ESTRATEGIA
COMERCIAL:
LIBRO
INTEGRANTES

-NEREIDA ESTREMADOIRO H. (GERENTE GENERAL)
-JHON MAICKOL PUMA U.
(GERENTE DE PRODUCTO)
-MANUEL CHACON
(GERENTE DE DISTRIBUCION)
–MARCELO CUELLAR
(GERENTE DE PRECIO)
-JORGE FAVIAN D.
(GERENTE DE COMUNICACIÓN)
UNIVERSIDAD PRIVADA DOMINGO SAVIO
ÍNDICE

1.- ANÁLISIS DEL LOS ENTORNOS…………………………………………………..pag.3
1.1.- MICRO ENTORNO………………………………………………………………….pag.3
1.1.1.- Empresa……………………………………………………………………………pag.3
1.1.2.- Visión……………………………………………………………………………….pag.3
1.1.3.- Misión……………………………………………………………………………….pag.3
1.1.4.- Organigrama……………………………………………………………………….pag.4
1.1.5.- Recursos humanos………………………………………………………………..pag.4
1.1.6.- Proveedores………………………………………………………………………..pag.4
1.1.7.- Clientes……………………………………………………………………………..pag.4
1.1.8.- Mercados…………………………………………………………………………...pag.4
1.2.- MACRO ENTORNO…………………………………………………………………pag.4
1.2.1.- Entorno Demográfico……………………………………………………………...pag.5
1.2.2.- Entorno Económico………………………………………………………………..pag.6
1.2.3.- Entorno Político legal…………………………………………………………….pag.11
1.2.4.- Entorno Socio Cultural…………………………………………………………..pag.11
1.2.5.- Entorno Tecnológico……………………………………………………………..pag.13
1.2.7.- Entorno Competitivo……………………………………………………………..pag.14
2.- PLANIFICACIÓN ESTRATEGICA…………………………………………………pag.15
2.1.- Objetivos…………………………………………………………………………….pag.15
2.1.1.- Objetivo General………………………………………………………………….pag.15
2.1.2.- Objetivos Específicos……………………………………………………………pag.15
2.2.- Análisis de la cartera de negocios………………………………………………..pag.15
2.2.1.- Matriz de crecimiento de Boston……………………………………………….pag.15
2.3.- Desarrollo de las estrategias de crecimiento……………………………………pag.15
2.3.1.- Matriz expansión producto mercado…………………………………………...pag.15
2.4.- Segmentación de mercados………………………………………………………pag.16
2.4.1.- Demográfica……………………………………………………………………....pag.16
2.4.2.- Geográfica………………………………………………………………………...pag.16
2.4.3.- psicográfica ………………………………………………………………………pag.16
EDITORIAL LIBERTAD

Página 1

2.4.4.- Conductual………………………………………………………………………..pag.16
UNIVERSIDAD PRIVADA DOMINGO SAVIO

2.5.-Mercado meta…… …………………………………………………………………pag.17
2.6.- Demanda global…………………………………………………………………….pag.17
2.7.- Demanda estimada………………………………………………………………...pag.17
3.- ESTRATEGIA COMERCIAL………………………………………………………..pag.18
3.1.- Objetivos…………………………………………………………………………….pag.18
3.1.1.- Objetivo General………………………………………………………………….pag.18
3.1.2.- Objetivo Específicos……………………………………………………………..pag.18
3.2.- Mercado Meta………………………………………………………………………pag.19
3.3.- Estrategia de Producto…………………………………………………………….pag.19
3.3.1.- Tácticas……………………………………………………………………………pag.19
3.4.- Ciclo de vida del Producto…………………………………………………………pag.24
3.5.- Cantidad a producirse……………………………………………………………...pag.24
3.6.- Costo de Productos mes por mes………………………………………………..pag.25
3.7.- Estrategia de Distribución…………………………………………………………pag.25
3.7.1.- Tipo de canal……………………………………………………………………..pag.26
3.7.2.- Forma de distribución……………………………………………………………pag.29
3.7.3.- Logística de distribución ………………………………………………………..pag.29
3.7.4.- Costos de distribución mes por mes…………………………………………...pag.38
3.8.- Estrategias de Comunicación……………………………………………………..pag.39
3.8.1.- Publicidad…………………………………………………………………………pag.39
3.8.4.- Marketing directo…………………………………………………………………pag.47
3.8.5.- Relaciones publicas……………………………………………………………...pag.47
3.8.6.- Merchandising…………………………………………………………………….pag.48
3.8.7.- Promoción de ventas…………………………………………………………….pag.49
3.8.7.1.- Consumidor final……………………………………………………………….pag.49
3.8.7.2.- Canal de distribución…………………………………………………………..pag.49
3.8.7.3.- Fuerza de ventas………………………………………………………………pag.55
3.9.- Costo de comunicación mes por mes……………………………………………pag.63
3.10.- Estrategia de precio………………………………………………………………pag.64
3.11.- Conclusiones y Recomendaciones……………………………………………..pag.68
EDITORIAL LIBERTAD

Página 2
UNIVERSIDAD PRIVADA DOMINGO SAVIO

ESTRATEGIAS DE MARKETING DE “ EDITORIAL LIBERTAD ”
MERCADOTECNIA II
I)

ANÁLISIS DE ENTORNOS

1.1 Micro entorno
1.1.1 Empresa:
La organización “EDITORIAL LIBERTAD” Inicia sus actividades comercial en el año
2013, esta empresa inicio sus actividades con 5 personas, Sera una empresa
editorial, reconocida por sus clientes y accionistas, trabajadores y proveedores,
respetada por la competencia en razón de su calidad, ética y compromiso con el
mejoramiento de la educación infantil.
Será una comunidad de trabajo donde pasaran parte de su vida, trabajando en
equipo y asy contribuir al mejoramiento de la educación y la cultura infantil de la
ciudad de Santa Cruz de la Sierra.

1.1.2 Visión:
Llegar a ser líder en el mercado con alta tecnología, realizando nuevas
oportunidades de negocio.

1.1.3 Misión:
Ser una Editorial, que elabore un producto de calidad, y de esta manera contribuir he
incrementar el conocimiento y la cultura del segmento infantil en la ciudad de Santa
Cuz, brindando a su vez una atención con personal calificado.
1.1.4 Organigrama:

EDITORIAL LIBERTAD

Página 3
UNIVERSIDAD PRIVADA DOMINGO SAVIO

GERENCIA
GENERAL

ASESOR
LEGAL

SECRETARIA

DPTO
ADMINISTRATIVO

DPTO DE
CONTABILIDAD

AUXILIAR
CONTABLE
AUXILIAR
ADMINISTRATIVO

DPTO DE
RR HH

DPTO
COMERCIAL
GERENTE DE
PRODUCCION
GERENTE DE
DISTRIBUCCION

GERENTE DE
PRECIOS

AUX DE
RRHH

GERENTE DE
COMUNICACION

AUXILIAR DE
COMUNICACION

Fuentes: Elaboracion propia

EDITORIAL LIBERTAD

Página 4
1.1.5

UNIVERSIDAD PRIVADA DOMINGO SAVIO

Recursos humanos

Se ha seleccionado un equipo Formado por profesionales entusiastas
comprometidos y calificados que trabajen y hagan equipo con el cliente.
1. Gerente General
- Secretaria
- Asesor Legal
2. Departamento Administrativo
-Auxiliar Administrativo
3. Departamento de Contabilidad
-Auxiliar Contable
4. Departamento Comercial
-Gerente de Producción
-Gerente de Distribución
-Gerente de Comunicación
*Auxiliar de Comunicación
-Gerente de Precio
-Departamento de Recursos Humanos
*Auxiliar de Recursos Humanos
1.1.6 Proveedores
Los Proveedores directo son autores y escritores de cuentos y libros didácticos para
niños, que confían sus trabajos literarios en nuestra editorial.

AUTOR → EDITORIAL → IMPRENTA → LIBRERÍA → LECTOR
Los proveedores indirectos vendrían a ser los siguientes:
•

Saguapac (servicios de agua potable)

•

CRE Ltda (servicios de energía eléctrica)

•

Cotas Ltda (servicios de telefonía fija)

•

Entel S.A.

(servicios de telefonía móvil e internet)

EDITORIAL LIBERTAD

Página 5
1.1.7 Clientes

UNIVERSIDAD PRIVADA DOMINGO SAVIO

Los clientes de la librería son estudiantes de colegios, que adquieren lecturas
complementarias para actividades. Son niños que gustan de la lectura.
1.1.8 Mercados
El libro será lanzado al mercado cruceño, para su venta física, será mediante las
librerías principales de la ciudad.
Mercado del consumidor.- Niños de 8 a 12 años.
1.2 Macro entorno
1.2.1 Entorno Demográfico
POBLACION TOTAL EN SANTA CRUZ DE LA SIERRA
1.030.000

1.025.222

1.025.000
1.020.000
1.015.000

HOMBRES

1.010.000

MUJERES

1.004.249

1.005.000
1.000.000
995.000
990.000

1

FUENTE: Instituto

2

nacional de estadística (INE)- Censo de población y vivienda 2001

El siguiente cuadro refleja la cantidad aproximada de habitantes en Santa Cruz de la
Sierra (cantidad aproximada de habitantes del sexo femenino y masculino),donde se
tiene pensado vender el libro.
EDITORIAL LIBERTAD

Página 6
UNIVERSIDAD PRIVADA DOMINGO SAVIO

SEGMENTO DEL POSIBLE MERCADO

28.000
27.617
27.500
27.000

26.941
26.721

26.500

26.188

26.116
26.000

25.684

25.754

25.566

25.500

HOMBRES
MUJERES

24.892

25.000

25.033

24.500
24.000
23.500
8 AÑOS

9 AÑOS

10 AÑOS

11 AÑOS

12 AÑOS

FUENTE: Instituto nacional de estadística (INE)- Censo de población y vivienda 2001

En el siguiente cuadro refleja el segmento del posible mercado, sobre la cantidad
aproximada de habitantes al que está dirigido el libro, entre las edades de 8 a 12
años de ambos sexos.
1.2.2 Entorno Económico

EDITORIAL LIBERTAD

Página 7
UNIVERSIDAD PRIVADA DOMINGO SAVIO
•

PIB

FUENTE: http://noticiasdesdebolivia.blogspot.com/2012
El producto interno bruto de Bolivia del 2001 al 2012 registro un crecimiento de 3.5
% y se prevee que para este año 2013 haya un crecimiento del 0.3% ha
comparación del año 2012.

EDITORIAL LIBERTAD

Página 8
•

UNIVERSIDAD PRIVADA DOMINGO SAVIO

INFLACIÓN

FUENTE: http://www.la-razon.com/economia
La demanda interna impulso el crecimiento de PIB en los últimos años se preveé
que en 2013 el país alcanzará un crecimiento de entre el 5,8% y el 6%,y se asegura
que la tasa de inflación de 2013 no pasará el 5%.
En el año 2000 al 2009 hubo un aumento de precio del 8.44%.

EDITORIAL LIBERTAD

Página 9
UNIVERSIDAD PRIVADA DOMINGO SAVIO
•

ÍNDICE DE PRECIO AL CONSUMIDOR

Fuente: http://eju.tv/2011/03/bolivia
Los pobres son los que más cargan el peso de la inflación; para este sector
poblacional el Indice de Precios al Consumidor (IPC) llegó hasta febrero a 3,52%,
según un análisis de la fundación Jubileo.
Esto a pesar de que el IPC oficial publicado por el Instituto Nacional de Estadística
(INE) sólo reflejó una tasa de 2,97%

EDITORIAL LIBERTAD

Página 10
UNIVERSIDAD PRIVADA DOMINGO SAVIO
•

BALANZA DE PAGOS

Fuente: http://periodismodigitalenelalto.blogspot.com

El financiamiento negativo debe entenderse como un incremento en las Reservas
Internacionales Netas.
La Balanza de pagos mas alto alcanzado en Bolivia fue el años 2011, llegando a
1293.20 Dolares.

EDITORIAL LIBERTAD

Página 11
•

UNIVERSIDAD PRIVADA DOMINGO SAVIO

BALANZA COMERCIAL

Fuente: http://anbolivia.blogspot.com/2013/03/saldo-comercial-de-bolivia-fue-us315-

mm.html

Exportaciones crecieron en 54%, dice IBCE
En el mes de enero de 2013 las exportaciones bolivianas ascendieron a 1.034
millones de dólares, mientras que las importaciones sumaron más de 718 millones,
dejando un saldo comercial positivo de 315 millones, señala el informe del Instituto
Boliviano de Comercio Exterior (IBCE), en base a datos del Instituto Nacional de
Estadística (INE).
En comparación a enero de 2012, las ventas externas del país tuvieron un
incremento de 54,34 por ciento, mientras que las compras desde el exterior crecieron
un 16,43 por ciento. El saldo comercial creció seis veces su valor en comparación al
mismo mes de la gestión anterior.
EDITORIAL LIBERTAD

Página 12
UNIVERSIDAD PRIVADA DOMINGO SAVIO

1.2.3 Entorno político legal
•

FUNDEMPRESA

•

NIT (numero de identificación tributaria)

Para lanzar un libro al mercado debemos conocer los trámites legales para poder
hacerlo sabiendo que estamos respaldados por la ley y que no incumplimos ninguna
norma.
•

Registrar el o los libros en el registro de propiedad intelectual. (Derechos del
autor o Copyright).

•

Registrar el libro en la agencia boliviana de ISBN. Que se encarga de
registrar toda producción editorial boliviana.

•

Deposito al expositorio nacional.

•

Solicitar el código de registro ¨EAN¨ (Código de barras) en la Cámara de
Industria, Comercio, Servicios y turismo de Santa Cruz de la Sierra (CAINCO).

Tenemos la ventaja de que nuestro producto estará protegido por la ley Nro. 1322 del
27 de abril de 1992 (Ley de derechos del autor). Así se evitara el plagio y la piratería,
una vez lanzado el producto.
1.2.4 Entorno socio cultural:
El periódico local muestra antecedentes de la poblacion acerca del tema de libros.
El PERIODICO “EL SOL” INFORMO

“Santa Cruz lee mas”
“La XIII feria del libro en Santa Cruz de la Sierra fue la mas visitada, dentro de diez,
en todo el país, según la publicación de la revista “Identidades 2.0”. muestra un
interés creciente por los libros entre la población cruceña.”
FUENTE: http://www.elsol.com.bo/index.php?c=&articulo=Santa-Cruz-leemas&cat=360&pla=3&id_articulo=54640
EDITORIAL LIBERTAD

Página 13
UNIVERSIDAD PRIVADA DOMINGO SAVIO

EL DEBER INFORMO

“Una Santa Cruz de la Sierra que si lee y muestra a la juventud muy abierta a los
libros “
“Una encuesta, hecha por la feria de libro revela un mayor interés en la lectura de la
mujer en la capital. También señalan que los jóvenes leen mas que los adultos.”
La feria incide en el tema.
FUENTE http://www.eldeber.com.bo/la-mujer-lee-mas-libros-que-el-hombre-ensanta-cruz/130815003530
GUSTO POR LEER LIBROS:
mujeres 45%
hombres 33%
no leen o no gustan de los libros 12%
GUSTOS POR GENERO DE LIBRO
novelas: 34%
infantiles: 12%
cuentos: 10%
autoayuda y superacion personal: 21%
religion y cultura: 7%
biografias e historia: 9%
otros: 7%

EDITORIAL LIBERTAD

Página 14
UNIVERSIDAD PRIVADA DOMINGO SAVIO

FRECUENCIA DE LECTURA
10-14 años: frecuente
15 años: diario
16 a 20 años : diario
21 a 24 años: diario
25 a 34 años: frecuente
35 en adelante : frecuente
1.2.5 Entorno tecnológico
•

Entre los sistemas más utilizados se encuentra el Open Journal Systems
(OJS), el Sistema Electrónico de Gestión Editorial (SEGE), el Quark
Publishing System 7 (QPS 7), entre otros.

•

La corrección, diseño y composición de los originales, pueden realizarse con
software de autoedición para las publicaciones en soportes magnéticos
(discos compactos) y en la web.

•

preparación de imágenes: Adobe acrobat y para la preparación de
publicaciones en la web: FrontPage y Dreamweaver, PHP, CMS como Plone,
Wordpress, Drupal y Mozilla Composer,este último como editor de páginas
web libre y de código abierto.

•

El formato PDF (Portable Document Format) se ha convertido en un estándar
para el intercambio entre los editores y la imprenta.

•

La impresión digital, que incluye cualquier método de impresión -desde
impresoras láser de sobremesa hasta prensas offset digitales-, gana cada vez
más terreno. Las facilidades que ofrecen constituyen la base de nuevos
modelos de gestión como la edición, impresión y encuadernación a demanda.

•

Los libros electrónicos (E-Book) y la tinta electrónica (E-Ink) son otras de las
invenciones que están revolucionando la industria editorial.

EDITORIAL LIBERTAD

Página 15
UNIVERSIDAD PRIVADA DOMINGO SAVIO

1.2.7 Entorno competitivo
•

Competencia Indirecta
Editorial Master Bolivia
Oriente
El Deber

•

Competencia Directa

Grupo Editorial La Hoguera
la avejita repostera 30 bs
señorita malusa

30 bs

anita la niñ bonita

25 bs

alas azules

30 bs

Editorial Santillana
el dragon de fuego y el sol se enfermo 20 bs
la maleta de esperansa

40 bs

Editorial El Pais
Comiendo Estrellas
Habra Una Ves

25 bs
30 bs

Editorial Renacimiento El Mundo
En un abrir y serrar de ojos 20 bs
el diablillo en la botella y el idioma de la naturaleza

20 bs

Editorial Saber Es Poder
una clase diferente y el sonido de la ciudad

20 bs

los duendesillos del sol y la semillita de guallava 15 bs
Editorial Comunicarte Srl
el encuentro y la hija de la luna 15 bs
sonido ,lluvias , y piratas
35 bs

EDITORIAL LIBERTAD

Página 16
UNIVERSIDAD PRIVADA DOMINGO SAVIO

Editorial La Cima

una clase diferente y el sonido de la ciudad

20 bs

los duendesillos del sol y la semillita de guallava 15 bs

II)

PLANIFICACIÓN ESTRATEGICA

2.1 Objetivos
2.1.1 Objetivos generales:
Analizar la Planificación Estrategica para el lanzamiento del libro en la ciudad de
Santa Cruz de la Sierra en el transcurso de un mes.
2.1.2 Objetivos específicos:
•

Analizar el micro y macro entorno que determine las variables que afecten a la
etidorial.

•

Determinar la segmentación de mercado

•

Determinar la demanda global y estimada

•

Analizar la unidades estragicas de negocio.

•

Planificar una estrategia comercial.

