Proyecto: “MEJORAMIENTO DEL SERVICIO DE TRANSITABILIDAD VIAL INTERURBANA EN EMP. PE-1S
(PASCANA)-IC 785 EMP. HASTA EMP. IC-782 (CHANGUILLO) DISTRITO DE CHANGUILLO DE LA PROVINCIA DE
NASCA DEL DEPARTAMENTO DE ICA”
PJ. & VC CONTRUCTORES S.A.C
MEMORIA DESCRIPTIVA
1. ASPECTOS GENERALES
1.1. Nombre del Proyecto
MEJORAMIENTO DEL SERVICIO DE TRANSITABILIDAD VIAL INTERURBANA EN
EMP. PE-1S (PASCANA) – IC 785 EMP. HASTA EMP. IC-782 (CHANGUILLO) DEL
DISTRITO DE CHANGUILLO – PROVINCIA DE NASCA – DEPARTAMENTO DE ICA
UNIDAD EJECUTORA:
MUNICIPALIDAD PROVINCIAL DE NAZCA
2. DESCRIPCION DEL PROYECTO
2.1. ANTECEDENTES
La Municipalidad Provincial de Nasca ha venido desarrollando distintas acciones con el fin de
contribuir al desarrollo urbano y rural en particular y a suspender la pobreza en el distrito; los
mismos que se han venido dando a través de un mayor acceso tanto a bienes públicas como
privadas, concentrando su esfuerzo en actividades asociadas al desarrollo Integral del Distrito;
en el Capital humano, capital social, capital institucional, capital físico público y privado, entre
otros. La Municipalidad Provincial de Nasca está realizando esfuerzos importantes para
incrementar el capital físico público, incrementar la capacidad y mejorar las necesidades básicas
de las comunidades, centros poblados y caseríos dentro de su jurisdicción, con la finalidad de
reducir costos logísticos, reducir costos de transacción, promover la movilidad de bienes y
personas, favorecer accesos a servicios públicos, oportunidades económicas y apoyar el
desarrollo de actividades productivas, sociales y recreativas que redundaran en la creación y
desarrollo de mercados.
Para concretar su realización, el presente proyecto se encuentra priorizado como parte de las
políticas de Gestión de la Municipalidad Provincial de Nasca; así como en el programa de
Inversiones mediante Canon sobre canon; la Municipalidad ha creído conveniente ejecutar la
elaboración del estudio de pre inversión a nivel de FICHA TÉCNICA GENERAL PARA
PROYECTOS DE INVERSIÓN DE BAJA Y MEDIANA COMPLEJIDAD del proyecto de Inversión:
“MEJORAMIENTO DEL SERVICIO DE TRANSITABILIDAD VIAL INTERURBANA EN EMP.
PE-1S (PASCANA)-IC 785 EMP. HASTA EMP. IC-782 (CHANGUILLO) DISTRITO DE
CHANGUILLO DE LA PROVINCIA DE NASCA DEL DEPARTAMENTO DE ICA”, el cual es un
nombre tentativo que podrá ser modificado de acuerdo al estudio realizado. Ante la necesidad
de contar con los estudios de pre inversión para conformar parte de la cartera de proyectos de
la Municipalidad Provincial de Nasca y ser canalizados a través de los programas de Gobierno o
ser Ejecutados con Recursos Propios para su pronta ejecución, la Municipalidad Provincial de
Nasca a dispuesto la formulación del estudio a nivel de FICHA TÉCNICA GENERAL PARA
PROYECTOS DE INVERSIÓN DE BAJA Y MEDIANA COMPLEJIDAD.
Proyecto: “MEJORAMIENTO DEL SERVICIO DE TRANSITABILIDAD VIAL INTERURBANA EN EMP. PE-1S
(PASCANA)-IC 785 EMP. HASTA EMP. IC-782 (CHANGUILLO) DISTRITO DE CHANGUILLO DE LA PROVINCIA DE
NASCA DEL DEPARTAMENTO DE ICA”
PJ. & VC CONTRUCTORES S.A.C
Las actividades que se realizan previamente a la construcción es el saneamiento físico legal, por
este motivo es que se solicita el Certificado de Inexistencia de restos Arqueológicos (CIRA) a la
Sede Descentralizada del Ministerio de Cultura, solamente de las partes libre de restos
arqueológicos, para poder continuar con el saneamiento y los futuros estudios para la
construcción de la carretera.
Marco Normativo en el cual se basa el presente estudio de Preinversión:
 Decreto Legislativo N° 1252, que crea el Sistema Nacional de Programación Multianual y
Gestión de Inversiones, del 30.Nov. 2016 y publicado el 01 .Dic .2017.
 Reglamento del Decreto Legislativo N° 1252 - Sistema Nacional de Programación Multianual
y Gestión de Inversiones, aprobado mediante Decreto Supremo N° 027-2017-EF, del 22.
Feb. 2017 y publicado el 23. Feb. 2017.
 Directiva N° 001-2017-EF/63.01 - Para la Programación Multianual en el Marco del Sistema
Nacional de Programación Multianual y Gestión de Inversiones, aprobada con Resolución
Directoral N° 001-2017-EF/63.01 del 06. Abr. 2017 y publicado el 08. Abr. 2017.
 Directiva N° 002-2017-EF/63.01 - Para la Formulación y Evaluación en el Marco del Sistema
Nacional de Programación Multianual y Gestión de Inversiones, aprobada con Resolución
Directoral N° 002-2017-EF/63.01 del 07.Abr. 2017 y publicado el 22.Abr. 2017.
El Estudio de Preinversion a nivel de Factibilidad ha sido reformulada con la nueva directiva N°
002-2017-EF/63.01 cuenta con los Contenidos Mínimos del Estudio de Preinversion a nivel de
FICHA TÉCNICA GENERAL PARA PROYECTOS DE INVERSIÓN DE BAJA Y MEDIANA
COMPLEJIDAD con la finalidad de optimizar el uso de los recursos públicos destinados a la
inversión, mediante el establecimiento de principios, procesos, metodologías y normas técnicas
relacionados con las diversas fases del ciclo de proyectos de inversión.
De acuerdo con el Clasificador de Responsabilidad Funcional del Sistema Nacional de
Programación Multianual y Gestión de Inversiones, perteneciente a los anexos de la Nueva
Directiva para la Programación Multianual aprobada por Resolución Ministerial N°035-2018-
EF/15 (ANEXO N° 07) el presente proyecto se enmarca en:
FUNCIÓN 15: Transporte
Corresponde las acciones para los objetivos vinculados al desarrollo de la infraestructura Aérea,
Terrestre e Hidroviario, así como al empleo de los diversos medios de transporte.
PROGRAMA 033: Transporte Terrestre
Conjunto de acciones orientadas al planeamiento, coordinación, ejecución y control necesarias
para el desempeño de las acciones destinadas al servicio de transporte terrestre.
Proyecto: “MEJORAMIENTO DEL SERVICIO DE TRANSITABILIDAD VIAL INTERURBANA EN EMP. PE-1S
(PASCANA)-IC 785 EMP. HASTA EMP. IC-782 (CHANGUILLO) DISTRITO DE CHANGUILLO DE LA PROVINCIA DE
NASCA DEL DEPARTAMENTO DE ICA”
PJ. & VC CONTRUCTORES S.A.C
SUBPROGRAMA 0066: Vías Vecinales
Comprende las acciones de planeamiento, supervisión, expropiación, construcción,
mantenimiento, mejoramiento, rehabilitación y otras acciones inherentes a la red vial vecinal
orientadas a garantizar su operatividad.
LA MUNICIPALIDAD PROVINCIAL DE NAZCA, como Unidad Formuladora, es una institución
jurídica de derecho público, cuenta con autonomía técnica, administrativa y económica; está
encargado de la ejecución de proyectos de infraestructura que tiene por finalidad esencial
fomentar el desarrollo regional integral sostenible, promoviendo la inversión pública y privada
con el fin de brindar a los usuarios igualdad y oportunidades de sus habitantes, y que contribuya
a la integración económica y social del país. Asimismo, todos los derechos y obligaciones han
sido formulado teniendo en consideración la constitución política del estado. Ley de las bases de
la Descentralización, Ley orgánica de gobiernos regionales, Ley Marco de la modernización de
la gestión del estado, así como, los lineamientos establecidos en el Decreto Supremo Nro. 043-
2006-PCM.
La Sub Gerencia de Estudios y Proyectos, está encargada de formular, proponer, ejecutar, dirigir,
controlar y administrar los planes y políticas de la Municipalidad Provincial de Nazca en materia
de transportes, comunicaciones, telecomunicaciones y construcción de acuerdo con los planes
regionales, nacionales y sectoriales; así como, desarrollar funciones normativas, reguladoras, de
supervisión, evaluación y control de las funciones específicas regionales en los sectores antes
mencionados.
Participación de las entidades Involucradas
Las entidades involucradas directa e indirectamente en el proyecto están conformadas por la
Municipalidad Provincial de Nazca, Ministerio de Transportes, representado por PROVIAS
Nacional, los municipios de las provincias y distritos involucrados, y la población beneficiaria del
proyecto.
El Ministerio de Transportes y Comunicaciones, a través de PROVIAS Nacional, por tratarse de
una carretera de nivel de Ruta Nacional, es el responsable de formular, ejecutar y supervisar el
proyecto, de acuerdo con lo previsto y programado en el Presupuesto Anual del Sector.
Proyecto: “MEJORAMIENTO DEL SERVICIO DE TRANSITABILIDAD VIAL INTERURBANA EN EMP. PE-1S
(PASCANA)-IC 785 EMP. HASTA EMP. IC-782 (CHANGUILLO) DISTRITO DE CHANGUILLO DE LA PROVINCIA DE
NASCA DEL DEPARTAMENTO DE ICA”
PJ. & VC CONTRUCTORES S.A.C
Distritos: Ingenio y Changuillo
En la Población de edades para los Distritos del Área de Influencia Directa, los más destacados
están entre 15 a 29 años representando un 30.6%, seguidamente las edades comprendidas entre
30 a 49 años representando el 27% de la población involucrada y por último un 18.5%
comprendidas entre 5 a 14 años, esto representa el creciente bono demográfico para el Área de
influencia del Proyecto.
En la Población por Genero tiene una tendencia igualitaria entre hombres y mujeres en el área
de influencia por lo que representan 49.92% y 50.08% respectivamente con un índice de
masculinidad en uno.
Para la Población Económicamente Activa en el Área de Influencia Directa del proyecto tenemos
la Población económica ocupada y desocupada por lo que representa para la ocupada un 96.6%
esto significa la población en edad a trabajar teniendo vigente sus puestos laborales y el 3.4%
que es la desocupada se entiende que hay población que está buscando un puesto de trabajo
que genere ingresos.
Considerando los alcances que tiene el presente proyecto, en lo que respecta a los usuarios de
la vía y en especial las empresas transportadoras de carga y pasajeros beneficiarios directos que
hoy en día enfrentan innecesariamente el uso de vías que en gran medida son de uso urbano,
como es el caso de las poblaciones que se encuentran a lo largo de la vía actual del proyecto,
caracterizadas por ser estrechas, congestionadas y con variados desarrollos; con el proyecto,
contarían con mejores condiciones de transitabilidad, que le permitan reducir tiempos y costo de
transportes.
