ANÁLISIS DE LA INTERACCIÓN ENTRE EL PATRÓN RESPIRATORIO Y LA
FRECUENCIA CARDÍACA, EN PACIENTES ASISTIDOS MEDIANTE
VENTILACIÓN MECÁNICA, PARA LA ESTIMACIÓN DEL MOMENTO ÓPTIMO
EN LA EXTUBACIÓN
JUAN DAVID ORTIZ VIVIESCAS
UNVERSIDAD AUTONOMA DE BUCARAMANGA
INGENIERIA MECATRONICA
2014
2
Resumen
Uno de los desafíos en cuidados intensivos es el proceso de destete de la
ventilación mecánica. En este trabajo se presenta una aplicación de las técnicas
de Inteligencia Artificial (IA) en el campo de análisis por computador de señales
Biomédicas y ayuda al diagnóstico. Se han aplicado Redes Neuronales (RN) con
el fin de desarrollar un clasificador para el análisis de pacientes sometidos a una
extubación luego de haber sido conectados a una Ventilación Mecánica (VM). Se
implementa Algoritmos Genéticos (AG) y Forward Selection (FS), como técnicas
de selección de características, para la obtención de variables relevantes,
explicativas del sistema cardiorrespiratorio. Se estudian 66 pacientes asistidos
mediante ventilación mecánica fueron estudiados: Grupo 1 (33 pacientes con éxito
en la extubación) y Grupo 2 (33 pacientes que fallaron en el proceso de
extubación). Al seleccionar las características más significativas, y evaluar los
diferentes clasificadores obtenidos el mejor presento un porcentaje de
clasificación del 79% considerando únicamente 4 de las 21 características.
3
Índice
1 Objetivo General ...............................................................................................9
1.1 Objetivos Específicos ..............................................................................9
2 Justificación.....................................................................................................10
3 Antecedentes ..................................................................................................11
4 Estado del Arte................................................................................................14
5 Marco Teórico .................................................................................................18
5.1 Sistema Respiratorio .............................................................................18
5.2 Neumotacografía...................................................................................20
5.3 La señal electrocardiográfica (ECG)......................................................20
5.4 La Ventilación mecánica........................................................................21
5.5 Destete o extubación.............................................................................22
5.6 Métodos de extubación de pacientes ....................................................22
5.7 Interacción cardiorrespiratoria. ..............................................................23
5.8 Base de datos........................................................................................23
5.9 Procesamiento de las señales...............................................................24
5.10 Métodos de remuestreo.........................................................................25
5.10.1 Interpolación cuadrática..................................................................25
5.11 Extracción de características.................................................................26
5.11.1 La Transformada Wavelet...............................................................26
5.12 Selección de características..................................................................27
5.12.1 Forward Selection (FS) ...................................................................28
5.12.2 Algoritmo Genético (AG).................................................................29
5.13 Clasificador............................................................................................29
5.14 Clasificación con redes neuronales.......................................................30
5.15 Redes Neuronales (RNs) ......................................................................30
5.16 Prueba U de Mann-Whitney ..................................................................31
6 Metodología.....................................................................................................33
4
6.1 Introducción...........................................................................................33
6.2 Esquema de la metodología..................................................................33
7 Desarrollo del proyecto ...................................................................................39
7.1 Patrón Respiratorio................................................................................39
7.1.1 Estadísticos........................................................................................39
7.1.2 Transformada Wavelet.......................................................................47
7.2 Interacción Cardiorrespiratoria ..............................................................53
7.2.1 Estadísticos........................................................................................56
7.2.2 La transformada Wavelet. ..................................................................60
8 Conclusiones...................................................................................................63
9 Bibliografía ......................................................................................................67
10 Anexos.........................................................................................................75
5
Índice de tablas
Tabla 1. Criterio de extubación. ........................ Error! Bookmark not defined.2
Tabla 2. Variables de entrada...........................................................................40
Tabla 3. Media ponderada señal Ttot. ..............................................................41
Tabla 4. Media ponderada señal f/VT...............................................................41
Tabla 5. Criterios de parada .............................................................................43
Tabla 6. Resultados búsqueda exhaustiva. ......................................................44
Tabla 7. Resultados Forward Selection. ...........................................................46
Tabla 8. Configuración AG................................................................................46
Tabla 9. Resultados AG....................................................................................47
Tabla 10. Resultados prueba U Mann Whitney ................................................49
Tabla 11. Resultados al aplicar la ecuación 3...................................................49
Tabla 12. Variables de entrada.........................................................................50
Tabla 13. Análisis estadístico de las variables..................................................50
Tabla 14. Resultados Búsqueda exhaustiva.....................................................51
Tabla 15. Resultados Forward Selection Wavelet ............................................52
Tabla 16. Resultados AG Wavelet....................................................................53
Tabla 17. Error medio cuadrático resultados ....................................................55
Tabla 18. Datos estadísticos Cardiorrespiratorio. .............................................56
Tabla19. Análisis estadísticos de las variables Ttot, f/VT y RR ........................57
Tabla 20. Resultados Forward Selection ..........................................................58
Tabla 21. Resultados búsqueda por AG. ..........................................................59
Tabla 22. Resultados prueba U de Mann Whitney............................................60
6
Tabla 23. Datos estadisiticos cardiorrespiratorio transformada Wavelet .........61
Tabla 24. Análisis estadísticos de la transformada Wavelet RR......................62
Tabla 25. Resultados selección de características Wavelet .............................62
Tabla 26. Resultados selección de características señales Ttot y f/VT. ...........63
Tabla 27. Resultados selección de características señales RR Ttot y f/VT…..65
Tabla 28. Resultados estadísticos Ttot condición 1.........................................76
Tabla 29. Resultados estadísticos Ttot condición 2.........................................77
Tabla 30. Resultados estadísticos f/VT condición 1..........................................78
Tabla 31. Resultados estadísticos f/VT condición 2..........................................79
Tabla 32. Resultados estadísticos RR condición 1...........................................80
Tabla 33. Resultados estadísticos RR condición 2...........................................81
Tabla 34. Resultados estadísticos Ttot-ca3 condición 1...................................82
Tabla 35. Resultados estadísticos Ttot-ca3 condición 2...................................83
Tabla 36. Resultados estadísticos f/VT-CD3 condición 1 .................................84
Tabla 37. Resultados estadísticos f/VT-CD3 condición 2 .................................85
Tabla 38. Resultados estadísticos RR-ca3 condición 1....................................86
Tabla 39. Resultados estadísticos RR-ca3 condición 2....................................87
7
Índice de figuras.
Figura 1. Criterios para iniciar el proceso de destete........................................13
Figura 2. Capacidades y volúmenes pulmonares. ............................................19
Figura 3. Señal volumen respiratorio. ............... Error! Bookmark not defined.0
Figura 4. Onda y segmentos de la señal ECG.. Error! Bookmark not defined.1
Figura 5. Esquema Forward Selection.............. Error! Bookmark not defined.8
Figura 6. Esquema de la metodología. .............................................................33
Figura 7. Algoritmo de búsqueda exhaustiva...................................................34
Figura 8. Diagrama de flujo algoritmo Forward Selection .................................37
Figura 9. Modelo de red feed forward...............................................................42
Figura 10. Resultados búsqueda Exhaustiva....................................................44
Figura 11. Porcentaje de clasificación Vs número de variables........................45
Figura 12. Procedimiento selección transformada Wavelet ..............................48
Figura 13. Porcentaje de clasificación Vs número de variables........................52
Figura 14. Interpolación de pacientes en condición de éxito y fracaso.............54
Figura 15. Porcentaje de clasificación Vs número de variables………...……..59
8
Indice de ecuaciones.
Ecuación 1. Interpolación cuadrática. ..............................................................25
Ecuación 2. Calculo estadístico U.....................................................................31
Ecuación 3. Indicie de selección Wavelet .........................................................48
9
1 Objetivo General
Diseñar un clasificador por medio de redes neuronales para determinar el
momento de desconexión de pacientes asistidos mediante ventilación mecánica.
1.1 Objetivos Específicos
 Comparar algoritmos para la extracción de características basados en
técnicas estadísticas y la transformada Wavelet discreta, para caracterizar e
interpretar el comportamiento del sistema.
 Implementar Algoritmos Genéticos y Forward Selection, como técnicas de
selección de características, para la obtención de variables relevantes,
explicativas del sistema cardiorrespiratorio.
 Comparar los resultados de cada clasificador y determinar cuál es el mejor
diseño obtenido.
10
2 Justificación
Este trabajo, se enmarca dentro de la Ingeniería Biomédica, en el campo del
análisis por computador de señales biomédicas y ayuda al diagnóstico mediante
diferentes técnicas.
11
3 Antecedentes
La ventilación mecánica (VM) es un método de soporte vital ampliamente utilizado
en situaciones clínicas de deterioro de la función respiratoria, de origen intra o
extrapulmonar. Debe ser aplicado en las Unidades de Cuidados Intensivos (UCI)
aunque eventualmente se requiere su uso en servicios de urgencias, en el
transporte del paciente crítico, y en general, en condiciones que amenazan la vida
[1].
La VM es un procedimiento de respiración artificial que permite ayudar a sustituir
la función ventilatoria de un paciente, mejorando la oxigenación e influyendo en la
mecánica pulmonar, hasta que se restituya el correcto funcionamiento del sistema
pulmonar del paciente. La VM es el principal tratamiento en los pacientes con
insuficiencia respiratoria aguda (IRA), siendo una de las técnicas más utilizadas en
las UCI´s.
Diversos estudios han registrado la frecuencia de uso de la ventilación mecánica.
En 1992, el Grupo Español de Insuficiencia Respiratoria diseñó un estudio sobre la
utilización de la VM en un día determinado, observándose que el 46% de los
enfermos ingresados estaban con ventilación mecánica al menos durante 24
horas. Cuatro años más tarde, el mismo grupo realizó un estudio similar ampliado
a ocho países. El día del estudio se tenía un 39% de pacientes con VM. La
comparación entre países demostró que las indicaciones para la ventilación
mecánica y los parámetros ventilatorios eran similares, observándose diferencias
en los modos de ventilación y el proceso de extubación de pacientes [2].
La VM tiene dos grandes objetivos:
 Mejorar el intercambio gaseoso.
 Disminuir el esfuerzo de los músculos respiratorios.
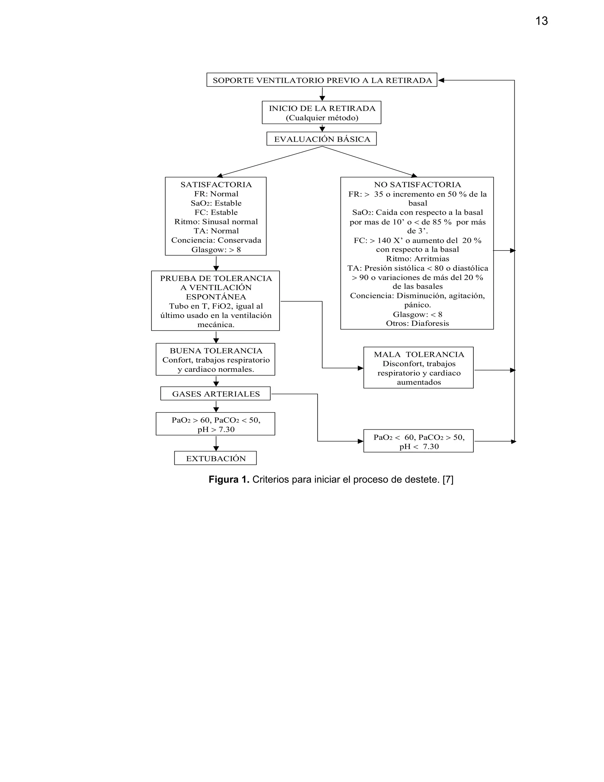
El proceso de extubación de un paciente asistido mediante VM, es el último paso a
seguir para recuperar la respiración espontánea. La figura 1 de la página 13
12
presenta de forma esquemática, los criterios generales para iniciar el proceso de
retirada del soporte ventilatorio, y los valores correspondientes a las variables
consideradas [3]. El uso de la ventilación mecánica puede ser vital en caso de un
paciente con problemas pulmonares o cardíacos graves, pero, la perpetuación de
la ventilación mecánica más allá de lo necesario aumenta la posibilidad de
contraer infecciones en el centro hospitalario (infección nosocomial), atrofia de la
musculatura respiratoria y una estancia más prolongada con los consecuentes
costos hospitalarios. Por esto es importante poder detectar el instante a partir del
cual un paciente ya no necesita esta ayuda para subsistir y se puede proceder a
una extubación con garantías. Sin embargo, se debe evitar una retirada prematura
porque podría ocasionar problemas respiratorios, cardiorrespiratorios y
psicológicos graves debidos a la reintubación. En otros estudios se presenta la
extracción de índices con pacientes en proceso de extubación, mediante técnicas de
análisis lineal, no lineal, e implementación de clasificadores con inteligencia
artificial, para encontrar diferencias entre pacientes capaces de sostener la
respiración espontánea, y pacientes que fallaron en el proceso de extubación.
Estos con el fin de es precisamente la búsqueda de un método que permita
determinar el instante óptimo para interrumpir la ventilación mecánica. [4-6].
13
SOPORTE VENTILATORIO PREVIO A LA RETIRADA
INICIO DE LA RETIRADA
(Cualquier método)
EVALUACIÓN BÁSICA
SATISFACTORIA
FR: Normal
SaO2: Estable
FC: Estable
Ritmo: Sinusal normal
TA: Normal
Conciencia: Conservada
Glasgow:  8
PRUEBA DE TOLERANCIA
A VENTILACIÓN
ESPONTÁNEA
Tubo en T, FiO2, igual al
último usado en la ventilación
mecánica.
BUENA TOLERANCIA
Confort, trabajos respiratorio
y cardiaco normales.
GASES ARTERIALES
EXTUBACIÓN
NO SATISFACTORIA
FR:  35 o incremento en 50 % de la
basal
SaO2: Caida con respecto a la basal
por mas de 10’ o  de 85 % por más
de 3’.
FC:  140 X’ o aumento del 20 %
con respecto a la basal
Ritmo: Arritmias
TA: Presión sistólica  80 o diastólica
 90 o variaciones de más del 20 %
de las basales
Conciencia: Disminución, agitación,
pánico.
Glasgow:  8
Otros: Diaforesis
MALA TOLERANCIA
Disconfort, trabajos
respiratorio y cardiaco
aumentados
PaO2  60, PaCO2  50,
pH  7.30
PaO2  60, PaCO2  50,
pH  7.30
Figura 1. Criterios para iniciar el proceso de destete. [7]
14
4 Estado del Arte
La VM tiene sus raíces en 1543 con la primera aplicación experimental de la
ventilación mecánica gracias al médico André Vesalio. El experimento que realizo
fue prestar apoyo a la respiración de un canino gracias a un sistema de fuelles
conectado directamente a su tráquea y supuso el primer experimento
perfectamente documentado para la historia de la medicina en cuanto a este tema,
pero no fue valorado en su época.
En el año 1997, con la apertura de una nueva UCI en el Hospital Provincial
General Docente “Dr. Antonio Luaces Iraola”, se observa que incrementa el
número de pacientes ventilados; de una cifra inicial de 50, en el 2010
sobrepasaron los 120. Con el objetivo de describir el comportamiento de los
pacientes ventilados por más de siete días en esta unidad, se estudió 166
pacientes con edades entre 56 y 75 años durante el período de enero de 1997 a
diciembre del 2004. En dicho estudio se demostró que las causas que motivaron la
ventilación fueron: el síndrome de dificultad respiratoria del adulto de origen
extrapulmonar, el paciente quirúrgico complicado y las enfermedades
neurológicas. El 70 % de los pacientes se ventilaron entre 7 y 15 días y el 80 % de
los que se ventilaron por más de 30 días fallecieron. Las complicaciones más
frecuentes fueron: bronconeumonía, traqueítis y el fallo en el destete, siendo este
último, la complicación que más se relacionó con la mortalidad, debido a que el
retiro precoz de la VM provocan riesgos en el paciente, aumentando la posibilidad
de contraer infecciones en el centro hospitalario (infección nocosomial), atrofia de
la musculatura respiratoria, retención liquida secundaria a las alteraciones del
metabolismo hidromineral provocados por los cambio de presión, riesgo de
infección colonización, pérdida de los mecanismos de defensa, retención de
secreciones, necesidad de prolongar el tiempo de sedación entre otros.
15
Adicionalmente una estancia más prolongada aumenta los costos hospitalarios
para la clínica y el paciente.
En el análisis realizado a partir de la información de los registros de pacientes
ventilados, se demostró que no existe uniformidad en la metodología a seguir para
realizar un destete con resultados positivos en el paciente que se somete a
ventilación mecánica, se aprecia un incremento de las complicaciones que suelen
aparecer asociadas a la misma como: neumonía, atelectasia, enfisema
subcutáneo y fallo en la extubación, se eleva el número de ingresos de pacientes
de la tercera edad con enfermedades asociadas y existen discrepancias en la
determinación de los criterios para iniciar el destete por parte de los profesionales,
todo lo cual aumenta la mortalidad del paciente ventilado. No existe un protocolo
de actuación consensuado que integre antecedentes del paciente, parámetros
clínicos, mecánicos y de laboratorio, que permita el seguimiento de forma continua
y con predictores adecuados en las UCI, dando las pautas de cómo proceder en
cada caso, sino que se realiza de acuerdo a la experiencia adquirida en el trabajo.
Por tanto se convierte en un factor primordial el poder encontrar patrones que
permitan la estimación del momento óptimo para la extubación de pacientes
asistidos mediante VM. [8-10].
Al nacer esta problemática de estimar el momento óptimo para la extubación se
empieza hacer la búsqueda de qué criterios y protocolos a tener en cuenta para
este proceso. Con los grandes avances tecnológicos obtenidos en las últimas
décadas se empieza a encaminar la investigación al análisis de las diferentes
señales biomédicas que podemos obtener con la tecnología existente hoy en día.
En el laboratorio de Investigación en Ingeniería Biomédica de la Universidad
Politécnica de Catalunya (UPC), son los que actualmente trabajan en el desarrollo
de esta problemática logrando grandes aportes en cuanto al análisis de la base de
datos WEANDB (weaning data base). La base de datos está constituida por 168
pacientes sometidos a soporte ventilatorio mecánico, en proceso de weaning. 77
16
pacientes fueron estudiados en la Unidad de Semicríticos del Hospital de la Santa
Creu i Sant Pau, y 91 en el Hospital Universitario de Getafe, todos ellos de
acuerdo con un protocolo aprobado por el comité ético.
A cada uno de los pacientes se le realizó una prueba de tubo en T para decidir si
se interrumpía o no la ventilación mecánica. La prueba de tubo en T consiste en
desconectar al paciente de la ventilación mecánica y hacerle respirar
espontáneamente durante 30 minutos a través del tubo endotraqueal.
Entre los trabajos realizados por la UPC se encuentra la implementación de
diferentes técnicas de análisis lineal, no lineal, e implementación de clasificadores
con inteligencia artificial con el fin de encontrar un sistema inteligente el cual
proporcione un criterio con el cual el medico pueda determinar el momento de
extubación al paciente [11]. En la UPC se han desarrollado estudios acerca de las
diferencias en la variabilidad del patrón respiratorio entre pacientes capaces de
mantener la respiración espontánea en el proceso de extubación y pacientes que
fallaron en este proceso. Se han aplicado redes neuronales en el estudio de estas
diferencias para así desarrollar un clasificador en el cual aplicando técnicas de
selección de características lograron un porcentaje de clasificación de 84.56%
aplicando una arquitectura de red feed-forward. Entre otros trabajos en los cuales
se encuentra por medio de análisis de clausters diferencias estadísticas
significativas para la clasificación de las señales descritas en la base de datos
Weandb. Y otras líneas de estudios que se han enfocado en aplicar técnicas
como: dinámica simbólica, análisis de cluster, lógica difusa, Clasificación de
pacientes mediante Running Window que ha permitido llevar esta problemática a
un resultado con una precisión del 89,3 % que se ha convertido en una base para
el análisis en la solución a este problema. [12-15]
En el aspecto relacionado con la interacción cardiorrespiratoria algunos autores
han trabajado en la coordinación de fase entre los osciladores concernientes al
sistema respiratorio y cardiaco en los seres humanos, sugiriendo la existencia de
17
sincronización voluntaria entre la respiración y los ciclos cardiacos, encontrándose
un patrón típico de dos latidos por inspiración y tres latidos para la espiración [16-
18]. Algunos estudios explican que los sistemas respiratorios y cardiacos no
actúan de forma independiente, sugiriendo la coordinación entre estos dos
sistemas, mediante las interacciones complejas del sistema nervioso autónomo
[19-24], implementándose dichos resultados en aplicaciones para el diagnóstico y
monitorización de enfermedades cardiovasculares [25].
El empleo de técnicas de procesado de señales y de clasificación de patrones
permitirá la obtención de nuevos índices para caracterizar la dinámica respiratoria
y cardiorrespiratoria de pacientes en proceso de extubación, ayudando a la
decisión del momento óptimo de la desconexión. Donde se espera realizar un
estudio estadístico mediante pruebas no paramétricas, para medir su valoración
dentro de la fisiología del problema y así poder aplicar estos resultados en un
futuro a la clínica mediante el desarrollo de un sistema autónomo de decisión
soporte en el proceso de extubación.
18
5 Marco Teórico
5.1 Sistema Respiratorio
Es el encargado de captar oxígeno (O2) y eliminar el dióxido de carbono (CO2)
procedente del anabolismo celular. El aparato respiratorio generalmente incluye
tubos, como los bronquios, las fosas nasales usadas para cargar aire en
los pulmones, donde ocurre el intercambio gaseoso. El diafragma, como todo
músculo, puede contraerse y relajarse. En la inhalación, el diafragma se contrae y
se allana, y la cavidad torácica se amplía. Esta contracción crea un vacío que
succiona el aire hacia los pulmones. En la exhalación, el diafragma se relaja y
retoma su forma de domo y el aire es expulsado de los pulmones.
Las medidas de volumen consideradas en la función pulmonar son:
Volumen corriente (VC): Volumen de aire inspirado o espirado en cada respiración
normal; supone un promedio de 500 ml en el adulto joven.
Volumen de reserva inspiratoria (VRI): Volumen de aire inspirado adicional por
encima del volumen de ventilación pulmonar, generalmente es de 3 litros.
Volumen de reserva espiratorio (VRE): Volumen adicional de aire que puede
expulsarse realizando una espiración forzada al final de una espiración normal,
generalmente supone unos 1000 ml.
Volumen residual (VR): Volumen de aire que permanece aún en los pulmones tras
una espiración forzada, es aproximadamente de 1200 ml.
19
Figura 2. Capacidades y volúmenes pulmonares.
Los diferentes tipos de capacidades considerados en la función pulmonar son:
Capacidad inspiratoria (CI): Es la cantidad de aire que puede respirar una persona
comenzando desde el nivel de espiración normal y distendiendo sus pulmones
hasta la capacidad máxima.
Capacidad funcional residual (CFR): Es la cantidad de aire que queda en los
pulmones al final de la espiración normal, equivale al volumen de reserva
inspiratoria más el volumen residual.
Capacidad vital (CV): Es la cantidad de aire máxima que una persona puede
expulsar de sus pulmones cuando estos han sido llenados al máximo, equivale a
la suma del volumen de reserva inspiratoria, el volumen de ventilación pulmonar y
el volumen de reserva espiratoria.
Capacidad pulmonar total (CPT): Es el volumen máximo al que pueden dilatarse
los pulmones con el mayor esfuerzo inspiratorio posible, equivale a la capacidad
vital más el volumen residual.
20
5.2 Neumotacografía
Mide directamente la señal de flujo respiratorio, mediante la interpretación de la
señal eléctrica obtenida a través de la diferencia de presión generada a los
extremos de la resistencia.
A partir de los volúmenes y capacidades descritos anteriormente, se puede
caracterizar y definir el patrón respiratorio. Una forma de caracterizar la función
mecánica del sistema pulmonar puede ser mediante las siguientes series
respiratorias:
 TTot : TI + TE Duración del ciclo respiratorio.
 TI: Tiempo de inspiración
 TE: Tiempo de espiración
 VT: Volumen circulante o volumen tidal.
 TI/TTot: Fracción inspiratoria.
 VT/TI: Flujo inspirado medio.
 f/VT: Relación frecuencia-volumen tidal.
Figura 3. Señal volumen respiratorio.
5.3 La señal electrocardiográfica (ECG)
Son señales biomédicas generadas a partir de la actividad del músculo cardíaco.
El estudio del ECG obtenido mediante electrodos de superficie es una de las
21
pruebas médicas más frecuentes en la exploración de la actividad cardiaca. El
ECG presenta un comportamiento repetitivo unido a cada recurrencia de los
latidos cardíacos, que consta de distintas ondas en una secuencia determinada.
Cada una de estas ondas representa las distintas fases del latido cardíaco, y se
denotan por las letras P, Q, R, S, T. La figura 4 de la página 21 presenta una señal
ECG ideal correspondiente a un latido cardíaco. El segmento horizontal que
precede la onda P se denomina línea de base o línea isopotencial. La onda P
representa la despolarización del músculo de la aurícula. A la onda P le sigue una
secuencia de ondas denominadas complejos QRS, y refleja la combinación de la
despolarización ventricular y la repolarización auricular. La onda R es la primera
inflexión positiva y la onda S es la primera inflexión negativa posterior a una
positiva. Una o más de estas ondas pueden no estar presentes, y en ocasiones
aparece una segunda onda R, que se denota como R’. La onda T representa la
repolarización ventricular.
Figura 4. Onda y segmentos de la señal ECG
5.4 La Ventilación mecánica
La Ventilación mecánica VM es el procedimiento de respiración artificial que
permite ayudar a sustituir temporalmente la función ventilatoria, hasta que se
restituya el correcto funcionamiento del sistema pulmonar del paciente. Existen
22
diversos factores que influyen en el proceso de retirada de la ventilación
mecánica. La problemática asociada con este tratamiento se encuentra en que la
facilidad de separar a un paciente de un ventilador mecánico se relaciona de
forma inversa con la duración de la ventilación mecánica [26].
En la clínica es importante determinar el momento óptimo para la desconexión del
respirador mecánico del paciente [27].
5.5 Destete o extubación
Momento de la retirada del tubo endotraqueal. Criterios a tener en cuenta al
momento de destete [27]:
Tabla 1. Criterio de extubación.
5.6 Métodos de extubación de pacientes
La retirada del ventilador se puede comenzar cuando una serie de parámetros
clínicos y paraclínicos se encuentran dentro de los rangos mínimos, tal y como se
presentan en la figura 1 de la página 13. Una vez obtenidas las condiciones
favorables para la extubación, se selecciona el método de destete a utilizar entre
los cuales se tiene:
23
 Ventilación asistida.
 Tuvo en T.
 presión positiva continua en las vías aéreas (CPAP).
 Retirada con presión soporte.
 Retirada mediante monitorización del dióxido de carbono espirado.
 Retirada del ventilador mediante ventilación mandatoria intermitente
sincronizada (SIMV).
5.7 Interacción cardiorrespiratoria.
Los sistemas respiratorios y cardiovascular humano están siendo ampliamente
estudiados, dado que no actúan de forma independiente. La naturaleza de estos
dos sistemas puede estar asociada a interacciones lineales y complejas mediante
mecanismos de acoplamiento cardiorrespiratorio [28,29]. En los inicios Hildebrant
y colaboradores [30,31] investigaron la coordinación de fase entre los osciladores
cardiaco y respiratorio en el hombre, utilizando un dispositivo llamado “analizador
de coincidencias”. Este dispositivo era capaz de determinar el tiempo absoluto de
retraso en el inicio de la respiración después de su precedente onda R, con lo que
los autores concluyeron que el “ritmo del acoplamiento” era un prominente
marcador de la relajación fisiológica y la regeneración del sistema después de una
carga laboral.
En 1976 se describieron diferentes grados de sincronización entre actividades
periféricas simpáticas y actividades registradas en el nervio frénico. Estas
sincronizaciones mostraron variaciones a corto plazo desde el estado de
sincronización completa, a estados de disociación y coordinaciones deslizantes.
5.8 Base de datos
La base de datos WEANDB está formada por el registro de la señal de flujo
respiratorio y una derivación de la señal electrocardiográfica, durante 30 minutos,
24
a una frecuencia de muestreo de 250 Hz, la base de datos cuenta con el registro
de 66 pacientes, durante de 30 minutos, con un protocolo de extubación de la
prueba de tubo en T. Donde han sido etiquetados 33 como Condición de Éxito
(CE), los pacientes que superaron la desentubación y 33 como condición Fallida
(CF), los pacientes que no superaron la desentubación (reintubados).
Los pacientes han sido registrados en la Unidad de Semicríticos del Hospital de la
Santa Creu i Sant Pau, y en el Hospital Universitario de Getafe, de acuerdo con
los protocolos aprobados por el comité ético.
5.9 Procesamiento de las señales
Las bioseñales suelen ser de magnitud muy pequeña, contienen ruido y pueden
estar enmascaradas por otras bioseñales de diferentes fenómenos biológicos. Con
el objetivo de extraer la información de una bioseñal, lo que puede ser crucial para
entender un sistema o evento biológico particular, comúnmente son utilizados
sofisticados equipos y técnicas de adquisición de datos.
Es importante preservar la información de la bioseñal original a lo largo de todo el
procedimiento de adquisición de los datos. Las señales, primeramente son
detectadas en un medio biológico, como puede ser una célula o la superficie de la
piel, utilizando un sensor, el sensor convierte la medición física en una salida
eléctrica y ofrece una interfaz entre el sistema biológico y un instrumento de
registro eléctrico. Es muy importante que el sensor utilizado para detectar las
señales biológicas no afecte las propiedades y características de la señal que está
midiendo, para esta etapa se analizará la aplicación de filtros digitales para mejor
obtención de señales evitando así la aparición de ruidos que de una forma u otra
puede estar afectando el desempeño de nuestro clasificador [27].
25
5.10 Métodos de remuestreo
Existe una variedad de técnicas para la inferencia estadística llamadas métodos
de remuestreo. Se han utilizado estos métodos para comprobar la capacidad
predictiva de las funciones discriminantes lineal y cuadrática.
Son básicamente técnicas de simulación que reutilizan los datos observados para
constituir un universo del cual extraer repetidas muestras [32].
5.10.1 Interpolación cuadrática
Se denomina a la obtención de nuevos puntos partiendo del conocimiento de un
conjunto discreto de puntos. En ingeniería y algunas ciencias es frecuente
disponer de un cierto número de puntos obtenidos por muestreo o a partir de
un experimento y pretender construir una función que los ajuste [33].
Una estrategia para mejorar la estimación en la interpolación consiste en
introducir alguna curvatura a la línea que une los puntos. Si se tienen tres puntos
como datos, éstos pueden ajustarse en un polinomio de segundo grado (también
conocido como polinomio cuadrático o parábola). Con tres pares de datos, (x0,
y0), (x1, y1) y (x2, y2), es necesario calcular una función cuadrática
𝑓2(𝑥) = 𝑏0 + 𝑏1(𝑥 − 𝑥0) + 𝑏2(𝑥 − 𝑥0)(𝑥 − 𝑥1)
Ecuación 1. Interpolación cuadrática.
Que al ser resuelta se encuentran puntos que se aproximan al comportamiento de
la señal. [34,35]
26
5.11 Extracción de características
Estos métodos son aquellos que determinan características de las señales que
pueden ser útiles para discriminar. Para luego, con el empleo de métodos de
selección se escoge el subgrupo de características más relevantes y que
proporcionarán una clasificación más eficiente. La extracción propuesta en este
proyecto es encontrar los siguientes datos estadísticos: Media, Moda, Desviación
Estándar, Rango Intercuartil, Oblicuidad, Curtosis y Varianza, de cada uno de las
señales para convertir las señales en datos puntuales y analizar que aporte tiene
esta información en el comportamiento de la problemática plateada. [36]
5.11.1 La Transformada Wavelet
Realiza la descomposición de una señal en espacios de funciones (Vl y Wl),
generados a partir de las funciones base Φ (t) y Ψ (t) por medio de combinaciones
de escalamientos y traslaciones de éstas. En este caso las dos funciones base se
denominan función de escala y wavelet, respectivamente. La generación de los
espacios de funciones está definida por:
   
 
   
 tbasecon
jkktktdW
tbasecon
jkktktCV
j
j
k
j
kjj
j
j
k
j
kjj
2
22
2
22
,
,












Se puede observar que el término 2j determina la rapidez de cambio de las
funciones (t) y (t), por tanto este término tendrá un efecto sobre la rapidez de
las ondas generadas, así los espacios V y W tendrán un ancho de banda
27
relacionado con el factor 2j. El término k por su parte hace referencia a ubicación
temporal e indica en qué lugar está centrada la función base.
Para hallar las funciones fn-1(t), y gn-1(t), que representan la descomposición de la
señal en la aproximación fn-1(t) y los detalles gn-1(t), es necesario obtener las
secuencias cn-1, k y dn-1 a partir de:
Las relaciones anteriores muestran que para el cálculo de las secuencias cn-1,k y
dn-1 la secuencia cn,l es convolucionada con las secuencias a-l y b-l, calculando
sólo las muestras de salida de índice par. Esta operación se denomina sub-
muestreo de dos unidades. [37-39]
5.12 Selección de características
La selección de características es un término usado habitualmente en la minería
de datos para describir las herramientas y las técnicas disponibles para la
reducción de las entradas a un tamaño apropiado para su proceso y análisis. No
solo implica la reducción de carnalidad, es decir, la imposición de un límite
arbitrario o predefinido en el número de atributos que se pueden considerar al
crear un modelo, sino también la elección de atributos, lo que significa que el
analista o la herramienta de modelado debe seleccionar o descartar activamente
los atributos en función de su utilidad para el análisis. En esta etapa se quiere
aplicar dos algoritmos para así poder determinar cuáles son las variables que
aportan significancia a nuestro proceso de clasificación.
  
l
lnklkn Cbd ,2,1   
l
lnklkn CaC ,2,1
28
Los algoritmos propuestos son:
5.12.1 Forward Selection (FS)
La selección de variables predictores es un procedimiento estadístico importante
porque no todas las variables predictores tienen igual importancia. Este algoritmo
empieza con el conjunto vacío y en cada iteración añade un atributo seleccionado
el de mejor resultado con una función de evaluación [40].
1. Comienza con S=0;
2. Selecciona la variable X+= arg max f(S u X) con X € U - S
3. S=S U {X+}
4. Ir al paso 2
En la figura 5 de la página 28 se observa el funcionamiento del algoritmo FS.
Figura 5. Esquema Forward Selection.
29
5.12.2 Algoritmo Genético (AG)
Es un método de búsqueda que imita la teoría de la evolución biológica de Darwin
para la resolución de problemas. Para ello, se parte de una población inicial de la
cual se seleccionan los individuos más capacitados para luego reproducirlos y
mutarlos para finalmente obtener la siguiente generación de individuos. Son
métodos adaptativos que pueden usarse para resolver problemas de búsqueda y
optimización. Los AG son métodos de búsqueda basados en la mecánica de
selección natural y de la genética natural. Combinan la supervivencia del más apto
entre estructuras de secuencia con intercambio de información estructurado,
aunque aleatorizado, para constituir así un algoritmo de búsqueda que tenga algo
de genialidades de búsqueda humana. Para la selección de características se
realiza una búsqueda binaria en el cual cada bit me representa una característica,
con lo cual se quiere obtener la mejor combinación de características que
represente una mayor precisión. [41-43].
5.13 Clasificador
Se utiliza en referencia al algoritmo utilizado para asignar un elemento entrante no
etiquetado en una categoría concreta conocida. Dicho algoritmo, permite pues,
ordenar o disponer por clases elementos entrantes, a partir de cierta información
característica de éstos.
Es importante la selección de características para evitar el exceso de datos
innecesarios que no aportan información relevante al clasificador, disminuyendo
su eficiencia. La etapa de entrenamiento se crea el conjunto de Los parámetros
característicos que describen a los objetos deben ser discriminatorios para la
clasificación, en la etapa de validación se determina la bondad del ajuste en la
generalización en la clasificación de los patrones.
