1- 1
CAPÍTULO I
MECANICA DE FLUIDOS Y SUS PROPIEDADES
Problema 1.1. Una placa localizada a una distancia de 0,5 mm de una placa fija se
mueve a una velocidad de 0,25 m/s y requiere una fuerza por unidad de área de 2 Pa
(N/m²) para mantener esta velocidad. Determinar la viscosidad fluida de la sustancia
entre las placas, en unidades SI.
Problema 1.2. Una muestra de gasolina de masa 450 kg se encuentra almacenada en un
tanque ¿Cuál es su peso en Newton y en libras en la superficie de la tierra? ¿Cuál sería
la masa y el peso si estuviera localizada en la superficie de la luna donde la aceleración
local debida a la gravedad es aproximadamente 1/6 de la correspondiente a la superficie
de la tierra?
Problema 1.3. En un mismo sitio y en el mismo instante de tiempo se tomaron tres
muestras de aguas residuales; después de analizarlos en el laboratorio se obtuvieron los
siguientes resultados:
Muestra Volumen (mL) Masa de sólidos suspendidos (g)
1 75 23,0
2 83,2 35,6
3 80,0 Vidrio roto
Las tres muestras tienen la misma densidad (ρ) y la primera contiene sólidos con una
densidad relativa de 1,93. Encontrar la densidad ρ y las concentraciones de los sólidos
1- 2
suspendidos en las muestras. Tomar la fracción de masa de sólidos en la muestra tres,
como el promedio de las primeras dos.
Problema 1.4. En una planta de procesamiento de jugos y conserva de frutas, se
produce una mezcla de jugo concentrado de naranja, piña y kiwi mediante el paso de
una mezcla de jugo fresco a través de un evaporador. Las fracciones de masa de los
sólidos contenidos en la mezcla son:
6,7%
4,35%
7,83%
naranja
piña
kiwi
x
x
x
=
=
=
En el evaporador se elimina agua y la fracción de masa total de sólidos se incrementa a
48,45%
t
x =
Si la mezcla de jugo fresco conduce al evaporador un caudal de masa de 850 kg/h (1,43
m³/h), determinar:
a) La concentración de naranja, piña y kiwi en el jugo fresco.
b) La concentración de naranja, piña y kiwi en el jugo concentrado.
c) La densidad del jugo fresco.
d) La densidad del jugo concentrado.
Problema 1.5. Se sabe que la viscosidad del clorobenceno a 20ºC es igual a 0,9 cP y a
50ºC es de 0,60 cP. Aprovechando la ecuación de Andrade, ¿Cuál será el valor de la
viscosidad del clorobenceno a 70ºC? Sugerencia: Con los datos experimentales
primeramente determine las constantes a y b.
Ecuación de Andrade:
exp
b
a
T
µ
 
=  
 
Problema 1.6. Los datos del flujo de agua por un capilar son los siguientes:
Longitud = 10,05 m
Diámetro interno = 0,0141 m
T = 10ºC
1- 3
Volumen del agua = 13,3410 m³
Tiempo de escurrimiento del flujo = 35505,75 s
∆P = 385,87 mmHg
Determinar el valor experimental de la viscosidad del agua en centipoises y compárelo
con los valores de las tablas.
Problema 1.7. Un aceite está siendo bombeado en el interior de un tubo de 10 mm de
diámetro con un Número de Reynolds de 2100. La densidad del aceite es 855 kg/m³ y la
viscosidad es 2,1 x 10-2
Pa.s.
a) ¿Cuál es la velocidad en la tubería?
b) Es necesario mantener el mismo Número de Reynolds de 2100 y la misma
velocidad como en la parte (a) utilizando un segundo fluido con una densidad de
925 kg/m³ y una viscosidad de 1,5 x 10-2 Pa.s. ¿Cuál debería ser el diámetro de la
tubería a utilizar?
Problema 1.8. Al analizar una muestra de agua residual en el laboratorio, se obtuvieron
los siguientes datos:
Muestra Volumen (mL) Masa de sólidos suspendidos (g)
1 85 85,43
Si la densidad relativa de los sólidos suspendidos es 1,58, determinar el volumen y la
concentración de los sólidos suspendidos, así como la densidad de la muestra del agua
residual.
Problema 1.9. Un gas a 20ºC y a 0,2 MPa abs tiene un volumen de 40 litros y una
constante de gas R = 210 mN/kg.K. Determinar la densidad y la masa del gas.
Problema 1.10. Una represa contiene una mezcla de dos componentes, agua y
sedimentos. La densidad del agua es ρω y la de las partículas de sedimento es ρS.
Suponiendo mezcla completa, encontrar la densidad de la mezcla, ρm. Si la fracción de
masa del sedimento es ωS.
1- 4
Problema 1.11. En un viscosímetro de caída de bola, se permite que una bola de acero
de 1,6 mm de diámetro caiga libremente en aceite combustible pesado que tiene una
gravedad específica de 0,94. El acero pesa 77 KN/m³. Si se observa que la bola cae
250mm en 10,4 s. Calcule la viscosidad del aceite.
Problema 1.12. En un viscosímetro de cilindro rotatorio, denominado viscosímetro
Stormer, se usa la caída de un peso W para hacer que el cilindro con una velocidad
angular ω, como se muestra en la figura. Para este dispositivo la viscosidad del líquido
µ está relacionada con W y ω a través de la ecuación W=k. µ. ω, donde k es una
constante que depende sólo de la geometría (incluyendo la profundidad del líquido) del
viscosímetro. El valor de k suele determinarse usando un líquido de calibración (un
líquido cuya viscosidad es conocida).
a) A continuación se dan algunos datos para un viscosímetro Stormer particular,
obtenidos usando glicerina a 20ºC como líquido de calibración, graficar los valores
del peso en el eje de las ordenadas y los valores de las velocidades angular en el eje
de las abscisas. Trazar la mejor curva que pase por los puntos graficados y
determinar k para el viscosímetro en cuestión.
1- 5
W (lb) 0,22 0,66 1,10 1,54 2,20
ω(rps) 0,53 1,59 2,79 3,83 5,49
b) Un líquido de viscosidad desconocida se coloca en el mismo viscosímetro del enciso
(a), y se obtienen los datos que se muestran enseguida. Determinar la viscosidad de
este líquido.
W(lb) 0,04 0,11 0,22 0,33 0,44
ω(rps) 0,72 1,89 3,73 5,44 7,42
Problema 1.13. Un tanque cilíndrico abierto contiene 4 m3
de agua a 40 o
C. Durante el
periodo de 4 horas la temperatura del agua varía desde 40 o
F a 90 o
F. Haciendo uso de
los datos para el agua determine cuanto volumen de agua cambiara. Para un tanque de
diámetro de 2 pies, el corresponder cambio en la profundidad del agua podría ser muy
notable?. Explicar.
Problema 1.14. La información sobre un tarro de conserva indica que la conserva
contiene 335 ml. La masa de la conserva del tarro es 0,369 kg mientras el tarro vacio
pesa 0,153 N. determine el peso especifico, densidad, y la gravedad especifica de la
conserva y compare sus resultados con el valor correspondiente de agua a 20 o
C.
Expresar sus resultados en sistema de unidad internacional SI.
Problema 1.15. Calcular el número de Reynolds para el flujo de agua y aire a través de
una tubería de 3 mm de diámetro, si la velocidad media es 3,0 m/s y la temperatura es
30 o
C en ambos casos. Suponga que el aire se encuentra a la presión atmosférica
estándar.
Problema 1.16. a) Estimar la presión mínima absoluta (en pascal) que puede
desarrollarse a la entrada de la bomba para evitar la cavitación si el fluido es
tetracloruro de carbono a 20 o
C.
b). Cuando el agua fluye a 70 o
C a través de una sección convergente de la tubería, la
presión se reduce en la dirección de flujo. Estimar la presión mínima absoluta que
puede desarrollarse sin que cause la cavitación. Expresar su respuesta en unidades
británicas y SI
1- 6
Problema 1.17. (a) El agua muestrado en la siguiente figura es soportado sobre la
superficie de una laguna por la superficie de tensión que actúa a lo largo de la interfase
entre el agua y las patas de lug. Determine la longitud mínima de esta interfase
necesario para soportar el bug. Suponer que el bug pesa 1x10-4
N y la fuerza de tensión
superficial actúa verticalmente hacia arriba. (b) repetir parte (a) si la tensión superficial
fuera el soporte de una persona que pesa 750 N
1- 7
CAPÍTULO I
SOLUCIÓN DE PROBLEMAS
Problema 1.1.
Utilizando la ecuación de la Ley de Newton de la viscosidad:
3
0,5 10 0,25
0 0
3
1
(0,5 10 ) (0,25
.....................
0) /
(5 ....
00) (1)
y B x v
y v
dv F
dy A
dy dv
x m m s
s
τ µ
τ µ
τ µ
τ µ
−
= = =
= =
−
−
 
= − =
 
 
= −
= − −
= −
∫ ∫
Por dato del problema sabemos que el esfuerzo cortante es igual a:
2
.....................
2 (2)
....
F N
A m
τ = =
Luego reemplazando en (2) en (1):
2
1 2 2 2
2 / . .
0.004 0.004 . 0.004
500 500 .
N m N s kg m s kg
s m s m m s
τ
µ −
= = = = =
Finalmente la viscosidad fluida de la sustancia entre las placas es:
0.004
.
kg
m s
µ =
1- 8
Problema 1.2.
Calculando el peso de la muestra de gasolina en la superficie de la tierra:
( ) 2 2
.
450 9,81 4414,5 . 4414,5
W m g
m m
W kg kg N
s s
=
 
= = =
 
 
Así, 450 kg de gasolina pesan 4414,5 N.
( ) 2 2 2
1
2,20462
450 32,174 31919,14975 . 992,079
1 32,174 . /
f
m
m f
m
lb
lb ft ft
W kg lb lb
kg s s lb ft s
 
  
= = =
 
  
 
   
Así, 450 kg de gasolina pesan 992,079 lbf.
La masa de la muestra de gasolina es la misma tanto en la superficie de la tierra como
en el de la superficie de la luna.
Calculando el peso de la muestra de gasolina en la superficie de la luna:
( ) 2 2
.
1
450 9,81 735,75 . 735,75
6
W m g
m m
W kg kg N
s s
=
  
= = =
  
  
Así, 450 kg de gasolina pesan 735,75 N en la superficie de la luna.
( ) 2 2 2
1
2,20462 1
450 32,174 5319,858291 . 165,3465
1 6 32,174 . /
f
m
m f
m
lb
lb ft ft
w kg lb lb
kg s s lb ft s
 
   
= = =
 
   
  
   
Así, 450 kg de gasolina pesan 165,3465 lbf en la superficie de la luna.
Problema 1.3.
Esquema:
De los datos del problema se sabe que: 1 2 3
ρ ρ ρ ρ
= = =
Cálculo de la densidad:
1- 9
2
2
1
1
. . . . :
H O s
t
t H O s
Por definición se sabe que
m m
m
V V V
ρ
+
= =
+
2
2
1
1
1 1
1 1
1 1
1
. . . .
...................... .
:
1,93, :
1,93 1
1,
. .
93
:
23
11,92
1,93
.
/
11
.
9
.
, 2
.
r
s
r s r H O
H O
r
s s
s s
s s
s
Como dato se sabe que
luego la densidad del sólido es
g
x x
mL
g
mL
Por otro lado
m m g
V mL
V g mL
V mL
Lueg
ρ
ρ
ρ ρ ρ ρ
ρ
ρ
ρ
ρ
=
= 
→ = =
=
= 
→ = = =
=
2 2
2
1 1 1 1
:
(75 11,92) 63,08
63,08
H O s H O s
H O
o
V V V V V V mL mL
V mL
= + 
→ = − = − =
=
2
2
2 2 2 2
2
2
2
1 1
1
1
:
: 1
1 63,08 63,08
63,08
:
(63,08 23,0) 86,08
86,08
:
. . . . .
.
86,08 1
1,14773
75,0
H O
H O
H O H O H O H O
H O
H O
t H O s
t
t
t
Cálculo dela masa de agua
g
Suponiendo
mL
m g
m xV x mL g
V mL
m g
Por tanto
m m m g g
m g
Luego
m g g
x
V mL mL
ρ
ρ ρ
ρ
=
= 
→ = = =
=
= + = + =
=
= = =
3
3 3 3
1 3
1 2 3 3
3
1 (100 )
1147,73
1000 1 1
1147,73
1147,73
1147,73
kg mL cm kg
x x
g cm m m
kg
m
kg
m
kg
m
ρ
ρ ρ ρ ρ
ρ
 
   
=
 
   
 
   
=
= = = =
=
Cálculo de la fracción 3:
1- 10
1
1
1
1
23
0,2671
.
...................
9
86,08
0,26719 (1
....
1:
)
..
s
t
m g
x
m g
x
Muestra
= = =
=
2
2
2 2
2
2 2 2
2
2
2
2
2
.
. .......................
..............
35,6
: 1,14773 83,2 95,49
95,49
:
35,6 35,6
0,37281
95,49
0,37281 (
...........
:
2
2
)
s
t t
t
t t t
t
t
t
m g
x
m m
m g
Por definición m xV x mL g
V mL
M
m g
Luego
g g
x
m g
x
uestra
ρ ρ ρ
= =
= = 
→ = = =
=
= = =
=
1 2
3
3
( ) (0,26719 0,37281)
0,3
.
.........
3
...................
2
2 2
0,32 ( )
:
.. 3
.
Muestra
x x
x
x
+ +
= = =
=
3
3
3 3 3 3
3
3
3 3 3
3
3
3 3 3
3
:
( ) ( )
( ) 1,14773 80 91,8184
91,8184
( ):
( ) 0,32(91,8184 ) 29,
.
.......................
38189
29
.
,38189
.
. .
s
s
s t
t
t
t t t
t
t
s t
s
Calculando m
m
x m x m
m
m g
m V x mL g
V mL
m g
Reemplazando en
m x m g g
m g
α
ρ ρ ρ
α
= 
→ =
= = 
→ = = =
=
= = =
=
Cálculo de la concentración:
Concentración de masa:
1- 11
3
1
1 3 3 3
1
3
2
2 3 3 3
2
3
3
3
23 1 1 (100 )
0,30667 306,67
75 1000 1 1
35,6 1 1 (100 )
0,42788 427,88
83,2 1000 1 1
29,38 1
0,36727
80
s
s
s
m g g kg mL cm kg
C
V mL mL g cm m m
m g g kg mL cm kg
C
V mL mL g cm m m
m g g k
C
V mL mL
 
  
= = = =
 
  
 
   
 
  
= = = =
 
  
 
   
= = =
3
3 3 3
1 (100 )
367,27
1000 1 1
g mL cm kg
g cm m m
 
  
=
 
  
 
   
Problema 1.4.
a) La concentración de naranja, piña y kiwi en el jugo fresco.
3 3
0,067
850
56,95
56,95 39,825175
1,43
0,0435
850
36
.........................
..............
,975
naranja naranja
naranja
total
naranja
naranja naranja
piña piña
piña
total
piña
m m
x
kg
m
h
kg
m
kg kg
h
m C
m
h V m
h
m m
x
kg
m
h
kg
m
h
= = =
= = = =
= = =
=
ɺ
3 3
3 3
36,975
25,856643
1,43
0,0783
850
66,555
66,555 46,
...........
....................... 541958
1,43
..
piña
piña
kiwi kiwi
kiwi
total
kiwi
kiwi kiwi
kg
m kg
h
C
m
V m
h
m m
x
kg
m
h
kg
m
kg kg
h
m C
m
h V m
h
= = =
= = =
= = = =
ɺ
ɺ
b) La concentración de naranja, piña y kiwi en el jugo concentrado:
1- 12
t
1
1
t
3
2 1 2
2 1 2 3
t
3
3
t
Si la fracción de masa total de sólidos se incrementa a x = 48,45% entonces se tiene:
m
= x
m
m
= x 0,4845 (*)
m
........ .............. ..
m
=
.... . ..
x
m
.. .
t t
t t t
m
m m
x x x x x
m m m






+ + = + + = =







1
2
3
56,95
36,975
66,555
Re (*) :
. .
naranja
piña
kiwi
kg
m m
h
kg
m m
h
kg
m m
h
emplazando en
= =
= =
= =
1 2 3
. .
.
. . . . .
. .
(56,95 36,975 66,555)
0,4845
:
331,2280
. . . . . . .
....
7
331,228 ...............
0 ..
7 . 4
..
t t
t
t masa total de sólidos suspendidos sol susp
sol susp
kg
m m m h
m m
Luego la masa total de sólidos suspendidos es
kg
m
h
m m m
m
+ +
+ +
= =
=
= =
=
. .
. .
.
.
..................................
...
8,45%
100%
: 683,649
.. 27
sol susp agua
sol susp agua
m m
kg
Luego m m
h
+
+ =
1- 13
. .
.
.
. .
': 48.45% : 5
............................
. . . .
....................
1,55%
:
51,55% 0,5155
0,5155
683,6492
...............
7
sol susp agua
agua
agua
sol susp agua
agua
sq x Entonces x
Calculando la masa del agua
m
x
m m
m
kg
h
= =
= = =
+
=
3
3
3
.
...................................
352,42120
352,42120
.. 0,35242
1000
0,35242
agua
agua agua
agua agua
agua agua
agua
kg
m
h
kg
m m m
h
V
kg
V h
m
m
V V
h
ρ
ρ
=
= = = =
= =
ɺ
3 3
3 3
Calculando la concentración de naranja, piña y kiwi en el jugo concentrado:
56,95
161,59696
0,35242
36,975
104,91743
0,35242
66,555
0,3
naranja
naranja
piña
piña
kiwi
kiwi
kg
m kg
h
C
m
V m
h
kg
m kg
h
C
m
V m
h
kg
m h
C
V
= = =
= = =
= =
ɺ
ɺ
ɺ 3 3
188,85137
5242
kg
m m
h
=
c) La densidad del jugo fresco.
3 3
3
:
850
594,40559
1,43
594,40559
. . . . .
JF
JF
JF
JF
Calculando la densidad del jugo fresco
kg
m kg
h
m
V m
h
kg
m
ρ
ρ
= = =
=
d) La densidad del jugo concentrado.
1- 14
3 3
3
:
683,64927
1939,87081
0,35242
1939,870
. . . .
8
.
1
JC
JC
JC
JC
Calculando la densidad del jugo concentrado
kg
m kg
h
m
V m
h
kg
m
ρ
ρ
= = =
=
Problema 1.5.
Ecuación de Andrade:
exp
b
a
T
µ
 
=  
 
Primero determinamos las constantes a y b
.
. ............
..............
20º : 0,9
0,9 .exp (1)
20 273,15
50º
...........
. ............
: 0,6
............
0,6 .exp (2)
50 273,1
.............
5
Para C cp
b
a
Para C cp
b
a
µ
µ
=
 
=  
+
 
=
 
=  
+
 
Reemplazando (2) en (1):
b = 1280.34288 , Conociendo b se determina a;
a = 0.01141421
Luego la ecuación de Andrade se expresa como:
1280,34288
0,01141421exp
( )
T K
µ
 
=  
 
70º :
(1280,34288)
(0,01141421).exp 0,476279777
70 273,15
.
Para C
cp
µ
 
= =
 
+
 
Finalmente la viscosidad del clorobenceno a 70ºC es:
..............................
=0,4762 ...
79777 Respuesta.
cp
µ
Contrastando este valor con el de la REFERENCIA: TABLA 3.45 HANDBOOK
( µ = 0,460cp) se tiene:
%error =[ (0,476-0,460)/ 0,460] x 100 = 3.48%
1- 15
Problema 1.6.
101325
1 ²
385,87 51445,1023
760 1 ²
N
atm N
m
p mmHg
mmHg atm m
 
 
 
∆ = =
 
 
  
 
 
2
..........................( )
32
:
:
: [ ³/ ]
:
. .
.
. . .[ ²]
flujo
flujo
p
D
L
v
Calculando la velocidad
Q
v
A
Donde
Q caudal m s
A área de flujo m
µ α
∆
 
 
 
=
=
4
4
:
13,3410 ³ ³
3,757
.
42 10
35505,75
( ²) (0,0141 ²) 1
.
,56145
.
10 ²
.
4 4
flujo
De acuerdo a los datos
V m m
Q x
t s s
A D m x m
π π
−
−
= = =
= = =
4
4
......
:
³
3,75742 10
2,40637 ( )
1,56145 10 ²
......................
( ) ( ) :
.
flujo
Luego
m
x
Q m
s
v
A x m s
Luego reemplazando en
β
β α
−
−
= = =
2
51445,1023
. ² (0,0141 )
10,05
0,013216
.
32(2,40637 )
1,32 ...........
1 ..
6 ................ Resp
.. uesta.
kg
m s m
m
kg
m m s
s
cp
µ
µ
 
 
 
 
 
= =
≈
Comparando con el valor dado por tablas (µ =1,25cp) se tiene:
1,32 1,25
% 100 5,6%
1,25
error x
−
= =
1- 16
Problema 1.7.
a) Cálculo de la velocidad en la tubería:
b) Diámetro de la tubería a utilizar:
3
2 2
Re 2100 ( )
5,158
925
1,5 10 . 1,5 10
.
. Constante
m
v
s
kg
m
kg
x Pa s x
m s
ρ
µ − −
=
=
=
= =
De la Ec. (1):
2
3
3
3
2100 1,5 10
. 6,60232 10
925 5,15789
6,60232 10 6,60
kg
x x
Re m s
di x m
Kg m
v x
m s
di x m di mm
µ
ρ
−
−
−
= = =
= 
→ ≅
Problema 1.8.
Datos:
Densidad relativa de los sólidos suspendidos:
4º
3
.
3
.
1,58 1,58
1
...........;.........
.................;.......
1,58 1,5
.. 8
s s
relativa
agua a C
s s
g
cm
g g
cm mL
ρ ρ
ρ
ρ
ρ ρ
= = =
 
 
 
= =
Masa de los sólidos suspendidos:
85,43
s
m g
=
2
, Re :
(1)
2100 2,1 10
. 5,15789
855 0,010
³
5,
. .
15
. .
7 9
.
8
.
Por definición de número de Reynolds
vdi
Re
kg
x x
Re m
m s
v
kg
di s
x m
m
m
v
s
ρ
µ
µ
ρ
−
=
= = =
=
1- 17
Volumen total de la muestra: 85
V mL
=
Calculando el volumen de los sólidos suspendidos:
3
3
85,43
54,06962
1,58
54,06962 Resp
...................................
uesta
.........
.......................... .. .
.. .
s s
s s
s s
s
s
m m
V
V
g
V cm
g
cm
V mL
ρ
ρ
= =
= =
=
Calculando la concentración de los sólidos suspendidos:
85,43
1,00506
85
1005,0 ..........
6 Respu
..... e
. s
...... ta.
.... ..
³
. ..
s
s
s
s
m
C
V
g g
C
mL mL
kg
C
m
=
= =
=
Calculando la densidad de la muestra del agua residual:
1 1 2 2
1
, det mi
. . . . . . . . . . . .
........................
n :
.....
. . .
. . . .
(*)
:
i i
m
m
Para la muestra de agua residual la densidad se er a mediantela ecuación
xV V V
m
V V V
Donde
densidad dela muestra
densidad de los sólidos suspend
ρ ρ ρ
ρ
ρ
ρ
+
= =
=
=
∑
2 . .
idos
densidad del agua
ρ =
1- 18
1
2
1 3
2 3
3
1
3
3
1 2 2 1
2
. . . .
. .
. . . .
.....................
:
:
:
:
1,58
1,00
54,06962
85
(85 54,06962)
30,9303
..
8
V volumen delos sólidos suspendidos
V volumen del agua
V volumen total dela muestra
Datos
g
cm
g
cm
V cm
V cm
V V V V V V cm
V c
ρ
ρ
=
=
=
=
= + = − = −
=
( )( ) ( )( )
3
1 1 2 2
3
3
Re (*):
1,58 54,06962 1,00 30,93038
1,36895
85
1,36895
. .
......................... Respuesta
...... .
m
m
m
emplazando en
V V g
V cm
g
cm
ρ ρ
ρ
ρ
+
+
= = =
=
Problema 1.9.
Datos:
T = 20ºC
P = 0,2 MPa
V = 40 L
R = 210 m.N/Kg.K = 210 J/Kg.K 1 . 1
m N J
=
Sabemos que R tiene unidades de J/mol.K entonces deducimos que:
3
3 3
3
3
....................................
.
210 210
. .
1
10
1 . 1 .
210 210 10
. . 1 10 .
2
.
J
R
J J
mol K
R M
kg K kg K
g kg
M
mol g
J J KPa m g kg KPa m
R M x M
mol K kg K J mol g mol K
J
R
mol K
ω
ω
ω ω
−
 
 
   
= =
 
 
 
 
  
  
   
   
= =
   
   
    
 
 
