PLAN DE ACEPTACIÓN POR
ATRIBUTOS
CO CURVA DE OPERACIÓN
MILITARY ESTÁNDARD 105D
Utiliza el índice de calidad de Nivel de Calidad Aceptable y la
probabilidad de aceptar el NCA con esta norma está entre 0.89 y
0.99.
Ofrece tres procedimientos de muestreo:
1. muestreo simple,
2. doble y
3. múltiple.
INSPECCIÓN NORMAL
Es usada al iniciar una actividad de inspección.
INSPECCIÓN SEVERA
Se establece cuando el vendedor ha tenido un mal comportamiento
en cuanto a la calidad convenida y bajo ésta inspección.
INSPECCIÓN REDUCIDA
Se aplica cuando el vendedor ha tenido un buen comportamiento en
cuanto a la calidad.
El costo es menor porque el tamaño utilizado es menor que en la
inspección normal.
TRES NIVELES GENERALES DE
INSPECCIÓN
Nivel I .- Requiere cerca de la mitad de la inspección que el nivel II.
Cuando muy pocos productos son defectuosos.
Nivel II.- Es el más usual.
Nivel III.- Requiere aproximadamente el doble de inspección que el
nivel II.
Cuando los lotes son de muy mala calidad y muchos productos son
defectuosos.
DISEÑO DE UN ESQUEMA DE
MUESTREO CON MIL STD 105D
1. Determinar el tamaño del lote.
2. Especificar el NCA.
3. Escoger el nivel de inspección (usualmente el
nivel II).
4. Encontrar la letra código, de acuerdo con el
tamaño del lote y el nivel de inspección.
5. Determinar el tipo de plan de muestreo a utilizar
(simple, doble o multiple).
6. Buscar el plan simple para inspección normal,
LETRAS CÓDIGO PARA EL TAMAÑO
DE LA MUESTRA.
MUESTREO SIMPLE
INSPECCIÓN NORMAL
EJERCICIOS
En una empresa se ha venido aplicando un muestreo de
aceptación con base al MIL STD 105E utilizan un NCA
de 1.5% lotes de 12, 000 piezas con nivel de inspección
II.
Encuentre los planes
a) normal,
b) reducido y
c) severo.
d) Calcular el riesgo del productor de los tres planes.
REGLAS DE CAMBIO DEL TIPO DE
INSPECCIÓN
1. De inspección normal a inspección severa.-
Cuando se efectúa inspección normal y con
ésta se rechazan 2 de 5 lotes consecutivos.
2. De inspección severa a inspección normal.-
Cuando se efectúa inspección severa y se
aceptan 5 lotes consecutivos.
3. De inspección normal a inspección reducida.-
Cuando cumple las siguientes condiciones:
a) 10 lotes consecutivos aceptados.
b) El Nº total de artículos defectuosos encontrados
en los 10 lotes anteriores es < o = al Nº de la
tabla Nº límite.
c) Producción continua
d) Si se considera oportuna la inspección reducida.
4. De inspección reducida a normal.- Si ocurren cualquiera de las
siguientes condiciones:
a) Un lote o una serie de lotes ha sido rechazado.
b) La inspección del lote termina sin decisión.
c) Si la producción es irregular o retardada.
d) La solicitud del cliente.
5. Interrupción de la inspección.- Si 10 lotes consecutivos continúan
en inspección severa
CURVA CARACTERÍSTICA DE
OPERACIÓN CCO
Si un lote tiene cierta proporción de artículos defectuosos....
¿Cuál es la probabilidad de que el lote sea aceptado?
La curva CO de un plan de proporciona una
caracterización del desempeño potencial del mismo
plan, porque con esta curva se conoce la
probabilidad de aceptar o rechazar un lote que tiene
una calidad dada.
En un lote se desconoce su proporción, p, de
artículos defectuosos y la curva CO tiene que
determinar la probabilidad de aceptar lotes con
cualquier valor de p.
EJEMPLO CURVA CO
En una fábrica se ésta aplicando el plan de muestreo
simple n= 60, c= 1 a los lotes de cierto artículo
antes de embarcarlos y enviarlos al cliente.
