4.26     La barra AB que está articulada en A y se encuentra unida a B
por medio del cable BD, sostiene las cargas mostradas en la figura.
Sabiendo que d= 150 mm, determínese:
a) La tensión en el cable BD y,
b) La reacción en A.
DIAGRAMA DE CUERPO LIBRE:
DESCOMPONEMOS T Y LA REACCION EN
A EN SUS COMPONENTES
HORIZONTALES:
Calculamos el ángulo α :


      tan 100
           1
             150
      33.69
APLICAMOS LAS ECUACIONES DE
                      EQUILIBRIO:
                                   FX   0
                                   FY   0
                                   M    0



  FX     0            FY    0
RAX    T cos   0    RAy 90 N 90 N Tsen          0
RAX    T cos33.69   RAy    180N Tsen33.69
Ty




                                               Tx



                           MA   0
 90 N (0.1m) 90 N   T cos33.69 (0.1m) Tsen33.69 (0.3m)    0
                         T 324N

RAX   T cos33.69                         RAY    Tsen33.69
RAX   270N           RA     RA X         RAY    0N

                     RA     270N
4.30     Sin tomar en cuenta la fricción y el radio de la
polea, determínese:
a) La tensión en el cable ADB y
b) La reacción en C
DIAGRAMA DE CUERPO LIBRE:




Triángulo BCD:                  Triángulo ACD:
                         0.2                              0.36
                   cos                              cos
                         0.25                             0.39
            0.15
                                             0.15
   α                                 β
   0.2                   0.15                             0.15
                   sen               0.36           sen
                         0.25                             0.39
APLICAMOS LAS ECUACIONES DE
                                        EQUILIBRIO:
                                            FX     0
                                            FY     0
                                            M      0




   MC      0                                                FX   0
               0.15             0.15                         0.36   0.2
 (120)(0.28) (      )T (0.36) (      )T (0.36) 0       Cx         T      T   0
               0.39             0.25                         0.39   0.25
T 130N                                                 Cx     224N
                                                       Cx    224N
      Fy   0
                0.15     0.15
 C y 120 N           T        T   0
                0.39     0.25
 Cy        8N
 Cy     8N
DIAGRAMA DE CUERPO LIBRE FINAL:




                 C   224 .14 N
                     2.045
4.36     La barra Ac soporta dos cargas de 400 n, como se muestra en la figura.
Los rodillos A y C descansan sobre superficies sin fricción y el cable BD está unido a
B. Determínese:
a) La tensión en el cable BD,
b) La reacción en A y
c) La reacción en C.
0.35 m
DIAGRAMA DE CUERPO LIBRE:                   α
                                                              0.075 m


                                                      0.075
                                       sen
                                                      0.357
                          α                            0.35
                                       cos
                              T                       0.357
                                       Ty                  0.075
                                                tan
                                       Tx                  0.35
  Por relación de triángulos:
                                                0.075
  BE     AE                            Ty             Tx
                                                 0.35
  CD     AD
        (0.15 )( 0.25 )
  BE                      BE 0.075 m
             0.5
FX    0
                                             Tx     Rc       o
                                             Tx     Rc

                       α                           Fy    0
                              T               RA    Ty       400N   400N   0
                                              RA    800 Ty


     MA   0
 Tx (0.075m) 400 N (0.4m) 400N (0.1m) Ty (0.15m) Rc(0.25m) 0
                            0.075
 0.075mTx     200Nm 0.15m         Tx   0.25mRc 0
                             0.35
      0.107Tx 200
Rc
          0.25
Tx   Rc     1


                                             RA    800 Ty        2

             α                                    0.107Tx 200
                                             Rc                      3
                  T                                   0.25
                                                  0.075      4
                                             Ty         Tx
                                                   0.35


      1 3                  0.075                  RA     800 (300)
                      Ty         (1400)
    0.107Tx 200             0.35
Tx                                                RA     1100N
        0.25          Ty   300N
   Tx 1400N
    Rc Tx                       2        2
                      T    Tx       Ty
  Rc 1400N
                      T 1431.78N
4.51    Una barra delgada AB con un peso W está unida a los bloques A y B los
cuales pueden moverse libremente por las grúas mostradas en la figura. Los bloques
se conectan entre sí mediante una cuerda elástica que pasa sobre una polea en C.
a) Determine la tensión en la cuerda expresada en términos de W y ϴ.
b) Determínese el valor de ϴ para el cual la tensión en la cuerda es 3 W.
DIAGRAMA DE CUERPO LIBRE:                    x
                                       cos
                                              l
                                       x l cos
                                lsen
                                                    y
                                       sen
                                                    l
                                       y     lsen
                l cos

