1
Guía de trabajo 8vo básico
“Átomos, moléculas, elementos y compuestos”
Nombre: _______________________________________________________________________
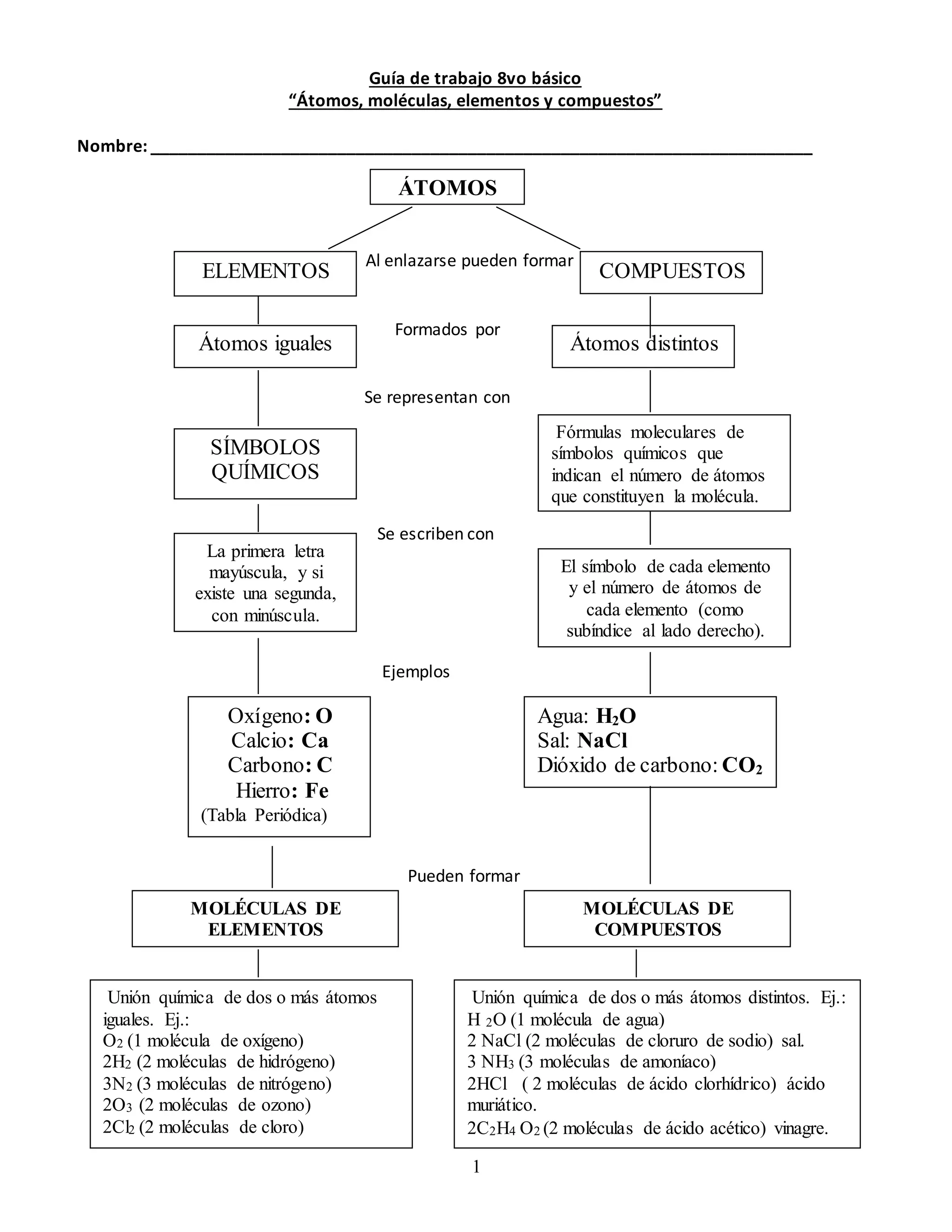
Al enlazarse pueden formar
Formados por
Se representan con
Se escriben con
Ejemplos
Pueden formar
ÁTOMOS
COMPUESTOSELEMENTOS
SÍMBOLOS
QUÍMICOS
La primera letra
mayúscula, y si
existe una segunda,
con minúscula.
El símbolo de cada elemento
y el número de átomos de
cada elemento (como
subíndice al lado derecho).
Agua: H2O
Sal: NaCl
Dióxido de carbono: CO2
Amoníaco: NH3
Oxígeno: O
Calcio: Ca
Carbono: C
Hierro: Fe
(Tabla Periódica)
Átomos iguales Átomos distintos
MOLÉCULAS DE
ELEMENTOS
MOLÉCULAS DE
COMPUESTOS
Unión química de dos o más átomos
iguales. Ej.:
O2 (1 molécula de oxígeno)
2H2 (2 moléculas de hidrógeno)
3N2 (3 moléculas de nitrógeno)
2O3 (2 moléculas de ozono)
2Cl2 (2 moléculas de cloro)
Unión química de dos o más átomos distintos. Ej.:
H 2O (1 molécula de agua)
2 NaCl (2 moléculas de cloruro de sodio) sal.
3 NH3 (3 moléculas de amoníaco)
2HCl ( 2 moléculas de ácido clorhídrico) ácido
muriático.