2.2 Análisis de la cartera de negocios
2.2.2 Matriz de crecimiento de Boston:
Dentro del análisis de la cartera del producto de la empresa el producto se
encuentra como el producto incógnita, podemos decir que se encuentra en la etapa
de introducción del ciclo de vida del producto, ya es un producto que se está
lanzando por primera vez.
2.3 Desarrollo de las estrategias de crecimiento
2.3.1 Matriz expansión producto mercado:Se aplicará la estrategia de penetración,
es decir el mismo producto en un mismo mercado, ya que se persigue un mayor
consumo del producto en los mercados actuales.
EDITORIAL LIBERTAD

Página 17
UNIVERSIDAD PRIVADA DOMINGO SAVIO

2.4 Segmentación de mercados
2.4.1 Demográfica
Sexo: Hombres y Mujeres
Edad: 8 a 12 años

Nivel socio económico: Clase Media Alta
Ocupación: Estudiantes
2.4.2 Geográfica
País: Bolivia
Departamento: Santa Cruz
Ciudad: Santa Cruz de la Sierra
Zona: Urbana
Anillo: 1º al 8º anillo
2.4.3 Psicografica
Gustos: Al leer
Preferencia: cuentos
Carácter: Colerico
2.4.4 Conductual
Frecuencia de compra: Mensual
Cantidad de compra: 1 cada mes
Lugar de compra: Librerías

EDITORIAL LIBERTAD

Página 18
UNIVERSIDAD PRIVADA DOMINGO SAVIO

2.5 Mercado Meta: El Mercado meta está constituido en niños de 8 a 12 años, de
una clase social alta de la zona urbana de Santa Cruz, con una compra mensual de
un libro, en la principales librerías.
2.6 Demanda global:
28.000
27.500
27.000

27.617
26.941

26.500

26.721
26.188

26.116

26.000

25.684

25.500

25.754

25.566
24.892

25.000

HOMBRES

25.033

MUJERES

24.500
24.000
23.500
8 AÑOS

9 AÑOS

10 AÑOS

11 AÑOS

12 AÑOS

Fuente: INE (Instituto Nacional de Estadistica - censo 2001)
2.7 Demanda estimada:
Se tiene una demanda estimada del 6%
Hombres
mujeres
Total del segmento

Mes 1
Mes 2
Mes 3
Total
EDITORIAL LIBERTAD

145636
140928
286564

1%
2%
3%
6%

2866
5731
8597
17194
Página 19
UNIVERSIDAD PRIVADA DOMINGO SAVIO

Ventas estimada 6%

demanda global

demanda estimada

FUENTE: Elaboración propia

III)

ESTRATEGIA COMERCIAL

3.1 Objetivos
3.1.1 Objetivos General:
Realizar la Estrategia Comercial para la Editorial Libertad en la ciudad de Santa Cruz
de la Sierra en el lapso de tres meses.
3.1.2 Objetivos específicos:
 Determinar la Tacticas del Producto
 Determinar la Distribucion del libro
 Elaborar la mezcla comunicacional
 Determinar las tácticas de Precio
 Elaborar los costos de la Estrategia Comercial.
EDITORIAL LIBERTAD

Página 20
UNIVERSIDAD PRIVADA DOMINGO SAVIO

3.2 Mercado meta

El Mercado meta está constituido en niños de 8 a 12 años, de una clase social alta
de la zona urbana de Santa Cruz, con una compra mensual de un libro, en la
principales librerías.
3.3 Estrategia de Producto
3.3.1 Tacticas
•

Marca :
“ Editorial ¨Libertad ”

•

Nombre
“ Los 40 zapatos”

•

Logotipo
 Grafico

EDITORIAL LIBERTAD

Página 21
UNIVERSIDAD PRIVADA DOMINGO SAVIO

 Tipografico

•

Slogan
 Institucional
“ La llave de la libertad esta en los libros ”
 Agresivo
Para el lanzamiento del libro, el slogan de la campaña de lanzamiento
es la siguiente frase
“Deja tu huella”

•

Etiqueta
 Etiqueta de marca

EDITORIAL LIBERTAD

Página 22
UNIVERSIDAD PRIVADA DOMINGO SAVIO
TAPA DEL LIBRO

EDITORIAL LIBERTAD

Página 23
UNIVERSIDAD PRIVADA DOMINGO SAVIO

TAPA TRASERA

 Etiqueta informativa
LOMO DEL LIBRO

EDITORIAL LIBERTAD

Página 24
•

UNIVERSIDAD PRIVADA DOMINGO SAVIO

Empaque

TAMAÑO

EDITORIAL LIBERTAD

Página 25
•

Paquete

UNIVERSIDAD PRIVADA DOMINGO SAVIO

3.4 Ciclo de vida del producto
Se encuentra en la etapa de introducción.
3.5 Cantidad a Producirse
TIEMPO
mes 1
mes 2
mes 3
total

UNIDAD
2866
5731
8597
17194

EDITORIAL LIBERTAD

PORCENTAJE
1%
2%
3%
6%

EMPAQUE
2866
5731
8597
17194

PAQUETE
48
96
143
287
Página 26
UNIVERSIDAD PRIVADA DOMINGO SAVIO

3.6 Costos de productos mes por mes
MES 1

COSTO DE PRODUCCION
DESCRIPCION
CANTIDAD P/U EN BS. TOTAL EN BS
DISEÑO
GRAFICO
85
EMPAQUE
2.886,00
1,00
2.886,00
IMPRENTA
17.194,00
2,63
45.220,22
CAJAS
48,00
1,10
52,80
TOTAL EGRESO
48.244,02

TOTAL EN $U$
12,14
412,29
6.460,03
7,54
6.892,00

MES 2
COSTO DE PRODUCCION
DESCRIPCION CANTIDAD P/U EN BS. TOTAL EN BS
EMPAQUE
5.731,00
1,00
5.731,00
CAJAS
96,00
1,10
105,60
TOTAL EGRESO
5.836,60

TOTAL EN $U$
818,71
15,09
833,80

MES 3
COSTO DE PRODUCCION
DESCRIPCION CANTIDAD P/U EN BS. TOTAL EN BS
EMPAQUE
8.597,00
1,00
8.597,00
CAJAS
143,00
1,10
157,30
TOTAL EGRESO
8.754,30

TOTAL EN $U$
1.228,14
22,47
1.250,61

COSTO TRIMESTRAL
COSTO DE PRODUCCION TRIMESTRAL
DESCRIPCION
mes 1
mes 2
mes 3
total egreso
EDITORIAL LIBERTAD

TOTAL
48.244,02
5.836,60
8.754,30
62.834,92

M/N
Bs
Bs
Bs
Bs

TOTAL
6892,00
833,80
1250,61
8976,42

M/E
$U$
$U$
$U$
$U$
Página 27
UNIVERSIDAD PRIVADA DOMINGO SAVIO

NOTA: en papel bond de 63 grs.
impresion un solo color
tapa en couche de 250 grs.
Bs. 2,63 la unidad

IMPRENTA ARTE MAR SRL TELF. 3559836

3.7 Estrategia de distribución
3.7.1 Tipo de canal
•

El canal que se tomará en cuenta es el corto, por lo tanto recorre la siguiente
ruta de distribución.
productor, minorista y consumidor final.

EDITORIAL LIBERTAD

Página 28
UNIVERSIDAD PRIVADA DOMINGO SAVIO
Las librerias minoristas son:
1. ATENEO: C. Independencia # 365, telf. 3-333338
2. EL GARAJE: C. Ñuflo de Chavez # 443, telf. 3323329
3. LEWY LIBROS: C. Junin, telf. 3-360709
4. LOS AMIGOS DEL LIBRO: C. Ingavi # 14, telf. 3-327937
5. LOS HUERFANOS: C. Rene Moreno #501, telf. 3-361702
6. GUINGUI: C. Independencia #138, telf. 3-368548
7. SIGLO XXI: C. Ipita #90, telf. 3-584600
8. RAYUELA: C.Ingavi #14, telf. 3-327937
9. RIBERA HNOS.: C. Ingavi-Rene Moreno, telf. 3-345788
10. ROSARIO: C. Charcas#713, telf. 3-368461
11. BOLIVIAN CENTERS: C. Ingavi# 72, telf. 3-331420
12. GLORIMAR: C. Pari#245, telf. 3-396034
13. PAULA ANDREA: Av. Cañoto# 600, telf.3-367954
14. REPORT calle Ballivian nº 38 telef. 3361082
15. LIJERON JORDAN LTDA calle Ballivian edif, Oriente of.5 telef. 3324571
16. DELTA Av. Grigota nº 356 telef. 3541927
17. PAPEL CRUZ calle Libertad nº 537 telef. 3358887
18. FATIMA calle Campero telef. 3321708
19. ADC calle Rene Moreno nº36 telef. 3338830
20. ARTESCO av. Alemana nº 2320 telef. 3414479
21. LA JUVENTUD LTDA calle Independencia esq. Ingavi telef. 3338868
22. VIDA NUEVA SRL calle independencia esq. Ingavi telf.. 3338868
23. SABER ES PÒDER calle España nº353 telf. 3370433

EDITORIAL LIBERTAD

Página 29
UNIVERSIDAD PRIVADA DOMINGO SAVIO

3.7.2 Forma de distribución

La forma de distribución será selectiva, desde el primer anillo al 8vo anillo.
3.7.3 logistica de la distribución
•

Transporte

MES 1

RUTAS

Furgón

p. industrial 4to anillo y
paragua detrás del
hipermaxi

3

c. charcas#713

6

30 min.

martes

09:30

c. ñuflo de chavez # 443

5

25 min.

martes

09:55

c.ingavi #14

6

25 min.

martes

10:20

c.ingavi #16

5

10 min.

martes

10:30

c.ingavi #72

4

10 min.

martes

10:40

c. junin #43

3

20 min.

martes

11:00

av. cañoto# 600

4

25 min.

martes

11:25

c. pari#245

3

20 min.

jueves

09:00

c. independencia # 365

3

15 min.

jueves

09:15

c. independencia #138

2

10 min.

jueves

09:25

c. rene moreno #501

2

15 min.

jueves

09:40

c. ipita #90

2

60 min.

jueves

10:40

Furgón
Furgón
Furgón
Furgón
Furgón
Furgón
Furgón
Furgón
Furgón
Furgón
Furgón
Furgón

almacen
librería
"rosario"
librería "el
garaje"
librería
"rayuela"
librería "los
amigos"
librería
"bolivian
centers"
librería "lewy"
librería "paula
andrea"
librería
"glorimar"
librería
"ateneo"
librería
"guingui"
librería "los
huerfanos"
librería "siglo
xxi"

CANTIDAD TIEMPO

DIAS DE HORA(amENTREGA pm) Aprox.

MEDIOS LIBRERIAS

09:00

48
EDITORIAL LIBERTAD

Página 30
UNIVERSIDAD PRIVADA DOMINGO SAVIO
RUTA GENERAL DE DISTRIBUCION:

RUTA DE DISTRIBUCION DIA MARTES

REFERENCIAS

CODIGO LIBRERÍA O ALMACEN
A
B
C
D
E
F
G
H

Almacen editorial "libertad"
librería "rosario"
librería "el garaje"
librería "rayuela"
librería "los amigos"
librería "bolivian centers"
librería "lewy"
librería "paula andrea"

EDITORIAL LIBERTAD

DIRECCION
p. industrial 4to anillo y
paragua detrás del hipermaxi
c. charcas#713
c. ñuflo de chavez # 443
c.ingavi #14
c.ingavi #16
c.ingavi #72
c. junin #43
av. cañoto# 600

Página 31
UNIVERSIDAD PRIVADA DOMINGO SAVIO

RUTA DE DISTRIBUCION DIA JUEVES

REFERENCIAS

CODIGO LIBRERÍA O ALMACEN

A
B
C
D
E
F

Almacen editorial
"libertad"
librería "glorimar"
librería "ateneo"
librería "guingui"
librería "los huerfanos"
librería "siglo xxi"

EDITORIAL LIBERTAD

DIRECCION
p. industrial 4to anillo y
paragua detrás del
hipermaxi
c. pari#245
c. independencia # 365
c. independencia #138
c. rene moreno #501
c. ipita #90

Página 32
UNIVERSIDAD PRIVADA DOMINGO SAVIO
Mes 2

RUTAS

Furgón

p. industrial 4to anillo y
paragua detrás del
hipermaxi

5

c. charcas#713

8

30 min.

martes

09:30

c. ñuflo de chavez # 443

7

25 min.

martes

09:55

c.ingavi #14

8

25 min.

martes

10:20

c.ingavi #16

6

10 min.

martes

10:30

c.ingavi #72

7

10 min.

martes

10:40

c. junin #43

5

20 min.

martes

11:00

av. cañoto# 600

7

25 min.

martes

11:25

c. pari#245

7

20 min.

jueves

09:00

c. independencia # 365

5

15 min.

jueves

09:15

c. independencia #138

7

10 min.

jueves

09:25

c. rene moreno #501

6

15 min.

jueves

09:40

c. ipita #90

5

60 min.

jueves

10:40

c. ballivian #38

4

25 min.

viernes

09:25

edificio oriente of. 5

3

15 min.

viernes

09:40

calle ingavi y rene moreno

4

10 min.

viernes

09:50

av. grigota #356

5

20 min.

viernes

10:10

Furgón
Furgón
Furgón
Furgón
Furgón
Furgón
Furgón
Furgón
Furgón
Furgón
Furgón
Furgón
Furgón
Furgón
Furgón
Furgón

almacen
librería
"rosario"
librería "el
garaje"
librería
"rayuela"
librería "los
amigos"
librería
"bolivian
centers"
librería "lewy"
librería "paula
andrea"
librería
"glorimar"
librería
"ateneo"
librería
"guingui"
librería "los
huerfanos"
librería "siglo
xxi"
librería
REPORT
librería ligeron
jordan ltda
librería ribera
hermanos
librería delta

CANTIDAD TIEMPO

DIAS DE HORA(amENTREGA pm) Aprox.

MEDIOS LIBRERIAS

09:00

99
EDITORIAL LIBERTAD

Página 33
UNIVERSIDAD PRIVADA DOMINGO SAVIO
NOTA: Se empleara la misma ruta de distribución del dia martes y jueves enseñadas

anteriormente, para la distribución del mes 2.

RUTA DE DISTRIBUCION DIA VIERNES DEL MES 2

REFRENCIAS

CODIGO LIBRERÍA O ALMACEN
Almacen editorial
A
"libertad"
librería REPORT
B
librería ligeron jordan ltda
C
librería ribera hermanos
D
librería delta
E

EDITORIAL LIBERTAD

DIRECCION
p. industrial 4to anillo y
paragua detrás del hipermaxi
c. ballivian #38
edificio oriente of. 5
calle ingavi y rene moreno
av. grigota #356

Página 34
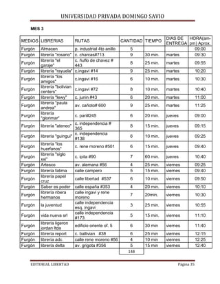
MES 3

UNIVERSIDAD PRIVADA DOMINGO SAVIO

MEDIOS LIBRERIAS

RUTAS

Furgón
Furgón

p. industrial 4to anillo
c. charcas#713
c. ñuflo de chavez #
443
c.ingavi #14

5
9

30 min.

DIAS DE HORA(amENTREGA pm) Aprox.
09:00
martes
09:30

8

25 min.

martes

09:55

9

25 min.

martes

10:20

c.ingavi #16

6

10 min.

martes

10:30

c.ingavi #72

8

10 min.

martes

10:40

c. junin #43

6

20 min.

martes

11:00

av. cañoto# 600

9

25 min.

martes

11:25

c. pari#245

6

20 min.

jueves

09:00

8

15 min.

jueves

09:15

6

10 min.

jueves

09:25

6

15 min.

jueves

09:40

7

60 min.

jueves

10:40

4
5

25 min.
15 min.

viernes
viernes

09:25
09:40

6

10 min.

viernes

09:50

4

20 min.

viernes

10:10

7

20min.

viernes

10:30

3

25 min.

viernes

10:55

5

15 min.

viernes

11:10

6

30 min

viernes

11:40

6
4
5
148

25 min
10 min
15 min

viernes
viernes
viernes

12:15
12:25
12:40

Furgón
Furgón
Furgón
Furgón
Furgón
Furgón
Furgón
Furgón
Furgón
Furgón
Furgón
Furgón
Furgón
Furgón
Furgón
Furgón
Furgón
Furgón
Furgón
Furgón
Furgón
Furgón

Almacen
librería "rosario"
librería "el
garaje"
librería "rayuela"
librería "los
amigos"
librería "bolivian
centers"
librería "lewy"
librería "paula
andrea"
librería
"glorimar"

c. independencia #
365
c. independencia
librería "guingui"
#138
librería "los
c. rene moreno #501
huerfanos"
librería "siglo
c. ipita #90
xxi"
Artesco
av. alemana #56
librería fatima
calle campero
librería papel
calle libertad #537
cruz
Saber es poder calle españa #353
librería ribera
calle ingavi y rene
hermanos
moreno
calle independencia
la juventud
esq. ingavi
calle independencia
vida nueva srl
#173
librería ligeron
edificio oriente of. 5
jordan ltda
librería report
c. ballivian #38
librería adc
calle rene moreno #56
librería delta
av. grigota #356
librería "ateneo"

EDITORIAL LIBERTAD

CANTIDAD TIEMPO

Página 35
UNIVERSIDAD PRIVADA DOMINGO SAVIO

NOTA: Se empleara la misma ruta de distribución del dia martes y jueves enseñadas
anteriormente, para la distribución del mes 3.
RUTA DE DISTRIBUCION DIA VIERNES DEL MES 3

REFERENCIAS

CODIGO LIBRERÍA O ALMACEN

A
B
C
D
E
F
G
H
I
J
K
L

Almacen editorial
“libertad”
Artesco
librería fatima
librería papel cruz
Saber es poder
librería ribera hermanos
la juventud
vida nueva srl
librería ligeron jordan ltda
librería report
librería adc
librería delta

EDITORIAL LIBERTAD

DIRECCION
p. industrial 4to anillo y
paragua detrás del
hipermaxi
av. alemana #56
calle campero
calle libertad #537
calle españa #353
calle ingavi y rene
moreno
calle independencia
esq. ingavi
calle independencia
#173
edificio oriente of. 5
c. ballivian #38
calle rene moreno #56
av. grigota #356
Página 36
•

UNIVERSIDAD PRIVADA DOMINGO SAVIO

Almacenamiento

EDITORIAL " LIBERTAD"
TIEMPO

CANTIDAD PAQUETES

%

PESO

VOLUMENES
128.6 cm.
259.20 cm.
194.4 cm.
194.4 cm.
776,60 cm.

primer mes
segundo mes
tercer mes

2866
5731
8597

48
96
143

16.72%
33.45%
49.83%

499.2
998.4
1487.2

PRODUCCION TOTAL

17194

287

100%

2984.8

 MES 1
DISTRIBUCION "EDITORIAL LIBERTAD"
LIBRERÍA
DIRECCION
PAQUETES
%
Librería "Rosario"
C. Charcas#713
6
12,50%
Librería "El garaje"
C. Ñuflo de Chavez # 443
5
10,42%
Librería "Rayuela"
C.Ingavi #14
6
12,50%
Librería "Los amigos"
C.Ingavi #16
5
10,42%
Librería "Bolivian Centers"
C.Ingavi #72
4
8,33%
Librería "Lewy"
C. Junin #43
3
6,25%
Librería "Paula Andrea"
Av. Cañoto# 600
4
8,33%
Librería "Glorimar"
C. Pari#245
3
6,25%
Librería "ateneo"
C. Independencia # 365
3
6,25%
Librería "Guingui"
C. Independencia #138
2
4,17%
Librería "Los huerfanos"
C. Rene Moreno #501
2
4,17%
Librería "siglo XXI"
C. Ipita #90
2
4,17%
almacen
3
6,25%
48
100,00%

EDITORIAL LIBERTAD

Página 37
UNIVERSIDAD PRIVADA DOMINGO SAVIO
 MES 2

LIBRERÍA
Librería "Rosario"
Librería "El garaje"
Librería "Rayuela"
Librería "Los amigos"
Librería "Bolivian
Centers"
Librería "Lewy"
Librería "Paula Andrea"
Librería "Glorimar"
Librería "ateneo"
Librería "Guingui"
Librería "Los huerfanos"
Librería "siglo XXI"
Librería Ribera
hermanos
Librería Report
Librería Ligeron jordan
ltda
Librería Delta
ALMACEN

DIRECCION
C. Charcas#713
C. Ñuflo de Chavez # 443
C.Ingavi #14
C.Ingavi #16

PAQUETES
8
7
8
6

%
8,08%
7,07%
8,08%
6,06%

C.Ingavi #72

7

7,07%

C. Junin #43
Av. Cañoto# 600
C. Pari#245
C. Independencia # 365
C. Independencia #138
C. Rene Moreno #501
C. Ipita #90

5
7
7
5
7
6
5

5,05%
7,07%
7,07%
5,05%
7,07%
6,06%
5,05%

Calle Ingavi y Rene moreno
C. Ballivian #38
Edificio Oriente of. 5
Av. Grigota #356

4
3
4
5
5
99

4,04%
3,03%
4,04%
5,05%
5,05%
100,00%

NOTA: Los paquetes ha repartir son 96 mas el sobrante del mes anterior 3
paquetes
TOTAL : 99 PAQUETES

EDITORIAL LIBERTAD

Página 38
UNIVERSIDAD PRIVADA DOMINGO SAVIO
 MES 3
LIBRERÍA
Librería "Rosario"
Librería "El garaje"
Librería "Rayuela"
Librería "Los amigos"
Librería "Bolivian Centers"
Librería "Lewy"
Librería "Paula Andrea"
Librería "Glorimar"
Librería "ateneo"
Librería "Guingui"
Librería "Los huerfanos"
Librería "siglo XXI"
Librería Ribera hermanos
Librería Report
Librería Ligeron jordan
ltda
Librería Delta
Librería Papel Cruz
Librería Fatima
Librería ADC
Artesco
La juventud
Vida Nueva SRL
Saber es Poder
ALMACEN

DIRECCION
C. Charcas#713
C. Ñuflo de Chavez # 443
C.Ingavi #14
C.Ingavi #16
C.Ingavi #72
C. Junin #43
Av. Cañoto# 600
C. Pari#245
C. Independencia # 365
C. Independencia #138
C. Rene Moreno #501
C. Ipita #90
Calle Ingavi y Rene moreno
C. Ballivian #38
Edificio Oriente of. 5
Av. Grigota #356
Calle Libertad #537
Calle Campero
Calle Rene Moreno #56
Av. Alemana #56
Calle Independencia esq.
Ingavi
Calle Independencia #173
Calle España #353

PAQUETE
S
9
8
9
6
8
6
9
6
8
6
6
7
7
6
6
5
6
5
4
4
3
5
4
5
148

%
6,08%
5,41%
6,08%
4,05%
5,41%
4,05%
6,08%
4,05%
5,41%
4,05%
4,05%
4,73%
4,73%
4,05%
4,05%
3,38%
4,05%
3,38%
2,70%
2,70%
2,03%
3,38%
2,70%
3,38%
100,00%

NOTA: Los paquetes ha repartir son 143 mas el sobrante del mes anterior 5
paquetes
TOTAL: 148 PAQUETES.

