Problemario de Fenómenos de Transporte
M. en C. María Guadalupe Ordorica Morales
INSTITUTO POLITECNICO NACIONAL
UNIDAD PROFESIONAL INTERDISCIPLINARIA DE
BIOTECNOLOGIA
PROBLEMARIO DE LA ASIGNATURA
FENÓMENOS DE TRANSPORTE
ELABORADO POR:
M. EN C. MARÍA GUADALUPE ORDORICA MORALES
2008
Problemario de Fenómenos de Transporte
M. en C. María Guadalupe Ordorica Morales
1. Estimación de viscosidad de un gas denso
Estimar la viscosidad del nitrógeno a 68 °F y 1000 psig
N2
Pc = 33.5 atm
Tc = 126.2 K
μc = 180 x10-6
g/cms
T = 68 F
P = 1000 psig
CC 

 20
8.1
3268
KC 15.29315.2732020 
029.2
5.33
68
3229.2
2.126
15.293


atm
atm
P
P
P
K
K
T
T
T
c
r
c
r
Con los valores obtenidos de Tr y Pr, se obtiene el valor de μr (Gráfico Uyehara)
 
scm
g
scm
g
cr
c
r
r











 46
10016.21018012.1
12.1






2.016 x10-4 g 1 lbm 1 kg 1 cm
= 1.355 x10-5 lbm
cm s 0.453593 kg 1000 g 0.0328 ft ft s
2. Estimación de viscosidad de fluoruro de metilo (CH3F) a 370 °C y 120 atm.
CH3F
M = 34 g/mol
Pc = 58.0 atm
Tc = 4.55 °C =277.7 K
ρc = 0.300 g/cm3
T = 370 °C = 643.15 K
P = 120 atm
     
poise
TPM
c
c
ccc
6
613221
613221
1038.263
7.277583470.7
70.7









206.2
58
120
3159.2
7.277
15.643


atm
atm
P
P
P
K
K
T
T
T
c
r
c
r
Con los valores obtenidos de Tr y Pr, se obtiene el valor de μr (Gráfico Uyehara)
 
scm
g
scm
g
cr
c
r
r











 46
10015.31038.263145.1
145.1






3.015 x10-4 g 1 lbm 1 kg 1 cm
= 2.0269 x10-5 lbm
cm s 0.453593 kg 1000 g 0.0328 ft ft s
1000 psi 1 atm
= 68 atm
14.6061 psi
Problemario de Fenómenos de Transporte
M. en C. María Guadalupe Ordorica Morales
3. Viscosidad de gases de baja densidad
Predecir la viscosidad de oxígeno molecular, nitrógeno y metano a 20 °C y a presión atmosférica,
expresar los resultados en mPa·s.
Compuesto M
T
(K)
σ
(Å)
K/
(K) 
KT
(x)

(y)

(poise)

(cpoise)
Oxígeno 32.00 293.15 3.433 113 2.5924 1.0818 2.0277 x10-4
0.0202
Nitrógeno 28.02 293.15 3.681 91.5 3.2038 1.0217 1.7475 x10-4
0.0174
Metano 16.04 293.15 3.822 137 2.1397 1.1488 1.0907 x10-4
0.0109
O2 N2 CH4
5924.2
113
15.293


KT
2536.3
1.90
15.293


KT
1397.2
137
15.293


KT
    11
12
12
11
12
12
yxx
xx
yy
yxxmyy
xx
yy
m 














 
2
5
106693.2
MT
O2
  0818.1093.150.25934.2
5.26.2
093.1081.1









  
   
poise4
2
5
100277.2
0818.1433.3
15.29332
106693.2 

N2
  0217.1022.120.32038.3
2.33.3
022.1014.1









  
   
poise4
2
5
107475.1
0217.1681.3
15.29302.28
106693.2 

CH4
  1488.1156.11.21397.2
1.22.2
156.1138.1









  
   
poise4
2
5
100907.1
1488.1822.3
15.29304.16
106693.2 

Problemario de Fenómenos de Transporte
M. en C. María Guadalupe Ordorica Morales
Utilizando nomogramas para viscosidad de gases
centipoisepoiseO 02.0102000 7
2
 

centipoisepoiseN 0176.0101760 7
2
 

centipoisepoiseCH 01.0101000 7
4
 

Problemario de Fenómenos de Transporte
M. en C. María Guadalupe Ordorica Morales
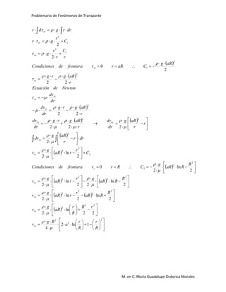
4. Flujo de una película descendente
Deducir el perfil de velocidad y la velocidad media, situando en el origen de coordenadas de forma
que x se mida a partir de la pared (es decir x = 0 corresponde a la pared y x = σ a la superficie libre
de la película). Demostrar que la distribución de velocidad viene dada por

























 

22
2
1
cos



 xxg
vz
Demostrar como se puede llegar a la distribución de velocidad de la ecuación anterior a partir de
ecuación:


















22
1
2
cos

 xg
vz
Entradas Salidas
Transporte viscoso xxz WL xxxz WL 

Transporte cinético
0
2


z
z xWv 
Lz
z xWv

 2
Volumen  cos gLxW
 
































coscos
cos
0:
cos
cos
coscos
cos
cos1
0cos
1
1
2
0
2
gxg
gC
xfronteradesCondicione
Cxg
dxgd
g
dx
d
g
x
xWL
gLxW
xWL
WLWL
gLxWWLWL
gLxWxWvxWvWLWL
xz
xz
xz
xz
xzxxzxxxz
xxzxxxz
xxxzxxz
Lz
z
z
zxxxzxxz
Ecuación de Newton
dx
dvz
xz  




x
0
0
0
0



zv
x
z
0
0
max



zv
x



x
zz max
L

xx 
x
Problemario de Fenómenos de Transporte
M. en C. María Guadalupe Ordorica Morales
 
 



















 
























































22
2
22
2
22
2
2
2
2
2
2
2
1
cos
2
cos
2
cos
2
cos
0
00:
2
cos
cos
cos
coscos






















xxg
v
xxg
v
x
xg
v
x
x
g
vC
xvfronteradesCondicione
C
x
x
g
v
xdx
g
dv
dxxgdv
gxg
dx
dv
ecuacionesigualando
z
z
z
z
z
z
z
z
z
Problemario de Fenómenos de Transporte
M. en C. María Guadalupe Ordorica Morales
5. Flujo laminar en una rendija estrecha
Un fluido viscoso circula con flujo laminar por una rendija formada por dos paredes planas
separadas una distancia 2B. Efectuar un balance diferencial de cantidad de movimiento y obtener
las expresiones para las distribuciones de densidad de flujo de cantidad de movimiento y de
velocidad.
 























 

22
0
0
1
2 B
x
L
BPP
v
x
L
PP
L
z
L
xz


en las que zgphgpP  
 
 
 
x
L
PP
CxfronteradesCondicione
Cxgx
L
pp
dxg
L
pp
d
g
L
pp
dx
d
L
pp
g
x
g
L
pp
x
LxW
gLxW
LxW
WxpWxpWLWL
gLxWWxpWxpxWvxWvWLWL
L
xz
xz
L
xz
L
xz
LxzLxxzxxxz
Lxxxzxxz
Lxxxzxxz
L
Lz
z
z
zxxxzxxz















































0
1
1
00
00
0
0
0
2
0
2
000
1
0











Entradas Salidas
Transporte viscoso xxz WL xxxz WL 

Transporte cinético
0
2


z
z xWv 
Lz
z xWv

 2
Presión WxP 0 WxPL 
Volumen gLxW  
Problemario de Fenómenos de Transporte
M. en C. María Guadalupe Ordorica Morales
 
 
   
 
   
   
   
 






















































































2
20
2
2
220
2
2
220
2
0
2
0
2
0
2
2
2
00
0
0
4
2
4
2
4
2
2
4
2
2
4
20:
2
B
x
B
L
PP
v
B
B
xB
L
PP
B
B
v
xB
L
PP
v
B
L
PPx
L
PP
v
B
L
PP
C
BxvfronteradesCondicione
C
x
L
PP
vdxx
L
PP
dv
dxx
L
PP
dv
x
L
PP
dx
dv
dx
dv
NewtondeEcuación
L
z
L
z
L
z
LL
z
L
z
L
z
L
z
L
z
Lz
z
xz









Problemario de Fenómenos de Transporte
M. en C. María Guadalupe Ordorica Morales
6. Flujo laminar en una película que desciende por el exterior de un tubo circular
En una experiencia de absorción de gases, un fluido viscoso asciende por el interior de un pequeño
tubo circular, para descender después por la parte exterior del mismo. Aplicar un balance de
cantidad de movimiento a una envoltura de película de espesor r, tal como se indica en la figura.
Obsérvese que las flechas de entrada de cantidad de movimiento se toman siempre en la dirección
r positiva al efectuar el balance, aun cuando en este caso ocurre que la cantidad de movimiento
fluye en la dirección r negativa. Demostrar que la distribución de velocidad en la película
descendiente (despreciando los efectos finales) es:
























R
r
a
R
rRg
v ln21
4
2
22
2


  gr
dr
dr
gr
r
rr
Lr
gLrr
Lr
rLrL
gLrrrrvrrvrLrL
rzrrrzrrz
rrrzrrz
Lz
z
z
zrrrzrrz
































1
2
2
2
22
022222
2
0
2
Entradas Salidas
Transporte viscoso rrz rL   2 rrrz rL 
  2
Transporte cinético
0
2
2


z
z rrv 
Lz
z rrv

 2
2
Fuerza de gravedad gLrr  2
Problemario de Fenómenos de Transporte
M. en C. María Guadalupe Ordorica Morales
 
 
 
   
 
 
 
   
   
 






































































































































 
2
2
2
22
2
2
2
2
2
2
2
2
2
2
2
2
2
2
2
2
22
2
2
2
1
1
2
1
2
1ln2
4
22
ln
2
2
ln
2
ln
2
2
ln
22
ln
2
2
ln
2
0
2
ln
2
2
222
22
22
2
0
2
2
R
r
R
r
a
Rg
v
rR
R
r
aR
g
v
R
RaR
r
raR
g
v
R
RaR
gr
raR
g
v
R
RaR
g
CRrvfronteradesCondicione
C
r
raR
g
v
drr
r
aRg
dv
r
r
aRg
dr
dv
r
aRgrg
dr
dv
r
aRgrg
dr
dv
dr
dv
NewtondeEcuación
r
aRgrg
aRg
CaRrfronteradesCondicione
r
C
r
r
g
C
r
gr
drrgdr
rz
rz
rz
rz
z
rz
rz
rzrz
rz
rz
rz
rz
rz
rz
rz
rz
































Problemario de Fenómenos de Transporte
M. en C. María Guadalupe Ordorica Morales
7. Flujo en tubos concéntricos con movimiento axial del cilindro exterior
Considerar el sistema representado en la figura, en el que la varilla cilíndrica se mueve con
velocidad V. La varilla y el cilindro son coaxiales. Hallar la distribución de velocidad en estado
estacionario y la velocidad volumétrica de flujo. Este tipo de problemas se presentan en el
recubrimiento de alambres con barniz
 
 
 
 
 