30
5.14 Clasificación con redes neuronales
Una de las tareas más comunes en que las redes neuronales artificiales han
demostrado su eficiencia es la tarea de clasificación automática, por ejemplo en un
caso medico puede ser necesario clasificar los datos existenciales para la
realización de un buen diagnóstico en el menor tiempo posible. Los sistemas
automáticos tienen la ventaja de que toman decisiones basándose únicamente en
la información existente, pasando por alto datos irrelevantes. [44].
5.15 Redes Neuronales (RNs)
Las redes neuronales artificiales (RNA) son aplicadas en diversos ámbitos de la
actividad humana. Una de sus aplicaciones es como herramienta de análisis de
información. Es un sistema de computación artificial compuesto por un número
finito de unidades llamadas neuronas, unidas mediante conectores. Con el
conjunto de neuronas se puede encontrar la relación existente entre los datos de
entrada y salida del sistema [45-47].
Una RN se compone de unidades llamadas neuronas. Cada neurona recibe una
serie de entradas a través de interconexiones y emite una salida. Esta salida viene
dada por tres funciones:
1. Una función de propagación (también conocida como función de
excitación), que por lo general consiste en el sumatorio de cada entrada
multiplicada por el peso de su interconexión (valor neto). Si el peso es
positivo, la conexión se denomina excitatoria; si es negativo, se
denomina inhibitoria.
2. Una función de activación, que modifica a la anterior. Puede no existir,
siendo en este caso la salida la misma función de propagación.
31
3. Una función de transferencia, que se aplica al valor devuelto por la función
de activación. Se utiliza para acotar la salida de la neurona y generalmente
viene dada por la interpretación que queramos darle a dichas salidas.
Algunas de las más utilizadas son la función sigmoidea (para obtener
valores en el intervalo [0,1]) y la tangente hiperbólica (para obtener valores
en el intervalo [-1,1]).
5.16 Prueba U de Mann-Whitney
Es una prueba no paramétrica aplicada a dos muestras independientes. Fue
propuesto inicialmente en 1945 por Frank Wilcoxon para muestras de igual
tamaños y extendido a muestras de tamaño arbitrario como en otros sentidos
por Henry B. Mann y D. R. Whitney en 1947.[48,49].
La prueba de Mann-Whitney se usa para comprobar la heterogeneidad de dos
muestras ordinales. El planteamiento de partida es:
1. Las observaciones de ambos grupos son independientes
2. Las observaciones son variables ordinales o continuas.
3. Bajo la hipótesis nula, la distribución de partida de ambos grupos es la
misma y,
4. Bajo la hipótesis alternativa, los valores de una de las muestras tienden a
exceder a los de la otra: P(X > Y) + 0.05 P(X = Y) > 0.05.
Para calcular el estadístico U se asigna a cada uno de los valores de las dos
muestras su rango para construir.
Ecuación 2. Calculo estadístico U.
32
Donde n1 y n2 son los tamaños respectivos de cada muestra; R1 y R2 es la suma
de los rangos de las observaciones de las muestras 1 y 2 respectivamente.
El estadístico U se define como el mínimo de U1 y U2.
Los cálculos tienen que tener en cuenta la presencia de observaciones idénticas a
la hora de ordenarlas. No obstante, si su número es pequeño, se puede ignorar
esa circunstancia.
33
6 Metodología
6.1 Introducción
Se expone la metodología que se va a seguir durante la realización de este
proyecto desde el procesamiento de las señales que constituyen la base de datos
hasta la obtención de los clasificadores a diseñar.
6.2 Esquema de la metodología
Figura 6. Esquema de la metodología.
En la figura 6 página 33 se observa las diferentes etapas de la metodología
planteada, comenzando con la integración de la base de datos Weandb con el
software Matlab®, siendo esta la herramienta computacional que permite el
Lectura
base de
datos Estadísticos
-Media
-Desviación
-moda
-R. intercuartil
-Oblicuidad
-Varianza
-Curtosis
Wavelet
Búsqueda
exhaustiva
(numero de
neuronas)
Diseño de
clasificador
Forward
Selection
Algoritmos
Genéticos
Selección de
características Comparación
y evaluación
PruebaUde
Mann
Whitney
34
desarrollo e implementación de los algoritmos y técnicas de análisis de datos,
planteados para el diseño del sistema inteligente que permita la clasificación de
las condición del paciente de una manera efectiva. Continuando con el flujo del
diagrama se abren dos caminos, en los que encontramos dos técnicas de
extracción de características
Estadísticos: Tomar las señales de cada uno de los 66 pacientes y al conjunto
de datos de cada señal encontrar los siguientes estadísticos media, desviación,
moda, rango intercuartil, oblicuidad, varianza y curtosis obteniendo datos
puntuales, siendo estas características las variables de entrada a ingresar en el
clasificador.
La Transformada Wavelet: se aplica por cada paciente y señal presentes en la
base de datos Weandb, obteniendo un conjunto de nuevas señales en función al
coeficiente de aproximación y coeficiente de detalle por cada nivel implementado,
para determinar cuál de las nuevas señales es relevante se realiza una pruebe U
de Mann Whitney la cual muestra que tan heterogéneas resultan las clases de
estas señales, permitiendo determinar un índice en el cual el la señal que obtenga
un resultado mayor a 0.05. Se descartara debido a que es relevante en la
clasificación del sistema.
Los siguientes pasos se desarrolla de manera independiente para cada una de
estas técnicas, tomando por separado el grupo de datos obtenidos con cada una
de las dos técnicas de extracción de características. Se plantea el diseño de
cuatro clasificadores con redes neuronales y por cada técnica de extracción de
características, con el fin de buscar el algoritmo de entrenamiento que mejor se
adecue al problema, para esto se utilizaron los siguientes: Variable Learning Rate
(traingdx), Resilient Backpropagation (trainrp), Levenberg-Marquardt
Backpropagation (trainlm), Regulación Bayesianas (trainrp) [50]. En conjunto con
estos algoritmos se utiliza la técnica k cross validation para evaluar los resultados
de un análisis estadístico y garantizar que los resultados son independientes.
35
Debido a que el clasificador presente un comportamiento no lineal conforme a la
variación del número de neuronas, se opta por realizar una búsqueda exhaustiva
con cada algoritmo. El diagrama de bloques descrito en la figura 7 página 34
resume el algoritmo diseñado para implementar la búsqueda exhaustiva, el cual
consiste en tomar el clasificador de redes neuronales y por medio de un ciclo ir
variando de a dos el número de neuronas, salvando los resultados de y al salir
del ciclo determinar cuál número de neuronas da la mejor clasificación.
For i=1:n
For i=1:150
Se crea la red con X
neuronal
Se inicializa la red
neuronal
Se entrena la red
neuronal y se valida
K Fold Validation
Se guarda el
resultado del
análisis
Fin
Búsqueda
exhaustiva
X=X+4
Se allá la media al
porcentaje de
clasificación de los
150 entrenamientos
Figura 7. Algoritmo de búsqueda exhaustiva
La selección de características es la etapa que busca evitar sobredimensionar el
sistema permitiendo encontrar los datos más relevantes para este, y filtrar aquellos
que no aportan o alteran en los resultados de la clasificación.
36
La selección de características no solo implica la reducción de carnalidad, es
decir, la imposición de un límite arbitrario o predefinido en el número de atributos
que se pueden considerar al crear un modelo, sino también la elección de
atributos, lo que significa que el modelado debe seleccionar o descartar
activamente los atributos en función de su utilidad para el análisis [51].
Para ello se evaluaran dos modelos:
Forward Selection: inicia evaluando el clasificador usando una única variable la
cual va cambiando con cada una de las variables existentes; el resultado de esta
clasificación se rankea y se selecciona aquella variable con el más alto porcentaje
de clasificación. A continuación, se realiza una nueva serie de clasificaciones
tomando como entrada la variable seleccionada junto a cada una de las variables
restantes; luego de lo cual, se escoge la pareja de variables que arrojan el mejor
resultado. Este proceso se repite hasta acabar todas las variables, seleccionando
cada vez el conjunto de variables con el que se obtuvo la mejor clasificación. El
resultado de la aplicación del FS es una organización de las variables de la más a
la menos relevante para el problema de clasificación. Al guardar los porcentajes
de clasificación con cada conjunto de variables, es posible seleccionar el conjunto
de variables que mejor se adapta al problema de clasificación. La figura 5 página
28 ilustra un esquema del algoritmo FS utilizado en el presente estudio. La figura 8
página 37 ilustra el algoritmo FS utilizado en el presente estudio.
37
-
Figura 8. Diagrama de flujo algoritmo Forward Selection
38
Algoritmos Genéticos Son métodos adaptativos basados en la teoría de la
evolución de Darwin que pueden usarse para resolver problemas de búsqueda y
optimización [52,53]. La configuración del algoritmo consiste en una población de
tipo binaria donde cada bit representa una variable, donde se realizara la
búsqueda exhaustiva de las variables que resulten en el mejor porcentaje de
clasificación.
Estos dos métodos permitirán analizar que variables y su combinación que sea
realmente significativas para determinar el momento del destete de una persona
que se o encuentre respirando por medio de ventilación mecánica.
Se parte aplicando esta metodología en la señales del sistema respiratorio de las
6 series temporales (TI, TE, Ttot, f/VT, TI/Ttot, VT/TI), para analizar el sistema el
comportamiento del sistema respiratorio en las dos condiciones presentes al
momento del destete de un paciente, y observar si basta con solo estas señales
para encontrar buenos resultados de clasificación.
Y por último se reflejara esta metodología para analizar la interacción entre el
patrón respiratorio y la frecuencia cardiaca, se agregara un paso al inicio el cual
consiste en el remuestreo de las señales debido a que la señal del sistema
cardiaco presenta un periodo de muestreo diferente al del sistema respiratorio
razón por la cual se utilizara la interpolación cuadrática, esta técnica será la
encargada de llevar todas las señales a una misma frecuencia de muestreo
deseada, en adelante se seguirán los mismos pasos planteados en la metodología
solo que aparecerán nuevas variables generadas por la señal RR. En pacientes
asistidos mediante ventilación mecánica, se desea observar cómo interactúan los
dos patrones en el desarrollo de los diseños propuestos a implementar. Tomando
los analizadores de desempeño encontrados en cada uno de los clasificadores
diseñados determinar cuál de ellos obtuvo la mejor solución al momento de
clasificar y comprobar la viabilidad de la metodología planteada.
39
7 Desarrollo del proyecto
Comenzando con la metodología propuesta se desarrolla un script que integre la
base de datos Weandb con el software Matlab®, debido a que esta base de datos
se encuentra organizada de la siguiente manera, por cada paciente una carpeta
en la que se hallan 6 archivos .txt los cuales representa cada uno de ellos las 6
series temporales del patrón respiratorio, se logra esta integración por medio de
un algoritmo de búsqueda que se encuentra en el anexo 2 numeral 2 el cual
cumple la función de importar los datos a Matlab® y organizarlos en matrices.
7.1 Patrón Respiratorio
7.1.1 Estadísticos
De las 6 series respiratorias (TI, TE, Ttot, f/VT, TI/Ttot, VT/TI), a cada paciente y
por cada condición, se realiza un pre-procesamiento de datos, obteniendo los
siguientes estadísticos: media, desviación, moda, rango intercuartil, oblicuidad,
varianza, y curtosis, el resultado de estos datos se puede observar en el anexo 1.
Para cada condición y para cada serie temporal, se obtuvieron los diagramas de
caja Figura 8 página 37, para realizar un análisis inicial del solapamiento entre
pacientes de diferentes condiciones. Donde por inspección visual se determina
que las señales menos superpuestas son f/VT y Ttot.
40
Entrada Variable Entrada Variable
1 Media Ttot 8 Media f/VT
2 Desviación Ttot 9 Desviación f/VT
3 Moda Ttot 10 Moda f/VT
4 R. intercuartil Ttot 11 R. intercuartil f/VT
5 Oblicuidad Ttot 12 Oblicuidad f/VT
6 Varianza Ttot 13 Varianza f/VT
7 Curtosis Ttot 14 Curtosis f/VT
Tabla 2. Variables de entrada
La tabla 2 página 40 relaciona numéricamente (entrada) los estadísticos
computados a cada serie temporal.
0
200
400
600
800
1000
1 2 3 4 5 6 7 8 9 1011121314151617181920212223242526272829
Paciente Condicion 1
Boxplot TOT
0
200
400
600
800
1000
1 2 3 4 5 6 7 8 9 1011121314151617181920212223242526272829
Paciente Condicion 1
Boxplot FVT
1 2 3 4 5 6 7 8 9 1011121314151617181920212223242526272829
0
100
200
300
400
500
600
700
800
900
1000
1 2 3 4 5 6 7 8 9 1011121314151617181920212223242526272829
Paciente Condicion 2
Boxplot FVT
1 2 3 4 5 6 7 8 9 1011121314151617181920212223242526272829
0
100
200
300
400
500
600
700
800
900
1000
1 2 3 4 5 6 7 8 9 1011121314151617181920212223242526272829
Paciente Condicion 2
Boxplot TOT
Figura 8. Diagrama de caja señales FVT y TOT para las dos condiciones
41
La tabla 3 página 41 y tabla 4 página 41 ilustra la media ponderada de todos los
pacientes de cada uno de los estadísticos hallados, para tomar un análisis
superficial de la homogeneidad de cada variable.
Señal Ttot
Condición 1 Media Moda Varianza Curtosis Oblicuidad Desviación R. Intercuartil
Media total 1,596307697 1,462906333 0,391867835 28,60341729 2,866036332 0,514485909 0,398120288
Desviación 0,583578435 0,5398358 0,574465356 38,44602695 3,150565128 0,356611953 0,265916127
Condición 2
Media total 1,231879303 1,175029364 0,32011497 41,37203976 3,507763809 0,430903981 0,24708997
Desviación 0,354021764 0,345257665 0,577803448 68,20512039 4,294535862 0,366656146 0,139126344
Tabla 3. Media ponderada señal Ttot.
Señal f/VT
Condición 1 Media Moda Varianza Curtosis Oblicuidad Desviación R. Intercuartil
Media total 0,1012417 0,0525977 0,0042604 13,383279 1,8920194 0,0397516 0,031678788
Desviación 0,0939099 0,0339127 0,0162986 16,329632 1,8871578 0,0517708 0,023831851
Condición 2
Media total 0,1684392 0,0777221 0,0134082 22,849543 2,697587 0,0628963 0,052739864
Desviación 0,220257 0,0862261 0,0466798 25,127385 2,2541422 0,0972227 0,075326762
Tabla 4. Media ponderada señal f/VT.
Con estos datos podemos aproximar cuales variables podrían ser relevantes en el
clasificador. Observando que tan dispersos se encuentran cada variable con
respecto a cada condición.
Diferentes estudios para el análisis de las señales respiratorias en pacientes
durante el proceso de extubación han sido realizados, donde se ha demostrado la
pertinencia de utilizar la serie respiratoria TTot como variable relevante en la
retirada de la VM, debido a su dependencia lineal de las series respiratorias TI y
TE [54-57]. En [58,59] resaltan el índice de tobin (F/VT) como uno de los más
42
usados en la clínica por su buen valor predictivo y su buena reproducibilidad, sin
requerir de la colaboración del paciente ni de instrumentación adicional.
Diseño de clasificador
Para el diseño del clasificador basado en RN, se realizó una búsqueda exhaustiva
del número de neuronas óptimas en la capa oculta, mediante una variación de dos
neuronas por cada iteración, en el anexo 2 numeral 3 se encuentra el script
implementado para realizar esta búsqueda. La figura 9 página 42 ilustra la
topología de la red feed forward, con una capa de entrada, una capa oculta y una
de salida.
Para garantizar la generalización de la respuesta en la clasificación del sistema, se
utiliza el método de 5-fold cross validation para obtener una media de la calidad de
predicción del modelo, donde el 70% de los patrones fueron usados para la etapa
de entrenamiento, 20% para la validación y el 10% restante para el test. Los
porcentajes de clasificación fueron computados como la media ± desviación
estándar de 150 runs de la salida del sistema.
Los algoritmos de entrenamiento de las redes neuronales buscan encontrar la
mejor solución al problema, razón por la cual en la implementación de ellos se
debe prevenir el llegar a caer en un mínimo local, el cual el error queda oscilando
manteniendo el entrenamiento sin satisfacer el porcentaje de error que se desea,
generando un mayor gasto computacional sin mejorar la respuesta que presenta el
sistema, razón por la cual se debe seleccionar los criterios de parada adecuados,
Figura 9. Modelo de red feed forward
43
estos los podemos encontrar en la Neural Network Toolbox de Matlab® [54] para
determinar cuáles son posibles a implementar, se realizó una búsqueda empírica
configurando los diferentes criterios de tal manera que se detengan en una
respuesta viable, reduciendo tiempo de ejecución del algoritmo, los criterios
aplicados se encuentran descritos en la tabla 5 página 43.
Parámetros de configuración
Número de neuronas de la primer capa oculta X
Número de iteraciones 250
Error medio cuadrático 1e-10
Mínimo valor del gradiente de la función de optimización 1e-10
Valor inicial de la taza de aprendizaje 0.01
Factor de decrecimiento de la taza de aprendizaje 0.1
Factor de crecimiento de la taza de aprendizaje 0.5
Máximo valor de la taza de aprendizaje 10
Tabla 5. Criterios de parada
Se implementó la búsqueda exhaustiva con 100 iteraciones, aumentando de dos
en dos el número de neuronas por cada iteración, permitiendo evaluar hasta un
máximo de 200 neuronas, en las cuales en la figura 10 página 44 se observa el
comportamiento ante cada iteración. Resulta un comportamiento no lineal con un
ancho de variación ± 5%, como criterio se seleccionó aquel número de neuronas
que genere el mejor porcentaje de clasificación.
44
Los resultados del entrenamiento mediante la búsqueda exhaustiva se ilustran en
la Tabla 6 página 44.
Algoritmo Numero de neuronas Porcentaje
Early Stopping
Traingdx 88 56.73% ± 0.063
Trainrp 106 56.23% ± 0.075
Trainlm 136 56.35% ± 0.124
Regularización Bayesiana
Trainrb 84 56.81% ± 0.065
Tabla 6. Resultados búsqueda exhaustiva.
0 50 100 150 200
51
52
53
54
55
56
57
X: 88
Y: 56.73
Porcentaje de Clasificación vs Numero de Neuronas
Numero de Neuronas
PorcentajedeClasificación
X: 106
Y: 56.23
traingdx
trainrp
0 50 100 150 200
50
51
52
53
54
55
56
57
X: 136
Y: 56.81
Porcentaje de Clasificación vs Numero de Neuronas
Numero de Neuronas
PorcentajedeClasificación
X: 84
Y: 56.35
trainlm
trainrb
Figura 10. Resultados búsqueda Exhaustiva
45
Selección de características
Forward Selection
Es una técnica estándar utilizada en la minería de datos para la reducción de la
dimensionalidad del sistema.
Cada método y función de entrenamiento se implementó con la técnica de
selección de características FS, su desarrollo se encuentra en el anexo 2 numeral
4. En cada corrida de cada una de las iteraciones se entrenó como clasificador las
configuraciones de RN que se seleccionaron en el procedimiento anterior, los
resultados de los porcentajes de clasificación Vs número de variables
seleccionadas se observan en la figura 11 página 45.
Figura 11. Porcentaje de clasificación Vs número de variables
La tabla 2 pagina 40 relaciona numéricamente (entrada) los estadísticos
computados a cada serie temporal. La tabla 7 página 46 ilustra las variables que
obtuvieron los mejores porcentajes de clasificación, después de implementar la
selección de características en el clasificador neuronal.
0 5 10 15
50
55
60
65
70
75
80
X: 3
Y: 73.33
Forward selection
Numero de Variables
PorcentajedeClasificación
X: 6
Y: 75
X: 5
Y: 73.33
X: 2
Y: 73.33
traingdx
trainrp
trainlm
trainbr
46
Algoritmo Variable Porcentaje
Early Stopping
Traingdx 14-8-9-6-11-1 75% ± 0.033
Trainrp 13-6-5 73.3% ± 0.022
Trainlm 8-4-11-14-3 73.3% ± 0.103
Regularización Bayesiana
Trainrb 8-13 73.3% ± 0.18
Tabla 7. Resultados Forward Selection.
Algoritmos Genéticos
En la tabla 8 página 46 se ilustran los parámetros de configuración del AG en el
cual se puede resaltar el uso de una población tipo Bit String el cual me permite
encontrar un numero binario el cual me permite representar por cada posición una
variable, este número se interpreta de la siguiente manera en cada posición
existen dos posibles números 0 que me representa que esa variable no se utiliza y
1 cuando toma la variable, esto con el fin de ser usado como un método de
reducción de dimensionalidad del sistema, la función creada para la
implementación del AG se encuentra en el anexo 2 numeral 5.
Parámetros de configuración
Tipo de población Bit string
Numero de generaciones 100
Tamaño de la población 10
Elite 2
Tipo de selección Ruleta
Método de cruce Crossoverintermediate
Tasa de cruce 0.7
Método de mutación Mutation adaptfeasible
Función de optimización Porcentaje de clasificación
Tabla 8. Configuración AG.
47
Se implementó el AG con los métodos y funciones de entrenamiento de la tabla 8
página 46, replicando la metodología utilizada con FS. La tabla 9 página 47 ilustra
las variables que obtuvieron los mejores porcentajes de clasificación, después de
implementar la selección de características en el clasificador neuronal.
Algoritmo Variable Porcentaje
Early Stopping
Traingdx 8-10-13 77% ± 0.063
Trainrp 2-10-13 71.66% ± 0.075
Trainlm 3-5-8-9-12 76.67% ± 0.124
Regularización Bayesiana
Trainrb 1-2-6-7-12-13 77% ± 0.065
Tabla 9. Resultados AG.
7.1.2 Transformada Wavelet.
Las Wavelets son familias de funciones en el espacio que se emplean como
funciones de análisis de una señal. Estas se agrupan en familias, que son
conjuntos de funciones con unas mismas características. Para la implementación
de esta transformada se escogió la familia biortogonal debido a que posee dos
representaciones, una para la descomposición de la señal y otra para la
reconstrucción. De esta forma las propiedades útiles para el análisis se pueden
concentrar en una parte (por ejemplo detectar oscilaciones) mientras que las
propiedades interesantes para la síntesis se concentran en la otra (por ejemplo, la
regularidad) [22,65].
Se parte con un análisis de la familia biortogonal en el nivel 3, que se encuentra
conformada por un conjunto de cinco transformadas diferentes (bior 3.1, bior 3.3,
bior 3.5, bior 3.7, bior 3.9), se implementa cada una de las transformadas en las
48
señales f/VT y Ttot, encontrando los coeficientes de detalle y de aproximación
correspondiente a cada uno de los 66 pacientes, en el anexo 2 numeral 6 se
encuentra el script desarrollado para aplicar la transformada Wavelet.
Figura
12. Procedimiento selección transformada Wavelet.
En la figura 12 página 48 se ilustra el procedimiento aplicado para seleccionar la
transformada Wavelet, luego de tomar la señal (f/VT o Ttot) y aplicarle la
transformada wavelet a evaluar con cada uno de los 66 pacientes, se organizan
los datos obtenidos en los pacientes y se clasifican en las dos condiciones (éxito
y fracaso) con el fin de aplicar la prueba U the Mann Whitney, con los resultados
de estas prueba, se seleccionan aquellos coeficientes de aproximación o detalle
que obtenga un P_value < 0.05 lo cual representa que las clases son
heterogéneas, con estos valores se implementa la siguiente ecuación:
í𝑛𝑑𝑖𝑐𝑒 = ∑
𝑃𝑣𝑎𝑙𝑢𝑒𝑠 𝑇𝑡𝑜𝑡 + 𝑃𝑣𝑎𝑙𝑢𝑒𝑠 𝑓/𝑉𝑇
# 𝑑𝑒 𝑛𝑖𝑣𝑒𝑙𝑒𝑠 𝑑𝑒 𝑑𝑒𝑠𝑐𝑜𝑚𝑝𝑜𝑠𝑖𝑐𝑖ó𝑛
Ecuación 3. Indicie de selección Wavelet
Este procedimiento se replica para las 5 diferentes transformadas. El índice
obtenido permite determinar cuál transformada aporta una mayor relevancia en la
clasificación, el desarrollo del script para esta prueba se encuentra en el anexo 2
numeral 7, en la tabla 10 pagina 49 y tabla 11 pagina 49 se representa los
índices encontrados para cada una de las dos señales.
49
Ttot
Bior P values Descripción
3.1
0.0028 p_cA3_Ttot31
0.0483 p_cD3_Ttot31
3.3 0.0063 p_cA3_Ttot33
3.5 0.0058 p_cA3_Ttot35
3.7 0.0068 p_cA3_Ttot37
3.9 0.0079 p_cA3_Ttot39
f/VT
3.1 0.3549 p_cd2_fVt
3.3 0.3297 p_cd2_fVt
3.5 0.3234 p_cd2_fVt
3.7 0.3234 p_cd2_fVt
3.9 0.4570 p_cd2_fVt
Tabla 10. Resultados prueba U Mann Whitney
Wavelet Índice
Bior 3.1 0.4329
Bior 3.3 0.1715
Bior 3.5 0.4394
Bior 3.7 0.257
Bior 3.9 0.2404
Tabla 11. Resultados al aplicar la ecuación 3.
Como se puede observar en los resultados anterior la señal f/Vt no presento
ningún P_value menor a 0.05 entonces se tomaron aquellos que obtuvieron el
menor. Para de esta forma calcular el índice y seleccionar la transformada.
En conclusión se va a tomar la trasformada wavelet bior 3.3. Con los coeficientes
de aproximación y de detalle expresados en la tabla 10 página 49.
Con las dos nuevas señales obtenidas al aplicar la transformada wavelet en los
66 pacientes se procede a encontrar los datos estadísticos para ingresar como
entradas del clasificador.
50
Entrada Variable Entrada Variable
1 Media p_cA3_Ttot33 8 Media p_cd2_fVt
2 Desviación p_cA3_Ttot33 9 Desviación p_cd2_fVt
3 Moda p_cA3_Ttot33 10 Moda p_cd2_fVt
4 R. intercuartil p_cA3_Ttot3311 R. intercuartil p_cd2_fVt
5 Oblicuidad p_cA3_Ttot33 12 Oblicuidad p_cd2_fVt
6 Varianza p_cA3_Ttot33 13 Varianza p_cd2_fVt
7 Curtosis p_cA3_Ttot33 14 Curtosis p_cd2_fVt
Tabla 12. Variables de entrada
La tabla 12 página 50 relaciona numéricamente (entrada) los estadísticos
computados a cada serie temporal luego de haberle aplicado la transformada
wavelet, en el anexo 1 encontramos los resultados de cada paciente.
En la tabla 13 página 50 se encuentran la media y la desviación estándar de
todas la variables halladas.
Ttot- condición 1 -ca3
Media Moda Varianza curtosis oblicuidad desviación rango intercuartil
media total 0,19676 0,19676 8,95094 8,95094 0,03076 0,03076 0,168986163
desviación 0,06515 0,06515 7,60359 7,60359 0,00935 0,00935 0,059496868
Ttot- condición 2 -ca3
media total 0,17995 0,17995 5,80411 5,80411 0,02707 0,02707 0,163210085
desviación 0,07639 0,07639 2,39951 2,39951 0,01075 0,01075 0,068060919
f/VT- condición 1 -CD3
media total 0,14324 0,14324 6,75523 6,75523 0,02371 0,02371 0,121516489
desviación 0,07782 0,07782 1,97721 1,97721 0,00914 0,00914 0,061056516
f/VT- condición 2 -CD3
media total 0,12322 0,12322 5,58177 5,58177 0,01846 0,01846 0,107054507
desviación 0,05268 0,05268 2,58151 2,58151 0,00896 0,00896 0,046719325
Tabla 13. Análisis estadístico de las variables
51
Diseño de la red neuronal
Al aplicar la transformada Wavelet y obtener un nuevo conjunto de variables se
debe proceder con la búsqueda del número de neuronas que se adecuen a los
datos encontrados, por ende se realiza nuevamente la búsqueda exhaustiva
replicando el algoritmo utilizado para este fin, los criterios de parada y algoritmos
de entrenamiento no varían. Los resultados del número de neuronas que mejor
porcentaje de clasificación obtuvo para cada uno de los diferentes métodos de
entrenamiento están expresados en la tabla 14 pagina 51.
Algoritmo Numero de neuronas Porcentaje
Early Stopping
Traingdx 88 66.66% ± 0.63
Trainrp 53 65% ± 0.05
Trainlm 100 63.2% ± 0.24
Regularización Bayesiana
Trainrb 80 68.1% ± 0.06
Tabla 14. Resultados Búsqueda exhaustiva
Selección de características
Buscando la viabilidad de aplicar la transformada Wavelet en las señales
respiratorias se evalúan las dos técnicas FS y AG con las nuevas variables
obtenidas, con el objetivo de observar si mejora el porcentaje de clasificación.
Forward Selection
La tabla 15 página 52 ilustra las variables que obtuvieron los mejores porcentajes
de clasificación, después de implementar la selección de características en el
clasificador neuronal, en la tabla 12 páginas 50 encontramos la relación del
número con su respectiva variable. Los resultados de los porcentajes de
52
clasificación Vs número de variables seleccionadas se observan en la figura 13
pagina 52.
Figura 13. Porcentaje de clasificación Vs número de variables
La implementación del algoritmo FS para las señales obtenidas con la
transformada Wavelet se encuentra en el script del anexo 2 numeral 8.
0 5 10 15
50
55
60
65
70
75
80
X: 2
Y: 72.33
Forward selection
Numero de Variables
PorcentajedeClasificación
X: 3
Y: 70
X: 5
Y: 71.67
X: 2
Y: 73.33
traingdx
trainrp
trainlm
trainbr
Algoritmo Variable Porcentaje
Early Stopping
Traingdx 14-2 72.33% ± 0.066
Trainrp 6-3-8 70% ± 0.024
Trainlm 8-3-9-10-6 71.67% ± 0.123
Regularización Bayesiana
Trainrb 8-14 73.3% ± 0.19
Tabla 15. Resultados Forward Selection Wavelet
53
Algoritmos Genéticos
La selección de características por medio de AG se realizó con los mismos
parámetros de búsqueda planteados anteriormente y su implementación se
encuentra en el anexo 2 numeral 9, se obtuvieron los siguientes resultados
planteados en la tabla 16 de la página 53.
Algoritmo Variable Porcentaje
Early Stopping
Traingdx 14-8-9-6-11 75% ± 0.022
Trainrp 2-14 72.5% ± 0.077
Trainlm 8-4-11-14-3 73.33% ± 0.54
Regularización Bayesiana
Trainrb 8-14 73.33% ± 0.065
Tabla 16. Resultados AG Wavelet
7.2 Interacción Cardiorrespiratoria
En cuanto al acoplamiento entre sistema respiratorio y sistema cardiaco, se quiere
analizar el comportamiento de ellas, la iteración de estas dos señales presentan
un fenómeno que durante la inspiración el ritmo cardíaco aumenta y durante la
espiración disminuye, conocido como la arritmia sinorrespiratoria [60,11], este
fenómeno nos permite darnos cuenta la relación existente en estos dos sistemas,
prediciendo que pudiese existir variables relevantes que ayuden a encontrar una
mejor solución en la clasificación del problema planteado. En la lectura de los
datos no se encuentra un periodo de muestreo fijo, para lo cual es necesario
transformar estas señales con diferentes frecuencias de muestreo a señales
equivalentes, en un estudio realizado por la universidad de Catalunya se
determina que el periodo de muestreo óptimo para el acoplo de estos dos
sistemas es de 2Hz [61]. Se realiza el remuestreo y para lograr este objetivo se
busca un proceso que permita la reconstrucción aproximada o exacta de una
54
0 20 40 60 80 100 120 140 160
0.5
1
1.5
2
2.5
3
Paciente 1 señal TOT
tiempo
TOT
señal interpolada
señal original
0 20 40 60 80 100 120 140 160
200
400
600
800
1000
1200
1400
1600
1800
2000
2200
Paciente 1 señal RR
tiempo
RR
señal interpolada
señal original
0 20 40 60 80 100 120 140 160
0.06
0.08
0.1
0.12
0.14
0.16
0.18
Paciente 1 señal f/VT
tiempo
f/VT
señal interpolada
señal original
20 40 60 80 100 120 140 160 180
450
500
550
600
650
700
750
Paciente 36 señal RR
tiempo
RR
señal interpolada
señal original
0 20 40 60 80 100 120 140 160 180
0.8
1
1.2
1.4
1.6
1.8
2
Paciente 36 señal TOT
tiempo
TOT
señal interpolada
señal original
0 20 40 60 80 100 120 140 160 180
0.02
0.04
0.06
0.08
0.1
0.12
0.14
0.16
Paciente 36 señal f/VT
tiempo
f/VT
señal interpolada
señal original
Figura 14. Interpolación de pacientes en condición de éxito y fracaso.
señal a partir de sus muestras, En este caso se optó por utilizar la interpolación
cuadrática técnica que permite la predicción de nuevos puntos a través del tiempo
permitiendo variar el periodo de muestreo, ya que en estudios realizados se
demuestra que este método de interpolación es ideal para la aproximación de
señales que presenten comportamiento lineales y oscilatorios [34,64]. Debido a
que las señales presentan periodos de muestreo pequeños esta interpolación
funciona adecuadamente, permitiendo llevar las tres señales (RR, f/VT, Ttot) a la
misma frecuencia de muestreo, esta implementación se encuentra en el script del
anexo 2 numeral 10. En la figura 14 página 54 se observa la señal original con
respecto a la nueva de un paciente por cada condición.
Se busca encontrar una medida estadística que permita analizar la diferencia de la
señal original con respecto a la hallada en el remuestreo, por lo cual se opta por
usar el error medio cuadrático, ya que este me permite evalúa porcentualmente la
diferencia existente entre las dos señales. En la tabla 17 página 55 se encuentran
los resultados obtenidos al aplicar el error medio cuadrático entre las dos señales,
y el promedio de los resultados observando que ninguno de ellos supera un error
del 3%.
55
ERROR MEDIO CUADRATICO
PACIENTE Ttot f/VT RR Ttot f/VT RR
CONDICION 1 CONDICION 2
1 0,88518 0,16950 3,56576 3,72992 0,08863 0,57060
2 7,78418 0,44124 0,60587 8,36489 0,63175 0,34828
3 0,69647 2,12893 2,37342 3,51999 0,20866 0,44802
4 1,67361 0,14321 8,09468 1,73834 0,01965 55,91692
5 5,79053 0,19562 1,39922 1,31699 0,01097 0,43255
6 1,65603 0,05747 1,32497 8,04138 0,61093 1,18988
7 0,09694 0,01207 1,02630 1,56302 0,09334 2,55042
8 1,84961 0,11651 0,66605 2,48253 0,00783 0,08013
9 1,71473 0,08066 0,06478 2,66607 0,00808 0,10491
10 1,03086 0,04130 0,50460 2,84387 0,29531 0,65195
11 0,57866 0,52911 1,69000 0,33949 0,03418 1,15494
12 0,19857 0,70697 0,00190 1,91628 0,11119 2,01806
13 3,99747 0,65862 0,12215 0,20436 0,07067 0,59688
14 2,98142 0,27462 0,30852 0,35695 0,01378 0,00523
15 4,12519 0,18286 1,78077 0,61615 0,16805 0,15501
16 1,65836 0,46089 1,60471 0,04508 0,09194 0,56905
17 2,46129 0,65283 2,65917 0,33401 0,13478 0,01526
18 4,53552 1,14889 0,28652 1,47681 2,17478 1,14832
19 3,31943 0,18927 0,65113 1,15657 0,66206 0,44683
20 0,67407 0,29741 0,45352 6,58069 0,63218 0,01296
21 1,47681 0,97004 2,71572 0,25111 0,04392 0,29682
22 4,57313 0,43067 0,22286 5,91596 9,45191 2,02300
23 3,63452 0,94508 0,13785 0,87076 1,08641 0,17779
24 2,91965 0,04074 1,07214 0,38624 0,66578 2,08039
25 3,65490 0,08261 1,33853 69,82036 3,46226 1,43161
26 5,71668 0,03561 2,64008 4,43954 9,39827 1,78359
27 5,80321 0,26981 0,84801 0,62819 0,07839 1,54200
28 2,08800 0,31364 0,02975 3,13934 0,40847 1,07539
29 2,97330 0,53785 0,68543 3,73802 0,06307 0,41254
30 4,44585 0,48385 4,18039 1,21826 0,05963 0,57358
31 1,89489 0,40211 0,19613 1,91933 0,45889 1,75372
32 1,69852 0,25302 0,18946 0,45361 0,18508 0,29146
33 4,30113 0,15978 0,07243 2,89228 0,13778 0,57889
PROMEDIO 2,81481 0,40645 1,31857 2,81481 0,40645 1,31857
Tabla 17. Error medio cuadrático resultados
56
7.2.1 Estadísticos
Obtención de los datos estadísticos
Investigaciones realizadas sobre la variación de cargas resistivas en los modos
ventilatorios, sugieren que hay variaciones en el patrón respiratorio que dependen
directamente de estas, las cuales se ven reflejadas en un incremento del TTot y del
f/VT [61,62]. Adicionalmente se ha demostrado la influencia del patrón respiratorio
sobre la HRV y la Arritmia Sinosrespiratoria (RSA). Dada la dependencia entre la
arritmia sinusrespiratoria la duración del ciclo respiratorio y el volumen tidal [63],
básicamente en las bajas frecuencias de estos parámetros [60].