EDITORIAL LIBERTAD

Página 39
UNIVERSIDAD PRIVADA DOMINGO SAVIO

•

Inventario
El control de inventario se llevará a cabo de manera mesual dentro de la
editorial La Libertad.

•

Procesamiento de pedido
Los pedidos se hacen mediante teléfono, ref. 3482857 - 3482856

3.7.4 Costos de distribuciones por mes

COSTO DE DISTRIBUCION MES 1
DESCRIPCIÓN
tramporte 1
tramporte 2
Almacenero

P/H
70
70

BS
Bs
Bs

TIEMPO
2:30
2:00

TOTAL

TOTAL
175
140
1800
2115

BS
Bs
Bs
Bs
BS

TOTAL
25
20
257,14
302,14

$
$
$
$
$

COSTO DE DISTRIBUCION MES 2
DESCRIPCIÓN
tramporte 1
tramporte 2
tramporte 3
Almacenero

P/H
70
70
70

BS TIEMPO
Bs
2:30
BS
2:00
Bs
1:30

TOTAL

TOTAL
175
140
105
1800
2220

BS TOTAL
Bs
25
Bs
20
BS
15
Bs
257,14
BS
317,14

$

BS
Bs
Bs
BS
Bs
BS

$
$
$
$
$
$

$
$
$
$
$

COSTO DE DISTRIBUCION MES 3
DESCRIPCIÓN
tramporte 1
tramporte 2
tramporte 3
Almacenero

P/H
70
70
70
TOTAL

EDITORIAL LIBERTAD

BS
Bs
BS
Bs

TIEMPO
2:30
2:00
3:30

TOTAL
175
140
245
1800
2360

TOTAL
25
20
35
257
337,14

Página 40
UNIVERSIDAD PRIVADA DOMINGO SAVIO
COSTO DE DISTRIBUCCION TRIMESTRAL

DESCRIPCIÓN
mes 1
mes 2
mes 3
total egreso

TOTAL
2.115,00
2.220,00
2.360,00
6.695,00

M/N
Bs
Bs
Bs
Bs

TOTAL
302,14
317,14
337,14
956,43

M/E
$U$
$U$
$U$
$U$

3.8 Estrategia de comunicación
3.8.1 Publicidad
MES 1
Se utilizaran los sgtes medios: Prensa, Afiches, Volantes, Baners, Roller y Baking
•

PRENSA

La publicidad por prensa se realizara en “EL DEBER” y “EL SOL”.
El deber
Los días Jueves en El Deber en la Seccion “DEBERCITO” Suplemento Para Niños,
se pasara durante todos los Jueves de este mes,ocupando la plana completa de la
contratapa en dicha sección.
medidas de 5x8 a full color.
Precio por publicidad:
Cada jueves = 11340 bs
Precio por publicidad del mes:

11340 x 4 = 45360 bs (6480 $u$)

El sol
se publicara 3 veces por semana los días lunes miércoles y viernes ocupando cuarto
de pagina a lado derecho superior de la pagina y a full color de igual manera Sabado
Domingo en El Sol, en la sección de niños.
Precio por publicidad
Lunes, Miercoles y Viernes = 480 bs por dia.
Precio por publicidad del mes: 480 x 12 = 5760 bs

(822.85 $u$)

COSTO TOTAL DE LA PRENSA MENSUAL:
51120 bs

(7302.85 $u$)

EDITORIAL LIBERTAD

Página 41
•

UNIVERSIDAD PRIVADA DOMINGO SAVIO

AFICHES
Se imprimiran 1000 und. De Afiches informativos, impreso en papel couche full
color, de tamaño 21.59 x 34 cm. y serán colocados serán pegados en las calles
de los 23 canales donde se venderá el libro, , calle ingavi, calle
independencia, calle rene moreno, calle junin, calle charcas, calle Ballivian,
calle pari.

COSTO DE AFICHES
C/UNIT = 2.5 bs
CANTIDAD TOTAL = 1000 AFICHES
COSTO DE AFICHES = 2.5 X 1000 = 2500 bs (357.14 $u$)
REPARTIDOR: 300 Bs

EDITORIAL LIBERTAD

(42.86 $US )

Página 42
•

UNIVERSIDAD PRIVADA DOMINGO SAVIO

VOLANTES
Se imprimirán 8000 und. De Volantes en papel Couche de 115 gr. de tamaño
10 x 15 cm. Que serán distribuidos en:
1. IC. NORTE( 8:00 Am a 9:00 am)
-Distribuira 1 persona 1000 volantes.
-Tiempo de distribución: 1 hora.
-Se Repartiran el dia Sabado fecha post lanzamiento del libro.
2.-SHOPING FIDALGA (EQUIPETROL) ( 9:20 am a 10:20 am)
-distribuira 1 persona 1000 volantes.
-Tiempo de distribución: 1 hora.
-Se repartirán el dia sábado fecha post lanzamiento del libro.
3.-BÚFALO PARK ( 10:50 am a 11:50 am)
-Distribuira 1 persona 1000 Volantes.
-Tiempo de distribución: 1 hora.
-Se repartirán el dia sábado fecha post lanzamiento del libro.
4.-ZOOLOGICO MUNICIPAL ( 14:00 pm a 15:00 pm)
-Distriburia 1 persona 1000 volantes.
-Tiempo de Distribucion: 1hora.
-Se repatrian el dia sábado fecha post lanzamiento del libro.
5.-La Plaza 24 de septiembre ( 16:00 pm a 18:00 pm)
- Distribuira 1 persona 2000 volantes.
- Tiempo de distribución: 2 horas.
- Se Repartiran el dia domingo Fecha post lanzamiento del libro.
6.-Cine center ( 18:30 pm a 20:30 pm)
-Distribuira 1 persona 2000 volantes.
-Tiempo de la distribución: 2 horas.
-Se Repartiran el dia domingo fecha post lanzamiento del libro.

Nota: para evitar mayores gastos solo se contratara a una sola persona para repartir
los volantes.

EDITORIAL LIBERTAD

Página 43
UNIVERSIDAD PRIVADA DOMINGO SAVIO

COSTOS DE VOLANTE:
Precio unitario = 0.1 bs
Cantidad de volantes = 8000 volantes

COSTO TOTAL DE VOLANTES = 800 bs
REPARTIDOR: 300 Bs

(114.29 $u$)

(42.86 $US )

DISEÑO DEL VOLANTE

EDITORIAL LIBERTAD

Página 44
BANNERS

UNIVERSIDAD PRIVADA DOMINGO SAVIO

Se elaboraran 23 und. De baners de tamaño 120 x 90 cm.( “tela” plástica fabricada
principalmente de PVC (Policloruro de vinilo), reforzado con una maya de poliéster.)
Impreso a full color que serán colocados en los 23 canales de distribucion.
1. ATENEO: C. Independencia # 365, telf. 3-333338
2. EL GARAJE: C. Ñuflo de Chavez # 443, telf. 3323329
3. LEWY LIBROS: C. Junin, telf. 3-360709
4. LOS AMIGOS DEL LIBRO: C. Ingavi # 14, telf. 3-327937
5. LOS HUERFANOS: C. Rene Moreno #501, telf. 3-361702
6. GUINGUI: C. Independencia #138, telf. 3-368548
7. SIGLO XXI: C. Ipita #90, telf. 3-584600
8. RAYUELA: C.Ingavi #14, telf. 3-327937
9. RIBERA HNOS.: C. Ingavi-Rene Moreno, telf. 3-345788
10. ROSARIO: C. Charcas#713, telf. 3-368461
11. BOLIVIAN CENTERS: C. Ingavi# 72, telf. 3-331420
12. GLORIMAR: C. Pari#245, telf. 3-396034
13. PAULA ANDREA: Av. Cañoto# 600, telf.3-367954
14. REPORT calle Ballivian nº 38 telef. 3361082
15. LIJERON JORDAN LTDA calle Ballivian edif, Oriente of.5 telef. 3324571
16. DELTA Av. Grigota nº 356 telef. 3541927
17. PAPEL CRUZ calle Libertad nº 537 telef. 3358887
18. FATIMA calle Campero telef. 3321708
19. ADC calle Rene Moreno nº36 telef. 3338830
20. ARTESCO av. Alemana nº 2320 telef. 3414479
21. LA JUVENTUD LTDA calle Independencia esq. Ingavi telef. 3338868
22. VIDA NUEVA SRL calle independencia esq. Ingavi telf.. 3338868
23. SABER ES PÒDER calle España nº353 telf. 3370433

EDITORIAL LIBERTAD

Página 45
UNIVERSIDAD PRIVADA DOMINGO SAVIO

COSTO DE BANNERS
precio unitario = 120 bs

cantidad de banners = 23 banners
COSTO TOTAL DEL BANNERS
120 X 23 = 2760 bs

(394.29 $u$)

DISEÑO DE BANNERS

EDITORIAL LIBERTAD

Página 46
ROLLER

UNIVERSIDAD PRIVADA DOMINGO SAVIO

Se elaboraran 3 unds. De Roler de tamaño 100 x 200 cm. Impresos a full color en
(Lona Panaflex Americana) que serán utilizados en la sala de conferencia del
lanzamiento del libro, luego serán llevados a las instalaciones de Editorial Libertad.
Los Rollers Estaran situados en los siguientes lugares:

1. El primero estará situado en la puerta principal donde se ofrecerá la
conferencia de prensa.
2. El segundo estará situado a lado derecho del backing.
3. El tercero estará situado a lado izquierdo de la testera.

COSTO DE ROLLER
precio unitario = 290 bs
cantidad de roller = 3 roller
COSTO TOTAL DEL ROLLER
290 X 3 = 870 bs

EDITORIAL LIBERTAD

(124.29 $u$)

Página 47
UNIVERSIDAD PRIVADA DOMINGO SAVIO

DISEÑO DE ROLLER

EDITORIAL LIBERTAD

Página 48
BAKING

UNIVERSIDAD PRIVADA DOMINGO SAVIO

Quedara a cargo de todos los auspiciadores (COCA COLA-CRE-GOBERNACION
DE SANTA CRUZ-COTAS) y será presentado el dia de la conferencia. Será impreso
a full color en “tela” plástica fabricada principalmente de PVC (Policloruro de vinilo),
reforzado con una maya de poliéster.

EDITORIAL LIBERTAD

Página 49
UNIVERSIDAD PRIVADA DOMINGO SAVIO

3.8.4 Marketing Directo
•

Facebook
-Se publicaran en el muro de la pagina todos los dias
-Se publicaran cada 2 horas.
-Se publicaran Mensajes e Imagenes recreativos.

•

Twitter
-Se publicaran (Twiteara) todos los días.
-Se Escribira un mensaje cada 12 horas
-Se Escribiran mensajes que incentiven a la lectura.

Todas estas cuentas serán creadas con el propósito realizar un estudio de
mercado y a la vez mantener informado a los clientes de nuevos acontecimientos.
Todo esto quedara a cargo del Aux. de comunicación que será el encargado de
mantener estas cuentas actualizadas, subiendo datos para informar a los clientes
y bajando reportes para el estudio interno.
3.8.5 Relaciones Publicas
•

Conferencia de Prensa
Se llevara a cabo la presentación del libro “Los 40 Zapatos”, a cargo de la
Editorial Libertad, será realizada en instalaciones del Restaurante & Grill
Broadaway, ubicado en Av. Monseñor Rivero # 684.
Entre los invitados especiales se encuentran el Excelentísimo Gobernador del
Dpto. Autónomo de Santa Cruz De la Sierra, el Ing. Ruben Costas Aguilera
acompañado de su señora esposa la Lic. Sonia Vincenti de Costas, El
Secretario General de la Gobernación del Dpto. Autónomo de Santa Cruz de
la Sierra, EL Ing. Roly Aguilera Gasser. Entre los invitados se encuentra
también la Lic. Paola Parada, Secretaria de Turismo, Deporte y Juventud de la
Gobernación del Dpto. Autónomo de Santa Cruz de la Sierra .
El Alcalde de la ciudad de Santa Cruz, el Ing. Percy Fernández Añez,
autoridades universitarias de la ciudad, El representante de la Asociación
latinoamericana del libro el Señor Pablo Rengel.
También niños destacados de las diferentes instituciones educativas del
Departamento de Santa Cruz de la Sierra
Total invitados = 100 personas.

EDITORIAL LIBERTAD

Página 50
UNIVERSIDAD PRIVADA DOMINGO SAVIO

PROGRAMA DE CONFERENCIA DE PRENSA. 19:30 pm. : Recibimiento a los invitados especiales a cargo del
personal de EDITORIAL LIBERTAD y el autor del libro, el Sr. Pepe
Montero
 20:30 pm. : Palabras de bienvenida a cargo de la Gerente General de la
EDITORIAL LIBERTAD.
 21:00 PM. : Palabras informativas sobre la trama del libro infantil “Los
40 Zapatos” a cargo del autor, el Lic. Pepe Montero.
 21:30 pm. : Preguntas y cuestionamientos a cargo de los medios de
comunicación presente (ATB, UNITEL, PAT, RED UNO, EL DEBER,
BTV Y EL SOL). Sobre el libro infantil “Los 40 Zapatos”.
 22:00 pm. : Y como agradecimiento a la gentil presencia de sus
invitados, EDITORIAL LIBERTAD ofrecerá a los presentes un brindis.
Al momento de de presenciar el brindis todos los presentes podrán
degustar de mini-hamburguesas a la barbacoa (especialidad de la casa
RESTAURANTE & GRILL BROADWAY), tartaletas de coliflor en queso
rockeford y como bocadillo dulce; trozos de manzana verde
caramelizada.
Para brindar el infaltable champagne Andrè y además de lo antes
mencionado, variedad de gaseosas a elección.
NOTA: Todos los invitados serán atendidos por 2 garzones.
PRECIOS:
Champangne : 87,5 C/u x 6 unid. =
525 bs
Bocaditos: 15 bs x 100 personas =
1500 bs
Atencion de Garzones: Bs. 100 c/u X 2 = 200 bs
TOTAL COSTO DE LA CONFERENCIA DE PRENSA = 2225
Nota de Bocaditos: Bs. 15.- equivalente a dos bocaditos salados y uno dulce
+ gaseosa.
El alquiler del local RESTAURANTE & GRILL BROADWAY no tendrá costo
por razones familiares.

EDITORIAL LIBERTAD

Página 51
UNIVERSIDAD PRIVADA DOMINGO SAVIO

3.8.6 Merchandising
•

Anaqueles
Estaran en los puntos de comercialización del libro, serán de tamaño
200x180x35 cm. Contara con cinco cajones de los cuales dos de ellos en la
parte central contenra el libro con una capacidad de 23 ejemplares. La
ubicación de estos anaqueles estarán en la entrada del punto.
Estará ubicado en la parte central ( Zona caliente)

3.8.7 Promocion de Ventas
3.8.7.1 Consumidor Final
o Cupones
Para que el cliente se interese aun mas por el producto, por cada unidad
adquirida será acreedor de un Cupon, (Debe llenar los datos y depositar en las
ánforas de cada Librería autorizada) que le permitirá participar de un sorteo de
20 IPAD MINI al finalizar trimestre uno.
El cupon estará impreso en papel couche a full color, y tendrá un tamaño de
15x7 cm

LUGAR DE LAS ANFORAS AUTORIZADAS:
Estar ubicados en las 23 librerias de nuestro canal de distribución, al lado de
la caja.
EDITORIAL LIBERTAD

Página 52
UNIVERSIDAD PRIVADA DOMINGO SAVIO

COSTO DE LAS ANFORAS
precio unitario = 250 bs
cantidad de anforas = 23 anforas

COSTO TOTAL DE LAS ANFORAS
250 X 23 = 5750 bs (821.43 $u$)
3.8.7.2 Canal de Distribucion
o Descuento
En beneficio ahora del Canal Distribuidor, se le realizaran descuentos, por
compras mayores a 5 cajas x 60 unds. Se hara acreedor del 5% de descuento.
MES 2
Se utilizaran los sgtes medios: Prensa, Baners, Roller.
•

PRENSA
La publicidad por prensa se realizara en “EL DEBER” y “EL SOL”.
El deber
Los días Jueves en El Deber en la Seccion “DEBERCITO” Suplemento Para
Niños, se pasara durante todos los Jueves de este mes,ocupando la plana
completa de la contratapa en dicha sección.
medidas de 5x8 a full color.