        l               l
          cos             cos
        2               2
lsen




          l cos

  l               l
    cos             cos
  2               2




   Dividiendo el numerador y el
denominador para cos , tenemos:
b) T=3 W
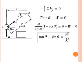
4.51     Un collar B de peso W puede moverse libremente a lo largo de la barra
vertical mostrada en la figura. El resorte de constante k se encuentra sin deformar
cuando ϴ =0.
a) Derívese una ecuación en términos de ϴ,W, k y l que se cumpla cuando el collar
    esté en equilibrio.
b) Sabiendo que W = 300 N, l = 500 mm y k = 800 N/m, determínese el valor de ϴ
    correspondiente a la posición de equilibrio
DIAGRAMA DE CUERPO LIBRE:                            l
                                         cos
                                                     x
                                                 l
                                         x
                                               cos

                                    •Siendo x = la distancia
                                    total desde A - B



                                 •Determinación del
                                 resorte ( S ):
                                            l
                                    S            l
                                          cos
                            •Tensión del cable:
                            T     k .S
                                          1
                            T     kl                 1
                                         cos
b) W = 300 N, l = 500 mm y k = 800 N/m; ϴ=?

                                              300 N
                         tan        sen
                                               N
                                          800 (0.5m)
                                               m
                                          300
                         tan        sen
                                          400
                         tan        sen   0.75



                         tan        0.75 sen
                               58
4.51    Una barra delgada AB de peso W se unen a los bloques A y B que se
mueven libremente sobre las grúas mostradas en la figura. El resorte de constante k
se encuentra sin deformar cuando ϴ =0.
a) Sin tomar en cuenta el peso de los bloques, derívese una ecuación en términos
    de W, k, l y ϴ que se cumpla cuando la barra está en equilibrio.
b) Determínese el valor de ϴ cuando W= 75 lb, l=30 in. Y k= 3 lb/in.
DIAGRAMA DE CUERPO LIBRE:
                                              k: constante de
                                              resorte
                                             S: deformación del
                                             resorte
                                             S        l      l cos
                                             S        l (1    cos )




               y         x    F: fuerza del resorte
  sen              cos
               l          l
                              F     kS
  y     lsen       x l cos
                              F     kl(1     cos )
MD        0
                 l
F (lsen )       w cos   0
                 2
                 w
kl(1 cos )lsen       l cos
                  2
         sen     w
(1 cos )            2
                      l
         cos   2kl
                w
(1 cos ) tan
               2kl
W = 75 lb, l = 30 in. y k = 3 lb/in. ; ϴ=?




                      w                Por tanteo:
(1 cos ) tan
                     2kl
                        75lb                   49.7
 (1 cos ) tan
                 2(3lb / in.)(30in.)
                  75
 (1 cos ) tan
                 180
 (1 cos ) tan    0.4166

