Biología X y XI 2013

Juan José Mora Vargas

LICEO RURAL LA PALMA
RESUMEN

TEMAS DE REPASO BIOLOGÍA PARA BACHILLERATO
2012

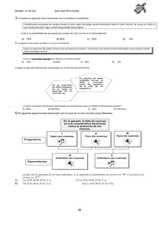
RECOPILADO POR EL PROFESOR

Juan José Mora Vargas

AÑO 2012

1
Biología X y XI 2013

Juan José Mora Vargas

1-

TEMA 1 SUSTANCIAS ORGÁNICAS DE LA CÉLULA 5pts

2-

Analizar las funciones y la composición química básica de lípidos, carbohidratos, proteínas, ácidos
nucleicos, agua, sales minerales que constituyen las células y permiten los procesos biológicos.

PROTEÍNAS :

COMPOSICIÓN QUÍMICA
Se encuentran formados por C,H,O,N , algunas veces P y S
Se encuentran formados por la unión de varios aminoácidos
Estructura de un aminoácido: Es un compuesto orgánico formado por un grupo amino (-NH2) y
un grupo carboxilo (-COOH), unidos a un átomo de carbono central, el cual se representa así
R

H

O
N

C

C

H

OH
H

Grupo Amino

Grupo Carboxilo

R: cadena de carbonos con sus correspondientes hidrógenos, que varía dependiendo del
aminoácido.
Funciones de las proteínas
1-

Hormonal: Algunas proteínas funcionan como hormonas, producidas por las glándulas
endocrinas ejemplo Insulina: regula la cantidad de azúcar en la sangre

23-

Reconocimiento de señales: Permite reconocer mensajes químicos de las distintas células
Transporte : de nutrientes, desecho y oxígeno a través de la sangre

4-

Estructural: Forman parte de los tejidos y células de los seres vivos, ejemplo: Colágeno,
elastina, formación de cito esqueletos, uñas, pelo, cartílagos.

5-

Defensa : Formación de anticuerpos

6-

Acción enzimática: Las proteínas son biocatalizadores, reciben el nombre de enzimas. Su
función es regular las funciones bioquímicas que ocurren en el organismo . Para poder
actuar deben bajar o disminuir la energía para poder actuar

2
Biología X y XI 2013

Juan José Mora Vargas

CLASIFICACIÓN DE LAS PROTEÍNAS
1-SEGÚN EL # DE AMINOÁCIDOS:Y el número de enlaces (peptídicos,
dipéptido,tripéptido,polipéptido).
2-SEGÚN SU ESTRUCTURA:
Primaria: cadena lineal de aaSecundaria: forma helicoidal,
Terciaria:y cuaternaria
3SEGÚN SU FORMA :Fibrosas y Globulares
4-SEGÚN SU FUNCIÓN: en catalíticas, transportadoras, hormonas,
5-SEGÚN SU COMPOSICIÓN :En simples y complejas
CARBOHIDRATOS
Se producen por medio de la fotosíntesis, se encuentran en gran cantidad en las plantas, están
formados por átomos de C, H, O. Su fórmula es (CnH2nOn). En una relación de 1:2:1.
FUNCIONES
Su función consiste en proporcionar la energía necesaria para realizar todas las funciones vitales,
por eso se les llama sustancias energéticas.
Es estructural en plantas (celulosa) y en animales (Glucógeno)
Sirve de reserva en plantas (Almidón) y en animales (Quitina)
Se clasifican en tres grupos:
MONOSACÁRIDOS: azúcares simples y sencillos, solubles en agua, se encuentran en frutas y
vegetales como uvas, manzanas, papa, cebolla. Encontramos aquí a la glucosa, fructuosa, ribosa,
galactosa, desoxirribosa. Son fuente de energía celular.
Estructura cíclica de la glucosa

Estructura lineal de la glucosa

DISACÁRIDOS: combinación de dos monosacáridos iguales o diferentes,por ejemplo : sacarosa
(glucosa

+

fructuosa), maltosa (glucosa

+

glucosa), lactosa (glucosa

+

galactosa).

Los

encontramos en la caña de azúcar, remolacha, frutas, raíces, leche, semillas y flores.

POLISACÁRIDOS: unión de varios monosacáridos o monosacáridos y disacáridos, se encuentra
aquí al almidón, glucógeno, quitina, pectina, celulosa. Se acumulan en raíces y tallos de la planta,
como almidón mientras que en los animales se almacena en el hígado y los músculos como
glucógeno.

LÍPIDOS O GRASAS: están formados por C, H, O, son insolubles en agua pero si
ensolventes orgánicos como éter, benceno, acetona, entre otros. Los lípidos se clasifican en
aceites, grasas y ceras. Esteroides y fosfolipidos

3
Biología X y XI 2013

Juan José Mora Vargas

Realiza las siguientes funciones:






Aísla el frío crean una cubierta protectora que permite evitar la pérdida de calor .
Protege a órganos y estructuras internas de golpes.
Forma parte de la membrana celular (fosfolípidos).
Transporta vitaminas liposolubles A, D, E, K. (solubles en grasas).
Sirven como depósito de combustible celular (reserva energética)

Grasas, Aceites y ceras:
Las unidades fundamentales de los lípidos son: ácido graso + glicerol, que se encuentran en una
proporción de una molécula de glicerol y tres de ácidos grasos. Estos son llamados triglicéridos.
Las grasas son compuestos saturados por la cantidad de hidrógenos a diferencia de los aceites
que son compuestos insaturados pues se encuentran formados por enlaces múltiples y menos
cantidad de hidrógenos. Las ceras son cubiertas protectoras de tejido animal y vegetal y una de
las principales funciones es que evita el paso del agua.
Se encuentran en todos los tejidos animales, semillas oleaginosas como la soya, algodón, maní,
algodón, girasol, nueces, ajonjolí. Ejemplos: el aceite de oliva, aceite de bacalao, el tocino, el sebo
de res, la manteca, mantequilla.

Fosfolípidos: Se encuentra formando las membranas celulares en conjunto con las proteínas. Los
Fosfolípidos poseen una cabeza hidrofilia que permite el paso de agua y una ola hidrofobia que
evita el paso del agua.

Los esteroides: son lípidos, de gran importancia biológica, entre ellos la vitamina D, las hormonas
sexuales, las hormonas de la corteza suprarrenal, las sales biliares y el colesterol. El colesterol es
un componente de las paredes celulares y de los tejidos nerviosos, pero el exceso puede causar
problemas cardiovasculares.

4
Biología X y XI 2013

Juan José Mora Vargas

ACIDOS NUCLEICOS
Estructura

A
D
N

Bases

Química

nitrogenadas

Doble
cadena
o

adenina y

doble
hélice

guanina

Azúcar

Tipos

Localizació

Función

n

Desoxirribosa

existe un
sólo tipo

Núcleo,

Cloroplasto

timina y

Transmisión

mitocondria características
hereditarias

citosina

Sola una
A

cadena

adenina y

Ribosa

existen tres

guanina

tipos:

Citoplasma,

Sintetiza

núcleo

proteínas

mensajeros

R

ribosomal

N

transferencia

uracilo y
citosina

Nucleótido

SUSTANCIAS ESCENCIALES
VITAMINAS, ENZIMAS, MINERALES, AMINOÁCIDOS, CROMOSOMAS Y GENES
PROTEÍNAS: ENZIMAS

Concepto: es una proteína que en pequeñas cantidades aumentan la velocidad y disminuye la
energía requerida de una reacción química.
Características:





Sustancias inestables ( porque las enzimas pueden ser desactivadas o destruidas por muchos
factores).
Son catalizadores biológicos o biocatalizadores.
Son específicas ( actúan sobre una sustancia específica).
Elaboradas por la célula.

5
Biología X y XI 2013

Juan José Mora Vargas

Algunas necesitan la presencia de otras sustancias no proteicas llamadas coenzimas, como la
vitamina C y la vitaminas del complejo B.
Factores que afectan su acción:







Temperatura
pH
(constante
de
acidez
o
alcalinidad)
Ausencia de sustancias específicas
Presencia de sustancias inhibidoras

Acción enzimática
1.

La enzima tiene un sitio activo, lugar donde se unen los sustratos A y B que son las dos
sustancias químicas que tienen que reaccionar (nótese que la enzima y los sustratos calzan
como piezas de un rompecabezas).
2. Los sustratos y la enzima se unen para formar el complejo enzima – sustrato, momento en el
cual la enzima acelera la reacción entre los sustratos A y B.
3. Una vez terminada la reacción la enzima se libera sin alteración alguna para combinarse con
más sustrato, mientras que los sutratos A y B han formado el producto C.
CROMOSOMAS Y GENES. CARIOTIPO 5
Cromosomas son corpúsculos filiformes compuestos de ADN y proteínas, contienen el material
hereditario (genes).

Son visibles durante la división celular, pero cuando la célula no se está

dividiendo se observa una red de filamentos llamados cromatina.
Genes: Unidad biológica de información genética, que se autorreproduce y localiza en una
posición definida (locus) en un cromosoma determinado.
VITAMINAS LIPOSOLUBLES
VITAMINA

CONSECUENCIA

FUENTES

POR DEFICIENCIA

A

FUNCIÓN

ALIMENTICIAS

Formación y conservación del Ceguera
nocturna,
formación Frutas amarillas, legumbres
tejido epitelial (ojos, piel, vías defectuosa de dientes, infecciones de verdes
y
amarillas,
respiratorias y digestivas)
la piel y membranas mucosas.
mantequi-lla, leche, huevo.
RETINOL

D
CALCEFERO
L

Absorción del calcio y fósforo. Raquitismo, malformación de huesos.
Calcificación de los huesos,
permeabilidad renal.

E

Contribuye
al
buen Anemia
funcionamiento de los músculos
ALFATECOFE y en la reproducción. Retrasa el
ROL
envejecimiento celular. Protege
a los pulmones.

Coagulación de la sangre
K

Aceite de hígado de
pescado, huevos, leche,
grasas de origen animal.

Carne, aceite, vegeta-les,
cereales y huevos.

Hemorragias, deficiente absorción Vegetales
de
hojas
verdes, queso y yema de
intestinal.
huevo.

6
Biología X y XI 2013

Juan José Mora Vargas

VITAMINAS HIDROSOLUBLES
VITAMINA

ÁCIDO

CONSECUENCIA

FUENTES

POR DEFICIENCIA
C

FUNCIÓN

ALIMENTICIAS

Mantiene la adherencia Escorbuto

Cítricos, semillas en

entre las células.

germinación,

tubér-

culos.

ASCÓRBICO
B1
TIAMINA

Ayuda

en

metabolismo

el Debilitamiento

de

los corazón,

carbohidratos

del Corazón,

riñones,

indigestión, hígado, nueces,

fatiga, apatía, neuritis,
beriberi

B2
RIBOFLAVINA

Ayuda a la proteína del Grietas en las comisuras Hígado,
metabolismo energético. de los labios, irritación derivados,
ocular,

PIRIDOXINA

Ayuda
metabolismo

en

el Anemia
de

y

cereales

dermatitis enriquecidos, legum-

seborreica.
B6

leche

las

bres, huevos.
Trigo, maíz, carne,
hígado.

proteínas

SUSTANCIAS INORGÁNICAS
AGUA: sustancia indispensable para el buen funcionamiento de los tejidos, el 70 % de nuestro
cuerpo es agua. Cumple funciones como:
 Disolvente: disuelve desechos y sustancias naturales.
 Sirve como material de transporte; eliminando e incorporando sustancias.
 Tiene capacidad termorreguladora ya que absorbe gran cantidad de calor.
 Da movilidad y lubricación en tendones, tracto digestivo, fosas nasales.
 Forma parte de la mayoría de las estructuras de nuestro cuerpo.
Además del agua y minerales, encontramos iones con carga negativa o aniones como el cloruro
(Cl -), bicarbonato (HBO3-), fosfato (H2PO4-) y sulfato (SO4-).

MINERALES: ayudan en la formación de tejidos como huesos, sangre y otros regulan el
funcionamiento celular, entre los más importantes están el hierro, el fósforo, el magnesio, el
calcio, el potasio, el sodio y el yodo. Los alimentos como los vegetales y hortalizas, las frutas, las
carnes, la leche y otros más son fuentes de minerales.

7
Biología X y XI 2013

Juan José Mora Vargas

Por ejemplo: sodio (conducción nerviosa), potasio (conducción nerviosa y muscular), calcio
(constituyente de huesos y dientes, contracciones del corazón) magnesio (huesos), fósforo
(huesos, dientes y conchas), hierro (hemoglobina), zinc (retención de agua). Cloruros, bicarbonato,
fosfato y sulfuro.
 Potasio: Interviene en la conducción nerviosa, contracción muscular, fabricación de material
genético, su carencia

produce adormecimiento de las extremidades, confusión mental,

debilidad y cambios en la frecuencia cardiaca. Se encuentra la leche, bananos, ciruelas, pasas,
aguacate.
 Calcio: permite el desarrollo de huesos y dientes, buen funcionamiento de los nervios, corazón y
sistema inmunológico, su carencia produce Osteoporosis. Se encuentra en la leche, carne,
pescado, huevos, cereales, frutas y verduras.
 Cloro: Estados físicos adecuados del citoplasma y las MEMBRANAS . Su carencia
desequilibrio osmótico y ácido base en los líquidos corporales. Presente en la sal de cocinar.
 Azufre: Forma parte de algunas proteínas como las piel y de algunas hormonas. Se utiliza contra
el acné, asma, estreñimiento, enfermedades del hígado y vesícula biliar. Presente en huevos,
carne, queso, leche, nueces, legumbres.
 Flúor: Fortalecimiento de huesos y dientes, sangre, crecimiento de animales. Su carencia
produce huesos y dientes débiles y mal formados. Se encuentra en agua fluorada, agregado a la
sal, el azúcar y la pasta de dientes.
 Fósforo: Unido a los lípidos forma parte de la membrana celular, forma parte de las proteínas.
Su carencia produce irritabilidad, debilidad, alteraciones de las células sanguíneas, disfunción
renal. Se encuentra en la leche, queso, carne aves, pescado, cereales, frutas secas y
leguminosas.
 Manganeso: Oxidante que participa en la formación de enzimas, huesos. Su carencia produce
irritabilidad, dificultad para caminar. Se encuentra en las nueces, frutas, verduras, cereales,
carne.
 Hierro: Producción de la hemoglobina, intervienen en la formación de enzimas. Su carencia
produce anemia, bajo rendimiento laboral, disminución en la capacidad de aprendizaje. Se
encuentra en pasas, ciruelas, carne, aves, pescado frutas secas, vegetales con hojas verdes.
 Magnesio: Forma parte de estructuras duras como huesos, conchas, dientes, depósito
vegetales. Su carencia produce irritabilidad neuromuscular. Se encuentra en las hojas verdes,
frutas secas, cereales y mariscos.
 Yodo: Necesario para la fabricación de la hormona tiroxina. Su carencia produce Bocio simple,
cretinismo. Se encuentra en la sal yodad, mariscos, productos lácteos, algas marinas.

8
Biología X y XI 2013

Juan José Mora Vargas

 Zinc: Presente en 90 enzimas y en la hormona insulina, influye en la retención de agua. Su
carencia produce retraso en el crecimiento, cirrosis, estados depresivos. Se encuentra en las
carnes, hígado, huevos mariscos, cereales, nueces.
 Sodio: Interviene en la conducción nerviosa y en el equilibrio de líquidos en el organismo en el
transporte de azúcares a través de las membranas celulares. Su carencia produce hiponatremia,
confusión coma. Se encuentra en sardinas, quesos, maíz, papas.
Cromo: Se requiere en el metabolismo de la glucosa, provee energía. Su carencia produce
alteraciones en la tolerancia de la glucosa. Se encuentra en la carne, pimienta negra, levadura de
cerveza, brócoli.
EJERCICIOS DE BACHILLERATO TEMA 1
1-analice las siguientes características referentes a constituyentes químicos de la célula

I. Son unidades básicas integradas por un grupo carboxilo, un grupo amino y un grupo sustituyente R
II. Formados por unidades que forman grandes cadenas llamadas polinucleótidos.
III. Son estructuras formadas por C,H,O , y que son componentes estructurales de la membrana pues forma parte de la estructura hidrofóbica.
IV. Se especializan en la formación de tejidos , crecimiento en uñas, cabello, y además en el transporte de hormonas, oxígeno y anticuerpos

De las características anteriores corresponden a proteínas los señalados con los números
A) I y II
B) II Y III
C) I y IV
D)II, III Y IV
2-Analice las siguientes afirmaciones que se refieren a componentes orgánicos del protoplasma:
I.
II.
III.
IV.

Una clase de estas sustancias constituyen componentes fundamentales de la membrana celular.
Son de gran valor como sustancias energéticas que los seres vivos tienen disponibles como reserva.
La mayoría pueden actuar como energéticos de uso inmediato, mientras que otros forman parte de estructuras de apoyo como es
el caso de la pared celular.
Son fuente de energía importante en seres vivos, sirven como componente estructural de membranas celulares y, en algunos
casos, son hormonas de importancia.

¿Cuáles corresponden a los lípidos?
A) II y III.

3I.
II.
III.
IV.

B) I, II y IV.

C) I y II solamente.

D) III y IV solamente.

Lea cuidadosamente las siguientes afirmaciones que se refieren a sustancias orgánicas del protoplasma:
Están conformados por unidades denominadas monosacáridos.
Algunas de estas moléculas son capaces de catalizar diversas reacciones químicas.
Son compuestos ternarios, constituidos principalmente por Carbono, Hidrógeno y Oxígeno.
Contienen en su estructura grupos carboxilo, amino y R, este último simboliza gran variedad de grupos sustituyentes.

De las afirmaciones anteriores, ¿cuáles se refieren a los carbohidratos?
A)
I y III.
B) I y IV.C) II y III.
D)
4--Los textos del recuadro se relacionan con ácidos nucleicos.

II y IV.

I.

Es un filamento de una sola cadena de nucleótidos. El filamento se puede enrollar sobre sí mismo mediante la formación de
pares de bases en algunas secciones de la molécula.

II.

Está formado por dos cadenas muy largas de polinucleótidos unidas entre sí por puentes de hidrógeno específicos. Cuando
la base de una cadena se une por los puentes de hidrógeno con la base de la otra cadena se dice que forman un par, por
ejemplo la adenina se aparea con timina y guanina con citosina.

¿Cuáles son las siglas de los ácidos nucleicos con los que se relacionan?

A)

I ADN y II ADN.

B) I ARN y II ARN.

C) I ADN y II ARN.

9

D) I ARN y II ADN.
Biología X y XI 2013

Juan José Mora Vargas

5-Considere el siguiente texto relacionado con una vitamina.
Promueve la absorción de calcio en el sistema digestivo, por lo cual resulta indispensable para el crecimiento normal y el mantenimiento de
los huesos. Las fuentes donde se encuentran esta vitamina son: yema de huevo, mantequilla, hígado, aceite de hígado de pescado y leche
fortalecida. En los niños, la carencia de esta vitamina puede producir raquitismo y deformidades en los huesos.
¿Cuál es el nombre de esta vitamina?

6-

A)
A.
B) D.
C) E.
Lea el siguiente texto referente a una sustancia esencial.

D) C.

Es un componente inorgánico importante de los glóbulos rojos, necesario para el buen funcionamiento de todas las
células corporales.La carencia de esta sustancia esencial produce anemia ,problema nutricional más extendido, en
el mundo que puede ser muy grave en los infantes , en su etapa de crecimiento. También puede afectar alas
mujeres durante el embarazo y a los adultos mayores.
¿ Cuál es el nombre de la sustancia esencial referencia en el texto anterior?
A) Calcio
B) Azufre
C) Cobre
7- La siguiente información se relaciona con deficiencia de un mineral.

D)Hierro

Una concentración muy baja puede detener la concentración muscular, bajos niveles en la sangre pueden dar lugar a una
hiperirritabilidad de los nervios y músculos. Bajo este estado , el más ligero estímulo puede poner a una persona en un estado
convulsivo.¿ cuál es el nombre del mineral .?
A) Calcio
B) Azufre
C) Cloro
7-Analice la información contenida en los cuatro recuadros siguientes:

D)Hierro

I. Algunas resultan necesarias para las contracciones musculares, así
como para el funcionamiento de muchas enzimas.

II.
En disolución, estas moléculas se ionizan, permitiendo con esto la
conducción eléctrica entre las células.
IV.

III.

Al agotarse las fuentes energéticas del organismo, son capaces de Permiten la conservación de las relaciones osmóticas entre la célula
proveer energía.
y su medio.
¿Cuáles recuadros contienen información referente a funciones de las sales minerales en los sistemas vivos?
A)

I y II.

B) II y III.

C) I, II y IV.

D) II, III y IV.

8-Los siguientes textos se refieren a sustancias inorgánicas.

I.
II.
III.
IV.

Tiene un papel esencial en la regulación de la temperatura corporal.
Participa en la eliminación de las sustancias de desecho del metabolismo celular de nuestro cuerpo.
Son imprescindibles en el mantenimiento del potencial de membrana, del potencial de acción y en la sinapsis neuronal.

Es esencial para la asimilación del calcio y de la vitamina C, interviene en la síntesis de proteínas y tiene un suave efecto
laxante.
¿Cuáles se refieren a funciones del agua?

A)

I y II.

B)

I y IV.

C)

II y III

D)

10

III y I
Biología X y XI 2013

Juan José Mora Vargas

9-Analice la información relacionada con sustancias orgánicas:

A)

Ácido nucleico.

B)

Proteína.

I.
II.
III.
IV.

Su unidad estructural es el nucleótido.
Se constituye por cadenas de aminoácidos.
Esencial en el intercambio de información genética.
Algunas de estos compuestos transportan sustancias.

¿ Cuál es la forma correcta de relacionar las sustancias orgánicas con sus respectivas funciones?
A) A I, III; B II, IV.

B) A II, III; B I, IV.

C) A III, IV; B I, II.

D) AI, IV; B II, III.

10- Lea las siguientes afirmaciones que se relacionan con sustancias del protoplasma.

I.
II.

Se encuentra en el núcleo de la célula y en los ribosomas. Su principal función es la síntesis de proteínas.

Está constituido por una cadena de nucleótidos, cada uno de los cuales consiste en un grupo fosfato, una base nitrogenada y el
azúcar ribosa.
Las afirmaciones anteriores se refieren a los ácidos nucleicos denominados
A)I ADN y II ARN.
B) I ARN y II ADN.
C) I ADN y II ADN.
11-Los siguientes textos se refieren a sustancias inorgánicas.
I.
II.
III.
IV.

D) I ARN y II ARN.

Tiene un papel esencial en la regulación de la temperatura corporal.
Participa en la eliminación de las sustancias de desecho del metabolismo celular de nuestro cuerpo.
Son imprescindibles en el mantenimiento del potencial de membrana, del potencial de acción y en la sinapsis
neuronal.
Es esencial para la asimilación del calcio y de la vitamina C, interviene en la síntesis de proteínas y tiene un
suave efecto laxante.

¿Cuáles se refieren a funciones del agua?
A)I y II.

B) I y IV.

C)

II y III.

D) III y IV

12- Lea cuidadosamente la información relacionada con funciones de sustancias inorgánicas
A-

Agua

B-

Sales

123-

Disuelve muchos tipos diferentes de compuestos en grandes cantidades.
Proporciona iones minerales indispensables para el equilibrio líquido.
Modera los efectos de los cambios de temperatura.

Según la información anterior, ¿cuál es la forma correcta de relacionar las sustancias inorgánicas con sus respectivas funciones?
a) A 1, 3 y B 2.
B)
A 2, 3 y B 1.
C) A 2 y B 1, 3.
13- Las siguientes afirmaciones se relacionan con la función de una vitamina.

D) A 3 y B 1, 2.

Regula el metabolismo del calcio y el fósforo.
Promueve la absorción de calcio en el intestino; necesaria para el crecimiento y la mineralización normales del hueso.
Biología de Fried G
Las afirmaciones anteriores, se refieren a la vitamina denominada
A)

D.

B) K.

C) B1.

D) B2.

11
Biología X y XI 2013

Juan José Mora Vargas

TEMA 2 DIVERSIDAD CELULAR 5 pts

2-Analizar la diversidad de las células, de acuerdo con los postulados de la Teoría Celular y su
relación con los virus.
TEORÍA CELULAR: fue enunciada por Scheinden y Schwann.

Anatómica O ESTRUCTURAL Todo ser vivo está formado por células y productos celulares.
REPRODUCTIVO U ORIGEN Las células nuevas se forman por división de células
preexistentes.
FISIOLÓGICA O FUNCIONAL

Las actividades de un

organismo son la suma de las

actividades e interacciones de sus unidades celulares independientes.
DIFERENCIAS ENTRE LA CÉLULA ANIMAL Y VEGETAL.

CÉLULAS ANIMALES

CÉLULAS VEGETALES

No tienen pared celular, ni cloroplastos

Poseen pared celular y cloroplastos

Poseen lisosomas y centriolos

No Poseen lisosomas y centriolos

Poseen vacuolas pequeñas o en algunos casos Poseen vacuolas grandes
están ausentes
DIFERENCIAS ENTRE LA CÉLULA PROCARIOTA Y LA CÉLULA EUCARIOTA

CÉLULA EUCARIOTA

CÉLULA PROCARIOTA

Tienen un núcleo definido por una doble No poseen núcleo ni membrana celular
membrana nuclear
El material genético se encuentra dentro del El material genético está en el citoplasma en
núcleo

forma de ADN circular

Están los reinos, protista, fungí, plantae y Se ubica el reino monera el de las bacterias
animalia
Son unicelulares y pluricelulares

Unicelulares

Acción viral
Los virus son seres que no tienen vida, son parásitos que utilizan una célula huésped para
reproducir su material genético ya sea ADN O ARN. Está formado por una cabeza cubierta por
una capside de proteínas y su interior material genético, además de una cola por la cual se une al
huésped para inyectar su material

12
Biología X y XI 2013

Juan José Mora Vargas

Actúan de dos formas mediante forma lítica en donde los virus se reproducen dentro de la célula
y luego se rompe y los nuevos virus buscan nuevas células. La otra forma en que se reproducen es
cuando el virus se reproduce dentro de la célula y no sale es de forma lisogénica

FASES DEL CICLO
1-

FIJACIÓN: Es la etapa en la cual el virus se fija o ancla en la célula huésped

2-

Penetración: el virus inyecta el material genético en el huésped

3-

Duplicación o multiplicación: el material genético del virus se mezcla con el del huésped

4-

Ensamblaje: se forman los nuevos virus

5-

Liberación: los nuevos virus salen de la célula

Ejercicios del Tema 2
1-Los siguientes textos contienen información referente a los postulados de la Teoría Celular:
I.

II.

El desplazamiento de la ameba por medio de los
Su material nuclear se encuentra disperso dentro de la
pseudópodos, le permite también capturar alimento, el célula. Poseen membrana y citoplasma.
cual es rodeado y posteriormente digerido.
La información presente en los textos anteriores se refieren a la célula como unidad
A) I fisiológica y II reproductiva.B) I reproductiva y II fisiológica.
C)I fisiológica y II anatómica.D)I anatómica y II fisiológica.

13
Biología X y XI 2013

Juan José Mora Vargas

2- -Las siguientes afirmaciones están relacionadas con tipos de células.

I.
II.
III.
IV.

El ADN de las cianobacterias se encuentra localizada en el citoplasma.
Presentan grandes vacuolas, organelas citoplasmáticas que almacenan líquidos y ayudan
a mantener la turgencia de la célula.
La pared celular de estas células está formada principalmente por celulosa cuya función
principal es darle forma y protección a la célula.
Posee una membrana celular, la cual está cubierta por una pared celular fuerte y rígida,
carece de membrana nuclear.

¿Cuáles se refieren a las células vegetales?
A) I y III.

B) I y IV.

C) II y III.

D) II y IV.

3-Analice cuidadosamente los siguientes textos que se refieren a tipos de células:

I.
II.
III.
IV.

El ADN de las algas azul verdosas se encuentra en el citoplasma y no está delimitado por una
membrana.
Los euglénidos poseen un núcleo muy claro, fácil de teñir y clorofila agrupada en los cloroplastos.
En las células de los sarcodinos los núcleos, las vacuolas contráctiles y las vacuolas alimenticias se
desplazan dentro de la célula cuando el organismo se mueve.
Durante la reproducción sexual, dos individuos de sexos diferentes se conjugan y oprimen mutuamente
en sus superficies orales. Dentro de cada individuo, el macronúcleo se desintegra y el micronúcleo
entra en meiosis para formar cuatro núcleos hijos.

¿Cuáles se refieren a células eucarióticas
A) I y III.

B) I y IV.

C) II, III y IV.

D) II y III.

4--Analice la siguiente información relacionada con diferentes tipos de células:
I.
II.
III.

Los cromosomas están libres en el citoplasma.
El núcleo está separado del citoplasma por una membrana
nuclear.
Organismos cuyas células poseen organelas rodeadas por
membranas.
IV.

De la anterior información, ¿Cuáles números señalan características propias de células eucarióticas?

A)

I, II y III.

B) II, III y IV.

C) I y III solamente.

14

D) II y IV solamente.
Biología X y XI 2013

Juan José Mora Vargas

5- Considere el siguiente contenido relacionado con tipos de células.
I.
II.
III.

Animal.
Vegetal.
Procariótica.

a.
b.
c.

Una alga azul verdosa es un ser vivo autótrofo sintetizante, carente
de una membrana nuclear.
Posee grandes vacuolas para almacenamiento de sustancias.
Son células que carecen de pared celular.

¿ Cuál es la relación correcta entre el contenido de los recuadros?
A) I a, I b y III c.

B) I a, II c y III b.

C) I c, II b y III a.

D) I b, II c y III a.

6--Analice cuidadosamente las siguientes proposiciones referentes a tipos de células:
I.
II.
III.
IV.

Suelen tener tan solo una membrana plasmática delgada que les permite desplazarse y modificar su
forma.
Presenta núcleo que es una estructura que contiene los cromosomas.
Presenta plastidios incoloros, de color y con clorofila.
Célula de grandes vacuolas y pared celular.

¿Cuáles de las proposiciones corresponden a características presentes en una célula vegetal?
A)

I, II y III.

B) II, III y IV.

C) I y IV solamente.

D) II y III solamente.

7- Cuál es la etapa del ciclo viral en la cual el virus es inyectado a través de la membrana plasmática en el
citoplasma de la célula huésped?

A) Penetración.
B) Liberación.
C) Ensamble.
8 -La siguiente expresión se refiere a una etapa del ciclo lítico de los virus.

D) Fijación.

El virus se adhiere a los receptores específicos presentes en la superficie de la célula huésped.
Biología de Solomon, Davis, Villee
¿Qué nombre recibe está etapa

A)

Multiplicación. B) Penetración.

C) Liberación.

D) Fijación.

9-Considere la siguiente representación relacionada con las etapas del ciclo lisogénico.

La etapa denominada fijación, ¿con cual número se relaciona?
A) 1.

B) 2.

C) 3.

15

D) 4.
Biología X y XI 2013

Juan José Mora Vargas

10- Considere la información brindada relacionada con una etapa del ciclo lítico.
El ADN bacteriano es degradado, el ADN del virus se duplica y se
sintetizan los componentes virales.

La información dada se refiere a la etapa denominada

A)
B)
C)
D)

fijación.
liberación.
ensamblaje
multiplicación.

TEMA 3 FUNCIONES BIOLÓGICAS DE LOS SERES VIVOS 10pts
3-Analizar las funciones básicas de las células como diferentes manifestaciones de vida. Analizar de las funciones del

transporte celular de sustancias como aspectos esenciales de la vida. Analizar los procesos metabólicos de la síntesis
clorofílica y su importancia en el mantenimiento de la vida. Analizar las funciones básicas de las células como diferentes
manifestaciones de vida. Analizar las funciones de las células germinales en la reproducción humana y la responsabilidad
personal y colectiva del aumento de la población.
ANABOLISMO Y CATABOLISMO

Los diferentes organismos para lograr crecer, reproducirse, responder a estímulos, adaptarse y moverse, necesitan energía.
Además, para sustituir las células viejas o gastadas requieren materia prima. Los materiales y la energía indispensable para
los seres vivos se obtienen de las actividades químicas realizadas a nivel celular. La totalidad de estas actividades se llama
metabolismo.
El metabolismo comprende dos etapas: anabolismo y catabolismo. La primera consiste en la unión de moléculas pequeñas
para sintetizar moléculas grandes. Durante este proceso se necesita energía. El catabolismo, consiste en la degradación de
sustancias complejas en sustancias más simples. Durante este proceso se libera energía.La nutrición y la respiración son
ejemplos de reacciones anabólicas y catabólicas respectivamente.

16
Biología X y XI 2013

Juan José Mora Vargas

TRANSPORTE A NIVEL CELULAR
Organelas

Estructura

Función

Dibujo

Aparato de Golgi

son sacos apilados o
aplanados

modificación, selección, empaquetamiento y
secreción de macromoléculas para enviarlas a
diferentes partes de la célula.

Retículo
endoplasmático

red de túbulos que
comunican al núcleo
con
la
membrana
celular

Su función general es la
sustancias (proteína y lípidos)

Lisosomas

son
vesículas
o
bolsitas que contienen
enzimas

desintegración
intracelulares.

Vacuolas

propias
de
los
vegetales, vesículas o
burbujas de aire

almacenamiento de nutrientes (digestivas),
desechos (excretoras). Controlan la presión
osmótica y la digestión intracelular.

o

digestión

de

de

transportar

sustancias

TRANSPORTE A NIVEL DE LA MEMBRANA
La membrana es la barrera semipermeable que permite la entrada y salida de sustancias a través de
ella
El transporte a través de la membrana se clasifica en PASIVO Y ACTIVO.
TRANSPORTE PASIVO: ocurre a favor de gradiente de concentración , o sea va de un medio de
mayor concentración a uno de menor concentración, no existe un gasto de energía
DIFUSIÓN: Es el paso de sustancias sólidas pequeñas de un medio de menor concentración a uno
de mayor concentración.

La ósmosisse un proceso físico donde las moléculas de agua se difunden desde una región donde
están muy concentradas hacia otra en la que están menos a través de una membrana
selectivamente permeable. Por ejemplo, cuando el agua pasa al interior de los glóbulos rojos,
colocados en agua destilada. El esquema de la figura 2 nos ilustra este
proceso

17
Biología X y XI 2013

Juan José Mora Vargas

TRASPORTE ACTIVO: Ocurre de un medio de menor concentración a uno de mayor de
concentración, implica un gran gasto de energía pues la célula debe romperse para que ocurra
dicho proceso.
El transporte activo se clasifica en endocitosis y fagocitosis
Endocitosis: La mayoría de las membranas celulares pueden encerrar materia externa en una
vacuola. Este proceso también es un tipo de transporte activo.
FAGOCITOSIS: Es el paso de sustancias sólidas que para poder entrar la célula esta forma una
evaginación de esta

PICNOCITOSIS: Es el paso de sustancias líquidas a partir de la membrana
ECXOCITOSIS: Es la salida de las sustancias sólidas de la célula.

NUTRICIÓN AUTOTRÒFA
FOTOSINTESIS
Es el proceso bilógico en el cual los organismo autótrofos como las plantas producen alimento y
liberan O2 , a partir de dióxido de carbono y agua.
La fotosíntesis tiene dos procesos que son
1-CAPTURA DE OXÍGENO O fase luminosa
2-SINTESIS DE GLUCOSA o fase oscura
Captura de oxigeno
Ocurre en la hoja de la planta dentro del cloroplasto, el cual tiene una estructura llamada
tilacoides que son un conjunto de sacos apilados que permite transformar la energía luminosa
En energía química mediante una serie de reacciones que se describen a continuación
1-La luz incide sobre la clorofila A y B al mismo instante, liberando electrones estos electrones
liberados pasan por una serie de aceptores primarios y secundarios, formando energía química
ATP (Adenosisntrifosfato ) NADPH2 ( NicotinaminAdenosisn Di fosfato)
2-El agua al reaccionar con la luz se descompone en hidrogeno y oxigeno, liberando oxigeno y el
hidrogeno se utiliza para la energía química

18
Biología X y XI 2013

Juan José Mora Vargas

FASE OSCURA o síntesis de glucosa
La fase oscura de la fotosíntesis ocurre en la parte liquida del cloroplasto, llamada estroma en la
cual toma la energía química producida en la luminosa ATP Y NADPH 2 , Y el CO2 producen la
glucosa en una fase cíclica con la ayuda de un compuesto llamado fosfogliceraldheído (PGAL)

RESPIRACIÓN CELULAR NUTRICIÓN HETEROTROFA
Es el proceso por el cual las células toman el oxigeno y la glucosa , liberando co2 y agua, y energía
en forma de ATP
Existen dos procesos respiratorios
Aeróbicos en presencia de oxígeno, ocurre en la mitocondria
Anaeróbicos en ausencia de oxígeno ocurre en el citoplasma

La ecuación general de la reacción es la siguiente
C6 H12 O6 + 6 H2 O + O2

6 CO2 +12 H2 O + energía ATP

GLUCÓLISIS: Este proceso se lleva a cabo en el citoplasma celular, sin la presencia de oxígeno ,
es decir anaeróbico. La glucólisis es un proceso conjunto de reacciones en las cuales , el azúcar ,
glucosa se parte en dos y forma dos moléculas de ácido pirúvico . En esta fase se producen
cuatro de ATP pero el proceso mismo requiere dos para que se inicie por lo que el resultado neto
e de 2 ATP por cada molécula de glucosa y el ácido pirúvico puede tomar dos caminos
12-

se oxida y entra en el ciclo de krebs que es aeróbico y que ocurre a nivel de la mitocondria
sigue el proceso anaeróbico llamado fermentación ( láctica o alcohólica ).

19
Biología X y XI 2013

Juan José Mora Vargas

Ciclo de Krebs :
Respiración celular aerobia
Es una serie de reacciones que ocurren en los compartimentos de la mitocondria, esto hace
necesario que el ácido pirúvico obtenido por glucólisis, se transporte del citosol a la matriz
mitocondrial, este traslado demanda el consumo de un

ATP por ácido pirúvico movilizado

(transporte activo).
Formación de acetil CoA: En la formación de acetil CoA, cada molécula de ácido pirúvico es
dividido en CO2 y un grupo acetilo de dos carbonos que se combina con la coenzima A, para
formar acetil coenzima A (acetil CoA), en esta reacción se libera hidrógeno, que permite formar
NADH a partir de NAD+. Esta reacción es virtualmente irreversible. La acetil CoA entra a la vía
cíclica de Krebs.

Ciclo del ácido cítrico - ciclo de Krebs, es una vía cíclica, la acetil CoA cede su grupo acetil al
ácido oxalacético para formar ácido cítrico. El ácido cítrico se reordena para formar ácido
isocítrico. El ácido isocítrico cede un carbono para CO2, formando ácido isocetoglutárico y
NADH a partir de NAD+.

Cadena Respiratoria
De los productos anteriores el CO2 es un desecho metabólico que se libera a la atmósfera, el ATP
esta disponible para ser utilizado en otras reacciones y las coenzimas NADH y FADH 2, deben
recuperar su estado inicial, esto es conseguido al ingresar al proceso de fosforilización oxidativa
(llamado también: cadena respiratoria, cadena de citocromos o cadena de transporte de
electrones), con la cual se busca mayor ganancia de ATP. Tiene lugar en la membrana interna de
la mitocondria

20
Biología X y XI 2013

Juan José Mora Vargas

Fermentación Láctica:
Ocurre a nivel muscular . La glucosa por medio de dos enzimas se degrada en ácido láctico ,
CO2 y dos moléculas de ATP . Es una fuente de energía alterna para altas necesidades de
fluido energético .
Fermentación alcohólica: En este proceso , la glucosa , por medio de levaduras y enzimas , se
degrada en alcohol , CO2 y dos moléculas de ATP

MUTACIONES:

Son cambios al azar en la secuencia de los nucleótidos en el A.D.N. o material

genético (genoma), que son heredables desde el primer momento aunque algunas veces no se
manifiesten en el fenotipo, ya que se necesita que ambos genes sean recesivos.
Entre las causas de las mutaciones tenemos:
Factores hereditarios: son producidas por genes recesivos que pueden permanecer en una
familia durante generaciones sin encontrar un alelo semejante que le permita expresarse. Las
relaciones sexuales entre parientes próximos aumenta la probabilidad de que los alelos formen
pares y provoquen una condición anormal en la progenie.
Infecciones: Los virus y las bacterias pueden provocar alteraciones en el material genético
como el virus del SIDA.
Radiaciones: las radiaciones producen cambios en el ADN, como roturas o trasposiciones
cromosómicas, intercambiándose pedazos de cromosomas. Puede producir cáncer.
Factores ambientales: el humo del tabaco, de los autos, fabricas, etc.
Productos químicos:
esto actúan produciendo cambios irreversibles en el ADN, otros
incrementan la síntesis de ADN y estimulación de la expresión de los genes,

21
Biología X y XI 2013

Juan José Mora Vargas

IMPORTANCIA: Las mutaciones son importantes básicamente por dos motivos: contribuyen a la
diversidad del material genético en una determinada población y también son una de las fuentes de
variación que hacen posibles los cambios evolutivos de las especies.
MUTACIONES GÉNICAS:

Son conocidas como puntiformes o puntuales, ocurren a nivel de

los genes, los cuales sufren modificaciones físicas y químicas
MUTACIONES CROMOSÓMICAS: Son aquellas en las cuales a los cromosomas le falta o sobra
un segmento del cromosoma
MUTACIONES GENOMICAS: Son aquellas donde existen mas o menos cromosomas de lo normal
DUPLICACIÓN DE ADN Y SINTESIS DE PROTEÍNAS
DUPLICACIÓN :La duplicación del ADN es el mecanismo por el cual el ácido
desoxirribonucleico (ADN) construye copias exactas de sí mismo, de esta manera transmite toda
su información de un individuo a otro y se lleva a cabo cada vez que la célula se va ha dividir.
Cuando la molécula de ADN se replica o duplica , las cadenas que lo conforman se separan y cada
una de ellas sirve de molde para que se forme a la par una nueva cadena de ADN complementaria.

Transcripción: Síntesis de ARN a partir del ADN
La transcripción es el mecanismo por el cual se sintetiza el ARN a partir de una de las cadenas de
ADN.
Se llama transcripción porque en este proceso la información contenida en el ADN es transcrita
de un tipo de codificación de almacenamiento (nucleótidos del ADN) a otro ( los nucleótidos del
ARN).
El proceso se inicia cuando una cadena de la doble hélice de ADN que se encuentra en el núcleo
se abre en una de sus cadenas en la parte en donde está el mensaje genético y sirve de patrón para
que se sintetice el ARNm, es decir, sirve de plantilla para que los nucleótidos de ARN mensajero
que se encuentran en el nucléolo, se vayan uniendo en el lugar que les corresponde

Traducción del ARN
Cuando una molécula de ADN se abre en el sitio adecuado y, con la ayuda de las enzimas
correspondientes, una de las dos cadenas empieza a ser transcrita a una molécula de ARN
mensajero. Esta molécula llevará a los ribosomas la información suficiente para que la secuencia

22
Biología X y XI 2013

Juan José Mora Vargas

de aminoácidos forme correctamente la proteína correspondiente, mediante el proceso conocido
como traducción
La traducción es la síntesis de proteínas, es el proceso mediante el cual la información contenida
en el ADN y transcrita al ARN, finalmente, se traduce en una secuencia de aminoácidos que se
conformarán la proteína necesaria para el organismo.

FASES DE LA MITOSIS 1pto PROFASE
El núcleo y la membrana nuclear desaparecen, se mezclan en el citoplasma
Los cromosomas (cromatina) se condensa y se hacen visibles.
Aparecen las fibras del huso acromático
Los centriolos migran hacia los polos
Metafase
Los cromosomas son jalados por las fibras del huso hacia el ecuador o centro de la célula formando
la capa metafasica

ANAFASE Los cromosomas duplicados se rompen y migran hacia los polos
TELOFASE:
Reaparecen la membrana y el núcleo
Desaparecen las fibras del huso y los cromosomas
Se forma un surco divisor CITOCINESIS: Se divide el citoplasma en dos células iguales a la madre

FASES DE LA MEIOSIS
MEIOSIS I
 PROFASE I:
Lascrómatidas se acortan, se empiezan a
engrosar o condensarse los
cromosomas.
Se aparean los homólogos formando tétradas, es decir los cromosomas
homólogos se colocan uno al lado del otro, a todo lo largo, formándose las
sinapsis, el
entrecruzamiento se da en los quiasmas o punto de unión, produciéndose intercambio de
material genético. Comienza la formación del huso acromático, desaparecen la membrana
nuclear y el nucléolo.

PROFASE TEMPRANA

PROFASE TARDÍA

23
Biología X y XI 2013

Juan José Mora Vargas

 METAFASE I: Los cromosomas en pares de homólogos o sea las tétradas unidas por los
quiasmas, se alinean en la placa ecuatorial y los centrómeros se unen en las fibras del huso, el
ordenamiento es al azar.

 ANAFASE I: Los cromosomas empiezan a separarse dirigiéndose hacia los polos y cada uno
arrastra a un cromosoma homólogo (entero). Aquí se encuentra una diferencia importante
con la mitosis, mientras que en la mitosis las cromátidas hermanas se separan del centrómero,
y migran hacia los polos, en la meiosis las cromátidas hermanas permanecen unidas por el
centrómero moviéndose juntas hacia los polos de la célula, en dirección opuesta a las
cromátidas que componen el otro cromosoma homólogo

 TELOFASE I: Los cromosomas homólogos llegan a los polos, se forman dos células hijas que
permanecen unidas en diada, se reconstruye la membrana nuclear, continua la división del
citoplasma.

MEIOSIS II

24
Biología X y XI 2013

Juan José Mora Vargas

REPRODUCCIÓN HUMANA
Gametogénesis
Concepto: Proceso por medio del cual se forman los gametos o células sexuales. El proceso por medio del
cual se originan los espermatozoides se llama espermatogénesis, mientras que, los óvulos se forman por
un proceso denominado ovogénesis.

En la figura 7.1 se muestra ambos procesos espermatogénesis y ovogénesis.

Espermatogénesis:
Los testículos, a partir de la pubertad, inician la elaboración de espermatozoides, un proceso que continua
hasta edad avanzada. La espermatogénesis se lleva a cabo en las paredes de los tubos seminíferos (cuya
función es elaborar y almacenar espermatozoides).En estas paredes están presentes las células
denominadas espermatogonias, las cuales tienen 46 cromosomas, a partir de éstas se forman los
espermatocitos primarios, los que se transforman en espermatocitos secundarios; éstos se convierten en
espermátidas y por último éstas se transforman en espermatozoides. El proceso se lleva a cabo por meiosis,
cuya función es la reducir el número normal de cromosomas, de tal forma que en condiciones normales los
espermatocitos de segundo orden, las espermátidas y los espermatozoides cuentan con 23 cromosomas.
Ovogénesis : Proceso de formación de los óvulos o gametos femeninos que tiene lugar en los ovarios.
Los óvulos se forman a partir de una célula germinal o protogonia, produciendo una célula llamada
ovogonia con 46 cromosomas, es decir diploide (2n). La cual entra a meiosis I, se divide y produce los
ovocitos primarios o de I orden, que a su vez sufre una reducción cromosómica mediante la meosis II
originando a los OVOCITOS de primer orden y a los ovocitos de segundo orden, con 23 cromosomas
cada una. Los ovocitos de segundo orden producen un óvulo y un cuerpo polar y, los polocitos de primer

25
Biología X y XI 2013

Juan José Mora Vargas

orden forman dos cuerpos polares, con un genoma haploide todas las cuatro células resultantes.
Una vez maduro el óvulo, el ovario se contrae y los expulsa, este proceso recibe el nombre de ovulación.
ACCION HORMONAL
Principales hormonas sexuales femeninas
1. Estrógenos responsables del crecimiento de los órganos sexuales y desarrollo de las características
sexuales secundarias.
2. Progesterona (hormona del embarazo) que prepara el endometrio del útero para anidar el cigoto,
inhibe la ovulación y la menstruación y estimula el desarrollo de las glándulas mamarias.
3. Hormona Folículo Estimulante(FSH) participa en el desarrollo de los folículos ováricos y junto con la
hormona lutenizante (LH) promueve la secreción de estrógenos y ovulación.
4. Hormona Luteinizante estimula la ovulación, interviene en el desarrollo del cuerpo lúteo o amarillo
(glándula temporal que secreta estrógenos y progesterona).
5. Prolactina favorece la producción de leche.
Hormonas sexuales masculinas (andrógenos)
La principal hormona masculina es la testosterona, la cual es producida en el testículo y cumple las
siguientes funciones: propiciar el desarrollo de los órganos sexuales, mantener en bien estado los órganos
sexuales, determinar la aparición de los caracteres sexuales secundarios y conservar el deseo sexual.
Además participa la hormona folículo estimulante (FSH), estimulando el desarrollo de los conductos
seminíferos y la espermatogénesis y la hormona luteinizante (LH) estimulando las células intersticiales
para que se secreten testosterona
EJERCICIOS TEMA 3
1- De los siguientes ejemplos de procesos metabólicos

I.II.-

C H O6
6 12

2 (C H OH + 2 C 2 + 2 A .
)
O
TP
2 5
(alcoh etílico)
ol

C H O6
6 12

2 (C 3 CH C
H
OH OOH + 2 A .
)
TP
(ácido láctico)

¿Cómo se clasifican los ejemplos I y II, respectivamente?
A) Catabolismo, catabolismo. B) Anabolismo, catabolismo. C) Catabolismo, anabolismo.

D) Anabolismo, anabolismo.

2- Las siguientes expresiones se refieren a ejemplos de procesos metabólicos.

I.
II.

Formación de lípidos a partir de la combinación de glicerol y ácidos grasos.
Descomposición de proteínas.

Las expresiones I y II se refieren respectivamente a procesos metabólicos denominados
A)catabolismo y catabolismo.

B) catabolismo y anabolismo.

C) anabolismo y catabolismo.

D) anabolismo y anabolismo

3- Considere los siguientes textos que se relacionan con ejemplos de procesos metabólicos.
I.
II.
Durante la respiración celular las moléculas de glucosa son Durante este tipo de reacciones, moléculas complejas, formadas
degradadas para liberar la energía que contienen y llevar a cabo por gran cantidad de unidades son transformadas en pequeñas
los procesos metabólicos.
moléculas por la ruptura de los enlaces que unen dichas unidades.

26
Biología X y XI 2013

Juan José Mora Vargas

¿Qué nombre recibe cada uno de los procesos?
A) I anabólica y II anabólica.
4-

I.
II.

B) I catabólica y II anabólica. C) I anabólica y II catabólica.D) I catabólica y II catabólica.

Lea las siguientes afirmaciones que tienen relación con ejemplos de procesos metabólicos.
Algunas proteínas durante el proceso de síntesis incorporan azufre.
Las enzimas que contienen los lisosomas en algunas células, se encargan de degradar los materiales de desecho que luego son
eliminados de la célula.

Los procesos metabólicos anteriores se denominan
A)I anabolismo y II anabolismo. B) I anabolismo y II catabolismo C)I catabolismo y II anabolismo.D)I catabolismo y II catabolismo

5- Observe la siguiente representación relacionada con un tipo de transporte celular.

¿Cuál es el nombre del transporte representado?
A)Fagocitosis.

B)Pinocitosis.

C)Exocitosis.

D)Difusión.

6-Observe la siguiente representación sobre un tipo de transporte celular.

¿Qué nombre recibe?
A)Fagocitosis.

B)Pinocitosis.

C)Exocitosis.

D)Difusión.

7-La siguiente expresión se relaciona con un tipo de transporte membranal.
Implica el movimiento al azar de moléculas individuales o de iones y deriva en el movimiento neto a favor de un gradiente de
concentración.
¿A qué tipo de transporte se refiere?
A)Fagocitosis.

B)Pinocitosis.

C)Exocitosis.

D)Difusión.

8- Las siguientes afirmaciones están relacionadas con componentes membranales.

27
Biología X y XI 2013

Juan José Mora Vargas

I.

Empaca materiales en vesículas que son transportadas a otras partes de la célula o la membrana
plasmática para su exportación.

II.

Digiere organelas defectuosas o que no funcionan de manera adecuada por medio de enzimas que hay
en su interior.

¿A cuáles componentes membranales se refieren?
A)I lisosoma y II retículo endoplasmático.
C) I complejo de Golgi y II lisosoma.

B) I retículo endoplasmático y II vacuola.
D) I vacuola y II complejo de Golgi.

9- Observe la siguiente ilustración

Lleva a cabo la síntesis de lípidos.
De acuerdo a la ilustración anterior corresponde a la organela llamada
A)lisosoma

B) Vacuola

C) Retículo endoplasmático D) Aparato de Golgi

10- Lea el texto del recuadro relacionado con una organela citoplasmática.
Son regiones transparentes y bien definidas del interior de la célula que contienen agua y materiales disueltos.
Funcionan como depósitos de líquidos y sales que, de otra manera, podrían interferir con los procesos
metabólicos que ocurren en el citoplasma.
El texto anterior se refiere a la organela denominada
A) vacuolas. B) lisosomas.
C) cloroplastos.
11-Considere las siguientes descripciones relacionadas con la fotosíntesis.

D) mitocondrias.

I.

El flujo de electrones entre fotosistemas genera un gradiente de protones transmembranar para posibilitar la síntesis de
ATP.

II.

El NADPH2 y el ATP formados reducen el dióxido de carbono y lo convierten en
reacciones que tienen lugar en el estroma.

III.

El fotosistema I genera un factor reductor en forma de NADPH 2. El fotosistema II transfiere los electrones del agua a la
quinona y simultáneamente produce oxígeno.

IV.

El dióxido de carbono de la atmósfera (o del agua en los organismos acuáticos) es capturado y modificado por la adición
de hidrógeno para formar carbohidratos.

¿Cuáles se refieren a la síntesis de glucosa ?
A)

II y IV.

B) II y III.

C)

12. Analice los siguientes textos relacionados con la fotosíntesis.

28

I y IV.

D) I y III.

3-glicerato a través de una serie de
Biología X y XI 2013

Juan José Mora Vargas

I.
II.

El agua se descompone en el proceso liberando oxígeno como producto secundario de la reacción.

III.

El primer producto estable es el 3-fosfoglicérico, molécula de 3 carbonos, que se origina de la
combinación de 6 moléculas de dióxido de carbono y 6 moléculas de ribulosadi fosfato.

IV.

El CO2 es fijado en la molécula de ribulosa 1,5-difosfato, la cual está constituida por 5 carbonos. Seis
moléculas de CO2 ingresan y se combinan con 6 moléculas de ribulosa, y forman 12 moléculas de 3fosfoglicérico.

En una serie de reacciones la energía se convierte (a lo largo de un proceso de transporte de electrones)
en ATP y NADPH2.

¿Cuáles corresponden a la captura de luz ?
A)I y II.

B) I y IV.

C) II y III.

D) III y IV.

13--Analice los siguientes textos relacionados con la fotosíntesis.
I.

La energía incide sobre pigmentos antena del fotosistema II; luego, los electrones pasan “cuesta abajo” al fotosistema I, a lo
largo de una cadena de transportadores de electrones. Este pasaje genera un gradiente de protones que impulsa la síntesis de
ATP a partir de ADP, proceso llamado fotofosforilación.
II.
A partir del ácido fosfoglicérico utilizando ATP y los hidrógenos que lleva el NADPH, (formados durante las reacciones
dependientes de la luz), se sintetizan moléculas del compuesto denominado fosfogliceraldehido. (PGAL)
III.
El CO2 se combina con la ribulosa 1,5 difosfato, mediante la acción de la enzima ribulosadifosfatocarboxilasaoxigenasa.
IV.
Se lleva a cabo en el estroma y en ella se realiza la fijación de carbono.
¿Cuáles se refieren a la fase oscura?
A) I, II y III.

B) II, III y IV.

C)I y II solamente.

D) II y IV solamente.

14-Los siguientes textos se refieren a fases de la fotosíntesis.

I.
II.
III.

La energía que "golpea" a la clorofila excita a un electrón hacia un nivel energético superior.

