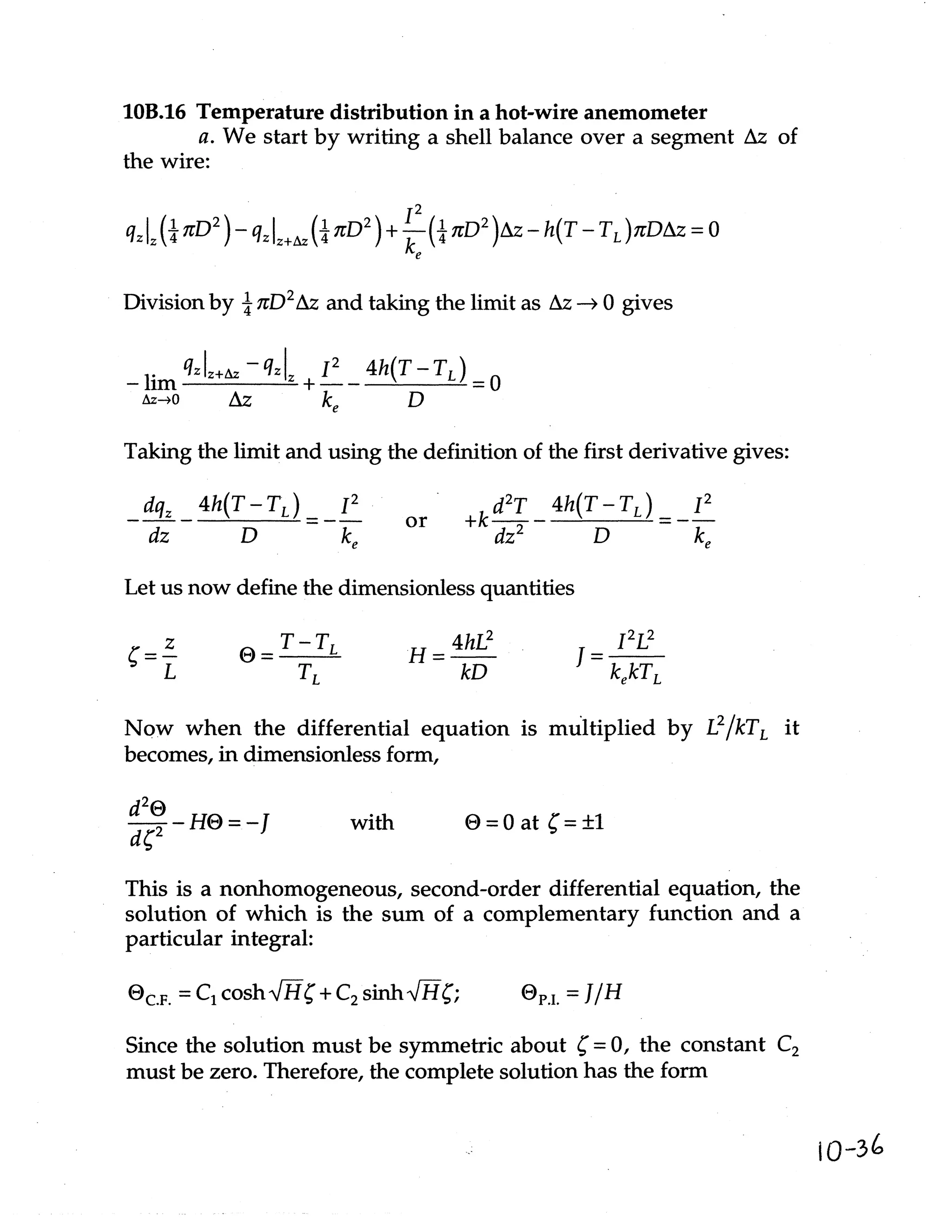
Incrustar presentación
Descargado 2168 veces


























































































































































































































































































































































































































































































































































































































































































































































































Este documento describe los detalles de un proyecto de construcción de una carretera. Explica los materiales que se usarán, como concreto y asfalto, el trazado de la ruta de 10 millas, y un cronograma tentativo de 18 meses para completar el proyecto.
























































































































































































































































































































































































































































































































































































































































































































































































