9β-H-lanosta-7,24-diene-
                   3β,18,20β-triol,
          an intermediate metabolite from
           the sea cucumber Eupentacta
                      fraudatrix
          and its biosynthetic significance

                         Presentado por:
                     Jasmín Salazar Mendoza


Factor de impacto:   A. S., Silchenko; A. I., Kalinovsky; S. A., Avilov; P. V., Andryjashchenko;
0.931                P. S. Dmitrenok; V. I., Kalinin; V. A., Stonik. Biochemical Systematics and
5 años: 1.226        Ecology 2012, 44, 53–60.
   Presencia de saponinas

   Sustancias distribuidas en plantas y
    organismos marinos como esponjas y pepinos
    de mar

   Bioactividad

   Quimiotaxonomia
   Reino: Animalia
     Phylum: Echinodermata

        Subphylum: Echinozoa
            Clase: Holothuroidea
                Subclase: Dendrochirotacea

                  Orden: Dendrochirotida
                     Familia: Sclerodactylidae
                       Género: Eupentacta
                            Eupentacta fraudatrix (Djakonov et
                                    Baranova, 1958)
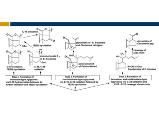
   Biosíntesis de los glicósidos tipo holostano no ha sido
    claramente detallada.
       No ha sido establecido los productos policiclicos derivados de
        la ciclación del óxido escualeno (precursor de glicósidos
        triterpénicos).


   Estudios de        Biosíntesis     de    productos     naturales
    complejos:
       1) Incorporación de precursores marcados radiactivamente
        en experimento de radiomarcaje


       2) Aislación e identificación estructural del componente
        minoritario, también conocido como sustancia activa
        metabolicamente
OBJETIVOS
   Aislamiento e identificación estructural del
    Cucumariosido A8, con un grupo hidroxilo en C18 de una
    subfracción de un oligosacarido tetraosidico no
    sulfatado del pepino de mar E. fraudatrix

   Comparación de literatura y resultado para proponer un
    esquema de la biosíntesis del glicósido trimetilesterol en
    pepinos de mar
MATERIAL Y MÉTODO
Material y método
  Punto de fusión         Rotación específica              RMN 1H/13C
Kofler-Termogenerador Polarímetro Perkin–Elmer 343     ADVANCE III-700 Bruker


MALDI TOF MS modelo
  BIFLEX III Bruker




                                    HPLC                 700.13 MHz/176.04 MHz
                                 Agilent 1100           (1H/13C)
                                                              en C5D5N a 35 C con
                                                        TMS como referencia interna

 Matriz de α-ciano-4-ácido
      hidroxicinámico


                                                     Columnas Discovery
                                                     C18(10-250 µm, 5 mm)
Material animal
   Se colectaron especímenes de E.
    fraudatrix

   Estación Experimental Marina del
    Instituto del Pacífico   de Química
    Bioorganica en Troitsa Bay

   Profundidad de 1.0 a 1.5 m (colector
    P.P. Kicha)

   Identificados por Prof. Valery S. Levin
    (Instituto        de           Biología
    Marina, Vladivostok, Rusia)

   Colección     del     Lab.   De
    Quimicotaxonomía     con   Núm.
    Colección PIBOC-1988-MES-EFR
Extracción y aislamiento

            Extracción      Concentrados a
Picado      por reflujo       sequedad y              cromatografiados
   s        (x2) EtOH        redisueltos en            en columna de
               70%                H2O                   Polychrom-1
            PTseco=650
                 g
                             Fracción de glicósidos    Sales inorganicas
                                crudos con 60%           e impurezas
                                 acetona (15 g)        polares con H2O

      Sub-Fracción A 
   Separada por HPLC en
   columna Discovery C-18     Cromatografía en columna de Si gel
    (10 250 mm) con 83%       column
       MeOH  5mg de          [CHCl3/EtOH/H2O (100:100:17)]  650
      cucumariosido A8        mg
RESULTADOS Y
DISCUSIÓN
   Cucumarioside A8


   Fórmula: C55H90O22


   HR MALDI TOF MS (þ) m/z 1125.5812 (calc 1125.5816) [M þ
    Na]þ.


   3        β       -O-[3-O-metil-β-D-xilopiranosil-(1/3)-b-D-
    glucopyranosyl-(1/4)-b-D-quinovopiranosil-(1/2)-β-D-
    xilopiranosil]-16β      acetoxi-9β-H-lanosta-7,24-dieno-
    18,20β-diol
   7(8)doble enlace (122.8 (C-7)
                                     y 147.5 (C-8) ppm en el 13C
                                     RMN


                                    Grupo16β-acetoxido [señales
                                     a 76.7 ppm (C-16) y 5.88
                                     (td, J ¼ 7.9, 5.4) ppm (H-16)
                                     en el espectro de 13C y 1H
                                     RMN, respectivamente; 169.9
                                     y 21.2 ppm y 2.13 ppm (OAc)
                                     en el espectro de 13C y 1H
                                     RMN


                                     La configuración 9β -H
                                      [señales a 2.54 (brd, J ¼
                                      13.9) ppm (H-9) y 24.4 ppm
Cucumariosides A8 (1) y G1 (2) de Eupentacta
                                      (C-19)]
fraudatrix.
   Ausencia de la señal a ≈180.0
    ppm del grupo carbonilo C-18
    indica la ausencia del grupo
    lactona
CONCLUSIÓN
   El descubrimiento del 3β-O-glicosilado16 β -acetoxi-9 β -H-
    lanosta-7,24-dieno-3 β,18,20 β –triol, permitió esclarecer
    algunos de los estados de la biosíntesis de los 4,4,14-
    trimetilesterol glicósidos