Por esta razón se continúa con las dos series respiratorias (f/VT y Ttot) y la señal
RR resultantes luego de haber implementado el remuestreo, se realiza el pre-
procesamiento de datos obteniendo los siguientes estadísticos:
Entrada Variable Entrada Variable Entrada Variable
1 Media TOT 8 Media FVT 15 Media
2 Desviación TOT 9 Desviación FVT 16 Desviación RR
3 Moda TOT 10 Moda FVT 17 Moda RR
4 R. intercuartil TOT11 R. intercuartil FVT18 R. intercuartil RR
5 Oblicuidad TOT 12 Oblicuidad FVT 19 Oblicuidad RR
6 Varianza TOT 13 Varianza FVT 20 Varianza RR
7 Curtosis TOT 14 Curtosis FVT 21 Curtosis RR
Tabla 18. Datos estadísticos Cardiorrespiratorio.
La tabla 18 pagina 56 relaciona numéricamente (entrada) los estadísticos
computados a cada señal y en el anexo 1 los resultados obtenidos. En la tabla 19
página 57 se encuentran la media y la desviación estándar de todas la variables
halladas.
57
Ttot- condición 1
Media Moda Varianza Curtosis Oblicuidad Desviación rango intercuartil
Media total 0,19964 0,37155 0,27297 0,52225 0,08061 0,01135 0,042447563
Desviación 0,12461 0,23952 0,2379 0,1867 0,06242 0,01827 0,034846467
Ttot- condición 2
Media total 0,15131 0,28744 0,29695 0,51309 0,09864 0,04649 0,063242716
Desviación 0,17368 0,17231 0,28937 0,2362 0,18984 0,1742 0,174734135
f/VT- condición 1
Media total 0,06051 0,08617 0,07749 0,31055 0,04134 0,00462 0,030659426
Desviación 0,0787 0,09317 0,09522 0,15795 0,05292 0,01514 0,034301236
f/VT- condición 2
Media total 0,14847 0,12689 0,13428 0,32112 0,08763 18,5635 0,137264935
Desviación 0,21189 0,2181 0,2126 0,14681 0,04933 12,5836 0,201268703
RR- condición 1
Media total 0,5458 0,98535 0,09417 0,73687 0,03491 0,03043 0,032280703
Desviación 0,16634 0,00759 0,1555 0,12047 0,1709 0,1714 0,171082878
RR- condición 2
Media total 0,48257 0,95474 0,08376 0,70938 0,01094 0,00124 0,006585324
Desviación 0,2134 0,16891 0,17408 0,15244 0,0335 0,00486 0,019646746
Tabla19. Análisis estadísticos de las variables Ttot, f/VT y RR
Clasificador con RNs
En la configuración de la red neuronal se toma las configuraciones con las cuales
se ha venido trabajando a lo largo de la investigación. En este punto se
seleccionaron los dos tipos de entrenamientos que obtuvieron los mejores
porcentajes de clasificación, los seleccionados fueron Traingdx, y Trainrb. De
igual manera se manejó el mismo número de neuronas halladas con la búsqueda
exhaustiva para cada tipo de entrenamiento.
58
Selección de características
Siguiendo con la metodología propuesta se implementa las dos técnicas
propuestas FS y AG, con el fin de comprobar si el sistema cardiorrespiratorio
tiene algún aporte significativo, o genera alguna variable o variables relevantes
que aporten significancia a la clasificación del sistema.
Forward Selection
En este punto se analiza si se encuentra alguna combinación que con el aporte
de la señal del electro cardiograma y teniendo en cuenta alguna variable de esta
señal mejore la respuesta del clasificador, los resultados de esta prueba son
positivos debido a que aumenta el porcentaje de clasificación con respecto a las
anteriores pruebas. La implementación de esta técnica aplicada para el sistema
cardiorrespiratorio se encuentra en el anexo 2 numeral 11. En la tabla 20 página
58 se describen los resultados obtenidos al aplicar esta técnica con los dos
métodos de entrenamiento determinados. Los resultados de los porcentajes de
clasificación Vs número de variables seleccionadas se observan en la figura 15
pagina 59.
Algoritmo Variable Porcentaje
Early Stopping
Traingdx 8-12-20-2 79% ± 0.72
Regularización Bayesiana
Trainrb 7-8-13-14-20 77.67% ± 0.32
Tabla 20. Resultados Forward Selection.
59
Figura 15. Porcentaje de clasificación Vs número de variables.
Algoritmos Genéticos
La selección de características por medio de AG se realizó con los mismos
parámetros de búsqueda planteados anteriormente implementando la señal del
electrocardiograma y se obtuvieron los siguientes resultados planteados en la
tabla 21 página 59. La función adecuada para la aplicación de la búsqueda de
características por medio de AG para el sistema cardiorrespiratorio se encuentra
en el anexo 2 numeral 11.
0 2 4 6 8 10 12
0
10
20
30
40
50
60
70
80
90
100
Forward selection
Numero de Variables
Acuracy
X: 4
Y: 76.67
X: 3
Y: 79
Acuracy
Algoritmo Variable Porcentaje
Early Stopping
Traingdx 4-21-16-19-8-10 75% ± 0.112
Regularización Bayesiana
Trainrb 8-6-15-20 71.167% ± 0.32
Tabla 21. Resultados búsqueda por AG.
60
7.2.2 La transformada Wavelet.
Tomando las transformadas Wavelet encontradas para el sistema respiratorio
con las dos series temporales (f/VT, Ttot), se toma la señal RR para encontrarle su
transformada, observando los resultados obtenido en el análisis desarrollado para
las señales del sistema respiratorio se decide implementar la wavelet bior 3.3,
siendo esta la seleccionada con anterioridad, y dejar todo en función de una sola
de ellas con el fin de analizar qué tan efectiva resulta ser esta al momento de
clasificar permitiendo analizar qué tan relevante puede llegar a hacer la señal RR
al aplicarle esta transformada wavelet en la solución al problema de clasificación
en los pacientes que fueron sometidos a la extubación de la ventilación mecánica.
Para encontrar la transformada Wavelet se reutiliza el script del anexo 1 numeral
6, una vez encontrada la transformada de la señal RR (señal del
electrocardiograma) se procede a realizar la prueba U de Mann Whitney con el fin
de determinar cuál o cuáles coeficientes de detalle o de aproximación se
implementaran, cabe recordar que se tomaran aquellas señales que presenten un
resultado menor a 0.05 en la prueba, su implementación se encuentra en el anexo
2 numeral 7. Los resultados de esta prueba realizada a la señal RR de los
pacientes aplicando la transformada Wavelet se encuentra en la tabla 22 página
60.
RR
p_cA3_RR p_cD3_RR P_cD2_RR
0.0881 0.2871 0.1823
Tabla 22. Resultados prueba U de Mann Whitney
Como se puede observar ninguna señal cumplió con el criterio de selección
establecido, pero se tomara el de menor resultado con el fin de no descartar la
posibilidad de encontrar variables relevantes en estas señales que se generan del
sistema cardiaco, debido a que la prueba U-Mann Whitney es una prueba no
paramétrica, que busca encontrar diferencias significativas entre clases, lo que
61
busca es mostrar un grado de solapamiento entre las variables, el criterio de un P-
value menor a 0.005 da un indicio del rechazo de la hipótesis nula en cuanto a que
las muestras provienen de la misma muestra, mas no implica que pueda tomarse
como criterio estricto para eliminar o meter variables, todo depende del autor y su
criterio en utilizar la prueba, el uso de los resultados más bajos, se da a la luz de
que se supone que se trabajaran con los resultados que nos muestran mejor
tendencia a ser usados, al final el procesamiento y la clasificación darán pautas
para indicar si fue, o no fue tan buena elección. La prueba determino que el
coeficiente de aproximación de nivel 3 de la señal RR obtuvo un P-value de
0.0881 representado la mayor dispersión entre las señales analizadas.
Entrada Variable EntradaVariable Entrada Variable
1 Media p_cA3_Ttot33 8 Media p_cd2_fVt 15 Media p_cA3_RR33
2 Desviación p_cA3_Ttot33 9 Desviación p_cd2_fVt 16 Desviación p_cA3_RR33
3 Moda p_cA3_Ttot33 10 Moda p_cd2_fVt 17 Moda p_cA3_RR33
4 R. intercuartil p_cA3_Ttot33 11 R. intercuartil p_cd2_fVt 18 R. intercuartil p_cA3_RR33
5 Oblicuidad p_cA3_Ttot33 12 Oblicuidad p_cd2_fVt 19 Oblicuidad p_cA3_RR33
6 Varianza p_cA3_Ttot33 13 Varianza p_cd2_fVt 20 Varianza p_cA3_RR33
7 Curtosis p_cA3_Ttot33 14 Curtosis p_cd2_fVt 21 Curtosis p_cA3_RR33
Tabla 23. Datos estadísticos Cardiorrespiratorio transformada Wavelet
Se procede con la conversión de las señales a datos puntuales por medio de la
obtención de los estadísticos para cada señal, la tabla 23 pagina 61 relaciona
numéricamente (entrada) los estadísticos computados a cada señal y en el anexo
1 los resultados obtenidos. En la tabla 24 pagina 62 encontramos la media y la
desviación estándar del conjunto de variables halladas luego de haber aplicado la
transformado Wavelet a la señal RR.
62
RR- condición 1 -ca3
media Moda varianza curtosis Oblicuidad desviación rango intercuartil
media total 0,24407 7,02065 0,03369 0,21584 0,03013 0,47652 0,002033279
desviación 0,06159 6,94793 0,02997 0,0889 0,02688 1,48739 0,003096593
RR- condición 2 -ca3
media total 0,22462 4,52366 0,02424 0,20232 0,02712 -0,4179 0,00115092
desviación 0,07225 3,29689 0,02374 0,08916 0,02461 0,95383 0,002209015
Tabla 24. Análisis estadísticos de la transformada Wavelet RR
Selección de características
Al realizar la selección de características por las dos técnicas planteados FS y AG
en este caso se puede determinar que los algoritmos genéticos realizan una mejor
selección de las variables y que como se puede apreciar en la tabla 25 página 62
se observa el resultado más alto obtenido en el desarrollo de la metodología,
también se observa la influencia que tiene la señal cardiaca ya en cada uno de los
resultados aparece por lo menos selecciona una variable como relevante en el
proceso de clasificación.
Forward Selection
Algoritmo Variable Porcentaje
Early Stopping
Traingdx 4-21-16-19-8-10
75% ± 0.112
Regularización Bayesiana
Trainrb 8-2-15-20
71.167% ± 0.32
Algoritmos Genéticos
Algoritmo Variable Porcentaje
Early Stopping
Traingdx 2-8-13-18-20
78.2% ± 0.72
Regularización Bayesiana
Trainrb 8-20-18-2
77.67% ± 0.32
Tabla 25. Resultados selección de características Wavelet
El script implementado para el desarrollo de la selección de características se
encuentra en el anexo 2 numeral 12 y numeral 13.
63
8 Conclusiones
Algoritmo Variable de señales Ttot y f/VT Porcentaje
Forward Selection
Early Shopping
Traingdx Media f/VT- Curtosis f/VT-Desv. f/VT-Varianza Ttot-R. Inter. f/VT-
Media Ttot
75% ± 0.033
Regularización Bayesiana
Trainrb1 Media f/VT-Varianza f/VT 73.33% ± 0.18
Algoritmos Genéticos
Early Shopping
Traingdx Media f/VT-Moda f/VT-Varianza f/VT 77% ± 0.063
Regularización Bayesiana
Trainrb1 Media Ttot-Desv Ttot –Varianza Ttot-Curtosis Ttot-Oblicuidad f/VT-
Varianza f/VT
77% ± 0.065
Wavelet señales Ttot ca3 y f/VT CD3
Forward Selection
Early Stopping
Traingdx Curtosis f/vt-Desviación Ttot 72.33%
± 0.066
Regularización Bayesiana
Trainrb Media f/VT Curtosis f/VT 73.3% ± 0.19
Algoritmos Genéticos
Early Stopping
Traingdx Deviación f/VT – Varianza Ttot - R. Intercuartil 75% ± 0.022
Algoritmos Genéticos
Trainrb Curtosis f/vt-Media f/VT 73.33% ± 0.065
Tabla 26. Resultados selección de características señales Ttot y f/VT.
Las RN´s son una técnica sofisticada capaz de modelar funciones complejas de
diversas índoles. Conjuntamente apoyado con la técnica FS y AG permite
64
Obtener un buen conjunto de características para el cual nos permite mejorar
notablemente los resultados del sistema.
Al comparar los dos métodos de selección de características se determina que es
mejor utilizar AG en el análisis del sistemas respiratorio ya este proporciona los
mejores porcentajes de clasificación. En la tabla 26 pagina 63 se ilustran los
mejores resultados de la selección de características y se observa que en la
mayoría de los casos el algoritmo Traingdx proporciona los mejores porcentajes
de clasificación.
Al encontrar la moda de las variables que se mantienen en cada clasificación de
los resultados obtenidos al aplicar FS y AG (tabla 7 página 46 y tabla 9 página
47) se observa que las variables más usadas en los clasificadores luego de
aplicar la selección de características son la Media f/VT, Varianza f/VT y la
Varianza Ttot, y que la combinación de estas se encuentra presentes en los
mejores resultados de clasificación. De igual manera el proceso que realiza la red
neuronal no es determinístico, y por ser un proceso de aleatorización podrá
realiza la combinación de diferentes variables pero se percibe la presencia al
menos una de estas variables en cada uno de los resultados obtenidos.
Se puede observar que al aplicar la transformada wavelet con las señales
respiratorias no se observan resultados positivos, se obtiene inferiores
porcentajes de clasificación a los obtenidos al aplicar los estadísticos, y al
encontrar la moda en los resultados encontrados en la tabla 15 página 52 y tabla
16 página 53 se resaltan las siguiente variables Media p_cd2 f/VT y Curtosis
p_cd2 f/VT, los dos métodos de selección de característica se presenta la
combinación de ellos dos, pero de igual manera por sí solo no arrojan el mejor
resultado.
65
Variable de señales Ttot y f/VT RR Porcentaje
Forward Selection
Early Stoping
Traingdx Media f/VT-Oblicuidad f/VT-Varianza RR- Desviación Ttot 79% ± 0.72
Regularización Bayesiana
Trainrb1 Media f/VT-Desviación Ttot-Curtosis f/VT-Varianza RR 77.67%
± 0.063
Algoritmos Genéticos
Early Stoping
Traingdx Media f/VT-Curtosis f/VT-Curtosis RR 74% ± 0.61
Regularización Bayesiana
Trainrb1 Curtosis f/VT Oblicuidad f/VT Varianza RR Curtosis RR 75% ± 0.35
Wavelet señales Ttot ca3 y f/VT CD3 RR
Forward Selection
Early Stoping
Traingdx R. intercuartil Ttot-Curtosis RR-Desviación RR-Oblicuidad RR-Media
f/VT-Moda f/VT
75% ± 0.112
Regularización Bayesiana
Trainrb Media f/VT-Varianza TOT-Media RR-Varianza RR 71.167% ± 0.3
Algoritmos Genéticos
Early Stoping
Traingdx Desviación Ttot-Media f/VT-Varianza f/VT-R. intercuartil RR-Varianza
RR
78.2% ± 0.72
Algoritmos Genéticos
Trainrb Media f/VT-Varianza RR-Oblicuidad RR-Desviación-Ttot 77.67% ± 0.32
Tabla 27. Resultados selección de características señales RR Ttot y f/VT.
Al ingresar unas nuevas variables correlacionadas al sistema, como lo son las
obtenidas por la señal RR se puede observar el cambio en la conformación de
estas al completar la selección de características, esto es debido a la generación
de nuevas combinaciones, pero aun así hay variables que siguen permaneciendo
como relevantes para el desarrollo de la clasificación de los pacientes.
66
Al incluir la serie RR se obtiene un aumento en los porcentajes de clasificación
(+2%) respecto al mejor resultado obtenido al analizar las señales del sistema
respiratorio (Ttot, f/VT), lo cual nos resalta la importancia interacción del sistema
cardiorrespiratorio.
Al aplicar la trasformada Wavelet implementando la señal RR se observa mejoría
en los resultados con respecto a los obtenidos con solo las señales respiratorias,
debido a que en las señales RR presentas mayor dispersión entre clases al
realizarles un análisis en frecuencia.
El método implementado en este proyecto reafirma la importancia de tener en
cuenta el sistema cardiorespiratorio en la búsqueda de la mejor solución para el
problema de la búsqueda del momento óptimo de desentubación
No se logra superar los porcentajes de clasificación encontrados en la búsqueda
bibliográfica, pero de igual manera pero se encuentra un conjunto de variables
significativas las cuales se podría implementar diferentes técnicas de clasificación
con el objetivo de encontrar un mayor porcentaje de clasificación.
67
9 Bibliografía
[1] west j. fisiologia respiratoria. Editorial medica panamericana. Sexta edición,
Buenos aires, 2004.
[2] f frutos i alia m r lorenzo j garcía pardo m nolla j ibáñez j p tirapu s
macias j blanco s benito a anzueto a esteban (2003). Utilización de la
ventilación mecánica en 72 unidades de cuidados intensivos en España, medicina
intensiva vol. 27 núm. 1 pág. 1-12
[3] cristancho, g. w. (2003). Fundamentos de la fisioterapia respiratoria y
ventilación mecánica manual moderna: 419-435.
[4] b. Giraldo, member, ieee, c. Arizmendi, member, ieee, e. Romero, r. alquezar,
p. caminal,s. benito, d, (2006). Ballesteros patients on weaning trials classified
with neural networks and features selection procedings of the 28th ieee embs
annual international conference isbn 1-4244-0033-3/06_ ieee.
[5] b. giraldo, member, ieee, a. garde, c. arizmendi, member, ieee, r. jané,
member, ieee,s. benito, i. diaz, d. ballesteros, (2006). support vector machine
classification applied on weaning trials patients procedings of the 28th ieee embs
annual international conference isbn 1-4244-0033-3/06/_ieee,
[6] pere caminal , beatriz giraldo, haritz zabaleta , montserrat vallverdu , salvador
benito , d ballesteros , l lópez-rodriguez , a esteban , m baumert , andreas voss,
(2005) joint symbolic dynamic analysis of cardiorespiratory interactions in patients
on weaning trials. a: 27th annual international conference of the ieee engineering
in medicine and biology society p. 1-4.
[7]. dirk cysark, arndt büssing (2005) cardiorrespiratory symchronization during
zenial s meditation eur j appl physiol, 95: 88-95
68
[8] benito s. net a., (1990). “función pulmonar en paciente ventilado”. ed.doyma.
barcelona-españa
[9] Carlos J. Finlay (2011). “Protocolo para el destete de pacientes acoplados a
ventilación mecánica” tesis para grado científico.
[10] Dr. F. Ramos (2007). “Desconexión de ventilación mecánica”. Tomado de la
web 20 de noviembre 2013.
http://chguv.san.gva.es/Inicio/ServiciosSalud/ServiciosHospitalarios/AnestRea/Doc
uments/RAMOS_Prot_DesconVentMecanica_CHGUV130307.pdf
[11] haritz zabaleta rekondo (2013). “análisis de interacción entre patrón
respiratorio y frecuencia cardíaca, mediante dinámica simbólica conjunta, en
pacientes durante el proceso de extubación de ventilación mecánica”. Proyecto
maestría.
[12] carlos j. arizmendi (2007). “técnicas de análisis del patrón respiratorio y
cardiorrespiratorio para la extracción de índices en pacientes en proceso de
extubación” tesis doctoral upc
[13] b. giraldo1, c. arizmendi, e. romero, r. alquezar, p. caminal,s. benito, d.
ballesteros. “clasificación de pacientes en proceso de extubacion mediante redes
neuronales y selección características”
[14] b. giraldo giraldo, c. arizmendi pereira, p. caminal magrans, i. díaz, s. benito
vales. “análisis de cluster aplicado a clasificación de pacientes en proceso de
extubación”.
[15] Carlos Arizmendi, Enrique Romero, René Alquezar, Pere Caminal, Ivan Díaz,
Salvador Benito,Beatriz F. Giraldo, Member, IEEE, 2009. “Data Mining of Patients
on Weaning Trials from Mechanical Ventilation Using Cluster Analysis and Neural
Networks”
69
[16] fransisca llobel. “algoritmo de extubacion” tomado de la web el dia 21 de
septiembre del 2013. http://es.scribd.com/doc/52022291/cuando-y-como-extubar-
algoritmo-extrategia-definitivo
[17] P. CAMINAL, B. F. GIRALDO,M. VALLVERDU´ , S. BENITO,5.(2010).
“Symbolic Dynamic Analysis of Relations Between Cardiac and Breathing Cycles
in Patients on Weaning Trials”.
[18] Andrés Arcentales, Beatriz F. Giraldo(2011). “Recurrence Quantification
Analysis of Heart Rate Variability and Respiratory Flow Series in Patients on
Weaning Trials”
[19] M. G. Rosenblum, A. S. Pikovsky, and J. Kurths, (2004). Autocorrelation
function and spectral linewidth of spiral chaos in a physical experiment Fluct.
Noise Lett. 4, L53.
[20] M. G. Rosenblum and A. S. Pikovsky, (2004) Controlling Synchronization in an
Ensemble of Globally Coupled Oscillators Phys. Rev. Lett. 92, 114102.
[21] T. Schreiber, (2001) detecting direction of coupling in interacting oscillators
Phys. Rev. Lett. 85, 461.
[22] Miguel Zamorano C., Higinio Rubio A. (2010), Análisis de señales mediante
STFT y Wavelet. Aplicación a defectologia en rodamiento.
[23] J. Jamsek, A. Stefanovska, and P. V. E. (2004). Nonlinear cardio-respiratory
interactions revealed by time-phase bispectral analysis McClintock, Phys. Med.
Biol. 49, 4407.
[24] M. Richter, T. Schreiber, and D. T. Kaplan, (1998) Human Ecg: Nonlinear
Deterministic Versus Stochastic Aspects.IEEE Eng. Med. Biol. Mag. 45, 133.
[25] G.D. Pinna’, R. Maestri’, S. Caponiolla’, M. T. La Rovere’, D. Andrews’, P.
Johnson’, A. Mortara, (2003) “home telemonitomng of vital signs and
cardiorespiratory signals in chronic heart failure patients” IEEE Eng. Med. Biol.
Mag. 20, 55.
[26] B. Giraldo, Member, IEEE, C. Arizmendi,Member, IEEE, E. Romero, R.
Alquezar, P. Caminal,S. Benito, D, (2006). Ballesteros Patients on Weaning Trials
70
classified with Neural Networks and Features Selection procedings of the 28th
IEEE embs Annual International Conference ISBN 1-4244-0033-3/06_ IEEE.
[27] SRR Vieira, AD Costa and MM Rieder, (2003) Cardiorespiratory
measurements during weaning from mechanical ventilation in critical care patients:
comparison of pressure support ventilation and T-piece, 23rd International
Symposium on Intensive Care and Emergency Medicine Critical Care 2003,
7(Suppl 2):P176. doi:10.1186/cc2065.
[28] S Rzeczinski, NB Janson, AG Balanov, PVE ,(2002) Regions of
cardiorespiratory synchronization in humans under paced respiration- Physical
Review E, 2002 - APS.
[29]. Dirk cysark, Arndt Büssing (2005) Cardiorrespiratory symchronization during
zenial s meditation Eur J Appl Physiol, 95: 88-95
[30] M . Susan. Barman and Gerard L. Gebber (2000) "Rapid" Rhythmic
Discharges of Sympathetic Nerves: Sources, Mechanisms of Generation, and
Physiological Relevance”J Biol Rhythms; 15; 365 DOI:
10.1177/074873000129001468
[31] Larsen PD, Booth P, Gallety DC (1999). Cardioventilatory coupling in atrial
fibrilation. Br J Anaesth;82:685-90.
[32] Carlos J. Finlay (2003). “El método de remuestreo y su aplicación en la
investigación biomédica”. Trabajo para optar por el título de especialista en
bioestadística.
[33] Francisco Gomez. “Procesamiento Digital de Señales”. tomado de la web el
día 4 de diciembre del 2013.
http://arantxa.ii.uam.es/~taao1/teoria/tema5/tema5.pdf
71
[34] Interpolación, Universidad de los andes. Tomado de la web el día 4 de
diciembre del 2013 de la url:
http://wwwprof.uniandes.edu.co/~gprieto/classes/compufis/interpolacion.pdf
[35] Muestreo. Interpolación y diezmado, tomado de la web el dia 4 de diciembre
del 2013. http://www.gts.tsc.uvigo.es/ssd/practicas/practica5.pdf
[36] Martinez, J. P., Almeida, R., Olmos Gasso, S., Rocha, A. P., Laguna, P.,
(2004) “A Wavelet-Based ECG Delineator: Evaluation on Standard Databases”,
IEEE Transactions on biomedical engineering.
[37] C.K,Chui, (1997)“Wavelets: a Mathematical Tool for Signal Analysis”. Texas
A&M University College Station, Texas. SIAM. Philadelphia.
[38] Robi Polikar, tomado de la web el día 15 de diciembre del 2013 del a url:
“http://users.rowan.edu/~polikar/WAVELETS/WTpart1.html”.
[39] C.K,Chui, (1997)“Wavelets: a Mathematical Tool for Signal Analysis”. Texas
A&M University College Station, Texas. SIAM. Philadelphia.
[40] variable selection. Tomado de la web el día 15 de diciembre del
2013.http://www.biostat.jhsph.edu/~iruczins/teaching/jf/ch10.pdf
[41] Fiszelew, A. & García-Martínez, (2011). “GENERACIÓN AUTOMÁTICA DE
REDES NEURONALES CON AJUSTE DE PARÁMETROS BASADO EN
ALGORITMOS GENÉTICOS”.
[42] M. Paz Sesmero Lorente (2012)“Diseño, Análisis y Evaluación de Conjuntos
de Clasificadores basados en Redes de Neuronas”. Tesis doctoral.
[43] “algoritmos genéticos”. Tomado de la web en noviembre del 2013,
http://www.sc.ehu.es/ccwbayes/docencia/mmcc/docs
[44] Alfonso Pitarque, Juan Carlos Ruiz y Juan Francisco Roy (2003). “Las redes
neuronales como herramientas estadísticas no paramétricas de clasificación”.
72
[45] Cherkassky, V., Friedman, J.H. y Wechsler, H. (eds.) (1994). From statis -tics
to neural networks. Springer- Verlag. Berlin.
[46] Croall, I.F. y Mason, J.P. (1992). Industrial applications of neural net -works.
Springer-Verlag. N.Y.
[47] Raquel Flórez López (2008). “Las Redes Neuronales Artificiales fundamentos
teóricos y aplicaciones prácticas”. Netbiblo. Pag. 43
[48] Rodolfo Rivas-Ruiz, Jorge Moreno-Palacios, Juan O. Talaveraa,(2013)
“Investigación clínica XVI Diferencias de medianas con la U de Mann-Whitney”
[49] Raquel Flórez López (2008). “Las Redes Neuronales Artificiales fundamentos
teóricos y aplicaciones prácticas”. Netbiblo. Pag. 43
[50] matlab neuronal toolbox. COPYRIGHT 1992 - 2002 by The MathWorks, Inc.
[51] S.A. Salah, M.A. Duarte-Mermoud, N.H. Beltrán, M.A. Bustos, A.I. Peña-Neira,
E.A. Loyola, (2007) “Selección de Características usando Algoritmos Genéticos
para Clasificación”, departamento de ingeniería electrónica Universidad de Chile.
[52] Selección de características, tomado de las web el dia 20 de noviembre del
2013, http://isa.umh.es/asignaturas/iarp/transparencias/teoria_RP_EXTRAC%20-
%201.pdf
[53] Carlos García, Edwin García y Fernando Villada (2012). “Algoritmo Evolutivo
Eficiente Aplicado a la Planeación de la Expansión de Sistemas de Distribución”
[54] Andrés Arcentales, Beatriz F. Giraldo(2011). “Recurrence Quantification
Analysis of Heart Rate Variability and Respiratory Flow Series in Patients on
Weaning Trials”
[55] L. S. Correa, B. F. Giraldo(2010). “Multi-parameter Analysis of ECG and
Respiratory Flow Signals to Identify Success of Patients on Weaning Trials”.
[56] P. CAMINAL, B. F. GIRALDO,M. VALLVERDU´ , S. BENITO,5.(2010).
“Symbolic Dynamic Analysis of Relations Between Cardiac and Breathing Cycles
in Patients on Weaning Trials”.
73
[57] Dr. Orlando Díaz P. “Liberación del Paciente de Ventilación Mecánica”
tomado de la web el dia 22 de noviembre del 2013,
http://escuela.med.puc.cl/publ/MedicinaIntensiva/Liberacion.html
[58] Raquel Flórez López (2008). “Las Redes Neuronales Artificiales fundamentos
teóricos y aplicaciones prácticas”. Netbiblo. Pag. 43
[59] Task Force of The European Society of Cardiology and the North American
Society for Pacing and Electrophysiology, “Heart rate variability: standars of
measurement, physiological interpretation and clinical use”, Anals of Noninvasive
Electrocardiology, vol. 1, no. 2, pp. 151-181, 1996.
[60] Brown TE, Beightol LA, Koh J, and Eckberg DL,(1998) Important influence of
respiration on human R-R interval power spectra is largely ignored. J Physiol,
113: 167-179.
[61] Andrés Arcentales, Beatriz F. Giraldo(2011). “Recurrence Quantification
Analysis of Heart Rate Variability and Respiratory Flow Series in Patients on
Weaning Trials”
[62] Pere Caminal , Beatriz Giraldo, Haritz Zabaleta , Montserrat Vallverdu ,
Salvador Benito , D Ballesteros , L López-Rodriguez , A Esteban , M Baumert ,
Andreas Voss, (2005) Joint Symbolic Dynamic Analysis of Cardiorespiratory
Interactions in Patients on Weaning Trials. A: 27th Annual International Conference
of the IEEE Engineering in Medicine and Biology Society p. 1-4.
[63] J. Almasi and O. H. Schmitt, (1974). Basic technology of voluntary
cardiorespiratory synchronization in electrocardiology IEEE Trans. Biomed. Eng.
21, 264.
[64] Erich Steiner, “Matemáticas para las ciencias aplicadas”, Editorial Reverte,
2003 Cap 20. Pag. 512
[65] Oscar J. Olarte, Daniel A. Sierra, (2007), Determinación de los Parámetros
Asociados al Filtro Wavelet por Umbralización Aplicado a Filtrado de Interferencias
Electrocardiográficas.
74
75
10 Anexos
76
Anexo 1.
Ttot
Condición 1
Paciente No. Media Moda Curtosis Oblicuidad Desviación Varianza R. Intercuartil
1 0,0915 0,1312 0,8737 0,8160 0,0364 0,0018 0,0157
2 0,2109 0,4868 0,0885 0,3977 0,0461 0,0027 0,0350
3 0,2139 0,1594 0,0606 0,3753 0,0809 0,0076 0,0564
4 0,2891 0,4575 0,0290 0,3731 0,0751 0,0066 0,0682
5 0,2107 0,5365 0,2811 0,4611 0,0638 0,0049 0,0358
6 0,1448 0,3595 0,3449 0,5914 0,0226 0,0008 0,0132
7 0,3311 0,4475 0,1309 0,2205 0,0423 0,0023 0,0352
8 0,2122 0,2790 0,5308 0,7772 0,2397 0,0599 0,1000
9 0,0602 0,2142 0,5506 0,8068 0,1705 0,0310 0,0356
10 0,4156 0,9679 0,1091 0,2696 0,1041 0,0121 0,0778
11 0,0051 0,1757 0,0580 0,3707 0,0127 0,0003 0,0113
12 0,4017 0,7378 0,1977 0,5009 0,0451 0,0026 0,0374
13 0,0399 0,0672 0,3933 0,7429 0,2933 0,0888 0,0644
14 0,3447 0,3330 0,1374 0,3709 0,0807 0,0075 0,0458
15 0,2192 0,2136 0,0000 0,2601 0,0848 0,0083 0,0974
16 0,0513 0,2767 0,5297 0,8015 0,1283 0,0180 0,0141
17 0,2198 0,3249 0,1361 0,5888 0,1266 0,0175 0,0564
18 0,2672 0,2255 0,0165 0,4065 0,1707 0,0311 0,1626
19 0,4107 0,8136 0,2411 0,5275 0,0260 0,0010 0,0167
20 0,4698 1,0000 0,1335 0,4497 0,0464 0,0028 0,0243
21 0,1420 0,5221 0,3144 0,2970 0,0312 0,0014 0,0165
22 0,2082 0,5702 0,2662 0,4290 0,0320 0,0014 0,0119
23 0,1535 0,3162 0,8919 0,9464 0,0737 0,0064 0,0091
24 0,0616 0,1396 0,2246 0,5467 0,0459 0,0027 0,0321
25 0,0430 0,1685 0,7761 0,8936 0,0378 0,0019 0,0053
26 0,1945 0,1496 0,3847 0,4339 0,0433 0,0024 0,0157
27 0,1741 0,5141 0,2594 0,5475 0,0390 0,0020 0,0096
28 0,1613 0,1144 0,4719 0,6606 0,0745 0,0065 0,0387
29 0,3703 0,2624 0,0543 0,4070 0,1499 0,0242 0,1156
30 0,0238 0,4548 0,0533 0,4212 0,0496 0,0031 0,0380
31 0,0863 0,0306 0,1085 0,4870 0,0848 0,0083 0,0502
32 0,2533 0,4060 0,2479 0,5200 0,0472 0,0028 0,0230
Media total 0,1996 0,3715 0,2730 0,5222 0,0806 0,0114 0,0424
Desviación 0,1246 0,2395 0,2379 0,1867 0,0624 0,0183 0,0348
Tabla 28. Resultados estadísticos Ttot condición 1.