=
 
 
3
3 3
.
10 10 ':1 .
................................
. . . . . . . .
.
.
1
.
KPa m
x M sq KPa m J
mol K
De esta manera se demuestra la concordancia delas unidades
ω
−  
=
 
 
1- 19
Calculando la densidad del gas:
Calculando la masa del gas:
3 3
3
3 3
3
(
............................. .......................... )
:
40 40 10
:
3,25045
Re ( ) :
3,25045 40 10 0,13002
0,1
....
.
. .
3
. . .
m
m xV
V
Datos
V L x m
Del resultado anterior se tiene
kg
m
emplazando en
kg
m xV x x m kg
m
m
ρ ρ δ
ρ
δ
ρ
−
−
= =
= =
=
= = =
= ....................
002 Respuesta.
kg
( )
6 3
3
3
3
3
3
3 3
3
3
:
0,2 10 0,2 10
.
210 10
. .
.
210 10
.
Re :
0,2 10
3,25045
.
( ) 210 10 20 273
.
3,250 ..........
45 .
w
w
w
PM
RT
Datos
P x Pa x kPa
J kPa m
R x M
mol K mol K
R kPa m
x
M mol K
emplazando
P x kPa kg
R kPa m m
T x K
M mol K
kg
m
ω
ρ
ρ
ρ
−
−
−
=
= =
 
 
=  
 
   
 
=  
 
= = =
+
= Re
.. sp
.... ue
... sta.
1- 20
Problema 1.10.
Para la mezcla agua más sedimento:
....................................... :
:
Re :
.
s s
m s
s s
m
s
s
s
s s s
m
s s
s s
xV xV
donde V V V
V
xV xV
V V
m m
Sabemos que V
V
emplazando
m m
x x
m m
m m m m
ω ω
ω
ω ω
ω
ω
ω
ω ω
ω ω
ω ω
ρ ρ
ρ
ρ ρ
ρ
ρ
ρ
ρ ρ
ρ ρ
ρ
ρ ρ ρ ρ
+
= = +
+
=
+
= → =
   
+
   
+
   
= = =
       
+ +
       
       
( ) ( )
( ) ( ) ( ) ( )
( )
1 1
': 1
1 1
1 1
:
..................
1
1
1 1 1 1
1
1
.....
...
s
s
m s
s
s
s
s
s
m
s s
s s s s s
s s
s
s
s
s s
s
m
m
m m
sq
m m
m m
Luego
x
x
ω
ω
ω
ω
ω
ω
ω
ω
ω ω ω ω
ω
ρ ρ
ρ ω ω
ω ω
ρ ρ
ρ ρ
ρ
ρ
ρ ρ
ω ω ω ω ω ω
ρ ρ ρ ρ ρ ρ
ρ
ρ
ρ
ω ω
ρ
ρ
ρ
   
+
   
   
= = = −
    +
+
   
   
= = =
   
 
− + + − +
   
 
   
 
=
 
+ −
 
 
............... Respue
.... sta.
.
m
m mi iVi
V V V
mi
m
ρ
ρ
ω
= = =
=
∑ ∑
1- 21
Problema 1.11.
..
.
.
.
3
3
3 3
4º
. 3
.
3
3
......
:
1,6 1,6 10
0,94 0
........... ,94 10 940
940
77
250 250 10
aceite combustible
aceite combustible
e aceite combustible
agua a C
aceite combustible
acero
Datos
D mm x m
kg kg
g x
m m
kg
m
kN
w
m
h mm x m
ρ
ρ
ρ
ρ
−
−
= =
 
= = = =
 
 
=
=
= =
10,4
t s
=
La viscosidad de la caída de una bola se determina por la ecuación siguiente:
( ) 2
(*)
..........................................
. . . .
.
18
:
:
. .
. . .
. . . . .
cos
:
:
:
s f
s
f
D
v
Donde
vis idaddelfluido
peso específico de la esfera
peso específico del fluido
D diámetro dela esfera
v velocidad dela bola que cae
Cal
γ γ
µ
µ
γ
γ
−
=
=
3
:
. . . .
250 10
0,02404
10,4
culando la velocidad de caída
h x m m
v
t s s
−
= = =
3 2 2
2
.. 2
2
:
940 9,81 9221,4
922
. . . . .
1,4
f fluido aceite combustible
f
Calculando el peso específico del fluido
kg m kg
x gravedad xg x
m s m s
kg
m s
γ ρ ρ
γ
= = = =
=
1- 22
( ) ( )
2
3 3
3 2 2
2
3
2 2
. . . . . .
. .
..
:
1 .
77 10 77 10
....
1
Re (*) :
77000 9221,4 1,6 10
0,401 0,401
.
18 0,02404
0, ..
401 . .
s
Calculando el peso específico de la esfera
kg m
w N kg
s
x x x
V m N m s
emplazando en
kg
x m
kg
m s Pa s
m m s
s
Pa s
γ
µ
µ
−
 
 
= = =
 
 
 
−
= = = −
 
 
 
= − ............Respuesta.
Problema 1.12.
a) Trazar la curva y determinar la constante k
W (lb) 0,22 0,66 1,10 1,54 2,20
ω(rps) 0,53 1,59 2,79 3,83 5,49
ω (rps) W (lb)
0,53 0,22
1,59 0,66
2,79 1,10
3,83 1,54
5,49 2,20
1- 23
Velocidad angular vs Peso
y = 0,398x + 0,0112
0,00
0,50
1,00
1,50
2,00
2,50
0 2 4 6
w (rps)
W
(lb)
Para este tipo de dispositivo la viscosidad del líquido esta relacionado con W y
ω mediante la ecuación:
. 20º
.
.........................
.
.
( ) ( ) ( )
:
20º , cos :
1,5
. . . . . . . . . . .
glicerina a C
W k y m
Donde
W peso
k constante
viscosidad
velocidad angular
Como líquido de calibración seutiliza la glicerina a C cuya vis idad es
Pa s
µ ω χ α
µ
ω
µ
= → =
=
=
=
=
= −
2
2
0,02089
1,5 0,03134
. 1
.
:
0,
. . . . . . . .
..............................
. .
398 ( )
( ) ( ) :
0,398
. .
f
f
f
lb s
lb s
kg ft
kg
m s ft
m s
Según la gráfica la pendiente dela recta es
m
Entonces reemplazamos en
lb
m kx
rps
k
β
β α
µ
−
 
  −
 
= =
 
 
 
=
 
= =  
 
2
2 2 2
0,03134 0,398
12,69943 12,69943 .................
12,69943 Respuesta
..... .
f f
lb s lb
x
ft rps
ft ft ft
k
rev
rps s rev
s
s
−
   
=
   
   
= = =
− −
1- 24
b)
W(lb) 0,04 0,11 0,22 0,33 0,44
ω(rps) 0,72 1,89 3,73 5,44 7,42
ω (rps) W (lb)
0,72 0,04
1,89 0,11
3,73 0,22
5,44 0,33
7,42 0,44
Velocidad angular vs Peso
y = 0,0601x - 0,003
0,00
0,10
0,20
0,30
0,40
0,50
0 2 4 6 8
w (rps)
W
(lb)
. . . . . . . . .
.........................
.
det min :
( ) ( ) ( )
:
. . . . .
La viscosidad del líquido desconocido se er a mediantela ecuación
W k y m
Donde
W peso
k constante
viscosidad
velocidad angular
Según la gráfica la pendiente de
µ ω χ α
µ
ω
= → =
=
=
=
=
. . .
................
:
0,06 .....
01 .........( )
la recta es
m β
=
1- 25
( )
( )
2
2
2
( ) ( ):
0,0601
:
12,69943
:
12,69943 0,0601
.
12,69943 0,0601
. . . .
4,7
.
2
.
3 5
. .
f
f
f
Entonces reemplazamos en
lb
kx
rps
Del problema anterior setiene
ft
k
rev
Luego
lb
ft
x
rev rps
lb s
ft
x
rev rev
β α
µ
µ
µ
µ
 
=  
 
=
 
 
=  
 
   
 
 
=  
 
   
= 3
2
.....................
.
0 10 Respuest
. a.
f
lb s
x
ft
−
Problema 1.13.
: ,
Masa de agua V
Donde V es el volumen y densidad
ρ
ρ
=
= =
Como la masa permanece constante con el cambio de la temperatura
40 40 90 90
o o o o
V V
ρ ρ
= (1)
De tabla (Geankoplis)
2
2
3
60
3
150
62,30 /
61,30 /
o
o
m
H O
m
H O
lb ft
lb ft
ρ
ρ
∂
∂
=
=
1- 26
Por tanto, de Ec. (1):
( )
3 3
3
60 60
3
150
150
4 62,30 /
4,06525
61,30 /
o o
o
o
m
m
ft lb ft
V
V ft
lb ft
ρ
ρ
= = =
Así, el incremento en el volumen es:
3
4,0652 4,0000 0,0652 ft
− =
El cambio en la profundidad del agua es:
( )
3
2
0,0652
0,0275 0,249 lg
2
4
V ft
l ft pu
area
ft
π
∆
∆ = = = =
 
 
 
Este pequeño cambio en la profundidad no es muy notable- NO
Nota: una ligera diferencia del valor para ∆l será obtenida si se utiliza la gravedad
específica del agua en vez de la densidad. Este hecho se debe a que existe cierta
incertidumbre en los cuatro valores significantes de los dos valores, y la solución es
sensible a esta incertidumbre.
Problema 1.14
Weight of fluid
Volume of fluid
γ = (1)
( ) 2
: 0,369 9,81 3,62
x
m
Peso total w m g kg N
s
 
= = =
 
 
: 0,153
Peso de la conserva w N
=
( )
3
3 6 3
: 355 10 3 1 10 355 10
1
m
Volumen del fluido V x L x x m
L
− −
 
= − =
 
 
Así, de la Ec. (1):
1- 27
2
6 3 3
2
3
4 3
2
4
3,62 0,153
: 9770 , Re ./ /
355 10
9970
: 996 996 , Re ./ /
9,81
: 0,996 , Re ./ /
r
H O oC
N N N
Peso especifico sp
x m m
N
Ns kg
m
Densidad sp
m
g m m
s
Gravedad especifica densidad relativa SG sp
γ
γ
ρ
ρ
ρ
ρ
−
∂
−
= =
= = = =
= = = =
Para agua a 20 o
C (ver tabla de Geankoplis)
2 2
3 3
9789 , 998,2 , 0,996
H O H O r
N kg
SG
m m
γ ρ ρ
= = = =
Una comparación de estos valores del gua con aquellos valores calculados para la
conserva muestra que el peso específico, densidad, y gravedad específica de la conserva
son ligeramente más bajos que los valores correspondientes para el agua.
Problema 1.15
Para agua a 30o
C (tabla de Geankoplis o ver tabla en Apéndice)
( )
4
3 2
3
4
2
.
995,7 , 7,975 10
995,7 3 0,003
Re 11200
.
7,975 10
kg N s
x
m m
kg m
m
V D m s
N s
x
m
ρ µ
ρ
µ
−
−
= =
  
  
  
= = =
Para aire a 30 o
C (ver tabla en Apéndice)
( )
5
3 2
3
5
2
.
1,165 , 1,86 10
1,165 3 0,003
Re 564
.
1,86 10
kg N s
x
m m
kg m
m
V D m s
N s
x
m
ρ µ
ρ
µ
−
−
= =
  
  
  
= = =
1- 28
Problema 1.16
a) Cavitación pude ocurrir cuando la presión de succión a la entrada de la bomba
iguala la presión de vapor. Para tetracloruro de carbono a 20 o
C pv = 13 kPa (abs).
Así , la presión mínima = 13 kPa (abs).
b) Cavitación puede ocurrir en la sección convergente de la tubería cuando la presión
iguala a la presión de vapor. Así, la presión de vapor calculamos a partir de la
ecuación de Antoine:
( )
ln v
B
p A
T C
= −
+
[ ]
exp ; ;
v v
B
p A p mmHg T K
T C
 
= − = =
 
+
 
Donde, las constantes de la ecuación de Antoine para el agua son:
A = 18,3036 , B = 3816,44 , C = - 46,13
Para la temperatura de T = 70 o
C = 343,15 K, la presión de vapor de agua es:
( )
3816.44
exp 18.3036 233.80
343.15 46.13
v
p mmHg
 
= − =
 
+ −
 
Asi:
En sistema Británico:
14,7
min 233.80 4,52
760
psia
la presion ima es mmHg psia
mmHg
= =
En SI:
2
2
101325 /
min 233.80 31170,76 / 31,2 ( )
760
N m
Presion ima es mmHg N m kPa abs
mmHg
 
= = =
 
 
1- 29
Problema 1.17
Balance de fuerzas en equilibrio
Por equilibrio
w l
σ
=
a)
4
2
3
1 10
7,34 10
1,36 10 1,36
w x N
l
N
x
m
x m mm
σ
−
−
−
= =
= =
b)
4
2
750
1,02 10
7,34 10
w N
l x m
N
x
m
σ −
= = =
2- 1
CAPÍTULO II
ESTATICA DE FLUIDOS
Problema 2.1. Para determinar la diferencia de presión entre dos puntos de una tubería,
se requiere el uso de un manómetro “invertido”, tal como el que se ilustra en la
siguiente figura:
a) Desarrolle una expresión para calcular la diferencia de presión pA - pB en
función de las variables pertinentes.
b) Si el fluido A es un líquido y B es un gas, entonces pA << pB y pB puede
ignorarse. En esta situación especial muestre como se simplifica la expresión
general.
Problema 2.2. Para el sistema mostrado, cual es la presión absoluta en el tanque.
2- 2
Problema 2.3. La densidad de un fluido 1 es 62,4 lbm/ft³ y la densidad del fluido 2 es
136,8 lbm/ft³, determinar la presión del gas en el tanque mostrado en la figura.
Supóngase que la densidad del gas en el tanque es despreciable comparado a los dos
fluidos del manómetro.
Problema 2.4. Para dos fluidos con densidades cercanas, pero menor que la del agua, la
gravedad específica se determina mejor con el sistema mostrado en la figura. Derive una
expresión para γ en términos de 1 2 3
, ,
z z z y 4
z .
2- 3
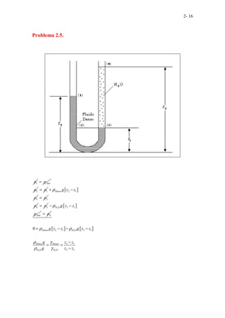
Problema 2.5. Un manómetro simple de tubo en U se utiliza para determinar la
gravedad específica de un fluido que es más denso que el agua tal como se muestra en la
figura. Derive una expresión para γ en términos de 1 2
,
z z y 3
z .
Problema 2.6. Un cilindro y el tubo de la figura contienen agua. Para una lectura
manométrica de 2 bar ¿Cuál es la fuerza de gravedad y la masa del émbolo?
2- 4
Problema 2.7. En el tubo en U de la figura, se ha llenado la rama de la derecha con
mercurio y la de la izquierda con un líquido de densidad desconocida. Los niveles
definitivos son los indicados en el esquema. Hallar la densidad del líquido desconocido.
Problema 2.8. En la Fig 2., la presión atmosférica es 14,6 psia, la lectura del
manómetro en A es 6,1 psi, y la presión de vapor del alcohol es 1,7 psia. Calcular X e
Y.
2- 5
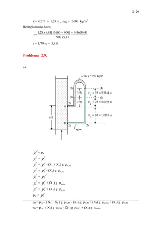
Problema 2.9. a) En la Fig. 3 se muestra un manómetro que se utiliza para indicar la
presión entre los puntos de un tubo. Calcular (pA – pB).
b) Dos tubos horizontales son paralelos, uno de los tubos transporta agua salada
(ρ = 1,988 slugs/ft3
) y el otro tubo transporta agua fresca (ρ = 1,937 slugs/ft3
). Un
manómetro invertido utiliza aceite (ρ = 1,82 slugs/ft3
) como fluido manométrico que
conecta los dos tubos. La interfase entre el aceite y el agua fresca en el manómetro es
38 pulg por encima de la línea central de la tubería de agua fresca, y la interfase
aceite/agua salada en el manómetro es 20 pulg por encima de la línea central de la
tubería de agua salada. Si la lectura del manómetro es 8 pulg, determine, la diferencia
de la caída de presión entre las tuberías en: a) en Pa y b) en psi.
2- 6
Problema 2.10. El depósito cerrado en la figura está lleno de agua y mide 1,524 metros
de longitud. La lectura del manómetro conectado al depósito es de 7 lb/pulg2
.
Determinar:
a) La altura h es la columna de agua abierta.
b) La presión manométrica que actúa sobre la superficie inferior AB del depósito
La presión absoluta del aire en la parte superior del mismo si la presión atmosférica
local es de 14,7 lb/pulg2
.
2- 7
Problema 2.11. Un recipiente de gas está conectado al aire mediante un tubo largo y
curvado. Determinar la presión en el recipiente utilizando los datos indicados: densidad
del mercurio 13600 kg/m3
y del agua 1000 kg/m3
.
Problema 2.12. Un tubo manométrico inclinado consiste de un cilindro vertical de 35
mm de diámetro. En la base de este se conecta a un tubo inclinado de 5 mm de
diámetro que tiene un ángulo de 15º respecto al horizontal, el tope de este tubo es
conectado a un ducto de aire. El cilindro vertical es abierto al aire y el fluido
manométrico tiene una densidad relativa de 0,785. Determinar: a) La presión en el
ducto del aire si el fluido manométrico se mueve 50 mm a lo largo de tubo inclinado, b)
¿Cuál es el error si el movimiento del tubo vertical es ignorado?
2- 8
Problema 2.13.
1.a.- Para el manómetro que se muestra en la figura 1, calcule la diferencia de presión
entre los puntos A y B. La gravedad específica del aceite es 0,85.
1.b.- Para el manómetro diferencial compuesto que se muestra en la figura 2, calcule
(pA – pB).
2- 9
Problema 2.14. Estudie el micromanómetro mostrado en la figura 8, que se usa para
medir pequeñas diferencias de presión. Se introducen gases a las presiones PA y PB en
el interior de ambos dispositivos, respectivamente, cuya sección transversal tiene un
área A. En los brazos del tubo en U de sección transversal a, se emplean dos líquidos
de diferente densidad. Si ρ1, es la densidad del fluido ligero y ρ2 la densidad del fluido
pesado, demostrar que.












+
−
−
=
A
a
g
p
p
h B
A
1
1 ρ
ρ
ρ
Puede verse que si A es mucho mayor que a, la ampliación de este dispositivo es mas o
menos, proporcional a ( )
1
2
/
1 ρ
ρ − .
Problema 2.15. Una pequeña diferencia de presión de gas se puede medir con un
micromanómetro tal como se ilustra en la figura. Los dos recipientes (reservorios)
tienen una sección transversal A y el tubo tiene una sección transversal a.
Dos líquidos inmiscibles con densidad ρ1 y ρ2 (ρ1 > ρ2) son vertidos en el sistema. La
interfase entre los dos líquidos es en el brazo derecho de tubo en U. Cuando no existe
diferencia entre las presiones del gas en los dos reservorios la situación es como se
muestra en la figura. La altura total del líquido con la densidad ρ2 es Ho.
1. Cuando p1 = p2, calcular la diferencia de nivel h entre las superficies en los dos
reservorios.
2- 10
En el siguiente supongamos p2 > p1
2. Demostrar la siguiente ecuación para la diferencia de presión ∆p = p2 - p1.
gx
A
a
A
a
p












−
−












+
=
∆ 2
1 1
1 ρ
ρ
Donde g es la aceleración de la gravedad y x es el cambio de nivel de la interfase
entre los dos líquidos.
En el siguiente cálculo: ρ1 = 1000 kg/m3
(agua)
ρ2 = 950 kg/m3
(aceite)
A = 50 a
Problema 2.16. Dos tuberías que conducen aceite de densidad ρ = 900 kg/m3
están
conectadas por un piezómetro, tal como se indica en la figura. La presión en el tubo B
es constante pB = 1,1 bar.
Cuando pA = po = 2,5 bar, el menisco de la izquierda coincide con el cero de la escala.
Calcular la altura del menisco de la derecha cuando la presión en A sube a p1 = 3 bar,
sin que se modifique la escala.
Se escribirá la ecuación del equilibrio de los fluidos, en este caso p = po + γ h, tomando
como referencia el nivel CC’, para los dos casos planteados.
2- 11
Problema 2.17. Con referencia a la figura, el punto A está a 53 cm por debajo de la
superficie libre del líquido, de densidad relativa 1,25 en el recipiente. ¿Cuál es la
presión manométrica en A; si el mercurio asciende 34,30 cm en el tubo?
2- 12
CAPÍTULO II
SOLUCIÓN DE PROBLEMAS
Problema 2.1.
a) Calcular: pA - pB = ¿?
1
p
2
A
p
p
=
1
p
= 1
3
A
z g
p
ρ
−
2
p
=
4
p 3
p
= ( )
1 2
5
B
z z g
p
ρ
+ −
4
p
= 2
5
A
B
z g
p p
ρ
+
=
( )
( )
1 1 2 2
1 2 1 2
1 2 1 2
1 2
[ ] [ ]
[
...................
] [ ]
[ ] (1
... )
B A A B A
B A A B
A B A B
A B A B
p p z g z z g z g
p p g z z g z z
p p g z z g z z
p p g z z
ρ ρ ρ
ρ ρ
ρ ρ
ρ ρ
= − + − +
= − − + −
− = − − −
− = − −
b) Si el fluido A es un líquido y el fluido B es un gas:
[ ]
1 2
:
(1):
1
1
... .
1
.
. . .
B A
B B
A
A A A
Luego p p
De la ecuación
p
z z x g
p p
ρ
ρ
ρ
<<
   
− = − −
   
   
2- 13
( )
( )
1 2
1 2
0 , 0
1
1 0
...... ......
B B
A A
A
A
A A
p
p
z z g
p
p z z g
ρ
ρ
ρ
ρ
∴ ≈ ≅
 
− = −
 
 
= −
Problema 2.2.
1 2 3 4
5" 0,1270 ; 2" 0,0508 ; 3" 0,0762 ; 4" 0,1016
z m z m z m z m
= = = = = = = =
1
p
2
Atm
p
p
=
1
p
=
3
p 2
p
= 4
4
3000xz xg
p
−
3
p
=
5
p 4
p
= 3
6
1000xz xg
p
+
5
p
=
7
p 6
p
= 2
8
13600xz xg
p
−
7
p
= 1
8
800
tanque
xz xg
p p
−
=
4 3 2 1
3000 1000 13600 800
tanque Atm
p p xz xg xz xg xz xg xz xg
= − + − −
2- 14
( )
2
101325 3000 0,1016 1000 0,0762 13600 0,0508 800 0,1270 9,81
91308,2052
14,7
1
91308,2052 13,2468
101325 1
13,2468
tanque
tanque
tanque
tanque
p x x x x x
N
p
m
lb
Atm lb
pulg
p Pa
Pa Atm pulg
p psia
= + − + − −
=
= =
=
Problema 2.3.
1
p
2
Atm
p
p
=
1
p
= 1 1
3
c
g
z
g
p
ρ
+
2
p
=
4
p 3
p
= 2 2
4
c
tanque
g
z
g
p p
ρ
−
=
[ ]
( )
( )
1 1 2 2
2
2
2
2 2 2
:
1
1
14,7 35 62,4 10 136,8
1
12
14,7 5,667 20,367
20,367
tanque Atm
c c
f
tanque
m
f f f
tanque
tanque
g g
p p z z
g g
Luego
lb
ft
lb
p x x x
ft lb
pulg
lb lb lb
p
pulg pulg pulg
p psia
ρ ρ
= + −
 
= + −  
 
= + =
=
2- 15
Problema 2.4.
1
p Atm
p
=
2
p 1
p
= [ ]
2 3 1
3
H O g z z
p
ρ
+ −
2
p
=
4
p 3
p
= [ ]
2 1
5
Denso g z z
p
ρ
− −
4
p
=
6
p 5
p
=
7
p 6
p
= [ ]
2 4 2
H O
Atm
g z z
p
ρ
− −
7
p
=
[ ] [ ] [ ]
( ) ( ) [ ]
( ) ( )
( )
2 2
2
2 2
3 1 2 1 4 2
3 1 4 2 2 1
4 2 3 1
1 2
0
0
H O Denso H O
H O Denso
Denso Denso
H O H O
g z z g z z g z z
g z z z z g z z
z z z z
g
g z z
ρ ρ ρ
ρ ρ
ρ γ
ρ γ
= − − − − −
= − − − − −
 
 
− − −
 
 
= =
−
2- 16
Problema 2.5.
1
p Atm
p
=
2
p 1
p
= [ ]
2 1
3
Denso g z z
p
ρ
+ −
2
p
=
4
p 3
p
= [ ]
2 3 1
H O
Atm
g z z
p
ρ
− −
4
p
=
[ ] [ ]
2
2 2
2 1 3 1
3 1
2 1
0 Denso H O
Denso Denso
H O H O
g z z g z z
g z z
g z z
ρ ρ
ρ γ
ρ γ
= − − −
−
= =
−
2- 17
Problema 2.6.
Del balance:
1 2
2 1
1 2
2 2
2 2
..
:
2 202650
1
202650 998 9,81 1,0
212440,38
.....
p p xgxh
Donde
N
p bar
m
h m
N
p x x
m
N
p
m
φ φ
ρ
=
= +
= =
=
∴ = +
=
Además se sabe que:
( )
2 2
2
212440,38 1
4
166850,6745
F
p F p xA
A
F x
F N
π
= ⇒ =
 
