
  • 29.
    Un recipiente estasostenido por tres cables que se atan al techo como se muestra. Determínese el peso W del recipiente sabiendo que la tensión en el cable AD es 4.3 kN
  • 30.
    A(0,0,0) B(-450,600,0) C(0,600,-320) D(500,600,360)
  • 31.
  • 32.
  • 33.
  • 34.
  • 35.
  • 36.
  • 37.
  • 38.
  • 39.
  • 40.
  • 41.
    La lámpara de10 lb esta suspendida de dos resortes, cada uno con longitud no alargada de 4 pies y rigidez k = 5 lb/pie. Determine el ángulo  por equilibrio
  • 42.
    Un automóvil vaser remolcado usando el arreglo de cuerdas que se muestra. La fuerza de remolque requerida es de 600 lb. Determine la longitud l mínima de cuerda AB para que la tensión en las cuerda AB o AC no exceda de 750 lb. Sugerencia: Use la condición de equilibrio en el punto A para determinar el ángulo  requerido para la conexión, luego determine l usando trigonometría aplicada al triángulo ABC
  • 43.
  • 44.
  • 45.
  • 46.