Resolución de Problemas de
Bombas centrífugas
Ing. Mario A. García Pérez
Al término de la sesión de aprendizaje el estudiante,
será capaz de reconocer los pasos básicos para
resolver problemas relativos a impulsores de bombas
centrífugas y estimar los requerimientos de potencia
de estas máquinas.
Logro de sesión
PROCEDIMIENTO PARA LA RESOLUCIÓN DE PROBLEMAS DE BOMBAS
CENTRÍFUGAS-ECUACIÓN DE EULER
1. Lectura calmada del enunciado del problema. Identificar parámetros de
cálculo de la bomba.
2. Extracción ordenada de los datos (parámetros) del problema.
3. CÁLCULOS RÁPIDOS
* w = n/30
* U1 = w D1 /2
U2 = w D2 /2
* h = hh hv hm
* Qb =  b1 D1 1 C1m =  b2 D2 2 C2m
* hv = Q / Qb …. (Asumir igual a 1 en casos extraordinarios.)
* T. V. E …..Para empezar, asuma, si no se indica, que el
impulsor es de máximo rendimiento (a1=90°). Corregir la
forma del triángulo si se encuentran inconsistencias en los
cálculos.
* T.V.S. …… Use un triángulo común con α y β agudos.
Posteriormente, las medidas de los parámetros de
velocidades determinarán la forma del triángulo.
• C2u = u2 – C2m /tg β2
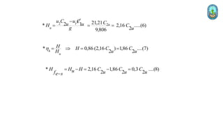
* Hu = (u2 C2u –u1 C1u) /g
* hh = H/ Hu
* Hfe-s = Hu - H
4. CÁLCULOS PROPIOS
Si hasta aquí no se han resuelto todas las incógnitas, se
procede a:
* Inspeccione los datos usados y los que aún faltan usar.
Esto nos dará una pista acerca de qué otra fórmula debe
usarse.
* Escribala fórmula de la incógnita que falta resolver.
* Usualmente, es necesario escribir la ecuación de
Bernoulli entre dos secciones o niveles de la instalación
para resolver alguna incógnita.
Ejemplo 1:
Los datos técnicos de una bomba centrífuga son: D1 =
20 cm; D2 = 35 cm; b1=b2= 4 cm; β1 = 30°; β2 = 20°; n=
1440 rpm; hh= 80%; hv= 100%; ingreso del flujo al
rodete, radial.
Halle:
a) El caudal de descarga
b) La altura efectiva.
c) La potencia útil.
Datos:
* Fluido: agua (asumido)
• D1 = 0,2 m
• D2 = 0,35 m
• b1=b2= 0,04 m
• β1 = 30°; β2 = 20°
• n= 1440 rpm
• hh= 80%; hv= 100%
• a1= 90°
Incógnitas a)Q; b)H; c) P
(1440)
* 150,8 /
30 30
n
rad s
 
w = = =
1
1
150,8 (0,2)
* 15,08 /
2 2
D
u m s
w
= = = 2
2
150,8 (0,35)
* 26,39 /
2 2
D
u m s
w
= = =
Cálculos rápidos:
* 0.8(1) 0,8 .............(1)
v m m m
h
h h h h h h
= = =
*
1 1 1 1 2 2 2 2
Q b D C b D C
m m
b
   
= =
(0,04)(0,2)(1) (0,04)(0,35)(1)
1 2
Q C C
b m m
 
= =
........(2)
0,025 0,044
1 2
Q C C
m m
b
= =
........(3)
(2): 0,57
2 1
De C C
m m
=
1 ......(4)
* b
b
Q
Q Q
Q
v
h =  =
=
* . .
T V E
1 1
15,08 30 /
8,71
m
tg m s
C C 
 = = =
1
15,08
17,41
cos30
/
m s
y w

= =
2 1
(3): 0,57 0,57 (8,71) 4,96 /
m m
De C C m s
= = =
3
(2): 0,025 (8,71) 0,218 /
b
De Q m s
= =
3
(4): 0,21 )
8 / (
b
De Q Q m s Rpta a
= =
* . . .
T V S
2
4,96
14,50 /
20
w m s
sen
= =

2
4,96
2
* 26,39 12,76 /
2 20
2
u
C
m
C u m s
tg tg

=  =  =

2 1 26,39 (12,76)
2 1
* 34,34
9,806
u
u C u C
u u
H m
g

= = =
)
* 0,8 (34,34) 27,4 (
7
H
h
u
H m Rpta b
H
h =  = =
* 34,34 27,47 6,87
fe s
H H H m
u