=  
 
=
Cálculo de la masa del émbolo: Por definición de fuerza de gravedad.
2
166850,6745
9,81
17008,22
F N
F Wxg W
m
g
s
W kg
= 
→ = =
=
2- 18
Problema 2.7.
De la figura:
'
O O
p p
=
patm + 0,14 x ρ x 9,81 = patm + 0,02 x 13600 x 9,81
ρ =
81
,
9
14
,
0
81
,
9
13600
02
,
0
x
x
x
ρ = 1942,85 kg/m3
2- 19
Problema 2.8.
Aquí el único problema es considerar presión absoluta en el tanque; puesto que la
presión de vapor del etanol está expresada en absoluto.
pA = 6,1 + 14,6 = 20,7 psia (absoluta) = 143659,41 N/m2
pV = 1,7 psia = 1,7 x (101325/14,6) = 11798,11 N/m2
Cálculo de X.
Supongamos:
pO = pO'
pA = pV + X ρETOH x g
X = (pA – pV)/(ρETOH x g)
X = (143659,41 – 11798,11) / (900 x 9,81)
X = 14,93 m = 48, 99 ft
Cálculo de y.
Supongamos:
p q = p q’
pA + (y + Z) ρETOH g = Z1 ρHg g
g
p
g
x
Z
g
x
x
Z
y
ETOH
A
ETOH
Hg
ρ
ρ
ρ −
−
=
g
x
p
g
Z
y
ETOH
A
ETOH
Hg
ρ
ρ
ρ −
−
=
]
[
2- 20
Z = 4,2 ft = 1,28 m , ρHg = 13600 kg/m3
Reemplazando datos:
81
,
9
900
41
,
143659
]
900
13600
[
81
,
9
28
,
1
x
x
y
−
−
=
y = 1,79 m = 5,9 ft
Problema 2.9.
a)
1
p A
2
= p
p 1
= p
3
p 2
= p 2
1 2 H O
4
- (X + X ) g
p
ρ
3
= p 2
3 H O
5
- (X ) g
p
ρ
4
= p
6
p 5
= p 3 aceite
7
+ (X ) g
p
ρ
6
= p 2
2 H O
B 7
+ (X ) g
p = p
ρ
pB = pA – ( X1 + X2 ) g ρH2O – (X3) g ρH2O + (X3) g ρaceite + (X2) g ρH2O
pB = pA - ( X1) g ρH2O – (X3) g ρH2O + (X3) g ρaceite
2- 21
pA – pB = ( X1) g ρH2O + (X3) g ρH2O - (X3) g ρaceite
pA – pB = ( X1) g ρH2O + (X3) g ( ρH2O - ρaceite)
pA – pB = 1,8288 x 9,81 x 1000 + 0,9144 x 9,81 (1000 – 900) = 17940,528 +
897,0264
pA – pB = 18337,5544 N/m2
= 0,1809775909 at = 2,66 lbf/pulg2
pA – pB = 2,7 lbf/plg2
b)
1
p A
2
= p
p 1
= p 2
1 H O
3
- (L ) g
p
ρ
2
= p
4
p 3
= p aceite
5
+ ( h) g
p
ρ
∆
4
= p 2 salada
B 5
+ (L ) g
p = p
ρ
pB = pA – ( L1 ) g ρH2O + (∆h) g ρaceite + (L2) g ρsalada
pA – pB = ( L1) g x ρH2O - (∆h) g ρaceite - (L2) g ρsalada
L1 = 38 pulg = 0,9652 m ρH2O = 998,02 kg/m3
L2 = 20 pulg = 0,508 m ρaceite = 938,63 kg/m3
∆h = 8 pulg = 0,2032 m ρsalada = 10220,7 kg/m3
2- 22
pA – pB = 9,81 [ 0,9652 x 998,02 – 0,2032 x 938,63 – 0,508 x 1020,79]
pA – pB = 2491,7 N/m2
= 0,361 atm
Problema 2.10.
a) Cálculo de h
De la Fig. Nº 4 para el plano pq
paire + 0,60 x g x ρH2O = patm + h x g x ρH2O
Donde: paire = patm + pmanometrica = 14,7 + 7,0 = 21,7 lb/plg2
paire = 144750 N/m2
patm = 101325 N/m2
ρH2O = 1000 kg/m3
Reemplazando datos:
144750 + 0,60 x 9,81 1000 = 101325 + h x 9,81 x 1000
h = 5,026 metros (16,49 ft)
b) Presión manométrica en la superficie AB del depósito
De acuerdo a la figura:
P AB = paire + ρ x g [0,60 + 0,60]
P AB = 144750 + 1000 x 9,81 x 1,20 = 156522 N/m2
(absoluta)
Manométrica: P ab = 156522 – 101325
P ab = 55197 N/m2
(0,554 atm = 8 psi)
c) La presión absoluta del aire
P aire = 144750 N/m2
= 21,7 lb/plg2
= 1,47 at
2- 23
Problema 2.11.
A B C D
7
p = p = p = p
p A
6
= p
p 7
= p
5
p 6
= p Hg
4
- (1,0) g
p
ρ
5
= p
3
p 4
= p agua
2
+ (0,9) g
p
ρ
3
= p
1
p 2
= p Hg
atm 1
- (2,1) g
p = p
ρ
patm = pA - ρHg (1,0) g + ρagua (0,9) g - ρHg (2,1) g
pA = patm + ρHg (1,0) g – ρagua (0,9) g + ρHg (2,1) g
pA = patm + ρHg (3,1) g – ρagua (0,9) g
pA = 101325 + 13600 x 3,1 x 9,81 – 1000 x 0,90 x 9,81
pA = 506085,6
pA = 4,9946 atm
2- 24
Problema 2.12.
p0 = p0’
p0 = p1
p0’ = p2 + (Z2 + Z1) ρHg x g
p1 = p2 + (Z2 + Z1) ρHg x g
p1 - p2 = (Z2 + Z1) ρHg x g
Donde: Z2 = L x senθ
y A1 Z1 = a2 L
Z1 = 1
2
1
2
Z
L
D
d
L
A
a
=






⇒








xg
L
D
d
sen
L
p
p m
ρ
θ














+
=
−
2
2
1














+
=
−
2
2
1
D
d
sen
g
x
x
L
p
p m θ
ρ
Donde [ ]
atmosfera
la
a
abierto
p
p atm
=
1
Si consideramos presión manométrica:
p1 = 0
g
x
Z
Z
p Hg
ρ
)
( 1
2
2 −
−
=
∴
Donde: Z2 = 0,05 x sen (15)
Z2 = 1,2940 x 10-2
2- 25
Z1 = L x (d/D) = 0,050 x (5/35)2
= 1,0204 x10-3
p2 = - [1,2949 x 10-2
+ 1,0204 x 10-3
] x 785 x 9,81
- p2 = 107,93 N
Si se ignora en el cilindro grande el término (d/D)2
= 0
La ecuación se simplifica a:
1 2 1 ( )
m
p p L x x g sen p manométrica
ρ θ
− = =
- p2 = 0,050 x 785 x 9,81 x sen 15
- p2 = 99,65 N
% ERROR
ERROR = 100
93
,
107
65
,
99
93
,
107
x
−
ERROR = 7,67 %
Problema 2.13.
2- 26
a)
1
p A
2
= p
p 1
= p ( )
aceite
3
+ g 0,3302
p
ρ
2
= p ( )
agua
4
+ g 0,2286
p
ρ
3
= p
5
p 4
= p ( )
aceite
B 5
- g 0,8128
p = p
ρ
pB = pA + ρaceite g (0,3302) + ρagua g (0,2286) - ρaceite g (0,8128)
pB - pA = ρaceite g [ 0,3302 – 0,8128] + ρagua g (0,2281)
pB - pA = 850 x 9,81 [0,3302 – 0,8128] + 1000 x 9,81 x 0,2281
pB - pA = - 1786,5 N/m2
pA – pB = 1786,5 N/m2
= 1,7631x10-2
atm = 0,2591 lb/plg2
b)
1
p A
2
= p
p 1
= p ( )
aceite
3
+ g 0,1524
p
ρ
2
= p
4
p 3
= p ( )
Hg
5
- g 0,2032
p
ρ
4
= p
6
p 5
= p ( )
Hg
7
+ g 0,254
p
ρ
6
= p
8
p 7
= p ( )
Hg
9
- g 0,1524
p
ρ
8
= p ( )
agua
B 9
- g 0,1524
p = p
ρ
pB = pA + ρaceite g x 0,1524 – ρHg g x 0,2032 + ρagua g x 0,254 – ρHg g x 0,1524 - ρagua g x
0,1524
pB – pA = 900x9,81x0,1524 - 13540x9,81x0,2032 + 1000x9,81x0,254 –
1354x9,81x0,1524 – 1000x9,81x0,152
pA – pB = 44891, 18 N/m2
= 0,4430 atm = 6,51 lb/plg2
2- 27
Problema 2.14.
Entre los puntos (1) y (2) sea una altura: X + h
Por tanto; estableciendo el balance de presión se tiene.
1
p A
2
= p
p 1
= p 1
3
+ (x + h) g
p
ρ
2
= p
4
p 3
= p 2
5
- h g
p
ρ
4
= p 1
B 5
- (X + ) g
p = p
δ ρ
( )
Hg
+ g 0,254
ρ
pB = pA + (X+h) g ρ1 – hg ρ2 – (X + δ) g ρ1
pB = pA + h g ρ1 – hg ρ2 – δ g ρ1
pB = pA + h g [ ρ1 – ρ2 ] – δ g ρ1
Cálculo de la altura δ.
Volumen: A1 δ = a x h
δ = (a/A) h
Reemplazando en la ecuación anterior
pB = pA + h g [ρ1 – ρ2] – (a/A) g h ρ1
pA – pB = h g [ρ2 – ρ1 + (a/A) ρ1]
2- 28
De donde resulta:
)]
/
(
[ 1
1
2 A
a
g
p
p
h B
A
ρ
ρ
ρ +
−
−
=
Para el caso de: a/A << 1 a/A ≡ 0
]
[ 1
2 ρ
ρ −
−
=
g
p
p
h B
A
Problema 2.15.
a) Calcular h cuando p2 – p1 = 0
Para el punto O P:
pO = pB
p1 + [Ho – h] ρ1 g = p2 + Ho ρ2 g
p2 – p1 = (Ho – h) ρ1 g – Ho ρ2 g
p2 = p1
0 = (Ho – h) ρ1 g =- Ho ρ2 g
1
2
1 /
]
[ ρ
ρ
ρ −
= Ho
h
b)
p1 + [ Ho – h + X + ∆X ] ρ1 g = (Ho - ∆X +X ) ρ2 g + p2
p2 – p1 = [Ho – h + X + ∆X] ρ1 g – (Ho - ∆X + X ) ρ2 g
2- 29
p2 – p1 = [Ho – h] ρ1 g + (X + ∆X) ρ1 g – Ho ρ2 g – (∆X + X ) ρ2 g
p2 – p1 = [Ho – h] ρ1 g + (X + (a/A)X) ρ1 g – Ho ρ2 g – ((a/A)X + X ) ρ2 g
p2 – p1 = [Ho – h] ρ1 g – Ho ρ2 g + [(1 + a/A) ρ1 – (1 + a/A) ρ2 ]g X
=
( )
1 2
1 2 1 2
1
[(1 + a/A) - (1 + a/A) ]g X
Ho Ho g Ho g
ρ ρ
ρ ρ ρ ρ
ρ
−
 
− − +
 
 
= g
Ho
g
Ho
g
Ho 2
2
1
1 )
( ρ
ρ
ρ
ρ −
−
− + [(1 + a/A) ρ1 – (1 + a/A) ρ2 ]g X
= 1 1 2 2 1 2
[(1 + a/A) - (1 + a/A) ]g X
Ho g Ho g Ho g Ho g
ρ ρ ρ ρ ρ ρ
− + − +
X
g
A
a
A
a
p
p
p 











−
−






+
=
∆
=
−
∴ 2
1
1
2 1
1 ρ
ρ
Problema 2.16.
1er caso: La presión en A es po. Entonces
a) B
o
m
o
o
o p
h
h
h
h
p +
−
+
=
+ )
( 2
1
2 γ
γ
γ
De esta ecuación se puede despejar el valor de h2
2do. caso: En este caso, si ∆ h es lo que baja el menisco por la rama izquierda
b) B
o
m
o
o p
h
h
h
h
h
h
h
p +
∆
−
−
+
∆
+
=
∆
+
+ )
(
)
2
(
)
( 2
1
2
1 γ
γ
γ
Conocido h2, de esta ecuación se despeja ∆h. La altura del menisco en la escala es
entonces
h = h2 + ∆h
Aplicación numérica: La ecuación (a) se escribe
2,5 x 105
+ 9800 x 0,9 x 0,4 = 9800 x 13,6 h2 + 9800 x 0,9 (2 – h2) + 1,1 x 105
De donde h2 = 1,01 m.
2- 30
De la ecuación (b) se obtiene entonces:
3x105
+ 9800 x 0,9 x (0,4 + ∆h) = 13,6 x 9800 x 1,01 + 13,6 x 9800 x 2 ∆h + 0,9 x 9800
x ( 2 – 1,01 - ∆h) + 1,1 x 105
De donde ∆h = 0,64 m.
Luego, h = 1,65 m
Problema 2.17.
1
p atm
2
= p
p 1
= p ( ) agua
3
- 0,34 g
p
ρ
2
= p
4
p 3
= p aire
5
+ X g
p
ρ
4
= p ( ) Líq
A 5
+ 0,53 g
p = p
ρ
pA = patm - (0,34) ρagua g + X ρaire g + (0,53) ρLíq g
A atm
............................................................... 0
p = p - 0,34 x 1000 x 9,81 +
...........
X x1,2 x
...
9,81 + 0,53 x 1,25 x 1000 x 9,81
pA = 101325 - 0,34 x 1000 x 9,81 + 0,53 x 1,25 x 1000 x 9,81
pA = 104488,725 pabsoluta
2- 31
pabs = patm + pman 
→ - pman = patm - pabs
- (pman) = 101325 – 104488,725 = - 3163,725 N/m2
pman = 3163,725 N/m2
3- 1
CAPÍTULO III
PRICIPIOS DE CONSERVACION
Problema 3.1.
Un depósito de agua tiene un orificio
en el fondo y es de nivel constante.
El área del chorro que sale del tanque
es inicialmente ( 0)
o
A y = . Si el nivel
del agua en el depósito es 1
H , se
pide el área de la sección recta del
chorro en función de y.
Problema 3.2.
El agua fluye hacia un tanque por el tope con un caudal de 200 gal/min. El tanque tiene
18 pulg de diámetro y tiene un agujero de 3 pulg de diámetro en la base del tanque a
través del cual fluye agua hacia el exterior. Si el agua de la entrada se ajusta para igualar
el caudal de salida ¿Cuál es la altura del agua alcanzada en el tanque? Si se desprecia la
fricción.
Problema 3.3.
¿Cuáles serán las pérdidas por fricción que sufre el agua a 20ºC al pasar por la siguiente
contracción?
¿Cuál será la
diferencia de
presión entre los
puntos 1 y 2?
3- 2
Problema 3.4.
Para el tanque que se muestra en la figura, calcule la rapidez de flujo de volumen de
agua que sale por la boquilla. El tanque está sellado con una presión relativa de 20
lb/pulg² por encima del agua. La profundidad, h, es de 8 pies.
Problema 3.5.
Para el sistema que se muestra en la figura calcule:
a) El caudal de agua que sale de la boquilla.
b) La presión en el punto A.
Problema 3.6.
Para el sifón que se presenta en la figura, supóngase que la rapidez de flujo es de
5,6x10-3
m³/s. Determinar la máxima distancia Y posible, si la presión máxima
permitida en el sistema es de -18 Kpa (gage).
3- 3
Problema 3.7.
El respiradero en el depósito que se muestra en la figura está cerrado y el depósito se ha
presurizado para incrementar el caudal. ¿Qué presión, p1, es necesaria para obtener el
doble de gasto que hay cuando el respiradero está abierto?
Problema 3.8.
Por medio del sifón se extrae agua del depósito que se muestra en la figura. Determinar
el caudal que sale del depósito y las presiones en los puntos (1), (2) y (3) si se ignoran
los efectos viscosos.
3- 4
Problema 3.9.
¿Qué diámetro de orificio de se requiere si en condiciones ideales el caudal a través del
medidor de orificio de la figura, debe ser de 30 gal/min de agua de mar con p1-p2=2,37
lb/pulg²? Se supone que el coeficiente de contracción es 0,63.
Problema 3.10.
A través de la contracción de la tubería que se muestra en la figura fluye agua. Para una
diferencia dada de 0,2 m en el nivel del manómetro, determinar el caudal en función del
diámetro del tubo pequeño, D.
3- 5
Problema 3.11.
Un tanque cilíndrico de 1,52 m de diámetro y 7,62 m de altura contiene aceite de
algodón que tiene una densidad de 917 kg/m3
. El tanque es abierto a la atmósfera. La
tobera de descarga de diámetro interior 15,8 mm y área transversal A2 está ubicado
cerca de la base del tanque. La superficie del líquido está localizado a H = 6,1 por
encima de la línea central de la tobera. La descarga de la tobera es abierta, y drena el
líquido desde H = 6,1 m a H = 4,57 m. Determinar:
a) A partir de la ecuación de la ecuación de Bernoulli, la ecuación de velocidad de
descarga.
b) El caudal de descarga cuando H = 6,1 m
c) El tiempo de drenaje.
Problema 3.12 (venturimetro)
Para el medidor de Venturi se reportaron los siguientes datos experimentales en un
equipo experimental de banco de medidor de flujo.
Corrida
Nº
Caudal
Q (m3
/s)
Manómetro diferencial
∆H (m Hg)
1 6,046x10-3
0,60
2 5,516x10-3
0,50
3 4,927x10-3
0,40
4 4,259x10-3
0,30
5 3,494x10-3
0,20
3- 6
Datos: D1 = 50 mm (tubo)
D2 = 25 mm (garganta)
ρ = 999 kg/m3
; µ = 1,13x10-3
kg/m x s
a) Calcular Cv en función de Re
b) Diseñe el diámetro de la garganta del venturi para las nuevas condiciones:
Q = 0,0207 m3
/s
D1 = 102,3 mm
∆h = 1,0 metro de Hg
Problema 3.13. (Venturímetro)
En una conducción de agua de 20 cm de diámetro interno, se desea medir su caudal
mediante un venturímetro y para conocer las características del manómetro que debe
instalarse, se plantea calcular la lectura manométrica para diferentes relaciones d/D
(0,89, 0,60, 0,40), para el intervalo de velocidades en la sección ancha de 0,2 m/s – 2,0
m/s: densidad = 1000 kg/m3
, viscosidad = 0,012 P, el coeficiente del Venturi Cv se
tomará como 0,98 para (Re) en la garganta > 10000.
Problema 3.14. (Orificio)
Por la tubería de acero de 1 ½” se lleva hasta un depósito el benzol procedente del
condensador de una columna de rectificación. Para la medida del caudal de dispone de
un orificio de bordes rectos de 10 mm de diámetro de orificio. Las tomas de presión se
disponen de un diámetro del tubo, antes y después del orificio. El manómetro vertical
empleado tiene agua como líquido denso, siendo la lectura máxima en el de 20 cm y la
mínima obtenida con superficie exactitud 2 cm. Tomando para la densidad del benzol
el valor de 874 kg/m3
, determínese el intervalo de caudales para los cuales pueden
obtenerse medidas satisfactorias.
Problema 3.15. (Orificio)
En una conducción de 10 cm de diámetro interior, por lo que circula agua, se desea
instalar un medidor de caudal. Se dispone de un orificio de 5 cm de diámetro de
orificio.
3- 7
a) Calcular la lectura manométrica en milímetros de mercurio para el caso de que
se instale el orificio indicado y el caudal del agua sea 30 m3
/h.
b) Estimarse la fracción de la variación de la presión que se mide en el manómetro
instalado en el orificio, que puede considerarse como pérdida de carga
permanente.
c) Indique si la instalación del orificio ocasionará una variación apreciable de
caudal, si se sabe que la bomba que hace circular el agua de una carga de 60m.
Variación del coeficiente Co en función de número de Reynolds en el orificio.
Co 0,68 0,69 0,66 0,64 0,62 0,62
Reo 100 1000 2000 4000 10000 100000
Problema 3.16 (orificio)
La boquilla de ducha (shower head) que se muestra en la figura conduce agua a 50 o
C.
Se instala un reductor de tipo orificio. La presión de corriente arriba es constante de
400 kPa. (a) ¿Que caudal de flujo, en gal/minutos resulta sin reductor de orificio?. (b)
Que diámetro de reductor de orificio podría disminuir el flujo en 40 % ?.
Problema 3.17 (Pitot)
Para el arreglo de la presión estática que se muestra en la siguiente figura, el fluido del
manómetro es agua (coloreada) a 20 o
C. Estimar:
3- 8
a) La velocidad en la línea central de la corriente ( velocidad máxima)
b) El caudal de flujo de aire que circula a través de la tubería, y
c) El esfuerzo de corte en la pared considerando un tubo liso.
Problema 3.18 (Pitot)
Para el agua que circula a 20o
C, tal como se observa en la siguiente figura, se utiliza un
Pitot estático para estimar:
a) la velocidad en la línea central de la corriente (velocidad máxima)
b) el caudal de flujo a través de tubería de 5 pulgas de diámetro interior de una
tubería lisa.
c) Cual es el error que causa en el caudal al despreciar 1 ft de diferencia elevación.
Problema 3.19
Un ingeniero quien tomo un curso de mecánico de fluidos en el pasado verano ha hecho
un agujero muy lejos aguas corriente arriba para instalar la presión estática de prueba,
tal como se observa en la siguiente figura, asi contamina ridículamente la medición de
3- 9
pitot con perdida por fricción en la tubería. Si el flujo en la tubería es aire a 20 o
C y 1
atmósfera de presión y el fluido manometrito es aceite rojo de Merian (SG= 0,827),
estimar la velocidad del aire en la corriente central para una lectura dada de un
manómetro de 16 cm. Suponga la pared del tubo es liso.
Problema 3.20 (Pitot)
El profesor responsable de la asignatura de Mecánica de fluidos debe medir la velocidad
del agua en un túnel. Debido a restricciones presupuestales, el no puede disponer de
tubo pitot estático, así que el inserta una sonda de carga total y una sonda de carga
estática, ambos en la corriente principal lejos de las capas de frontera de la pared, tal
como se muestra en la figura,. Las dos sondas son conectadas a un manómetro.
a) Escribe una expresión para la velocidad, V , del túnel en términos de los
parámetros en la figura.
b) ¿Es crítico que h1 debe medirse con precisión?
c) ¿Que tanto se defiere la parte (a) de la formula de tubo pitot estático?
3- 10
Problema 3.21. (Vertetero)
El vertedero que se encuentra encima del canal de bajada de la sección de rectificación
de una columna de destilación tiene un ancho de 1,2 metros sobre el cual fluye un
líquido con una carga de 18 mm. Determine el caudal de flujo que circula a través de
canal de bajada.
Problema 3.22
Un canal rectangular contiene un vertedero tipo ranurado en forma de V, tal como se
muestra en la figura. La intención es
suministrar un flujo que varié entre
2,0 y 6,0 m3
/s. Se mide la
profundidad del agua entre 2,0 y 2,75
metros con un escala de gancho fijado
corriente arriba. Cual es el valor mas
apropiado de la altura de la ranura Y
y el ángulo medio α de la ranura?.
Problema 3.23
El agua que fluye en un canal rectangular va ser atravesado a través de un vertedero de
placa delgada con acortamiento en los lados, ver
figura, con L = 6 ft y Y = 1 ft. Se desea medir el
caudal de flujo entre 1500 y 3000 gal/min con un
cambio de profundidad solamente de 6 pulgadas
en la corriente arriba. ¿Cual es la longitud mas
apropiada para el ancho del vertedero b?. Utilizar
la siguiente correlacion de caudal de flujo:
[ ] ( )
3/2
0,581 0,1 , 0,5
Q b ho g ho ho Y
≈ − <
Problema 3..24
La descarga de coeficiente de vertedero de ángulo recto va ser determinado a través de
un rango de valores de carga medido corriente arriba ho. Para calibrar el vertedero, la
descarga del vertedero se recoge en un tanque y pesado para un intervalo de tiempo.
3- 11
Este procedimiento resulta en la siguiente medición de velocidad de flujo versus la
carga corriente arriba (Nota: de acuerdo a la teoría la carga debe medirse a una distancia
aproximada de 3ho m corriente arriba del vertedero mediante un nivel o un flotador).
Q (ft3
/min) ho (pulgadas)
0,30 1
1,73 2
4,73 3
9,70 4
16,0 5
26,2 6
39,2 7
54,2 8
73,1 9
94,8 10
De los datos anteriores, calcular el coeficiente de descarga versus ho
Para un vertedero triangular de ángulo recto, la velocidad ideal de descarga es:
( )
5/2
8
2
15
i o
Q g h
 