2.2. TIPO DE OBRA:
Estudio a nivel de Preinversión para el proyecto de la construcción de la carretera
“MEJORAMIENTO DEL SERVICIO DE TRANSITABILIDAD VIAL INTERURBANA EN EMP.
PE-1S (PASCANA) – IC 785 EMP. HASTA EMP. IC-782 (CHANGUILLO) DEL DISTRITO DE
CHANGUILLO – PROVINCIA DE NASCA – DEPARTAMENTO DE ICA”
Esta carretera está clasificada por la demanda, como carretera de Tercera Clase y por la
Orografía, como carretera de Tipo 3 y Tipo 4, con una velocidad de diseño de 30 km / hora.
Proyecto: “MEJORAMIENTO DEL SERVICIO DE TRANSITABILIDAD VIAL INTERURBANA EN EMP. PE-1S
(PASCANA)-IC 785 EMP. HASTA EMP. IC-782 (CHANGUILLO) DISTRITO DE CHANGUILLO DE LA PROVINCIA DE
NASCA DEL DEPARTAMENTO DE ICA”
PJ. & VC CONTRUCTORES S.A.C
3. UBICACIÓN POLITICA
 Distrito : INGENIO - CHANGUILLO
 Provincia : NAZCA
 Región : ICA
 Localidad : PE-1S (PASCANA)-IC 785 EMP. HASTA EMP. IC-782 (CHANGUILLO)
MAPA N° 1: UBICACIÓN POLITICA
MAPA POLITICO DEL PERU
MAPA DE LOS DISTRITOS DE INGENIO Y CHANGUILLIO
MAPA DEPARTAMENTAL DE ICA
Proyecto: “MEJORAMIENTO DEL SERVICIO DE TRANSITABILIDAD VIAL INTERURBANA EN EMP. PE-1S
(PASCANA)-IC 785 EMP. HASTA EMP. IC-782 (CHANGUILLO) DISTRITO DE CHANGUILLO DE LA PROVINCIA DE
NASCA DEL DEPARTAMENTO DE ICA”
PJ. & VC CONTRUCTORES S.A.C
Mapa N° 2 de ubicación satelital del area del proyecto
4. DESCRIPCION TECNICA DEL PROYECTO
4.1 CLASIFICACION DE LA CARRETERA
4.1.1 CLASIFICACIÓN POR LA DEMANDA
El índice medio diario (IMD) es el parámetro preponderante para determinar la clasificación de la
carretera en función de la demanda se clasifica de loa siguiente manera:
Autopistas de Tercera Clase
Son carreteras con IMDA menores a 400 veh/dia ,con calzada de dos carriles de 3.00m de ancho
como minimo.De manera excepcional estas vías podrán tener carriles hasta 2.50m, contando
con el sustento técnico correspondiente.
Estas carreteras pueden funcionar con soluciones denominadas básicas o
económicas,consistentes en la aplicación de estabilizadores de suelos,emulsiones asfálticas y/o
micro pavimentos;o en afirmado,en la superficie de rodadura.En caso de ser pavimentadas
deberán cumplirse con las condiciones geométricas estipuladas para las carreteras de segunda
clase.
4.2 CLASIFICACIÓN POR LA OROGRAFÍA
Las carreteras según condiciones orográficas se clasifican de la siguiente forma:
Proyecto: “MEJORAMIENTO DEL SERVICIO DE TRANSITABILIDAD VIAL INTERURBANA EN EMP. PE-1S
(PASCANA)-IC 785 EMP. HASTA EMP. IC-782 (CHANGUILLO) DISTRITO DE CHANGUILLO DE LA PROVINCIA DE
NASCA DEL DEPARTAMENTO DE ICA”
PJ. & VC CONTRUCTORES S.A.C
Terreno Accidentando (Tipo 3)
Tiene pendientes transversales al eje de la vía entre 51% y el 100% y sus pendientes
longitudinales predominantes se encuentran entre 6% y 8%, por lo que requiere importantes
movimientos de tierras, razón por la cual presenta dificultades en el trazo.
Terreno Escarpado (Tipo 4)
Tiene pendientes transversales al eje de la vía superiores al 100% y sus pendientes
longitudinales excepcionales son superiores al 8%, exigiendo el máximo de movimiento de
tierras, razón por la cual presenta grandes dificultades en su trazo.
La carretera en proyecto, se clasifica por la orografía como carretera de Tipo 3 y Tipo 4.
En conclusión, la carretera en proyecto, se clasifica:
 Por la demanda, como carretera de Tercera Clase.
 Por la orografía como carretera de Tipo 3 y Tipo 4.
4.3 VELOCIDAD DE DISEÑO
Para la determinar la velocidad de diseño se recurrió a la Tabla 204.01 del Manual de Diseño
Geométrico DG-2018, considerando que la vía se clasifica por la demanda como carretera de
Primera Clase y por la orografía como de Tipo 3 o Tipo 4, por lo que ingresando a la Tabla 204.01,
se obtuvo como resultado que correspondía a la velocidad de 30 Km/h.
Proyecto: “MEJORAMIENTO DEL SERVICIO DE TRANSITABILIDAD VIAL INTERURBANA EN EMP. PE-1S
(PASCANA)-IC 785 EMP. HASTA EMP. IC-782 (CHANGUILLO) DISTRITO DE CHANGUILLO DE LA PROVINCIA DE
NASCA DEL DEPARTAMENTO DE ICA”
PJ. & VC CONTRUCTORES S.A.C
Fuente: Manual de Diseño Geométrico de Carreteras 2018.
4.4 DISEÑO GEOMETRICO
DISEÑO DE LA SECCIÓN TRANSVERSAL
La sección transversal es un corte vertical normal al alineamiento horizontal, el cual permite
definir la disposición y dimensiones de los elementos que conforman la vía en el punto
correspondiente a cada sección y su relación con el terreno natural.
Los elementos que integran y definen la sección transversal son: derecho de vía, calzada,
bermas, carriles, cunetas, taludes y elementos complementarios.
Calzada.
Es la parte de la carretera destinada la circulación de vehículos, se compone de un cierto número
de carriles.
Proyecto: “MEJORAMIENTO DEL SERVICIO DE TRANSITABILIDAD VIAL INTERURBANA EN EMP. PE-1S
(PASCANA)-IC 785 EMP. HASTA EMP. IC-782 (CHANGUILLO) DISTRITO DE CHANGUILLO DE LA PROVINCIA DE
NASCA DEL DEPARTAMENTO DE ICA”
PJ. & VC CONTRUCTORES S.A.C
Considerando las velocidades de diseño definidas para el presente estudio, de 30 km/h, se ha
proyectado cuatro carriles el ancho de calzada 2.50 m, en las curvas horizontales se ha
agregado, el valor del sobreancho, que es función del radio de la curva, de la velocidad de diseño
y de la longitud entre ejes del vehículo que transita por la vía.
Bermas
Son las franjas situadas a ambos lados de la superficie de rodadura, que contribuyen a resistir
lateralmente las cargas que recibe aquella y que eventualmente pueden ser utilizadas por los
vehículos en emergencia para estacionarse temporalmente, o para dar paso a otros vehículos.
Fuente: Manual de Diseño Geométrico de Carreteras 2018.
De acuerdo a lo señalado en la Tabla 304.02, para carreteras de segunda clase con velocidad
de diseño de 30 km/h, le corresponde un ancho de bermas de 3.00 m.
Bombeo.
Es la inclinación transversal de la superficie de rodadura en los tramos en tangente con la
finalidad de evacuar las aguas superficiales; el bombeo considerado en el presente proyecto ha
sido de 2.5%.
Proyecto: “MEJORAMIENTO DEL SERVICIO DE TRANSITABILIDAD VIAL INTERURBANA EN EMP. PE-1S
(PASCANA)-IC 785 EMP. HASTA EMP. IC-782 (CHANGUILLO) DISTRITO DE CHANGUILLO DE LA PROVINCIA DE
NASCA DEL DEPARTAMENTO DE ICA”
PJ. & VC CONTRUCTORES S.A.C
Pendientes
Pendientes mínimas
En tramos en corte, se ha diseñado pendientes mayores a ± 0.5%. en razón de garantizar el
drenaje.
Pendientes Máximas
Se tuvo en cuenta el cuadro de clasificación de Carreteras del (DG-2018).
Fuente: Manual de Diseño Geométrico de Carreteras 2018.
La pendiente máxima proyectada ha sido de 10%.
Proyecto: “MEJORAMIENTO DEL SERVICIO DE TRANSITABILIDAD VIAL INTERURBANA EN EMP. PE-1S
(PASCANA)-IC 785 EMP. HASTA EMP. IC-782 (CHANGUILLO) DISTRITO DE CHANGUILLO DE LA PROVINCIA DE
NASCA DEL DEPARTAMENTO DE ICA”
PJ. & VC CONTRUCTORES S.A.C
4.5 DESCRIPCION DEL TRAZO PROYECTADO
CARACTERÍSTICAS TÉCNICAS
En el presente proyecto se han considerado los siguientes parámetros de diseño:
Clasificación por la demanda : Tercera Clase
Clasificación por la orografía : Tipo 3 y Tipo 4
Velocidad directriz : 30 km/h
Velocidad en zonas críticas : 25 km/h
Ancho de calzada : 2.50 m (02 carriles)
Ancho de bermas externa : 0.50 m a cada lado del eje
Pendiente Máxima : 10.0%
Bombeo : 2.5% para pavimento asfáltico y Precipitación > 200 mm/año
4.6. Longitud y servidumbre:
LONGITUD TOTAL DE LA CARRETERA SENTIDO ESTE A OESTE: 12.257 km
SERVIDUMBRE: 10 metros a cada lado del eje de la carretera.