 
K
R
r
V
v
R
r
K
V
Rr
K
V
v
K
RV
r
K
V
v
K
RV
C
K
V
C
KCV
R
KR
CV
RCKRCV
ensustituyeseRCC
deCdespejaSe
CRC
VCKRC
RrvCL
KRrVvCL
fronteradesCondicione
CrCv
r
dr
Cdvdr
r
C
dv
C
dr
dv
r
dr
dr
dv
rd
dr
dv
r
dr
d
dr
dv
r
dr
d
rr
v
r
rr
vvv
g
z
vv
rr
v
r
rrz
p
z
v
v
v
r
v
r
v
v
t
v
z
zz
z
z
z
zz
z
z
zzz
zr
z
zzzz
r
zz
r
z
ln
ln
ln
ln
lnln
lnln
ln
ln
ln
ln
ln
ln
lnln
lnln
2ln
3
30ln
2ln
02
1
1ln
0
00
11
0
?00
11
max
maxmaxmaxmax
max
2
max
1
1max1max
11max
12
2
21
max21
max
21
1
1
1
2
2
2
2
2

























































































































Problemario de Fenómenos de Transporte
M. en C. María Guadalupe Ordorica Morales
Para obtener rz
  














































rK
V
Rr
dr
d
K
V
R
r
dr
d
K
V
K
R
r
V
dr
d
dr
dv
NewtondeEcuación
rzrz
rzrz
z
rz
1
ln
lnln
ln
ln
lnln
ln
maxmax
max
max







Problemario de Fenómenos de Transporte
M. en C. María Guadalupe Ordorica Morales
8. Una cañería de agua consiste en un conducto de presión hecho de concreto de 18 in de
diámetro. Calcule la caída de presión en un tramo de 1 milla de longitud debido a la fricción en la
pared del conducto, si éste transporta 15.0 ft3
/s de agua a 50 °F.
A 50 y 60 °F el peso específico de H2O es 62.4 lbf/ft3
.
Se analiza la ecuación general de energía
  





L
L
LrA
hPP
h
PP
g
V
z
P
hhh
g
V
z
P
21
21
2
2
2
2
2
1
1
1
22
Datos del problema
FT
sft
ft
in
ft
inr
ft
in
ft
inD
ft
milla
ft
millaz
ftlb
ft
fOH
concreto
























 
50
15
75.0
12
1
9
5.1
12
1
18
5280
1
5280
1
4.62
1042
3
3
2
2


Cálculo de viscosidad, # de Reynolds y velocidad de flujo.
 
 
turbulentoflujo
sft
lb
ft
lb
ft
s
ft
PDV
s
ft
ft
s
ft
A
V
ftftrA
sft
lb
ft
cm
g
lb
scm
g
m
f
mm

































 






930513
1053.8
4.625.14882.8
Re
Re
4882.8
7671.1
15
7671.175.0
1053.8
1
48.30
1
1020.2
1027.1
4
3
2
3
222
4
3
2




Problemario de Fenómenos de Transporte
M. en C. María Guadalupe Ordorica Morales
Del diagrama de Moody
   
 
 
 
 
2
2
23
2
2
2
34.105
12
1
2891.147444.622866.236
2866.236
2.322
4882.8
5.1
5280
06.0
2
in
lb
P
in
ft
ft
lb
ft
lb
ftP
hP
ft
sft
sft
ft
ft
h
g
V
D
L
fh
f
ff
L
L
L




















06.0f 57.3
1042
5.1
2



 
ft
ftD
Problemario de Fenómenos de Transporte
M. en C. María Guadalupe Ordorica Morales
9. En la figura se observa una parte del sistema de protección contra incendios en el cual una
bomba saca agua a 60 °F de un recipiente y la transporta al punto B, con una rapidez de flujo de
1500 gal/min. Calcule la altura h, requerida para el nivel del agua en el tanque, con el fin de
mantener 5.0 lb/pulg2
relativa presión en el punto A.
A 50 y 60 °F el peso específico
del agua es de 63.4 lbf/ft3
Para tubo de acero calibre 40 de
8 in el diámetro interno es
0.6651 ft
Para tubo de acero calibre 40 de
10 in el diámetro interno es
0.8350 ft.
?
25
4.62
6651..0
8350.0
0.5
min1500
1
2
3
2
1
2
2







z
ftz
ftlb
ftD
ftD
inlbP
galV
f
ft
in
ft
in
in
lb
in
lb
z
in
lb
in
ft
ft
lb
P
z
g
V
z
P
hhh
g
V
z
P
f
ff
LrA
53.11
12
1
4657.138
03611.0
0.5
03611.0
12
1
4.62
22
3
2
1
3
3
3
2
1
2
2
2
2
2
1
1
1



















Problemario de Fenómenos de Transporte
M. en C. María Guadalupe Ordorica Morales
10. Predicción de conductividades caloríficas de gases a baja densidad.
a) Calcular la conductividad calorífica del argón a 100 °C y 1 atm de presión, utilizando la
teoría de Chapman-Enskog y las constantes de Lennard-Jones deducidas de los datos de
viscosidad.
M

(Å)
k
(°K) 
T
k k
Ar 39.944 3.418 124 3.00 1.039
   
Kscm
cal
k
k
M
T
k
KCT
k










5
2
4
2
4
10008.5
039.1418.3
944.39
15.373
109891.1
109891.1
15.373100

b) Calcular las conductividades caloríficas de óxido nítrico (NO) y del metano (CH4) a 300 °K y
presión atmosférica, utilizando los siguientes datos para las mismas condiciones
M
(g/mol)
7
10

(g/cm s)
Cp
(g/mol °K)
NO 30.01 1929 7.15
CH4 16.04 1116 8.55
Kmol
cal
R
M
RCpk









987.1
4
5 
 
Kscm
cal
k
k
NO
NO












7
7
1034.619
01.30
101929
987.1
4
5
15.7  
Kscm
cal
k
k
CH
CH












7
7
1068.767
04.16
101116
987.1
4
5
55.8
4
4
Problemario de Fenómenos de Transporte
M. en C. María Guadalupe Ordorica Morales
11. Predicción de la conductividad calorífica de un gas denso.
Predecir la conductividad calorífica del metano (CH4) a 110.4 atm y 52.8 °C por los dos métodos
siguientes:
a) Utilizando el diagrama de Owens, tomando las propiedades críticas que sean necesarias
atmP
KCT
4.110
95.3258.52


Tc
(°K)
Pc
(atm)
kc x10-6
(cal/s cm °K)
CH4 190.7 45.8 158
709.1
7.190
95.325


r
c
r
T
T
T
T
41.2
8.45
4.110


r
c
r
P
P
P
P
Diagrama de Owens
 
Kmh
Kcal
k
cal
Kcal
m
cm
h
s
Kcms
cal
k
Kcms
cal
k
kkk
k
k
k
k
cr
c
r
r




































04379.0
1000
1
1
100
1
3600
102166.1
1015877.0
77.0
4
6
Problemario de Fenómenos de Transporte
M. en C. María Guadalupe Ordorica Morales
12. Conducción de calor desde una esfera a un fluido estancado
Una esfera caliente de radio R esta suspendida en una gran masa de fluido en reposo. Se desea
estudiar la conducción de calor en el fluido que rodea la esfera. Se supone que los efectos de la
convección libre son despreciables.
a) Plantear la ecuación diferencial que describe la temperatura T del fluido circundante en
función de r, la distancia desde el centro de la esfera. La conductividad calorífica k del
fluido es constante.
b) Integrar la ecuación diferencial y utilizar las siguientes condiciones límite, para determinar
las constantes de integración.
CL1: para Rr  RTT 
CL2: para r  TT
Entradas Salidas
rrqr  2
4  rrrqr

 2
4 
 
  00
10
0
4
44
044
2
22
22
22
22

























dr
qrd
r
qrqr
r
qrqr
r
qrqr
qrqr
rr
rrrr
rrrrr
rrrrr
rrrrr



Se sustitye qr por la ley de Fourier
 
 
 
2
1
21
2
1
1
2
2
2
0
0
C
rk
C
T
drr
k
C
dT
dr
rk
C
dT
C
dr
dT
kr
dr
dr
dT
krd
dr
dT
kr
dr
d
dr
dT
kqr























 

Problemario de Fenómenos de Transporte
M. en C. María Guadalupe Ordorica Morales
Se aplican las condiciones iniciales
CL1: para Rr  RTT 
CL2: para r  TT
 
 
  


























r
R
TTTT
T
rk
RkTT
T
RkTTC
T
Rk
C
T
CTC
k
C
T
C
Rk
C
T
R
R
R
R
R
1
1
22
1
2
1
Se sustituye en la ley de Fourier para obtener una ecuación para qr
 
  






















2
r
R
TTkq
r
R
TTT
dr
d
kq
dr
dT
kq
Rr
Rr
r
Problemario de Fenómenos de Transporte
M. en C. María Guadalupe Ordorica Morales
13. Calentamiento viscoso en el flujo a través de una rendija
Deducir una expresión para la distribución de temperatura T(x) en un fluido viscoso que
circule con flujo laminar por el espacio comprendido entre dos grandes láminas paralelas tal
como se indica en la figura. Ambas láminas se mantienen a temperatura constante T0. Téngase
en cuenta el calor generado por disipación viscosa. Desprecie la variación de k y μ con la
temperatura.
De las ecuaciones de variación (coordenadas rectangulares)








































































































222
222
2
2
2
2
2
2
2
y
v
z
v
x
v
z
v
x
v
y
v
z
v
y
v
x
v
z
T
y
T
x
T
k
z
T
v
y
T
v
x
T
v
t
T
pC
zyzxyx
zyx
zyxv


quedando
 




























































x
b
V
kx
T
b
V
kx
T
x
b
V
x
T
k
b
V
x
v
V
b
x
v
x
v
x
T
k
b
b
b
bz
bz
z
2
2
2
2
2
2
2
2
0




21
2
2
1
2
1
2
2
CxCx
b
V
k
T
xCx
b
V
k
T
Cx
b
V
kx
T
b
b
b




































Se aplican condiciones límite 12
01 0
TTbxCL
TTxCL


Problemario de Fenómenos de Transporte
M. en C. María Guadalupe Ordorica Morales
   
 





























b
V
k
C
b
TT
b
V
k
C
b
V
k
TT
C
TbCb
b
V
k
T
CL
CT
CL
bobb
bo
o
b
o
2
1
2
1
2
1
1
1
2
2
1
2
2
1
22
2
2



Se sustituyen valores de C1 y C2


























b
x
b
x
V
k
TT
Tx
b
V
k
x
b
V
k
T
bo
o
bb
1
2
1
22
2
2
2
2


Problemario de Fenómenos de Transporte
M. en C. María Guadalupe Ordorica Morales
14. Temperatura máxima de un lubricante
Un aceite actúa como lubricante de dos superficies cilíndricas como las de la figura. La velocidad
angular del cilindro exterior es de 7908 rpm. El radio del cilindro exterior es de 5.06 cm y la luz
entre los 2 cilindros, 0.027 cm ¿Cuál es la máxima temperatura en el aceite si se sabe que la
temperatura de ambas paredes es de 70 °C? Las propiedades físicas del aceite son:
Viscosidad 92.3 cp
Densidad 1.22 g/cm3
Conductividad calorífica 0.0055 cal/s cm °C
Del problema anterior, aplicando las ecuaciones de variación se obtiene
21
2
2
1
2
1
2
2
2
2
2
2
2
2
2
2
0
CxCx
b
V
k
T
xCx
b
V
k
T
Cx
b
V
kx
T
x
b
V
kx
T
b
V
kx
T
x
b
V
x
T
k
b
V
x
v
V
B
x
v
x
v
x
T
k
b
b
b
b
b
b
bz
bz
z






































































































Se aplican condiciones iniciales
b
o
TTbxCL
TToxCL


2
1
   
 





























b
V
k
C
b
TT
b
V
k
C
b
V
k
TT
C
TbCb
b
V
k
T
CT
bobb
bob
o
b
b
o
2
1
2
1
2
1
1
2
2
2
22
2
2



