UNIVERSIDAD NACIONAL DE CHIMBORAZO
UNIDAD DE NIVELACIÓN Y ADMISIÓN
PROYECTO DE AULA
ASIGNATURA: MATEMÁTICAS
TEMA:
CONCEPTOS BÁSICOS DE ESTADÍSTICA DESCRIPTIVA
SUBTEMAS:
 DEFINICIÓN
 ELEMENTO POBLACION Y MUESTRA
 TIPOS DE VARIABLE
 ESCALA DE MEDICIÓN
AUTORA:
AMANDA TORRES
ÁREA - PARALELO: 4-EM1
DOCENTE: MGS. DANIEL MOROCHO
AGRADECIMIENTO
Expreso mi agradecimiento a Dios por darme la vida, por permitirme
superar cada día, de igual manera expreso mi agradecimiento a mi
esposo e hijos por ser el motor de mi vida, por brindarme su apoyo, por
su fortaleza, por sus palabras de motivación hacia mí siempre, por
orientarme hacia un futuro mejor. De igual manera agradezco a mi
maestro Msc. Daniel Morocho, por compartir sus conocimientos, por
ser guía, por brindarme su confianza y apoyo, por compartir sus ideas,
por su paciencia, y por la ayuda brindada para la realización de este
gran proyecto. Así también gracias a todos mis compañeros y amigos.
Finalmente agradezco a esta Institución por darme la oportunidad de
formar parte de ella y superarme.
DEDICATORIA
Este proyecto es el resultado de mi empeño y esfuerzo por ello es
dedicado a Dios por haberme brindado salud, sabiduría y ganas de
superarme a diario, de igual forma está dirigido a mi esposo por
innumerables motivos entre ellos por su apoyo incondicional, por estar
ahí siempre, por ser más que un esposo un amigo. Dedico también este
proyecto a mi maestro Mgs. Daniel Morocho por su orientación y guía,
por motivarme a realizar este proyecto:
Amanda
INTRODUCCIÓN
La estadística nos posibilita cuantificar la realidad y disponer de los
elementos que nos permitan su análisis.
La base de las actuaciones políticas y administrativas es el estudio de
los datos estadísticos, porque conocer la realidad nos permite actuar de
una forma más coherente (con conocimiento de causa).
Nos formulamos preguntas y con la ayuda de la estadística las
intentamos responder.
Por ejemplo, el Índice de Precios al Consumo (IPC) se utiliza como
medida de la inflación. También se aplica en la revisión de los contratos
de arrendamiento de inmuebles, como referencia en la negociación
salarial, en la fijación de las pensiones, en la actualización de las primas
de seguros y otros tipos de contrato, y como deflactor en la Contabilidad
Nacional.
La Estadística responde a las necesidades del desarrollo científico y
tecnológico de la sociedad. Tras la Revolución Industrial se produce un
desarrollo de la sociedad en todos sus ámbitos y, en particular, en el
Científico y Tecnológico. Las Comunicaciones, la Industria, la
Agricultura, la Salud se desarrollan rápidamente y se exige el máximo
rendimiento y la mejor utilización de estos sectores.
OBJETIVO GENERAL
Investigar, aprender y determinar la definición sobre estadística descriptiva.
OBJETIVOS ESPECÍFICOS
 Definición sobre estadística descriptiva
 Elemento población y muestra
 Tipos de variable
 Escala de medición
MARCO TEÓRICO
¿Qué es estadística?
La Estadística es la ciencia que se encarga de recolectar datos de una población o
muestra.
¿Qué es estadística descriptiva?
La estadística descriptiva es la rama de las Matemáticas que recolecta, presenta y
caracteriza un conjunto de datos (por ejemplo, edad de una población, altura de los
estudiantes de una escuela, temperatura en los meses de verano, etc.) con el fin de
describir apropiadamente las diversas características de ese conjunto.
ELEMENTOS:
POBLACIÓN O UNIVERSO: es el total del conjunto de elementos u objetos de
los cuales se quiere obtener información. Aquí el término población tiene un
significado mucho más amplio que el usual, ya que puede referirse a personas,
cosas, actos, áreas geográficas e incluso al tiempo.
La población debe estar perfectamente definida en el tiempo y en el espacio, de
modo que ante la presencia de un potencial integrante de la misma, se pueda decidir
si forma parte o no de la población bajo estudio. Por lo tanto, al definir una
población, se debe cuidar que el conjunto de elementos que la integran quede
perfectamente delimitado.
El tamaño de una población viene dado por la cantidad de elementos que la
componen.
TIPOS DE POBLACIÓN:
POBLACIÓN FINITA: Es aquella que indica que es posible alcanzarse o
sobrepasarse al contar. Es aquella que posee o incluye un número limitado de
medidas y observaciones.
Ejemplo: El número de alumnos de un centro de enseñanza, o grupo de clase.
POBLACIÓN INFINITA: Es infinita si se incluye un gran conjunto de medidas y
observaciones que no pueden alcanzarse en el conteo.
Son poblaciones infinitas porque hipotéticamente no existe límite en cuanto al
número de observaciones que cada uno de ellos puede generar.
Ejemplo: Si se realizase un estudio sobre los productos que hay en el mercado. Hay
tantos y de tantas calidades que esta población podría considerarse infinita
MUESTRA: es un subconjunto de unidades de análisis de una población dada,
destinado a suministrar información sobre la población.
Para que este subconjunto de unidades de análisis sea de utilidad estadística, deben
reunirse ciertos requisitos en la selección de los elementos.
MUESTRA REPRESENTATIVA: Un subconjunto representativo seleccionado
de una población de la cual se obtuvo.
MUESTREO: Al estudio de la muestra representativa.
PARÁMETRO: Son las características medibles en una población completa. Se le
asigna un símbolo representado por una letra griega.
DEFINICIÓN Y CLASIFICACIÓN DE VARIABLES
Al conjunto de los distintos valores numéricos que adopta un carácter cuantitativo
se llama variable estadística.
Las variables pueden ser de dos tipos:
• Variables cualitativas o categóricas:
No se pueden medir numéricamente (por ejemplo: nacionalidad, color de la piel,
sexo).
• Variables cuantitativas:
Tienen valor numérico (edad, precio de un producto, ingresos anuales).
Las variables también se pueden clasificar en:
• Variables unidimensionales:
Sólo recogen información sobre una característica (por ejemplo: edad de los
alumnos de una clase).
• Variables bidimensionales:
Recogen información sobre dos características de la población (por ejemplo: edad y
altura de los alumnos de una clase).
• Variables pluridimensionales:
Recogen información sobre tres o más características (por ejemplo: edad, altura y
peso de los alumnos de una clase).
Por su parte, las variables cuantitativas se pueden clasificar en discretas y continuas:
• Discretas:
Sólo pueden tomar valores enteros (1, 2, 8, -4, etc.). Por ejemplo: número de
hermanos (puede ser 1, 2, 3...., etc., pero, por ejemplo, nunca podrá ser 3.45).
• Continuas:
Pueden tomar cualquier valor real dentro de un intervalo. Por ejemplo, la velocidad
de un vehículo puede ser 90.4 km/h, 94.57 km/h...etc.
Cuando se estudia el comportamiento de una variable hay que distinguir los
siguientes conceptos:
• Individuo:
Cualquier elemento que porte información sobre el fenómeno que se estudia. Así, si
estudiamos la altura de los niños de una clase, cada alumno es un individuo; si se
estudia el precio de la vivienda, cada vivienda es un individuo.
• Población:
Conjunto de todos los individuos (personas, objetos, animales, etc.) que porten
información sobre el fenómeno que se estudia. Por ejemplo, si se estudia el precio
de la vivienda en una ciudad, la población será el total de las viviendas de dicha
ciudad.
• Muestra:
Subconjunto que seleccionado de una población. Por ejemplo, si se estudia el precio
de la vivienda de una ciudad, lo normal será no recoger información sobre todas las
viviendas de la ciudad sería una labor muy compleja, sino que se suele seleccionar
un subgrupo muestra que se entienda que es suficientemente representativo.
Las variables aleatorias son variables que son seleccionadas al azar o por procesos
aleatorios.
ESCALA DE MEDICIÓN
Los niveles de medición son las escalas nominal, ordinal, de intervalo y de razón. Se
utilizan para ayudar en la clasificación de las variables, el diseño de las preguntas
para medir variables, e incluso indican el tipo de análisis estadístico apropiado para
el tratamiento de los datos.
Una característica esencial de la medición es la dependencia que tiene de la
posibilidad de variación. La validez y la confiabilidad de la medición de una
variable depende de las decisiones que se tomen para operacionalizarla y lograr una
adecuada comprensión del concepto evitando imprecisiones y ambigüedad, por en
caso contrario, la variable corre el riesgo inherente de ser invalidada debido a que
no produce información confiable.
a) Medición Nominal.
En este nivel de medición se establecen categorías distintivas que no implican un
orden específico.