Precio por publicidad:
Cada jueves = 11340 bs
Precio por publicidad del mes.
11340 x 4 = 45360 bs (6480 $u$)
El sol
se publicara 3 veces por semana los días lunes miércoles y viernes ocupando
cuarto de pagina a lado derecho superior de la pagina y a full color de igual
manera Sabado Domingo en El Sol, en la sección de niños.
Precio por publicidad
Lunes, Miercoles y Viernes = 480 bs por dia.
Precio por publicidad del mes
480 x 12 = 5760 bs
EDITORIAL LIBERTAD

(822.85 $u$)
Página 53
UNIVERSIDAD PRIVADA DOMINGO SAVIO

COSTO TOTAL DE LA PRENSA MENSUAL:
51120 bs

(7302.85 $u$)

Marketing Directo
•

Facebook
-Se publicaran en el muro de la pagina todos los dias
-Se publicaran cada 2 horas.
-Se publicaran Mensajes e Imagenes recreativos.

•

Twitter
-Se publicaran (Twiteara) todos los días.
-Se Escribira un mensaje cada 12 horas
-Se Escribiran mensajes que incentiven a la lectura.

Todas estas cuentas serán creadas con el propósito realizar un estudio de
mercado y a la vez mantener informado a los clientes de nuevos acontecimientos.
Todo esto quedara a cargo del Aux. de comunicación que será el encargado de
mantener estas cuentas actualizadas, subiendo datos para informar a los clientes
y bajando reportes para el estudio interno.
Merchandising
•

Anaqueles
Estaran en los puntos de comercialización del libro, serán de tamaño
200x180x35 cm. Contara con cinco cajones de los cuales dos de ellos en la
parte central contenra el libro con una capacidad de 23 ejemplares. La
ubicación de estos anaqueles estarán en la entrada del punto. Estará ubicado
en la parte central ( Zona caliente)

Promocion de Ventas
Consumidor Final
o Cupones
Para que el cliente se interese aun mas por el producto, por cada unidad
adquirida será acreedor de un Cupon, (Debe llenar los datos y depositar en las
ánforas de cada Librería autorizada) que le permitirá participar de un sorteo de
20 IPAD MINI al finalizar trimestre uno.
El cupon estará impreso en papel couche a full color, y tendrá un tamaño de
15x7 cm.

EDITORIAL LIBERTAD

Página 54
UNIVERSIDAD PRIVADA DOMINGO SAVIO

LUGAR DE LAS ANFORAS AUTORIZADAS:
Estar ubicados en las 23 librerias de nuestro canal de distribución, al lado de
la caja.
COSTO DE LAS ANFORAS
precio unitario = 250 bs
cantidad de anforas = 23 anforas
COSTO TOTAL DE LAS ANFORAS
250 X 23 = 5750 bs (821.43 $u$)

Canal de Distribucion
o Descuento
En beneficio ahora de el Canal Distribuidor, se le realizaran descuentos, por
compras mayores a 5 cajas x 60 unds. Se hara acreedor del 5% de descuento.
MES 3
Se utilizaran los sgtes medios: Prensa, Volantes, Banners, Roller.
•

PRENSA
La publicidad por prensa se realizara en “EL DEBER” y “EL SOL”.
El deber
Los días Jueves en El Deber en la Seccion “DEBERCITO” Suplemento Para
Niños, se pasara durante todos los Jueves de este mes,ocupando la plana
completa de la contratapa en dicha sección.
medidas de 5x8 a full color.

Precio por publicidad:
Cada jueves = 11340 bs
Precio por publicidad del mes: 11340 x 4 = 45360 bs (6480 $u$)
El sol
se publicara 3 veces por semana los días lunes miércoles y viernes ocupando
cuarto de pagina a lado derecho superior de la pagina y a full color de igual
manera Sabado Domingo en El Sol, en la sección de niños.

EDITORIAL LIBERTAD

Página 55
UNIVERSIDAD PRIVADA DOMINGO SAVIO

Precio por publicidad
Lunes, Miercoles y Viernes = 480 bs por dia.
Precio por publicidad del mes: 480 x 12 = 5760 bs

(822.85 $u$)

COSTO TOTAL DE LA PRENSA MENSUAL:
51120 bs
•

(7302.85 $u$)

VOLANTES
Se imprimirán 8000 und. De Volantes en papel Couche de 115 gr. de tamaño
10 x 15 cm. Que serán distribuidos en:
1. IC. NORTE( 8:00 Am a 9:00 am)
-Distribuira 1 persona 1000 volantes.
-Tiempo de distribución: 1 hora.
-Se Repartiran el dia Sabado fecha post lanzamiento del libro.
2.-SHOPING FIDALGA (EQUIPETROL) ( 9:20 am a 10:20 am)
-distribuira 1 persona 1000 volantes.
-Tiempo de distribución: 1 hora.
-Se repartirán el dia sábado fecha post lanzamiento del libro.
3.-BÚFALO PARK ( 10:50 am a 11:50 am)
-Distribuira 1 persona 1000 Volantes.
-Tiempo de distribución: 1 hora.
-Se repartirán el dia sábado fecha post lanzamiento del libro.
4.-ZOOLOGICO MUNICIPAL ( 14:00 pm a 15:00 pm)
-Distriburia 1 persona 1000 volantes.
-Tiempo de Distribucion: 1hora.
-Se repatrian el dia sábado fecha post lanzamiento del libro.
5.-La Plaza 24 de septiembre ( 16:00 pm a 18:00 pm)
- Distribuira 1 persona 2000 volantes.
- Tiempo de distribución: 2 horas.
- Se Repartiran el dia domingo Fecha post lanzamiento del libro.
6.-Cine center ( 18:30 pm a 20:30 pm)
-Distribuira 1 persona 2000 volantes.
-Tiempo de la distribución: 2 horas.
-Se Repartiran el dia domingo fecha post lanzamiento del libro.

EDITORIAL LIBERTAD

Página 56
UNIVERSIDAD PRIVADA DOMINGO SAVIO

Nota: para evitar mayores gastos solo se contratara a una sola persona para repartir
los volantes.

COSTOS DE VOLANTE:
Precio unitario = 0.10 ctvos
Cantidad de volantes = 8000 volantes
COSTO TOTAL DE VOLANTES = 800 bs
REPARTIDOR: 300 Bs

(114.29 $u$)

(42.86 $US )

Marketing Directo
•

•

Facebook
-Se publicaran en el muro de la pagina todos los dias
-Se publicaran cada 2 horas.
-Se publicaran Mensajes e Imagenes recreativos.
Twitter
-Se Twiteara todos los días.
-Se Escribira un mensaje cada 12 horas
-Se Escribiran mensajes que incentiven a la lectura.

Todas estas cuentas serán creadas con el propósito realizar un estudio de
mercado y a la vez mantener informado a los clientes de nuevos acontecimientos.
Todo esto quedara a cargo del Aux. de comunicación que será el encargado de
mantener estas cuentas actualizadas, subiendo datos para informar a los clientes
y bajando reportes para el estudio interno.
Merchandising
•

Anaqueles

Estaran en los puntos de comercialización del libro, serán de tamaño 200x180x35
cm. Contara con cinco cajones de los cuales dos de ellos en la parte central
contenra el libro con una capacidad de 23 ejemplares. La ubicación de estos
anaqueles estarán en la entrada del punto.

EDITORIAL LIBERTAD

Página 57
•

Globos

UNIVERSIDAD PRIVADA DOMINGO SAVIO

Se elaboraran 115 globos y serán distribuidos en unidades de a cinco por librería
autorizada. Esto estará en la parte superior de la entrada de la librería, de manera
que llame la atención y el cliente se interese aun mas por el libro y este no pase
por alto.

DISEÑO DE LOS GLOBLOS

COSTO DE GLOBOS
Precio unitario = 8.2 bs
Cantidad de globos = 115 globos

COSTO TOTAL DE GLOBOS
8.2

X

115 = 943 bs

EDITORIAL LIBERTAD

(134.71 $u$)

Página 58
UNIVERSIDAD PRIVADA DOMINGO SAVIO

Promocion de Ventas
•

Consumidor Final
o Cupones
Para que el cliente se interese aun mas por el producto, por cada unidad
adquirida será acreedor de un Cupon, (Debe llenar los datos y depositar en las
ánforas de cada Librería autorizada) que le permitirá participar de un sorteo de
20 IPAD MINI al finalizar trimestre uno.
El cupon estará impreso en papel couche a full color, y tendrá un tamaño de
15x7 cm. A final de este mes se realizara el sorteo de los 20 IPAD´S MINI.
Fecha del sorteo. ( 30/11/13)
LUGAR DE LAS ANFORAS AUTORIZADAS:
Estar ubicados en las 23 librerias de nuestro canal de distribución, al lado de
la caja.
COSTO DE LAS ANFORAS
precio unitario = 250 bs
cantidad de anforas = 23 anforas
COSTO TOTAL DE LAS ANFORAS
250 X 23 = 5750 bs
(821.43 $u$)
COSTOS DE LOS PREMIO 20 IPAD S

•

Canal de Distribucion
o Descuento
En beneficio ahora de el Canal Distribuidor, se le realizaran descuentos, por
compras mayores a 5 cajas x 60 unds.

PLANILLA DE DESCUENTO (5% SOBRE VENTA)
El descuento del 5% sobre la venta total solo se efectuará comprando 5
paquetes(cajas) o más del libro.
NOTA: No todos nuestros canales de distribución solicitan más de 5 paquetes del
libro. Por lo tanto solo se considera el descuento del 5% sobre la venta total de los
canales que adquirieron 5 o más paquetes.
EDITORIAL LIBERTAD

Página 59
UNIVERSIDAD PRIVADA DOMINGO SAVIO
PRECIO
UNIT. DE
LIBRERÍA PAQUETES PAQUETE

PRECIO
BS

PRECIO
$U$

DESC.
BS

DESC.
$u$

ROSARIO
EL
GARAJE

6

2460

14760

2108,57

738

105,43

5

2460

12300

1757,14

615

87,86

RAYUELA
LOS
AMIGOS

6

2460

14760

2108,57

738

105,43

5

2460

12300

1757,14

615

87,86

TOTAL
Mes 1

22

2460

54120

7731,43

2706

386,57

Mes 2

LIBRERÍA

PRECIO
UNIT. DE PRECIO PRECIO
PAQUETES PAQUETE
BS
$U$

DESC.
BS

DESC.
$u$

ROSARIO

8

2460

19680

2811,43

984

140,57

EL GARAJE

7

2460

17220

2460

861

123

RAYUELA

8

2460

19680

2811,43

984

140,57

LOS AMIGOS
BOLIVIAN
CENTER

6

2460

14760

2108,57

738

105,43

7

2460

17220

2460

861

123

LEWY
PAULA
ANDREA

5

2460

12300

1757,14

615

87,86

7

2460

17220

2460

861

123

GLORIMAR

7

2460

17220

2460

861

123

ATENEO

5

2460

12300

1757,14

615

87,86

GUINGUI
LOS
HUERFANOS

7

2460

17220

2460

861

123

6

2460

14760

2108,57

738

105,43

SIGLO XXI

5

2460

12300

1757,14

615

87,86

TOTAL

78

2460

191880 27411,43

9594

1370,57

EDITORIAL LIBERTAD

Página 60
Mes 3

UNIVERSIDAD PRIVADA DOMINGO SAVIO

PRECIO
UNIT. DE PRECIO PRECIO DESC. DESC.
LIBRERÍA
PAQUETES PAQUETE
BS
$U$
BS
$u$
ROSARIO
9
2460
22140
3162,86 1107 158,14
EL GARAJE
8
2460
19680
2811,43
984
140,57
RAYUELA
9
2460
22140
3162,86 1107 158,14
LOS AMIGOS
6
2460
14760
2108,57
738
105,43
BOLIVIAN
CENTER
8
2460
19680
2811,43
984
140,57
LEWY
6
2460
14760
2108,57
738
105,43
PAULA
ANDREA
9
2460
22140
3162,86 1107 158,14
GLORIMAR
6
2460
14760
2108,57
738
105,43
ATENEO
8
2460
19680
2811,43
984
140,57
GUINGUI
6
2460
14760
2108,57
738
105,43
LOS
HUERFANOS
6
2460
14760
2108,57
738
105,43
SIGLO XXI
7
2460
17220
2460
861
123
HNOS
RIBERA
7
2460
17220
2460
861
123
REPORT
6
2460
14760
2108,57
738
105,43
LIJERON
JORDAN
6
2460
14760
2108,57
738
105,43
DELTA
5
2460
12300
1757,14
615
87,86
PAPEL CRUZ
6
2460
14760
2108,57
738
105,43
FATIMA
5
2460
12300
1757,14
615
87,86
VIDA NUEVA
5
2460
12300
1757,14
615
87,86
TOTAL
128
2460
314880 44982,86 15744 2249,14
PLANILLA TRIMESTRAL DE DESCUENTOS
PRECIO
UNIT. DE PRECIO
DETALLE PAQUETES PAQUETE BS
22
2460
54120
mes 1
78
2460
191880
mes 2
128
2460
314880
mes 3
228
7380
560880
TOTAL
EDITORIAL LIBERTAD

PRECIO DESC.
$U$
BS
7731,43
2706
27411,43
9594
44982,86
15744
80125,72

28044

DESC.
$u$
386,57
1370,57
2249,14
4006,28
Página 61
UNIVERSIDAD PRIVADA DOMINGO SAVIO

3.9 Costos de comunicación mes por mes
MES 1

COSTOS DE COMUNICACIÓN MES 1
Detalle
Bs
Publicidad
58.650,00
Relaciones Publicas
2.225,00
Promocion de ventas
7.183,00
TOTAL
68.058,00

$us
8378,57
317,86
1026,14
9722,57

MES 2

Detalle
Publicidad
Promocion de ventas
TOTAL

COSTOS DE COMUNICACIÓN MES 2
Bs
51.120,00
2865,5
53.985,50

$us
7.302,85
409,36
7.712,21

COSTOS DE COMUNICACIÓN MES 3
Bs
52.220,00
943,00
35098,5
88.261,50

$us
7.460,00
134,71
5014,07
12.608,78

MES 3

Detalle
Publicidad
Merchandising
Promocion de ventas
TOTAL

COSTO TRIMESTRAL DE COMUNICACIÓN

MES 1
MES 2
MES 3
TOTAL

COSTOS DE COMUNICACIÓN TRIMESTRAL
detalle
Bs
68.058,00
53.985,50
88.261,50
210.305,00

EDITORIAL LIBERTAD

$us
9.722,57
7.712,21
12.608,78
30.043,56
Página 62
UNIVERSIDAD PRIVADA DOMINGO SAVIO

detalle
MES 1
MES 2
MES 3
TOTAL

COSTOS DE ESTRATEGIA COMERCIAL
Bs
118.417,02
62.041,50
99.375,80
279.834,32

$us
16.916,71
8.863,15
14.196,53
39.976,39

3.10 Estrategia de Precio

•

Determinación del Precio unitario

DETALLE
MES 1
MES 2
MES 3
TOTAL

CANTIDAD
2.866,00
5.731,00
8.597,00
17.194,00

COSTO FIJO
83.333,33
83.333,33
83.333,34
250.000,00

COSTO
VARIABLE
118.417,02
62.041,50
99.375,80
279.834,32

COSTO TOTAL
201.750,35
145.374,83
182.709,14
529.834,32

PU = CT+ 20 % UTILIDAD
Q TOTAL
PU = 529834.32 + 105966,86 = 36,98
17.194
•

Analisis del precio promedio
PRECIO PROMEDIO = 24,38

Analisis.- A comparación de los precios de la competencia, nuestro precio esta por
arriba de ellos, gracias a que tenemos como ventaja competitiva, el empaque y que
tiene mas números de páginas, para asi dar una mejor ilustracion del cuento.

EDITORIAL LIBERTAD

Página 63
UNIVERSIDAD PRIVADA DOMINGO SAVIO

•

Tabla de costos mes por mes
COSTO
FIJO

DETALLE CANTIDAD

COSTO
VARIABLE

COSTO
TOTAL

MES 1

2.866,00

83.333,33 118.417,02 201.750,35

MES 2

5.731,00

83.333,33

62.041,50 145.374,83

MES 3

8.597,00

83.333,34

99.375,80 182.709,14

TOTAL

17.194,00 250.000,00 279.834,32 529.834,32
COSTO PROMEDIO

•

COSTO COSTO
FIJO VARIABLE
MEDIO
MEDIO

COSTO
TOTAL
MEDIO

29,08

41,32

70,39

14,54

10,83

25,37

9,69

11,56

21,25

53,31

63,70

117,01

17,77

21,23

39,00

Punto equilibrio
- CANTIDAD:

Q=

CFT_________
PU - CVP

=

250000_____ = 15873,02
36,98 – 21.23

Analisis PE Q.- La producción esta por encima del punto de equilibrio, por lo tanto
muestra un margen positivo es 1.320,98 unidades.

-PUNTO DE EQUILIBRIO PRECIO:

P2 =

CFT + CVP
Q

= _250000 + 21,23 = 35,77
17194

Analisis PE Precio.El precio esta por encima del punto de equilibrio, por lo tanto muestra un margen
positivo de 1,21 bs, asi se obtendrá una mayor utilidad..
EDITORIAL LIBERTAD

Página 64
Utilidad Bruta

UNIVERSIDAD PRIVADA DOMINGO SAVIO

U. Bruta = PU x QT
= 36.98 x 17,194
=
635.834,12 bs ( trimestral
•

Utilidad Neta
U. Neta = UB – CT
= 635.834,12 – 529.834,32
=

105.999,80 bs (trimestral)

Utilidad neta – descuento de 5% sobre ventas
= 105.999,80 bs (trimestral) – 28.044,00 ( Descuentos sobre ventas )
77.955,80 bs ( trimestral)
=

11.136,54 $us

NOTA: Los descuentos se realiza apartir de las 5 cajas, del 5 % sobre la venta
total.
El tipo de cambio 7

EDITORIAL LIBERTAD

Página 65
UNIVERSIDAD PRIVADA DOMINGO SAVIO
•

PLANILLA TRIMESTRAL DE UTILIDAD

MES 1

UTILIDAD
BRUTA
105.984,68

MES 2

211.932,38

66.557,55

9.594,00

56.963,55

8.137,65

MES 3

317.917,06

135.207,92

15.744,00

119.463,92

17.066,27

28.044,00

77.955,80

11.136,54

MES

TOTAL

635.834,12

UTILIDAD
REAL NETO
DESCUENTO
REAL NETO $U$
NETA
BS
- 95.765,67
2.706,00
- 98.471,67 14.067,38

105.999,80

IMPUESTOS AL VALOR AGREGADO 13% (IVA)
13.779,97 Bs
IMPUESTOS A LAS TRANSACCIONES 3% (IT)
3179,99 Bs

UTILIDAD NETA – IMPUESTOS (IVA, IT)
77.955,80 - 13.779,97 - 3179,994 =

EDITORIAL LIBERTAD

60.995,83

Página 66
UNIVERSIDAD PRIVADA DOMINGO SAVIO

3.11 CONCLUCIONES Y RECOMENDACIONES
OBJETIVOS

1. Analizar la Planificación Estrategica para el lanzamiento del libro en la ciudad
de Santa Cruz de la Sierra en el transcurso de un mes.
2. Analizar el micro y macro entorno que determine las variables que afecten a la
etidorial.
3. Determinar la segmentación de mercado
4. Determinar la demanda global y estimada
5. Analizar la unidades estragicas de negocio
6. Planificar una estrategia comercial.
CONCLUCIONES
1. Después de haber concluido la planificacion estrategica se determina que el
producto es viable en el mercado.
2. Después de haber analizado el micro y macroentorno se determina que el
entorno que mas afecta es el sociocultural debido debido a que los jóvenes
leen mas que los niños.
3. Se observo que el segmento de mercado son hombres y mujeres de 8 a12
años.
4. Habiendo determinado la demanda global se observo que hay mas hombres
que mujeres. Se determino la demanda estimada en un 6% .
5. Dentro del análisis de la cartera del producto de la empresa el producto se
encuentra como el producto incógnita, y en la Matriz expansión producto
mercado, Se aplicara la estrategia de penetración, es decir el mismo producto
en un mismo mercado.
6. Se determino la mescla comercial, habiendo observado cada una de las
tácticas.