Se sustituyen valores de C1 y C2


























b
x
b
x
V
k
TT
Tx
b
V
k
x
b
V
k
T
bo
o
bb
1
2
1
22
2
2
2
2


Problemario de Fenómenos de Transporte
M. en C. María Guadalupe Ordorica Morales
15. Transmisión de calor en el acoplamiento de una barra de combustible nuclear.
Considere una barra larga de combustible nuclear que esta rodeada por una plancha anular de un
revestimiento de aluminio, tal como se indica en la figura. Debido al proceso de fisión, se produce
calor en el interior de la barra de combustible; el desarrollo de calor depende de la posición,
variando la intensidad del manantial calorífico de acuerdo con la expresión aproximada:















2
0 1
F
nn
R
r
bSS
Siendo Sn0 el calor producido por unidad de volumen y unidad de tiempo para r=0, y r la distancia
desde el eje de la barra de combustible, si la superficie externa de la vaina de aluminio esta en
contacto con un liquido regrigerante cuya temperatura es Tr y el coeficiente de transmisión de
calor en la interfase vaina-refrigerante es hL. Las conductividades caloríficas de la barra y la vaina
son kF y kC.
Balance 1 (Barra de combustible)
Entradas Salidas
rrqLr 2 rrrqLr 
 2
Volumen SnrLr 2
 
r
Cr
SnqC
r
Snqr
drrSndqr
Snr
dr
dq
rSnr
r
qrqr
Snr
r
qrqr
rL
SnrLr
rL
qLrqLr
SnrLrqLrqLr
rr
r
rr
rrrr
rrrrr
rrrrr
rrrrr
1
1
2
22
22
1
2
2
2
22
0222

































Problemario de Fenómenos de Transporte
M. en C. María Guadalupe Ordorica Morales
Se aplican condiciones límite Ff
r
TTRrCL
qrCL


2
1 00
 22
22
2
2
2
2
2
2
1
4
44
4
4
4
2
2
.
2
0
rR
k
Sn
TT
R
k
Sn
Tr
k
Sn
T
R
k
Sn
TC
CR
k
Sn
T
Cr
k
Sn
T
drr
Sn
dTk
r
Sn
dr
dT
k
dr
dT
kq
r
Snq
C
FF
FF
FF
FF
r
r











Balance 2 (Revestimiento de Aluminio)
Entradas Salidas
rrqLr 2 rrrqLr 
 2
 
r
C
qCqr
drdqr
dr
dq
r
r
qrqr
r
qrqr
rL
qLrqLr
qLrqLr
rr
r
rr
rrrr
rrrrr
rrrrr
rrrrr
3
3
22
0
00
10
0
2
22
022





























Problemario de Fenómenos de Transporte
M. en C. María Guadalupe Ordorica Morales
4
3
3
3
ln Cr
k
C
T
r
dr
CdTk
r
C
dr
dT
k
dr
dT
kqr





Se aplican condiciones límite cc
Ff
TTRrCL
TTRrCL


4
3
 
 
 
 
   
 




























































r
R
R
R
TT
TT
R
R
R
TT
Tr
R
R
TT
T
R
R
R
TT
TC
R
k
R
R
TTk
TC
R
R
TTk
C
RR
k
C
R
k
C
R
k
C
TT
R
k
C
TR
k
C
T
R
k
C
TC
R
k
C
TC
ecuacionesambasdeCoDespenjand
CR
k
C
T
CR
k
C
T
f
f
c
cF
F
f
f
c
cF
F
f
c
cF
f
f
c
cF
F
f
f
c
cF
F
f
c
cF
fcfccF
ccfF
cc
fF
cc
fF
ln
ln
ln
ln
ln
ln
ln
ln
ln
ln
ln
lnlnlnln
lnln
ln
ln
ln
ln
4
4
3
333
33
3
4
3
4
4
4
3
4
3
Balance 3 (Refrigerante)
Problemario de Fenómenos de Transporte
M. en C. María Guadalupe Ordorica Morales
16. Conducción de calor un anillo circular
El calor fluye a través de una pared anular cuyo radio interno es r0 y el externo r1. La conductividad
calorífica varía linealmente con la temperatura desde k0 a la temperatura T0 hasta k1 a la
temperatura T1. Deducir una expresión para el flujo de calor a través de la pared situada en r = r0.
Entradas Salidas
rrqLr 2 rrrqLr 
 2
 
r
C
qCqr
drdqr
dr
dq
r
r
qrqr
r
qrqr
rL
qLrqLr
qLrqLr
rr
r
rr
rrrr
rrrrr
rrrrr
rrrrr
1
1
22
0
00
10
0
2
22
022





























2
1
1
1
ln Cr
k
C
T
r
dr
CdTk
r
C
dr
dT
k
dr
dT
kqr





Se aplican condiciones límite 1112
1
kkTTrrCL
kkTTrrCL ooo


Problemario de Fenómenos de Transporte
M. en C. María Guadalupe Ordorica Morales
 
 
 
 
   
 
   
 








































































































r
k
r
r
TT
q
r
r
r
TT
Tr
r
r
k
TTk
dr
d
kq
dr
dT
kq
Tr
k
k
r
r
r
TT
T
r
r
r
TT
Tr
r
r
k
TTk
T
r
r
r
TT
TC
r
k
r
r
TTk
TC
r
r
TTk
C
rr
k
C
TT
r
k
C
Tr
k
C
T
ecuaciónprimerlaensustituyeSe
r
k
C
TC
ecuaciónsegundaladeCoDespenjand
Cr
k
C
T
Cr
k
C
T
o
o
r
o
o
o
r
r
o
o
o
o
o
o
o
o
oo
o
o
o
o
o
o
1
1
1
1
1
1
1
101
1
1
1
0
1
1
1
1
1
1
1
101
1
1
1
12
1
1
0
1
1
12
0
1
11
1
1
1
1
1
1
1
3
1
1
1
1
3
12
2
21
1
1
1
2
1
ln
ln
ln
ln
ln
lnln
ln
ln
ln
ln
ln
ln
ln
ln
ln
ln
lnln
lnln
ln
ln
ln
Problemario de Fenómenos de Transporte
M. en C. María Guadalupe Ordorica Morales
 
   
    1
11
21
21
1
11
1
1
lnln2
2
2
lnln2
2
ln
2







 





















oo
oo
o
o
rrLTT
kk
Q
kk
k
rrLTTkQ
Lr
r
k
r
r
TT
Q
LrA
AqQ




o
o
o
o
rr
r
r
r
rr




1
1
1
1
0
Problemario de Fenómenos de Transporte
M. en C. María Guadalupe Ordorica Morales
17. Estimar DAB para el sistema argón-oxígeno a 293.2 K y 1 atm de presión total. Utilizar
Tc
(K)
Pc
(atm)
M

(Å)
K/
(K)
A- Argón 151 48 39.94 3.418 124
B - Oxigeno 154.4 49.7 32 3.433 113
a) La ecuación de Slattery
   
   
P
MM
TTPP
TT
T
D
TT
T
MM
TTPP
DP
BA
cBcAcBcA
cBcA
AB
cBcA
BA
cBcAcBcA
AB
2
1
12
5
3
1
823.1
4
823.1
4
2
1
12
5
3
1
11
10745.2
10745.2
11






































   
s
cmD
D
BA
AB
2
2
1
12
5
3
1
823.1
4
1888.0
32
1
94.39
1
4.1541517.4948
4.154151
2.293
10745.2














 
b) La ecuación de Chapman - Enskog
KKK
Donde
P
MM
T
D
BAAB
BA
AB
ABAB
BA
AB
















2
:
11
0018583.0 2
3



4769.2
3722.118
2.293
3722.118114124
4255.3
2
433.3418.3









AB
AB
AB
TK
K

Se interpola con los valores siguientes
AB
TK


AB
  002464.19996.040.24769.2
40.250.2
012.19996.0



AB
2.40 1.012
2.50 0.9996
Problemario de Fenómenos de Transporte
M. en C. María Guadalupe Ordorica Morales
 
     
s
cmD
D
AB
AB
2
2
3
1881.0
0024644.14255.31
32
1
94.39
1
2.293
0018583.0










Problemario de Fenómenos de Transporte
M. en C. María Guadalupe Ordorica Morales
18. Estímese DAB para una mezcla constituida por 80 moles por ciento de metano y 20 moles por
ciento de etano a 136 atm y 313 K. El valor experimental de (PDAB)° a 293 K es 0.163 atm cm2
/s.
Tc
(K)
Pc
(atm)
xi
A-Metano 190.5 45.8 0.8
B -Etano 305.4 48.2 0.2
 
   
   
s
cmatm
DP
T
DPDP
s
cmatm
DP
atmP
KT
Datos
KAB
b
KABTAB
KAB
21823.0
313
293
2
293
1838.0
293
313
163.0
293
163.0
136
313



















4667.1
4.213
313
'
'
938.2
28.46
136
'
'
4.213'
28.46'






c
r
c
r
ciic
ciic
T
T
T
P
P
P
KTxT
atmPxP
Problemario de Fenómenos de Transporte
M. en C. María Guadalupe Ordorica Morales
 
 
s
cm
atm
s
cmatm
D
DP
DP
AB
AB
AB
2
4
2
108657.9
136
1838.073.0
73.0







 





Problemario de Fenómenos de Transporte
M. en C. María Guadalupe Ordorica Morales
19. Se conoce el valor de DAB (0.151 cm2
/s) para el sistema CO2 –aire a 293 K y 1 atm. Extrapólese
DAB para 1500 K utilizando los métodos siguientes.
Tc
(K)
Pc
(atm)
M

(Å)
K/
(K)
A- CO2 304.2 72.9 14.01 3.996 190
B - Aire 132 36.4 28.91 3.617 97.0
a) Ecuación de Slattery.
   
   
P
MM
TTPP
TT
T
D
TT
T
MM
TTPP
DP
BA
cBcAcBcA
cBcA
AB
cBcA
BA
cBcAcBcA
AB
2
1
12
5
3
1
823.1
4
823.1
4
2
1
12
5
3
1
11
10745.2
10745.2
11






































   
s
cmD
D
BA
AB
2
2
1
12
5
3
1
823.1
4
2956.2
91.28
1
01.14
1
1322.3044.369.72
1322.304
1500
10745.2














 
b) Ecuación de Chapman - Enskog
KKK
Donde
P
MM
T
D
BAAB
BA
AB
ABAB
BA
AB
















2
:
11
0018583.0 2
3



0491.11
3722.118
2.293
7571.13597190
8065.3
2
617.3996.3









AB
AB
AB
TK
K

Se interpola con los valores siguientes
AB
TK


AB
  7341.07424.0100491.11
1020
7424.06640.0



AB
10.0 0.7424
20.0 0.6640
Problemario de Fenómenos de Transporte
M. en C. María Guadalupe Ordorica Morales
 
     
s
cmD
D
AB
AB
2
2
3
4297.2
7341.08065.31
91.28
1
01.44
1
1500
0018583.0










c) Gráfico de Slattery
       
       
8775.6
1.218
1500
'
'
1829.0
65.54
1
'
'
1.2181325.02.3045.0'
65.544.365.09.725.0'






c
r
c
r
ciic
ciic
T
T
T
P
P
P
KTxT
atmPxP
No es posible obtener un valor para
 

AB
AB
DP
DP
ya que la gráfica es para gases densos, y se está
trabajando con un gas ideal, además de que el valor de Tr obtenido no se encuentra en el gráfico.
Problemario de Fenómenos de Transporte
M. en C. María Guadalupe Ordorica Morales
20. Difusión de metano a través de helio
Un tubo contiene CH4 y He gaseoso a 101.32 kPa de presión y 298 K. En un punto, la presión
parcial del metano es PA1 = 60.79 kPa y en otro 0.02 m de distancia PA2 = 20.26 kPa. Si la presión
total es contante en todo el tubo. Calcule el flujo específico de CH4 (metano) en estado
estacionario para contradifusión equimolar.
P1 = 101.32 kPa = 1 atm
T = 298 K
Tc
(K)
Pc
(atm)
M