Por ejemplo, si la unidad de análisis es un grupo de personas, para clasificarlas se
puede establecer la categoría sexo con dos niveles, masculino (M) y femenino (F),
los respondientes solo tienen que señalar su género, no se requiere de un orden real.
Así, si se asignan números a estos niveles solo sirven para identificación y puede ser
indistinto: 1=M, 2=F o bien, se pueden invertir los números sin que afecte la
medición: 1=F y 2=M. En resumen en la escala nominal se asignan números a
eventos con el propósito de identificarlos. No existe ningún referente cuantitativo.
Sirve para nombrar las unidades de análisis en una investigación y es utilizada en
cárceles, escuelas, deportes, etc. La relación lógica que se expresa es: A ¹ B (A es
diferente de B).
b) Medición Ordinal.
Se establecen categorías con dos o más niveles que implican un orden inherente
entre sí. La escala de medición ordinal es cuantitativa porque permite ordenar a los
eventos en función de la mayor o menor posesión de un atributo o característica. Por
ejemplo, en las instituciones escolares de nivel básico suelen formar por estatura a
los estudiantes, se desarrolla un orden cuantitativo pero no suministra medidas de
los sujetos. La relación lógica que expresa esta escala es A > B (A es mayor que B).
Clasificar a un grupo de personas por la clase social a la que pertenecen implica un
orden prescrito que va de lo más alto a lo más bajo. Estas escalas admiten la
asignación de números en función de un orden prescrito.
Las formas más comunes de variables ordinales son ítems (reactivos) actitudinales
estableciendo una serie de niveles que expresan una actitud de acuerdo o desacuerdo
con respecto a algún referente. Por ejemplo, ante el ítem: La economía mexicana
debe dolarizarse, el respondiente puede marcar su respuesta de acuerdo a las
siguientes alternativas:
___ Totalmente de acuerdo
___ De acuerdo
___ Indiferente
___ En desacuerdo
___ Totalmente en desacuerdo
Las anteriores alternativas de respuesta pueden codificarse con números que van del
uno al cinco que sugieren un orden preestablecido pero no implican una distancia
entre un número y otro. Las escalas de actitudes son ordinales pero son tratadas
como variables continuas (Therese L. Baker, 1997).
c) Medición de Intervalo.
La medición de intervalo posee las características de la medición nominal y ordinal.
Establece la distancia entre una medida y otra. La escala de intervalo se aplica a
variables continuas pero carece de un punto cero absoluto. El ejemplo más
representativo de este tipo de medición es un termómetro, cuando registra cero
grados centígrados de temperatura indica el nivel de congelación del agua y cuando
registra 100 grados centígrados indica el nivel de ebullición, el punto cero es
arbitrario no real, lo que significa que en este punto no hay ausencia de temperatura.
Una persona que en un examen de matemáticas que obtiene una puntuación de cero
no significa que carezca de conocimientos, el punto cero es arbitrario porque sigue
existiendo la característica medida.
d) Medición de Razón.
Una escala de medición de razón incluye las características de los tres anteriores
niveles de medición anteriores (nominal, ordinal e intervalo). Determina la distancia
exacta entre los intervalos de una categoría. Adicionalmente tiene un punto cero
absoluto, es decir, en el punto cero no existe la característica o atributo que se mide.
Las variables de ingreso, edad, número de hijos, etc. son ejemplos de este tipo de
escala. El nivel de medición de razón se aplica tanto a variables continuas como
discretas.
CONCLUSIÓN
Se puede decir que este tema es de mucha importancia, ya que se pudo entender
sobre estadística descriptiva. El conocimiento adquirido será para mí de gran valor a
futuro.
BIBLIOGRAFÍA:
https://es.wikipedia.org/wiki/Estad%C3%ADstica_descriptiva
https://sites.google.com/site/estadisticadescriptivaenedu/home/unidad-1/niveles-o-
escalas
EJERCICIOS DE ESTADÍSTICA DESCRIPTIVA
Pregunta 1
Las notas de inglés de una clase de 40 alumnos han sido las siguientes:
Calcula la nota media.
Solución: 4,6.
Pregunta 2
En una clase de una escuela hemos medido la altura de los 25 alumnos. Sus medidas, en cm, son:
Elabora una tabla que represente estos resultados con sus frecuencias absolutas, relativas y
porcentajes. Toma intervalos de amplitud 5 cm comenzando por 150.
Solución:
Alturas F. absolutas F. relativas Porcentajes
[150, 155) 3 0,12 12%
[155, 160) 7 0,28 28%
[160, 165) 6 0,24 24%
[165, 170) 4 0,16 16%
[170, 175) 5 0,2 20%
Pregunta 3
En un examen de matemáticas los 30 alumnos de una clase han obtenido las puntuaciones
recogidas en la siguiente tabla:
Calificaciones Nº alumnos
[0,1) 2
[1,2) 2
[2,3) 3
[3,4) 6
[4,5) 7
[5,6) 6
[6,7) 1
[7,8) 1
[8,9) 1
[9,10) 1
Halla la varianza y la desviación típica.
1 7 9 2 5 4 4 3 7 8
4 5 6 7 6 4 3 1 5 9
2 6 4 6 5 2 2 8 3 6
4 5 2 4 3 5 6 5 2 4
167 159 168 165 150 170 172 158 163 156
151 173 175 164 153 158 157 164 169 163
160 159 158 174 164
Solución:
Varianza = 4,23 Desviación típica = 2,06.
Pregunta 4
En una clase de 25 alumnos hemos preguntado la edad de cada uno, obteniendo estos resultados:
14, 14, 15, 13, 15, 14, 14, 14, 14, 15, 13, 14, 15, 16, 14, 15, 13, 14, 15, 13, 14, 14, 14, 15, 14
Haz una tabla donde aparezcan las frecuencias absolutas acumuladas y las frecuencias relativas
acumuladas.Solución:
Edad F. absoluta F. absoluta acumulada F. relativa F. relativa acumulada
13 4 4 0,16 0,16
14 13 17 0,52 0,68
15 7 24 0,28 0,96
16 1 25 0,04 1
Pregunta 5
Calcula la varianza y la desviación típica de los siguientes datos:
4, 7, 5, 3, 6.
Solución:Varianza = 2
Desviación típica = 1,41.
Pregunta 6
Halla el número medio de hijos por mujer en 1998 en España a partir de los datos de las
comunidades autónomas:
Andalucía 1,28
Aragón 1,05
Asturas (Principado de) 0,8
Baleares (Islas) 1,44
Canarias 1,24
Cantabria 0,94
Castilla y León 0,91
Castilla-La Mancha 1,24
Cataluña 1,21
Comunidad Valenciana 1,17
Extremadura 1,2
Galicia 0,9
Madrid (Comunidad de) 1,19
Murcia (Región de) 1,41
Navarra (C. Foral de) 1,7
País Vasco 0,97
Rioja (La) 1,12
Ceuta y Melilla 1,87
Solución:
Nº medio de hijos por mujer = 1,20.
Pregunta 7
Calcula el percentil P65 de los siguientes datos:
Solución:
P65 = 10.
Pregunta 8
Calcula la media de viajeros en establecimientos hoteleros durante 1999. Después calcula la
desviación típica para ver si esa media es representativa de todos los meses del año.
Solución:
Media = 4.882.412 viajeros.
Desviación típica = 1.390.381 viajeros.
La desviación típica es alta, por lo que podemos deducir que hay algunos meses que difieren
mucho de la media.
xi fi
2 12
4 10
6 8
8 7
10 5
12 8
14 10
Mes Viajeros
Enero 2.775.738
Febrero 3.205.892
Marzo 4.143.343
Abril 4.931.385
Mayo 5.724.555
Junio 5.834.331
Julio 6.415.298
Agosto 6.986.211
Septiembre 6.349.504
Octubre 5.447.890
Noviembre 3.570.715
Diciembre 3.204.082
Pregunta 9
Representa mediante diagrama de barras las ganancias medias de los trabajadores, según el
sexo, en el cuarto trimestre de 1999, que se recogen en la siguiente tabla:
Solución:
Pregunta 10
Haz un diagrama de sectores que represente la procedencia de los extranjeros residentes en
España, en diciembre de 1999, recogidos en la siguiente tabla:
Sector Varones Mujeres
Industria 284.363 206.204
Construcción 214.446 205.372
Servicios 263.554 195.447
Sueldo en ptas.
0
50,000
100,000
150,000
200,000
250,000
300,000
Industria
Construcción
Servicios
Sueldo medio en ptas.
Varones
Mujeres
Procedencia
Europa 353.556
América 166.709
Asia 66.340
África 213.012
Oceanía 1.013
Desconocida 699
Solución:
Pregunta 11
Calcula la media de la población en las Comunidades Autónomas que nos indica la siguiente tabla:
Solución:
2.490.791 habitantes.