=  =  =
)
* 9806(0,218)(27,47) 58722,8 (
4 80 Rpt c
P QH W H a
P

= = =
Cálculos propios:
Ejemplo 2:
El rodete de una bomba centrífuga, de diámetros interior y exterior
200 mm y 600 mm respectivamente y anchuras de las secciones de
entrada y salida 50mm y 20 mm respectivamente gira con
velocidad angular de 1500 rpm. El ángulo de salida de los álabes es
30°. El caudal que suministra la bomba es 200 l/s. El agua entra
radialmente al rodete. Las eficiencias mecánica, hidráulica y
volumétrica son 0,85, 0,92 y 0,89 respectivamente. Calcule:
a) El ángulo β1.
b) Las pérdidas de energía al interior de la bomba
c) La potencia de accionamiento, la potencia
interna y la potencia útil de la bomba
d) El aumento de presión a través del rodete
Ejemplo 3:
La central de bombeo de agua de una finca tiene una bomba
centrífuga con los siguientes parámetros: n= 1800 rpm; 2= 70°;
D2= 0,225 m; b2= 0,03 m; hh = 86 %; hm= 94 %; hv =1.
La instalación está conformada por dos líneas de tuberías: succión
e impulsión de diámetros iguales a 300 mm, con coeficientes de
fricción de Darcy f= 0,025.
La tubería de succión tiene una longitud de 4 m y el agua en
depósito de succión se mantiene a una altura de 2 m por debajo
dela brida de entrada de la bomba.
La tubería de impulsión de 12 m de longitud termina en un tanque
elevado presurizado. Un manómetro en el tanque indica una
presión de 160 Kpa.
Despreciando las pérdidas secundarias en las líneas de impulsión
y succión, estime:
a) El caudal que impulsa la bomba.
b) La pérdidas de energía al interior de la bomba.
c) La potencia de accionamiento de la bomba.
Cálculos rápidos:
(1800)
* 188,50 /
30 30
n
rad s
 
w = = =
1 1
1 1
188,5
* 94,25 ......(1)
2 2
D D
u D
w
= = =
2
2
188,5 (0,225)
* 21,21 /
2 2
D
u m s
w
= = =
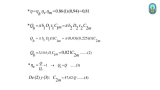
* 0.86(1) (0,94) 0,81
v m
h
h h h h
= = =
*
1 1 1 1 2 2 2 2
Q b D C b D C
m m
b
   
= =
1 1
(1) (0,03)(0,225)(1)
1 2
Q b D C C
b m m
 
= =
1 1
3,14 ........(2)
1
0,021
2
b D C m
Q C
m
b
= =
1 ......(3)
* b
b
Q
Q Q
Q
v
h =  =
=
47,62 ........(4)
(2) (3):
2
Q
De y C
m
=
* . .
T V E
* . . .
T V S
2
2
2
* 21,21 21,21 0,36 .....(5)
2 2
70
2
m
u
C C
m
C u C
m
tg tg

=  =  = 

2 1 2
21,21
2 1
* 2,16 .....(6)
2
9,806
u
u
u C u C C
u u
H C
g u

= = =
* 0,86 (2,16 ) 1,86 ....(7)
2 2
h
u
H H C C
u u
H
h =  = =
* 2,16 1,86 0,3 ....(8)
2 2 2
H H H C C C
u u u u
fe s
=  =  =

Cálculos propios:
* Bernoulli entre A y Z:
2
A
V
2 A
Z
g
 A
p


2
Z
u
V
H
 =
2
Z
Z A Z
p
Z H
g  
  
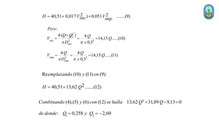
2 2
160 000
14 ( )
9 806 2 2
L V V
suc suc suc
H f K
suc D g g
suc
=    

2 2
( )
2 2
L V V
imp imp imp
f K
imp D g g
imp
 
2
2
4 12
40,51 0,025 0,025
0,3 2 9,806 0,3 2 9,806
V
V imp
suc
H
x x
 
 
 
   
 
   
 
   
 
   
 
 
   
 
 
   
 
   
 
 
   