(Å)
K/
(K)
A- CH4 190.7 45.8 16.04 3.822 137
B - He 5.26 2.26 4.003 2.576 10.2
   
   
P
MM
TTPP
TT
T
D
TT
T
MM
TTPP
DP
BA
cBcAcBcA
cBcA
AB
cBcA
BA
cBcAcBcA
AB
2
1
12
5
3
1
823.1
4
823.1
4
2
1
12
5
3
1
11
10745.2
10745.2
11






































   
s
m
cm
m
s
cm
D
D
BA
AB
2
5
2
22
2
1
12
5
3
1
823.1
4
106334.7
10000
1
76334.0
003.4
1
04.16
1
26.57.19026.28.45
26.57.190
298
10745.2























 
  
    sm
molkg
N
PP
PP
zzTR
PD
N
A
A
AAB
A



























2
4
5
1
2
12
100818.1
60790101325
20260101325
ln
02.02983.8314
101325106334.7
ln
 
     sm
molkg
J
NxNJ
NN
C
C
NJ
A
A
AAAA
BA
A
AA






2
544
10409.5100818.15.0100818.1
Z1= 0
PA1 = 60.71 kPa
Z2= 0.02 m
PA1 = 20.26 kPa
Problemario de Fenómenos de Transporte
M. en C. María Guadalupe Ordorica Morales
21. Contradifusión equimolar de NH3 y N2 en estado estable.
A través de un tubo recto de vidrio de 2.0 ft (0.610 m) de longitud con diámetro interno de 0.080
ft (24.4 mm). Se produce una contradifusión de amoniaco gaseoso (A) y nitrógeno gaseoso (B) a
298 K y 101.3 kPa. Ambos extremos del tubo están conectados a grandes cámaras de mezclado
colocadas a 101.32 kPa. La presión parcial de NH3 en una cámara es constante e igual a 20.0 kPa y
en la otra cámara la presión es 6.666 kPa. La difusividad a 298 K y 101.32 kPa es 2.30 x10-5
m2
/s.
mL
kPaP
kPaP
A
A
61.0
666.6
0.20
2
1



a) Calcule la difusión del NH3 en lb mol/h y kg mol/s
 
  
   
 
 
h
mollb
h
s
kg
lb
s
molkg
s
molkg
m
sm
molkg
AN
mrA
sm
molkg
N
PP
PP
zzTR
PD
N
A
A
A
AAB
A

























































710
1024
2
7
2422
2
7
5
1
2
12
10688.8
1
3600
1
2046.2
100946.1
100946.1106759.4103411.2
106759.40122.0
103411.2
20000101325
6666101325
ln
61.02983.8314
1013251030.2
ln

b) Calcule la difusión del N2
BA NN 
c) Calcule las presiones parciales en un punto situado a 1.0 ft (0.305 m) en el tubo y
grafíquese PA, PB y P en función de la distancia z
 
PaPaP
kPaP
4
1033.113333
333.1320305.0
61.0
20666.6




PA1
PB1
PA2
PB2
L
z1 z2
→
NA
NB
←
x
z
Problemario de Fenómenos de Transporte
M. en C. María Guadalupe Ordorica Morales
22. Difusión de A a través de B en reposo y efecto del tipo de límite sobre el flujo específico.
Se difunde amoniaco gaseoso a través de N2 en estado estacionario, donde N2 es el gas que no se
difunde, puesto que es insoluble en uno de los límite. La presión total es 1.013 x105
Pa y la
temperatura marca 298 K. La presión parcial de NH3 e un punto es 1.333 x104
Pa y en el otro
punto, situado a una separación de 20 mm es 6.666 x103
Pa. El valor de DAB para la mezcla a 1.013
x105
Pa es 2.30 x10-5
m2
/s.
a) Calcule el flujo específico de NH3 en kg mol/s m2
 
  
    sm
molkg
N
PP
PP
zzTR
PD
N
PaP
PaP
KT
PaP
s
m
D
Datos
A
A
AAB
A
A
A
AB

































2
6
3
45
1
2
12
3
2
4
1
5
2
5
104332.3
10666.6101325
10333.1101325
ln
02.02983.8314
1013251030.2
ln
10666.6
10333.1
298
10013.1
1030.2
:
b) Haga lo mismo que en (a) pero suponiendo que el N2 tambien se difunde, esto es, ambos
límites son permeables a los dos gases y el flujo específico es una contradifusión
equimolar. ¿En qué caso es mayor al flujo específico?
 
   
 
 
 
   sm
molkg
N
zz
PP
RT
D
N
PP
RT
D
zzN
P
RT
D
zN
z
P
RT
D
NNN
NN
C
C
z
x
cDN
A
AAAB
A
AA
AB
A
P
P
A
AB
z
z
A
AAB
ABA
BA
AA
ABA
A
A

















2
6
435
12
12
1212
100931.3
02.0
10333.110666.6
2983.8314
1030.2
dd
d
d
0
d
d
2
1
2
1
La difusión es mayor en el caso planteado en el primer inciso.
Problemario de Fenómenos de Transporte
M. en C. María Guadalupe Ordorica Morales
23. Sublimación de pequeñas esferas de yodo en aire estático
Una esfera de yodo, 1 cm de diámetro, se encuantra en aire estático a 40 °C y a 747 mmHg de
presión. A esta temperatura la presión de vapor del yodo es de 1.03 mmHg. Se desea determinar
la difusividad del sistema yodo-aire midiendo el índice de sublimación. Estimar la difusividad para
el sistema aire-yodo a la temperatura y presión dadas anteriormente.
atmmmHgP
KCT
Datos
9828.0747
15.31340
:


Tc
(K)
M

(Å)
K/
(K)
A-Aire 132 28.7 3.617 97.0
B - Yodo 800 253.82 4.982 550
KKK
Donde
P
MM
T
D
BAAB
BA
AB
ABAB
BA
AB
















2
:
11
0018583.0 2
3



3557.1
9761.230
15.313
9761.23055097
2995.4
2
982.4617.3









AB
AB
AB
TK
K

Se interpola con los siguientes valores
AB
TK


AB
  25072.1253.135.13557.1
35.140.1
253.1233.1



AB
1.35 1.253
1.40 1.233
 
     
s
cmD
D
AB
AB
2
2
3
08925.0
25072.12995.49828.0
82.253
1
7.28
1
15.313
0018583.0










Problemario de Fenómenos de Transporte
M. en C. María Guadalupe Ordorica Morales
24. Deducción alternativa de la difusión a través de una película estancada.
En las ecuaciones (1) se obtuvo una expresión para calcular la velocidad de evaporación al
diferenciar el perfil de concentración encontrado anteriormente. Demostrar que los mismos
resultados pueden deducirse sin tener que encontrar el perfil de concentración. Nótese que en
estado estacionario NAz es una constante según la ecuación (2), luego la ecuación (3) puede
integrarse para obtener la ecuación (1).












1
2
1211
ln
d
d
d
d
1 11
1
B
BAB
zz
B
B
AB
zz
A
A
AB
zzAz
x
x
zz
cD
z
x
x
cD
z
x
x
cD
N --------- (1)
0
d
d

z
NAz
------- (2)
z
x
x
cD
N A
A
AB
Az
d
d
1
 --------- (3)
Balance
Entradas - Salidas = 0
zAzNS  - zzAzNS 
 = 0
 
 
   
   
igualanseyambasdeCdespejaSe
CxcDzC
CxcDzC
xxzzC
xxzzC
sCondicione
CxcDzC
x
x
cDzC
z
x
x
cD
C
z
x
x
cD
NFickdeLeyPor
CN
zN
z
N
z
NN
zS
NSNS
AAB
AAB
AA
AA
AAB
A
A
AB
A
A
AB
A
A
AB
AZ
AZ
Az
AZzAzzzAz
z
zzAzzAz
2
2221
2111
222
111
21
1
1
1
0
51ln
41ln
1ln
1
d
d
d
d
1
d
d
1
d0d
0
d
d
0lim
1
0
























 




 
 
      
      
 
  





















1
2
12
1
2
12
1
12121
12121
2212
1112
ln
ln
lnln
11
1ln1ln
1ln
1ln
B
BAB
Az
B
BAB
BBAB
ABBA
AAAB
AAB
AAB
x
x
zz
cD
N
x
x
zz
cD
C
xxcDzzC
xxxx
xxcDzzC
xcDzCC
xcDzCC
Problemario de Fenómenos de Transporte
M. en C. María Guadalupe Ordorica Morales
25. Efecto de la transferencia de masa en perfiles de concentración
a) Combine los resultados de las siguientes ecuaciones para obtener
 





 



AB
Az
A
A
cD
zzN
x
x 12
1
exp
1
1
(1) ------- 







1
2
12
ln
B
BAB
Az
x
x
zz
cD
N

























 12
1
1
2
1 1
1
1
1 zz
zz
A
A
A
A
x
x
x
x
---------- (2)
 
 
ecuacionesambasigualanSe
cD
zzN
x
x
x
x
zz
cD
x
x
zz
cD
N
ecuaciónlaDe
zz
zz
x
x
x
x
zz
zz
x
x
x
x
AB
Az
A
A
A
AAB
B
BAB
Az
A
A
A
A
A
A
A
A
12
1
2
1
2
121
2
12
12
1
1
1
2
12
1
1
2
1
1
1
ln
1
1
lnln
1
1
1
ln
1
1
ln
1
1
ln
1
1
ln










































































 
 
 
 
 





 













 





























































AB
Az
A
A
AB
Az
A
A
AB
Az
A
A
AB
Az
A
A
A
A
AB
Az
cD
zzN
x
x
cD
zzN
x
x
xponenteseAplicando
cD
zzN
x
x
zz
zz
cD
zzN
x
x
zz
zz
x
x
cD
zzN
1
1
1
1
1
1
12
112
1
12
1
112
exp
1
1
exp
1
1
lnexp
1
1
ln
1
1
ln
1
1
ln
b) Obtener el mismo resultado del inciso anterior integrando:
z
x
x
cD
N A
A
AB
Az
d
d
1

 
 
   
 
 
AB
Az
A
A
A
A
ABAz
AABAzAABAz
AABAz
AA
AABAz
A
A
ABAz
cD
zzN
x
x
x
x
cDzzN
xcDzNxcDzN
xcDzNC
xxzz
sCondicione
CxcDzN
x
x
cDzN
1
1
1
1
11
111
11
1
1
1
ln
1
1
ln
1ln1ln
1ln
1ln
1
d
d























   
 





 













 
















AB
Az
A
A
AB
Az
A
A
cD
zzN
x
x
cD
zzN
x
x
esxponencialeAplicando
1
1
1
1
exp
1
1
exp
1
1
lnexp
Problemario de Fenómenos de Transporte
M. en C. María Guadalupe Ordorica Morales
26. Determinación de la difusividad de un gas mediante dos bulbos (Análisis en estado
cuasiestático)
Una manera de medir las difusividades de un gas es mediante dos bulbos. El bulbo izquierdo y el
tubo desde z=-L hasta z=0 son llenados con gas A. El bulbo derecho y el tubo desde z=0 hasta z=+L
son llenados con el gas B. Al tiempo t=0, la valvula es abierta, y la difusión empieza, luego la
concentración de A en ambos bulbos cambia. Uno mide xA
+
en función del tiempo, y de esta
manera se deduce DAB. Se desea encontrar las ecuaciones que describan dicha difusión.
Ya que los bulbos son largos en comparación con el tubo, xA
+
y xA cambian lentamente con el
tiempo. Por lo tanto la difusión en el tubo puede ser tratada como un problema de estado
cuasiestático, con las condiciones de frontera xA=xA
-
z=-L y xA=xA
+
z=+L
a) Escriba un balance molar de A en un segmento Δz del tubo (de un área transversal S) y
demuestre que NAz=C1
 
1
0
d0d
0
d
d
0lim
1
0
CN
zN
z
N
z
NN
zS
NSNS
AZ
Az
AZzAzzzAz
z
zzAzzAz

















b) Demuestre que la ecuación  BzAzA
A
ABAz NNx
z
x
cDN 


 se simplifica, para este
problema en
z
x
cDN A
ABAz
d
d

De acuerdo con la Ley de Fick
 
z
x
cDN
NNx
z
x
cDN
A
ABAz
BzAzA
A
ABAz
d
d





c) Integre la ecuación del inciso b), usando respuesta de a) obtenga C2
AAB
AAB
AAB
A
AB
xcDzCC
CxcDzC
xcDzC
z
x
cDC





12
21
1
1
dd
d
d
z=0
z=-L z=+L
x-
=1-xA
+ xA
+
(t)
0
Problemario de Fenómenos de Transporte
M. en C. María Guadalupe Ordorica Morales
d) Evalue la constante con la condiciones de frontera.
 