Europa
América
Asia
África
Oceanía Desconocida
Procedencia de extranjeros en España
CCAA Habitantes
Andalucía 7.236.459
Aragón 1.183.234
Asturias 1.081.834
Baleares (Islas) 796.483
Canarias 1.630.015
Cantabria 527.137
Castilla y León 2.484.603
Castilla-La Mancha 1.716.152
Cataluña 6.147.610
Ceuta 72.117
Comunidad Valenciana 4.023.441
Extremadura 1.069.419
Galicia 2.724.544
Madrid 5.091.336
Melilla 60.108
Murcia 1.115.068
Navarra 530.819
País Vasco 2.098.628
Rioja (La) 263.644
TOTAL ESPAÑA 39.852.651
Pregunta 12
Se ha hecho una encuesta sobre el número de hijos en 50 familias, con los siguientes resultados:
Haz una tabla donde se recojan estos datos con sus frecuencias absolutas acumuladas y relativas
acumuladas.
Solución:
Nº hijos F. absoluta F. absoluta acumulada F. relativa F. relativa acumulada
0 6 6 0,12 0,12
1 13 19 0,26 0,38
2 16 35 0,32 0,7
3 9 44 0,18 0,88
4 4 48 0,08 0,96
5 2 50 0,04 1
Pregunta 13
Las edades de los jugadores de un equipo de baloncesto son: 27, 18, 28, 26, 25, 19, 31, 19, 24 y
26 años. ¿Cuál es la edad media?
Solución:
24'3 (redondeando, 24 años).
Pregunta 14
Lanzamos un dado 25 veces y obtenemos los siguientes resultados:
5, 3, 2, 6, 5, 1, 2, 3, 2, 1, 5, 1, 5, 2, 4, 5, 6, 1, 2, 4, 4, 2, 2, 4, 3.
Calcula el percentil P30.
Solución:
P30 = 2.
0 2 1 2 5 2 1 1 1 4 0 0 2
0 4 4 1 1 2 2 3 1 2 3 0
3 1 3 2 2 3 3 1 5 4 3 3
1 2 2 2 3 2 2 1 0 2 2 1
1
Pregunta 15
Representa mediante un diagrama de barras las ciudades más pobladas (en 1995):
Ciudad Habitantes (en millones)
Tokio (Japón) 26,8
Sao Paulo (Brasil) 16,4
Nueva York (EE.UU.) 16,3
C. De México (México) 15,6
Bombay (India) 15,1
Shangai (China) 15,1
Los Ángeles (EE.UU.) 12,4
Pekín (China) 12,4
Calcuta (India) 11,7
Seúl (Corea del Sur) 11,6
Solución:
Pregunta 16
En una clase de un IES hemos medido la altura de los 25 alumnos. Sus medidas, en cm, se
reflejan en la siguiente tabla agrupados en intervalos:
Alturas Nº alumnos (fi)
[150,155) 3
[155,160) 7
[160,165) 6
[165,170) 4
[170,175) 5
0
5
10
15
20
25
30
Tokio(Japón)
SaoPaulo(Brasil)
NuevaYork(EEUU)
C.deMéxico(México)
Bombay(India)
Shangai(China)
LosÁngeles(EEUU)
Pekín(China)
Calcuta(India)
Seúl(CoreadelSur)
Habitantes (en millones)
Calcula la varianza y la desviación típica.
Solución:
Varianza = 42,96
Desviación típica = 6,55.
Pregunta 17
Calcula el sueldo medio en España de varones y mujeres en la industria y los servicios, según los
datos de 1999 ofrecidos por el INE:
Varones Mujeres
Andalucía 248.389 158.901
Aragón 282.054 156.485
Asturias (Principado de) 275.406 177.203
Baleares (Islas) 253.681 176.835
Canarias 217.843 167.953
Cantabria 270.570 163.153
Castilla y León 260.336 171.002
Castilla-La Mancha 226.887 146.525
Cataluña 281.496 195.771
Comunidad Valenciana 244.350 159.117
Extremadura 220.644 133.952
Galicia 229.395 163.609
Madrid (Comunidad de) 308.122 235.456
Murcia (Región de) 218.924 144.544
Navarra (C. Foral de) 289.006 195.560
País Vasco 322.222 232.367
Rioja (La) 255.193 166.257
Sueldo medio
CC.AA.
Solución:
Sueldo medio de varones = 259.089.
Sueldo medio de mujeres = 173.217.
Pregunta 18
Las calificaciones de 180 alumnos se recogen en la siguiente tabla:
Calificación Alumnos
0 1
1 5
2 15
3 20
4 30
5 35
6 22
7 14
8 16
9 14
10 8
Calcula P90.
Solución:
P90 = 9.
Pregunta 19
La siguiente tabla muestra el uso del suelo español, calcula los porcentajes que hay de cada tipo.
Solución:
Pregunta 20
Se han pesado 40 piezas. Los resultados de las pesadas, expresados en gramos, son:
Confecciona una tabla estadística para presentar los resultados agrupando en intervalos los
valores observados y donde aparezcan también las frecuencias absolutas acumuladas y las
frecuencias relativas acumuladas. Toma intervalos de amplitud de 1 cm. comenzando por 61.
Solución:
Uso del suelo español Superficie (Ha.)
Cultivos herbáceos 11.123.000
Cultivos leñosos 5.060.000
Barbechos 4.048.000
Prados y pastizales 2.530.000
Forestal desarbolado 12.650.000
Forestal arbolado ralo 4.048.000
Forestal arbolado normal 8.602.000
Otros usos 2.530.000
Uso del suelo español Superficie (Ha.) Porcentaje
Cultivos herbáceos 11.123.000 22%
Cultivos leñosos 5.060.000 10%
Barbechos 4.048.000 8%
Prados y pastizales 2.530.000 5%
Forestal desarbolado 12.650.000 25%
Forestal arbolado ralo 4.048.000 8%
Forestal arbolado normal 8.602.000 17%
Otros usos 2.530.000 5%
64,1 66,4 64 66,7 65,3 64,4 63,9 63 65,4 64,3
68,8 66,6 65,1 64,2 68,5 65,7 65,8 63,1 64,6 63,5
65 66,4 67,3 65,7 64 61,5 64,1 65 63 63,2
66,9 66,3 67 66,1 66,8 65,3 64,4 64,5 63,1 65,5
Peso F. absoluta F. absoluta acumulada F. relativa F. relativa acumulada
[61, 62) 1 1 0,025 0,025
[62, 63) 0 1 0 0,025
[63, 64) 7 8 0,175 0,2
[64, 65) 10 18 0,25 0,45
[65, 66) 10 28 0,25 0,7
[66, 67) 8 36 0,2 0,9
[67, 68) 2 38 0,05 0,95
[68, 69) 2 40 0,05 1
Pregunta 21
Halla la media del número de establecimientos hoteleros que hay en las distintas Comunidades
Autónomas de España. Después, con ayuda de la desviación típica, comenta si esta media es
representativa de todas las comunidades autónomas.
CC.AA. Nº establecimientos
hoteleros
Andalucía 2.266
Aragón 712
Asturas (Principado de) 620
Baleares (Islas) 1.483
Canarias 532
Cantabria 496
Castilla y León 1.452
Castilla-La Mancha 842
Cataluña 2.713
Comunidad Valenciana 1.019
Extremadura 418
Galicia 1.526
Madrid (Comunidad de) 1.242
Murcia (Región de) 209
Navarra (C. Foral de) 150
País Vasco 396
Rioja (La) 117
Ceuta y Melilla 36
Solución:
Media = 902 establecimientos hoteleros por comunidad.
Desviación típica = 731,14.
Como la desviación típica es muy alta, esto me indica que los datos reales se diferencian mucho
de la media, luego el dato de la media no es representativo.
Pregunta 22
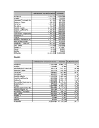
Calcula el porcentaje de participación en las elecciones a Cortes Generales de marzo de 2000,
teniendo en cuenta los datos de la tabla siguiente:
Total electores con derecho a voto Votantes
Andalucía 5.916.783 4.068.793
Aragón 1.019.845 728.060
Asturias (Principado de) 981.504 657.553
Baleares (Islas) 652.009 400.559
Canarias 1.393.410 845.348
Cantabria 468.607 336.508
Castilla y León 2.186.659 1.586.950
Castilla-La Mancha 1.420.894 1.084.236
Cataluña 5.293.465 3.388.128
Comunidad Valenciana 3.366.210 2.447.384
Extremadura 878.292 662.393
Galicia 2.547.784 1.656.662
Madrid (Comunidad de) 4.317.146 3.111.662
Murcia (Región de) 917.217 674.516
Navarra (C. Foral de) 463.892 306.494
País Vasco 1.810.666 1.155.999
Rioja (La) 230.427 170.997
Ceuta 55.848 30.801
Melilla 48.985 26.450
ESPAÑA 33.969.640 23.339.490
Solución:
Total electores con derecho a voto Votantes % Participación
Andalucía 5.916.783 4.068.793 68,77
Aragón 1.019.845 728.060 71,39
Asturias (Principado de) 981.504 657.553 66,99
Baleares (Islas) 652.009 400.559 61,43
Canarias 1.393.410 845.348 60,67
Cantabria 468.607 336.508 71,81
Castilla y León 2.186.659 1.586.950 72,57
Castilla-La Mancha 1.420.894 1.084.236 76,13
Cataluña 5.293.465 3.388.128 64,01
Comunidad Valenciana 3.366.210 2.447.384 72,7
Extremadura 878.292 662.393 75,42
Galicia 2.547.784 1.656.662 65,02
Madrid (Comunidad de) 4.317.146 3.111.662 72,08
Murcia (Región de) 917.217 674.516 73,54
Navarra (C. Foral de) 463.892 306.494 66,07
País Vasco 1.810.666 1.155.999 63,84
Rioja (La) 230.427 170.997 74,21
Ceuta 55.848 30.801 55,15
Melilla 48.985 26.450 54
ESPAÑA 33.969.640 23.339.490 68,71
Pregunta 23
Representa mediante un gráfico de sectores la distribución de escaños en las elecciones a Cortes
Generales de 2000.