Esto es, por cada lote se toman 60 artículos y si al
inspeccionarlos se encuentran cero o a lo más uno
defectuoso, el lote se acepta ( se embarca y se envía),
pero si se encuentran dos ó más unidades
defectuosas, el lote se rechaza y se inspecciona al
100%.
OBTENCIÓN DE LOS PUNTOS
DE LA CURVA CO
Siguiendo la distribución binomial
p= proporción de artículos defectuosos en el lote.
La probabilidad de observar exactamente k
defectuosos en la muestra está dada por la ecuación:
N= 60, C= 1 K≤ 1 2%
P(0)= 60C0 (0.02)0 (0.98)60 = 0.297553142
+
P(1)= 60C1 (0.02)1 (0.98)59 = 0.364350787
0.661903929
CURVA CO DEL EJEMPLO
N= 60, C= 1
ÍNDICES DE CALIDAD
Nivel de calidad aceptable NCA Ó AQL
Nivel de calidad límite NCL Ó LQL
Calidad de salida promedio CSP ó AOQ
Límite de calidad de salida promedio LCSP ó AOQL
Inspección total promedio ITP ó ATI
NIVEL DE CALIDAD ACEPTABLE
NCA Ó AQL
Es el porcentaje máximo de
unidades que no cumplen con la
calidad especificada.
Se conoce como nivel de calidad
del productor y se expresa en
porcentaje de unidades que no
cumplen con la calidad
especificada.
NCA se considera como satisfactorio, por lo tanto, la probabilidad de
aceptar un lote que tenga esa calidad debe ser alta (0.90, 0.95).
Se designa con 1- α donde α es por lo general un número pequeño
(0.05, 0.10).
α se conoce como riesgo del productor.
NIVEL DE CALIDAD LÍMITE
NCL Ó LQL (LÍMITE TOLERADO
DE PORCENTAJE
DEFECTUOSO)
Es el nivel de calidad que se considera como no
satisfactorio, y los lotes que tienen ese tipo de
calidad casi siempre son rechazados.
NCL es un nivel de calidad no satisfactorio, por lo
tanto, la probabilidad de aceptarlo debe ser muy baja
(0.05, 0.10).
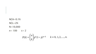
NCA=0.1% 0.001 UD=10
NCL=2% 0.02 UD=200
N=10,000
n= 100 c= 2
A esta probabilidad se le designa con la letra β y como no es cero
hay un riesgo de no rechazar este tipo de lotes.
A este riesgo se conoce como riesgo del consumidor.
EJEMPLO:1
0.95
0.2
0.15
0.1
0.05
0.0
0.00 0.002 0.004 0.006 0.008 0.001
0.0012
CALIDAD DE SALIDA PROMEDIO
CSP Ó AOQ
Es la calidad promedio de los lotes después de haber pasado por el
proceso de inspección.
Es otra forma de medir el efecto de un plan de muestreo sobre la
calidad que se tendrá después de aplicar el plan.
CSP= p * Pa
p= proporción de artículos defectuosos a la entrada del lote.
Pa= probabilidad de aceptación de tal lote.
LÍMITE DE CALIDAD DE SALIDA
PROMEDIO LCSP Ó AOQL
Es el valor máximo de la curva CSP que representa el peor promedio
de calidad que puede obtenerse del programa de inspección.
La calidad promedio de salida nunca será peor que este en porcentaje
de defectuosos.
En el ejemplo n=60 c=1 p=0.014
0.014
INSPECCIÓN TOTAL PROMEDIO
ITP Ó ATI
Cantidad total de inspección que requiere el plan de muestreo.
ITP= n + (1- Pa)(N-n)
EJEMPLO:
Se tiene un tamaño de lote N=5,000 y se aplica el plan de muestreo
n=60, c=1, entonces para los lotes con una proporción de
defectuosos de 0.04, se tiene que la Pa=0.3022.
ITP= 60+ (1-0.3022)(5000-60)= 3,507.13
Número promedio de unidades inspeccionadas.

