Longitud de
Curva
Norkin Vargas
26.079.638
Matemática II. SAIA A
Prof. Domingo Méndez
Longitud de Curva
La longitud de arco de una curva, también
llamada rectificación de una curva, es la medida de la
distancia o camino recorrido a lo largo de una curva o
dimensión lineal. Históricamente, ha sido difícil determinar
esta longitud en segmentos irregulares; aunque fueron
usados varios métodos para curvas específicas, la llegada
del calculo trajo consigo la fórmula general para obtener
soluciones cerradas para algunos casos.
Calculo con Integrales
Al considerar una curva definida por una función 𝑓(𝑥) y su
respectiva derivada𝑓′(𝑥) que son continuas en un intervalo [a, b], la
longitud s del arco delimitado por a y b es dada por la ecuación:
𝒔 = 𝒂
𝒃
𝟏 + [𝒇′ 𝒙 ] 𝟐 𝒅𝒙
En el caso de una curva definida paramétricamente mediante dos
funciones dependientes de t como x=f(t) e y=g(t),la longitud del arco
desde el punto (f(a),g(a)) hasta el punto (f(b),g(b)) se calcula
mediante:
𝒔 =
𝒂
𝒃
[𝒇′(𝒕) 𝟐 + [𝒈′(𝒕) 𝟐] 𝟐 𝒅𝒙
Si la función está definida por coordenadas polares donde la
coordenadas radial y el ángulo polar están relacionados mediante 𝒓 =
𝒇(𝜽)la longitud del arco comprendido en el intervalo [𝜶, 𝜷], toma la
forma:
𝒔 =
𝜶
𝜷
[𝒇 𝜽 ] 𝟐 + [𝒇′ 𝜽 ] 𝟐 𝒅𝜽
En la mayoría de los casos, no hay una solución cerrada disponible y
será necesario usar métodos de integración numérica. Por ejemplo,
aplicar esta fórmula a la circunferencia de una elipse llevará a
una integral elíptica de segunda especie. Entre las curvas con
soluciones cerradas están la catenaria, el círculo, la cicloide, la espiral
logarítmica, la parábola, la parábola semicúbica y la línea recta.
Longitud de una curva
plana
La longitud de una curva plana se puede aproximar al sumar
pequeños segmentos de recta que se ajusten a la curva, esta
aproximación será más ajustada entre más segmentos sean y a la
vez sean lo más pequeño posible. , escogiendo una familia finita
de puntos en C, y aproximar la longitud mediante la longitud de la
poligonal que pasa por dichos puntos. Cuantos más puntos
escojamos en C, mejor seria el valor obtenido como aproximación
de la longitud de C.
Cuando la curva es suave, la longitud de cada pequeño
segmentos de recta se puede calcular mediante el teorema de
Pitágoras (dL)2=(dx)2+(dy)2.
Si f es suave en [a,b], la longitud de la curva de f(x) desde a
hasta b es:
Si la primera derivada de una función es continua en [a,b]
se dice que es suave y su gráfica es una curva
suave.
Ejercicio
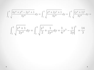
Hallar la longitud de curva de: 𝑥 =
1
6
𝑦3 +
1
2𝑦
, 𝑦 ∈ [1,3]
Solucion:
Tenemos que:
𝑑𝑥
𝑑𝑦
=
𝑦2
2
−
1
2𝑦2 =
𝑦4−1
2𝑦2
Luego, 𝐿 = 1
3
1 +
𝑦4−1
2𝑦2
2
𝑑𝑦 y
3
1
X
0
1
3
𝑦4 + 1
2𝑦2
𝑑𝑦 =
1
3
𝑦2
2
+
1
2𝑦2
𝑑𝑦 =
1
6
𝑦3
−
1
2𝑦
3
=
14
3
1
3
4𝑦4 + 𝑦8 − 2𝑦2 + 1
4𝑦4
𝑑𝑦 =
1
3
𝑦8 + 2𝑦2 + 1
4𝑦4
𝑑𝑦 =
1
3
(𝑦4 + 1)2
4𝑦4
𝑑𝑦 =

Longitud de curva

  • 1.