RECOMENDACIONES
1. Se recomienda seguir la planificación estragica paso a paso. Para obtener los
resultados esperados.
2. Se recomienda mantenerse informado de manera constante con los cambios
del entorno socio cultural, ya que esto podría afectar de manera positiva como
también negativa.
EDITORIAL LIBERTAD

Página 67
UNIVERSIDAD PRIVADA DOMINGO SAVIO

3. Recomendamos abocarse exclusivamente al segmento indicado, ya que el
mercado es totalmente factible al libro.
4. Es recomendable seguir con la demanda estimada ya que después de haber
analizado sea ha visto que aun teniendo una demanda del 6% se puede
obtener buenos resultados.
5. Despues de haber analizado cada una de las varibles de la unidades
estratégicas de negocio, es recomendable lanzar el libro, ya que se puede
observar el nivel de utilidad que le da el producto.
6. Después de haber analizados la estrategia comercial se recomienda la
aplicación absoluta de las estrategias .

EDITORIAL LIBERTAD

Página 68

Proyecto editorial libertad

  • 1.
    ESTRATEGIA COMERCIAL: LIBRO INTEGRANTES -NEREIDA ESTREMADOIRO H.(GERENTE GENERAL) -JHON MAICKOL PUMA U. (GERENTE DE PRODUCTO) -MANUEL CHACON (GERENTE DE DISTRIBUCION) –MARCELO CUELLAR (GERENTE DE PRECIO) -JORGE FAVIAN D. (GERENTE DE COMUNICACIÓN)
  • 2.
    UNIVERSIDAD PRIVADA DOMINGOSAVIO ÍNDICE 1.- ANÁLISIS DEL LOS ENTORNOS…………………………………………………..pag.3 1.1.- MICRO ENTORNO………………………………………………………………….pag.3 1.1.1.- Empresa……………………………………………………………………………pag.3 1.1.2.- Visión……………………………………………………………………………….pag.3 1.1.3.- Misión……………………………………………………………………………….pag.3 1.1.4.- Organigrama……………………………………………………………………….pag.4 1.1.5.- Recursos humanos………………………………………………………………..pag.4 1.1.6.- Proveedores………………………………………………………………………..pag.4 1.1.7.- Clientes……………………………………………………………………………..pag.4 1.1.8.- Mercados…………………………………………………………………………...pag.4 1.2.- MACRO ENTORNO…………………………………………………………………pag.4 1.2.1.- Entorno Demográfico……………………………………………………………...pag.5 1.2.2.- Entorno Económico………………………………………………………………..pag.6 1.2.3.- Entorno Político legal…………………………………………………………….pag.11 1.2.4.- Entorno Socio Cultural…………………………………………………………..pag.11 1.2.5.- Entorno Tecnológico……………………………………………………………..pag.13 1.2.7.- Entorno Competitivo……………………………………………………………..pag.14 2.- PLANIFICACIÓN ESTRATEGICA…………………………………………………pag.15 2.1.- Objetivos…………………………………………………………………………….pag.15 2.1.1.- Objetivo General………………………………………………………………….pag.15 2.1.2.- Objetivos Específicos……………………………………………………………pag.15 2.2.- Análisis de la cartera de negocios………………………………………………..pag.15 2.2.1.- Matriz de crecimiento de Boston……………………………………………….pag.15 2.3.- Desarrollo de las estrategias de crecimiento……………………………………pag.15 2.3.1.- Matriz expansión producto mercado…………………………………………...pag.15 2.4.- Segmentación de mercados………………………………………………………pag.16 2.4.1.- Demográfica……………………………………………………………………....pag.16 2.4.2.- Geográfica………………………………………………………………………...pag.16 2.4.3.- psicográfica ………………………………………………………………………pag.16 EDITORIAL LIBERTAD Página 1 2.4.4.- Conductual………………………………………………………………………..pag.16
  • 3.
    UNIVERSIDAD PRIVADA DOMINGOSAVIO 2.5.-Mercado meta…… …………………………………………………………………pag.17 2.6.- Demanda global…………………………………………………………………….pag.17 2.7.- Demanda estimada………………………………………………………………...pag.17 3.- ESTRATEGIA COMERCIAL………………………………………………………..pag.18 3.1.- Objetivos…………………………………………………………………………….pag.18 3.1.1.- Objetivo General………………………………………………………………….pag.18 3.1.2.- Objetivo Específicos……………………………………………………………..pag.18 3.2.- Mercado Meta………………………………………………………………………pag.19 3.3.- Estrategia de Producto…………………………………………………………….pag.19 3.3.1.- Tácticas……………………………………………………………………………pag.19 3.4.- Ciclo de vida del Producto…………………………………………………………pag.24 3.5.- Cantidad a producirse……………………………………………………………...pag.24 3.6.- Costo de Productos mes por mes………………………………………………..pag.25 3.7.- Estrategia de Distribución…………………………………………………………pag.25 3.7.1.- Tipo de canal……………………………………………………………………..pag.26 3.7.2.- Forma de distribución……………………………………………………………pag.29 3.7.3.- Logística de distribución ………………………………………………………..pag.29 3.7.4.- Costos de distribución mes por mes…………………………………………...pag.38 3.8.- Estrategias de Comunicación……………………………………………………..pag.39 3.8.1.- Publicidad…………………………………………………………………………pag.39 3.8.4.- Marketing directo…………………………………………………………………pag.47 3.8.5.- Relaciones publicas……………………………………………………………...pag.47 3.8.6.- Merchandising…………………………………………………………………….pag.48 3.8.7.- Promoción de ventas…………………………………………………………….pag.49 3.8.7.1.- Consumidor final……………………………………………………………….pag.49 3.8.7.2.- Canal de distribución…………………………………………………………..pag.49 3.8.7.3.- Fuerza de ventas………………………………………………………………pag.55 3.9.- Costo de comunicación mes por mes……………………………………………pag.63 3.10.- Estrategia de precio………………………………………………………………pag.64 3.11.- Conclusiones y Recomendaciones……………………………………………..pag.68 EDITORIAL LIBERTAD Página 2
  • 4.
    UNIVERSIDAD PRIVADA DOMINGOSAVIO ESTRATEGIAS DE MARKETING DE “ EDITORIAL LIBERTAD ” MERCADOTECNIA II I) ANÁLISIS DE ENTORNOS 1.1 Micro entorno 1.1.1 Empresa: La organización “EDITORIAL LIBERTAD” Inicia sus actividades comercial en el año 2013, esta empresa inicio sus actividades con 5 personas, Sera una empresa editorial, reconocida por sus clientes y accionistas, trabajadores y proveedores, respetada por la competencia en razón de su calidad, ética y compromiso con el mejoramiento de la educación infantil. Será una comunidad de trabajo donde pasaran parte de su vida, trabajando en equipo y asy contribuir al mejoramiento de la educación y la cultura infantil de la ciudad de Santa Cruz de la Sierra. 1.1.2 Visión: Llegar a ser líder en el mercado con alta tecnología, realizando nuevas oportunidades de negocio. 1.1.3 Misión: Ser una Editorial, que elabore un producto de calidad, y de esta manera contribuir he incrementar el conocimiento y la cultura del segmento infantil en la ciudad de Santa Cuz, brindando a su vez una atención con personal calificado. 1.1.4 Organigrama: EDITORIAL LIBERTAD Página 3
  • 5.
    UNIVERSIDAD PRIVADA DOMINGOSAVIO GERENCIA GENERAL ASESOR LEGAL SECRETARIA DPTO ADMINISTRATIVO DPTO DE CONTABILIDAD AUXILIAR CONTABLE AUXILIAR ADMINISTRATIVO DPTO DE RR HH DPTO COMERCIAL GERENTE DE PRODUCCION GERENTE DE DISTRIBUCCION GERENTE DE PRECIOS AUX DE RRHH GERENTE DE COMUNICACION AUXILIAR DE COMUNICACION Fuentes: Elaboracion propia EDITORIAL LIBERTAD Página 4
  • 6.
    1.1.5 UNIVERSIDAD PRIVADA DOMINGOSAVIO Recursos humanos Se ha seleccionado un equipo Formado por profesionales entusiastas comprometidos y calificados que trabajen y hagan equipo con el cliente. 1. Gerente General - Secretaria - Asesor Legal 2. Departamento Administrativo -Auxiliar Administrativo 3. Departamento de Contabilidad -Auxiliar Contable 4. Departamento Comercial -Gerente de Producción -Gerente de Distribución -Gerente de Comunicación *Auxiliar de Comunicación -Gerente de Precio -Departamento de Recursos Humanos *Auxiliar de Recursos Humanos 1.1.6 Proveedores Los Proveedores directo son autores y escritores de cuentos y libros didácticos para niños, que confían sus trabajos literarios en nuestra editorial. AUTOR → EDITORIAL → IMPRENTA → LIBRERÍA → LECTOR Los proveedores indirectos vendrían a ser los siguientes: • Saguapac (servicios de agua potable) • CRE Ltda (servicios de energía eléctrica) • Cotas Ltda (servicios de telefonía fija) • Entel S.A. (servicios de telefonía móvil e internet) EDITORIAL LIBERTAD Página 5
  • 7.
    1.1.7 Clientes UNIVERSIDAD PRIVADADOMINGO SAVIO Los clientes de la librería son estudiantes de colegios, que adquieren lecturas complementarias para actividades. Son niños que gustan de la lectura. 1.1.8 Mercados El libro será lanzado al mercado cruceño, para su venta física, será mediante las librerías principales de la ciudad. Mercado del consumidor.- Niños de 8 a 12 años. 1.2 Macro entorno 1.2.1 Entorno Demográfico POBLACION TOTAL EN SANTA CRUZ DE LA SIERRA 1.030.000 1.025.222 1.025.000 1.020.000 1.015.000 HOMBRES 1.010.000 MUJERES 1.004.249 1.005.000 1.000.000 995.000 990.000 1 FUENTE: Instituto 2 nacional de estadística (INE)- Censo de población y vivienda 2001 El siguiente cuadro refleja la cantidad aproximada de habitantes en Santa Cruz de la Sierra (cantidad aproximada de habitantes del sexo femenino y masculino),donde se tiene pensado vender el libro. EDITORIAL LIBERTAD Página 6
  • 8.
    UNIVERSIDAD PRIVADA DOMINGOSAVIO SEGMENTO DEL POSIBLE MERCADO 28.000 27.617 27.500 27.000 26.941 26.721 26.500 26.188 26.116 26.000 25.684 25.754 25.566 25.500 HOMBRES MUJERES 24.892 25.000 25.033 24.500 24.000 23.500 8 AÑOS 9 AÑOS 10 AÑOS 11 AÑOS 12 AÑOS FUENTE: Instituto nacional de estadística (INE)- Censo de población y vivienda 2001 En el siguiente cuadro refleja el segmento del posible mercado, sobre la cantidad aproximada de habitantes al que está dirigido el libro, entre las edades de 8 a 12 años de ambos sexos. 1.2.2 Entorno Económico EDITORIAL LIBERTAD Página 7
  • 9.
    UNIVERSIDAD PRIVADA DOMINGOSAVIO • PIB FUENTE: http://noticiasdesdebolivia.blogspot.com/2012 El producto interno bruto de Bolivia del 2001 al 2012 registro un crecimiento de 3.5 % y se prevee que para este año 2013 haya un crecimiento del 0.3% ha comparación del año 2012. EDITORIAL LIBERTAD Página 8
  • 10.
    • UNIVERSIDAD PRIVADA DOMINGOSAVIO INFLACIÓN FUENTE: http://www.la-razon.com/economia La demanda interna impulso el crecimiento de PIB en los últimos años se preveé que en 2013 el país alcanzará un crecimiento de entre el 5,8% y el 6%,y se asegura que la tasa de inflación de 2013 no pasará el 5%. En el año 2000 al 2009 hubo un aumento de precio del 8.44%. EDITORIAL LIBERTAD Página 9
  • 11.
    UNIVERSIDAD PRIVADA DOMINGOSAVIO • ÍNDICE DE PRECIO AL CONSUMIDOR Fuente: http://eju.tv/2011/03/bolivia Los pobres son los que más cargan el peso de la inflación; para este sector poblacional el Indice de Precios al Consumidor (IPC) llegó hasta febrero a 3,52%, según un análisis de la fundación Jubileo. Esto a pesar de que el IPC oficial publicado por el Instituto Nacional de Estadística (INE) sólo reflejó una tasa de 2,97% EDITORIAL LIBERTAD Página 10
  • 12.
    UNIVERSIDAD PRIVADA DOMINGOSAVIO • BALANZA DE PAGOS Fuente: http://periodismodigitalenelalto.blogspot.com El financiamiento negativo debe entenderse como un incremento en las Reservas Internacionales Netas. La Balanza de pagos mas alto alcanzado en Bolivia fue el años 2011, llegando a 1293.20 Dolares. EDITORIAL LIBERTAD Página 11
  • 13.
    • UNIVERSIDAD PRIVADA DOMINGOSAVIO BALANZA COMERCIAL Fuente: http://anbolivia.blogspot.com/2013/03/saldo-comercial-de-bolivia-fue-us315- mm.html Exportaciones crecieron en 54%, dice IBCE En el mes de enero de 2013 las exportaciones bolivianas ascendieron a 1.034 millones de dólares, mientras que las importaciones sumaron más de 718 millones, dejando un saldo comercial positivo de 315 millones, señala el informe del Instituto Boliviano de Comercio Exterior (IBCE), en base a datos del Instituto Nacional de Estadística (INE). En comparación a enero de 2012, las ventas externas del país tuvieron un incremento de 54,34 por ciento, mientras que las compras desde el exterior crecieron un 16,43 por ciento. El saldo comercial creció seis veces su valor en comparación al mismo mes de la gestión anterior. EDITORIAL LIBERTAD Página 12
  • 14.
    UNIVERSIDAD PRIVADA DOMINGOSAVIO 1.2.3 Entorno político legal • FUNDEMPRESA • NIT (numero de identificación tributaria) Para lanzar un libro al mercado debemos conocer los trámites legales para poder hacerlo sabiendo que estamos respaldados por la ley y que no incumplimos ninguna norma. • Registrar el o los libros en el registro de propiedad intelectual. (Derechos del autor o Copyright). • Registrar el libro en la agencia boliviana de ISBN. Que se encarga de registrar toda producción editorial boliviana. • Deposito al expositorio nacional. • Solicitar el código de registro ¨EAN¨ (Código de barras) en la Cámara de Industria, Comercio, Servicios y turismo de Santa Cruz de la Sierra (CAINCO). Tenemos la ventaja de que nuestro producto estará protegido por la ley Nro. 1322 del 27 de abril de 1992 (Ley de derechos del autor). Así se evitara el plagio y la piratería, una vez lanzado el producto. 1.2.4 Entorno socio cultural: El periódico local muestra antecedentes de la poblacion acerca del tema de libros. El PERIODICO “EL SOL” INFORMO “Santa Cruz lee mas” “La XIII feria del libro en Santa Cruz de la Sierra fue la mas visitada, dentro de diez, en todo el país, según la publicación de la revista “Identidades 2.0”. muestra un interés creciente por los libros entre la población cruceña.” FUENTE: http://www.elsol.com.bo/index.php?c=&articulo=Santa-Cruz-leemas&cat=360&pla=3&id_articulo=54640 EDITORIAL LIBERTAD Página 13
  • 15.
    UNIVERSIDAD PRIVADA DOMINGOSAVIO EL DEBER INFORMO “Una Santa Cruz de la Sierra que si lee y muestra a la juventud muy abierta a los libros “ “Una encuesta, hecha por la feria de libro revela un mayor interés en la lectura de la mujer en la capital. También señalan que los jóvenes leen mas que los adultos.” La feria incide en el tema. FUENTE http://www.eldeber.com.bo/la-mujer-lee-mas-libros-que-el-hombre-ensanta-cruz/130815003530 GUSTO POR LEER LIBROS: mujeres 45% hombres 33% no leen o no gustan de los libros 12% GUSTOS POR GENERO DE LIBRO novelas: 34% infantiles: 12% cuentos: 10% autoayuda y superacion personal: 21% religion y cultura: 7% biografias e historia: 9% otros: 7% EDITORIAL LIBERTAD Página 14
  • 16.
    UNIVERSIDAD PRIVADA DOMINGOSAVIO FRECUENCIA DE LECTURA 10-14 años: frecuente 15 años: diario 16 a 20 años : diario 21 a 24 años: diario 25 a 34 años: frecuente 35 en adelante : frecuente 1.2.5 Entorno tecnológico • Entre los sistemas más utilizados se encuentra el Open Journal Systems (OJS), el Sistema Electrónico de Gestión Editorial (SEGE), el Quark Publishing System 7 (QPS 7), entre otros. • La corrección, diseño y composición de los originales, pueden realizarse con software de autoedición para las publicaciones en soportes magnéticos (discos compactos) y en la web. • preparación de imágenes: Adobe acrobat y para la preparación de publicaciones en la web: FrontPage y Dreamweaver, PHP, CMS como Plone, Wordpress, Drupal y Mozilla Composer,este último como editor de páginas web libre y de código abierto. • El formato PDF (Portable Document Format) se ha convertido en un estándar para el intercambio entre los editores y la imprenta. • La impresión digital, que incluye cualquier método de impresión -desde impresoras láser de sobremesa hasta prensas offset digitales-, gana cada vez más terreno. Las facilidades que ofrecen constituyen la base de nuevos modelos de gestión como la edición, impresión y encuadernación a demanda. • Los libros electrónicos (E-Book) y la tinta electrónica (E-Ink) son otras de las invenciones que están revolucionando la industria editorial. EDITORIAL LIBERTAD Página 15
  • 17.
