Productos Notables
Productos Notables
Son los resultados de
ciertas multiplicaciones
indicadas que se
obtienen en forma
directa.
Los más usados…
Concepto
Principales Productos Notables
1. Binomio al cuadrado (TCP)
 
 
2 2 2
2 2 2
2
2
TCP
a b a ab b
a b a ab b
   
   
2 2 2 2
( ) ( ) 2( )
a b a b a b
    
2 2
( ) ( ) 4
a b a b ab
   
4 4 2 2
( ) ( ) 8 ( )
a b a b ab a b
    
Identidades de Legendre
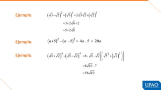
Ejemplo.
Ejemplo.
Ejemplo.
     
2 2 2
3 2 3 2 3 2 2
3 2 6 2
5 2 6
   
  
 
   
2 2
5 –5 4 . 5 20
a a a a
 
 
     
4 4 2
2
5 2 5 2 8 . 5 . 2 5 2
8 10 . 7
56 10
 
 
    
 
 
 
 


2. Diferencia de cuadrados
2 2
( )( )
a b a b a b
   
   2 2
2 1 2 1 2 1 1
    
   2 2
5 2 5 2 5 2 3
    
2 2 2 2 2 2 2 2 4 4
( )( ) ( ) ( )
x y x y x y x y
     
   
2 2
2 2 2 2 2 2
(5 3 )(5 3 ) 5 3
   
Ejemplos
3. Binomio al cubo
 
   
3
3 3 2 2 3
3
3
3
3 3
a b a a b ab b
a b a
b a b
a b
 
 



 

 
   
3
3 3 2 2 3
3
3
3
3 3
a b a a b ab b
a b a
b a b
a b
 
 



 

3 3 2 2 3
3 2
( 2) 3 2 3 2 2
6 12 8
x x x x
x x x
      
   
Ejemplo
4. Suma y diferencia de cubos
  
3 3 2 2
a b a b a ab b
    
  
3 3 2 2
a b a b a ab b
    
3 2
3 3 3 2
8 ( 2)( 2 4)
64 4 ( 4)( 4 16)
x x x x
x x x x x
    
      
Ejemplos
5. Trinomio al cuadrado
   
2 2 2 2
2
a b c a b c ab ac bc
       
 
 
2 2 2 2
2 2 2 2
( 2) 2 2 2 2
( 3) 3 2 3 3
x y x y xy x y
a b a b ab a b
       
       
Ejemplos
6. Trinomio al cubo
3 3 3 3
( ) 3( )( )( )
a b c a b c a b a c b c
+ + º + + + + + +
3 3 3 3
( ) 3( )( ) 3
a b c a b c a b c ab ac bc abc
+ + = + + + + + + + -
7. Identidad de Gauss
3 3 3
2 2 2
3
( )( )
x y z xyz
x y z x y z xy xz yz
+ + - =
= + + + + - - -
( )( )( )
( )( )
x y x z y z xyz
x y z xy xz yz
+ + + + =
= + + + +
Problema 1.
Simplificar
2 2
1 1 1 1
2
ab
a b a b
M
ab
   
   
   
   


2
ab 
 
 
 
 
 
  
 
2
2
2 2
2
2
1 1 1 1
1 1 4
4
2
2
2 2
4
4 2 2 2
2 2 2 2
ab
M
ab
ab ab
M
ab ab
ab
ab ab ab ab
M
ab ab ab ab
a
a b a b
a b a
ab
ab
ab
b ab a
b
b



 

   
  
   
   
 


 
  




 

  
    

 


siendo
Solución:
Problema 2.
Si
Halle el valor de
1
2
m
m
 
2
2
1
J m
m
 
2
2
2
2
2
2
2
2
1
2
1 1
2 2
1
2 2
1
0
m
m
m m
m m
m
m
m
m
 
 
 
 
 
  
 
 
 
  
 
 
 
  
 
 
Solución
Problema 3.
Se sabe que y . Calcule
5
a b
 
2 2
13
a b
  3 3
a b

 
   
3
3 3
3
5
3 125 ................
a b
a b ab a b 
 
   
 2 2 2
2
2
5 13 2
6
a b a ab b
ab
ab
   
 

 
 
3 3
3 3
3 3
3 125
3.6. 5 125
35
a b ab a b
a b
a b
   
  
 
Solución
Además
Problema 4
Calcule abc si se sabe que: 2 2 2
3 2 6
a b c a b c
      
   
 
 
2
2
2 2 2
3 2
2 18
6 2 18
6
a b c
a b c ab ac bc
ab ac bc
ab ac bc
  
     
   