IV.

El dióxido de carbono de la atmósfera es capturado y modificado por la adición de hidrógeno para formar
carbohidratos.

El dióxido de carbono es fijado en la molécula ribulosa 1,5 difosfato, que tiene 5 carbonos en su molécula.
En una serie de reacciones la energía se convierte (a lo largo de un proceso de transporte de electrones ) en ATP y
NADPH2.

¿Cuáles se refieren a la fase luminosa?
A) I y III.

B) I y IV.

C) II y III.

D) II y IV.

15- La información brindada se refiere a un proceso biológico.

¿Qué nombre recibe la totalidad del proceso?
A) Cadena respiratoria

B) Respiración celular.

C) Ciclo de Krebs.

16- Analice la información que se le presenta relacionada con un proceso biológico.

29

D) Glucólisis.
Biología X y XI 2013

Juan José Mora Vargas

Corresponde a la etapa final de la respiración, que involucra a una cadena de transportadores de electrones y enzimas dentro de la
membrana interna de la mitocondria. A lo largo de esta serie de transportadores de electrones, en tres sitios durante su recorrido, se
+
desprenden grandes cantidades de energía libre que impulsan el bombeo de protones (iones H ) hacia el exterior de la matriz
mitocondrial, lo cual crea un gradiente electroquímico a través de la membrana interna de la mitocondria. Cuando los protones pasan
a través del complejo de ATP sintetasa, y a medida que vuelven a fluir a favor del gradiente electroquímico al interior de la matriz, la
energía liberada se utiliza para formar moléculas de ATP a partir de ADP y fosfato inorgánico.
¿Cuál es el nombre del proceso descrito?

A)
B)
C)
D)

Ciclo de Krebs, debido a que participa el NAD y el FAD.
Glucólisis, por la participación del NADH proveniente del citoplasma.
Fermentación, debido a la descomposición de la glucosa en ausencia de oxígeno.
Cadena respiratoria, por la formación de energía en la cadena transportadora de electrones.

17-Analice las siguientes afirmaciones relacionadas con la respiración celular.

I.

Se lleva a cabo en el interior de las mitocondrias y forma una vía bioquímica que comienza y termina con la misma molécula de
cuatro carbonos, el ácido oxalacético.

II.
III.
IV.

Comienza con la condensación del oxalacetato y acetil CoA para originar citrato.
Las reacciones de este proceso, se llevan a cabo en el citoplasma.
Secuencia de reacciones que convierte la glucosa en piruvato.

¿Cuál o cuáles se refieren al ciclo de Krebs?

A)
B)
C)
D)

I y II.
I y IV.
II, III y IV.
III solamente.

18--Considere las siguientes afirmaciones sobre la respiración celular.

I.

Las levaduras son hongos microscópicos que descomponen la glucosa en ausencia de oxígeno y producen alcohol etílico y
dióxido de carbono, obteniendo de esta manera la energía que necesitan para vivir.

II.

Este proceso consiste en una primera etapa que no requiere de la presencia de oxígeno pero las dos etapas que le siguen
no podrían ocurrir en ausencia de este elemento.

III.

La mayoría de los organismos llevan a cabo un tipo de respiración que genera más de 35 moléculas de ATP por cada
molécula de glucosa.

IV.

Las células musculares humanas recurren a este proceso cuando no hay oxígeno disponible y existe una gran demanda de
energía, formándose como un producto secundario el lactato.

¿Cuáles de las afirmaciones anteriores se relacionan con tipos de fermentación?
A) I y IV.
B) II y III.
C) III y IV.
D) II, III y IV.

19)

Las siguientes afirmaciones se refieren a etapas de la respiración celular.
I.
II.
III.
Ocurre en la membrana Se lleva a cabo en el Ocurre la degradación
interna de la mitocondria.
citoplasma de la célula.
moléculas de glucosa.

IV.
de El acetil CoA es un componente
necesario para que se efectúe esta
etapa.

¿Cuál o cuáles se refieren a la glucólisis?
A)

III solamente.

B) II, III y IV.

C) II y III.

20-Lea el contenido de los recuadros sobre las etapas de la división celular.

30

D) I y IV.
Biología X y XI 2013

Juan José Mora Vargas

I.

II.

Los cromosomas se fijan a las fibras del huso mitótico.

Desaparece la envoltura nuclear.

Los cromosomas se alinean en el ecuador de la célula.
¿Cuál es el nombre de las etapas a las que se refieren?
A)
21-

I anafasey II profase.

B) I metafase y II profase.

La cromatina se condensa y se forman los cromosomas.

C) I telofase y II metafase. D) I metafase y II anafase.

El contenido de los recuadros se relaciona con fases de la mitosis.
II.
La célula retorna a las condiciones iniciales que se encontraba
antes del proceso de división celular y al final de esta fase ocurre la
citocinesis, la cual consiste en la división del citoplasma para
formar dos células hijas.

I.

¿Qué nombre reciben las etapas anteriores?
A) I profase y II telofase.

B) I anafase y II telofase.

C) I metafase y II profase. D) I anafasey II metafase.

22- ¿Cuál es la fase de la meiosis donde los cromosomas homólogos intercambian segmentos de ADN?
A)Profase I.

B) Profase II.

C) Anafase II.

D) Metafase I

23 - Analice el siguiente esquema
El proceso biológico descrito en el esquema anterior recibe el nombre de
A)

meiosis

B) espermatogénesis C) ovogénesis

D) fertilización artificial

24- Lea los siguientes textos relacionados con fases de la mitosis.

I.

El centrómero de cada par de cromátidas se pega a una fibra del huso, que hace
que los pares de cromatides se coloquen en línea con el ecuador de la célula.

II.

Los cromosomas toman forma de hilos y se forman en una masa de cromatina, el
huso se rompe y reaparece el nucleolo.

¿Cuáles son los nombres de las fases a los que se refieren los textos dado?
A) I metafase y II telofase.

B) I metafase y II profase. C) I anafase y II telofase. D) I anafase y II Telofase

25- La siguiente afirmación se refiere a mutaciones.
Los individuos con el síndrome de Klinefelter (XXY), tienen genitales y conductos internos masculinos, pero sus testículos son
poco desarrollados y no producen esperma.
La información subrayada se refiere a
A)

causa y consecuencia.

B) consecuencia.

C) importancia.

26 El siguiente texto se refiere a mutaciones.

31

D) causa.
Biología X y XI 2013

Juan José Mora Vargas

Las personas con síndrome de Down, tienen varias características: estatura corta, cara redonda, lengua
grande y con estrías, párpados gruesos.

B)

La parte subrayada se refiere a
causa y consecuencia.

B) consecuencia.

C) importancia.

D) causa.

27- Las representaciones de los recuadros se refieren a tipos de mutaciones

I.

II.

Las representaciones de los recuadros se refieren a las mutaciones denominadas
A) Cromosómica, II Cromosómica B) Genómica, II Cromosómica C) I Génica, II Genómica D) Genómica II genómica

TEMA 4 GENETICA 17 pts
4-Analizar los hechos históricos que conforman los principios mendelianos y que permiten el conocimiento
científico de la herencia biológica

CONCEPTOS BÁSICOS 5 pts
GENE: Factor hereditario formado por ADN, que funciona como mensajes codificados para la
síntesis de proteínas. También se definen como unidades biológicas de información genética que
se autoreproduce y localiza en un porción definida (locus) en un cromosoma.

Los genes son

grupos de instrucciones codificadas para la apariencia física y los componentes del organismo, que
conforman la molécula de ADN de un cromosoma. Están compuestos por una serie conectada de
unos "250 peldaños" en la escalera de ADN.
ALELO: Son unidades de los genes en las células diploides, colocándose uno en cada gameto.
Formas diferentes o alternas de un gene para una característica.
GENOMA: Serie completa de cromosomas o genes heredables de sus progenitores. Constitución
genética total de un individuo.
HOMOCIGOTA: Dos genes son iguales dominantes o recesivos, se les llama puros, SS o ss.
HETEROCIGOTA: Gen con dos alelos diferentes, uno dominante y otro recesivo. Que posee dos
alelos diferentes Ss.
RECESIVO: Es aquel carácter manifestado solo en condición homocigota. Gene que se expresa
solamente al aparearlo con otro gene igual para esa misma característica. Se denomina con letras
minúsculas ss.

32
Biología X y XI 2013

Juan José Mora Vargas

DOMINANTE: Un carácter es dominante cuando siempre se manifiesta. Se escribe con letras
mayúsculas SS.
FENOTIPO: Aspecto de un ser vivo en cuanto a cierto carácter hereditario. También se puede
definir como la apariencia externa de un organismo.
GENOTIPO: Constitución genética de un ser vivo para ese mismo carácter o conformación
genética de un organismo.
CRUCE MOHÍBRIDO: Cruce en |que interviene una característica.
DIPLOIDE: Célula con el número completo de cromosomas de la especie, se representa como 2n.
HAPLOIDE: Célula que contiene la mitad del número cromosomas de la especie o juego sencillo
de cromosomas, como ocurre en los gametos. Se representa como n
LOCUS: Segmento determinado de los cromosomas, en dónde se localiza un gen determinado.
Localización de un gen en particular (o de uno de sus alelos) en un cromosoma. LOCI: Plural de
locus.
LEYES DE MENDELLAl analizar los datos obtenidos, enuncia la PRIMERA LEY o LEY DE LA

SEGREGACIÓN DE LOS CARACTRES, que dice lo siguiente:
"Cuando se cruzan dos razas puras, que difieren en solo carácter (contratantes), todoslos
individuos que se obtienen en la primera generación son iguales (con el mismo genotipo) y
coinciden con el fenotipo de uno de los padres, mientras que en la segunda aparecen los
caracteres ocultos en la primera generación."

Luego de analizar los resultados obtenidos, postula la SEGUNDA LEY o LEY DE LA

SEGREGACIÓN INDEPENDIENTELOS CARACTERES, que dice lo siguiente

"Cuando se cruzan dos variedades de plantas o animales, que difieren
en dos caracteres, cada carácter se segrega en forma independiente de
CRUCES MONOHÍBRIDOS:
los otros."
Al cruzar dos plantas con vainas puras, una lisa y la otra rugosa ¿cómo será la F 1?
L = lisa

l = rugosa
P1LL
G1
F1

ll

L
G1

l

L
L

l

L

lLlLl
lLlLl
Cuadro o tabla Punnett
Fenotípicamente: 100% lisas
Genotípicamente: Heterocigotas
lLlLl

33
Biología X y XI 2013

Juan José Mora Vargas

Pero que sucede al cruzar dos plantas con vainas heterocigotas:
P2

Ll

Ll

G2

G2

F2

l

L

l

L

L

L

l
LL

Ll

lLlll

lLlll
EL RESULTADO DEL FENOTIPO ES DE 3:1 Y EL GENOTIPO UNA RELACIÓN 1:2:1
Fenotipo

Genotipo

75% plantas con vaina lisas

25% homocigotas dominantes
50% heterocigota

25% plantas con vaina rugosa

25% homocigotas recesivas

Pero que sucede al cruzar dos plantas UNA con vainas heterocigotos Y OTRA HOMOCIGOTA RECESIVA :
P2

Ll

ll

l

L

L

l

G2
G2

l

L

F2

l

LlLl

lllll

EL RESULTADO DEL FENOTIPO ES DE 2:2 Y EL GENOTIPO UNA RELACIÓN 2:2
lLlll
Fenotipo
Genotipo
50% plantas con vaina lisas
50% heterocigotos
50% plantas con vaina rugosa
50% homocigotas recesivas
HERENCIAN0 MENDELIANA 4 PTS
5-Analizar procesos genéticos no mendelianas y resolver cruces de herencia ligada al sexo, sistemas de alelos
múltiples y herencia intermedia.

DOMINANCIA INCOMPLETA: No siempre todos los cruces de genética cumplen con las
probabilidades de mendell, en el caso de la dominancia incompleta, lo que sucede es que NO
EXISTE UNA CARACTERÍSTICA QUE DOMINE A OTRA, si no que existen dos
características dominantes, que al combinarse en una primera generación se obtiene como

34
Biología X y XI 2013

Juan José Mora Vargas

resultado una característica intermedia a los padres, dominando en un 100% en la F1.Tanto en su
genotipo y su fenotipo
EJEMPLO

SE

CRUZA

UNA

PLANTA

DE

CHICHARO

CON

FLORES

BLANCO

DOMINANTE, CON OTRA PLANTA DE CHICHAROS DE FLORES ROJAS DOMINANTES,
AL SER AMBAS DOMINANTES SE OBTIENE UNA CARACTERÍSTICA INTERMEDIA DE
COLOR ROSADO
Flores rojas: RR
P1

Flores Blancas: BB

Flores Rosadas: BR o RB

FLORES BLANCAS
G1

B

B

G1

F1

FLORES ROJAS
R

B

R

B

R

BR

BR

R

BR

BR

Fenotipo
lLlll
1O0% CHICHAROS CON FLORES ROSADAS

Genotipo
100% RB

Para la segunda generación se cruzan los hijos de la F1 obteniendo en su resultado
1 dominante, 2intermedia 1 dominante
P2

FLORESROSADAS

G1

F1

FLORES ROSADAS

R

B

G1

B

B

R

R

B

BB

BR

R

BR

RR

Fenotipo
lLlll
25% CHICHAROS CON FLORES BLANCAS

Genotipo
25% BB

50% CHICHAROS CON FLORES ROSADAS

50% RB

25% CHICHAROS CON FLORES ROJAS

25% RR

35
Biología X y XI 2013

Juan José Mora Vargas

Para el cruce entre la característica intermedia y una dominante SIEMPRE se obtiene un resultado de 2 a 2
tanto en el genotipo como el fenotipo
P2

FLORESROSADAS

FLORES BLANCAS

R

B

B

B

G1
F1

G1

B

R

B

BB

B

BB

BR
RR

Fenotipo

Genotipo

lLlll
50% CHICHAROS CON FLORES BLANCAS

50% BB

50% CHICHAROS CON FLORES ROSADAS

50% RB

GRUPOS SANGUÍNEOS:
Es uno de los ejemplos mejor conocidos de alelos múltiples es el de los grupos sanguíneos de los
seres humanos, en que existen tres alelos (IA, IB y i) para determinar los cuatro tipos de sangre (A,
B, AB y O), aunque cada individuo sólo puede tener dos alelos para es característica.

DONA
FENOTIPO

ACEPTA

GENOTIP
O
HOMOCI

HETEROCI

GOT

GOTA

A

IAIA

IA i

A Y AB

AYO

B

IB IB

IB i

B Y AB

B YO

AB

I A IB

--------------

AB

AB Y O

-----------------

O,AB,A,B

O

O

Ii

36
Biología X y XI 2013

Juan José Mora Vargas

Como se podrá comprender es sumamente importante conocer el tipo sanguíneo e incluso portar
este dato. Los tipos sanguíneos permiten también aclarar casos de paternidad dudosa.

Por

ejemplo, ¿podría un niño con tipo de sangre O ser hijo de un hombre AB, si su madre es A
heterocigota?

padre IA IB
madre IA i
hijo ii
padres o F1:
G1:

IA

F1:

IAIAIAi

I A IB

x

IB

IA i
IA i

IB I A

IB i

FACTOR Rh o INCOCOMPATIBILIDAD Rh: Se han encontrado otros casos de control
genético de la relación antígeno / anticuerpo, que si bien no tienen efectos tan extremos en la
transfusión de sangre, sí pueden generar casos especiales, a veces muy dramáticos. Uno de estos
se relacionan con el sistema Rh.

Este sistema incluye por lo menos ocho tipos distintos de

antígeno, a cada uno de los cuales se les llama factor Rh.
El factor Rh más importante es el antígeno D, el cual se produce en los glóbulos rojos, está
presente en más del 80% de las personas. Si una persona tiene este antígeno, se dice que es Rh
positivo (Rh+); si no lo presenta, se dice que es Rh negativo (Rh-).El alelo que codifica el antígeno
D es dominante sobre su ausencia. De este modo, las personas Rh - necesariamente deben ser
homocigotas recesivos, mientras que las Rh+ pueden ser homocigotas o heterocigotas

HERENCIA LIGADA AL SEXO
Esto ocurre a nivel de los cromosomas sexuales XX y XY donde en el gen recesivo materno ocurre
el problema algunos casos son
DALTONISMO: Es la ceguera a identificar o diferenciar los colores en especial el rojo y verde
Se representa de la siguiente forma
Mujer XDXD

Fenotipo
SANA

Mujer XDXd
Mujer XdXd

Portadora
Enferma

Genotipo
MUJER SANA NO
PORTADORA
Mujer sana portadora
Mujer enferma

Hombre XD Y
Hombre Xd Y

SANO
ENFERMO

Hombre sano
HOMBRE ENFERMO

37
Biología X y XI 2013

Juan José Mora Vargas

APLICACIONES DE LA BIOLOGÍA 4PTS
6-Analizar la importancia y las implicaciones de la Biotecnología, como parte del proceso de desarrollo del
conocimiento en las ciencias y en la tecnología

Clonación: por medio de esta técnica se obtienen uno o más individuos a partir de una célula
somática o de un núcleo de otro individuo, estos organismos son idénticos genéticamente. El
primer animal clonado se llama Dolly.

MUTACIÓN INDUCIDA: Consiste en inducir modificaciones en el ADN mediante la aplicación
de radiación o sustancias químicas.

Los genes mutantes son importantes porque han

proporcionado claves para entender en qué forma actúan los genes para producir un determinado
fenotipo
FERTILIZACIÓN “IN VITRO”: Mediante esta técnica se producen bebes probetas. Consiste en
producir en la mujer una producción de muchos óvulos, los cuales son extraídos y colocados en
un medio adecuado para mantenerlos vivos.

Luego son fecundados en el laboratorio, de los

cigotos producidos se escoge uno y se implanta en el endometrio de la mujer. Los otros cigotos se
mantienen vivos para utilizarlos en la eventualidad de que el cigoto implantado no siga el curso
normal de desarrollo.
INSEMINACIÓN ARTIFICIAL: Proceso `por el cual se introduce semen en el sistema
reproductor femenino, consiste en inyectar con ayuda de una varilla similar una pajilla semen de un
macho deseado en la hembra
ORGANISMOS TRANSGÉNICOS: Los organismos transgénicos son aquellos individuos a los que
por ayuda de la ingeniería genética se le introduce un gen extraño , puede ser de otra especie, o
inclusive de otro reino . ejemplo introducir un gen de un animal a una planta para que resista los
cambios de temperatura
Selección Artificial : Esto es escoger las características deseadas que se quieren reproducir para
obtener especies mejoradas en apariencia y en productividad
EJERCICIOS TEMA 5 GENÉTICA
1-

Lea el siguiente texto sobre un término básico de la genética.
Uno de los genes para un rasgo determinado, que tiene una ubicación específica en cada cromosoma homólogo.

¿Qué nombre recibe el término descrito en el texto anterior?
A) Alelo.
2-

B) Genoma.

C) Fenotipo.

D) Genotipo.

La siguiente expresión se refiere a un término de la herencia.
Alelo cuyo efecto fenotípico está anulado en la condición heterocigótica por el otro alelo, de manera que no se expresa.

¿A cuál término se refiere?
A) Alelo.

B) Genoma.

C) Dominante.

D) Recesivo .

38
Biología X y XI 2013

Juan José Mora Vargas

3- Considere el siguiente texto relacionado con un problema monohíbrido.
Considerando una pareja de conejos donde el color negro del pelaje resulta dominante sobre el color marrón, se cruzan un macho y
una hembra de color negro, ambos de genotipo heterocigota.
¿Cuál es la probabilidad de que aparezcan conejos de color marrón en la descendencia?
A)

75%

B) 50%

C) 25%

D)

0%

4- La siguiente información se refiere a un cruce monohíbrido:
Carlos Luis agrónomo del pueblo, decide cruzar dos plantas de cocotero. Una de ellas es de semilla amarilla heterocigota, la otra presenta semilla
verde homocigota recesivo.
¿Cuál es el porcentaje esperado para plantas con semilla amarilla?
A) 75%
B) 50%
C) 25%

D)

0%

5-Según la siguiente información relacionado con un término de la herencia:

E
s un segm
ento
de A N localiz
D
ado
en un lugar en
particular de un
crom
osom
a.

E conjunto de estas
l
unidades form
an el
A
DN
,
y
controlan
todos los aspectos
de la vida de un
organism
o.

¿ Cuál es el nombre del término relacionado con la herencia al que se refiere la información anterior?
A) Alelo.
B) Genoma.
C) gen.
D) Recesivo .

6) El siguiente esquema está relacionado con el cruce de un toro con dos vacas diferentes:
En el ganado, la falta de cuernos
es una característica dominante
sobre la presencia de los
mismos.
II
Toro sin cuernos

I
Vaca con cuernos

III
Vaca sin cuernos

Progenitores

IV
Individuo sin cuernos

V
Individuo con cuernos

Descendientes

A)
B)

¿Cuáles son los genotipos de los cinco individuos, si se representa la característica sin cuernos con “S” y la presencia de
cuernos con “s”?
I ss, II SS, III SS, IV Ss, V ss.
C) I ss, II Ss, III Ss, IV Ss, V ss.
I Ss, II Ss, III Ss, IV Ss, V ss.
D) I ss, II Ss, III Ss, IV Ss, V Ss.

39
Biología X y XI 2013

7-

Juan José Mora Vargas

El siguiente problema está relacionado con el cálculo de probabilidades de la herencia:

Dos plantas de tallo largo heterocigota se cruzan
Tallo largo: Dominante.
Tallo corto: Recesivo.

¿ Cuál es el fenotipo esperado en la primera generación (F1)?

A)
B)
C)
D)
8-

75% plantas de tallo corto; 25% plantas de tallo largo.
75% plantas de tallo largo; 25% plantas de tallo corto.
50% heterocigota, 50% homocigota.

En un cruce de dominancia incompleta, ¿cuál es el fenotipo esperado al cruzar una planta de maravilla de flores rojas con
otra planta de maravilla de flores blancas?
A)
B)

9-

50% heterocigota, 25% homocigota dominante, 25% homocigota recesivo.

75% plantas de flores rojas y 25% plantas de flores blancas.
50% plantas de flores rojas y 50% plantas de flores blancas.

C) 100% plantas de flores rosadas.
D) 100% plantas de flores rojas.

¿Cuál es el fenotipo esperado del cruce de una vaca rojiza y un toro roano, si se sabe que el color roano es un estado
intermedio entre el color blanco y el rojizo?

A)
B)
C)
D)

100% de color roano.
50% de color rojizo y 50% de color roano.
75% de color roano y 25% de color blanco.
25% de color blanco, 50% de color roano, 25% rojizo.

10-Cuál es la probabilidad de que una mujer con una visión normal al color, cuyo padre tenía ceguera al color (daltonismo) pero
cuyo marido tiene una visión normal al color, tenga en su descendencia un hijo-varón con ceguera al color?
A) 0%

11-

B) 25%

C) 75%

D) 100%

¿Cuál será el posible resultado del apareamiento entre una mujer sana (no portadora) y un hombre hemofílico?

A)
B)
C)
D)

25% mujeres sanas (no portadoras), 25 % mujeres portadoras, 50% hombres sanos.
75% de mujeres enfermas, 25% de hombres sanos.
50% mujeres portadoras, 50% hombres sanos.
75% mujeres portadoras, 25% hombres sanos.

12- ¿Cuáles son los grupos sanguíneos posibles en la descendencia de un cruce entre individuos del tipo AB y tipo O?
A) A, B. B) AB, O.

C) A, B, O.

D) A, B, AB.

40
Biología X y XI 2013

Juan José Mora Vargas

13- Lea la siguiente información relacionada con problemas sobre el cálculo de probabilidad de grupos sanguíneos:
Padres:

Carolina

X

Jorge

A B

Genotipo

I iI i

Carolina le plantea el divorcio a Jorge por sospechar que tiene un hijo fuera de matrimonio con Melisa poseedora de sangre
tipo O. ¿ Cuál de los siguientes genotipos corresponde a un posible hijo de Jorge con Melisa?
AB

BB

A) I I .

B

B) I I .

A

C) I i.

D) I i.

14- Carlos presenta el Factor RH + heterocigoto y se casa con Karla que presenta RH-¿ Que probabilidad de que posean un hijo con
Rh-?
A) 25%

B) 50%

C) 75 %

D) 0%

15- Ana está a la espera de su segundo hijo, ella presenta sangre A con factor Rh positivo heterocigota. Su esposo tiene sangre A
con factor Rh positivo en condición heterocigoto. Que % se espera de obtener un hijo RH -.
A) 25%

B) 50%

C) 75 %

D) 0%

16-Considere la siguiente descripción relacionada con un tipo de manipulación de la herencia.

1.
2.
3.
4.
5.
6.

Se inserta en el plásmido de una bacteria el gen que codifica la insulina.
La enzima de restricción corta el gen y el plásmido.
Se une el ADN del gen foráneo, mediante las enzimas, denominadas ADN-ligasa, que unen ambos trozos de ADN.
El resultado es una molécula de ADN recombinante que contiene el gen que codifica la insulina.
La bacteria reproduce los genes de la insulina.
Se generan grandes cantidades de la hormona.

¿Cómo se denomina la técnica aplicada a esta bacteria?
A)Fertilizaciónin vitro.
17-

B) Inseminación artificial.C)Organismo transgénico.

D) Control biológico de plagas.

La siguiente descripción se relaciona con una técnica de manipulación de la herencia.
Con esta técnica, los médicos:
Extraen el óvulo del útero.
Fusionan los núcleos de los gametos en el laboratorio.
Implantan el cigoto en el útero.

La información anterior se refiere a
A) Fertilización in vitro.

B) Inseminación artificial.C)Organismo transgénico.

D) organismo clonado .

18-La siguiente descripción se relaciona con un tipo de manipulación de la herencia.
En 1992 se practicó la recombinación del ADN de cereales introduciendo un nuevo gen que hacían que ciertas plantas y bacterias
fueran inmunes a los herbicidas. Se produjo una variedad de cereal híbrido que es inmune a los herbicidas que contienen el compuesto
denominado imidazolin.
La totalidad de la descripción se refiere a
A) Fertilización in vitro.

B) Inseminación artificial.C)Organismo transgénico.

41

D) organismo clonado .
Biología X y XI 2013

Juan José Mora Vargas

19-La siguiente información corresponde a un tipo de manipulación de la herencia.

Es una tecnología de reproducción asistida en que se fecundan uno o varios óvulos fuera del organismo materno. Se
estimula la maduración de muchos óvulos mediante inyección diaria de hormonas (se puede hacer con un solo óvulo). Los
óvulos se extraen mediante diferentes técnicas. Los óvulos extraídos se mantienen en un medio líquido especial al que se
añade semen lavado e incubado. Después de 18 horas se extraen los óvulos, se cultivan en un medio adecuado y se
examinan 40 horas después. Hay una probabilidad del 40-50% de fecundación de los óvulos.

¿Cuál es el nombre de la técnica biotecnológica?
A) Fertilización in vitro.
20-

B) Inseminación artificial.C)Organismo transgénico.

D) organismo clonado .

La siguiente descripción está relacionada con Biotecnología.
A través de esta técnica se incorporan genes que no son los propios en plantas y animales con la finalidad de agregar en estos
individuos alguna característica favorable como por ejemplo cultivos resistentes a plagas o sequías, animales que produzcan mayor
cantidad de leche.
¿A cuál tipo de manipulación genética se refiere?

A) Fertilización in vitro.

21-

B) Inseminación artificial.

C) Organismo transgénico.

D) organismo clonado .

La siguiente descripción se refiere a una técnica de la Biotecnología.
Esta técnica consiste en extraer el núcleo de un óvulo y reemplazarlo por el núcleo de una célula del cuerpo de un organismo, que
luego es transferido al útero de una hembra para que se desarrolle y se genere un organismo idéntico a aquel que aportó la célula.

¿A cuál tipo de manipulación genética se refiere?
A) Fertilización in vitro.

B) Inseminación artificial.C)Organismo transgénico.

D) organismo clonado .

TEMA 5 EVOLUCIÓN Y GENÉTICA 4PTS
7- Analizar la participación de la herencia genética en la capacidad de respuesta de los organismos ante el
ambiente y comprender los fundamentos de la evolución biológica
La evolución es un proceso de transformación lenta y progresiva, que lleva a las especies a

adquirir una serie de modificaciones que las hacen más complejas, ocasionando que se formen
nuevas especies de las especies ya existentes. La evolución ocurre a través de cambios evolutivos
acumulativos en el curso de las sucesivas generaciones de descendientes.
FACTORES QUE DETERMINAN LA EVOLUCIÓN
1- Selección natural: Significa que los individuos con genotipos y ciertos rasgos
tienen más descendencia superviviente en la siguiente generación que otros individuos.
No opera en individuos con
fenotipos de gene simples, sino en el efecto genotípico
total de todo el conjunto de genes presentes.
Caracteristicas
-

Capaz de dejar descendencia fértil
Reproducción sexual
Adaptación

42
Biología X y XI 2013

Juan José Mora Vargas

2-MUTACIONES: La molécula de ADN tiene dos características claves para su contribución
al proceso evolutivo: es una molécula muy estable y, a la vez está en capacidad de transformar
su composición.
La mutación como fuente evolucionaria es la principal causa de alelos nuevos y nuevas
combinaciones génicas (variación). El efecto más significativo es que la mutación aumenta la
variabilidad genética o diversidad y por ende lo genotipo, pueden ocurrir en forma natural o
artificial. Además es la materia prima sobre la cual puede actuar la selección natural.

3-

DERIVA GENÉTICA O DESPALZAMIENTO GENÉTICO AL AZAR:

Se origina por

cambios que ocurren en las frecuencias génicas de poblaciones reproductivas pequeñas, causada
por un proceso fortuito (al azar), llamado error de muestreo, sobre el cual influye el tamaño de la
muestra; cuanto menor o pequeña sea el tamaño de la población mayor será el cambio en las
frecuencias alélicas debido a la deriva, la deriva genética explica las diferencias en especies afines
en diferentes partes del mundo difieren en aspectos curiosos, e incluso extraños, que parecen no
tener valor adaptativo. Este efecto es evidente en islas y zonas geográficas incomunicadas.

MIGRACIÓN GENÉTICA O FLUJO GENÉTICO: Es el movimiento o transferencia de genes
por medio de la migración (movimiento de genes hacia adentro o afuera de una población) y el
entrecruzamiento de dos poblaciones. En poblaciones pequeñas aumenta la variabilidad
genética.

El flujo genético no cambia las frecuencias génicas del total de la especie, pero

puede cambiarlas localmente, si las diferentes poblaciones tienen distintas frecuencias alélicas.

FACTORES QUE AFECTAN LA ESPECIACIÓN
8-Analizar los procesos evolutivos que originan la biodiversidad de especies y de ecosistemas, a partir de
especies ancestrales que conquistan los hábitats.

43
Biología X y XI 2013

Juan José Mora Vargas

Tema 6 Evolución y Biodiversidad 17
ESPECIACIÓN: (4pts) proceso mediante el cual Desaparecieron y aparecen nuevas especies. Una
especie es el conjunto o grupo de organismos que tienen características similares que los hacen
capaces de reproducirse naturalmente entre ellos.

1 VARIABILIDAD: La existencia de variabilidad genética es una condición necesaria para que
ocurra la evolución. Si la variabilidad aumenta en una población, mayor es la oportunidad de
evolucionar.

2

AISLAMIENTO:

Las variaciones ocurren al azar y sólo aquellos organismos que se han

adaptado a esas variaciones, han logrado sobrevivir y reproducirse, y por consiguiente pueden
perpetuarse. Para que las nuevas especies se establezcan en un lugar y evolucionen es necesario el
aislamiento.
Los mecanismos de aislamiento por tanto son procesos que aseguran la conservación de las
características de las especies. Su aparición determina la formación de especies distintas.
El aislamiento puede originarse por las siguientes formas:

Aislamiento geográfico: se da cuando una población se divide por una barrera física (océano,
montañas, mares, carreteras, praderas recién formadas, ríos o desiertos), evita que los miembros
de dos poblaciones puedan tener contacto unos con otros.

Aislamiento reproductivo: es la incapacidad de que los organismos se crucen entre sí; ya que
estos organismos pertenecen a razas o subespecies (poblaciones de especies originales que han
llegado a ser diferentes por un aislamiento geográfico), por lo cual no pueden producir una
progenie fértil.

44
Biología X y XI 2013

Juan José Mora Vargas

3 COMPETENCIA: La competencia es una interacción entre los seres vivos de un mismo nivel
trófico (nivel en el que se sitúan los seres vivos dentro de una cadena alimenticia) de la cadena
alimenticia (serie sucesiva de organismos a través de los cuales se transfiere la energía Sol, desde
su fuente final en una planta a los organismos de un ecosistema, cada organismo come al
precedente y es devorado por el miembro siguiente)
Existen dos tipos de competencia: inter específica (entre especies) o intra específica (dentro de
la misma especie).
4-RADIACIÓN ADAPTATIVA: Supone que las especies descienden de un antepasado en común
, por lo que una especie superior genera muchas especies o individuos con particularidades entre
si

EVIDENCIAS DEL PROCESO EVOLUTIVO: 4pts
10 Analizar la historia de la vida con base en las principales evidencias del proceso evolutivo y las teorías
acerca del origen de las especies
PALEONTOLÓGICAS: La paleontología es una rana de la geología que estudia a los fósiles
(cualquier muestra de vida perteneciente a otra época pasada: huesos, conchas, dientes, tejidos
duros de vegetales y animales).

EMBRIOLOGÍA: La comparación de los embriones de los organismos permite deducir si
provienen de un mismo ancestro. Estas semejanzas en el desarrollo embrionario, según se cree en la
actualidad, demuestran que las etapas tempranas del desarrollo de los animales vertebrados.

45
Biología X y XI 2013

Juan José Mora Vargas

BIOQUÍMICAS: Con las nuevas tecnologías de la biología molecular es posible comparar la
afinidad del código genético de las especies. Las semejanzas y diferencias entre un organismo
puede realizarse a través de estudios de la estructura molecular.

ANATÓMICAS: La anatomía es otra herramienta que permite detectar semejanzas y
deferencias entre los organismos.

EXTINCIONES : Se debe a la desaparición de una especie que habitaba en un lugar determinado
ejm los dinosaurios.

11-Analizar

las diferentes Teorías del origen de vida, con base en las principales evidencias del proceso
evolutivo y las teorías acerca del origen de las especies.
TEORÍAS O POSTULADOS SOBRE EL ORIGEN DE LA VIDA:(4pts) En relación con la

explicación de cómo se originó la vida en el planeta Tierra existen diferentes posiciones:
COSMOZOICA O PANSPERMIA: También se le conoce como hipótesis de la experimentación.
Propone que la vida se originó a partir de formas que provienen de otros lugares del Universo
(Cosmos).

La forma mediante la cual la vida llega a la Tierra fue utilizando mecanismos de

transporte como el polvo espacial, meteoritos, cometas, planetoides o asteroides. Fue desechada
por investigaciones realizadas por Luis Pasteur, que concluyeron que la vida proviene de la vida.

46
Biología X y XI 2013

Juan José Mora Vargas

GENERACIÓN ESPONTÁNEA:

Propone que los seres vivos pueden originarse en cualquier

momento y en cualquier lugar a partir de materia no viviente. En la antigüedad los científicos
creían que la basura originaba las moscas, y que el alimento abandonado producía gusanos.

ORIGEN QUIMIOSINTÉTICO:

Considera que los seres vivos se originaron por medio de

procesos químicos a partir de materia no viviente (sustancia inanimada); fue promovida por
Osparin, Haldane y Beuter.
-

Formación de molécula orgánicas simples (monómeros) a partir de sustancias presentes en la

atmósfera y el océano, por medio de radiaciones ultravioleta y energía radiante.
-

Formación de moléculas orgánicas complejas (polímeros) a partir de moléculas orgánicas

simples (monómeros).
-

Formación de conglomerados prebióticos o protecélulas con una composición química definida

e identidad propia, esto ocurrió por la polimerización de los polímeros.
Los seres vivos se desarrollaron en un medio sin oxígeno y en mares de agua con muchas
moléculas orgánicas, obtuvieron energía por procesos anaeróbicos. Los primeros organismos
fueron heterótrofos, ya que había mucho alimento en el medio, pero al agotarse los alimentos
se convirtieron en autótrofos, produciendo sus propias moléculas orgánicas por procesos
fotosintéticos o quimio sintéticos.

47
Biología X y XI 2013

Juan José Mora Vargas

TEORÍAS SOBRE EL ORIGEN DE LAS ESPECIES: 4PTS
TEORÍA DEL EQUILIBRIO PUNTEADO:

En 1972, NilesEldredge y EstephanJanGould,

propusieron una teoría de la evolución que explicaba las lagunas que hay en el registro fósil,
sugirieron que esas lagunas eran reales y que había muy pocas formas intermedias, a medida que
evolucionan las especies. En su opinión una especie puede mostrar poco o ningún cambio durante
el año.
TEORÍA DEL USO Y DESUSO DE LOS ÓRGANOS: Esta posición fue defendida por Jean
BaptisteLamark (1744-1828). Para él la formación de una especie es muy lenta y requiere de mucho
tiempo; por lo cual, el proceso parece imperceptible, las especies existentes en la naturaleza, no
son perpetuas, existen en intervalos determinados de tiempo.
El medio ambiente (calor, luz, humedad, etc.) ejerce una influencia directa sobre los seres vivos,
como consecuencia de esto aparecen necesidades y variaciones en la conducta de los organismos.
Si las condiciones actúan durante mucho tiempo los animales adquieren nuevas conductas; al
mismo tiempo, el órgano que emplean excesivamente se desarrolla con más fuerza, mientras que el
órgano menos usado se atrofia poco a poco.
TEORÍA DE LA SELECCIÓN NATURAL:

En el siglo XIX, Charles Darwin (1809-1882), propuso

y fundamentó una teoría científica sobre el origen de las especies.

Descubrió las fuerzas

motrices de la evolución y explicó bajo el punto de vista materialista, el origen y el carácter
relativo de la adaptación, como resultado solamente de la acción de leyes naturales, sin la
intervención de las fuerzas sobrenaturales.

Dicho en otras palabras,

la selección natural

consiste en que sólo los individuos mejor adaptados al medio son los que sobreviven si hubiese un
cambio en las condiciones del medio
Dicha teoría se resume así:
-

Los seres vivos de una misma especie no son idénticos entre sí
La falta de espacio vital, para reproducirse y la competencia para obtener alimento, agua;
originan la lucha por la existencia.
Los caracteres, que hacen que estos seres vivos triunfen, son hereditarios.
Paralelamente a la selección natural coopera la selección sexual.
En cada generación solamente sobreviven los que están mejor adaptados.

MUTACIONISMO:

En 1900, fueron redescubiertas las leyes de la herencia, la cuál ofrece

argumentos para cuestionar el planteamiento Darwiniano. Cuando se indagó que los seres vivos,
además de variar de una manera gradual, continua y poco intensa, pueden hacerlo de una manera
rápida, brusca y discontinua, mediante las mutaciones, se propuso un nuevo paradigma evolutivo:
el mutuanismo.

Entre los principales mutacionistas estaban Hugo Vries, W. Batezon y T. H.

Morgan
De acuerdo con esta posición, el avance evolutivo y la aparición de nuevas especies, se producen
cuando una mutación (cambio brusco) favorable aparece reemplazando a su válido predecesor,
siendo transmitido de una generación a otra. Esta modificación se produce en el ADN.

48
Biología X y XI 2013

Juan José Mora Vargas

Los argumentos que llevan a la caída del mutacionismo no se deben a que no es necesario que los
genes surjan de nuevo por mutaciones, y aunque los individuos de algunas poblaciones se
reproducen sexualmente, no todos son genéticamente idénticos.
TEORÍA SINTÉTICA:

Esta teoría es el producto de la conjunción de una serie de

planteamientos e hipótesis que viene a dar una nueva dimensión a la propuesta por Darwin
(Selección

Natural

)

y

las

propuestas

de

Vries

(Mutacionismo)

en

su

tiempo.

ThedosiusDobzhansky, contribuyó ha aumentar el conocimiento sobre la microevolución,
utilizando evidencias experimentales sobre genética y la contrarrestó con los postulados teóricos
acerca de la evolución.
Dobzhansky demostró que el Dawinismo y los hallazgos de la genética son compatibles; las nuevas
especies normalmente se originan mediante la evolución de diferentes genes, en poblaciones
reproductivamente aisladas de alguna especie parental.

Así, estas especies llegan a ser tan

diferentes que no pueden reproducirse con la población parental y se establecen como especies
distintas.
Propone que las mutaciones adquiridas por los individuos son las que permiten en algunos casos
hacerle frente a los cambios que se den en las condiciones del medio.
Descubrió que las especies de mayor éxito tienden a poseer una gran variedad de este tipo de
genes que aportan a la especie en su conjunto una diversidad genética que le permite adaptarse
mejor a los cambios ambientales
EJERCICIOS TEMA 5
1-Analice los siguientes textos relacionados con fuerzas elementales de la evolución.

I.

Dentro de las pequeñas poblaciones endogámicas, los heterocigotas tienden a desaparecer y, aumentar la población para un
alelo u otro por intervención de factores casuales más que por selección. En esta forma puede producirse acumulación de
ciertos caracteres perjudiciales con eliminación subsiguiente del grupo que los posee.

II.

Cuando una especie se expande continuamente, las poblaciones que habitan en los límites del territorio, al invadir nuevas
áreas, es posible que sean muy pequeñas, y con el tiempo se llegan a diferenciar genéticamente del grupo principal de la
población.

III.
IV.

Ocurren al azar en forma espontánea y con una frecuencia relativamente estable para un determinado locus.
Corresponde a un cambio súbito y permanente en la información contenida en la molécula de ADN.

A) I y II.
2-

¿Cuáles se refieren a desplazamiento genético al azar?
B) I y IV.
C) II y III.

D) III y IV.

Analice la información de los recuadros referentes a las fuerzas elementales de la evolución.
M.
I. MIGRACIÓN
GENÉTICA

Es un cambio en la estructura del material genético de un ser vivo. Puede producirse como resultado de
cambios en uno de los genes o de variaciones en la estructura de varios cromosomas.
P.

Consiste en la introducción de nuevos genes en una población; un ejemplo lo constituye el desplazamiento
de individuos de otras poblaciones, que aunque sean de la misma especie, tienen una condición alélica
distinta.
¿Cómo se asocia correctamente la información de los recuadros?
A)I M, II M.
B) I P, II M.C) I M, II P.
D) I P, II P.
II. MUTACIÓN

49
Biología X y XI 2013

Juan José Mora Vargas

3-Analice los siguientes textos, relacionados con fuerzas elementales de la evolución.

I.

En el sentido genético, implica que los organismos (sus gametos o semillas) que van de un lugar a otro se entrecruzan con los
individuos de la población a la que llegan.

II.

Cualquier cambio heredable del material genético que aparezca espontáneamente; es decir, que no surja por una
recombinación del material preexistente.

III.

Las frecuencias génicas pueden cambiar por razones puramente aleatorias.

¿Cuál o cuáles corresponden a mutación
A) I y III.
4)

B) II y III.C)I solamente.

D) II solamente.

Analice las siguientes afirmaciones relacionadas con las fuerzas elementales de la evolución.

I.

Disminuye considerablemente la variabilidad, cuando se alteran las frecuencias de los genes en la población, debido a un
acontecimiento aleatorio.

II.
III.
IV.

Aumenta la variabilidad de las poblaciones a la que llegan nuevos genes.
Se sucede un flujo de genes entre poblaciones de la misma especie.

Actúa solamente sobre poblaciones pequeñas.
¿Cuáles se refieren a la migración genética
A) I y III.

B) I y IV.

C) II y III.

D) III y IV.

5-Lea los siguientes textos relacionados con fuerzas elementales de la evolución.

I.
II.
III.

El ambiente selecciona a aquellos individuos que se encuentran mejor adaptados para sobrevivir.

IV.

Hacia finales de la última glaciación, muchas especies de organismos pertenecientes a poblaciones reducidas,
estuvieron al borde de la extinción. Aquellas especies que lograron sobrevivir perdieron la mayor parte de la
variabilidad genética de sus poblaciones.

Esta fuerza produce cambios evolutivos en poblaciones pequeñas y provoca la desaparición de alelos.
Los cambios espontáneos y permanentes en el material genético de los individuos constituyen una fuente de
variabilidad genética para la población.

¿Cuáles se refieren a desplazamiento genético al azar?
A)

I y II.

B) II y III.

C) II y IV.

D) III y IV.

6-. El contenido de los recuadros se refiere a patrones evolutivos que determinan especiación.

M.

Radiación adaptativa.

N.

Competencia.

O.

Aislamiento.

I.

Es la formación de muchas especies nuevas a partir de un único ancestro, las cuales son capaces de invadir nuevas zonas por
poseer una característica clave.

II.

Si dos poblaciones son diferentes a tal grado que desde el punto de vista genético, sea difícil o imposible el apareamiento,
entonces debe haber un flujo de genes relativamente bajo entre ellos, que conduce a la especiación.

III.

Es la interacción entre individuos de la misma especie o de especies diferentes que utilizan el mismo recurso, éste suele estar
en cantidad limitada. Entre los muchos recursos se encuentran el alimento, el agua, la luz, el espacio vital, los sitios de
anidación o las madrigueras.
¿Cómo se asocia el contenido de los recuadros?
A)

I M, II O y III N.

B) I N, II O y III M.

C) I N, II M y III O.

50

D)I M, II N y III O.
Biología X y XI 2013

Juan José Mora Vargas

7- Analice la siguiente información relacionada con especiación.
Un ejemplo probable de evolución es el pájaro dodo. Una tormenta violenta pudo haber transportado varios pichones desde Asia
hasta Mauricio, una isla remota en el Océano Índico. En esta isla, donde había poca competencia, probablemente prosperó una
población pequeña de estas aves. Las mutaciones en esta población fueron diferentes a las que se sucedían en el continente. La
selección natural favoreció características diferentes a las del continente. Con el tiempo, la evolución originó una nueva especie: el
dodo.
¿Con cuál patrón evolutivo se relaciona?
A)

Deriva genética, debido a que se altera la frecuencia de la población de dodos.

B)

Aislamiento geográfico, que le impidió reproducirse con la especie continental.

C)

Competencia presente en la isla, debido al escaso número de depredadores.

D)

Radiación adaptativa que dio origen a muchas especies del pájaro dodo.

8-Analice la siguiente información acerca de patrones evolutivos que determinan la especiación:

A.

Variabilidad

B.

Aislamiento

C.

1.
2.
3.

Barreras geográficas provocan la formación de subespecies de una misma especie.
Características diferenciales que presentan los individuos de una misma especie.
Existe cuando hay una limitación que impide que los organismos de una población particular
puedan cruzarse con el resto de su especie.
Interacción por la limitación de comida y el espacio vital, que conlleva a una proliferación de
nuevas especies.

Competencia

4.

¿Cuál es la forma correcta de asociar la información?
A)
9-

A1, A2, B3 y C4.

B) A2, B1, B3 y C4.

C) A3, B4, C1 y C2.

D) A4, B3, B4 y C1.

Analice cuidadosamente el siguiente texto que se refiere a factores que inducen la formación de especies:
La formación de dos o más especies a partir de una sola, requiere diversas formas de aislamiento entre las diversas
subpoblaciones. Los pinzones de Darwin ilustran este punto, la ausencia de competidores y de depredadores en las islas
Galápagos no solo suministró una presión de selección muy relajada al ave ancestral que llegó a las islas, sino que además el
aislamiento relativo y la separación de las diversas islas permitieron el establecimiento de razas distintas. Una especie de
pinzón que habita en la isla del Coco, situada 161 kilómetros al nordeste de las islas Galápagos, ilustra la importancia del
aislamiento geográfico de distintas razas en el surgimiento de nuevas especies. En las islas Galápagos se originaron trece
especies diferentes. En la isla del Coco no ocurrió tal diversificación por ser una isla única, existiendo en la actualidad una sola
especie de pinzón.
De acuerdo con la información anterior, ¿cuál opción contiene la afirmación verdadera?
A)
B)

En las islas Galápagos las diversas especies de pinzones se producen a partir de competencia con otras especies.
La producción de una sola especie de pinzón en la isla del Coco es producto de barreras geográficas dentro de la
isla.

C)

La diversidad de especies de pinzones en las islas Galápagos, es producto del aislamiento y la separación entre las
islas.

D)

En la isla del Coco, se muestra una alta competencia por espacio físico y alimento.

51
Biología X y XI 2013

Juan José Mora Vargas

10- Los siguientes textos se refieren a patrones evolutivos que determinan la especiación:
I.

II.

III.

En la región del valle de la Muerte, en California, a finales de la última glaciación, se formaron grandes lagos
interconectados, los cuales fueron poblados por una o más especies de peces. Al retroceder los glaciares y hacerse más
seco el clima, el nivel de los lagos disminuyó, dejando lagunas aisladas. En la actualidad hay numerosas especies, pero cada
una se restringe a una sola laguna.
Las flores de dos especies de Solanun en México son muy similares en regiones donde viven una u otra, pero en áreas en
que su distribución se superpone existe notable diferencia en el tamaño de las flores, debido a esta diferencia las flores son
polinizadas por distintas abejas.
El cultivo de poblaciones de dos especies de Paramecium; P. aurelia y P caudatum en tubos de ensayos diferentes permitió
la multiplicación con rapidez hasta alcanzar una población considerable. Sin embargo cuando las dos especies se cultivaron
juntas, con una cantidad de alimento limitado, al cabo de 16 días, solo P. aurelia prosperó.

De los textos anteriores, ¿ cuál o cuáles se refieren a aislamiento geográfico?
A)

III solamente.

B) I solamente.

C) II y III.

D) I y II.

11-Analice los siguientes textos que se relacionan con patrones evolutivos que determinan la formación de especies:
I.
II.
III.
IV.

Los individuos de una población presentan variación en sus rasgos. Algunos de estos rasgos elevan las probabilidades de
sobrevivencia del individuo y su capacidad reproductiva.
Todos los individuos de una población comparten por igual los recursos limitados, de modo que en caso de alta densidad
poblacional ninguna de ellas obtiene una cantidad adecuada.
Proceso mediante el cual dos poblaciones se separan en virtud de factores geográficos, ecológicos, de comportamiento,
reproductores o genéticos.
Las aguas de los mares y océanos hacen imposible la unión entre organismos separados de la misma especie.

De los textos anteriores, ¿cuáles de ellos se refieren al AISLAMIENTO como un patrón que determina la especiación?
A) I y II.
B) I y IV.
C) II y III.
D) III y IV.
12- Considere los textos del recuadro que se relacionan con evidencias evolutivas.

I.

Miles de pruebas con diferentes animales han revelado las semejanzas fundamentales entre las proteínas sanguíneas de los
mamíferos.

II.

Bajo circunstancias especiales, los restos de un organismo han quedado incluidos en un material que los aísla y protege de la
acción combinada de agentes mecánicos y biológicos destructivos, aun así, las partes blandas, salvo excepciones desaparecen;
siendo las más duras las que se conservan a través del tiempo.
Los textos I y II se refieren a las evidencias denominadas, respectivamente
A)embriológica y paleontológica. B) bioquímica y paleontológica. C) bioquímica y anatómica. D) anatómica y anatómica.

13- Los siguientes textos se relacionan con evidencias del proceso evolutivo.
I.

Constituyen un registro material encontrado en rocas sedimentarias de los animales que vivieron en épocas pasadas y
proporcionan información sobre el sitio y la época en que vivieron.

II.

La comparación de los detalles estructurales de cualquier sistema o aparato entre los diversos miembros de un filum
determinado revela una semejanza básica de la forma.

¿Cuáles son los nombres de las evidencias?
A) Embriológica y anatómica.

B) Embriológica y bioquímica.

C)Paleontológica y anatómica. D) Paleontológica y bioquímica.

52
Biología X y XI 2013

Juan José Mora Vargas

14- Los siguientes textos se relacionan con evidencias del proceso evolutivo.

I.

Se fundamenta en que aquellos seres que provienen de un mismo ancestro, presentan estructuras semejantes durante la vida
fetal.

II.

Se ha descubierto que de todos los tipos de sangre de primates, la de los lemúridos es la que se asemeja más a la sangre
humana, pues al cambiar sueros de estas sangres producen menos reacción de rechazo.
¿Cuáles son los nombres de las evidencias evolutivas a los que se refieren los textos I y II respectivamente?
A) Embriológica y anatómica.
B) Embriológica y bioquímica. C) Paleontológica y anatómica. D) Paleontológica y bioquímica.

15- La siguiente información

se refiere a una hipótesis sobre el origen de la vida.

En la Tierra primitiva, la atmósfera en interacción con el agua formadora del caldo vital, permitieron la formación de los
componentes moleculares de la vida. Estos componentes darían inicio a los procesos bioquímicos evolutivos generadores de las
primeras células hasta los diferentes organismos que han vivido y viven en este planeta.

La información anterior está relacionada con la hipótesis denominada
A) Panspermia.

B) Creación divina.

C) Origen quimio sintético. D) Generación espontánea.

16- El siguiente texto es un aporte a las hipótesis del origen de la vida
Propone que la vida proviene de ambientes extraterrestres y que el medio de transmisión fueron meteoritos o polvo espacial.
El texto anterior se relaciona con la hipótesis denominada

A)

Panspermia.

B) Creación divina.

C) Origen quimiosintético.

D) Generación espontánea.

17-Lea el siguiente texto relacionado con una hipótesis sobre el origen de la vida.
El concepto de que los primeros seres vivos se originaron de sustancias inanimadas fue sugerido por primera vez por J.
Haldane y R. Beutner a partir del siglo XVII. Esta hipótesis se mantuvo vigente durante muchos años como la única
forma de explicar el origen de la vida, hasta que Francisco Redi en 1668 aportó evidencias en contra de esta hipótesis y
posteriormente con los experimentos de Louis Pasteur 1861 quedó completamente descartada.

¿A cuál hipótesis se refiere?
A) Cosmozoica.

B) Quimiosintética.

C) Experimentación.

53

D) Generación espontánea.
Biología X y XI 2013

18-

Juan José Mora Vargas

El siguiente texto se refiere a una hipótesis sobre el origen de la vida:

En 1953 los investigadores Miller y Urey crearon en el laboratorio las condiciones que se piensa tenía la Tierra hace unos 3000 millones
de años cuando se calcula que surgieron las primeras formas de vida. A partir de una mezcla de vapor de agua, metano, amoníaco e
hidrógeno gaseoso que simulaba la atmósfera primitiva y descargas eléctricas, se pudieron formar compuestos orgánicos simples. Esto
constituye una importante evidencia a favor de la hipótesis que sugiere el origen de los seres vivos a partir de sucesivas etapas en
donde compuestos inorgánicos originaron sustancias orgánicas y finalmente se originaron los primeros organismos unicelulares.
La hipótesis que describe el texto recibe el nombre de
A) Cosmozoica.

B) Quimiosintética.

C) Experimentación.

D) Generación espontánea.

19-Considere el siguiente texto relacionado con teorías sobre el origen de las especies.
Según esta teoría, las características que resultan positivas para los organismos, son favorecidas y permanecen a través de las
diferentes generaciones permitiendo la supervivencia de los organismos más aptos, es decir que se encuentran en mejores condiciones
para enfrentar el ambiente.
¿A cuál teoría se refiere?
A) Uso y desuso de los órganos. B) Equilibrio puntuado.

C)Selección natural.

D)Mutacionismo.

20-Lea el siguiente texto sobre teorías del origen de las especies.
Con los inicios del siglo XX, T. Dobzhansky propuso una nueva teoría sobre la evolución de las especies,
incorporando el conocimiento sobre las leyes de la herencia propuestas por Gregorio Mendel en el siglo XIX a la
teoría propuesta por Darwin y Wallace en 1959.