=  
 
Problema 3.25
Un vertedero rectangular de cresta ancha es 30 pies de largo tiene una descarga
conocida de de 0,70. Determinar la descarga si el nivel del agua de la corriente arriba es
2 ft por encima de la cresta.
Problema 3.26
Ensayos sobre un vertedero de ranura en V de 60º reportan los siguientes valores de
carga ho sobre un vertedero y el caudal Q:
ho(ft) 0,345 0,356 0,456 0,537 0,568 0,594 0,619 0,635 0,654 0,665
Q(pcs) 0,107 0,110 0,205 0,303 0,350 0,400 0,435 0,460 0,490 0,520
Utilizar el algoritmo de mínimos cuadrados para determinar las constantes para este
vertedero:
( )m
o
Q C h
=
3- 12
Problema 3.27
En una conducción de 40 cm de diámetro, por lo que circula el aire que se precisa en un
horno, en el que se efectúa una fusión reductora, se desea comprobar el medidor de
caudal de orificio instalado, con la realización de medidas de caudal mediante un tubo
de Pitot.
Se divide la sección de la conducción en cinco zonas de igual superficie (cuatro
coronas y un circulo central) y se mide la velocidad en los puntos medios de las
coronas, y en el punto medio del radio del circulo central y en su centro. Los valores de
las lecturas del manómetro conectado al tubo Pitot son las siguientes:
Posición Radio (cm) Lectura (mm H2O
0 0 34,0
1 4,5 33,0
2 10,8 29,8
3 14,1 26,0
4 16,7 20,7
5 18,9 12,3
Calcúlese:
a) Caudal, la velocidad media y la velocidad máxima.
b) Relación velocidad media a velocidad máxima.
c) Repetir la pregunta (a) y (b) realizando el cálculo de caudal mediante la expresión:
0
2
R
Q v RdR
π
= ∫
Problema 3.28
Para tener un indicación aproximada del caudal de una conducción en que se tiene
garantía de que el flujo es turbulento, se instala un tubo de Pitot en posición central. La
conducción tiene 15 cm de diámetro interno. Se utiliza como liquido manometrito el
mismo fluido que circula por la conducción. La densidad del fluido es 1050 kg/m3
y su
viscosidad 0,02 P.
a) Deduzca la expresión que permite determinar el caudal.
b) Determinar el caudal correspondiente a una lectura manométrica de 15 cm.
3- 13
CAPÍTULO III
SOLUCIÓN DE PROBLEMAS
Problema 3.1.
Ecuación de Bernoulli entre los puntos A y B.
2 2
2
... ...... ...... ....
2
........
2
:
0
0
2 ... 1
2
..( )
A A B B
A B
A
B
A
A B
B
B B
p V p V
z z
g g g g
Simplificaciones
z
z H
V
p p
V
z V gH
g
ρ ρ
+ + = + +
=
= −
=
=
∴ = − 
→ =
Ecuación de Bernoulli entre A y C:
( )..........
2 .. (2)
..
C
V g H g
= +
Ecuación de continuidad entre B y C:
( )
( ) (3)
.................
B o C
B
o
C
Q V xA V xA y
V
A y A
V
= =
 
=  
 
Reemplazando la ecuación (1) y (2) en la ecuación (3):
3- 14
( )
( )
2
( )
2
( )
o
o
gH
A y A
g H y
H
A y A
H y
=
+
=
+
Problema 3.2.
in out
in in out out
in in out out
m m m
xV xA xV xA m
Q V xA V xA
ρ ρ
= =
= =
= =
De acuerdo a esta ecuación de continuidad, es necesario calcular la velocidad a la
salida del orificio ( out
V ).
Ecuación de Bernoulli entre los puntos (1) y (2), despreciando la fricción:
( )
( )
2
2
3
2
2
3 3
........... ........... ...........
.... ........... ........... .........
2 ;
1
2 (*)
2
:
200 1,2617 10
76,2 10 4,5
..
6037 10
4
out out
out out out
o
o
V Vout gH pero Q V A
Q
Q V A A gH H
g A
Donde
m
Q gpm x
s
A x x m
π
−
− −
= = =
 
∴ = = 
→ =  
 
= =
 
= =
 
 
2
(*):
0,39
.
0,4
.
0
Reemplazando en
H m m
= ≈
3- 15
Problema 3.3.
Aplicando la ecuación de Bernoulli entre los puntos (1) y (2):
2 2
1 1 2 2
1 2
1 2
2 2
1 2 2 1
2 2
2 1 1
1
1
2 2
:
( )
. .
...
...........
................................ ............
0 0
4
..
2
2
L
L
p V p V
z z h
g g g g
Simplificaciones
z z Posición horizontal
p p V V
h
g g
V V L
h f
g D
ρ ρ
ρ
+ + = + + +
=
− −
∴ = +
↓
≈ ≈
−
∆ = +
2
1 2
2
2
4
2
V L
f
g D
+
2 2
2 2
exp
2 2
V V
K
g g
+
Se supone que L1 y L2 son tramos cortos y se puede despreciar la pérdida de carga para
tramos de sección uniforme:
2 2 2
2 1 2
exp
... .............. (*)
2 2
..........
V V V
h K
g g
−
∴ ∆ = +
Cálculo de V2=?
De la ecuación de continuidad:
1 1 2 2
2 2 2
1
1 1
2 1 1 1
2
2 2
2
2
4
4 1 4
2
4
4
V A V A
D
A D m
V V V V
A D s
D
m
V
s
π
π
=
   
= = = = =
   
 
 
=
En (*):
De tablas:
3- 16
Para 2
1
0,5
D
D
= ; Kexp=0,33.
( ) ( ) ( )
2 2 2
3 2 2
2
. .
4 1 4
0,33 1,03364
2 9,81 2 9,81
:
998 9,81 1,03364 10119,7284
.
10119,72
. . .
.
8
.
4
h x m de columna de agua
x x
Expresado en presión
kg m kg
P xgx h x x m
m s m s
N
P
m
ρ
−
∆ = + =
∆ = ∆ = =
∆ =
Problema 3.4.
Datos:
1 2 2
2 2
20 14,7 34,7 239310,3448
101325
8 2,4384
lb N
P
pulg m
N
P
m
h pies m
= + = =
=
= =
Aplicando balance de energía entre los puntos (1) y (2):
1
z
2
1 1
2
p V
g g
ρ
+ +
2
2 2
2
1
2
1 2
2 2
1
2
:
0
239310,3448
101325
0
p V
z hf
g g
Simplificaciones
z
z h
N
p
m
N
p
m
V
ρ
= + + +
=
= −
=
=
=
3- 17
( )
2
1 2 2
2
1 2
2
1 2
2
2
2
2
2
2
239310,3448 101325
2 9,81 2,4384
998 9,81
18,01014
p p V
z
g g
p p
V g h
g
p p
V g h
g
V x
x
m
V
s
ρ
ρ
ρ
−
∴ − =
 
−
= − −
 
 
 
−
= +
 
 
−
 
= +
 
 
=
Calculando la rapidez de flujo:
( )
2
2 2 2
3
2
3 3
4
3" 0,0762
18,01014 0,0762 0,08213
4
0,08213 2,90042
Q V xA V x D
D m
m m
Q x m
s s
m ft
Q
s s
π
π
= =
= =
= =
= =
Problema 3.5.
Solución:
Balance de energía entre los puntos (1) y (2):
a) ?
Q =
3- 18
1
z 1
p
g
ρ
+
2
1
2
V
g
+ 2
2
p
z
g
ρ
= +
2
2
2
V
hf
g
+ +
( )
( )
( )
( )
( )
1
2
1 2
1
2
2
2 2 2
2
2
2 2 2 2
3
2 2
.......................
...
(1)
:
0
2,4 3,6 6,0
0
0
:
0 2
2
2 9,81 6,0 10,8498
4
10,8498 0,050 2,13
.... ......
035 10
.
4
Simplificaciones
z
z
p p
V
hf
Luego
V
z V g z
g
m
V x
s
Q V A V x D
m
Q x x
s
π
π −
=
= − + = −
=
≅
=
= + 
→ = −
= =
= =
= =
b) ?
A
P =
A
z
2
2
2
A A
p V
z
g g
ρ
+ + =
2
2 2
2
2
2
2
:
?
101325
?
10,8498
A
A
A
p V
g g
Simplificaciones
z z
p
p
V
V
ρ
+ +
=
=
=
=
=
Cálculo de V1:
( )
( ) ( )
3
2
2 2
2 2
2 2
2 2
2,13035 10
1,2055
0,150
4
2 2
10,8498 1,2055
101325
998 9,81
998 9,81 2 9,81 2 9,81
159341,2 1
...... ......
59,3412
A A A
A
A
A
A
A
A
Q
Q V A V
A
m
x
m
s
V
s
m
p V V
p g
g g g
p x
x x x
p Pa KPa
π
ρ
ρ
−
= 
→ =
= =
 
= + −
 
 
 
= + −
 
 
 
= =
3- 19
Problema 3.6.
Solución:
Balance de energía entre los puntos (1) y (2):
1
z 1
p
g
ρ
+
2
1
2
V
g
+ 2
2
p
z
g
ρ
= +
2
2
2
V
hf
g
+ +
1
2
1 2
1
2 2
2 2
2 2
2
2
(1)
:
0
( )
0
0
:
0
2 2
.......................
... .
....... .......
2
Simplificaciones
z
z X
p p Presión atmosférica
V
hf
Luego
V V
z z
g g
V
X
g
=
= −
=
=
=
= + 
→ − =
=
Cálculo de V2:
( )
3
3
2
2 2
2
2
5,6 10
11,4082
0,025
4
:
11,4082
6,6334
2 9,81
m
x
Q m
s
V
A s
m
Luego
m
s
X m
m
x
s
π
−
= = =
 
 
 
= =
3- 20
Balance de energía entre los puntos (1) – (A):
1
z 1
p
g
ρ
+
2
1
2
V
g
+ A
z
=
2
1
2
A A
A
p V
hf
g g
ρ
−
+ + +
1
1
1
1
2
2
:
0
0 ( )
0
:
0
..
2
2
A
A
A A
A
A
Simplificaciones
z z
V
p Manométrica
hf
Luego
p V
g g
V
p g
g
ρ
ρ
−
=
=
=
=
= +
 
= −  
 
Cálculo de VA:
( )
3
3
2 2
2
2
2
5,6 10
2,8521
0,050
4
2,8521
:
2,8521
998 9,81 4059,1027
2 9,81
A
A
m
x
Q m
s
V
A s
m
m
V
s
Luego
m
s
p x Pa
m
x
s
π
−
= = =
=
 
 
 
 
 
 
= − = −
 
 
 
Balance de energía entre los puntos (A) y (B):
A
z
2
2
A A
p V
g g
ρ
+ +
2
2
B B
B
p V
z
g g
ρ
= + + A B
hf −
+
( )
:
0
0
:
4059,1027 18000
1,4239
998 9,81
1,4239
A
A B
A B
A B
B
Simplificaciones
z
V V
hf
Luego
p p
z Y
g
Y m
x
Y m
ρ
−
−
=
=
=
= =
− − −
= =
=
3- 21
Problema 3.7.
Cuando el tanque está abierto (Presión atmosférica).
Ecuación de Bernoulli entre los puntos (1) y (2):
1
z 1
p
g
ρ
+
2
1
2
V
g
+ 2
z
=
( )
2
2 2
1
2 2
1 2
1
2
2
2 2 2
2
.. . .
.. ..
.
2
:
0 ( )
( )
0 ( )
:
0 2
2
. . . .
..
.. ..
.......................... 2
......
T orificio
p V
g g
Simplificaciones
z Nivel de referencia
z H H z
p p Abierto a la atmósfera
V D d
Luego
V
z V g z
g
V gH
ρ
+ +
=
= − 
→ = −
=
= >>
= + 
→ = −
=
Caudal a través del orificio, supongamos d=diámetro del orificio, por tanto:
2 2
orif orif
Q V xA A gH
= =
Ahora para la condición cuando el respiradero está cerrado, y el caudal es necesario
duplicar y para lo cual hay necesidad de presurizar el tanque:
Sea: 2 2
orif
Q A gH
=
Igualmente se plantea la ecuación de Bernoulli:
3- 22
2 2
1 1 2 2
1 2
1
2
1
2
2 2
1
2
2
1 2 2
2
2 2
:
0 ( )
10 3,048
?
101325 / ( ,
.. . .
.. . . : 0)
. .
:
.
0
0
2
.
p V p V
z z
g g g g
Simplificaciones
z Nivel de referencia
z H ft m
p
p N m Cuando es presión absoluta pero si es manométrica p
V
V
Luego
p p V
z
g g g
ρ ρ
ρ ρ
+ + = + +
=
= − = =
=
= =
=
≠
= + +
Consideremos que todo sea manométrica, entonces:
2 0
p =
Por tanto:
2
1 2
2
2
p V
z
g g
ρ
= +
Se sabe que:
2
2
2 2 ,
2
.
orif
orif
orif
orif
Q A gH pero
Q V A
A
Q
V
A
=
=
= =
2
orif
gH
A
2
2 2
2 2 9,81 3,048 15,4663
gH
m
V x x
s
=
= =
Finalmente:
( )
( )
2
1 1
1
1
2
3
1 1
2
.. ..
.. ..
.. .
15,4663
3,048 12,1919
2
9,1439 9,1439
: 1000 ( )
89702,33 1
. .
.. .. 3,013
p p
H
g xg g
p
p x xg
g
kg
Sea Densidad del H O manométrica
m
N
p p psig
m
ρ ρ
ρ
ρ
ρ
= − + 
→ = − +
= 
→ =
=
= 
→ =
3- 23
Problema 3.8.
Primero calculo la presión en el punto (1):
1 101325 8
atm
p p hx xg ft
ρ
= + = +
0,3048
1
m
x
f 3 2
1
1 2
1000 9,81
101325 8 00,3048 1000 9,81
125245,70 ( )
Kg m
x x
m s
t
p x x x
N
p Absoluta
m
= +
=
Si es manométrica: 0
atm
p =
1 2
23920,70
N
p
m
=
Cálculo del caudal:
Ecuación de Bernoulli entre los puntos (1) y (2):
3- 24
( )
2 2
1 1 2 2
1 2
1
2
1
1 2
2
2
2 2 2
2
2
2 2
:
0 ( )
3
0
( )
:
0 2
2
2 9,81 3 0,3048
4,23563
.. . .
..
.. ..
p V p V
z z
g g g g
Simplificaciones
z Nivel de referencia
z ft
V
p p Atmósferica
Luego
V
z V g z
g
V x x x
m
V
s
ρ ρ
+ + = + +
=
= −
=
=
= + 
→ = −
=
=
Finalmente se tiene que:
( )
2
2 2
3
5
4,23563 0,2 0,0254
4
8,58 10
................
0,085 ..
8 // .
......
Q V xA x x
m
Q x
s
L
Q R
s
π
−
 
= =  
 
=
=
Cálculo de presión en los puntos (3) y (2):
Primero calculamos la presión en el punto (3).
3- 25
Ecuación de Bernoulli entre los puntos (3) y (a):
3'
z
2
3' 3'
2
p V
g g
ρ
+ + a
a
p
z
g
ρ
= +
2
2
a
V
g
+
( )
( )
3
3'
3'
3'
3'
3' 2
3 3'
:
0 ( )
3 3 0,3048
0 ( )
( )
:
3 0,3048 1000 9,8
.. . .
.. .
..
.
1
8970,26
:
. .
.
(
.
a
a
a
a a
Simplificaciones
z Nivel de referencia
z ft x m
p Considere manométrica
V V D constante
Luego
p
z p z g
g
p x x x
N
p
m
pero p p mismo niv
ρ
ρ
=
= − = −
=
= =
= 
→ =
= −
= −
= )
el
Segundo calculamos la presión en el punto (2), como se puede observar en la figura, la
presión en l punto (2) es presión de succión; igual planteamos la Ec. de Bernoulli entre
los puntos (3) y (2):
2
3 3'
3
2
p V
z
g g
ρ
+ + 2
z
=
2
2 2
2
p V
g g
ρ
+ +
2
3
3
3 2
3
2
3
2
:
0 ( )
8 0,3048
3 0,3048 1000 9,81
( )
:
3 0,3048 1000 9,81
8 0,3048
1000 9,81
3 0,3048 1000 9,81
8 0,3048
100
.. . .
.. .
0 9,
.
Simplificaciones
z Nivel de referencia
z x m
p x x x
V V mismo diámetro D cte
Luego
p
p x x x
z x
g g x
x x x
p x
x
ρ ρ
=
= +
= −
= =
= + = −
= −
2 2
1000 9,81
81
14950, ........
44 //
................ .
.
x x
N
p R
m
 
 
 
=
3- 26
Problema 3.9.
Ecuación de Bernoulli entre los puntos (1) y (2):
2 2
1 1 2 2
1 2
1 2
2 2
1 2 2 1
2
:
2 2
.
2
p V p V
z z
g g g g
Simplificaciones z z
p p V V
g g g
ρ ρ
ρ
+ + = + +
=
−
= −
Por la ecuación de continuidad:
1
4
V
π
( )
2
1 2
4
D V
π
= ( ) ( ) ( )
2 2 2
2 1 1 2 2
2 4
2 2
1 2 1 1
2 1
2 2
4 4
2 2 2
1 2 1 1 1 1 1
2 2
1 2
2 2
:
1
2 2
.. ..
.. .
2
.
D V D V D
D V V D
V V
D g g D
Luego
p p V D V V D
g g D g g D
p p
g
ρ
ρ

→ =
   
= 
→ =
   
   
 
   
−
 
= − = −
   
 
   
 
− 2
1
2
V
g
=
( )
4
1
2
1 2
1 4
1
2
.......................... ...
1
1
2 (1)
1
D
D
p p
V Ideal
D
D
ρ
 
 
 
−
 
 
 
 
−
=
 
−
 
 
Como no se conoce D2 y ahora hacemos uso de la relación de contracción:
2
2 0
0
.. ..
c c
A
C A C A
A
= 
→ =
La Ec. (1) puede escribirse también como:
( )
1 2
1 2
1
2
1
2
1
p p
V
A
A
ρ
−
=
 
−
 
 
3- 27
Reemplazando el valor de 2 0
c
A C A
= :
( )
1 2
1 2
1
0
1
2
1
c
p p
V
A
C A
ρ
−
=
 
−
 
 
Para un caudal real:
( )
( )( ) ( )
1 2
0 1
1 1 2
1
0
2
0 1 1 2
4
1
0
2
1
:
4 2
1
p p
C xA
V xA
A
A
ó
C x D p p
Q
D
d
ρ
π
ρ
−
=
 
−
 
 
−
=
 
−
 
 
Datos:
1 2 2
D pulg pulg
= =
2,54
1
cm
x
pulg
1
0
1 2 2
5,04
0,0504
0,63
2,37
cm
D m
C
lb
p p
pulg
=
=
=
− =
1atm
x
2
14,7
lb
pulg
2
101325
1
N
m
x
atm 2
16336,07
30
N
m
gal
Q
=
=
min
3,785 L
x
1 gal
3
1
1000
m
x
L
1min
x
3 3 3
3
2
3
60
30 3,785 10
1,8925 10
60
1000 ( )
.
s
x x m m
Q x
s s
kg
H O
m
ρ
−
−
= =
=
Reemplazando datos:
( )( )
2
3
0
0,63 0,0504 16336,07
4
1,8925 10 2
1000
2,0
1
x
x x
d
π
−
=
 
−
 
 
Por aproximaciones sucesivas se calcula d0:
0 0,1298
d pulg
=
3- 28
Problema 3.10.
Ecuación de Bernoulli entre los puntos (1) y (2):
2 2
1 1 2 2
1 2
1 2
2 2
1 2 2 1
2 2
: (
2 2
.
...
)
.
p V p V
z z
g g g g
Simplificaciones z z horizontal
p p V V
g g g
ρ ρ
ρ
+ + = + +
=
−
∴ = −
De la ecuación de continuidad:
4
2 2
1 2 1 1
1 1 2 2 2 1
2 2
4 4
2 2 2
1 2 1 1 1 1 1
2 2
1 2
.. .. .. .
2 2
:
1
2 2 2
.
A V V D
V A V A V V
A g g D
Reemplazando
p p V D V V D
g g D g g D
p p
g
ρ
ρ
   
= 
→ = 
→ =
   
   
 
   
−
 
= − = −
   
 
   
 
− 2
1
2
V
g
=
( )
4
1
2
1 2
1 4
1
2
1
1
2
1
D
D
p p
V
D
D
ρ
 
 
 
−
 
 
 
 
−
=
 
−
 
 
Caudal:
( )
( )( ) ( )
1 2
1
1 1 4
1
2
2
1 1 2
1 2
4
1
2
2
1
4 2 , :
1
..
p p
A
V xA
D
D
D p p
Q pero p p hx xg
D
D
ρ
π
ρ
ρ
−
=
 
−
 
 
−
= − = ∆
 
−
 
 
3- 29
Supongamos que no hay pérdida por fricción:
( )( )
2
1
4
1
2
4 2
1
D hx
Q
D
D
π ρ
∆
=
 
−
 
 
( )
xg
ρ
( )( )
2
1
4
1
2
4 2
1
D
Q g h
D
D
π
= ∆
 
−
 
 
Datos:
1
2
0,1
0,2
D m
D D
h m
=
=
∆ =
Luego:
( )( )
2
4
2 3
4 4
0,1
4 2 9,81 0,20
0,1
1
0,015
............
6
// .
10
Q x x
D
D m
Q R
s
D
π
−
=
 
−
 
 
=
−
Problema 3.11.
Datos: DT = 1,52 m Aceite algodón: ρ = 917 kg/m3
HT = 7,62 m
D2 = 15,8 mm (Tobera de descarga)
H1 = 6,1 m
H2 = 4,57 m
Para la figura mostrada:
3- 30
a) De la ecuación de Bernoulli:
g
v
g
p
Z
g
v
g
P
Z
2
2
2
2
2
2
2
1
1
1 +
+
=
+
+
ρ
ρ
Simplificaciones:
Z1 = 0 (nivel de referencia)
Z2 = - H
p1 = p2
v1 = 0
v2 ≠ 0
Ecuación de Bernoulli se simplifica a:
0 = -H + H
g
v
g
v
2
2
2
2
2
=
⇒
Caudal: Q = v2 A2 = 2
2
2 )
(
4
v
D
π
b) Caudal de descarga cuando H = 6,1 m
1
,
6
2
2 x
g
v = = 10,9399 m/s
Q = 10,9399(m/s)x 3 2 3 3 3
[15, 10 ] 2,1449 10 2,1449 10 2,1449 10 /
4
x x x x m s
π − − − −
= − = =
Q = 2,1449 L/s
c) Tiempo de drenaje
Se sabe que:
2
2
2 2 A
x
H
g
A
v
Q
A
dt
H
d
desc
T =
=
=






−
[ ] t
A
A
g
H
H
dt
A
A
g
H
dH
T
T
H
H








=
−
⇒








=
− ∫
∫
2
2
1
2
2
1
2
2
2
( ) ( )








−
=
⇒






−
=
2
2
1
2
2
1
2
2
2
2
A
A
g
H
H
t
A
A
g
H
H
t T
T
t ≡ 3000 segundos
3- 31
Problema 3.12.
Primeramente planteamos la ecuación de Bernoulli entre los puntos (1) y (2)
2
2
2
2
2
2
2
1
1
1
v
p
Z
g
v
P
Z
g +
+
=
+
+
ρ
ρ
(1)
Simplificaciones: Z1 = Z2 (plano de referencia)
2
2
2
1
2
2
2
1 v
v
p
p
−
=
−
∴
ρ
(2)
De la ecuación de continuidad
v1 A1 = v2 A2 (3)
4
2
1
2
1
2
2
2
2
2
1
1
2 







=
⇒








=
d
d
v
v
d
d
v
v (4)
Reemplazando (4) en (2):








−








=
−
⇒
−








= 1
)
(
2
2
2
4
2
1
2
1
2
1
2
1
4
2
1
2
1
2
1
d
d
v
p
p
v
d
d
v
p
p
ρ
ρ
Donde:
ρ
p
d
d
v
∆
−