 
 
  
 
 






































A
AB
Az
Az
A
AB
AAB
AAB
AAAB
AABAAB
AABAAB
AAB
AAB
AAB
AAA
AA
x
L
cD
N
cN
x
L
cD
C
L
xcD
C
xcDCL
xxcDCL
xcDxcDLCLC
xcDLCxcDLC
xcDLCC
xcDLCC
xcDzCC
Lzxxx
Lzxx
2
1
2
1
2
21
212
12
1
1
1
1
1
1
1
1
1
11
11
12
12
12
Problemario de Fenómenos de Transporte
M. en C. María Guadalupe Ordorica Morales
Referencias
Bennett, O, Myers, J.E. Transferencia de cantidad de movimiento, calor y materia (tomos 1 y
2). Reverte, México, 2ª, edición,1998
Bird, R., Byron, W.E., Stewart, E.N., Lightfoot. Fenómenos de transporte, un estudio
sistemático de los fundamentos del transporte de materia, energía y cantidad de movimiento.
Reverte, México, 1ª. Edición, 1993.
Garcell Pyans, L. Transferencia de cantidad de movimiento, calor y masa. Ministerio de
educación Superior de Cuba – IPN. México 1998.
Geankoplis Ch. J., Procesos de transporte y principios de procesos de separación. Compañía
Editorial continental, cuarta Edición México, 2006.
Treybal, J.C. Operaciones de transferencia de masa. Mc. Graw Hill, Mèxico, 1980.
Welty, J.R. Fundamentos de transferencia de momento, calor y masa. Limusa, México 1972.

Problemario fenomenos transporte[1]