  
2 2 2
6
a b c ab ac bc
     
a b c
 
3 2
a b c
  
2
a b c
  
2
2 2 2 2 2 2 2
abc
   
Solución
Elevando al cuadrado la primera igualdad: Además:
Nos vemos el próximo
tema.

productos notables - propiedades y ejercicios

  • 1.
  • 2.
    Productos Notables Son losresultados de ciertas multiplicaciones indicadas que se obtienen en forma directa. Los más usados… Concepto
  • 3.
    Principales Productos Notables 1.Binomio al cuadrado (TCP)     2 2 2 2 2 2 2 2 TCP a b a ab b a b a ab b         2 2 2 2 ( ) ( ) 2( ) a b a b a b      2 2 ( ) ( ) 4 a b a b ab     4 4 2 2 ( ) ( ) 8 ( ) a b a b ab a b      Identidades de Legendre
  • 4.
    Ejemplo. Ejemplo. Ejemplo.      2 2 2 3 2 3 2 3 2 2 3 2 6 2 5 2 6              2 2 5 –5 4 . 5 20 a a a a           4 4 2 2 5 2 5 2 8 . 5 . 2 5 2 8 10 . 7 56 10                   
  • 5.
    2. Diferencia decuadrados 2 2 ( )( ) a b a b a b        2 2 2 1 2 1 2 1 1         2 2 5 2 5 2 5 2 3      2 2 2 2 2 2 2 2 4 4 ( )( ) ( ) ( ) x y x y x y x y           2 2 2 2 2 2 2 2 (5 3 )(5 3 ) 5 3     Ejemplos
  • 6.
    3. Binomio alcubo       3 3 3 2 2 3 3 3 3 3 3 a b a a b ab b a b a b a b a b                 3 3 3 2 2 3 3 3 3 3 3 a b a a b ab b a b a b a b a b           3 3 2 2 3 3 2 ( 2) 3 2 3 2 2 6 12 8 x x x x x x x            Ejemplo
  • 7.
    4. Suma ydiferencia de cubos    3 3 2 2 a b a b a ab b         3 3 2 2 a b a b a ab b      3 2 3 3 3 2 8 ( 2)( 2 4) 64 4 ( 4)( 4 16) x x x x x x x x x             Ejemplos
  • 8.
    5. Trinomio alcuadrado     2 2 2 2 2 a b c a b c ab ac bc             2 2 2 2 2 2 2 2 ( 2) 2 2 2 2 ( 3) 3 2 3 3 x y x y xy x y a b a b ab a b                 Ejemplos
  • 9.
    6. Trinomio alcubo 3 3 3 3 ( ) 3( )( )( ) a b c a b c a b a c b c + + º + + + + + + 3 3 3 3 ( ) 3( )( ) 3 a b c a b c a b c ab ac bc abc + + = + + + + + + + -
  • 10.
    7. Identidad deGauss 3 3 3 2 2 2 3 ( )( ) x y z xyz x y z x y z xy xz yz + + - = = + + + + - - - ( )( )( ) ( )( ) x y x z y z xyz x y z xy xz yz + + + + = = + + + +
  • 11.
    Problema 1. Simplificar 2 2 11 1 1 2 ab a b a b M ab                   2 ab                 2 2 2 2 2 2 1 1 1 1 1 1 4 4 2 2 2 2 4 4 2 2 2 2 2 2 2 ab M ab ab ab M ab ab ab ab ab ab ab M ab ab ab ab a a b a b a b a ab ab ab b ab a b b                                                   siendo Solución:
  • 12.
    Problema 2. Si Halle elvalor de 1 2 m m   2 2 1 J m m   2 2 2 2 2 2 2 2 1 2 1 1 2 2 1 2 2 1 0 m m m m m m m m m m                                    Solución
  • 13.
    Problema 3. Se sabeque y . Calcule 5 a b   2 2 13 a b   3 3 a b        3 3 3 3 5 3 125 ................ a b a b ab a b         2 2 2 2 2 5 13 2 6 a b a ab b ab ab            3 3 3 3 3 3 3 125 3.6. 5 125 35 a b ab a b a b a b          Solución Además
  • 14.
    Problema 4 Calcule abcsi se sabe que: 2 2 2 3 2 6 a b c a b c                2 2 2 2 2 3 2 2 18 6 2 18 6 a b c a b c ab ac bc ab ac bc ab ac bc                 2 2 2 6 a b c ab ac bc       a b c   3 2 a b c    2 a b c    2 2 2 2 2 2 2 2 abc     Solución Elevando al cuadrado la primera igualdad: Además:
  • 15.
    Nos vemos elpróximo tema.