(* BNG, PA, ERC, IC-V, EA, CHA)
Solución:
Partidos políticos Escaños
PP 183
PSOE 125
CIU 15
IU 8
EAJ-PNV 7
CC 4
Otros* 8
183
125
15
8 7 4
8
Escaños
PP
PSOE
CIU
IU
EAJ-PNV
CC
Otros*
APLICACIÓN ÚTIL DE ESTADÍSTICA DESCRIPTIVA
Ejemplo #1
El Instituto Nacional de Estadísticas y Censos (INEC), como organismo rector y
coordinador de las actividades del Sistema Estadístico Nacional (SEN), ejecutó en
el año 2014 el Proyecto “Cambio de Base del IPC”, en el marco de un Sistema de
Indicadores de Precios al Consumidor (SIP-C) y con asesoría técnica de la
Comisión Económica para América Latina y el Caribe (CEPAL), con el fin de
precautelar la calidad y oportunidad de las estadísticas que genera.
El Índice de Precios al Consumidor (IPC), Base: Enero-Diciembre 2014=100, es un
indicador mensual, nacional y para nueve ciudades1, que mide los cambios en el
tiempo del nivel general de los precios, correspondientes al consumo final de bienes
y servicios de los hogares de estratos de ingreso: alto, medio y bajo, residentes en el
área urbana del país.
La variable principal que se investiga es el precio, para los 359 productos2 de la
canasta fija de investigación, obtenidos de la Encuesta Nacional de Ingresos y
Gastos de los Hogares Urbanos y Rurales ENIGHUR (Abril 2011 – Marzo 2012).
En el presente Cambio de Base, la condición fija del IPC (Base: 2014=100), se
sostiene desde el nivel elemental de “Producto”, para todas las agregaciones de la
nomenclatura con la que se describe el indicador: Clasificación del Consumo
Individual por Finalidades (CCIF). El nivel de “Producto” sustituye al “Artículo”
correspondiente al IPC (Base: 2004=100), cuya serie terminó en diciembre de 2014;
esto como consecuencia de la introducción del Componente Flexible en la Canasta
de investigación del índice, que permite actualizar el listado de bienes y servicios al
interior del nivel de “Producto”, conforme a los cambios del mercado, para evitar
una acelerada pérdida de representatividad del índice. Esta es una de las importantes
innovaciones que presenta la metodología del IPC (Base: 2014=100), las cuales van
desde el proceso de recolección de precios, hasta el cálculo del índice, para
incrementar su representatividad y confiabilidad3.
En el presente reporte mensual de inflación, se exponen los resultados: índices y
sus variaciones, correspondientes al mes de enero 2015, como primer mes de
vigencia del IPC (Base: 2014=100)4. Se mantiene el esquema de contenidos
presentado anteriormente para comodidad del lector, con los apartados que se
abordan, para describir la inflación, considerando su composición en el consumo de
los hogares y las jurisdicciones investigadas, así como su magnitud actual,
evolución e impactos en función del comportamiento de otros indicadores como el
costo de las canastas básica y vital -revisadas ahora con la información de precios
del IPC (Base: 2014=100)-, para evidenciar la cobertura del presupuesto familiar; el
Índice de Precios al Productor (IPP), dada su condición de indicador de alerta de la
inflación; el comportamiento mensual de la cuota inflacionaria proveniente del
ámbito de intermediación de bienes y servicios de consumo final -Índice de Brechas
de la Intermediación (IBRE-I)-; completando el enfoque con el panorama más
reciente del contexto internacional de medición de la inflación.
Resumen Ejecutivo
En enero de 2015, el Índice de Precios al Consumidor (IPC) registró las siguientes
variaciones: 0,59% la inflación mensual y acumulada; y 3,53% la anual; mientras
que para el mismo mes en el 2014 fue 0,72% la inflación mensual y acumulada; y
2,92% la anual.
Las divisiones de Transporte; y, la de Alimentos y Bebidas no Alcohólicas, fueron
las que más contribuyeron a la variación del mes de enero del IPC. Además, la
variación mensual de estas divisiones fueron fue de 1,55% y de 0,44%, en su orden.
La variación mensual de los bienes transables fue de 0,42%, siendo inferior a la
variación general del IPC y a la de los bienes no transables de 0,81%.
El valor de la canasta familiar básica se ubicó en 653,21 dólares, mientras que el
ingreso familiar (1,6 perceptores) en 660,80 dólares, esto implica una cobertura del
101,16% del costo total de dicha canasta. El Índice de Precios del Productor (IPP)
fue de 1.762,75; determinando una variación mensual de 0,32% frente al -0,41%
alcanzado en el mismo mes del año anterior; a su vez la variación anual del IPP es
de 3,93%, mientras que en el año anterior la cifra fue de 1,91%.
Finalmente, el índice de intermediación (IBRE-I) en el mes de análisis es de
100,63; lo cual representa una variación en el último mes de -0,56%, frente al -
1,79% del mismo mes del año anterior.
Ejemplo #2
CAPITULO IV DEL PROYECTO INTEGRADOR DE SABERES
3. MARCO METODOLÓGICO
3.1. METODO
El método inductivo ya que de este se obtiene conclusiones generales a partir de
premisas particulares. Se trata del método científico más usual, en el que pueden
distinguirse cuatro pasos esenciales: la observación de los hechos para su registro; la
clasificación y el estudio de estos hechos; la derivación inductiva que parte de los
hechos y permite llegar a una generalización; y la contrastación.
3.2.TIPO DE LA INVESTIGACIÓN:
Investigación de campo: Se trata de la investigación aplicada para comprender y
resolver alguna situación, necesidad o problema en un contexto determinado.
El investigador trabaja en el ambiente natural en que conviven las personas y las
fuentes consultadas, de las que obtendrán los datos más relevantes a ser analizados,
son individuos, grupos y representaciones de las organizaciones científicas no
experimentales dirigidas a descubrir relaciones e interacciones entre variables
sociológicas, psicológicas y educativas en estructuras sociales reales y cotidianas.
3.3.TÉCNICAS DE RECOLECCIÓN DE DATOS
Para el presente proyecto la técnica utilizada fue la de la encuesta
TECNICA INSTRUMETO
ENCUESTA CUESTIONARIO
3.4.POBLACIÓN Y MUESTRA
4.4.1. POBLACIÓN
Se trata de 350 estudiantes de LA Unidad de Nivelación del área: Ciencias de la
Educación y servicios del campus La Dolorosa de la Universidad Nacional de
Chimborazo.
4.4.2 MUESTRA
𝑚 =
𝑛
𝑒2( 𝑛 − 1) + 1
𝑚 =
350
(0.05)2(349)+ 1
𝑚 =
350
1.8725
𝑚 = 187
3.5.PROCESAMIENTO Y DISCUCIÓN DE RESULTADOS
PREGUNTA NÚMERO UNO:
¿Usted padece problemas de visión?
Escala Valorativa Porcentaje Muestra
Si 74% 259
No 26% 91
TOTALES 100,00% 350
TABLA 1: problemas de visión
FUENTE: encuesta a los estudiantes de nivelación
FIGURA 15: Problemas de visión
Fuente: Tabla1
ANÁLISIS:
De 350 estudiantes encuestados 259 tienen problemas de visión mismos que representan al
74 %, mientras que los 91 restantes no tienen problemas de visión los cuales forman el
26%.
PREGUNTA NÚMERO DOS:
74%
26%
Porcentaje
Si
No
¿Conoces sobre que alimentos son excelentes para mejorar tu visión?
Escala Valorativa Porcentaje Muestra
SI 55,71% 104
NO 44,29% 83
TOTALES 100,00% 187
TABLA 6: conocimientode alimentos que ayuden a mejorarnuestra visión
FUENTE: encuesta a los estudiantes de nivelación
FIGURA 20: conocimiento de alimentos que ayuden a mejorar nuestra visión.