ESPECIFICACIONES GEODESICAS:
 Sistema de coordenadas :Planas
 Proyección :Universal Transversal Mercator, UTM
 Datum : World Geodetic System 1984 Wgs-84
 Coordenadas : 485164.817 m E, 8376915.820 m N
 Zona de proyección :18sur
 Cuadricula UTM : L
 Nombre : Palpa
 Código : 30-m
Proyecto: “MEJORAMIENTO DEL SERVICIO DE TRANSITABILIDAD VIAL INTERURBANA EN EMP. PE-1S
(PASCANA)-IC 785 EMP. HASTA EMP. IC-782 (CHANGUILLO) DISTRITO DE CHANGUILLO DE LA PROVINCIA DE
NASCA DEL DEPARTAMENTO DE ICA”
PJ. & VC CONTRUCTORES S.A.C
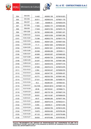
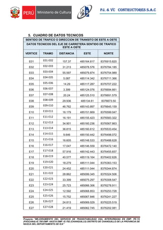
5. CUADRO DE DATOS TECNICOS
SENTIDO DE TRAFICO O DIRECCION DE TRANSITO DE ESTE A OSTE
DATOS TECNICOS DEL EJE DE CARRETERA SENTIDO DE TRAFICO
ESTE A OSTE
VERTICE TRAMO DISTANCIA ESTE NORTE
E01 E01-E02 157.37 485164.817 8376915.820
E02 E02-E03 31.213 485078.576 8376784.185
E03 E03-E04 55.597 485079.874 8376754.989
E04 E04-E05 5.087 485114.342 8376711.366
E05 E05-E06 14.29 485117.287 8376707.222
E06 E06-E07 3.399 485124.076 8376694.661
E07 E07-E08 20.24 485125.510 8376691.579
E08 E08-E09 29.936 485134.61 8376673.50
E09 E09-E10 46.762 485143.897 8376645.159
E10 E10-E11 16.179 485151.669 8376599.047
E11 E11-E12 16.191 485155.423 8376583.322
E12 E12-E13 34.901 485160.236 8376567.863
E13 E13-E14 36.815 485160.612 8376533.454
E14 E14-E15 9.646 485150.442 8376498.072
E15 E15-E16 16.605 485148.533 8376488.628
E16 E16-E17 17.047 485146.559 8376472.140
E17 E17-E18 57.916 485142.443 8376455.657
E18 E18-E19 40.577 485119.164 8376402.626
E19 E19-E20 18.279 485111.044 8376363.153
E20 E20-E21 24.452 485111.044 8376344.874
E21 E21-E22 28.862 485099.345 8376324.506
E22 E22-E23 33.399 485075.297 8376308.547
E23 E23-E24 25.723 485066.306 8376278.911
E24 E24-E25 12.592 485068.853 8376253.728
E25 E25-E26 15.752 485067.846 8376241.227
E26 E26-E27 24.813 485069.029 8376225.519
E27 E27-E28 21.419 485062.745 8376202.081
Proyecto: “MEJORAMIENTO DEL SERVICIO DE TRANSITABILIDAD VIAL INTERURBANA EN EMP. PE-1S
(PASCANA)-IC 785 EMP. HASTA EMP. IC-782 (CHANGUILLO) DISTRITO DE CHANGUILLO DE LA PROVINCIA DE
NASCA DEL DEPARTAMENTO DE ICA”
PJ. & VC CONTRUCTORES S.A.C
E28 E28-E29 37.762 485050.521 8376184.493
E29 E29-E30 44.007 485053.059 8376149.939
E30 E30-E31 10.307 485048.947 8376111.617
E31 E31-E32 34.945 485040.282 8376106.034
E32 E32-E33 44.412 485008.535 8376111.231
E33 E33-E34 31.237 484978.365 8376143.823
E34 E34-E35 1.974 484966.507 8376171.872
E35 E35-E36 54.789 484966.501 8376173.846
E36 E36-E37 30.564 484928.994 8376202.894
E37 E37-E38 35.162 484898.648 8376200.372
E38 E38-E39 21.019 484867.305 8376214.753
E39 E39-E40 42.447 484852.32 8376229.492
E40 E40-E41 5.855 484812.734 8376240.188
E41 E41-E42 19.101 484807.032 8376238.862
E42 E42-E43 16.733 484788.112 8376239.056
E43 E43-E44 27.087 484771.896 8376243.179
E44 E44-E45 27.324 484745.43 8376240.802
E45 E45-E46 32.094 484720.048 8376230.684
E46 E46-E47 29.984 484688.657 8376225.063
E47 E47-E48 30.141 484658.717 8376226.704
E48 E48-E49 17.267 484630.129 8376218.756
E49 E49-E50 34.232 484616.185 8376208.573
E50 E50-E51 76.308 484583.669 8376201.884
E51 E51-E52 34.528 484509.285 8376218.912
E52 E52-E53 40.239 484476.806 8376230.406
E53 E53-E54 12.701 484440.665 8376248.097
E54 E54-E55 22.288 484429.047 8376253.223
E55 E55-E56 23.529 484408.315 8376261.404
E56 E56-E57 25.778 484385.873 8376268.403
E57 E57-E58 20.728 484360.766 8376274.25
E58 E58-E59 13.45 484340.331 8376277.632
E59 E59-E60 20.179 484326.947 8376278.964
E60 E60-E61 43.161 484306.795 8376279.693
Proyecto: “MEJORAMIENTO DEL SERVICIO DE TRANSITABILIDAD VIAL INTERURBANA EN EMP. PE-1S
(PASCANA)-IC 785 EMP. HASTA EMP. IC-782 (CHANGUILLO) DISTRITO DE CHANGUILLO DE LA PROVINCIA DE
NASCA DEL DEPARTAMENTO DE ICA”
PJ. & VC CONTRUCTORES S.A.C
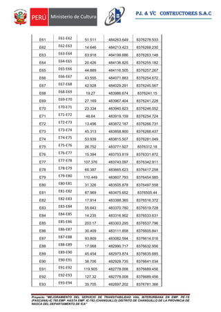
E61 E61-E62 51.511 484263.649 8376278.533
E62 E62-E63 14.646 484213.423 8376268.230
E63 E63-E64 63.918 484199.686 8376263.148
E64 E64-E65 20.426 484136.825 8376255.182
E65 E65-E66 44.889 484116.505 8376257.267
E66 E66-E67 43.555 484071.883 8376254.672
E67 E67-E68 42.928 484029.291 8376245.567
E68 E68-E69 19.27 483986.674 8376241.15
E69 E69-E70 27.169 483967.404 8376241.228
E70 E70-E71 23.334 483940.823 8376246.052
E71 E71-E72 48.64 483919.159 8376254.724
E72 E72-E73 13.496 483872.187 8376266.731
E73 E73-E74 45.313 483858.800 8376268.437
E74 E74-E75 53.939 483815.507 8376281.049
E75 E75-E76 26.752 483771.927 8376312.18
E76 E76-E77 15.394 483753.819 8376331.872
E77 E77-E78 107.376 483743.097 8376342.911
E78 E78-E79 69.387 483665.623 8376417.258
E79 E79-E80 110.449 483607.793 8376454.985
E80 E80-E81 31.326 483505.878 8376497.558
E81 E81-E82 87.969 483475.652 8376505.44
E82 E82-E83 17.914 483388.365 8376516.372
E83 E83-E84 55.643 483370.780 8376519.728
E84 E84-E85 14.235 483316.902 8376533.631
E85 E85-E86 203.17 483303.295 8376537.796
E86 E86-E87 30.409 483111.858 8376605.841
E87 E87-E88 93.809 483082.594 8376614.016
E88 E88-E89 17.068 482990.717 8376632.956
E89 E89-E90 45.454 482973.874 8376635.685
E90 E90-E91 38.706 482928.735 8376641.034
E91 E91-E92 119.905 482778.008 8376689.456
E92 E92-E93 127.32 482778.008 8376689.456
E93 E93-E94 35.705 482697.202 8376781.366
Proyecto: “MEJORAMIENTO DEL SERVICIO DE TRANSITABILIDAD VIAL INTERURBANA EN EMP. PE-1S
(PASCANA)-IC 785 EMP. HASTA EMP. IC-782 (CHANGUILLO) DISTRITO DE CHANGUILLO DE LA PROVINCIA DE
NASCA DEL DEPARTAMENTO DE ICA”
PJ. & VC CONTRUCTORES S.A.C
E94 E94-E95 14.462 482695.168 8376816.823
E95 E95-E96 26.811 482696.916 8376831.179
E96 E96-E97 7.467 482688.43 8376855.679
E97 E97-E98 17.665 482683.177 8376860.985
E98 E98-E99 17.649 482672.763 8376875.176
E99 E99-E100 63.792 482665.469 8376891.247
E100 E100-E101 70.918 482616.936 8376887.268
E101 E101-E102 73.396 482602.776 8376817.779
E102 E102-E103 50.903 482547.230 8376807.930
E103 E103-E104 71.17 482521.804 8376852.027
E104 E104-E105 30.916 482501.841 8376919.448
E105 E105-E106 20.089 482498.289 8376950.11
E106 E106-E107 40.899 482495.007 8376969.929
E107 E107-E108 35.967 482464.729 8376990.292
E108 E108-E109 24.267 482429.758 8376981.888
E109 E109-E110 33.811 482405.916 8376977.418
E110 E110-E111 27.583 482372.412 8376972.876
E111 E111-E112 2.954 482349.447 8376958.876
E112 E112-E113 19.244 482347.781 8376956.437
E113 E113-E114 43.771 482335.700 8376941.483
E114 E114-E115 27.031 482305.556 8376909.747
E115 E115-E116 45.2 482280.491 8376903.92
E116 E116-E117 54.2190 482243.9210 8376887.133
E117 E117-E118 28.98 482199.941 8376882.73
E118 E118-E119 59.837 482176.159 8376897.316
E119 E119-E120 38.551 482116.367 8376899.635
E120 E120-E121 46.97 482088.285 8376877.784
E121 E121-E122 26.907 482075.418 8376832.611
E122 E122-E123 9.055 482058.21 8376813.498
E123 E123-E124 20.569 482049.756 8376810.255
E124 E124-E125 16.875 482036.492 8376795.295
E125 E125-E126 87.123 482032.107 8376778.999
E126 E126-E127 58.655 481979.466 8376795.952
Proyecto: “MEJORAMIENTO DEL SERVICIO DE TRANSITABILIDAD VIAL INTERURBANA EN EMP. PE-1S
(PASCANA)-IC 785 EMP. HASTA EMP. IC-782 (CHANGUILLO) DISTRITO DE CHANGUILLO DE LA PROVINCIA DE
NASCA DEL DEPARTAMENTO DE ICA”
PJ. & VC CONTRUCTORES S.A.C
E127 E127-E128 53.946 481996.044 8376852.216
E128 E128-E129 26.883 481979.607 8376900.658
E129 E129-E130 46.091 481959.432 8376918.423
E130 E130-E131 96.002 481918.178 8376937.514
E131 E131-E132 49.608 481823.188 8376951.418
E132 E132-E133 5.99 481773.781 8376950.939
E133 E133-E134 32.941 481767.873 8376949.957
E134 E134-E135 42.95 481735.08 8376947.25
E135 E135-E136 16.634 481692.13 8376947.25
E136 E136-E137 33.55 481675.507 8376947.700
E137 E137-E138 62.715 481641.995 8376949.303
E138 E138-E139 14.864 481581.569 8376964.27
E139 E139-E140 60.253 481568.336 8376971.039
E140 E140-E141 20.056 481510.711 8376970.128
E141 E141-E142 40.253 481493.836 8376959.289
E142 E142-E143 88.146 481456.612 8376961.68
E143 E143-E144 39.392 481391.224 8377020.790
E144 E144-E145 59.111 481354.512 8377029.876
E145 E145-E146 26.272 481297.236 8377015.265
E146 E146-E147 92.945 481271.191 8377013.938
E147 E147-E148 66.596 481179.492 8377029.111
E148 E148-E149 7.638 481154.422 8377080.295
E149 E149-E150 18.603 481158.213 8377086.926
E150 E150-E151 18.273 481162.017 8377104.833
E151 E151-E152 16.103 481160.180 8377123.013
E152 E152-E153 75.681 481159.639 8377139.096
E153 E153-E154 27.777 481162.171 8377214.734
E154 E154-E155 127.671 481163.004 8377242.498
E155 E155-E156 19.615 481171.210 8377369.905
E156 E156-E157 186.353 481171.702 8377389.508