  • 1.
    Problemario de Fenómenosde Transporte M. en C. María Guadalupe Ordorica Morales INSTITUTO POLITECNICO NACIONAL UNIDAD PROFESIONAL INTERDISCIPLINARIA DE BIOTECNOLOGIA PROBLEMARIO DE LA ASIGNATURA FENÓMENOS DE TRANSPORTE ELABORADO POR: M. EN C. MARÍA GUADALUPE ORDORICA MORALES 2008
  • 2.
    Problemario de Fenómenosde Transporte M. en C. María Guadalupe Ordorica Morales 1. Estimación de viscosidad de un gas denso Estimar la viscosidad del nitrógeno a 68 °F y 1000 psig N2 Pc = 33.5 atm Tc = 126.2 K μc = 180 x10-6 g/cms T = 68 F P = 1000 psig CC    20 8.1 3268 KC 15.29315.2732020  029.2 5.33 68 3229.2 2.126 15.293   atm atm P P P K K T T T c r c r Con los valores obtenidos de Tr y Pr, se obtiene el valor de μr (Gráfico Uyehara)   scm g scm g cr c r r             46 10016.21018012.1 12.1       2.016 x10-4 g 1 lbm 1 kg 1 cm = 1.355 x10-5 lbm cm s 0.453593 kg 1000 g 0.0328 ft ft s 2. Estimación de viscosidad de fluoruro de metilo (CH3F) a 370 °C y 120 atm. CH3F M = 34 g/mol Pc = 58.0 atm Tc = 4.55 °C =277.7 K ρc = 0.300 g/cm3 T = 370 °C = 643.15 K P = 120 atm       poise TPM c c ccc 6 613221 613221 1038.263 7.277583470.7 70.7          206.2 58 120 3159.2 7.277 15.643   atm atm P P P K K T T T c r c r Con los valores obtenidos de Tr y Pr, se obtiene el valor de μr (Gráfico Uyehara)   scm g scm g cr c r r             46 10015.31038.263145.1 145.1       3.015 x10-4 g 1 lbm 1 kg 1 cm = 2.0269 x10-5 lbm cm s 0.453593 kg 1000 g 0.0328 ft ft s 1000 psi 1 atm = 68 atm 14.6061 psi
  • 3.
    Problemario de Fenómenosde Transporte M. en C. María Guadalupe Ordorica Morales 3. Viscosidad de gases de baja densidad Predecir la viscosidad de oxígeno molecular, nitrógeno y metano a 20 °C y a presión atmosférica, expresar los resultados en mPa·s. Compuesto M T (K) σ (Å) K/ (K)  KT (x)  (y)  (poise)  (cpoise) Oxígeno 32.00 293.15 3.433 113 2.5924 1.0818 2.0277 x10-4 0.0202 Nitrógeno 28.02 293.15 3.681 91.5 3.2038 1.0217 1.7475 x10-4 0.0174 Metano 16.04 293.15 3.822 137 2.1397 1.1488 1.0907 x10-4 0.0109 O2 N2 CH4 5924.2 113 15.293   KT 2536.3 1.90 15.293   KT 1397.2 137 15.293   KT     11 12 12 11 12 12 yxx xx yy yxxmyy xx yy m                  2 5 106693.2 MT O2   0818.1093.150.25934.2 5.26.2 093.1081.1                 poise4 2 5 100277.2 0818.1433.3 15.29332 106693.2   N2   0217.1022.120.32038.3 2.33.3 022.1014.1                 poise4 2 5 107475.1 0217.1681.3 15.29302.28 106693.2   CH4   1488.1156.11.21397.2 1.22.2 156.1138.1                 poise4 2 5 100907.1 1488.1822.3 15.29304.16 106693.2  
  • 4.
    Problemario de Fenómenosde Transporte M. en C. María Guadalupe Ordorica Morales Utilizando nomogramas para viscosidad de gases centipoisepoiseO 02.0102000 7 2    centipoisepoiseN 0176.0101760 7 2    centipoisepoiseCH 01.0101000 7 4   
  • 5.
    Problemario de Fenómenosde Transporte M. en C. María Guadalupe Ordorica Morales 4. Flujo de una película descendente Deducir el perfil de velocidad y la velocidad media, situando en el origen de coordenadas de forma que x se mida a partir de la pared (es decir x = 0 corresponde a la pared y x = σ a la superficie libre de la película). Demostrar que la distribución de velocidad viene dada por                             22 2 1 cos     xxg vz Demostrar como se puede llegar a la distribución de velocidad de la ecuación anterior a partir de ecuación:                   22 1 2 cos   xg vz Entradas Salidas Transporte viscoso xxz WL xxxz WL   Transporte cinético 0 2   z z xWv  Lz z xWv   2 Volumen  cos gLxW                                   coscos cos 0: cos cos coscos cos cos1 0cos 1 1 2 0 2 gxg gC xfronteradesCondicione Cxg dxgd g dx d g x xWL gLxW xWL WLWL gLxWWLWL gLxWxWvxWvWLWL xz xz xz xz xzxxzxxxz xxzxxxz xxxzxxz Lz z z zxxxzxxz Ecuación de Newton dx dvz xz       x 0 0 0 0    zv x z 0 0 max    zv x    x zz max L  xx  x
  • 6.
    Problemario de Fenómenosde Transporte M. en C. María Guadalupe Ordorica Morales                                                                                  22 2 22 2 22 2 2 2 2 2 2 2 1 cos 2 cos 2 cos 2 cos 0 00: 2 cos cos cos coscos                       xxg v xxg v x xg v x x g vC xvfronteradesCondicione C x x g v xdx g dv dxxgdv gxg dx dv ecuacionesigualando z z z z z z z z z
  • 7.
    Problemario de Fenómenosde Transporte M. en C. María Guadalupe Ordorica Morales 5. Flujo laminar en una rendija estrecha Un fluido viscoso circula con flujo laminar por una rendija formada por dos paredes planas separadas una distancia 2B. Efectuar un balance diferencial de cantidad de movimiento y obtener las expresiones para las distribuciones de densidad de flujo de cantidad de movimiento y de velocidad.                             22 0 0 1 2 B x L BPP v x L PP L z L xz   en las que zgphgpP         x L PP CxfronteradesCondicione Cxgx L pp dxg L pp d g L pp dx d L pp g x g L pp x LxW gLxW LxW WxpWxpWLWL gLxWWxpWxpxWvxWvWLWL L xz xz L xz L xz LxzLxxzxxxz Lxxxzxxz Lxxxzxxz L Lz z z zxxxzxxz                                                0 1 1 00 00 0 0 0 2 0 2 000 1 0            Entradas Salidas Transporte viscoso xxz WL xxxz WL   Transporte cinético 0 2   z z xWv  Lz z xWv   2 Presión WxP 0 WxPL  Volumen gLxW  
  • 8.
    Problemario de Fenómenosde Transporte M. en C. María Guadalupe Ordorica Morales                                                                                                               2 20 2 2 220 2 2 220 2 0 2 0 2 0 2 2 2 00 0 0 4 2 4 2 4 2 2 4 2 2 4 20: 2 B x B L PP v B B xB L PP B B v xB L PP v B L PPx L PP v B L PP C BxvfronteradesCondicione C x L PP vdxx L PP dv dxx L PP dv x L PP dx dv dx dv NewtondeEcuación L z L z L z LL z L z L z L z L z Lz z xz         
  • 9.
    Problemario de Fenómenosde Transporte M. en C. María Guadalupe Ordorica Morales 6. Flujo laminar en una película que desciende por el exterior de un tubo circular En una experiencia de absorción de gases, un fluido viscoso asciende por el interior de un pequeño tubo circular, para descender después por la parte exterior del mismo. Aplicar un balance de cantidad de movimiento a una envoltura de película de espesor r, tal como se indica en la figura. Obsérvese que las flechas de entrada de cantidad de movimiento se toman siempre en la dirección r positiva al efectuar el balance, aun cuando en este caso ocurre que la cantidad de movimiento fluye en la dirección r negativa. Demostrar que la distribución de velocidad en la película descendiente (despreciando los efectos finales) es:                         R r a R rRg v ln21 4 2 22 2     gr dr dr gr r rr Lr gLrr Lr rLrL gLrrrrvrrvrLrL rzrrrzrrz rrrzrrz Lz z z zrrrzrrz                                 1 2 2 2 22 022222 2 0 2 Entradas Salidas Transporte viscoso rrz rL   2 rrrz rL    2 Transporte cinético 0 2 2   z z rrv  Lz z rrv   2 2 Fuerza de gravedad gLrr  2
  • 10.
    Problemario de Fenómenosde Transporte M. en C. María Guadalupe Ordorica Morales                                                                                                                                                                   2 2 2 22 2 2 2 2 2 2 2 2 2 2 2 2 2 2 2 2 22 2 2 2 1 1 2 1 2 1ln2 4 22 ln 2 2 ln 2 ln 2 2 ln 22 ln 2 2 ln 2 0 2 ln 2 2 222 22 22 2 0 2 2 R r R r a Rg v rR R r aR g v R RaR r raR g v R RaR gr raR g v R RaR g CRrvfronteradesCondicione C r raR g v drr r aRg dv r r aRg dr dv r aRgrg dr dv r aRgrg dr dv dr dv NewtondeEcuación r aRgrg aRg CaRrfronteradesCondicione r C r r g C r gr drrgdr rz rz rz rz z rz rz rzrz rz rz rz rz rz rz rz rz                                
  • 11.
    Problemario de Fenómenosde Transporte M. en C. María Guadalupe Ordorica Morales 7. Flujo en tubos concéntricos con movimiento axial del cilindro exterior Considerar el sistema representado en la figura, en el que la varilla cilíndrica se mueve con velocidad V. La varilla y el cilindro son coaxiales. Hallar la distribución de velocidad en estado estacionario y la velocidad volumétrica de flujo. Este tipo de problemas se presentan en el recubrimiento de alambres con barniz             K R r V v R r K V Rr K V v K RV r K V v K RV C K V C KCV R KR CV RCKRCV ensustituyeseRCC deCdespejaSe CRC VCKRC RrvCL KRrVvCL fronteradesCondicione CrCv r dr Cdvdr r C dv C dr dv r dr dr dv rd dr dv r dr d dr dv r dr d rr v r rr vvv g z vv rr v r rrz p z v v v r v r v v t v z zz z z z zz z z zzz zr z zzzz r zz r z ln ln ln ln lnln lnln ln ln ln ln ln ln lnln lnln 2ln 3 30ln 2ln 02 1 1ln 0 00 11 0 ?00 11 max maxmaxmaxmax max 2 max 1 1max1max 11max 12 2 21 max21 max 21 1 1 1 2 2 2 2 2                                                                                                                         
  • 12.
    Problemario de Fenómenosde Transporte M. en C. María Guadalupe Ordorica Morales Para obtener rz                                                  rK V Rr dr d K V R r dr d K V K R r V dr d dr dv NewtondeEcuación rzrz rzrz z rz 1 ln lnln ln ln lnln ln maxmax max max       
  • 13.
    Problemario de Fenómenosde Transporte M. en C. María Guadalupe Ordorica Morales 8. Una cañería de agua consiste en un conducto de presión hecho de concreto de 18 in de diámetro. Calcule la caída de presión en un tramo de 1 milla de longitud debido a la fricción en la pared del conducto, si éste transporta 15.0 ft3 /s de agua a 50 °F. A 50 y 60 °F el peso específico de H2O es 62.4 lbf/ft3 . Se analiza la ecuación general de energía         L L LrA hPP h PP g V z P hhh g V z P 21 21 2 2 2 2 2 1 1 1 22 Datos del problema FT sft ft in ft inr ft in ft inD ft milla ft millaz ftlb ft fOH concreto                           50 15 75.0 12 1 9 5.1 12 1 18 5280 1 5280 1 4.62 1042 3 3 2 2   Cálculo de viscosidad, # de Reynolds y velocidad de flujo.     turbulentoflujo sft lb ft lb ft s ft PDV s ft ft s ft A V ftftrA sft lb ft cm g lb scm g m f mm                                          930513 1053.8 4.625.14882.8 Re Re 4882.8 7671.1 15 7671.175.0 1053.8 1 48.30 1 1020.2 1027.1 4 3 2 3 222 4 3 2    
  • 14.
    Problemario de Fenómenosde Transporte M. en C. María Guadalupe Ordorica Morales Del diagrama de Moody             2 2 23 2 2 2 34.105 12 1 2891.147444.622866.236 2866.236 2.322 4882.8 5.1 5280 06.0 2 in lb P in ft ft lb ft lb ftP hP ft sft sft ft ft h g V D L fh f ff L L L                     06.0f 57.3 1042 5.1 2      ft ftD
  • 15.
    Problemario de Fenómenosde Transporte M. en C. María Guadalupe Ordorica Morales 9. En la figura se observa una parte del sistema de protección contra incendios en el cual una bomba saca agua a 60 °F de un recipiente y la transporta al punto B, con una rapidez de flujo de 1500 gal/min. Calcule la altura h, requerida para el nivel del agua en el tanque, con el fin de mantener 5.0 lb/pulg2 relativa presión en el punto A. A 50 y 60 °F el peso específico del agua es de 63.4 lbf/ft3 Para tubo de acero calibre 40 de 8 in el diámetro interno es 0.6651 ft Para tubo de acero calibre 40 de 10 in el diámetro interno es 0.8350 ft. ? 25 4.62 6651..0 8350.0 0.5 min1500 1 2 3 2 1 2 2        z ftz ftlb ftD ftD inlbP galV f ft in ft in in lb in lb z in lb in ft ft lb P z g V z P hhh g V z P f ff LrA 53.11 12 1 4657.138 03611.0 0.5 03611.0 12 1 4.62 22 3 2 1 3 3 3 2 1 2 2 2 2 2 1 1 1                   
  • 16.
    Problemario de Fenómenosde Transporte M. en C. María Guadalupe Ordorica Morales 10. Predicción de conductividades caloríficas de gases a baja densidad. a) Calcular la conductividad calorífica del argón a 100 °C y 1 atm de presión, utilizando la teoría de Chapman-Enskog y las constantes de Lennard-Jones deducidas de los datos de viscosidad. M  (Å) k (°K)  T k k Ar 39.944 3.418 124 3.00 1.039     Kscm cal k k M T k KCT k           5 2 4 2 4 10008.5 039.1418.3 944.39 15.373 109891.1 109891.1 15.373100  b) Calcular las conductividades caloríficas de óxido nítrico (NO) y del metano (CH4) a 300 °K y presión atmosférica, utilizando los siguientes datos para las mismas condiciones M (g/mol) 7 10  (g/cm s) Cp (g/mol °K) NO 30.01 1929 7.15 CH4 16.04 1116 8.55 Kmol cal R M RCpk          987.1 4 5    Kscm cal k k NO NO             7 7 1034.619 01.30 101929 987.1 4 5 15.7   Kscm cal k k CH CH             7 7 1068.767 04.16 101116 987.1 4 5 55.8 4 4