    UNIVERSIDAD PRIVADA DOMINGOSAVIO 1.2.7 Entorno competitivo • Competencia Indirecta Editorial Master Bolivia Oriente El Deber • Competencia Directa Grupo Editorial La Hoguera la avejita repostera 30 bs señorita malusa 30 bs anita la niñ bonita 25 bs alas azules 30 bs Editorial Santillana el dragon de fuego y el sol se enfermo 20 bs la maleta de esperansa 40 bs Editorial El Pais Comiendo Estrellas Habra Una Ves 25 bs 30 bs Editorial Renacimiento El Mundo En un abrir y serrar de ojos 20 bs el diablillo en la botella y el idioma de la naturaleza 20 bs Editorial Saber Es Poder una clase diferente y el sonido de la ciudad 20 bs los duendesillos del sol y la semillita de guallava 15 bs Editorial Comunicarte Srl el encuentro y la hija de la luna 15 bs sonido ,lluvias , y piratas 35 bs EDITORIAL LIBERTAD Página 16
  • 18.
    UNIVERSIDAD PRIVADA DOMINGOSAVIO Editorial La Cima una clase diferente y el sonido de la ciudad 20 bs los duendesillos del sol y la semillita de guallava 15 bs II) PLANIFICACIÓN ESTRATEGICA 2.1 Objetivos 2.1.1 Objetivos generales: Analizar la Planificación Estrategica para el lanzamiento del libro en la ciudad de Santa Cruz de la Sierra en el transcurso de un mes. 2.1.2 Objetivos específicos: • Analizar el micro y macro entorno que determine las variables que afecten a la etidorial. • Determinar la segmentación de mercado • Determinar la demanda global y estimada • Analizar la unidades estragicas de negocio. • Planificar una estrategia comercial. 2.2 Análisis de la cartera de negocios 2.2.2 Matriz de crecimiento de Boston: Dentro del análisis de la cartera del producto de la empresa el producto se encuentra como el producto incógnita, podemos decir que se encuentra en la etapa de introducción del ciclo de vida del producto, ya es un producto que se está lanzando por primera vez. 2.3 Desarrollo de las estrategias de crecimiento 2.3.1 Matriz expansión producto mercado:Se aplicará la estrategia de penetración, es decir el mismo producto en un mismo mercado, ya que se persigue un mayor consumo del producto en los mercados actuales. EDITORIAL LIBERTAD Página 17
  • 19.
    UNIVERSIDAD PRIVADA DOMINGOSAVIO 2.4 Segmentación de mercados 2.4.1 Demográfica Sexo: Hombres y Mujeres Edad: 8 a 12 años Nivel socio económico: Clase Media Alta Ocupación: Estudiantes 2.4.2 Geográfica País: Bolivia Departamento: Santa Cruz Ciudad: Santa Cruz de la Sierra Zona: Urbana Anillo: 1º al 8º anillo 2.4.3 Psicografica Gustos: Al leer Preferencia: cuentos Carácter: Colerico 2.4.4 Conductual Frecuencia de compra: Mensual Cantidad de compra: 1 cada mes Lugar de compra: Librerías EDITORIAL LIBERTAD Página 18
  • 20.
    UNIVERSIDAD PRIVADA DOMINGOSAVIO 2.5 Mercado Meta: El Mercado meta está constituido en niños de 8 a 12 años, de una clase social alta de la zona urbana de Santa Cruz, con una compra mensual de un libro, en la principales librerías. 2.6 Demanda global: 28.000 27.500 27.000 27.617 26.941 26.500 26.721 26.188 26.116 26.000 25.684 25.500 25.754 25.566 24.892 25.000 HOMBRES 25.033 MUJERES 24.500 24.000 23.500 8 AÑOS 9 AÑOS 10 AÑOS 11 AÑOS 12 AÑOS Fuente: INE (Instituto Nacional de Estadistica - censo 2001) 2.7 Demanda estimada: Se tiene una demanda estimada del 6% Hombres mujeres Total del segmento Mes 1 Mes 2 Mes 3 Total EDITORIAL LIBERTAD 145636 140928 286564 1% 2% 3% 6% 2866 5731 8597 17194 Página 19
  • 21.
    UNIVERSIDAD PRIVADA DOMINGOSAVIO Ventas estimada 6% demanda global demanda estimada FUENTE: Elaboración propia III) ESTRATEGIA COMERCIAL 3.1 Objetivos 3.1.1 Objetivos General: Realizar la Estrategia Comercial para la Editorial Libertad en la ciudad de Santa Cruz de la Sierra en el lapso de tres meses. 3.1.2 Objetivos específicos:  Determinar la Tacticas del Producto  Determinar la Distribucion del libro  Elaborar la mezcla comunicacional  Determinar las tácticas de Precio  Elaborar los costos de la Estrategia Comercial. EDITORIAL LIBERTAD Página 20
  • 22.
    UNIVERSIDAD PRIVADA DOMINGOSAVIO 3.2 Mercado meta El Mercado meta está constituido en niños de 8 a 12 años, de una clase social alta de la zona urbana de Santa Cruz, con una compra mensual de un libro, en la principales librerías. 3.3 Estrategia de Producto 3.3.1 Tacticas • Marca : “ Editorial ¨Libertad ” • Nombre “ Los 40 zapatos” • Logotipo  Grafico EDITORIAL LIBERTAD Página 21
  • 23.
    UNIVERSIDAD PRIVADA DOMINGOSAVIO  Tipografico • Slogan  Institucional “ La llave de la libertad esta en los libros ”  Agresivo Para el lanzamiento del libro, el slogan de la campaña de lanzamiento es la siguiente frase “Deja tu huella” • Etiqueta  Etiqueta de marca EDITORIAL LIBERTAD Página 22
  • 24.
    UNIVERSIDAD PRIVADA DOMINGOSAVIO TAPA DEL LIBRO EDITORIAL LIBERTAD Página 23
  • 25.
    UNIVERSIDAD PRIVADA DOMINGOSAVIO TAPA TRASERA  Etiqueta informativa LOMO DEL LIBRO EDITORIAL LIBERTAD Página 24
  • 26.
    • UNIVERSIDAD PRIVADA DOMINGOSAVIO Empaque TAMAÑO EDITORIAL LIBERTAD Página 25
  • 27.
    • Paquete UNIVERSIDAD PRIVADA DOMINGOSAVIO 3.4 Ciclo de vida del producto Se encuentra en la etapa de introducción. 3.5 Cantidad a Producirse TIEMPO mes 1 mes 2 mes 3 total UNIDAD 2866 5731 8597 17194 EDITORIAL LIBERTAD PORCENTAJE 1% 2% 3% 6% EMPAQUE 2866 5731 8597 17194 PAQUETE 48 96 143 287 Página 26
  • 28.
    UNIVERSIDAD PRIVADA DOMINGOSAVIO 3.6 Costos de productos mes por mes MES 1 COSTO DE PRODUCCION DESCRIPCION CANTIDAD P/U EN BS. TOTAL EN BS DISEÑO GRAFICO 85 EMPAQUE 2.886,00 1,00 2.886,00 IMPRENTA 17.194,00 2,63 45.220,22 CAJAS 48,00 1,10 52,80 TOTAL EGRESO 48.244,02 TOTAL EN $U$ 12,14 412,29 6.460,03 7,54 6.892,00 MES 2 COSTO DE PRODUCCION DESCRIPCION CANTIDAD P/U EN BS. TOTAL EN BS EMPAQUE 5.731,00 1,00 5.731,00 CAJAS 96,00 1,10 105,60 TOTAL EGRESO 5.836,60 TOTAL EN $U$ 818,71 15,09 833,80 MES 3 COSTO DE PRODUCCION DESCRIPCION CANTIDAD P/U EN BS. TOTAL EN BS EMPAQUE 8.597,00 1,00 8.597,00 CAJAS 143,00 1,10 157,30 TOTAL EGRESO 8.754,30 TOTAL EN $U$ 1.228,14 22,47 1.250,61 COSTO TRIMESTRAL COSTO DE PRODUCCION TRIMESTRAL DESCRIPCION mes 1 mes 2 mes 3 total egreso EDITORIAL LIBERTAD TOTAL 48.244,02 5.836,60 8.754,30 62.834,92 M/N Bs Bs Bs Bs TOTAL 6892,00 833,80 1250,61 8976,42 M/E $U$ $U$ $U$ $U$ Página 27
  • 29.
    UNIVERSIDAD PRIVADA DOMINGOSAVIO NOTA: en papel bond de 63 grs. impresion un solo color tapa en couche de 250 grs. Bs. 2,63 la unidad IMPRENTA ARTE MAR SRL TELF. 3559836 3.7 Estrategia de distribución 3.7.1 Tipo de canal • El canal que se tomará en cuenta es el corto, por lo tanto recorre la siguiente ruta de distribución. productor, minorista y consumidor final. EDITORIAL LIBERTAD Página 28
  • 30.
    UNIVERSIDAD PRIVADA DOMINGOSAVIO Las librerias minoristas son: 1. ATENEO: C. Independencia # 365, telf. 3-333338 2. EL GARAJE: C. Ñuflo de Chavez # 443, telf. 3323329 3. LEWY LIBROS: C. Junin, telf. 3-360709 4. LOS AMIGOS DEL LIBRO: C. Ingavi # 14, telf. 3-327937 5. LOS HUERFANOS: C. Rene Moreno #501, telf. 3-361702 6. GUINGUI: C. Independencia #138, telf. 3-368548 7. SIGLO XXI: C. Ipita #90, telf. 3-584600 8. RAYUELA: C.Ingavi #14, telf. 3-327937 9. RIBERA HNOS.: C. Ingavi-Rene Moreno, telf. 3-345788 10. ROSARIO: C. Charcas#713, telf. 3-368461 11. BOLIVIAN CENTERS: C. Ingavi# 72, telf. 3-331420 12. GLORIMAR: C. Pari#245, telf. 3-396034 13. PAULA ANDREA: Av. Cañoto# 600, telf.3-367954 14. REPORT calle Ballivian nº 38 telef. 3361082 15. LIJERON JORDAN LTDA calle Ballivian edif, Oriente of.5 telef. 3324571 16. DELTA Av. Grigota nº 356 telef. 3541927 17. PAPEL CRUZ calle Libertad nº 537 telef. 3358887 18. FATIMA calle Campero telef. 3321708 19. ADC calle Rene Moreno nº36 telef. 3338830 20. ARTESCO av. Alemana nº 2320 telef. 3414479 21. LA JUVENTUD LTDA calle Independencia esq. Ingavi telef. 3338868 22. VIDA NUEVA SRL calle independencia esq. Ingavi telf.. 3338868 23. SABER ES PÒDER calle España nº353 telf. 3370433 EDITORIAL LIBERTAD Página 29
  • 31.
    UNIVERSIDAD PRIVADA DOMINGOSAVIO 3.7.2 Forma de distribución La forma de distribución será selectiva, desde el primer anillo al 8vo anillo. 3.7.3 logistica de la distribución • Transporte MES 1 RUTAS Furgón p. industrial 4to anillo y paragua detrás del hipermaxi 3 c. charcas#713 6 30 min. martes 09:30 c. ñuflo de chavez # 443 5 25 min. martes 09:55 c.ingavi #14 6 25 min. martes 10:20 c.ingavi #16 5 10 min. martes 10:30 c.ingavi #72 4 10 min. martes 10:40 c. junin #43 3 20 min. martes 11:00 av. cañoto# 600 4 25 min. martes 11:25 c. pari#245 3 20 min. jueves 09:00 c. independencia # 365 3 15 min. jueves 09:15 c. independencia #138 2 10 min. jueves 09:25 c. rene moreno #501 2 15 min. jueves 09:40 c. ipita #90 2 60 min. jueves 10:40 Furgón Furgón Furgón Furgón Furgón Furgón Furgón Furgón Furgón Furgón Furgón Furgón almacen librería "rosario" librería "el garaje" librería "rayuela" librería "los amigos" librería "bolivian centers" librería "lewy" librería "paula andrea" librería "glorimar" librería "ateneo" librería "guingui" librería "los huerfanos" librería "siglo xxi" CANTIDAD TIEMPO DIAS DE HORA(amENTREGA pm) Aprox. MEDIOS LIBRERIAS 09:00 48 EDITORIAL LIBERTAD Página 30
  • 32.
    UNIVERSIDAD PRIVADA DOMINGOSAVIO RUTA GENERAL DE DISTRIBUCION: RUTA DE DISTRIBUCION DIA MARTES REFERENCIAS CODIGO LIBRERÍA O ALMACEN A B C D E F G H Almacen editorial "libertad" librería "rosario" librería "el garaje" librería "rayuela" librería "los amigos" librería "bolivian centers" librería "lewy" librería "paula andrea" EDITORIAL LIBERTAD DIRECCION p. industrial 4to anillo y paragua detrás del hipermaxi c. charcas#713 c. ñuflo de chavez # 443 c.ingavi #14 c.ingavi #16 c.ingavi #72 c. junin #43 av. cañoto# 600 Página 31
  • 33.
    UNIVERSIDAD PRIVADA DOMINGOSAVIO RUTA DE DISTRIBUCION DIA JUEVES REFERENCIAS CODIGO LIBRERÍA O ALMACEN A B C D E F Almacen editorial "libertad" librería "glorimar" librería "ateneo" librería "guingui" librería "los huerfanos" librería "siglo xxi" EDITORIAL LIBERTAD DIRECCION p. industrial 4to anillo y paragua detrás del hipermaxi c. pari#245 c. independencia # 365 c. independencia #138 c. rene moreno #501 c. ipita #90 Página 32
  • 34.
    UNIVERSIDAD PRIVADA DOMINGOSAVIO Mes 2 RUTAS Furgón p. industrial 4to anillo y paragua detrás del hipermaxi 5 c. charcas#713 8 30 min. martes 09:30 c. ñuflo de chavez # 443 7 25 min. martes 09:55 c.ingavi #14 8 25 min. martes 10:20 c.ingavi #16 6 10 min. martes 10:30 c.ingavi #72 7 10 min. martes 10:40 c. junin #43 5 20 min. martes 11:00 av. cañoto# 600 7 25 min. martes 11:25 c. pari#245 7 20 min. jueves 09:00 c. independencia # 365 5 15 min. jueves 09:15 c. independencia #138 7 10 min. jueves 09:25 c. rene moreno #501 6 15 min. jueves 09:40 c. ipita #90 5 60 min. jueves 10:40 c. ballivian #38 4 25 min. viernes 09:25 edificio oriente of. 5 3 15 min. viernes 09:40 calle ingavi y rene moreno 4 10 min. viernes 09:50 av. grigota #356 5 20 min. viernes 10:10 Furgón Furgón Furgón Furgón Furgón Furgón Furgón Furgón Furgón Furgón Furgón Furgón Furgón Furgón Furgón Furgón almacen librería "rosario" librería "el garaje" librería "rayuela" librería "los amigos" librería "bolivian centers" librería "lewy" librería "paula andrea" librería "glorimar" librería "ateneo" librería "guingui" librería "los huerfanos" librería "siglo xxi" librería REPORT librería ligeron jordan ltda librería ribera hermanos librería delta CANTIDAD TIEMPO DIAS DE HORA(amENTREGA pm) Aprox. MEDIOS LIBRERIAS 09:00 99 EDITORIAL LIBERTAD Página 33
  • 35.
    UNIVERSIDAD PRIVADA DOMINGOSAVIO NOTA: Se empleara la misma ruta de distribución del dia martes y jueves enseñadas anteriormente, para la distribución del mes 2. RUTA DE DISTRIBUCION DIA VIERNES DEL MES 2 REFRENCIAS CODIGO LIBRERÍA O ALMACEN Almacen editorial A "libertad" librería REPORT B librería ligeron jordan ltda C librería ribera hermanos D librería delta E EDITORIAL LIBERTAD DIRECCION p. industrial 4to anillo y paragua detrás del hipermaxi c. ballivian #38 edificio oriente of. 5 calle ingavi y rene moreno av. grigota #356 Página 34
  • 36.
    MES 3 UNIVERSIDAD PRIVADADOMINGO SAVIO MEDIOS LIBRERIAS RUTAS Furgón Furgón p. industrial 4to anillo c. charcas#713 c. ñuflo de chavez # 443 c.ingavi #14 5 9 30 min. DIAS DE HORA(amENTREGA pm) Aprox. 09:00 martes 09:30 8 25 min. martes 09:55 9 25 min. martes 10:20 c.ingavi #16 6 10 min. martes 10:30 c.ingavi #72 8 10 min. martes 10:40 c. junin #43 6 20 min. martes 11:00 av. cañoto# 600 9 25 min. martes 11:25 c. pari#245 6 20 min. jueves 09:00 8 15 min. jueves 09:15 6 10 min. jueves 09:25 6 15 min. jueves 09:40 7 60 min. jueves 10:40 4 5 25 min. 15 min. viernes viernes 09:25 09:40 6 10 min. viernes 09:50 4 20 min. viernes 10:10 7 20min. viernes 10:30 3 25 min. viernes 10:55 5 15 min. viernes 11:10 6 30 min viernes 11:40 6 4 5 148 25 min 10 min 15 min viernes viernes viernes 12:15 12:25 12:40 Furgón Furgón Furgón Furgón Furgón Furgón Furgón Furgón Furgón Furgón Furgón Furgón Furgón Furgón Furgón Furgón Furgón Furgón Furgón Furgón Furgón Furgón Almacen librería "rosario" librería "el garaje" librería "rayuela" librería "los amigos" librería "bolivian centers" librería "lewy" librería "paula andrea" librería "glorimar" c. independencia # 365 c. independencia librería "guingui" #138 librería "los c. rene moreno #501 huerfanos" librería "siglo c. ipita #90 xxi" Artesco av. alemana #56 librería fatima calle campero librería papel calle libertad #537 cruz Saber es poder calle españa #353 librería ribera calle ingavi y rene hermanos moreno calle independencia la juventud esq. ingavi calle independencia vida nueva srl #173 librería ligeron edificio oriente of. 5 jordan ltda librería report c. ballivian #38 librería adc calle rene moreno #56 librería delta av. grigota #356 librería "ateneo" EDITORIAL LIBERTAD CANTIDAD TIEMPO Página 35
  • 37.
    UNIVERSIDAD PRIVADA DOMINGOSAVIO NOTA: Se empleara la misma ruta de distribución del dia martes y jueves enseñadas anteriormente, para la distribución del mes 3. RUTA DE DISTRIBUCION DIA VIERNES DEL MES 3 REFERENCIAS CODIGO LIBRERÍA O ALMACEN A B C D E F G H I J K L Almacen editorial “libertad” Artesco librería fatima librería papel cruz Saber es poder librería ribera hermanos la juventud vida nueva srl librería ligeron jordan ltda librería report librería adc librería delta EDITORIAL LIBERTAD DIRECCION p. industrial 4to anillo y paragua detrás del hipermaxi av. alemana #56 calle campero calle libertad #537 calle españa #353 calle ingavi y rene moreno calle independencia esq. ingavi calle independencia #173 edificio oriente of. 5 c. ballivian #38 calle rene moreno #56 av. grigota #356 Página 36
  • 38.
    • UNIVERSIDAD PRIVADA DOMINGOSAVIO Almacenamiento EDITORIAL " LIBERTAD" TIEMPO CANTIDAD PAQUETES % PESO VOLUMENES 128.6 cm. 259.20 cm. 194.4 cm. 194.4 cm. 776,60 cm. primer mes segundo mes tercer mes 2866 5731 8597 48 96 143 16.72% 33.45% 49.83% 499.2 998.4 1487.2 PRODUCCION TOTAL 17194 287 100% 2984.8  MES 1 DISTRIBUCION "EDITORIAL LIBERTAD" LIBRERÍA DIRECCION PAQUETES % Librería "Rosario" C. Charcas#713 6 12,50% Librería "El garaje" C. Ñuflo de Chavez # 443 5 10,42% Librería "Rayuela" C.Ingavi #14 6 12,50% Librería "Los amigos" C.Ingavi #16 5 10,42% Librería "Bolivian Centers" C.Ingavi #72 4 8,33% Librería "Lewy" C. Junin #43 3 6,25% Librería "Paula Andrea" Av. Cañoto# 600 4 8,33% Librería "Glorimar" C. Pari#245 3 6,25% Librería "ateneo" C. Independencia # 365 3 6,25% Librería "Guingui" C. Independencia #138 2 4,17% Librería "Los huerfanos" C. Rene Moreno #501 2 4,17% Librería "siglo XXI" C. Ipita #90 2 4,17% almacen 3 6,25% 48 100,00% EDITORIAL LIBERTAD Página 37
  • 39.