 
=  
A Z A e f e s s Z u fe s
Pero H H H H y H H H
    
=   = 
2 2
40,51 0,017 ) 0,051 .......(9)
H V V
suc imp
=  
:
4 ( e
suc
Pero
Q Q
V

= 2 2
2 2
) 4
14,15 ......(10)
0,3
4 4
14,15 ......(11)
0,3
suc
imp
imp
Q
Q
D x
Q Q
V Q
D x
 
 
= =
= = =
Re (10) (11) (9):
2
40,51 13,62 .......(12)
emplazando y en
H Q
= 
2
1 2
(4),(5) (6) (12) 13,62 31,89 9,13 0
: 0,258 2,60
Combinando y con se halla Q Q
de donde Q y Q
  =
= = 
:
3 )
0,258 (
/ ....
Se toma el valor positivo de Q
t
Q m s Rp a a
=
:
(12): 36,27
(7): 31,23 16,79 /
2
)
(8): 5,0 (
7 ....
Luego
De H m
u
En H m y C m s
u
De H m
s
Rp b
fe
ta
=
= =
=

  
)
:
9 806 0,258 31,23
9
8
7 543,55 13
0,
(
1
0
a
a
La potencia de accionamiento resulta
QH
P
W a
P HP Rpt c

h
= =
=
El eje de una bomba centrífuga está situado 2,5 m por encima del
nivel del agua en la cisterna y 30,6 m por debajo del nivel del agua en
el tanque elevado. Las pérdidas de energía en las tuberías de succión
e impulsión ascienden a 0,8 m y 1,24 m respectivamente. El diámetro
exterior del rodete es 250 mm y el ancho del álabe correspondiente es
18 mm. La bomba gira a 1600 rpm. La entrada del agua en el rodete
se considera radial. El ángulo de salida de los álabes es 34°. hh =
78%; hm= 75%; hv =100%
Calcule:
a) La altura efectiva de la bomba.
b) La potencia de accionamiento de la bomba.
c) El caudal útil.
d) Si la eficiencia del motor eléctrico es 90% y el costo de la energía
es S/. 0,42 soles/ KW-h ¿Cuál es la potencia absorbida de la red
eléctrica y cuál el monto total a pagar por consumo mensual de
energía si la bomba trabaja 4 horas al día?
Ejemplo 4:
Ejemplo5:
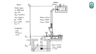
En una estación de bombeo de agua, la altura geodésica de impulsión
es 30 m y la de aspiración es 5 m. Las tuberías de succión e impulsión
tienen diámetros iguales de 150 mm y las pérdidas de energía en las
tuberías respectivas ascienden a 2 m y 6 m (no incluye las pérdidas
por salida de flujo hacia el tanque elevado). El diámetro exterior del
rodete tiene 390 mm y el ancho del mismo a la salida es de 25 mm. La
bomba gira a 1200 rpm; 2=30°; hh= 80%; hv =95%; h = 70%.
Considere que la entrada a los álabes es radial y que los sellos de la
bomba están íntegros. Calcule:
a) El caudal de impulsión
b) La altura efectiva de la bomba
c) Las lecturas de los manómetros situados a la entrada y a la salida
de la bomba.
Datos:
• Fluido: agua
• ZZ-Zs= 30 m
• Dimp = Dsuc= 0,15m
• HA-e = 2 m
• Hs-Z = 6 m + pérdidas de salida de flujo
• D2 =0,39 m
• b2= 0,025 m
• n= 1200 rpm
• β2 = 30°
• hh= 0,80; hv= 0,95; h = 0,70
• a1= 90°
• Qe=0
Incógnitas a)Q; b)H; c) Pa; d) pe/ y ps/
Cálculos rápidos:
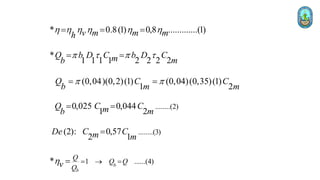
0,88
* 0,7 0,8 1
h v m m m
x
h h h h h h
 =
=  =
1 1 1 1 2 2 2 2
* b m m
Q b D C b D C
   
= =
(1200)
* 125,66 /
30 30
n
rad s
 
w = = =
2
2
125,66 0,39
* 24,50 /
2 2
D x
u m s
w
= = =
1 1
1 1
125,66
* 62,83 .........(1)
2 2
D D
u D
w
= = =
0,031 (2)
2
(0,025)(0,39)(1)
2 m
Q C C
b m
 =
=
2
0,029 ........(4)
m
Q C
=