  • 17.
    Problemario de Fenómenosde Transporte M. en C. María Guadalupe Ordorica Morales 11. Predicción de la conductividad calorífica de un gas denso. Predecir la conductividad calorífica del metano (CH4) a 110.4 atm y 52.8 °C por los dos métodos siguientes: a) Utilizando el diagrama de Owens, tomando las propiedades críticas que sean necesarias atmP KCT 4.110 95.3258.52   Tc (°K) Pc (atm) kc x10-6 (cal/s cm °K) CH4 190.7 45.8 158 709.1 7.190 95.325   r c r T T T T 41.2 8.45 4.110   r c r P P P P Diagrama de Owens   Kmh Kcal k cal Kcal m cm h s Kcms cal k Kcms cal k kkk k k k k cr c r r                                     04379.0 1000 1 1 100 1 3600 102166.1 1015877.0 77.0 4 6
  • 18.
    Problemario de Fenómenosde Transporte M. en C. María Guadalupe Ordorica Morales 12. Conducción de calor desde una esfera a un fluido estancado Una esfera caliente de radio R esta suspendida en una gran masa de fluido en reposo. Se desea estudiar la conducción de calor en el fluido que rodea la esfera. Se supone que los efectos de la convección libre son despreciables. a) Plantear la ecuación diferencial que describe la temperatura T del fluido circundante en función de r, la distancia desde el centro de la esfera. La conductividad calorífica k del fluido es constante. b) Integrar la ecuación diferencial y utilizar las siguientes condiciones límite, para determinar las constantes de integración. CL1: para Rr  RTT  CL2: para r  TT Entradas Salidas rrqr  2 4  rrrqr   2 4      00 10 0 4 44 044 2 22 22 22 22                          dr qrd r qrqr r qrqr r qrqr qrqr rr rrrr rrrrr rrrrr rrrrr    Se sustitye qr por la ley de Fourier       2 1 21 2 1 1 2 2 2 0 0 C rk C T drr k C dT dr rk C dT C dr dT kr dr dr dT krd dr dT kr dr d dr dT kqr                          
  • 19.
    Problemario de Fenómenosde Transporte M. en C. María Guadalupe Ordorica Morales Se aplican las condiciones iniciales CL1: para Rr  RTT  CL2: para r  TT                                  r R TTTT T rk RkTT T RkTTC T Rk C T CTC k C T C Rk C T R R R R R 1 1 22 1 2 1 Se sustituye en la ley de Fourier para obtener una ecuación para qr                            2 r R TTkq r R TTT dr d kq dr dT kq Rr Rr r
  • 20.
    Problemario de Fenómenosde Transporte M. en C. María Guadalupe Ordorica Morales 13. Calentamiento viscoso en el flujo a través de una rendija Deducir una expresión para la distribución de temperatura T(x) en un fluido viscoso que circule con flujo laminar por el espacio comprendido entre dos grandes láminas paralelas tal como se indica en la figura. Ambas láminas se mantienen a temperatura constante T0. Téngase en cuenta el calor generado por disipación viscosa. Desprecie la variación de k y μ con la temperatura. De las ecuaciones de variación (coordenadas rectangulares)                                                                                                         222 222 2 2 2 2 2 2 2 y v z v x v z v x v y v z v y v x v z T y T x T k z T v y T v x T v t T pC zyzxyx zyx zyxv   quedando                                                               x b V kx T b V kx T x b V x T k b V x v V b x v x v x T k b b b bz bz z 2 2 2 2 2 2 2 2 0     21 2 2 1 2 1 2 2 CxCx b V k T xCx b V k T Cx b V kx T b b b                                     Se aplican condiciones límite 12 01 0 TTbxCL TTxCL  
  • 21.
    Problemario de Fenómenosde Transporte M. en C. María Guadalupe Ordorica Morales                                    b V k C b TT b V k C b V k TT C TbCb b V k T CL CT CL bobb bo o b o 2 1 2 1 2 1 1 1 2 2 1 2 2 1 22 2 2    Se sustituyen valores de C1 y C2                           b x b x V k TT Tx b V k x b V k T bo o bb 1 2 1 22 2 2 2 2  
  • 22.
    Problemario de Fenómenosde Transporte M. en C. María Guadalupe Ordorica Morales 14. Temperatura máxima de un lubricante Un aceite actúa como lubricante de dos superficies cilíndricas como las de la figura. La velocidad angular del cilindro exterior es de 7908 rpm. El radio del cilindro exterior es de 5.06 cm y la luz entre los 2 cilindros, 0.027 cm ¿Cuál es la máxima temperatura en el aceite si se sabe que la temperatura de ambas paredes es de 70 °C? Las propiedades físicas del aceite son: Viscosidad 92.3 cp Densidad 1.22 g/cm3 Conductividad calorífica 0.0055 cal/s cm °C Del problema anterior, aplicando las ecuaciones de variación se obtiene 21 2 2 1 2 1 2 2 2 2 2 2 2 2 2 2 0 CxCx b V k T xCx b V k T Cx b V kx T x b V kx T b V kx T x b V x T k b V x v V B x v x v x T k b b b b b b bz bz z                                                                                                       Se aplican condiciones iniciales b o TTbxCL TToxCL   2 1                                    b V k C b TT b V k C b V k TT C TbCb b V k T CT bobb bob o b b o 2 1 2 1 2 1 1 2 2 2 22 2 2    Se sustituyen valores de C1 y C2                           b x b x V k TT Tx b V k x b V k T bo o bb 1 2 1 22 2 2 2 2  
  • 23.
    Problemario de Fenómenosde Transporte M. en C. María Guadalupe Ordorica Morales 15. Transmisión de calor en el acoplamiento de una barra de combustible nuclear. Considere una barra larga de combustible nuclear que esta rodeada por una plancha anular de un revestimiento de aluminio, tal como se indica en la figura. Debido al proceso de fisión, se produce calor en el interior de la barra de combustible; el desarrollo de calor depende de la posición, variando la intensidad del manantial calorífico de acuerdo con la expresión aproximada:                2 0 1 F nn R r bSS Siendo Sn0 el calor producido por unidad de volumen y unidad de tiempo para r=0, y r la distancia desde el eje de la barra de combustible, si la superficie externa de la vaina de aluminio esta en contacto con un liquido regrigerante cuya temperatura es Tr y el coeficiente de transmisión de calor en la interfase vaina-refrigerante es hL. Las conductividades caloríficas de la barra y la vaina son kF y kC. Balance 1 (Barra de combustible) Entradas Salidas rrqLr 2 rrrqLr   2 Volumen SnrLr 2   r Cr SnqC r Snqr drrSndqr Snr dr dq rSnr r qrqr Snr r qrqr rL SnrLr rL qLrqLr SnrLrqLrqLr rr r rr rrrr rrrrr rrrrr rrrrr 1 1 2 22 22 1 2 2 2 22 0222                                 
  • 24.
    Problemario de Fenómenosde Transporte M. en C. María Guadalupe Ordorica Morales Se aplican condiciones límite Ff r TTRrCL qrCL   2 1 00  22 22 2 2 2 2 2 2 1 4 44 4 4 4 2 2 . 2 0 rR k Sn TT R k Sn Tr k Sn T R k Sn TC CR k Sn T Cr k Sn T drr Sn dTk r Sn dr dT k dr dT kq r Snq C FF FF FF FF r r            Balance 2 (Revestimiento de Aluminio) Entradas Salidas rrqLr 2 rrrqLr   2   r C qCqr drdqr dr dq r r qrqr r qrqr rL qLrqLr qLrqLr rr r rr rrrr rrrrr rrrrr rrrrr 3 3 22 0 00 10 0 2 22 022                             
  • 25.
    Problemario de Fenómenosde Transporte M. en C. María Guadalupe Ordorica Morales 4 3 3 3 ln Cr k C T r dr CdTk r C dr dT k dr dT kqr      Se aplican condiciones límite cc Ff TTRrCL TTRrCL   4 3                                                                           r R R R TT TT R R R TT Tr R R TT T R R R TT TC R k R R TTk TC R R TTk C RR k C R k C R k C TT R k C TR k C T R k C TC R k C TC ecuacionesambasdeCoDespenjand CR k C T CR k C T f f c cF F f f c cF F f c cF f f c cF F f f c cF F f c cF fcfccF ccfF cc fF cc fF ln ln ln ln ln ln ln ln ln ln ln lnlnlnln lnln ln ln ln ln 4 4 3 333 33 3 4 3 4 4 4 3 4 3 Balance 3 (Refrigerante)
  • 26.
    Problemario de Fenómenosde Transporte M. en C. María Guadalupe Ordorica Morales 16. Conducción de calor un anillo circular El calor fluye a través de una pared anular cuyo radio interno es r0 y el externo r1. La conductividad calorífica varía linealmente con la temperatura desde k0 a la temperatura T0 hasta k1 a la temperatura T1. Deducir una expresión para el flujo de calor a través de la pared situada en r = r0. Entradas Salidas rrqLr 2 rrrqLr   2   r C qCqr drdqr dr dq r r qrqr r qrqr rL qLrqLr qLrqLr rr r rr rrrr rrrrr rrrrr rrrrr 1 1 22 0 00 10 0 2 22 022                              2 1 1 1 ln Cr k C T r dr CdTk r C dr dT k dr dT kqr      Se aplican condiciones límite 1112 1 kkTTrrCL kkTTrrCL ooo  
  • 27.
    Problemario de Fenómenosde Transporte M. en C. María Guadalupe Ordorica Morales                                                                                                                             r k r r TT q r r r TT Tr r r k TTk dr d kq dr dT kq Tr k k r r r TT T r r r TT Tr r r k TTk T r r r TT TC r k r r TTk TC r r TTk C rr k C TT r k C Tr k C T ecuaciónprimerlaensustituyeSe r k C TC ecuaciónsegundaladeCoDespenjand Cr k C T Cr k C T o o r o o o r r o o o o o o o o oo o o o o o o 1 1 1 1 1 1 1 101 1 1 1 0 1 1 1 1 1 1 1 101 1 1 1 12 1 1 0 1 1 12 0 1 11 1 1 1 1 1 1 1 3 1 1 1 1 3 12 2 21 1 1 1 2 1 ln ln ln ln ln lnln ln ln ln ln ln ln ln ln ln ln lnln lnln ln ln ln
  • 28.
    Problemario de Fenómenosde Transporte M. en C. María Guadalupe Ordorica Morales           1 11 21 21 1 11 1 1 lnln2 2 2 lnln2 2 ln 2                               oo oo o o rrLTT kk Q kk k rrLTTkQ Lr r k r r TT Q LrA AqQ     o o o o rr r r r rr     1 1 1 1 0
  • 29.
    Problemario de Fenómenosde Transporte M. en C. María Guadalupe Ordorica Morales 17. Estimar DAB para el sistema argón-oxígeno a 293.2 K y 1 atm de presión total. Utilizar Tc (K) Pc (atm) M  (Å) K/ (K) A- Argón 151 48 39.94 3.418 124 B - Oxigeno 154.4 49.7 32 3.433 113 a) La ecuación de Slattery         P MM TTPP TT T D TT T MM TTPP DP BA cBcAcBcA cBcA AB cBcA BA cBcAcBcA AB 2 1 12 5 3 1 823.1 4 823.1 4 2 1 12 5 3 1 11 10745.2 10745.2 11                                           s cmD D BA AB 2 2 1 12 5 3 1 823.1 4 1888.0 32 1 94.39 1 4.1541517.4948 4.154151 2.293 10745.2                 b) La ecuación de Chapman - Enskog KKK Donde P MM T D BAAB BA AB ABAB BA AB                 2 : 11 0018583.0 2 3    4769.2 3722.118 2.293 3722.118114124 4255.3 2 433.3418.3          AB AB AB TK K  Se interpola con los valores siguientes AB TK   AB   002464.19996.040.24769.2 40.250.2 012.19996.0    AB 2.40 1.012 2.50 0.9996
  • 30.
    Problemario de Fenómenosde Transporte M. en C. María Guadalupe Ordorica Morales         s cmD D AB AB 2 2 3 1881.0 0024644.14255.31 32 1 94.39 1 2.293 0018583.0          
  • 31.
    Problemario de Fenómenosde Transporte M. en C. María Guadalupe Ordorica Morales 18. Estímese DAB para una mezcla constituida por 80 moles por ciento de metano y 20 moles por ciento de etano a 136 atm y 313 K. El valor experimental de (PDAB)° a 293 K es 0.163 atm cm2 /s. Tc (K) Pc (atm) xi A-Metano 190.5 45.8 0.8 B -Etano 305.4 48.2 0.2           s cmatm DP T DPDP s cmatm DP atmP KT Datos KAB b KABTAB KAB 21823.0 313 293 2 293 1838.0 293 313 163.0 293 163.0 136 313                    4667.1 4.213 313 ' ' 938.2 28.46 136 ' ' 4.213' 28.46'       c r c r ciic ciic T T T P P P KTxT atmPxP
  • 32.
    Problemario de Fenómenosde Transporte M. en C. María Guadalupe Ordorica Morales     s cm atm s cmatm D DP DP AB AB AB 2 4 2 108657.9 136 1838.073.0 73.0              
  • 33.