¿Con cuál teoría se relaciona el texto anterior
A) Mutacionismo.
B) Teoría sintética. C) Equilibrio puntuado. D) Uso y desuso de órganos
21-El contenido del recuadro se refiere a una teoría sobre el origen de las especies.
Los organismos poseen un instinto interno que les lleva a su propio perfeccionamiento.
Los organismos generan nuevas necesidades cuando se producen cambios en el ambiente. Esta característica determina que se
vean obligados a utilizar ciertos órganos en mayor o menor medida, o incluso a no utilizarlos, lo que provoca que estos órganos
sufran formación, desarrollo, atrofias o desaparición; finalmente por efecto de estas variables se producen cambios o alteraciones
en su constitución.
La función crea el órgano. Las alteraciones o cambios, adquisiciones o pérdidas, son heredables.
¿Cuál es el nombre de la teoría?
A)Uso y desuso de los órganos.B)Equilibrio puntuado.C)Selección natural.

54

D) Mutacionismo.
Biología X y XI 2013

Juan José Mora Vargas

TEMA BIODIVERSIDAD
Analizar la necesidad de inventariar la riqueza biológica

REINOS BIOLÓGICOS (5pts)
CARACTERISTICA/REINO
ORGANIZACIÓN CELULAR

MONERA
SON PROCARIOTAS

PROTISTA
PLURICELULARES SIMPLES

FUNGI
EUCARIONTES

PLANTAE
AUTOTROFOS

NUMERO DE CELULAS

UNICELULARES

UNICELULARES

UNICELULARES

MULTICELULARES

REPRODUCCIÓN
MOVIMIENTO

ASEXUALMENTE
CARECEN DE
MOVIMIENTO
FOTOSINTETICA

ASEXUALMENTE
SE MUEVEN MEDIANTE
LOCOMOCIÓN
ABSORCIÓN,AUTOTROFOS
Y HETEROTROFOS
PROTOZOARIOS,
CILIADOS,FLAGELADOS Y
SARCODINOS

SEXUAL Y ASEXUAL
SON INMOVILES

SEXUAL Y ASEXUAL
SIN MOVIMIENTO
SOLO POR ESPORAS
FOTOSINTETICA

NUTRICIÓN
CLASIFICACIÓN

BACILOS, COCOS,
ESPIRILOS

FLAGELADOS

CILIADOS

BACTERIA Y CIANOBACTERIA
55

ABSORCIÓN,
HETEROTROFOS
VENENOSOS Y
COMESTIBLES

SARCODINOS

VASCULARES,NO
VASCULARES,ETC

HONGO

ANIMALIA
EUCARIOTICOS
MULTICELULARES
MULTICELULARES
MUY AVANZADOS
SEXUAL
SON DE MOVIMIENTO
MUY EVIDENTE
HETEROTROFA POR
INGESTIÓN
VERTEBRADOS E
INVERTEBRADOS
Biología X y XI 2013

Juan José Mora Vargas

PLANTAE

ANIMALIA
Ejercicios TEMA 6
1-

La siguiente descripción se refiere a un ser vivo de un reino biológico.

La oreja de palo, es un organismo que habita sobre los troncos de los árboles, el micelio de este
organismo maduro se extiende por la corteza del árbol.

¿Cuál es el nombre del reino al que pertenece la oreja de palo?
A) Fungi.

B) Protista.

C) Plantae.

D) Animalia.

2- La siguiente representación y características se relacionan con un ser vivo.

Dinoflagelado

Es unicelular.
Organismo eucariótico.
Posee un flagelo.

¿A qué reino biológico pertenece?

A) Fungi.

B) Protista.

C) Plantae.

56

D) Animalia.
Biología X y XI 2013

3-

Juan José Mora Vargas

Considere la descripción del recuadro relacionado con un ser vivo.

Las briófitas son organismos multicelulares, fotosintéticos que carecen de raíces, tallos y hojas verdaderas, pero presentan
estructuras parecidas a raíces, llamadas rizoides, que anclan a las briófitas al suelo. Las estructuras similares a hojas, son de una
célula de espesor y están adaptadas para absorber agua rápidamente.
¿Cuál es el reino biológico al que pertenecen la briófitas?
A) Fungi.

B) Protista.

C) Plantae.

D) Animalia.

4-La siguiente descripción se refiere a un reino biológico.
Son seres vivos constituidos por células vivas sencillas, los que carecen de un núcleo rodeado por membrana, tampoco presentan
mitocondrias, cloroplastos, retículo endoplasmático ni complejo de Golgi.
¿Según Whittaker, cuál es el nombre del reino biológico al que pertenecen los organismos descritos?
A)

Monera.

B) Protista.

C) Plantae.

D) Animalia.

5-El contenido del recuadro se refiere a un paramecio.

Ser vivo unicelular, posee organelas membranosas y varios
núcleos rodeados por membranas.

Según la clasificación de Whittaker, el paramecio pertenece al reino biológico denominado
A)

Monera.

B) Protista.

C) Plantae.

D) Animalia.

6-La información de los recuadros se refiere a seres vivos de diferentes reinos biológicos:
I.

II.

Organismos eucariontes y
heterótrofos.

III.

Se fija al sustrato por medio de
hifas.

Fotosintético y multicelular.

Según la taxonomía de Whittaker, ¿en cuáles reinos biológicos se clasifican los seres vivos representados en los recuadros
anteriores?
A)I protista, II fungi, III plantae. B) I monera, II plantae, III fungi. C) I animalia, II fungi, III plantae.D) I animalia, II plantae, III plantae.

7-Lea cuidadosamente la siguiente información de los recuadros referentes a características de dos reinos biológicos:
I.




II.

Constituido por individuos heterótrofos y autótrofos.

Presenta formas unicelulares y coloniales con células que 
carecen de núcleo definido.

Contienen ribosomas.

Algunos son unicelulares y otros multicelulares.
Algunos se fijan al sustrato por medio de hifas.
Todos son heterótrofos.

La información de los recuadros anteriores se refiere a los reinos biológicos denominados
A)

I monera y II fungi.

B) I animalia y II fungi. C) I protista y II monera.

57

D) I plantae y II monera.
Biología X y XI 2013

Juan José Mora Vargas

TEMA 7 HOMEOSTASIS EN LOS SERES VIVOS (6pts

13-Analizar el equilibrio del cuerpo humano, los factores que lo alteran, enfermedades
y su prevención.
HOMEOSTASIS
Regula el ambiente interno para mantener una condición estable y constante. Los múltiples ajustes
dinámicos del equilibrio y los mecanismos de autorregulación.Por homeostasis se debe entender la
tendencia de los seres vivos a mantener un medio interno constante.
MECANISMOS HOMEÓSTATICOS
 Retroalimentación negativa:
 son una serie de actividades fisiológicas que procuran mantener las concentraciones internas
constantes, conservando la homeostasis, al resistirse al cambio, si ocurre el cambio en el medio
interno, se dispara una respuesta que tiende a contrarrestarlo y a restaurar y mantener las
condiciones hacia una valor determinado. Ejemplo es el mecanismo para mantener la
concentración de al glucosa, O2, CO2, H2O, de los iones de Na1+, Ca 2+, H1+ y otros.
 Retroalimentación positiva: un cambio en el medio interno inicia una respuesta que intensifica el
cambio del sistema, se promueven eventos para lograr un fin específico, no crea estabilidad sino
inestabilidad. La señal inicial genera mayor desviación
 TERMOREGULACIÓN MECANISMOS REGULADORES DE LA TEMPERATURA: Los
cambios bruscos (subir o bajar) de temperatura corporal pueden causar la muerte. Para la
regulación de la temperatura participan el sistema circulatorio, sistema nervioso, sistema
integumentario, entre otros.
 OSMOREGULACIÓN MECANISMOS DE ELIMINACIÓN DE DESECHOS: Para la
eliminación de los desechos participan varios sistemas como el digestivo (desechos sólidos),
urinario (desechos líquidos) y respiratorio (desechos gaseosos). Entre las sustancias que se
desechan están: agua, dióxido de carbono, desechos nitrogenados como ácido úrico y urea

58
Biología X y XI 2013

Juan José Mora Vargas

ENFERMEDADES CAUSADAS POR VIRUS
CAUSAS

HERPES
GENITAL

SIDA

Dengue

Mediante contacto
sexual de una
persona infectada
CAUSADA POR
EL VIH
POR CONTACTO
SEXUAL
TRANSFUCIONES
SANGUÍNEAS
USO Y
COMPARTIR
JERINGAS
Afecta el sistema
inmunológico
Causada por la
picadura del
mosquito AEDES
AEGYPTY

CONSECUENCIAS/Sín
tomas
Brotes en la piel
Yagas
Síntomas parecidos a la
gripe
Cansancio físico
Fiebre
Diarrea
Manchas en la piel

TRATAMIE
NTO
No existe

DENGUE CLASICO Y
HEMORRAGICO
Fiebre , sarpullido, dolor
muscular, diarreas

No hay
tratamiento

No se ha
podido
encontrar

PREVENCIÓN
Abstinencia
Uso del
condón
Fidelidad
Uso de condón
Abstinencia
No compartir
el uso de
agujas
Evitar el
contacto con
fluidos
corporales
Sangre, semen
Eliminar los
criaderos del
dengue

ENFERMEDADES CAUSADAS POR BACTERIAS
CAUSAS
COLERA

SIFILIS

GONORREA

PALUDISMO
O
MALARIA
Protozoarios

CONSECUENCIAS/Síntomas

TRATAMIENTO

PREVENCIÓN

BACTERIA VIBRIO
CHOLERAE
MALA HIGIENE,
PREPARACIÓN DE
ALIMENTOS
AGUA
CONTAMINADA
Mediante
contacto sexual
Bacteria
Trepanoma

DESHIDRATACIÓN
DIARREAS CRÓNICAS
FIEBRE
MUERTE

TOMAR AGUA Y
SUERO

HERVIR EL
AGUA
LAVAR LOS
ALIMENTOS
HIGIENE
PERSONAL

Aparición de manchas en la
piel
Aparición de chancros en
los genitales
Puede transmitirlo la madre
al feto

Antibiótico

Uso del condón
Evitar el
contacto sexual
con personas
que no sea n su
pareja

BACTERIA
NISSERIA G

APARICIÓN DE YAGAS EN
LOS ORGANOS SEXUALES
ARDOR AL ORINAR
DAÑO DE ORGANOS
SEXUALES

ANTIBIÓTCOS

Uso del condón
Evitar el
contacto sexual
con personas
que no sea n su
pareja

Causada por la
picadura del
mosquito
anopheles que
contiene un
plasmodio
(protozoario)

Dolor muscular y huesos
Fiebre
Sudoración
Deshidratación

Toma de agua
Y suero

Eliminar los
criaderos del
mosquito

59
Biología X y XI 2013

Juan José Mora Vargas

ENFERMEDADES CAUSADAS POR OTRO AGENTES
CAUSAS

CONSECUENCIAS/Síntomas

HEPATITIS

Causado por
virus
(hepatovirus)
Aguas y
alimentos
contaminados
Transmisión
sexual

Orina oscura(icteria) color
de piel y ojos amarillos.
Tres tipos A,B,C
Ocurre por un mal
funcionamiento del
hígado.
Dolor de articulaciones ,
abdomen

MENINGITIS

Enfermedad
que afecta la
meninges que
es un tejido
que protege
el cerebro y
medula
Puede ser
causado por
bacteria virus
y hongos
Inflamación de
los pulmones

Fiebre y escalofríos , dolor
de cabeza severo, nauseas
y vómitos, cuello rígido,
Sensibilidad de la luz,
problemas mentales.

NEUMONIA

60

TRATAMIENTO

PREVENCIÓN
Higiene
personal
Lavar y
cocinar bien
los alimentos
Potabilizar el
agua (cloro)
Uso del
condón

Antibióticos
Líquidos
intravenosos

Vacuna
neumococida
Que
las personas
que tienen
contacto
deban recibir
vacunas
Definición

Causas

Consecuencias

Tratamiento

Cirrosis Biología X y XIque afecta el
Enfermedad 2013
Hepátic desempeño del hígado.
a
Tiene complicaciones
como ascititis, aumento
de la presión de los vasos
sanguíneos del hígado .

Alcoholismo Mora Vargas
Hipertensión
Suspender el consumo de
Juan José
prolongado, infección portal,
alcohol ,antibióticos dieta en
por hepatitis,
Insuficiencia renal, proteína
transtorno en el
congestión nasal y
sistema de drenaje
cáncer gástrico
del Hígado.

Ulcera Son erupciones que
Gástrica ocurren en las paredes
del estómago

Bacteria
Cáncer gástrico e
HelicobacterPilori
intestinal
Consumo de tabaco y
Muerte Dolor de
alcohol
estomago

No consumir bebidas
alcohólicas y dejar de
fumarDieta balanceada

Gastriti
s

Inflamaciones en el
revestimiento del
estómago

Bacteria
HelicobacterPilori

No consumir bebidas
alcohólicas y dejar de fumar

Pérdida gradual y
progresiva de los riñones
para concentrar la orina
y conservar los
electrolitos

Alcoholismo y fumar

Insufici
encia
Renal

Dolor y ardor de
estómago

Consumo de tabaco y
alcohol

Dieta balanceada

Destrucción
gradual de los
riñones

Controlar la presión
sanguínea.Controlar el nivel en
la sangre dejar de fumar

Definición

Causas

Rinitis

Inflamación de la
mucosa nasal

Virus Bacterias y alergias Congestión , insuficiencia
respiratoria Picazón
,rinorrea y estornudos

Enfisema
Pulmonar

Lenta dilatación y Fumadores activos y
Dificultad para respirar,
destrucción de los pasivosContaminación e asfixia, incapacidad de
eliminar anhídrido
pulmones
infecciones
carbónico.

Dejar de fumar
Enfermedades
coronarias,
hipertensión ,
cáncer aborto

Arteriosclerosis

Acumulación de
grasas en las
arterias

Hombres mayores de 50 Acumulación de grasas
años, familiares y fumar en las arterias que
impiden el paso de
lípidos

Dieta balanceada,
hacer ejercicio y no
fumar

Cáncer de
Pulmón

Crecimiento de
células
cancerígenas en
los pulmones

Mas común en hombres
que en mujeres

Quimio terapia oral
e inyectada

Fumar

Radio terapia

Obstrucción de la
arteria pulmonar

Coágulos en las piernas
y en la pelvis

Terapia trombolítica

Trombosis
pulmonar

Consecuencias

61

Tratamiento
Biología X y XI 2013

Juan José Mora Vargas

Enfermedades causados por el consumo de sustancias adictivas
Estimulantes:

reducen la sensación de fatiga, incrementan el ritmo del pulso y la

tensión arterial. Las más utilizadas son la cafeína presente en el café, té y bebidas
derivadas de la coca, la nicotina y las anfetaminas.
Anfetaminas: aumentan la sensación de sed y la disminución de hambre y de
sueño, son utilizadas para perder peso.
 Cocaína: produce euforia, estimulación y disminución del apetito, aumenta la
frecuencia cardiaca, eleva la presión sanguínea y dilata la pupila.
 Nicotina: es el componente químico activo del tabaco, es un estimulante
nervioso, favoreciendo la liberación de adrenalina y otras sustancias del
organismo. En sobredosis puede producir convulsiones y muerte. Produce
adicción física y psíquica.
Depresivas: provocan depresión, entre ellas se encuentran:


Alcohol etílico: produce un efecto tóxico y sedante, reduciendo la actividad
del sistema nervioso, puede causar adicción física y emocional (alcoholismo).
 Barbitúricos: reducen la ansiedad y las tensiones.
 Tranquilizante: reducen la ansiedad y las tensiones.
 Opiatos: supresores del dolor, son muchos como el opio, la morfina, la heroína,
la codeína
Morfina: alivia el dolor, provoca sueño, una sensación intensa de bienestar ,causa


adicción física y emocional.
Heroína: alivia el dolor, provoca sueño, una sensación intensa de bienestar ,causa
adicción física y emocional.


Anestésicos: son utilizados para dormir en la sala de cirugía.

Alucinógenos: presentan efecto distorsionado de las percepciones visuales y
auditivas y elevación de las respuestas emocionales
Marihuana: primero produce estimulación, mareo y euforia, después sed y
tranquilidad. Otros refieren aumento del apetito, de la percepción sensorial y
sensación de placer, los efectos negativos es la desorientación, en dosis altas
puede producir visiones.
ENFERMEDADES GENÉTICAS DE IMPORTANCIA EN COSTA RICA


Trisomía del cromosoma 21 o síndrome de Down, presenta características como
ojos rasgados, corta estatura, lengua grande, labios secos y fisurados, cabeza
redondeada, frente alta y aplanada, deformidades cardiacas, una hendidura palmar
transversal, una esperanza de vida corta, anomalías en la cara, manos y otras partes
del cuerpo, niveles de retardo mental, y alta susceptibilidad a ciertas
enfermedades, como la leucemia,
Puede ser consecuencia de la fecundación de un óvulo de 24 cromosomas por un
espermatozoide de 23 cromosomas, aunque a veces puede deberse a un anomalía
generada por el espermatozoide.

62
Biología X y XI 2013

Juan José Mora Vargas

Síndrome de Turner, trastorno de la diferenciación sexual, en donde los individuos
son X0, o sea que les falta un segundo cromosoma sexual, se desarrollan como
mujeres pero con genitales incompletos o inmaduros, el útero es muy pequeño y en
algunos casos faltan los ovarios, amenorrea primaria (ausencia de menstruación),
son estériles, de corta estatura, cuello reticulado y sufren cardiopatías, con cierto
retardo mental.

Labio leporino y paladar hendido: anomalías del desarrollo con una base genética.
La expresividad varía desde hendiduras externas muy ligeras, hasta hendiduras
graves del paladar blando e incluso del paladar duro (cielo de la boca). Es más
frecuente y se expresa con mayor gravedad en varones que en mujeres.

Espina bífida: malformación congénita que consiste en un defecto del cierre de la
columna vertebral durante el desarrollo prenatal. Presenta varios grados de
expresividad desde oculta (no hay signos de anormalidad) hasta abierta (con
trastornos neurológicos graves). El suministro de ácido fólico durante las primeras
semanas del embarazo ayuda a la prevención de la espina bífida en el feto.

Luxación congénita de la cadera: Existen dos variedades de luxación congénita de
la cadera: una es producida por un gene dominante y es más frecuente en hombres
que en mujeres. Consiste en que la cabeza del fémur se desplaza fuera del
acetábulo de la cadera cuando el niño se forma en el útero de la madre, por lo que
ya está presente en el momento del nacimiento. Otra variedad consiste en que el
niño nace con cierta disposición de que ocurra la luxación de la cadera, provocada
por una laxitud en los ligamentos, influye la forma en que se coloca la mantilla al
niño. Tres de cada mil niños la presentan y las áreas de más frecuencia son
Cartago, Los Santos y Turrialba.
Diabetes: es una enfermedad metabólica, se caracteriza por el aporte deficiente de
al hormona insulina por parte del páncreas. Causa un aumento de la glucosa en la
sangre, por encima de los niveles normales, denominado hiperglicemia. Este exceso
debe ser eliminado por los riñones, lo que ocasiona pérdida excesiva de agua y por
consiguiente deshidratación. Existen dos tipos: tipo I o insulino – dependiente:
debida a una respuesta autoinmune del organismo contra las células del páncreas,
encargadas de producir insulina, eso inhibe su secreción, no se a encontrado el gen
específico que la origina y tipo II o no insulino – dependiente: se debe a trastornos
endocrinos o malos hábitos alimentarios, asociados con la obesidad, son personas
muy hambrientas, toman mucho líquido y orinan frecuentemente, pierden peso
aunque coman normalemente, se sienten débiles y sin energía, sufren de visión
borrosa y fuertes dolores estomacales.

Síndrome de Klinefelter, presenta 47 cromosomas, un cariotipo XXY, son varones
casi normales, sólo que sus testículos son muy pequeños, no producen
espermatozoides, suelen ser muy altos, con pechos femeniles, con algún retardo
mental.

63
Biología X y XI 2013

Juan José Mora Vargas

Pie Bott: la cual es una deformidad del pie que consiste en que un lado del mismo,
no toca el suelo al caminar, como consecuencia del acortamiento de los músculos y
tendones es más frecuente en hombres que en mujeres.

Cardiopatías: Son defectos del corazón y de los vasos sanguíneos en el momento
del nacimiento. Algunos de estos defectos se producen durante el desarrollo
fetal. La incidencia de las cardiopatías es de uno por ciento, veinte nacidos vivos.
Parálisis cerebral: daño cerebral no progresivo de la función motora, que se
desarrolla antes y durante el nacimiento o poco tiempo después de éste. Puede
deberse a infecciones maternas como la rubéola, radiaciones, anoxia (déficit de
oxígeno), toxemia, diabetes materna, partos prematuros, partos múltiples,
infecciones y tumores cerebrales, traumatismos cerebrales y lesiones vasculares
cerebrales. Se manifiesta por músculos paralizados y rígidos, las extremidades
pierden la movilidad o pueden moverse lenta e involuntariamente, pero pueden
aparecer movimientos violentos, alteraciones visuales, crisis convulsivas y retraso
mental.
EJERCICIOS TEMA 7
Lea la siguiente información referente a un mecanismo homeostático
1- Son una serie de actividades fisiológicas que procuran mantener las concentraciones internas constantes,
conservando la homeostasis, al resistirse al cambio, si ocurre el cambio en el medio interno, se dispara una
respuesta que tiende a contrarrestarlo y a restaurar y mantener las condiciones hacia una valor determinado.
La información anterior se refiere al mecanismo homeostático llamado.
A) retroalimentación negativa B) Retroalimentación Positiva C) inmunidad D) salud
2-Lea la siguiente información relacionado con un mecanismo homeostático
La temperatura de la sangre se detectan células cerebrales que funcionan como un termostato. Estas envían
impulsos a las glándulas sudoríparas para emitir sudor ; la evaporación del sudor humedece la superficie del
cuerpo y reduce la temperatura corporal .
La información anterior se refiere al mecanismo homeostático llamado .
A)

Salud

B) Homeostasis

C) Osmorregulación

D) Termorregulación

3-El contenido del recuadro se refiere a una enfermedad viral.

Síntomas:

 Un brote incluyendo una o varias lesiones o ampollas en el pene, escroto, vagina, cérvix, ano, glúteos y raramente en todo el






cuerpo.
Dolor/malestar alrededor en los genitales, nalgas o las piernas.
Glándulas linfáticas inflamadas en la ingle.
Comezón o ardor al orinar.
Decaimiento.
Fiebre.

¿Cuál es el nombre de esta enfermedad?
A)Síndrome de inmunodeficiencia. B) Herpes genital. C) Sarampión.

64

D) Gripe.
Biología X y XI 2013

Juan José Mora Vargas

4-Analice cuidadosamente las siguientes afirmaciones relacionadas con el síndrome de inmunodeficiencia
adquirida:

I.
II.
III.

Es producida por el retrovirus VIH.
Se transmite por la sangre o por contacto sexual con personas portadoras.
Se manifiesta por una pérdida de peso importante y constantes contagios con agentes infecciosos.

¿Cuál o cuáles se refiere(n) a factor(es) que afecta(n) la homeostasis del ser huma
A) I y III.

B) II y III.

C) I solamente.

D) II solamente.

5-Lea cuidadosamente las siguientes afirmaciones que se relacionan con una enfermedad:
Daña el sistema inmunológico destruyendo los linfocitos T.
Las personas afectadas suelen morir en un lapso de varias semanas a unos cinco años, víctimas de diferentes formas de cáncer,
neumonía, y otras infecciones oportunistas.
Las afirmaciones anteriores se refieren a la enfermedad denominada
A) síndrome de inmunodeficiencia adquirida.

B) herpes genital.

C) cáncer.

D) sífilis.

6-Lea cuidadosamente las siguientes afirmaciones referentes a una enfermedad causada por virus :

Aparición de fiebre , dolor de cabeza
Dolores musculares y de articulaciones
Vómitos y naúseas
Las afirmaciones anteriores son síntomas de enfermedad llamada
A) sífilis.
B)Dengue.
C) herpes genital.
D) rubeola
7- Lea cuidadosamente las siguientes proposiciones relacionadas con una enfermedad:
Evitar las transfusiones de sangre contaminada.
Divulgar a los individuos sexualmente activos la importancia del “sexo seguro”, que
puede ayudar a limitar el avance de la epidemia.
Ofrecer gratuitamente condones a los individuos sexualmente activos y agujas
hipodérmicas estériles a drogadictos.

Las proposiciones anteriores constituyen medidas preventivas contra la enfermedad denominada
A) cáncer.

B)diabetes.

C) herpes genital. D) SIDA

8-Las características descritas recuadro se refieren a una enfermedad bacteriana.
Enfermedad intestinal aguda caracterizada por un comienzo repentino de diarrea acuosa y profusa,
vómitos ocasionales, deshidratación rápida, acidosis y colapso circulatorio. Son comunes los casos leves
en que solo hay diarrea, particularmente en niños. En los casos graves no tratados el sujeto puede
morir en el término de horas y la tasa de letalidad puede exceder del 50%; con tratamiento apropiado la
tasa es menor del 1%.

Cuál es el nombre que recibe esta enfermedad?
A) Cólera. B)
Tétano.
C) Botulismo.

65

D) Paludismo.
Biología X y XI 2013

Juan José Mora Vargas

9-Las siguientes proposiciones están relacionadas con una enfermedad causada pr una bacteria :
Es causada por una bacteria en forma de espiral que entra a la mucosa de los genitales,
labios o ano o por la glándula mamaria.
Empieza con una úlcera en el sitio de la infección.

¿ A qué enfermedad se refieren las proposiciones anteriores?

A)

Herpes genital.

B) Gonorrea.

C) Sífilis.

D) SIDA.

10- La descripción del recuadro se refiere a una enfermedad bacteriana.
La bacteria denominada nisseriapenetra en el cuerpo mediante secreciones y son llevadas a
todo el organismo . Se forma un chancro oloroso que afecta en mayor cantidad a hombre
que ha mujeres
¿Cuál es el nombre de esta enfermedad?

A)

Herpes genital.

B) Gonorrea.

C) Sífilis.

D) SIDA.

11- El siguiente texto se refiere a una enfermedad producida por un protozoario.
Se transfiere a los humanos mediante un vector (vehículo o agente que transmite una infección). El
mosquito Anopheles es el vector más común de esta enfermedad, que se caracteriza por síntomas
repetitivos; principalmente fiebre, escalofríos y sudores. Es común en los países tropicales.
¿Qué nombre recibe esta enfermedad?
A)Dengue .

B) Gonorrea.

C) Paludismo .

D) SIDA.

12- El siguiente texto se relaciona con una enfermedad causada por otros agentes
Esta enfermedad viral , bacteriana o causada por hongos que afecta el tejido dela corteza cerebral, ocasionando
mareos, pérdida del conocimiento
¿Cuál es el nombre de esta enfermedad?
A) Botulismo.

B) Neumonía

C) meningitis

D) hepatitis .

13-- El siguiente texto se relaciona con una enfermedad causada por otros agentes
Esta enfermedad viral , bacteriana o causada por hongos que afecta las mucosas de las diferentes vías resiratorias

¿Cuál es el nombre de esta enfermedad?
A) Botulismo.

B) Neumonía

C) meningitis

66

D) hepatitis .
Biología X y XI 2013

Juan José Mora Vargas

14- La siguiente información se refiere a características congénitas debidas a alteraciones genéticas:

Surco palmar
transversal.

Pliegue cutáneo
sobre el ojo.

?
Deformidades
cardiácas.

Baja estatura.

La información anterior se refiere a

A)
15-

Diabetes

B) espina bífida. C) síndrome de Down.

D) luxación de cadera.

Lea la siguiente información relacionada con una enfermedad genética:
Trastorno endocrino en el cual la glucosa no se metaboliza normalmente.
Incapacidad de sintetizar insulina.

¿Qué nombre recibe la enfermedad descrita en la información anterior

B)
16)

Diabetes

B) espina bífida.

C) síndrome de Down.

D) luxación de cadera.

Dado el siguiente texto sobre una enfermedad genética.
Trastorno en el cual la médula espinal durante el desarrollo embrionario, no cierra adecuadamente.

¿A cuál enfermedad se refiere el texto anterior

C)

Diabetes

B) espina bífida.

C) síndrome de Down.

D) luxación de cadera.

Tema 8 ECOLOGÍA 6pts

14-Analizar la organización de las diversas formas de vida, su interrelación y la que establecen con los
componentes del entorno y las implicaciones que estas generan.
El funcionamiento de la naturaleza es complejo, lo mismo que su estudio. El hombre trata
de identificar los principios básicos de su organización y reconoce una jerarquía de niveles
que van desde las partículas subatómicas, hasta el alto nivel de organización biológico que
llamamos ecosistema.

67
Biología X y XI 2013

Juan José Mora Vargas

NIVELES DE ORGANIZACIÓN
Comunidad: es un sistema biológico ordenado y coordinado, formado por las distintas
poblaciones que interaccionan continuamente en un área. Ejemplo: El bosque (hormigas,
aves, árboles y demás organismos que lo componen).

Población: conjunto de organismos de la misma especie que viven relacionados en una zona
determinada
Especie: grupo de organismos de un tipo particular que pueden cruzarse y producir una
progenie fértil. Ejemplo: Los lobos.

Ecosistemas, (conjunto de una o más comunidades bióticas y(ABIÓTICAS) su ambiente, en
el que se establece un intercambio de materia y energía mediante las distintas relaciones
que allí se manifiestan.

68
Biología X y XI 2013

Juan José Mora Vargas

Elementos de un ecosistema
Factores vivientes o bióticos componentes vivos y las relaciones entre ellos, como
las cadenas alimenticias, los mecanismos de defensa de los seres vivos y la forma
como el ser humano utiliza algunas características naturales para su
provecho.(plantas, animales, hongos, protozoarios, etc.)
No vivientes o abióticos constituida por todo aquello que carece de vida, como los factores
climáticos; (temperatura, agua, luz y minerales) que rodean al organismo.
Factores que determinan el tamaño de una población
- NATALIDAD: número de nacimientos en la población.

- INMIGRANTES: organismos que llegan de otras poblaciones o los que permanecen en la
población, aumentándola.

- MORTALIDAD: número de muertes de individuos en una población.

69
Biología X y XI 2013

Juan José Mora Vargas

- EMIGRACIÓN: organismos que se mueven hacia afuera de la población, disminuyéndola.
Los elementos de la fase biótica son ordenados según el papel o función trófica que
desempeñan en el ecosistema (nicho), y los factores abióticos por su parte, son separados de
acuerdo con la forma en que afecten la zona física o residencia natural en que se desarrolla
la especie (hábitat).
Relaciones Biológicas de los seres vivos
Relaciones

interespecíficas:

Reacciones que regulan el tamaño de las poblaciones y

conlleva a una influencia neutral, favorables o desfavorable.

Entre estas tenemos:

Neutralismo: En todo ecosistema hay especies de plantas y de animales, que aunque
participan de un mismo ambiente, no establecen entre sí ninguna relación favorable o
negativa.
Ejemplo: El hongo y los árboles de un bosque que crecen en el mismo piso.
Parasitismo: Asociación donde un miembro vive a expensas de otro causándole daño.
Uno se beneficia y el otro se perjudica. El más débil toma alimento del más fuerte. El
parásito es más pequeño que el hospedero. Ejemplo: La garrapata, la solitaria.
Comensalismo: Relación simbiótica en la que un organismo se beneficia y el otro ni se
beneficia ni se perjudica. Comparten luz, nutrientes y agua para satisfacer sus
necesidades fisiológicas.Ejemplo: Las rémoras y el tiburón. La Guaria morada y el
árbol.
Amensalismo; Una de las poblaciones sufre grave perjuicio y la otra no se afecta.
Ejemplo: Microorganismos y raíces en el suelo segregan sustancias tóxicas que
afectan a otras poblaciones.
Mutualismo: Relación simbiótica de la que se benefician ambos organismos.
Ejemplo: Cada especie de higuerón tiene un tipo de particular de avispas para su
fecundación, sino existe esta avispa no forma semilla
Competencia: Compiten por componentes del ambiente que les son necesarios para su
existencia: agua, luz espacio, nutrimentos, abrigo, etc. Se da entre organismos de una misma
especie como entre poblaciones de diferentes especies.
- Camuflaje: Coloración parecida al color del follaje donde habita, utilizada para engañar
al depredador. También utilizan formas en contornos. Se llama también coloración críptica.
Ejemplo La perdiz blanca, la mariposa Kallima
- Mimetismo: Adoptan la forma de una estructura del medio. Ejemplo: La Mariposa Virrey y la
Mariposa Monarca. La Mosca saltadora y el abejorro.

70
Biología X y XI 2013

Juan José Mora Vargas

EJERCICIOS ECOSISTEMAS
1- Lea la siguiente información relacionada con conceptos ecológicos
Grupo de organismos pluricelulares con características estructurales y funcionales similares, en la
naturaleza se reproducen solo entre sí y tienen un ancestro común cercano.
El nombre del concepto ecológico descrito anteriormente se denomina
A)

especie.

B) comunidad.

C) Ecosistema

D) fase abiótica.

2-A la unidad natural interactuante que se establece entre todos los organismos y su medio físico dentro de un área
definida se le denomina
A)

especie.

B) comunidad.

C) Ecosistema

D) fase abiótica.

3.Lea la siguiente información sobre un concepto ecológico.
Asociación de diferentes poblaciones que viven juntas en un hábitat determinado, con algún grado de
interdependencia.
¿Qué nombre recibe el concepto descrito anteriormente?
A)

especie.

B) comunidad.

C) Ecosistema

D) fase abiótica.

4-Lea el siguiente texto sobre un concepto ecológico:
Consiste no sólo en todas las interacciones entre los seres vivos de un lugar determinado, sino también en las
interacciones entre los organismos y su ambiente abiótico.

A)

especie.

B) comunidad.

C) Ecosistema

D) fase abiótica.

5-Lea la siguiente afirmación sobre un concepto ecológico:
Grupo localizado de cierto número de poblaciones de especies diferentes que viven e interaccionan entre sí.
¿Qué nombre recibe el concepto descrito en el texto anterior?
B)

especie.

B) comunidad.

C) Ecosistema

D) fase abiótica.

6-Lea cuidadosamente el siguiente texto relacionado con una variable que determina la densidad en una población:
Se refiere a los individuos que perecen por unidad de tiempo, hay un valor mínimo teórico, que se refiere al número de defunciones
que ocurrirían en condiciones ideales consecutivas más exclusivamente a las alteraciones fisiológicas que acompañan al
envejecimiento. Esta cifra sería constante para una población dada. Las variaciones reales dependerán de los factores físicos del
tamaño, composición y densidad de la población.
¿Cuál es el nombre de la variable a la que se refiere el texto anterior?

A) Inmigración.

B) Emigración.

C) Mortalidad.

71

D) Natalidad.
Biología X y XI 2013

Juan José Mora Vargas

7-Observe cuidadosamente la siguiente figura relacionada con una variable que determina la densidad de una
población:

A) Inmigración.

B) Emigración.

C) Mortalidad.

D) Natalidad.

8-Lea el siguiente texto relacionado con una variable que incide sobre la densidad de una población:

A medida que transcurre el tiempo, nuevos individuos incrementan el tamaño de la población. Así por ejemplo, las aves dej
descendencia, las semillas germinan y muchos seres microscópicos se duplican.
El texto anterior se relaciona con la variable denominada
A) Inmigración.
9-

B) Emigración.

C) Mortalidad.

D) Natalidad.

Lea el siguiente texto relacionado con una variable que incide sobre la densidad de la población de tortuga
verde en Costa Rica:

El número de tortugas está disminuyendo. Se observa una reducción progresiva de la población, que coincide con el aumento en
grado de depredación hacia esta especie. La carne y los huevos de tortuga, son utilizados por los seres humanos desde tiemp
precolombinos.

De acuerdo con el texto anterior, la variable que está afectando la población de tortugas corresponde a
A) Inmigración.
B) Emigración.
C) Mortalidad.
D) Natalidad.
10-Los siguientes textos se relacionan con interacciones entre organismos.

I.

Muchas especies de nemátodos conocidos también como gusanos redondos viven en el interior del tracto digestivo de los
animales alimentándose a expensas de su huésped.

II.

Las garzas bueyeras se ven beneficiadas al estar cerca del ganado debido a que consumen los insectos que salen de la
vegetación mientras pastorea el ganado, pero este último no se beneficia ni se perjudica.
¿Cuál es el nombre que reciben las interacciones?
A) I comensalismo y II competencia.

B) I parasitismo y II comensalismo.

C) I parasitismo y II depredación.

C) I simbiosis y II mutualismo.

72)

Lea las siguientes afirmaciones relacionadas con interacciones entre los seres vivos.

I.

Ciertas especies de aves como los tordos se alimentan de las garrapatas que posee el ganado obteniendo ambas
especies un beneficio, ya que las aves obtienen alimento mientras que el ganado se ve aliviado de las
garrapatas.

II.

Las plantas luchan entre si por obtener luz, agua y nutrientes.

¿Cuál es el nombre que reciben las interacciones que se presentan en estos organismos?
A)I comensalismo y II competencia.

B) I mutualismo y II competencia.

C) I parasitismo y II depredación.

D) I mutualismo y II mutualismo.

72
Biología X y XI 2013

Juan José Mora Vargas

15-Analizar procesos termodinámicos y biogeoquímicos y su determinación en el equilibrio
del ambiente y en el mantenimiento de la vida en el planeta.
FLUJO DE MATERIA Y ENERGÍA EN LOS ECOSISTEMAS 6pts

LEYES DE LA TERMODINÁMICA:
Los sistemas naturales tienden al equilibrio, aunque sea a costa de grandes inversiones de
energía.

Esto ocurre desde el nivel de las reacciones químicas, que deben vencer una

barrera energética para que la reacción proceda, hasta los mecanismos homeostáticos
presentes en los ecosistemas.
Hay dos principios que gobiernan este inmenso trasiego de energía en el Universo, y son tan
fundamentales para entender todos los fenómenos físicos y químicos que ocurren, que son
considerados entre las más importantes leyes de la física, tales principios son los siguientes:
PRIMERA LEY DE LA TERMODINÁMICA: Dice que "la cantidad de energía que existe
en el universo es constante, que la energía no se crea ni se destruye, simplemente se
transforma." Una forma de energía puede convertirse en otra, y no importa cuántas veces
ocurra. Esta ley establece que la energía interna solamente puede variar por el flujo de
energía en forma de calor o trabajo.

El calor puede absorberse por un sistema de su

entorno o desprenderse del sistema y absorberse en el entorno.
SEGUNDA LEY DE LA TERMODINÁMICA: Dice que "Ningún proceso que
implique transformación de energía se producirá espontáneamente, a menos que
ocurra una degradación o cambio de la energía de una forma de mayor concentración
a una de menor concentración o viceversa". Establece que el desorden (entropía) del
universo aumenta siempre.
ENTALPÍA: Función de estado cuya variación mide la cantidad de calor suministrado o
cedida por un sistema cuando evoluciona a presión constante.
ENTROPÍA: Magnitud que determina el grado de desorden que existe en los sistemas
termodinámicos. Implica que de una forma lenta pero consistente el universo se está
disipando cada vez más y más.
CADENAS ALIMENTARIAS Y NIVELES TRÓFICOS:

La trayectoria que sigue la

energía o materia en forma de sustancias nutritivas a través del ecosistema se conoce con el
nombre de cadena alimenticia. Las cadenas alimenticias están formadas por eslabones o
niveles, cada uno de ellos es la base del inmediato superior; el paso de la energía de un nivel
a otro tiene forma piramidal pues en cada eslabón el porcentaje de energía suministrada al
nivel superior es menor, es decir, los consumidores de cada nivel obtienen menos proporción
de la energía capturada por el productor; a cada uno de estos niveles se llaman niveles
tróficos.
1-autótrofos o productores, conformado por las plantas verdes, capaces de
alimentarse por sí mismas. Aquí encontramos a los fotosintetizadores y
quimiosintetizadores

73
Biología X y XI 2013

Juan José Mora Vargas

2- heterótrofos o consumidores, es decir, los que se alimentan de otros. Comprende la
mayoría de las especies animales; en este nivel se observan varias categorías de
acuerdo con el tipo de alimentación. Los consumidores primarios, son todos los
herbívoros, aquellos que se alimentan de las plantas. Los consumidores secundarios,
son los que se alimentan de los consumidores primarios, ejemplo el sapo que se alimenta
de un saltamontes.
Los consumidores ternarios, adquieren su alimento de los consumidores secundarios.
omnívoros, que comprende a las especies que comen tanto materia vegetal como
animal
3- descomponedores, son los que consumen y desintegran la materia orgánica en
descomposición; a estos organismos se les conoce con el nombre de saprófitos e incluyen
varias

especies

de

hongos,

bacterias,

nemátodos,

moluscos,

etc

Ciclos Biogeoquímicos
CICLO DEL NITRÓGENO: Es un ciclo gaseoso, cuyo depósito es la atmósfera. En esta,
se encuentra en forma simple y constituye el 78%.

Sin embargo, todos los seres vivos

requieren nitrógeno combinado con hidrógeno (como el amonio NH 4+) o con el oxígeno
(como NO3). Estas formas combinadas se consiguen en un proceso biológico, conocido con
el nombre de fijación de nitrógeno.

Las formas de nitrógeno orgánico como proteínas,

aminoácidos, ácidos nucleicos y otros, son relativamente escasos en los suelos y en el agua.
Pasos La fijación del nitrógeno:, Nitrificación Amominificación, desnitrificación.

74
Biología X y XI 2013

Juan José Mora Vargas

CICLO DEL CARBONO: Se conoce también como ciclo de la vida, compromete la
litosfera, la hidrosfera y la atmósfera. En la atmósfera existen por encima de cada
hectárea de la superficie de la Tierra unas 13 toneladas de carbono en forma de
dióxido de carbono. Todos los seres vivos eliminan esencialmente, gas carbónico (CO 2)
al respirar, el cual se almacena en la atmósfera.

CICLO DEL OXÍGENO: Este gas es un subproducto del proceso de fotosíntesis y gracias a
él existe gran parte de la vida que conocemos. Es en presencia del oxígeno que ocurre la
degradación de los ácidos que resultan de la glucólisis, principalmente en la cadena de
citocromos o de fosforilación oxidativo; de esta manera se obtiene un gran porcentaje de la
energía celular.

CICLO DEL AGUA:

Es uno de los más grandes y dinámicos ciclos del planeta.

Constantemente el agua se está moviendo desde la atmósfera a la tierra, de ahí al mar y de
vuelta a la atmósfera. Está claro que sin ella, dadas, sus características, no existiría la vida
que conocemos, además de que es un poderoso agente transformador de la faz de la tierra
por su capacidad erosiva y de acumulación de sedimentos. Se llama así al movimiento del
agua de la atmósfera a la tierra o viceversa.

75
Biología X y XI 2013

Juan José Mora Vargas

CICLO DEL FÓSFORO: Es otro elemento clave para los organismos, entre otras razones
porque forma parte de las moléculas de ATP, de ADN y ARN y de las membranas celulares.
Su ciclo es típico de lo que se llama ciclos sedimentarios, debido a que su principal depósito
son las rocas sedimentarias, que se encuentran principalmente en los fondos o lechos
marinos, contrarios a los gaseosos.
El fósforo se encuentra en la naturaleza en forma de fosfatos o de uno de sus análogos,
como iones inorgánicos solubles, fosfato orgánico soluble, fosfato particulado o como
fosfato en forma de mineral, formado parte de una roca o sedimento.
Ocurre lentamente, iniciándose con los fosfatos disueltos en el suelo, provenientes del
efecto de agentes químicos y físicos (agua y viento) erosionan y degradan las rocas,
arrastrándolos hasta donde las plantas lo puedan absorber, generalmente como fosfato
iónico.

CICLO DEL AZUFRE: El azufre forma parte de algunos compuestos que se encuentran en
la atmósfera, tales como el ácido sulfhídrico (H2S) y el dióxido de azufre (SO2), sin embargo
la fuente principal de este elemento para los seres vivos son los sulfatos que se encuentran
en el suelo o en el agua.
Los sulfatos penetran en las plantas, que utilizan el azufre contenido en ellos, para formar
aminoácidos.

76
Biología X y XI 2013

Juan José Mora Vargas

TIPOS DE ECOSISTEMAS
ARTIFICIALES:
Son aquellos modificados por el ser humano, para satisfacer sus necesidades , pueden ser :
Acuáticos: Criaderos acuícolas, embalses, lagunas y acuarios
Terrestres: granjas, urbanizaciones, repastos, campos agrícolas
NATURALES :

son aquellos que tienen poca o casi nada de intervención humana , se

encuentran en un área determinada se dividen en
Terrestres : Bosques
Acuáticos:
Humedales: Ecosistemas de agua dulce y salada que protegen gran cantidad de especies
Costeros :salinas arrecifes de coral,esteros, manglares.
Manglares: Formado por la presencia del árbol de mangle que es un árbol que resiste altas
temperaturas, , poco oxigeno y altas concentraciones de sal, por lo que sus raíces presentan
una serie de poros, su importancia es el sitio de anidación y reproducción de cientos de
especies de animales , peces, aves, moluscos, crustáceos, etc.
Arrecife de Coral: Son ecosistemas tropicales de agua poco profunda formados por un
grupo de animales llamados corales que viven solo en agua salada adheridos a un
sustratositio de anidación y reproducción de peces y crustáceos.
Playas Arenosas y rocosas :Se encuentran una gran diversidad de cangrejos y so aptas para
ell desove de tortugas, por ejemplo playa nancite, Ostional, Grande, hermosa .
Presentan rocas grandes en la orilla la cual permite la reproducción de peces , crustáceos ,
moluscos y otros peces.
Pastos Marinos: Son verdaderas praderas que se encuentran bajo el mar, son las únicas
plantas con flores y frutos,sobre la cual se reproducen caracoles ,algas y sirven de alimento
para animales grandes

77
Biología X y XI 2013

Juan José Mora Vargas

Formaciones Vegetales de Costa Rica
BOSQUES

ALTURA
0a
70msnm

PRECIPITACIÓN
900 y 1700 mm

TC
26 y 28

SABANA Y
MATORRAL
ESPINOSO

0a
70msnm

900 y 1700 mm

26 y 28
°

BOSQUE SEMI –
DECIDUO
ESTACIONAL
SUBMONTANO

0-1000m

1330 a 2000 mm,

23,5°C,
con dos
meses
secos

Entre las especies vegetales tenemos palmera, guácimo,
guanacaste, higuerones, jobo, espaveles. . En la actualidad
se ha transformado en cultivos de caña de azúcar, café y
pastoreo.

BOSQUE HÚMEDO
SIEMPRE VERDE
SUBMONTANO
BOSQUE MUY
HÚMEDO SIEMPRE
VERDE MONTANO
Paramo Sub Alpino

500-1500

3 000 y 5000mm

18 y23

musgos, briófitas, helechos, palmeras, robles, jaules.,
achiotillos y limoncillos.

2400 a
3000

1000 y 2000 mm

12 y 8
°C

Entre la vegetación tenemos arrayanes, robles, magnolias, lorillo

Mas de
3000

1200 a 2000 mm

3°C a 6
ºC, con
mínimas
de 0°C.

BOSQUE DECIDUO

ESPECIES PLANTAS
larga estación seca de seis meses, sobresalen especies como el
Jobo, el cocobolo, el chaperno, el indio desnudo, el guapinol, el
árbol de Guanacaste, el carao, poró, pochote, Cristóbal,
cenízaro, caoba, espavel, ron ron, el roble sábana y corteza
amarilla, cactos, bromelias, piñuelas, cornizuelo, peine de mico.
Los árboles pierden sus hojas en la estación seca, con alturas de
unos 30 metros
presenta plantas con 1,5 a 2 metros de altura, con gramíneas.
Las especies vegetales presente son: jaragua, ciperaceas,
dormilona, escobilla, chan. moriseco, pica pica, nance, jícaro,
cornizuelo, guácimo, madero negro, espavel, guayabón.

Las formaciones vegetales presentes son ciperaceas,
musgos y líquenes, además formaciones herbáceas y
matorrales de arbustos.

78

UBICACIÓN
el Parque Nacional Santa Rosa, Palo
Verde, Barra Honda y Cabo Blanco

se localiza en la provincia de
Guanacaste desde Cañas hasta la
frontera con Nicaragua, Vida
Silvestre Rafael Lucas Rodríguez,
Palo Verde, en el piemonte de la
Cordillera de Talamanca
Se ubica en una banda estrecha de
la vertiente Pacífica de la Cordillera
de Guanacaste, Tilarán, el Valle
Central y el Valle de los Santos
(San marcos, San Ignacio, Santa
María de Dota y otros
Refugio Fauna Silvestre Tapantí
Volcanes Poás, Barva, Irazú y
Turrialba, así como en la Cordillera
de Talamanca
se localiza en las regiones más
altas de la Cordillera de Talamanca,
en los Cerros Kamuk, Buena Vista,
Chirripó
Biología X y XI 2013

Juan José Mora Vargas

Zonas de vida de Costa Rica: el país de acuerdo con la categorización de Holdridge cuenta con 12 zonas de
vida y 8 de transición, agrupadas en 5 pisos altitudinales:
Piso altitudinal

Rango de altura

Zona de vida

Basal

0 – 700 msnm

Bosque Tropical (Basal) Seco
Bosque Tropical Húmedo
Bosque Tropical Muy Húmedo

T
26 A
30
23

Premontano

700 – 1 400

Montano bajo

1 400 – 2 700

Montano

aproximadamente de los
2 400 – 3 700

Subalpino o
Montano alto

Bosque Lluvioso
Bosque Húmedo
Bosque Muy Húmedo
18
Bosque húmedo
Bosque muy húmedo
Bosque Pluvial
Bosque muy húmedo
Bosque pluvial

12

6A0

2 800 – 4 100
Páramo pluvial

79
Biología X y XI 2013

1-

Juan José Mora Vargas

Lea cuidadosamente los siguientes textos relacionados con niveles tróficos de un ecosistema:
I.
II.

Seres vivos que elaboran elementos nutritivos orgánicos a partir de materias primas inorgánicas.
Organismo que obtiene compuestos orgánicos complejos de animales muertos o plantas marchitas.

Los textos anteriores se refieren respectivamente a los niveles tróficos denominados
A) autótrofo, autótrofo.
2-

B) autótrofo, heterótrofo.

C) heterótrofo, autótrofo. D)heterótrofo, heterótrofo.

Los siguientes textos están relacionados con niveles tróficos:
I.
II.

Son organismos que viven a expensas de seres vivos que producen su propio alimento o de materia orgánica en
descomposición.
Las plantas verdes obtienen su energía para sintetizar moléculas orgánicas a partir de la luz solar.

Los textos anteriores se refieren respectivamente a los niveles tróficos denominados
A)
3-

heterótrofo, heterótrofo.

B) heterótrofo, autótrofo.

C) autótrofo, heterótrofo D) autótrofo, autótrofo.

Dada la siguiente información relacionada con tipos de niveles tróficos:
TIPO DE NUTRICIÓN

E- Autótrofos
F- Heterótrofos

CARACTERISTICAS

I.
II.
III.
IV.

Obtienen energía de los organismos productores.
Transforman la energía luminosa en energía química.
Se alimentan de materia orgánica previamente sintetizada.
Capaces de sintetizar materia orgánica compleja a partir de materia inorgánica y una
fuente de energía.

¿Cuál es la forma correcta de relacionar los diferentes tipos de nutrición de acuerdo a las características dadas?
A)

E I, III y F II, IV.

B) E II, III y F I, IV.

C) E III, IV y F I, II.

D) E II, IV y F I, III.

4-Lea detenidamente el siguiente texto sobre un ciclo biogeoquímico:
El elemento de este ciclo no puede ser absorbido en su forma elemental; debe estar presente como sulfato. Es un componente
esencial de las proteínas, ya que forma parte de algunos aminoácidos.
¿Cuál es el nombre del ciclo biogeoquímico se describe en el texto anterior?
A)

Fósforo.

B) Oxígeno.

C) Nitrógeno.

D) Azufre

5-Lea la siguiente información acerca de un ciclo biogeoquímico:

Elemento común de proteínas carbohidratos, lípidos y ácidos nucleicos.
Está presente en la atmósfera en forma de dióxido y también en las rocas calizas.
Vuelve a la atmósfera por las descarboxilaciones que ocurren en la respiración celular.
El ciclo se equilibra por bacterias y hongos que, mediante los procesos de putrefacción y fermentación, desdoblan los
compuestos de plantas y animales muertos y los transforman en dióxido otra vez.
Se incorpora a los tejidos vivos mediante la fotosíntesis y es liberado por la respiración y la desintegración de la materia
orgánica.

A)
B)

La información anterior se refiere al ciclo del
cARBONO.
B) Oxígeno.

C) Nitrógeno.

80

D) Azufre
Biología X y XI 2013

6-

Juan José Mora Vargas

A continuación se presenta la información relacionada con un ciclo biogeoquímico:

Ciclo biogeoquímico
El elem
ento de este ciclo circula
entre el ambiente abiótico y los
organismos.
Contiene cinco pasos

Fijación

Nitrificación

A
similación

Amonificación

Desnitrificación

realizado por

realizado por

BACTERIAS

BACTERIAS

La información anterior se refiere al ciclo del
C)
7

cARBONO.

B) Oxígeno.

C) Nitrógeno.

D) Azufre

El siguiente texto está relacionado con un ciclo biogeoquímico.
Este ciclo se inicia a partir del proceso de fotosíntesis de los organismos autótrofos, quienes obtienen este elemento que se
encuentra en forma inorgánica en la atmósfera, y lo incorporan a compuestos energéticos que serán empleados para los
diferentes procesos metabólicos.
¿A cuál ciclo se refiere?
D)

cARBONO.

B) Oxígeno.

C) Nitrógeno.

D) Azufre

8-Los siguientes textos se relacionan con tipos de ecosistemas.

I.

Los desiertos son zonas secas situadas en regiones templadas y regiones tropicales. El bajo contenido de agua de la
atmósfera provoca diariamente calor o frío extremo, de modo que en 24 horas hay un cambio importante en la
temperatura. Como resultado de la escasez de vegetación, el suelo del desierto es pobre en materia orgánica, pero a
menudo tiene elevado contenido de minerales. Las plantas del desierto tienden a presentar hojas reducidas o carecer
de ellas, una adaptación que les permite conservar agua.

II.

Los europeos colonizadores transformaron los bosques en pastos y campos de cultivo y en otras regiones se
convirtieron en plantaciones de palmera y árboles de caucho. En el Amazonas y Centroamérica, grandes extensiones
forestales, han sido quemadas y convertidas en tierras de pasto para el ganado.

¿A cuáles ecosistemas se refieren?

A)
B)
C)
D)

I urbano y II terrestre.
I terrestre y II agrícola.
I agrícola y II terrestre.
I agrícola y II acuático.

9- Las siguientes afirmaciones se refieren a tipos de ecosistemas.
I.
II.

Los bosques tropicales lluviosos poseen una alta diversidad de especies.
Algunas especies de animales silvestres se han adaptado a vivir en campos agrícolas.

¿A qué tipos de ecosistemas se refieren?
A) I acuático y II terrestre artificial.C)I terrestre artificial y II terrestre natural.
B)I terrestre natural y II terrestre artificial.D)I terrestre artificial y II terrestre artificial.

81
Biología X y XI 2013

10

Juan José Mora Vargas

Lea el siguiente texto relacionado con formaciones vegetales.
Esta formación vegetal se encuentra principalmente en la costa Pacífica de Costa Rica. Los árboles y arbustos crecen en aguas saladas
o salobres de poca profundidad en las costas y estuarios. Es una formación vegetal común en todas las regiones tropicales y
subtropicales. Dentro de su flora se encuentran diferentes tipos de mangles entre otras especies.
La formación vegetal a la cual se refiere el texto anterior se denomina

A)bosquesemideciduo estacional submontano.

B) bosque deciduo o caducifolio.

C)sabana y matorral espinoso.

D) bosque de manglar.

11-Los siguientes textos se refieren a una formación vegetal de Costa Rica.
Se localiza en la cima de los volcanes Poás, Barva, Irazú y Turrialba, a una altitud entre 2400 3000 metros sobre el nivel del
mar.
Los robles, las magnolias se encuentran en las partes más altas, también arbustos como arrayanes y otros, están en los
estratos inferiores.