  • 2.
    Longitud de Curva Lalongitud de arco de una curva, también llamada rectificación de una curva, es la medida de la distancia o camino recorrido a lo largo de una curva o dimensión lineal. Históricamente, ha sido difícil determinar esta longitud en segmentos irregulares; aunque fueron usados varios métodos para curvas específicas, la llegada del calculo trajo consigo la fórmula general para obtener soluciones cerradas para algunos casos.
  • 3.
    Calculo con Integrales Alconsiderar una curva definida por una función 𝑓(𝑥) y su respectiva derivada𝑓′(𝑥) que son continuas en un intervalo [a, b], la longitud s del arco delimitado por a y b es dada por la ecuación: 𝒔 = 𝒂 𝒃 𝟏 + [𝒇′ 𝒙 ] 𝟐 𝒅𝒙 En el caso de una curva definida paramétricamente mediante dos funciones dependientes de t como x=f(t) e y=g(t),la longitud del arco desde el punto (f(a),g(a)) hasta el punto (f(b),g(b)) se calcula mediante: 𝒔 = 𝒂 𝒃 [𝒇′(𝒕) 𝟐 + [𝒈′(𝒕) 𝟐] 𝟐 𝒅𝒙
  • 4.
    Si la funciónestá definida por coordenadas polares donde la coordenadas radial y el ángulo polar están relacionados mediante 𝒓 = 𝒇(𝜽)la longitud del arco comprendido en el intervalo [𝜶, 𝜷], toma la forma: 𝒔 = 𝜶 𝜷 [𝒇 𝜽 ] 𝟐 + [𝒇′ 𝜽 ] 𝟐 𝒅𝜽 En la mayoría de los casos, no hay una solución cerrada disponible y será necesario usar métodos de integración numérica. Por ejemplo, aplicar esta fórmula a la circunferencia de una elipse llevará a una integral elíptica de segunda especie. Entre las curvas con soluciones cerradas están la catenaria, el círculo, la cicloide, la espiral logarítmica, la parábola, la parábola semicúbica y la línea recta.
  • 5.
    Longitud de unacurva plana La longitud de una curva plana se puede aproximar al sumar pequeños segmentos de recta que se ajusten a la curva, esta aproximación será más ajustada entre más segmentos sean y a la vez sean lo más pequeño posible. , escogiendo una familia finita de puntos en C, y aproximar la longitud mediante la longitud de la poligonal que pasa por dichos puntos. Cuantos más puntos escojamos en C, mejor seria el valor obtenido como aproximación de la longitud de C.
  • 6.
    Cuando la curvaes suave, la longitud de cada pequeño segmentos de recta se puede calcular mediante el teorema de Pitágoras (dL)2=(dx)2+(dy)2. Si f es suave en [a,b], la longitud de la curva de f(x) desde a hasta b es: Si la primera derivada de una función es continua en [a,b] se dice que es suave y su gráfica es una curva suave.
  • 7.
    Ejercicio Hallar la longitudde curva de: 𝑥 = 1 6 𝑦3 + 1 2𝑦 , 𝑦 ∈ [1,3] Solucion: Tenemos que: 𝑑𝑥 𝑑𝑦 = 𝑦2 2 − 1 2𝑦2 = 𝑦4−1 2𝑦2 Luego, 𝐿 = 1 3 1 + 𝑦4−1 2𝑦2 2 𝑑𝑦 y 3 1 X 0
  • 8.
    1 3 𝑦4 + 1 2𝑦2 𝑑𝑦= 1 3 𝑦2 2 + 1 2𝑦2 𝑑𝑦 = 1 6 𝑦3 − 1 2𝑦 3 = 14 3 1 3 4𝑦4 + 𝑦8 − 2𝑦2 + 1 4𝑦4 𝑑𝑦 = 1 3 𝑦8 + 2𝑦2 + 1 4𝑦4 𝑑𝑦 = 1 3 (𝑦4 + 1)2 4𝑦4 𝑑𝑦 =