0,95 ......(3)
0,95
* b
b
Q Q
Q
Q
v
h =  =
=
2
2
2
* 24,50 24,5
2 30 0,029 30
2
m
u
C C Q
m
C u
tg tg tg

=  =  = 
 
2 1 24,5 (24,5 59,73 )
2 1
* 61,21 149,23 ....(6)
9,806
u
u C u C Q
u u
H Q
g
 
= = = 
* 0,8
61,21 149,23
H
h
u
H
H Q
h =  =

2
24,5 59,73 ....(5)
u
C Q
= 
48,97 119,38 (7)
H Q
 = 
* 12,24 29,85 ....(8)
H H H Q
u
fe s
=  = 

Cálculos propios:
Aplicando Bernoulli entre A y Z
2
V
A
2 A
Z
g
 A
p


2
u
V
Z
H
 =
2 Z
p
Z
Z
g 
  H
A Z


2
2 6 (1)
2
imp
A Z A e f e s s Z fe s
V
Pero H H H H H
g
    
 
=   =     
 
 
2
u
V
Z
H
 =
2 Z
p
Z
Z
g 
 
2
2 6
2
imp
fe s
V
H
g

 
    
 
 
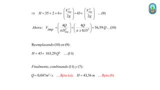
2 2
35 2 6 43 ....(9)
2 2
imp imp
V V
H
g g
   
 =    = 
   
   
   
2 2
4 4
: 56,59 (10)
0,15
imp
Q Q
Ahora V Q
imp D x
 
   
= = =
   
 
 
2
Re (10) (9):
43 163,29 .(11)
emplazando en
H Q
= 
3
, (11) (7):
0, )
0 ( );
/ (
47 43,36
Finalmente combinando y
Q m m
Rpta a Rp
H b
s ta
= =
* :
2
A
Aplicando la ecuación de Bernoulli entre A y e
V
2 A
Z
g
 A
p


2
2 2
2
2
2,66 4 4 0,047
0 5 2; 2,66
)
/
2 9,806 0,15
(
: 7,36
e
e A e
e
suc
e
g
Rp
p
Ve Z H
p Q x
pues Ve m s
x D x
p
Lu t
ego mc a c
a

  


=   
=    = = =
= 
* , :
2
A
De manera similar aplicando la ecuación de Bernoulli entre A y s
V
2 A
Z
g
 A
p


2
2 2
2
( )
2 2
2 2
2,66 4 4 0,047
43,36 5 2; 2,66 /
9,806 0,15
: 36
s s
u s A s s A e f e s
s
s
suc
s
p p
V V
s s
H Z H Z H H
g g
p Q x
H pue
g Rpta c
s V m s
x D x
p
Lue o mca
 
  

  
 =    =    
= =    = = =
=
BOMBAS HIDRÁULICAS
¿Tuviste alguna dificultad para entender éstos cálculos?
¿Podrías imaginar una forma de hacerlo mas sencillo?
Resolucion de problemas de bombas.pdf