La formación vegetal a la que se refieren los textos anteriores se denomina

A)
12

bosque muy húmedo siempre verde montano.

C)sabana y matorral espinoso.

B)

bosque de manglar.

D) paramo subalpino.

Lea el siguiente texto relacionado con una formación vegetal de Costa Rica.
Se le encuentra en los alrededores del Parque Nacional de Barra Honda y el Parque Nacional de Palo Verde. La vegetación es
herbácea de 1,5 a2 metros de altura, con una gran cobertura de gramíneas, cornizuelo, piñuelas y zarzas. Se desarrolla desde los 0
a los 700 metros de altitud.
¿A cuál formación vegetal corresponde el texto anterior?

A)
B)
C)
D)

Páramo subalpino.
Bosque de manglar.
Bosque deciduo seco.
Sabana y matorral espinoso

13- Lea el siguiente texto relacionado con una formación vegetal.
Esta formación vegetal se extiende en una banda estrecha de la vertiente Pacífica de la Cordillera de Guanacaste, el Valle
Central y el Valle de los Santos. Se caracteriza por tener árboles muy altos y tupidos, su límite altitudinal superior son los
1000 metros. Actualmente esta formación vegetal se encuentra mayormente transformada en cultivos de caña de
azúcar, café y pastoreo. El 70% de todas las especies vegetales de estos bosques son árboles que pierden parte de sus
hojas en una época del año. Entre las especies sobresalen el guácimo, guanacaste, higuerones, espaveles y guayabón.
¿A cuál formación vegetal se refiere?

A)
B)
C)
D)

Bosque de manglar.
Sabana y matorral espinoso.
Bosque deciduo o caducifolio.
Bosque semideciduo estacional submontano.

82
Biología X y XI 2013

Juan José Mora Vargas

16- Analizar las causas y las consecuencias de la degradación del ambiente, así como la responsabilidad
personal y colectiva en la restauración del entorno y el desarrollo sostenible

5pts

EQUILIBRIO AMBIENTAL: El Equilibrio ambiental: es el estado de balance natural, establecido
en el ecosistema por las relaciones interactuantes entre los miembros de una comunidad y su
hábitat, plenamente desarrollado en el cual va ocurriendo lentamente la evolución, produciéndose
una interacción entre dos factores. La alteración de este equilibrio puede causas fluctuaciones
fuertes en determinadas poblaciones, a favor o en contra de estas
FACTORES NATURALES:
VULCANISMO: Es una manifestación de la energía interna que posee la tierra y da lugar a
variadas formas del relieve como plataformas basálticas, las coladas y los volcanes.
DIASTROFISMO: Es una fuerza interna que modifica la estructura del relieve; estos movimientos
pueden ser verticales, y afectan extensiones grandes o pequeñas. Pueden ser epirogéneos u
orogéneos.
PLAGAS: Aparecen cuando se rompe el equilibrio natural de una especie; de tal manera,
el control biológico natural ya no ejerce una reducción en el aumento de esa población a
nivel numérico. Así mismo se abren nuevos espacios y se introducen fuentes de alimentos
que permiten que esa especie plaga se alimente y reproduzca con una alta tasa de
natalidad. La mayoría de las plagas perjudican socioeconómicamente al hombre.
FACTORES PRODUCIDOS POR EL HOMBRE:
DEFORESTACIÓN: Uno de los factores más sobresalientes que ha sido responsable de una
acelerada destrucción, alteración de los principales hábitats boscosos ha sido la deforestación.
Consiste en la tala de un bosque con el propósito de crear tierra arable, para el uso agrícola o
ganadero y aprovechar la madera para la construcción o propósitos industriales.

Este proceso elimina la foresta y el sotobosque, alterando todo el ecosistema, pero daña
particularmente la capa de humus del suelo, perdiendo esta fertilidad, así mismo modifica el
régimen hidrológico y produce daños en el microclima de un lugar determinado.
CONTAMINACIÓN: Presencia de sustancias exógenas en los sistemas naturales, ocasionando
alteraciones en su estructura y en su funcionamiento. Los efectos de la contaminación se
manifiestan además por la generación y propagación de enfermedades de los seres vivos.

La contaminación es la alteración directa o indirecta de las propiedades físicas, químicas o
biológicas de cualquier parte del medio, debido a la descarga, emisión o depósito de sustancias o
desechos, toda vez que adversen el uso beneficio del ambiente, o que causen una condición
peligrosa para la salud, bienestar del hombre o la vida silvestre.
Pesca Irresponsable: Utilización de extensas y peligrosas redes de arrastre donde se pescan
especies en peligro de extinción, como delfines, tortugas entren otros
Incremento de la población: se debe al aumento desmedido y poco planificado de la población
sobre todo en lugares mas pobres.

83
Biología X y XI 2013

Juan José Mora Vargas

ÁREAS SILVESTRES DE COSTA RICA: estas tienen como objetivo: conservar la biota y el
ecosistema, conservar una especie determinada, recreación, belleza escénica, educación
ambiental, protección de cuencas, investigación y promoción turística.

PARQUES NACIONALES: áreas o regiones extensas de significación histórica, por su belleza
escénica natural o por su fauna y flora de importancia nacional o internacional que en ella se
encuentran, con linderos señalados sean destinados para la recreación y educación del público,
para el turismo o para las investigaciones científicas, administrado por el Estado. Entre estos:
Barra Honda, Guanacaste, Las Baulas, Palo Verde, Rincón de la Vieja, Santa Rosa, Volcán Arenal,
Volcán Poás, Braulio Carrillo, Volcán Irazú, Cahuita, Chirripó, Internacional de la Amistad,
Tortuguero, Corcovado, Manuel Antonio, Marino Ballena, Isla del Coco Y LA Cangreja .

RESERVAS FORESTALES: áreas relativamente extensas, aisladas y despobladas, inaccesible o de
difícil acceso, en la mayoría de los casos cubierta de bosques. Se protegen de la explotación
inadecuada. Se encuentran localizadas en: La Cordillera Volcánica Central, Golfo Dulce, Grecia,
los Santos, en Manglares, Matina, Río Macho, Taboga (Guanacaste) y Volcán Arenal.

REFUGIOS DE VIDA SILVESTRE: áreas extensas para la protección de la flora, así como otros
recursos naturales de nuestro país, donde se permite el manejo de sus especies con planificación y
organización. Entre estas están: Caño Negro, Tapantí, Curú, Golfito, Peñas Blancas, Ostional,
Tamarindo, Barra del Colorado, Candoca – Manzanillo.

RESERVA BILÓGICA: área esencialmente inalterada por la actividad humana, constituida por
comunidades biológicas formadas por una o diversas especies vegetales y animales, terrestre y
marinas que por sus características especiales y riesgo conviene preservar, en la cual los procesos
ecológicos ha seguido un curso espontáneo con un mínimo de interferencia, es administrada por el
estado. Las actividades recreativas y turísticas no son compatibles con los fines por lo que se
establecieron estas áreas. Entre estas tenemos: Hitoy - Cerere, Carara, Isla del Caño, Isla
Negritos, Guayabo y Pájaros, Lomas de Barbudal, Absoluta de Cabo Blanco.

ZONAS PROTEGIDAS:
bosque o terrenos forestales que protegen suelos, una cuenca
hidrográfica importante para alguna población cercana o que actúen como agentes reguladores
del clima y del ambiente, bordean ríos, manantiales, arroyos, lagos, lagunas o embalses naturales.
Entre estos tenemos: Barbilla, Acuíferos Guácimo - Pococí, Cabecar, Caraigres, Cerro Atenas,
Cerros Escazú, Cerros de la Carpintera, Cerros de Turrubares, Cerro Nara, Cuenca del Río Tuis,
el Chayote, el Rodeo, Juan Castro Blanco, la Serlva, las Tablas, Quitirrisi, Río Grande, Río
Sombrero y Río Navarro, Río Tiribí, Río Tivives, Tortuguero, Las Baulas de Guanacaste,
Miravalles, Tenorio, Arenal – Monteverde, Río Pacuare, San Ramón., Río Banano
HUMEDALES: ecosistemas con dependencia de regímenes acuáticos o sea superficies cubiertas
de aguas, sean de régimen natural o artificial, permanentes o temporales, estancadas o corriente,
dulces o salobres, incluida la extensión de agua marina cuya profundidad en marea baja no exceda
de seis metros, que se encuentran en los litorales o en las planicies de inundación, tanto de agua
dulce o agua salada, ciénagas y otras. Incluye las zonas ribereñas costeras adyacentes, como las
islas.

84
Biología X y XI 2013

Juan José Mora Vargas

MONUMENTOS NACIONAL:
área de recurso cultural o histórico sobresaliente, de
importancia nacional o internacional. Entre estos tenemos: Guayabo.

ÁREAS DE CONSERVACIÓN: agregado o conjunto de una serie de parques de una misma área.
Se encuentran aquí: Área de Conservación Guanacaste (Santa Rosa, Guanacaste y Ricón de la
Vieja), Tempisque (Palo Verde, Barra Honda y Baulas), Cordillera Volcánica Central (Poás, Braulio
Carrillo, Irazú y Turrialba), Llanuras del Tortuguero (Tortuguero), La Amistad Caribe (La Amistad
y Cahuita), La amistad Pacífico (Tapantí y Chirripó), Osa (Marino Ballena, Corcovado y Piedras
Blancas), Pacífico Central (Manuel Antonio), Arenal(Tenorio, Arenal y Juan Castro Blanco).

EJERCICIOS
1-

Analice el siguiente texto referente a un problema ambiental en Costa Rica:
La deforestación ha sido responsable de una acelerada reducción en la extensión de los principales hábitats boscosos
en nuestro país. Por ejemplo entre los años 1963 y 1973, se deforestaron alrededor de 48 800 hectáreas por año, tasa
que se redujo entre 1973 y 1989, con aproximadamente 31 800 hectáreas por año. Los porcentajes de cambio más
significativos se observaron en el bosque seco tropical, que perdió el 44,3% de la cobertura que tenía en 1963.

De las siguientes afirmaciones y de acuerdo con el texto anterior, ¿cuál es una consecuencia de este desequilibrio

A)
B)
C)
D)
2

Deforestación intensa de nuestros bosques entre los años 1963 y 1973.
Reducción de los principales hábitats boscosos de nuestro país.
Aumento en los controles relativos a la tala de árboles.
Aumento de las zonas industriales en nuestro país.

Lea cuidadosamente la siguiente información relacionada con el desequilibrio ambiental:
En los ambientes costeros, los arrecifes de coral están siendo destruidos en forma acelerada debido a la sedimentación originada por
la erosión de las deforestadas cuencas hidrográficas. La alta turbidez de las aguas provenientes de las zonas erosionadas está
afectando los bancos de manglar de la costa del Pacífico, en estas condiciones se encuentra por ejemplo Bahía Ballena, Bahía
Culebra, Golfo Dulce, Golfo de Nicoya, los deltas del Río Grande de Térraba y el Río Sierpe, al ser importantes para el país en cuanto a
pesca.

Según la información presente en el recuadro anterior, una causa del desequilibrio en los arrecifes de coral es l

A)
B)
C)
D)

tala de árboles, la cual es producto de la sedimentación.
deforestación, que origina erosión en las cuencas hidrográficas.
carencia de oxígeno, producto de gran cantidad de materia orgánica en los ríos.
turbidez de las aguas costeras, provocado por el arrastre de lodo de los ríos a la costa.

3-Lea el siguiente texto sobre factores que alteran el equilibrio ambiental.
Algunos gases que resultan de la contaminación atmosférica evitan que las radiaciones solares una vez que llegan a la superficie
terrestre se reflejen y de esta forma el calor “queda atrapado” provocando un aumento en la temperatura global del planeta.
Según el texto anterior, ¿cuál es una consecuencia de este tipo de desequilibrio?

A)
B)
C)
D)

Inundaciones en las zonas costeras.
Destrucción de la capa de ozono.
Efecto invernadero.
Deforestación
.

85
Biología X y XI 2013

4-

Juan José Mora Vargas

Lea la siguiente información relacionada con un factor de desequilibrio de la naturaleza.
“Los combustibles fósiles, especialmente el carbón mineral, liberan contaminantes a medida que se queman. El azufre que se
encuentra, frecuentemente, en el carbón se combina con el oxígeno y produce un humo con un olor desagradable. A medida que se
quema, el carbón también libera gran cantidad de hollín o partículas de carbón sin quemar a la atmósfera.”
Biología de Alexander, Baret, Chaves, Court

La información del recuadro se refiere a

A)
B)
C)
D)

vulcanismo.
diastrofismo.
contaminación del aire.

contaminación del suelo.
5-El contenido del recuadro se refiere a factores que alteran el equilibrio de la naturaleza.
Nuestra cultura genera una cantidad enorme de papel periódico, latas, cajas, botellas plásticas, pañales y otras formas de
desechos sólidos, que en sistemas naturales difíciles de degradar.
El exceso de dióxido de carbono en la atmósfera produce el calentamiento global, lo cual podría cambiar los centros agrícolas,
eliminar especies e inundar las costas, que alterará el paisaje, el valor de la tierra y el costo de los alimentos.
La información contenida en el recuadro se refiere a

A)
B)
C)
D)
5-

contaminación.
deforestación.
diastrofismo.

lluvia ácida.
El contenido del recuadro se refiere a un factor que altera el equilibrio de la naturaleza.
La radiación que recibe la Tierra calienta su superficie y se irradia de regreso a la atmósfera. Los gases como el dióxido de
carbono y los óxidos nitrosos de la combustión, los clorofluorocarbonos de las actividades industriales y el metano de las granjas
y terrenos de alimentación, absorben parte de este calor y lo atrapan en la atmósfera. El resultado es un aumento en las
temperaturas globales promedio.

El contenido del recuadro se refiere al factor denominado

A)
B)
C)
D)
6-

destrucción de la capa de ozono.
contaminación del suelo.
efecto de invernadero.
lluvia ácida.

El contenido del recuadro se refiere a un factor que altera el equilibrio de la naturaleza.

La disminución de la capa que protege de los rayos ultravioleta a la atmósfera terrestre se da por compuestos
clorofluorocarbonados (CFC) que llevan directa e inevitablemente a un incremento en la cantidad de radiación ultravioleta que
alcanza la superficie terrestre.
Para los seres humanos, un efecto inmediato de una radiación ultravioleta mayor es un incremento en la incidencia de cáncer
de piel. También puede dañar gravemente el sistema inmune, que ayuda a la defensa del cuerpo contra las enfermedades
infecciosas.
El contenido del recuadro se refiere al factor denominado

A)
B)
C)
D)

lluvia ácida.
efecto de invernadero.
contaminación del suelo.
destrucción de la capa de ozono.

86
Biología X y XI 2013

Juan José Mora Vargas

7-Lea la siguiente información referente a una categoría de área protegida de Costa Rica:
Este tipo de área protegida cumple importantes funciones tales como:
Proveer a las especies silvestres el hábitat necesario, mediante el manejo de los parámetros que inciden en las poblaciones.
Facilitar las condiciones para un uso público controlado.

El texto anterior corresponde a la categoría de área protegida denominada
A)

Parque Nacional.

B)

Reserva Biológica.

C)

Monumento Nacional.

D)

Refugio de Vida Silvestre.

8La siguiente afirmación se refiere a un área protegida de Costa Rica:
Está destinada para la producción de madera a través de un manejo controlado del bosque.
¿Cuál es el nombre del área protegida a la que se refiere la afirmación anterior

A)
B)
C)
D)

Refugios de vida silvestre.
Reserva biológica.
Reserva forestal.
Parque nacional.

9-El siguiente texto se relaciona con la importancia de un área protegida de Costa Rica:
Se encuentra destinada a la protección y a una explotación racional de los bosques, según normas técnicas de ordenamiento y
explotación que determinan las cantidades anuales a explotar.
El texto anterior se refiere al área protegida denominada

A)
reserva forestal.
B)
parque nacional.
C)
reserva biológica.
D)
refugios de vida silvestre.
10-Lea la siguiente información referente a un área protegida
Son áreas o regiones extensas de significación histórica, por su belleza escénica natural o por su fauna y flora de
importancia nacional o internacional que en ella se encuentran, con linderos señalados sean destinados para la recreación y
educación del público, para el turismo o para las investigaciones científicas, administrado por el Estado. Entre estos: Barra
Honda, Guanacaste, Las Baulas, Palo Verde, entre otros

La información anterior hace referencia a
A)reserva forestal.
B)parque nacional.
C)reserva biológica.
D)refugios de vida silvestre.

87
Biología X y XI 2013

Juan José Mora Vargas

11De la siguiente información referente a un área protegida
Son áreas esencialmente inalterada por la actividad humana, constituida por comunidades biológicas formadas por una o
diversas especies vegetales y animales, terrestre y marinas. Las actividades recreativas y turísticas no son compatibles con los
fines por lo que se establecieron estas áreas. Entre estas tenemos: Hitoy - Cerere, Carara, Isla del Caño, Isla Negritos,
Guayabo y Pájaros, Lomas de Barbudal, Absoluta de Cabo Blanco.

La información anterior hace referencia a
( ) Reserva biológica ( ) Parque Nacional ( ) Reserva Forestal ( )Refugio de Vida Silvestre
13- De la siguiente información referente a un área protegida
Son áreas relativamente extensas, aisladas y despobladas, inaccesible o de difícil acceso, en la mayoría de los casos cubierta
de bosques. Se protegen de la explotación inadecuada. Se encuentran localizadas en: La Cordillera Volcánica Central, Golfo
Dulce, Grecia, los Santos
La información anterior hace referencia a
( ) Reserva biológica

( ) Parque Nacional ( ) Reserva Forestal ( )Refugio de Vida Silvestre

88
Biología X y XI 2013

Juan José Mora Vargas

Prueba final

Analice las siguientes expresiones referentes a sustancias del protoplasma.

I.

Las células utilizan estas sustancias como combustible, como bloques de construcción de hormonas esteroideas
y sales biliares.
II.
Actúan como enzimas y se utilizan para formar muchas sustancias necesarias, como hemoglobina y miosina.
III. La hemoglobina se encarga de transportar el oxígeno en los glóbulos rojos.
IV. Constituyen uno de los principales componentes de la membrana celular.
¿Cuáles corresponden a los lípidos?

A)
B)
C)
D)

I y II.
I y IV.
II y III.
III y IV.

2 -Lea cuidadosamente las siguientes afirmaciones que se refieren a sustancias orgánicas del protoplasma:
V.
VI.
VII.
VIII.

Están conformados por unidades denominadas monosacáridos.
Algunas de estas moléculas son capaces de catalizar diversas reacciones químicas.
Son compuestos ternarios, constituidos principalmente por Carbono, Hidrógeno y Oxígeno.
Contienen en su estructura grupos carboxilo, amino y R, este último simboliza gran variedad
de grupos sustituyentes.

De las afirmaciones anteriores, ¿cuáles se refieren a los carbohidratos?
A)

I y III.

B)

I y IV.

C)

II y III.

D)

II y IV.

3- Las siguientes afirmaciones se relacionan con la función de una vitamina.
Regula el metabolismo del calcio y el fósforo.
Promueve la absorción de calcio en el intestino; necesaria para el crecimiento y la mineralización normales del
hueso.
Biología de Fried G
Las afirmaciones anteriores, se refieren a la vitamina denominada

A)
B)
C)
D)

D.
K.
B1.

B2.
4La siguiente información se relaciona una sustancia escencial
Una concentración muy baja puede detener la concentración muscular, bajos niveles en la sangre pueden dar lugar a
una hiperirritabnilidad de los nervios y músculos. Bajo este estado , el más ligero estímulo puede poner a una persona
en un estado convulsivo. ¿ cuál es el nombre de la sustancia escencial
A)
B)
C)
D)
E)

Vitamina
Mineral
Enzima
Aminoácido

89
Biología X y XI 2013

Juan José Mora Vargas

5- Analice los textos del recuadro relacionados con sustancias inorgánicas

I.

Sustancia necesaria para la producción de hemoglobina (transportador de oxígeno en la sangre) e interviene
en los procesos de obtención de energía.
II.
Es el vehículo más idóneo para la circulación de las sustancias nutritivas en el interior de los organismos
debido a sus propiedades como disolventes.
III. Protege a la materia viva contra cambios bruscos de temperatura.
IV. Son constituyentes principales de los huesos.
Los que corresponden a funciones del agua son
A) I, II y IV.

B)
C)
D)

II y IV.
II y III.
I y III.

6-

Considere el siguiente contenido relacionado con tipos de células.

IV.
V.
VI.

Animal.
Vegetal.
Procariótica.

d.

Una alga azul verdosa es un ser vivo autótrofo sintetizante, carente de una
membrana nuclear.
e.
Posee grandes vacuolas para almacenamiento de sustancias.
f.
Son células que carecen de pared celular.
¿ Cuál es la relación correcta entre el contenido de los recuadros?

A)
B)
C)
D)

I a, I b y III c.
I a, II c y III b.
I c, II b y III a.
I b, II c y III a.

7- Observe la siguiente representación relacionada con un tipo de ciclo infeccioso viral.

1

2

3

4

1

¿Cuál número representa la etapa de ensamblaje ?

A)
B)
C)
D)

1
2
3
4

8-Considere la siguiente descripción relacionada con una etapa del ciclo lítico de los virus.
Después de que el virus se ha unido a la superficie celular, su cola se contrae y perfora la pared celular, el
ácido nucleico es inyectado a la célula huésped.

¿Qué nombre recibe está etapa?

A)
B)
C)
D)

Multiplicación.
Penetración.
Liberación.
Fijación.

90
Biología X y XI 2013

Juan José Mora Vargas

9-Analice la siguiente información de los recuadros relacionada con tipos de células:
I.

II.

III.

IV.

Las cianobacterias, carecen de membrana nuclear y de
las demás organelas membranosas, como mitocondrias
y cloroplastos. Sin embargo poseen membranas
internas llamadas laminillas fotosintéticas, las cuales
contienen clorofila y enzimas necesarias para la
fotosíntesis.

Este grupo está formado por organismos flagelados, los
cuales son alargados y con un solo núcleo central y uno
o varios flagelos delgados en el extremo anterior.

De acuerdo con la información de los recuadros, ¿cuáles se refieren a células procarióticas?

A)
B)
C)

II y IV.
II y III.
I y IV.

D) I y III.
10- Las siguientes afirmaciones se refieren a ejemplos de procesos metabólicos:

I.
II.

Producción de glucosa a partir de la degradación del glucógeno hepático.
Formación de proteínas a partir de aminoácidos proteicos.

Las afirmaciones anteriores se refieren a procesos
A)

I catabólico, II anabólico.

B)

I anabólico, II catabólico.

C)

I de reducción, II anabólico.

D)

I catabólico, II de oxidación.

11- Observe la siguiente representación relacionada con un tipo de transporte celular.

¿Cuál es el nombre del transporte representado?

A)
B)
C)
D)

Fagocitosis.
Pinocitosis.
Exocitosis.
Difusión.

91
Biología X y XI 2013

Juan José Mora Vargas

12-Lea el texto del recuadro relacionado con una organela citoplasmática
Son regiones transparentes y bien definidas del interior de la célula que contienen agua y materiales disueltos.
Funcionan como depósitos de líquidos y sales que, de otra manera, podrían interferir con los procesos metabólicos que
ocurren en el citoplasma.
El texto anterior se refiere a la organela denominada

A)
B)
C)
D)
13-

vacuolas.
lisosomas.
cloroplastos.
mitocondrias.
Lea el contenido de los recuadros relacionados con la nutrición autótrofa

A. Captura de Oxigeno.
B. Síntesis de Glucosa .
1. El dióxido de carbono es reducido por átomos de hidrógeno que provienen del NADPH 2.
2. Cuando una molécula de clorofila absorbe luz cede 2 electrones a un aceptor primario y luego éste lo transfiere a una
molécula de ferredoxina que los transfiere al aceptor final que es NADPH 2.
3. Esta fase también recibe el nombre de fotoindependiente puesto que consiste en una serie de reacciones químicas
que no dependen de la energía lumínica.
4. Una característica de esta fase es que integra el carbono de un compuesto inorgánico a compuestos orgánicos.
¿Cuál es la forma correcta de relacionar las fases con sus respectivas características?

A)
B)
C)
D)

A 1; B 2, 3, 4.
A 1, 2; B 3, 4.
A 2; B 1, 3, 4.
A 2, 4; B 1, 3.

14- Analice cuidadosamente la información que se refiere a nutrición heterótrofa

I- Se lleva a cabo en el interior de las mitocondrias y forma una vía bioquímica que comienza y termina con la misma
molécula de cuatro carbonos, el ácido oxalacético.
II-Comienza con la condensación del oxalacetato y acetil CoA para originar citrato.
III- Las reacciones de este proceso, se llevan a cabo en el citoplasma.
IV Secuencia de reacciones que convierte la glucosa en piruvato.
¿ Cual o Cuáles se refieren a respiración aeróbica ?

A)
B)
C)
D)

I y II.
I y IV.
II y IV.
III Solamente

92
Biología X y XI 2013

Juan José Mora Vargas

15- Analice la siguiente información
El proceso que ocurre cuando la cadena se abre formando una horquilla de duplicación en la cuál actúan tres enzimas
que permiten este proceso, produciendo la formación de una cadena exactamente igual a la original. “ La definición
anterior hace referencia al concepto de ”
A) duplicación ADN.
B) traducción
C) transcripción de ADN.
D) Síntesis de proteínas.
16-Las representaciones de los recuadros se refieren a tipos de mutaciones

III.

IV.

Las representaciones de los recuadros se refieren a las mutaciones denominadas

A)
B)
C)
D)

génicas ambas.
genómicas ambas.
I génicas y II genómicas.
I de punto y II cromosómicas.

17-La siguiente afirmación se refiere a mutaciones.

Los individuos con el síndrome de Klinefelter (XXY), tienen genitales y conductos internos masculinos, pero sus
testículos son poco desarrollados y no producen esperma.
La información subrayada se refiere a

A)
B)
C)
D)

causa y consecuencia.
consecuencia.
importancia.
causa.

93
Biología X y XI 2013

Juan José Mora Vargas

18- Las siguientes representaciones se refieren a fases de la mitosis:

I.

II.

¿Cuáles son las fases de la mitosis representadas en los recuadros I y II, respectivamente?
A)

Profase y metafase.

B)

Metafase y profase.

C)

Telofase y anafase.

D)

Anafase y telofase.

19- Considere la siguiente expresión relacionada con una fase de la segunda división meiótica.
Las crómatidas hermanas de cada diada (pareja de crómatidas) se separan hacia los polos opuestos.
¿Qué nombre recibe esta fase?

A)
B)
C)
D)

Metafase II.
Telofase II.
Anafase II.
Profase II

20- Lea la siguiente información relacionada con un término genético:

Unidad hereditaria m
ás
pequeña que controla
una
característica
particular
de
un
organismo.

?

Puede replicarse para
producir copias exactas
de sí m
ismo o mutar
para dar lugar a nuevas
form
as.

¿A qué término básico se refiere la información contenida en los recuadros anteriores?

A)
B)
C)
D)

Genotipo.
Genoma.
Fenotipo.
Gen.

94
Biología X y XI 2013

Juan José Mora Vargas

21- Lea cuidadosamente el texto incompleto que se le brinda a continuación.

En un organismo, al gen que evita la expresión de otro gene se le denomina__________________ y al otro que no se
expresa se le denomina _____________________.
¿Cuáles son los términos que completan, en ese orden, el texto dado?
A)

alelo, genoma

B)

fenotipo, genotipo

C)

dominante, recesivo

D)

heterocigota, homocigota

22-El siguiente problema está relacionado con el cálculo de probabilidades de la herencia:

Dos plantas de tallo largo heterocigota se cruzan.

Tallo largo: Dominante.
Tallo corto: Recesivo.

¿ Cuál es el fenotipo esperado en la primera generación (F1)?

E)
F)
G)
H)

50% heterocigota, 25% homocigota dominante, 25% homocigota recesivo.
75% plantas de tallo corto; 25% plantas de tallo largo.
75% plantas de tallo largo; 25% plantas de tallo corto.
50% heterocigota, 50% homocigota.

23-En las plantas de arveja las semillas lisas son dominantes sobre las rugosas. Un cruce entre una planta de arveja
homocigota dominante y una homocigota recesiva produjo una F1 100% de semillas lisas. Al cruzar dos plantas de
la F1. ¿Qué porcentaje de plantas con semillas lisas se producirá en la generación F2?

A)
B)
C)
D)

100%.
75%.
50%.
25%.

24-Una mariposa de alas grises se cruza con una de alas negras y se obtiene una descendencia formada por un 50% de
mariposas de alas negras y un 50% de mariposas de alas grises. ¿Cómo son los posibles genotipos de las
mariposas que se cruzan?

A)
B)
C)
D)

Heterocigota y heterocigota.
Heterocigota y homocigota recesivo.
Homocigota dominante y heterocigota.
Homocigota dominante y homocigota recesivo.

95
Biología X y XI 2013

Juan José Mora Vargas

25-En un cruce de dominancia incompleta, ¿cuál es el fenotipo esperado al cruzar una planta de maravilla de flores
rojas con otra planta de maravilla de flores blancas?

A)
B)
C)
D)

100% plantas de flores rojas.
100% plantas de flores rosadas.
75% plantas de flores rojas y 25% plantas de flores blancas.
50% plantas de flores rojas y 50% plantas de flores blancas.

26- Luis Carlos es un hombre daltónico que contrae matrimonio con Josefina, mujer con visión normal, no portadora.
¿Qué porcentaje de su progenie presenta visión normal?

A)
B)
C)
D)

100%.
75%.
50%.
25%.

27-Lea la siguiente información relacionada con problemas sobre el cálculo de probabilidad de grupos sanguíneos:

Padres:

Genotipo

Carolina

X

Jorge

A B

I iI i

Carolina le plantea el divorcio a Jorge por sospechar que tiene un hijo fuera de matrimonio con Melisa poseedora
de sangre tipo O. ¿ Cuál de los siguientes genotipos corresponde a un posible hijo de Jorge con Melisa?

A)
B)
C)
D)

AB

II.
BB

II.
B

I i.
A

I i.

28 Ana presenta sangre A con factor Rh negativo. Su esposo tiene sangre O con factor Rh positivo en condición
heterocigoto. De acuerdo a los factores Rh de los padres, ¿cuál es la probabilidad porcentual de que el sus hijos sean
del factor Rh positivo?

A)
B)
C)
D)

25%
50%
75%
100%

96
Biología X y XI 2013

Juan José Mora Vargas

29-La siguiente información corresponde a un tipo de manipulación de la herencia.

Es una tecnología de reproducción asistida en que se fecundan uno o varios óvulos fuera del organismo
materno. Se estimula la maduración de muchos óvulos mediante inyección diaria de hormonas (se puede
hacer con un solo óvulo). Los óvulos se extraen mediante diferentes técnicas. Los óvulos extraídos se
mantienen en un medio líquido especial al que se añade semen lavado e incubado. Después de 18 horas se
extraen los óvulos, se cultivan en un medio adecuado y se examinan 40 horas después. Hay una probabilidad
del 40-50% de fecundación de los óvulos.

¿Cuál es el nombre de la técnica biotecnológica?

A)
B)
C)
D)

30)

Fertilización in vitro.
Inseminación artificial.
Clonación de seres vivos.

Organismos transgénicos
La siguiente descripción está relacionada con Biotecnología.

A través de esta técnica se incorporan genes que no son los propios en plantas y animales con la finalidad de
agregar en estos individuos alguna característica favorable como por ejemplo cultivos resistentes a plagas o
sequías, animales que produzcan mayor cantidad de leche.
¿A cuál tipo de manipulación genética se refiere?

A)
B)
C)
D)

Clonación.
Fecundación in vitro.
Inseminación artificial.
Organismos transgénicos.

31-La siguiente descripción se relaciona con una técnica de manipulación de la herencia.

Con esta técnica, los médicos:
Extraen el óvulo del útero.
Fusionan los núcleos de los gametos en el laboratorio.
Implantan el cigoto en el útero.

La información anterior se refiere a

A)
B)
C)
D)

clonación.
fertilización in vitro.
inseminación artificial.
organismos transgénicos.

97
Biología X y XI 2013

Juan José Mora Vargas

32- La siguiente descripción se relaciona con un tipo de manipulación de la herencia.

En 1992 se practicó la recombinación del ADN de cereales introduciendo un nuevo gen que hacían que
ciertas plantas y bacterias fueran inmunes a los herbicidas. Se produjo una variedad de cereal híbrido que es
inmune a los herbicidas que contienen el compuesto denominado imidazolin.
La totalidad de la descripción se refiere a

A)
B)
C)
D)

clonación.
fertilización in vitro.
inseminación artificial.
organismos transgénicos.

33-Analice cuidadosamente los siguientes textos relacionados con elementos que provocan la micro evolución

I.
II.
III.
IV.

Producen cambios en el fenotipo que a menudo solo se descubren por medio de complejas técnicas
bioquímicas.
Puede ser el resultado de la emigración o de la inmigración de los individuos potencialmente reproductivos,
el cual conlleva un aumento en la variabilidad de la población.
Si una población consta de solo unos pocos individuos, un alelo presente a baja frecuencia en ella puede
perderse por simple azar. Tal acontecimiento sería improbable en una población grande.
Puede trabajar a favor o en contra de la selección natural, por ejemplo en una población puede disminuir la
frecuencia de un gene favorable que normalmente está con una frecuencia alta en una población grande.

¿Cuáles se refieren a desplazamiento genético al azar?

A)
B)
C)
D)
34-

I y II.
I y IV.
II y III.
III y IV.

Los siguientes textos se encuentran relacionados con elementos que provocan la micro evolución
I.
II.
III.

Ausencia de modificaciones en el patrimonio genético de la población que lleva a la reducción de la
variabilidad en la misma.
Es un factor de cambio en el material genético, pues permite la aparición repentina y aleatoria de nuevos
fenotipos, sobre los cuales pueden actuar otros factores.
Las frecuencias genéticas de una población pueden sufrir cambios, si un tipo de gen se transforma en otro
alelo, y abre la posibilidad de que aparezca un nuevo fenotipo.

¿Cuáles números identifican información relativa a mutaciones?

A)

I y II.

B)

I y III.

C)

II y III.

D)

I, II y III.

98
Biología X y XI 2013

Juan José Mora Vargas

35-La siguiente información se refiere a un caso hipotético relacionado factores que determinan la microevolución

Por influencia de un depredador específico, se da la pérdida del alelo responsable de la presencia de ala
normal en una población pequeña, de moscas reduciendo la variabilidad dentro de la población.

La información anterior se refiere a la fuerza elemental denominada

A)
B)
C)
D)
36

desplazamiento genético al azar.
migración genética.
competencia.
mutación.

Las siguientes afirmaciones están relacionados con factores que determinan la micro evolución
I.
II.
III.
IV.

Puede aumentar la variabilidad en una especie.
Ocurre en poblaciones que están aisladas del resto de la especie.
Se da por acumulación paulatina de pequeños cambios en la frecuencia genética de una población.
Se produce cuando individuos de una población dada tienen la oportunidad de aparearse con los de otra
población, de modo que sus descendientes ostentan mayor diversidad.

¿Cuáles se refieren a migración genética?
A)

I y II.

B)

I y IV.

C)

II y III.

D)

III y IV.

37-Analice la siguiente información acerca de patrones evolutivos que determinan la especiación:
5.
6.
7.
D. Variabilidad

E.

Aislamiento

F.

8.

Barreras geográficas provocan la formación de subespecies de una misma especie.
Características diferenciales que presentan los individuos de una misma especie.
Existe cuando hay una limitación que impide que los organismos de una población
particular puedan cruzarse con el resto de su especie.
Interacción por la limitación de comida y el espacio vital, que conlleva a una
proliferación de nuevas especies.

Competencia

¿Cuál es la forma correcta de asociar la información?
A)

A1, A2, B3 y C4.

B)

A2, B1, B3 y C4.

C)

A3, B4, C1 y C2.

D)

A4, B3, B4 y C1.

99
Biología X y XI 2013

Juan José Mora Vargas

38)
Analice cuidadosamente el siguiente texto que se refiere a factores que inducen la formación de
especies:
La formación de dos o más especies a partir de una sola, requiere diversas formas de aislamiento entre las diversas
subpoblaciones. Los pinzones de Darwin ilustran este punto, la ausencia de competidores y de depredadores en las
islas Galápagos no solo suministró una presión de selección muy relajada al ave ancestral que llegó a las islas, sino que
además el aislamiento relativo y la separación de las diversas islas permitieron el establecimiento de razas distintas.
Una especie de pinzón que habita en la isla del Coco, situada 161 kilómetros al nordeste de las islas Galápagos, ilustra la
importancia del aislamiento geográfico de distintas razas en el surgimiento de nuevas especies. En las islas Galápagos
se originaron trece especies diferentes. En la isla del Coco no ocurrió tal diversificación por ser una isla única, existiendo
en la actualidad una sola especie de pinzón.
De acuerdo con la información anterior, ¿cuál opción contiene la afirmación verdadera?
E)
En las islas Galápagos las diversas especies de pinzones se producen a partir de competencia con otras
especies.
F)
La producción de una sola especie de pinzón en la isla del Coco es producto de barreras geográficas
dentro de la isla.
G)

La diversidad de especies de pinzones en las islas Galápagos, es producto del aislamiento y la separación
entre las islas.

H)

En la isla del Coco, se muestra una alta competencia por espacio físico y alimento.

39-Analice la siguiente representación relacionada con un patrón formador de especies.

A partir de los prosimios modernos, se da origen a una variedad de diferentes especies, cada una de las cuales
está adaptada y especializada en cierta forma única a sobrevivir en un hábitat particular.
El contenido del recuadro se refiere al patrón de especiación denominado

A)
B)
C)
D)

variabilidad intraespecífica.
aislamiento geográfico.
radiación adaptativa.
competencia.

100
Biología X y XI 2013

Juan José Mora Vargas

40-Analice los siguientes textos que se relacionan con patrones evolutivos que determinan la formación de especies:

V.

Los individuos de una población presentan variación en sus rasgos. Algunos de estos rasgos elevan las
probabilidades de sobrevivencia del individuo y su capacidad reproductiva.
Todos los individuos de una población comparten por igual los recursos limitados, de modo que en caso de alta
densidad poblacional ninguna de ellas obtiene una cantidad adecuada.
Proceso mediante el cual dos poblaciones se separan en virtud de factores geográficos, ecológicos, de
comportamiento, reproductores o genéticos.
Las aguas de los mares y océanos hacen imposible la unión entre organismos separados de la misma especie.

VI.
VII.
VIII.

De los textos anteriores, ¿cuáles de ellos se refieren al AISLAMIENTO como un patrón que determina la
especiación?
A) I y II.
B) I y IV.
C) II y III.
D) III y IV.
41Qué tipo de evidencias del proceso evolutivo se fundamenta en aquellos seres que provienen de un mismo grupo
ancestral y presentan estructuras semejantes durante el desarrollo fetal?
A)
Paleontológicas y bioquímicas.
B)

Anatómicas y paleontológicas.

C)

Anatómicas y embriológicas.

D)

Bioquímicas y anatómicas.

42Lea los siguientes textos que se refieren a evidencias del proceso evolutivo:
I.
II.

Las investigaciones referentes a la presencia de sustancias orgánicas como la prolactina en aves, peces y
mamíferos, han revelado similitudes y también diferencias específicas entre estos seres vivos.
Existen órganos que son en esencia similares en estructura, aunque muy distintos y adaptados a
funciones muy semejantes.

Los textos anteriores se refieren a las evidencias denominadas

A)
B)
C)
D)

I embriológica, II paleontológica.
I bioquímica, II embriológica.
I anatómica, II bioquímica.
I bioquímica, II anatómica.

43- Lea los siguientes textos sobre evidencias del proceso evoluti
I.
II.

La extremidad anterior de un caballo, el brazo de un hombre y el ala de un murciélago cumplen funciones
diferentes, pero consta casi exactamente de los mismos huesos, músculos, nervios y vasos sanguíneos.
La experimentación ha establecido que la similitud de las proteínas de los seres humanos es mayor con
respecto a las de los monos, que en relación con las de cualquier otro tipo de mamíferos.

Las evidencias evolutivas descritas, según su tipo, corresponden a
A)

I y II anatómicas.

B)

I y II bioquímicas.

C)

I anatómica y II bioquímica.

D)

I bioquímica y II anatómica.

101
Biología X y XI 2013

Juan José Mora Vargas

44-Lea la siguiente información relacionada con evidencias del proceso evolutivo.

I.
II.
III.

Constituyen un registro de los organismos que vivieron en épocas pasadas y proporcionan información sobre el
sitio y la era en que existieron.
La semejanza mutua de diferentes vertebrados es mayor entre los embriones que entre los adultos.
Es posible deducir las relaciones evolutivas que dieron origen a los organismos modernos utilizando restos o
vestigios de organismos antiguos de diferentes edades geológicas.

La información anterior se refiere respectivamente a las evidencias evolutivas denominadas

A)
B)
C)
D)

paleontológica, embriológica y paleontológica.
paleontológica, embriológica y anatómica.
embriológica, embriológica y anatómica.
bioquímica, anatómica, paleontológica.

45- Lea las siguientes proposiciones relacionadas con el origen de las especies:





El medio introduce la necesidad de una nueva estructura o cambio en un ser vivo.
El ser vivo trata de resolver esta necesidad.
En respuesta a su esfuerzo la estructura del ser vivo se modifica.
El cambio de estructura es trasmitido por el ser vivo a su descendencia.

¿Cuál es el nombre del postulado al que se refieren las proposiciones anteriores?

A)
B)
C)
D)

Mutacionismo.
Teoría sintética.
Selección natural.

Uso y desuso de los órganos.
46-Lea el siguiente texto relacionado con el origen de las especies:
Los organismos mejor adaptados tienen mayor probabilidad de sobrevivir y reproducirse.
El texto anterior se refiere al postulado denominado

A)
B)
C)
D)

Teoría de la selección natural.
Uso y desuso de los órganos.
Teoría sintética.

Mutacionismo.
47-Lea el siguiente texto sobre teorías del origen de las especies.
Con los inicios del siglo XX, T. Dobzhansky propuso una nueva teoría sobre la evolución de las especies, incorporando el
conocimiento sobre las leyes de la herencia propuestas por Gregorio Mendel en el siglo XIX a la teoría propuesta por
Darwin y Wallace en 1959.
¿Con cuál teoría se relaciona el texto anterior?

A)
B)
C)
D)

Mutacionismo.
Teoría sintética.
Equilibrio puntuado.
Uso y desuso de los órganos.

102
Biología X y XI 2013

48-

Juan José Mora Vargas

La siguiente información está relacionada con el origen de las especies.
En el curso de su existencia algunos individuos son más exitosos que otros, lo que los lleva a sobrevivir en mayor
grado y a reproducirse más exitosamente. Estos individuos de mayor supervivencia y reproducción dejarán más
descendientes que aquellos menos adaptados.

¿Cuál es el nombre de la teoría?

A)
B)
C)
D)

Sintética.
Mutacionista.
Selección natural.
Uso y desuso de los órganos.

49-¿Cuál es el nombre de la hipótesis en la que se propuso que la vida se podía haber originado bajo condiciones
especiales con la influencia de la luz solar y descargas eléctricas sobre una atmósfera primitiva?

A)
B)
C)
D)

Generación espontánea.
Origen quimiosintético.
Experimentación.

Panspermia
50- Lea el siguiente texto relacionado con una hipótesis sobre el origen de la vida.
El concepto de que los primeros seres vivos se originaron de sustancias inanimadas fue sugerido por primera vez por J.
Haldane y R. Beutner a partir del siglo XVII. Esta hipótesis se mantuvo vigente durante muchos años como la única forma
de explicar el origen de la vida, hasta que Francisco Redi en 1668 aportó evidencias en contra de esta hipótesis y
posteriormente con los experimentos de Louis Pasteur 1861 quedó completamente descartada.
¿A cuál hipótesis se refiere?

A)
B)
C)
D)

Cosmozoica.
Quimiosintética.
Experimentación.
Generación espontánea.
51-El siguiente texto se refiere a una hipótesis sobre el origen de la vida:

En 1953 los investigadores Miller y Urey crearon en el laboratorio las condiciones que se piensa tenía la
Tierra hace unos 3000 millones de años cuando se calcula que surgieron las primeras formas de vida. A partir
de una mezcla de vapor de agua, metano, amoníaco e hidrógeno gaseoso que simulaba la atmósfera
primitiva y descargas eléctricas, se pudieron formar compuestos orgánicos simples. Esto constituye una
importante evidencia a favor de la hipótesis que sugiere el origen de los seres vivos a partir de sucesivas
etapas en donde compuestos inorgánicos originaron sustancias orgánicas y finalmente se originaron los
primeros organismos unicelulares.

La hipótesis que describe el texto recibe el nombre de

A)
B)
C)
D)

Generación espontánea.
Experimentación.
Quimiosintética.
Mutacionismo.

103
Biología X y XI 2013

Juan José Mora Vargas

52-Lea la siguiente afirmación relacionada con el origen de la vida:
Propone que los seres vivos se pueden producir en cualquier momento a partir de materia no viviente.
La afirmación anterior se refiere a la hipótesis denominada

A)
B)
C)
D)

Panspermia.
Cosmozoica.
Experimentación.

Generación espontánea
53-Lea cuidadosamente la información de los dos recuadros relacionada con reinos biológicos:
I.
La mayoría se reproduce por esporas microscópicas,
carentes de flagelos, las que son dispersadas por el
viento.
Presentan tamaño y formas muy variadas. Sus
células son eucariontes y tienen las paredes
celulares constituidas por quitina.

II.
Todos
son
eucarióticos
multicelulares
y
heterótrofos.
Son consumidores y mayoría ingieren el alimento
primero y después lo digieren dentro del cuerpo,
por lo regular en un aparato digestivo.

¿Con cuáles reinos biológicos, según Whittaker, se relaciona la información de los recuadros anteriores?

A)
B)
C)
D)

I Protista y II Monera.
I Monera y II Protista.
I Animalia y II Fungi.
I Fungi y II Animalia.

54-Lea cuidadosamente la información de los dos recuadros relacionada con reinos biológicos:
I.
II.

Los seres vivos pertenecientes a este Reino Biológico carecen de clorofila y poseen células eucarióticas dotadas
de pared celular; viven en contacto con su sustrato alimenticio. Se reproducen por esporas.
Los miembros de este Reino Biológico obtienen sus nutrientes consumiendo otros seres. Todos son
pluricelulares, con estructuras especializadas y presentan movimiento propio.

Según Whittaker, ¿cuáles son los nombres de los reinos biológicos a los que se refieren las afirmaciones anteriores?
A)

I Protista; II Animalia.

B)

I Monera; II Protista.

C)

I Fungi; II Animalia.

D)

I Animalia, II Fungi.

A)

Monera y Fungi.

55-Considere la descripción del recuadro relacionado con un ser vivo.
Las briófitas son organismos multicelulares, fotosintéticos que carecen de raíces, tallos y hojas verdaderas, pero
presentan estructuras parecidas a raíces, llamadas rizoides, que anclan a las briófitas al suelo. Las estructuras similares
a hojas, son de una célula de espesor y están adaptadas para absorber agua rápidamente.
¿Cuál es el reino biológico al que pertenecen la briófitas?

A)
B)
C)
D)

Plantae.
Protista.
Monera.
Fungi.

104
Biología X y XI 2013

Juan José Mora Vargas

56-La información de los recuadros se refiere a seres vivos de diferentes reinos biológicos:

I.

II.

III.

Organismos eucariontes y
heterótrofos.

Se fija al sustrato por medio de
hifas.

Fotosintético y multicelular.

Según la taxonomía de Whittaker, ¿en cuáles reinos biológicos se clasifican los seres vivos representados en los
recuadros anteriores?

A)
B)
C)
D)

I protista, II fungi, III plantae.
I monera, II plantae, III fungi.
I animalia, II fungi, III plantae.
I animalia, II plantae, III plantae.

57-Considere la siguiente representación y características relacionadas con un reino biológico.

Se caracteriza por poseer un núcleo definido y
pigmentos fotosintéticos. Se desplaza mediante el
uso de flagelos.

De acuerdo con la taxonomía de Whittaker, ¿a qué reino biológico se refiere?

A)
B)
C)
D)

Monera.
Protista.
Vegetal.
Fungi.

105
Biología X y XI 2013

Juan José Mora Vargas

58-Lea la siguiente información
Son una serie de actividades fisiológicas que procuran mantener las concentraciones internas constantes,
conservando la homeostasis, al resistirse al cambio, si ocurre el cambio en el medio interno, se dispara una respuesta
que tiende a contrarrestarlo y a restaurar y mantener las condiciones hacia una valor determinado. La información
anterior se refiere al mecanismo homeostático llamado.
A) retroalimentación negativa
B) Retroalimentación Positiva
C ) inmunidad
D) salud
59- Lea cuidadosamente las siguientes afirmaciones que se relacionan con una enfermedad causada por virus
Daña el sistema inmunológico destruyendo los linfocitos T.
Las personas afectadas suelen morir en un lapso de varias semanas a unos cinco años, víctimas de diferentes
formas de cáncer, neumonía, y otras infecciones oportunistas.

Las afirmaciones anteriores se refieren a la enfermedad denominada

A)
B)
C)
D)
60-

síndrome de inmunodeficiencia adquirida.
herpes genital.
Dengue .
sífilis.

Las siguientes proposiciones están relacionadas con una enfermedad causadas por bacterias
Es causada por una bacteria en forma de espiral que entra a la mucosa de los genitales, labios o ano o por la
glándula mamaria.
Empieza con una úlcera en el sitio de la infección.
¿ A qué enfermedad se refieren las proposiciones anteriores?

B)
C)
D)
E)

Herpes genital.
Gonorrea.
Sífilis.
Cólera .

61 El siguiente texto se relaciona con una enfermedad causada por otros agentes
Esta enfermedad viral , bacteriana o causada por hongos que
afecta el tejido dela corteza cerebral, ocasionando mareos,
pérdida del conocimiento
¿Cuál es el nombre de esta enfermedad
A) hepatitis .
B) meningitis .
C)

neumonía .

D)

Diabetes

106
Biología X y XI 2013

Juan José Mora Vargas

62- Analice la siguiente información referente a una enfermedad causada por el consumo de sustancias adictivas

El abuso de bebidas , como la cerveza, whisky, vodka y ron generan daños en el hígado que es el órgano
que realiza una limpieza de sustancias tóxicas, presentes en el cuerpo, por ello el exceso de etanol en la
sangre hace que el Hígado sufra disfunción o mal funcionamiento.
La información anterior se hace referencia a la enfermedad llamada
A) Gastritis
B) Cirrosis hepática
C) Arteriosclerosis.
D ) Enfisema pulmonar
63- El siguiente texto se refiere a una enfermedad genética de importancia en Costa Rica.
Clínicamente se puede considerar distintas formas y diferentes intensidades de esta enfermedad pero la forma más
característica es la hendidura lateral que afecta todos los tejidos blandos y llega hasta el hueso alveolar. Esta forma
simple puede ser bilateral, llegando a englobar la hendidura alveolar y toda la unidad del hueso intermaxilar,
generalmente con una extensión hacia el ala de la nariz y la fosa nasal.
El texto anterior se refiere a la enfermedad denominada

A)
B)
C)
D)

diabetes.
catarata.
espina bífida.
paladar hendido

64-Dado el siguiente texto.
Entre otras funciones, los microorganismos están involucrados en la conversión de nutrientes como nitrógeno, fósforo y
azufre en formas utilizadas por las plantas de las que dependemos los heterótrofos.
¿Con qué concepto ecológico se relacionan tanto los microorganismos como las plantas mencionadas en el texto?

A)
B)
C)
D)

Fase abiótica.
Fase biótica.
Biosfera.
Especie.

65 - Lea el siguiente texto acerca de un concepto ecológico.
Cualquier área delimitada de la naturaleza que incluya organismos vivientes y sustancias no vivas
interactuando para producir un intercambio de materiales entre las partes vivas y no vivas.
El texto anterior, se refiere al concepto de
A) especie.

B)
C)
D)

población.
comunidad.
ecosistema.

107
Biología X y XI 2013

Juan José Mora Vargas

66-Observe con atención la siguiente representación de seres vivos:

¿A cuál concepto ecológico hace referencia la totalidad de la información anterior?

A)

Comunidad.

B)

Ecosistema.

C)

Población.

D)

individuo.

67-La siguiente información se refiere a una variable que determina la densidad de una población:

La información anterior se refiere a
A)

natalidad.

B)

mortalidad.

C)

emigración.

D)

inmigración.

68Lea los siguientes textos que se relacionan con tipos de relaciones entre seres vivos.

I.
II.

El animal con su cuerpo (o parte de él) toma la apariencia de otro animal que es mucho mayor, por ejemplo hay,
una especie de mariposas que cuando se posan con las alas abiertas semejan unos grandes ojos que, de ser reales
pertenecerían a un animal mucho mayor.
Es el resultado de la necesidad que tienen los seres vivos para sobrevivir de los elementos del medio ambiente, los
cuales no se encuentran en cantidad suficiente para todos. Entre animales se produce principalmente por
alimento, pero también puede hacerlo por el territorio y la pareja.

¿Cuáles son los tipos de relaciones a los que se refieren los textos I y II, respectivamente?

A)
B)
C)
D)

Mimetismo y mutualismo.
Mimetismo y competencia.
Comensalismo y mutualismo.
Comensalismo y competencia.

108
Biología X y XI 2013

69

Juan José Mora Vargas

Los siguientes textos se relacionan con interacciones entre organismos.

III.

Muchas especies de nemátodos conocidos también como gusanos redondos viven en el interior del tracto
digestivo de los animales alimentándose a expensas de su huésped.
IV. Las garzas bueyeras se ven beneficiadas al estar cerca del ganado debido a que consumen los insectos que salen
de la vegetación mientras pastorea el ganado, pero este último no se beneficia ni se perjudica.
¿Cuál es el nombre que reciben las interacciones?

A)
B)
C)
D)

I comensalismo y II competencia.
I parasitismo y II comensalismo.
I parasitismo y II depredación.
I simbiosis y II mutualismo.

70- Lea el siguiente texto referentes a los niveles tróficos de un ecosistema
III.
IV.

Seres vivos que elaboran elementos nutritivos orgánicos a partir de materias primas inorgánicas.
Organismo que obtiene compuestos orgánicos complejos de animales muertos o plantas marchitas.

Los textos anteriores se refieren respectivamente a los niveles tróficos denominados

A)
B)
C)
D)
71)

autótrofo, autótrofo.
autótrofo, heterótrofo.
heterótrofo, autótrofo.
heterótrofo, heterótrofo.

Los siguientes textos están relacionados con niveles tróficos:
III.
IV.

Son organismos que viven a expensas de seres vivos que producen su propio alimento o de materia orgánica
en descomposición.
Las plantas verdes obtienen su energía para sintetizar moléculas orgánicas a partir de la luz solar.

Los textos anteriores se refieren respectivamente a los niveles tróficos denominados

A)
B)
C)
D)

heterótrofo, heterótrofo.
heterótrofo, autótrofo.
autótrofo, heterótrofo.
autótrofo, autótrofo.

72-El siguiente texto está relacionado con un ciclo biogeoquímico.
Este ciclo se inicia a partir del proceso de fotosíntesis de los organismos autótrofos, quienes obtienen este elemento que
se encuentra en forma inorgánica en la atmósfera, y lo incorporan a compuestos energéticos que serán empleados para
los diferentes procesos metabólicos.
¿A cuál ciclo se refiere?

A)
B)
C)
D)

Nitrógeno.
Carbono.
Fósforo.
Azufre.

109
Biología X y XI 2013

Juan José Mora Vargas

73- Las siguientes afirmaciones se refieren a tipos de ecosistemas.

I.

II.

Este tipo de bosque comprende las áreas frías de nuestro territorio. Su temperatura oscila entre los
12 °C y los 18 °C, con una precipitación pluvial entre 900 y 1700 mm. Aquí predominan el roble, la
escalonia, el jaúl, el arrayán y la sombrilla de pobre. Entre la fauna se observa el quetzal, el mozotillo,
la pava negra, la danta, el pizote, el puerco espín, el coyote, el conejo entre otros.
La ciudad de San José, Costa Rica como un gran sistema, para su funcionamiento requiere enormes
aportes de todo tipo, principalmente de aquellos que no puedeproducir, como los alimentos, la
madera, el agua, combustibles y otros.