= 2
1
1
4
2
1
1 (Velocidad ideal) (5)
ρ
p
d
d
Cv
v
∆
−








= 2
1
4
2
1
1 (Velocidad real) (6)
3- 32
Donde:
ρ
p
d
d
v
Cv
∆
−








=
2
1
4
2
1
1
(7)
Se sabe: Q = v Af → v1 = Q/Af
2
1
2
1
2
1
1
4
4
4
/
D
Q
D
Q
D
Q
v
π
π
π
=
=






= (8)
y )
( ρ
ρ
ρ −
∆
=
∆
∆
=
∆ Hg
g
h
g
h
p (9)
Reemplazando (8) y (9) en (7):
( )
H
Q
g
d
d
D
g
h
d
d
D
Q
Cv
Hg
Hg ∆
−
−














=
−
∆
−














=
)
1
/
(
2
1
4
)
(
2
1
4
4
2
1
2
1
4
2
1
2
1
ρ
ρ
π
ρ
ρ
ρ
π
Reemplazando datos:
H
Q
Cv
∆
−
−












=
)
1
999
/
13600
(
81
,
9
2
1
25
50
)
050
,
0
(
4
4
2
π
H
Q
Cv
∆
= 3854
,
125
Corrida Cv v Re
1 0,9786
2 0,9781
3 0,9767
4 0,9749
5 0,9796
Cv = 0,97758 → Cv ≈ 0,98
b) Diseño.
Datos: D1 = 102,3 mm
∆H = 1,0 m Hg
Q = 0,0207 m3
/s
3- 33
Para determinar el diámetro de la garganta (D2), utilizaremos la ecuación de venturi
(Ec. 6).
ρ
p
d
d
Cv
v
∆
−








= 2
1
4
2
1
1 (I)
Donde, ∆p = ∆H g ∆ρ = ∆H g [ρHg – ρ] (II)
Reemplazando (II) en (I):
]
1
/
[
2
1
4
2
1
1 −
∆
−








= ρ
ρHg
H
g
d
d
Cv
v
Además se sabe que:
Q = v1 A1 ; A1 = (π/4) D1
2
]
1
/
[
2
1
4
2
1
1
−
∆
−








= ρ
ρHg
H
g
d
d
A
Cv
Q
Despejando:
]
1
/
[
2
)
4
/
(
1
2
1
4
2
1
−
∆
=
−








ρ
ρ
π
Hg
H
g
Q
D
Cv
D
D
Reemplazando datos:
]
1
999
/
13600
[
0
,
1
81
,
9
2
0207
,
0
)
1023
,
0
)(
4
/
(
98
,
0
1
3
,
102 2
4
2
−
=
−








x
x
D
π
474
,
2
)
4742
,
36
(
3
,
102
1
)
1216
,
6
(
3
,
102 4
/
1
2
2
4
2
=
=
⇒
−
=








D
D
D2 = 102,3/2,4741 → D2 ≡ 41 mm
Problema 3.13.
1. Calculamos el número de Reynolds en la conducción:
3
Re 1,2 1,2 10 /
v D
cp x kg mxs
ρ
µ
µ
−
= = =
3- 34
Máximo: Re = mxs
kg
x
m
x
s
m
m
kg
/
3
3
10
2
,
1
20
,
0
)
/
(
2
)
/
(
1000
−
Re = 333333
Mínimo: Re = 3
10
2
,
1
20
,
0
2
,
0
1000
−
x
x
x
Re = 33333
El número de Reynolds en la sección ancha supera en las descasos al número de
Reynolds en la garganta, por tanto puede admitirse que Cv = 0,98
Empleando la ecuación de medición de caudal del Venturi se tiene:
ρ
)
(
2
1
2
1
2
2
1
1 p
p
A
A
A
Cv
Q
−
−








=
Expresado en forma de velocidad y relación de diámetro: v1 = Q/A1
2
2
1
4








=






A
A
d
D
Luego se tiene:
ρ
)
(
2
1
2
1
2
1
p
p
d
D
Cv
v
−
−






=
Para lectura manométrica tipo piezómetro tenemos:
p1 – p2 = h ρ g
g
h
Cv
d
D
v 2
1
4
1 =
−






g
h
d
D
Cv
v
2
1
4
1
=
−












Despejando h:
g
Cv
v
d
D
h
2
1
1
2
1
4














−






=
Reemplazando datos:
d/D = 0,8 → ó D/d = 1/0,8 = 1,25 → (D/d)4
≡ 2,44
cm
m
x
h 6
,
30
306
,
0
81
,
9
2
1
98
,
0
0
,
2
]
1
44
,
2
[
2
max =
=






−
=
3- 35
cm
m
x
h 30
,
0
00356
,
0
81
,
9
2
1
98
,
0
2
,
0
]
1
44
,
2
[
2
min =
=






−
=
d/D = 0,60 → D/d = 1/0,60 = 1,66 → (D/d)4
≈ 7,71
cm
m
x
h 142
42
,
1
81
,
9
2
1
98
,
0
0
,
2
]
1
71
,
7
[
2
max =
=






−
=
cm
m
x
h 42
,
1
0142
,
0
81
,
9
2
1
98
,
0
2
,
0
]
1
71
,
7
[
2
min =
=






−
=
0
,
39
5
,
2
40
,
0
4
=






→
=
⇒
=
d
D
d
D
D
d
Reemplazando en forma similar:
hmax = 8,04 m = 804 cm
hmin = 0,08 m = 8 cm
Problema 3.14.
Datos:
D = 1 ½”
do = 10 mm (bordes rectos)
∆h = 20 cm (máximo)
∆h = 2 cm (mínimo)
ρ = 874 kg/m3
ρm = 998 kg/m3
(agua con líquido manométrica)
Qmin = ?
3- 36
Qmax = ?
La ecuación deducida para un medidor de orificio viene dada por la siguiente expresión:
ρ
)
(
2
1
2
1
4
1
p
p
do
D
Co
v
−
−






= (1)
Para un líquido manométrico.
p1 - p2 = ∆h g [ρm - ρ] (2)
Reemplazando en la Ec. (1):
]
1
[
2
1
4
1 −
∆
−






=
ρ
ρm
h
g
do
D
Co
v
De la referencia de “Problemas de Ing Química” pag. 47 de Vian Ocon, el valor de
Co = 0,61 (bordes rectos) cuando Re > 30000 (en el orificio). Como primera
aproximación supongamos este valor.
De tabla A- 19 (Vian Ocon, “Problemas de Ing. Qca”
Para D = 1 ½” 
→ Di = 40,9 mm
Para ∆h = 20 cm de agua
]
1
874
998
[
20
,
0
81
,
9
2
1
10
9
,
40
61
,
0
4
1 −
−






=
v
v1 = 0,02725 m/s Q = v1 x Af = 0,02725 x π/4 (0,0409)2
Q = 3,5811x10-5
m3
/s
Q = 0,130 m3
/s
Para ∆h = 2 cm de agua:
]
1
874
998
[
020
,
0
81
,
9
2
1
10
9
,
40
61
,
0
4
2 −
−






=
v
v2 = 8,619463x10-3
m/s Q = v x A = 8,619463x10-3
x π/4 (0,0409)2
Q = 1,1324x10-5
3- 37
Q = 4,07x10-2
m3
/h
Q = 0,0407 m3
/h
Verificación del mínimo número de Reynolds:
µ
ρ D
x
v
x
=
Re
Aquí la única incógnita es la viscosidad del benzol:
Problema 3.15.
El caudal de circulación en el orificio se calcula como:
ρ
)
(
2
1
2
1
4
p
p
do
D
Co
vo
−






−
=
Para el caso de lectura manométrica
p1 – p2 = h x g (ρm – ρ)
81
,
9
2
)
62
,
0
(
]
)
10
5
(
1
[
)
24
,
4
(
2
4
2
2
1
x
x
p
p
−
=
−
γ
O
H
de
m
p
p
2
2
1
23
,
2
=
−
γ
En columnas de mercurio, el cálculo es como sigue:
p1 – p2 = h x g x (ρm – ρ)
γ = ρ x g
Reemplazando:
23
,
2
)
(
=
−
−
g
g
x
h m
ρ
ρ
ρ
h = 2,23 (ρ/ρm – ρ) ρ = 1000 kg/m3
(agua), ρm = 13600 kg/m3
(Hg)
h = 2,23 (1000/(13600-1000))
h = 0,1769 m de Hg h = 17,7 cm de Hg
b) Como primera aproximación se puede admitir como:
total
p
Temporal
p
∆
∆
= Co
2
= 0,62 = 0,38
Por tanto ∆p permanente/∆p temp = 1 – 0,38 = 0,62 
→ 62 %
3- 38
c) La lectura de variación de presión en el orificio supone una pérdida de presión
permanente próxima a 2,23 m de H2O x (0,62) = 1,382 m de H2O frente a los 60
metros de carga que suministra la bomba, supone en:
(1,382/6,0) x 100 = 23 %
Este valor es poco importante en forma relativa, pero el consumo de energía en la
lectura es grande.
Problema 3.16
Datos: Para agua: T = 50 o
C
3
988 /
0,54 3 /
kg m
E kg ms
ρ
µ
=
= −
Además, suponga que la carga de la boquilla de la ducha es un pobre difusor, así que la
presión en la boquilla, también es cerca de 400 kPa.
Suponga que la presión exterior es estándar a nivel del mar de 101 kPa. De los
resultados de ensayo realizado en un banco de medidor de flujo se ha determinado para
un “orificio típico” un valor de Co = 0,61 (ver parte teórica Cap III, Fig. 3.7) , luego el
balance planteado para un orificio de la ducha de acuerdo al siguiente esquema es :
3- 39
1
z
2
1 1
2
2
p V
z
g g
ρ
+ + =
2
2 2
2 2
1 2 2 1
2
:
( ) 0
2 2
p V
g g
Simplificaciones
z despreciable
p p V V
g g g
ρ
ρ
+ +
∆ = =
−
= −
Ecuación de continuidad:
4
2 2
1 2 2
1 1 2 2
1
2 2
V V D
Qorificio V A V A
g g D
 
= = ⇒ =  
 
Combinando con la ecuación anterior:
4 4
2 2 2
1 2 2 2 2 2 2
1 1
1
2 2 2
p p V V D V D
g g g D g D
ρ
 
   
−
 
= − = −
   
 
   
 
( )
1 2
2 4
2
1
2
1
1
p p
V
D
D
ρ
−
=
 
− 
 
De la definición de contracción (ver el esquema anterior) se establece:
2
2
c c
D
C D C do
do
= ⇒ =
Reemplazando
( )
1 2
2 4
1
2
1
1 c
p p
V
C do
D
ρ
−
=
 
− 
 
Calculo de caudal:
3- 40
( ) ( ) ( )
2
2
1 2 1 2
2
2 2 4 4
1 1
2 2
4
1 1
c c
D
p p p p
A
Q V A
C do C do
D D
π
ρ ρ
− −
= = =
   
− −
   
   
Reemplazando el valor de D2= Cc do
( ) ( )
2
1 2
4
1
2
4
1 c
Ccdo p p
Q
C do
D
π
ρ
−
=
 
− 
 
Introduciendo la pérdida de carga
( ) ( ) ( ) ( )
2
2
1 2 1 2
4 4
1 1
2 2
4
4
1 1
c
do Co
Ccdo p p p p
Q
C do do
D D
π
π
ρ ρ
 
 
− −
 
= =
   
− −
   
   
O es lo mismo expresar como:
( ) ( ) ( ) ( )
2 2
1 2 1 2
4 4
1
1
2 2
4 4
,
1
1
orificio
do Co do Co
p p p p do
Q
D
do
D
π π
β
ρ ρ
β
   
   
− −
   
= = =
−
 
− 
 
Simplificación: como 1
1
0
do
do D
D
β
<<< ⇒ = ≅
Reemplazando datos:
( )
( )
( )
2 2
1 2
4
(0,0015) 0,61
2 2(400000 101000
4 4
988
1 0
1
orificio
do Co x
p p
Q
π π
ρ
β
   
 
  − −
   
= =
−
−
3- 41
3
2,65 5 /
orificio
Q E m s
= −
( )
3 3
45 45 2,65 5 / 0,00119 / 19 /min
total orificio
Q Q x E m s m s gal
= = − = =
A continuación, verificamos el número de Reynolds en la tubería de entrada:
( )
2
Re
4
total total
D
D D
D
Q Q
V D
V
A
D
ρ
π
µ
= ⇒ = =
 
 
 
Reemplazando: 3
0,00119 / , 15
total
Q m s D cm
= =
( ) ( )
3
2 2
0,00119 /
0,015
4 4
6,734 /
total total
D
D
D
Q Q m s
V
A
D
V m s
π π
= = =
   
   
   
=
3
988 6,734 6,734
Re Re 182112
0,548 10
D
D D
V D x x
x
ρ
µ −
= ⇒ = =
De acuerdo a la Fig. 3,7 (Parte teórica), el valor de 0,60 , Re 180000
D
Co ≅ >
Luego, nuevamente recalculamos con el nuevo valor de Co:
( )
( )
( ) ( )
2 2
1 2
4
(0,0015) 0,60
2 2 400000 101000
4 4
988
1 0
1
orificio
do Co x
p p
Q
π π
ρ
β
   
 
  − −
   
= =
−
−
3
2,6085 5 /
orificio
Q E m s
= −
3 3
45 45 2,6085 5 / 0,001173 /
total orificio
Q Q x E m s m s
= = − =
a) ( )
3
0,001173 / 18,6 /min Re .
total
Q m s gal sp
= ≅
b). Una reducción de 40 % podría producir un caudal de:
3- 42
3 4 3
0,60 (0,001173 / ) 7,004 10 /
Total
Q x m s x m s
−
= =
Luego el caudal para cada orificio corresponde:
5 3
1,57 10 /
45
Total
Orificio
Q
Q x m s
−
= =
A continuación podemos calcular la caída de presión que produce los orificios, y para el
cual planteamos el siguiente esquema:
( )
( )
( )
( )
( )
2
1 2
4
2
5
2 1 1 2 2
1
2
4
1
(0,0015) 0,60
2( )
4
1,57 10
988
1 0
108000
108 000 108000 , 101000 ( .)
108000 101000 209000
orificio
do Co
p p
Q
x
p
x
p Pa
p p Pa p p pero p atm
p Pa
π
ρ
β
π
−
 
  −
 
=
−
 
  −∆
 
=
−
−∆ =
− − = ⇒ = + =
= + =
Luego la presión: 1 arg int ,
c a erior del difusor
p p ver esquema
=
3- 43
Luego el reducidor de flujo debe disminuir la presión de entrada (400 kPa) hasta esta
presión (209 kPa).
A continuación calculamos el diámetro de reductor de flujo de acuerdo al siguiente
esquema:
La ecuación a utilizar es la misma que de un orificio, así tenemos la siguiente expresión
definido de acuerdo al esquema anterior:
( ) ( )
( ) ( )
( )
2
1
4
2
1
4
2
4
4
2
4
2
4
, ,
1
2
4
1
(0,015 ) 0,61
2 400000 209000
4
7,04 10
988
1
0,3321
1
Total
Total
d Co
p p d
Q d D
D
D Co
p p
Q
x
x
π
β β
ρ
β
π
β
ρ
β
π
β
β
β
β
−
 
  −
 
= = ⇒ =
−
 
  −
 
==
−
 
  −
 
=
−
=
−
3- 44
A continuación planteamos el metodo de solucion:
Sea la funcion objetiva:
2
0,3321 0
1 4
Fo
β
β
= − =
−
(sup )
uesto
β ( )
Fo calculado
0,40 0,17
0,50 0,07390
0,60 -0,05370
0,56 0,00184
0,561 0,000053 0
≅
Luego:
0,561
d
D
β
β
=
=
0,561 1,5( ) 0,842 Re .
d D x cm cm sp
β
= = =
Problema 3.17
Datos:
Para aire: T = 20 o
C y P = 1 atm.
3
1,2 /
1,8 5 /
kg m
E kg ms
ρ
µ
=
= −
Para agua: T = 20 o
C
3
998 /
1,0 3 /
kg m
E kg ms
ρ
µ
=
= −
Representaron esquemática del problema:
3- 45
a) Planteo de ecuación de Bernoulli entre los puntos (1) y (2)
1
z
2
1 1
2
2
p V
z
g g
ρ
+ + =
2
2 2
2
p V
g g
ρ
+ + L
h
+
( )
0
1 2
2
2
. .
:
( )
0
Simplificaciones
z z Posición horizontal
V posicion estatica
=
=
( )
1
0 , min max
2
L
h posicion central la perdida por friccion es ima y la velocidad es ima
p
V
ρ
=
∆
=
Calculo de p
∆
( )
1
'
aire
po po
p r x g
ρ
=
+ + [ ]
2 2
0,040 H O
x g p r x
ρ
+ = + +
( )
[ ]
2
2 1
0,040
0,040 0,040 9,8 998 1,2
391
aire
H O aire
g
p p xg x x
p Pa
ρ
ρ ρ
+
 
− = − = −
 
∆ =
Luego 1 max
2 2 391
25,5 /
1,2
aire
p x
V V m s
ρ
∆
= = = =
b) El caudal de aire que circula por la tubería:
3- 46
Primero suponemos que:
ax
0,85 21,7 /
promedio m
V V m s
= =
Ahora verificamos con la ecuación de Prandtl:
max
1 1,33
promedio
D
V
V
f
=
 
+
 
(1)
donde fD es factor de fricción de Darcy y es igua a:
4 ( )
D F
f f factor de friccion de Fanning
=
F
f f
D
ε
=
[ ]
0
, Re
tubo liso
 
 
 
 
Calculo de numero de Reynods, Re
( )( )
3
1,2 21,7 0,08
Re 115700
1,8 5
4,3672 10 , 4 0,00175
F D F
V D
E
f x f f
ρ
µ
−
= = =
−
= = ≅
Reemplazando los datos en la Ec. (1):
( ) ( )( )
max
2 3
25,5
21,69 / ( )
1 1,33 1 1,33 0,0175
21,69 0,08 0,109 /
4
promedio
D
promedio
V
V m s converge
f
Q V A x m s
π
= = =
   
+ +
   
= = =
c) Calculo de esfuerzo de corte en la pared:
( )( )
2
2 0,0175
1,2 21,69 1,23
8 8
D
W
f
V Pa
τ ρ
 
= = =
 
 
3- 47
Problema 3.18
Datos: Para agua: T = 20 o
C:
3
998 /
1,0 3 /
kg m
E kg ms
ρ
µ
=
= −
Representaron esquemática del problema:
A
z
2
2
A A
A
p V
z
g g
ρ
+ + =
2
2
B B
p V
g g
ρ
+ +
( )
2
:
0
1,0 0,3048
0
L
A
B
B
h
Simplificaciones
z
z ft m
V posicion estatica
+
=
= − = −
=
( )
1
1
2
2 ( )
0 , min max
2
2 ( )
B L
L
B
p
V g z h
h posicion central la perdida por friccion es ima y la velocidad es ima
p
V g z
ρ
ρ
∆
= + +
=
∆
= +
Calculo de p
∆
3- 48
'
B
po po
p x
=
+ ( ) 2
0,0508 0,3048
H O A
g p x
ρ
+ = + +
( )
( ) ( )
( ) ( ) ( )
( ) [ ]
( )
( )
2
2 2
2 2
0,0508
0,0508 0,3048 0,0508
0,3048 0,0508
0,3048 998 9,8 0,0508 9,8 13600 998
2981,06 6273,78
9254,84
H O Hg
B H O A H O Hg
B A H O Hg H O
B A
B A
B A
g xg
p g p g g
p p g g
p p x x x x
p p Pa
p p Pa
ρ ρ
ρ ρ ρ
ρ ρ ρ
+
+ = + +
 
− = + −
 
− = + −
− = +
− =
Reemplazando datos:
1
1
2 9254,84
2 9,8 ( 0,3048)
998
3,54 / 11,63 / max
x
V x x
V m s ft s V
= − +
= = =
b). El caudal de aire que circula por la tubería:
Primero suponemos que:
ax
0,85 3,009 /
promedio m
V V m s
= =
Ahora verificamos con la ecuación de Prandtl:
max
1 1,33
promedio
D
V
V
f
=
 
+
 
(1)
donde fD es factor de fricción de Darcy y es igua a:
4 ( )
D F
f f factor de friccion de Fanning
=
F
f f
D
ε
=
[ ]
0
, Re
tubo liso
 
 
 
 
3- 49
Calculo de numero de Reynods, Re, considerando diámetro de la tubería D = 5
pulgadas = 0,127 metros.
( )( )
3
998 3,009 0,127
Re 381378,7
1,0 3
3,4592 10 , 4 0,01383
F D F
V D
E
f x f f
ρ
µ
−
= = =
−
= = ≅
Reemplazando los datos en la Ec. (1):
( ) ( )( )
max
2 3
3,54
3,06 / 10,04 / ( )
1 1,33 1 1,33 0,01383
3,06 0,127 1,37 /
4
promedio
D
promedio
V
V m s ft s converge
f
Q V A x m s
π
= = = =
   
+ +
   
= = = =
c). Porcentaje de error causado en caso de omitir la diferencia de altura:
( )
1
1
2
2 ( )
0 , min max
0 ( )
2
B L
L
B
p
V g z h
h posicion central la perdida por friccion es ima y la velocidad es ima
z se omite
p
V
ρ
ρ
∆
= + +
=
=
∆
=
Calculo de nuevo valor de p
∆
'
B
po po
p x
=
+ ( ) 2
0,0508 0,3048
H O A
g p
ρ
+ = +
0 seomite
x
+
( )
( ) ( )
2
2
0,0508
0,0508
H O Hg
B A Hg H O
g xg
p p g
ρ ρ
ρ ρ
+
 
− = −
 
3- 50
( ) [ ]
( )
0,0508 9,8 13600 998
6273,78
B A
B A
p p x x
p p Pa
− = −
− =
Reemplazando datos:
1
1
2 6273,78
998
3,54 / 11,61 / max
x
V
V m s ft s V
=
= = =
El error cometido al no considerar la altura de 1 ft es :
( )
3,54 3,06
% 100 15,7%
3,06
Error x
−
= =
Problema 3.19
Escribiendo la ecuación de Bernoulli entre los punto A-B y considerando la pérdida de
energía para una longitud muy grande, se tiene:
Datos:
Para aire: T = 20 o
C y P = 1 atm.
3
1,2 /
1,8 5 /
kg m
E kg ms
ρ
µ
=
= −
Esquema para plantear la solución del problema
3- 51
A
z
2
2
A A
A
p V
z
g g
ρ
+ + =
2
2
B B
p V
g g
ρ
+ +
( )
( )
2
:
0 , ( )
0 tan
2 (1)
L
A B
B
A L
h
Simplificaciones
z z en la misma linea de corriente
V punto de es camiento
p
V g h
g
ρ
+
= =
=
∆
 
= +
 
 
De la lectura del manómetro se tiene:
'
A
po po
p x
=
+ ( )
0,16 aire B
g p x
ρ
+ = + ( )
( ) [ ] [ ]
( )
0,16
0,16 0,16 9,80 827 1,2 1294,85
1294,85
1294,85
aire m
A B m aire
A B
B A
g g
p p g x x Pa
p p Pa
p p Pa
ρ ρ
ρ ρ
+
− = − = − =
− =
− = −
Cálculo de pérdida de energía, hL:
Para una tubería con tramo recto:
A
z
2
2
A A
p V
g g
ρ
+ + B
z
=
2
2
B B
p V
g g
ρ
+ +
( )
2
:
0 , ( )
0 tan
4
2
L
A B
A B
A B L F
h
Simplificaciones
z z en la misma linea de corriente
V V D cons te de la tuberia
L V
p p h f
D g
+
= =
= = =
 
− = =  
 
3- 52
De Ec. (1) se tiene:
( )
( ) ( )
1
2
1
2 (1)
2
2 2
L
L L
p
V g h
g
p p
V g h gh
g
ρ
ρ ρ
∆
 
= +
 
 
∆ ∆
 
= + = +
 
 
Reemplazando el valor de hL:
( )
( )
( )
2
2
1
2 2
1
2
2 4
2
2
4
F
F
p L V
V g f
D g
p L
V f V
D
ρ
ρ
∆  
= +  
 
∆  
= +  
 
Pero 1 max
V V
= en la línea central de la corriente, por tanto se debe calcula la
velocidad media (V) que se expresa como:
1 1
0,85
0,85
V
V V de donde V
= ⇒ =
Reemplazando el valor V1
( )
2
2
2
4
0,85
F
p
V L
f V
D
ρ
∆
   
= +  
 
 
 
Reemplazando todos los datos
( )
[ ]
[ ]
2
2
2 2
2
2 1294,85 10
4
0,85 1,2 0,06
1,384 2158,08 666,67
2158,08 666,67 1,384
2158,08
666,67 1,384
F
F
F
F
V
f V
V f V
V f
V
f
−
   
= +
   
   
= − +
= −
=
−
3- 53
Donde, ( )
Re, / ,
F
V D
f f D f
D
ρ ε
ε
µ
= =
0
, 0 ( )
tubo liso
D
ε
 
⇒ =
 
 
 