E157 E157-E158 49.319 481169.067 8377575.843
E158 E158-E159 351.553 481141.873 8377613.258
E159 E159;E160 43.502 480814.744 8377742.004
Proyecto: “MEJORAMIENTO DEL SERVICIO DE TRANSITABILIDAD VIAL INTERURBANA EN EMP. PE-1S
(PASCANA)-IC 785 EMP. HASTA EMP. IC-782 (CHANGUILLO) DISTRITO DE CHANGUILLO DE LA PROVINCIA DE
NASCA DEL DEPARTAMENTO DE ICA”
PJ. & VC CONTRUCTORES S.A.C
E160 E160-E161 161.04 480773.138 8377754.502
E161 E161-E162 4.536 480615.345 8377786.683
E162 E162-E163 56.458 480610.877 8377787.463
E163 E163-E164 33.927 480555.008 8377795.592
E164 E164-E165 142.301 480522.008 8377803.294
E165 E165-E166 6.118 480386.67 8377847.262
E166 E166-E167 47.459 480380.958 8377849.446
E167 E167-E168 46.997 480337.548 8377868.628
E168 E168-E169 76.967 480292.734 8377882.422
E169 E169-E170 65.907 480217.026 8377896.285
E170 E170-E171 43.43 480155.302 8377918.528
E171 E171-E172 30.679 480117.412 8377939.754
E172 E172-E173 43.502 480088.262 8377948.500
E173 E173-E174 58.577 480044.98 8377952.874
E174 E174-E175 25.922 479987.578 8377944.587
E175 E175-E176 9.219 479963.577 8377934.793
E176 E176-E177 16.928 479954.860 8377931.809
E177 E177-E178 66.778 479938.555 8377927.258
E178 E178-E179 23.699 479874.381 8377936.639
E179 E179-E180 25.706 479854.856 8377950.071
E180 E180-E181 36.183 479831.505 8377960.469
E181 E181-E182 21.179 479796.319 8377968.905
E182 E182-E183 31.412 479775.335 8377971.386
E183 E183-E184 25.874 479743.923 8377971.386
E184 E184-E185 83.494 479718.196 8377971.386
E185 E185-E186 50.143 479718.196 8377973.77
E186 E186-E187 56.151 479636.266 8377989.854
E187 E187-E188 58.357 479600.617 8377963.208
E188 E188-E189 10.449 479555.007 8377881.559
E189 E189-E190 32.287 479545.510 8377885.919
E190 E190-E191 67.674 479514.519 8377894.462
E191 E191-E192 26.544 479447.235 8377901.725
E192 E192-E193 109.731 479421.111 8377906.314
Proyecto: “MEJORAMIENTO DEL SERVICIO DE TRANSITABILIDAD VIAL INTERURBANA EN EMP. PE-1S
(PASCANA)-IC 785 EMP. HASTA EMP. IC-782 (CHANGUILLO) DISTRITO DE CHANGUILLO DE LA PROVINCIA DE
NASCA DEL DEPARTAMENTO DE ICA”
PJ. & VC CONTRUCTORES S.A.C
E193 E193-E194 10.439 479314.532 8377932.424
E194 E194-E195 317.394 479304.333 8377934.642
E195 E195-E196 13.579 478992.535 8377993.979
E196 E196-E197 46.758 478979.119 8377996.063
E197 E197-E198 28.381 478932.698 8378001.668
E198 E198-E199 31.785 478905.378 8378008.996
E199 E199-E200 13.175 478876.152 8378021.490
E200 E200-E201 56.847 478863.732 8378025.857
E201 E201-E202 12.168 478808.978 8378041.142
E202 E202-E203 8.939 478797.008 8378043.206
E203 E203-E204 16.54 478788.091 8378043.827
E204 E204-E205 25.109 478771.956 8378047.22
E205 E205-E206 37.328 478748.327 8378055.714
E206 E206-E207 15.009 478715.713 8378073.558
E207 E207-E208 33.552 478703.82 8378082.715
E208 E208-E209 2.973 478685.801 8378110.272
E209 E209;E210 41.724 478685.084 8378113.157
E210 E210-E211 11.495 478660.211 8378145.150
E211 E211-E212 13.823 478650.083 8378150.587
E212 E212-E213 62.815 478638.957 8378158.716
E213 E213-E214 39.485 478592.643 8378201.151
E214 E214-E215 35.946 478556.467 8378214.228
E215 E215-E216 29.019 478520.532 8378213.325
E216 E216-E217 4.767 478497.989 8378197.720
E217 E217-E218 12.464 478496.199 8378193.302
E218 E218-E219 26.66 478486.327 8378187.075
E219 E219-E220 18.39 478459.678 8378187.859
E220 E220-E221 200.837 478449.668 8378175.498
E221 E221-E222 17.249 478495.634 8377979.992
E222 E222-E223 9.064 478498.67 8377963.022
E223 E223-E224 25.993 478499.783 8377954.026
E224 E224-E225 31.461 478505.052 8377928.602
E225 E225-E226 44.899 478513.915 8377898.416
Proyecto: “MEJORAMIENTO DEL SERVICIO DE TRANSITABILIDAD VIAL INTERURBANA EN EMP. PE-1S
(PASCANA)-IC 785 EMP. HASTA EMP. IC-782 (CHANGUILLO) DISTRITO DE CHANGUILLO DE LA PROVINCIA DE
NASCA DEL DEPARTAMENTO DE ICA”
PJ. & VC CONTRUCTORES S.A.C
E226 E226;E227 23.715 478493.487 8377863.407
E227 E227;E228 20.431 478470.705 8377856.82
E228 E228-E229 13.38 478452.011 8377848.715
E229 E229-E230 38.435 478440.514 8377841.873
E230 E230-E231 20.294 478403.599 8377839.789
E231 E231-E232 23.966 478385.103 8377848.139
E232 E232-E233 20.484 478367.410 8377863.771
E233 E233-E234 23.148 478356.746 8377881.261
E234 E234-E235 386.879 478341.675 8377898.691
E235 E235-E236 26.163 478043.919 8378145.707
E236 E236-E237 4.31 478025.338 8378164.079
E237 E237-E238 46.6 478022.548 8378167.365
E238 E238-E239 15.017 477987.400 8378197.675
E239 E239-E240 31.243 477974.647 8378205.605
E240 E240-E241 210.853 477946.594 8378219.230
E241 E241-E242 18.044 477748.380 8378291.133
E242 E242-E243 167.249 477731.630 8378297.834
E243 E243-E244 35.176 477579.873 8378368.132
E244 E244-E245 32.671 477546.425 8378378.575
E245 E245-E246 46.697 477514.186 8378383.872
E246 E246-E247 10.237 477470.715 8378400.107
E247 E247-E248 33.323 477462.178 8378405.755
E248 E248-E249 157.923 477432.205 8378420.072
E249 E249-E250 28.824 477281.655 8378467.763
E250 E250-E251 109.921 477253.646 8378474.461
E251 E251-E252 24.68 477145.496 8378494.114
E252 E252-E253 95.214 477121.078 8378497.668
E253 E253-E254 40.313 477026.264 8378506.375
E254 E254-E255 22.157 476986.761 8378514.069
E255 E255-E256 35.466 476965.549 8378520.472
E256 E256-E257 97.803 476930.868 8378527.664
E257 E257-E258 22.737 476833.720 8378538.966
E258 E258-E259 56.132 476811.294 8378542.659
Proyecto: “MEJORAMIENTO DEL SERVICIO DE TRANSITABILIDAD VIAL INTERURBANA EN EMP. PE-1S
(PASCANA)-IC 785 EMP. HASTA EMP. IC-782 (CHANGUILLO) DISTRITO DE CHANGUILLO DE LA PROVINCIA DE
NASCA DEL DEPARTAMENTO DE ICA”
PJ. & VC CONTRUCTORES S.A.C
E259 E259-E260 11.668 476756.401 8378554.391
E260 E260-E261 44.581 476744.936 8378556.551
E261 E261-E262 49.1 476700.938 8378563.739
E262 E262-E263 20.37 476653.625 8378576.540
E263 E263-E264 33.39 476634.607 8378583.840
E264 E264-E265 53.341 476602.621 8378593.256
E265 E265-E266 32.348 476553.139 8378612.501
E266 E266-E267 22.473 476525.361 8378629.077
E267 E267-E268 60.433 476505.319 8378639.202
E268 E268-E269 46.369 476449.600 8378662.601
E269 E269-E270 70.055 476404.860 8378674.152
E270 E270-E271 32.216 476335.211 8378681.686
E271 E271-E272 281.355 476303.745 8378688.341
E272 476035.725 8378773.931
LONGITUD DE CARRETERA 12.257 KM
SERVIDUMBRE A 10m A CADA LADO DEL EJE DE VIA
Proyecto: “MEJORAMIENTO DEL SERVICIO DE TRANSITABILIDAD VIAL INTERURBANA EN EMP. PE-1S
(PASCANA)-IC 785 EMP. HASTA EMP. IC-782 (CHANGUILLO) DISTRITO DE CHANGUILLO DE LA PROVINCIA DE
NASCA DEL DEPARTAMENTO DE ICA”
PJ. & VC CONTRUCTORES S.A.C
6. VIAS DE ACCESO
Para arribar a la ciudad de Nazca desde Lima existe 01 ruta:
 Lima – Nazca : Un recorrido de 443kms. En bus el viaje dura aproximadamente 6.59horas,
a través de una carretera asfaltada llegará a Nazca.
 Nazca – Ingenio: Una ruta de 40.5 Km, por la vía panamericana. De ahí su recorrido será
hasta los centros poblados de la Banda y Changuillo ubicados en los distritos de Ingenio
y Changuillo, la carretera tiene un recorrido de 12.257 km y un tiempo de viaje de 15 a 25
minutos.
 La Pascana – C.P La Banda : Una ruta de 9.2 km,por via vecinal de afirmado con un tiempo
de viaje 20 minutos.
 La Pascana – C.P Changuillo : Una ruta de 12.257 km.por via vecinal de afirmado con un
tiempo de viaje de 28 minutos.
TABLA N° 1: Vías de Comunicación y Accesos
Lima – Area del proyecto
Tramo Longitud
Horas
Recorrido
Tipo de Vía
Lima - Ica 325 km 5.00 horas Carretera asfaltada
Ica - Nazca 130 km 3.00 horas Carretera asfaltada
Nazca - Ingenio 40.8 km 0.49 horas Carretera asfaltada
Nazca – Pascana 29.8 km 0.34 horas Carretera asfaltada
Pascana – C.P.La
Banda
9.2 km 0.20 horas Afirmado
Pascana –
C.P.Changuillo
12.257 0.28 horas Afirmado
Proyecto: “MEJORAMIENTO DEL SERVICIO DE TRANSITABILIDAD VIAL INTERURBANA EN EMP. PE-1S
(PASCANA)-IC 785 EMP. HASTA EMP. IC-782 (CHANGUILLO) DISTRITO DE CHANGUILLO DE LA PROVINCIA DE
NASCA DEL DEPARTAMENTO DE ICA”
PJ. & VC CONTRUCTORES S.A.C
Gráfico de acceso desde la ciudad de Lima
Gráfico de acceso desde la Pascana hasta el C.P La Banda
Proyecto: “MEJORAMIENTO DEL SERVICIO DE TRANSITABILIDAD VIAL INTERURBANA EN EMP. PE-1S
(PASCANA)-IC 785 EMP. HASTA EMP. IC-782 (CHANGUILLO) DISTRITO DE CHANGUILLO DE LA PROVINCIA DE
NASCA DEL DEPARTAMENTO DE ICA”
PJ. & VC CONTRUCTORES S.A.C
7. COLINDANTES
ESTE : Sector La Pascana (Distrito de Ingenio)
NORTE : Con el C.P Changuillo (Distrito de Changuillo)
SUR : Zona eriaza,cerros(Distrito de Ingenio)
OESTE : Zona eriaza,rio,campo de cultivo(Distrito de Ingenio)

MEMORIA DESCRIPTIVA CIRA INGENIO.pdf

  • 1.