PLAN DE ACEPTACIÓN POR ATRIBUTOS 23.pptx

  • 1.
    PLAN DE ACEPTACIÓNPOR ATRIBUTOS
  • 2.
    CO CURVA DEOPERACIÓN
  • 3.
    MILITARY ESTÁNDARD 105D Utilizael índice de calidad de Nivel de Calidad Aceptable y la probabilidad de aceptar el NCA con esta norma está entre 0.89 y 0.99. Ofrece tres procedimientos de muestreo: 1. muestreo simple, 2. doble y 3. múltiple.
  • 4.
    INSPECCIÓN NORMAL Es usadaal iniciar una actividad de inspección.
  • 5.
    INSPECCIÓN SEVERA Se establececuando el vendedor ha tenido un mal comportamiento en cuanto a la calidad convenida y bajo ésta inspección.
  • 6.
    INSPECCIÓN REDUCIDA Se aplicacuando el vendedor ha tenido un buen comportamiento en cuanto a la calidad. El costo es menor porque el tamaño utilizado es menor que en la inspección normal.
  • 7.
    TRES NIVELES GENERALESDE INSPECCIÓN Nivel I .- Requiere cerca de la mitad de la inspección que el nivel II. Cuando muy pocos productos son defectuosos. Nivel II.- Es el más usual. Nivel III.- Requiere aproximadamente el doble de inspección que el nivel II. Cuando los lotes son de muy mala calidad y muchos productos son defectuosos.
  • 8.
    DISEÑO DE UNESQUEMA DE MUESTREO CON MIL STD 105D 1. Determinar el tamaño del lote. 2. Especificar el NCA. 3. Escoger el nivel de inspección (usualmente el nivel II). 4. Encontrar la letra código, de acuerdo con el tamaño del lote y el nivel de inspección. 5. Determinar el tipo de plan de muestreo a utilizar (simple, doble o multiple). 6. Buscar el plan simple para inspección normal,
  • 9.
    LETRAS CÓDIGO PARAEL TAMAÑO DE LA MUESTRA.
  • 11.
  • 13.
    EJERCICIOS En una empresase ha venido aplicando un muestreo de aceptación con base al MIL STD 105E utilizan un NCA de 1.5% lotes de 12, 000 piezas con nivel de inspección II. Encuentre los planes a) normal, b) reducido y c) severo. d) Calcular el riesgo del productor de los tres planes.
  • 14.
    REGLAS DE CAMBIODEL TIPO DE INSPECCIÓN 1. De inspección normal a inspección severa.- Cuando se efectúa inspección normal y con ésta se rechazan 2 de 5 lotes consecutivos. 2. De inspección severa a inspección normal.- Cuando se efectúa inspección severa y se aceptan 5 lotes consecutivos.
  • 15.
    3. De inspecciónnormal a inspección reducida.- Cuando cumple las siguientes condiciones: a) 10 lotes consecutivos aceptados. b) El Nº total de artículos defectuosos encontrados en los 10 lotes anteriores es < o = al Nº de la tabla Nº límite. c) Producción continua d) Si se considera oportuna la inspección reducida.
  • 17.
    4. De inspecciónreducida a normal.- Si ocurren cualquiera de las siguientes condiciones: a) Un lote o una serie de lotes ha sido rechazado. b) La inspección del lote termina sin decisión. c) Si la producción es irregular o retardada. d) La solicitud del cliente.
  • 18.
    5. Interrupción dela inspección.- Si 10 lotes consecutivos continúan en inspección severa
  • 20.
    CURVA CARACTERÍSTICA DE OPERACIÓNCCO Si un lote tiene cierta proporción de artículos defectuosos.... ¿Cuál es la probabilidad de que el lote sea aceptado?
  • 21.
    La curva COde un plan de proporciona una caracterización del desempeño potencial del mismo plan, porque con esta curva se conoce la probabilidad de aceptar o rechazar un lote que tiene una calidad dada. En un lote se desconoce su proporción, p, de artículos defectuosos y la curva CO tiene que determinar la probabilidad de aceptar lotes con cualquier valor de p.
  • 22.