Resolucion de problemas de bombas.pdf

  • 1.
    Resolución de Problemasde Bombas centrífugas Ing. Mario A. García Pérez
  • 2.
    Al término dela sesión de aprendizaje el estudiante, será capaz de reconocer los pasos básicos para resolver problemas relativos a impulsores de bombas centrífugas y estimar los requerimientos de potencia de estas máquinas. Logro de sesión
  • 3.
    PROCEDIMIENTO PARA LARESOLUCIÓN DE PROBLEMAS DE BOMBAS CENTRÍFUGAS-ECUACIÓN DE EULER 1. Lectura calmada del enunciado del problema. Identificar parámetros de cálculo de la bomba. 2. Extracción ordenada de los datos (parámetros) del problema. 3. CÁLCULOS RÁPIDOS * w = n/30 * U1 = w D1 /2 U2 = w D2 /2 * h = hh hv hm * Qb =  b1 D1 1 C1m =  b2 D2 2 C2m * hv = Q / Qb …. (Asumir igual a 1 en casos extraordinarios.)
  • 4.
    * T. V.E …..Para empezar, asuma, si no se indica, que el impulsor es de máximo rendimiento (a1=90°). Corregir la forma del triángulo si se encuentran inconsistencias en los cálculos. * T.V.S. …… Use un triángulo común con α y β agudos. Posteriormente, las medidas de los parámetros de velocidades determinarán la forma del triángulo. • C2u = u2 – C2m /tg β2 * Hu = (u2 C2u –u1 C1u) /g * hh = H/ Hu * Hfe-s = Hu - H
  • 5.
    4. CÁLCULOS PROPIOS Sihasta aquí no se han resuelto todas las incógnitas, se procede a: * Inspeccione los datos usados y los que aún faltan usar. Esto nos dará una pista acerca de qué otra fórmula debe usarse. * Escribala fórmula de la incógnita que falta resolver. * Usualmente, es necesario escribir la ecuación de Bernoulli entre dos secciones o niveles de la instalación para resolver alguna incógnita.
  • 6.
    Ejemplo 1: Los datostécnicos de una bomba centrífuga son: D1 = 20 cm; D2 = 35 cm; b1=b2= 4 cm; β1 = 30°; β2 = 20°; n= 1440 rpm; hh= 80%; hv= 100%; ingreso del flujo al rodete, radial. Halle: a) El caudal de descarga b) La altura efectiva. c) La potencia útil.
  • 7.
    Datos: * Fluido: agua(asumido) • D1 = 0,2 m • D2 = 0,35 m • b1=b2= 0,04 m • β1 = 30°; β2 = 20° • n= 1440 rpm • hh= 80%; hv= 100% • a1= 90° Incógnitas a)Q; b)H; c) P (1440) * 150,8 / 30 30 n rad s   w = = = 1 1 150,8 (0,2) * 15,08 / 2 2 D u m s w = = = 2 2 150,8 (0,35) * 26,39 / 2 2 D u m s w = = = Cálculos rápidos:
  • 8.
    * 0.8(1) 0,8.............(1) v m m m h h h h h h h = = = * 1 1 1 1 2 2 2 2 Q b D C b D C m m b     = = (0,04)(0,2)(1) (0,04)(0,35)(1) 1 2 Q C C b m m   = = ........(2) 0,025 0,044 1 2 Q C C m m b = = ........(3) (2): 0,57 2 1 De C C m m = 1 ......(4) * b b Q Q Q Q v h =  = =
  • 9.
    * . . TV E 1 1 15,08 30 / 8,71 m tg m s C C   = = = 1 15,08 17,41 cos30 / m s y w  = = 2 1 (3): 0,57 0,57 (8,71) 4,96 / m m De C C m s = = = 3 (2): 0,025 (8,71) 0,218 / b De Q m s = = 3 (4): 0,21 ) 8 / ( b De Q Q m s Rpta a = =
  • 10.
    * . .. T V S 2 4,96 14,50 / 20 w m s sen = =  2 4,96 2 * 26,39 12,76 / 2 20 2 u C m C u m s tg tg  =  =  =  2 1 26,39 (12,76) 2 1 * 34,34 9,806 u u C u C u u H m g  = = = ) * 0,8 (34,34) 27,4 ( 7 H h u H m Rpta b H h =  = = * 34,34 27,47 6,87 fe s H H H m u  =  =  =
  • 11.
    ) * 9806(0,218)(27,47) 58722,8( 4 80 Rpt c P QH W H a P  = = = Cálculos propios:
  • 12.