Las siguientes descripciones se refieren a tipos de ecosistemas.

A)
B)
C)
D)

I acuático y II terrestre artificial.
I terrestre artificial y II terrestre natural.
I terrestre natural y II terrestre artificial.
I terrestre artificial y II terrestre artificial.

74- -La siguiente información esta relacionada con un hábitat marino
Forman verdaderas praderas que sirven de hábitat, para numerosas especies que se encuentran en la base
de la cadena alimenticia submarina. Asociados a sus raíces y a todo el nutritivo ambiente del sustrato en
que se fijan, viven gran numero de organismos, entre ellos nematodos, bivalvos, crustáceos, erizos,
diatomeas y otros microorganismos capaces de degradar y enriquecer el detrito.

La información anterior corresponde al hábitat marino denominado
Arrecifes coralinos
aguas oceánicas
playas arenosas
Pastos marinos

75- Dada la siguiente información sobre una formación vegetal de Costa Rica:
FORMACION
VEGETAL

se encuentra

desde el Valle del Tempisque y
se extiende hacia el norte hasta
la frontera con Nicaragua y al sur
hasta
aproxim
adam
ente
la
desem
bocadura del río Tárcoles.

se localiza

entre la flora se destaca

desde el nivel del
m hasta los 700
ar
m
etros de altitud.

el guanacaste, el guapinol, el
cenízaro, el cedro am
argo, el
guayabo, el higuerón así como
el roble que se cubre de flores,
cuando se caen sus hojas.

¿A cuál formación vegetal se refiere la información anterior
A)

Bosque muy húmedo siempre verde montano.

B)

Bosque semideciduo estacional submontano.

C)

Sabana y matorral espinoso.

D)

Bosque deciduo.
110
Biología X y XI 2013

Juan José Mora Vargas

76-Lea el siguiente texto sobre factores que alteran el equilibrio ambiental.

Algunos gases que resultan de la contaminación atmosférica evitan que las radiaciones solares una vez que
llegan a la superficie terrestre se reflejen y de esta forma el calor “queda atrapado” provocando un aumento
en la temperatura global del planeta.

Según el texto anterior, ¿cuál es una consecuencia de este tipo de desequilibrio?

E)
F)
G)
H)
77)

Inundaciones en las zonas costeras.
Destrucción de la capa de ozono.
Efecto invernadero.

Deforestación.
Lea la siguiente información relacionada con un factor de desequilibrio de la naturaleza.
“Los combustibles fósiles, especialmente el carbón mineral, liberan contaminantes a medida que se queman.
El azufre que se encuentra, frecuentemente, en el carbón se combina con el oxígeno y produce un humo con
un olor desagradable. A medida que se quema, el carbón también libera gran cantidad de hollín o partículas
de carbón sin quemar a la atmósfera.”
Biología de Alexander, Baret, Chaves, Court
La información del recuadro se refiere a

E)
F)
G)
H)
78)

vulcanismo.
diastrofismo.
contaminación del aire.

contaminación del suelo.
Lea el siguiente texto relacionado con el equilibrio en la naturaleza.

La contaminación biológica de las aguas utilizadas para el riego de cultivos agrícolas puede provocar graves
trastornos en la salud de los consumidores de productos, en particular aquellos que suelen consumirse sin
cocción, como por ejemplo tomate, lechuga, pepino, repollo, etc.
¿A cuál aspecto de la alteración del equilibrio ambiental se refiere la parte subrayada del texto?

A)
B)
C)
D)

Causa.
Prevención.
Característica.
Consecuencia.

111
Biología X y XI 2013

Juan José Mora Vargas

79-El siguiente texto se relaciona con la importancia de un área protegida de Costa Rica:

Se encuentra destinada a la protección y a una explotación racional de los bosques, según normas técnicas
de ordenamiento y explotación que determinan las cantidades anuales a explotar.

El texto anterior se refiere al área protegida denominada

E)

reserva forestal.

F)

parque nacional.

G)

reserva biológica.

H)
refugios de vida silvestre.
80 Lea la siguiente información referente a una categoría de área protegida de Costa Rica:

Este tipo de área protegida cumple importantes funciones tales como:
Proveer a las especies silvestres el hábitat necesario, mediante el manejo de los parámetros que
inciden en las poblaciones.
Facilitar las condiciones para un uso público controlado.

El texto anterior corresponde a la categoría de área protegida denominada
A) Parque Nacional.
B) Reserva Biológica.
C) Monumento Nacional.
D) Refugio de Vida Silvestre.