Se resuelve por aproximaciones sucesivas:
V(supuesto)
(m/s)
Re
(--) D
ε fF
(--)
V(calculado)
(m/s)
30,0 120000 0,0 0,0043347 37,87
37,85 151400 0,0 0,0041348 39,65
39,65 158607 0,0 0,0040964 40,02
40,02 160080 0,0 0,0040889 40,10
Luego la velocidad promedio calculada considerando la pérdida por fricción es:
40,0 /
V m s
=
Luego la velocidad en el centro de la línea es:
1 max
40,0
47,05 / Re .
0,85 0,85
V
V V m s sp
= = = = ⇐
Problema 3.20
Esquema para la solución del problema:
3- 54
1
z
2
1 1
2
p V
g g
ρ
+ + 2
2
2
2
2
L
V
p
z h
g g
ρ
= + + +
( )
( )
( )
1
2 1
1
2
1 2
2
2
1 2 1
:
0 , ( )
0 tan
( )
2
2 ( )
w
w
w
Simplificaciones
z en la misma linea de corriente
z h
V punto de es camiento
p p
V
z
g g
p p h g
V
ρ
ρ
ρ
=
= −
=
−
= + −
− +
 
 
=
De la lectura del manómetro se tiene:
2 2
'
w
po po
p h g
ρ
=
+ 3 1 1
m
h g p h h
ρ
+ = + +
( )
[ ] ( )
2 3
3 1 2 1
w
m w w
h g
h g p p h g
ρ
ρ ρ ρ
+
− = − +
Introduciendo esta expresión en la ecuación anterior
( ) 3
2
Re .
m w
w
gh
V sp
ρ ρ
ρ
−
=
Esta expresión es exactamente igual al de un tubo pito estático, por tanto, h1 no es
importante.
Problema 3.21
Datos: L = 1,2 m
ho = 18 mm = 0,018 m
3- 55
Ecuación:
g
ho
ho
L
q 2
)
2
,
0
(
415
,
0 5
,
1
−
=
81
,
9
2
018
,
0
)
018
,
0
2
,
0
2
,
1
(
415
,
0 5
,
1
x
x
q −
=
q = 5,31x10-3
m3
/s
q = 19,11 m3
/h
Problema 3.22
Hay una solución exacta para este problema que utiliza el rango complete de la
profundidad del agua para medir el rango complete de caudal de flujo. Por supuesto, hay
una variedad de combinaciones de ( )
,Y
α lo cual permite realiza un buen trabajo pero
tiene menos rango y exactitud.
De alguna manera, para la solución de este problema, match cada flujo para cada
profundidad, con [ ]
ho y Y
= − y utilizando la siguiente correlación de flujo:
3- 56
( )
5/ 2
0,44tan
2
Q g ho
θ
α α
= ⇒ =
Reemplazando los datos de acuerdo a la figura se tien:
( )
5/ 2
0,44tan
2
Q g y Y
θ
α α
= − ⇒ =
A continuación se establece las siguientes ecuaciones:
( )
( )
5/ 2
3
5/ 2
3
2,0 / , 2 2,0 0,44tan 2 (1)
2,75 / , 2 6,0 0,44tan 2,75 (2)
Q m s y m g Y
Q m s y m g Y
α
α
= = ⇒ = −
= = ⇒ = −
Dividiendo la Ec. (1) entre la Ec. (2), resulta:
( )
( )
( )
( )
( )
( )
5/ 2
5/ 2
2/5
0,44tan 2
2,0
6,0 0,44tan 2,75
2
2,0
6,0 2,75
2
0,6443 , 0,64
2,75
g Y
g Y
Y
Y
Y
Y
Y
α
α
−
=
−
−
 
=
  −
 
−
= ⇒ ≅
−
Sustituyendo en cualquiera de las ecuaciones, obtenemos el ángulo:
34 Re .
o
sp
α =
Problema 3.23
Solution: We are given Y = 1 ft, so water level y1 and weir width b are the unknowns.
Apply Table 10.2(b) to each flow rate, noting that y2 = y1 + 0.5 ft:
3- 57
( ) ( )
( ) ( )
3
1 1
3/ 2
3
1
1
3
2 2 1
3
3/ 2
2
2
1500 3,3420 , ? , 1,0
3,3420 / 0,581 0,1 (1)
6
3000 6,684 , , 1,0
12
6,684 0,581 0,1 (2)
ft
Q gpm y m Y ft
s
ft s b ho g y Y
ft
Q gpm y y ft Y ft
s
ft
b ho g y Y
s
= = = =
 
⇒ = − −
 
 
= = = + =
 
 
 
⇒ = − −
 
Resolviendo simultáneamente las ecuaciones (1 y 2), y reemplazando el valor de
1 2
y y y :
( )
( )
( )
( )
( )
( )
( )
( )
3/ 2 3/ 2
1
1 1
1
3/ 2 3/ 2
1
2 1
2
0,1 0,1 1 1
3,3420
0,5
6,684 0,1 0,5
0,1 0,5
b ho b y
y Y y
b y
b ho y Y y
 
− − −
 
− −
   
⇒ = ⇒ =
− −
   
− − −
 
 
Por iteración se determina: 1 1,80 , 1,50 Re .
y ft b ft sp
= =
Problema 3.24
La descarga actual es: i
Q C Q
=
Por tanto el coeficiente de descarga C esta dada por
( )
( ) ( ) ( ) ( ) [ ]
3
( ) ( )
5/2 5/ 2
5/ 2
1,945 ( / min)
8 4,28 ( lg)
2
5
medido medido medido
ideal o o
o
Q Q Q Q ft
C
Q h h pu
g h
= = = =
3- 58
Así, determinamos la variación del coeficiente de descarga (C ) con la carga corriente
arriba ( ho )
ho (pulgadas) 5/ 2 5/ 2
( lg )
o
h pu adas C
1 1,00 0,583
2 5,65 0,597
3 15,6 0,591
4 32,0 0,590
5 53,0 0,588
6 87,0 0,587
7 130,0 0,586
8 180,0 0,585
9 243,0 0,585
10 315,0 0,586
El coeficiente de descarga de este vertedero triangular es por tanto C = 0,585, excepto
para muy baja carga. Por tanto la relación para la descarga del vertedero es:
( )
5/2
2,50 o
Q h
=
Con Q en ft3
/ s y ho en pies.
Problema 3.25
Datos: L = 30 pies
C = 0,70
ho = 2 ft
La formula de vertedero a aplicar es:
( )
3/ 2
2 o
Q C L g h
=
3- 59
En donde Q es la descarga total a través de un vertedero rectangular de ancho L bajo la
carga ho. El parámetro C en esta formula es el coeficiente de descarga del vertedero
( )
( )
3/ 2
3/2
3
2
0,7(30) 2 32,2 2
476 / Re .
o
Q C L g h
x
ft s sp
=
=
=
Problema 3.26
Ver la solución de este problema en “Mecánica de Fluidos” por Víctor Streeter y otros,
9na Edición, 2000 (Pág. 483-484).
2,437, 1,395 Re .
m C sp
= =
Problema 3.27
Datos: Tubería: Diámetro (D) = 40 cm
División de sección de conducción = 5
Fluido : Agua
Se desea calcular: a) El caudal, velocidad media y velocidad máxima
Esquema:
3- 60
• Calculo de área transversal del tubo
( ) ( )
2 2 2
3.1416
0,40 0,1256
4 4
T
A D m
π  
= = =
 
 
• Área del circulo y las coronas =
2
2
0,1256
0,0251
5
m
m
= =
• Calculo del radio del círculo central y las coronas:
( )
2 4
, ,
4 2
T
A D
A D D R
π
π
= = = (1)
Luego el radio se calcula utilizando la Ec. (1), de acuerdo a la siguiente secuencia:
Radio círculo central:
2
0,0251 , 0,1787 , 8,95
o o
A m D m R cm
= = =
Corona 1:
2
1 2 0,0251 0,0502 , 0,2528 , 12,64
A x m D m R cm
= = = =
Corona 2:
2
2 3 0,0251 0,0753 , 0,3096 , 15,50
A x m D m R cm
= = = =
Corona 3:
2
3 4 0,0251 0,1004 , 0,3575 , 17,90
A x m D m R cm
= = = =
Corona 4:
2
4 5 0,0251 0,1255 , 0,3997 , 20,0
A x m D m R cm
= = = ≅
• Calculo de velocidad puntual, V
3- 61
Escribiendo la ecuación de Bernoulli entre los puntos (1) y (2):
2
2
2
2
2
1
1
1
2
2
Z
g
v
g
p
g
v
g
p
Z +
+
=
+
+
ρ
ρ
Simplificaciones:
Z1 = Z2 (plano de referencia)
V2 = 0 (punto de estancamiento)







 −
−
=
g
p
p
g
v
ρ
2
1
2
1
2
Calculo de (p1 – p2) acuerdo al balance de fuerzas de presión:
O O′
=
g
h
h
p
g
h
hg
p m )
(
2
1 ∆
+
+
=
∆
+
+ ρ
ρ






−
∆
=







 −
− 1
2
1
ρ
ρ
ρ
m
h
g
p
p
Reemplazando:






−
∆
= 1
2
1
ρ
ρm
h
g
v (2)
Datos del problema:
3
3
1000 /
1,67 / ( )
.
agua m
aire
kg m
kg m dato del problema
h m de columna de liquido manometrico
ρ ρ
ρ ρ
= =
= =
∆ =
3- 62
Así, para la posición cero, la lectura del manometro indica:
34 . ( . . ) 0,034 . .
h mm de columna de agua mm c a m c a
∆ = =
Reemplazando en la Ec. (2):
1
1000
2 1 2 9,81 0,034 1 19,96 /
1,67
20,0 / ( max )
m
v v g h x x x m s
v m s velocidad ima
ρ
ρ
   
= = ∆ − = − =
   
 
 
≅
Luego se calcula en forma similar para otras posiciones, y los resultados se resumen en
la siguiente tabla
Tabla. Calculo de velocidad para diferentes posiciones dentro del tubo
Datos del problema Velocidad, v
Posición Radio, R (cm) 2
( )
h mm H O
∆ (m/s)
0 0 34 20
1 4,5 33 19,7
2 10,8 29,8 18,7
3 14,1 26,0 17,5
4 16,7 20,7 15,6
5 18,9 12,3 12,0
Luego calculamos el caudal:
2
3
0,0251 (19,7 18,7 17,5 15,6 12,0) /
2,09 /
Q v A m m s
Q m s
= = + + + +
=
Calculo de velocidad media
3
2
2,09 /
16,7 /
0,1256
Q m s
v m s
A m
< > = = =
3- 63
Calculo de velocidad máxima: este valor se calculo al inicio, tal como se muestra:
max 1
max
1000
2 1 2 9,81 0,034 1 19,96 /
1,67
20,0 / ( max )
m
v v g h x x x m s
v m s velocidad ima
ρ
ρ
   
= = ∆ − = − =
   
 
 
≅
Calculo de relación
max
16,7
Re 0,83
20,0
v
lacion
v
< >
= = =
c) Repetir el problema anterior realizando el cálculo de caudal mediante la expresión:
0
2
R
Q v RdR
π
= ∫
La siguiente tabla muestra los resultados calculados
Tabla. Valores calculados
Radio, R (m) V (m/s) V R
0 20,0 0
0,045 19,7 0,887
0,108 18,7 2,02
0,141 17,5 2,47
0,167 15,6 2,60
0,189 12,0 2,26
0,200 0 0
En la siguiente tabla se muestra los resultados del método de integración
3- 64
Tabla. Resultados de integración-
(0,887 0)
(0,045 0) 0,0199
2
+
− =
(2,02 0,887)
(0,108 0,045) 0,915
2
+
− =
(2, 47 2,02)
(0,141 0,108) 0,0741
2
+
− =
(2,60 2, 47)
(0,167 0,141) 0,0659
2
+
− =
(2, 26 2,60)
(0,189 0,167) 0,0535
2
+
− =
(0 2, 26)
(0, 200 0,189) 0,0124
2
+
− =
Total = 0,3174
Q = 2 x 3,1416 x 0,3174 = 1,99 m3
/seg
Velocidad media
3
2
1,99 /
15,8 /
0,1256
Q m s
v m s
A m
< > = = =
Velocidad máxima: max 20,0 /
v m s
=
max
15,8
Re 0,79
20,0
v
lacion
v
< >
= = =
3- 65
Problema 3.28
Dato: Diámetro de la tubería, D = 15 cm = 0,15 m
Densidad del fluido = 1,05 g/cm3 = 1050 kg/m3
Viscosidad del fluido = 0,02 Poise = 2,0 cP = 2,0 x10-3
(kg/ m s)
a) Se desea deducir la expresión que permita determinar el caudal,
b) Calcular el caudal correspondiente para una lectura manométrica de 15 cm.
Esquema:
Fig. Tubo de Pitot estático
Ecuación de Bernoulli entre los puntos (1) y (2):
2
2
2
2
2
1
1
1
2
2
Z
g
v
g
p
g
v
g
p
Z +
+
=
+
+
ρ
ρ
Simplificaciones:
Z1 = Z2 (plano de referencia)
V2 = 0 (punto de estancamiento)
3- 66
2
1 2 1
2
v p p
g g g
ρ ρ
= −
Donde: p1 = ρgho
1
o
p
h
g
ρ
⇒ =
h
h
g
p
h
h
g
p o
o +
=
⇒
+
=
ρ
ρ 2
2 )
(
Lo que resulta finalmente como:
1 2
v v gh
= = (1)
Se afirma que el tubo Pitot mide la presión de estancamiento, la cual se conoce como
presión total. La presión total (expresado como columna de líquido) está compuesta de
dos partes:
• Presión estática = h0
• Presión dinámica = h
Por otro lado se sabe que la velocidad calculada con la Ec. (1) viene hacer la velocidad
máxima.
a) En régimen turbulento la velocidad media, < v >, viene hacer el 80 % de la
velocidad máxima, es decir:
max
0,80 0,80 2
v v gh
< > = =
Luego el caudal es:
3- 67
( )
2
0,80 2 , Re / /
4
Q v A
Q D x x gh sp
π
= < >
 
=  
 
b) Para una lectura manométrica de 15 cm = 0,15 m
( )
2 2 3
0,15 0,80 2 9,81 0,15 2,4252 10 /
4
Q x x x x x m s
π −
 
= =
 
 
Ahora verificamos la justificación de:
max
0,80 0,80 2 0,80 2 9,81 0,15 1,3724 /
v v gh x x x m s
< > = = = =
El número de Reynolds es:
3
3
1050 1,3724 (0,15 )
Re 108076,5
2 10
kg m
x x m
v D m s
kg
x
m s
ρ
µ −
   
   
< >    
= = =
 
 
 
Luego se justifica la suposición por estar en régimen turbulento.
4-1
CAPÍTULO IV
FLUJO DE FLUIDO INCOMPRESIBLE EN
TUBERIAS Y DUCTOS
Problema 4.1
Se descarga agua a 20 °C desde un estanque de sedimentación a una acequia de desagüe
a través de una tubería galvanizada de 100 metros de longitud equivalente de 100 mm
de diámetro interno. El nivel del estanque está 10 metros por encima del extremo de
descarga de la tubería. Determine el caudal del agua en m³/min.
Problema 4.2
Una bomba está siendo utilizada para transportar un alimento líquido (ρ = 1000 kg/m³,
µ = 1.5 cP) desde un estanque hasta una máquina de envasado con un caudal másico de
2 kg/s. El nivel del líquido en el tanque se encuentra 10 metros por encima de la bomba.
Existe una tubería sanitaria de 100 metros de longitud y 2 pulgadas de diámetro entre el
tanque y la máquina de envasado, con una válvula de globo abierta y 4 codos de 90º de
media curvatura en el sistema. El producto se bombea antes del envasado a través de un
intercambiador de calor que produce una pérdida de presión de 100 kPa debido al
rozamiento. Determinar:
a) Pérdida de carga regular y singular.
b) La pérdida de carga total incluido la pérdida de energía que se produce en el
intercambiador.
c) Determinar la potencia de la bomba, si la eficacia del mismo es de 90%.
Problema 4.3
Una bomba se usa para transportar agua a 72 ºF desde un tanque A hasta un tanque B a
la velocidad de 200 gpm. Ambos tanques están ventilados a la atmósfera. El tanque A
está a 6 pies por encima del suelo con una profundidad del agua de 4 pies, el tanque B
está a 40 pies por encima del suelo con una profundidad del agua de 5 pies. El agua
ingresa por el tope del tanque, a un punto de 10 pies por encima de la base del tanque.
La tubería que une los tanques contiene 185 pies de 2 pulgadas SCH 40 de tubería
galvanizada, tres codos estándares de 90º (K = 0,75) y una válvula de compuerta
(K = 0,17).
4-2
a) ¿Si la bomba tiene una eficiencia de 70%, qué potencia del motor podría
requerirse para accionar la bomba?
b) ¿Si la bomba es accionada por un motor de 5 hp, cuál sería el caudal que se
alcanzaría en gpm?
Problema 4.4
En una planta de procesado de alimentos se necesita tener agua almacenada en un
tanque elevado para suministrar a los lavadores (Figura 1). El agua del sistema está a
20 ºC y se desea determinar la altura del agua que debe mantenerse en el tanque para
producir un caudal de 400 L/min en la línea.
Problema 4.5
Se bombea 20 toneladas/h de aceite de soya, que está a 20 ºC, desde un tanque de
almacenamiento hasta un recipiente de procesado. La distancia entre ellos es de 148 m y
en la tubería de 5 cm de diámetro están instalados: 6 codos de 90º, 2 válvulas de
compuerta y 1 válvula de globo. Si el recipiente de procesado está 3 metros por debajo
del almacenamiento:
a) Calcúlese todas las perdidas por fricción (regular y singular).
b) Obténgase un balance de energía mecánica y determinar el valor de W para la
bomba en J/kg.
c) Cuál es la potencia de la bomba en kW cuando su eficiencia alcanza el 75%.
d) Si se dispone de un motor trifásico de 220 voltios, determinar el amperaje.
Considere factor de potencia 0,85.
4-3
Datos:
Densidad del aceite de soya a 20ºC = 910 kg/m³
Viscosidad del aceite de soya a 20ºC = 40 E-3 kg/m.s
Problema 4.6
Un aceite que tiene una densidad de 833 kg/m³ y un viscosidad de 3,3E-3 Pa-s se
bombea desde un tanque abierto a un tanque presurizado que mantiene a 345 kPa gage.
El aceite se bombea a través de una tubería de acero comercial que tiene un diámetro
interior de 0,07792 m a una velocidad de flujo de 3,4940E-3 m³/s. La longitud del tubo
recto es 122 m y el tubo contiene dos codos de 90º y una válvula de globo 50% abierta.
La diferencia de altura entre los niveles de líquido entre el tanque abierto y el tanque
presurizado es 20 m. La eficiencia de la bomba es 65%. Calcular:
a) Pérdida de carga por fricción a través del tramo recto.
b) Pérdida de carga por fricción a través de accesorios de conexión.
c) Pérdida de carga friccional total.
d) Calcular la carga desarrollada por la bomba.
e) KW de potencia de la bomba.
Problema 4.7
A través de un filtro de café que se muestra en la figura pasa café a un régimen de
4 cubiletes/min = 60 pulg³/min. Determinar el coeficiente de pérdida para el filtro.
Demostrar que es razonable ignorar las perdidas mayores.
4-4
Problema 4.8
Se bombea agua a 15ºC a razón de 380 L/min desde un depósito hasta un tanque
elevado 5 m sobre el almacenamiento. Se va a utilizar tubería de 3 pulgadas catálogo 40
de acero desde un tanque de almacenamiento a la bomba y una de 2 pulgadas catálogo
40 para llevar el agua hasta el tanque elevado.
a) Calcular la carga desarrollada por la bomba.
b) ¿Cuál es la potencia de accionamiento de la bomba si la eficiencia es del 70%?
c) Si se dispone de una corriente eléctrica trifásica de 220 voltios, cual será los
amperios que consume el motor, el factor de potencia del motor es 0,80.
Datos: 3
997,08
0,8937
kg
m
cP
ρ
µ
=
=
Problema 4.9
La salmuera contenida en un tanque abierto a la atmósfera se descarga con un caudal de
10 m³/h a través de un conducto de 3 m de longitud y 0,0508m de diámetro interno, que
a su vez se conecta con una conducción de 12 m de longitud y 0,0381 m de diámetro
interno que descarga a la atmósfera con 1 codo de 90º, 1 codo de 45º y una válvula de
compuerta abierta. ¿Cuál es la altura de la superficie de la salmuera en el tanque referida
al punto de descarga?
4-5
Datos:
Densidad de la salmuera = 1180 kg/m³
Viscosidad de la salmuera = 1,2 x 10-3
kg/m.s
Rugosidad de la conducción = 4,6 x 10-5
m
Problema 4.10
Una instalación típica de tuberías en el laboratorio de operaciones unitarias se muestra
en la siguiente figura. El diámetro de salida de la llave es de ½ pulg. El factor de
fricción de Fanning para todos los tubos de 1 pulg es de 0,00625 y para todos los tubos
de ½ pulg es de 0,0075. La presión manométrica en la línea principal de distribución es
de 2,72 atmósferas. Determinar el tiempo necesario para llenar el tanque de 50 galones
del equipo experimental de “Flujo de fluidos en tuberías”. Suponer que se trata de agua
a 20 ºC, se tiene ρ = 999 kg/m³, µ = 1E-3 kg/m s.
Problema 4.11
Para la solución de encurtidos se utiliza una solución de ácido acético y una salmuera al
22%, cuya densidad es ρ = 77,4 lb/ft³ y µ = 1,18 x 10-3
lb/(ft.s) a 20°C. La salmuera
se mantiene en un depósito abierto, cuyo nivel es de 6 m, la descarga se hace como se
muestra en la siguiente figura y mediante una tubería de acero comercial cédula 40,
hasta otro tanque abierto. ¿Cuál será el diámetro de la tubería para transportar
0,95 x 10-3
m³/s de solución de encurtidos? En este sistema existe 20 metros de tubería
recta.
4-6
Problema 4.12
Se desea diseñar la potencia de una bomba para transportar 3,015E-4 m³/s de leche
entera desde un depósito de almacenamiento que se encuentra en la planta baja de una
fábrica hasta el segundo piso en la que se encuentra ubicado otro tanque de
almacenamiento para elaborar yogur batido. La tubería de conexión entre los dos
tanques consta de:
Línea de succión: Tubería de acero inoxidable de 16 mm de diámetro interno y 1 m de
longitud con una válvula de compuerta completamente abierta y una unión de
acoplamiento (K = 0,04).
Línea de descarga: 10 m de tubería de acero inoxidable calidad 304 de 13 mm de
diámetro interno en la que se encuentran instalados: 2 uniones de acoplamiento, 1 filtro
prensa (K = 5), 1 válvula de globo 50 % abierto.
El nivel de referencia entre la superficie del líquido del primer tanque hasta la tubería de
descarga del segundo tanque es de 5 m y se supone que los dos tanques se encuentran
con tapas expuestos a la presión atmosférica. Se desea estudiar:
a) Pérdida de carga regular y singular en la línea de succión y descarga de la
bomba.
b) La potencia requerida de la bomba si la eficiencia es 60%.
c) El costo de bombeo por 3 horas de funcionamiento, si el kW-h cuesta 0,40 soles.
Datos:
4-7
A 20 °C la leche entera tiene una densidad de 1030 kg/m³ y una viscosidad de 2,12E-3
kg/m.s.
Problema 4.13
El tanque A se llena con una solución de 10% de NaOH, 10% de NaCl (densidad
relativa = 1,10 y viscosidad = 3 centipoise). La solución es drenada posteriormente
hacia un tanque de reacción B, localizado como se muestra en el diagrama de flujo. Si la
válvula de compuerta a la salida del tanque A y la válvula de compuerta a la entrada del
tanque B, se abren completamente al mismo tiempo, ¿Cuánto tardará en drenarse el
tanque A hasta un nivel de 1 pie? Toda la tubería es de acero comercial diámetro
nominal 1 pulgada catálogo 40.
Problema 4.14
a) Se mide una razón de flujo de 6 L/s en la tubería que se muestra en la figura.
Calcule el coeficiente de pérdida de la válvula si ∆h es: (a) 4 cm (b) 8cm.
4-8
b) Fluye agua a 20 ºC en un tramo de 400 m de tubería horizontal de hierro forjado
(ε = 0,046 mm) de 10 cm de diámetro que está conectado a un depósito con una
entrada de borde recto. Una válvula de globo roscado que controla el flujo está
abierta (k = 5,7). Calcule el flujo si la altura del depósito sobre la salida es de
10 m.
Problema 4.15
Desde el tanque A al tanque B (Ver la figura) debe fluir 212 L/s. Si la tubería (1)-(2) es
de PVC (ε = 0,0015 mm) y la tubería (2)-(3) es de hierro fundido asfaltado (ε = 0,12
mm), ¿Cuál debe ser el diámetro de la tubería (1)-(2)? Utilice los coeficientes de
pérdidas menores mostrados.
Problema 4.16
Se transvasa 21,2 ft3
/min de agua (densidad 62,3 lb/ft3
, viscosidad cinemática 1,14·10-5
ft2
/s) desde un río hasta una balsa, salvando una elevación de 20 pies, y empleando 2 ¼
millas de una conducción lisa (7 ½” de diámetro exterior y 1 ¼ de espesor). Se
4-9
considera que los accesorios suponen el 25 % de la carga de fricción correspondiente a
los tramos rectos. La diferencia de presión entre la toma en el tío y la descarga es 30
kPa. Obtener: (a) la potencia teórica de bombeo necesaria; (b) el diámetro mínimo
necesario para transvasar un caudal de 20 L/s con una bomba centrífuga de 12,0 kW de
potencia nominal y una eficacia del 55 %. Rep. a) 2,92 kW, b) 0,16 m.
Problema 4.17
Del contenedor que se muestra en la siguiente figura sale agua. Determinar el
coeficiente de pérdida necesario en la válvula si el agua debe llegar hasta 3 pulg por
arriba de la salida de la tubería.
Problema 4.18
En la siguiente figura se muestra la instalación de una bomba que tiene una eficiencia de
65 % para transportar benceno desde un depósito hasta un tanque elevado. El benceno
se transporta a la temperatura de 30 ºC utilizando tubería de acero inoxidable. Se desea
determinar:
a) El caudal que circula por el sistema
b) La potencia de la bomba
c) El costo de bombeo si el kW-h cuesta 0,50 nuevos soles
4-10
Problema 4.19
Las puntas de dispersión de un sistema de riego agrícola, se alimenta con agua mediante
conductos de 150 metros hechos en hierro fundido desde una bomba operada por una
combustión interna. En el intervalo de operación de mayor rendimiento, la descarga de
la bomba es de 25 galones/s a una presión manométrica que no debe exceder a 4,42
atmósferas. Para una operación satisfactoria, los dispersores deben operar a una presión
manométrica de 2,04 atmósferas o a una presión mayor. Las pérdidas menores
(singulares) y los cambios de nivel en este sistema se pueden suponer despreciables.
Determinar el diámetro nominal de tubería estándar más pequeño que se puede utilizar.
Considere propiedades del problema 4.10.
Problema 4.20
Un líquido puede escurrir simultáneamente por C y D, Figura 21. El tubo AB es de 44
metros de longitud y tiene válvula y accesorios de conexión que en forma combinada
ofrecen una resistencia al flujo equivalente de 14 metros de un tubo recto (la resistencia
del accesorio T y B pude despreciarse para el líquido que circula a través de C).
El tubo BC es de 1,5 metros de longitud. La válvula C totalmente abierta tiene una
resistencia equivalente a 11 metros de un tubo recto.
4-11
El tubo BD es de 4 metros y ramificado en B; los accesorios de conexión y la válvula D
totalmente abierta presenta una resistencia equivalente igual a 13 metros de un tubo
recto.
El facto de fricción para un tubo recto puede calcularse en forma aproximada mediante
la siguiente relación: af = 1/40. Esta condición se presenta para el caso de líquidos con
número de Reynolds en el rango de 30 000 - 100 0000
a). Determine la máxima velocidad de flujo en litros/min en C, cuando la válvula D
está cerrada.
b). Calcule la velocidad de flujo en litros/min en C y D, cuando todas las válvulas
están completamente abiertas.
Problema 4.21.
Una planta industrial requiere agua de enfriamiento a razón de 1500 galones /minuto
para usarlo en sus reactores y condensadores. El agua de enfriamiento sera tomada
desde la red de suministro publico de 35 lbf/pulg2
(manométrica o relativa). Al entrar a
la planta, el agua es bombeada a alta presión y luego es entregada a la tubería de la
planta. Al final de la tubería el agua entra a la sala de calderas. En la sala de calderas se
requiere que el agua tenga una presión superior a 10 lbf/pulg2 absoluta (para evitar la
cavitación en las bombas de alimentación de las calderas). La tubería consta de dos
segmentos de 2500 pies de longitud, según se muestra en la figura. Además de las
secciones rectas, están instaladas en la tubería las siguientes válvulas y accesorios: 10
codos de 6 pulgadas y otros 10 de 8 pulgadas (todos de 90º ); 5 válvulas de compuerta
4-12
de 6 pulgadas y otras 5 de 8 pulgadas y, finalmente, 1 válvula de globo y otras 2 de 6
pulgadas.
Problema 4.22
Calcule la potencia que la bomba de la figura siguiente comunica al agua, si el agua es
de 100 l/s. Supóngase que las perdidas por fricción son despreciables.
4-13
CAPÍTULO IV
SOLUCIÓN DE PROBLEMAS
Problema 4.1.
Datos:
100 ( )
10
.. .
.. .
0 ( )
10
?
. . . .
i
eq
mm tubo galvanizado
L m incluido tramo recto longitud equivalente de accesorios
z m
Q
φ =
= +
∆ =
=
1
. . . . . . . . . :
Balance de materia y energía de acuerdo a la figura
z 1
p
g
ρ
+
2
1
2
V
g
+ 2
2
p
z
g
ρ
= +
2
2
1 2
1
1
2
2
:
(Abierto a la presión atmosférica)
0
0
10
F
h
V
g
Simplificando
p p
V
z
z m
+ +
=
=
=
= −
∑
2
2
2
2 2
2 2
2
:
2
4
2 2
F
eq
F
i
Luego
V
z h
g
L
V V
z f
g D g
− = +
 