    Ejemplo 2: El rodetede una bomba centrífuga, de diámetros interior y exterior 200 mm y 600 mm respectivamente y anchuras de las secciones de entrada y salida 50mm y 20 mm respectivamente gira con velocidad angular de 1500 rpm. El ángulo de salida de los álabes es 30°. El caudal que suministra la bomba es 200 l/s. El agua entra radialmente al rodete. Las eficiencias mecánica, hidráulica y volumétrica son 0,85, 0,92 y 0,89 respectivamente. Calcule: a) El ángulo β1. b) Las pérdidas de energía al interior de la bomba c) La potencia de accionamiento, la potencia interna y la potencia útil de la bomba d) El aumento de presión a través del rodete
  • 13.
    Ejemplo 3: La centralde bombeo de agua de una finca tiene una bomba centrífuga con los siguientes parámetros: n= 1800 rpm; 2= 70°; D2= 0,225 m; b2= 0,03 m; hh = 86 %; hm= 94 %; hv =1. La instalación está conformada por dos líneas de tuberías: succión e impulsión de diámetros iguales a 300 mm, con coeficientes de fricción de Darcy f= 0,025. La tubería de succión tiene una longitud de 4 m y el agua en depósito de succión se mantiene a una altura de 2 m por debajo dela brida de entrada de la bomba. La tubería de impulsión de 12 m de longitud termina en un tanque elevado presurizado. Un manómetro en el tanque indica una presión de 160 Kpa. Despreciando las pérdidas secundarias en las líneas de impulsión y succión, estime: a) El caudal que impulsa la bomba. b) La pérdidas de energía al interior de la bomba. c) La potencia de accionamiento de la bomba.
  • 15.
    Cálculos rápidos: (1800) * 188,50/ 30 30 n rad s   w = = = 1 1 1 1 188,5 * 94,25 ......(1) 2 2 D D u D w = = = 2 2 188,5 (0,225) * 21,21 / 2 2 D u m s w = = =
  • 16.
    * 0.86(1) (0,94)0,81 v m h h h h h = = = * 1 1 1 1 2 2 2 2 Q b D C b D C m m b     = = 1 1 (1) (0,03)(0,225)(1) 1 2 Q b D C C b m m   = = 1 1 3,14 ........(2) 1 0,021 2 b D C m Q C m b = = 1 ......(3) * b b Q Q Q Q v h =  = = 47,62 ........(4) (2) (3): 2 Q De y C m =
  • 17.
    * . . TV E * . . . T V S 2 2 2 * 21,21 21,21 0,36 .....(5) 2 2 70 2 m u C C m C u C m tg tg  =  =  =  
  • 18.
    2 1 2 21,21 21 * 2,16 .....(6) 2 9,806 u u u C u C C u u H C g u  = = = * 0,86 (2,16 ) 1,86 ....(7) 2 2 h u H H C C u u H h =  = = * 2,16 1,86 0,3 ....(8) 2 2 2 H H H C C C u u u u fe s =  =  = 
  • 19.
    Cálculos propios: * Bernoullientre A y Z: 2 A V 2 A Z g  A p   2 Z u V H  = 2 Z Z A Z p Z H g      2 2 160 000 14 ( ) 9 806 2 2 L V V suc suc suc H f K suc D g g suc =      2 2 ( ) 2 2 L V V imp imp imp f K imp D g g imp   2 2 4 12 40,51 0,025 0,025 0,3 2 9,806 0,3 2 9,806 V V imp suc H x x                                                             =   A Z A e f e s s Z u fe s Pero H H H H y H H H      =   = 
  • 20.
    2 2 40,51 0,017) 0,051 .......(9) H V V suc imp =   : 4 ( e suc Pero Q Q V  = 2 2 2 2 ) 4 14,15 ......(10) 0,3 4 4 14,15 ......(11) 0,3 suc imp imp Q Q D x Q Q V Q D x     = = = = = Re (10) (11) (9): 2 40,51 13,62 .......(12) emplazando y en H Q =  2 1 2 (4),(5) (6) (12) 13,62 31,89 9,13 0 : 0,258 2,60 Combinando y con se halla Q Q de donde Q y Q   = = = 
  • 21.
    : 3 ) 0,258 ( /.... Se toma el valor positivo de Q t Q m s Rp a a = : (12): 36,27 (7): 31,23 16,79 / 2 ) (8): 5,0 ( 7 .... Luego De H m u En H m y C m s u De H m s Rp b fe ta = = = =     ) : 9 806 0,258 31,23 9 8 7 543,55 13 0, ( 1 0 a a La potencia de accionamiento resulta QH P W a P HP Rpt c  h = = =
  • 22.