    EJEMPLO CURVA CO Enuna fábrica se ésta aplicando el plan de muestreo simple n= 60, c= 1 a los lotes de cierto artículo antes de embarcarlos y enviarlos al cliente. Esto es, por cada lote se toman 60 artículos y si al inspeccionarlos se encuentran cero o a lo más uno defectuoso, el lote se acepta ( se embarca y se envía), pero si se encuentran dos ó más unidades defectuosas, el lote se rechaza y se inspecciona al 100%.
  • 23.
    OBTENCIÓN DE LOSPUNTOS DE LA CURVA CO Siguiendo la distribución binomial p= proporción de artículos defectuosos en el lote. La probabilidad de observar exactamente k defectuosos en la muestra está dada por la ecuación:
  • 24.
    N= 60, C=1 K≤ 1 2% P(0)= 60C0 (0.02)0 (0.98)60 = 0.297553142 + P(1)= 60C1 (0.02)1 (0.98)59 = 0.364350787 0.661903929
  • 25.
    CURVA CO DELEJEMPLO
  • 26.
  • 27.
    ÍNDICES DE CALIDAD Nivelde calidad aceptable NCA Ó AQL Nivel de calidad límite NCL Ó LQL Calidad de salida promedio CSP ó AOQ Límite de calidad de salida promedio LCSP ó AOQL Inspección total promedio ITP ó ATI
  • 28.
    NIVEL DE CALIDADACEPTABLE NCA Ó AQL Es el porcentaje máximo de unidades que no cumplen con la calidad especificada. Se conoce como nivel de calidad del productor y se expresa en porcentaje de unidades que no cumplen con la calidad especificada.
  • 29.
    NCA se consideracomo satisfactorio, por lo tanto, la probabilidad de aceptar un lote que tenga esa calidad debe ser alta (0.90, 0.95). Se designa con 1- α donde α es por lo general un número pequeño (0.05, 0.10). α se conoce como riesgo del productor.
  • 31.
    NIVEL DE CALIDADLÍMITE NCL Ó LQL (LÍMITE TOLERADO DE PORCENTAJE DEFECTUOSO) Es el nivel de calidad que se considera como no satisfactorio, y los lotes que tienen ese tipo de calidad casi siempre son rechazados. NCL es un nivel de calidad no satisfactorio, por lo tanto, la probabilidad de aceptarlo debe ser muy baja (0.05, 0.10).
  • 32.
    NCA=0.1% 0.001 UD=10 NCL=2%0.02 UD=200 N=10,000 n= 100 c= 2
  • 33.
    A esta probabilidadse le designa con la letra β y como no es cero hay un riesgo de no rechazar este tipo de lotes. A este riesgo se conoce como riesgo del consumidor.
  • 34.
  • 35.
    CALIDAD DE SALIDAPROMEDIO CSP Ó AOQ Es la calidad promedio de los lotes después de haber pasado por el proceso de inspección. Es otra forma de medir el efecto de un plan de muestreo sobre la calidad que se tendrá después de aplicar el plan.
  • 36.
    CSP= p *Pa p= proporción de artículos defectuosos a la entrada del lote. Pa= probabilidad de aceptación de tal lote.
  • 37.
    LÍMITE DE CALIDADDE SALIDA PROMEDIO LCSP Ó AOQL Es el valor máximo de la curva CSP que representa el peor promedio de calidad que puede obtenerse del programa de inspección. La calidad promedio de salida nunca será peor que este en porcentaje de defectuosos. En el ejemplo n=60 c=1 p=0.014
  • 38.
  • 39.
    INSPECCIÓN TOTAL PROMEDIO ITPÓ ATI Cantidad total de inspección que requiere el plan de muestreo. ITP= n + (1- Pa)(N-n)
  • 40.
    EJEMPLO: Se tiene untamaño de lote N=5,000 y se aplica el plan de muestreo n=60, c=1, entonces para los lotes con una proporción de defectuosos de 0.04, se tiene que la Pa=0.3022. ITP= 60+ (1-0.3022)(5000-60)= 3,507.13 Número promedio de unidades inspeccionadas.