77
Ttot
Condición 2
Paciente No. Media Moda Curtosis Oblicuidad Desviación Varianza R. Intercuartil
1 0,1342 0,0916 0,1396 0,3003 0,0355 0,0017 0,0249
2 0,0390 0,2302 1,0000 1,0000 0,0754 0,0066 0,0066
3 0,1236 0,4115 0,1082 0,4697 0,0407 0,0022 0,0255
4 0,1498 0,4515 0,7738 0,9094 0,0468 0,0028 0,0053
5 0,1644 0,3583 0,1658 0,5464 0,0455 0,0027 0,0281
6 0,2689 0,0596 0,1637 0,5601 0,4051 0,1674 0,3025
7 0,1300 0,3391 0,0399 0,3788 0,0170 0,0005 0,0175
8 0,0541 0,2719 0,3117 0,6135 0,0347 0,0017 0,0129
9 0,0393 0,0843 0,1314 0,5317 0,0544 0,0037 0,0320
10 0,0288 0,0000 0,0856 0,5095 0,0556 0,0038 0,0358
11 0,1290 0,4099 0,7856 0,7692 0,0128 0,0003 0,0054
12 0,2844 0,2087 0,3627 0,0779 0,0441 0,0025 0,0314
13 0,2660 0,5307 0,0516 0,3664 0,0241 0,0009 0,0186
14 0,0544 0,2735 0,0473 0,2738 0,0056 0,0001 0,0058
15 0,0335 0,2062 0,9168 0,9491 0,0177 0,0006 0,0035
16 0,0493 0,2575 0,1800 0,2739 0,0006 0,0000 0,0013
17 0,1540 0,4868 0,0750 0,4369 0,0206 0,0007 0,0169
18 0,1934 0,5462 0,3796 0,6653 0,1165 0,0150 0,0532
19 0,1366 0,3573 0,0160 0,3753 0,0130 0,0003 0,0137
20 0,0000 0,1485 0,5255 0,7963 0,0879 0,0088 0,0112
21 0,0100 0,1581 0,1658 0,2302 0,0000 0,0000 0,0000
22 0,1755 0,4756 0,1225 0,4904 0,0479 0,0029 0,0379
23 0,1455 0,1947 0,8446 0,0000 0,0136 0,0004 0,0027
24 0,0952 0,0366 0,1289 0,2615 0,0400 0,0021 0,0261
25 0,2440 0,0974 0,1886 0,6197 0,4147 0,1753 0,1726
26 1,0000 0,3746 0,0083 0,4104 1,0000 1,0000 1,0000
27 0,1060 0,3076 0,4104 0,5971 0,0153 0,0004 0,0081
28 0,0467 0,2495 0,7719 0,9320 0,3364 0,1162 0,0196
29 0,0525 0,2511 0,3270 0,6039 0,0457 0,0027 0,0253
30 0,3782 0,7947 0,0079 0,3766 0,0404 0,0022 0,0449
31 0,0587 0,1491 0,3192 0,6472 0,0670 0,0053 0,0408
32 0,0823 0,1930 0,0917 0,4882 0,0395 0,0021 0,0286
33 0,1662 0,4804 0,1528 0,4714 0,0410 0,0022 0,0284
Media total 0,1513 0,2874 0,2970 0,5131 0,0986 0,0465 0,0632
Desviación 0,1737 0,1723 0,2894 0,2362 0,1898 0,1742 0,1747
Tabla 29. Resultados estadísticos Ttot condición 2.
78
f/VT
Condición 1
Paciente No. Media Moda Curtosis Oblicuidad Desviación Varianza R. Intercuartil
1 0,0725 0,1239 0,0144 0,1751 0,0273 0,0008 0,0268
2 0,0423 0,0770 0,0356 0,2915 0,0215 0,0005 0,0231
3 0,0827 0,0880 0,0292 0,2412 0,0538 0,0030 0,0447
4 0,0079 0,0300 0,0134 0,2682 0,0056 0,0000 0,0069
5 0,0517 0,1220 0,0261 0,2849 0,0143 0,0002 0,0091
6 0,0661 0,1505 0,0693 0,3017 0,0139 0,0002 0,0115
7 0,0368 0,0660 0,0102 0,1886 0,0171 0,0003 0,0195
8 0,0419 0,0239 0,0476 0,3343 0,0537 0,0030 0,0491
9 0,0301 0,0657 0,3015 0,5875 0,0245 0,0007 0,0116
10 0,0130 0,0160 0,0090 0,2060 0,0146 0,0003 0,0160
11 0,0736 0,1599 0,0147 0,2316 0,0233 0,0006 0,0259
12 0,0160 0,0505 0,2244 0,5749 0,0162 0,0003 0,0086
13 0,0477 0,0126 0,0976 0,4085 0,0703 0,0051 0,0520
14 0,0148 0,0329 0,0254 0,2658 0,0107 0,0001 0,0097
15 0,0162 0,0225 0,0127 0,2098 0,0132 0,0002 0,0157
16 0,0302 0,0151 0,0634 0,3618 0,0308 0,0010 0,0199
17 0,0137 0,0242 0,0141 0,2134 0,0118 0,0002 0,0140
18 0,0012 0,0000 0,0399 0,3477 0,0244 0,0007 0,0225
19 0,0504 0,1380 0,0123 0,2180 0,0091 0,0001 0,0110
20 0,1003 0,1950 0,0600 0,0743 0,0152 0,0003 0,0140
21 0,4207 0,4487 0,2335 0,4984 0,2964 0,0884 0,1804
22 0,0667 0,1424 0,0758 0,0000 0,0088 0,0001 0,0062
23 0,2424 0,1098 0,0208 0,1286 0,1190 0,0145 0,1134
24 0,1609 0,3172 0,1294 0,4601 0,0890 0,0082 0,0539
25 0,0145 0,0075 0,0913 0,1357 0,0091 0,0001 0,0046
26 0,0333 0,0796 0,4323 0,7701 0,0496 0,0026 0,0122
27 0,0203 0,0366 0,0342 0,3282 0,0275 0,0008 0,0194
28 0,0464 0,0431 0,1616 0,4916 0,0565 0,0033 0,0321
29 0,0161 0,0174 0,0328 0,3071 0,0252 0,0007 0,0244
30 0,0291 0,0283 0,1463 0,5155 0,0794 0,0065 0,0225
31 0,0439 0,0031 0,0514 0,3596 0,0883 0,0080 0,0702
32 0,0629 0,1338 0,0209 0,2457 0,0276 0,0008 0,0382
33 0,0308 0,0624 0,0062 0,2224 0,0168 0,0003 0,0224
Media total 0,0605 0,0862 0,0775 0,3105 0,0413 0,0046 0,0307
Desviación 0,0787 0,0932 0,0952 0,1579 0,0529 0,0151 0,0343
Tabla 30. Resultados estadísticos f/VT condición 1.
79
f/VT
Condición 2
Paciente No. Media Moda Curtosis Oblicuidad Desviación Varianza R. Intercuartil
1 0,0078 0,0177 0,0569 0,3787 0,0245 0,0007 0,0185
2 0,0860 0,0681 0,0199 0,2375 0,0483 0,0025 0,0455
3 0,0276 0,0581 0,0969 0,3571 0,0207 0,0005 0,0226
4 0,0218 0,0682 0,0247 0,2644 0,0056 0,0000 0,0061
5 0,0027 0,0190 0,0175 0,2670 0,0049 0,0000 0,0062
6 0,0412 0,0060 0,0635 0,3852 0,1438 0,0210 0,1070
7 0,0069 0,0249 0,0053 0,1931 0,0051 0,0000 0,0069
8 0,0153 0,0293 0,4185 0,7624 0,0489 0,0025 0,0050
9 0,0709 0,1159 0,0256 0,2520 0,0348 0,0013 0,0344
10 0,0157 0,0332 1,0000 0,9976 0,0308 0,0010 0,0163
11 0,0202 0,0641 0,0140 0,2258 0,0041 0,0000 0,0050
12 0,0093 0,0245 0,4166 0,7027 0,0119 0,0002 0,0031
13 0,0146 0,0530 0,0984 0,4331 0,0044 0,0000 0,0024
14 0,1202 0,2514 0,0281 0,3078 0,0635 0,0042 0,0455
15 0,1865 0,3074 0,1164 0,4810 0,2701 0,0735 0,1097
16 0,0908 0,2650 0,8754 1,0000 0,0281 0,0009 0,0050
17 0,0110 0,0390 0,2370 0,5511 0,0112 0,0002 0,0081
18 0,5753 0,8028 0,0588 0,3709 0,3548 0,1266 0,2055
19 0,2230 0,5394 0,0251 0,3032 0,0522 0,0029 0,0399
20 0,1863 0,3274 0,2037 0,4878 0,0794 0,0065 0,0523
21 0,1468 0,3932 0,0132 0,2248 0,0158 0,0003 0,0177
22 1,0000 1,0000 0,0130 0,2844 1,0000 1,0000 1,0000
23 0,1395 0,2619 0,0154 0,2499 0,0458 0,0022 0,0508
24 0,2712 0,3225 0,1144 0,4019 0,1901 0,0366 0,1469
25 0,1984 0,1482 0,0483 0,3248 0,2318 0,0543 0,1878
26 0,0827 0,0416 0,0000 0,2204 0,1381 0,0194 0,2162
27 0,0760 0,0954 0,0440 0,2179 0,0226 0,0006 0,0168
28 0,0901 0,0202 0,0630 0,3858 0,1890 0,0362 0,1175
29 0,0234 0,0113 0,0118 0,2325 0,0326 0,0012 0,0396
30 0,0000 0,0191 0,0303 0,2518 0,0000 0,0000 0,0000
31 0,0167 0,0166 0,1086 0,3857 0,0219 0,0005 0,0160
32 0,0617 0,1249 0,0313 0,2716 0,0235 0,0006 0,0215
33 0,0373 0,0630 0,0514 0,0800 0,0103 0,0001 0,0058
Media total 0,1175 0,1707 0,1317 0,3785 0,0960 0,0423 0,0782
Desviación 0,1919 0,2289 0,2287 0,2095 0,1815 0,1713 0,1739
Tabla 31. Resultados estadísticos f/VT condición 1.
80
RR
Condición 1
Paciente No. Media Moda Curtosis Oblicuidad Desviación Varianza R. Intercuartil
1 0,4526 0,9895 0,1456 1,0000 0,0086 0,0000766 0,0052
2 0,6352 0,9907 0,0758 0,7496 0,0022 0,0000056 0,0012
3 0,9140 0,9994 0,1578 0,5627 0,0015 0,0000029 0,0016
4 0,1865 0,9747 0,0503 0,7325 0,0595 0,0035567 0,0035
5 0,6169 0,9861 0,0354 0,8159 0,0061 0,0000394 0,0061
6 0,6814 0,9623 0,0141 0,7220 0,0076 0,0000596 0,0072
7 0,8517 0,9967 0,0054 0,7296 0,0009 0,0000012 0,0010
8 0,5501 0,9864 0,0068 0,7809 0,0024 0,0000064 0,0025
9 0,4570 0,9834 0,0025 0,7678 0,0005 0,0000005 0,0006
10 0,6869 0,9901 0,0457 0,7070 0,0040 0,0000172 0,0018
11 0,5661 0,9868 0,0324 0,8450 0,0010 0,0000013 0,0009
12 0,4082 0,9823 0,1335 0,6484 0,0004 0,0000003 0,0001
13 0,3238 0,9788 0,1732 0,8003 0,0010 0,0000013 0,0007
14 0,5382 0,9860 0,1598 0,5221 0,0026 0,0000078 0,0008
15 0,6570 0,9909 0,0496 0,7103 0,0012 0,0000019 0,0011
16 0,4515 0,9836 0,0491 0,7529 0,0065 0,0000443 0,0022
17 0,4615 0,9810 0,0521 0,8987 0,0073 0,0000549 0,0042
18 0,4346 0,9831 0,0073 0,7163 0,0002 0,0000001 0,0001
19 0,6536 0,9901 0,0026 0,7743 0,0004 0,0000003 0,0005
20 0,4887 0,9849 0,7025 0,7669 0,0007 0,0000007 0,0002
21 0,3883 0,9678 0,0116 0,7855 0,0050 0,0000263 0,0050
22 0,3180 0,9792 0,5988 0,2892 0,0006 0,0000005 0,0002
23 0,6444 0,9905 0,0083 0,6840 0,0004 0,0000003 0,0004
24 0,8284 0,9959 0,0129 0,7715 0,0092 0,0000871 0,0079
25 0,3865 0,9808 0,0055 0,8350 1,0000 1,0000000 1,0000
26 0,5540 0,9849 0,0005 0,7538 0,0016 0,0000032 0,0019
27 0,6095 0,9892 0,0234 0,7198 0,0056 0,0000331 0,0030
28 0,6649 0,9913 0,0692 0,6419 0,0023 0,0000058 0,0016
29 0,8293 0,9963 0,0712 0,8753 0,0015 0,0000029 0,0010
30 0,3327 0,9797 0,0379 0,8514 0,0078 0,0000629 0,0017
31 0,5436 0,9866 0,2842 0,7509 0,0014 0,0000024 0,0003
32 0,3858 0,9818 0,0092 0,7210 0,0004 0,0000003 0,0005
33 0,5104 0,9855 0,0738 0,6343 0,0017 0,0000034 0,0004
Media total 0,5458 0,9853 0,0942 0,7369 0,0349 0,0304 0,0323
Desviación 0,1663 0,0076 0,1555 0,1205 0,1709 0,1714 0,1711
Tabla 32. Resultados estadísticos RR condición 1.
81
RR
Condición 2
Paciente No. Media Moda Curtosis Oblicuidad Desviación Varianza R. Intercuartil
1 0,4667 0,9846 0,2592 0,8184 0,0020 0,0000047 0,0003
2 0,3725 0,9808 0,1708 0,6095 0,0009 0,0000011 0,0001
3 0,5065 0,9859 0,0152 0,7881 0,0004 0,0000003 0,0004
4 0,0938 0,0000 0,0708 0,6073 0,1481 0,0219623 0,0888
5 0,2864 0,9782 0,1386 0,6764 0,0006 0,0000005 0,0001
6 0,5107 0,9853 0,0117 0,6959 0,0007 0,0000008 0,0007
7 0,6337 0,9892 0,0123 0,7584 0,0051 0,0000275 0,0045
8 0,2415 0,9764 0,0328 0,6768 0,0012 0,0000019 0,0006
9 0,3042 0,9788 0,0354 0,7286 0,0002 0,0000001 0,0002
10 0,3855 0,9829 0,0107 0,7736 0,0036 0,0000143 0,0033
11 0,3879 0,9745 0,0063 0,7865 0,0042 0,0000189 0,0046
12 0,0000 0,9732 0,0132 0,7396 0,1364 0,0186506 0,0781
13 0,3966 0,9820 0,0345 0,6420 0,0076 0,0000598 0,0037
14 0,7918 0,9946 1,0000 0,0000 0,0022 0,0000054 0,0008
15 0,8628 0,9953 0,0050 0,7154 0,0010 0,0000014 0,0010
16 0,5271 0,9860 0,1217 0,5967 0,0004 0,0000003 0,0001
17 0,5368 0,9859 0,0166 0,8312 0,0007 0,0000007 0,0007
18 0,3900 0,9818 0,1228 0,7525 0,0007 0,0000007 0,0003
19 0,3674 0,9812 0,0710 0,6117 0,0027 0,0000081 0,0004
20 0,7577 0,9937 0,0221 0,7765 0,0004 0,0000003 0,0004
21 0,4468 0,9836 0,0053 0,7447 0,0011 0,0000015 0,0011
22 0,4617 0,9738 0,0780 0,6293 0,0080 0,0000661 0,0053
23 0,3897 0,9816 0,0059 0,7821 0,0000 0,0000000 0,0000
24 0,5437 0,9870 0,0000 0,7524 0,0009 0,0000011 0,0009
25 0,6185 0,9887 0,0153 0,6939 0,0007 0,0000008 0,0008
26 1,0000 1,0000 0,2021 0,9684 0,0134 0,0001827 0,0057
27 0,7677 0,9935 0,0055 0,7242 0,0013 0,0000021 0,0012
28 0,6974 0,9924 0,0887 0,6928 0,0022 0,0000057 0,0005
29 0,7248 0,9955 0,1177 0,5589 0,0033 0,0000117 0,0031
30 0,2352 0,9751 0,0381 0,8741 0,0054 0,0000304 0,0043
31 0,4085 0,9820 0,0170 0,8288 0,0012 0,0000019 0,0009
32 0,5064 0,9855 0,0057 0,7542 0,0003 0,0000002 0,0003
33 0,3048 0,9775 0,0144 0,8207 0,0043 0,0000195 0,0041
Media total 0,4826 0,9547 0,0838 0,7094 0,0109 0,0012 0,0066
Desviación 0,2134 0,1689 0,1741 0,1524 0,0335 0,0049 0,0196
Tabla 33. Resultados estadísticos RR condición 2.
82
Ttot-ca3
Condición 1
Paciente No. Media Moda Curtosis Oblicuidad Desviación Varianza R. Intercuartil
1 0,2130 4,0590 0,0131 0,1983 0,0158 0,8426 0,0002
2 0,2424 3,3252 0,0223 0,2685 0,0296 0,5094 0,0005
3 0,2649 4,1795 0,0322 0,2391 0,0391 0,0583 0,0010
4 0,2770 2,5899 0,0454 0,2986 0,0627 0,4710 0,0021
5 0,2473 4,2936 0,0281 0,2203 0,0323 -0,3403 0,0008
6 0,2282 14,3983 0,0167 0,2256 0,0113 2,5345 0,0003
7 0,3165 2,4960 0,0260 0,2980 0,0386 -0,1666 0,0007
8 0,2706 1,9338 0,0417 0,1763 0,0748 -0,2114 0,0017
9 0,2085 7,3653 0,0827 0,5134 0,0613 1,7635 0,0068
10 0,3321 2,0573 0,0467 0,2840 0,0777 -0,0753 0,0022
11 0,1729 5,6051 0,0125 0,1645 0,0158 1,0462 0,0002
12 0,3342 3,0670 0,0228 0,2903 0,0255 -0,3083 0,0005
13 0,1960 6,1478 0,0833 0,1391 0,1028 1,2605 0,0069
14 0,2609 2,4786 0,0415 0,2280 0,0631 0,3664 0,0017
15 0,2753 4,0438 0,0320 0,1906 0,0257 -1,4165 0,0010
16 0,1999 7,8502 0,0297 0,1727 0,0217 1,6657 0,0009
17 0,2393 2,9453 0,0342 0,2013 0,0423 0,6404 0,0012
18 0,2546 2,1586 0,0442 0,1911 0,0708 -0,1988 0,0020
19 0,3314 2,6918 0,0181 0,3545 0,0242 -0,4859 0,0003
20 0,3661 3,2992 0,0209 0,3539 0,0260 0,5684 0,0004
21 0,2279 3,5097 0,0131 0,2267 0,0150 -0,4031 0,0002
22 0,2410 6,4385 0,0301 0,2138 0,0336 0,5607 0,0009
23 0,2353 5,7273 0,0173 0,1924 0,0138 0,4041 0,0003
24 0,2036 3,4916 0,0203 0,1664 0,0262 -0,0782 0,0004
25 0,2032 2,0122 0,0125 0,2014 0,0213 -0,0859 0,0002
26 0,2479 9,9485 0,0373 0,1383 0,0236 0,2356 0,0014
27 0,2388 6,0135 0,0159 0,2948 0,0176 1,5035 0,0003
28 0,2402 9,8762 0,1063 0,4076 0,0668 1,8930 0,0113
29 0,3119 5,1733 0,0930 0,0760 0,0888 0,7151 0,0086
30 0,1831 12,7411 0,0846 0,1661 0,0264 2,5289 0,0072
31 0,2132 5,0738 0,0400 0,3379 0,0423 0,8598 0,0016
32 0,2513 2,6316 0,0148 0,2303 0,0211 0,5261 0,0002
33 0,2133 13,2916 0,0550 0,2046 0,0349 2,5651 0,0030
Media total 0,2498 5,2398 0,0374 0,2383 0,0392 0,5984 0,0020
Desviación 0,0467 3,3394 0,0251 0,0854 0,0238 0,9352 0,0028
Tabla 34. Resultados estadísticos Ttor-ca3 condición 1.
83
Ttot
Condición 2
Paciente No. Mdia Moda Curtosis Oblicuidad Desviación Varianza R. Intercuartil
1 0,2296 2,0731 0,0210 0,2064 0,0311 0,4185 0,0004
2 0,1933 3,4396 0,0454 0,1822 0,0369 1,2774 0,0021
3 0,2195 4,2111 0,0229 0,2501 0,0270 0,8591 0,0005
4 0,2336 2,7045 0,0130 0,2321 0,0162 0,1144 0,0002
5 0,2333 7,5795 0,0728 0,2068 0,0521 1,4651 0,0053
6 0,2125 7,2971 0,0717 0,1637 0,0554 2,0847 0,0051
7 0,2350 2,0513 0,0129 0,2154 0,0213 -0,2180 0,0002
8 0,1946 2,8565 0,0140 0,1847 0,0160 0,1472 0,0002
9 0,1921 7,9379 0,0328 0,2106 0,0341 -0,7934 0,0011
10 0,1797 4,7028 0,0240 0,1986 0,0232 1,3473 0,0006
11 0,2265 1,9826 0,0069 0,2196 0,0115 -0,0942 0,0000
12 0,2942 16,7083 0,0324 0,2949 0,0254 -2,9762 0,0010
13 0,2715 4,3030 0,0265 0,2838 0,0345 -0,9149 0,0007
14 0,1944 3,4361 0,0064 0,1786 0,0078 0,0995 0,0000
15 0,1918 28,3005 0,0407 0,1788 0,0114 4,3945 0,0017
16 0,1937 16,9486 0,0101 0,1935 0,0039 1,1919 0,0001
17 0,2447 2,2525 0,0227 0,2158 0,0330 0,2703 0,0005
18 0,2370 20,2484 0,0467 0,2366 0,0204 3,4561 0,0022
19 0,2093 3,4685 0,0278 0,1917 0,0416 0,4735 0,0008
20 0,1778 6,8320 0,0199 0,1859 0,0192 1,6693 0,0004
21 0,1809 2,1503 0,0028 0,1789 0,0039 -0,1851 0,0000
22 0,2464 2,2528 0,0208 0,2164 0,0321 -0,2186 0,0004
23 0,2244 4,4747 0,0095 0,2178 0,0122 0,0773 0,0001
24 0,2190 3,6631 0,0182 0,2060 0,0238 -0,8524 0,0003
25 0,2407 8,7535 0,0882 0,2413 0,0678 2,0931 0,0078
26 0,2387 14,2755 0,1734 0,2134 0,0461 3,4890 0,0301
27 0,2180 25,3881 0,0392 0,1302 0,0097 3,9994 0,0015
28 0,1952 19,4878 0,0342 0,1503 0,0149 3,2414 0,0012
29 0,1934 4,8404 0,0233 0,1883 0,0214 0,2843 0,0005
30 0,2824 2,1466 0,0284 0,2443 0,0403 0,5459 0,0008
31 0,1940 3,6325 0,0489 0,1842 0,0645 1,2822 0,0024
32 0,2034 2,5346 0,0148 0,2327 0,0207 0,1849 0,0002
33 0,2365 7,8037 0,0234 0,1504 0,0194 -1,8096 0,0005
Media total 0,2193 7,5981 0,0332 0,2056 0,0272 0,8001 0,0021
Desviación 0,0286 7,1267 0,0314 0,0349 0,0162 1,6060 0,0052
Tabla 35. Resultados estadísticos Ttot-ca3 condición 2.
84
f/VT-CD3
Condición 1
Paciente No. Media Moda Curtosis Oblicuidad Desviación Varianza R. Intercuartil
1 0,4196 2,9934 0,0054 0,4084 0,0069 0,1208 0,0000
2 0,4204 2,8927 0,0079 0,4191 0,0112 -0,1194 0,0001
3 0,4192 4,7324 0,0131 0,4191 0,0125 0,1892 0,0002
4 0,4191 5,4275 0,0009 0,4191 0,0010 0,6806 0,0000
5 0,4191 8,9848 0,0049 0,4191 0,0047 -1,6951 0,0000
6 0,4196 10,8320 0,0052 0,4191 0,0043 0,8345 0,0000
7 0,4195 3,9734 0,0032 0,4090 0,0038 -0,3537 0,0000
8 0,4180 3,7002 0,0235 0,3453 0,0259 -0,2387 0,0006
9 0,4184 7,8341 0,0149 0,4191 0,0078 0,8230 0,0002
10 0,4191 5,0230 0,0031 0,4191 0,0033 -1,0498 0,0000
11 0,4196 3,9791 0,0074 0,4191 0,0086 -0,4759 0,0001
12 0,4185 22,2994 0,0157 0,4191 0,0051 -3,9256 0,0002
13 0,4170 8,1456 0,0162 0,4191 0,0104 -1,4790 0,0003
14 0,4191 5,0257 0,0039 0,4191 0,0046 -0,1024 0,0000
15 0,4191 7,7328 0,0008 0,4191 0,0008 1,2378 0,0000
16 0,4189 20,7381 0,0046 0,4191 0,0025 3,4058 0,0000
17 0,4191 5,7031 0,0026 0,4191 0,0022 0,3348 0,0000
18 0,4190 4,7824 0,0075 0,4191 0,0107 0,7617 0,0001
19 0,4191 5,7608 0,0055 0,4191 0,0040 0,5042 0,0000
20 0,4212 5,6043 0,0073 0,4191 0,0063 0,4119 0,0001
21 0,4254 12,6033 0,1135 0,4191 0,0311 2,6697 0,0129
22 0,4191 6,3116 0,0025 0,4191 0,0020 -0,2424 0,0000
23 0,4195 5,3728 0,0189 0,4191 0,0220 -0,5836 0,0004
24 0,4191 3,8337 0,0282 0,4191 0,0266 -0,3576 0,0008
25 0,4188 7,5603 0,0038 0,4191 0,0030 -0,8946 0,0000
26 0,4191 28,5762 0,0187 0,4191 0,0051 0,1466 0,0003
27 0,4191 8,6590 0,0107 0,4191 0,0023 0,4385 0,0001
28 0,4198 5,2954 0,0143 0,3903 0,0123 0,8842 0,0002
29 0,4176 4,6107 0,0073 0,3936 0,0064 -0,1203 0,0001
30 0,4189 6,9217 0,0194 0,4191 0,0107 -0,3615 0,0004
31 0,4172 4,9837 0,0184 0,3579 0,0145 -0,5179 0,0003
32 0,4191 12,8056 0,0048 0,4191 0,0034 -2,8215 0,0000
33 0,4191 7,6979 0,0065 0,4191 0,0046 0,6103 0,0000
Media total 0,4192 7,9211 0,0127 0,4128 0,0085 -0,0390 0,0005
Desviación 0,0013 5,6772 0,0191 0,0170 0,0076 1,3060 0,0022
Tabla 36. Resultados estadísticos f/VT-CD3 condición 1.
85
f/VT-CD3
Condición 2
Paciente No. Media Moda Curtosis Oblicuidad Desviación Varianza R. Intercuartil
1 0,4195 5,6656 0,0039 0,4191 0,0035 1,0199 0,0000
2 0,4191 5,8887 0,0088 0,4191 0,0064 -0,6002 0,0001
3 0,4203 8,7717 0,0055 0,4191 0,0053 1,1657 0,0000
4 0,4191 5,0888 0,0012 0,4191 0,0013 -0,6964 0,0000
5 0,4187 8,7539 0,0040 0,4191 0,0028 -0,6647 0,0000
6 0,4181 6,8257 0,0217 0,4191 0,0153 -0,4810 0,0005
7 0,4189 4,4972 0,0010 0,4191 0,0010 0,2492 0,0000
8 0,4190 12,2570 0,0116 0,4191 0,0025 -0,5718 0,0001
9 0,4177 8,4888 0,0181 0,3770 0,0146 1,4058 0,0003
10 0,4187 25,4338 0,0076 0,4191 0,0066 3,9354 0,0001
11 0,4191 7,1189 0,0015 0,4191 0,0012 -1,4665 0,0000
12 0,4193 11,7597 0,0030 0,4191 0,0011 -1,2300 0,0000
13 0,4194 12,0537 0,0049 0,4191 0,0028 1,5625 0,0000
14 0,4183 17,6520 0,0129 0,4191 0,0080 -1,1428 0,0002
15 0,4191 22,5196 0,0284 0,4191 0,0063 -2,2727 0,0008
16 0,4190 24,1464 0,0110 0,4191 0,0014 -0,4855 0,0001
17 0,4191 10,4541 0,0030 0,4191 0,0019 2,4421 0,0000
18 0,4272 9,1824 0,0440 0,4191 0,0312 1,4729 0,0019
19 0,4187 17,8576 0,0212 0,4191 0,0075 -0,5453 0,0005
20 0,4188 18,7915 0,0188 0,4191 0,0093 -1,7525 0,0004
21 0,4181 6,2297 0,0036 0,4191 0,0042 -0,7835 0,0000
22 0,4197 12,0692 0,0812 0,4191 0,0642 -2,3950 0,0066
23 0,4191 5,4810 0,0081 0,4191 0,0083 0,8610 0,0001
24 0,4186 5,5679 0,0673 0,2005 0,0524 -0,1134 0,0045
25 0,4143 4,6966 0,0586 0,2323 0,0629 -0,5499 0,0034
26 0,4162 6,5089 0,0118 0,3715 0,0117 0,0494 0,0001
27 0,4188 11,7495 0,0085 0,4191 0,0062 0,8390 0,0001
28 0,4177 18,0645 0,0236 0,4191 0,0097 -2,5870 0,0006
29 0,4187 4,2909 0,0070 0,4191 0,0073 -0,0524 0,0000
30 0,4191 3,8836 0,0005 0,4191 0,0006 -0,3758 0,0000
31 0,4196 5,4572 0,0042 0,4191 0,0042 0,9390 0,0000
32 0,4201 4,4070 0,0052 0,4191 0,0062 -0,4662 0,0000
33 0,4186 9,0870 0,0116 0,4191 0,0047 -0,9088 0,0001
Media total 0,4190 10,3242 0,0159 0,4041 0,0113 -0,1273 0,0006
Desviación 0,0018 6,0453 0,0193 0,0490 0,0165 1,3754 0,0014
Tabla 37. Resultados estadísticos f/VT-CD3 condición 2.
86
RR-ca3
Condición 1
Paciente No. Media Moda Curtosis Oblicuidad Desviación Varianza R. Intercuartil
1 0,2006 3,6836 0,0779 0,0555 0,0686 0,7114 0,0061
2 0,2763 6,7857 0,0196 0,2769 0,0159 0,4512 0,0004
3 0,3919 2,7326 0,0254 0,3696 0,0317 0,4464 0,0006
4 0,1163 5,7939 0,0134 0,1176 0,0127 -0,9229 0,0002
5 0,2619 2,8481 0,0534 0,1687 0,0588 0,0715 0,0029
6 0,2898 2,1249 0,0836 0,2279 0,1361 -0,3090 0,0070
7 0,3567 3,3367 0,0102 0,3664 0,0137 -0,1555 0,0001
8 0,2392 2,7426 0,0346 0,1610 0,0515 -0,0110 0,0012
9 0,2149 2,2763 0,0091 0,2009 0,0114 0,2651 0,0001
10 0,2964 4,8513 0,0502 0,3814 0,0446 -0,6227 0,0025
11 0,2568 5,4332 0,0132 0,2371 0,0138 0,9711 0,0002
12 0,1942 3,1747 0,0031 0,1876 0,0038 0,4590 0,0000
13 0,1655 4,2985 0,0068 0,1684 0,0085 0,7675 0,0000
14 0,2431 15,6658 0,0314 0,2484 0,0122 -2,4367 0,0010
15 0,2880 3,5510 0,0144 0,2474 0,0188 -0,3613 0,0002
16 0,2041 3,4318 0,0474 0,2041 0,0577 0,1264 0,0023
17 0,1961 4,2308 0,0649 0,0845 0,0660 1,0050 0,0042
18 0,2043 2,5593 0,0040 0,1963 0,0054 -0,0145 0,0000
19 0,2843 2,3272 0,0058 0,2883 0,0083 -0,1317 0,0000
20 0,2244 2,1192 0,0043 0,2296 0,0069 -0,1910 0,0000
21 0,1973 6,7731 0,0585 0,2697 0,0509 1,6277 0,0034
22 0,1629 15,4491 0,0059 0,1342 0,0035 -1,5870 0,0000
23 0,2816 3,7346 0,0054 0,2816 0,0047 -1,1414 0,0000
24 0,3478 16,6429 0,0440 0,3838 0,0412 2,9819 0,0019
25 0,1860 22,4233 0,0590 0,1867 0,0367 3,9673 0,0035
26 0,2473 2,4872 0,0227 0,2490 0,0368 -0,1046 0,0005
27 0,2719 4,1652 0,0350 0,3332 0,0314 -0,6242 0,0012
28 0,2808 27,1597 0,1026 0,0456 0,0374 4,1909 0,0105
29 0,3492 25,4414 0,1152 0,0638 0,0312 3,8460 0,0133
30 0,1655 4,7292 0,0573 0,1684 0,0343 1,0088 0,0033
31 0,2392 13,1125 0,0133 0,2048 0,0134 2,0457 0,0002
32 0,1861 2,8266 0,0064 0,1815 0,0095 -0,4077 0,0000
33 0,2338 2,7693 0,0142 0,2028 0,0165 -0,1966 0,0002
Media total 0,2441 7,0206 0,0337 0,2158 0,0301 0,4765 0,0020
Desviación 0,0616 6,9479 0,0300 0,0889 0,0269 1,4874 0,0031
Tabla 38. Resultados estadísticos RR-ca3 condición 1.
87
RR-ca3
Condición 2
Paciente No. Media Moda Curtosis Oblicuidad Desviación Varianza R. Intercuartil
1 0,2166 4,7516 0,0082 0,2289 0,0090 -0,6706 0,0001
2 0,1822 6,2190 0,0045 0,1844 0,0043 -0,6063 0,0000
3 0,2323 2,4552 0,0072 0,2154 0,0099 -0,2360 0,0001
4 0,1201 2,9780 0,0440 0,1066 0,0591 0,4031 0,0019
5 0,1512 4,5629 0,0047 0,1549 0,0052 -0,7690 0,0000
6 0,2300 2,9860 0,0096 0,2057 0,0138 -0,2764 0,0001
7 0,2803 2,5940 0,0543 0,3381 0,0691 -0,0259 0,0029
8 0,1340 1,8436 0,0024 0,1324 0,0042 0,3702 0,0000
9 0,1568 7,2553 0,0034 0,1563 0,0041 -0,5508 0,0000
10 0,1895 2,7311 0,0424 0,1670 0,0570 0,1368 0,0018
11 0,1873 2,0187 0,0355 0,1367 0,0584 0,2548 0,0013
12 0,1009 3,9347 0,0097 0,1211 0,0112 -0,0792 0,0001
13 0,1641 2,9954 0,0554 0,1053 0,0779 -0,6742 0,0031
14 0,3268 11,4718 0,0201 0,2385 0,0152 -1,3862 0,0004
15 0,3677 3,3088 0,0137 0,3306 0,0142 -0,5252 0,0002
16 0,2382 4,1248 0,0056 0,2199 0,0053 -1,2322 0,0000
17 0,2424 2,4246 0,0091 0,2414 0,0131 0,5421 0,0001
18 0,1875 2,1037 0,0072 0,1780 0,0111 0,1346 0,0001
19 0,1809 13,6692 0,0310 0,0270 0,0158 -2,7609 0,0010
20 0,3188 2,7194 0,0073 0,3042 0,0087 -0,1207 0,0001
21 0,2148 3,1707 0,0150 0,1718 0,0191 -0,5328 0,0002
22 0,2001 3,0367 0,0564 0,1722 0,0744 -0,3212 0,0032
23 0,1878 3,5028 0,0016 0,1844 0,0018 0,5746 0,0000
24 0,2354 2,0125 0,0139 0,2192 0,0220 0,4991 0,0002
25 0,2756 2,8622 0,0110 0,2849 0,0168 -0,7996 0,0001
26 0,4225 5,9449 0,1097 0,4489 0,0735 -1,6538 0,0120
27 0,3161 2,0009 0,0178 0,2951 0,0289 -0,0118 0,0003
28 0,3000 14,0498 0,0395 0,3503 0,0198 -3,1380 0,0016
29 0,3023 11,6626 0,0600 0,0214 0,0486 -2,4309 0,0036
30 0,1661 3,2881 0,0480 0,2231 0,0629 0,6573 0,0023
31 0,1961 4,0473 0,0141 0,1681 0,0131 0,7540 0,0002
32 0,2312 3,1771 0,0046 0,2208 0,0051 0,1181 0,0000
33 0,1566 3,3775 0,0329 0,1240 0,0424 0,5662 0,0011
Media total 0,2246 4,5237 0,0242 0,2023 0,0271 -0,4179 0,0012
Desviación 0,0722 3,2969 0,0237 0,0892 0,0246 0,9538 0,0022
Tabla 39. Resultados estadísticos RR-ca3 condición 2.