    Proyecto: “MEJORAMIENTO DELSERVICIO DE TRANSITABILIDAD VIAL INTERURBANA EN EMP. PE-1S (PASCANA)-IC 785 EMP. HASTA EMP. IC-782 (CHANGUILLO) DISTRITO DE CHANGUILLO DE LA PROVINCIA DE NASCA DEL DEPARTAMENTO DE ICA” PJ. & VC CONTRUCTORES S.A.C MEMORIA DESCRIPTIVA 1. ASPECTOS GENERALES 1.1. Nombre del Proyecto MEJORAMIENTO DEL SERVICIO DE TRANSITABILIDAD VIAL INTERURBANA EN EMP. PE-1S (PASCANA) – IC 785 EMP. HASTA EMP. IC-782 (CHANGUILLO) DEL DISTRITO DE CHANGUILLO – PROVINCIA DE NASCA – DEPARTAMENTO DE ICA UNIDAD EJECUTORA: MUNICIPALIDAD PROVINCIAL DE NAZCA 2. DESCRIPCION DEL PROYECTO 2.1. ANTECEDENTES La Municipalidad Provincial de Nasca ha venido desarrollando distintas acciones con el fin de contribuir al desarrollo urbano y rural en particular y a suspender la pobreza en el distrito; los mismos que se han venido dando a través de un mayor acceso tanto a bienes públicas como privadas, concentrando su esfuerzo en actividades asociadas al desarrollo Integral del Distrito; en el Capital humano, capital social, capital institucional, capital físico público y privado, entre otros. La Municipalidad Provincial de Nasca está realizando esfuerzos importantes para incrementar el capital físico público, incrementar la capacidad y mejorar las necesidades básicas de las comunidades, centros poblados y caseríos dentro de su jurisdicción, con la finalidad de reducir costos logísticos, reducir costos de transacción, promover la movilidad de bienes y personas, favorecer accesos a servicios públicos, oportunidades económicas y apoyar el desarrollo de actividades productivas, sociales y recreativas que redundaran en la creación y desarrollo de mercados. Para concretar su realización, el presente proyecto se encuentra priorizado como parte de las políticas de Gestión de la Municipalidad Provincial de Nasca; así como en el programa de Inversiones mediante Canon sobre canon; la Municipalidad ha creído conveniente ejecutar la elaboración del estudio de pre inversión a nivel de FICHA TÉCNICA GENERAL PARA PROYECTOS DE INVERSIÓN DE BAJA Y MEDIANA COMPLEJIDAD del proyecto de Inversión: “MEJORAMIENTO DEL SERVICIO DE TRANSITABILIDAD VIAL INTERURBANA EN EMP. PE-1S (PASCANA)-IC 785 EMP. HASTA EMP. IC-782 (CHANGUILLO) DISTRITO DE CHANGUILLO DE LA PROVINCIA DE NASCA DEL DEPARTAMENTO DE ICA”, el cual es un nombre tentativo que podrá ser modificado de acuerdo al estudio realizado. Ante la necesidad de contar con los estudios de pre inversión para conformar parte de la cartera de proyectos de la Municipalidad Provincial de Nasca y ser canalizados a través de los programas de Gobierno o ser Ejecutados con Recursos Propios para su pronta ejecución, la Municipalidad Provincial de Nasca a dispuesto la formulación del estudio a nivel de FICHA TÉCNICA GENERAL PARA PROYECTOS DE INVERSIÓN DE BAJA Y MEDIANA COMPLEJIDAD.
  • 2.
    Proyecto: “MEJORAMIENTO DELSERVICIO DE TRANSITABILIDAD VIAL INTERURBANA EN EMP. PE-1S (PASCANA)-IC 785 EMP. HASTA EMP. IC-782 (CHANGUILLO) DISTRITO DE CHANGUILLO DE LA PROVINCIA DE NASCA DEL DEPARTAMENTO DE ICA” PJ. & VC CONTRUCTORES S.A.C Las actividades que se realizan previamente a la construcción es el saneamiento físico legal, por este motivo es que se solicita el Certificado de Inexistencia de restos Arqueológicos (CIRA) a la Sede Descentralizada del Ministerio de Cultura, solamente de las partes libre de restos arqueológicos, para poder continuar con el saneamiento y los futuros estudios para la construcción de la carretera. Marco Normativo en el cual se basa el presente estudio de Preinversión:  Decreto Legislativo N° 1252, que crea el Sistema Nacional de Programación Multianual y Gestión de Inversiones, del 30.Nov. 2016 y publicado el 01 .Dic .2017.  Reglamento del Decreto Legislativo N° 1252 - Sistema Nacional de Programación Multianual y Gestión de Inversiones, aprobado mediante Decreto Supremo N° 027-2017-EF, del 22. Feb. 2017 y publicado el 23. Feb. 2017.  Directiva N° 001-2017-EF/63.01 - Para la Programación Multianual en el Marco del Sistema Nacional de Programación Multianual y Gestión de Inversiones, aprobada con Resolución Directoral N° 001-2017-EF/63.01 del 06. Abr. 2017 y publicado el 08. Abr. 2017.  Directiva N° 002-2017-EF/63.01 - Para la Formulación y Evaluación en el Marco del Sistema Nacional de Programación Multianual y Gestión de Inversiones, aprobada con Resolución Directoral N° 002-2017-EF/63.01 del 07.Abr. 2017 y publicado el 22.Abr. 2017. El Estudio de Preinversion a nivel de Factibilidad ha sido reformulada con la nueva directiva N° 002-2017-EF/63.01 cuenta con los Contenidos Mínimos del Estudio de Preinversion a nivel de FICHA TÉCNICA GENERAL PARA PROYECTOS DE INVERSIÓN DE BAJA Y MEDIANA COMPLEJIDAD con la finalidad de optimizar el uso de los recursos públicos destinados a la inversión, mediante el establecimiento de principios, procesos, metodologías y normas técnicas relacionados con las diversas fases del ciclo de proyectos de inversión. De acuerdo con el Clasificador de Responsabilidad Funcional del Sistema Nacional de Programación Multianual y Gestión de Inversiones, perteneciente a los anexos de la Nueva Directiva para la Programación Multianual aprobada por Resolución Ministerial N°035-2018- EF/15 (ANEXO N° 07) el presente proyecto se enmarca en: FUNCIÓN 15: Transporte Corresponde las acciones para los objetivos vinculados al desarrollo de la infraestructura Aérea, Terrestre e Hidroviario, así como al empleo de los diversos medios de transporte. PROGRAMA 033: Transporte Terrestre Conjunto de acciones orientadas al planeamiento, coordinación, ejecución y control necesarias para el desempeño de las acciones destinadas al servicio de transporte terrestre.
  • 3.
    Proyecto: “MEJORAMIENTO DELSERVICIO DE TRANSITABILIDAD VIAL INTERURBANA EN EMP. PE-1S (PASCANA)-IC 785 EMP. HASTA EMP. IC-782 (CHANGUILLO) DISTRITO DE CHANGUILLO DE LA PROVINCIA DE NASCA DEL DEPARTAMENTO DE ICA” PJ. & VC CONTRUCTORES S.A.C SUBPROGRAMA 0066: Vías Vecinales Comprende las acciones de planeamiento, supervisión, expropiación, construcción, mantenimiento, mejoramiento, rehabilitación y otras acciones inherentes a la red vial vecinal orientadas a garantizar su operatividad. LA MUNICIPALIDAD PROVINCIAL DE NAZCA, como Unidad Formuladora, es una institución jurídica de derecho público, cuenta con autonomía técnica, administrativa y económica; está encargado de la ejecución de proyectos de infraestructura que tiene por finalidad esencial fomentar el desarrollo regional integral sostenible, promoviendo la inversión pública y privada con el fin de brindar a los usuarios igualdad y oportunidades de sus habitantes, y que contribuya a la integración económica y social del país. Asimismo, todos los derechos y obligaciones han sido formulado teniendo en consideración la constitución política del estado. Ley de las bases de la Descentralización, Ley orgánica de gobiernos regionales, Ley Marco de la modernización de la gestión del estado, así como, los lineamientos establecidos en el Decreto Supremo Nro. 043- 2006-PCM. La Sub Gerencia de Estudios y Proyectos, está encargada de formular, proponer, ejecutar, dirigir, controlar y administrar los planes y políticas de la Municipalidad Provincial de Nazca en materia de transportes, comunicaciones, telecomunicaciones y construcción de acuerdo con los planes regionales, nacionales y sectoriales; así como, desarrollar funciones normativas, reguladoras, de supervisión, evaluación y control de las funciones específicas regionales en los sectores antes mencionados. Participación de las entidades Involucradas Las entidades involucradas directa e indirectamente en el proyecto están conformadas por la Municipalidad Provincial de Nazca, Ministerio de Transportes, representado por PROVIAS Nacional, los municipios de las provincias y distritos involucrados, y la población beneficiaria del proyecto. El Ministerio de Transportes y Comunicaciones, a través de PROVIAS Nacional, por tratarse de una carretera de nivel de Ruta Nacional, es el responsable de formular, ejecutar y supervisar el proyecto, de acuerdo con lo previsto y programado en el Presupuesto Anual del Sector.
  • 4.
    Proyecto: “MEJORAMIENTO DELSERVICIO DE TRANSITABILIDAD VIAL INTERURBANA EN EMP. PE-1S (PASCANA)-IC 785 EMP. HASTA EMP. IC-782 (CHANGUILLO) DISTRITO DE CHANGUILLO DE LA PROVINCIA DE NASCA DEL DEPARTAMENTO DE ICA” PJ. & VC CONTRUCTORES S.A.C Distritos: Ingenio y Changuillo En la Población de edades para los Distritos del Área de Influencia Directa, los más destacados están entre 15 a 29 años representando un 30.6%, seguidamente las edades comprendidas entre 30 a 49 años representando el 27% de la población involucrada y por último un 18.5% comprendidas entre 5 a 14 años, esto representa el creciente bono demográfico para el Área de influencia del Proyecto. En la Población por Genero tiene una tendencia igualitaria entre hombres y mujeres en el área de influencia por lo que representan 49.92% y 50.08% respectivamente con un índice de masculinidad en uno. Para la Población Económicamente Activa en el Área de Influencia Directa del proyecto tenemos la Población económica ocupada y desocupada por lo que representa para la ocupada un 96.6% esto significa la población en edad a trabajar teniendo vigente sus puestos laborales y el 3.4% que es la desocupada se entiende que hay población que está buscando un puesto de trabajo que genere ingresos. Considerando los alcances que tiene el presente proyecto, en lo que respecta a los usuarios de la vía y en especial las empresas transportadoras de carga y pasajeros beneficiarios directos que hoy en día enfrentan innecesariamente el uso de vías que en gran medida son de uso urbano, como es el caso de las poblaciones que se encuentran a lo largo de la vía actual del proyecto, caracterizadas por ser estrechas, congestionadas y con variados desarrollos; con el proyecto, contarían con mejores condiciones de transitabilidad, que le permitan reducir tiempos y costo de transportes. 2.2. TIPO DE OBRA: Estudio a nivel de Preinversión para el proyecto de la construcción de la carretera “MEJORAMIENTO DEL SERVICIO DE TRANSITABILIDAD VIAL INTERURBANA EN EMP. PE-1S (PASCANA) – IC 785 EMP. HASTA EMP. IC-782 (CHANGUILLO) DEL DISTRITO DE CHANGUILLO – PROVINCIA DE NASCA – DEPARTAMENTO DE ICA” Esta carretera está clasificada por la demanda, como carretera de Tercera Clase y por la Orografía, como carretera de Tipo 3 y Tipo 4, con una velocidad de diseño de 30 km / hora.