    UNIVERSIDAD PRIVADA DOMINGOSAVIO  MES 2 LIBRERÍA Librería "Rosario" Librería "El garaje" Librería "Rayuela" Librería "Los amigos" Librería "Bolivian Centers" Librería "Lewy" Librería "Paula Andrea" Librería "Glorimar" Librería "ateneo" Librería "Guingui" Librería "Los huerfanos" Librería "siglo XXI" Librería Ribera hermanos Librería Report Librería Ligeron jordan ltda Librería Delta ALMACEN DIRECCION C. Charcas#713 C. Ñuflo de Chavez # 443 C.Ingavi #14 C.Ingavi #16 PAQUETES 8 7 8 6 % 8,08% 7,07% 8,08% 6,06% C.Ingavi #72 7 7,07% C. Junin #43 Av. Cañoto# 600 C. Pari#245 C. Independencia # 365 C. Independencia #138 C. Rene Moreno #501 C. Ipita #90 5 7 7 5 7 6 5 5,05% 7,07% 7,07% 5,05% 7,07% 6,06% 5,05% Calle Ingavi y Rene moreno C. Ballivian #38 Edificio Oriente of. 5 Av. Grigota #356 4 3 4 5 5 99 4,04% 3,03% 4,04% 5,05% 5,05% 100,00% NOTA: Los paquetes ha repartir son 96 mas el sobrante del mes anterior 3 paquetes TOTAL : 99 PAQUETES EDITORIAL LIBERTAD Página 38
  • 40.
    UNIVERSIDAD PRIVADA DOMINGOSAVIO  MES 3 LIBRERÍA Librería "Rosario" Librería "El garaje" Librería "Rayuela" Librería "Los amigos" Librería "Bolivian Centers" Librería "Lewy" Librería "Paula Andrea" Librería "Glorimar" Librería "ateneo" Librería "Guingui" Librería "Los huerfanos" Librería "siglo XXI" Librería Ribera hermanos Librería Report Librería Ligeron jordan ltda Librería Delta Librería Papel Cruz Librería Fatima Librería ADC Artesco La juventud Vida Nueva SRL Saber es Poder ALMACEN DIRECCION C. Charcas#713 C. Ñuflo de Chavez # 443 C.Ingavi #14 C.Ingavi #16 C.Ingavi #72 C. Junin #43 Av. Cañoto# 600 C. Pari#245 C. Independencia # 365 C. Independencia #138 C. Rene Moreno #501 C. Ipita #90 Calle Ingavi y Rene moreno C. Ballivian #38 Edificio Oriente of. 5 Av. Grigota #356 Calle Libertad #537 Calle Campero Calle Rene Moreno #56 Av. Alemana #56 Calle Independencia esq. Ingavi Calle Independencia #173 Calle España #353 PAQUETE S 9 8 9 6 8 6 9 6 8 6 6 7 7 6 6 5 6 5 4 4 3 5 4 5 148 % 6,08% 5,41% 6,08% 4,05% 5,41% 4,05% 6,08% 4,05% 5,41% 4,05% 4,05% 4,73% 4,73% 4,05% 4,05% 3,38% 4,05% 3,38% 2,70% 2,70% 2,03% 3,38% 2,70% 3,38% 100,00% NOTA: Los paquetes ha repartir son 143 mas el sobrante del mes anterior 5 paquetes TOTAL: 148 PAQUETES. EDITORIAL LIBERTAD Página 39
  • 41.
    UNIVERSIDAD PRIVADA DOMINGOSAVIO • Inventario El control de inventario se llevará a cabo de manera mesual dentro de la editorial La Libertad. • Procesamiento de pedido Los pedidos se hacen mediante teléfono, ref. 3482857 - 3482856 3.7.4 Costos de distribuciones por mes COSTO DE DISTRIBUCION MES 1 DESCRIPCIÓN tramporte 1 tramporte 2 Almacenero P/H 70 70 BS Bs Bs TIEMPO 2:30 2:00 TOTAL TOTAL 175 140 1800 2115 BS Bs Bs Bs BS TOTAL 25 20 257,14 302,14 $ $ $ $ $ COSTO DE DISTRIBUCION MES 2 DESCRIPCIÓN tramporte 1 tramporte 2 tramporte 3 Almacenero P/H 70 70 70 BS TIEMPO Bs 2:30 BS 2:00 Bs 1:30 TOTAL TOTAL 175 140 105 1800 2220 BS TOTAL Bs 25 Bs 20 BS 15 Bs 257,14 BS 317,14 $ BS Bs Bs BS Bs BS $ $ $ $ $ $ $ $ $ $ $ COSTO DE DISTRIBUCION MES 3 DESCRIPCIÓN tramporte 1 tramporte 2 tramporte 3 Almacenero P/H 70 70 70 TOTAL EDITORIAL LIBERTAD BS Bs BS Bs TIEMPO 2:30 2:00 3:30 TOTAL 175 140 245 1800 2360 TOTAL 25 20 35 257 337,14 Página 40
  • 42.
    UNIVERSIDAD PRIVADA DOMINGOSAVIO COSTO DE DISTRIBUCCION TRIMESTRAL DESCRIPCIÓN mes 1 mes 2 mes 3 total egreso TOTAL 2.115,00 2.220,00 2.360,00 6.695,00 M/N Bs Bs Bs Bs TOTAL 302,14 317,14 337,14 956,43 M/E $U$ $U$ $U$ $U$ 3.8 Estrategia de comunicación 3.8.1 Publicidad MES 1 Se utilizaran los sgtes medios: Prensa, Afiches, Volantes, Baners, Roller y Baking • PRENSA La publicidad por prensa se realizara en “EL DEBER” y “EL SOL”. El deber Los días Jueves en El Deber en la Seccion “DEBERCITO” Suplemento Para Niños, se pasara durante todos los Jueves de este mes,ocupando la plana completa de la contratapa en dicha sección. medidas de 5x8 a full color. Precio por publicidad: Cada jueves = 11340 bs Precio por publicidad del mes: 11340 x 4 = 45360 bs (6480 $u$) El sol se publicara 3 veces por semana los días lunes miércoles y viernes ocupando cuarto de pagina a lado derecho superior de la pagina y a full color de igual manera Sabado Domingo en El Sol, en la sección de niños. Precio por publicidad Lunes, Miercoles y Viernes = 480 bs por dia. Precio por publicidad del mes: 480 x 12 = 5760 bs (822.85 $u$) COSTO TOTAL DE LA PRENSA MENSUAL: 51120 bs (7302.85 $u$) EDITORIAL LIBERTAD Página 41
  • 43.
    • UNIVERSIDAD PRIVADA DOMINGOSAVIO AFICHES Se imprimiran 1000 und. De Afiches informativos, impreso en papel couche full color, de tamaño 21.59 x 34 cm. y serán colocados serán pegados en las calles de los 23 canales donde se venderá el libro, , calle ingavi, calle independencia, calle rene moreno, calle junin, calle charcas, calle Ballivian, calle pari. COSTO DE AFICHES C/UNIT = 2.5 bs CANTIDAD TOTAL = 1000 AFICHES COSTO DE AFICHES = 2.5 X 1000 = 2500 bs (357.14 $u$) REPARTIDOR: 300 Bs EDITORIAL LIBERTAD (42.86 $US ) Página 42
  • 44.
    • UNIVERSIDAD PRIVADA DOMINGOSAVIO VOLANTES Se imprimirán 8000 und. De Volantes en papel Couche de 115 gr. de tamaño 10 x 15 cm. Que serán distribuidos en: 1. IC. NORTE( 8:00 Am a 9:00 am) -Distribuira 1 persona 1000 volantes. -Tiempo de distribución: 1 hora. -Se Repartiran el dia Sabado fecha post lanzamiento del libro. 2.-SHOPING FIDALGA (EQUIPETROL) ( 9:20 am a 10:20 am) -distribuira 1 persona 1000 volantes. -Tiempo de distribución: 1 hora. -Se repartirán el dia sábado fecha post lanzamiento del libro. 3.-BÚFALO PARK ( 10:50 am a 11:50 am) -Distribuira 1 persona 1000 Volantes. -Tiempo de distribución: 1 hora. -Se repartirán el dia sábado fecha post lanzamiento del libro. 4.-ZOOLOGICO MUNICIPAL ( 14:00 pm a 15:00 pm) -Distriburia 1 persona 1000 volantes. -Tiempo de Distribucion: 1hora. -Se repatrian el dia sábado fecha post lanzamiento del libro. 5.-La Plaza 24 de septiembre ( 16:00 pm a 18:00 pm) - Distribuira 1 persona 2000 volantes. - Tiempo de distribución: 2 horas. - Se Repartiran el dia domingo Fecha post lanzamiento del libro. 6.-Cine center ( 18:30 pm a 20:30 pm) -Distribuira 1 persona 2000 volantes. -Tiempo de la distribución: 2 horas. -Se Repartiran el dia domingo fecha post lanzamiento del libro. Nota: para evitar mayores gastos solo se contratara a una sola persona para repartir los volantes. EDITORIAL LIBERTAD Página 43
  • 45.
    UNIVERSIDAD PRIVADA DOMINGOSAVIO COSTOS DE VOLANTE: Precio unitario = 0.1 bs Cantidad de volantes = 8000 volantes COSTO TOTAL DE VOLANTES = 800 bs REPARTIDOR: 300 Bs (114.29 $u$) (42.86 $US ) DISEÑO DEL VOLANTE EDITORIAL LIBERTAD Página 44
  • 46.
    BANNERS UNIVERSIDAD PRIVADA DOMINGOSAVIO Se elaboraran 23 und. De baners de tamaño 120 x 90 cm.( “tela” plástica fabricada principalmente de PVC (Policloruro de vinilo), reforzado con una maya de poliéster.) Impreso a full color que serán colocados en los 23 canales de distribucion. 1. ATENEO: C. Independencia # 365, telf. 3-333338 2. EL GARAJE: C. Ñuflo de Chavez # 443, telf. 3323329 3. LEWY LIBROS: C. Junin, telf. 3-360709 4. LOS AMIGOS DEL LIBRO: C. Ingavi # 14, telf. 3-327937 5. LOS HUERFANOS: C. Rene Moreno #501, telf. 3-361702 6. GUINGUI: C. Independencia #138, telf. 3-368548 7. SIGLO XXI: C. Ipita #90, telf. 3-584600 8. RAYUELA: C.Ingavi #14, telf. 3-327937 9. RIBERA HNOS.: C. Ingavi-Rene Moreno, telf. 3-345788 10. ROSARIO: C. Charcas#713, telf. 3-368461 11. BOLIVIAN CENTERS: C. Ingavi# 72, telf. 3-331420 12. GLORIMAR: C. Pari#245, telf. 3-396034 13. PAULA ANDREA: Av. Cañoto# 600, telf.3-367954 14. REPORT calle Ballivian nº 38 telef. 3361082 15. LIJERON JORDAN LTDA calle Ballivian edif, Oriente of.5 telef. 3324571 16. DELTA Av. Grigota nº 356 telef. 3541927 17. PAPEL CRUZ calle Libertad nº 537 telef. 3358887 18. FATIMA calle Campero telef. 3321708 19. ADC calle Rene Moreno nº36 telef. 3338830 20. ARTESCO av. Alemana nº 2320 telef. 3414479 21. LA JUVENTUD LTDA calle Independencia esq. Ingavi telef. 3338868 22. VIDA NUEVA SRL calle independencia esq. Ingavi telf.. 3338868 23. SABER ES PÒDER calle España nº353 telf. 3370433 EDITORIAL LIBERTAD Página 45
  • 47.
    UNIVERSIDAD PRIVADA DOMINGOSAVIO COSTO DE BANNERS precio unitario = 120 bs cantidad de banners = 23 banners COSTO TOTAL DEL BANNERS 120 X 23 = 2760 bs (394.29 $u$) DISEÑO DE BANNERS EDITORIAL LIBERTAD Página 46
  • 48.
    ROLLER UNIVERSIDAD PRIVADA DOMINGOSAVIO Se elaboraran 3 unds. De Roler de tamaño 100 x 200 cm. Impresos a full color en (Lona Panaflex Americana) que serán utilizados en la sala de conferencia del lanzamiento del libro, luego serán llevados a las instalaciones de Editorial Libertad. Los Rollers Estaran situados en los siguientes lugares: 1. El primero estará situado en la puerta principal donde se ofrecerá la conferencia de prensa. 2. El segundo estará situado a lado derecho del backing. 3. El tercero estará situado a lado izquierdo de la testera. COSTO DE ROLLER precio unitario = 290 bs cantidad de roller = 3 roller COSTO TOTAL DEL ROLLER 290 X 3 = 870 bs EDITORIAL LIBERTAD (124.29 $u$) Página 47
  • 49.
    UNIVERSIDAD PRIVADA DOMINGOSAVIO DISEÑO DE ROLLER EDITORIAL LIBERTAD Página 48
  • 50.
    BAKING UNIVERSIDAD PRIVADA DOMINGOSAVIO Quedara a cargo de todos los auspiciadores (COCA COLA-CRE-GOBERNACION DE SANTA CRUZ-COTAS) y será presentado el dia de la conferencia. Será impreso a full color en “tela” plástica fabricada principalmente de PVC (Policloruro de vinilo), reforzado con una maya de poliéster. EDITORIAL LIBERTAD Página 49
  • 51.
    UNIVERSIDAD PRIVADA DOMINGOSAVIO 3.8.4 Marketing Directo • Facebook -Se publicaran en el muro de la pagina todos los dias -Se publicaran cada 2 horas. -Se publicaran Mensajes e Imagenes recreativos. • Twitter -Se publicaran (Twiteara) todos los días. -Se Escribira un mensaje cada 12 horas -Se Escribiran mensajes que incentiven a la lectura. Todas estas cuentas serán creadas con el propósito realizar un estudio de mercado y a la vez mantener informado a los clientes de nuevos acontecimientos. Todo esto quedara a cargo del Aux. de comunicación que será el encargado de mantener estas cuentas actualizadas, subiendo datos para informar a los clientes y bajando reportes para el estudio interno. 3.8.5 Relaciones Publicas • Conferencia de Prensa Se llevara a cabo la presentación del libro “Los 40 Zapatos”, a cargo de la Editorial Libertad, será realizada en instalaciones del Restaurante & Grill Broadaway, ubicado en Av. Monseñor Rivero # 684. Entre los invitados especiales se encuentran el Excelentísimo Gobernador del Dpto. Autónomo de Santa Cruz De la Sierra, el Ing. Ruben Costas Aguilera acompañado de su señora esposa la Lic. Sonia Vincenti de Costas, El Secretario General de la Gobernación del Dpto. Autónomo de Santa Cruz de la Sierra, EL Ing. Roly Aguilera Gasser. Entre los invitados se encuentra también la Lic. Paola Parada, Secretaria de Turismo, Deporte y Juventud de la Gobernación del Dpto. Autónomo de Santa Cruz de la Sierra . El Alcalde de la ciudad de Santa Cruz, el Ing. Percy Fernández Añez, autoridades universitarias de la ciudad, El representante de la Asociación latinoamericana del libro el Señor Pablo Rengel. También niños destacados de las diferentes instituciones educativas del Departamento de Santa Cruz de la Sierra Total invitados = 100 personas. EDITORIAL LIBERTAD Página 50
  • 52.
    UNIVERSIDAD PRIVADA DOMINGOSAVIO PROGRAMA DE CONFERENCIA DE PRENSA. 19:30 pm. : Recibimiento a los invitados especiales a cargo del personal de EDITORIAL LIBERTAD y el autor del libro, el Sr. Pepe Montero  20:30 pm. : Palabras de bienvenida a cargo de la Gerente General de la EDITORIAL LIBERTAD.  21:00 PM. : Palabras informativas sobre la trama del libro infantil “Los 40 Zapatos” a cargo del autor, el Lic. Pepe Montero.  21:30 pm. : Preguntas y cuestionamientos a cargo de los medios de comunicación presente (ATB, UNITEL, PAT, RED UNO, EL DEBER, BTV Y EL SOL). Sobre el libro infantil “Los 40 Zapatos”.  22:00 pm. : Y como agradecimiento a la gentil presencia de sus invitados, EDITORIAL LIBERTAD ofrecerá a los presentes un brindis. Al momento de de presenciar el brindis todos los presentes podrán degustar de mini-hamburguesas a la barbacoa (especialidad de la casa RESTAURANTE & GRILL BROADWAY), tartaletas de coliflor en queso rockeford y como bocadillo dulce; trozos de manzana verde caramelizada. Para brindar el infaltable champagne Andrè y además de lo antes mencionado, variedad de gaseosas a elección. NOTA: Todos los invitados serán atendidos por 2 garzones. PRECIOS: Champangne : 87,5 C/u x 6 unid. = 525 bs Bocaditos: 15 bs x 100 personas = 1500 bs Atencion de Garzones: Bs. 100 c/u X 2 = 200 bs TOTAL COSTO DE LA CONFERENCIA DE PRENSA = 2225 Nota de Bocaditos: Bs. 15.- equivalente a dos bocaditos salados y uno dulce + gaseosa. El alquiler del local RESTAURANTE & GRILL BROADWAY no tendrá costo por razones familiares. EDITORIAL LIBERTAD Página 51
  • 53.
    UNIVERSIDAD PRIVADA DOMINGOSAVIO 3.8.6 Merchandising • Anaqueles Estaran en los puntos de comercialización del libro, serán de tamaño 200x180x35 cm. Contara con cinco cajones de los cuales dos de ellos en la parte central contenra el libro con una capacidad de 23 ejemplares. La ubicación de estos anaqueles estarán en la entrada del punto. Estará ubicado en la parte central ( Zona caliente) 3.8.7 Promocion de Ventas 3.8.7.1 Consumidor Final o Cupones Para que el cliente se interese aun mas por el producto, por cada unidad adquirida será acreedor de un Cupon, (Debe llenar los datos y depositar en las ánforas de cada Librería autorizada) que le permitirá participar de un sorteo de 20 IPAD MINI al finalizar trimestre uno. El cupon estará impreso en papel couche a full color, y tendrá un tamaño de 15x7 cm LUGAR DE LAS ANFORAS AUTORIZADAS: Estar ubicados en las 23 librerias de nuestro canal de distribución, al lado de la caja. EDITORIAL LIBERTAD Página 52
  • 54.
    UNIVERSIDAD PRIVADA DOMINGOSAVIO COSTO DE LAS ANFORAS precio unitario = 250 bs cantidad de anforas = 23 anforas COSTO TOTAL DE LAS ANFORAS 250 X 23 = 5750 bs (821.43 $u$) 3.8.7.2 Canal de Distribucion o Descuento En beneficio ahora del Canal Distribuidor, se le realizaran descuentos, por compras mayores a 5 cajas x 60 unds. Se hara acreedor del 5% de descuento. MES 2 Se utilizaran los sgtes medios: Prensa, Baners, Roller. • PRENSA La publicidad por prensa se realizara en “EL DEBER” y “EL SOL”. El deber Los días Jueves en El Deber en la Seccion “DEBERCITO” Suplemento Para Niños, se pasara durante todos los Jueves de este mes,ocupando la plana completa de la contratapa en dicha sección. medidas de 5x8 a full color. Precio por publicidad: Cada jueves = 11340 bs Precio por publicidad del mes. 11340 x 4 = 45360 bs (6480 $u$) El sol se publicara 3 veces por semana los días lunes miércoles y viernes ocupando cuarto de pagina a lado derecho superior de la pagina y a full color de igual manera Sabado Domingo en El Sol, en la sección de niños. Precio por publicidad Lunes, Miercoles y Viernes = 480 bs por dia. Precio por publicidad del mes 480 x 12 = 5760 bs EDITORIAL LIBERTAD (822.85 $u$) Página 53
  • 55.