Estatica ejercicios cuerpos rigidos

  • 2.
    4.26 La barra AB que está articulada en A y se encuentra unida a B por medio del cable BD, sostiene las cargas mostradas en la figura. Sabiendo que d= 150 mm, determínese: a) La tensión en el cable BD y, b) La reacción en A.
  • 3.
  • 4.
    DESCOMPONEMOS T YLA REACCION EN A EN SUS COMPONENTES HORIZONTALES: Calculamos el ángulo α : tan 100 1 150 33.69
  • 5.
    APLICAMOS LAS ECUACIONESDE EQUILIBRIO: FX 0 FY 0 M 0 FX 0 FY 0 RAX T cos 0 RAy 90 N 90 N Tsen 0 RAX T cos33.69 RAy 180N Tsen33.69
  • 6.
    Ty Tx MA 0 90 N (0.1m) 90 N T cos33.69 (0.1m) Tsen33.69 (0.3m) 0 T 324N RAX T cos33.69 RAY Tsen33.69 RAX 270N RA RA X RAY 0N RA 270N
  • 7.
    4.30 Sin tomar en cuenta la fricción y el radio de la polea, determínese: a) La tensión en el cable ADB y b) La reacción en C
  • 8.
    DIAGRAMA DE CUERPOLIBRE: Triángulo BCD: Triángulo ACD: 0.2 0.36 cos cos 0.25 0.39 0.15 0.15 α β 0.2 0.15 0.15 sen 0.36 sen 0.25 0.39
  • 9.
    APLICAMOS LAS ECUACIONESDE EQUILIBRIO: FX 0 FY 0 M 0 MC 0 FX 0 0.15 0.15 0.36 0.2 (120)(0.28) ( )T (0.36) ( )T (0.36) 0 Cx T T 0 0.39 0.25 0.39 0.25 T 130N Cx 224N Cx 224N Fy 0 0.15 0.15 C y 120 N T T 0 0.39 0.25 Cy 8N Cy 8N
  • 10.
    DIAGRAMA DE CUERPOLIBRE FINAL: C 224 .14 N 2.045
  • 11.
    4.36 La barra Ac soporta dos cargas de 400 n, como se muestra en la figura. Los rodillos A y C descansan sobre superficies sin fricción y el cable BD está unido a B. Determínese: a) La tensión en el cable BD, b) La reacción en A y c) La reacción en C.
  • 12.
    0.35 m DIAGRAMA DECUERPO LIBRE: α 0.075 m 0.075 sen 0.357 α 0.35 cos T 0.357 Ty 0.075 tan Tx 0.35 Por relación de triángulos: 0.075 BE AE Ty Tx 0.35 CD AD (0.15 )( 0.25 ) BE BE 0.075 m 0.5
  • 13.
    FX 0 Tx Rc o Tx Rc α Fy 0 T RA Ty 400N 400N 0 RA 800 Ty MA 0 Tx (0.075m) 400 N (0.4m) 400N (0.1m) Ty (0.15m) Rc(0.25m) 0 0.075 0.075mTx 200Nm 0.15m Tx 0.25mRc 0 0.35 0.107Tx 200 Rc 0.25
  • 14.
    Tx Rc 1 RA 800 Ty 2 α 0.107Tx 200 Rc 3 T 0.25 0.075 4 Ty Tx 0.35 1 3 0.075 RA 800 (300) Ty (1400) 0.107Tx 200 0.35 Tx RA 1100N 0.25 Ty 300N Tx 1400N Rc Tx 2 2 T Tx Ty Rc 1400N T 1431.78N
  • 15.
    4.51 Una barra delgada AB con un peso W está unida a los bloques A y B los cuales pueden moverse libremente por las grúas mostradas en la figura. Los bloques se conectan entre sí mediante una cuerda elástica que pasa sobre una polea en C. a) Determine la tensión en la cuerda expresada en términos de W y ϴ. b) Determínese el valor de ϴ para el cual la tensión en la cuerda es 3 W.
  • 16.
    DIAGRAMA DE CUERPOLIBRE: x cos l x l cos lsen y sen l y lsen l cos l l cos cos 2 2
  • 17.
    lsen l cos l l cos cos 2 2 Dividiendo el numerador y el denominador para cos , tenemos:
  • 18.
  • 19.
    4.51 Un collar B de peso W puede moverse libremente a lo largo de la barra vertical mostrada en la figura. El resorte de constante k se encuentra sin deformar cuando ϴ =0. a) Derívese una ecuación en términos de ϴ,W, k y l que se cumpla cuando el collar esté en equilibrio. b) Sabiendo que W = 300 N, l = 500 mm y k = 800 N/m, determínese el valor de ϴ correspondiente a la posición de equilibrio
  • 20.
    DIAGRAMA DE CUERPOLIBRE: l cos x l x cos •Siendo x = la distancia total desde A - B •Determinación del resorte ( S ): l S l cos •Tensión del cable: T k .S 1 T kl 1 cos
  • 22.
    b) W =300 N, l = 500 mm y k = 800 N/m; ϴ=? 300 N tan sen N 800 (0.5m) m 300 tan sen 400 tan sen 0.75 tan 0.75 sen 58
  • 23.
    4.51 Una barra delgada AB de peso W se unen a los bloques A y B que se mueven libremente sobre las grúas mostradas en la figura. El resorte de constante k se encuentra sin deformar cuando ϴ =0. a) Sin tomar en cuenta el peso de los bloques, derívese una ecuación en términos de W, k, l y ϴ que se cumpla cuando la barra está en equilibrio. b) Determínese el valor de ϴ cuando W= 75 lb, l=30 in. Y k= 3 lb/in.
  • 24.
    DIAGRAMA DE CUERPOLIBRE: k: constante de resorte S: deformación del resorte S l l cos S l (1 cos ) y x F: fuerza del resorte sen cos l l F kS y lsen x l cos F kl(1 cos )
  • 25.
    MD 0 l F (lsen ) w cos 0 2 w kl(1 cos )lsen l cos 2 sen w (1 cos ) 2 l cos 2kl w (1 cos ) tan 2kl
  • 26.
    W = 75lb, l = 30 in. y k = 3 lb/in. ; ϴ=? w Por tanteo: (1 cos ) tan 2kl 75lb 49.7 (1 cos ) tan 2(3lb / in.)(30in.) 75 (1 cos ) tan 180 (1 cos ) tan 0.4166