2C2H4 O2 (2 moléculas de ácido acético) vinagre.
Fórmulas moleculares de
símbolos químicos que
indican el número de átomos
que constituyen la molécula.
2
1. ¿Cuáles de los siguientes ejemplos son elementos y cuáles son compuestos?
a) Hierro (Fe)…………………………………………………………………
b) Metano (CH4)……………………………………………………………...
c) Cobre (Cu)…………………………………………………………………
d) Glucosa (C6H12O6)………………………………………………….……..
e) Almidón (C6H10O5)………………………………………………………..
2. Analice la fórmula de cada compuesto y nombre qué elementos están presentes en cada
uno de ellos. (4 pts)
a) HCl (ácido clorhídrico)……………………………………………………
b) CH4 (metano)...............................................................................................
c) NH3 (amoníaco)............................................................................................
d) CO2 (dióxido de carbono)…………………………………………………
3. Completa el cuadro marcando con una cruz cuáles son moléculas de
compuestos y cuáles son moléculas de elementos. Y escribe y el número total de
átomos.
3
Molécula De compuesto De elemento Cantidad de
átomos de O
4 O2
3 CuO
2 CO2
4 H2SO4
4. Con la ayuda de la información de la tabla periodica complete la siguiente tabla:
Nombre
elemento
Símbolo
Químico
Número
Atómico
(Z)
Número
Másico (A)
Número de
protones
Número de
neutrones
Número de
electrones
Litio 3 3
C 12 6
1 1 1 0 1
Nitrógeno 14.0 7
O 8 8
Na
Calcio

Guía de átomos, moléculas, elementos y compuestos

  • 1.
    1 Guía de trabajo8vo básico “Átomos, moléculas, elementos y compuestos” Nombre: _______________________________________________________________________ Al enlazarse pueden formar Formados por Se representan con Se escriben con Ejemplos Pueden formar ÁTOMOS COMPUESTOSELEMENTOS SÍMBOLOS QUÍMICOS La primera letra mayúscula, y si existe una segunda, con minúscula. El símbolo de cada elemento y el número de átomos de cada elemento (como subíndice al lado derecho). Agua: H2O Sal: NaCl Dióxido de carbono: CO2 Amoníaco: NH3 Oxígeno: O Calcio: Ca Carbono: C Hierro: Fe (Tabla Periódica) Átomos iguales Átomos distintos MOLÉCULAS DE ELEMENTOS MOLÉCULAS DE COMPUESTOS Unión química de dos o más átomos iguales. Ej.: O2 (1 molécula de oxígeno) 2H2 (2 moléculas de hidrógeno) 3N2 (3 moléculas de nitrógeno) 2O3 (2 moléculas de ozono) 2Cl2 (2 moléculas de cloro) Unión química de dos o más átomos distintos. Ej.: H 2O (1 molécula de agua) 2 NaCl (2 moléculas de cloruro de sodio) sal. 3 NH3 (3 moléculas de amoníaco) 2HCl ( 2 moléculas de ácido clorhídrico) ácido muriático. 2C2H4 O2 (2 moléculas de ácido acético) vinagre. Fórmulas moleculares de símbolos químicos que indican el número de átomos que constituyen la molécula.
  • 2.
    2 1. ¿Cuáles delos siguientes ejemplos son elementos y cuáles son compuestos? a) Hierro (Fe)………………………………………………………………… b) Metano (CH4)……………………………………………………………... c) Cobre (Cu)………………………………………………………………… d) Glucosa (C6H12O6)………………………………………………….…….. e) Almidón (C6H10O5)……………………………………………………….. 2. Analice la fórmula de cada compuesto y nombre qué elementos están presentes en cada uno de ellos. (4 pts) a) HCl (ácido clorhídrico)…………………………………………………… b) CH4 (metano)............................................................................................... c) NH3 (amoníaco)............................................................................................ d) CO2 (dióxido de carbono)………………………………………………… 3. Completa el cuadro marcando con una cruz cuáles son moléculas de compuestos y cuáles son moléculas de elementos. Y escribe y el número total de átomos.
  • 3.
    3 Molécula De compuestoDe elemento Cantidad de átomos de O 4 O2 3 CuO 2 CO2 4 H2SO4 4. Con la ayuda de la información de la tabla periodica complete la siguiente tabla: Nombre elemento Símbolo Químico Número Atómico (Z) Número Másico (A) Número de protones Número de neutrones Número de electrones Litio 3 3 C 12 6 1 1 1 0 1 Nitrógeno 14.0 7 O 8 8 Na Calcio