    UNIVERSIDAD PRIVADA DOMINGOSAVIO COSTO TOTAL DE LA PRENSA MENSUAL: 51120 bs (7302.85 $u$) Marketing Directo • Facebook -Se publicaran en el muro de la pagina todos los dias -Se publicaran cada 2 horas. -Se publicaran Mensajes e Imagenes recreativos. • Twitter -Se publicaran (Twiteara) todos los días. -Se Escribira un mensaje cada 12 horas -Se Escribiran mensajes que incentiven a la lectura. Todas estas cuentas serán creadas con el propósito realizar un estudio de mercado y a la vez mantener informado a los clientes de nuevos acontecimientos. Todo esto quedara a cargo del Aux. de comunicación que será el encargado de mantener estas cuentas actualizadas, subiendo datos para informar a los clientes y bajando reportes para el estudio interno. Merchandising • Anaqueles Estaran en los puntos de comercialización del libro, serán de tamaño 200x180x35 cm. Contara con cinco cajones de los cuales dos de ellos en la parte central contenra el libro con una capacidad de 23 ejemplares. La ubicación de estos anaqueles estarán en la entrada del punto. Estará ubicado en la parte central ( Zona caliente) Promocion de Ventas Consumidor Final o Cupones Para que el cliente se interese aun mas por el producto, por cada unidad adquirida será acreedor de un Cupon, (Debe llenar los datos y depositar en las ánforas de cada Librería autorizada) que le permitirá participar de un sorteo de 20 IPAD MINI al finalizar trimestre uno. El cupon estará impreso en papel couche a full color, y tendrá un tamaño de 15x7 cm. EDITORIAL LIBERTAD Página 54
  • 56.
    UNIVERSIDAD PRIVADA DOMINGOSAVIO LUGAR DE LAS ANFORAS AUTORIZADAS: Estar ubicados en las 23 librerias de nuestro canal de distribución, al lado de la caja. COSTO DE LAS ANFORAS precio unitario = 250 bs cantidad de anforas = 23 anforas COSTO TOTAL DE LAS ANFORAS 250 X 23 = 5750 bs (821.43 $u$) Canal de Distribucion o Descuento En beneficio ahora de el Canal Distribuidor, se le realizaran descuentos, por compras mayores a 5 cajas x 60 unds. Se hara acreedor del 5% de descuento. MES 3 Se utilizaran los sgtes medios: Prensa, Volantes, Banners, Roller. • PRENSA La publicidad por prensa se realizara en “EL DEBER” y “EL SOL”. El deber Los días Jueves en El Deber en la Seccion “DEBERCITO” Suplemento Para Niños, se pasara durante todos los Jueves de este mes,ocupando la plana completa de la contratapa en dicha sección. medidas de 5x8 a full color. Precio por publicidad: Cada jueves = 11340 bs Precio por publicidad del mes: 11340 x 4 = 45360 bs (6480 $u$) El sol se publicara 3 veces por semana los días lunes miércoles y viernes ocupando cuarto de pagina a lado derecho superior de la pagina y a full color de igual manera Sabado Domingo en El Sol, en la sección de niños. EDITORIAL LIBERTAD Página 55
  • 57.
    UNIVERSIDAD PRIVADA DOMINGOSAVIO Precio por publicidad Lunes, Miercoles y Viernes = 480 bs por dia. Precio por publicidad del mes: 480 x 12 = 5760 bs (822.85 $u$) COSTO TOTAL DE LA PRENSA MENSUAL: 51120 bs • (7302.85 $u$) VOLANTES Se imprimirán 8000 und. De Volantes en papel Couche de 115 gr. de tamaño 10 x 15 cm. Que serán distribuidos en: 1. IC. NORTE( 8:00 Am a 9:00 am) -Distribuira 1 persona 1000 volantes. -Tiempo de distribución: 1 hora. -Se Repartiran el dia Sabado fecha post lanzamiento del libro. 2.-SHOPING FIDALGA (EQUIPETROL) ( 9:20 am a 10:20 am) -distribuira 1 persona 1000 volantes. -Tiempo de distribución: 1 hora. -Se repartirán el dia sábado fecha post lanzamiento del libro. 3.-BÚFALO PARK ( 10:50 am a 11:50 am) -Distribuira 1 persona 1000 Volantes. -Tiempo de distribución: 1 hora. -Se repartirán el dia sábado fecha post lanzamiento del libro. 4.-ZOOLOGICO MUNICIPAL ( 14:00 pm a 15:00 pm) -Distriburia 1 persona 1000 volantes. -Tiempo de Distribucion: 1hora. -Se repatrian el dia sábado fecha post lanzamiento del libro. 5.-La Plaza 24 de septiembre ( 16:00 pm a 18:00 pm) - Distribuira 1 persona 2000 volantes. - Tiempo de distribución: 2 horas. - Se Repartiran el dia domingo Fecha post lanzamiento del libro. 6.-Cine center ( 18:30 pm a 20:30 pm) -Distribuira 1 persona 2000 volantes. -Tiempo de la distribución: 2 horas. -Se Repartiran el dia domingo fecha post lanzamiento del libro. EDITORIAL LIBERTAD Página 56
  • 58.
    UNIVERSIDAD PRIVADA DOMINGOSAVIO Nota: para evitar mayores gastos solo se contratara a una sola persona para repartir los volantes. COSTOS DE VOLANTE: Precio unitario = 0.10 ctvos Cantidad de volantes = 8000 volantes COSTO TOTAL DE VOLANTES = 800 bs REPARTIDOR: 300 Bs (114.29 $u$) (42.86 $US ) Marketing Directo • • Facebook -Se publicaran en el muro de la pagina todos los dias -Se publicaran cada 2 horas. -Se publicaran Mensajes e Imagenes recreativos. Twitter -Se Twiteara todos los días. -Se Escribira un mensaje cada 12 horas -Se Escribiran mensajes que incentiven a la lectura. Todas estas cuentas serán creadas con el propósito realizar un estudio de mercado y a la vez mantener informado a los clientes de nuevos acontecimientos. Todo esto quedara a cargo del Aux. de comunicación que será el encargado de mantener estas cuentas actualizadas, subiendo datos para informar a los clientes y bajando reportes para el estudio interno. Merchandising • Anaqueles Estaran en los puntos de comercialización del libro, serán de tamaño 200x180x35 cm. Contara con cinco cajones de los cuales dos de ellos en la parte central contenra el libro con una capacidad de 23 ejemplares. La ubicación de estos anaqueles estarán en la entrada del punto. EDITORIAL LIBERTAD Página 57
  • 59.
    • Globos UNIVERSIDAD PRIVADA DOMINGOSAVIO Se elaboraran 115 globos y serán distribuidos en unidades de a cinco por librería autorizada. Esto estará en la parte superior de la entrada de la librería, de manera que llame la atención y el cliente se interese aun mas por el libro y este no pase por alto. DISEÑO DE LOS GLOBLOS COSTO DE GLOBOS Precio unitario = 8.2 bs Cantidad de globos = 115 globos COSTO TOTAL DE GLOBOS 8.2 X 115 = 943 bs EDITORIAL LIBERTAD (134.71 $u$) Página 58
  • 60.
    UNIVERSIDAD PRIVADA DOMINGOSAVIO Promocion de Ventas • Consumidor Final o Cupones Para que el cliente se interese aun mas por el producto, por cada unidad adquirida será acreedor de un Cupon, (Debe llenar los datos y depositar en las ánforas de cada Librería autorizada) que le permitirá participar de un sorteo de 20 IPAD MINI al finalizar trimestre uno. El cupon estará impreso en papel couche a full color, y tendrá un tamaño de 15x7 cm. A final de este mes se realizara el sorteo de los 20 IPAD´S MINI. Fecha del sorteo. ( 30/11/13) LUGAR DE LAS ANFORAS AUTORIZADAS: Estar ubicados en las 23 librerias de nuestro canal de distribución, al lado de la caja. COSTO DE LAS ANFORAS precio unitario = 250 bs cantidad de anforas = 23 anforas COSTO TOTAL DE LAS ANFORAS 250 X 23 = 5750 bs (821.43 $u$) COSTOS DE LOS PREMIO 20 IPAD S • Canal de Distribucion o Descuento En beneficio ahora de el Canal Distribuidor, se le realizaran descuentos, por compras mayores a 5 cajas x 60 unds. PLANILLA DE DESCUENTO (5% SOBRE VENTA) El descuento del 5% sobre la venta total solo se efectuará comprando 5 paquetes(cajas) o más del libro. NOTA: No todos nuestros canales de distribución solicitan más de 5 paquetes del libro. Por lo tanto solo se considera el descuento del 5% sobre la venta total de los canales que adquirieron 5 o más paquetes. EDITORIAL LIBERTAD Página 59
  • 61.
    UNIVERSIDAD PRIVADA DOMINGOSAVIO PRECIO UNIT. DE LIBRERÍA PAQUETES PAQUETE PRECIO BS PRECIO $U$ DESC. BS DESC. $u$ ROSARIO EL GARAJE 6 2460 14760 2108,57 738 105,43 5 2460 12300 1757,14 615 87,86 RAYUELA LOS AMIGOS 6 2460 14760 2108,57 738 105,43 5 2460 12300 1757,14 615 87,86 TOTAL Mes 1 22 2460 54120 7731,43 2706 386,57 Mes 2 LIBRERÍA PRECIO UNIT. DE PRECIO PRECIO PAQUETES PAQUETE BS $U$ DESC. BS DESC. $u$ ROSARIO 8 2460 19680 2811,43 984 140,57 EL GARAJE 7 2460 17220 2460 861 123 RAYUELA 8 2460 19680 2811,43 984 140,57 LOS AMIGOS BOLIVIAN CENTER 6 2460 14760 2108,57 738 105,43 7 2460 17220 2460 861 123 LEWY PAULA ANDREA 5 2460 12300 1757,14 615 87,86 7 2460 17220 2460 861 123 GLORIMAR 7 2460 17220 2460 861 123 ATENEO 5 2460 12300 1757,14 615 87,86 GUINGUI LOS HUERFANOS 7 2460 17220 2460 861 123 6 2460 14760 2108,57 738 105,43 SIGLO XXI 5 2460 12300 1757,14 615 87,86 TOTAL 78 2460 191880 27411,43 9594 1370,57 EDITORIAL LIBERTAD Página 60
  • 62.
    Mes 3 UNIVERSIDAD PRIVADADOMINGO SAVIO PRECIO UNIT. DE PRECIO PRECIO DESC. DESC. LIBRERÍA PAQUETES PAQUETE BS $U$ BS $u$ ROSARIO 9 2460 22140 3162,86 1107 158,14 EL GARAJE 8 2460 19680 2811,43 984 140,57 RAYUELA 9 2460 22140 3162,86 1107 158,14 LOS AMIGOS 6 2460 14760 2108,57 738 105,43 BOLIVIAN CENTER 8 2460 19680 2811,43 984 140,57 LEWY 6 2460 14760 2108,57 738 105,43 PAULA ANDREA 9 2460 22140 3162,86 1107 158,14 GLORIMAR 6 2460 14760 2108,57 738 105,43 ATENEO 8 2460 19680 2811,43 984 140,57 GUINGUI 6 2460 14760 2108,57 738 105,43 LOS HUERFANOS 6 2460 14760 2108,57 738 105,43 SIGLO XXI 7 2460 17220 2460 861 123 HNOS RIBERA 7 2460 17220 2460 861 123 REPORT 6 2460 14760 2108,57 738 105,43 LIJERON JORDAN 6 2460 14760 2108,57 738 105,43 DELTA 5 2460 12300 1757,14 615 87,86 PAPEL CRUZ 6 2460 14760 2108,57 738 105,43 FATIMA 5 2460 12300 1757,14 615 87,86 VIDA NUEVA 5 2460 12300 1757,14 615 87,86 TOTAL 128 2460 314880 44982,86 15744 2249,14 PLANILLA TRIMESTRAL DE DESCUENTOS PRECIO UNIT. DE PRECIO DETALLE PAQUETES PAQUETE BS 22 2460 54120 mes 1 78 2460 191880 mes 2 128 2460 314880 mes 3 228 7380 560880 TOTAL EDITORIAL LIBERTAD PRECIO DESC. $U$ BS 7731,43 2706 27411,43 9594 44982,86 15744 80125,72 28044 DESC. $u$ 386,57 1370,57 2249,14 4006,28 Página 61
  • 63.
    UNIVERSIDAD PRIVADA DOMINGOSAVIO 3.9 Costos de comunicación mes por mes MES 1 COSTOS DE COMUNICACIÓN MES 1 Detalle Bs Publicidad 58.650,00 Relaciones Publicas 2.225,00 Promocion de ventas 7.183,00 TOTAL 68.058,00 $us 8378,57 317,86 1026,14 9722,57 MES 2 Detalle Publicidad Promocion de ventas TOTAL COSTOS DE COMUNICACIÓN MES 2 Bs 51.120,00 2865,5 53.985,50 $us 7.302,85 409,36 7.712,21 COSTOS DE COMUNICACIÓN MES 3 Bs 52.220,00 943,00 35098,5 88.261,50 $us 7.460,00 134,71 5014,07 12.608,78 MES 3 Detalle Publicidad Merchandising Promocion de ventas TOTAL COSTO TRIMESTRAL DE COMUNICACIÓN MES 1 MES 2 MES 3 TOTAL COSTOS DE COMUNICACIÓN TRIMESTRAL detalle Bs 68.058,00 53.985,50 88.261,50 210.305,00 EDITORIAL LIBERTAD $us 9.722,57 7.712,21 12.608,78 30.043,56 Página 62
  • 64.
    UNIVERSIDAD PRIVADA DOMINGOSAVIO detalle MES 1 MES 2 MES 3 TOTAL COSTOS DE ESTRATEGIA COMERCIAL Bs 118.417,02 62.041,50 99.375,80 279.834,32 $us 16.916,71 8.863,15 14.196,53 39.976,39 3.10 Estrategia de Precio • Determinación del Precio unitario DETALLE MES 1 MES 2 MES 3 TOTAL CANTIDAD 2.866,00 5.731,00 8.597,00 17.194,00 COSTO FIJO 83.333,33 83.333,33 83.333,34 250.000,00 COSTO VARIABLE 118.417,02 62.041,50 99.375,80 279.834,32 COSTO TOTAL 201.750,35 145.374,83 182.709,14 529.834,32 PU = CT+ 20 % UTILIDAD Q TOTAL PU = 529834.32 + 105966,86 = 36,98 17.194 • Analisis del precio promedio PRECIO PROMEDIO = 24,38 Analisis.- A comparación de los precios de la competencia, nuestro precio esta por arriba de ellos, gracias a que tenemos como ventaja competitiva, el empaque y que tiene mas números de páginas, para asi dar una mejor ilustracion del cuento. EDITORIAL LIBERTAD Página 63
  • 65.
    UNIVERSIDAD PRIVADA DOMINGOSAVIO • Tabla de costos mes por mes COSTO FIJO DETALLE CANTIDAD COSTO VARIABLE COSTO TOTAL MES 1 2.866,00 83.333,33 118.417,02 201.750,35 MES 2 5.731,00 83.333,33 62.041,50 145.374,83 MES 3 8.597,00 83.333,34 99.375,80 182.709,14 TOTAL 17.194,00 250.000,00 279.834,32 529.834,32 COSTO PROMEDIO • COSTO COSTO FIJO VARIABLE MEDIO MEDIO COSTO TOTAL MEDIO 29,08 41,32 70,39 14,54 10,83 25,37 9,69 11,56 21,25 53,31 63,70 117,01 17,77 21,23 39,00 Punto equilibrio - CANTIDAD: Q= CFT_________ PU - CVP = 250000_____ = 15873,02 36,98 – 21.23 Analisis PE Q.- La producción esta por encima del punto de equilibrio, por lo tanto muestra un margen positivo es 1.320,98 unidades. -PUNTO DE EQUILIBRIO PRECIO: P2 = CFT + CVP Q = _250000 + 21,23 = 35,77 17194 Analisis PE Precio.El precio esta por encima del punto de equilibrio, por lo tanto muestra un margen positivo de 1,21 bs, asi se obtendrá una mayor utilidad.. EDITORIAL LIBERTAD Página 64
  • 66.
    Utilidad Bruta UNIVERSIDAD PRIVADADOMINGO SAVIO U. Bruta = PU x QT = 36.98 x 17,194 = 635.834,12 bs ( trimestral • Utilidad Neta U. Neta = UB – CT = 635.834,12 – 529.834,32 = 105.999,80 bs (trimestral) Utilidad neta – descuento de 5% sobre ventas = 105.999,80 bs (trimestral) – 28.044,00 ( Descuentos sobre ventas ) 77.955,80 bs ( trimestral) = 11.136,54 $us NOTA: Los descuentos se realiza apartir de las 5 cajas, del 5 % sobre la venta total. El tipo de cambio 7 EDITORIAL LIBERTAD Página 65
  • 67.
    UNIVERSIDAD PRIVADA DOMINGOSAVIO • PLANILLA TRIMESTRAL DE UTILIDAD MES 1 UTILIDAD BRUTA 105.984,68 MES 2 211.932,38 66.557,55 9.594,00 56.963,55 8.137,65 MES 3 317.917,06 135.207,92 15.744,00 119.463,92 17.066,27 28.044,00 77.955,80 11.136,54 MES TOTAL 635.834,12 UTILIDAD REAL NETO DESCUENTO REAL NETO $U$ NETA BS - 95.765,67 2.706,00 - 98.471,67 14.067,38 105.999,80 IMPUESTOS AL VALOR AGREGADO 13% (IVA) 13.779,97 Bs IMPUESTOS A LAS TRANSACCIONES 3% (IT) 3179,99 Bs UTILIDAD NETA – IMPUESTOS (IVA, IT) 77.955,80 - 13.779,97 - 3179,994 = EDITORIAL LIBERTAD 60.995,83 Página 66
  • 68.
    UNIVERSIDAD PRIVADA DOMINGOSAVIO 3.11 CONCLUCIONES Y RECOMENDACIONES OBJETIVOS 1. Analizar la Planificación Estrategica para el lanzamiento del libro en la ciudad de Santa Cruz de la Sierra en el transcurso de un mes. 2. Analizar el micro y macro entorno que determine las variables que afecten a la etidorial. 3. Determinar la segmentación de mercado 4. Determinar la demanda global y estimada 5. Analizar la unidades estragicas de negocio 6. Planificar una estrategia comercial. CONCLUCIONES 1. Después de haber concluido la planificacion estrategica se determina que el producto es viable en el mercado. 2. Después de haber analizado el micro y macroentorno se determina que el entorno que mas afecta es el sociocultural debido debido a que los jóvenes leen mas que los niños. 3. Se observo que el segmento de mercado son hombres y mujeres de 8 a12 años. 4. Habiendo determinado la demanda global se observo que hay mas hombres que mujeres. Se determino la demanda estimada en un 6% . 5. Dentro del análisis de la cartera del producto de la empresa el producto se encuentra como el producto incógnita, y en la Matriz expansión producto mercado, Se aplicara la estrategia de penetración, es decir el mismo producto en un mismo mercado. 6. Se determino la mescla comercial, habiendo observado cada una de las tácticas. RECOMENDACIONES 1. Se recomienda seguir la planificación estragica paso a paso. Para obtener los resultados esperados. 2. Se recomienda mantenerse informado de manera constante con los cambios del entorno socio cultural, ya que esto podría afectar de manera positiva como también negativa. EDITORIAL LIBERTAD Página 67
  • 69.
    UNIVERSIDAD PRIVADA DOMINGOSAVIO 3. Recomendamos abocarse exclusivamente al segmento indicado, ya que el mercado es totalmente factible al libro. 4. Es recomendable seguir con la demanda estimada ya que después de haber analizado sea ha visto que aun teniendo una demanda del 6% se puede obtener buenos resultados. 5. Despues de haber analizado cada una de las varibles de la unidades estratégicas de negocio, es recomendable lanzar el libro, ya que se puede observar el nivel de utilidad que le da el producto. 6. Después de haber analizados la estrategia comercial se recomienda la aplicación absoluta de las estrategias . EDITORIAL LIBERTAD Página 68