  • 5.
    Proyecto: “MEJORAMIENTO DELSERVICIO DE TRANSITABILIDAD VIAL INTERURBANA EN EMP. PE-1S (PASCANA)-IC 785 EMP. HASTA EMP. IC-782 (CHANGUILLO) DISTRITO DE CHANGUILLO DE LA PROVINCIA DE NASCA DEL DEPARTAMENTO DE ICA” PJ. & VC CONTRUCTORES S.A.C 3. UBICACIÓN POLITICA  Distrito : INGENIO - CHANGUILLO  Provincia : NAZCA  Región : ICA  Localidad : PE-1S (PASCANA)-IC 785 EMP. HASTA EMP. IC-782 (CHANGUILLO) MAPA N° 1: UBICACIÓN POLITICA MAPA POLITICO DEL PERU MAPA DE LOS DISTRITOS DE INGENIO Y CHANGUILLIO MAPA DEPARTAMENTAL DE ICA
  • 6.
    Proyecto: “MEJORAMIENTO DELSERVICIO DE TRANSITABILIDAD VIAL INTERURBANA EN EMP. PE-1S (PASCANA)-IC 785 EMP. HASTA EMP. IC-782 (CHANGUILLO) DISTRITO DE CHANGUILLO DE LA PROVINCIA DE NASCA DEL DEPARTAMENTO DE ICA” PJ. & VC CONTRUCTORES S.A.C Mapa N° 2 de ubicación satelital del area del proyecto 4. DESCRIPCION TECNICA DEL PROYECTO 4.1 CLASIFICACION DE LA CARRETERA 4.1.1 CLASIFICACIÓN POR LA DEMANDA El índice medio diario (IMD) es el parámetro preponderante para determinar la clasificación de la carretera en función de la demanda se clasifica de loa siguiente manera: Autopistas de Tercera Clase Son carreteras con IMDA menores a 400 veh/dia ,con calzada de dos carriles de 3.00m de ancho como minimo.De manera excepcional estas vías podrán tener carriles hasta 2.50m, contando con el sustento técnico correspondiente. Estas carreteras pueden funcionar con soluciones denominadas básicas o económicas,consistentes en la aplicación de estabilizadores de suelos,emulsiones asfálticas y/o micro pavimentos;o en afirmado,en la superficie de rodadura.En caso de ser pavimentadas deberán cumplirse con las condiciones geométricas estipuladas para las carreteras de segunda clase. 4.2 CLASIFICACIÓN POR LA OROGRAFÍA Las carreteras según condiciones orográficas se clasifican de la siguiente forma:
  • 7.
    Proyecto: “MEJORAMIENTO DELSERVICIO DE TRANSITABILIDAD VIAL INTERURBANA EN EMP. PE-1S (PASCANA)-IC 785 EMP. HASTA EMP. IC-782 (CHANGUILLO) DISTRITO DE CHANGUILLO DE LA PROVINCIA DE NASCA DEL DEPARTAMENTO DE ICA” PJ. & VC CONTRUCTORES S.A.C Terreno Accidentando (Tipo 3) Tiene pendientes transversales al eje de la vía entre 51% y el 100% y sus pendientes longitudinales predominantes se encuentran entre 6% y 8%, por lo que requiere importantes movimientos de tierras, razón por la cual presenta dificultades en el trazo. Terreno Escarpado (Tipo 4) Tiene pendientes transversales al eje de la vía superiores al 100% y sus pendientes longitudinales excepcionales son superiores al 8%, exigiendo el máximo de movimiento de tierras, razón por la cual presenta grandes dificultades en su trazo. La carretera en proyecto, se clasifica por la orografía como carretera de Tipo 3 y Tipo 4. En conclusión, la carretera en proyecto, se clasifica:  Por la demanda, como carretera de Tercera Clase.  Por la orografía como carretera de Tipo 3 y Tipo 4. 4.3 VELOCIDAD DE DISEÑO Para la determinar la velocidad de diseño se recurrió a la Tabla 204.01 del Manual de Diseño Geométrico DG-2018, considerando que la vía se clasifica por la demanda como carretera de Primera Clase y por la orografía como de Tipo 3 o Tipo 4, por lo que ingresando a la Tabla 204.01, se obtuvo como resultado que correspondía a la velocidad de 30 Km/h.
  • 8.
    Proyecto: “MEJORAMIENTO DELSERVICIO DE TRANSITABILIDAD VIAL INTERURBANA EN EMP. PE-1S (PASCANA)-IC 785 EMP. HASTA EMP. IC-782 (CHANGUILLO) DISTRITO DE CHANGUILLO DE LA PROVINCIA DE NASCA DEL DEPARTAMENTO DE ICA” PJ. & VC CONTRUCTORES S.A.C Fuente: Manual de Diseño Geométrico de Carreteras 2018. 4.4 DISEÑO GEOMETRICO DISEÑO DE LA SECCIÓN TRANSVERSAL La sección transversal es un corte vertical normal al alineamiento horizontal, el cual permite definir la disposición y dimensiones de los elementos que conforman la vía en el punto correspondiente a cada sección y su relación con el terreno natural. Los elementos que integran y definen la sección transversal son: derecho de vía, calzada, bermas, carriles, cunetas, taludes y elementos complementarios. Calzada. Es la parte de la carretera destinada la circulación de vehículos, se compone de un cierto número de carriles.
  • 9.
    Proyecto: “MEJORAMIENTO DELSERVICIO DE TRANSITABILIDAD VIAL INTERURBANA EN EMP. PE-1S (PASCANA)-IC 785 EMP. HASTA EMP. IC-782 (CHANGUILLO) DISTRITO DE CHANGUILLO DE LA PROVINCIA DE NASCA DEL DEPARTAMENTO DE ICA” PJ. & VC CONTRUCTORES S.A.C Considerando las velocidades de diseño definidas para el presente estudio, de 30 km/h, se ha proyectado cuatro carriles el ancho de calzada 2.50 m, en las curvas horizontales se ha agregado, el valor del sobreancho, que es función del radio de la curva, de la velocidad de diseño y de la longitud entre ejes del vehículo que transita por la vía. Bermas Son las franjas situadas a ambos lados de la superficie de rodadura, que contribuyen a resistir lateralmente las cargas que recibe aquella y que eventualmente pueden ser utilizadas por los vehículos en emergencia para estacionarse temporalmente, o para dar paso a otros vehículos. Fuente: Manual de Diseño Geométrico de Carreteras 2018. De acuerdo a lo señalado en la Tabla 304.02, para carreteras de segunda clase con velocidad de diseño de 30 km/h, le corresponde un ancho de bermas de 3.00 m. Bombeo. Es la inclinación transversal de la superficie de rodadura en los tramos en tangente con la finalidad de evacuar las aguas superficiales; el bombeo considerado en el presente proyecto ha sido de 2.5%.
  • 10.
    Proyecto: “MEJORAMIENTO DELSERVICIO DE TRANSITABILIDAD VIAL INTERURBANA EN EMP. PE-1S (PASCANA)-IC 785 EMP. HASTA EMP. IC-782 (CHANGUILLO) DISTRITO DE CHANGUILLO DE LA PROVINCIA DE NASCA DEL DEPARTAMENTO DE ICA” PJ. & VC CONTRUCTORES S.A.C Pendientes Pendientes mínimas En tramos en corte, se ha diseñado pendientes mayores a ± 0.5%. en razón de garantizar el drenaje. Pendientes Máximas Se tuvo en cuenta el cuadro de clasificación de Carreteras del (DG-2018). Fuente: Manual de Diseño Geométrico de Carreteras 2018. La pendiente máxima proyectada ha sido de 10%.
  • 11.
    Proyecto: “MEJORAMIENTO DELSERVICIO DE TRANSITABILIDAD VIAL INTERURBANA EN EMP. PE-1S (PASCANA)-IC 785 EMP. HASTA EMP. IC-782 (CHANGUILLO) DISTRITO DE CHANGUILLO DE LA PROVINCIA DE NASCA DEL DEPARTAMENTO DE ICA” PJ. & VC CONTRUCTORES S.A.C 4.5 DESCRIPCION DEL TRAZO PROYECTADO CARACTERÍSTICAS TÉCNICAS En el presente proyecto se han considerado los siguientes parámetros de diseño: Clasificación por la demanda : Tercera Clase Clasificación por la orografía : Tipo 3 y Tipo 4 Velocidad directriz : 30 km/h Velocidad en zonas críticas : 25 km/h Ancho de calzada : 2.50 m (02 carriles) Ancho de bermas externa : 0.50 m a cada lado del eje Pendiente Máxima : 10.0% Bombeo : 2.5% para pavimento asfáltico y Precipitación > 200 mm/año 4.6. Longitud y servidumbre: LONGITUD TOTAL DE LA CARRETERA SENTIDO ESTE A OESTE: 12.257 km SERVIDUMBRE: 10 metros a cada lado del eje de la carretera. ESPECIFICACIONES GEODESICAS:  Sistema de coordenadas :Planas  Proyección :Universal Transversal Mercator, UTM  Datum : World Geodetic System 1984 Wgs-84  Coordenadas : 485164.817 m E, 8376915.820 m N  Zona de proyección :18sur  Cuadricula UTM : L  Nombre : Palpa  Código : 30-m
  • 12.