FUENTE: tabla 6
ANÁLISIS: De los 187 estudiantes encuestados, 104 estudiantes equivalente al 55.71%
conocen sobre alimentos que son excelentes para mejorar su visión mientras que 87
estudiantes equivalente al 44.29 % desconocen.

Proyecto de aula asignatura matematicas

  • 1.
    UNIVERSIDAD NACIONAL DECHIMBORAZO UNIDAD DE NIVELACIÓN Y ADMISIÓN PROYECTO DE AULA ASIGNATURA: MATEMÁTICAS TEMA: CONCEPTOS BÁSICOS DE ESTADÍSTICA DESCRIPTIVA SUBTEMAS:  DEFINICIÓN  ELEMENTO POBLACION Y MUESTRA  TIPOS DE VARIABLE  ESCALA DE MEDICIÓN AUTORA: AMANDA TORRES ÁREA - PARALELO: 4-EM1 DOCENTE: MGS. DANIEL MOROCHO
  • 2.
    AGRADECIMIENTO Expreso mi agradecimientoa Dios por darme la vida, por permitirme superar cada día, de igual manera expreso mi agradecimiento a mi esposo e hijos por ser el motor de mi vida, por brindarme su apoyo, por su fortaleza, por sus palabras de motivación hacia mí siempre, por orientarme hacia un futuro mejor. De igual manera agradezco a mi maestro Msc. Daniel Morocho, por compartir sus conocimientos, por ser guía, por brindarme su confianza y apoyo, por compartir sus ideas, por su paciencia, y por la ayuda brindada para la realización de este gran proyecto. Así también gracias a todos mis compañeros y amigos. Finalmente agradezco a esta Institución por darme la oportunidad de formar parte de ella y superarme.
  • 3.
    DEDICATORIA Este proyecto esel resultado de mi empeño y esfuerzo por ello es dedicado a Dios por haberme brindado salud, sabiduría y ganas de superarme a diario, de igual forma está dirigido a mi esposo por innumerables motivos entre ellos por su apoyo incondicional, por estar ahí siempre, por ser más que un esposo un amigo. Dedico también este proyecto a mi maestro Mgs. Daniel Morocho por su orientación y guía, por motivarme a realizar este proyecto: Amanda
  • 4.
    INTRODUCCIÓN La estadística nosposibilita cuantificar la realidad y disponer de los elementos que nos permitan su análisis. La base de las actuaciones políticas y administrativas es el estudio de los datos estadísticos, porque conocer la realidad nos permite actuar de una forma más coherente (con conocimiento de causa). Nos formulamos preguntas y con la ayuda de la estadística las intentamos responder. Por ejemplo, el Índice de Precios al Consumo (IPC) se utiliza como medida de la inflación. También se aplica en la revisión de los contratos de arrendamiento de inmuebles, como referencia en la negociación salarial, en la fijación de las pensiones, en la actualización de las primas de seguros y otros tipos de contrato, y como deflactor en la Contabilidad Nacional. La Estadística responde a las necesidades del desarrollo científico y tecnológico de la sociedad. Tras la Revolución Industrial se produce un desarrollo de la sociedad en todos sus ámbitos y, en particular, en el Científico y Tecnológico. Las Comunicaciones, la Industria, la Agricultura, la Salud se desarrollan rápidamente y se exige el máximo rendimiento y la mejor utilización de estos sectores. OBJETIVO GENERAL
  • 5.
    Investigar, aprender ydeterminar la definición sobre estadística descriptiva. OBJETIVOS ESPECÍFICOS  Definición sobre estadística descriptiva  Elemento población y muestra  Tipos de variable  Escala de medición MARCO TEÓRICO ¿Qué es estadística? La Estadística es la ciencia que se encarga de recolectar datos de una población o muestra. ¿Qué es estadística descriptiva? La estadística descriptiva es la rama de las Matemáticas que recolecta, presenta y caracteriza un conjunto de datos (por ejemplo, edad de una población, altura de los estudiantes de una escuela, temperatura en los meses de verano, etc.) con el fin de describir apropiadamente las diversas características de ese conjunto. ELEMENTOS: POBLACIÓN O UNIVERSO: es el total del conjunto de elementos u objetos de los cuales se quiere obtener información. Aquí el término población tiene un significado mucho más amplio que el usual, ya que puede referirse a personas, cosas, actos, áreas geográficas e incluso al tiempo. La población debe estar perfectamente definida en el tiempo y en el espacio, de modo que ante la presencia de un potencial integrante de la misma, se pueda decidir si forma parte o no de la población bajo estudio. Por lo tanto, al definir una población, se debe cuidar que el conjunto de elementos que la integran quede perfectamente delimitado. El tamaño de una población viene dado por la cantidad de elementos que la componen. TIPOS DE POBLACIÓN:
  • 6.
    POBLACIÓN FINITA: Esaquella que indica que es posible alcanzarse o sobrepasarse al contar. Es aquella que posee o incluye un número limitado de medidas y observaciones. Ejemplo: El número de alumnos de un centro de enseñanza, o grupo de clase. POBLACIÓN INFINITA: Es infinita si se incluye un gran conjunto de medidas y observaciones que no pueden alcanzarse en el conteo. Son poblaciones infinitas porque hipotéticamente no existe límite en cuanto al número de observaciones que cada uno de ellos puede generar. Ejemplo: Si se realizase un estudio sobre los productos que hay en el mercado. Hay tantos y de tantas calidades que esta población podría considerarse infinita MUESTRA: es un subconjunto de unidades de análisis de una población dada, destinado a suministrar información sobre la población. Para que este subconjunto de unidades de análisis sea de utilidad estadística, deben reunirse ciertos requisitos en la selección de los elementos. MUESTRA REPRESENTATIVA: Un subconjunto representativo seleccionado de una población de la cual se obtuvo. MUESTREO: Al estudio de la muestra representativa. PARÁMETRO: Son las características medibles en una población completa. Se le asigna un símbolo representado por una letra griega. DEFINICIÓN Y CLASIFICACIÓN DE VARIABLES
  • 7.
    Al conjunto delos distintos valores numéricos que adopta un carácter cuantitativo se llama variable estadística. Las variables pueden ser de dos tipos: • Variables cualitativas o categóricas: No se pueden medir numéricamente (por ejemplo: nacionalidad, color de la piel, sexo). • Variables cuantitativas: Tienen valor numérico (edad, precio de un producto, ingresos anuales). Las variables también se pueden clasificar en: • Variables unidimensionales: Sólo recogen información sobre una característica (por ejemplo: edad de los alumnos de una clase). • Variables bidimensionales: Recogen información sobre dos características de la población (por ejemplo: edad y altura de los alumnos de una clase). • Variables pluridimensionales: Recogen información sobre tres o más características (por ejemplo: edad, altura y peso de los alumnos de una clase). Por su parte, las variables cuantitativas se pueden clasificar en discretas y continuas: • Discretas: Sólo pueden tomar valores enteros (1, 2, 8, -4, etc.). Por ejemplo: número de hermanos (puede ser 1, 2, 3...., etc., pero, por ejemplo, nunca podrá ser 3.45). • Continuas: Pueden tomar cualquier valor real dentro de un intervalo. Por ejemplo, la velocidad de un vehículo puede ser 90.4 km/h, 94.57 km/h...etc.
  • 8.
    Cuando se estudiael comportamiento de una variable hay que distinguir los siguientes conceptos: • Individuo: Cualquier elemento que porte información sobre el fenómeno que se estudia. Así, si estudiamos la altura de los niños de una clase, cada alumno es un individuo; si se estudia el precio de la vivienda, cada vivienda es un individuo. • Población: Conjunto de todos los individuos (personas, objetos, animales, etc.) que porten información sobre el fenómeno que se estudia. Por ejemplo, si se estudia el precio de la vivienda en una ciudad, la población será el total de las viviendas de dicha ciudad. • Muestra: Subconjunto que seleccionado de una población. Por ejemplo, si se estudia el precio de la vivienda de una ciudad, lo normal será no recoger información sobre todas las viviendas de la ciudad sería una labor muy compleja, sino que se suele seleccionar un subgrupo muestra que se entienda que es suficientemente representativo. Las variables aleatorias son variables que son seleccionadas al azar o por procesos aleatorios.
  • 9.
    ESCALA DE MEDICIÓN Losniveles de medición son las escalas nominal, ordinal, de intervalo y de razón. Se utilizan para ayudar en la clasificación de las variables, el diseño de las preguntas para medir variables, e incluso indican el tipo de análisis estadístico apropiado para el tratamiento de los datos. Una característica esencial de la medición es la dependencia que tiene de la posibilidad de variación. La validez y la confiabilidad de la medición de una variable depende de las decisiones que se tomen para operacionalizarla y lograr una adecuada comprensión del concepto evitando imprecisiones y ambigüedad, por en caso contrario, la variable corre el riesgo inherente de ser invalidada debido a que no produce información confiable. a) Medición Nominal. En este nivel de medición se establecen categorías distintivas que no implican un orden específico. Por ejemplo, si la unidad de análisis es un grupo de personas, para clasificarlas se puede establecer la categoría sexo con dos niveles, masculino (M) y femenino (F), los respondientes solo tienen que señalar su género, no se requiere de un orden real.