88
Anexo 2.
Se entrega por medio magnético un CD organizado con las siguientes carpetas:
1. Proyecto de grado
2. Lectura base de datos.
3. Búsqueda exhaustiva Ttot f/VT.
4. FS de Ttot f/VT.
5. Funcion_AG_Ttot_fVT.
6. Transformada Wavelet Ttot f/VT RR.
7. Prueba U the Mann Whitney.
8. FS Wavelet de Ttot f/VT.
9. Funcion_AG_Wavelet_Ttot_fVT.
10. Interpolación y FS Ttot f/VT RR
11. Funcion_AG_Ttot_fVT_RR
12. FS Wavelet de Ttot f/VT RR.
13. Funcion_AG_Wavelet_Ttot_fVT_RR.
Los script contenidos en las carpetas son ejecutables para el software Matlab®.

Proyecto de grado

  • 1.
    ANÁLISIS DE LAINTERACCIÓN ENTRE EL PATRÓN RESPIRATORIO Y LA FRECUENCIA CARDÍACA, EN PACIENTES ASISTIDOS MEDIANTE VENTILACIÓN MECÁNICA, PARA LA ESTIMACIÓN DEL MOMENTO ÓPTIMO EN LA EXTUBACIÓN JUAN DAVID ORTIZ VIVIESCAS UNVERSIDAD AUTONOMA DE BUCARAMANGA INGENIERIA MECATRONICA 2014
  • 2.
    2 Resumen Uno de losdesafíos en cuidados intensivos es el proceso de destete de la ventilación mecánica. En este trabajo se presenta una aplicación de las técnicas de Inteligencia Artificial (IA) en el campo de análisis por computador de señales Biomédicas y ayuda al diagnóstico. Se han aplicado Redes Neuronales (RN) con el fin de desarrollar un clasificador para el análisis de pacientes sometidos a una extubación luego de haber sido conectados a una Ventilación Mecánica (VM). Se implementa Algoritmos Genéticos (AG) y Forward Selection (FS), como técnicas de selección de características, para la obtención de variables relevantes, explicativas del sistema cardiorrespiratorio. Se estudian 66 pacientes asistidos mediante ventilación mecánica fueron estudiados: Grupo 1 (33 pacientes con éxito en la extubación) y Grupo 2 (33 pacientes que fallaron en el proceso de extubación). Al seleccionar las características más significativas, y evaluar los diferentes clasificadores obtenidos el mejor presento un porcentaje de clasificación del 79% considerando únicamente 4 de las 21 características.
  • 3.
    3 Índice 1 Objetivo General...............................................................................................9 1.1 Objetivos Específicos ..............................................................................9 2 Justificación.....................................................................................................10 3 Antecedentes ..................................................................................................11 4 Estado del Arte................................................................................................14 5 Marco Teórico .................................................................................................18 5.1 Sistema Respiratorio .............................................................................18 5.2 Neumotacografía...................................................................................20 5.3 La señal electrocardiográfica (ECG)......................................................20 5.4 La Ventilación mecánica........................................................................21 5.5 Destete o extubación.............................................................................22 5.6 Métodos de extubación de pacientes ....................................................22 5.7 Interacción cardiorrespiratoria. ..............................................................23 5.8 Base de datos........................................................................................23 5.9 Procesamiento de las señales...............................................................24 5.10 Métodos de remuestreo.........................................................................25 5.10.1 Interpolación cuadrática..................................................................25 5.11 Extracción de características.................................................................26 5.11.1 La Transformada Wavelet...............................................................26 5.12 Selección de características..................................................................27 5.12.1 Forward Selection (FS) ...................................................................28 5.12.2 Algoritmo Genético (AG).................................................................29 5.13 Clasificador............................................................................................29 5.14 Clasificación con redes neuronales.......................................................30 5.15 Redes Neuronales (RNs) ......................................................................30 5.16 Prueba U de Mann-Whitney ..................................................................31 6 Metodología.....................................................................................................33
  • 4.
    4 6.1 Introducción...........................................................................................33 6.2 Esquemade la metodología..................................................................33 7 Desarrollo del proyecto ...................................................................................39 7.1 Patrón Respiratorio................................................................................39 7.1.1 Estadísticos........................................................................................39 7.1.2 Transformada Wavelet.......................................................................47 7.2 Interacción Cardiorrespiratoria ..............................................................53 7.2.1 Estadísticos........................................................................................56 7.2.2 La transformada Wavelet. ..................................................................60 8 Conclusiones...................................................................................................63 9 Bibliografía ......................................................................................................67 10 Anexos.........................................................................................................75
  • 5.
    5 Índice de tablas Tabla1. Criterio de extubación. ........................ Error! Bookmark not defined.2 Tabla 2. Variables de entrada...........................................................................40 Tabla 3. Media ponderada señal Ttot. ..............................................................41 Tabla 4. Media ponderada señal f/VT...............................................................41 Tabla 5. Criterios de parada .............................................................................43 Tabla 6. Resultados búsqueda exhaustiva. ......................................................44 Tabla 7. Resultados Forward Selection. ...........................................................46 Tabla 8. Configuración AG................................................................................46 Tabla 9. Resultados AG....................................................................................47 Tabla 10. Resultados prueba U Mann Whitney ................................................49 Tabla 11. Resultados al aplicar la ecuación 3...................................................49 Tabla 12. Variables de entrada.........................................................................50 Tabla 13. Análisis estadístico de las variables..................................................50 Tabla 14. Resultados Búsqueda exhaustiva.....................................................51 Tabla 15. Resultados Forward Selection Wavelet ............................................52 Tabla 16. Resultados AG Wavelet....................................................................53 Tabla 17. Error medio cuadrático resultados ....................................................55 Tabla 18. Datos estadísticos Cardiorrespiratorio. .............................................56 Tabla19. Análisis estadísticos de las variables Ttot, f/VT y RR ........................57 Tabla 20. Resultados Forward Selection ..........................................................58 Tabla 21. Resultados búsqueda por AG. ..........................................................59 Tabla 22. Resultados prueba U de Mann Whitney............................................60
  • 6.
    6 Tabla 23. Datosestadisiticos cardiorrespiratorio transformada Wavelet .........61 Tabla 24. Análisis estadísticos de la transformada Wavelet RR......................62 Tabla 25. Resultados selección de características Wavelet .............................62 Tabla 26. Resultados selección de características señales Ttot y f/VT. ...........63 Tabla 27. Resultados selección de características señales RR Ttot y f/VT…..65 Tabla 28. Resultados estadísticos Ttot condición 1.........................................76 Tabla 29. Resultados estadísticos Ttot condición 2.........................................77 Tabla 30. Resultados estadísticos f/VT condición 1..........................................78 Tabla 31. Resultados estadísticos f/VT condición 2..........................................79 Tabla 32. Resultados estadísticos RR condición 1...........................................80 Tabla 33. Resultados estadísticos RR condición 2...........................................81 Tabla 34. Resultados estadísticos Ttot-ca3 condición 1...................................82 Tabla 35. Resultados estadísticos Ttot-ca3 condición 2...................................83 Tabla 36. Resultados estadísticos f/VT-CD3 condición 1 .................................84 Tabla 37. Resultados estadísticos f/VT-CD3 condición 2 .................................85 Tabla 38. Resultados estadísticos RR-ca3 condición 1....................................86 Tabla 39. Resultados estadísticos RR-ca3 condición 2....................................87
  • 7.
    7 Índice de figuras. Figura1. Criterios para iniciar el proceso de destete........................................13 Figura 2. Capacidades y volúmenes pulmonares. ............................................19 Figura 3. Señal volumen respiratorio. ............... Error! Bookmark not defined.0 Figura 4. Onda y segmentos de la señal ECG.. Error! Bookmark not defined.1 Figura 5. Esquema Forward Selection.............. Error! Bookmark not defined.8 Figura 6. Esquema de la metodología. .............................................................33 Figura 7. Algoritmo de búsqueda exhaustiva...................................................34 Figura 8. Diagrama de flujo algoritmo Forward Selection .................................37 Figura 9. Modelo de red feed forward...............................................................42 Figura 10. Resultados búsqueda Exhaustiva....................................................44 Figura 11. Porcentaje de clasificación Vs número de variables........................45 Figura 12. Procedimiento selección transformada Wavelet ..............................48 Figura 13. Porcentaje de clasificación Vs número de variables........................52 Figura 14. Interpolación de pacientes en condición de éxito y fracaso.............54 Figura 15. Porcentaje de clasificación Vs número de variables………...……..59
  • 8.
    8 Indice de ecuaciones. Ecuación1. Interpolación cuadrática. ..............................................................25 Ecuación 2. Calculo estadístico U.....................................................................31 Ecuación 3. Indicie de selección Wavelet .........................................................48
  • 9.
    9 1 Objetivo General Diseñarun clasificador por medio de redes neuronales para determinar el momento de desconexión de pacientes asistidos mediante ventilación mecánica. 1.1 Objetivos Específicos  Comparar algoritmos para la extracción de características basados en técnicas estadísticas y la transformada Wavelet discreta, para caracterizar e interpretar el comportamiento del sistema.  Implementar Algoritmos Genéticos y Forward Selection, como técnicas de selección de características, para la obtención de variables relevantes, explicativas del sistema cardiorrespiratorio.  Comparar los resultados de cada clasificador y determinar cuál es el mejor diseño obtenido.
  • 10.
    10 2 Justificación Este trabajo,se enmarca dentro de la Ingeniería Biomédica, en el campo del análisis por computador de señales biomédicas y ayuda al diagnóstico mediante diferentes técnicas.
  • 11.
    11 3 Antecedentes La ventilaciónmecánica (VM) es un método de soporte vital ampliamente utilizado en situaciones clínicas de deterioro de la función respiratoria, de origen intra o extrapulmonar. Debe ser aplicado en las Unidades de Cuidados Intensivos (UCI) aunque eventualmente se requiere su uso en servicios de urgencias, en el transporte del paciente crítico, y en general, en condiciones que amenazan la vida [1]. La VM es un procedimiento de respiración artificial que permite ayudar a sustituir la función ventilatoria de un paciente, mejorando la oxigenación e influyendo en la mecánica pulmonar, hasta que se restituya el correcto funcionamiento del sistema pulmonar del paciente. La VM es el principal tratamiento en los pacientes con insuficiencia respiratoria aguda (IRA), siendo una de las técnicas más utilizadas en las UCI´s. Diversos estudios han registrado la frecuencia de uso de la ventilación mecánica. En 1992, el Grupo Español de Insuficiencia Respiratoria diseñó un estudio sobre la utilización de la VM en un día determinado, observándose que el 46% de los enfermos ingresados estaban con ventilación mecánica al menos durante 24 horas. Cuatro años más tarde, el mismo grupo realizó un estudio similar ampliado a ocho países. El día del estudio se tenía un 39% de pacientes con VM. La comparación entre países demostró que las indicaciones para la ventilación mecánica y los parámetros ventilatorios eran similares, observándose diferencias en los modos de ventilación y el proceso de extubación de pacientes [2]. La VM tiene dos grandes objetivos:  Mejorar el intercambio gaseoso.  Disminuir el esfuerzo de los músculos respiratorios. El proceso de extubación de un paciente asistido mediante VM, es el último paso a seguir para recuperar la respiración espontánea. La figura 1 de la página 13
  • 12.
    12 presenta de formaesquemática, los criterios generales para iniciar el proceso de retirada del soporte ventilatorio, y los valores correspondientes a las variables consideradas [3]. El uso de la ventilación mecánica puede ser vital en caso de un paciente con problemas pulmonares o cardíacos graves, pero, la perpetuación de la ventilación mecánica más allá de lo necesario aumenta la posibilidad de contraer infecciones en el centro hospitalario (infección nosocomial), atrofia de la musculatura respiratoria y una estancia más prolongada con los consecuentes costos hospitalarios. Por esto es importante poder detectar el instante a partir del cual un paciente ya no necesita esta ayuda para subsistir y se puede proceder a una extubación con garantías. Sin embargo, se debe evitar una retirada prematura porque podría ocasionar problemas respiratorios, cardiorrespiratorios y psicológicos graves debidos a la reintubación. En otros estudios se presenta la extracción de índices con pacientes en proceso de extubación, mediante técnicas de análisis lineal, no lineal, e implementación de clasificadores con inteligencia artificial, para encontrar diferencias entre pacientes capaces de sostener la respiración espontánea, y pacientes que fallaron en el proceso de extubación. Estos con el fin de es precisamente la búsqueda de un método que permita determinar el instante óptimo para interrumpir la ventilación mecánica. [4-6].
  • 13.
    13 SOPORTE VENTILATORIO PREVIOA LA RETIRADA INICIO DE LA RETIRADA (Cualquier método) EVALUACIÓN BÁSICA SATISFACTORIA FR: Normal SaO2: Estable FC: Estable Ritmo: Sinusal normal TA: Normal Conciencia: Conservada Glasgow:  8 PRUEBA DE TOLERANCIA A VENTILACIÓN ESPONTÁNEA Tubo en T, FiO2, igual al último usado en la ventilación mecánica. BUENA TOLERANCIA Confort, trabajos respiratorio y cardiaco normales. GASES ARTERIALES EXTUBACIÓN NO SATISFACTORIA FR:  35 o incremento en 50 % de la basal SaO2: Caida con respecto a la basal por mas de 10’ o  de 85 % por más de 3’. FC:  140 X’ o aumento del 20 % con respecto a la basal Ritmo: Arritmias TA: Presión sistólica  80 o diastólica  90 o variaciones de más del 20 % de las basales Conciencia: Disminución, agitación, pánico. Glasgow:  8 Otros: Diaforesis MALA TOLERANCIA Disconfort, trabajos respiratorio y cardiaco aumentados PaO2  60, PaCO2  50, pH  7.30 PaO2  60, PaCO2  50, pH  7.30 Figura 1. Criterios para iniciar el proceso de destete. [7]
  • 14.
    14 4 Estado delArte La VM tiene sus raíces en 1543 con la primera aplicación experimental de la ventilación mecánica gracias al médico André Vesalio. El experimento que realizo fue prestar apoyo a la respiración de un canino gracias a un sistema de fuelles conectado directamente a su tráquea y supuso el primer experimento perfectamente documentado para la historia de la medicina en cuanto a este tema, pero no fue valorado en su época. En el año 1997, con la apertura de una nueva UCI en el Hospital Provincial General Docente “Dr. Antonio Luaces Iraola”, se observa que incrementa el número de pacientes ventilados; de una cifra inicial de 50, en el 2010 sobrepasaron los 120. Con el objetivo de describir el comportamiento de los pacientes ventilados por más de siete días en esta unidad, se estudió 166 pacientes con edades entre 56 y 75 años durante el período de enero de 1997 a diciembre del 2004. En dicho estudio se demostró que las causas que motivaron la ventilación fueron: el síndrome de dificultad respiratoria del adulto de origen extrapulmonar, el paciente quirúrgico complicado y las enfermedades neurológicas. El 70 % de los pacientes se ventilaron entre 7 y 15 días y el 80 % de los que se ventilaron por más de 30 días fallecieron. Las complicaciones más frecuentes fueron: bronconeumonía, traqueítis y el fallo en el destete, siendo este último, la complicación que más se relacionó con la mortalidad, debido a que el retiro precoz de la VM provocan riesgos en el paciente, aumentando la posibilidad de contraer infecciones en el centro hospitalario (infección nocosomial), atrofia de la musculatura respiratoria, retención liquida secundaria a las alteraciones del metabolismo hidromineral provocados por los cambio de presión, riesgo de infección colonización, pérdida de los mecanismos de defensa, retención de secreciones, necesidad de prolongar el tiempo de sedación entre otros.
  • 15.
    15 Adicionalmente una estanciamás prolongada aumenta los costos hospitalarios para la clínica y el paciente. En el análisis realizado a partir de la información de los registros de pacientes ventilados, se demostró que no existe uniformidad en la metodología a seguir para realizar un destete con resultados positivos en el paciente que se somete a ventilación mecánica, se aprecia un incremento de las complicaciones que suelen aparecer asociadas a la misma como: neumonía, atelectasia, enfisema subcutáneo y fallo en la extubación, se eleva el número de ingresos de pacientes de la tercera edad con enfermedades asociadas y existen discrepancias en la determinación de los criterios para iniciar el destete por parte de los profesionales, todo lo cual aumenta la mortalidad del paciente ventilado. No existe un protocolo de actuación consensuado que integre antecedentes del paciente, parámetros clínicos, mecánicos y de laboratorio, que permita el seguimiento de forma continua y con predictores adecuados en las UCI, dando las pautas de cómo proceder en cada caso, sino que se realiza de acuerdo a la experiencia adquirida en el trabajo. Por tanto se convierte en un factor primordial el poder encontrar patrones que permitan la estimación del momento óptimo para la extubación de pacientes asistidos mediante VM. [8-10]. Al nacer esta problemática de estimar el momento óptimo para la extubación se empieza hacer la búsqueda de qué criterios y protocolos a tener en cuenta para este proceso. Con los grandes avances tecnológicos obtenidos en las últimas décadas se empieza a encaminar la investigación al análisis de las diferentes señales biomédicas que podemos obtener con la tecnología existente hoy en día. En el laboratorio de Investigación en Ingeniería Biomédica de la Universidad Politécnica de Catalunya (UPC), son los que actualmente trabajan en el desarrollo de esta problemática logrando grandes aportes en cuanto al análisis de la base de datos WEANDB (weaning data base). La base de datos está constituida por 168 pacientes sometidos a soporte ventilatorio mecánico, en proceso de weaning. 77
  • 16.
    16 pacientes fueron estudiadosen la Unidad de Semicríticos del Hospital de la Santa Creu i Sant Pau, y 91 en el Hospital Universitario de Getafe, todos ellos de acuerdo con un protocolo aprobado por el comité ético. A cada uno de los pacientes se le realizó una prueba de tubo en T para decidir si se interrumpía o no la ventilación mecánica. La prueba de tubo en T consiste en desconectar al paciente de la ventilación mecánica y hacerle respirar espontáneamente durante 30 minutos a través del tubo endotraqueal. Entre los trabajos realizados por la UPC se encuentra la implementación de diferentes técnicas de análisis lineal, no lineal, e implementación de clasificadores con inteligencia artificial con el fin de encontrar un sistema inteligente el cual proporcione un criterio con el cual el medico pueda determinar el momento de extubación al paciente [11]. En la UPC se han desarrollado estudios acerca de las diferencias en la variabilidad del patrón respiratorio entre pacientes capaces de mantener la respiración espontánea en el proceso de extubación y pacientes que fallaron en este proceso. Se han aplicado redes neuronales en el estudio de estas diferencias para así desarrollar un clasificador en el cual aplicando técnicas de selección de características lograron un porcentaje de clasificación de 84.56% aplicando una arquitectura de red feed-forward. Entre otros trabajos en los cuales se encuentra por medio de análisis de clausters diferencias estadísticas significativas para la clasificación de las señales descritas en la base de datos Weandb. Y otras líneas de estudios que se han enfocado en aplicar técnicas como: dinámica simbólica, análisis de cluster, lógica difusa, Clasificación de pacientes mediante Running Window que ha permitido llevar esta problemática a un resultado con una precisión del 89,3 % que se ha convertido en una base para el análisis en la solución a este problema. [12-15] En el aspecto relacionado con la interacción cardiorrespiratoria algunos autores han trabajado en la coordinación de fase entre los osciladores concernientes al sistema respiratorio y cardiaco en los seres humanos, sugiriendo la existencia de
  • 17.
    17 sincronización voluntaria entrela respiración y los ciclos cardiacos, encontrándose un patrón típico de dos latidos por inspiración y tres latidos para la espiración [16- 18]. Algunos estudios explican que los sistemas respiratorios y cardiacos no actúan de forma independiente, sugiriendo la coordinación entre estos dos sistemas, mediante las interacciones complejas del sistema nervioso autónomo [19-24], implementándose dichos resultados en aplicaciones para el diagnóstico y monitorización de enfermedades cardiovasculares [25]. El empleo de técnicas de procesado de señales y de clasificación de patrones permitirá la obtención de nuevos índices para caracterizar la dinámica respiratoria y cardiorrespiratoria de pacientes en proceso de extubación, ayudando a la decisión del momento óptimo de la desconexión. Donde se espera realizar un estudio estadístico mediante pruebas no paramétricas, para medir su valoración dentro de la fisiología del problema y así poder aplicar estos resultados en un futuro a la clínica mediante el desarrollo de un sistema autónomo de decisión soporte en el proceso de extubación.
  • 18.
    18 5 Marco Teórico 5.1Sistema Respiratorio Es el encargado de captar oxígeno (O2) y eliminar el dióxido de carbono (CO2) procedente del anabolismo celular. El aparato respiratorio generalmente incluye tubos, como los bronquios, las fosas nasales usadas para cargar aire en los pulmones, donde ocurre el intercambio gaseoso. El diafragma, como todo músculo, puede contraerse y relajarse. En la inhalación, el diafragma se contrae y se allana, y la cavidad torácica se amplía. Esta contracción crea un vacío que succiona el aire hacia los pulmones. En la exhalación, el diafragma se relaja y retoma su forma de domo y el aire es expulsado de los pulmones. Las medidas de volumen consideradas en la función pulmonar son: Volumen corriente (VC): Volumen de aire inspirado o espirado en cada respiración normal; supone un promedio de 500 ml en el adulto joven. Volumen de reserva inspiratoria (VRI): Volumen de aire inspirado adicional por encima del volumen de ventilación pulmonar, generalmente es de 3 litros. Volumen de reserva espiratorio (VRE): Volumen adicional de aire que puede expulsarse realizando una espiración forzada al final de una espiración normal, generalmente supone unos 1000 ml. Volumen residual (VR): Volumen de aire que permanece aún en los pulmones tras una espiración forzada, es aproximadamente de 1200 ml.
  • 19.
    19 Figura 2. Capacidadesy volúmenes pulmonares. Los diferentes tipos de capacidades considerados en la función pulmonar son: Capacidad inspiratoria (CI): Es la cantidad de aire que puede respirar una persona comenzando desde el nivel de espiración normal y distendiendo sus pulmones hasta la capacidad máxima. Capacidad funcional residual (CFR): Es la cantidad de aire que queda en los pulmones al final de la espiración normal, equivale al volumen de reserva inspiratoria más el volumen residual. Capacidad vital (CV): Es la cantidad de aire máxima que una persona puede expulsar de sus pulmones cuando estos han sido llenados al máximo, equivale a la suma del volumen de reserva inspiratoria, el volumen de ventilación pulmonar y el volumen de reserva espiratoria. Capacidad pulmonar total (CPT): Es el volumen máximo al que pueden dilatarse los pulmones con el mayor esfuerzo inspiratorio posible, equivale a la capacidad vital más el volumen residual.
  • 20.
    20 5.2 Neumotacografía Mide directamentela señal de flujo respiratorio, mediante la interpretación de la señal eléctrica obtenida a través de la diferencia de presión generada a los extremos de la resistencia. A partir de los volúmenes y capacidades descritos anteriormente, se puede caracterizar y definir el patrón respiratorio. Una forma de caracterizar la función mecánica del sistema pulmonar puede ser mediante las siguientes series respiratorias:  TTot : TI + TE Duración del ciclo respiratorio.  TI: Tiempo de inspiración  TE: Tiempo de espiración  VT: Volumen circulante o volumen tidal.  TI/TTot: Fracción inspiratoria.  VT/TI: Flujo inspirado medio.  f/VT: Relación frecuencia-volumen tidal. Figura 3. Señal volumen respiratorio. 5.3 La señal electrocardiográfica (ECG) Son señales biomédicas generadas a partir de la actividad del músculo cardíaco. El estudio del ECG obtenido mediante electrodos de superficie es una de las
  • 21.
    21 pruebas médicas másfrecuentes en la exploración de la actividad cardiaca. El ECG presenta un comportamiento repetitivo unido a cada recurrencia de los latidos cardíacos, que consta de distintas ondas en una secuencia determinada. Cada una de estas ondas representa las distintas fases del latido cardíaco, y se denotan por las letras P, Q, R, S, T. La figura 4 de la página 21 presenta una señal ECG ideal correspondiente a un latido cardíaco. El segmento horizontal que precede la onda P se denomina línea de base o línea isopotencial. La onda P representa la despolarización del músculo de la aurícula. A la onda P le sigue una secuencia de ondas denominadas complejos QRS, y refleja la combinación de la despolarización ventricular y la repolarización auricular. La onda R es la primera inflexión positiva y la onda S es la primera inflexión negativa posterior a una positiva. Una o más de estas ondas pueden no estar presentes, y en ocasiones aparece una segunda onda R, que se denota como R’. La onda T representa la repolarización ventricular. Figura 4. Onda y segmentos de la señal ECG 5.4 La Ventilación mecánica La Ventilación mecánica VM es el procedimiento de respiración artificial que permite ayudar a sustituir temporalmente la función ventilatoria, hasta que se restituya el correcto funcionamiento del sistema pulmonar del paciente. Existen
  • 22.
    22 diversos factores queinfluyen en el proceso de retirada de la ventilación mecánica. La problemática asociada con este tratamiento se encuentra en que la facilidad de separar a un paciente de un ventilador mecánico se relaciona de forma inversa con la duración de la ventilación mecánica [26]. En la clínica es importante determinar el momento óptimo para la desconexión del respirador mecánico del paciente [27]. 5.5 Destete o extubación Momento de la retirada del tubo endotraqueal. Criterios a tener en cuenta al momento de destete [27]: Tabla 1. Criterio de extubación. 5.6 Métodos de extubación de pacientes La retirada del ventilador se puede comenzar cuando una serie de parámetros clínicos y paraclínicos se encuentran dentro de los rangos mínimos, tal y como se presentan en la figura 1 de la página 13. Una vez obtenidas las condiciones favorables para la extubación, se selecciona el método de destete a utilizar entre los cuales se tiene:
  • 23.
    23  Ventilación asistida. Tuvo en T.  presión positiva continua en las vías aéreas (CPAP).  Retirada con presión soporte.  Retirada mediante monitorización del dióxido de carbono espirado.  Retirada del ventilador mediante ventilación mandatoria intermitente sincronizada (SIMV). 5.7 Interacción cardiorrespiratoria. Los sistemas respiratorios y cardiovascular humano están siendo ampliamente estudiados, dado que no actúan de forma independiente. La naturaleza de estos dos sistemas puede estar asociada a interacciones lineales y complejas mediante mecanismos de acoplamiento cardiorrespiratorio [28,29]. En los inicios Hildebrant y colaboradores [30,31] investigaron la coordinación de fase entre los osciladores cardiaco y respiratorio en el hombre, utilizando un dispositivo llamado “analizador de coincidencias”. Este dispositivo era capaz de determinar el tiempo absoluto de retraso en el inicio de la respiración después de su precedente onda R, con lo que los autores concluyeron que el “ritmo del acoplamiento” era un prominente marcador de la relajación fisiológica y la regeneración del sistema después de una carga laboral. En 1976 se describieron diferentes grados de sincronización entre actividades periféricas simpáticas y actividades registradas en el nervio frénico. Estas sincronizaciones mostraron variaciones a corto plazo desde el estado de sincronización completa, a estados de disociación y coordinaciones deslizantes. 5.8 Base de datos La base de datos WEANDB está formada por el registro de la señal de flujo respiratorio y una derivación de la señal electrocardiográfica, durante 30 minutos,
  • 24.
    24 a una frecuenciade muestreo de 250 Hz, la base de datos cuenta con el registro de 66 pacientes, durante de 30 minutos, con un protocolo de extubación de la prueba de tubo en T. Donde han sido etiquetados 33 como Condición de Éxito (CE), los pacientes que superaron la desentubación y 33 como condición Fallida (CF), los pacientes que no superaron la desentubación (reintubados). Los pacientes han sido registrados en la Unidad de Semicríticos del Hospital de la Santa Creu i Sant Pau, y en el Hospital Universitario de Getafe, de acuerdo con los protocolos aprobados por el comité ético. 5.9 Procesamiento de las señales Las bioseñales suelen ser de magnitud muy pequeña, contienen ruido y pueden estar enmascaradas por otras bioseñales de diferentes fenómenos biológicos. Con el objetivo de extraer la información de una bioseñal, lo que puede ser crucial para entender un sistema o evento biológico particular, comúnmente son utilizados sofisticados equipos y técnicas de adquisición de datos. Es importante preservar la información de la bioseñal original a lo largo de todo el procedimiento de adquisición de los datos. Las señales, primeramente son detectadas en un medio biológico, como puede ser una célula o la superficie de la piel, utilizando un sensor, el sensor convierte la medición física en una salida eléctrica y ofrece una interfaz entre el sistema biológico y un instrumento de registro eléctrico. Es muy importante que el sensor utilizado para detectar las señales biológicas no afecte las propiedades y características de la señal que está midiendo, para esta etapa se analizará la aplicación de filtros digitales para mejor obtención de señales evitando así la aparición de ruidos que de una forma u otra puede estar afectando el desempeño de nuestro clasificador [27].
  • 25.
    25 5.10 Métodos deremuestreo Existe una variedad de técnicas para la inferencia estadística llamadas métodos de remuestreo. Se han utilizado estos métodos para comprobar la capacidad predictiva de las funciones discriminantes lineal y cuadrática. Son básicamente técnicas de simulación que reutilizan los datos observados para constituir un universo del cual extraer repetidas muestras [32]. 5.10.1 Interpolación cuadrática Se denomina a la obtención de nuevos puntos partiendo del conocimiento de un conjunto discreto de puntos. En ingeniería y algunas ciencias es frecuente disponer de un cierto número de puntos obtenidos por muestreo o a partir de un experimento y pretender construir una función que los ajuste [33]. Una estrategia para mejorar la estimación en la interpolación consiste en introducir alguna curvatura a la línea que une los puntos. Si se tienen tres puntos como datos, éstos pueden ajustarse en un polinomio de segundo grado (también conocido como polinomio cuadrático o parábola). Con tres pares de datos, (x0, y0), (x1, y1) y (x2, y2), es necesario calcular una función cuadrática 𝑓2(𝑥) = 𝑏0 + 𝑏1(𝑥 − 𝑥0) + 𝑏2(𝑥 − 𝑥0)(𝑥 − 𝑥1) Ecuación 1. Interpolación cuadrática. Que al ser resuelta se encuentran puntos que se aproximan al comportamiento de la señal. [34,35]
  • 26.
    26 5.11 Extracción decaracterísticas Estos métodos son aquellos que determinan características de las señales que pueden ser útiles para discriminar. Para luego, con el empleo de métodos de selección se escoge el subgrupo de características más relevantes y que proporcionarán una clasificación más eficiente. La extracción propuesta en este proyecto es encontrar los siguientes datos estadísticos: Media, Moda, Desviación Estándar, Rango Intercuartil, Oblicuidad, Curtosis y Varianza, de cada uno de las señales para convertir las señales en datos puntuales y analizar que aporte tiene esta información en el comportamiento de la problemática plateada. [36] 5.11.1 La Transformada Wavelet Realiza la descomposición de una señal en espacios de funciones (Vl y Wl), generados a partir de las funciones base Φ (t) y Ψ (t) por medio de combinaciones de escalamientos y traslaciones de éstas. En este caso las dos funciones base se denominan función de escala y wavelet, respectivamente. La generación de los espacios de funciones está definida por:            tbasecon jkktktdW tbasecon jkktktCV j j k j kjj j j k j kjj 2 22 2 22 , ,             Se puede observar que el término 2j determina la rapidez de cambio de las funciones (t) y (t), por tanto este término tendrá un efecto sobre la rapidez de las ondas generadas, así los espacios V y W tendrán un ancho de banda
  • 27.
    27 relacionado con elfactor 2j. El término k por su parte hace referencia a ubicación temporal e indica en qué lugar está centrada la función base. Para hallar las funciones fn-1(t), y gn-1(t), que representan la descomposición de la señal en la aproximación fn-1(t) y los detalles gn-1(t), es necesario obtener las secuencias cn-1, k y dn-1 a partir de: Las relaciones anteriores muestran que para el cálculo de las secuencias cn-1,k y dn-1 la secuencia cn,l es convolucionada con las secuencias a-l y b-l, calculando sólo las muestras de salida de índice par. Esta operación se denomina sub- muestreo de dos unidades. [37-39] 5.12 Selección de características La selección de características es un término usado habitualmente en la minería de datos para describir las herramientas y las técnicas disponibles para la reducción de las entradas a un tamaño apropiado para su proceso y análisis. No solo implica la reducción de carnalidad, es decir, la imposición de un límite arbitrario o predefinido en el número de atributos que se pueden considerar al crear un modelo, sino también la elección de atributos, lo que significa que el analista o la herramienta de modelado debe seleccionar o descartar activamente los atributos en función de su utilidad para el análisis. En esta etapa se quiere aplicar dos algoritmos para así poder determinar cuáles son las variables que aportan significancia a nuestro proceso de clasificación.    l lnklkn Cbd ,2,1    l lnklkn CaC ,2,1
  • 28.
    28 Los algoritmos propuestosson: 5.12.1 Forward Selection (FS) La selección de variables predictores es un procedimiento estadístico importante porque no todas las variables predictores tienen igual importancia. Este algoritmo empieza con el conjunto vacío y en cada iteración añade un atributo seleccionado el de mejor resultado con una función de evaluación [40]. 1. Comienza con S=0; 2. Selecciona la variable X+= arg max f(S u X) con X € U - S 3. S=S U {X+} 4. Ir al paso 2 En la figura 5 de la página 28 se observa el funcionamiento del algoritmo FS. Figura 5. Esquema Forward Selection.
  • 29.
    29 5.12.2 Algoritmo Genético(AG) Es un método de búsqueda que imita la teoría de la evolución biológica de Darwin para la resolución de problemas. Para ello, se parte de una población inicial de la cual se seleccionan los individuos más capacitados para luego reproducirlos y mutarlos para finalmente obtener la siguiente generación de individuos. Son métodos adaptativos que pueden usarse para resolver problemas de búsqueda y optimización. Los AG son métodos de búsqueda basados en la mecánica de selección natural y de la genética natural. Combinan la supervivencia del más apto entre estructuras de secuencia con intercambio de información estructurado, aunque aleatorizado, para constituir así un algoritmo de búsqueda que tenga algo de genialidades de búsqueda humana. Para la selección de características se realiza una búsqueda binaria en el cual cada bit me representa una característica, con lo cual se quiere obtener la mejor combinación de características que represente una mayor precisión. [41-43]. 5.13 Clasificador Se utiliza en referencia al algoritmo utilizado para asignar un elemento entrante no etiquetado en una categoría concreta conocida. Dicho algoritmo, permite pues, ordenar o disponer por clases elementos entrantes, a partir de cierta información característica de éstos. Es importante la selección de características para evitar el exceso de datos innecesarios que no aportan información relevante al clasificador, disminuyendo su eficiencia. La etapa de entrenamiento se crea el conjunto de Los parámetros característicos que describen a los objetos deben ser discriminatorios para la clasificación, en la etapa de validación se determina la bondad del ajuste en la generalización en la clasificación de los patrones.
  • 30.