    Proyecto: “MEJORAMIENTO DELSERVICIO DE TRANSITABILIDAD VIAL INTERURBANA EN EMP. PE-1S (PASCANA)-IC 785 EMP. HASTA EMP. IC-782 (CHANGUILLO) DISTRITO DE CHANGUILLO DE LA PROVINCIA DE NASCA DEL DEPARTAMENTO DE ICA” PJ. & VC CONTRUCTORES S.A.C 5. CUADRO DE DATOS TECNICOS SENTIDO DE TRAFICO O DIRECCION DE TRANSITO DE ESTE A OSTE DATOS TECNICOS DEL EJE DE CARRETERA SENTIDO DE TRAFICO ESTE A OSTE VERTICE TRAMO DISTANCIA ESTE NORTE E01 E01-E02 157.37 485164.817 8376915.820 E02 E02-E03 31.213 485078.576 8376784.185 E03 E03-E04 55.597 485079.874 8376754.989 E04 E04-E05 5.087 485114.342 8376711.366 E05 E05-E06 14.29 485117.287 8376707.222 E06 E06-E07 3.399 485124.076 8376694.661 E07 E07-E08 20.24 485125.510 8376691.579 E08 E08-E09 29.936 485134.61 8376673.50 E09 E09-E10 46.762 485143.897 8376645.159 E10 E10-E11 16.179 485151.669 8376599.047 E11 E11-E12 16.191 485155.423 8376583.322 E12 E12-E13 34.901 485160.236 8376567.863 E13 E13-E14 36.815 485160.612 8376533.454 E14 E14-E15 9.646 485150.442 8376498.072 E15 E15-E16 16.605 485148.533 8376488.628 E16 E16-E17 17.047 485146.559 8376472.140 E17 E17-E18 57.916 485142.443 8376455.657 E18 E18-E19 40.577 485119.164 8376402.626 E19 E19-E20 18.279 485111.044 8376363.153 E20 E20-E21 24.452 485111.044 8376344.874 E21 E21-E22 28.862 485099.345 8376324.506 E22 E22-E23 33.399 485075.297 8376308.547 E23 E23-E24 25.723 485066.306 8376278.911 E24 E24-E25 12.592 485068.853 8376253.728 E25 E25-E26 15.752 485067.846 8376241.227 E26 E26-E27 24.813 485069.029 8376225.519 E27 E27-E28 21.419 485062.745 8376202.081
  • 13.
    Proyecto: “MEJORAMIENTO DELSERVICIO DE TRANSITABILIDAD VIAL INTERURBANA EN EMP. PE-1S (PASCANA)-IC 785 EMP. HASTA EMP. IC-782 (CHANGUILLO) DISTRITO DE CHANGUILLO DE LA PROVINCIA DE NASCA DEL DEPARTAMENTO DE ICA” PJ. & VC CONTRUCTORES S.A.C E28 E28-E29 37.762 485050.521 8376184.493 E29 E29-E30 44.007 485053.059 8376149.939 E30 E30-E31 10.307 485048.947 8376111.617 E31 E31-E32 34.945 485040.282 8376106.034 E32 E32-E33 44.412 485008.535 8376111.231 E33 E33-E34 31.237 484978.365 8376143.823 E34 E34-E35 1.974 484966.507 8376171.872 E35 E35-E36 54.789 484966.501 8376173.846 E36 E36-E37 30.564 484928.994 8376202.894 E37 E37-E38 35.162 484898.648 8376200.372 E38 E38-E39 21.019 484867.305 8376214.753 E39 E39-E40 42.447 484852.32 8376229.492 E40 E40-E41 5.855 484812.734 8376240.188 E41 E41-E42 19.101 484807.032 8376238.862 E42 E42-E43 16.733 484788.112 8376239.056 E43 E43-E44 27.087 484771.896 8376243.179 E44 E44-E45 27.324 484745.43 8376240.802 E45 E45-E46 32.094 484720.048 8376230.684 E46 E46-E47 29.984 484688.657 8376225.063 E47 E47-E48 30.141 484658.717 8376226.704 E48 E48-E49 17.267 484630.129 8376218.756 E49 E49-E50 34.232 484616.185 8376208.573 E50 E50-E51 76.308 484583.669 8376201.884 E51 E51-E52 34.528 484509.285 8376218.912 E52 E52-E53 40.239 484476.806 8376230.406 E53 E53-E54 12.701 484440.665 8376248.097 E54 E54-E55 22.288 484429.047 8376253.223 E55 E55-E56 23.529 484408.315 8376261.404 E56 E56-E57 25.778 484385.873 8376268.403 E57 E57-E58 20.728 484360.766 8376274.25 E58 E58-E59 13.45 484340.331 8376277.632 E59 E59-E60 20.179 484326.947 8376278.964 E60 E60-E61 43.161 484306.795 8376279.693
  • 14.
    Proyecto: “MEJORAMIENTO DELSERVICIO DE TRANSITABILIDAD VIAL INTERURBANA EN EMP. PE-1S (PASCANA)-IC 785 EMP. HASTA EMP. IC-782 (CHANGUILLO) DISTRITO DE CHANGUILLO DE LA PROVINCIA DE NASCA DEL DEPARTAMENTO DE ICA” PJ. & VC CONTRUCTORES S.A.C E61 E61-E62 51.511 484263.649 8376278.533 E62 E62-E63 14.646 484213.423 8376268.230 E63 E63-E64 63.918 484199.686 8376263.148 E64 E64-E65 20.426 484136.825 8376255.182 E65 E65-E66 44.889 484116.505 8376257.267 E66 E66-E67 43.555 484071.883 8376254.672 E67 E67-E68 42.928 484029.291 8376245.567 E68 E68-E69 19.27 483986.674 8376241.15 E69 E69-E70 27.169 483967.404 8376241.228 E70 E70-E71 23.334 483940.823 8376246.052 E71 E71-E72 48.64 483919.159 8376254.724 E72 E72-E73 13.496 483872.187 8376266.731 E73 E73-E74 45.313 483858.800 8376268.437 E74 E74-E75 53.939 483815.507 8376281.049 E75 E75-E76 26.752 483771.927 8376312.18 E76 E76-E77 15.394 483753.819 8376331.872 E77 E77-E78 107.376 483743.097 8376342.911 E78 E78-E79 69.387 483665.623 8376417.258 E79 E79-E80 110.449 483607.793 8376454.985 E80 E80-E81 31.326 483505.878 8376497.558 E81 E81-E82 87.969 483475.652 8376505.44 E82 E82-E83 17.914 483388.365 8376516.372 E83 E83-E84 55.643 483370.780 8376519.728 E84 E84-E85 14.235 483316.902 8376533.631 E85 E85-E86 203.17 483303.295 8376537.796 E86 E86-E87 30.409 483111.858 8376605.841 E87 E87-E88 93.809 483082.594 8376614.016 E88 E88-E89 17.068 482990.717 8376632.956 E89 E89-E90 45.454 482973.874 8376635.685 E90 E90-E91 38.706 482928.735 8376641.034 E91 E91-E92 119.905 482778.008 8376689.456 E92 E92-E93 127.32 482778.008 8376689.456 E93 E93-E94 35.705 482697.202 8376781.366
  • 15.
    Proyecto: “MEJORAMIENTO DELSERVICIO DE TRANSITABILIDAD VIAL INTERURBANA EN EMP. PE-1S (PASCANA)-IC 785 EMP. HASTA EMP. IC-782 (CHANGUILLO) DISTRITO DE CHANGUILLO DE LA PROVINCIA DE NASCA DEL DEPARTAMENTO DE ICA” PJ. & VC CONTRUCTORES S.A.C E94 E94-E95 14.462 482695.168 8376816.823 E95 E95-E96 26.811 482696.916 8376831.179 E96 E96-E97 7.467 482688.43 8376855.679 E97 E97-E98 17.665 482683.177 8376860.985 E98 E98-E99 17.649 482672.763 8376875.176 E99 E99-E100 63.792 482665.469 8376891.247 E100 E100-E101 70.918 482616.936 8376887.268 E101 E101-E102 73.396 482602.776 8376817.779 E102 E102-E103 50.903 482547.230 8376807.930 E103 E103-E104 71.17 482521.804 8376852.027 E104 E104-E105 30.916 482501.841 8376919.448 E105 E105-E106 20.089 482498.289 8376950.11 E106 E106-E107 40.899 482495.007 8376969.929 E107 E107-E108 35.967 482464.729 8376990.292 E108 E108-E109 24.267 482429.758 8376981.888 E109 E109-E110 33.811 482405.916 8376977.418 E110 E110-E111 27.583 482372.412 8376972.876 E111 E111-E112 2.954 482349.447 8376958.876 E112 E112-E113 19.244 482347.781 8376956.437 E113 E113-E114 43.771 482335.700 8376941.483 E114 E114-E115 27.031 482305.556 8376909.747 E115 E115-E116 45.2 482280.491 8376903.92 E116 E116-E117 54.2190 482243.9210 8376887.133 E117 E117-E118 28.98 482199.941 8376882.73 E118 E118-E119 59.837 482176.159 8376897.316 E119 E119-E120 38.551 482116.367 8376899.635 E120 E120-E121 46.97 482088.285 8376877.784 E121 E121-E122 26.907 482075.418 8376832.611 E122 E122-E123 9.055 482058.21 8376813.498 E123 E123-E124 20.569 482049.756 8376810.255 E124 E124-E125 16.875 482036.492 8376795.295 E125 E125-E126 87.123 482032.107 8376778.999 E126 E126-E127 58.655 481979.466 8376795.952
  • 16.
    Proyecto: “MEJORAMIENTO DELSERVICIO DE TRANSITABILIDAD VIAL INTERURBANA EN EMP. PE-1S (PASCANA)-IC 785 EMP. HASTA EMP. IC-782 (CHANGUILLO) DISTRITO DE CHANGUILLO DE LA PROVINCIA DE NASCA DEL DEPARTAMENTO DE ICA” PJ. & VC CONTRUCTORES S.A.C E127 E127-E128 53.946 481996.044 8376852.216 E128 E128-E129 26.883 481979.607 8376900.658 E129 E129-E130 46.091 481959.432 8376918.423 E130 E130-E131 96.002 481918.178 8376937.514 E131 E131-E132 49.608 481823.188 8376951.418 E132 E132-E133 5.99 481773.781 8376950.939 E133 E133-E134 32.941 481767.873 8376949.957 E134 E134-E135 42.95 481735.08 8376947.25 E135 E135-E136 16.634 481692.13 8376947.25 E136 E136-E137 33.55 481675.507 8376947.700 E137 E137-E138 62.715 481641.995 8376949.303 E138 E138-E139 14.864 481581.569 8376964.27 E139 E139-E140 60.253 481568.336 8376971.039 E140 E140-E141 20.056 481510.711 8376970.128 E141 E141-E142 40.253 481493.836 8376959.289 E142 E142-E143 88.146 481456.612 8376961.68 E143 E143-E144 39.392 481391.224 8377020.790 E144 E144-E145 59.111 481354.512 8377029.876 E145 E145-E146 26.272 481297.236 8377015.265 E146 E146-E147 92.945 481271.191 8377013.938 E147 E147-E148 66.596 481179.492 8377029.111 E148 E148-E149 7.638 481154.422 8377080.295 E149 E149-E150 18.603 481158.213 8377086.926 E150 E150-E151 18.273 481162.017 8377104.833 E151 E151-E152 16.103 481160.180 8377123.013 E152 E152-E153 75.681 481159.639 8377139.096 E153 E153-E154 27.777 481162.171 8377214.734 E154 E154-E155 127.671 481163.004 8377242.498 E155 E155-E156 19.615 481171.210 8377369.905 E156 E156-E157 186.353 481171.702 8377389.508 E157 E157-E158 49.319 481169.067 8377575.843 E158 E158-E159 351.553 481141.873 8377613.258 E159 E159;E160 43.502 480814.744 8377742.004
  • 17.