− = +  
 
∑
4-14
2
2
2
2
2 2
2
2
1 4
2
2
1 4
2
1 4
eq
F
i
eq
F
i
eq
F
i
L
V
z f
g D
V z
L
g
f
D
gz
V
L
f
D
 
 
− = +
 
 
 
 
−
=
 
+  
 
−
=
 
+  
 
( )
2
3
.
... .
:
2 9,81 ( 10) 196,2
100 1 4000
1 4
0.100
:
,Re , Re
20º
..
... . 998
³
1,02 10
.. ...
..........................
. . . . .
.
F
F
i
F
Reemplazando datos
x x
V
f
f x
Donde
xVxD
f f
D
kg
A T C
m
kg
x
m s
Para un tubo galvanizado set
ρ
ε
µ
ρ
µ −
− −
= =
+
 
+  
 
= =
= 
→ =
=
: 0,15
0,15
0,0015
100
iene mm
mm
D mm
ε
ε
=
= =
El factor de fricción se calcula mediante la ecuación de CHENG:
V
(supuesta) Re f V
0.1 9784.31373 0.00833 2.39126
2.39126 233967.945 0.00567 2.87790
2.87790 281583.097 0.00563 2.88728
2.88728 282500.467 0.00563 2.88743
2.88743 282515.362 0.00563 2.88743
Sabemos que:
( )
2
2
4
2,88743 0,1
4
³ ³
0,02268 1,36080
min
Q VxA Vx xD
Q x x
m m
Q
s
π
π
= =
=
= =
4-15
Problema 4.2.
De acuerdo al enunciado del problema se supone que la máquina del envasado se
encuentra al mismo nivel de la bomba, por tanto el balance de energía entre los puntos
(1) y (2) es:
1
. . :
. . . . . . . .
Balance de materia y energía de acuerdo a la figura
z 1
p
g
ρ
+
2
1
2
V
g
+ 2
2
B
p
H z
g
ρ
+ = +
2
2
1 2
1
1
2
2
2
2
2 2
2 2
2
2
:
(Abierto a la presión atmosférica)
0
0
10
:
2
Tramo recto Accesorios Intercambiador
4
2 2
F
B F
F R S Interc
eq
B F acc
i
V
h
g
Simplificando
p p
V
z
z m
Luego
V
H z h
g
h hf hf hf
L
V V V
H z f K
g D g
+ +
=
=
=
= −
= + +
= + +
 
= + + +
 
 
∑
∑
∑
∑
2
2
2
2
2
2
1 4
2
Interc
eq
B F acc Interc
i
hf
g
L
V
H z f K hf
g D
+
 
 
= + + + +
 
 
 
 
∑
:
100
2
0,60
4 0,75
globo
codos
Datos
L m
D pulg
K
K x
=
=
=
=
Pérdida de carga en el intercambiador:
100
100000
10,19368
1000 9,81
10,19368 . . . .
interc
interc
interc
P KPa
P
P hx xg h
xg x
h m de columna delíquido
ρ
ρ
∆ =
∆
∆ = ∆ 
→∆ = = =
∆ =
Pérdida de carga regular:
4-16
2
2
2
4
2
:
2,0
2" 5,08 0,0508
... ... ... ...
...... ......
4
2,0
Regular F
V
L
hf f
D g
Datos
Kg m
m m xVxA V
s xA
m
V D cm m
x xD
Kg
V
ρ
ρ
π
ρ
 
=  
 
= 
→ = 
→ =
= 
→ = = =
=
1000
s
Kg
3
m
2 2
0,0508
4
x x m
π
0,98676
0,98676
m
s
m
V
s
=
=
3
3
3
:
1000
1,5 10
.
1000 0,98676 0,0508
Re 33418,272
1,5 10
Re 33418,272
: : 0,0
0,0057283
:
. . . . . . .
4
.
F
Regular
Datos
kg
m
kg
x
m s
xVxD x x
x
Para una tubería sanitaria Podemos considerar como una tubería pulimentada
D
f
Luego
hf
ρ
µ
ρ
µ
ε
−
−
=
=
= = =
=
=
=
=
2 2
2 100 (0,98676)
4 0,0057283 2.23844
2 0,0508 2 9.81
2.23844 . . . .
F
Regular
V
L
f x x
D g x
hf m de columna delíquido
 
 
= =
   
   
=
Pérdida de carga singular:
2 2
2
. . .
. . . . .
........................................................
1 6,0 6,0
90º 4 0,75 3,0
9,0
(0,98676)
9,0 0,44665
2 2 9,81
0,44665 .
Total
S Total
S
Válvula de globo abierta x
Codos de de media curvatura x
K
V
hf K
g x
hf m
= =
= =
=
= = =
=
∑
∑
. . .
de columna de líquido
Pérdida de carga total:
4-17
2,23844 0,44665 10,19368 12,87877
12,87877 . . . .
F R S Interc
F Total
Total
h hf hf hf
h hf
hf m de columna de líquido
= + +
= = + + =
=
∑
∑
Potencia de la bomba:
2
2
2
2 2
2
2
2
(0,98676)
10 12,87877 22,92840
2 2 9,81
22,92840
B R S Interc
B Total
B
V
H z hf hf hf
g
V
H z hf
g x
H
= + + + +
= + + = + + =
=
Luego:
22,92840 9,81 224,93153
224,93153 2,0
499,84784
0,90
1 745,7
:
1
499,84784 0,67
745,7
B B
B
B B B
B
J
F H xg x
Kg
F xm x
W F xm W W
hp W
Potencia
hp
N W hp
W
η
η
= = =
= 
→ = = =
=
= =
Problema 4.3.
4-18
Balance de materia y energía:
1
1
p
z
g
ρ
+
2
1
2
V
g
+ 2
2
B
p
H z
g
ρ
+ = +
2
2
1 2
1
2
1
2
2
2
2
2
2
2
2
:
(Abierto a la presión atmosférica)
0
0
1,8288
1,2192 3,048 4,2672
:
2
Tramo recto Accesorios
2
4
2
F
B F
F R S
B R S
B F
V
h
g
Simplificando
p p
V
V
z m
z m
Luego
V
H z h
g
h hf hf
V
H z hf hf
g
L
V
H z f
g
+ +
=
=
≠
=
= + =
= ∆ + +
= +
= ∆ + + +
= ∆ + +
∑
∑
∑
2 2
2 2
2 2
eq
acc
i
V V
K
D g g
 
+
 
 
∑
Cálculo de hfR:
2
2
3 3
3
2
........ ........
. ..
4 ; ,Re
2
: 0,15
.... ...
, 52,5
0,15
0,002857
52,5
3.785 1 1min
200 0,0126167
min 1 1000 60
0,0126167
)
.
(
4
Regular F F
V
L
hf f f f
D
D g
Tubo galvanizado mm Di mm
D
gal L m m
Q x x x
gal L s s
m
Q Q s
V
A Di
ε
ε
ε
π π
   
= =
   
 
= =
= =
= =
= = =
2 2
5,82824
(0,0525)
4
5,82824
m
s
m
m
V
s
=
=
Cálculo del número de Reynolds:
3
3
77º 22º
998
0,9579 10
.
T F C
kg
m
kg
x
m s
ρ
µ −
= =
=
=
4-19
3
2
2
998 5,82824 0,0525
Re 318791,7682
0,9579 10
Re 318791,7682
:
0,006566
:
0,0525
0,3048
185 56,388
1
56,388 (5,8282
4 4 0,006566
2 0,0525
. . . .
F
R F
xVxD x x
x
De la ecuación de Cheng
f
Datos
D m
m
L pies m
pie
V
L
hf f x x
D g
ρ
µ −
= = =
=
=
=
= =
 
 
= =
   
   
2
4)
48,83870
2 9,81
48,83870
R
x
hf
=
=
Cálculo de hfS:
2 2
2
3 0,75 1 0,17 2,42
(5,82824)
2,42 4,1897
2 2 9,81
acc
S acc
K x x
V
hf K
g x
= + =
= = =
∑
∑
Reemplazando datos:
2
3
3
(5,82824)
2.4384 48,83870 4,1897
2 9,81
57,19811
57,19811 9,81 561,11346
561,11346 0,0126167 998 7065,24139
7065,24139
10093,20199
0,70
:
1
10093,20199
B
B
B B
B B
B
B
H
x
H m
J
F H xg x
kg
J m kg
W F xQx x x W
kg s m
W
W W
Potencia
N W
η ρ
= + + +
=
= = =
= = =
= =
= 13,54
745,7
hp
hp
W
=
4-20
Problema 4.4.
3
3
3
3
:
: 20º
1000
1 10
.
400 6,667 10
min
.
Datos
Fluido agua T C
kg
m
kg
x
m s
L m
Q x
s
ρ
µ −
−
=
=
=
= =
2 2
1 1 2 2
1 2
1 2 2
1
(
. . . . . . . . . . . 1) (2):
(1)
2 2
:
101325
. .
...........
0(
.......
.
. .
L
Escribiendo la ecuación debalance de energía mecánica entrelos puntos y
p V p V
z z h
g g g g
Simplificaciones
N
p p Presión atmosférica
m
z Nivel de
ρ ρ
+ + = + + +
= = =
=
∑
2
1
2
2
2
2
2 2
..................
)
0
:
0
2
(2)
2
: 4
... .
2
.
2
.
L
L
i i i
L i i
i
referencia
z z
V
Luego
V
z h
g
V
z h
g
L V V
Pero h hr hs f K
d g g
= −∆
≅
= −∆ + +
∆ = +
= + = +
∑
∑
∑ ∑ ∑
4-21
( )
3
3
2 2
3
4
4 10,16 0,1016 :
6,667 10
0,8223
0,1016
4
1000 0,8223 0,1016
Re 83546
1 10
Re 8,3546 10
:
0,00045
: Re, 0,0
. . .
.
05
Tramo de pulgadas cm m
m
x
Q m
s
V
A s
m
xVxd x x
x
x
Material Acero comercial
d
Luego f f
d
π
ρ
µ
ε
ε
−
−
= =
= = =
= = =
=
=
 
= ≅
 
( )
2
2
.
.................................
...............................
:
0,8223
6
4 4 0,005 0,0407
2
...
.......................
0,1016 2 9,81
:
: 0,50
1 9 .
0 .....
º:
Tubo recto
L V
hr f x x m
d g x
Accesorios K
Salida
codo
 
 
= = =
   
   
=
( )
( )
1
2
2
0,70
1,20
0,8223
1,20 0,04
.
14
2 2 9,81
:
0,0407 0,0414 0,0821
L
V
hs K x m
g x
Luego
h hr hs m
=
= = =
= + = + =
∑
∑
( )
3
3
2 2
3
5
5,08 0,0508 :
6,667 10
3,2894
0,0508
4
1000 3,2894 0,0508
Re 167102
1 10
Re
. .2.
1,67 10
:
0,00092
: Re, 0,004 1
.
8
Tramo de pulgadas cm m
m
x
Q m
s
V
A s
m
xVxd x x
x
x
Material Acero comercial
d
Luego f f
d
π
ρ
µ
ε
ε
−
−
= =
= = =
= = =
≅
=
 
= ≅
 
4-22
( )
( )
( )
2
2
2
2
.
.................................
........................
:
3,2894
63
4 4 0,00481 13,1588
2 0,0508 2 9,81
:
2 90º: ,40
3,289
......
4
1,40 0,77
2 2 9,81
....1
Tubo recto
L V
hr f x x m
d g x
Accesorios K
codo
V
hs K x
g x
 
 
= = =
   
   
= = =
∑
( )
2
1 2
2
20
:
13,1588 0,7720 13,9308
:
0,0821 13,9308 14,0129
(2) :
3,2894
14,0129 14,56
. . . . . .
.
44
2 9,81
. . .
L
L L L
m
Luego
h hr hs m
Luego la pérdida de carga total es
h h h m
Reemplazando en la ecuación
z m
x
= + = + =
= + = + =
∆ = + =
∑
∑ ∑ ∑
Problema 4.5.
3
3
:
20 5,56
20º
910
40 10
.
5 0,05 , 1
.. 4
.... 8
.
Datos
ton kg
m
h s
T C
kg
m
kg
x
m s
cm m L m
ρ
µ
φ
−
= =
=
=
=
= = =
4-23
El sistema es de sección uniforme de 5 cm:
• Cálculo de la velocidad:
( )
3
3
3
3
3
2 2
5,56
6,1099 10
910
6,1099 10
3,1117
0,05
4
f
Q
V
A
kg
m m
s
Q x
kg s
m
m
x
s m
V
s
x m
ρ
π
−
−
=
= = =
 
 
 
= =
 
 
 
• Cálculo de Reynolds:
3
3
3,1117 0,05 910
Re 3539,6
40 10
Re 3,54 10
Vxdx x x
x
x
ρ
µ −
= = =
=
• Rugosidad relativa (material acero comercial)
..
0,00095 ( )
. Tablas
d
ε =
• Factor de fricción:
0,0105
f =
a) Pérdida de carga:
4-24
( )
2
2
:Carga regular:
3,1117
148
4 4 0,0105 61,3532
2 0,05 2
.
. . ....
9,81
:Carga singular:
Descripción K
6 90º 4,
.............. 2
...
.
0
.
2
L
h hr hs
Tramo recto
L V
hr f x x x m
d g x
Accesorios
Codos
Vá
= +
 
 
= = =
   
   
∑
( )
2
2
. ........
. . .................
. .............................
................................
0,30
1 7,50
1 0,50
12,5
3,1117
12,5 6,1689
2 2 9,81
..
lvulas compuerta
Válvula globo
Salida
K
V
hs K m
g x
=
= = =
∑
∑
Luego se tiene:
• Pérdida de carga regular:
61,3532
hr m
=
• Pérdida de carga singular:
6,1689
67,5221
L
hs m
h m
=
=
∑
b) Ecuación de balance de energía mecánica y el valor de W (J/kg):
Para los puntos (1) y (2):
( )
( )
2 2
1 1 2 2
1 2
1
2
1 2
1 2
2
...... ......................
...................... ...
/ (1)
2 2
:
0
3
(2) ...... . /
. .
L
L
p V p V
gz Ws gz F J kg
g g
Simplificaciones
z
z m
p p
V V
Ws gz F J kg
η
ρ ρ
η
+ + + = + + +
=
= −
=
=
= +
∑
∑
Otra forma equivalente de expresar esta ecuación (2) es dividiendo entre g:
4-25
( )
2 (3)
...................... ............
:
L
L
Hs z h m
Donde
Ws
Hs
g
F
h
g
η
= +
=
=
∑
∑ ∑
Reemplazando los valores en la ecuación (3):
3 67,5221 64,5221 64,5221
Hs m Hs m
= − + = 
→ =
De donde resulta:
( )
2
2
64,5221 9,81 632,9618
632,9618
m m
Ws Hs g mx
s s
J
Ws
kg
η
η
= = =
=
c) Potencia, η=0,75:
632,9618 632,9618
843,95
0,75
843,95 5,56 4692,362
4,69
J
Ws
kg
J kg J
N Wsxm x
kg s s
N KW
η
= = =
= = =
≅
d) Motor trifásico:
( )
( )
( )
220
¿?
0,85
3
4,69 3 0,220 0,85
4,69
14,48
3 0,220 0,85
15
V Voltios
I
Cos
kW x Kilovoltios xIxCos
x xIx
I Amp
x x
I Amp
φ
φ
=
=
=
=
=
= =
≅
4-26
Problema 4.6.
Solución:
a) Pérdida de carga por fricción a través del tramo recto:
( ) ( )
2
3
3
3
3
2 2
4
2
:
3,494 10
0,07792
3,494 10
0,7327
0,07792
4 4
recto F
i
flujo
i
L V
hf f
D g
Datos
m
Q x
s
D m
m
x
Q Q m
s
V
A s
D m
π π
−
−
 
=  
 
=
=
= = = =
Cálculo del Número de Reynolds:
( )
3
3
3
5
5 4
...... ......
.................................................
Re , 20º 998
1 10
.
998 0,7327 0,07792
Re 56978,8397
1 10
4,6
......
10
4,6 10 5,9034 10
0
....
,07792
5
i
i
F
xVxD kg
T C
m
kg
x
m s
x x
x
x m
x m x
D m
f
ρ
ρ
µ
µ
ε
ε
−
−
−
− −
= = 
→ =
=
= =
= ⇒ = =
= 3
,61054 10
x −
4-27
( )
2
3 0,7327
122,0
4 5,61054 10
0,07792 2 9,81
0,961 .
454 . . . .
recto
recto
hf x x x x
x
hf m de columna delíquido
−  
=  
 
=
b) Pérdida friccional a través de accesorios:
[ ]
[ ]
( )
2 2
90º 50%
90º
50%
2
.
.
. .....
.............
2 1
2 2
: 0,75
9,5
0,7327
2 0,75 1 9,5
2 9,
......
.
81
0,3 .
0 .
0 . .
acc acc codo válvula
codo
válvula
acc
acc
V V
h K K K
g g
De tablas K
K
h x x x
x
h m de columna de líquido
 
= = +
 
 
=
=
= +
=
∑
c) Pérdida de carga friccional total:
0,961454 0,300
1,262439. . . . .
recto acc
hf hf h
hf m de columna delíquido
= + = +
=
∑
∑
d) Carga desarrollada por la bomba:
2
1 1
1
2
p V
z
g g
ρ
+ +
( )
2
2 2
2
1 2
2 2 2
1 2
2
2
2 1
(1)
2
:
20
101325
101325 345000 446325
................
...............
0, 0
(1):
2
:
20
44
.
. .
6 25
.
3
B
B
p V
H z hf
g g
Simplificaciones
z m
N
p
m
N N
p
m m
V V
De la ecuación
p V
H z hf
g g
Donde
z m
p p p
g g
ρ
ρ
ρ ρ
+ = + + +
∆ =
=
= + =
= ≠
∆
= ∆ + + +
∆ =
−
∆ −
= =
∑
∑
( )
101325
35,2386
998 9,81
x
=
4-28
e)
( )
2
2
2
0,7327
0,02736
2 2 9,81
20 35,2386 0,02736 1,262439
56,5 .
28 . . . .
4
B
B
V
g x
H
H m de columna delíquido
= =
= + + +
=
f) KW de potencia de la bomba:
( )
3
3
2 3
56,5284 9,81 998 3,4940 10
1933,7
1933,7
; 0,65
1933,7
2974,9
0,6
......
5
2,9
.. .
5
.
7
. .
B B
B
B
B
B
m kg m
W H xg x xQ mx x x x
s m s
W Watt
W
W
W W
W KW
η ρ
η
η
η
−
= =
=
= =
= =
=
Problema 4.7.
Balance de energía mecánica para los puntos (1) y (2):
1
z 1
p
g
ρ
+
2
1
2
V
g
+ 2
2
p
z
g
ρ
= +
2
2
2
V
g
+
1
2
1 2
1 2
(1)
.....
:
0
4 0,10
.........
1
.
6
.
hf
Simplificaciones
z
z pulg m
p p
V V
+
=
= − = −
=
=
4-29
2
2
(1):
0
0,1016
. . .
De la ecuación
z hf
hf z m
= +
= − =
Balance de energía mecánica para los puntos (1) y (3):
1
z 1
p
g
ρ
+
2
1
2
V
g
+ 3
3
p
z
g
ρ
= +
2
3
1
3
1 2
1
2
2
3
3
(2)
2
:
0
(4 1) 5 lg 0,127
0
(2)
................
0
2
. . :
.
filtro
filtro
V
h
g
Simplificaciones
z
z pulg pu m
p p
V
De la ecuación
z hf
V
h z
g
+ +
=
= − + = − = −
≈
=
= +
= − −
∑
Cálculo de la velocidad:
( )
( )
( )
3
3
3
5
2 3 2
3
3
5
3
3 3 2
2
3
6
3
0,0254 1
60
1 60
1,6387064 10
2 0,0508
0,0508 2,026 10
4
1,6387064 10
8,08835 10
2,026 10
8,08835 10
3,3344 . . . . .
2 10
2 2 9,81
i
m
pulg min
Q x x
min pulg s
m
Q x
s
D pulg m
A x m
Q
V
A
m
x
m
s
V x
x m s
x
V
x m de columna del
g x
π
−
−
−
−
−
−
−
=
=
= =
= =
=
= =
= = íquido
4-30
6
2
3
2
3
4
6
0,127 3,33442 10 0,1269967
2
2
0,1269967
3,8087 10
3,33442 10
filtro
filtro
filtro filtro filtro
filtro
h x
h
V
h K x K
g V
g
K x
x
−
−
= − =
 