  • 10.
    Así, si seasignan números a estos niveles solo sirven para identificación y puede ser indistinto: 1=M, 2=F o bien, se pueden invertir los números sin que afecte la medición: 1=F y 2=M. En resumen en la escala nominal se asignan números a eventos con el propósito de identificarlos. No existe ningún referente cuantitativo. Sirve para nombrar las unidades de análisis en una investigación y es utilizada en cárceles, escuelas, deportes, etc. La relación lógica que se expresa es: A ¹ B (A es diferente de B). b) Medición Ordinal. Se establecen categorías con dos o más niveles que implican un orden inherente entre sí. La escala de medición ordinal es cuantitativa porque permite ordenar a los eventos en función de la mayor o menor posesión de un atributo o característica. Por ejemplo, en las instituciones escolares de nivel básico suelen formar por estatura a los estudiantes, se desarrolla un orden cuantitativo pero no suministra medidas de los sujetos. La relación lógica que expresa esta escala es A > B (A es mayor que B). Clasificar a un grupo de personas por la clase social a la que pertenecen implica un orden prescrito que va de lo más alto a lo más bajo. Estas escalas admiten la asignación de números en función de un orden prescrito. Las formas más comunes de variables ordinales son ítems (reactivos) actitudinales estableciendo una serie de niveles que expresan una actitud de acuerdo o desacuerdo con respecto a algún referente. Por ejemplo, ante el ítem: La economía mexicana debe dolarizarse, el respondiente puede marcar su respuesta de acuerdo a las siguientes alternativas: ___ Totalmente de acuerdo ___ De acuerdo ___ Indiferente ___ En desacuerdo ___ Totalmente en desacuerdo Las anteriores alternativas de respuesta pueden codificarse con números que van del uno al cinco que sugieren un orden preestablecido pero no implican una distancia entre un número y otro. Las escalas de actitudes son ordinales pero son tratadas como variables continuas (Therese L. Baker, 1997). c) Medición de Intervalo. La medición de intervalo posee las características de la medición nominal y ordinal. Establece la distancia entre una medida y otra. La escala de intervalo se aplica a
  • 11.
    variables continuas perocarece de un punto cero absoluto. El ejemplo más representativo de este tipo de medición es un termómetro, cuando registra cero grados centígrados de temperatura indica el nivel de congelación del agua y cuando registra 100 grados centígrados indica el nivel de ebullición, el punto cero es arbitrario no real, lo que significa que en este punto no hay ausencia de temperatura. Una persona que en un examen de matemáticas que obtiene una puntuación de cero no significa que carezca de conocimientos, el punto cero es arbitrario porque sigue existiendo la característica medida. d) Medición de Razón. Una escala de medición de razón incluye las características de los tres anteriores niveles de medición anteriores (nominal, ordinal e intervalo). Determina la distancia exacta entre los intervalos de una categoría. Adicionalmente tiene un punto cero absoluto, es decir, en el punto cero no existe la característica o atributo que se mide. Las variables de ingreso, edad, número de hijos, etc. son ejemplos de este tipo de escala. El nivel de medición de razón se aplica tanto a variables continuas como discretas. CONCLUSIÓN Se puede decir que este tema es de mucha importancia, ya que se pudo entender sobre estadística descriptiva. El conocimiento adquirido será para mí de gran valor a futuro. BIBLIOGRAFÍA: https://es.wikipedia.org/wiki/Estad%C3%ADstica_descriptiva https://sites.google.com/site/estadisticadescriptivaenedu/home/unidad-1/niveles-o- escalas
  • 12.
    EJERCICIOS DE ESTADÍSTICADESCRIPTIVA Pregunta 1 Las notas de inglés de una clase de 40 alumnos han sido las siguientes: Calcula la nota media. Solución: 4,6. Pregunta 2 En una clase de una escuela hemos medido la altura de los 25 alumnos. Sus medidas, en cm, son: Elabora una tabla que represente estos resultados con sus frecuencias absolutas, relativas y porcentajes. Toma intervalos de amplitud 5 cm comenzando por 150. Solución: Alturas F. absolutas F. relativas Porcentajes [150, 155) 3 0,12 12% [155, 160) 7 0,28 28% [160, 165) 6 0,24 24% [165, 170) 4 0,16 16% [170, 175) 5 0,2 20% Pregunta 3 En un examen de matemáticas los 30 alumnos de una clase han obtenido las puntuaciones recogidas en la siguiente tabla: Calificaciones Nº alumnos [0,1) 2 [1,2) 2 [2,3) 3 [3,4) 6 [4,5) 7 [5,6) 6 [6,7) 1 [7,8) 1 [8,9) 1 [9,10) 1 Halla la varianza y la desviación típica. 1 7 9 2 5 4 4 3 7 8 4 5 6 7 6 4 3 1 5 9 2 6 4 6 5 2 2 8 3 6 4 5 2 4 3 5 6 5 2 4 167 159 168 165 150 170 172 158 163 156 151 173 175 164 153 158 157 164 169 163 160 159 158 174 164
  • 13.
    Solución: Varianza = 4,23Desviación típica = 2,06. Pregunta 4 En una clase de 25 alumnos hemos preguntado la edad de cada uno, obteniendo estos resultados: 14, 14, 15, 13, 15, 14, 14, 14, 14, 15, 13, 14, 15, 16, 14, 15, 13, 14, 15, 13, 14, 14, 14, 15, 14 Haz una tabla donde aparezcan las frecuencias absolutas acumuladas y las frecuencias relativas acumuladas.Solución: Edad F. absoluta F. absoluta acumulada F. relativa F. relativa acumulada 13 4 4 0,16 0,16 14 13 17 0,52 0,68 15 7 24 0,28 0,96 16 1 25 0,04 1 Pregunta 5 Calcula la varianza y la desviación típica de los siguientes datos: 4, 7, 5, 3, 6. Solución:Varianza = 2 Desviación típica = 1,41. Pregunta 6 Halla el número medio de hijos por mujer en 1998 en España a partir de los datos de las comunidades autónomas: Andalucía 1,28 Aragón 1,05 Asturas (Principado de) 0,8 Baleares (Islas) 1,44 Canarias 1,24 Cantabria 0,94 Castilla y León 0,91 Castilla-La Mancha 1,24 Cataluña 1,21 Comunidad Valenciana 1,17 Extremadura 1,2 Galicia 0,9 Madrid (Comunidad de) 1,19 Murcia (Región de) 1,41 Navarra (C. Foral de) 1,7 País Vasco 0,97 Rioja (La) 1,12 Ceuta y Melilla 1,87
  • 14.
    Solución: Nº medio dehijos por mujer = 1,20. Pregunta 7 Calcula el percentil P65 de los siguientes datos: Solución: P65 = 10. Pregunta 8 Calcula la media de viajeros en establecimientos hoteleros durante 1999. Después calcula la desviación típica para ver si esa media es representativa de todos los meses del año. Solución: Media = 4.882.412 viajeros. Desviación típica = 1.390.381 viajeros. La desviación típica es alta, por lo que podemos deducir que hay algunos meses que difieren mucho de la media. xi fi 2 12 4 10 6 8 8 7 10 5 12 8 14 10 Mes Viajeros Enero 2.775.738 Febrero 3.205.892 Marzo 4.143.343 Abril 4.931.385 Mayo 5.724.555 Junio 5.834.331 Julio 6.415.298 Agosto 6.986.211 Septiembre 6.349.504 Octubre 5.447.890 Noviembre 3.570.715 Diciembre 3.204.082
  • 15.
    Pregunta 9 Representa mediantediagrama de barras las ganancias medias de los trabajadores, según el sexo, en el cuarto trimestre de 1999, que se recogen en la siguiente tabla: Solución: Pregunta 10 Haz un diagrama de sectores que represente la procedencia de los extranjeros residentes en España, en diciembre de 1999, recogidos en la siguiente tabla: Sector Varones Mujeres Industria 284.363 206.204 Construcción 214.446 205.372 Servicios 263.554 195.447 Sueldo en ptas. 0 50,000 100,000 150,000 200,000 250,000 300,000 Industria Construcción Servicios Sueldo medio en ptas. Varones Mujeres Procedencia Europa 353.556 América 166.709 Asia 66.340 África 213.012 Oceanía 1.013 Desconocida 699
  • 16.