    El eje deuna bomba centrífuga está situado 2,5 m por encima del nivel del agua en la cisterna y 30,6 m por debajo del nivel del agua en el tanque elevado. Las pérdidas de energía en las tuberías de succión e impulsión ascienden a 0,8 m y 1,24 m respectivamente. El diámetro exterior del rodete es 250 mm y el ancho del álabe correspondiente es 18 mm. La bomba gira a 1600 rpm. La entrada del agua en el rodete se considera radial. El ángulo de salida de los álabes es 34°. hh = 78%; hm= 75%; hv =100% Calcule: a) La altura efectiva de la bomba. b) La potencia de accionamiento de la bomba. c) El caudal útil. d) Si la eficiencia del motor eléctrico es 90% y el costo de la energía es S/. 0,42 soles/ KW-h ¿Cuál es la potencia absorbida de la red eléctrica y cuál el monto total a pagar por consumo mensual de energía si la bomba trabaja 4 horas al día? Ejemplo 4:
  • 23.
    Ejemplo5: En una estaciónde bombeo de agua, la altura geodésica de impulsión es 30 m y la de aspiración es 5 m. Las tuberías de succión e impulsión tienen diámetros iguales de 150 mm y las pérdidas de energía en las tuberías respectivas ascienden a 2 m y 6 m (no incluye las pérdidas por salida de flujo hacia el tanque elevado). El diámetro exterior del rodete tiene 390 mm y el ancho del mismo a la salida es de 25 mm. La bomba gira a 1200 rpm; 2=30°; hh= 80%; hv =95%; h = 70%. Considere que la entrada a los álabes es radial y que los sellos de la bomba están íntegros. Calcule: a) El caudal de impulsión b) La altura efectiva de la bomba c) Las lecturas de los manómetros situados a la entrada y a la salida de la bomba.
  • 24.
    Datos: • Fluido: agua •ZZ-Zs= 30 m • Dimp = Dsuc= 0,15m • HA-e = 2 m • Hs-Z = 6 m + pérdidas de salida de flujo • D2 =0,39 m • b2= 0,025 m • n= 1200 rpm • β2 = 30° • hh= 0,80; hv= 0,95; h = 0,70 • a1= 90° • Qe=0 Incógnitas a)Q; b)H; c) Pa; d) pe/ y ps/
  • 25.
    Cálculos rápidos: 0,88 * 0,70,8 1 h v m m m x h h h h h h  = =  = 1 1 1 1 2 2 2 2 * b m m Q b D C b D C     = = (1200) * 125,66 / 30 30 n rad s   w = = = 2 2 125,66 0,39 * 24,50 / 2 2 D x u m s w = = = 1 1 1 1 125,66 * 62,83 .........(1) 2 2 D D u D w = = =
  • 26.
    0,031 (2) 2 (0,025)(0,39)(1) 2 m QC C b m  = = 2 0,029 ........(4) m Q C =  0,95 ......(3) 0,95 * b b Q Q Q Q v h =  = =
  • 27.
    2 2 2 * 24,50 24,5 230 0,029 30 2 m u C C Q m C u tg tg tg  =  =  =    2 1 24,5 (24,5 59,73 ) 2 1 * 61,21 149,23 ....(6) 9,806 u u C u C Q u u H Q g   = = =  * 0,8 61,21 149,23 H h u H H Q h =  =  2 24,5 59,73 ....(5) u C Q =  48,97 119,38 (7) H Q  = 
  • 28.
    * 12,24 29,85....(8) H H H Q u fe s =  =   Cálculos propios: Aplicando Bernoulli entre A y Z 2 V A 2 A Z g  A p   2 u V Z H  = 2 Z p Z Z g    H A Z   2 2 6 (1) 2 imp A Z A e f e s s Z fe s V Pero H H H H H g        =   =          2 u V Z H  = 2 Z p Z Z g    2 2 6 2 imp fe s V H g            
  • 29.
    2 2 35 26 43 ....(9) 2 2 imp imp V V H g g      =    =              2 2 4 4 : 56,59 (10) 0,15 imp Q Q Ahora V Q imp D x       = = =         2 Re (10) (9): 43 163,29 .(11) emplazando en H Q =  3 , (11) (7): 0, ) 0 ( ); / ( 47 43,36 Finalmente combinando y Q m m Rpta a Rp H b s ta = =
  • 30.
    * : 2 A Aplicando laecuación de Bernoulli entre A y e V 2 A Z g  A p   2 2 2 2 2 2,66 4 4 0,047 0 5 2; 2,66 ) / 2 9,806 0,15 ( : 7,36 e e A e e suc e g Rp p Ve Z H p Q x pues Ve m s x D x p Lu t ego mc a c a       =    =    = = = = 
  • 31.
    * , : 2 A Demanera similar aplicando la ecuación de Bernoulli entre A y s V 2 A Z g  A p   2 2 2 2 ( ) 2 2 2 2 2,66 4 4 0,047 43,36 5 2; 2,66 / 9,806 0,15 : 36 s s u s A s s A e f e s s s suc s p p V V s s H Z H Z H H g g p Q x H pue g Rpta c s V m s x D x p Lue o mca           =    =     = =    = = = =
  • 32.
    BOMBAS HIDRÁULICAS ¿Tuviste algunadificultad para entender éstos cálculos? ¿Podrías imaginar una forma de hacerlo mas sencillo?