    Problemario de Fenómenosde Transporte M. en C. María Guadalupe Ordorica Morales 19. Se conoce el valor de DAB (0.151 cm2 /s) para el sistema CO2 –aire a 293 K y 1 atm. Extrapólese DAB para 1500 K utilizando los métodos siguientes. Tc (K) Pc (atm) M  (Å) K/ (K) A- CO2 304.2 72.9 14.01 3.996 190 B - Aire 132 36.4 28.91 3.617 97.0 a) Ecuación de Slattery.         P MM TTPP TT T D TT T MM TTPP DP BA cBcAcBcA cBcA AB cBcA BA cBcAcBcA AB 2 1 12 5 3 1 823.1 4 823.1 4 2 1 12 5 3 1 11 10745.2 10745.2 11                                           s cmD D BA AB 2 2 1 12 5 3 1 823.1 4 2956.2 91.28 1 01.14 1 1322.3044.369.72 1322.304 1500 10745.2                 b) Ecuación de Chapman - Enskog KKK Donde P MM T D BAAB BA AB ABAB BA AB                 2 : 11 0018583.0 2 3    0491.11 3722.118 2.293 7571.13597190 8065.3 2 617.3996.3          AB AB AB TK K  Se interpola con los valores siguientes AB TK   AB   7341.07424.0100491.11 1020 7424.06640.0    AB 10.0 0.7424 20.0 0.6640
  • 34.
    Problemario de Fenómenosde Transporte M. en C. María Guadalupe Ordorica Morales         s cmD D AB AB 2 2 3 4297.2 7341.08065.31 91.28 1 01.44 1 1500 0018583.0           c) Gráfico de Slattery                 8775.6 1.218 1500 ' ' 1829.0 65.54 1 ' ' 1.2181325.02.3045.0' 65.544.365.09.725.0'       c r c r ciic ciic T T T P P P KTxT atmPxP No es posible obtener un valor para    AB AB DP DP ya que la gráfica es para gases densos, y se está trabajando con un gas ideal, además de que el valor de Tr obtenido no se encuentra en el gráfico.
  • 35.
    Problemario de Fenómenosde Transporte M. en C. María Guadalupe Ordorica Morales 20. Difusión de metano a través de helio Un tubo contiene CH4 y He gaseoso a 101.32 kPa de presión y 298 K. En un punto, la presión parcial del metano es PA1 = 60.79 kPa y en otro 0.02 m de distancia PA2 = 20.26 kPa. Si la presión total es contante en todo el tubo. Calcule el flujo específico de CH4 (metano) en estado estacionario para contradifusión equimolar. P1 = 101.32 kPa = 1 atm T = 298 K Tc (K) Pc (atm) M  (Å) K/ (K) A- CH4 190.7 45.8 16.04 3.822 137 B - He 5.26 2.26 4.003 2.576 10.2         P MM TTPP TT T D TT T MM TTPP DP BA cBcAcBcA cBcA AB cBcA BA cBcAcBcA AB 2 1 12 5 3 1 823.1 4 823.1 4 2 1 12 5 3 1 11 10745.2 10745.2 11                                           s m cm m s cm D D BA AB 2 5 2 22 2 1 12 5 3 1 823.1 4 106334.7 10000 1 76334.0 003.4 1 04.16 1 26.57.19026.28.45 26.57.190 298 10745.2                                 sm molkg N PP PP zzTR PD N A A AAB A                            2 4 5 1 2 12 100818.1 60790101325 20260101325 ln 02.02983.8314 101325106334.7 ln        sm molkg J NxNJ NN C C NJ A A AAAA BA A AA       2 544 10409.5100818.15.0100818.1 Z1= 0 PA1 = 60.71 kPa Z2= 0.02 m PA1 = 20.26 kPa
  • 36.
    Problemario de Fenómenosde Transporte M. en C. María Guadalupe Ordorica Morales 21. Contradifusión equimolar de NH3 y N2 en estado estable. A través de un tubo recto de vidrio de 2.0 ft (0.610 m) de longitud con diámetro interno de 0.080 ft (24.4 mm). Se produce una contradifusión de amoniaco gaseoso (A) y nitrógeno gaseoso (B) a 298 K y 101.3 kPa. Ambos extremos del tubo están conectados a grandes cámaras de mezclado colocadas a 101.32 kPa. La presión parcial de NH3 en una cámara es constante e igual a 20.0 kPa y en la otra cámara la presión es 6.666 kPa. La difusividad a 298 K y 101.32 kPa es 2.30 x10-5 m2 /s. mL kPaP kPaP A A 61.0 666.6 0.20 2 1    a) Calcule la difusión del NH3 en lb mol/h y kg mol/s              h mollb h s kg lb s molkg s molkg m sm molkg AN mrA sm molkg N PP PP zzTR PD N A A A AAB A                                                          710 1024 2 7 2422 2 7 5 1 2 12 10688.8 1 3600 1 2046.2 100946.1 100946.1106759.4103411.2 106759.40122.0 103411.2 20000101325 6666101325 ln 61.02983.8314 1013251030.2 ln  b) Calcule la difusión del N2 BA NN  c) Calcule las presiones parciales en un punto situado a 1.0 ft (0.305 m) en el tubo y grafíquese PA, PB y P en función de la distancia z   PaPaP kPaP 4 1033.113333 333.1320305.0 61.0 20666.6     PA1 PB1 PA2 PB2 L z1 z2 → NA NB ← x z
  • 37.
    Problemario de Fenómenosde Transporte M. en C. María Guadalupe Ordorica Morales 22. Difusión de A a través de B en reposo y efecto del tipo de límite sobre el flujo específico. Se difunde amoniaco gaseoso a través de N2 en estado estacionario, donde N2 es el gas que no se difunde, puesto que es insoluble en uno de los límite. La presión total es 1.013 x105 Pa y la temperatura marca 298 K. La presión parcial de NH3 e un punto es 1.333 x104 Pa y en el otro punto, situado a una separación de 20 mm es 6.666 x103 Pa. El valor de DAB para la mezcla a 1.013 x105 Pa es 2.30 x10-5 m2 /s. a) Calcule el flujo específico de NH3 en kg mol/s m2          sm molkg N PP PP zzTR PD N PaP PaP KT PaP s m D Datos A A AAB A A A AB                                  2 6 3 45 1 2 12 3 2 4 1 5 2 5 104332.3 10666.6101325 10333.1101325 ln 02.02983.8314 1013251030.2 ln 10666.6 10333.1 298 10013.1 1030.2 : b) Haga lo mismo que en (a) pero suponiendo que el N2 tambien se difunde, esto es, ambos límites son permeables a los dos gases y el flujo específico es una contradifusión equimolar. ¿En qué caso es mayor al flujo específico?                sm molkg N zz PP RT D N PP RT D zzN P RT D zN z P RT D NNN NN C C z x cDN A AAAB A AA AB A P P A AB z z A AAB ABA BA AA ABA A A                  2 6 435 12 12 1212 100931.3 02.0 10333.110666.6 2983.8314 1030.2 dd d d 0 d d 2 1 2 1 La difusión es mayor en el caso planteado en el primer inciso.
  • 38.
    Problemario de Fenómenosde Transporte M. en C. María Guadalupe Ordorica Morales 23. Sublimación de pequeñas esferas de yodo en aire estático Una esfera de yodo, 1 cm de diámetro, se encuantra en aire estático a 40 °C y a 747 mmHg de presión. A esta temperatura la presión de vapor del yodo es de 1.03 mmHg. Se desea determinar la difusividad del sistema yodo-aire midiendo el índice de sublimación. Estimar la difusividad para el sistema aire-yodo a la temperatura y presión dadas anteriormente. atmmmHgP KCT Datos 9828.0747 15.31340 :   Tc (K) M  (Å) K/ (K) A-Aire 132 28.7 3.617 97.0 B - Yodo 800 253.82 4.982 550 KKK Donde P MM T D BAAB BA AB ABAB BA AB                 2 : 11 0018583.0 2 3    3557.1 9761.230 15.313 9761.23055097 2995.4 2 982.4617.3          AB AB AB TK K  Se interpola con los siguientes valores AB TK   AB   25072.1253.135.13557.1 35.140.1 253.1233.1    AB 1.35 1.253 1.40 1.233         s cmD D AB AB 2 2 3 08925.0 25072.12995.49828.0 82.253 1 7.28 1 15.313 0018583.0          
  • 39.
    Problemario de Fenómenosde Transporte M. en C. María Guadalupe Ordorica Morales 24. Deducción alternativa de la difusión a través de una película estancada. En las ecuaciones (1) se obtuvo una expresión para calcular la velocidad de evaporación al diferenciar el perfil de concentración encontrado anteriormente. Demostrar que los mismos resultados pueden deducirse sin tener que encontrar el perfil de concentración. Nótese que en estado estacionario NAz es una constante según la ecuación (2), luego la ecuación (3) puede integrarse para obtener la ecuación (1).             1 2 1211 ln d d d d 1 11 1 B BAB zz B B AB zz A A AB zzAz x x zz cD z x x cD z x x cD N --------- (1) 0 d d  z NAz ------- (2) z x x cD N A A AB Az d d 1  --------- (3) Balance Entradas - Salidas = 0 zAzNS  - zzAzNS   = 0             igualanseyambasdeCdespejaSe CxcDzC CxcDzC xxzzC xxzzC sCondicione CxcDzC x x cDzC z x x cD C z x x cD NFickdeLeyPor CN zN z N z NN zS NSNS AAB AAB AA AA AAB A A AB A A AB A A AB AZ AZ Az AZzAzzzAz z zzAzzAz 2 2221 2111 222 111 21 1 1 1 0 51ln 41ln 1ln 1 d d d d 1 d d 1 d0d 0 d d 0lim 1 0                                                                           1 2 12 1 2 12 1 12121 12121 2212 1112 ln ln lnln 11 1ln1ln 1ln 1ln B BAB Az B BAB BBAB ABBA AAAB AAB AAB x x zz cD N x x zz cD C xxcDzzC xxxx xxcDzzC xcDzCC xcDzCC
  • 40.
    Problemario de Fenómenosde Transporte M. en C. María Guadalupe Ordorica Morales 25. Efecto de la transferencia de masa en perfiles de concentración a) Combine los resultados de las siguientes ecuaciones para obtener             AB Az A A cD zzN x x 12 1 exp 1 1 (1) -------         1 2 12 ln B BAB Az x x zz cD N                           12 1 1 2 1 1 1 1 1 zz zz A A A A x x x x ---------- (2)     ecuacionesambasigualanSe cD zzN x x x x zz cD x x zz cD N ecuaciónlaDe zz zz x x x x zz zz x x x x AB Az A A A AAB B BAB Az A A A A A A A A 12 1 2 1 2 121 2 12 12 1 1 1 2 12 1 1 2 1 1 1 ln 1 1 lnln 1 1 1 ln 1 1 ln 1 1 ln 1 1 ln                                                                                                                                                                        AB Az A A AB Az A A AB Az A A AB Az A A A A AB Az cD zzN x x cD zzN x x xponenteseAplicando cD zzN x x zz zz cD zzN x x zz zz x x cD zzN 1 1 1 1 1 1 12 112 1 12 1 112 exp 1 1 exp 1 1 lnexp 1 1 ln 1 1 ln 1 1 ln b) Obtener el mismo resultado del inciso anterior integrando: z x x cD N A A AB Az d d 1              AB Az A A A A ABAz AABAzAABAz AABAz AA AABAz A A ABAz cD zzN x x x x cDzzN xcDzNxcDzN xcDzNC xxzz sCondicione CxcDzN x x cDzN 1 1 1 1 11 111 11 1 1 1 ln 1 1 ln 1ln1ln 1ln 1ln 1 d d                                                                    AB Az A A AB Az A A cD zzN x x cD zzN x x esxponencialeAplicando 1 1 1 1 exp 1 1 exp 1 1 lnexp
  • 41.
    Problemario de Fenómenosde Transporte M. en C. María Guadalupe Ordorica Morales 26. Determinación de la difusividad de un gas mediante dos bulbos (Análisis en estado cuasiestático) Una manera de medir las difusividades de un gas es mediante dos bulbos. El bulbo izquierdo y el tubo desde z=-L hasta z=0 son llenados con gas A. El bulbo derecho y el tubo desde z=0 hasta z=+L son llenados con el gas B. Al tiempo t=0, la valvula es abierta, y la difusión empieza, luego la concentración de A en ambos bulbos cambia. Uno mide xA + en función del tiempo, y de esta manera se deduce DAB. Se desea encontrar las ecuaciones que describan dicha difusión. Ya que los bulbos son largos en comparación con el tubo, xA + y xA cambian lentamente con el tiempo. Por lo tanto la difusión en el tubo puede ser tratada como un problema de estado cuasiestático, con las condiciones de frontera xA=xA - z=-L y xA=xA + z=+L a) Escriba un balance molar de A en un segmento Δz del tubo (de un área transversal S) y demuestre que NAz=C1   1 0 d0d 0 d d 0lim 1 0 CN zN z N z NN zS NSNS AZ Az AZzAzzzAz z zzAzzAz                  b) Demuestre que la ecuación  BzAzA A ABAz NNx z x cDN     se simplifica, para este problema en z x cDN A ABAz d d  De acuerdo con la Ley de Fick   z x cDN NNx z x cDN A ABAz BzAzA A ABAz d d      c) Integre la ecuación del inciso b), usando respuesta de a) obtenga C2 AAB AAB AAB A AB xcDzCC CxcDzC xcDzC z x cDC      12 21 1 1 dd d d z=0 z=-L z=+L x- =1-xA + xA + (t) 0
  • 42.
    Problemario de Fenómenosde Transporte M. en C. María Guadalupe Ordorica Morales d) Evalue la constante con la condiciones de frontera.                                                    A AB Az Az A AB AAB AAB AAAB AABAAB AABAAB AAB AAB AAB AAA AA x L cD N cN x L cD C L xcD C xcDCL xxcDCL xcDxcDLCLC xcDLCxcDLC xcDLCC xcDLCC xcDzCC Lzxxx Lzxx 2 1 2 1 2 21 212 12 1 1 1 1 1 1 1 1 1 11 11 12 12 12
  • 43.
    Problemario de Fenómenosde Transporte M. en C. María Guadalupe Ordorica Morales Referencias Bennett, O, Myers, J.E. Transferencia de cantidad de movimiento, calor y materia (tomos 1 y 2). Reverte, México, 2ª, edición,1998 Bird, R., Byron, W.E., Stewart, E.N., Lightfoot. Fenómenos de transporte, un estudio sistemático de los fundamentos del transporte de materia, energía y cantidad de movimiento. Reverte, México, 1ª. Edición, 1993. Garcell Pyans, L. Transferencia de cantidad de movimiento, calor y masa. Ministerio de educación Superior de Cuba – IPN. México 1998. Geankoplis Ch. J., Procesos de transporte y principios de procesos de separación. Compañía Editorial continental, cuarta Edición México, 2006. Treybal, J.C. Operaciones de transferencia de masa. Mc. Graw Hill, Mèxico, 1980. Welty, J.R. Fundamentos de transferencia de momento, calor y masa. Limusa, México 1972.