    Solución: Pregunta 11 Calcula lamedia de la población en las Comunidades Autónomas que nos indica la siguiente tabla: Solución: 2.490.791 habitantes. Europa América Asia África Oceanía Desconocida Procedencia de extranjeros en España CCAA Habitantes Andalucía 7.236.459 Aragón 1.183.234 Asturias 1.081.834 Baleares (Islas) 796.483 Canarias 1.630.015 Cantabria 527.137 Castilla y León 2.484.603 Castilla-La Mancha 1.716.152 Cataluña 6.147.610 Ceuta 72.117 Comunidad Valenciana 4.023.441 Extremadura 1.069.419 Galicia 2.724.544 Madrid 5.091.336 Melilla 60.108 Murcia 1.115.068 Navarra 530.819 País Vasco 2.098.628 Rioja (La) 263.644 TOTAL ESPAÑA 39.852.651
  • 17.
    Pregunta 12 Se hahecho una encuesta sobre el número de hijos en 50 familias, con los siguientes resultados: Haz una tabla donde se recojan estos datos con sus frecuencias absolutas acumuladas y relativas acumuladas. Solución: Nº hijos F. absoluta F. absoluta acumulada F. relativa F. relativa acumulada 0 6 6 0,12 0,12 1 13 19 0,26 0,38 2 16 35 0,32 0,7 3 9 44 0,18 0,88 4 4 48 0,08 0,96 5 2 50 0,04 1 Pregunta 13 Las edades de los jugadores de un equipo de baloncesto son: 27, 18, 28, 26, 25, 19, 31, 19, 24 y 26 años. ¿Cuál es la edad media? Solución: 24'3 (redondeando, 24 años). Pregunta 14 Lanzamos un dado 25 veces y obtenemos los siguientes resultados: 5, 3, 2, 6, 5, 1, 2, 3, 2, 1, 5, 1, 5, 2, 4, 5, 6, 1, 2, 4, 4, 2, 2, 4, 3. Calcula el percentil P30. Solución: P30 = 2. 0 2 1 2 5 2 1 1 1 4 0 0 2 0 4 4 1 1 2 2 3 1 2 3 0 3 1 3 2 2 3 3 1 5 4 3 3 1 2 2 2 3 2 2 1 0 2 2 1 1
  • 18.
    Pregunta 15 Representa medianteun diagrama de barras las ciudades más pobladas (en 1995): Ciudad Habitantes (en millones) Tokio (Japón) 26,8 Sao Paulo (Brasil) 16,4 Nueva York (EE.UU.) 16,3 C. De México (México) 15,6 Bombay (India) 15,1 Shangai (China) 15,1 Los Ángeles (EE.UU.) 12,4 Pekín (China) 12,4 Calcuta (India) 11,7 Seúl (Corea del Sur) 11,6 Solución: Pregunta 16 En una clase de un IES hemos medido la altura de los 25 alumnos. Sus medidas, en cm, se reflejan en la siguiente tabla agrupados en intervalos: Alturas Nº alumnos (fi) [150,155) 3 [155,160) 7 [160,165) 6 [165,170) 4 [170,175) 5 0 5 10 15 20 25 30 Tokio(Japón) SaoPaulo(Brasil) NuevaYork(EEUU) C.deMéxico(México) Bombay(India) Shangai(China) LosÁngeles(EEUU) Pekín(China) Calcuta(India) Seúl(CoreadelSur) Habitantes (en millones)
  • 19.
    Calcula la varianzay la desviación típica. Solución: Varianza = 42,96 Desviación típica = 6,55. Pregunta 17 Calcula el sueldo medio en España de varones y mujeres en la industria y los servicios, según los datos de 1999 ofrecidos por el INE: Varones Mujeres Andalucía 248.389 158.901 Aragón 282.054 156.485 Asturias (Principado de) 275.406 177.203 Baleares (Islas) 253.681 176.835 Canarias 217.843 167.953 Cantabria 270.570 163.153 Castilla y León 260.336 171.002 Castilla-La Mancha 226.887 146.525 Cataluña 281.496 195.771 Comunidad Valenciana 244.350 159.117 Extremadura 220.644 133.952 Galicia 229.395 163.609 Madrid (Comunidad de) 308.122 235.456 Murcia (Región de) 218.924 144.544 Navarra (C. Foral de) 289.006 195.560 País Vasco 322.222 232.367 Rioja (La) 255.193 166.257 Sueldo medio CC.AA. Solución: Sueldo medio de varones = 259.089. Sueldo medio de mujeres = 173.217. Pregunta 18 Las calificaciones de 180 alumnos se recogen en la siguiente tabla: Calificación Alumnos 0 1 1 5 2 15 3 20 4 30 5 35 6 22 7 14 8 16 9 14 10 8
  • 20.
    Calcula P90. Solución: P90 =9. Pregunta 19 La siguiente tabla muestra el uso del suelo español, calcula los porcentajes que hay de cada tipo. Solución: Pregunta 20 Se han pesado 40 piezas. Los resultados de las pesadas, expresados en gramos, son: Confecciona una tabla estadística para presentar los resultados agrupando en intervalos los valores observados y donde aparezcan también las frecuencias absolutas acumuladas y las frecuencias relativas acumuladas. Toma intervalos de amplitud de 1 cm. comenzando por 61. Solución: Uso del suelo español Superficie (Ha.) Cultivos herbáceos 11.123.000 Cultivos leñosos 5.060.000 Barbechos 4.048.000 Prados y pastizales 2.530.000 Forestal desarbolado 12.650.000 Forestal arbolado ralo 4.048.000 Forestal arbolado normal 8.602.000 Otros usos 2.530.000 Uso del suelo español Superficie (Ha.) Porcentaje Cultivos herbáceos 11.123.000 22% Cultivos leñosos 5.060.000 10% Barbechos 4.048.000 8% Prados y pastizales 2.530.000 5% Forestal desarbolado 12.650.000 25% Forestal arbolado ralo 4.048.000 8% Forestal arbolado normal 8.602.000 17% Otros usos 2.530.000 5% 64,1 66,4 64 66,7 65,3 64,4 63,9 63 65,4 64,3 68,8 66,6 65,1 64,2 68,5 65,7 65,8 63,1 64,6 63,5 65 66,4 67,3 65,7 64 61,5 64,1 65 63 63,2 66,9 66,3 67 66,1 66,8 65,3 64,4 64,5 63,1 65,5
  • 21.
    Peso F. absolutaF. absoluta acumulada F. relativa F. relativa acumulada [61, 62) 1 1 0,025 0,025 [62, 63) 0 1 0 0,025 [63, 64) 7 8 0,175 0,2 [64, 65) 10 18 0,25 0,45 [65, 66) 10 28 0,25 0,7 [66, 67) 8 36 0,2 0,9 [67, 68) 2 38 0,05 0,95 [68, 69) 2 40 0,05 1 Pregunta 21 Halla la media del número de establecimientos hoteleros que hay en las distintas Comunidades Autónomas de España. Después, con ayuda de la desviación típica, comenta si esta media es representativa de todas las comunidades autónomas. CC.AA. Nº establecimientos hoteleros Andalucía 2.266 Aragón 712 Asturas (Principado de) 620 Baleares (Islas) 1.483 Canarias 532 Cantabria 496 Castilla y León 1.452 Castilla-La Mancha 842 Cataluña 2.713 Comunidad Valenciana 1.019 Extremadura 418 Galicia 1.526 Madrid (Comunidad de) 1.242 Murcia (Región de) 209 Navarra (C. Foral de) 150 País Vasco 396 Rioja (La) 117 Ceuta y Melilla 36 Solución: Media = 902 establecimientos hoteleros por comunidad. Desviación típica = 731,14. Como la desviación típica es muy alta, esto me indica que los datos reales se diferencian mucho de la media, luego el dato de la media no es representativo. Pregunta 22 Calcula el porcentaje de participación en las elecciones a Cortes Generales de marzo de 2000, teniendo en cuenta los datos de la tabla siguiente:
  • 22.
    Total electores conderecho a voto Votantes Andalucía 5.916.783 4.068.793 Aragón 1.019.845 728.060 Asturias (Principado de) 981.504 657.553 Baleares (Islas) 652.009 400.559 Canarias 1.393.410 845.348 Cantabria 468.607 336.508 Castilla y León 2.186.659 1.586.950 Castilla-La Mancha 1.420.894 1.084.236 Cataluña 5.293.465 3.388.128 Comunidad Valenciana 3.366.210 2.447.384 Extremadura 878.292 662.393 Galicia 2.547.784 1.656.662 Madrid (Comunidad de) 4.317.146 3.111.662 Murcia (Región de) 917.217 674.516 Navarra (C. Foral de) 463.892 306.494 País Vasco 1.810.666 1.155.999 Rioja (La) 230.427 170.997 Ceuta 55.848 30.801 Melilla 48.985 26.450 ESPAÑA 33.969.640 23.339.490 Solución: Total electores con derecho a voto Votantes % Participación Andalucía 5.916.783 4.068.793 68,77 Aragón 1.019.845 728.060 71,39 Asturias (Principado de) 981.504 657.553 66,99 Baleares (Islas) 652.009 400.559 61,43 Canarias 1.393.410 845.348 60,67 Cantabria 468.607 336.508 71,81 Castilla y León 2.186.659 1.586.950 72,57 Castilla-La Mancha 1.420.894 1.084.236 76,13 Cataluña 5.293.465 3.388.128 64,01 Comunidad Valenciana 3.366.210 2.447.384 72,7 Extremadura 878.292 662.393 75,42 Galicia 2.547.784 1.656.662 65,02 Madrid (Comunidad de) 4.317.146 3.111.662 72,08 Murcia (Región de) 917.217 674.516 73,54 Navarra (C. Foral de) 463.892 306.494 66,07 País Vasco 1.810.666 1.155.999 63,84 Rioja (La) 230.427 170.997 74,21 Ceuta 55.848 30.801 55,15 Melilla 48.985 26.450 54 ESPAÑA 33.969.640 23.339.490 68,71
  • 23.