112

Resumen bachillerato 2012

  • 1.
    Biología X yXI 2013 Juan José Mora Vargas LICEO RURAL LA PALMA RESUMEN TEMAS DE REPASO BIOLOGÍA PARA BACHILLERATO 2012 RECOPILADO POR EL PROFESOR Juan José Mora Vargas AÑO 2012 1
  • 2.
    Biología X yXI 2013 Juan José Mora Vargas 1- TEMA 1 SUSTANCIAS ORGÁNICAS DE LA CÉLULA 5pts 2- Analizar las funciones y la composición química básica de lípidos, carbohidratos, proteínas, ácidos nucleicos, agua, sales minerales que constituyen las células y permiten los procesos biológicos. PROTEÍNAS : COMPOSICIÓN QUÍMICA Se encuentran formados por C,H,O,N , algunas veces P y S Se encuentran formados por la unión de varios aminoácidos Estructura de un aminoácido: Es un compuesto orgánico formado por un grupo amino (-NH2) y un grupo carboxilo (-COOH), unidos a un átomo de carbono central, el cual se representa así R H O N C C H OH H Grupo Amino Grupo Carboxilo R: cadena de carbonos con sus correspondientes hidrógenos, que varía dependiendo del aminoácido. Funciones de las proteínas 1- Hormonal: Algunas proteínas funcionan como hormonas, producidas por las glándulas endocrinas ejemplo Insulina: regula la cantidad de azúcar en la sangre 23- Reconocimiento de señales: Permite reconocer mensajes químicos de las distintas células Transporte : de nutrientes, desecho y oxígeno a través de la sangre 4- Estructural: Forman parte de los tejidos y células de los seres vivos, ejemplo: Colágeno, elastina, formación de cito esqueletos, uñas, pelo, cartílagos. 5- Defensa : Formación de anticuerpos 6- Acción enzimática: Las proteínas son biocatalizadores, reciben el nombre de enzimas. Su función es regular las funciones bioquímicas que ocurren en el organismo . Para poder actuar deben bajar o disminuir la energía para poder actuar 2
  • 3.
    Biología X yXI 2013 Juan José Mora Vargas CLASIFICACIÓN DE LAS PROTEÍNAS 1-SEGÚN EL # DE AMINOÁCIDOS:Y el número de enlaces (peptídicos, dipéptido,tripéptido,polipéptido). 2-SEGÚN SU ESTRUCTURA: Primaria: cadena lineal de aaSecundaria: forma helicoidal, Terciaria:y cuaternaria 3SEGÚN SU FORMA :Fibrosas y Globulares 4-SEGÚN SU FUNCIÓN: en catalíticas, transportadoras, hormonas, 5-SEGÚN SU COMPOSICIÓN :En simples y complejas CARBOHIDRATOS Se producen por medio de la fotosíntesis, se encuentran en gran cantidad en las plantas, están formados por átomos de C, H, O. Su fórmula es (CnH2nOn). En una relación de 1:2:1. FUNCIONES Su función consiste en proporcionar la energía necesaria para realizar todas las funciones vitales, por eso se les llama sustancias energéticas. Es estructural en plantas (celulosa) y en animales (Glucógeno) Sirve de reserva en plantas (Almidón) y en animales (Quitina) Se clasifican en tres grupos: MONOSACÁRIDOS: azúcares simples y sencillos, solubles en agua, se encuentran en frutas y vegetales como uvas, manzanas, papa, cebolla. Encontramos aquí a la glucosa, fructuosa, ribosa, galactosa, desoxirribosa. Son fuente de energía celular. Estructura cíclica de la glucosa Estructura lineal de la glucosa DISACÁRIDOS: combinación de dos monosacáridos iguales o diferentes,por ejemplo : sacarosa (glucosa + fructuosa), maltosa (glucosa + glucosa), lactosa (glucosa + galactosa). Los encontramos en la caña de azúcar, remolacha, frutas, raíces, leche, semillas y flores. POLISACÁRIDOS: unión de varios monosacáridos o monosacáridos y disacáridos, se encuentra aquí al almidón, glucógeno, quitina, pectina, celulosa. Se acumulan en raíces y tallos de la planta, como almidón mientras que en los animales se almacena en el hígado y los músculos como glucógeno. LÍPIDOS O GRASAS: están formados por C, H, O, son insolubles en agua pero si ensolventes orgánicos como éter, benceno, acetona, entre otros. Los lípidos se clasifican en aceites, grasas y ceras. Esteroides y fosfolipidos 3
  • 4.
    Biología X yXI 2013 Juan José Mora Vargas Realiza las siguientes funciones:      Aísla el frío crean una cubierta protectora que permite evitar la pérdida de calor . Protege a órganos y estructuras internas de golpes. Forma parte de la membrana celular (fosfolípidos). Transporta vitaminas liposolubles A, D, E, K. (solubles en grasas). Sirven como depósito de combustible celular (reserva energética) Grasas, Aceites y ceras: Las unidades fundamentales de los lípidos son: ácido graso + glicerol, que se encuentran en una proporción de una molécula de glicerol y tres de ácidos grasos. Estos son llamados triglicéridos. Las grasas son compuestos saturados por la cantidad de hidrógenos a diferencia de los aceites que son compuestos insaturados pues se encuentran formados por enlaces múltiples y menos cantidad de hidrógenos. Las ceras son cubiertas protectoras de tejido animal y vegetal y una de las principales funciones es que evita el paso del agua. Se encuentran en todos los tejidos animales, semillas oleaginosas como la soya, algodón, maní, algodón, girasol, nueces, ajonjolí. Ejemplos: el aceite de oliva, aceite de bacalao, el tocino, el sebo de res, la manteca, mantequilla. Fosfolípidos: Se encuentra formando las membranas celulares en conjunto con las proteínas. Los Fosfolípidos poseen una cabeza hidrofilia que permite el paso de agua y una ola hidrofobia que evita el paso del agua. Los esteroides: son lípidos, de gran importancia biológica, entre ellos la vitamina D, las hormonas sexuales, las hormonas de la corteza suprarrenal, las sales biliares y el colesterol. El colesterol es un componente de las paredes celulares y de los tejidos nerviosos, pero el exceso puede causar problemas cardiovasculares. 4
  • 5.
    Biología X yXI 2013 Juan José Mora Vargas ACIDOS NUCLEICOS Estructura A D N Bases Química nitrogenadas Doble cadena o adenina y doble hélice guanina Azúcar Tipos Localizació Función n Desoxirribosa existe un sólo tipo Núcleo, Cloroplasto timina y Transmisión mitocondria características hereditarias citosina Sola una A cadena adenina y Ribosa existen tres guanina tipos: Citoplasma, Sintetiza núcleo proteínas mensajeros R ribosomal N transferencia uracilo y citosina Nucleótido SUSTANCIAS ESCENCIALES VITAMINAS, ENZIMAS, MINERALES, AMINOÁCIDOS, CROMOSOMAS Y GENES PROTEÍNAS: ENZIMAS Concepto: es una proteína que en pequeñas cantidades aumentan la velocidad y disminuye la energía requerida de una reacción química. Características:     Sustancias inestables ( porque las enzimas pueden ser desactivadas o destruidas por muchos factores). Son catalizadores biológicos o biocatalizadores. Son específicas ( actúan sobre una sustancia específica). Elaboradas por la célula. 5
  • 6.
    Biología X yXI 2013 Juan José Mora Vargas Algunas necesitan la presencia de otras sustancias no proteicas llamadas coenzimas, como la vitamina C y la vitaminas del complejo B. Factores que afectan su acción:      Temperatura pH (constante de acidez o alcalinidad) Ausencia de sustancias específicas Presencia de sustancias inhibidoras Acción enzimática 1. La enzima tiene un sitio activo, lugar donde se unen los sustratos A y B que son las dos sustancias químicas que tienen que reaccionar (nótese que la enzima y los sustratos calzan como piezas de un rompecabezas). 2. Los sustratos y la enzima se unen para formar el complejo enzima – sustrato, momento en el cual la enzima acelera la reacción entre los sustratos A y B. 3. Una vez terminada la reacción la enzima se libera sin alteración alguna para combinarse con más sustrato, mientras que los sutratos A y B han formado el producto C. CROMOSOMAS Y GENES. CARIOTIPO 5 Cromosomas son corpúsculos filiformes compuestos de ADN y proteínas, contienen el material hereditario (genes). Son visibles durante la división celular, pero cuando la célula no se está dividiendo se observa una red de filamentos llamados cromatina. Genes: Unidad biológica de información genética, que se autorreproduce y localiza en una posición definida (locus) en un cromosoma determinado. VITAMINAS LIPOSOLUBLES VITAMINA CONSECUENCIA FUENTES POR DEFICIENCIA A FUNCIÓN ALIMENTICIAS Formación y conservación del Ceguera nocturna, formación Frutas amarillas, legumbres tejido epitelial (ojos, piel, vías defectuosa de dientes, infecciones de verdes y amarillas, respiratorias y digestivas) la piel y membranas mucosas. mantequi-lla, leche, huevo. RETINOL D CALCEFERO L Absorción del calcio y fósforo. Raquitismo, malformación de huesos. Calcificación de los huesos, permeabilidad renal. E Contribuye al buen Anemia funcionamiento de los músculos ALFATECOFE y en la reproducción. Retrasa el ROL envejecimiento celular. Protege a los pulmones. Coagulación de la sangre K Aceite de hígado de pescado, huevos, leche, grasas de origen animal. Carne, aceite, vegeta-les, cereales y huevos. Hemorragias, deficiente absorción Vegetales de hojas verdes, queso y yema de intestinal. huevo. 6
  • 7.
    Biología X yXI 2013 Juan José Mora Vargas VITAMINAS HIDROSOLUBLES VITAMINA ÁCIDO CONSECUENCIA FUENTES POR DEFICIENCIA C FUNCIÓN ALIMENTICIAS Mantiene la adherencia Escorbuto Cítricos, semillas en entre las células. germinación, tubér- culos. ASCÓRBICO B1 TIAMINA Ayuda en metabolismo el Debilitamiento de los corazón, carbohidratos del Corazón, riñones, indigestión, hígado, nueces, fatiga, apatía, neuritis, beriberi B2 RIBOFLAVINA Ayuda a la proteína del Grietas en las comisuras Hígado, metabolismo energético. de los labios, irritación derivados, ocular, PIRIDOXINA Ayuda metabolismo en el Anemia de y cereales dermatitis enriquecidos, legum- seborreica. B6 leche las bres, huevos. Trigo, maíz, carne, hígado. proteínas SUSTANCIAS INORGÁNICAS AGUA: sustancia indispensable para el buen funcionamiento de los tejidos, el 70 % de nuestro cuerpo es agua. Cumple funciones como:  Disolvente: disuelve desechos y sustancias naturales.  Sirve como material de transporte; eliminando e incorporando sustancias.  Tiene capacidad termorreguladora ya que absorbe gran cantidad de calor.  Da movilidad y lubricación en tendones, tracto digestivo, fosas nasales.  Forma parte de la mayoría de las estructuras de nuestro cuerpo. Además del agua y minerales, encontramos iones con carga negativa o aniones como el cloruro (Cl -), bicarbonato (HBO3-), fosfato (H2PO4-) y sulfato (SO4-). MINERALES: ayudan en la formación de tejidos como huesos, sangre y otros regulan el funcionamiento celular, entre los más importantes están el hierro, el fósforo, el magnesio, el calcio, el potasio, el sodio y el yodo. Los alimentos como los vegetales y hortalizas, las frutas, las carnes, la leche y otros más son fuentes de minerales. 7
  • 8.
    Biología X yXI 2013 Juan José Mora Vargas Por ejemplo: sodio (conducción nerviosa), potasio (conducción nerviosa y muscular), calcio (constituyente de huesos y dientes, contracciones del corazón) magnesio (huesos), fósforo (huesos, dientes y conchas), hierro (hemoglobina), zinc (retención de agua). Cloruros, bicarbonato, fosfato y sulfuro.  Potasio: Interviene en la conducción nerviosa, contracción muscular, fabricación de material genético, su carencia produce adormecimiento de las extremidades, confusión mental, debilidad y cambios en la frecuencia cardiaca. Se encuentra la leche, bananos, ciruelas, pasas, aguacate.  Calcio: permite el desarrollo de huesos y dientes, buen funcionamiento de los nervios, corazón y sistema inmunológico, su carencia produce Osteoporosis. Se encuentra en la leche, carne, pescado, huevos, cereales, frutas y verduras.  Cloro: Estados físicos adecuados del citoplasma y las MEMBRANAS . Su carencia desequilibrio osmótico y ácido base en los líquidos corporales. Presente en la sal de cocinar.  Azufre: Forma parte de algunas proteínas como las piel y de algunas hormonas. Se utiliza contra el acné, asma, estreñimiento, enfermedades del hígado y vesícula biliar. Presente en huevos, carne, queso, leche, nueces, legumbres.  Flúor: Fortalecimiento de huesos y dientes, sangre, crecimiento de animales. Su carencia produce huesos y dientes débiles y mal formados. Se encuentra en agua fluorada, agregado a la sal, el azúcar y la pasta de dientes.  Fósforo: Unido a los lípidos forma parte de la membrana celular, forma parte de las proteínas. Su carencia produce irritabilidad, debilidad, alteraciones de las células sanguíneas, disfunción renal. Se encuentra en la leche, queso, carne aves, pescado, cereales, frutas secas y leguminosas.  Manganeso: Oxidante que participa en la formación de enzimas, huesos. Su carencia produce irritabilidad, dificultad para caminar. Se encuentra en las nueces, frutas, verduras, cereales, carne.  Hierro: Producción de la hemoglobina, intervienen en la formación de enzimas. Su carencia produce anemia, bajo rendimiento laboral, disminución en la capacidad de aprendizaje. Se encuentra en pasas, ciruelas, carne, aves, pescado frutas secas, vegetales con hojas verdes.  Magnesio: Forma parte de estructuras duras como huesos, conchas, dientes, depósito vegetales. Su carencia produce irritabilidad neuromuscular. Se encuentra en las hojas verdes, frutas secas, cereales y mariscos.  Yodo: Necesario para la fabricación de la hormona tiroxina. Su carencia produce Bocio simple, cretinismo. Se encuentra en la sal yodad, mariscos, productos lácteos, algas marinas. 8
  • 9.
    Biología X yXI 2013 Juan José Mora Vargas  Zinc: Presente en 90 enzimas y en la hormona insulina, influye en la retención de agua. Su carencia produce retraso en el crecimiento, cirrosis, estados depresivos. Se encuentra en las carnes, hígado, huevos mariscos, cereales, nueces.  Sodio: Interviene en la conducción nerviosa y en el equilibrio de líquidos en el organismo en el transporte de azúcares a través de las membranas celulares. Su carencia produce hiponatremia, confusión coma. Se encuentra en sardinas, quesos, maíz, papas. Cromo: Se requiere en el metabolismo de la glucosa, provee energía. Su carencia produce alteraciones en la tolerancia de la glucosa. Se encuentra en la carne, pimienta negra, levadura de cerveza, brócoli. EJERCICIOS DE BACHILLERATO TEMA 1 1-analice las siguientes características referentes a constituyentes químicos de la célula I. Son unidades básicas integradas por un grupo carboxilo, un grupo amino y un grupo sustituyente R II. Formados por unidades que forman grandes cadenas llamadas polinucleótidos. III. Son estructuras formadas por C,H,O , y que son componentes estructurales de la membrana pues forma parte de la estructura hidrofóbica. IV. Se especializan en la formación de tejidos , crecimiento en uñas, cabello, y además en el transporte de hormonas, oxígeno y anticuerpos De las características anteriores corresponden a proteínas los señalados con los números A) I y II B) II Y III C) I y IV D)II, III Y IV 2-Analice las siguientes afirmaciones que se refieren a componentes orgánicos del protoplasma: I. II. III. IV. Una clase de estas sustancias constituyen componentes fundamentales de la membrana celular. Son de gran valor como sustancias energéticas que los seres vivos tienen disponibles como reserva. La mayoría pueden actuar como energéticos de uso inmediato, mientras que otros forman parte de estructuras de apoyo como es el caso de la pared celular. Son fuente de energía importante en seres vivos, sirven como componente estructural de membranas celulares y, en algunos casos, son hormonas de importancia. ¿Cuáles corresponden a los lípidos? A) II y III. 3I. II. III. IV. B) I, II y IV. C) I y II solamente. D) III y IV solamente. Lea cuidadosamente las siguientes afirmaciones que se refieren a sustancias orgánicas del protoplasma: Están conformados por unidades denominadas monosacáridos. Algunas de estas moléculas son capaces de catalizar diversas reacciones químicas. Son compuestos ternarios, constituidos principalmente por Carbono, Hidrógeno y Oxígeno. Contienen en su estructura grupos carboxilo, amino y R, este último simboliza gran variedad de grupos sustituyentes. De las afirmaciones anteriores, ¿cuáles se refieren a los carbohidratos? A) I y III. B) I y IV.C) II y III. D) 4--Los textos del recuadro se relacionan con ácidos nucleicos. II y IV. I. Es un filamento de una sola cadena de nucleótidos. El filamento se puede enrollar sobre sí mismo mediante la formación de pares de bases en algunas secciones de la molécula. II. Está formado por dos cadenas muy largas de polinucleótidos unidas entre sí por puentes de hidrógeno específicos. Cuando la base de una cadena se une por los puentes de hidrógeno con la base de la otra cadena se dice que forman un par, por ejemplo la adenina se aparea con timina y guanina con citosina. ¿Cuáles son las siglas de los ácidos nucleicos con los que se relacionan? A) I ADN y II ADN. B) I ARN y II ARN. C) I ADN y II ARN. 9 D) I ARN y II ADN.
  • 10.
    Biología X yXI 2013 Juan José Mora Vargas 5-Considere el siguiente texto relacionado con una vitamina. Promueve la absorción de calcio en el sistema digestivo, por lo cual resulta indispensable para el crecimiento normal y el mantenimiento de los huesos. Las fuentes donde se encuentran esta vitamina son: yema de huevo, mantequilla, hígado, aceite de hígado de pescado y leche fortalecida. En los niños, la carencia de esta vitamina puede producir raquitismo y deformidades en los huesos. ¿Cuál es el nombre de esta vitamina? 6- A) A. B) D. C) E. Lea el siguiente texto referente a una sustancia esencial. D) C. Es un componente inorgánico importante de los glóbulos rojos, necesario para el buen funcionamiento de todas las células corporales.La carencia de esta sustancia esencial produce anemia ,problema nutricional más extendido, en el mundo que puede ser muy grave en los infantes , en su etapa de crecimiento. También puede afectar alas mujeres durante el embarazo y a los adultos mayores. ¿ Cuál es el nombre de la sustancia esencial referencia en el texto anterior? A) Calcio B) Azufre C) Cobre 7- La siguiente información se relaciona con deficiencia de un mineral. D)Hierro Una concentración muy baja puede detener la concentración muscular, bajos niveles en la sangre pueden dar lugar a una hiperirritabilidad de los nervios y músculos. Bajo este estado , el más ligero estímulo puede poner a una persona en un estado convulsivo.¿ cuál es el nombre del mineral .? A) Calcio B) Azufre C) Cloro 7-Analice la información contenida en los cuatro recuadros siguientes: D)Hierro I. Algunas resultan necesarias para las contracciones musculares, así como para el funcionamiento de muchas enzimas. II. En disolución, estas moléculas se ionizan, permitiendo con esto la conducción eléctrica entre las células. IV. III. Al agotarse las fuentes energéticas del organismo, son capaces de Permiten la conservación de las relaciones osmóticas entre la célula proveer energía. y su medio. ¿Cuáles recuadros contienen información referente a funciones de las sales minerales en los sistemas vivos? A) I y II. B) II y III. C) I, II y IV. D) II, III y IV. 8-Los siguientes textos se refieren a sustancias inorgánicas. I. II. III. IV. Tiene un papel esencial en la regulación de la temperatura corporal. Participa en la eliminación de las sustancias de desecho del metabolismo celular de nuestro cuerpo. Son imprescindibles en el mantenimiento del potencial de membrana, del potencial de acción y en la sinapsis neuronal. Es esencial para la asimilación del calcio y de la vitamina C, interviene en la síntesis de proteínas y tiene un suave efecto laxante. ¿Cuáles se refieren a funciones del agua? A) I y II. B) I y IV. C) II y III D) 10 III y I
  • 11.
    Biología X yXI 2013 Juan José Mora Vargas 9-Analice la información relacionada con sustancias orgánicas: A) Ácido nucleico. B) Proteína. I. II. III. IV. Su unidad estructural es el nucleótido. Se constituye por cadenas de aminoácidos. Esencial en el intercambio de información genética. Algunas de estos compuestos transportan sustancias. ¿ Cuál es la forma correcta de relacionar las sustancias orgánicas con sus respectivas funciones? A) A I, III; B II, IV. B) A II, III; B I, IV. C) A III, IV; B I, II. D) AI, IV; B II, III. 10- Lea las siguientes afirmaciones que se relacionan con sustancias del protoplasma. I. II. Se encuentra en el núcleo de la célula y en los ribosomas. Su principal función es la síntesis de proteínas. Está constituido por una cadena de nucleótidos, cada uno de los cuales consiste en un grupo fosfato, una base nitrogenada y el azúcar ribosa. Las afirmaciones anteriores se refieren a los ácidos nucleicos denominados A)I ADN y II ARN. B) I ARN y II ADN. C) I ADN y II ADN. 11-Los siguientes textos se refieren a sustancias inorgánicas. I. II. III. IV. D) I ARN y II ARN. Tiene un papel esencial en la regulación de la temperatura corporal. Participa en la eliminación de las sustancias de desecho del metabolismo celular de nuestro cuerpo. Son imprescindibles en el mantenimiento del potencial de membrana, del potencial de acción y en la sinapsis neuronal. Es esencial para la asimilación del calcio y de la vitamina C, interviene en la síntesis de proteínas y tiene un suave efecto laxante. ¿Cuáles se refieren a funciones del agua? A)I y II. B) I y IV. C) II y III. D) III y IV 12- Lea cuidadosamente la información relacionada con funciones de sustancias inorgánicas A- Agua B- Sales 123- Disuelve muchos tipos diferentes de compuestos en grandes cantidades. Proporciona iones minerales indispensables para el equilibrio líquido. Modera los efectos de los cambios de temperatura. Según la información anterior, ¿cuál es la forma correcta de relacionar las sustancias inorgánicas con sus respectivas funciones? a) A 1, 3 y B 2. B) A 2, 3 y B 1. C) A 2 y B 1, 3. 13- Las siguientes afirmaciones se relacionan con la función de una vitamina. D) A 3 y B 1, 2. Regula el metabolismo del calcio y el fósforo. Promueve la absorción de calcio en el intestino; necesaria para el crecimiento y la mineralización normales del hueso. Biología de Fried G Las afirmaciones anteriores, se refieren a la vitamina denominada A) D. B) K. C) B1. D) B2. 11
  • 12.
    Biología X yXI 2013 Juan José Mora Vargas TEMA 2 DIVERSIDAD CELULAR 5 pts 2-Analizar la diversidad de las células, de acuerdo con los postulados de la Teoría Celular y su relación con los virus. TEORÍA CELULAR: fue enunciada por Scheinden y Schwann. Anatómica O ESTRUCTURAL Todo ser vivo está formado por células y productos celulares. REPRODUCTIVO U ORIGEN Las células nuevas se forman por división de células preexistentes. FISIOLÓGICA O FUNCIONAL Las actividades de un organismo son la suma de las actividades e interacciones de sus unidades celulares independientes. DIFERENCIAS ENTRE LA CÉLULA ANIMAL Y VEGETAL. CÉLULAS ANIMALES CÉLULAS VEGETALES No tienen pared celular, ni cloroplastos Poseen pared celular y cloroplastos Poseen lisosomas y centriolos No Poseen lisosomas y centriolos Poseen vacuolas pequeñas o en algunos casos Poseen vacuolas grandes están ausentes DIFERENCIAS ENTRE LA CÉLULA PROCARIOTA Y LA CÉLULA EUCARIOTA CÉLULA EUCARIOTA CÉLULA PROCARIOTA Tienen un núcleo definido por una doble No poseen núcleo ni membrana celular membrana nuclear El material genético se encuentra dentro del El material genético está en el citoplasma en núcleo forma de ADN circular Están los reinos, protista, fungí, plantae y Se ubica el reino monera el de las bacterias animalia Son unicelulares y pluricelulares Unicelulares Acción viral Los virus son seres que no tienen vida, son parásitos que utilizan una célula huésped para reproducir su material genético ya sea ADN O ARN. Está formado por una cabeza cubierta por una capside de proteínas y su interior material genético, además de una cola por la cual se une al huésped para inyectar su material 12
  • 13.
    Biología X yXI 2013 Juan José Mora Vargas Actúan de dos formas mediante forma lítica en donde los virus se reproducen dentro de la célula y luego se rompe y los nuevos virus buscan nuevas células. La otra forma en que se reproducen es cuando el virus se reproduce dentro de la célula y no sale es de forma lisogénica FASES DEL CICLO 1- FIJACIÓN: Es la etapa en la cual el virus se fija o ancla en la célula huésped 2- Penetración: el virus inyecta el material genético en el huésped 3- Duplicación o multiplicación: el material genético del virus se mezcla con el del huésped 4- Ensamblaje: se forman los nuevos virus 5- Liberación: los nuevos virus salen de la célula Ejercicios del Tema 2 1-Los siguientes textos contienen información referente a los postulados de la Teoría Celular: I. II. El desplazamiento de la ameba por medio de los Su material nuclear se encuentra disperso dentro de la pseudópodos, le permite también capturar alimento, el célula. Poseen membrana y citoplasma. cual es rodeado y posteriormente digerido. La información presente en los textos anteriores se refieren a la célula como unidad A) I fisiológica y II reproductiva.B) I reproductiva y II fisiológica. C)I fisiológica y II anatómica.D)I anatómica y II fisiológica. 13
  • 14.
    Biología X yXI 2013 Juan José Mora Vargas 2- -Las siguientes afirmaciones están relacionadas con tipos de células. I. II. III. IV. El ADN de las cianobacterias se encuentra localizada en el citoplasma. Presentan grandes vacuolas, organelas citoplasmáticas que almacenan líquidos y ayudan a mantener la turgencia de la célula. La pared celular de estas células está formada principalmente por celulosa cuya función principal es darle forma y protección a la célula. Posee una membrana celular, la cual está cubierta por una pared celular fuerte y rígida, carece de membrana nuclear. ¿Cuáles se refieren a las células vegetales? A) I y III. B) I y IV. C) II y III. D) II y IV. 3-Analice cuidadosamente los siguientes textos que se refieren a tipos de células: I. II. III. IV. El ADN de las algas azul verdosas se encuentra en el citoplasma y no está delimitado por una membrana. Los euglénidos poseen un núcleo muy claro, fácil de teñir y clorofila agrupada en los cloroplastos. En las células de los sarcodinos los núcleos, las vacuolas contráctiles y las vacuolas alimenticias se desplazan dentro de la célula cuando el organismo se mueve. Durante la reproducción sexual, dos individuos de sexos diferentes se conjugan y oprimen mutuamente en sus superficies orales. Dentro de cada individuo, el macronúcleo se desintegra y el micronúcleo entra en meiosis para formar cuatro núcleos hijos. ¿Cuáles se refieren a células eucarióticas A) I y III. B) I y IV. C) II, III y IV. D) II y III. 4--Analice la siguiente información relacionada con diferentes tipos de células: I. II. III. Los cromosomas están libres en el citoplasma. El núcleo está separado del citoplasma por una membrana nuclear. Organismos cuyas células poseen organelas rodeadas por membranas. IV. De la anterior información, ¿Cuáles números señalan características propias de células eucarióticas? A) I, II y III. B) II, III y IV. C) I y III solamente. 14 D) II y IV solamente.
  • 15.
    Biología X yXI 2013 Juan José Mora Vargas 5- Considere el siguiente contenido relacionado con tipos de células. I. II. III. Animal. Vegetal. Procariótica. a. b. c. Una alga azul verdosa es un ser vivo autótrofo sintetizante, carente de una membrana nuclear. Posee grandes vacuolas para almacenamiento de sustancias. Son células que carecen de pared celular. ¿ Cuál es la relación correcta entre el contenido de los recuadros? A) I a, I b y III c. B) I a, II c y III b. C) I c, II b y III a. D) I b, II c y III a. 6--Analice cuidadosamente las siguientes proposiciones referentes a tipos de células: I. II. III. IV. Suelen tener tan solo una membrana plasmática delgada que les permite desplazarse y modificar su forma. Presenta núcleo que es una estructura que contiene los cromosomas. Presenta plastidios incoloros, de color y con clorofila. Célula de grandes vacuolas y pared celular. ¿Cuáles de las proposiciones corresponden a características presentes en una célula vegetal? A) I, II y III. B) II, III y IV. C) I y IV solamente. D) II y III solamente. 7- Cuál es la etapa del ciclo viral en la cual el virus es inyectado a través de la membrana plasmática en el citoplasma de la célula huésped? A) Penetración. B) Liberación. C) Ensamble. 8 -La siguiente expresión se refiere a una etapa del ciclo lítico de los virus. D) Fijación. El virus se adhiere a los receptores específicos presentes en la superficie de la célula huésped. Biología de Solomon, Davis, Villee ¿Qué nombre recibe está etapa A) Multiplicación. B) Penetración. C) Liberación. D) Fijación. 9-Considere la siguiente representación relacionada con las etapas del ciclo lisogénico. La etapa denominada fijación, ¿con cual número se relaciona? A) 1. B) 2. C) 3. 15 D) 4.
  • 16.
    Biología X yXI 2013 Juan José Mora Vargas 10- Considere la información brindada relacionada con una etapa del ciclo lítico. El ADN bacteriano es degradado, el ADN del virus se duplica y se sintetizan los componentes virales. La información dada se refiere a la etapa denominada A) B) C) D) fijación. liberación. ensamblaje multiplicación. TEMA 3 FUNCIONES BIOLÓGICAS DE LOS SERES VIVOS 10pts 3-Analizar las funciones básicas de las células como diferentes manifestaciones de vida. Analizar de las funciones del transporte celular de sustancias como aspectos esenciales de la vida. Analizar los procesos metabólicos de la síntesis clorofílica y su importancia en el mantenimiento de la vida. Analizar las funciones básicas de las células como diferentes manifestaciones de vida. Analizar las funciones de las células germinales en la reproducción humana y la responsabilidad personal y colectiva del aumento de la población. ANABOLISMO Y CATABOLISMO Los diferentes organismos para lograr crecer, reproducirse, responder a estímulos, adaptarse y moverse, necesitan energía. Además, para sustituir las células viejas o gastadas requieren materia prima. Los materiales y la energía indispensable para los seres vivos se obtienen de las actividades químicas realizadas a nivel celular. La totalidad de estas actividades se llama metabolismo. El metabolismo comprende dos etapas: anabolismo y catabolismo. La primera consiste en la unión de moléculas pequeñas para sintetizar moléculas grandes. Durante este proceso se necesita energía. El catabolismo, consiste en la degradación de sustancias complejas en sustancias más simples. Durante este proceso se libera energía.La nutrición y la respiración son ejemplos de reacciones anabólicas y catabólicas respectivamente. 16
  • 17.
    Biología X yXI 2013 Juan José Mora Vargas TRANSPORTE A NIVEL CELULAR Organelas Estructura Función Dibujo Aparato de Golgi son sacos apilados o aplanados modificación, selección, empaquetamiento y secreción de macromoléculas para enviarlas a diferentes partes de la célula. Retículo endoplasmático red de túbulos que comunican al núcleo con la membrana celular Su función general es la sustancias (proteína y lípidos) Lisosomas son vesículas o bolsitas que contienen enzimas desintegración intracelulares. Vacuolas propias de los vegetales, vesículas o burbujas de aire almacenamiento de nutrientes (digestivas), desechos (excretoras). Controlan la presión osmótica y la digestión intracelular. o digestión de de transportar sustancias TRANSPORTE A NIVEL DE LA MEMBRANA La membrana es la barrera semipermeable que permite la entrada y salida de sustancias a través de ella El transporte a través de la membrana se clasifica en PASIVO Y ACTIVO. TRANSPORTE PASIVO: ocurre a favor de gradiente de concentración , o sea va de un medio de mayor concentración a uno de menor concentración, no existe un gasto de energía DIFUSIÓN: Es el paso de sustancias sólidas pequeñas de un medio de menor concentración a uno de mayor concentración. La ósmosisse un proceso físico donde las moléculas de agua se difunden desde una región donde están muy concentradas hacia otra en la que están menos a través de una membrana selectivamente permeable. Por ejemplo, cuando el agua pasa al interior de los glóbulos rojos, colocados en agua destilada. El esquema de la figura 2 nos ilustra este proceso 17
  • 18.
    Biología X yXI 2013 Juan José Mora Vargas TRASPORTE ACTIVO: Ocurre de un medio de menor concentración a uno de mayor de concentración, implica un gran gasto de energía pues la célula debe romperse para que ocurra dicho proceso. El transporte activo se clasifica en endocitosis y fagocitosis Endocitosis: La mayoría de las membranas celulares pueden encerrar materia externa en una vacuola. Este proceso también es un tipo de transporte activo. FAGOCITOSIS: Es el paso de sustancias sólidas que para poder entrar la célula esta forma una evaginación de esta PICNOCITOSIS: Es el paso de sustancias líquidas a partir de la membrana ECXOCITOSIS: Es la salida de las sustancias sólidas de la célula. NUTRICIÓN AUTOTRÒFA FOTOSINTESIS Es el proceso bilógico en el cual los organismo autótrofos como las plantas producen alimento y liberan O2 , a partir de dióxido de carbono y agua. La fotosíntesis tiene dos procesos que son 1-CAPTURA DE OXÍGENO O fase luminosa 2-SINTESIS DE GLUCOSA o fase oscura Captura de oxigeno Ocurre en la hoja de la planta dentro del cloroplasto, el cual tiene una estructura llamada tilacoides que son un conjunto de sacos apilados que permite transformar la energía luminosa En energía química mediante una serie de reacciones que se describen a continuación 1-La luz incide sobre la clorofila A y B al mismo instante, liberando electrones estos electrones liberados pasan por una serie de aceptores primarios y secundarios, formando energía química ATP (Adenosisntrifosfato ) NADPH2 ( NicotinaminAdenosisn Di fosfato) 2-El agua al reaccionar con la luz se descompone en hidrogeno y oxigeno, liberando oxigeno y el hidrogeno se utiliza para la energía química 18
  • 19.
    Biología X yXI 2013 Juan José Mora Vargas FASE OSCURA o síntesis de glucosa La fase oscura de la fotosíntesis ocurre en la parte liquida del cloroplasto, llamada estroma en la cual toma la energía química producida en la luminosa ATP Y NADPH 2 , Y el CO2 producen la glucosa en una fase cíclica con la ayuda de un compuesto llamado fosfogliceraldheído (PGAL) RESPIRACIÓN CELULAR NUTRICIÓN HETEROTROFA Es el proceso por el cual las células toman el oxigeno y la glucosa , liberando co2 y agua, y energía en forma de ATP Existen dos procesos respiratorios Aeróbicos en presencia de oxígeno, ocurre en la mitocondria Anaeróbicos en ausencia de oxígeno ocurre en el citoplasma La ecuación general de la reacción es la siguiente C6 H12 O6 + 6 H2 O + O2 6 CO2 +12 H2 O + energía ATP GLUCÓLISIS: Este proceso se lleva a cabo en el citoplasma celular, sin la presencia de oxígeno , es decir anaeróbico. La glucólisis es un proceso conjunto de reacciones en las cuales , el azúcar , glucosa se parte en dos y forma dos moléculas de ácido pirúvico . En esta fase se producen cuatro de ATP pero el proceso mismo requiere dos para que se inicie por lo que el resultado neto e de 2 ATP por cada molécula de glucosa y el ácido pirúvico puede tomar dos caminos 12- se oxida y entra en el ciclo de krebs que es aeróbico y que ocurre a nivel de la mitocondria sigue el proceso anaeróbico llamado fermentación ( láctica o alcohólica ). 19
  • 20.
    Biología X yXI 2013 Juan José Mora Vargas Ciclo de Krebs : Respiración celular aerobia Es una serie de reacciones que ocurren en los compartimentos de la mitocondria, esto hace necesario que el ácido pirúvico obtenido por glucólisis, se transporte del citosol a la matriz mitocondrial, este traslado demanda el consumo de un ATP por ácido pirúvico movilizado (transporte activo). Formación de acetil CoA: En la formación de acetil CoA, cada molécula de ácido pirúvico es dividido en CO2 y un grupo acetilo de dos carbonos que se combina con la coenzima A, para formar acetil coenzima A (acetil CoA), en esta reacción se libera hidrógeno, que permite formar NADH a partir de NAD+. Esta reacción es virtualmente irreversible. La acetil CoA entra a la vía cíclica de Krebs. Ciclo del ácido cítrico - ciclo de Krebs, es una vía cíclica, la acetil CoA cede su grupo acetil al ácido oxalacético para formar ácido cítrico. El ácido cítrico se reordena para formar ácido isocítrico. El ácido isocítrico cede un carbono para CO2, formando ácido isocetoglutárico y NADH a partir de NAD+. Cadena Respiratoria De los productos anteriores el CO2 es un desecho metabólico que se libera a la atmósfera, el ATP esta disponible para ser utilizado en otras reacciones y las coenzimas NADH y FADH 2, deben recuperar su estado inicial, esto es conseguido al ingresar al proceso de fosforilización oxidativa (llamado también: cadena respiratoria, cadena de citocromos o cadena de transporte de electrones), con la cual se busca mayor ganancia de ATP. Tiene lugar en la membrana interna de la mitocondria 20
  • 21.
    Biología X yXI 2013 Juan José Mora Vargas Fermentación Láctica: Ocurre a nivel muscular . La glucosa por medio de dos enzimas se degrada en ácido láctico , CO2 y dos moléculas de ATP . Es una fuente de energía alterna para altas necesidades de fluido energético . Fermentación alcohólica: En este proceso , la glucosa , por medio de levaduras y enzimas , se degrada en alcohol , CO2 y dos moléculas de ATP MUTACIONES: Son cambios al azar en la secuencia de los nucleótidos en el A.D.N. o material genético (genoma), que son heredables desde el primer momento aunque algunas veces no se manifiesten en el fenotipo, ya que se necesita que ambos genes sean recesivos. Entre las causas de las mutaciones tenemos: Factores hereditarios: son producidas por genes recesivos que pueden permanecer en una familia durante generaciones sin encontrar un alelo semejante que le permita expresarse. Las relaciones sexuales entre parientes próximos aumenta la probabilidad de que los alelos formen pares y provoquen una condición anormal en la progenie. Infecciones: Los virus y las bacterias pueden provocar alteraciones en el material genético como el virus del SIDA. Radiaciones: las radiaciones producen cambios en el ADN, como roturas o trasposiciones cromosómicas, intercambiándose pedazos de cromosomas. Puede producir cáncer. Factores ambientales: el humo del tabaco, de los autos, fabricas, etc. Productos químicos: esto actúan produciendo cambios irreversibles en el ADN, otros incrementan la síntesis de ADN y estimulación de la expresión de los genes, 21
  • 22.
    Biología X yXI 2013 Juan José Mora Vargas IMPORTANCIA: Las mutaciones son importantes básicamente por dos motivos: contribuyen a la diversidad del material genético en una determinada población y también son una de las fuentes de variación que hacen posibles los cambios evolutivos de las especies. MUTACIONES GÉNICAS: Son conocidas como puntiformes o puntuales, ocurren a nivel de los genes, los cuales sufren modificaciones físicas y químicas MUTACIONES CROMOSÓMICAS: Son aquellas en las cuales a los cromosomas le falta o sobra un segmento del cromosoma MUTACIONES GENOMICAS: Son aquellas donde existen mas o menos cromosomas de lo normal DUPLICACIÓN DE ADN Y SINTESIS DE PROTEÍNAS DUPLICACIÓN :La duplicación del ADN es el mecanismo por el cual el ácido desoxirribonucleico (ADN) construye copias exactas de sí mismo, de esta manera transmite toda su información de un individuo a otro y se lleva a cabo cada vez que la célula se va ha dividir. Cuando la molécula de ADN se replica o duplica , las cadenas que lo conforman se separan y cada una de ellas sirve de molde para que se forme a la par una nueva cadena de ADN complementaria. Transcripción: Síntesis de ARN a partir del ADN La transcripción es el mecanismo por el cual se sintetiza el ARN a partir de una de las cadenas de ADN. Se llama transcripción porque en este proceso la información contenida en el ADN es transcrita de un tipo de codificación de almacenamiento (nucleótidos del ADN) a otro ( los nucleótidos del ARN). El proceso se inicia cuando una cadena de la doble hélice de ADN que se encuentra en el núcleo se abre en una de sus cadenas en la parte en donde está el mensaje genético y sirve de patrón para que se sintetice el ARNm, es decir, sirve de plantilla para que los nucleótidos de ARN mensajero que se encuentran en el nucléolo, se vayan uniendo en el lugar que les corresponde Traducción del ARN Cuando una molécula de ADN se abre en el sitio adecuado y, con la ayuda de las enzimas correspondientes, una de las dos cadenas empieza a ser transcrita a una molécula de ARN mensajero. Esta molécula llevará a los ribosomas la información suficiente para que la secuencia 22
  • 23.
    Biología X yXI 2013 Juan José Mora Vargas de aminoácidos forme correctamente la proteína correspondiente, mediante el proceso conocido como traducción La traducción es la síntesis de proteínas, es el proceso mediante el cual la información contenida en el ADN y transcrita al ARN, finalmente, se traduce en una secuencia de aminoácidos que se conformarán la proteína necesaria para el organismo. FASES DE LA MITOSIS 1pto PROFASE El núcleo y la membrana nuclear desaparecen, se mezclan en el citoplasma Los cromosomas (cromatina) se condensa y se hacen visibles. Aparecen las fibras del huso acromático Los centriolos migran hacia los polos Metafase Los cromosomas son jalados por las fibras del huso hacia el ecuador o centro de la célula formando la capa metafasica ANAFASE Los cromosomas duplicados se rompen y migran hacia los polos TELOFASE: Reaparecen la membrana y el núcleo Desaparecen las fibras del huso y los cromosomas Se forma un surco divisor CITOCINESIS: Se divide el citoplasma en dos células iguales a la madre FASES DE LA MEIOSIS MEIOSIS I  PROFASE I: Lascrómatidas se acortan, se empiezan a engrosar o condensarse los cromosomas. Se aparean los homólogos formando tétradas, es decir los cromosomas homólogos se colocan uno al lado del otro, a todo lo largo, formándose las sinapsis, el entrecruzamiento se da en los quiasmas o punto de unión, produciéndose intercambio de material genético. Comienza la formación del huso acromático, desaparecen la membrana nuclear y el nucléolo. PROFASE TEMPRANA PROFASE TARDÍA 23
  • 24.
    Biología X yXI 2013 Juan José Mora Vargas  METAFASE I: Los cromosomas en pares de homólogos o sea las tétradas unidas por los quiasmas, se alinean en la placa ecuatorial y los centrómeros se unen en las fibras del huso, el ordenamiento es al azar.  ANAFASE I: Los cromosomas empiezan a separarse dirigiéndose hacia los polos y cada uno arrastra a un cromosoma homólogo (entero). Aquí se encuentra una diferencia importante con la mitosis, mientras que en la mitosis las cromátidas hermanas se separan del centrómero, y migran hacia los polos, en la meiosis las cromátidas hermanas permanecen unidas por el centrómero moviéndose juntas hacia los polos de la célula, en dirección opuesta a las cromátidas que componen el otro cromosoma homólogo  TELOFASE I: Los cromosomas homólogos llegan a los polos, se forman dos células hijas que permanecen unidas en diada, se reconstruye la membrana nuclear, continua la división del citoplasma. MEIOSIS II 24
  • 25.
    Biología X yXI 2013 Juan José Mora Vargas REPRODUCCIÓN HUMANA Gametogénesis Concepto: Proceso por medio del cual se forman los gametos o células sexuales. El proceso por medio del cual se originan los espermatozoides se llama espermatogénesis, mientras que, los óvulos se forman por un proceso denominado ovogénesis. En la figura 7.1 se muestra ambos procesos espermatogénesis y ovogénesis. Espermatogénesis: Los testículos, a partir de la pubertad, inician la elaboración de espermatozoides, un proceso que continua hasta edad avanzada. La espermatogénesis se lleva a cabo en las paredes de los tubos seminíferos (cuya función es elaborar y almacenar espermatozoides).En estas paredes están presentes las células denominadas espermatogonias, las cuales tienen 46 cromosomas, a partir de éstas se forman los espermatocitos primarios, los que se transforman en espermatocitos secundarios; éstos se convierten en espermátidas y por último éstas se transforman en espermatozoides. El proceso se lleva a cabo por meiosis, cuya función es la reducir el número normal de cromosomas, de tal forma que en condiciones normales los espermatocitos de segundo orden, las espermátidas y los espermatozoides cuentan con 23 cromosomas. Ovogénesis : Proceso de formación de los óvulos o gametos femeninos que tiene lugar en los ovarios. Los óvulos se forman a partir de una célula germinal o protogonia, produciendo una célula llamada ovogonia con 46 cromosomas, es decir diploide (2n). La cual entra a meiosis I, se divide y produce los ovocitos primarios o de I orden, que a su vez sufre una reducción cromosómica mediante la meosis II originando a los OVOCITOS de primer orden y a los ovocitos de segundo orden, con 23 cromosomas cada una. Los ovocitos de segundo orden producen un óvulo y un cuerpo polar y, los polocitos de primer 25
  • 26.
    Biología X yXI 2013 Juan José Mora Vargas orden forman dos cuerpos polares, con un genoma haploide todas las cuatro células resultantes. Una vez maduro el óvulo, el ovario se contrae y los expulsa, este proceso recibe el nombre de ovulación. ACCION HORMONAL Principales hormonas sexuales femeninas 1. Estrógenos responsables del crecimiento de los órganos sexuales y desarrollo de las características sexuales secundarias. 2. Progesterona (hormona del embarazo) que prepara el endometrio del útero para anidar el cigoto, inhibe la ovulación y la menstruación y estimula el desarrollo de las glándulas mamarias. 3. Hormona Folículo Estimulante(FSH) participa en el desarrollo de los folículos ováricos y junto con la hormona lutenizante (LH) promueve la secreción de estrógenos y ovulación. 4. Hormona Luteinizante estimula la ovulación, interviene en el desarrollo del cuerpo lúteo o amarillo (glándula temporal que secreta estrógenos y progesterona). 5. Prolactina favorece la producción de leche. Hormonas sexuales masculinas (andrógenos) La principal hormona masculina es la testosterona, la cual es producida en el testículo y cumple las siguientes funciones: propiciar el desarrollo de los órganos sexuales, mantener en bien estado los órganos sexuales, determinar la aparición de los caracteres sexuales secundarios y conservar el deseo sexual. Además participa la hormona folículo estimulante (FSH), estimulando el desarrollo de los conductos seminíferos y la espermatogénesis y la hormona luteinizante (LH) estimulando las células intersticiales para que se secreten testosterona EJERCICIOS TEMA 3 1- De los siguientes ejemplos de procesos metabólicos I.II.- C H O6 6 12 2 (C H OH + 2 C 2 + 2 A . ) O TP 2 5 (alcoh etílico) ol C H O6 6 12 2 (C 3 CH C H OH OOH + 2 A . ) TP (ácido láctico) ¿Cómo se clasifican los ejemplos I y II, respectivamente? A) Catabolismo, catabolismo. B) Anabolismo, catabolismo. C) Catabolismo, anabolismo. D) Anabolismo, anabolismo. 2- Las siguientes expresiones se refieren a ejemplos de procesos metabólicos. I. II. Formación de lípidos a partir de la combinación de glicerol y ácidos grasos. Descomposición de proteínas. Las expresiones I y II se refieren respectivamente a procesos metabólicos denominados A)catabolismo y catabolismo. B) catabolismo y anabolismo. C) anabolismo y catabolismo. D) anabolismo y anabolismo 3- Considere los siguientes textos que se relacionan con ejemplos de procesos metabólicos. I. II. Durante la respiración celular las moléculas de glucosa son Durante este tipo de reacciones, moléculas complejas, formadas degradadas para liberar la energía que contienen y llevar a cabo por gran cantidad de unidades son transformadas en pequeñas los procesos metabólicos. moléculas por la ruptura de los enlaces que unen dichas unidades. 26
  • 27.
    Biología X yXI 2013 Juan José Mora Vargas ¿Qué nombre recibe cada uno de los procesos? A) I anabólica y II anabólica. 4- I. II. B) I catabólica y II anabólica. C) I anabólica y II catabólica.D) I catabólica y II catabólica. Lea las siguientes afirmaciones que tienen relación con ejemplos de procesos metabólicos. Algunas proteínas durante el proceso de síntesis incorporan azufre. Las enzimas que contienen los lisosomas en algunas células, se encargan de degradar los materiales de desecho que luego son eliminados de la célula. Los procesos metabólicos anteriores se denominan A)I anabolismo y II anabolismo. B) I anabolismo y II catabolismo C)I catabolismo y II anabolismo.D)I catabolismo y II catabolismo 5- Observe la siguiente representación relacionada con un tipo de transporte celular. ¿Cuál es el nombre del transporte representado? A)Fagocitosis. B)Pinocitosis. C)Exocitosis. D)Difusión. 6-Observe la siguiente representación sobre un tipo de transporte celular. ¿Qué nombre recibe? A)Fagocitosis. B)Pinocitosis. C)Exocitosis. D)Difusión. 7-La siguiente expresión se relaciona con un tipo de transporte membranal. Implica el movimiento al azar de moléculas individuales o de iones y deriva en el movimiento neto a favor de un gradiente de concentración. ¿A qué tipo de transporte se refiere? A)Fagocitosis. B)Pinocitosis. C)Exocitosis. D)Difusión. 8- Las siguientes afirmaciones están relacionadas con componentes membranales. 27
  • 28.
    Biología X yXI 2013 Juan José Mora Vargas I. Empaca materiales en vesículas que son transportadas a otras partes de la célula o la membrana plasmática para su exportación. II. Digiere organelas defectuosas o que no funcionan de manera adecuada por medio de enzimas que hay en su interior. ¿A cuáles componentes membranales se refieren? A)I lisosoma y II retículo endoplasmático. C) I complejo de Golgi y II lisosoma. B) I retículo endoplasmático y II vacuola. D) I vacuola y II complejo de Golgi. 9- Observe la siguiente ilustración Lleva a cabo la síntesis de lípidos. De acuerdo a la ilustración anterior corresponde a la organela llamada A)lisosoma B) Vacuola C) Retículo endoplasmático D) Aparato de Golgi 10- Lea el texto del recuadro relacionado con una organela citoplasmática. Son regiones transparentes y bien definidas del interior de la célula que contienen agua y materiales disueltos. Funcionan como depósitos de líquidos y sales que, de otra manera, podrían interferir con los procesos metabólicos que ocurren en el citoplasma. El texto anterior se refiere a la organela denominada A) vacuolas. B) lisosomas. C) cloroplastos. 11-Considere las siguientes descripciones relacionadas con la fotosíntesis. D) mitocondrias. I. El flujo de electrones entre fotosistemas genera un gradiente de protones transmembranar para posibilitar la síntesis de ATP. II. El NADPH2 y el ATP formados reducen el dióxido de carbono y lo convierten en reacciones que tienen lugar en el estroma. III. El fotosistema I genera un factor reductor en forma de NADPH 2. El fotosistema II transfiere los electrones del agua a la quinona y simultáneamente produce oxígeno. IV. El dióxido de carbono de la atmósfera (o del agua en los organismos acuáticos) es capturado y modificado por la adición de hidrógeno para formar carbohidratos. ¿Cuáles se refieren a la síntesis de glucosa ? A) II y IV. B) II y III. C) 12. Analice los siguientes textos relacionados con la fotosíntesis. 28 I y IV. D) I y III. 3-glicerato a través de una serie de
  • 29.
    Biología X yXI 2013 Juan José Mora Vargas I. II. El agua se descompone en el proceso liberando oxígeno como producto secundario de la reacción. III. El primer producto estable es el 3-fosfoglicérico, molécula de 3 carbonos, que se origina de la combinación de 6 moléculas de dióxido de carbono y 6 moléculas de ribulosadi fosfato. IV. El CO2 es fijado en la molécula de ribulosa 1,5-difosfato, la cual está constituida por 5 carbonos. Seis moléculas de CO2 ingresan y se combinan con 6 moléculas de ribulosa, y forman 12 moléculas de 3fosfoglicérico. En una serie de reacciones la energía se convierte (a lo largo de un proceso de transporte de electrones) en ATP y NADPH2. ¿Cuáles corresponden a la captura de luz ? A)I y II. B) I y IV. C) II y III. D) III y IV. 13--Analice los siguientes textos relacionados con la fotosíntesis. I. La energía incide sobre pigmentos antena del fotosistema II; luego, los electrones pasan “cuesta abajo” al fotosistema I, a lo largo de una cadena de transportadores de electrones. Este pasaje genera un gradiente de protones que impulsa la síntesis de ATP a partir de ADP, proceso llamado fotofosforilación. II. A partir del ácido fosfoglicérico utilizando ATP y los hidrógenos que lleva el NADPH, (formados durante las reacciones dependientes de la luz), se sintetizan moléculas del compuesto denominado fosfogliceraldehido. (PGAL) III. El CO2 se combina con la ribulosa 1,5 difosfato, mediante la acción de la enzima ribulosadifosfatocarboxilasaoxigenasa. IV. Se lleva a cabo en el estroma y en ella se realiza la fijación de carbono. ¿Cuáles se refieren a la fase oscura? A) I, II y III. B) II, III y IV. C)I y II solamente. D) II y IV solamente. 14-Los siguientes textos se refieren a fases de la fotosíntesis. I. II. III. La energía que "golpea" a la clorofila excita a un electrón hacia un nivel energético superior. IV. El dióxido de carbono de la atmósfera es capturado y modificado por la adición de hidrógeno para formar carbohidratos. El dióxido de carbono es fijado en la molécula ribulosa 1,5 difosfato, que tiene 5 carbonos en su molécula. En una serie de reacciones la energía se convierte (a lo largo de un proceso de transporte de electrones ) en ATP y NADPH2. ¿Cuáles se refieren a la fase luminosa? A) I y III. B) I y IV. C) II y III. D) II y IV. 15- La información brindada se refiere a un proceso biológico. ¿Qué nombre recibe la totalidad del proceso? A) Cadena respiratoria B) Respiración celular. C) Ciclo de Krebs. 16- Analice la información que se le presenta relacionada con un proceso biológico. 29 D) Glucólisis.
  • 30.
    Biología X yXI 2013 Juan José Mora Vargas Corresponde a la etapa final de la respiración, que involucra a una cadena de transportadores de electrones y enzimas dentro de la membrana interna de la mitocondria. A lo largo de esta serie de transportadores de electrones, en tres sitios durante su recorrido, se + desprenden grandes cantidades de energía libre que impulsan el bombeo de protones (iones H ) hacia el exterior de la matriz mitocondrial, lo cual crea un gradiente electroquímico a través de la membrana interna de la mitocondria. Cuando los protones pasan a través del complejo de ATP sintetasa, y a medida que vuelven a fluir a favor del gradiente electroquímico al interior de la matriz, la energía liberada se utiliza para formar moléculas de ATP a partir de ADP y fosfato inorgánico. ¿Cuál es el nombre del proceso descrito? A) B) C) D) Ciclo de Krebs, debido a que participa el NAD y el FAD. Glucólisis, por la participación del NADH proveniente del citoplasma. Fermentación, debido a la descomposición de la glucosa en ausencia de oxígeno. Cadena respiratoria, por la formación de energía en la cadena transportadora de electrones. 17-Analice las siguientes afirmaciones relacionadas con la respiración celular. I. Se lleva a cabo en el interior de las mitocondrias y forma una vía bioquímica que comienza y termina con la misma molécula de cuatro carbonos, el ácido oxalacético. II. III. IV. Comienza con la condensación del oxalacetato y acetil CoA para originar citrato. Las reacciones de este proceso, se llevan a cabo en el citoplasma. Secuencia de reacciones que convierte la glucosa en piruvato. ¿Cuál o cuáles se refieren al ciclo de Krebs? A) B) C) D) I y II. I y IV. II, III y IV. III solamente. 18--Considere las siguientes afirmaciones sobre la respiración celular. I. Las levaduras son hongos microscópicos que descomponen la glucosa en ausencia de oxígeno y producen alcohol etílico y dióxido de carbono, obteniendo de esta manera la energía que necesitan para vivir. II. Este proceso consiste en una primera etapa que no requiere de la presencia de oxígeno pero las dos etapas que le siguen no podrían ocurrir en ausencia de este elemento. III. La mayoría de los organismos llevan a cabo un tipo de respiración que genera más de 35 moléculas de ATP por cada molécula de glucosa. IV. Las células musculares humanas recurren a este proceso cuando no hay oxígeno disponible y existe una gran demanda de energía, formándose como un producto secundario el lactato. ¿Cuáles de las afirmaciones anteriores se relacionan con tipos de fermentación? A) I y IV. B) II y III. C) III y IV. D) II, III y IV. 19) Las siguientes afirmaciones se refieren a etapas de la respiración celular. I. II. III. Ocurre en la membrana Se lleva a cabo en el Ocurre la degradación interna de la mitocondria. citoplasma de la célula. moléculas de glucosa. IV. de El acetil CoA es un componente necesario para que se efectúe esta etapa. ¿Cuál o cuáles se refieren a la glucólisis? A) III solamente. B) II, III y IV. C) II y III. 20-Lea el contenido de los recuadros sobre las etapas de la división celular. 30 D) I y IV.
  • 31.
    Biología X yXI 2013 Juan José Mora Vargas I. II. Los cromosomas se fijan a las fibras del huso mitótico. Desaparece la envoltura nuclear. Los cromosomas se alinean en el ecuador de la célula. ¿Cuál es el nombre de las etapas a las que se refieren? A) 21- I anafasey II profase. B) I metafase y II profase. La cromatina se condensa y se forman los cromosomas. C) I telofase y II metafase. D) I metafase y II anafase. El contenido de los recuadros se relaciona con fases de la mitosis. II. La célula retorna a las condiciones iniciales que se encontraba antes del proceso de división celular y al final de esta fase ocurre la citocinesis, la cual consiste en la división del citoplasma para formar dos células hijas. I. ¿Qué nombre reciben las etapas anteriores? A) I profase y II telofase. B) I anafase y II telofase. C) I metafase y II profase. D) I anafasey II metafase. 22- ¿Cuál es la fase de la meiosis donde los cromosomas homólogos intercambian segmentos de ADN? A)Profase I. B) Profase II. C) Anafase II. D) Metafase I 23 - Analice el siguiente esquema El proceso biológico descrito en el esquema anterior recibe el nombre de A) meiosis B) espermatogénesis C) ovogénesis D) fertilización artificial 24- Lea los siguientes textos relacionados con fases de la mitosis. I. El centrómero de cada par de cromátidas se pega a una fibra del huso, que hace que los pares de cromatides se coloquen en línea con el ecuador de la célula. II. Los cromosomas toman forma de hilos y se forman en una masa de cromatina, el huso se rompe y reaparece el nucleolo. ¿Cuáles son los nombres de las fases a los que se refieren los textos dado? A) I metafase y II telofase. B) I metafase y II profase. C) I anafase y II telofase. D) I anafase y II Telofase 25- La siguiente afirmación se refiere a mutaciones. Los individuos con el síndrome de Klinefelter (XXY), tienen genitales y conductos internos masculinos, pero sus testículos son poco desarrollados y no producen esperma. La información subrayada se refiere a A) causa y consecuencia. B) consecuencia. C) importancia. 26 El siguiente texto se refiere a mutaciones. 31 D) causa.
  • 32.
    Biología X yXI 2013 Juan José Mora Vargas Las personas con síndrome de Down, tienen varias características: estatura corta, cara redonda, lengua grande y con estrías, párpados gruesos. B) La parte subrayada se refiere a causa y consecuencia. B) consecuencia. C) importancia. D) causa. 27- Las representaciones de los recuadros se refieren a tipos de mutaciones I. II. Las representaciones de los recuadros se refieren a las mutaciones denominadas A) Cromosómica, II Cromosómica B) Genómica, II Cromosómica C) I Génica, II Genómica D) Genómica II genómica TEMA 4 GENETICA 17 pts 4-Analizar los hechos históricos que conforman los principios mendelianos y que permiten el conocimiento científico de la herencia biológica CONCEPTOS BÁSICOS 5 pts GENE: Factor hereditario formado por ADN, que funciona como mensajes codificados para la síntesis de proteínas. También se definen como unidades biológicas de información genética que se autoreproduce y localiza en un porción definida (locus) en un cromosoma. Los genes son grupos de instrucciones codificadas para la apariencia física y los componentes del organismo, que conforman la molécula de ADN de un cromosoma. Están compuestos por una serie conectada de unos "250 peldaños" en la escalera de ADN. ALELO: Son unidades de los genes en las células diploides, colocándose uno en cada gameto. Formas diferentes o alternas de un gene para una característica. GENOMA: Serie completa de cromosomas o genes heredables de sus progenitores. Constitución genética total de un individuo. HOMOCIGOTA: Dos genes son iguales dominantes o recesivos, se les llama puros, SS o ss. HETEROCIGOTA: Gen con dos alelos diferentes, uno dominante y otro recesivo. Que posee dos alelos diferentes Ss. RECESIVO: Es aquel carácter manifestado solo en condición homocigota. Gene que se expresa solamente al aparearlo con otro gene igual para esa misma característica. Se denomina con letras minúsculas ss. 32
  • 33.
    Biología X yXI 2013 Juan José Mora Vargas DOMINANTE: Un carácter es dominante cuando siempre se manifiesta. Se escribe con letras mayúsculas SS. FENOTIPO: Aspecto de un ser vivo en cuanto a cierto carácter hereditario. También se puede definir como la apariencia externa de un organismo. GENOTIPO: Constitución genética de un ser vivo para ese mismo carácter o conformación genética de un organismo. CRUCE MOHÍBRIDO: Cruce en |que interviene una característica. DIPLOIDE: Célula con el número completo de cromosomas de la especie, se representa como 2n. HAPLOIDE: Célula que contiene la mitad del número cromosomas de la especie o juego sencillo de cromosomas, como ocurre en los gametos. Se representa como n LOCUS: Segmento determinado de los cromosomas, en dónde se localiza un gen determinado. Localización de un gen en particular (o de uno de sus alelos) en un cromosoma. LOCI: Plural de locus. LEYES DE MENDELLAl analizar los datos obtenidos, enuncia la PRIMERA LEY o LEY DE LA SEGREGACIÓN DE LOS CARACTRES, que dice lo siguiente: "Cuando se cruzan dos razas puras, que difieren en solo carácter (contratantes), todoslos individuos que se obtienen en la primera generación son iguales (con el mismo genotipo) y coinciden con el fenotipo de uno de los padres, mientras que en la segunda aparecen los caracteres ocultos en la primera generación." Luego de analizar los resultados obtenidos, postula la SEGUNDA LEY o LEY DE LA SEGREGACIÓN INDEPENDIENTELOS CARACTERES, que dice lo siguiente "Cuando se cruzan dos variedades de plantas o animales, que difieren en dos caracteres, cada carácter se segrega en forma independiente de CRUCES MONOHÍBRIDOS: los otros." Al cruzar dos plantas con vainas puras, una lisa y la otra rugosa ¿cómo será la F 1? L = lisa l = rugosa P1LL G1 F1 ll L G1 l L L l L lLlLl lLlLl Cuadro o tabla Punnett Fenotípicamente: 100% lisas Genotípicamente: Heterocigotas lLlLl 33
  • 34.
    Biología X yXI 2013 Juan José Mora Vargas Pero que sucede al cruzar dos plantas con vainas heterocigotas: P2 Ll Ll G2 G2 F2 l L l L L L l LL Ll lLlll lLlll EL RESULTADO DEL FENOTIPO ES DE 3:1 Y EL GENOTIPO UNA RELACIÓN 1:2:1 Fenotipo Genotipo 75% plantas con vaina lisas 25% homocigotas dominantes 50% heterocigota 25% plantas con vaina rugosa 25% homocigotas recesivas Pero que sucede al cruzar dos plantas UNA con vainas heterocigotos Y OTRA HOMOCIGOTA RECESIVA : P2 Ll ll l L L l G2 G2 l L F2 l LlLl lllll EL RESULTADO DEL FENOTIPO ES DE 2:2 Y EL GENOTIPO UNA RELACIÓN 2:2 lLlll Fenotipo Genotipo 50% plantas con vaina lisas 50% heterocigotos 50% plantas con vaina rugosa 50% homocigotas recesivas HERENCIAN0 MENDELIANA 4 PTS 5-Analizar procesos genéticos no mendelianas y resolver cruces de herencia ligada al sexo, sistemas de alelos múltiples y herencia intermedia. DOMINANCIA INCOMPLETA: No siempre todos los cruces de genética cumplen con las probabilidades de mendell, en el caso de la dominancia incompleta, lo que sucede es que NO EXISTE UNA CARACTERÍSTICA QUE DOMINE A OTRA, si no que existen dos características dominantes, que al combinarse en una primera generación se obtiene como 34
  • 35.
    Biología X yXI 2013 Juan José Mora Vargas resultado una característica intermedia a los padres, dominando en un 100% en la F1.Tanto en su genotipo y su fenotipo EJEMPLO SE CRUZA UNA PLANTA DE CHICHARO CON FLORES BLANCO DOMINANTE, CON OTRA PLANTA DE CHICHAROS DE FLORES ROJAS DOMINANTES, AL SER AMBAS DOMINANTES SE OBTIENE UNA CARACTERÍSTICA INTERMEDIA DE COLOR ROSADO Flores rojas: RR P1 Flores Blancas: BB Flores Rosadas: BR o RB FLORES BLANCAS G1 B B G1 F1 FLORES ROJAS R B R B R BR BR R BR BR Fenotipo lLlll 1O0% CHICHAROS CON FLORES ROSADAS Genotipo 100% RB Para la segunda generación se cruzan los hijos de la F1 obteniendo en su resultado 1 dominante, 2intermedia 1 dominante P2 FLORESROSADAS G1 F1 FLORES ROSADAS R B G1 B B R R B BB BR R BR RR Fenotipo lLlll 25% CHICHAROS CON FLORES BLANCAS Genotipo 25% BB 50% CHICHAROS CON FLORES ROSADAS 50% RB 25% CHICHAROS CON FLORES ROJAS 25% RR 35
  • 36.
    Biología X yXI 2013 Juan José Mora Vargas Para el cruce entre la característica intermedia y una dominante SIEMPRE se obtiene un resultado de 2 a 2 tanto en el genotipo como el fenotipo P2 FLORESROSADAS FLORES BLANCAS R B B B G1 F1 G1 B R B BB B BB BR RR Fenotipo Genotipo lLlll 50% CHICHAROS CON FLORES BLANCAS 50% BB 50% CHICHAROS CON FLORES ROSADAS 50% RB GRUPOS SANGUÍNEOS: Es uno de los ejemplos mejor conocidos de alelos múltiples es el de los grupos sanguíneos de los seres humanos, en que existen tres alelos (IA, IB y i) para determinar los cuatro tipos de sangre (A, B, AB y O), aunque cada individuo sólo puede tener dos alelos para es característica. DONA FENOTIPO ACEPTA GENOTIP O HOMOCI HETEROCI GOT GOTA A IAIA IA i A Y AB AYO B IB IB IB i B Y AB B YO AB I A IB -------------- AB AB Y O ----------------- O,AB,A,B O O Ii 36
  • 37.
    Biología X yXI 2013 Juan José Mora Vargas Como se podrá comprender es sumamente importante conocer el tipo sanguíneo e incluso portar este dato. Los tipos sanguíneos permiten también aclarar casos de paternidad dudosa. Por ejemplo, ¿podría un niño con tipo de sangre O ser hijo de un hombre AB, si su madre es A heterocigota? padre IA IB madre IA i hijo ii padres o F1: G1: IA F1: IAIAIAi I A IB x IB IA i IA i IB I A IB i FACTOR Rh o INCOCOMPATIBILIDAD Rh: Se han encontrado otros casos de control genético de la relación antígeno / anticuerpo, que si bien no tienen efectos tan extremos en la transfusión de sangre, sí pueden generar casos especiales, a veces muy dramáticos. Uno de estos se relacionan con el sistema Rh. Este sistema incluye por lo menos ocho tipos distintos de antígeno, a cada uno de los cuales se les llama factor Rh. El factor Rh más importante es el antígeno D, el cual se produce en los glóbulos rojos, está presente en más del 80% de las personas. Si una persona tiene este antígeno, se dice que es Rh positivo (Rh+); si no lo presenta, se dice que es Rh negativo (Rh-).El alelo que codifica el antígeno D es dominante sobre su ausencia. De este modo, las personas Rh - necesariamente deben ser homocigotas recesivos, mientras que las Rh+ pueden ser homocigotas o heterocigotas HERENCIA LIGADA AL SEXO Esto ocurre a nivel de los cromosomas sexuales XX y XY donde en el gen recesivo materno ocurre el problema algunos casos son DALTONISMO: Es la ceguera a identificar o diferenciar los colores en especial el rojo y verde Se representa de la siguiente forma Mujer XDXD Fenotipo SANA Mujer XDXd Mujer XdXd Portadora Enferma Genotipo MUJER SANA NO PORTADORA Mujer sana portadora Mujer enferma Hombre XD Y Hombre Xd Y SANO ENFERMO Hombre sano HOMBRE ENFERMO 37
  • 38.
    Biología X yXI 2013 Juan José Mora Vargas APLICACIONES DE LA BIOLOGÍA 4PTS 6-Analizar la importancia y las implicaciones de la Biotecnología, como parte del proceso de desarrollo del conocimiento en las ciencias y en la tecnología Clonación: por medio de esta técnica se obtienen uno o más individuos a partir de una célula somática o de un núcleo de otro individuo, estos organismos son idénticos genéticamente. El primer animal clonado se llama Dolly. MUTACIÓN INDUCIDA: Consiste en inducir modificaciones en el ADN mediante la aplicación de radiación o sustancias químicas. Los genes mutantes son importantes porque han proporcionado claves para entender en qué forma actúan los genes para producir un determinado fenotipo FERTILIZACIÓN “IN VITRO”: Mediante esta técnica se producen bebes probetas. Consiste en producir en la mujer una producción de muchos óvulos, los cuales son extraídos y colocados en un medio adecuado para mantenerlos vivos. Luego son fecundados en el laboratorio, de los cigotos producidos se escoge uno y se implanta en el endometrio de la mujer. Los otros cigotos se mantienen vivos para utilizarlos en la eventualidad de que el cigoto implantado no siga el curso normal de desarrollo. INSEMINACIÓN ARTIFICIAL: Proceso `por el cual se introduce semen en el sistema reproductor femenino, consiste en inyectar con ayuda de una varilla similar una pajilla semen de un macho deseado en la hembra ORGANISMOS TRANSGÉNICOS: Los organismos transgénicos son aquellos individuos a los que por ayuda de la ingeniería genética se le introduce un gen extraño , puede ser de otra especie, o inclusive de otro reino . ejemplo introducir un gen de un animal a una planta para que resista los cambios de temperatura Selección Artificial : Esto es escoger las características deseadas que se quieren reproducir para obtener especies mejoradas en apariencia y en productividad EJERCICIOS TEMA 5 GENÉTICA 1- Lea el siguiente texto sobre un término básico de la genética. Uno de los genes para un rasgo determinado, que tiene una ubicación específica en cada cromosoma homólogo. ¿Qué nombre recibe el término descrito en el texto anterior? A) Alelo. 2- B) Genoma. C) Fenotipo. D) Genotipo. La siguiente expresión se refiere a un término de la herencia. Alelo cuyo efecto fenotípico está anulado en la condición heterocigótica por el otro alelo, de manera que no se expresa. ¿A cuál término se refiere? A) Alelo. B) Genoma. C) Dominante. D) Recesivo . 38
  • 39.
    Biología X yXI 2013 Juan José Mora Vargas 3- Considere el siguiente texto relacionado con un problema monohíbrido. Considerando una pareja de conejos donde el color negro del pelaje resulta dominante sobre el color marrón, se cruzan un macho y una hembra de color negro, ambos de genotipo heterocigota. ¿Cuál es la probabilidad de que aparezcan conejos de color marrón en la descendencia? A) 75% B) 50% C) 25% D) 0% 4- La siguiente información se refiere a un cruce monohíbrido: Carlos Luis agrónomo del pueblo, decide cruzar dos plantas de cocotero. Una de ellas es de semilla amarilla heterocigota, la otra presenta semilla verde homocigota recesivo. ¿Cuál es el porcentaje esperado para plantas con semilla amarilla? A) 75% B) 50% C) 25% D) 0% 5-Según la siguiente información relacionado con un término de la herencia: E s un segm ento de A N localiz D ado en un lugar en particular de un crom osom a. E conjunto de estas l unidades form an el A DN , y controlan todos los aspectos de la vida de un organism o. ¿ Cuál es el nombre del término relacionado con la herencia al que se refiere la información anterior? A) Alelo. B) Genoma. C) gen. D) Recesivo . 6) El siguiente esquema está relacionado con el cruce de un toro con dos vacas diferentes: En el ganado, la falta de cuernos es una característica dominante sobre la presencia de los mismos. II Toro sin cuernos I Vaca con cuernos III Vaca sin cuernos Progenitores IV Individuo sin cuernos V Individuo con cuernos Descendientes A) B) ¿Cuáles son los genotipos de los cinco individuos, si se representa la característica sin cuernos con “S” y la presencia de cuernos con “s”? I ss, II SS, III SS, IV Ss, V ss. C) I ss, II Ss, III Ss, IV Ss, V ss. I Ss, II Ss, III Ss, IV Ss, V ss. D) I ss, II Ss, III Ss, IV Ss, V Ss. 39
  • 40.