    Proyecto: “MEJORAMIENTO DELSERVICIO DE TRANSITABILIDAD VIAL INTERURBANA EN EMP. PE-1S (PASCANA)-IC 785 EMP. HASTA EMP. IC-782 (CHANGUILLO) DISTRITO DE CHANGUILLO DE LA PROVINCIA DE NASCA DEL DEPARTAMENTO DE ICA” PJ. & VC CONTRUCTORES S.A.C E160 E160-E161 161.04 480773.138 8377754.502 E161 E161-E162 4.536 480615.345 8377786.683 E162 E162-E163 56.458 480610.877 8377787.463 E163 E163-E164 33.927 480555.008 8377795.592 E164 E164-E165 142.301 480522.008 8377803.294 E165 E165-E166 6.118 480386.67 8377847.262 E166 E166-E167 47.459 480380.958 8377849.446 E167 E167-E168 46.997 480337.548 8377868.628 E168 E168-E169 76.967 480292.734 8377882.422 E169 E169-E170 65.907 480217.026 8377896.285 E170 E170-E171 43.43 480155.302 8377918.528 E171 E171-E172 30.679 480117.412 8377939.754 E172 E172-E173 43.502 480088.262 8377948.500 E173 E173-E174 58.577 480044.98 8377952.874 E174 E174-E175 25.922 479987.578 8377944.587 E175 E175-E176 9.219 479963.577 8377934.793 E176 E176-E177 16.928 479954.860 8377931.809 E177 E177-E178 66.778 479938.555 8377927.258 E178 E178-E179 23.699 479874.381 8377936.639 E179 E179-E180 25.706 479854.856 8377950.071 E180 E180-E181 36.183 479831.505 8377960.469 E181 E181-E182 21.179 479796.319 8377968.905 E182 E182-E183 31.412 479775.335 8377971.386 E183 E183-E184 25.874 479743.923 8377971.386 E184 E184-E185 83.494 479718.196 8377971.386 E185 E185-E186 50.143 479718.196 8377973.77 E186 E186-E187 56.151 479636.266 8377989.854 E187 E187-E188 58.357 479600.617 8377963.208 E188 E188-E189 10.449 479555.007 8377881.559 E189 E189-E190 32.287 479545.510 8377885.919 E190 E190-E191 67.674 479514.519 8377894.462 E191 E191-E192 26.544 479447.235 8377901.725 E192 E192-E193 109.731 479421.111 8377906.314
  • 18.
    Proyecto: “MEJORAMIENTO DELSERVICIO DE TRANSITABILIDAD VIAL INTERURBANA EN EMP. PE-1S (PASCANA)-IC 785 EMP. HASTA EMP. IC-782 (CHANGUILLO) DISTRITO DE CHANGUILLO DE LA PROVINCIA DE NASCA DEL DEPARTAMENTO DE ICA” PJ. & VC CONTRUCTORES S.A.C E193 E193-E194 10.439 479314.532 8377932.424 E194 E194-E195 317.394 479304.333 8377934.642 E195 E195-E196 13.579 478992.535 8377993.979 E196 E196-E197 46.758 478979.119 8377996.063 E197 E197-E198 28.381 478932.698 8378001.668 E198 E198-E199 31.785 478905.378 8378008.996 E199 E199-E200 13.175 478876.152 8378021.490 E200 E200-E201 56.847 478863.732 8378025.857 E201 E201-E202 12.168 478808.978 8378041.142 E202 E202-E203 8.939 478797.008 8378043.206 E203 E203-E204 16.54 478788.091 8378043.827 E204 E204-E205 25.109 478771.956 8378047.22 E205 E205-E206 37.328 478748.327 8378055.714 E206 E206-E207 15.009 478715.713 8378073.558 E207 E207-E208 33.552 478703.82 8378082.715 E208 E208-E209 2.973 478685.801 8378110.272 E209 E209;E210 41.724 478685.084 8378113.157 E210 E210-E211 11.495 478660.211 8378145.150 E211 E211-E212 13.823 478650.083 8378150.587 E212 E212-E213 62.815 478638.957 8378158.716 E213 E213-E214 39.485 478592.643 8378201.151 E214 E214-E215 35.946 478556.467 8378214.228 E215 E215-E216 29.019 478520.532 8378213.325 E216 E216-E217 4.767 478497.989 8378197.720 E217 E217-E218 12.464 478496.199 8378193.302 E218 E218-E219 26.66 478486.327 8378187.075 E219 E219-E220 18.39 478459.678 8378187.859 E220 E220-E221 200.837 478449.668 8378175.498 E221 E221-E222 17.249 478495.634 8377979.992 E222 E222-E223 9.064 478498.67 8377963.022 E223 E223-E224 25.993 478499.783 8377954.026 E224 E224-E225 31.461 478505.052 8377928.602 E225 E225-E226 44.899 478513.915 8377898.416
  • 19.
    Proyecto: “MEJORAMIENTO DELSERVICIO DE TRANSITABILIDAD VIAL INTERURBANA EN EMP. PE-1S (PASCANA)-IC 785 EMP. HASTA EMP. IC-782 (CHANGUILLO) DISTRITO DE CHANGUILLO DE LA PROVINCIA DE NASCA DEL DEPARTAMENTO DE ICA” PJ. & VC CONTRUCTORES S.A.C E226 E226;E227 23.715 478493.487 8377863.407 E227 E227;E228 20.431 478470.705 8377856.82 E228 E228-E229 13.38 478452.011 8377848.715 E229 E229-E230 38.435 478440.514 8377841.873 E230 E230-E231 20.294 478403.599 8377839.789 E231 E231-E232 23.966 478385.103 8377848.139 E232 E232-E233 20.484 478367.410 8377863.771 E233 E233-E234 23.148 478356.746 8377881.261 E234 E234-E235 386.879 478341.675 8377898.691 E235 E235-E236 26.163 478043.919 8378145.707 E236 E236-E237 4.31 478025.338 8378164.079 E237 E237-E238 46.6 478022.548 8378167.365 E238 E238-E239 15.017 477987.400 8378197.675 E239 E239-E240 31.243 477974.647 8378205.605 E240 E240-E241 210.853 477946.594 8378219.230 E241 E241-E242 18.044 477748.380 8378291.133 E242 E242-E243 167.249 477731.630 8378297.834 E243 E243-E244 35.176 477579.873 8378368.132 E244 E244-E245 32.671 477546.425 8378378.575 E245 E245-E246 46.697 477514.186 8378383.872 E246 E246-E247 10.237 477470.715 8378400.107 E247 E247-E248 33.323 477462.178 8378405.755 E248 E248-E249 157.923 477432.205 8378420.072 E249 E249-E250 28.824 477281.655 8378467.763 E250 E250-E251 109.921 477253.646 8378474.461 E251 E251-E252 24.68 477145.496 8378494.114 E252 E252-E253 95.214 477121.078 8378497.668 E253 E253-E254 40.313 477026.264 8378506.375 E254 E254-E255 22.157 476986.761 8378514.069 E255 E255-E256 35.466 476965.549 8378520.472 E256 E256-E257 97.803 476930.868 8378527.664 E257 E257-E258 22.737 476833.720 8378538.966 E258 E258-E259 56.132 476811.294 8378542.659
  • 20.
    Proyecto: “MEJORAMIENTO DELSERVICIO DE TRANSITABILIDAD VIAL INTERURBANA EN EMP. PE-1S (PASCANA)-IC 785 EMP. HASTA EMP. IC-782 (CHANGUILLO) DISTRITO DE CHANGUILLO DE LA PROVINCIA DE NASCA DEL DEPARTAMENTO DE ICA” PJ. & VC CONTRUCTORES S.A.C E259 E259-E260 11.668 476756.401 8378554.391 E260 E260-E261 44.581 476744.936 8378556.551 E261 E261-E262 49.1 476700.938 8378563.739 E262 E262-E263 20.37 476653.625 8378576.540 E263 E263-E264 33.39 476634.607 8378583.840 E264 E264-E265 53.341 476602.621 8378593.256 E265 E265-E266 32.348 476553.139 8378612.501 E266 E266-E267 22.473 476525.361 8378629.077 E267 E267-E268 60.433 476505.319 8378639.202 E268 E268-E269 46.369 476449.600 8378662.601 E269 E269-E270 70.055 476404.860 8378674.152 E270 E270-E271 32.216 476335.211 8378681.686 E271 E271-E272 281.355 476303.745 8378688.341 E272 476035.725 8378773.931 LONGITUD DE CARRETERA 12.257 KM SERVIDUMBRE A 10m A CADA LADO DEL EJE DE VIA
  • 21.
    Proyecto: “MEJORAMIENTO DELSERVICIO DE TRANSITABILIDAD VIAL INTERURBANA EN EMP. PE-1S (PASCANA)-IC 785 EMP. HASTA EMP. IC-782 (CHANGUILLO) DISTRITO DE CHANGUILLO DE LA PROVINCIA DE NASCA DEL DEPARTAMENTO DE ICA” PJ. & VC CONTRUCTORES S.A.C 6. VIAS DE ACCESO Para arribar a la ciudad de Nazca desde Lima existe 01 ruta:  Lima – Nazca : Un recorrido de 443kms. En bus el viaje dura aproximadamente 6.59horas, a través de una carretera asfaltada llegará a Nazca.  Nazca – Ingenio: Una ruta de 40.5 Km, por la vía panamericana. De ahí su recorrido será hasta los centros poblados de la Banda y Changuillo ubicados en los distritos de Ingenio y Changuillo, la carretera tiene un recorrido de 12.257 km y un tiempo de viaje de 15 a 25 minutos.  La Pascana – C.P La Banda : Una ruta de 9.2 km,por via vecinal de afirmado con un tiempo de viaje 20 minutos.  La Pascana – C.P Changuillo : Una ruta de 12.257 km.por via vecinal de afirmado con un tiempo de viaje de 28 minutos. TABLA N° 1: Vías de Comunicación y Accesos Lima – Area del proyecto Tramo Longitud Horas Recorrido Tipo de Vía Lima - Ica 325 km 5.00 horas Carretera asfaltada Ica - Nazca 130 km 3.00 horas Carretera asfaltada Nazca - Ingenio 40.8 km 0.49 horas Carretera asfaltada Nazca – Pascana 29.8 km 0.34 horas Carretera asfaltada Pascana – C.P.La Banda 9.2 km 0.20 horas Afirmado Pascana – C.P.Changuillo 12.257 0.28 horas Afirmado
  • 22.
    Proyecto: “MEJORAMIENTO DELSERVICIO DE TRANSITABILIDAD VIAL INTERURBANA EN EMP. PE-1S (PASCANA)-IC 785 EMP. HASTA EMP. IC-782 (CHANGUILLO) DISTRITO DE CHANGUILLO DE LA PROVINCIA DE NASCA DEL DEPARTAMENTO DE ICA” PJ. & VC CONTRUCTORES S.A.C Gráfico de acceso desde la ciudad de Lima Gráfico de acceso desde la Pascana hasta el C.P La Banda
  • 23.
    Proyecto: “MEJORAMIENTO DELSERVICIO DE TRANSITABILIDAD VIAL INTERURBANA EN EMP. PE-1S (PASCANA)-IC 785 EMP. HASTA EMP. IC-782 (CHANGUILLO) DISTRITO DE CHANGUILLO DE LA PROVINCIA DE NASCA DEL DEPARTAMENTO DE ICA” PJ. & VC CONTRUCTORES S.A.C 7. COLINDANTES ESTE : Sector La Pascana (Distrito de Ingenio) NORTE : Con el C.P Changuillo (Distrito de Changuillo) SUR : Zona eriaza,cerros(Distrito de Ingenio) OESTE : Zona eriaza,rio,campo de cultivo(Distrito de Ingenio)