    30 5.14 Clasificación conredes neuronales Una de las tareas más comunes en que las redes neuronales artificiales han demostrado su eficiencia es la tarea de clasificación automática, por ejemplo en un caso medico puede ser necesario clasificar los datos existenciales para la realización de un buen diagnóstico en el menor tiempo posible. Los sistemas automáticos tienen la ventaja de que toman decisiones basándose únicamente en la información existente, pasando por alto datos irrelevantes. [44]. 5.15 Redes Neuronales (RNs) Las redes neuronales artificiales (RNA) son aplicadas en diversos ámbitos de la actividad humana. Una de sus aplicaciones es como herramienta de análisis de información. Es un sistema de computación artificial compuesto por un número finito de unidades llamadas neuronas, unidas mediante conectores. Con el conjunto de neuronas se puede encontrar la relación existente entre los datos de entrada y salida del sistema [45-47]. Una RN se compone de unidades llamadas neuronas. Cada neurona recibe una serie de entradas a través de interconexiones y emite una salida. Esta salida viene dada por tres funciones: 1. Una función de propagación (también conocida como función de excitación), que por lo general consiste en el sumatorio de cada entrada multiplicada por el peso de su interconexión (valor neto). Si el peso es positivo, la conexión se denomina excitatoria; si es negativo, se denomina inhibitoria. 2. Una función de activación, que modifica a la anterior. Puede no existir, siendo en este caso la salida la misma función de propagación.
  • 31.
    31 3. Una funciónde transferencia, que se aplica al valor devuelto por la función de activación. Se utiliza para acotar la salida de la neurona y generalmente viene dada por la interpretación que queramos darle a dichas salidas. Algunas de las más utilizadas son la función sigmoidea (para obtener valores en el intervalo [0,1]) y la tangente hiperbólica (para obtener valores en el intervalo [-1,1]). 5.16 Prueba U de Mann-Whitney Es una prueba no paramétrica aplicada a dos muestras independientes. Fue propuesto inicialmente en 1945 por Frank Wilcoxon para muestras de igual tamaños y extendido a muestras de tamaño arbitrario como en otros sentidos por Henry B. Mann y D. R. Whitney en 1947.[48,49]. La prueba de Mann-Whitney se usa para comprobar la heterogeneidad de dos muestras ordinales. El planteamiento de partida es: 1. Las observaciones de ambos grupos son independientes 2. Las observaciones son variables ordinales o continuas. 3. Bajo la hipótesis nula, la distribución de partida de ambos grupos es la misma y, 4. Bajo la hipótesis alternativa, los valores de una de las muestras tienden a exceder a los de la otra: P(X > Y) + 0.05 P(X = Y) > 0.05. Para calcular el estadístico U se asigna a cada uno de los valores de las dos muestras su rango para construir. Ecuación 2. Calculo estadístico U.
  • 32.
    32 Donde n1 yn2 son los tamaños respectivos de cada muestra; R1 y R2 es la suma de los rangos de las observaciones de las muestras 1 y 2 respectivamente. El estadístico U se define como el mínimo de U1 y U2. Los cálculos tienen que tener en cuenta la presencia de observaciones idénticas a la hora de ordenarlas. No obstante, si su número es pequeño, se puede ignorar esa circunstancia.
  • 33.
    33 6 Metodología 6.1 Introducción Seexpone la metodología que se va a seguir durante la realización de este proyecto desde el procesamiento de las señales que constituyen la base de datos hasta la obtención de los clasificadores a diseñar. 6.2 Esquema de la metodología Figura 6. Esquema de la metodología. En la figura 6 página 33 se observa las diferentes etapas de la metodología planteada, comenzando con la integración de la base de datos Weandb con el software Matlab®, siendo esta la herramienta computacional que permite el Lectura base de datos Estadísticos -Media -Desviación -moda -R. intercuartil -Oblicuidad -Varianza -Curtosis Wavelet Búsqueda exhaustiva (numero de neuronas) Diseño de clasificador Forward Selection Algoritmos Genéticos Selección de características Comparación y evaluación PruebaUde Mann Whitney
  • 34.
    34 desarrollo e implementaciónde los algoritmos y técnicas de análisis de datos, planteados para el diseño del sistema inteligente que permita la clasificación de las condición del paciente de una manera efectiva. Continuando con el flujo del diagrama se abren dos caminos, en los que encontramos dos técnicas de extracción de características Estadísticos: Tomar las señales de cada uno de los 66 pacientes y al conjunto de datos de cada señal encontrar los siguientes estadísticos media, desviación, moda, rango intercuartil, oblicuidad, varianza y curtosis obteniendo datos puntuales, siendo estas características las variables de entrada a ingresar en el clasificador. La Transformada Wavelet: se aplica por cada paciente y señal presentes en la base de datos Weandb, obteniendo un conjunto de nuevas señales en función al coeficiente de aproximación y coeficiente de detalle por cada nivel implementado, para determinar cuál de las nuevas señales es relevante se realiza una pruebe U de Mann Whitney la cual muestra que tan heterogéneas resultan las clases de estas señales, permitiendo determinar un índice en el cual el la señal que obtenga un resultado mayor a 0.05. Se descartara debido a que es relevante en la clasificación del sistema. Los siguientes pasos se desarrolla de manera independiente para cada una de estas técnicas, tomando por separado el grupo de datos obtenidos con cada una de las dos técnicas de extracción de características. Se plantea el diseño de cuatro clasificadores con redes neuronales y por cada técnica de extracción de características, con el fin de buscar el algoritmo de entrenamiento que mejor se adecue al problema, para esto se utilizaron los siguientes: Variable Learning Rate (traingdx), Resilient Backpropagation (trainrp), Levenberg-Marquardt Backpropagation (trainlm), Regulación Bayesianas (trainrp) [50]. En conjunto con estos algoritmos se utiliza la técnica k cross validation para evaluar los resultados de un análisis estadístico y garantizar que los resultados son independientes.
  • 35.
    35 Debido a queel clasificador presente un comportamiento no lineal conforme a la variación del número de neuronas, se opta por realizar una búsqueda exhaustiva con cada algoritmo. El diagrama de bloques descrito en la figura 7 página 34 resume el algoritmo diseñado para implementar la búsqueda exhaustiva, el cual consiste en tomar el clasificador de redes neuronales y por medio de un ciclo ir variando de a dos el número de neuronas, salvando los resultados de y al salir del ciclo determinar cuál número de neuronas da la mejor clasificación. For i=1:n For i=1:150 Se crea la red con X neuronal Se inicializa la red neuronal Se entrena la red neuronal y se valida K Fold Validation Se guarda el resultado del análisis Fin Búsqueda exhaustiva X=X+4 Se allá la media al porcentaje de clasificación de los 150 entrenamientos Figura 7. Algoritmo de búsqueda exhaustiva La selección de características es la etapa que busca evitar sobredimensionar el sistema permitiendo encontrar los datos más relevantes para este, y filtrar aquellos que no aportan o alteran en los resultados de la clasificación.
  • 36.
    36 La selección decaracterísticas no solo implica la reducción de carnalidad, es decir, la imposición de un límite arbitrario o predefinido en el número de atributos que se pueden considerar al crear un modelo, sino también la elección de atributos, lo que significa que el modelado debe seleccionar o descartar activamente los atributos en función de su utilidad para el análisis [51]. Para ello se evaluaran dos modelos: Forward Selection: inicia evaluando el clasificador usando una única variable la cual va cambiando con cada una de las variables existentes; el resultado de esta clasificación se rankea y se selecciona aquella variable con el más alto porcentaje de clasificación. A continuación, se realiza una nueva serie de clasificaciones tomando como entrada la variable seleccionada junto a cada una de las variables restantes; luego de lo cual, se escoge la pareja de variables que arrojan el mejor resultado. Este proceso se repite hasta acabar todas las variables, seleccionando cada vez el conjunto de variables con el que se obtuvo la mejor clasificación. El resultado de la aplicación del FS es una organización de las variables de la más a la menos relevante para el problema de clasificación. Al guardar los porcentajes de clasificación con cada conjunto de variables, es posible seleccionar el conjunto de variables que mejor se adapta al problema de clasificación. La figura 5 página 28 ilustra un esquema del algoritmo FS utilizado en el presente estudio. La figura 8 página 37 ilustra el algoritmo FS utilizado en el presente estudio.
  • 37.
    37 - Figura 8. Diagramade flujo algoritmo Forward Selection
  • 38.
    38 Algoritmos Genéticos Sonmétodos adaptativos basados en la teoría de la evolución de Darwin que pueden usarse para resolver problemas de búsqueda y optimización [52,53]. La configuración del algoritmo consiste en una población de tipo binaria donde cada bit representa una variable, donde se realizara la búsqueda exhaustiva de las variables que resulten en el mejor porcentaje de clasificación. Estos dos métodos permitirán analizar que variables y su combinación que sea realmente significativas para determinar el momento del destete de una persona que se o encuentre respirando por medio de ventilación mecánica. Se parte aplicando esta metodología en la señales del sistema respiratorio de las 6 series temporales (TI, TE, Ttot, f/VT, TI/Ttot, VT/TI), para analizar el sistema el comportamiento del sistema respiratorio en las dos condiciones presentes al momento del destete de un paciente, y observar si basta con solo estas señales para encontrar buenos resultados de clasificación. Y por último se reflejara esta metodología para analizar la interacción entre el patrón respiratorio y la frecuencia cardiaca, se agregara un paso al inicio el cual consiste en el remuestreo de las señales debido a que la señal del sistema cardiaco presenta un periodo de muestreo diferente al del sistema respiratorio razón por la cual se utilizara la interpolación cuadrática, esta técnica será la encargada de llevar todas las señales a una misma frecuencia de muestreo deseada, en adelante se seguirán los mismos pasos planteados en la metodología solo que aparecerán nuevas variables generadas por la señal RR. En pacientes asistidos mediante ventilación mecánica, se desea observar cómo interactúan los dos patrones en el desarrollo de los diseños propuestos a implementar. Tomando los analizadores de desempeño encontrados en cada uno de los clasificadores diseñados determinar cuál de ellos obtuvo la mejor solución al momento de clasificar y comprobar la viabilidad de la metodología planteada.
  • 39.
    39 7 Desarrollo delproyecto Comenzando con la metodología propuesta se desarrolla un script que integre la base de datos Weandb con el software Matlab®, debido a que esta base de datos se encuentra organizada de la siguiente manera, por cada paciente una carpeta en la que se hallan 6 archivos .txt los cuales representa cada uno de ellos las 6 series temporales del patrón respiratorio, se logra esta integración por medio de un algoritmo de búsqueda que se encuentra en el anexo 2 numeral 2 el cual cumple la función de importar los datos a Matlab® y organizarlos en matrices. 7.1 Patrón Respiratorio 7.1.1 Estadísticos De las 6 series respiratorias (TI, TE, Ttot, f/VT, TI/Ttot, VT/TI), a cada paciente y por cada condición, se realiza un pre-procesamiento de datos, obteniendo los siguientes estadísticos: media, desviación, moda, rango intercuartil, oblicuidad, varianza, y curtosis, el resultado de estos datos se puede observar en el anexo 1. Para cada condición y para cada serie temporal, se obtuvieron los diagramas de caja Figura 8 página 37, para realizar un análisis inicial del solapamiento entre pacientes de diferentes condiciones. Donde por inspección visual se determina que las señales menos superpuestas son f/VT y Ttot.
  • 40.
    40 Entrada Variable EntradaVariable 1 Media Ttot 8 Media f/VT 2 Desviación Ttot 9 Desviación f/VT 3 Moda Ttot 10 Moda f/VT 4 R. intercuartil Ttot 11 R. intercuartil f/VT 5 Oblicuidad Ttot 12 Oblicuidad f/VT 6 Varianza Ttot 13 Varianza f/VT 7 Curtosis Ttot 14 Curtosis f/VT Tabla 2. Variables de entrada La tabla 2 página 40 relaciona numéricamente (entrada) los estadísticos computados a cada serie temporal. 0 200 400 600 800 1000 1 2 3 4 5 6 7 8 9 1011121314151617181920212223242526272829 Paciente Condicion 1 Boxplot TOT 0 200 400 600 800 1000 1 2 3 4 5 6 7 8 9 1011121314151617181920212223242526272829 Paciente Condicion 1 Boxplot FVT 1 2 3 4 5 6 7 8 9 1011121314151617181920212223242526272829 0 100 200 300 400 500 600 700 800 900 1000 1 2 3 4 5 6 7 8 9 1011121314151617181920212223242526272829 Paciente Condicion 2 Boxplot FVT 1 2 3 4 5 6 7 8 9 1011121314151617181920212223242526272829 0 100 200 300 400 500 600 700 800 900 1000 1 2 3 4 5 6 7 8 9 1011121314151617181920212223242526272829 Paciente Condicion 2 Boxplot TOT Figura 8. Diagrama de caja señales FVT y TOT para las dos condiciones
  • 41.
    41 La tabla 3página 41 y tabla 4 página 41 ilustra la media ponderada de todos los pacientes de cada uno de los estadísticos hallados, para tomar un análisis superficial de la homogeneidad de cada variable. Señal Ttot Condición 1 Media Moda Varianza Curtosis Oblicuidad Desviación R. Intercuartil Media total 1,596307697 1,462906333 0,391867835 28,60341729 2,866036332 0,514485909 0,398120288 Desviación 0,583578435 0,5398358 0,574465356 38,44602695 3,150565128 0,356611953 0,265916127 Condición 2 Media total 1,231879303 1,175029364 0,32011497 41,37203976 3,507763809 0,430903981 0,24708997 Desviación 0,354021764 0,345257665 0,577803448 68,20512039 4,294535862 0,366656146 0,139126344 Tabla 3. Media ponderada señal Ttot. Señal f/VT Condición 1 Media Moda Varianza Curtosis Oblicuidad Desviación R. Intercuartil Media total 0,1012417 0,0525977 0,0042604 13,383279 1,8920194 0,0397516 0,031678788 Desviación 0,0939099 0,0339127 0,0162986 16,329632 1,8871578 0,0517708 0,023831851 Condición 2 Media total 0,1684392 0,0777221 0,0134082 22,849543 2,697587 0,0628963 0,052739864 Desviación 0,220257 0,0862261 0,0466798 25,127385 2,2541422 0,0972227 0,075326762 Tabla 4. Media ponderada señal f/VT. Con estos datos podemos aproximar cuales variables podrían ser relevantes en el clasificador. Observando que tan dispersos se encuentran cada variable con respecto a cada condición. Diferentes estudios para el análisis de las señales respiratorias en pacientes durante el proceso de extubación han sido realizados, donde se ha demostrado la pertinencia de utilizar la serie respiratoria TTot como variable relevante en la retirada de la VM, debido a su dependencia lineal de las series respiratorias TI y TE [54-57]. En [58,59] resaltan el índice de tobin (F/VT) como uno de los más
  • 42.
    42 usados en laclínica por su buen valor predictivo y su buena reproducibilidad, sin requerir de la colaboración del paciente ni de instrumentación adicional. Diseño de clasificador Para el diseño del clasificador basado en RN, se realizó una búsqueda exhaustiva del número de neuronas óptimas en la capa oculta, mediante una variación de dos neuronas por cada iteración, en el anexo 2 numeral 3 se encuentra el script implementado para realizar esta búsqueda. La figura 9 página 42 ilustra la topología de la red feed forward, con una capa de entrada, una capa oculta y una de salida. Para garantizar la generalización de la respuesta en la clasificación del sistema, se utiliza el método de 5-fold cross validation para obtener una media de la calidad de predicción del modelo, donde el 70% de los patrones fueron usados para la etapa de entrenamiento, 20% para la validación y el 10% restante para el test. Los porcentajes de clasificación fueron computados como la media ± desviación estándar de 150 runs de la salida del sistema. Los algoritmos de entrenamiento de las redes neuronales buscan encontrar la mejor solución al problema, razón por la cual en la implementación de ellos se debe prevenir el llegar a caer en un mínimo local, el cual el error queda oscilando manteniendo el entrenamiento sin satisfacer el porcentaje de error que se desea, generando un mayor gasto computacional sin mejorar la respuesta que presenta el sistema, razón por la cual se debe seleccionar los criterios de parada adecuados, Figura 9. Modelo de red feed forward
  • 43.
    43 estos los podemosencontrar en la Neural Network Toolbox de Matlab® [54] para determinar cuáles son posibles a implementar, se realizó una búsqueda empírica configurando los diferentes criterios de tal manera que se detengan en una respuesta viable, reduciendo tiempo de ejecución del algoritmo, los criterios aplicados se encuentran descritos en la tabla 5 página 43. Parámetros de configuración Número de neuronas de la primer capa oculta X Número de iteraciones 250 Error medio cuadrático 1e-10 Mínimo valor del gradiente de la función de optimización 1e-10 Valor inicial de la taza de aprendizaje 0.01 Factor de decrecimiento de la taza de aprendizaje 0.1 Factor de crecimiento de la taza de aprendizaje 0.5 Máximo valor de la taza de aprendizaje 10 Tabla 5. Criterios de parada Se implementó la búsqueda exhaustiva con 100 iteraciones, aumentando de dos en dos el número de neuronas por cada iteración, permitiendo evaluar hasta un máximo de 200 neuronas, en las cuales en la figura 10 página 44 se observa el comportamiento ante cada iteración. Resulta un comportamiento no lineal con un ancho de variación ± 5%, como criterio se seleccionó aquel número de neuronas que genere el mejor porcentaje de clasificación.
  • 44.
    44 Los resultados delentrenamiento mediante la búsqueda exhaustiva se ilustran en la Tabla 6 página 44. Algoritmo Numero de neuronas Porcentaje Early Stopping Traingdx 88 56.73% ± 0.063 Trainrp 106 56.23% ± 0.075 Trainlm 136 56.35% ± 0.124 Regularización Bayesiana Trainrb 84 56.81% ± 0.065 Tabla 6. Resultados búsqueda exhaustiva. 0 50 100 150 200 51 52 53 54 55 56 57 X: 88 Y: 56.73 Porcentaje de Clasificación vs Numero de Neuronas Numero de Neuronas PorcentajedeClasificación X: 106 Y: 56.23 traingdx trainrp 0 50 100 150 200 50 51 52 53 54 55 56 57 X: 136 Y: 56.81 Porcentaje de Clasificación vs Numero de Neuronas Numero de Neuronas PorcentajedeClasificación X: 84 Y: 56.35 trainlm trainrb Figura 10. Resultados búsqueda Exhaustiva
  • 45.
    45 Selección de características ForwardSelection Es una técnica estándar utilizada en la minería de datos para la reducción de la dimensionalidad del sistema. Cada método y función de entrenamiento se implementó con la técnica de selección de características FS, su desarrollo se encuentra en el anexo 2 numeral 4. En cada corrida de cada una de las iteraciones se entrenó como clasificador las configuraciones de RN que se seleccionaron en el procedimiento anterior, los resultados de los porcentajes de clasificación Vs número de variables seleccionadas se observan en la figura 11 página 45. Figura 11. Porcentaje de clasificación Vs número de variables La tabla 2 pagina 40 relaciona numéricamente (entrada) los estadísticos computados a cada serie temporal. La tabla 7 página 46 ilustra las variables que obtuvieron los mejores porcentajes de clasificación, después de implementar la selección de características en el clasificador neuronal. 0 5 10 15 50 55 60 65 70 75 80 X: 3 Y: 73.33 Forward selection Numero de Variables PorcentajedeClasificación X: 6 Y: 75 X: 5 Y: 73.33 X: 2 Y: 73.33 traingdx trainrp trainlm trainbr
  • 46.
    46 Algoritmo Variable Porcentaje EarlyStopping Traingdx 14-8-9-6-11-1 75% ± 0.033 Trainrp 13-6-5 73.3% ± 0.022 Trainlm 8-4-11-14-3 73.3% ± 0.103 Regularización Bayesiana Trainrb 8-13 73.3% ± 0.18 Tabla 7. Resultados Forward Selection. Algoritmos Genéticos En la tabla 8 página 46 se ilustran los parámetros de configuración del AG en el cual se puede resaltar el uso de una población tipo Bit String el cual me permite encontrar un numero binario el cual me permite representar por cada posición una variable, este número se interpreta de la siguiente manera en cada posición existen dos posibles números 0 que me representa que esa variable no se utiliza y 1 cuando toma la variable, esto con el fin de ser usado como un método de reducción de dimensionalidad del sistema, la función creada para la implementación del AG se encuentra en el anexo 2 numeral 5. Parámetros de configuración Tipo de población Bit string Numero de generaciones 100 Tamaño de la población 10 Elite 2 Tipo de selección Ruleta Método de cruce Crossoverintermediate Tasa de cruce 0.7 Método de mutación Mutation adaptfeasible Función de optimización Porcentaje de clasificación Tabla 8. Configuración AG.
  • 47.
    47 Se implementó elAG con los métodos y funciones de entrenamiento de la tabla 8 página 46, replicando la metodología utilizada con FS. La tabla 9 página 47 ilustra las variables que obtuvieron los mejores porcentajes de clasificación, después de implementar la selección de características en el clasificador neuronal. Algoritmo Variable Porcentaje Early Stopping Traingdx 8-10-13 77% ± 0.063 Trainrp 2-10-13 71.66% ± 0.075 Trainlm 3-5-8-9-12 76.67% ± 0.124 Regularización Bayesiana Trainrb 1-2-6-7-12-13 77% ± 0.065 Tabla 9. Resultados AG. 7.1.2 Transformada Wavelet. Las Wavelets son familias de funciones en el espacio que se emplean como funciones de análisis de una señal. Estas se agrupan en familias, que son conjuntos de funciones con unas mismas características. Para la implementación de esta transformada se escogió la familia biortogonal debido a que posee dos representaciones, una para la descomposición de la señal y otra para la reconstrucción. De esta forma las propiedades útiles para el análisis se pueden concentrar en una parte (por ejemplo detectar oscilaciones) mientras que las propiedades interesantes para la síntesis se concentran en la otra (por ejemplo, la regularidad) [22,65]. Se parte con un análisis de la familia biortogonal en el nivel 3, que se encuentra conformada por un conjunto de cinco transformadas diferentes (bior 3.1, bior 3.3, bior 3.5, bior 3.7, bior 3.9), se implementa cada una de las transformadas en las
  • 48.
    48 señales f/VT yTtot, encontrando los coeficientes de detalle y de aproximación correspondiente a cada uno de los 66 pacientes, en el anexo 2 numeral 6 se encuentra el script desarrollado para aplicar la transformada Wavelet. Figura 12. Procedimiento selección transformada Wavelet. En la figura 12 página 48 se ilustra el procedimiento aplicado para seleccionar la transformada Wavelet, luego de tomar la señal (f/VT o Ttot) y aplicarle la transformada wavelet a evaluar con cada uno de los 66 pacientes, se organizan los datos obtenidos en los pacientes y se clasifican en las dos condiciones (éxito y fracaso) con el fin de aplicar la prueba U the Mann Whitney, con los resultados de estas prueba, se seleccionan aquellos coeficientes de aproximación o detalle que obtenga un P_value < 0.05 lo cual representa que las clases son heterogéneas, con estos valores se implementa la siguiente ecuación: í𝑛𝑑𝑖𝑐𝑒 = ∑ 𝑃𝑣𝑎𝑙𝑢𝑒𝑠 𝑇𝑡𝑜𝑡 + 𝑃𝑣𝑎𝑙𝑢𝑒𝑠 𝑓/𝑉𝑇 # 𝑑𝑒 𝑛𝑖𝑣𝑒𝑙𝑒𝑠 𝑑𝑒 𝑑𝑒𝑠𝑐𝑜𝑚𝑝𝑜𝑠𝑖𝑐𝑖ó𝑛 Ecuación 3. Indicie de selección Wavelet Este procedimiento se replica para las 5 diferentes transformadas. El índice obtenido permite determinar cuál transformada aporta una mayor relevancia en la clasificación, el desarrollo del script para esta prueba se encuentra en el anexo 2 numeral 7, en la tabla 10 pagina 49 y tabla 11 pagina 49 se representa los índices encontrados para cada una de las dos señales.
  • 49.
    49 Ttot Bior P valuesDescripción 3.1 0.0028 p_cA3_Ttot31 0.0483 p_cD3_Ttot31 3.3 0.0063 p_cA3_Ttot33 3.5 0.0058 p_cA3_Ttot35 3.7 0.0068 p_cA3_Ttot37 3.9 0.0079 p_cA3_Ttot39 f/VT 3.1 0.3549 p_cd2_fVt 3.3 0.3297 p_cd2_fVt 3.5 0.3234 p_cd2_fVt 3.7 0.3234 p_cd2_fVt 3.9 0.4570 p_cd2_fVt Tabla 10. Resultados prueba U Mann Whitney Wavelet Índice Bior 3.1 0.4329 Bior 3.3 0.1715 Bior 3.5 0.4394 Bior 3.7 0.257 Bior 3.9 0.2404 Tabla 11. Resultados al aplicar la ecuación 3. Como se puede observar en los resultados anterior la señal f/Vt no presento ningún P_value menor a 0.05 entonces se tomaron aquellos que obtuvieron el menor. Para de esta forma calcular el índice y seleccionar la transformada. En conclusión se va a tomar la trasformada wavelet bior 3.3. Con los coeficientes de aproximación y de detalle expresados en la tabla 10 página 49. Con las dos nuevas señales obtenidas al aplicar la transformada wavelet en los 66 pacientes se procede a encontrar los datos estadísticos para ingresar como entradas del clasificador.
  • 50.
    50 Entrada Variable EntradaVariable 1 Media p_cA3_Ttot33 8 Media p_cd2_fVt 2 Desviación p_cA3_Ttot33 9 Desviación p_cd2_fVt 3 Moda p_cA3_Ttot33 10 Moda p_cd2_fVt 4 R. intercuartil p_cA3_Ttot3311 R. intercuartil p_cd2_fVt 5 Oblicuidad p_cA3_Ttot33 12 Oblicuidad p_cd2_fVt 6 Varianza p_cA3_Ttot33 13 Varianza p_cd2_fVt 7 Curtosis p_cA3_Ttot33 14 Curtosis p_cd2_fVt Tabla 12. Variables de entrada La tabla 12 página 50 relaciona numéricamente (entrada) los estadísticos computados a cada serie temporal luego de haberle aplicado la transformada wavelet, en el anexo 1 encontramos los resultados de cada paciente. En la tabla 13 página 50 se encuentran la media y la desviación estándar de todas la variables halladas. Ttot- condición 1 -ca3 Media Moda Varianza curtosis oblicuidad desviación rango intercuartil media total 0,19676 0,19676 8,95094 8,95094 0,03076 0,03076 0,168986163 desviación 0,06515 0,06515 7,60359 7,60359 0,00935 0,00935 0,059496868 Ttot- condición 2 -ca3 media total 0,17995 0,17995 5,80411 5,80411 0,02707 0,02707 0,163210085 desviación 0,07639 0,07639 2,39951 2,39951 0,01075 0,01075 0,068060919 f/VT- condición 1 -CD3 media total 0,14324 0,14324 6,75523 6,75523 0,02371 0,02371 0,121516489 desviación 0,07782 0,07782 1,97721 1,97721 0,00914 0,00914 0,061056516 f/VT- condición 2 -CD3 media total 0,12322 0,12322 5,58177 5,58177 0,01846 0,01846 0,107054507 desviación 0,05268 0,05268 2,58151 2,58151 0,00896 0,00896 0,046719325 Tabla 13. Análisis estadístico de las variables
  • 51.
    51 Diseño de lared neuronal Al aplicar la transformada Wavelet y obtener un nuevo conjunto de variables se debe proceder con la búsqueda del número de neuronas que se adecuen a los datos encontrados, por ende se realiza nuevamente la búsqueda exhaustiva replicando el algoritmo utilizado para este fin, los criterios de parada y algoritmos de entrenamiento no varían. Los resultados del número de neuronas que mejor porcentaje de clasificación obtuvo para cada uno de los diferentes métodos de entrenamiento están expresados en la tabla 14 pagina 51. Algoritmo Numero de neuronas Porcentaje Early Stopping Traingdx 88 66.66% ± 0.63 Trainrp 53 65% ± 0.05 Trainlm 100 63.2% ± 0.24 Regularización Bayesiana Trainrb 80 68.1% ± 0.06 Tabla 14. Resultados Búsqueda exhaustiva Selección de características Buscando la viabilidad de aplicar la transformada Wavelet en las señales respiratorias se evalúan las dos técnicas FS y AG con las nuevas variables obtenidas, con el objetivo de observar si mejora el porcentaje de clasificación. Forward Selection La tabla 15 página 52 ilustra las variables que obtuvieron los mejores porcentajes de clasificación, después de implementar la selección de características en el clasificador neuronal, en la tabla 12 páginas 50 encontramos la relación del número con su respectiva variable. Los resultados de los porcentajes de
  • 52.
    52 clasificación Vs númerode variables seleccionadas se observan en la figura 13 pagina 52. Figura 13. Porcentaje de clasificación Vs número de variables La implementación del algoritmo FS para las señales obtenidas con la transformada Wavelet se encuentra en el script del anexo 2 numeral 8. 0 5 10 15 50 55 60 65 70 75 80 X: 2 Y: 72.33 Forward selection Numero de Variables PorcentajedeClasificación X: 3 Y: 70 X: 5 Y: 71.67 X: 2 Y: 73.33 traingdx trainrp trainlm trainbr Algoritmo Variable Porcentaje Early Stopping Traingdx 14-2 72.33% ± 0.066 Trainrp 6-3-8 70% ± 0.024 Trainlm 8-3-9-10-6 71.67% ± 0.123 Regularización Bayesiana Trainrb 8-14 73.3% ± 0.19 Tabla 15. Resultados Forward Selection Wavelet
  • 53.
    53 Algoritmos Genéticos La selecciónde características por medio de AG se realizó con los mismos parámetros de búsqueda planteados anteriormente y su implementación se encuentra en el anexo 2 numeral 9, se obtuvieron los siguientes resultados planteados en la tabla 16 de la página 53. Algoritmo Variable Porcentaje Early Stopping Traingdx 14-8-9-6-11 75% ± 0.022 Trainrp 2-14 72.5% ± 0.077 Trainlm 8-4-11-14-3 73.33% ± 0.54 Regularización Bayesiana Trainrb 8-14 73.33% ± 0.065 Tabla 16. Resultados AG Wavelet 7.2 Interacción Cardiorrespiratoria En cuanto al acoplamiento entre sistema respiratorio y sistema cardiaco, se quiere analizar el comportamiento de ellas, la iteración de estas dos señales presentan un fenómeno que durante la inspiración el ritmo cardíaco aumenta y durante la espiración disminuye, conocido como la arritmia sinorrespiratoria [60,11], este fenómeno nos permite darnos cuenta la relación existente en estos dos sistemas, prediciendo que pudiese existir variables relevantes que ayuden a encontrar una mejor solución en la clasificación del problema planteado. En la lectura de los datos no se encuentra un periodo de muestreo fijo, para lo cual es necesario transformar estas señales con diferentes frecuencias de muestreo a señales equivalentes, en un estudio realizado por la universidad de Catalunya se determina que el periodo de muestreo óptimo para el acoplo de estos dos sistemas es de 2Hz [61]. Se realiza el remuestreo y para lograr este objetivo se busca un proceso que permita la reconstrucción aproximada o exacta de una
  • 54.
    54 0 20 4060 80 100 120 140 160 0.5 1 1.5 2 2.5 3 Paciente 1 señal TOT tiempo TOT señal interpolada señal original 0 20 40 60 80 100 120 140 160 200 400 600 800 1000 1200 1400 1600 1800 2000 2200 Paciente 1 señal RR tiempo RR señal interpolada señal original 0 20 40 60 80 100 120 140 160 0.06 0.08 0.1 0.12 0.14 0.16 0.18 Paciente 1 señal f/VT tiempo f/VT señal interpolada señal original 20 40 60 80 100 120 140 160 180 450 500 550 600 650 700 750 Paciente 36 señal RR tiempo RR señal interpolada señal original 0 20 40 60 80 100 120 140 160 180 0.8 1 1.2 1.4 1.6 1.8 2 Paciente 36 señal TOT tiempo TOT señal interpolada señal original 0 20 40 60 80 100 120 140 160 180 0.02 0.04 0.06 0.08 0.1 0.12 0.14 0.16 Paciente 36 señal f/VT tiempo f/VT señal interpolada señal original Figura 14. Interpolación de pacientes en condición de éxito y fracaso. señal a partir de sus muestras, En este caso se optó por utilizar la interpolación cuadrática técnica que permite la predicción de nuevos puntos a través del tiempo permitiendo variar el periodo de muestreo, ya que en estudios realizados se demuestra que este método de interpolación es ideal para la aproximación de señales que presenten comportamiento lineales y oscilatorios [34,64]. Debido a que las señales presentan periodos de muestreo pequeños esta interpolación funciona adecuadamente, permitiendo llevar las tres señales (RR, f/VT, Ttot) a la misma frecuencia de muestreo, esta implementación se encuentra en el script del anexo 2 numeral 10. En la figura 14 página 54 se observa la señal original con respecto a la nueva de un paciente por cada condición. Se busca encontrar una medida estadística que permita analizar la diferencia de la señal original con respecto a la hallada en el remuestreo, por lo cual se opta por usar el error medio cuadrático, ya que este me permite evalúa porcentualmente la diferencia existente entre las dos señales. En la tabla 17 página 55 se encuentran los resultados obtenidos al aplicar el error medio cuadrático entre las dos señales, y el promedio de los resultados observando que ninguno de ellos supera un error del 3%.
  • 55.
    55 ERROR MEDIO CUADRATICO PACIENTETtot f/VT RR Ttot f/VT RR CONDICION 1 CONDICION 2 1 0,88518 0,16950 3,56576 3,72992 0,08863 0,57060 2 7,78418 0,44124 0,60587 8,36489 0,63175 0,34828 3 0,69647 2,12893 2,37342 3,51999 0,20866 0,44802 4 1,67361 0,14321 8,09468 1,73834 0,01965 55,91692 5 5,79053 0,19562 1,39922 1,31699 0,01097 0,43255 6 1,65603 0,05747 1,32497 8,04138 0,61093 1,18988 7 0,09694 0,01207 1,02630 1,56302 0,09334 2,55042 8 1,84961 0,11651 0,66605 2,48253 0,00783 0,08013 9 1,71473 0,08066 0,06478 2,66607 0,00808 0,10491 10 1,03086 0,04130 0,50460 2,84387 0,29531 0,65195 11 0,57866 0,52911 1,69000 0,33949 0,03418 1,15494 12 0,19857 0,70697 0,00190 1,91628 0,11119 2,01806 13 3,99747 0,65862 0,12215 0,20436 0,07067 0,59688 14 2,98142 0,27462 0,30852 0,35695 0,01378 0,00523 15 4,12519 0,18286 1,78077 0,61615 0,16805 0,15501 16 1,65836 0,46089 1,60471 0,04508 0,09194 0,56905 17 2,46129 0,65283 2,65917 0,33401 0,13478 0,01526 18 4,53552 1,14889 0,28652 1,47681 2,17478 1,14832 19 3,31943 0,18927 0,65113 1,15657 0,66206 0,44683 20 0,67407 0,29741 0,45352 6,58069 0,63218 0,01296 21 1,47681 0,97004 2,71572 0,25111 0,04392 0,29682 22 4,57313 0,43067 0,22286 5,91596 9,45191 2,02300 23 3,63452 0,94508 0,13785 0,87076 1,08641 0,17779 24 2,91965 0,04074 1,07214 0,38624 0,66578 2,08039 25 3,65490 0,08261 1,33853 69,82036 3,46226 1,43161 26 5,71668 0,03561 2,64008 4,43954 9,39827 1,78359 27 5,80321 0,26981 0,84801 0,62819 0,07839 1,54200 28 2,08800 0,31364 0,02975 3,13934 0,40847 1,07539 29 2,97330 0,53785 0,68543 3,73802 0,06307 0,41254 30 4,44585 0,48385 4,18039 1,21826 0,05963 0,57358 31 1,89489 0,40211 0,19613 1,91933 0,45889 1,75372 32 1,69852 0,25302 0,18946 0,45361 0,18508 0,29146 33 4,30113 0,15978 0,07243 2,89228 0,13778 0,57889 PROMEDIO 2,81481 0,40645 1,31857 2,81481 0,40645 1,31857 Tabla 17. Error medio cuadrático resultados
  • 56.