    Biología X yXI 2013 7- Juan José Mora Vargas El siguiente problema está relacionado con el cálculo de probabilidades de la herencia: Dos plantas de tallo largo heterocigota se cruzan Tallo largo: Dominante. Tallo corto: Recesivo. ¿ Cuál es el fenotipo esperado en la primera generación (F1)? A) B) C) D) 8- 75% plantas de tallo corto; 25% plantas de tallo largo. 75% plantas de tallo largo; 25% plantas de tallo corto. 50% heterocigota, 50% homocigota. En un cruce de dominancia incompleta, ¿cuál es el fenotipo esperado al cruzar una planta de maravilla de flores rojas con otra planta de maravilla de flores blancas? A) B) 9- 50% heterocigota, 25% homocigota dominante, 25% homocigota recesivo. 75% plantas de flores rojas y 25% plantas de flores blancas. 50% plantas de flores rojas y 50% plantas de flores blancas. C) 100% plantas de flores rosadas. D) 100% plantas de flores rojas. ¿Cuál es el fenotipo esperado del cruce de una vaca rojiza y un toro roano, si se sabe que el color roano es un estado intermedio entre el color blanco y el rojizo? A) B) C) D) 100% de color roano. 50% de color rojizo y 50% de color roano. 75% de color roano y 25% de color blanco. 25% de color blanco, 50% de color roano, 25% rojizo. 10-Cuál es la probabilidad de que una mujer con una visión normal al color, cuyo padre tenía ceguera al color (daltonismo) pero cuyo marido tiene una visión normal al color, tenga en su descendencia un hijo-varón con ceguera al color? A) 0% 11- B) 25% C) 75% D) 100% ¿Cuál será el posible resultado del apareamiento entre una mujer sana (no portadora) y un hombre hemofílico? A) B) C) D) 25% mujeres sanas (no portadoras), 25 % mujeres portadoras, 50% hombres sanos. 75% de mujeres enfermas, 25% de hombres sanos. 50% mujeres portadoras, 50% hombres sanos. 75% mujeres portadoras, 25% hombres sanos. 12- ¿Cuáles son los grupos sanguíneos posibles en la descendencia de un cruce entre individuos del tipo AB y tipo O? A) A, B. B) AB, O. C) A, B, O. D) A, B, AB. 40
  • 41.
    Biología X yXI 2013 Juan José Mora Vargas 13- Lea la siguiente información relacionada con problemas sobre el cálculo de probabilidad de grupos sanguíneos: Padres: Carolina X Jorge A B Genotipo I iI i Carolina le plantea el divorcio a Jorge por sospechar que tiene un hijo fuera de matrimonio con Melisa poseedora de sangre tipo O. ¿ Cuál de los siguientes genotipos corresponde a un posible hijo de Jorge con Melisa? AB BB A) I I . B B) I I . A C) I i. D) I i. 14- Carlos presenta el Factor RH + heterocigoto y se casa con Karla que presenta RH-¿ Que probabilidad de que posean un hijo con Rh-? A) 25% B) 50% C) 75 % D) 0% 15- Ana está a la espera de su segundo hijo, ella presenta sangre A con factor Rh positivo heterocigota. Su esposo tiene sangre A con factor Rh positivo en condición heterocigoto. Que % se espera de obtener un hijo RH -. A) 25% B) 50% C) 75 % D) 0% 16-Considere la siguiente descripción relacionada con un tipo de manipulación de la herencia. 1. 2. 3. 4. 5. 6. Se inserta en el plásmido de una bacteria el gen que codifica la insulina. La enzima de restricción corta el gen y el plásmido. Se une el ADN del gen foráneo, mediante las enzimas, denominadas ADN-ligasa, que unen ambos trozos de ADN. El resultado es una molécula de ADN recombinante que contiene el gen que codifica la insulina. La bacteria reproduce los genes de la insulina. Se generan grandes cantidades de la hormona. ¿Cómo se denomina la técnica aplicada a esta bacteria? A)Fertilizaciónin vitro. 17- B) Inseminación artificial.C)Organismo transgénico. D) Control biológico de plagas. La siguiente descripción se relaciona con una técnica de manipulación de la herencia. Con esta técnica, los médicos: Extraen el óvulo del útero. Fusionan los núcleos de los gametos en el laboratorio. Implantan el cigoto en el útero. La información anterior se refiere a A) Fertilización in vitro. B) Inseminación artificial.C)Organismo transgénico. D) organismo clonado . 18-La siguiente descripción se relaciona con un tipo de manipulación de la herencia. En 1992 se practicó la recombinación del ADN de cereales introduciendo un nuevo gen que hacían que ciertas plantas y bacterias fueran inmunes a los herbicidas. Se produjo una variedad de cereal híbrido que es inmune a los herbicidas que contienen el compuesto denominado imidazolin. La totalidad de la descripción se refiere a A) Fertilización in vitro. B) Inseminación artificial.C)Organismo transgénico. 41 D) organismo clonado .
  • 42.
    Biología X yXI 2013 Juan José Mora Vargas 19-La siguiente información corresponde a un tipo de manipulación de la herencia. Es una tecnología de reproducción asistida en que se fecundan uno o varios óvulos fuera del organismo materno. Se estimula la maduración de muchos óvulos mediante inyección diaria de hormonas (se puede hacer con un solo óvulo). Los óvulos se extraen mediante diferentes técnicas. Los óvulos extraídos se mantienen en un medio líquido especial al que se añade semen lavado e incubado. Después de 18 horas se extraen los óvulos, se cultivan en un medio adecuado y se examinan 40 horas después. Hay una probabilidad del 40-50% de fecundación de los óvulos. ¿Cuál es el nombre de la técnica biotecnológica? A) Fertilización in vitro. 20- B) Inseminación artificial.C)Organismo transgénico. D) organismo clonado . La siguiente descripción está relacionada con Biotecnología. A través de esta técnica se incorporan genes que no son los propios en plantas y animales con la finalidad de agregar en estos individuos alguna característica favorable como por ejemplo cultivos resistentes a plagas o sequías, animales que produzcan mayor cantidad de leche. ¿A cuál tipo de manipulación genética se refiere? A) Fertilización in vitro. 21- B) Inseminación artificial. C) Organismo transgénico. D) organismo clonado . La siguiente descripción se refiere a una técnica de la Biotecnología. Esta técnica consiste en extraer el núcleo de un óvulo y reemplazarlo por el núcleo de una célula del cuerpo de un organismo, que luego es transferido al útero de una hembra para que se desarrolle y se genere un organismo idéntico a aquel que aportó la célula. ¿A cuál tipo de manipulación genética se refiere? A) Fertilización in vitro. B) Inseminación artificial.C)Organismo transgénico. D) organismo clonado . TEMA 5 EVOLUCIÓN Y GENÉTICA 4PTS 7- Analizar la participación de la herencia genética en la capacidad de respuesta de los organismos ante el ambiente y comprender los fundamentos de la evolución biológica La evolución es un proceso de transformación lenta y progresiva, que lleva a las especies a adquirir una serie de modificaciones que las hacen más complejas, ocasionando que se formen nuevas especies de las especies ya existentes. La evolución ocurre a través de cambios evolutivos acumulativos en el curso de las sucesivas generaciones de descendientes. FACTORES QUE DETERMINAN LA EVOLUCIÓN 1- Selección natural: Significa que los individuos con genotipos y ciertos rasgos tienen más descendencia superviviente en la siguiente generación que otros individuos. No opera en individuos con fenotipos de gene simples, sino en el efecto genotípico total de todo el conjunto de genes presentes. Caracteristicas - Capaz de dejar descendencia fértil Reproducción sexual Adaptación 42
  • 43.
    Biología X yXI 2013 Juan José Mora Vargas 2-MUTACIONES: La molécula de ADN tiene dos características claves para su contribución al proceso evolutivo: es una molécula muy estable y, a la vez está en capacidad de transformar su composición. La mutación como fuente evolucionaria es la principal causa de alelos nuevos y nuevas combinaciones génicas (variación). El efecto más significativo es que la mutación aumenta la variabilidad genética o diversidad y por ende lo genotipo, pueden ocurrir en forma natural o artificial. Además es la materia prima sobre la cual puede actuar la selección natural. 3- DERIVA GENÉTICA O DESPALZAMIENTO GENÉTICO AL AZAR: Se origina por cambios que ocurren en las frecuencias génicas de poblaciones reproductivas pequeñas, causada por un proceso fortuito (al azar), llamado error de muestreo, sobre el cual influye el tamaño de la muestra; cuanto menor o pequeña sea el tamaño de la población mayor será el cambio en las frecuencias alélicas debido a la deriva, la deriva genética explica las diferencias en especies afines en diferentes partes del mundo difieren en aspectos curiosos, e incluso extraños, que parecen no tener valor adaptativo. Este efecto es evidente en islas y zonas geográficas incomunicadas. MIGRACIÓN GENÉTICA O FLUJO GENÉTICO: Es el movimiento o transferencia de genes por medio de la migración (movimiento de genes hacia adentro o afuera de una población) y el entrecruzamiento de dos poblaciones. En poblaciones pequeñas aumenta la variabilidad genética. El flujo genético no cambia las frecuencias génicas del total de la especie, pero puede cambiarlas localmente, si las diferentes poblaciones tienen distintas frecuencias alélicas. FACTORES QUE AFECTAN LA ESPECIACIÓN 8-Analizar los procesos evolutivos que originan la biodiversidad de especies y de ecosistemas, a partir de especies ancestrales que conquistan los hábitats. 43
  • 44.
    Biología X yXI 2013 Juan José Mora Vargas Tema 6 Evolución y Biodiversidad 17 ESPECIACIÓN: (4pts) proceso mediante el cual Desaparecieron y aparecen nuevas especies. Una especie es el conjunto o grupo de organismos que tienen características similares que los hacen capaces de reproducirse naturalmente entre ellos. 1 VARIABILIDAD: La existencia de variabilidad genética es una condición necesaria para que ocurra la evolución. Si la variabilidad aumenta en una población, mayor es la oportunidad de evolucionar. 2 AISLAMIENTO: Las variaciones ocurren al azar y sólo aquellos organismos que se han adaptado a esas variaciones, han logrado sobrevivir y reproducirse, y por consiguiente pueden perpetuarse. Para que las nuevas especies se establezcan en un lugar y evolucionen es necesario el aislamiento. Los mecanismos de aislamiento por tanto son procesos que aseguran la conservación de las características de las especies. Su aparición determina la formación de especies distintas. El aislamiento puede originarse por las siguientes formas: Aislamiento geográfico: se da cuando una población se divide por una barrera física (océano, montañas, mares, carreteras, praderas recién formadas, ríos o desiertos), evita que los miembros de dos poblaciones puedan tener contacto unos con otros. Aislamiento reproductivo: es la incapacidad de que los organismos se crucen entre sí; ya que estos organismos pertenecen a razas o subespecies (poblaciones de especies originales que han llegado a ser diferentes por un aislamiento geográfico), por lo cual no pueden producir una progenie fértil. 44
  • 45.
    Biología X yXI 2013 Juan José Mora Vargas 3 COMPETENCIA: La competencia es una interacción entre los seres vivos de un mismo nivel trófico (nivel en el que se sitúan los seres vivos dentro de una cadena alimenticia) de la cadena alimenticia (serie sucesiva de organismos a través de los cuales se transfiere la energía Sol, desde su fuente final en una planta a los organismos de un ecosistema, cada organismo come al precedente y es devorado por el miembro siguiente) Existen dos tipos de competencia: inter específica (entre especies) o intra específica (dentro de la misma especie). 4-RADIACIÓN ADAPTATIVA: Supone que las especies descienden de un antepasado en común , por lo que una especie superior genera muchas especies o individuos con particularidades entre si EVIDENCIAS DEL PROCESO EVOLUTIVO: 4pts 10 Analizar la historia de la vida con base en las principales evidencias del proceso evolutivo y las teorías acerca del origen de las especies PALEONTOLÓGICAS: La paleontología es una rana de la geología que estudia a los fósiles (cualquier muestra de vida perteneciente a otra época pasada: huesos, conchas, dientes, tejidos duros de vegetales y animales). EMBRIOLOGÍA: La comparación de los embriones de los organismos permite deducir si provienen de un mismo ancestro. Estas semejanzas en el desarrollo embrionario, según se cree en la actualidad, demuestran que las etapas tempranas del desarrollo de los animales vertebrados. 45
  • 46.
    Biología X yXI 2013 Juan José Mora Vargas BIOQUÍMICAS: Con las nuevas tecnologías de la biología molecular es posible comparar la afinidad del código genético de las especies. Las semejanzas y diferencias entre un organismo puede realizarse a través de estudios de la estructura molecular. ANATÓMICAS: La anatomía es otra herramienta que permite detectar semejanzas y deferencias entre los organismos. EXTINCIONES : Se debe a la desaparición de una especie que habitaba en un lugar determinado ejm los dinosaurios. 11-Analizar las diferentes Teorías del origen de vida, con base en las principales evidencias del proceso evolutivo y las teorías acerca del origen de las especies. TEORÍAS O POSTULADOS SOBRE EL ORIGEN DE LA VIDA:(4pts) En relación con la explicación de cómo se originó la vida en el planeta Tierra existen diferentes posiciones: COSMOZOICA O PANSPERMIA: También se le conoce como hipótesis de la experimentación. Propone que la vida se originó a partir de formas que provienen de otros lugares del Universo (Cosmos). La forma mediante la cual la vida llega a la Tierra fue utilizando mecanismos de transporte como el polvo espacial, meteoritos, cometas, planetoides o asteroides. Fue desechada por investigaciones realizadas por Luis Pasteur, que concluyeron que la vida proviene de la vida. 46
  • 47.
    Biología X yXI 2013 Juan José Mora Vargas GENERACIÓN ESPONTÁNEA: Propone que los seres vivos pueden originarse en cualquier momento y en cualquier lugar a partir de materia no viviente. En la antigüedad los científicos creían que la basura originaba las moscas, y que el alimento abandonado producía gusanos. ORIGEN QUIMIOSINTÉTICO: Considera que los seres vivos se originaron por medio de procesos químicos a partir de materia no viviente (sustancia inanimada); fue promovida por Osparin, Haldane y Beuter. - Formación de molécula orgánicas simples (monómeros) a partir de sustancias presentes en la atmósfera y el océano, por medio de radiaciones ultravioleta y energía radiante. - Formación de moléculas orgánicas complejas (polímeros) a partir de moléculas orgánicas simples (monómeros). - Formación de conglomerados prebióticos o protecélulas con una composición química definida e identidad propia, esto ocurrió por la polimerización de los polímeros. Los seres vivos se desarrollaron en un medio sin oxígeno y en mares de agua con muchas moléculas orgánicas, obtuvieron energía por procesos anaeróbicos. Los primeros organismos fueron heterótrofos, ya que había mucho alimento en el medio, pero al agotarse los alimentos se convirtieron en autótrofos, produciendo sus propias moléculas orgánicas por procesos fotosintéticos o quimio sintéticos. 47
  • 48.
    Biología X yXI 2013 Juan José Mora Vargas TEORÍAS SOBRE EL ORIGEN DE LAS ESPECIES: 4PTS TEORÍA DEL EQUILIBRIO PUNTEADO: En 1972, NilesEldredge y EstephanJanGould, propusieron una teoría de la evolución que explicaba las lagunas que hay en el registro fósil, sugirieron que esas lagunas eran reales y que había muy pocas formas intermedias, a medida que evolucionan las especies. En su opinión una especie puede mostrar poco o ningún cambio durante el año. TEORÍA DEL USO Y DESUSO DE LOS ÓRGANOS: Esta posición fue defendida por Jean BaptisteLamark (1744-1828). Para él la formación de una especie es muy lenta y requiere de mucho tiempo; por lo cual, el proceso parece imperceptible, las especies existentes en la naturaleza, no son perpetuas, existen en intervalos determinados de tiempo. El medio ambiente (calor, luz, humedad, etc.) ejerce una influencia directa sobre los seres vivos, como consecuencia de esto aparecen necesidades y variaciones en la conducta de los organismos. Si las condiciones actúan durante mucho tiempo los animales adquieren nuevas conductas; al mismo tiempo, el órgano que emplean excesivamente se desarrolla con más fuerza, mientras que el órgano menos usado se atrofia poco a poco. TEORÍA DE LA SELECCIÓN NATURAL: En el siglo XIX, Charles Darwin (1809-1882), propuso y fundamentó una teoría científica sobre el origen de las especies. Descubrió las fuerzas motrices de la evolución y explicó bajo el punto de vista materialista, el origen y el carácter relativo de la adaptación, como resultado solamente de la acción de leyes naturales, sin la intervención de las fuerzas sobrenaturales. Dicho en otras palabras, la selección natural consiste en que sólo los individuos mejor adaptados al medio son los que sobreviven si hubiese un cambio en las condiciones del medio Dicha teoría se resume así: - Los seres vivos de una misma especie no son idénticos entre sí La falta de espacio vital, para reproducirse y la competencia para obtener alimento, agua; originan la lucha por la existencia. Los caracteres, que hacen que estos seres vivos triunfen, son hereditarios. Paralelamente a la selección natural coopera la selección sexual. En cada generación solamente sobreviven los que están mejor adaptados. MUTACIONISMO: En 1900, fueron redescubiertas las leyes de la herencia, la cuál ofrece argumentos para cuestionar el planteamiento Darwiniano. Cuando se indagó que los seres vivos, además de variar de una manera gradual, continua y poco intensa, pueden hacerlo de una manera rápida, brusca y discontinua, mediante las mutaciones, se propuso un nuevo paradigma evolutivo: el mutuanismo. Entre los principales mutacionistas estaban Hugo Vries, W. Batezon y T. H. Morgan De acuerdo con esta posición, el avance evolutivo y la aparición de nuevas especies, se producen cuando una mutación (cambio brusco) favorable aparece reemplazando a su válido predecesor, siendo transmitido de una generación a otra. Esta modificación se produce en el ADN. 48
  • 49.
    Biología X yXI 2013 Juan José Mora Vargas Los argumentos que llevan a la caída del mutacionismo no se deben a que no es necesario que los genes surjan de nuevo por mutaciones, y aunque los individuos de algunas poblaciones se reproducen sexualmente, no todos son genéticamente idénticos. TEORÍA SINTÉTICA: Esta teoría es el producto de la conjunción de una serie de planteamientos e hipótesis que viene a dar una nueva dimensión a la propuesta por Darwin (Selección Natural ) y las propuestas de Vries (Mutacionismo) en su tiempo. ThedosiusDobzhansky, contribuyó ha aumentar el conocimiento sobre la microevolución, utilizando evidencias experimentales sobre genética y la contrarrestó con los postulados teóricos acerca de la evolución. Dobzhansky demostró que el Dawinismo y los hallazgos de la genética son compatibles; las nuevas especies normalmente se originan mediante la evolución de diferentes genes, en poblaciones reproductivamente aisladas de alguna especie parental. Así, estas especies llegan a ser tan diferentes que no pueden reproducirse con la población parental y se establecen como especies distintas. Propone que las mutaciones adquiridas por los individuos son las que permiten en algunos casos hacerle frente a los cambios que se den en las condiciones del medio. Descubrió que las especies de mayor éxito tienden a poseer una gran variedad de este tipo de genes que aportan a la especie en su conjunto una diversidad genética que le permite adaptarse mejor a los cambios ambientales EJERCICIOS TEMA 5 1-Analice los siguientes textos relacionados con fuerzas elementales de la evolución. I. Dentro de las pequeñas poblaciones endogámicas, los heterocigotas tienden a desaparecer y, aumentar la población para un alelo u otro por intervención de factores casuales más que por selección. En esta forma puede producirse acumulación de ciertos caracteres perjudiciales con eliminación subsiguiente del grupo que los posee. II. Cuando una especie se expande continuamente, las poblaciones que habitan en los límites del territorio, al invadir nuevas áreas, es posible que sean muy pequeñas, y con el tiempo se llegan a diferenciar genéticamente del grupo principal de la población. III. IV. Ocurren al azar en forma espontánea y con una frecuencia relativamente estable para un determinado locus. Corresponde a un cambio súbito y permanente en la información contenida en la molécula de ADN. A) I y II. 2- ¿Cuáles se refieren a desplazamiento genético al azar? B) I y IV. C) II y III. D) III y IV. Analice la información de los recuadros referentes a las fuerzas elementales de la evolución. M. I. MIGRACIÓN GENÉTICA Es un cambio en la estructura del material genético de un ser vivo. Puede producirse como resultado de cambios en uno de los genes o de variaciones en la estructura de varios cromosomas. P. Consiste en la introducción de nuevos genes en una población; un ejemplo lo constituye el desplazamiento de individuos de otras poblaciones, que aunque sean de la misma especie, tienen una condición alélica distinta. ¿Cómo se asocia correctamente la información de los recuadros? A)I M, II M. B) I P, II M.C) I M, II P. D) I P, II P. II. MUTACIÓN 49
  • 50.
    Biología X yXI 2013 Juan José Mora Vargas 3-Analice los siguientes textos, relacionados con fuerzas elementales de la evolución. I. En el sentido genético, implica que los organismos (sus gametos o semillas) que van de un lugar a otro se entrecruzan con los individuos de la población a la que llegan. II. Cualquier cambio heredable del material genético que aparezca espontáneamente; es decir, que no surja por una recombinación del material preexistente. III. Las frecuencias génicas pueden cambiar por razones puramente aleatorias. ¿Cuál o cuáles corresponden a mutación A) I y III. 4) B) II y III.C)I solamente. D) II solamente. Analice las siguientes afirmaciones relacionadas con las fuerzas elementales de la evolución. I. Disminuye considerablemente la variabilidad, cuando se alteran las frecuencias de los genes en la población, debido a un acontecimiento aleatorio. II. III. IV. Aumenta la variabilidad de las poblaciones a la que llegan nuevos genes. Se sucede un flujo de genes entre poblaciones de la misma especie. Actúa solamente sobre poblaciones pequeñas. ¿Cuáles se refieren a la migración genética A) I y III. B) I y IV. C) II y III. D) III y IV. 5-Lea los siguientes textos relacionados con fuerzas elementales de la evolución. I. II. III. El ambiente selecciona a aquellos individuos que se encuentran mejor adaptados para sobrevivir. IV. Hacia finales de la última glaciación, muchas especies de organismos pertenecientes a poblaciones reducidas, estuvieron al borde de la extinción. Aquellas especies que lograron sobrevivir perdieron la mayor parte de la variabilidad genética de sus poblaciones. Esta fuerza produce cambios evolutivos en poblaciones pequeñas y provoca la desaparición de alelos. Los cambios espontáneos y permanentes en el material genético de los individuos constituyen una fuente de variabilidad genética para la población. ¿Cuáles se refieren a desplazamiento genético al azar? A) I y II. B) II y III. C) II y IV. D) III y IV. 6-. El contenido de los recuadros se refiere a patrones evolutivos que determinan especiación. M. Radiación adaptativa. N. Competencia. O. Aislamiento. I. Es la formación de muchas especies nuevas a partir de un único ancestro, las cuales son capaces de invadir nuevas zonas por poseer una característica clave. II. Si dos poblaciones son diferentes a tal grado que desde el punto de vista genético, sea difícil o imposible el apareamiento, entonces debe haber un flujo de genes relativamente bajo entre ellos, que conduce a la especiación. III. Es la interacción entre individuos de la misma especie o de especies diferentes que utilizan el mismo recurso, éste suele estar en cantidad limitada. Entre los muchos recursos se encuentran el alimento, el agua, la luz, el espacio vital, los sitios de anidación o las madrigueras. ¿Cómo se asocia el contenido de los recuadros? A) I M, II O y III N. B) I N, II O y III M. C) I N, II M y III O. 50 D)I M, II N y III O.
  • 51.
    Biología X yXI 2013 Juan José Mora Vargas 7- Analice la siguiente información relacionada con especiación. Un ejemplo probable de evolución es el pájaro dodo. Una tormenta violenta pudo haber transportado varios pichones desde Asia hasta Mauricio, una isla remota en el Océano Índico. En esta isla, donde había poca competencia, probablemente prosperó una población pequeña de estas aves. Las mutaciones en esta población fueron diferentes a las que se sucedían en el continente. La selección natural favoreció características diferentes a las del continente. Con el tiempo, la evolución originó una nueva especie: el dodo. ¿Con cuál patrón evolutivo se relaciona? A) Deriva genética, debido a que se altera la frecuencia de la población de dodos. B) Aislamiento geográfico, que le impidió reproducirse con la especie continental. C) Competencia presente en la isla, debido al escaso número de depredadores. D) Radiación adaptativa que dio origen a muchas especies del pájaro dodo. 8-Analice la siguiente información acerca de patrones evolutivos que determinan la especiación: A. Variabilidad B. Aislamiento C. 1. 2. 3. Barreras geográficas provocan la formación de subespecies de una misma especie. Características diferenciales que presentan los individuos de una misma especie. Existe cuando hay una limitación que impide que los organismos de una población particular puedan cruzarse con el resto de su especie. Interacción por la limitación de comida y el espacio vital, que conlleva a una proliferación de nuevas especies. Competencia 4. ¿Cuál es la forma correcta de asociar la información? A) 9- A1, A2, B3 y C4. B) A2, B1, B3 y C4. C) A3, B4, C1 y C2. D) A4, B3, B4 y C1. Analice cuidadosamente el siguiente texto que se refiere a factores que inducen la formación de especies: La formación de dos o más especies a partir de una sola, requiere diversas formas de aislamiento entre las diversas subpoblaciones. Los pinzones de Darwin ilustran este punto, la ausencia de competidores y de depredadores en las islas Galápagos no solo suministró una presión de selección muy relajada al ave ancestral que llegó a las islas, sino que además el aislamiento relativo y la separación de las diversas islas permitieron el establecimiento de razas distintas. Una especie de pinzón que habita en la isla del Coco, situada 161 kilómetros al nordeste de las islas Galápagos, ilustra la importancia del aislamiento geográfico de distintas razas en el surgimiento de nuevas especies. En las islas Galápagos se originaron trece especies diferentes. En la isla del Coco no ocurrió tal diversificación por ser una isla única, existiendo en la actualidad una sola especie de pinzón. De acuerdo con la información anterior, ¿cuál opción contiene la afirmación verdadera? A) B) En las islas Galápagos las diversas especies de pinzones se producen a partir de competencia con otras especies. La producción de una sola especie de pinzón en la isla del Coco es producto de barreras geográficas dentro de la isla. C) La diversidad de especies de pinzones en las islas Galápagos, es producto del aislamiento y la separación entre las islas. D) En la isla del Coco, se muestra una alta competencia por espacio físico y alimento. 51
  • 52.
    Biología X yXI 2013 Juan José Mora Vargas 10- Los siguientes textos se refieren a patrones evolutivos que determinan la especiación: I. II. III. En la región del valle de la Muerte, en California, a finales de la última glaciación, se formaron grandes lagos interconectados, los cuales fueron poblados por una o más especies de peces. Al retroceder los glaciares y hacerse más seco el clima, el nivel de los lagos disminuyó, dejando lagunas aisladas. En la actualidad hay numerosas especies, pero cada una se restringe a una sola laguna. Las flores de dos especies de Solanun en México son muy similares en regiones donde viven una u otra, pero en áreas en que su distribución se superpone existe notable diferencia en el tamaño de las flores, debido a esta diferencia las flores son polinizadas por distintas abejas. El cultivo de poblaciones de dos especies de Paramecium; P. aurelia y P caudatum en tubos de ensayos diferentes permitió la multiplicación con rapidez hasta alcanzar una población considerable. Sin embargo cuando las dos especies se cultivaron juntas, con una cantidad de alimento limitado, al cabo de 16 días, solo P. aurelia prosperó. De los textos anteriores, ¿ cuál o cuáles se refieren a aislamiento geográfico? A) III solamente. B) I solamente. C) II y III. D) I y II. 11-Analice los siguientes textos que se relacionan con patrones evolutivos que determinan la formación de especies: I. II. III. IV. Los individuos de una población presentan variación en sus rasgos. Algunos de estos rasgos elevan las probabilidades de sobrevivencia del individuo y su capacidad reproductiva. Todos los individuos de una población comparten por igual los recursos limitados, de modo que en caso de alta densidad poblacional ninguna de ellas obtiene una cantidad adecuada. Proceso mediante el cual dos poblaciones se separan en virtud de factores geográficos, ecológicos, de comportamiento, reproductores o genéticos. Las aguas de los mares y océanos hacen imposible la unión entre organismos separados de la misma especie. De los textos anteriores, ¿cuáles de ellos se refieren al AISLAMIENTO como un patrón que determina la especiación? A) I y II. B) I y IV. C) II y III. D) III y IV. 12- Considere los textos del recuadro que se relacionan con evidencias evolutivas. I. Miles de pruebas con diferentes animales han revelado las semejanzas fundamentales entre las proteínas sanguíneas de los mamíferos. II. Bajo circunstancias especiales, los restos de un organismo han quedado incluidos en un material que los aísla y protege de la acción combinada de agentes mecánicos y biológicos destructivos, aun así, las partes blandas, salvo excepciones desaparecen; siendo las más duras las que se conservan a través del tiempo. Los textos I y II se refieren a las evidencias denominadas, respectivamente A)embriológica y paleontológica. B) bioquímica y paleontológica. C) bioquímica y anatómica. D) anatómica y anatómica. 13- Los siguientes textos se relacionan con evidencias del proceso evolutivo. I. Constituyen un registro material encontrado en rocas sedimentarias de los animales que vivieron en épocas pasadas y proporcionan información sobre el sitio y la época en que vivieron. II. La comparación de los detalles estructurales de cualquier sistema o aparato entre los diversos miembros de un filum determinado revela una semejanza básica de la forma. ¿Cuáles son los nombres de las evidencias? A) Embriológica y anatómica. B) Embriológica y bioquímica. C)Paleontológica y anatómica. D) Paleontológica y bioquímica. 52
  • 53.
    Biología X yXI 2013 Juan José Mora Vargas 14- Los siguientes textos se relacionan con evidencias del proceso evolutivo. I. Se fundamenta en que aquellos seres que provienen de un mismo ancestro, presentan estructuras semejantes durante la vida fetal. II. Se ha descubierto que de todos los tipos de sangre de primates, la de los lemúridos es la que se asemeja más a la sangre humana, pues al cambiar sueros de estas sangres producen menos reacción de rechazo. ¿Cuáles son los nombres de las evidencias evolutivas a los que se refieren los textos I y II respectivamente? A) Embriológica y anatómica. B) Embriológica y bioquímica. C) Paleontológica y anatómica. D) Paleontológica y bioquímica. 15- La siguiente información se refiere a una hipótesis sobre el origen de la vida. En la Tierra primitiva, la atmósfera en interacción con el agua formadora del caldo vital, permitieron la formación de los componentes moleculares de la vida. Estos componentes darían inicio a los procesos bioquímicos evolutivos generadores de las primeras células hasta los diferentes organismos que han vivido y viven en este planeta. La información anterior está relacionada con la hipótesis denominada A) Panspermia. B) Creación divina. C) Origen quimio sintético. D) Generación espontánea. 16- El siguiente texto es un aporte a las hipótesis del origen de la vida Propone que la vida proviene de ambientes extraterrestres y que el medio de transmisión fueron meteoritos o polvo espacial. El texto anterior se relaciona con la hipótesis denominada A) Panspermia. B) Creación divina. C) Origen quimiosintético. D) Generación espontánea. 17-Lea el siguiente texto relacionado con una hipótesis sobre el origen de la vida. El concepto de que los primeros seres vivos se originaron de sustancias inanimadas fue sugerido por primera vez por J. Haldane y R. Beutner a partir del siglo XVII. Esta hipótesis se mantuvo vigente durante muchos años como la única forma de explicar el origen de la vida, hasta que Francisco Redi en 1668 aportó evidencias en contra de esta hipótesis y posteriormente con los experimentos de Louis Pasteur 1861 quedó completamente descartada. ¿A cuál hipótesis se refiere? A) Cosmozoica. B) Quimiosintética. C) Experimentación. 53 D) Generación espontánea.
  • 54.
    Biología X yXI 2013 18- Juan José Mora Vargas El siguiente texto se refiere a una hipótesis sobre el origen de la vida: En 1953 los investigadores Miller y Urey crearon en el laboratorio las condiciones que se piensa tenía la Tierra hace unos 3000 millones de años cuando se calcula que surgieron las primeras formas de vida. A partir de una mezcla de vapor de agua, metano, amoníaco e hidrógeno gaseoso que simulaba la atmósfera primitiva y descargas eléctricas, se pudieron formar compuestos orgánicos simples. Esto constituye una importante evidencia a favor de la hipótesis que sugiere el origen de los seres vivos a partir de sucesivas etapas en donde compuestos inorgánicos originaron sustancias orgánicas y finalmente se originaron los primeros organismos unicelulares. La hipótesis que describe el texto recibe el nombre de A) Cosmozoica. B) Quimiosintética. C) Experimentación. D) Generación espontánea. 19-Considere el siguiente texto relacionado con teorías sobre el origen de las especies. Según esta teoría, las características que resultan positivas para los organismos, son favorecidas y permanecen a través de las diferentes generaciones permitiendo la supervivencia de los organismos más aptos, es decir que se encuentran en mejores condiciones para enfrentar el ambiente. ¿A cuál teoría se refiere? A) Uso y desuso de los órganos. B) Equilibrio puntuado. C)Selección natural. D)Mutacionismo. 20-Lea el siguiente texto sobre teorías del origen de las especies. Con los inicios del siglo XX, T. Dobzhansky propuso una nueva teoría sobre la evolución de las especies, incorporando el conocimiento sobre las leyes de la herencia propuestas por Gregorio Mendel en el siglo XIX a la teoría propuesta por Darwin y Wallace en 1959. ¿Con cuál teoría se relaciona el texto anterior A) Mutacionismo. B) Teoría sintética. C) Equilibrio puntuado. D) Uso y desuso de órganos 21-El contenido del recuadro se refiere a una teoría sobre el origen de las especies. Los organismos poseen un instinto interno que les lleva a su propio perfeccionamiento. Los organismos generan nuevas necesidades cuando se producen cambios en el ambiente. Esta característica determina que se vean obligados a utilizar ciertos órganos en mayor o menor medida, o incluso a no utilizarlos, lo que provoca que estos órganos sufran formación, desarrollo, atrofias o desaparición; finalmente por efecto de estas variables se producen cambios o alteraciones en su constitución. La función crea el órgano. Las alteraciones o cambios, adquisiciones o pérdidas, son heredables. ¿Cuál es el nombre de la teoría? A)Uso y desuso de los órganos.B)Equilibrio puntuado.C)Selección natural. 54 D) Mutacionismo.
  • 55.
    Biología X yXI 2013 Juan José Mora Vargas TEMA BIODIVERSIDAD Analizar la necesidad de inventariar la riqueza biológica REINOS BIOLÓGICOS (5pts) CARACTERISTICA/REINO ORGANIZACIÓN CELULAR MONERA SON PROCARIOTAS PROTISTA PLURICELULARES SIMPLES FUNGI EUCARIONTES PLANTAE AUTOTROFOS NUMERO DE CELULAS UNICELULARES UNICELULARES UNICELULARES MULTICELULARES REPRODUCCIÓN MOVIMIENTO ASEXUALMENTE CARECEN DE MOVIMIENTO FOTOSINTETICA ASEXUALMENTE SE MUEVEN MEDIANTE LOCOMOCIÓN ABSORCIÓN,AUTOTROFOS Y HETEROTROFOS PROTOZOARIOS, CILIADOS,FLAGELADOS Y SARCODINOS SEXUAL Y ASEXUAL SON INMOVILES SEXUAL Y ASEXUAL SIN MOVIMIENTO SOLO POR ESPORAS FOTOSINTETICA NUTRICIÓN CLASIFICACIÓN BACILOS, COCOS, ESPIRILOS FLAGELADOS CILIADOS BACTERIA Y CIANOBACTERIA 55 ABSORCIÓN, HETEROTROFOS VENENOSOS Y COMESTIBLES SARCODINOS VASCULARES,NO VASCULARES,ETC HONGO ANIMALIA EUCARIOTICOS MULTICELULARES MULTICELULARES MUY AVANZADOS SEXUAL SON DE MOVIMIENTO MUY EVIDENTE HETEROTROFA POR INGESTIÓN VERTEBRADOS E INVERTEBRADOS
  • 56.
    Biología X yXI 2013 Juan José Mora Vargas PLANTAE ANIMALIA Ejercicios TEMA 6 1- La siguiente descripción se refiere a un ser vivo de un reino biológico. La oreja de palo, es un organismo que habita sobre los troncos de los árboles, el micelio de este organismo maduro se extiende por la corteza del árbol. ¿Cuál es el nombre del reino al que pertenece la oreja de palo? A) Fungi. B) Protista. C) Plantae. D) Animalia. 2- La siguiente representación y características se relacionan con un ser vivo. Dinoflagelado Es unicelular. Organismo eucariótico. Posee un flagelo. ¿A qué reino biológico pertenece? A) Fungi. B) Protista. C) Plantae. 56 D) Animalia.
  • 57.
    Biología X yXI 2013 3- Juan José Mora Vargas Considere la descripción del recuadro relacionado con un ser vivo. Las briófitas son organismos multicelulares, fotosintéticos que carecen de raíces, tallos y hojas verdaderas, pero presentan estructuras parecidas a raíces, llamadas rizoides, que anclan a las briófitas al suelo. Las estructuras similares a hojas, son de una célula de espesor y están adaptadas para absorber agua rápidamente. ¿Cuál es el reino biológico al que pertenecen la briófitas? A) Fungi. B) Protista. C) Plantae. D) Animalia. 4-La siguiente descripción se refiere a un reino biológico. Son seres vivos constituidos por células vivas sencillas, los que carecen de un núcleo rodeado por membrana, tampoco presentan mitocondrias, cloroplastos, retículo endoplasmático ni complejo de Golgi. ¿Según Whittaker, cuál es el nombre del reino biológico al que pertenecen los organismos descritos? A) Monera. B) Protista. C) Plantae. D) Animalia. 5-El contenido del recuadro se refiere a un paramecio. Ser vivo unicelular, posee organelas membranosas y varios núcleos rodeados por membranas. Según la clasificación de Whittaker, el paramecio pertenece al reino biológico denominado A) Monera. B) Protista. C) Plantae. D) Animalia. 6-La información de los recuadros se refiere a seres vivos de diferentes reinos biológicos: I. II. Organismos eucariontes y heterótrofos. III. Se fija al sustrato por medio de hifas. Fotosintético y multicelular. Según la taxonomía de Whittaker, ¿en cuáles reinos biológicos se clasifican los seres vivos representados en los recuadros anteriores? A)I protista, II fungi, III plantae. B) I monera, II plantae, III fungi. C) I animalia, II fungi, III plantae.D) I animalia, II plantae, III plantae. 7-Lea cuidadosamente la siguiente información de los recuadros referentes a características de dos reinos biológicos: I.    II. Constituido por individuos heterótrofos y autótrofos.  Presenta formas unicelulares y coloniales con células que  carecen de núcleo definido.  Contienen ribosomas. Algunos son unicelulares y otros multicelulares. Algunos se fijan al sustrato por medio de hifas. Todos son heterótrofos. La información de los recuadros anteriores se refiere a los reinos biológicos denominados A) I monera y II fungi. B) I animalia y II fungi. C) I protista y II monera. 57 D) I plantae y II monera.
  • 58.
    Biología X yXI 2013 Juan José Mora Vargas TEMA 7 HOMEOSTASIS EN LOS SERES VIVOS (6pts 13-Analizar el equilibrio del cuerpo humano, los factores que lo alteran, enfermedades y su prevención. HOMEOSTASIS Regula el ambiente interno para mantener una condición estable y constante. Los múltiples ajustes dinámicos del equilibrio y los mecanismos de autorregulación.Por homeostasis se debe entender la tendencia de los seres vivos a mantener un medio interno constante. MECANISMOS HOMEÓSTATICOS  Retroalimentación negativa:  son una serie de actividades fisiológicas que procuran mantener las concentraciones internas constantes, conservando la homeostasis, al resistirse al cambio, si ocurre el cambio en el medio interno, se dispara una respuesta que tiende a contrarrestarlo y a restaurar y mantener las condiciones hacia una valor determinado. Ejemplo es el mecanismo para mantener la concentración de al glucosa, O2, CO2, H2O, de los iones de Na1+, Ca 2+, H1+ y otros.  Retroalimentación positiva: un cambio en el medio interno inicia una respuesta que intensifica el cambio del sistema, se promueven eventos para lograr un fin específico, no crea estabilidad sino inestabilidad. La señal inicial genera mayor desviación  TERMOREGULACIÓN MECANISMOS REGULADORES DE LA TEMPERATURA: Los cambios bruscos (subir o bajar) de temperatura corporal pueden causar la muerte. Para la regulación de la temperatura participan el sistema circulatorio, sistema nervioso, sistema integumentario, entre otros.  OSMOREGULACIÓN MECANISMOS DE ELIMINACIÓN DE DESECHOS: Para la eliminación de los desechos participan varios sistemas como el digestivo (desechos sólidos), urinario (desechos líquidos) y respiratorio (desechos gaseosos). Entre las sustancias que se desechan están: agua, dióxido de carbono, desechos nitrogenados como ácido úrico y urea 58
  • 59.
    Biología X yXI 2013 Juan José Mora Vargas ENFERMEDADES CAUSADAS POR VIRUS CAUSAS HERPES GENITAL SIDA Dengue Mediante contacto sexual de una persona infectada CAUSADA POR EL VIH POR CONTACTO SEXUAL TRANSFUCIONES SANGUÍNEAS USO Y COMPARTIR JERINGAS Afecta el sistema inmunológico Causada por la picadura del mosquito AEDES AEGYPTY CONSECUENCIAS/Sín tomas Brotes en la piel Yagas Síntomas parecidos a la gripe Cansancio físico Fiebre Diarrea Manchas en la piel TRATAMIE NTO No existe DENGUE CLASICO Y HEMORRAGICO Fiebre , sarpullido, dolor muscular, diarreas No hay tratamiento No se ha podido encontrar PREVENCIÓN Abstinencia Uso del condón Fidelidad Uso de condón Abstinencia No compartir el uso de agujas Evitar el contacto con fluidos corporales Sangre, semen Eliminar los criaderos del dengue ENFERMEDADES CAUSADAS POR BACTERIAS CAUSAS COLERA SIFILIS GONORREA PALUDISMO O MALARIA Protozoarios CONSECUENCIAS/Síntomas TRATAMIENTO PREVENCIÓN BACTERIA VIBRIO CHOLERAE MALA HIGIENE, PREPARACIÓN DE ALIMENTOS AGUA CONTAMINADA Mediante contacto sexual Bacteria Trepanoma DESHIDRATACIÓN DIARREAS CRÓNICAS FIEBRE MUERTE TOMAR AGUA Y SUERO HERVIR EL AGUA LAVAR LOS ALIMENTOS HIGIENE PERSONAL Aparición de manchas en la piel Aparición de chancros en los genitales Puede transmitirlo la madre al feto Antibiótico Uso del condón Evitar el contacto sexual con personas que no sea n su pareja BACTERIA NISSERIA G APARICIÓN DE YAGAS EN LOS ORGANOS SEXUALES ARDOR AL ORINAR DAÑO DE ORGANOS SEXUALES ANTIBIÓTCOS Uso del condón Evitar el contacto sexual con personas que no sea n su pareja Causada por la picadura del mosquito anopheles que contiene un plasmodio (protozoario) Dolor muscular y huesos Fiebre Sudoración Deshidratación Toma de agua Y suero Eliminar los criaderos del mosquito 59
  • 60.
    Biología X yXI 2013 Juan José Mora Vargas ENFERMEDADES CAUSADAS POR OTRO AGENTES CAUSAS CONSECUENCIAS/Síntomas HEPATITIS Causado por virus (hepatovirus) Aguas y alimentos contaminados Transmisión sexual Orina oscura(icteria) color de piel y ojos amarillos. Tres tipos A,B,C Ocurre por un mal funcionamiento del hígado. Dolor de articulaciones , abdomen MENINGITIS Enfermedad que afecta la meninges que es un tejido que protege el cerebro y medula Puede ser causado por bacteria virus y hongos Inflamación de los pulmones Fiebre y escalofríos , dolor de cabeza severo, nauseas y vómitos, cuello rígido, Sensibilidad de la luz, problemas mentales. NEUMONIA 60 TRATAMIENTO PREVENCIÓN Higiene personal Lavar y cocinar bien los alimentos Potabilizar el agua (cloro) Uso del condón Antibióticos Líquidos intravenosos Vacuna neumococida Que las personas que tienen contacto deban recibir vacunas
  • 61.
    Definición Causas Consecuencias Tratamiento Cirrosis Biología Xy XIque afecta el Enfermedad 2013 Hepátic desempeño del hígado. a Tiene complicaciones como ascititis, aumento de la presión de los vasos sanguíneos del hígado . Alcoholismo Mora Vargas Hipertensión Suspender el consumo de Juan José prolongado, infección portal, alcohol ,antibióticos dieta en por hepatitis, Insuficiencia renal, proteína transtorno en el congestión nasal y sistema de drenaje cáncer gástrico del Hígado. Ulcera Son erupciones que Gástrica ocurren en las paredes del estómago Bacteria Cáncer gástrico e HelicobacterPilori intestinal Consumo de tabaco y Muerte Dolor de alcohol estomago No consumir bebidas alcohólicas y dejar de fumarDieta balanceada Gastriti s Inflamaciones en el revestimiento del estómago Bacteria HelicobacterPilori No consumir bebidas alcohólicas y dejar de fumar Pérdida gradual y progresiva de los riñones para concentrar la orina y conservar los electrolitos Alcoholismo y fumar Insufici encia Renal Dolor y ardor de estómago Consumo de tabaco y alcohol Dieta balanceada Destrucción gradual de los riñones Controlar la presión sanguínea.Controlar el nivel en la sangre dejar de fumar Definición Causas Rinitis Inflamación de la mucosa nasal Virus Bacterias y alergias Congestión , insuficiencia respiratoria Picazón ,rinorrea y estornudos Enfisema Pulmonar Lenta dilatación y Fumadores activos y Dificultad para respirar, destrucción de los pasivosContaminación e asfixia, incapacidad de eliminar anhídrido pulmones infecciones carbónico. Dejar de fumar Enfermedades coronarias, hipertensión , cáncer aborto Arteriosclerosis Acumulación de grasas en las arterias Hombres mayores de 50 Acumulación de grasas años, familiares y fumar en las arterias que impiden el paso de lípidos Dieta balanceada, hacer ejercicio y no fumar Cáncer de Pulmón Crecimiento de células cancerígenas en los pulmones Mas común en hombres que en mujeres Quimio terapia oral e inyectada Fumar Radio terapia Obstrucción de la arteria pulmonar Coágulos en las piernas y en la pelvis Terapia trombolítica Trombosis pulmonar Consecuencias 61 Tratamiento
  • 62.
    Biología X yXI 2013 Juan José Mora Vargas Enfermedades causados por el consumo de sustancias adictivas Estimulantes: reducen la sensación de fatiga, incrementan el ritmo del pulso y la tensión arterial. Las más utilizadas son la cafeína presente en el café, té y bebidas derivadas de la coca, la nicotina y las anfetaminas. Anfetaminas: aumentan la sensación de sed y la disminución de hambre y de sueño, son utilizadas para perder peso.  Cocaína: produce euforia, estimulación y disminución del apetito, aumenta la frecuencia cardiaca, eleva la presión sanguínea y dilata la pupila.  Nicotina: es el componente químico activo del tabaco, es un estimulante nervioso, favoreciendo la liberación de adrenalina y otras sustancias del organismo. En sobredosis puede producir convulsiones y muerte. Produce adicción física y psíquica. Depresivas: provocan depresión, entre ellas se encuentran:  Alcohol etílico: produce un efecto tóxico y sedante, reduciendo la actividad del sistema nervioso, puede causar adicción física y emocional (alcoholismo).  Barbitúricos: reducen la ansiedad y las tensiones.  Tranquilizante: reducen la ansiedad y las tensiones.  Opiatos: supresores del dolor, son muchos como el opio, la morfina, la heroína, la codeína Morfina: alivia el dolor, provoca sueño, una sensación intensa de bienestar ,causa  adicción física y emocional. Heroína: alivia el dolor, provoca sueño, una sensación intensa de bienestar ,causa adicción física y emocional.  Anestésicos: son utilizados para dormir en la sala de cirugía. Alucinógenos: presentan efecto distorsionado de las percepciones visuales y auditivas y elevación de las respuestas emocionales Marihuana: primero produce estimulación, mareo y euforia, después sed y tranquilidad. Otros refieren aumento del apetito, de la percepción sensorial y sensación de placer, los efectos negativos es la desorientación, en dosis altas puede producir visiones. ENFERMEDADES GENÉTICAS DE IMPORTANCIA EN COSTA RICA  Trisomía del cromosoma 21 o síndrome de Down, presenta características como ojos rasgados, corta estatura, lengua grande, labios secos y fisurados, cabeza redondeada, frente alta y aplanada, deformidades cardiacas, una hendidura palmar transversal, una esperanza de vida corta, anomalías en la cara, manos y otras partes del cuerpo, niveles de retardo mental, y alta susceptibilidad a ciertas enfermedades, como la leucemia, Puede ser consecuencia de la fecundación de un óvulo de 24 cromosomas por un espermatozoide de 23 cromosomas, aunque a veces puede deberse a un anomalía generada por el espermatozoide. 62
  • 63.
    Biología X yXI 2013 Juan José Mora Vargas Síndrome de Turner, trastorno de la diferenciación sexual, en donde los individuos son X0, o sea que les falta un segundo cromosoma sexual, se desarrollan como mujeres pero con genitales incompletos o inmaduros, el útero es muy pequeño y en algunos casos faltan los ovarios, amenorrea primaria (ausencia de menstruación), son estériles, de corta estatura, cuello reticulado y sufren cardiopatías, con cierto retardo mental. Labio leporino y paladar hendido: anomalías del desarrollo con una base genética. La expresividad varía desde hendiduras externas muy ligeras, hasta hendiduras graves del paladar blando e incluso del paladar duro (cielo de la boca). Es más frecuente y se expresa con mayor gravedad en varones que en mujeres. Espina bífida: malformación congénita que consiste en un defecto del cierre de la columna vertebral durante el desarrollo prenatal. Presenta varios grados de expresividad desde oculta (no hay signos de anormalidad) hasta abierta (con trastornos neurológicos graves). El suministro de ácido fólico durante las primeras semanas del embarazo ayuda a la prevención de la espina bífida en el feto. Luxación congénita de la cadera: Existen dos variedades de luxación congénita de la cadera: una es producida por un gene dominante y es más frecuente en hombres que en mujeres. Consiste en que la cabeza del fémur se desplaza fuera del acetábulo de la cadera cuando el niño se forma en el útero de la madre, por lo que ya está presente en el momento del nacimiento. Otra variedad consiste en que el niño nace con cierta disposición de que ocurra la luxación de la cadera, provocada por una laxitud en los ligamentos, influye la forma en que se coloca la mantilla al niño. Tres de cada mil niños la presentan y las áreas de más frecuencia son Cartago, Los Santos y Turrialba. Diabetes: es una enfermedad metabólica, se caracteriza por el aporte deficiente de al hormona insulina por parte del páncreas. Causa un aumento de la glucosa en la sangre, por encima de los niveles normales, denominado hiperglicemia. Este exceso debe ser eliminado por los riñones, lo que ocasiona pérdida excesiva de agua y por consiguiente deshidratación. Existen dos tipos: tipo I o insulino – dependiente: debida a una respuesta autoinmune del organismo contra las células del páncreas, encargadas de producir insulina, eso inhibe su secreción, no se a encontrado el gen específico que la origina y tipo II o no insulino – dependiente: se debe a trastornos endocrinos o malos hábitos alimentarios, asociados con la obesidad, son personas muy hambrientas, toman mucho líquido y orinan frecuentemente, pierden peso aunque coman normalemente, se sienten débiles y sin energía, sufren de visión borrosa y fuertes dolores estomacales. Síndrome de Klinefelter, presenta 47 cromosomas, un cariotipo XXY, son varones casi normales, sólo que sus testículos son muy pequeños, no producen espermatozoides, suelen ser muy altos, con pechos femeniles, con algún retardo mental. 63
  • 64.
    Biología X yXI 2013 Juan José Mora Vargas Pie Bott: la cual es una deformidad del pie que consiste en que un lado del mismo, no toca el suelo al caminar, como consecuencia del acortamiento de los músculos y tendones es más frecuente en hombres que en mujeres. Cardiopatías: Son defectos del corazón y de los vasos sanguíneos en el momento del nacimiento. Algunos de estos defectos se producen durante el desarrollo fetal. La incidencia de las cardiopatías es de uno por ciento, veinte nacidos vivos. Parálisis cerebral: daño cerebral no progresivo de la función motora, que se desarrolla antes y durante el nacimiento o poco tiempo después de éste. Puede deberse a infecciones maternas como la rubéola, radiaciones, anoxia (déficit de oxígeno), toxemia, diabetes materna, partos prematuros, partos múltiples, infecciones y tumores cerebrales, traumatismos cerebrales y lesiones vasculares cerebrales. Se manifiesta por músculos paralizados y rígidos, las extremidades pierden la movilidad o pueden moverse lenta e involuntariamente, pero pueden aparecer movimientos violentos, alteraciones visuales, crisis convulsivas y retraso mental. EJERCICIOS TEMA 7 Lea la siguiente información referente a un mecanismo homeostático 1- Son una serie de actividades fisiológicas que procuran mantener las concentraciones internas constantes, conservando la homeostasis, al resistirse al cambio, si ocurre el cambio en el medio interno, se dispara una respuesta que tiende a contrarrestarlo y a restaurar y mantener las condiciones hacia una valor determinado. La información anterior se refiere al mecanismo homeostático llamado. A) retroalimentación negativa B) Retroalimentación Positiva C) inmunidad D) salud 2-Lea la siguiente información relacionado con un mecanismo homeostático La temperatura de la sangre se detectan células cerebrales que funcionan como un termostato. Estas envían impulsos a las glándulas sudoríparas para emitir sudor ; la evaporación del sudor humedece la superficie del cuerpo y reduce la temperatura corporal . La información anterior se refiere al mecanismo homeostático llamado . A) Salud B) Homeostasis C) Osmorregulación D) Termorregulación 3-El contenido del recuadro se refiere a una enfermedad viral. Síntomas:  Un brote incluyendo una o varias lesiones o ampollas en el pene, escroto, vagina, cérvix, ano, glúteos y raramente en todo el      cuerpo. Dolor/malestar alrededor en los genitales, nalgas o las piernas. Glándulas linfáticas inflamadas en la ingle. Comezón o ardor al orinar. Decaimiento. Fiebre. ¿Cuál es el nombre de esta enfermedad? A)Síndrome de inmunodeficiencia. B) Herpes genital. C) Sarampión. 64 D) Gripe.
  • 65.
    Biología X yXI 2013 Juan José Mora Vargas 4-Analice cuidadosamente las siguientes afirmaciones relacionadas con el síndrome de inmunodeficiencia adquirida: I. II. III. Es producida por el retrovirus VIH. Se transmite por la sangre o por contacto sexual con personas portadoras. Se manifiesta por una pérdida de peso importante y constantes contagios con agentes infecciosos. ¿Cuál o cuáles se refiere(n) a factor(es) que afecta(n) la homeostasis del ser huma A) I y III. B) II y III. C) I solamente. D) II solamente. 5-Lea cuidadosamente las siguientes afirmaciones que se relacionan con una enfermedad: Daña el sistema inmunológico destruyendo los linfocitos T. Las personas afectadas suelen morir en un lapso de varias semanas a unos cinco años, víctimas de diferentes formas de cáncer, neumonía, y otras infecciones oportunistas. Las afirmaciones anteriores se refieren a la enfermedad denominada A) síndrome de inmunodeficiencia adquirida. B) herpes genital. C) cáncer. D) sífilis. 6-Lea cuidadosamente las siguientes afirmaciones referentes a una enfermedad causada por virus : Aparición de fiebre , dolor de cabeza Dolores musculares y de articulaciones Vómitos y naúseas Las afirmaciones anteriores son síntomas de enfermedad llamada A) sífilis. B)Dengue. C) herpes genital. D) rubeola 7- Lea cuidadosamente las siguientes proposiciones relacionadas con una enfermedad: Evitar las transfusiones de sangre contaminada. Divulgar a los individuos sexualmente activos la importancia del “sexo seguro”, que puede ayudar a limitar el avance de la epidemia. Ofrecer gratuitamente condones a los individuos sexualmente activos y agujas hipodérmicas estériles a drogadictos. Las proposiciones anteriores constituyen medidas preventivas contra la enfermedad denominada A) cáncer. B)diabetes. C) herpes genital. D) SIDA 8-Las características descritas recuadro se refieren a una enfermedad bacteriana. Enfermedad intestinal aguda caracterizada por un comienzo repentino de diarrea acuosa y profusa, vómitos ocasionales, deshidratación rápida, acidosis y colapso circulatorio. Son comunes los casos leves en que solo hay diarrea, particularmente en niños. En los casos graves no tratados el sujeto puede morir en el término de horas y la tasa de letalidad puede exceder del 50%; con tratamiento apropiado la tasa es menor del 1%. Cuál es el nombre que recibe esta enfermedad? A) Cólera. B) Tétano. C) Botulismo. 65 D) Paludismo.
  • 66.
    Biología X yXI 2013 Juan José Mora Vargas 9-Las siguientes proposiciones están relacionadas con una enfermedad causada pr una bacteria : Es causada por una bacteria en forma de espiral que entra a la mucosa de los genitales, labios o ano o por la glándula mamaria. Empieza con una úlcera en el sitio de la infección. ¿ A qué enfermedad se refieren las proposiciones anteriores? A) Herpes genital. B) Gonorrea. C) Sífilis. D) SIDA. 10- La descripción del recuadro se refiere a una enfermedad bacteriana. La bacteria denominada nisseriapenetra en el cuerpo mediante secreciones y son llevadas a todo el organismo . Se forma un chancro oloroso que afecta en mayor cantidad a hombre que ha mujeres ¿Cuál es el nombre de esta enfermedad? A) Herpes genital. B) Gonorrea. C) Sífilis. D) SIDA. 11- El siguiente texto se refiere a una enfermedad producida por un protozoario. Se transfiere a los humanos mediante un vector (vehículo o agente que transmite una infección). El mosquito Anopheles es el vector más común de esta enfermedad, que se caracteriza por síntomas repetitivos; principalmente fiebre, escalofríos y sudores. Es común en los países tropicales. ¿Qué nombre recibe esta enfermedad? A)Dengue . B) Gonorrea. C) Paludismo . D) SIDA. 12- El siguiente texto se relaciona con una enfermedad causada por otros agentes Esta enfermedad viral , bacteriana o causada por hongos que afecta el tejido dela corteza cerebral, ocasionando mareos, pérdida del conocimiento ¿Cuál es el nombre de esta enfermedad? A) Botulismo. B) Neumonía C) meningitis D) hepatitis . 13-- El siguiente texto se relaciona con una enfermedad causada por otros agentes Esta enfermedad viral , bacteriana o causada por hongos que afecta las mucosas de las diferentes vías resiratorias ¿Cuál es el nombre de esta enfermedad? A) Botulismo. B) Neumonía C) meningitis 66 D) hepatitis .
  • 67.
    Biología X yXI 2013 Juan José Mora Vargas 14- La siguiente información se refiere a características congénitas debidas a alteraciones genéticas: Surco palmar transversal. Pliegue cutáneo sobre el ojo. ? Deformidades cardiácas. Baja estatura. La información anterior se refiere a A) 15- Diabetes B) espina bífida. C) síndrome de Down. D) luxación de cadera. Lea la siguiente información relacionada con una enfermedad genética: Trastorno endocrino en el cual la glucosa no se metaboliza normalmente. Incapacidad de sintetizar insulina. ¿Qué nombre recibe la enfermedad descrita en la información anterior B) 16) Diabetes B) espina bífida. C) síndrome de Down. D) luxación de cadera. Dado el siguiente texto sobre una enfermedad genética. Trastorno en el cual la médula espinal durante el desarrollo embrionario, no cierra adecuadamente. ¿A cuál enfermedad se refiere el texto anterior C) Diabetes B) espina bífida. C) síndrome de Down. D) luxación de cadera. Tema 8 ECOLOGÍA 6pts 14-Analizar la organización de las diversas formas de vida, su interrelación y la que establecen con los componentes del entorno y las implicaciones que estas generan. El funcionamiento de la naturaleza es complejo, lo mismo que su estudio. El hombre trata de identificar los principios básicos de su organización y reconoce una jerarquía de niveles que van desde las partículas subatómicas, hasta el alto nivel de organización biológico que llamamos ecosistema. 67
  • 68.
    Biología X yXI 2013 Juan José Mora Vargas NIVELES DE ORGANIZACIÓN Comunidad: es un sistema biológico ordenado y coordinado, formado por las distintas poblaciones que interaccionan continuamente en un área. Ejemplo: El bosque (hormigas, aves, árboles y demás organismos que lo componen). Población: conjunto de organismos de la misma especie que viven relacionados en una zona determinada Especie: grupo de organismos de un tipo particular que pueden cruzarse y producir una progenie fértil. Ejemplo: Los lobos. Ecosistemas, (conjunto de una o más comunidades bióticas y(ABIÓTICAS) su ambiente, en el que se establece un intercambio de materia y energía mediante las distintas relaciones que allí se manifiestan. 68
  • 69.
    Biología X yXI 2013 Juan José Mora Vargas Elementos de un ecosistema Factores vivientes o bióticos componentes vivos y las relaciones entre ellos, como las cadenas alimenticias, los mecanismos de defensa de los seres vivos y la forma como el ser humano utiliza algunas características naturales para su provecho.(plantas, animales, hongos, protozoarios, etc.) No vivientes o abióticos constituida por todo aquello que carece de vida, como los factores climáticos; (temperatura, agua, luz y minerales) que rodean al organismo. Factores que determinan el tamaño de una población - NATALIDAD: número de nacimientos en la población. - INMIGRANTES: organismos que llegan de otras poblaciones o los que permanecen en la población, aumentándola. - MORTALIDAD: número de muertes de individuos en una población. 69
  • 70.
    Biología X yXI 2013 Juan José Mora Vargas - EMIGRACIÓN: organismos que se mueven hacia afuera de la población, disminuyéndola. Los elementos de la fase biótica son ordenados según el papel o función trófica que desempeñan en el ecosistema (nicho), y los factores abióticos por su parte, son separados de acuerdo con la forma en que afecten la zona física o residencia natural en que se desarrolla la especie (hábitat). Relaciones Biológicas de los seres vivos Relaciones interespecíficas: Reacciones que regulan el tamaño de las poblaciones y conlleva a una influencia neutral, favorables o desfavorable. Entre estas tenemos: Neutralismo: En todo ecosistema hay especies de plantas y de animales, que aunque participan de un mismo ambiente, no establecen entre sí ninguna relación favorable o negativa. Ejemplo: El hongo y los árboles de un bosque que crecen en el mismo piso. Parasitismo: Asociación donde un miembro vive a expensas de otro causándole daño. Uno se beneficia y el otro se perjudica. El más débil toma alimento del más fuerte. El parásito es más pequeño que el hospedero. Ejemplo: La garrapata, la solitaria. Comensalismo: Relación simbiótica en la que un organismo se beneficia y el otro ni se beneficia ni se perjudica. Comparten luz, nutrientes y agua para satisfacer sus necesidades fisiológicas.Ejemplo: Las rémoras y el tiburón. La Guaria morada y el árbol. Amensalismo; Una de las poblaciones sufre grave perjuicio y la otra no se afecta. Ejemplo: Microorganismos y raíces en el suelo segregan sustancias tóxicas que afectan a otras poblaciones. Mutualismo: Relación simbiótica de la que se benefician ambos organismos. Ejemplo: Cada especie de higuerón tiene un tipo de particular de avispas para su fecundación, sino existe esta avispa no forma semilla Competencia: Compiten por componentes del ambiente que les son necesarios para su existencia: agua, luz espacio, nutrimentos, abrigo, etc. Se da entre organismos de una misma especie como entre poblaciones de diferentes especies. - Camuflaje: Coloración parecida al color del follaje donde habita, utilizada para engañar al depredador. También utilizan formas en contornos. Se llama también coloración críptica. Ejemplo La perdiz blanca, la mariposa Kallima - Mimetismo: Adoptan la forma de una estructura del medio. Ejemplo: La Mariposa Virrey y la Mariposa Monarca. La Mosca saltadora y el abejorro. 70
  • 71.
    Biología X yXI 2013 Juan José Mora Vargas EJERCICIOS ECOSISTEMAS 1- Lea la siguiente información relacionada con conceptos ecológicos Grupo de organismos pluricelulares con características estructurales y funcionales similares, en la naturaleza se reproducen solo entre sí y tienen un ancestro común cercano. El nombre del concepto ecológico descrito anteriormente se denomina A) especie. B) comunidad. C) Ecosistema D) fase abiótica. 2-A la unidad natural interactuante que se establece entre todos los organismos y su medio físico dentro de un área definida se le denomina A) especie. B) comunidad. C) Ecosistema D) fase abiótica. 3.Lea la siguiente información sobre un concepto ecológico. Asociación de diferentes poblaciones que viven juntas en un hábitat determinado, con algún grado de interdependencia. ¿Qué nombre recibe el concepto descrito anteriormente? A) especie. B) comunidad. C) Ecosistema D) fase abiótica. 4-Lea el siguiente texto sobre un concepto ecológico: Consiste no sólo en todas las interacciones entre los seres vivos de un lugar determinado, sino también en las interacciones entre los organismos y su ambiente abiótico. A) especie. B) comunidad. C) Ecosistema D) fase abiótica. 5-Lea la siguiente afirmación sobre un concepto ecológico: Grupo localizado de cierto número de poblaciones de especies diferentes que viven e interaccionan entre sí. ¿Qué nombre recibe el concepto descrito en el texto anterior? B) especie. B) comunidad. C) Ecosistema D) fase abiótica. 6-Lea cuidadosamente el siguiente texto relacionado con una variable que determina la densidad en una población: Se refiere a los individuos que perecen por unidad de tiempo, hay un valor mínimo teórico, que se refiere al número de defunciones que ocurrirían en condiciones ideales consecutivas más exclusivamente a las alteraciones fisiológicas que acompañan al envejecimiento. Esta cifra sería constante para una población dada. Las variaciones reales dependerán de los factores físicos del tamaño, composición y densidad de la población. ¿Cuál es el nombre de la variable a la que se refiere el texto anterior? A) Inmigración. B) Emigración. C) Mortalidad. 71 D) Natalidad.
  • 72.
    Biología X yXI 2013 Juan José Mora Vargas 7-Observe cuidadosamente la siguiente figura relacionada con una variable que determina la densidad de una población: A) Inmigración. B) Emigración. C) Mortalidad. D) Natalidad. 8-Lea el siguiente texto relacionado con una variable que incide sobre la densidad de una población: A medida que transcurre el tiempo, nuevos individuos incrementan el tamaño de la población. Así por ejemplo, las aves dej descendencia, las semillas germinan y muchos seres microscópicos se duplican. El texto anterior se relaciona con la variable denominada A) Inmigración. 9- B) Emigración. C) Mortalidad. D) Natalidad. Lea el siguiente texto relacionado con una variable que incide sobre la densidad de la población de tortuga verde en Costa Rica: El número de tortugas está disminuyendo. Se observa una reducción progresiva de la población, que coincide con el aumento en grado de depredación hacia esta especie. La carne y los huevos de tortuga, son utilizados por los seres humanos desde tiemp precolombinos. De acuerdo con el texto anterior, la variable que está afectando la población de tortugas corresponde a A) Inmigración. B) Emigración. C) Mortalidad. D) Natalidad. 10-Los siguientes textos se relacionan con interacciones entre organismos. I. Muchas especies de nemátodos conocidos también como gusanos redondos viven en el interior del tracto digestivo de los animales alimentándose a expensas de su huésped. II. Las garzas bueyeras se ven beneficiadas al estar cerca del ganado debido a que consumen los insectos que salen de la vegetación mientras pastorea el ganado, pero este último no se beneficia ni se perjudica. ¿Cuál es el nombre que reciben las interacciones? A) I comensalismo y II competencia. B) I parasitismo y II comensalismo. C) I parasitismo y II depredación. C) I simbiosis y II mutualismo. 72) Lea las siguientes afirmaciones relacionadas con interacciones entre los seres vivos. I. Ciertas especies de aves como los tordos se alimentan de las garrapatas que posee el ganado obteniendo ambas especies un beneficio, ya que las aves obtienen alimento mientras que el ganado se ve aliviado de las garrapatas. II. Las plantas luchan entre si por obtener luz, agua y nutrientes. ¿Cuál es el nombre que reciben las interacciones que se presentan en estos organismos? A)I comensalismo y II competencia. B) I mutualismo y II competencia. C) I parasitismo y II depredación. D) I mutualismo y II mutualismo. 72
  • 73.
    Biología X yXI 2013 Juan José Mora Vargas 15-Analizar procesos termodinámicos y biogeoquímicos y su determinación en el equilibrio del ambiente y en el mantenimiento de la vida en el planeta. FLUJO DE MATERIA Y ENERGÍA EN LOS ECOSISTEMAS 6pts LEYES DE LA TERMODINÁMICA: Los sistemas naturales tienden al equilibrio, aunque sea a costa de grandes inversiones de energía. Esto ocurre desde el nivel de las reacciones químicas, que deben vencer una barrera energética para que la reacción proceda, hasta los mecanismos homeostáticos presentes en los ecosistemas. Hay dos principios que gobiernan este inmenso trasiego de energía en el Universo, y son tan fundamentales para entender todos los fenómenos físicos y químicos que ocurren, que son considerados entre las más importantes leyes de la física, tales principios son los siguientes: PRIMERA LEY DE LA TERMODINÁMICA: Dice que "la cantidad de energía que existe en el universo es constante, que la energía no se crea ni se destruye, simplemente se transforma." Una forma de energía puede convertirse en otra, y no importa cuántas veces ocurra. Esta ley establece que la energía interna solamente puede variar por el flujo de energía en forma de calor o trabajo. El calor puede absorberse por un sistema de su entorno o desprenderse del sistema y absorberse en el entorno. SEGUNDA LEY DE LA TERMODINÁMICA: Dice que "Ningún proceso que implique transformación de energía se producirá espontáneamente, a menos que ocurra una degradación o cambio de la energía de una forma de mayor concentración a una de menor concentración o viceversa". Establece que el desorden (entropía) del universo aumenta siempre. ENTALPÍA: Función de estado cuya variación mide la cantidad de calor suministrado o cedida por un sistema cuando evoluciona a presión constante. ENTROPÍA: Magnitud que determina el grado de desorden que existe en los sistemas termodinámicos. Implica que de una forma lenta pero consistente el universo se está disipando cada vez más y más. CADENAS ALIMENTARIAS Y NIVELES TRÓFICOS: La trayectoria que sigue la energía o materia en forma de sustancias nutritivas a través del ecosistema se conoce con el nombre de cadena alimenticia. Las cadenas alimenticias están formadas por eslabones o niveles, cada uno de ellos es la base del inmediato superior; el paso de la energía de un nivel a otro tiene forma piramidal pues en cada eslabón el porcentaje de energía suministrada al nivel superior es menor, es decir, los consumidores de cada nivel obtienen menos proporción de la energía capturada por el productor; a cada uno de estos niveles se llaman niveles tróficos. 1-autótrofos o productores, conformado por las plantas verdes, capaces de alimentarse por sí mismas. Aquí encontramos a los fotosintetizadores y quimiosintetizadores 73
  • 74.
    Biología X yXI 2013 Juan José Mora Vargas 2- heterótrofos o consumidores, es decir, los que se alimentan de otros. Comprende la mayoría de las especies animales; en este nivel se observan varias categorías de acuerdo con el tipo de alimentación. Los consumidores primarios, son todos los herbívoros, aquellos que se alimentan de las plantas. Los consumidores secundarios, son los que se alimentan de los consumidores primarios, ejemplo el sapo que se alimenta de un saltamontes. Los consumidores ternarios, adquieren su alimento de los consumidores secundarios. omnívoros, que comprende a las especies que comen tanto materia vegetal como animal 3- descomponedores, son los que consumen y desintegran la materia orgánica en descomposición; a estos organismos se les conoce con el nombre de saprófitos e incluyen varias especies de hongos, bacterias, nemátodos, moluscos, etc Ciclos Biogeoquímicos CICLO DEL NITRÓGENO: Es un ciclo gaseoso, cuyo depósito es la atmósfera. En esta, se encuentra en forma simple y constituye el 78%. Sin embargo, todos los seres vivos requieren nitrógeno combinado con hidrógeno (como el amonio NH 4+) o con el oxígeno (como NO3). Estas formas combinadas se consiguen en un proceso biológico, conocido con el nombre de fijación de nitrógeno. Las formas de nitrógeno orgánico como proteínas, aminoácidos, ácidos nucleicos y otros, son relativamente escasos en los suelos y en el agua. Pasos La fijación del nitrógeno:, Nitrificación Amominificación, desnitrificación. 74
  • 75.