    Pregunta 23 Representa medianteun gráfico de sectores la distribución de escaños en las elecciones a Cortes Generales de 2000. (* BNG, PA, ERC, IC-V, EA, CHA) Solución: Partidos políticos Escaños PP 183 PSOE 125 CIU 15 IU 8 EAJ-PNV 7 CC 4 Otros* 8 183 125 15 8 7 4 8 Escaños PP PSOE CIU IU EAJ-PNV CC Otros*
  • 24.
    APLICACIÓN ÚTIL DEESTADÍSTICA DESCRIPTIVA Ejemplo #1 El Instituto Nacional de Estadísticas y Censos (INEC), como organismo rector y coordinador de las actividades del Sistema Estadístico Nacional (SEN), ejecutó en el año 2014 el Proyecto “Cambio de Base del IPC”, en el marco de un Sistema de Indicadores de Precios al Consumidor (SIP-C) y con asesoría técnica de la Comisión Económica para América Latina y el Caribe (CEPAL), con el fin de precautelar la calidad y oportunidad de las estadísticas que genera. El Índice de Precios al Consumidor (IPC), Base: Enero-Diciembre 2014=100, es un indicador mensual, nacional y para nueve ciudades1, que mide los cambios en el tiempo del nivel general de los precios, correspondientes al consumo final de bienes y servicios de los hogares de estratos de ingreso: alto, medio y bajo, residentes en el área urbana del país. La variable principal que se investiga es el precio, para los 359 productos2 de la canasta fija de investigación, obtenidos de la Encuesta Nacional de Ingresos y Gastos de los Hogares Urbanos y Rurales ENIGHUR (Abril 2011 – Marzo 2012). En el presente Cambio de Base, la condición fija del IPC (Base: 2014=100), se sostiene desde el nivel elemental de “Producto”, para todas las agregaciones de la nomenclatura con la que se describe el indicador: Clasificación del Consumo Individual por Finalidades (CCIF). El nivel de “Producto” sustituye al “Artículo” correspondiente al IPC (Base: 2004=100), cuya serie terminó en diciembre de 2014; esto como consecuencia de la introducción del Componente Flexible en la Canasta de investigación del índice, que permite actualizar el listado de bienes y servicios al interior del nivel de “Producto”, conforme a los cambios del mercado, para evitar una acelerada pérdida de representatividad del índice. Esta es una de las importantes innovaciones que presenta la metodología del IPC (Base: 2014=100), las cuales van desde el proceso de recolección de precios, hasta el cálculo del índice, para incrementar su representatividad y confiabilidad3. En el presente reporte mensual de inflación, se exponen los resultados: índices y sus variaciones, correspondientes al mes de enero 2015, como primer mes de vigencia del IPC (Base: 2014=100)4. Se mantiene el esquema de contenidos presentado anteriormente para comodidad del lector, con los apartados que se abordan, para describir la inflación, considerando su composición en el consumo de los hogares y las jurisdicciones investigadas, así como su magnitud actual, evolución e impactos en función del comportamiento de otros indicadores como el costo de las canastas básica y vital -revisadas ahora con la información de precios del IPC (Base: 2014=100)-, para evidenciar la cobertura del presupuesto familiar; el
  • 25.
    Índice de Preciosal Productor (IPP), dada su condición de indicador de alerta de la inflación; el comportamiento mensual de la cuota inflacionaria proveniente del ámbito de intermediación de bienes y servicios de consumo final -Índice de Brechas de la Intermediación (IBRE-I)-; completando el enfoque con el panorama más reciente del contexto internacional de medición de la inflación. Resumen Ejecutivo En enero de 2015, el Índice de Precios al Consumidor (IPC) registró las siguientes variaciones: 0,59% la inflación mensual y acumulada; y 3,53% la anual; mientras que para el mismo mes en el 2014 fue 0,72% la inflación mensual y acumulada; y 2,92% la anual. Las divisiones de Transporte; y, la de Alimentos y Bebidas no Alcohólicas, fueron las que más contribuyeron a la variación del mes de enero del IPC. Además, la variación mensual de estas divisiones fueron fue de 1,55% y de 0,44%, en su orden. La variación mensual de los bienes transables fue de 0,42%, siendo inferior a la variación general del IPC y a la de los bienes no transables de 0,81%. El valor de la canasta familiar básica se ubicó en 653,21 dólares, mientras que el ingreso familiar (1,6 perceptores) en 660,80 dólares, esto implica una cobertura del 101,16% del costo total de dicha canasta. El Índice de Precios del Productor (IPP) fue de 1.762,75; determinando una variación mensual de 0,32% frente al -0,41% alcanzado en el mismo mes del año anterior; a su vez la variación anual del IPP es de 3,93%, mientras que en el año anterior la cifra fue de 1,91%. Finalmente, el índice de intermediación (IBRE-I) en el mes de análisis es de 100,63; lo cual representa una variación en el último mes de -0,56%, frente al - 1,79% del mismo mes del año anterior.
  • 26.
    Ejemplo #2 CAPITULO IVDEL PROYECTO INTEGRADOR DE SABERES 3. MARCO METODOLÓGICO 3.1. METODO El método inductivo ya que de este se obtiene conclusiones generales a partir de premisas particulares. Se trata del método científico más usual, en el que pueden distinguirse cuatro pasos esenciales: la observación de los hechos para su registro; la clasificación y el estudio de estos hechos; la derivación inductiva que parte de los hechos y permite llegar a una generalización; y la contrastación. 3.2.TIPO DE LA INVESTIGACIÓN: Investigación de campo: Se trata de la investigación aplicada para comprender y resolver alguna situación, necesidad o problema en un contexto determinado. El investigador trabaja en el ambiente natural en que conviven las personas y las fuentes consultadas, de las que obtendrán los datos más relevantes a ser analizados, son individuos, grupos y representaciones de las organizaciones científicas no experimentales dirigidas a descubrir relaciones e interacciones entre variables sociológicas, psicológicas y educativas en estructuras sociales reales y cotidianas. 3.3.TÉCNICAS DE RECOLECCIÓN DE DATOS Para el presente proyecto la técnica utilizada fue la de la encuesta TECNICA INSTRUMETO ENCUESTA CUESTIONARIO
  • 27.
    3.4.POBLACIÓN Y MUESTRA 4.4.1.POBLACIÓN Se trata de 350 estudiantes de LA Unidad de Nivelación del área: Ciencias de la Educación y servicios del campus La Dolorosa de la Universidad Nacional de Chimborazo. 4.4.2 MUESTRA 𝑚 = 𝑛 𝑒2( 𝑛 − 1) + 1 𝑚 = 350 (0.05)2(349)+ 1 𝑚 = 350 1.8725 𝑚 = 187
  • 28.
    3.5.PROCESAMIENTO Y DISCUCIÓNDE RESULTADOS PREGUNTA NÚMERO UNO: ¿Usted padece problemas de visión? Escala Valorativa Porcentaje Muestra Si 74% 259 No 26% 91 TOTALES 100,00% 350 TABLA 1: problemas de visión FUENTE: encuesta a los estudiantes de nivelación FIGURA 15: Problemas de visión Fuente: Tabla1 ANÁLISIS: De 350 estudiantes encuestados 259 tienen problemas de visión mismos que representan al 74 %, mientras que los 91 restantes no tienen problemas de visión los cuales forman el 26%. PREGUNTA NÚMERO DOS: 74% 26% Porcentaje Si No
  • 29.
    ¿Conoces sobre quealimentos son excelentes para mejorar tu visión? Escala Valorativa Porcentaje Muestra SI 55,71% 104 NO 44,29% 83 TOTALES 100,00% 187 TABLA 6: conocimientode alimentos que ayuden a mejorarnuestra visión FUENTE: encuesta a los estudiantes de nivelación FIGURA 20: conocimiento de alimentos que ayuden a mejorar nuestra visión. FUENTE: tabla 6 ANÁLISIS: De los 187 estudiantes encuestados, 104 estudiantes equivalente al 55.71% conocen sobre alimentos que son excelentes para mejorar su visión mientras que 87 estudiantes equivalente al 44.29 % desconocen.