    56 7.2.1 Estadísticos Obtención delos datos estadísticos Investigaciones realizadas sobre la variación de cargas resistivas en los modos ventilatorios, sugieren que hay variaciones en el patrón respiratorio que dependen directamente de estas, las cuales se ven reflejadas en un incremento del TTot y del f/VT [61,62]. Adicionalmente se ha demostrado la influencia del patrón respiratorio sobre la HRV y la Arritmia Sinosrespiratoria (RSA). Dada la dependencia entre la arritmia sinusrespiratoria la duración del ciclo respiratorio y el volumen tidal [63], básicamente en las bajas frecuencias de estos parámetros [60]. Por esta razón se continúa con las dos series respiratorias (f/VT y Ttot) y la señal RR resultantes luego de haber implementado el remuestreo, se realiza el pre- procesamiento de datos obteniendo los siguientes estadísticos: Entrada Variable Entrada Variable Entrada Variable 1 Media TOT 8 Media FVT 15 Media 2 Desviación TOT 9 Desviación FVT 16 Desviación RR 3 Moda TOT 10 Moda FVT 17 Moda RR 4 R. intercuartil TOT11 R. intercuartil FVT18 R. intercuartil RR 5 Oblicuidad TOT 12 Oblicuidad FVT 19 Oblicuidad RR 6 Varianza TOT 13 Varianza FVT 20 Varianza RR 7 Curtosis TOT 14 Curtosis FVT 21 Curtosis RR Tabla 18. Datos estadísticos Cardiorrespiratorio. La tabla 18 pagina 56 relaciona numéricamente (entrada) los estadísticos computados a cada señal y en el anexo 1 los resultados obtenidos. En la tabla 19 página 57 se encuentran la media y la desviación estándar de todas la variables halladas.
  • 57.
    57 Ttot- condición 1 MediaModa Varianza Curtosis Oblicuidad Desviación rango intercuartil Media total 0,19964 0,37155 0,27297 0,52225 0,08061 0,01135 0,042447563 Desviación 0,12461 0,23952 0,2379 0,1867 0,06242 0,01827 0,034846467 Ttot- condición 2 Media total 0,15131 0,28744 0,29695 0,51309 0,09864 0,04649 0,063242716 Desviación 0,17368 0,17231 0,28937 0,2362 0,18984 0,1742 0,174734135 f/VT- condición 1 Media total 0,06051 0,08617 0,07749 0,31055 0,04134 0,00462 0,030659426 Desviación 0,0787 0,09317 0,09522 0,15795 0,05292 0,01514 0,034301236 f/VT- condición 2 Media total 0,14847 0,12689 0,13428 0,32112 0,08763 18,5635 0,137264935 Desviación 0,21189 0,2181 0,2126 0,14681 0,04933 12,5836 0,201268703 RR- condición 1 Media total 0,5458 0,98535 0,09417 0,73687 0,03491 0,03043 0,032280703 Desviación 0,16634 0,00759 0,1555 0,12047 0,1709 0,1714 0,171082878 RR- condición 2 Media total 0,48257 0,95474 0,08376 0,70938 0,01094 0,00124 0,006585324 Desviación 0,2134 0,16891 0,17408 0,15244 0,0335 0,00486 0,019646746 Tabla19. Análisis estadísticos de las variables Ttot, f/VT y RR Clasificador con RNs En la configuración de la red neuronal se toma las configuraciones con las cuales se ha venido trabajando a lo largo de la investigación. En este punto se seleccionaron los dos tipos de entrenamientos que obtuvieron los mejores porcentajes de clasificación, los seleccionados fueron Traingdx, y Trainrb. De igual manera se manejó el mismo número de neuronas halladas con la búsqueda exhaustiva para cada tipo de entrenamiento.
  • 58.
    58 Selección de características Siguiendocon la metodología propuesta se implementa las dos técnicas propuestas FS y AG, con el fin de comprobar si el sistema cardiorrespiratorio tiene algún aporte significativo, o genera alguna variable o variables relevantes que aporten significancia a la clasificación del sistema. Forward Selection En este punto se analiza si se encuentra alguna combinación que con el aporte de la señal del electro cardiograma y teniendo en cuenta alguna variable de esta señal mejore la respuesta del clasificador, los resultados de esta prueba son positivos debido a que aumenta el porcentaje de clasificación con respecto a las anteriores pruebas. La implementación de esta técnica aplicada para el sistema cardiorrespiratorio se encuentra en el anexo 2 numeral 11. En la tabla 20 página 58 se describen los resultados obtenidos al aplicar esta técnica con los dos métodos de entrenamiento determinados. Los resultados de los porcentajes de clasificación Vs número de variables seleccionadas se observan en la figura 15 pagina 59. Algoritmo Variable Porcentaje Early Stopping Traingdx 8-12-20-2 79% ± 0.72 Regularización Bayesiana Trainrb 7-8-13-14-20 77.67% ± 0.32 Tabla 20. Resultados Forward Selection.
  • 59.
    59 Figura 15. Porcentajede clasificación Vs número de variables. Algoritmos Genéticos La selección de características por medio de AG se realizó con los mismos parámetros de búsqueda planteados anteriormente implementando la señal del electrocardiograma y se obtuvieron los siguientes resultados planteados en la tabla 21 página 59. La función adecuada para la aplicación de la búsqueda de características por medio de AG para el sistema cardiorrespiratorio se encuentra en el anexo 2 numeral 11. 0 2 4 6 8 10 12 0 10 20 30 40 50 60 70 80 90 100 Forward selection Numero de Variables Acuracy X: 4 Y: 76.67 X: 3 Y: 79 Acuracy Algoritmo Variable Porcentaje Early Stopping Traingdx 4-21-16-19-8-10 75% ± 0.112 Regularización Bayesiana Trainrb 8-6-15-20 71.167% ± 0.32 Tabla 21. Resultados búsqueda por AG.
  • 60.
    60 7.2.2 La transformadaWavelet. Tomando las transformadas Wavelet encontradas para el sistema respiratorio con las dos series temporales (f/VT, Ttot), se toma la señal RR para encontrarle su transformada, observando los resultados obtenido en el análisis desarrollado para las señales del sistema respiratorio se decide implementar la wavelet bior 3.3, siendo esta la seleccionada con anterioridad, y dejar todo en función de una sola de ellas con el fin de analizar qué tan efectiva resulta ser esta al momento de clasificar permitiendo analizar qué tan relevante puede llegar a hacer la señal RR al aplicarle esta transformada wavelet en la solución al problema de clasificación en los pacientes que fueron sometidos a la extubación de la ventilación mecánica. Para encontrar la transformada Wavelet se reutiliza el script del anexo 1 numeral 6, una vez encontrada la transformada de la señal RR (señal del electrocardiograma) se procede a realizar la prueba U de Mann Whitney con el fin de determinar cuál o cuáles coeficientes de detalle o de aproximación se implementaran, cabe recordar que se tomaran aquellas señales que presenten un resultado menor a 0.05 en la prueba, su implementación se encuentra en el anexo 2 numeral 7. Los resultados de esta prueba realizada a la señal RR de los pacientes aplicando la transformada Wavelet se encuentra en la tabla 22 página 60. RR p_cA3_RR p_cD3_RR P_cD2_RR 0.0881 0.2871 0.1823 Tabla 22. Resultados prueba U de Mann Whitney Como se puede observar ninguna señal cumplió con el criterio de selección establecido, pero se tomara el de menor resultado con el fin de no descartar la posibilidad de encontrar variables relevantes en estas señales que se generan del sistema cardiaco, debido a que la prueba U-Mann Whitney es una prueba no paramétrica, que busca encontrar diferencias significativas entre clases, lo que
  • 61.
    61 busca es mostrarun grado de solapamiento entre las variables, el criterio de un P- value menor a 0.005 da un indicio del rechazo de la hipótesis nula en cuanto a que las muestras provienen de la misma muestra, mas no implica que pueda tomarse como criterio estricto para eliminar o meter variables, todo depende del autor y su criterio en utilizar la prueba, el uso de los resultados más bajos, se da a la luz de que se supone que se trabajaran con los resultados que nos muestran mejor tendencia a ser usados, al final el procesamiento y la clasificación darán pautas para indicar si fue, o no fue tan buena elección. La prueba determino que el coeficiente de aproximación de nivel 3 de la señal RR obtuvo un P-value de 0.0881 representado la mayor dispersión entre las señales analizadas. Entrada Variable EntradaVariable Entrada Variable 1 Media p_cA3_Ttot33 8 Media p_cd2_fVt 15 Media p_cA3_RR33 2 Desviación p_cA3_Ttot33 9 Desviación p_cd2_fVt 16 Desviación p_cA3_RR33 3 Moda p_cA3_Ttot33 10 Moda p_cd2_fVt 17 Moda p_cA3_RR33 4 R. intercuartil p_cA3_Ttot33 11 R. intercuartil p_cd2_fVt 18 R. intercuartil p_cA3_RR33 5 Oblicuidad p_cA3_Ttot33 12 Oblicuidad p_cd2_fVt 19 Oblicuidad p_cA3_RR33 6 Varianza p_cA3_Ttot33 13 Varianza p_cd2_fVt 20 Varianza p_cA3_RR33 7 Curtosis p_cA3_Ttot33 14 Curtosis p_cd2_fVt 21 Curtosis p_cA3_RR33 Tabla 23. Datos estadísticos Cardiorrespiratorio transformada Wavelet Se procede con la conversión de las señales a datos puntuales por medio de la obtención de los estadísticos para cada señal, la tabla 23 pagina 61 relaciona numéricamente (entrada) los estadísticos computados a cada señal y en el anexo 1 los resultados obtenidos. En la tabla 24 pagina 62 encontramos la media y la desviación estándar del conjunto de variables halladas luego de haber aplicado la transformado Wavelet a la señal RR.
  • 62.
    62 RR- condición 1-ca3 media Moda varianza curtosis Oblicuidad desviación rango intercuartil media total 0,24407 7,02065 0,03369 0,21584 0,03013 0,47652 0,002033279 desviación 0,06159 6,94793 0,02997 0,0889 0,02688 1,48739 0,003096593 RR- condición 2 -ca3 media total 0,22462 4,52366 0,02424 0,20232 0,02712 -0,4179 0,00115092 desviación 0,07225 3,29689 0,02374 0,08916 0,02461 0,95383 0,002209015 Tabla 24. Análisis estadísticos de la transformada Wavelet RR Selección de características Al realizar la selección de características por las dos técnicas planteados FS y AG en este caso se puede determinar que los algoritmos genéticos realizan una mejor selección de las variables y que como se puede apreciar en la tabla 25 página 62 se observa el resultado más alto obtenido en el desarrollo de la metodología, también se observa la influencia que tiene la señal cardiaca ya en cada uno de los resultados aparece por lo menos selecciona una variable como relevante en el proceso de clasificación. Forward Selection Algoritmo Variable Porcentaje Early Stopping Traingdx 4-21-16-19-8-10 75% ± 0.112 Regularización Bayesiana Trainrb 8-2-15-20 71.167% ± 0.32 Algoritmos Genéticos Algoritmo Variable Porcentaje Early Stopping Traingdx 2-8-13-18-20 78.2% ± 0.72 Regularización Bayesiana Trainrb 8-20-18-2 77.67% ± 0.32 Tabla 25. Resultados selección de características Wavelet El script implementado para el desarrollo de la selección de características se encuentra en el anexo 2 numeral 12 y numeral 13.
  • 63.
    63 8 Conclusiones Algoritmo Variablede señales Ttot y f/VT Porcentaje Forward Selection Early Shopping Traingdx Media f/VT- Curtosis f/VT-Desv. f/VT-Varianza Ttot-R. Inter. f/VT- Media Ttot 75% ± 0.033 Regularización Bayesiana Trainrb1 Media f/VT-Varianza f/VT 73.33% ± 0.18 Algoritmos Genéticos Early Shopping Traingdx Media f/VT-Moda f/VT-Varianza f/VT 77% ± 0.063 Regularización Bayesiana Trainrb1 Media Ttot-Desv Ttot –Varianza Ttot-Curtosis Ttot-Oblicuidad f/VT- Varianza f/VT 77% ± 0.065 Wavelet señales Ttot ca3 y f/VT CD3 Forward Selection Early Stopping Traingdx Curtosis f/vt-Desviación Ttot 72.33% ± 0.066 Regularización Bayesiana Trainrb Media f/VT Curtosis f/VT 73.3% ± 0.19 Algoritmos Genéticos Early Stopping Traingdx Deviación f/VT – Varianza Ttot - R. Intercuartil 75% ± 0.022 Algoritmos Genéticos Trainrb Curtosis f/vt-Media f/VT 73.33% ± 0.065 Tabla 26. Resultados selección de características señales Ttot y f/VT. Las RN´s son una técnica sofisticada capaz de modelar funciones complejas de diversas índoles. Conjuntamente apoyado con la técnica FS y AG permite
  • 64.
    64 Obtener un buenconjunto de características para el cual nos permite mejorar notablemente los resultados del sistema. Al comparar los dos métodos de selección de características se determina que es mejor utilizar AG en el análisis del sistemas respiratorio ya este proporciona los mejores porcentajes de clasificación. En la tabla 26 pagina 63 se ilustran los mejores resultados de la selección de características y se observa que en la mayoría de los casos el algoritmo Traingdx proporciona los mejores porcentajes de clasificación. Al encontrar la moda de las variables que se mantienen en cada clasificación de los resultados obtenidos al aplicar FS y AG (tabla 7 página 46 y tabla 9 página 47) se observa que las variables más usadas en los clasificadores luego de aplicar la selección de características son la Media f/VT, Varianza f/VT y la Varianza Ttot, y que la combinación de estas se encuentra presentes en los mejores resultados de clasificación. De igual manera el proceso que realiza la red neuronal no es determinístico, y por ser un proceso de aleatorización podrá realiza la combinación de diferentes variables pero se percibe la presencia al menos una de estas variables en cada uno de los resultados obtenidos. Se puede observar que al aplicar la transformada wavelet con las señales respiratorias no se observan resultados positivos, se obtiene inferiores porcentajes de clasificación a los obtenidos al aplicar los estadísticos, y al encontrar la moda en los resultados encontrados en la tabla 15 página 52 y tabla 16 página 53 se resaltan las siguiente variables Media p_cd2 f/VT y Curtosis p_cd2 f/VT, los dos métodos de selección de característica se presenta la combinación de ellos dos, pero de igual manera por sí solo no arrojan el mejor resultado.
  • 65.
    65 Variable de señalesTtot y f/VT RR Porcentaje Forward Selection Early Stoping Traingdx Media f/VT-Oblicuidad f/VT-Varianza RR- Desviación Ttot 79% ± 0.72 Regularización Bayesiana Trainrb1 Media f/VT-Desviación Ttot-Curtosis f/VT-Varianza RR 77.67% ± 0.063 Algoritmos Genéticos Early Stoping Traingdx Media f/VT-Curtosis f/VT-Curtosis RR 74% ± 0.61 Regularización Bayesiana Trainrb1 Curtosis f/VT Oblicuidad f/VT Varianza RR Curtosis RR 75% ± 0.35 Wavelet señales Ttot ca3 y f/VT CD3 RR Forward Selection Early Stoping Traingdx R. intercuartil Ttot-Curtosis RR-Desviación RR-Oblicuidad RR-Media f/VT-Moda f/VT 75% ± 0.112 Regularización Bayesiana Trainrb Media f/VT-Varianza TOT-Media RR-Varianza RR 71.167% ± 0.3 Algoritmos Genéticos Early Stoping Traingdx Desviación Ttot-Media f/VT-Varianza f/VT-R. intercuartil RR-Varianza RR 78.2% ± 0.72 Algoritmos Genéticos Trainrb Media f/VT-Varianza RR-Oblicuidad RR-Desviación-Ttot 77.67% ± 0.32 Tabla 27. Resultados selección de características señales RR Ttot y f/VT. Al ingresar unas nuevas variables correlacionadas al sistema, como lo son las obtenidas por la señal RR se puede observar el cambio en la conformación de estas al completar la selección de características, esto es debido a la generación de nuevas combinaciones, pero aun así hay variables que siguen permaneciendo como relevantes para el desarrollo de la clasificación de los pacientes.
  • 66.
    66 Al incluir laserie RR se obtiene un aumento en los porcentajes de clasificación (+2%) respecto al mejor resultado obtenido al analizar las señales del sistema respiratorio (Ttot, f/VT), lo cual nos resalta la importancia interacción del sistema cardiorrespiratorio. Al aplicar la trasformada Wavelet implementando la señal RR se observa mejoría en los resultados con respecto a los obtenidos con solo las señales respiratorias, debido a que en las señales RR presentas mayor dispersión entre clases al realizarles un análisis en frecuencia. El método implementado en este proyecto reafirma la importancia de tener en cuenta el sistema cardiorespiratorio en la búsqueda de la mejor solución para el problema de la búsqueda del momento óptimo de desentubación No se logra superar los porcentajes de clasificación encontrados en la búsqueda bibliográfica, pero de igual manera pero se encuentra un conjunto de variables significativas las cuales se podría implementar diferentes técnicas de clasificación con el objetivo de encontrar un mayor porcentaje de clasificación.
  • 67.
    67 9 Bibliografía [1] westj. fisiologia respiratoria. Editorial medica panamericana. Sexta edición, Buenos aires, 2004. [2] f frutos i alia m r lorenzo j garcía pardo m nolla j ibáñez j p tirapu s macias j blanco s benito a anzueto a esteban (2003). Utilización de la ventilación mecánica en 72 unidades de cuidados intensivos en España, medicina intensiva vol. 27 núm. 1 pág. 1-12 [3] cristancho, g. w. (2003). Fundamentos de la fisioterapia respiratoria y ventilación mecánica manual moderna: 419-435. [4] b. Giraldo, member, ieee, c. Arizmendi, member, ieee, e. Romero, r. alquezar, p. caminal,s. benito, d, (2006). Ballesteros patients on weaning trials classified with neural networks and features selection procedings of the 28th ieee embs annual international conference isbn 1-4244-0033-3/06_ ieee. [5] b. giraldo, member, ieee, a. garde, c. arizmendi, member, ieee, r. jané, member, ieee,s. benito, i. diaz, d. ballesteros, (2006). support vector machine classification applied on weaning trials patients procedings of the 28th ieee embs annual international conference isbn 1-4244-0033-3/06/_ieee, [6] pere caminal , beatriz giraldo, haritz zabaleta , montserrat vallverdu , salvador benito , d ballesteros , l lópez-rodriguez , a esteban , m baumert , andreas voss, (2005) joint symbolic dynamic analysis of cardiorespiratory interactions in patients on weaning trials. a: 27th annual international conference of the ieee engineering in medicine and biology society p. 1-4. [7]. dirk cysark, arndt büssing (2005) cardiorrespiratory symchronization during zenial s meditation eur j appl physiol, 95: 88-95
  • 68.
    68 [8] benito s.net a., (1990). “función pulmonar en paciente ventilado”. ed.doyma. barcelona-españa [9] Carlos J. Finlay (2011). “Protocolo para el destete de pacientes acoplados a ventilación mecánica” tesis para grado científico. [10] Dr. F. Ramos (2007). “Desconexión de ventilación mecánica”. Tomado de la web 20 de noviembre 2013. http://chguv.san.gva.es/Inicio/ServiciosSalud/ServiciosHospitalarios/AnestRea/Doc uments/RAMOS_Prot_DesconVentMecanica_CHGUV130307.pdf [11] haritz zabaleta rekondo (2013). “análisis de interacción entre patrón respiratorio y frecuencia cardíaca, mediante dinámica simbólica conjunta, en pacientes durante el proceso de extubación de ventilación mecánica”. Proyecto maestría. [12] carlos j. arizmendi (2007). “técnicas de análisis del patrón respiratorio y cardiorrespiratorio para la extracción de índices en pacientes en proceso de extubación” tesis doctoral upc [13] b. giraldo1, c. arizmendi, e. romero, r. alquezar, p. caminal,s. benito, d. ballesteros. “clasificación de pacientes en proceso de extubacion mediante redes neuronales y selección características” [14] b. giraldo giraldo, c. arizmendi pereira, p. caminal magrans, i. díaz, s. benito vales. “análisis de cluster aplicado a clasificación de pacientes en proceso de extubación”. [15] Carlos Arizmendi, Enrique Romero, René Alquezar, Pere Caminal, Ivan Díaz, Salvador Benito,Beatriz F. Giraldo, Member, IEEE, 2009. “Data Mining of Patients on Weaning Trials from Mechanical Ventilation Using Cluster Analysis and Neural Networks”
  • 69.
    69 [16] fransisca llobel.“algoritmo de extubacion” tomado de la web el dia 21 de septiembre del 2013. http://es.scribd.com/doc/52022291/cuando-y-como-extubar- algoritmo-extrategia-definitivo [17] P. CAMINAL, B. F. GIRALDO,M. VALLVERDU´ , S. BENITO,5.(2010). “Symbolic Dynamic Analysis of Relations Between Cardiac and Breathing Cycles in Patients on Weaning Trials”. [18] Andrés Arcentales, Beatriz F. Giraldo(2011). “Recurrence Quantification Analysis of Heart Rate Variability and Respiratory Flow Series in Patients on Weaning Trials” [19] M. G. Rosenblum, A. S. Pikovsky, and J. Kurths, (2004). Autocorrelation function and spectral linewidth of spiral chaos in a physical experiment Fluct. Noise Lett. 4, L53. [20] M. G. Rosenblum and A. S. Pikovsky, (2004) Controlling Synchronization in an Ensemble of Globally Coupled Oscillators Phys. Rev. Lett. 92, 114102. [21] T. Schreiber, (2001) detecting direction of coupling in interacting oscillators Phys. Rev. Lett. 85, 461. [22] Miguel Zamorano C., Higinio Rubio A. (2010), Análisis de señales mediante STFT y Wavelet. Aplicación a defectologia en rodamiento. [23] J. Jamsek, A. Stefanovska, and P. V. E. (2004). Nonlinear cardio-respiratory interactions revealed by time-phase bispectral analysis McClintock, Phys. Med. Biol. 49, 4407. [24] M. Richter, T. Schreiber, and D. T. Kaplan, (1998) Human Ecg: Nonlinear Deterministic Versus Stochastic Aspects.IEEE Eng. Med. Biol. Mag. 45, 133. [25] G.D. Pinna’, R. Maestri’, S. Caponiolla’, M. T. La Rovere’, D. Andrews’, P. Johnson’, A. Mortara, (2003) “home telemonitomng of vital signs and cardiorespiratory signals in chronic heart failure patients” IEEE Eng. Med. Biol. Mag. 20, 55. [26] B. Giraldo, Member, IEEE, C. Arizmendi,Member, IEEE, E. Romero, R. Alquezar, P. Caminal,S. Benito, D, (2006). Ballesteros Patients on Weaning Trials
  • 70.
    70 classified with NeuralNetworks and Features Selection procedings of the 28th IEEE embs Annual International Conference ISBN 1-4244-0033-3/06_ IEEE. [27] SRR Vieira, AD Costa and MM Rieder, (2003) Cardiorespiratory measurements during weaning from mechanical ventilation in critical care patients: comparison of pressure support ventilation and T-piece, 23rd International Symposium on Intensive Care and Emergency Medicine Critical Care 2003, 7(Suppl 2):P176. doi:10.1186/cc2065. [28] S Rzeczinski, NB Janson, AG Balanov, PVE ,(2002) Regions of cardiorespiratory synchronization in humans under paced respiration- Physical Review E, 2002 - APS. [29]. Dirk cysark, Arndt Büssing (2005) Cardiorrespiratory symchronization during zenial s meditation Eur J Appl Physiol, 95: 88-95 [30] M . Susan. Barman and Gerard L. Gebber (2000) "Rapid" Rhythmic Discharges of Sympathetic Nerves: Sources, Mechanisms of Generation, and Physiological Relevance”J Biol Rhythms; 15; 365 DOI: 10.1177/074873000129001468 [31] Larsen PD, Booth P, Gallety DC (1999). Cardioventilatory coupling in atrial fibrilation. Br J Anaesth;82:685-90. [32] Carlos J. Finlay (2003). “El método de remuestreo y su aplicación en la investigación biomédica”. Trabajo para optar por el título de especialista en bioestadística. [33] Francisco Gomez. “Procesamiento Digital de Señales”. tomado de la web el día 4 de diciembre del 2013. http://arantxa.ii.uam.es/~taao1/teoria/tema5/tema5.pdf
  • 71.
    71 [34] Interpolación, Universidadde los andes. Tomado de la web el día 4 de diciembre del 2013 de la url: http://wwwprof.uniandes.edu.co/~gprieto/classes/compufis/interpolacion.pdf [35] Muestreo. Interpolación y diezmado, tomado de la web el dia 4 de diciembre del 2013. http://www.gts.tsc.uvigo.es/ssd/practicas/practica5.pdf [36] Martinez, J. P., Almeida, R., Olmos Gasso, S., Rocha, A. P., Laguna, P., (2004) “A Wavelet-Based ECG Delineator: Evaluation on Standard Databases”, IEEE Transactions on biomedical engineering. [37] C.K,Chui, (1997)“Wavelets: a Mathematical Tool for Signal Analysis”. Texas A&M University College Station, Texas. SIAM. Philadelphia. [38] Robi Polikar, tomado de la web el día 15 de diciembre del 2013 del a url: “http://users.rowan.edu/~polikar/WAVELETS/WTpart1.html”. [39] C.K,Chui, (1997)“Wavelets: a Mathematical Tool for Signal Analysis”. Texas A&M University College Station, Texas. SIAM. Philadelphia. [40] variable selection. Tomado de la web el día 15 de diciembre del 2013.http://www.biostat.jhsph.edu/~iruczins/teaching/jf/ch10.pdf [41] Fiszelew, A. & García-Martínez, (2011). “GENERACIÓN AUTOMÁTICA DE REDES NEURONALES CON AJUSTE DE PARÁMETROS BASADO EN ALGORITMOS GENÉTICOS”. [42] M. Paz Sesmero Lorente (2012)“Diseño, Análisis y Evaluación de Conjuntos de Clasificadores basados en Redes de Neuronas”. Tesis doctoral. [43] “algoritmos genéticos”. Tomado de la web en noviembre del 2013, http://www.sc.ehu.es/ccwbayes/docencia/mmcc/docs [44] Alfonso Pitarque, Juan Carlos Ruiz y Juan Francisco Roy (2003). “Las redes neuronales como herramientas estadísticas no paramétricas de clasificación”.
  • 72.
    72 [45] Cherkassky, V.,Friedman, J.H. y Wechsler, H. (eds.) (1994). From statis -tics to neural networks. Springer- Verlag. Berlin. [46] Croall, I.F. y Mason, J.P. (1992). Industrial applications of neural net -works. Springer-Verlag. N.Y. [47] Raquel Flórez López (2008). “Las Redes Neuronales Artificiales fundamentos teóricos y aplicaciones prácticas”. Netbiblo. Pag. 43 [48] Rodolfo Rivas-Ruiz, Jorge Moreno-Palacios, Juan O. Talaveraa,(2013) “Investigación clínica XVI Diferencias de medianas con la U de Mann-Whitney” [49] Raquel Flórez López (2008). “Las Redes Neuronales Artificiales fundamentos teóricos y aplicaciones prácticas”. Netbiblo. Pag. 43 [50] matlab neuronal toolbox. COPYRIGHT 1992 - 2002 by The MathWorks, Inc. [51] S.A. Salah, M.A. Duarte-Mermoud, N.H. Beltrán, M.A. Bustos, A.I. Peña-Neira, E.A. Loyola, (2007) “Selección de Características usando Algoritmos Genéticos para Clasificación”, departamento de ingeniería electrónica Universidad de Chile. [52] Selección de características, tomado de las web el dia 20 de noviembre del 2013, http://isa.umh.es/asignaturas/iarp/transparencias/teoria_RP_EXTRAC%20- %201.pdf [53] Carlos García, Edwin García y Fernando Villada (2012). “Algoritmo Evolutivo Eficiente Aplicado a la Planeación de la Expansión de Sistemas de Distribución” [54] Andrés Arcentales, Beatriz F. Giraldo(2011). “Recurrence Quantification Analysis of Heart Rate Variability and Respiratory Flow Series in Patients on Weaning Trials” [55] L. S. Correa, B. F. Giraldo(2010). “Multi-parameter Analysis of ECG and Respiratory Flow Signals to Identify Success of Patients on Weaning Trials”. [56] P. CAMINAL, B. F. GIRALDO,M. VALLVERDU´ , S. BENITO,5.(2010). “Symbolic Dynamic Analysis of Relations Between Cardiac and Breathing Cycles in Patients on Weaning Trials”.
  • 73.
    73 [57] Dr. OrlandoDíaz P. “Liberación del Paciente de Ventilación Mecánica” tomado de la web el dia 22 de noviembre del 2013, http://escuela.med.puc.cl/publ/MedicinaIntensiva/Liberacion.html [58] Raquel Flórez López (2008). “Las Redes Neuronales Artificiales fundamentos teóricos y aplicaciones prácticas”. Netbiblo. Pag. 43 [59] Task Force of The European Society of Cardiology and the North American Society for Pacing and Electrophysiology, “Heart rate variability: standars of measurement, physiological interpretation and clinical use”, Anals of Noninvasive Electrocardiology, vol. 1, no. 2, pp. 151-181, 1996. [60] Brown TE, Beightol LA, Koh J, and Eckberg DL,(1998) Important influence of respiration on human R-R interval power spectra is largely ignored. J Physiol, 113: 167-179. [61] Andrés Arcentales, Beatriz F. Giraldo(2011). “Recurrence Quantification Analysis of Heart Rate Variability and Respiratory Flow Series in Patients on Weaning Trials” [62] Pere Caminal , Beatriz Giraldo, Haritz Zabaleta , Montserrat Vallverdu , Salvador Benito , D Ballesteros , L López-Rodriguez , A Esteban , M Baumert , Andreas Voss, (2005) Joint Symbolic Dynamic Analysis of Cardiorespiratory Interactions in Patients on Weaning Trials. A: 27th Annual International Conference of the IEEE Engineering in Medicine and Biology Society p. 1-4. [63] J. Almasi and O. H. Schmitt, (1974). Basic technology of voluntary cardiorespiratory synchronization in electrocardiology IEEE Trans. Biomed. Eng. 21, 264. [64] Erich Steiner, “Matemáticas para las ciencias aplicadas”, Editorial Reverte, 2003 Cap 20. Pag. 512 [65] Oscar J. Olarte, Daniel A. Sierra, (2007), Determinación de los Parámetros Asociados al Filtro Wavelet por Umbralización Aplicado a Filtrado de Interferencias Electrocardiográficas.
  • 74.
  • 75.
  • 76.
    76 Anexo 1. Ttot Condición 1 PacienteNo. Media Moda Curtosis Oblicuidad Desviación Varianza R. Intercuartil 1 0,0915 0,1312 0,8737 0,8160 0,0364 0,0018 0,0157 2 0,2109 0,4868 0,0885 0,3977 0,0461 0,0027 0,0350 3 0,2139 0,1594 0,0606 0,3753 0,0809 0,0076 0,0564 4 0,2891 0,4575 0,0290 0,3731 0,0751 0,0066 0,0682 5 0,2107 0,5365 0,2811 0,4611 0,0638 0,0049 0,0358 6 0,1448 0,3595 0,3449 0,5914 0,0226 0,0008 0,0132 7 0,3311 0,4475 0,1309 0,2205 0,0423 0,0023 0,0352 8 0,2122 0,2790 0,5308 0,7772 0,2397 0,0599 0,1000 9 0,0602 0,2142 0,5506 0,8068 0,1705 0,0310 0,0356 10 0,4156 0,9679 0,1091 0,2696 0,1041 0,0121 0,0778 11 0,0051 0,1757 0,0580 0,3707 0,0127 0,0003 0,0113 12 0,4017 0,7378 0,1977 0,5009 0,0451 0,0026 0,0374 13 0,0399 0,0672 0,3933 0,7429 0,2933 0,0888 0,0644 14 0,3447 0,3330 0,1374 0,3709 0,0807 0,0075 0,0458 15 0,2192 0,2136 0,0000 0,2601 0,0848 0,0083 0,0974 16 0,0513 0,2767 0,5297 0,8015 0,1283 0,0180 0,0141 17 0,2198 0,3249 0,1361 0,5888 0,1266 0,0175 0,0564 18 0,2672 0,2255 0,0165 0,4065 0,1707 0,0311 0,1626 19 0,4107 0,8136 0,2411 0,5275 0,0260 0,0010 0,0167 20 0,4698 1,0000 0,1335 0,4497 0,0464 0,0028 0,0243 21 0,1420 0,5221 0,3144 0,2970 0,0312 0,0014 0,0165 22 0,2082 0,5702 0,2662 0,4290 0,0320 0,0014 0,0119 23 0,1535 0,3162 0,8919 0,9464 0,0737 0,0064 0,0091 24 0,0616 0,1396 0,2246 0,5467 0,0459 0,0027 0,0321 25 0,0430 0,1685 0,7761 0,8936 0,0378 0,0019 0,0053 26 0,1945 0,1496 0,3847 0,4339 0,0433 0,0024 0,0157 27 0,1741 0,5141 0,2594 0,5475 0,0390 0,0020 0,0096 28 0,1613 0,1144 0,4719 0,6606 0,0745 0,0065 0,0387 29 0,3703 0,2624 0,0543 0,4070 0,1499 0,0242 0,1156 30 0,0238 0,4548 0,0533 0,4212 0,0496 0,0031 0,0380 31 0,0863 0,0306 0,1085 0,4870 0,0848 0,0083 0,0502 32 0,2533 0,4060 0,2479 0,5200 0,0472 0,0028 0,0230 Media total 0,1996 0,3715 0,2730 0,5222 0,0806 0,0114 0,0424 Desviación 0,1246 0,2395 0,2379 0,1867 0,0624 0,0183 0,0348 Tabla 28. Resultados estadísticos Ttot condición 1.
  • 77.
    77 Ttot Condición 2 Paciente No.Media Moda Curtosis Oblicuidad Desviación Varianza R. Intercuartil 1 0,1342 0,0916 0,1396 0,3003 0,0355 0,0017 0,0249 2 0,0390 0,2302 1,0000 1,0000 0,0754 0,0066 0,0066 3 0,1236 0,4115 0,1082 0,4697 0,0407 0,0022 0,0255 4 0,1498 0,4515 0,7738 0,9094 0,0468 0,0028 0,0053 5 0,1644 0,3583 0,1658 0,5464 0,0455 0,0027 0,0281 6 0,2689 0,0596 0,1637 0,5601 0,4051 0,1674 0,3025 7 0,1300 0,3391 0,0399 0,3788 0,0170 0,0005 0,0175 8 0,0541 0,2719 0,3117 0,6135 0,0347 0,0017 0,0129 9 0,0393 0,0843 0,1314 0,5317 0,0544 0,0037 0,0320 10 0,0288 0,0000 0,0856 0,5095 0,0556 0,0038 0,0358 11 0,1290 0,4099 0,7856 0,7692 0,0128 0,0003 0,0054 12 0,2844 0,2087 0,3627 0,0779 0,0441 0,0025 0,0314 13 0,2660 0,5307 0,0516 0,3664 0,0241 0,0009 0,0186 14 0,0544 0,2735 0,0473 0,2738 0,0056 0,0001 0,0058 15 0,0335 0,2062 0,9168 0,9491 0,0177 0,0006 0,0035 16 0,0493 0,2575 0,1800 0,2739 0,0006 0,0000 0,0013 17 0,1540 0,4868 0,0750 0,4369 0,0206 0,0007 0,0169 18 0,1934 0,5462 0,3796 0,6653 0,1165 0,0150 0,0532 19 0,1366 0,3573 0,0160 0,3753 0,0130 0,0003 0,0137 20 0,0000 0,1485 0,5255 0,7963 0,0879 0,0088 0,0112 21 0,0100 0,1581 0,1658 0,2302 0,0000 0,0000 0,0000 22 0,1755 0,4756 0,1225 0,4904 0,0479 0,0029 0,0379 23 0,1455 0,1947 0,8446 0,0000 0,0136 0,0004 0,0027 24 0,0952 0,0366 0,1289 0,2615 0,0400 0,0021 0,0261 25 0,2440 0,0974 0,1886 0,6197 0,4147 0,1753 0,1726 26 1,0000 0,3746 0,0083 0,4104 1,0000 1,0000 1,0000 27 0,1060 0,3076 0,4104 0,5971 0,0153 0,0004 0,0081 28 0,0467 0,2495 0,7719 0,9320 0,3364 0,1162 0,0196 29 0,0525 0,2511 0,3270 0,6039 0,0457 0,0027 0,0253 30 0,3782 0,7947 0,0079 0,3766 0,0404 0,0022 0,0449 31 0,0587 0,1491 0,3192 0,6472 0,0670 0,0053 0,0408 32 0,0823 0,1930 0,0917 0,4882 0,0395 0,0021 0,0286 33 0,1662 0,4804 0,1528 0,4714 0,0410 0,0022 0,0284 Media total 0,1513 0,2874 0,2970 0,5131 0,0986 0,0465 0,0632 Desviación 0,1737 0,1723 0,2894 0,2362 0,1898 0,1742 0,1747 Tabla 29. Resultados estadísticos Ttot condición 2.