   La unidad aglicona no procede de la glicosilación


   La configuración 9β-H y el tipo de insaturación en la unidad
    policiclica son formadas en los estados tempranos de la
    biosíntesis cuando la unidad lactona aun no esta presente en
    la aglicona


   Estos datos permiten el esquema hipotetico de la biosinteis
    de 4, 4, 14 trimetil glicósido estereoide

Seminario 3

  • 1.
    9β-H-lanosta-7,24-diene- 3β,18,20β-triol, an intermediate metabolite from the sea cucumber Eupentacta fraudatrix and its biosynthetic significance Presentado por: Jasmín Salazar Mendoza Factor de impacto: A. S., Silchenko; A. I., Kalinovsky; S. A., Avilov; P. V., Andryjashchenko; 0.931 P. S. Dmitrenok; V. I., Kalinin; V. A., Stonik. Biochemical Systematics and 5 años: 1.226 Ecology 2012, 44, 53–60.
  • 2.
    Presencia de saponinas  Sustancias distribuidas en plantas y organismos marinos como esponjas y pepinos de mar  Bioactividad  Quimiotaxonomia
  • 4.
    Reino: Animalia  Phylum: Echinodermata  Subphylum: Echinozoa  Clase: Holothuroidea  Subclase: Dendrochirotacea  Orden: Dendrochirotida  Familia: Sclerodactylidae  Género: Eupentacta Eupentacta fraudatrix (Djakonov et Baranova, 1958)
  • 5.
    Biosíntesis de los glicósidos tipo holostano no ha sido claramente detallada.  No ha sido establecido los productos policiclicos derivados de la ciclación del óxido escualeno (precursor de glicósidos triterpénicos).  Estudios de Biosíntesis de productos naturales complejos:  1) Incorporación de precursores marcados radiactivamente en experimento de radiomarcaje  2) Aislación e identificación estructural del componente minoritario, también conocido como sustancia activa metabolicamente
  • 6.
  • 7.
    Aislamiento e identificación estructural del Cucumariosido A8, con un grupo hidroxilo en C18 de una subfracción de un oligosacarido tetraosidico no sulfatado del pepino de mar E. fraudatrix  Comparación de literatura y resultado para proponer un esquema de la biosíntesis del glicósido trimetilesterol en pepinos de mar
  • 8.
  • 9.
    Material y método Punto de fusión Rotación específica RMN 1H/13C Kofler-Termogenerador Polarímetro Perkin–Elmer 343 ADVANCE III-700 Bruker MALDI TOF MS modelo BIFLEX III Bruker HPLC 700.13 MHz/176.04 MHz Agilent 1100 (1H/13C) en C5D5N a 35 C con TMS como referencia interna Matriz de α-ciano-4-ácido hidroxicinámico Columnas Discovery C18(10-250 µm, 5 mm)
  • 10.
    Material animal  Se colectaron especímenes de E. fraudatrix  Estación Experimental Marina del Instituto del Pacífico de Química Bioorganica en Troitsa Bay  Profundidad de 1.0 a 1.5 m (colector P.P. Kicha)  Identificados por Prof. Valery S. Levin (Instituto de Biología Marina, Vladivostok, Rusia)  Colección del Lab. De Quimicotaxonomía con Núm. Colección PIBOC-1988-MES-EFR
  • 11.
    Extracción y aislamiento Extracción Concentrados a Picado por reflujo sequedad y cromatografiados s (x2) EtOH redisueltos en en columna de 70% H2O Polychrom-1 PTseco=650 g Fracción de glicósidos Sales inorganicas crudos con 60% e impurezas acetona (15 g) polares con H2O Sub-Fracción A  Separada por HPLC en columna Discovery C-18 Cromatografía en columna de Si gel (10 250 mm) con 83% column MeOH  5mg de [CHCl3/EtOH/H2O (100:100:17)]  650 cucumariosido A8 mg
  • 12.
  • 13.
    Cucumarioside A8  Fórmula: C55H90O22  HR MALDI TOF MS (þ) m/z 1125.5812 (calc 1125.5816) [M þ Na]þ.  3 β -O-[3-O-metil-β-D-xilopiranosil-(1/3)-b-D- glucopyranosyl-(1/4)-b-D-quinovopiranosil-(1/2)-β-D- xilopiranosil]-16β acetoxi-9β-H-lanosta-7,24-dieno- 18,20β-diol
  • 14.
    7(8)doble enlace (122.8 (C-7) y 147.5 (C-8) ppm en el 13C RMN  Grupo16β-acetoxido [señales a 76.7 ppm (C-16) y 5.88 (td, J ¼ 7.9, 5.4) ppm (H-16) en el espectro de 13C y 1H RMN, respectivamente; 169.9 y 21.2 ppm y 2.13 ppm (OAc) en el espectro de 13C y 1H RMN  La configuración 9β -H [señales a 2.54 (brd, J ¼ 13.9) ppm (H-9) y 24.4 ppm Cucumariosides A8 (1) y G1 (2) de Eupentacta (C-19)] fraudatrix.
  • 15.
    Ausencia de la señal a ≈180.0 ppm del grupo carbonilo C-18 indica la ausencia del grupo lactona
  • 18.
  • 19.
    El descubrimiento del 3β-O-glicosilado16 β -acetoxi-9 β -H- lanosta-7,24-dieno-3 β,18,20 β –triol, permitió esclarecer algunos de los estados de la biosíntesis de los 4,4,14- trimetilesterol glicósidos  La unidad aglicona no procede de la glicosilación  La configuración 9β-H y el tipo de insaturación en la unidad policiclica son formadas en los estados tempranos de la biosíntesis cuando la unidad lactona aun no esta presente en la aglicona  Estos datos permiten el esquema hipotetico de la biosinteis de 4, 4, 14 trimetil glicósido estereoide