    Biología X yXI 2013 Juan José Mora Vargas CICLO DEL CARBONO: Se conoce también como ciclo de la vida, compromete la litosfera, la hidrosfera y la atmósfera. En la atmósfera existen por encima de cada hectárea de la superficie de la Tierra unas 13 toneladas de carbono en forma de dióxido de carbono. Todos los seres vivos eliminan esencialmente, gas carbónico (CO 2) al respirar, el cual se almacena en la atmósfera. CICLO DEL OXÍGENO: Este gas es un subproducto del proceso de fotosíntesis y gracias a él existe gran parte de la vida que conocemos. Es en presencia del oxígeno que ocurre la degradación de los ácidos que resultan de la glucólisis, principalmente en la cadena de citocromos o de fosforilación oxidativo; de esta manera se obtiene un gran porcentaje de la energía celular. CICLO DEL AGUA: Es uno de los más grandes y dinámicos ciclos del planeta. Constantemente el agua se está moviendo desde la atmósfera a la tierra, de ahí al mar y de vuelta a la atmósfera. Está claro que sin ella, dadas, sus características, no existiría la vida que conocemos, además de que es un poderoso agente transformador de la faz de la tierra por su capacidad erosiva y de acumulación de sedimentos. Se llama así al movimiento del agua de la atmósfera a la tierra o viceversa. 75
  • 76.
    Biología X yXI 2013 Juan José Mora Vargas CICLO DEL FÓSFORO: Es otro elemento clave para los organismos, entre otras razones porque forma parte de las moléculas de ATP, de ADN y ARN y de las membranas celulares. Su ciclo es típico de lo que se llama ciclos sedimentarios, debido a que su principal depósito son las rocas sedimentarias, que se encuentran principalmente en los fondos o lechos marinos, contrarios a los gaseosos. El fósforo se encuentra en la naturaleza en forma de fosfatos o de uno de sus análogos, como iones inorgánicos solubles, fosfato orgánico soluble, fosfato particulado o como fosfato en forma de mineral, formado parte de una roca o sedimento. Ocurre lentamente, iniciándose con los fosfatos disueltos en el suelo, provenientes del efecto de agentes químicos y físicos (agua y viento) erosionan y degradan las rocas, arrastrándolos hasta donde las plantas lo puedan absorber, generalmente como fosfato iónico. CICLO DEL AZUFRE: El azufre forma parte de algunos compuestos que se encuentran en la atmósfera, tales como el ácido sulfhídrico (H2S) y el dióxido de azufre (SO2), sin embargo la fuente principal de este elemento para los seres vivos son los sulfatos que se encuentran en el suelo o en el agua. Los sulfatos penetran en las plantas, que utilizan el azufre contenido en ellos, para formar aminoácidos. 76
  • 77.
    Biología X yXI 2013 Juan José Mora Vargas TIPOS DE ECOSISTEMAS ARTIFICIALES: Son aquellos modificados por el ser humano, para satisfacer sus necesidades , pueden ser : Acuáticos: Criaderos acuícolas, embalses, lagunas y acuarios Terrestres: granjas, urbanizaciones, repastos, campos agrícolas NATURALES : son aquellos que tienen poca o casi nada de intervención humana , se encuentran en un área determinada se dividen en Terrestres : Bosques Acuáticos: Humedales: Ecosistemas de agua dulce y salada que protegen gran cantidad de especies Costeros :salinas arrecifes de coral,esteros, manglares. Manglares: Formado por la presencia del árbol de mangle que es un árbol que resiste altas temperaturas, , poco oxigeno y altas concentraciones de sal, por lo que sus raíces presentan una serie de poros, su importancia es el sitio de anidación y reproducción de cientos de especies de animales , peces, aves, moluscos, crustáceos, etc. Arrecife de Coral: Son ecosistemas tropicales de agua poco profunda formados por un grupo de animales llamados corales que viven solo en agua salada adheridos a un sustratositio de anidación y reproducción de peces y crustáceos. Playas Arenosas y rocosas :Se encuentran una gran diversidad de cangrejos y so aptas para ell desove de tortugas, por ejemplo playa nancite, Ostional, Grande, hermosa . Presentan rocas grandes en la orilla la cual permite la reproducción de peces , crustáceos , moluscos y otros peces. Pastos Marinos: Son verdaderas praderas que se encuentran bajo el mar, son las únicas plantas con flores y frutos,sobre la cual se reproducen caracoles ,algas y sirven de alimento para animales grandes 77
  • 78.
    Biología X yXI 2013 Juan José Mora Vargas Formaciones Vegetales de Costa Rica BOSQUES ALTURA 0a 70msnm PRECIPITACIÓN 900 y 1700 mm TC 26 y 28 SABANA Y MATORRAL ESPINOSO 0a 70msnm 900 y 1700 mm 26 y 28 ° BOSQUE SEMI – DECIDUO ESTACIONAL SUBMONTANO 0-1000m 1330 a 2000 mm, 23,5°C, con dos meses secos Entre las especies vegetales tenemos palmera, guácimo, guanacaste, higuerones, jobo, espaveles. . En la actualidad se ha transformado en cultivos de caña de azúcar, café y pastoreo. BOSQUE HÚMEDO SIEMPRE VERDE SUBMONTANO BOSQUE MUY HÚMEDO SIEMPRE VERDE MONTANO Paramo Sub Alpino 500-1500 3 000 y 5000mm 18 y23 musgos, briófitas, helechos, palmeras, robles, jaules., achiotillos y limoncillos. 2400 a 3000 1000 y 2000 mm 12 y 8 °C Entre la vegetación tenemos arrayanes, robles, magnolias, lorillo Mas de 3000 1200 a 2000 mm 3°C a 6 ºC, con mínimas de 0°C. BOSQUE DECIDUO ESPECIES PLANTAS larga estación seca de seis meses, sobresalen especies como el Jobo, el cocobolo, el chaperno, el indio desnudo, el guapinol, el árbol de Guanacaste, el carao, poró, pochote, Cristóbal, cenízaro, caoba, espavel, ron ron, el roble sábana y corteza amarilla, cactos, bromelias, piñuelas, cornizuelo, peine de mico. Los árboles pierden sus hojas en la estación seca, con alturas de unos 30 metros presenta plantas con 1,5 a 2 metros de altura, con gramíneas. Las especies vegetales presente son: jaragua, ciperaceas, dormilona, escobilla, chan. moriseco, pica pica, nance, jícaro, cornizuelo, guácimo, madero negro, espavel, guayabón. Las formaciones vegetales presentes son ciperaceas, musgos y líquenes, además formaciones herbáceas y matorrales de arbustos. 78 UBICACIÓN el Parque Nacional Santa Rosa, Palo Verde, Barra Honda y Cabo Blanco se localiza en la provincia de Guanacaste desde Cañas hasta la frontera con Nicaragua, Vida Silvestre Rafael Lucas Rodríguez, Palo Verde, en el piemonte de la Cordillera de Talamanca Se ubica en una banda estrecha de la vertiente Pacífica de la Cordillera de Guanacaste, Tilarán, el Valle Central y el Valle de los Santos (San marcos, San Ignacio, Santa María de Dota y otros Refugio Fauna Silvestre Tapantí Volcanes Poás, Barva, Irazú y Turrialba, así como en la Cordillera de Talamanca se localiza en las regiones más altas de la Cordillera de Talamanca, en los Cerros Kamuk, Buena Vista, Chirripó
  • 79.
    Biología X yXI 2013 Juan José Mora Vargas Zonas de vida de Costa Rica: el país de acuerdo con la categorización de Holdridge cuenta con 12 zonas de vida y 8 de transición, agrupadas en 5 pisos altitudinales: Piso altitudinal Rango de altura Zona de vida Basal 0 – 700 msnm Bosque Tropical (Basal) Seco Bosque Tropical Húmedo Bosque Tropical Muy Húmedo T 26 A 30 23 Premontano 700 – 1 400 Montano bajo 1 400 – 2 700 Montano aproximadamente de los 2 400 – 3 700 Subalpino o Montano alto Bosque Lluvioso Bosque Húmedo Bosque Muy Húmedo 18 Bosque húmedo Bosque muy húmedo Bosque Pluvial Bosque muy húmedo Bosque pluvial 12 6A0 2 800 – 4 100 Páramo pluvial 79
  • 80.
    Biología X yXI 2013 1- Juan José Mora Vargas Lea cuidadosamente los siguientes textos relacionados con niveles tróficos de un ecosistema: I. II. Seres vivos que elaboran elementos nutritivos orgánicos a partir de materias primas inorgánicas. Organismo que obtiene compuestos orgánicos complejos de animales muertos o plantas marchitas. Los textos anteriores se refieren respectivamente a los niveles tróficos denominados A) autótrofo, autótrofo. 2- B) autótrofo, heterótrofo. C) heterótrofo, autótrofo. D)heterótrofo, heterótrofo. Los siguientes textos están relacionados con niveles tróficos: I. II. Son organismos que viven a expensas de seres vivos que producen su propio alimento o de materia orgánica en descomposición. Las plantas verdes obtienen su energía para sintetizar moléculas orgánicas a partir de la luz solar. Los textos anteriores se refieren respectivamente a los niveles tróficos denominados A) 3- heterótrofo, heterótrofo. B) heterótrofo, autótrofo. C) autótrofo, heterótrofo D) autótrofo, autótrofo. Dada la siguiente información relacionada con tipos de niveles tróficos: TIPO DE NUTRICIÓN E- Autótrofos F- Heterótrofos CARACTERISTICAS I. II. III. IV. Obtienen energía de los organismos productores. Transforman la energía luminosa en energía química. Se alimentan de materia orgánica previamente sintetizada. Capaces de sintetizar materia orgánica compleja a partir de materia inorgánica y una fuente de energía. ¿Cuál es la forma correcta de relacionar los diferentes tipos de nutrición de acuerdo a las características dadas? A) E I, III y F II, IV. B) E II, III y F I, IV. C) E III, IV y F I, II. D) E II, IV y F I, III. 4-Lea detenidamente el siguiente texto sobre un ciclo biogeoquímico: El elemento de este ciclo no puede ser absorbido en su forma elemental; debe estar presente como sulfato. Es un componente esencial de las proteínas, ya que forma parte de algunos aminoácidos. ¿Cuál es el nombre del ciclo biogeoquímico se describe en el texto anterior? A) Fósforo. B) Oxígeno. C) Nitrógeno. D) Azufre 5-Lea la siguiente información acerca de un ciclo biogeoquímico: Elemento común de proteínas carbohidratos, lípidos y ácidos nucleicos. Está presente en la atmósfera en forma de dióxido y también en las rocas calizas. Vuelve a la atmósfera por las descarboxilaciones que ocurren en la respiración celular. El ciclo se equilibra por bacterias y hongos que, mediante los procesos de putrefacción y fermentación, desdoblan los compuestos de plantas y animales muertos y los transforman en dióxido otra vez. Se incorpora a los tejidos vivos mediante la fotosíntesis y es liberado por la respiración y la desintegración de la materia orgánica. A) B) La información anterior se refiere al ciclo del cARBONO. B) Oxígeno. C) Nitrógeno. 80 D) Azufre
  • 81.
    Biología X yXI 2013 6- Juan José Mora Vargas A continuación se presenta la información relacionada con un ciclo biogeoquímico: Ciclo biogeoquímico El elem ento de este ciclo circula entre el ambiente abiótico y los organismos. Contiene cinco pasos Fijación Nitrificación A similación Amonificación Desnitrificación realizado por realizado por BACTERIAS BACTERIAS La información anterior se refiere al ciclo del C) 7 cARBONO. B) Oxígeno. C) Nitrógeno. D) Azufre El siguiente texto está relacionado con un ciclo biogeoquímico. Este ciclo se inicia a partir del proceso de fotosíntesis de los organismos autótrofos, quienes obtienen este elemento que se encuentra en forma inorgánica en la atmósfera, y lo incorporan a compuestos energéticos que serán empleados para los diferentes procesos metabólicos. ¿A cuál ciclo se refiere? D) cARBONO. B) Oxígeno. C) Nitrógeno. D) Azufre 8-Los siguientes textos se relacionan con tipos de ecosistemas. I. Los desiertos son zonas secas situadas en regiones templadas y regiones tropicales. El bajo contenido de agua de la atmósfera provoca diariamente calor o frío extremo, de modo que en 24 horas hay un cambio importante en la temperatura. Como resultado de la escasez de vegetación, el suelo del desierto es pobre en materia orgánica, pero a menudo tiene elevado contenido de minerales. Las plantas del desierto tienden a presentar hojas reducidas o carecer de ellas, una adaptación que les permite conservar agua. II. Los europeos colonizadores transformaron los bosques en pastos y campos de cultivo y en otras regiones se convirtieron en plantaciones de palmera y árboles de caucho. En el Amazonas y Centroamérica, grandes extensiones forestales, han sido quemadas y convertidas en tierras de pasto para el ganado. ¿A cuáles ecosistemas se refieren? A) B) C) D) I urbano y II terrestre. I terrestre y II agrícola. I agrícola y II terrestre. I agrícola y II acuático. 9- Las siguientes afirmaciones se refieren a tipos de ecosistemas. I. II. Los bosques tropicales lluviosos poseen una alta diversidad de especies. Algunas especies de animales silvestres se han adaptado a vivir en campos agrícolas. ¿A qué tipos de ecosistemas se refieren? A) I acuático y II terrestre artificial.C)I terrestre artificial y II terrestre natural. B)I terrestre natural y II terrestre artificial.D)I terrestre artificial y II terrestre artificial. 81
  • 82.
    Biología X yXI 2013 10 Juan José Mora Vargas Lea el siguiente texto relacionado con formaciones vegetales. Esta formación vegetal se encuentra principalmente en la costa Pacífica de Costa Rica. Los árboles y arbustos crecen en aguas saladas o salobres de poca profundidad en las costas y estuarios. Es una formación vegetal común en todas las regiones tropicales y subtropicales. Dentro de su flora se encuentran diferentes tipos de mangles entre otras especies. La formación vegetal a la cual se refiere el texto anterior se denomina A)bosquesemideciduo estacional submontano. B) bosque deciduo o caducifolio. C)sabana y matorral espinoso. D) bosque de manglar. 11-Los siguientes textos se refieren a una formación vegetal de Costa Rica. Se localiza en la cima de los volcanes Poás, Barva, Irazú y Turrialba, a una altitud entre 2400 3000 metros sobre el nivel del mar. Los robles, las magnolias se encuentran en las partes más altas, también arbustos como arrayanes y otros, están en los estratos inferiores. La formación vegetal a la que se refieren los textos anteriores se denomina A) 12 bosque muy húmedo siempre verde montano. C)sabana y matorral espinoso. B) bosque de manglar. D) paramo subalpino. Lea el siguiente texto relacionado con una formación vegetal de Costa Rica. Se le encuentra en los alrededores del Parque Nacional de Barra Honda y el Parque Nacional de Palo Verde. La vegetación es herbácea de 1,5 a2 metros de altura, con una gran cobertura de gramíneas, cornizuelo, piñuelas y zarzas. Se desarrolla desde los 0 a los 700 metros de altitud. ¿A cuál formación vegetal corresponde el texto anterior? A) B) C) D) Páramo subalpino. Bosque de manglar. Bosque deciduo seco. Sabana y matorral espinoso 13- Lea el siguiente texto relacionado con una formación vegetal. Esta formación vegetal se extiende en una banda estrecha de la vertiente Pacífica de la Cordillera de Guanacaste, el Valle Central y el Valle de los Santos. Se caracteriza por tener árboles muy altos y tupidos, su límite altitudinal superior son los 1000 metros. Actualmente esta formación vegetal se encuentra mayormente transformada en cultivos de caña de azúcar, café y pastoreo. El 70% de todas las especies vegetales de estos bosques son árboles que pierden parte de sus hojas en una época del año. Entre las especies sobresalen el guácimo, guanacaste, higuerones, espaveles y guayabón. ¿A cuál formación vegetal se refiere? A) B) C) D) Bosque de manglar. Sabana y matorral espinoso. Bosque deciduo o caducifolio. Bosque semideciduo estacional submontano. 82
  • 83.
    Biología X yXI 2013 Juan José Mora Vargas 16- Analizar las causas y las consecuencias de la degradación del ambiente, así como la responsabilidad personal y colectiva en la restauración del entorno y el desarrollo sostenible 5pts EQUILIBRIO AMBIENTAL: El Equilibrio ambiental: es el estado de balance natural, establecido en el ecosistema por las relaciones interactuantes entre los miembros de una comunidad y su hábitat, plenamente desarrollado en el cual va ocurriendo lentamente la evolución, produciéndose una interacción entre dos factores. La alteración de este equilibrio puede causas fluctuaciones fuertes en determinadas poblaciones, a favor o en contra de estas FACTORES NATURALES: VULCANISMO: Es una manifestación de la energía interna que posee la tierra y da lugar a variadas formas del relieve como plataformas basálticas, las coladas y los volcanes. DIASTROFISMO: Es una fuerza interna que modifica la estructura del relieve; estos movimientos pueden ser verticales, y afectan extensiones grandes o pequeñas. Pueden ser epirogéneos u orogéneos. PLAGAS: Aparecen cuando se rompe el equilibrio natural de una especie; de tal manera, el control biológico natural ya no ejerce una reducción en el aumento de esa población a nivel numérico. Así mismo se abren nuevos espacios y se introducen fuentes de alimentos que permiten que esa especie plaga se alimente y reproduzca con una alta tasa de natalidad. La mayoría de las plagas perjudican socioeconómicamente al hombre. FACTORES PRODUCIDOS POR EL HOMBRE: DEFORESTACIÓN: Uno de los factores más sobresalientes que ha sido responsable de una acelerada destrucción, alteración de los principales hábitats boscosos ha sido la deforestación. Consiste en la tala de un bosque con el propósito de crear tierra arable, para el uso agrícola o ganadero y aprovechar la madera para la construcción o propósitos industriales. Este proceso elimina la foresta y el sotobosque, alterando todo el ecosistema, pero daña particularmente la capa de humus del suelo, perdiendo esta fertilidad, así mismo modifica el régimen hidrológico y produce daños en el microclima de un lugar determinado. CONTAMINACIÓN: Presencia de sustancias exógenas en los sistemas naturales, ocasionando alteraciones en su estructura y en su funcionamiento. Los efectos de la contaminación se manifiestan además por la generación y propagación de enfermedades de los seres vivos. La contaminación es la alteración directa o indirecta de las propiedades físicas, químicas o biológicas de cualquier parte del medio, debido a la descarga, emisión o depósito de sustancias o desechos, toda vez que adversen el uso beneficio del ambiente, o que causen una condición peligrosa para la salud, bienestar del hombre o la vida silvestre. Pesca Irresponsable: Utilización de extensas y peligrosas redes de arrastre donde se pescan especies en peligro de extinción, como delfines, tortugas entren otros Incremento de la población: se debe al aumento desmedido y poco planificado de la población sobre todo en lugares mas pobres. 83
  • 84.
    Biología X yXI 2013 Juan José Mora Vargas ÁREAS SILVESTRES DE COSTA RICA: estas tienen como objetivo: conservar la biota y el ecosistema, conservar una especie determinada, recreación, belleza escénica, educación ambiental, protección de cuencas, investigación y promoción turística. PARQUES NACIONALES: áreas o regiones extensas de significación histórica, por su belleza escénica natural o por su fauna y flora de importancia nacional o internacional que en ella se encuentran, con linderos señalados sean destinados para la recreación y educación del público, para el turismo o para las investigaciones científicas, administrado por el Estado. Entre estos: Barra Honda, Guanacaste, Las Baulas, Palo Verde, Rincón de la Vieja, Santa Rosa, Volcán Arenal, Volcán Poás, Braulio Carrillo, Volcán Irazú, Cahuita, Chirripó, Internacional de la Amistad, Tortuguero, Corcovado, Manuel Antonio, Marino Ballena, Isla del Coco Y LA Cangreja . RESERVAS FORESTALES: áreas relativamente extensas, aisladas y despobladas, inaccesible o de difícil acceso, en la mayoría de los casos cubierta de bosques. Se protegen de la explotación inadecuada. Se encuentran localizadas en: La Cordillera Volcánica Central, Golfo Dulce, Grecia, los Santos, en Manglares, Matina, Río Macho, Taboga (Guanacaste) y Volcán Arenal. REFUGIOS DE VIDA SILVESTRE: áreas extensas para la protección de la flora, así como otros recursos naturales de nuestro país, donde se permite el manejo de sus especies con planificación y organización. Entre estas están: Caño Negro, Tapantí, Curú, Golfito, Peñas Blancas, Ostional, Tamarindo, Barra del Colorado, Candoca – Manzanillo. RESERVA BILÓGICA: área esencialmente inalterada por la actividad humana, constituida por comunidades biológicas formadas por una o diversas especies vegetales y animales, terrestre y marinas que por sus características especiales y riesgo conviene preservar, en la cual los procesos ecológicos ha seguido un curso espontáneo con un mínimo de interferencia, es administrada por el estado. Las actividades recreativas y turísticas no son compatibles con los fines por lo que se establecieron estas áreas. Entre estas tenemos: Hitoy - Cerere, Carara, Isla del Caño, Isla Negritos, Guayabo y Pájaros, Lomas de Barbudal, Absoluta de Cabo Blanco. ZONAS PROTEGIDAS: bosque o terrenos forestales que protegen suelos, una cuenca hidrográfica importante para alguna población cercana o que actúen como agentes reguladores del clima y del ambiente, bordean ríos, manantiales, arroyos, lagos, lagunas o embalses naturales. Entre estos tenemos: Barbilla, Acuíferos Guácimo - Pococí, Cabecar, Caraigres, Cerro Atenas, Cerros Escazú, Cerros de la Carpintera, Cerros de Turrubares, Cerro Nara, Cuenca del Río Tuis, el Chayote, el Rodeo, Juan Castro Blanco, la Serlva, las Tablas, Quitirrisi, Río Grande, Río Sombrero y Río Navarro, Río Tiribí, Río Tivives, Tortuguero, Las Baulas de Guanacaste, Miravalles, Tenorio, Arenal – Monteverde, Río Pacuare, San Ramón., Río Banano HUMEDALES: ecosistemas con dependencia de regímenes acuáticos o sea superficies cubiertas de aguas, sean de régimen natural o artificial, permanentes o temporales, estancadas o corriente, dulces o salobres, incluida la extensión de agua marina cuya profundidad en marea baja no exceda de seis metros, que se encuentran en los litorales o en las planicies de inundación, tanto de agua dulce o agua salada, ciénagas y otras. Incluye las zonas ribereñas costeras adyacentes, como las islas. 84
  • 85.
    Biología X yXI 2013 Juan José Mora Vargas MONUMENTOS NACIONAL: área de recurso cultural o histórico sobresaliente, de importancia nacional o internacional. Entre estos tenemos: Guayabo. ÁREAS DE CONSERVACIÓN: agregado o conjunto de una serie de parques de una misma área. Se encuentran aquí: Área de Conservación Guanacaste (Santa Rosa, Guanacaste y Ricón de la Vieja), Tempisque (Palo Verde, Barra Honda y Baulas), Cordillera Volcánica Central (Poás, Braulio Carrillo, Irazú y Turrialba), Llanuras del Tortuguero (Tortuguero), La Amistad Caribe (La Amistad y Cahuita), La amistad Pacífico (Tapantí y Chirripó), Osa (Marino Ballena, Corcovado y Piedras Blancas), Pacífico Central (Manuel Antonio), Arenal(Tenorio, Arenal y Juan Castro Blanco). EJERCICIOS 1- Analice el siguiente texto referente a un problema ambiental en Costa Rica: La deforestación ha sido responsable de una acelerada reducción en la extensión de los principales hábitats boscosos en nuestro país. Por ejemplo entre los años 1963 y 1973, se deforestaron alrededor de 48 800 hectáreas por año, tasa que se redujo entre 1973 y 1989, con aproximadamente 31 800 hectáreas por año. Los porcentajes de cambio más significativos se observaron en el bosque seco tropical, que perdió el 44,3% de la cobertura que tenía en 1963. De las siguientes afirmaciones y de acuerdo con el texto anterior, ¿cuál es una consecuencia de este desequilibrio A) B) C) D) 2 Deforestación intensa de nuestros bosques entre los años 1963 y 1973. Reducción de los principales hábitats boscosos de nuestro país. Aumento en los controles relativos a la tala de árboles. Aumento de las zonas industriales en nuestro país. Lea cuidadosamente la siguiente información relacionada con el desequilibrio ambiental: En los ambientes costeros, los arrecifes de coral están siendo destruidos en forma acelerada debido a la sedimentación originada por la erosión de las deforestadas cuencas hidrográficas. La alta turbidez de las aguas provenientes de las zonas erosionadas está afectando los bancos de manglar de la costa del Pacífico, en estas condiciones se encuentra por ejemplo Bahía Ballena, Bahía Culebra, Golfo Dulce, Golfo de Nicoya, los deltas del Río Grande de Térraba y el Río Sierpe, al ser importantes para el país en cuanto a pesca. Según la información presente en el recuadro anterior, una causa del desequilibrio en los arrecifes de coral es l A) B) C) D) tala de árboles, la cual es producto de la sedimentación. deforestación, que origina erosión en las cuencas hidrográficas. carencia de oxígeno, producto de gran cantidad de materia orgánica en los ríos. turbidez de las aguas costeras, provocado por el arrastre de lodo de los ríos a la costa. 3-Lea el siguiente texto sobre factores que alteran el equilibrio ambiental. Algunos gases que resultan de la contaminación atmosférica evitan que las radiaciones solares una vez que llegan a la superficie terrestre se reflejen y de esta forma el calor “queda atrapado” provocando un aumento en la temperatura global del planeta. Según el texto anterior, ¿cuál es una consecuencia de este tipo de desequilibrio? A) B) C) D) Inundaciones en las zonas costeras. Destrucción de la capa de ozono. Efecto invernadero. Deforestación . 85
  • 86.
    Biología X yXI 2013 4- Juan José Mora Vargas Lea la siguiente información relacionada con un factor de desequilibrio de la naturaleza. “Los combustibles fósiles, especialmente el carbón mineral, liberan contaminantes a medida que se queman. El azufre que se encuentra, frecuentemente, en el carbón se combina con el oxígeno y produce un humo con un olor desagradable. A medida que se quema, el carbón también libera gran cantidad de hollín o partículas de carbón sin quemar a la atmósfera.” Biología de Alexander, Baret, Chaves, Court La información del recuadro se refiere a A) B) C) D) vulcanismo. diastrofismo. contaminación del aire. contaminación del suelo. 5-El contenido del recuadro se refiere a factores que alteran el equilibrio de la naturaleza. Nuestra cultura genera una cantidad enorme de papel periódico, latas, cajas, botellas plásticas, pañales y otras formas de desechos sólidos, que en sistemas naturales difíciles de degradar. El exceso de dióxido de carbono en la atmósfera produce el calentamiento global, lo cual podría cambiar los centros agrícolas, eliminar especies e inundar las costas, que alterará el paisaje, el valor de la tierra y el costo de los alimentos. La información contenida en el recuadro se refiere a A) B) C) D) 5- contaminación. deforestación. diastrofismo. lluvia ácida. El contenido del recuadro se refiere a un factor que altera el equilibrio de la naturaleza. La radiación que recibe la Tierra calienta su superficie y se irradia de regreso a la atmósfera. Los gases como el dióxido de carbono y los óxidos nitrosos de la combustión, los clorofluorocarbonos de las actividades industriales y el metano de las granjas y terrenos de alimentación, absorben parte de este calor y lo atrapan en la atmósfera. El resultado es un aumento en las temperaturas globales promedio. El contenido del recuadro se refiere al factor denominado A) B) C) D) 6- destrucción de la capa de ozono. contaminación del suelo. efecto de invernadero. lluvia ácida. El contenido del recuadro se refiere a un factor que altera el equilibrio de la naturaleza. La disminución de la capa que protege de los rayos ultravioleta a la atmósfera terrestre se da por compuestos clorofluorocarbonados (CFC) que llevan directa e inevitablemente a un incremento en la cantidad de radiación ultravioleta que alcanza la superficie terrestre. Para los seres humanos, un efecto inmediato de una radiación ultravioleta mayor es un incremento en la incidencia de cáncer de piel. También puede dañar gravemente el sistema inmune, que ayuda a la defensa del cuerpo contra las enfermedades infecciosas. El contenido del recuadro se refiere al factor denominado A) B) C) D) lluvia ácida. efecto de invernadero. contaminación del suelo. destrucción de la capa de ozono. 86
  • 87.
    Biología X yXI 2013 Juan José Mora Vargas 7-Lea la siguiente información referente a una categoría de área protegida de Costa Rica: Este tipo de área protegida cumple importantes funciones tales como: Proveer a las especies silvestres el hábitat necesario, mediante el manejo de los parámetros que inciden en las poblaciones. Facilitar las condiciones para un uso público controlado. El texto anterior corresponde a la categoría de área protegida denominada A) Parque Nacional. B) Reserva Biológica. C) Monumento Nacional. D) Refugio de Vida Silvestre. 8La siguiente afirmación se refiere a un área protegida de Costa Rica: Está destinada para la producción de madera a través de un manejo controlado del bosque. ¿Cuál es el nombre del área protegida a la que se refiere la afirmación anterior A) B) C) D) Refugios de vida silvestre. Reserva biológica. Reserva forestal. Parque nacional. 9-El siguiente texto se relaciona con la importancia de un área protegida de Costa Rica: Se encuentra destinada a la protección y a una explotación racional de los bosques, según normas técnicas de ordenamiento y explotación que determinan las cantidades anuales a explotar. El texto anterior se refiere al área protegida denominada A) reserva forestal. B) parque nacional. C) reserva biológica. D) refugios de vida silvestre. 10-Lea la siguiente información referente a un área protegida Son áreas o regiones extensas de significación histórica, por su belleza escénica natural o por su fauna y flora de importancia nacional o internacional que en ella se encuentran, con linderos señalados sean destinados para la recreación y educación del público, para el turismo o para las investigaciones científicas, administrado por el Estado. Entre estos: Barra Honda, Guanacaste, Las Baulas, Palo Verde, entre otros La información anterior hace referencia a A)reserva forestal. B)parque nacional. C)reserva biológica. D)refugios de vida silvestre. 87
  • 88.
    Biología X yXI 2013 Juan José Mora Vargas 11De la siguiente información referente a un área protegida Son áreas esencialmente inalterada por la actividad humana, constituida por comunidades biológicas formadas por una o diversas especies vegetales y animales, terrestre y marinas. Las actividades recreativas y turísticas no son compatibles con los fines por lo que se establecieron estas áreas. Entre estas tenemos: Hitoy - Cerere, Carara, Isla del Caño, Isla Negritos, Guayabo y Pájaros, Lomas de Barbudal, Absoluta de Cabo Blanco. La información anterior hace referencia a ( ) Reserva biológica ( ) Parque Nacional ( ) Reserva Forestal ( )Refugio de Vida Silvestre 13- De la siguiente información referente a un área protegida Son áreas relativamente extensas, aisladas y despobladas, inaccesible o de difícil acceso, en la mayoría de los casos cubierta de bosques. Se protegen de la explotación inadecuada. Se encuentran localizadas en: La Cordillera Volcánica Central, Golfo Dulce, Grecia, los Santos La información anterior hace referencia a ( ) Reserva biológica ( ) Parque Nacional ( ) Reserva Forestal ( )Refugio de Vida Silvestre 88
  • 89.
    Biología X yXI 2013 Juan José Mora Vargas Prueba final Analice las siguientes expresiones referentes a sustancias del protoplasma. I. Las células utilizan estas sustancias como combustible, como bloques de construcción de hormonas esteroideas y sales biliares. II. Actúan como enzimas y se utilizan para formar muchas sustancias necesarias, como hemoglobina y miosina. III. La hemoglobina se encarga de transportar el oxígeno en los glóbulos rojos. IV. Constituyen uno de los principales componentes de la membrana celular. ¿Cuáles corresponden a los lípidos? A) B) C) D) I y II. I y IV. II y III. III y IV. 2 -Lea cuidadosamente las siguientes afirmaciones que se refieren a sustancias orgánicas del protoplasma: V. VI. VII. VIII. Están conformados por unidades denominadas monosacáridos. Algunas de estas moléculas son capaces de catalizar diversas reacciones químicas. Son compuestos ternarios, constituidos principalmente por Carbono, Hidrógeno y Oxígeno. Contienen en su estructura grupos carboxilo, amino y R, este último simboliza gran variedad de grupos sustituyentes. De las afirmaciones anteriores, ¿cuáles se refieren a los carbohidratos? A) I y III. B) I y IV. C) II y III. D) II y IV. 3- Las siguientes afirmaciones se relacionan con la función de una vitamina. Regula el metabolismo del calcio y el fósforo. Promueve la absorción de calcio en el intestino; necesaria para el crecimiento y la mineralización normales del hueso. Biología de Fried G Las afirmaciones anteriores, se refieren a la vitamina denominada A) B) C) D) D. K. B1. B2. 4La siguiente información se relaciona una sustancia escencial Una concentración muy baja puede detener la concentración muscular, bajos niveles en la sangre pueden dar lugar a una hiperirritabnilidad de los nervios y músculos. Bajo este estado , el más ligero estímulo puede poner a una persona en un estado convulsivo. ¿ cuál es el nombre de la sustancia escencial A) B) C) D) E) Vitamina Mineral Enzima Aminoácido 89
  • 90.
    Biología X yXI 2013 Juan José Mora Vargas 5- Analice los textos del recuadro relacionados con sustancias inorgánicas I. Sustancia necesaria para la producción de hemoglobina (transportador de oxígeno en la sangre) e interviene en los procesos de obtención de energía. II. Es el vehículo más idóneo para la circulación de las sustancias nutritivas en el interior de los organismos debido a sus propiedades como disolventes. III. Protege a la materia viva contra cambios bruscos de temperatura. IV. Son constituyentes principales de los huesos. Los que corresponden a funciones del agua son A) I, II y IV. B) C) D) II y IV. II y III. I y III. 6- Considere el siguiente contenido relacionado con tipos de células. IV. V. VI. Animal. Vegetal. Procariótica. d. Una alga azul verdosa es un ser vivo autótrofo sintetizante, carente de una membrana nuclear. e. Posee grandes vacuolas para almacenamiento de sustancias. f. Son células que carecen de pared celular. ¿ Cuál es la relación correcta entre el contenido de los recuadros? A) B) C) D) I a, I b y III c. I a, II c y III b. I c, II b y III a. I b, II c y III a. 7- Observe la siguiente representación relacionada con un tipo de ciclo infeccioso viral. 1 2 3 4 1 ¿Cuál número representa la etapa de ensamblaje ? A) B) C) D) 1 2 3 4 8-Considere la siguiente descripción relacionada con una etapa del ciclo lítico de los virus. Después de que el virus se ha unido a la superficie celular, su cola se contrae y perfora la pared celular, el ácido nucleico es inyectado a la célula huésped. ¿Qué nombre recibe está etapa? A) B) C) D) Multiplicación. Penetración. Liberación. Fijación. 90
  • 91.
    Biología X yXI 2013 Juan José Mora Vargas 9-Analice la siguiente información de los recuadros relacionada con tipos de células: I. II. III. IV. Las cianobacterias, carecen de membrana nuclear y de las demás organelas membranosas, como mitocondrias y cloroplastos. Sin embargo poseen membranas internas llamadas laminillas fotosintéticas, las cuales contienen clorofila y enzimas necesarias para la fotosíntesis. Este grupo está formado por organismos flagelados, los cuales son alargados y con un solo núcleo central y uno o varios flagelos delgados en el extremo anterior. De acuerdo con la información de los recuadros, ¿cuáles se refieren a células procarióticas? A) B) C) II y IV. II y III. I y IV. D) I y III. 10- Las siguientes afirmaciones se refieren a ejemplos de procesos metabólicos: I. II. Producción de glucosa a partir de la degradación del glucógeno hepático. Formación de proteínas a partir de aminoácidos proteicos. Las afirmaciones anteriores se refieren a procesos A) I catabólico, II anabólico. B) I anabólico, II catabólico. C) I de reducción, II anabólico. D) I catabólico, II de oxidación. 11- Observe la siguiente representación relacionada con un tipo de transporte celular. ¿Cuál es el nombre del transporte representado? A) B) C) D) Fagocitosis. Pinocitosis. Exocitosis. Difusión. 91
  • 92.
    Biología X yXI 2013 Juan José Mora Vargas 12-Lea el texto del recuadro relacionado con una organela citoplasmática Son regiones transparentes y bien definidas del interior de la célula que contienen agua y materiales disueltos. Funcionan como depósitos de líquidos y sales que, de otra manera, podrían interferir con los procesos metabólicos que ocurren en el citoplasma. El texto anterior se refiere a la organela denominada A) B) C) D) 13- vacuolas. lisosomas. cloroplastos. mitocondrias. Lea el contenido de los recuadros relacionados con la nutrición autótrofa A. Captura de Oxigeno. B. Síntesis de Glucosa . 1. El dióxido de carbono es reducido por átomos de hidrógeno que provienen del NADPH 2. 2. Cuando una molécula de clorofila absorbe luz cede 2 electrones a un aceptor primario y luego éste lo transfiere a una molécula de ferredoxina que los transfiere al aceptor final que es NADPH 2. 3. Esta fase también recibe el nombre de fotoindependiente puesto que consiste en una serie de reacciones químicas que no dependen de la energía lumínica. 4. Una característica de esta fase es que integra el carbono de un compuesto inorgánico a compuestos orgánicos. ¿Cuál es la forma correcta de relacionar las fases con sus respectivas características? A) B) C) D) A 1; B 2, 3, 4. A 1, 2; B 3, 4. A 2; B 1, 3, 4. A 2, 4; B 1, 3. 14- Analice cuidadosamente la información que se refiere a nutrición heterótrofa I- Se lleva a cabo en el interior de las mitocondrias y forma una vía bioquímica que comienza y termina con la misma molécula de cuatro carbonos, el ácido oxalacético. II-Comienza con la condensación del oxalacetato y acetil CoA para originar citrato. III- Las reacciones de este proceso, se llevan a cabo en el citoplasma. IV Secuencia de reacciones que convierte la glucosa en piruvato. ¿ Cual o Cuáles se refieren a respiración aeróbica ? A) B) C) D) I y II. I y IV. II y IV. III Solamente 92
  • 93.
    Biología X yXI 2013 Juan José Mora Vargas 15- Analice la siguiente información El proceso que ocurre cuando la cadena se abre formando una horquilla de duplicación en la cuál actúan tres enzimas que permiten este proceso, produciendo la formación de una cadena exactamente igual a la original. “ La definición anterior hace referencia al concepto de ” A) duplicación ADN. B) traducción C) transcripción de ADN. D) Síntesis de proteínas. 16-Las representaciones de los recuadros se refieren a tipos de mutaciones III. IV. Las representaciones de los recuadros se refieren a las mutaciones denominadas A) B) C) D) génicas ambas. genómicas ambas. I génicas y II genómicas. I de punto y II cromosómicas. 17-La siguiente afirmación se refiere a mutaciones. Los individuos con el síndrome de Klinefelter (XXY), tienen genitales y conductos internos masculinos, pero sus testículos son poco desarrollados y no producen esperma. La información subrayada se refiere a A) B) C) D) causa y consecuencia. consecuencia. importancia. causa. 93
  • 94.
    Biología X yXI 2013 Juan José Mora Vargas 18- Las siguientes representaciones se refieren a fases de la mitosis: I. II. ¿Cuáles son las fases de la mitosis representadas en los recuadros I y II, respectivamente? A) Profase y metafase. B) Metafase y profase. C) Telofase y anafase. D) Anafase y telofase. 19- Considere la siguiente expresión relacionada con una fase de la segunda división meiótica. Las crómatidas hermanas de cada diada (pareja de crómatidas) se separan hacia los polos opuestos. ¿Qué nombre recibe esta fase? A) B) C) D) Metafase II. Telofase II. Anafase II. Profase II 20- Lea la siguiente información relacionada con un término genético: Unidad hereditaria m ás pequeña que controla una característica particular de un organismo. ? Puede replicarse para producir copias exactas de sí m ismo o mutar para dar lugar a nuevas form as. ¿A qué término básico se refiere la información contenida en los recuadros anteriores? A) B) C) D) Genotipo. Genoma. Fenotipo. Gen. 94
  • 95.
    Biología X yXI 2013 Juan José Mora Vargas 21- Lea cuidadosamente el texto incompleto que se le brinda a continuación. En un organismo, al gen que evita la expresión de otro gene se le denomina__________________ y al otro que no se expresa se le denomina _____________________. ¿Cuáles son los términos que completan, en ese orden, el texto dado? A) alelo, genoma B) fenotipo, genotipo C) dominante, recesivo D) heterocigota, homocigota 22-El siguiente problema está relacionado con el cálculo de probabilidades de la herencia: Dos plantas de tallo largo heterocigota se cruzan. Tallo largo: Dominante. Tallo corto: Recesivo. ¿ Cuál es el fenotipo esperado en la primera generación (F1)? E) F) G) H) 50% heterocigota, 25% homocigota dominante, 25% homocigota recesivo. 75% plantas de tallo corto; 25% plantas de tallo largo. 75% plantas de tallo largo; 25% plantas de tallo corto. 50% heterocigota, 50% homocigota. 23-En las plantas de arveja las semillas lisas son dominantes sobre las rugosas. Un cruce entre una planta de arveja homocigota dominante y una homocigota recesiva produjo una F1 100% de semillas lisas. Al cruzar dos plantas de la F1. ¿Qué porcentaje de plantas con semillas lisas se producirá en la generación F2? A) B) C) D) 100%. 75%. 50%. 25%. 24-Una mariposa de alas grises se cruza con una de alas negras y se obtiene una descendencia formada por un 50% de mariposas de alas negras y un 50% de mariposas de alas grises. ¿Cómo son los posibles genotipos de las mariposas que se cruzan? A) B) C) D) Heterocigota y heterocigota. Heterocigota y homocigota recesivo. Homocigota dominante y heterocigota. Homocigota dominante y homocigota recesivo. 95
  • 96.
    Biología X yXI 2013 Juan José Mora Vargas 25-En un cruce de dominancia incompleta, ¿cuál es el fenotipo esperado al cruzar una planta de maravilla de flores rojas con otra planta de maravilla de flores blancas? A) B) C) D) 100% plantas de flores rojas. 100% plantas de flores rosadas. 75% plantas de flores rojas y 25% plantas de flores blancas. 50% plantas de flores rojas y 50% plantas de flores blancas. 26- Luis Carlos es un hombre daltónico que contrae matrimonio con Josefina, mujer con visión normal, no portadora. ¿Qué porcentaje de su progenie presenta visión normal? A) B) C) D) 100%. 75%. 50%. 25%. 27-Lea la siguiente información relacionada con problemas sobre el cálculo de probabilidad de grupos sanguíneos: Padres: Genotipo Carolina X Jorge A B I iI i Carolina le plantea el divorcio a Jorge por sospechar que tiene un hijo fuera de matrimonio con Melisa poseedora de sangre tipo O. ¿ Cuál de los siguientes genotipos corresponde a un posible hijo de Jorge con Melisa? A) B) C) D) AB II. BB II. B I i. A I i. 28 Ana presenta sangre A con factor Rh negativo. Su esposo tiene sangre O con factor Rh positivo en condición heterocigoto. De acuerdo a los factores Rh de los padres, ¿cuál es la probabilidad porcentual de que el sus hijos sean del factor Rh positivo? A) B) C) D) 25% 50% 75% 100% 96
  • 97.
    Biología X yXI 2013 Juan José Mora Vargas 29-La siguiente información corresponde a un tipo de manipulación de la herencia. Es una tecnología de reproducción asistida en que se fecundan uno o varios óvulos fuera del organismo materno. Se estimula la maduración de muchos óvulos mediante inyección diaria de hormonas (se puede hacer con un solo óvulo). Los óvulos se extraen mediante diferentes técnicas. Los óvulos extraídos se mantienen en un medio líquido especial al que se añade semen lavado e incubado. Después de 18 horas se extraen los óvulos, se cultivan en un medio adecuado y se examinan 40 horas después. Hay una probabilidad del 40-50% de fecundación de los óvulos. ¿Cuál es el nombre de la técnica biotecnológica? A) B) C) D) 30) Fertilización in vitro. Inseminación artificial. Clonación de seres vivos. Organismos transgénicos La siguiente descripción está relacionada con Biotecnología. A través de esta técnica se incorporan genes que no son los propios en plantas y animales con la finalidad de agregar en estos individuos alguna característica favorable como por ejemplo cultivos resistentes a plagas o sequías, animales que produzcan mayor cantidad de leche. ¿A cuál tipo de manipulación genética se refiere? A) B) C) D) Clonación. Fecundación in vitro. Inseminación artificial. Organismos transgénicos. 31-La siguiente descripción se relaciona con una técnica de manipulación de la herencia. Con esta técnica, los médicos: Extraen el óvulo del útero. Fusionan los núcleos de los gametos en el laboratorio. Implantan el cigoto en el útero. La información anterior se refiere a A) B) C) D) clonación. fertilización in vitro. inseminación artificial. organismos transgénicos. 97
  • 98.
    Biología X yXI 2013 Juan José Mora Vargas 32- La siguiente descripción se relaciona con un tipo de manipulación de la herencia. En 1992 se practicó la recombinación del ADN de cereales introduciendo un nuevo gen que hacían que ciertas plantas y bacterias fueran inmunes a los herbicidas. Se produjo una variedad de cereal híbrido que es inmune a los herbicidas que contienen el compuesto denominado imidazolin. La totalidad de la descripción se refiere a A) B) C) D) clonación. fertilización in vitro. inseminación artificial. organismos transgénicos. 33-Analice cuidadosamente los siguientes textos relacionados con elementos que provocan la micro evolución I. II. III. IV. Producen cambios en el fenotipo que a menudo solo se descubren por medio de complejas técnicas bioquímicas. Puede ser el resultado de la emigración o de la inmigración de los individuos potencialmente reproductivos, el cual conlleva un aumento en la variabilidad de la población. Si una población consta de solo unos pocos individuos, un alelo presente a baja frecuencia en ella puede perderse por simple azar. Tal acontecimiento sería improbable en una población grande. Puede trabajar a favor o en contra de la selección natural, por ejemplo en una población puede disminuir la frecuencia de un gene favorable que normalmente está con una frecuencia alta en una población grande. ¿Cuáles se refieren a desplazamiento genético al azar? A) B) C) D) 34- I y II. I y IV. II y III. III y IV. Los siguientes textos se encuentran relacionados con elementos que provocan la micro evolución I. II. III. Ausencia de modificaciones en el patrimonio genético de la población que lleva a la reducción de la variabilidad en la misma. Es un factor de cambio en el material genético, pues permite la aparición repentina y aleatoria de nuevos fenotipos, sobre los cuales pueden actuar otros factores. Las frecuencias genéticas de una población pueden sufrir cambios, si un tipo de gen se transforma en otro alelo, y abre la posibilidad de que aparezca un nuevo fenotipo. ¿Cuáles números identifican información relativa a mutaciones? A) I y II. B) I y III. C) II y III. D) I, II y III. 98
  • 99.
    Biología X yXI 2013 Juan José Mora Vargas 35-La siguiente información se refiere a un caso hipotético relacionado factores que determinan la microevolución Por influencia de un depredador específico, se da la pérdida del alelo responsable de la presencia de ala normal en una población pequeña, de moscas reduciendo la variabilidad dentro de la población. La información anterior se refiere a la fuerza elemental denominada A) B) C) D) 36 desplazamiento genético al azar. migración genética. competencia. mutación. Las siguientes afirmaciones están relacionados con factores que determinan la micro evolución I. II. III. IV. Puede aumentar la variabilidad en una especie. Ocurre en poblaciones que están aisladas del resto de la especie. Se da por acumulación paulatina de pequeños cambios en la frecuencia genética de una población. Se produce cuando individuos de una población dada tienen la oportunidad de aparearse con los de otra población, de modo que sus descendientes ostentan mayor diversidad. ¿Cuáles se refieren a migración genética? A) I y II. B) I y IV. C) II y III. D) III y IV. 37-Analice la siguiente información acerca de patrones evolutivos que determinan la especiación: 5. 6. 7. D. Variabilidad E. Aislamiento F. 8. Barreras geográficas provocan la formación de subespecies de una misma especie. Características diferenciales que presentan los individuos de una misma especie. Existe cuando hay una limitación que impide que los organismos de una población particular puedan cruzarse con el resto de su especie. Interacción por la limitación de comida y el espacio vital, que conlleva a una proliferación de nuevas especies. Competencia ¿Cuál es la forma correcta de asociar la información? A) A1, A2, B3 y C4. B) A2, B1, B3 y C4. C) A3, B4, C1 y C2. D) A4, B3, B4 y C1. 99
  • 100.
    Biología X yXI 2013 Juan José Mora Vargas 38) Analice cuidadosamente el siguiente texto que se refiere a factores que inducen la formación de especies: La formación de dos o más especies a partir de una sola, requiere diversas formas de aislamiento entre las diversas subpoblaciones. Los pinzones de Darwin ilustran este punto, la ausencia de competidores y de depredadores en las islas Galápagos no solo suministró una presión de selección muy relajada al ave ancestral que llegó a las islas, sino que además el aislamiento relativo y la separación de las diversas islas permitieron el establecimiento de razas distintas. Una especie de pinzón que habita en la isla del Coco, situada 161 kilómetros al nordeste de las islas Galápagos, ilustra la importancia del aislamiento geográfico de distintas razas en el surgimiento de nuevas especies. En las islas Galápagos se originaron trece especies diferentes. En la isla del Coco no ocurrió tal diversificación por ser una isla única, existiendo en la actualidad una sola especie de pinzón. De acuerdo con la información anterior, ¿cuál opción contiene la afirmación verdadera? E) En las islas Galápagos las diversas especies de pinzones se producen a partir de competencia con otras especies. F) La producción de una sola especie de pinzón en la isla del Coco es producto de barreras geográficas dentro de la isla. G) La diversidad de especies de pinzones en las islas Galápagos, es producto del aislamiento y la separación entre las islas. H) En la isla del Coco, se muestra una alta competencia por espacio físico y alimento. 39-Analice la siguiente representación relacionada con un patrón formador de especies. A partir de los prosimios modernos, se da origen a una variedad de diferentes especies, cada una de las cuales está adaptada y especializada en cierta forma única a sobrevivir en un hábitat particular. El contenido del recuadro se refiere al patrón de especiación denominado A) B) C) D) variabilidad intraespecífica. aislamiento geográfico. radiación adaptativa. competencia. 100
  • 101.
    Biología X yXI 2013 Juan José Mora Vargas 40-Analice los siguientes textos que se relacionan con patrones evolutivos que determinan la formación de especies: V. Los individuos de una población presentan variación en sus rasgos. Algunos de estos rasgos elevan las probabilidades de sobrevivencia del individuo y su capacidad reproductiva. Todos los individuos de una población comparten por igual los recursos limitados, de modo que en caso de alta densidad poblacional ninguna de ellas obtiene una cantidad adecuada. Proceso mediante el cual dos poblaciones se separan en virtud de factores geográficos, ecológicos, de comportamiento, reproductores o genéticos. Las aguas de los mares y océanos hacen imposible la unión entre organismos separados de la misma especie. VI. VII. VIII. De los textos anteriores, ¿cuáles de ellos se refieren al AISLAMIENTO como un patrón que determina la especiación? A) I y II. B) I y IV. C) II y III. D) III y IV. 41Qué tipo de evidencias del proceso evolutivo se fundamenta en aquellos seres que provienen de un mismo grupo ancestral y presentan estructuras semejantes durante el desarrollo fetal? A) Paleontológicas y bioquímicas. B) Anatómicas y paleontológicas. C) Anatómicas y embriológicas. D) Bioquímicas y anatómicas. 42Lea los siguientes textos que se refieren a evidencias del proceso evolutivo: I. II. Las investigaciones referentes a la presencia de sustancias orgánicas como la prolactina en aves, peces y mamíferos, han revelado similitudes y también diferencias específicas entre estos seres vivos. Existen órganos que son en esencia similares en estructura, aunque muy distintos y adaptados a funciones muy semejantes. Los textos anteriores se refieren a las evidencias denominadas A) B) C) D) I embriológica, II paleontológica. I bioquímica, II embriológica. I anatómica, II bioquímica. I bioquímica, II anatómica. 43- Lea los siguientes textos sobre evidencias del proceso evoluti I. II. La extremidad anterior de un caballo, el brazo de un hombre y el ala de un murciélago cumplen funciones diferentes, pero consta casi exactamente de los mismos huesos, músculos, nervios y vasos sanguíneos. La experimentación ha establecido que la similitud de las proteínas de los seres humanos es mayor con respecto a las de los monos, que en relación con las de cualquier otro tipo de mamíferos. Las evidencias evolutivas descritas, según su tipo, corresponden a A) I y II anatómicas. B) I y II bioquímicas. C) I anatómica y II bioquímica. D) I bioquímica y II anatómica. 101
  • 102.
    Biología X yXI 2013 Juan José Mora Vargas 44-Lea la siguiente información relacionada con evidencias del proceso evolutivo. I. II. III. Constituyen un registro de los organismos que vivieron en épocas pasadas y proporcionan información sobre el sitio y la era en que existieron. La semejanza mutua de diferentes vertebrados es mayor entre los embriones que entre los adultos. Es posible deducir las relaciones evolutivas que dieron origen a los organismos modernos utilizando restos o vestigios de organismos antiguos de diferentes edades geológicas. La información anterior se refiere respectivamente a las evidencias evolutivas denominadas A) B) C) D) paleontológica, embriológica y paleontológica. paleontológica, embriológica y anatómica. embriológica, embriológica y anatómica. bioquímica, anatómica, paleontológica. 45- Lea las siguientes proposiciones relacionadas con el origen de las especies:     El medio introduce la necesidad de una nueva estructura o cambio en un ser vivo. El ser vivo trata de resolver esta necesidad. En respuesta a su esfuerzo la estructura del ser vivo se modifica. El cambio de estructura es trasmitido por el ser vivo a su descendencia. ¿Cuál es el nombre del postulado al que se refieren las proposiciones anteriores? A) B) C) D) Mutacionismo. Teoría sintética. Selección natural. Uso y desuso de los órganos. 46-Lea el siguiente texto relacionado con el origen de las especies: Los organismos mejor adaptados tienen mayor probabilidad de sobrevivir y reproducirse. El texto anterior se refiere al postulado denominado A) B) C) D) Teoría de la selección natural. Uso y desuso de los órganos. Teoría sintética. Mutacionismo. 47-Lea el siguiente texto sobre teorías del origen de las especies. Con los inicios del siglo XX, T. Dobzhansky propuso una nueva teoría sobre la evolución de las especies, incorporando el conocimiento sobre las leyes de la herencia propuestas por Gregorio Mendel en el siglo XIX a la teoría propuesta por Darwin y Wallace en 1959. ¿Con cuál teoría se relaciona el texto anterior? A) B) C) D) Mutacionismo. Teoría sintética. Equilibrio puntuado. Uso y desuso de los órganos. 102
  • 103.
    Biología X yXI 2013 48- Juan José Mora Vargas La siguiente información está relacionada con el origen de las especies. En el curso de su existencia algunos individuos son más exitosos que otros, lo que los lleva a sobrevivir en mayor grado y a reproducirse más exitosamente. Estos individuos de mayor supervivencia y reproducción dejarán más descendientes que aquellos menos adaptados. ¿Cuál es el nombre de la teoría? A) B) C) D) Sintética. Mutacionista. Selección natural. Uso y desuso de los órganos. 49-¿Cuál es el nombre de la hipótesis en la que se propuso que la vida se podía haber originado bajo condiciones especiales con la influencia de la luz solar y descargas eléctricas sobre una atmósfera primitiva? A) B) C) D) Generación espontánea. Origen quimiosintético. Experimentación. Panspermia 50- Lea el siguiente texto relacionado con una hipótesis sobre el origen de la vida. El concepto de que los primeros seres vivos se originaron de sustancias inanimadas fue sugerido por primera vez por J. Haldane y R. Beutner a partir del siglo XVII. Esta hipótesis se mantuvo vigente durante muchos años como la única forma de explicar el origen de la vida, hasta que Francisco Redi en 1668 aportó evidencias en contra de esta hipótesis y posteriormente con los experimentos de Louis Pasteur 1861 quedó completamente descartada. ¿A cuál hipótesis se refiere? A) B) C) D) Cosmozoica. Quimiosintética. Experimentación. Generación espontánea. 51-El siguiente texto se refiere a una hipótesis sobre el origen de la vida: En 1953 los investigadores Miller y Urey crearon en el laboratorio las condiciones que se piensa tenía la Tierra hace unos 3000 millones de años cuando se calcula que surgieron las primeras formas de vida. A partir de una mezcla de vapor de agua, metano, amoníaco e hidrógeno gaseoso que simulaba la atmósfera primitiva y descargas eléctricas, se pudieron formar compuestos orgánicos simples. Esto constituye una importante evidencia a favor de la hipótesis que sugiere el origen de los seres vivos a partir de sucesivas etapas en donde compuestos inorgánicos originaron sustancias orgánicas y finalmente se originaron los primeros organismos unicelulares. La hipótesis que describe el texto recibe el nombre de A) B) C) D) Generación espontánea. Experimentación. Quimiosintética. Mutacionismo. 103
  • 104.
    Biología X yXI 2013 Juan José Mora Vargas 52-Lea la siguiente afirmación relacionada con el origen de la vida: Propone que los seres vivos se pueden producir en cualquier momento a partir de materia no viviente. La afirmación anterior se refiere a la hipótesis denominada A) B) C) D) Panspermia. Cosmozoica. Experimentación. Generación espontánea 53-Lea cuidadosamente la información de los dos recuadros relacionada con reinos biológicos: I. La mayoría se reproduce por esporas microscópicas, carentes de flagelos, las que son dispersadas por el viento. Presentan tamaño y formas muy variadas. Sus células son eucariontes y tienen las paredes celulares constituidas por quitina. II. Todos son eucarióticos multicelulares y heterótrofos. Son consumidores y mayoría ingieren el alimento primero y después lo digieren dentro del cuerpo, por lo regular en un aparato digestivo. ¿Con cuáles reinos biológicos, según Whittaker, se relaciona la información de los recuadros anteriores? A) B) C) D) I Protista y II Monera. I Monera y II Protista. I Animalia y II Fungi. I Fungi y II Animalia. 54-Lea cuidadosamente la información de los dos recuadros relacionada con reinos biológicos: I. II. Los seres vivos pertenecientes a este Reino Biológico carecen de clorofila y poseen células eucarióticas dotadas de pared celular; viven en contacto con su sustrato alimenticio. Se reproducen por esporas. Los miembros de este Reino Biológico obtienen sus nutrientes consumiendo otros seres. Todos son pluricelulares, con estructuras especializadas y presentan movimiento propio. Según Whittaker, ¿cuáles son los nombres de los reinos biológicos a los que se refieren las afirmaciones anteriores? A) I Protista; II Animalia. B) I Monera; II Protista. C) I Fungi; II Animalia. D) I Animalia, II Fungi. A) Monera y Fungi. 55-Considere la descripción del recuadro relacionado con un ser vivo. Las briófitas son organismos multicelulares, fotosintéticos que carecen de raíces, tallos y hojas verdaderas, pero presentan estructuras parecidas a raíces, llamadas rizoides, que anclan a las briófitas al suelo. Las estructuras similares a hojas, son de una célula de espesor y están adaptadas para absorber agua rápidamente. ¿Cuál es el reino biológico al que pertenecen la briófitas? A) B) C) D) Plantae. Protista. Monera. Fungi. 104
  • 105.
    Biología X yXI 2013 Juan José Mora Vargas 56-La información de los recuadros se refiere a seres vivos de diferentes reinos biológicos: I. II. III. Organismos eucariontes y heterótrofos. Se fija al sustrato por medio de hifas. Fotosintético y multicelular. Según la taxonomía de Whittaker, ¿en cuáles reinos biológicos se clasifican los seres vivos representados en los recuadros anteriores? A) B) C) D) I protista, II fungi, III plantae. I monera, II plantae, III fungi. I animalia, II fungi, III plantae. I animalia, II plantae, III plantae. 57-Considere la siguiente representación y características relacionadas con un reino biológico. Se caracteriza por poseer un núcleo definido y pigmentos fotosintéticos. Se desplaza mediante el uso de flagelos. De acuerdo con la taxonomía de Whittaker, ¿a qué reino biológico se refiere? A) B) C) D) Monera. Protista. Vegetal. Fungi. 105
  • 106.
    Biología X yXI 2013 Juan José Mora Vargas 58-Lea la siguiente información Son una serie de actividades fisiológicas que procuran mantener las concentraciones internas constantes, conservando la homeostasis, al resistirse al cambio, si ocurre el cambio en el medio interno, se dispara una respuesta que tiende a contrarrestarlo y a restaurar y mantener las condiciones hacia una valor determinado. La información anterior se refiere al mecanismo homeostático llamado. A) retroalimentación negativa B) Retroalimentación Positiva C ) inmunidad D) salud 59- Lea cuidadosamente las siguientes afirmaciones que se relacionan con una enfermedad causada por virus Daña el sistema inmunológico destruyendo los linfocitos T. Las personas afectadas suelen morir en un lapso de varias semanas a unos cinco años, víctimas de diferentes formas de cáncer, neumonía, y otras infecciones oportunistas. Las afirmaciones anteriores se refieren a la enfermedad denominada A) B) C) D) 60- síndrome de inmunodeficiencia adquirida. herpes genital. Dengue . sífilis. Las siguientes proposiciones están relacionadas con una enfermedad causadas por bacterias Es causada por una bacteria en forma de espiral que entra a la mucosa de los genitales, labios o ano o por la glándula mamaria. Empieza con una úlcera en el sitio de la infección. ¿ A qué enfermedad se refieren las proposiciones anteriores? B) C) D) E) Herpes genital. Gonorrea. Sífilis. Cólera . 61 El siguiente texto se relaciona con una enfermedad causada por otros agentes Esta enfermedad viral , bacteriana o causada por hongos que afecta el tejido dela corteza cerebral, ocasionando mareos, pérdida del conocimiento ¿Cuál es el nombre de esta enfermedad A) hepatitis . B) meningitis . C) neumonía . D) Diabetes 106
  • 107.
    Biología X yXI 2013 Juan José Mora Vargas 62- Analice la siguiente información referente a una enfermedad causada por el consumo de sustancias adictivas El abuso de bebidas , como la cerveza, whisky, vodka y ron generan daños en el hígado que es el órgano que realiza una limpieza de sustancias tóxicas, presentes en el cuerpo, por ello el exceso de etanol en la sangre hace que el Hígado sufra disfunción o mal funcionamiento. La información anterior se hace referencia a la enfermedad llamada A) Gastritis B) Cirrosis hepática C) Arteriosclerosis. D ) Enfisema pulmonar 63- El siguiente texto se refiere a una enfermedad genética de importancia en Costa Rica. Clínicamente se puede considerar distintas formas y diferentes intensidades de esta enfermedad pero la forma más característica es la hendidura lateral que afecta todos los tejidos blandos y llega hasta el hueso alveolar. Esta forma simple puede ser bilateral, llegando a englobar la hendidura alveolar y toda la unidad del hueso intermaxilar, generalmente con una extensión hacia el ala de la nariz y la fosa nasal. El texto anterior se refiere a la enfermedad denominada A) B) C) D) diabetes. catarata. espina bífida. paladar hendido 64-Dado el siguiente texto. Entre otras funciones, los microorganismos están involucrados en la conversión de nutrientes como nitrógeno, fósforo y azufre en formas utilizadas por las plantas de las que dependemos los heterótrofos. ¿Con qué concepto ecológico se relacionan tanto los microorganismos como las plantas mencionadas en el texto? A) B) C) D) Fase abiótica. Fase biótica. Biosfera. Especie. 65 - Lea el siguiente texto acerca de un concepto ecológico. Cualquier área delimitada de la naturaleza que incluya organismos vivientes y sustancias no vivas interactuando para producir un intercambio de materiales entre las partes vivas y no vivas. El texto anterior, se refiere al concepto de A) especie. B) C) D) población. comunidad. ecosistema. 107
  • 108.
    Biología X yXI 2013 Juan José Mora Vargas 66-Observe con atención la siguiente representación de seres vivos: ¿A cuál concepto ecológico hace referencia la totalidad de la información anterior? A) Comunidad. B) Ecosistema. C) Población. D) individuo. 67-La siguiente información se refiere a una variable que determina la densidad de una población: La información anterior se refiere a A) natalidad. B) mortalidad. C) emigración. D) inmigración. 68Lea los siguientes textos que se relacionan con tipos de relaciones entre seres vivos. I. II. El animal con su cuerpo (o parte de él) toma la apariencia de otro animal que es mucho mayor, por ejemplo hay, una especie de mariposas que cuando se posan con las alas abiertas semejan unos grandes ojos que, de ser reales pertenecerían a un animal mucho mayor. Es el resultado de la necesidad que tienen los seres vivos para sobrevivir de los elementos del medio ambiente, los cuales no se encuentran en cantidad suficiente para todos. Entre animales se produce principalmente por alimento, pero también puede hacerlo por el territorio y la pareja. ¿Cuáles son los tipos de relaciones a los que se refieren los textos I y II, respectivamente? A) B) C) D) Mimetismo y mutualismo. Mimetismo y competencia. Comensalismo y mutualismo. Comensalismo y competencia. 108
  • 109.
    Biología X yXI 2013 69 Juan José Mora Vargas Los siguientes textos se relacionan con interacciones entre organismos. III. Muchas especies de nemátodos conocidos también como gusanos redondos viven en el interior del tracto digestivo de los animales alimentándose a expensas de su huésped. IV. Las garzas bueyeras se ven beneficiadas al estar cerca del ganado debido a que consumen los insectos que salen de la vegetación mientras pastorea el ganado, pero este último no se beneficia ni se perjudica. ¿Cuál es el nombre que reciben las interacciones? A) B) C) D) I comensalismo y II competencia. I parasitismo y II comensalismo. I parasitismo y II depredación. I simbiosis y II mutualismo. 70- Lea el siguiente texto referentes a los niveles tróficos de un ecosistema III. IV. Seres vivos que elaboran elementos nutritivos orgánicos a partir de materias primas inorgánicas. Organismo que obtiene compuestos orgánicos complejos de animales muertos o plantas marchitas. Los textos anteriores se refieren respectivamente a los niveles tróficos denominados A) B) C) D) 71) autótrofo, autótrofo. autótrofo, heterótrofo. heterótrofo, autótrofo. heterótrofo, heterótrofo. Los siguientes textos están relacionados con niveles tróficos: III. IV. Son organismos que viven a expensas de seres vivos que producen su propio alimento o de materia orgánica en descomposición. Las plantas verdes obtienen su energía para sintetizar moléculas orgánicas a partir de la luz solar. Los textos anteriores se refieren respectivamente a los niveles tróficos denominados A) B) C) D) heterótrofo, heterótrofo. heterótrofo, autótrofo. autótrofo, heterótrofo. autótrofo, autótrofo. 72-El siguiente texto está relacionado con un ciclo biogeoquímico. Este ciclo se inicia a partir del proceso de fotosíntesis de los organismos autótrofos, quienes obtienen este elemento que se encuentra en forma inorgánica en la atmósfera, y lo incorporan a compuestos energéticos que serán empleados para los diferentes procesos metabólicos. ¿A cuál ciclo se refiere? A) B) C) D) Nitrógeno. Carbono. Fósforo. Azufre. 109
  • 110.
    Biología X yXI 2013 Juan José Mora Vargas 73- Las siguientes afirmaciones se refieren a tipos de ecosistemas. I. II. Este tipo de bosque comprende las áreas frías de nuestro territorio. Su temperatura oscila entre los 12 °C y los 18 °C, con una precipitación pluvial entre 900 y 1700 mm. Aquí predominan el roble, la escalonia, el jaúl, el arrayán y la sombrilla de pobre. Entre la fauna se observa el quetzal, el mozotillo, la pava negra, la danta, el pizote, el puerco espín, el coyote, el conejo entre otros. La ciudad de San José, Costa Rica como un gran sistema, para su funcionamiento requiere enormes aportes de todo tipo, principalmente de aquellos que no puedeproducir, como los alimentos, la madera, el agua, combustibles y otros. Las siguientes descripciones se refieren a tipos de ecosistemas. A) B) C) D) I acuático y II terrestre artificial. I terrestre artificial y II terrestre natural. I terrestre natural y II terrestre artificial. I terrestre artificial y II terrestre artificial. 74- -La siguiente información esta relacionada con un hábitat marino Forman verdaderas praderas que sirven de hábitat, para numerosas especies que se encuentran en la base de la cadena alimenticia submarina. Asociados a sus raíces y a todo el nutritivo ambiente del sustrato en que se fijan, viven gran numero de organismos, entre ellos nematodos, bivalvos, crustáceos, erizos, diatomeas y otros microorganismos capaces de degradar y enriquecer el detrito. La información anterior corresponde al hábitat marino denominado Arrecifes coralinos aguas oceánicas playas arenosas Pastos marinos 75- Dada la siguiente información sobre una formación vegetal de Costa Rica: FORMACION VEGETAL se encuentra desde el Valle del Tempisque y se extiende hacia el norte hasta la frontera con Nicaragua y al sur hasta aproxim adam ente la desem bocadura del río Tárcoles. se localiza entre la flora se destaca desde el nivel del m hasta los 700 ar m etros de altitud. el guanacaste, el guapinol, el cenízaro, el cedro am argo, el guayabo, el higuerón así como el roble que se cubre de flores, cuando se caen sus hojas. ¿A cuál formación vegetal se refiere la información anterior A) Bosque muy húmedo siempre verde montano. B) Bosque semideciduo estacional submontano. C) Sabana y matorral espinoso. D) Bosque deciduo. 110
  • 111.
    Biología X yXI 2013 Juan José Mora Vargas 76-Lea el siguiente texto sobre factores que alteran el equilibrio ambiental. Algunos gases que resultan de la contaminación atmosférica evitan que las radiaciones solares una vez que llegan a la superficie terrestre se reflejen y de esta forma el calor “queda atrapado” provocando un aumento en la temperatura global del planeta. Según el texto anterior, ¿cuál es una consecuencia de este tipo de desequilibrio? E) F) G) H) 77) Inundaciones en las zonas costeras. Destrucción de la capa de ozono. Efecto invernadero. Deforestación. Lea la siguiente información relacionada con un factor de desequilibrio de la naturaleza. “Los combustibles fósiles, especialmente el carbón mineral, liberan contaminantes a medida que se queman. El azufre que se encuentra, frecuentemente, en el carbón se combina con el oxígeno y produce un humo con un olor desagradable. A medida que se quema, el carbón también libera gran cantidad de hollín o partículas de carbón sin quemar a la atmósfera.” Biología de Alexander, Baret, Chaves, Court La información del recuadro se refiere a E) F) G) H) 78) vulcanismo. diastrofismo. contaminación del aire. contaminación del suelo. Lea el siguiente texto relacionado con el equilibrio en la naturaleza. La contaminación biológica de las aguas utilizadas para el riego de cultivos agrícolas puede provocar graves trastornos en la salud de los consumidores de productos, en particular aquellos que suelen consumirse sin cocción, como por ejemplo tomate, lechuga, pepino, repollo, etc. ¿A cuál aspecto de la alteración del equilibrio ambiental se refiere la parte subrayada del texto? A) B) C) D) Causa. Prevención. Característica. Consecuencia. 111
  • 112.
    Biología X yXI 2013 Juan José Mora Vargas 79-El siguiente texto se relaciona con la importancia de un área protegida de Costa Rica: Se encuentra destinada a la protección y a una explotación racional de los bosques, según normas técnicas de ordenamiento y explotación que determinan las cantidades anuales a explotar. El texto anterior se refiere al área protegida denominada E) reserva forestal. F) parque nacional. G) reserva biológica. H) refugios de vida silvestre. 80 Lea la siguiente información referente a una categoría de área protegida de Costa Rica: Este tipo de área protegida cumple importantes funciones tales como: Proveer a las especies silvestres el hábitat necesario, mediante el manejo de los parámetros que inciden en las poblaciones. Facilitar las condiciones para un uso público controlado. El texto anterior corresponde a la categoría de área protegida denominada A) Parque Nacional. B) Reserva Biológica. C) Monumento Nacional. D) Refugio de Vida Silvestre. 112