  • 78.
    78 f/VT Condición 1 Paciente No.Media Moda Curtosis Oblicuidad Desviación Varianza R. Intercuartil 1 0,0725 0,1239 0,0144 0,1751 0,0273 0,0008 0,0268 2 0,0423 0,0770 0,0356 0,2915 0,0215 0,0005 0,0231 3 0,0827 0,0880 0,0292 0,2412 0,0538 0,0030 0,0447 4 0,0079 0,0300 0,0134 0,2682 0,0056 0,0000 0,0069 5 0,0517 0,1220 0,0261 0,2849 0,0143 0,0002 0,0091 6 0,0661 0,1505 0,0693 0,3017 0,0139 0,0002 0,0115 7 0,0368 0,0660 0,0102 0,1886 0,0171 0,0003 0,0195 8 0,0419 0,0239 0,0476 0,3343 0,0537 0,0030 0,0491 9 0,0301 0,0657 0,3015 0,5875 0,0245 0,0007 0,0116 10 0,0130 0,0160 0,0090 0,2060 0,0146 0,0003 0,0160 11 0,0736 0,1599 0,0147 0,2316 0,0233 0,0006 0,0259 12 0,0160 0,0505 0,2244 0,5749 0,0162 0,0003 0,0086 13 0,0477 0,0126 0,0976 0,4085 0,0703 0,0051 0,0520 14 0,0148 0,0329 0,0254 0,2658 0,0107 0,0001 0,0097 15 0,0162 0,0225 0,0127 0,2098 0,0132 0,0002 0,0157 16 0,0302 0,0151 0,0634 0,3618 0,0308 0,0010 0,0199 17 0,0137 0,0242 0,0141 0,2134 0,0118 0,0002 0,0140 18 0,0012 0,0000 0,0399 0,3477 0,0244 0,0007 0,0225 19 0,0504 0,1380 0,0123 0,2180 0,0091 0,0001 0,0110 20 0,1003 0,1950 0,0600 0,0743 0,0152 0,0003 0,0140 21 0,4207 0,4487 0,2335 0,4984 0,2964 0,0884 0,1804 22 0,0667 0,1424 0,0758 0,0000 0,0088 0,0001 0,0062 23 0,2424 0,1098 0,0208 0,1286 0,1190 0,0145 0,1134 24 0,1609 0,3172 0,1294 0,4601 0,0890 0,0082 0,0539 25 0,0145 0,0075 0,0913 0,1357 0,0091 0,0001 0,0046 26 0,0333 0,0796 0,4323 0,7701 0,0496 0,0026 0,0122 27 0,0203 0,0366 0,0342 0,3282 0,0275 0,0008 0,0194 28 0,0464 0,0431 0,1616 0,4916 0,0565 0,0033 0,0321 29 0,0161 0,0174 0,0328 0,3071 0,0252 0,0007 0,0244 30 0,0291 0,0283 0,1463 0,5155 0,0794 0,0065 0,0225 31 0,0439 0,0031 0,0514 0,3596 0,0883 0,0080 0,0702 32 0,0629 0,1338 0,0209 0,2457 0,0276 0,0008 0,0382 33 0,0308 0,0624 0,0062 0,2224 0,0168 0,0003 0,0224 Media total 0,0605 0,0862 0,0775 0,3105 0,0413 0,0046 0,0307 Desviación 0,0787 0,0932 0,0952 0,1579 0,0529 0,0151 0,0343 Tabla 30. Resultados estadísticos f/VT condición 1.
  • 79.
    79 f/VT Condición 2 Paciente No.Media Moda Curtosis Oblicuidad Desviación Varianza R. Intercuartil 1 0,0078 0,0177 0,0569 0,3787 0,0245 0,0007 0,0185 2 0,0860 0,0681 0,0199 0,2375 0,0483 0,0025 0,0455 3 0,0276 0,0581 0,0969 0,3571 0,0207 0,0005 0,0226 4 0,0218 0,0682 0,0247 0,2644 0,0056 0,0000 0,0061 5 0,0027 0,0190 0,0175 0,2670 0,0049 0,0000 0,0062 6 0,0412 0,0060 0,0635 0,3852 0,1438 0,0210 0,1070 7 0,0069 0,0249 0,0053 0,1931 0,0051 0,0000 0,0069 8 0,0153 0,0293 0,4185 0,7624 0,0489 0,0025 0,0050 9 0,0709 0,1159 0,0256 0,2520 0,0348 0,0013 0,0344 10 0,0157 0,0332 1,0000 0,9976 0,0308 0,0010 0,0163 11 0,0202 0,0641 0,0140 0,2258 0,0041 0,0000 0,0050 12 0,0093 0,0245 0,4166 0,7027 0,0119 0,0002 0,0031 13 0,0146 0,0530 0,0984 0,4331 0,0044 0,0000 0,0024 14 0,1202 0,2514 0,0281 0,3078 0,0635 0,0042 0,0455 15 0,1865 0,3074 0,1164 0,4810 0,2701 0,0735 0,1097 16 0,0908 0,2650 0,8754 1,0000 0,0281 0,0009 0,0050 17 0,0110 0,0390 0,2370 0,5511 0,0112 0,0002 0,0081 18 0,5753 0,8028 0,0588 0,3709 0,3548 0,1266 0,2055 19 0,2230 0,5394 0,0251 0,3032 0,0522 0,0029 0,0399 20 0,1863 0,3274 0,2037 0,4878 0,0794 0,0065 0,0523 21 0,1468 0,3932 0,0132 0,2248 0,0158 0,0003 0,0177 22 1,0000 1,0000 0,0130 0,2844 1,0000 1,0000 1,0000 23 0,1395 0,2619 0,0154 0,2499 0,0458 0,0022 0,0508 24 0,2712 0,3225 0,1144 0,4019 0,1901 0,0366 0,1469 25 0,1984 0,1482 0,0483 0,3248 0,2318 0,0543 0,1878 26 0,0827 0,0416 0,0000 0,2204 0,1381 0,0194 0,2162 27 0,0760 0,0954 0,0440 0,2179 0,0226 0,0006 0,0168 28 0,0901 0,0202 0,0630 0,3858 0,1890 0,0362 0,1175 29 0,0234 0,0113 0,0118 0,2325 0,0326 0,0012 0,0396 30 0,0000 0,0191 0,0303 0,2518 0,0000 0,0000 0,0000 31 0,0167 0,0166 0,1086 0,3857 0,0219 0,0005 0,0160 32 0,0617 0,1249 0,0313 0,2716 0,0235 0,0006 0,0215 33 0,0373 0,0630 0,0514 0,0800 0,0103 0,0001 0,0058 Media total 0,1175 0,1707 0,1317 0,3785 0,0960 0,0423 0,0782 Desviación 0,1919 0,2289 0,2287 0,2095 0,1815 0,1713 0,1739 Tabla 31. Resultados estadísticos f/VT condición 1.
  • 80.
    80 RR Condición 1 Paciente No.Media Moda Curtosis Oblicuidad Desviación Varianza R. Intercuartil 1 0,4526 0,9895 0,1456 1,0000 0,0086 0,0000766 0,0052 2 0,6352 0,9907 0,0758 0,7496 0,0022 0,0000056 0,0012 3 0,9140 0,9994 0,1578 0,5627 0,0015 0,0000029 0,0016 4 0,1865 0,9747 0,0503 0,7325 0,0595 0,0035567 0,0035 5 0,6169 0,9861 0,0354 0,8159 0,0061 0,0000394 0,0061 6 0,6814 0,9623 0,0141 0,7220 0,0076 0,0000596 0,0072 7 0,8517 0,9967 0,0054 0,7296 0,0009 0,0000012 0,0010 8 0,5501 0,9864 0,0068 0,7809 0,0024 0,0000064 0,0025 9 0,4570 0,9834 0,0025 0,7678 0,0005 0,0000005 0,0006 10 0,6869 0,9901 0,0457 0,7070 0,0040 0,0000172 0,0018 11 0,5661 0,9868 0,0324 0,8450 0,0010 0,0000013 0,0009 12 0,4082 0,9823 0,1335 0,6484 0,0004 0,0000003 0,0001 13 0,3238 0,9788 0,1732 0,8003 0,0010 0,0000013 0,0007 14 0,5382 0,9860 0,1598 0,5221 0,0026 0,0000078 0,0008 15 0,6570 0,9909 0,0496 0,7103 0,0012 0,0000019 0,0011 16 0,4515 0,9836 0,0491 0,7529 0,0065 0,0000443 0,0022 17 0,4615 0,9810 0,0521 0,8987 0,0073 0,0000549 0,0042 18 0,4346 0,9831 0,0073 0,7163 0,0002 0,0000001 0,0001 19 0,6536 0,9901 0,0026 0,7743 0,0004 0,0000003 0,0005 20 0,4887 0,9849 0,7025 0,7669 0,0007 0,0000007 0,0002 21 0,3883 0,9678 0,0116 0,7855 0,0050 0,0000263 0,0050 22 0,3180 0,9792 0,5988 0,2892 0,0006 0,0000005 0,0002 23 0,6444 0,9905 0,0083 0,6840 0,0004 0,0000003 0,0004 24 0,8284 0,9959 0,0129 0,7715 0,0092 0,0000871 0,0079 25 0,3865 0,9808 0,0055 0,8350 1,0000 1,0000000 1,0000 26 0,5540 0,9849 0,0005 0,7538 0,0016 0,0000032 0,0019 27 0,6095 0,9892 0,0234 0,7198 0,0056 0,0000331 0,0030 28 0,6649 0,9913 0,0692 0,6419 0,0023 0,0000058 0,0016 29 0,8293 0,9963 0,0712 0,8753 0,0015 0,0000029 0,0010 30 0,3327 0,9797 0,0379 0,8514 0,0078 0,0000629 0,0017 31 0,5436 0,9866 0,2842 0,7509 0,0014 0,0000024 0,0003 32 0,3858 0,9818 0,0092 0,7210 0,0004 0,0000003 0,0005 33 0,5104 0,9855 0,0738 0,6343 0,0017 0,0000034 0,0004 Media total 0,5458 0,9853 0,0942 0,7369 0,0349 0,0304 0,0323 Desviación 0,1663 0,0076 0,1555 0,1205 0,1709 0,1714 0,1711 Tabla 32. Resultados estadísticos RR condición 1.
  • 81.
    81 RR Condición 2 Paciente No.Media Moda Curtosis Oblicuidad Desviación Varianza R. Intercuartil 1 0,4667 0,9846 0,2592 0,8184 0,0020 0,0000047 0,0003 2 0,3725 0,9808 0,1708 0,6095 0,0009 0,0000011 0,0001 3 0,5065 0,9859 0,0152 0,7881 0,0004 0,0000003 0,0004 4 0,0938 0,0000 0,0708 0,6073 0,1481 0,0219623 0,0888 5 0,2864 0,9782 0,1386 0,6764 0,0006 0,0000005 0,0001 6 0,5107 0,9853 0,0117 0,6959 0,0007 0,0000008 0,0007 7 0,6337 0,9892 0,0123 0,7584 0,0051 0,0000275 0,0045 8 0,2415 0,9764 0,0328 0,6768 0,0012 0,0000019 0,0006 9 0,3042 0,9788 0,0354 0,7286 0,0002 0,0000001 0,0002 10 0,3855 0,9829 0,0107 0,7736 0,0036 0,0000143 0,0033 11 0,3879 0,9745 0,0063 0,7865 0,0042 0,0000189 0,0046 12 0,0000 0,9732 0,0132 0,7396 0,1364 0,0186506 0,0781 13 0,3966 0,9820 0,0345 0,6420 0,0076 0,0000598 0,0037 14 0,7918 0,9946 1,0000 0,0000 0,0022 0,0000054 0,0008 15 0,8628 0,9953 0,0050 0,7154 0,0010 0,0000014 0,0010 16 0,5271 0,9860 0,1217 0,5967 0,0004 0,0000003 0,0001 17 0,5368 0,9859 0,0166 0,8312 0,0007 0,0000007 0,0007 18 0,3900 0,9818 0,1228 0,7525 0,0007 0,0000007 0,0003 19 0,3674 0,9812 0,0710 0,6117 0,0027 0,0000081 0,0004 20 0,7577 0,9937 0,0221 0,7765 0,0004 0,0000003 0,0004 21 0,4468 0,9836 0,0053 0,7447 0,0011 0,0000015 0,0011 22 0,4617 0,9738 0,0780 0,6293 0,0080 0,0000661 0,0053 23 0,3897 0,9816 0,0059 0,7821 0,0000 0,0000000 0,0000 24 0,5437 0,9870 0,0000 0,7524 0,0009 0,0000011 0,0009 25 0,6185 0,9887 0,0153 0,6939 0,0007 0,0000008 0,0008 26 1,0000 1,0000 0,2021 0,9684 0,0134 0,0001827 0,0057 27 0,7677 0,9935 0,0055 0,7242 0,0013 0,0000021 0,0012 28 0,6974 0,9924 0,0887 0,6928 0,0022 0,0000057 0,0005 29 0,7248 0,9955 0,1177 0,5589 0,0033 0,0000117 0,0031 30 0,2352 0,9751 0,0381 0,8741 0,0054 0,0000304 0,0043 31 0,4085 0,9820 0,0170 0,8288 0,0012 0,0000019 0,0009 32 0,5064 0,9855 0,0057 0,7542 0,0003 0,0000002 0,0003 33 0,3048 0,9775 0,0144 0,8207 0,0043 0,0000195 0,0041 Media total 0,4826 0,9547 0,0838 0,7094 0,0109 0,0012 0,0066 Desviación 0,2134 0,1689 0,1741 0,1524 0,0335 0,0049 0,0196 Tabla 33. Resultados estadísticos RR condición 2.
  • 82.
    82 Ttot-ca3 Condición 1 Paciente No.Media Moda Curtosis Oblicuidad Desviación Varianza R. Intercuartil 1 0,2130 4,0590 0,0131 0,1983 0,0158 0,8426 0,0002 2 0,2424 3,3252 0,0223 0,2685 0,0296 0,5094 0,0005 3 0,2649 4,1795 0,0322 0,2391 0,0391 0,0583 0,0010 4 0,2770 2,5899 0,0454 0,2986 0,0627 0,4710 0,0021 5 0,2473 4,2936 0,0281 0,2203 0,0323 -0,3403 0,0008 6 0,2282 14,3983 0,0167 0,2256 0,0113 2,5345 0,0003 7 0,3165 2,4960 0,0260 0,2980 0,0386 -0,1666 0,0007 8 0,2706 1,9338 0,0417 0,1763 0,0748 -0,2114 0,0017 9 0,2085 7,3653 0,0827 0,5134 0,0613 1,7635 0,0068 10 0,3321 2,0573 0,0467 0,2840 0,0777 -0,0753 0,0022 11 0,1729 5,6051 0,0125 0,1645 0,0158 1,0462 0,0002 12 0,3342 3,0670 0,0228 0,2903 0,0255 -0,3083 0,0005 13 0,1960 6,1478 0,0833 0,1391 0,1028 1,2605 0,0069 14 0,2609 2,4786 0,0415 0,2280 0,0631 0,3664 0,0017 15 0,2753 4,0438 0,0320 0,1906 0,0257 -1,4165 0,0010 16 0,1999 7,8502 0,0297 0,1727 0,0217 1,6657 0,0009 17 0,2393 2,9453 0,0342 0,2013 0,0423 0,6404 0,0012 18 0,2546 2,1586 0,0442 0,1911 0,0708 -0,1988 0,0020 19 0,3314 2,6918 0,0181 0,3545 0,0242 -0,4859 0,0003 20 0,3661 3,2992 0,0209 0,3539 0,0260 0,5684 0,0004 21 0,2279 3,5097 0,0131 0,2267 0,0150 -0,4031 0,0002 22 0,2410 6,4385 0,0301 0,2138 0,0336 0,5607 0,0009 23 0,2353 5,7273 0,0173 0,1924 0,0138 0,4041 0,0003 24 0,2036 3,4916 0,0203 0,1664 0,0262 -0,0782 0,0004 25 0,2032 2,0122 0,0125 0,2014 0,0213 -0,0859 0,0002 26 0,2479 9,9485 0,0373 0,1383 0,0236 0,2356 0,0014 27 0,2388 6,0135 0,0159 0,2948 0,0176 1,5035 0,0003 28 0,2402 9,8762 0,1063 0,4076 0,0668 1,8930 0,0113 29 0,3119 5,1733 0,0930 0,0760 0,0888 0,7151 0,0086 30 0,1831 12,7411 0,0846 0,1661 0,0264 2,5289 0,0072 31 0,2132 5,0738 0,0400 0,3379 0,0423 0,8598 0,0016 32 0,2513 2,6316 0,0148 0,2303 0,0211 0,5261 0,0002 33 0,2133 13,2916 0,0550 0,2046 0,0349 2,5651 0,0030 Media total 0,2498 5,2398 0,0374 0,2383 0,0392 0,5984 0,0020 Desviación 0,0467 3,3394 0,0251 0,0854 0,0238 0,9352 0,0028 Tabla 34. Resultados estadísticos Ttor-ca3 condición 1.
  • 83.
    83 Ttot Condición 2 Paciente No.Mdia Moda Curtosis Oblicuidad Desviación Varianza R. Intercuartil 1 0,2296 2,0731 0,0210 0,2064 0,0311 0,4185 0,0004 2 0,1933 3,4396 0,0454 0,1822 0,0369 1,2774 0,0021 3 0,2195 4,2111 0,0229 0,2501 0,0270 0,8591 0,0005 4 0,2336 2,7045 0,0130 0,2321 0,0162 0,1144 0,0002 5 0,2333 7,5795 0,0728 0,2068 0,0521 1,4651 0,0053 6 0,2125 7,2971 0,0717 0,1637 0,0554 2,0847 0,0051 7 0,2350 2,0513 0,0129 0,2154 0,0213 -0,2180 0,0002 8 0,1946 2,8565 0,0140 0,1847 0,0160 0,1472 0,0002 9 0,1921 7,9379 0,0328 0,2106 0,0341 -0,7934 0,0011 10 0,1797 4,7028 0,0240 0,1986 0,0232 1,3473 0,0006 11 0,2265 1,9826 0,0069 0,2196 0,0115 -0,0942 0,0000 12 0,2942 16,7083 0,0324 0,2949 0,0254 -2,9762 0,0010 13 0,2715 4,3030 0,0265 0,2838 0,0345 -0,9149 0,0007 14 0,1944 3,4361 0,0064 0,1786 0,0078 0,0995 0,0000 15 0,1918 28,3005 0,0407 0,1788 0,0114 4,3945 0,0017 16 0,1937 16,9486 0,0101 0,1935 0,0039 1,1919 0,0001 17 0,2447 2,2525 0,0227 0,2158 0,0330 0,2703 0,0005 18 0,2370 20,2484 0,0467 0,2366 0,0204 3,4561 0,0022 19 0,2093 3,4685 0,0278 0,1917 0,0416 0,4735 0,0008 20 0,1778 6,8320 0,0199 0,1859 0,0192 1,6693 0,0004 21 0,1809 2,1503 0,0028 0,1789 0,0039 -0,1851 0,0000 22 0,2464 2,2528 0,0208 0,2164 0,0321 -0,2186 0,0004 23 0,2244 4,4747 0,0095 0,2178 0,0122 0,0773 0,0001 24 0,2190 3,6631 0,0182 0,2060 0,0238 -0,8524 0,0003 25 0,2407 8,7535 0,0882 0,2413 0,0678 2,0931 0,0078 26 0,2387 14,2755 0,1734 0,2134 0,0461 3,4890 0,0301 27 0,2180 25,3881 0,0392 0,1302 0,0097 3,9994 0,0015 28 0,1952 19,4878 0,0342 0,1503 0,0149 3,2414 0,0012 29 0,1934 4,8404 0,0233 0,1883 0,0214 0,2843 0,0005 30 0,2824 2,1466 0,0284 0,2443 0,0403 0,5459 0,0008 31 0,1940 3,6325 0,0489 0,1842 0,0645 1,2822 0,0024 32 0,2034 2,5346 0,0148 0,2327 0,0207 0,1849 0,0002 33 0,2365 7,8037 0,0234 0,1504 0,0194 -1,8096 0,0005 Media total 0,2193 7,5981 0,0332 0,2056 0,0272 0,8001 0,0021 Desviación 0,0286 7,1267 0,0314 0,0349 0,0162 1,6060 0,0052 Tabla 35. Resultados estadísticos Ttot-ca3 condición 2.
  • 84.
    84 f/VT-CD3 Condición 1 Paciente No.Media Moda Curtosis Oblicuidad Desviación Varianza R. Intercuartil 1 0,4196 2,9934 0,0054 0,4084 0,0069 0,1208 0,0000 2 0,4204 2,8927 0,0079 0,4191 0,0112 -0,1194 0,0001 3 0,4192 4,7324 0,0131 0,4191 0,0125 0,1892 0,0002 4 0,4191 5,4275 0,0009 0,4191 0,0010 0,6806 0,0000 5 0,4191 8,9848 0,0049 0,4191 0,0047 -1,6951 0,0000 6 0,4196 10,8320 0,0052 0,4191 0,0043 0,8345 0,0000 7 0,4195 3,9734 0,0032 0,4090 0,0038 -0,3537 0,0000 8 0,4180 3,7002 0,0235 0,3453 0,0259 -0,2387 0,0006 9 0,4184 7,8341 0,0149 0,4191 0,0078 0,8230 0,0002 10 0,4191 5,0230 0,0031 0,4191 0,0033 -1,0498 0,0000 11 0,4196 3,9791 0,0074 0,4191 0,0086 -0,4759 0,0001 12 0,4185 22,2994 0,0157 0,4191 0,0051 -3,9256 0,0002 13 0,4170 8,1456 0,0162 0,4191 0,0104 -1,4790 0,0003 14 0,4191 5,0257 0,0039 0,4191 0,0046 -0,1024 0,0000 15 0,4191 7,7328 0,0008 0,4191 0,0008 1,2378 0,0000 16 0,4189 20,7381 0,0046 0,4191 0,0025 3,4058 0,0000 17 0,4191 5,7031 0,0026 0,4191 0,0022 0,3348 0,0000 18 0,4190 4,7824 0,0075 0,4191 0,0107 0,7617 0,0001 19 0,4191 5,7608 0,0055 0,4191 0,0040 0,5042 0,0000 20 0,4212 5,6043 0,0073 0,4191 0,0063 0,4119 0,0001 21 0,4254 12,6033 0,1135 0,4191 0,0311 2,6697 0,0129 22 0,4191 6,3116 0,0025 0,4191 0,0020 -0,2424 0,0000 23 0,4195 5,3728 0,0189 0,4191 0,0220 -0,5836 0,0004 24 0,4191 3,8337 0,0282 0,4191 0,0266 -0,3576 0,0008 25 0,4188 7,5603 0,0038 0,4191 0,0030 -0,8946 0,0000 26 0,4191 28,5762 0,0187 0,4191 0,0051 0,1466 0,0003 27 0,4191 8,6590 0,0107 0,4191 0,0023 0,4385 0,0001 28 0,4198 5,2954 0,0143 0,3903 0,0123 0,8842 0,0002 29 0,4176 4,6107 0,0073 0,3936 0,0064 -0,1203 0,0001 30 0,4189 6,9217 0,0194 0,4191 0,0107 -0,3615 0,0004 31 0,4172 4,9837 0,0184 0,3579 0,0145 -0,5179 0,0003 32 0,4191 12,8056 0,0048 0,4191 0,0034 -2,8215 0,0000 33 0,4191 7,6979 0,0065 0,4191 0,0046 0,6103 0,0000 Media total 0,4192 7,9211 0,0127 0,4128 0,0085 -0,0390 0,0005 Desviación 0,0013 5,6772 0,0191 0,0170 0,0076 1,3060 0,0022 Tabla 36. Resultados estadísticos f/VT-CD3 condición 1.
  • 85.
    85 f/VT-CD3 Condición 2 Paciente No.Media Moda Curtosis Oblicuidad Desviación Varianza R. Intercuartil 1 0,4195 5,6656 0,0039 0,4191 0,0035 1,0199 0,0000 2 0,4191 5,8887 0,0088 0,4191 0,0064 -0,6002 0,0001 3 0,4203 8,7717 0,0055 0,4191 0,0053 1,1657 0,0000 4 0,4191 5,0888 0,0012 0,4191 0,0013 -0,6964 0,0000 5 0,4187 8,7539 0,0040 0,4191 0,0028 -0,6647 0,0000 6 0,4181 6,8257 0,0217 0,4191 0,0153 -0,4810 0,0005 7 0,4189 4,4972 0,0010 0,4191 0,0010 0,2492 0,0000 8 0,4190 12,2570 0,0116 0,4191 0,0025 -0,5718 0,0001 9 0,4177 8,4888 0,0181 0,3770 0,0146 1,4058 0,0003 10 0,4187 25,4338 0,0076 0,4191 0,0066 3,9354 0,0001 11 0,4191 7,1189 0,0015 0,4191 0,0012 -1,4665 0,0000 12 0,4193 11,7597 0,0030 0,4191 0,0011 -1,2300 0,0000 13 0,4194 12,0537 0,0049 0,4191 0,0028 1,5625 0,0000 14 0,4183 17,6520 0,0129 0,4191 0,0080 -1,1428 0,0002 15 0,4191 22,5196 0,0284 0,4191 0,0063 -2,2727 0,0008 16 0,4190 24,1464 0,0110 0,4191 0,0014 -0,4855 0,0001 17 0,4191 10,4541 0,0030 0,4191 0,0019 2,4421 0,0000 18 0,4272 9,1824 0,0440 0,4191 0,0312 1,4729 0,0019 19 0,4187 17,8576 0,0212 0,4191 0,0075 -0,5453 0,0005 20 0,4188 18,7915 0,0188 0,4191 0,0093 -1,7525 0,0004 21 0,4181 6,2297 0,0036 0,4191 0,0042 -0,7835 0,0000 22 0,4197 12,0692 0,0812 0,4191 0,0642 -2,3950 0,0066 23 0,4191 5,4810 0,0081 0,4191 0,0083 0,8610 0,0001 24 0,4186 5,5679 0,0673 0,2005 0,0524 -0,1134 0,0045 25 0,4143 4,6966 0,0586 0,2323 0,0629 -0,5499 0,0034 26 0,4162 6,5089 0,0118 0,3715 0,0117 0,0494 0,0001 27 0,4188 11,7495 0,0085 0,4191 0,0062 0,8390 0,0001 28 0,4177 18,0645 0,0236 0,4191 0,0097 -2,5870 0,0006 29 0,4187 4,2909 0,0070 0,4191 0,0073 -0,0524 0,0000 30 0,4191 3,8836 0,0005 0,4191 0,0006 -0,3758 0,0000 31 0,4196 5,4572 0,0042 0,4191 0,0042 0,9390 0,0000 32 0,4201 4,4070 0,0052 0,4191 0,0062 -0,4662 0,0000 33 0,4186 9,0870 0,0116 0,4191 0,0047 -0,9088 0,0001 Media total 0,4190 10,3242 0,0159 0,4041 0,0113 -0,1273 0,0006 Desviación 0,0018 6,0453 0,0193 0,0490 0,0165 1,3754 0,0014 Tabla 37. Resultados estadísticos f/VT-CD3 condición 2.
  • 86.
    86 RR-ca3 Condición 1 Paciente No.Media Moda Curtosis Oblicuidad Desviación Varianza R. Intercuartil 1 0,2006 3,6836 0,0779 0,0555 0,0686 0,7114 0,0061 2 0,2763 6,7857 0,0196 0,2769 0,0159 0,4512 0,0004 3 0,3919 2,7326 0,0254 0,3696 0,0317 0,4464 0,0006 4 0,1163 5,7939 0,0134 0,1176 0,0127 -0,9229 0,0002 5 0,2619 2,8481 0,0534 0,1687 0,0588 0,0715 0,0029 6 0,2898 2,1249 0,0836 0,2279 0,1361 -0,3090 0,0070 7 0,3567 3,3367 0,0102 0,3664 0,0137 -0,1555 0,0001 8 0,2392 2,7426 0,0346 0,1610 0,0515 -0,0110 0,0012 9 0,2149 2,2763 0,0091 0,2009 0,0114 0,2651 0,0001 10 0,2964 4,8513 0,0502 0,3814 0,0446 -0,6227 0,0025 11 0,2568 5,4332 0,0132 0,2371 0,0138 0,9711 0,0002 12 0,1942 3,1747 0,0031 0,1876 0,0038 0,4590 0,0000 13 0,1655 4,2985 0,0068 0,1684 0,0085 0,7675 0,0000 14 0,2431 15,6658 0,0314 0,2484 0,0122 -2,4367 0,0010 15 0,2880 3,5510 0,0144 0,2474 0,0188 -0,3613 0,0002 16 0,2041 3,4318 0,0474 0,2041 0,0577 0,1264 0,0023 17 0,1961 4,2308 0,0649 0,0845 0,0660 1,0050 0,0042 18 0,2043 2,5593 0,0040 0,1963 0,0054 -0,0145 0,0000 19 0,2843 2,3272 0,0058 0,2883 0,0083 -0,1317 0,0000 20 0,2244 2,1192 0,0043 0,2296 0,0069 -0,1910 0,0000 21 0,1973 6,7731 0,0585 0,2697 0,0509 1,6277 0,0034 22 0,1629 15,4491 0,0059 0,1342 0,0035 -1,5870 0,0000 23 0,2816 3,7346 0,0054 0,2816 0,0047 -1,1414 0,0000 24 0,3478 16,6429 0,0440 0,3838 0,0412 2,9819 0,0019 25 0,1860 22,4233 0,0590 0,1867 0,0367 3,9673 0,0035 26 0,2473 2,4872 0,0227 0,2490 0,0368 -0,1046 0,0005 27 0,2719 4,1652 0,0350 0,3332 0,0314 -0,6242 0,0012 28 0,2808 27,1597 0,1026 0,0456 0,0374 4,1909 0,0105 29 0,3492 25,4414 0,1152 0,0638 0,0312 3,8460 0,0133 30 0,1655 4,7292 0,0573 0,1684 0,0343 1,0088 0,0033 31 0,2392 13,1125 0,0133 0,2048 0,0134 2,0457 0,0002 32 0,1861 2,8266 0,0064 0,1815 0,0095 -0,4077 0,0000 33 0,2338 2,7693 0,0142 0,2028 0,0165 -0,1966 0,0002 Media total 0,2441 7,0206 0,0337 0,2158 0,0301 0,4765 0,0020 Desviación 0,0616 6,9479 0,0300 0,0889 0,0269 1,4874 0,0031 Tabla 38. Resultados estadísticos RR-ca3 condición 1.
  • 87.
    87 RR-ca3 Condición 2 Paciente No.Media Moda Curtosis Oblicuidad Desviación Varianza R. Intercuartil 1 0,2166 4,7516 0,0082 0,2289 0,0090 -0,6706 0,0001 2 0,1822 6,2190 0,0045 0,1844 0,0043 -0,6063 0,0000 3 0,2323 2,4552 0,0072 0,2154 0,0099 -0,2360 0,0001 4 0,1201 2,9780 0,0440 0,1066 0,0591 0,4031 0,0019 5 0,1512 4,5629 0,0047 0,1549 0,0052 -0,7690 0,0000 6 0,2300 2,9860 0,0096 0,2057 0,0138 -0,2764 0,0001 7 0,2803 2,5940 0,0543 0,3381 0,0691 -0,0259 0,0029 8 0,1340 1,8436 0,0024 0,1324 0,0042 0,3702 0,0000 9 0,1568 7,2553 0,0034 0,1563 0,0041 -0,5508 0,0000 10 0,1895 2,7311 0,0424 0,1670 0,0570 0,1368 0,0018 11 0,1873 2,0187 0,0355 0,1367 0,0584 0,2548 0,0013 12 0,1009 3,9347 0,0097 0,1211 0,0112 -0,0792 0,0001 13 0,1641 2,9954 0,0554 0,1053 0,0779 -0,6742 0,0031 14 0,3268 11,4718 0,0201 0,2385 0,0152 -1,3862 0,0004 15 0,3677 3,3088 0,0137 0,3306 0,0142 -0,5252 0,0002 16 0,2382 4,1248 0,0056 0,2199 0,0053 -1,2322 0,0000 17 0,2424 2,4246 0,0091 0,2414 0,0131 0,5421 0,0001 18 0,1875 2,1037 0,0072 0,1780 0,0111 0,1346 0,0001 19 0,1809 13,6692 0,0310 0,0270 0,0158 -2,7609 0,0010 20 0,3188 2,7194 0,0073 0,3042 0,0087 -0,1207 0,0001 21 0,2148 3,1707 0,0150 0,1718 0,0191 -0,5328 0,0002 22 0,2001 3,0367 0,0564 0,1722 0,0744 -0,3212 0,0032 23 0,1878 3,5028 0,0016 0,1844 0,0018 0,5746 0,0000 24 0,2354 2,0125 0,0139 0,2192 0,0220 0,4991 0,0002 25 0,2756 2,8622 0,0110 0,2849 0,0168 -0,7996 0,0001 26 0,4225 5,9449 0,1097 0,4489 0,0735 -1,6538 0,0120 27 0,3161 2,0009 0,0178 0,2951 0,0289 -0,0118 0,0003 28 0,3000 14,0498 0,0395 0,3503 0,0198 -3,1380 0,0016 29 0,3023 11,6626 0,0600 0,0214 0,0486 -2,4309 0,0036 30 0,1661 3,2881 0,0480 0,2231 0,0629 0,6573 0,0023 31 0,1961 4,0473 0,0141 0,1681 0,0131 0,7540 0,0002 32 0,2312 3,1771 0,0046 0,2208 0,0051 0,1181 0,0000 33 0,1566 3,3775 0,0329 0,1240 0,0424 0,5662 0,0011 Media total 0,2246 4,5237 0,0242 0,2023 0,0271 -0,4179 0,0012 Desviación 0,0722 3,2969 0,0237 0,0892 0,0246 0,9538 0,0022 Tabla 39. Resultados estadísticos RR-ca3 condición 2.
  • 88.
    88 Anexo 2. Se entregapor medio magnético un CD organizado con las siguientes carpetas: 1. Proyecto de grado 2. Lectura base de datos. 3. Búsqueda exhaustiva Ttot f/VT. 4. FS de Ttot f/VT. 5. Funcion_AG_Ttot_fVT. 6. Transformada Wavelet Ttot f/VT RR. 7. Prueba U the Mann Whitney. 8. FS Wavelet de Ttot f/VT. 9. Funcion_AG_Wavelet_Ttot_fVT. 10. Interpolación y FS Ttot f/VT RR 11. Funcion_AG_Ttot_fVT_RR 12. FS Wavelet de Ttot f/VT RR. 13. Funcion_AG_Wavelet_Ttot_fVT_RR. Los script contenidos en las carpetas son ejecutables para el software Matlab®.