= ⇒ =
 
 
 
 
 
= =
Considerando pérdida mayor:
6
2
3
2
3
4
6
0,1269967 0,1016 0,02540
:
0,127 3,33442 10 0,02540 0,1015967
2
2
0,1015967
3,0469 10
3,33442 10
filtro
filtro
filtro
filtro filtro filtro
filtro
h
Luego
h x
h
V
h K x K
g V
g
K x
x
−
−
= − =
= − − =
 
= ⇒ =
 
 
 
 
 
= =
Problema 4.8.
Datos:
3 3
3 3
1
2
3
380 380 10 6,333 10
min min
3" 40 3,068 77,92
2" 40 2,067 52,50
997,08
i
i
L m m
Q x x
s
Cat D pulg mm
Cat D pulg mm
kg
m
φ
φ
ρ
− −
= = =
= 
→ = =
= 
→ = =
=
4-31
3
0,8937 0,8937 10
.
kg
cp x
m s
µ −
= =
Balance de energía mecánica entre los puntos (1) y (2):
( )
2 2
1 1 2 2
1 2
2
2 1
2 2
2 2
:
2
:
0
0
5,0
:
4 4
2 2
B suc Desc
B suc Desc
suc suc Desc Desc
B suc Desc
suc
suc Desc
p V p V
z H z hf hf
g g g g
Reordenando
p p V
H z hf hf
g g
Simplificaciones
p
V
z m
Luego
V L V L
H z f K f K
g D g D
ρ ρ
ρ
+ + + = + + + +
−  
= ∆ + + ∆ + +
 
 
∆ =
∆ =
∆ =
 
= ∆ + + + +
 
 
∑ ∑
∑ ∑
∑ ......... (
..... 1
. )
.
Desc
 
 
 
∑
Por la ecuación de continuidad:
4
suc
V
π
 
 
 
2
4
suc Desc
D V
π
 
=  
 
2
4
2 2
(2)
2 2
................
Desc
suc Desc Desc
suc
D
V V D
g g D
 
=  
 
Combinando las Ec. (1) y (2):
4
2 2
4 4
2 2
Desc Desc suc Desc Desc
B suc Desc
suc Desc
suc suc Desc
V D L V L
H z f K f K
g D D g D
     
= ∆ + + + +
     
     
∑ ∑
Sea:
2 1 2
1 2 1
............ ............
............ ............
Desc suc Desc
suc Desc suc
D D L L V V
D D L L V V
= = =
= = =
[ ] [ ]
4
2 2
2 2 1 2 2
1 2
1 2
1 1 2
4
2 2
2 2 2
1 2
1
4
2
2 2
1 2
1
4 4
2 2
2 2
2
B
B
B
V D L V L
H z f K f K
g D D g D
V D V
H z hf hf
g D g
V D
H z hf hf
g D
     
= ∆ + + + +
     
     
 
= ∆ + +
 
 
 
 
 
= ∆ + +
 
 
 
 
∑ ∑
4-32
Cálculo de datos:
Acero comercial: 5
4,6 10
x m
ε −
=
Cálculo de la velocidad:
- Zona de succión:
( )
( )
1
2
1 1 1
2
3 6
1
,
4
77,9
.
2 10 4768,57
... .
10
...
0,00476857
4
f
Q
V A D
A
A x x
π
π − −
= =
= = =
3 3
1 2
1
1 3
1
5
5
1
1
6,333 10 /
0,6989
0,00476857
997,08 0,6989 0,07792
Re
0,8957 10
Re 60622
4,6 10
59,03 10 0,000602
0,07792
x m s m
V
m s
xVxD x x
x
x m
x
D m
ρ
µ
ε
−
−
−
−
= =
= =
=
= = ≅
De la ecuación de Cheng:
1 0,0056
f =
- Zona de descarga:
( )
( )
2
2
2 2 2
2
3
2
,
4
.
52,50 10 0,002164
4
... ....
f
Q
V A D
A
A x
π
π −
= =
= =
3 3
2 2
2
2 3
2
5
5
2
2
6,333 10 /
2,926
0,002164
997,08 2,926 0,05250
Re
0,8957 10
Re 171002
4,6 10
87,62 10 0,000876
0,05250
x m s m
V
m s
xVxD x x
x
x m
x
D m
ρ
µ
ε
−
−
−
−
= =
= =
=
= = ≅
De la ecuación de Cheng:
2 0,0052
f =
1
2
0,44 0,15 0,59
1,5 1,0 2,50
K
K
= + =
= + =
∑
∑
4-33
Donde:
1
1 1 1
1
1
2
2 2 2
2
2
15
4 4 0,0056 0,59
0,07792
4,9021
33
4 4 0,0052 2,50
0,05250
15,5743
L
hf f K x
D
hf
L
hf f K x
D
hf
   
= + = +
   
 
 
=
   
= + = +
   
 
 
=
∑
∑
Reemplazando datos:
( )
2 4
2,926 0,05250
5 4,9021 15,5743
2 9,81 0,
. . . .
07792
12 .
,2
B
B
H x
x
H m de columna de líquido
 
 
= + +
 
 
 
 
 
=
Cálculo de la potencia:
( )
3
3
2 3
12,2 9,81 997,08 6,333 10
755,7
755,7
; 0,70
755,7
1079,6
...... ......
0,70
1,08
B B
B
B
B
B
m kg m
W H g Q m x
s m s
W Watt
W
W
W W
W kW
η ρ
η
η
η
−
= =
=
= =
= =
=
Motor trifásico:
( )
( )
( )
220
¿?
0,80
3
1,08 3 0,220 0,80
1,08
3,54
3 0,220 0,80
4
V Voltios
I
Cos
kW x Kilovoltios I Cos
x xIx
I Amp
x x
I Amp
φ
φ
=
=
=
=
=
= =
≅
4-34
Problema 4.9.
Balance de energía:
2 2
1 1 2 2
1 2
1
2
1 2
1
2
2
2
2 2
2 2
2
2 2
:
0
0
0
:
0
2
2 2
p V p V
z H z hf
g g g g
Simplificaciones
z
z z
p p
V
H
Luego
V
z hf
g
V V
z hf z hf
g g
ρ ρ
+ + + = + + +
=
= −
=
≅
=
= + +
− = + 
→ = +
∑
∑
∑ ∑
2 2 2 2 2
2 1 1 1 2 2 2
1 2
1 2
2 2 2
2 1 1 2 2
1 2
1 2
....
4 4
2 2 2 2 2
4 4 (1)
2
............
2 2
en
en
V L V V L V V
z f K f K
g D g g D g g
V V L V L
z f K f K
g g D g D
   
= + + + +
   
   
   
   
= + + + +
   
   
   
   
∑
∑
Por la ecuación de continuidad:
1 1 2 2
1
4
V A V A
V
π
=
 
 
 
2
1 2
4
D V
π
 
=  
 
2
2
D
4-35
2
2
1 2
1
4
2 2
1 2 2
1
.............. (2)
2 2
..
D
V V
D
V V D
g g D
 
=  
 
 
=  
 
Reemplazando la Ec. (2) en la Ec. (1):
4
2 2 2
2 2 2 1 2 2
1 2
1 1 2
4
2
2 2 1 2
1 2
1 1 2
........
4 4
2 2
.......
2
1 .
4 4 (3)
2
en
en
V V D L V L
z f K f K
g g D D g D
V D L L
z f K f K
g D D D
   
     
= + + + +
   
   
 
     
   
 
   
     
 
= + + + +
 
   
   
 
     
   
 
 
∑
∑
Datos:
( )
3 3
3
2 1
3
3
2
2
2
2
2
2 2
2
1 2
1
10 2,777 10
0,0381 , 0,0508
2,777 10
2,4364
0,0381
4 4
0,0381
2,4364 1,3705
0,
......
050
......
8
m m
Q x
h s
D m D m
m
x
Q Q m
s
V
A s
D m
D m
V V x
D s
π π
−
−
= =
= =
= = = =
   
= = =
   
 
 
Cálculo de pérdidas singulares:
1
2
..........
: 0,0508
0,50
: 0,038
.
1
en
Tramo m
K
Tramo m
φ
φ
=
=
=
2
1
..................................................
. .................................
. .................................
. .............
90º 0,74
45º 0,30
0,13
1,7
.. .
5
.
K
Codo
Codo
Válvula Compuerta
D
Contracción
D

= .......
.......................................
0,
.
30
1,47
K

 
 
=
∑
4-36
( )
[ ]
2 4
1 2
1 2
1
2,4364 0,0381 3 12
1 4 0,50 4 1,47
2 9,81 0,0508 0,0508 0,0381
3
0,30255 1 0,31640625 4 0,50 1259,8425 1,47
0,0508
0,30255 1 74,7416 0,
z f f
x
z f f
z f
 
   
     
 
= + + + +
 
   
   
 
     
   
 
 
 
 
 
 
= + + + +
 
 
 
 
 
 
 
= + +
{ }
{ }
2
1 2
1 2
1582 1259,8425 1,47
0,30255 2,6282 74,7416 1259,8425
0,79516191 22,6130 381,165 ...............
3 (4)
.
f
z f f
z f f
+ +
= + +
= + +
Cálculo de factores de fricción:
1
1
2
2
Re,
Re,
f f
D
f f
D
ε
ε
 
=
 
 
 
=
 
 
Para el tramo 1:
1 1
1 3
5
4
1
1
1
1180 1,3705 0,0508
Re 68461,04
1,2 10
4,6 10
9,055 10
0,0508
0,00572
xV xD x x
x
x
x
D
f
ρ
µ
ε
−
−
−
= = =
= =
=
Para el tramo 2:
2 2
2 3
5
3
2
2
2
1180 2,4364 0,0381
Re 91279,72
1,2 10
4,6 10
1,2073 10
0,0381
0,00577
xV xD x x
x
x
x
D
f
ρ
µ
ε
−
−
−
= = =
= =
=
Reemplazando los valores de f1 y f2 en la Ec. (4):
( ) ( )
0,79516191 22,6130 0,00572 381,1653 0,00577
3,1238
z
z m
= + +
=
4-37
Problema 4.10.
Solución.
Tomando como referencia los puntos (1) y (2) planteamos la ecuación de balance de
energía mecánica.
2 2
1 1 2 2
1 2
1
1 2
2 2
2 2
1 1 2 2
2
2 2
:
0
0
3,72 ( ) 37
............
692
.
9
1,00 101325
:
(1)
2 2
...
p V p V
gz W gz F f
Simplificaciones
z
W
N
p atm Absoluta
m
N
p atm
m
Luego
p V p V
gz F f
ρ ρ
ρ ρ
+ + + = + + +
=
=
= =
= =
+ = + + +
∑
∑
Por la ecuación de continuidad:
4
2 2
1 2 2
1 1 2 2
1
(2)
2 2
................
V V D
V A V A Q
D
 
= = 
→ =  
 
Reemplazando la Ec. (2) en la Ec. (1) y reordenando se tiene:
4
2
1 2 2 2
2
1
................
1 0 (3)
2
p p V D
gz F f
D
ρ ρ
 
 
 
 
− − − − − =
 
 
 
   
 
∑
Por otro lado se sabe que:
4-38
( ) ( )
2 2 2 2
1 1 1 2 2 2
1 2
1 2
1 2
........... ....
............
1" 1/ 2"
4 4 (4)
...
2 2
.
2 2
F f F F
Tramo Tramo
L V V L V V
F f f K f K
D D
= +
   
   
= + + +
   
   
   
   
∑ ∑ ∑
∑ ∑ ∑
Reemplazando la Ec. (4) en la Ec. (3):
( )
4
2 2 2
1 2 2 2 1 1 2 2
2 1 2
1 2
1 1 2
1 4 4 0 (
........ 5)
2 2 2
p p V D V L V L
gz f K f K
D D D
ρ
     
−      
 
− − − − + − + =
   
     
 
     
   
 
∑ ∑
Reemplazando la Ec. (2) en la Ec. (5):
( )
4 4
2 2 2
1 2 2 2 2 2 1 2 2
2 1 2
1 2
1 1 1 2
.
1 4 4 0 .......(6)
2 2 2
p p V D V D L V L
gz f K f K
D D D D
ρ
     
−        
 
− − − − + − + =
   
       
 
       
   
 
∑ ∑
Reordenando:
( )
4 4
2
1 2 2 2 2 1 2
2 1 2
1 2
1 1 1 2
.....
1 4 4 0 (7)
2
...
p p V D D L L
gz f K f K
D D D D
ρ
 
     
−        
 
 
− − − + + + + =
 
   
       
 
       
   
 
 
 
∑ ∑
A partir de esta expresión calculamos V2 como:
( )
1 2
2
2
2 4 4
2 2 1 2
1 2
1 2
1 1 1 2
2
1 4 4
p p
gz
V
D D L L
f K f K
D D D D
ρ
−
 
−
 
 
=
     
       
− + + + +
     
       
 
       
   
 
∑ ∑
Datos:
1 2
2 1
1 2
2
......................................
..................
0,0264 2,4384
0,0158 0,00625
9,144 3,65 12,794 0,0075
6
....................
..............
,0 6
.
9
D m z m
D m f
L m f
L m
= =
= =
= + = =
=
De tablas se tiene los siguientes coeficientes de resistencia:
• Válvula de globo: K = 10
• Codo de 90º con rosca: K = 0,7
• “Té”(Flujo derivado roscado): K = 2,0
4-39
• Contracción brusca:
2 2
2
1
0,0158
0,5 1 0,5 1 0,32
0,0264
D
K
D
   
   
 
= − = − =
 
   
   
 
   
 
Reemplazando los datos respectivos:
1
2
2
2 2 4
: 0,70 2,0 2,70
10,0 0,32 10,32
376929 101325
2 9,81 2,4384
998
0,0158 0,0158 12,794
1 4 0,00625 2,70 4 0
0,026
.......
......
4 0,0264
..............
0,0264
Donde K
K
x
V
x x x
= + =
= + =
−
 
−
 
 
=
   
     
− + + +
   
     
     
 
 
 
∑
∑
6,096
,0075 10,32
0,0158
 
+
 
 
( )
2
2
2
2
2 2 2 2
3
4
3
3
....... .......
504,4712 504,4712
20,6435
0,641815 1,900771 21,894683 24,437269
4,54 4,54 0,0158
4 4
8,9014 10
1 1
:50 50 3,785 189,25 189,25 10
1 1000
V
m
V Q V A V D x x
s
m
Q x
s
L m
Volumen galones galx L x m
gal L
π π
−
−
= = =
+ +
= 
→ = = =
=
= = = 3
3 3
3
4
189,25 10
212,60 3,54
8,9
........
014 10
V x m
t segundos minutos
m
Q
x
s
−
−
∴ = = = =
4-40
Problema 4.11.
Sistema:
3
3
3 3
.. .
.............. .
..............
.............. ..
..............
.........
: 77,4 /
1,18 10 / .
6
? 40
1,6596 10 /
20
.....
Datos lb ft
x lb ft s
z m
D SCH
Q x m s
L m
ρ
µ −
−
=
=
∆ =
=
=
=
Balance de energía entre los puntos (1) y (2):
2
2 1
2
:
V
p
Hs z hf
g g
Simplificaciones
z z z
ρ
∆
∆
∆ = ∆ + + +
∆ = −
∑
2 6
0
0
0
z
p
V
Hs
= = −
∆ ≅
∆ ≅
∆ ≅
2 2
........
:
0 .
Luego
z hf hf z
= + 
→ = −
∑ ∑
Donde:
4-41
2 2
2
2
2 2
.
...
...... .....
4
2 2
4
2
4 6
2
6 6
4 4
2 2
4
.
Tubería recta accesorios
acc
acc
acc
acc acc
hf hf hf
L V V
hf f K
D g g
V L
hf f K
g D
V L
f K
g D
L L
f K f K
D D
V V
g g
L
f
D
= +
 
= +
 
 
 
 
= +
 
 
 
 
 
 
∴ + =
 
 
 
 
   
+ = 
→ = −
   
   
   
   
   



∑
∑ ∑
∑ ∑
∑
∑ ∑
2 2
2 2
2
2
2
2
6 4
2 2
6
2
2
4
2
6
2
4 . 4 .
...... ....
6 12
2
1 4 1
0,50 4 0,8
..
0
acc
acc
acc
acc acc
acc salida codo válvula
acc
V V
K fxL
g g
D
V V K
g
g
V
fxL
g
D
V K
g
f L f L
D
g
K K
V
V
g
K K K K
K x
   
−
   
    
= 
→ =

   
 −
   
 
 
 
 
 
=
 
−
 
 
= =
− −
 
 
 
= + +
= + +
∑
∑
∑
∑ ∑
∑
∑
( )
2 2
2
10
13,70
4 20 80
12 9,81 117,72
13,7 13,
............
7
80
(*)
117,72
13,7
.....
acc
K
f x f
D
x
V V
f
D
V
=
= =
− −
=
−
∑
4-42
3 3
3
...
.....
: 77,4 1239,83
........
19
1,18 10
.
..
lb kg
Datos
ft m
lb
x
ft s
ρ
µ −
= =
=
1
.
0,67197
.
kg
m s
x
lb
ft s
( )
3
2
2
... ... ...
1,7560 10
.
( ) : (Re) ; Re
( )
4
4
kg
x
m s
xVxD
D Supuesto f f
Q Q
V
A
D
Q
V
D
ρ
µ
π
π
−
=
= =
= =
 
=  
 
5
3
3
................. 4.6 10
0 1
..
,95 0
Ro x
D
m
Q x
s
ε ε −
−
= =
=
D
(supuesto)
V
(4Q/(πD²)
Re
(ρxVxD/µ)
Ro
(Є/D)
f calc (Ec.
Cheng)
D calc
Ver (*)
0.03000 1.34397 28467.5275 0.00153 0.00686 0.01066
0.01066 10.64513 80118.0181 0.00432 0.00759 -0.04797
0.02500 1.93532 34161.033 0.00184 0.00685 0.03089
0.02600 1.78931 32847.1471 0.00177 0.00684 0.02374
0.02550 1.86017 33491.2088 0.00180 0.00685 0.02695
0.02567 1.83561 33269.4127 0.00179 0.00684 0.02578
Luego el diámetro buscado es de: D = 2.567 m.
Problema 4.12.
4-43
Balance de energía entre los puntos (1) y (2):
2
1
2
2 2
2 1
2
:
0
0
0
5
p V
H z hf
g g
Simplificaciones
p
V
V
V V
H
ρ
∆ ∆
∆ = ∆ + + +
∆ ≅
=
≠
−
∆ = +
∑
2
2
5
...... ...... ..........(1)
2 2
V
hf H hf
g g
+ 
→ ∆ = + +
∑ ∑
a) Pérdida de carga regular y singular:
Línea de succión:
2
2
.........
.......................
............................
4 . . (2)
2
(3)
2
succión tubo acc
succión regular singular
succ succ
regular succ
succ
succ
singular succ
hf hf hf ó
hf hf hf
L V
hf f
D g
V
hf K
g
= +
= +
=
= ∑
Datos:
( )
( )
4 3
4
2
2 3
3,015 10 /
4 4 3,015 10
/
16 10
( )²
4
1,4995 /
Re / 11656,49
/ 0 (
. . ) 0,00741
1,00
4 0,0074
.........................................
...... 1
..
succ
succ
regular
Q x m s
Q x x
Q
V Q A
xDi x x
Di
V m s
xVxDi
Di Tubo liso f
hf x
π π π
ρ µ
ε
−
−
−
=
= = = =
=
= =
≅ =
∴ =
( )
2
3
2
.......... .....................
............
1,4995
0,21230
16 10 2 9,81
1,4995
0,2
...............
400 0,02750
2 9,
.............
81
0,2
..... 3
............... 98
... 0
singular
succión
x x
hf
x
hf
−
 
=
 
 
= =
=
4-44
Línea de descarga:
2
2
4 . .
2
2
descarga regular singular
desc desc
regular desc
desc
desc
singular desc
hf hf hf
L V
hf f
D g
V
hf K
g
= +
=
= ∑
Cálculo de la velocidad de descarga:
( )
( )
4 3
4
2
2 3
3
3
3,015 10 /
4 4 3,015 10
/
13 10
( )²
4
2,27148 /
1030 2,27148 13 10
Re / 14
. . ........................................
346,77
2,12 10
/ 0 ( ) 0,00
.
desc
desc
desc
Q x m s
Q x x
Q
V Q A
xDi x x
Di
V m s
x x x
xVxDi
x
Di Tubo liso f
π π π
ρ µ
ε
−
−
−
−
−
=
= = = =
=
= = =
≅ =
[ ]
2
3
2
703
10 2,27148
4 0,00703 5,68834
13 10 2 9,81
2,2714
2 0,04 5 9,5 3,83422
........
.......... ........
.............................................................
2 81
.
9,
.
regular
singular
desca
hf x
x x
hf x
x
hf
−
 
∴ = =
 
 
= + + =
9,52256
rga =
Luego:
. . . . . ............
9.76237 //
regular singular
hf hf hf
hf m de columna delíquido R
= +
=
∑
∑
b) Potencia requerida:
( )
2
2
2
2
5 ;
2
2,27148
5 9,76237
2 9,81
15,02
...... ......
. .
535
:
15,02535 9,81 147,3987 /
147,3987 / 0,60
245,664 /
. . .
desc
V
H hf V V
g
H
x
H m de columna delíquido
Energía
W Hxg x J kg
W
W J kg
η
= + + =
∆ = + +
∆ =
= ∆ = =
=
=
∑
4-45
[ ] 4
:
245,664 , 245,664 1030 3,015
..
10
76,29 76,29
0
.... ..
,0762
. .
9
.. .
Potencia
J
P Wxm xQ x x x
kg
J
P P Watt
s
P KW
ρ −
 
= = =
 
 
= 
→ =
=
c) Costo de bombeo:
[ ]
.
0,07629 3 0,22887
. . .......
0,40
:0,22887
1
0, .............
0 .
92 //
Potencia KW h
Potencia KWx h KW h
soles
Costo KW h x
KW h
Costo Nuevos soles R
= −
= = −
−
−
=
Problema 4.13.
Solución:
Datos:
1,10
3 3
r
centipoise centipoise
ρ
µ
=
= =
0,000672
.
1
lb
ft s
centipoise
0,002016
.
1' 40 : 1,048
. ...
lb
ft s
D cat Detabla di pulg
=
= 
→ =
4-46
Escribimos la ecuación de Bernoulli entre los puntos a y b plano de referencia por A:
a
p
ρ
a
c
g
z
g
+
2
2
a
c
V
g
+ Wp
+ b
p
ρ
=
2
2
b
b
c c
V
g
z
g g
+ + hf
+
Consideraciones:
2
. ..........................................
0 ( ) 0
....
0.( )
a
c
a
c
V
p
manométrica
g
g
z planodereferencia
g
ρ
∆
= ≅
=
Finalmente se tiene:
2
0
2
b
b
c c
V
g
z hf
g g
= + +
Cálculo de:
2
4
1 2
b
c
l V
hf
d g
φ
=
∑
Donde:
( )
Re ,
f N
D
ε
φ =
Pero NRe no se puede calcular por falta de Vb, entonces la única manera es dando un
valor razonable de Ф:
Ф=0,003
Cálculo de ∑l:
Longitud total de la tubería: (20+30+12+13) f t = 75 ft
2 válvulas de compuerta completamente abierta:
.................
1,0
....................
49
13 2 26 2,2
.
6
12
77,26
L
x L
D
l ft
 
= 
→ = =
 
 
=
∑
Reemplazando los valores en la expresión:
2 2
0 4 ................... ( )
2
. 1
2
.
b b
b
c c c
l
V V
g
z
g g di g
φ
= + +
∑
2 2
4
2 2
b b
b
c c c
l
V V
g
z
g g di g
φ
− = +
∑
4-47
[ ]
2 2
2 2
2
2
2
2 2
2
2
77,26
55 4 0,003
1,049
2 2
12
55 10,6
2 2
55
4,74
2 11,6
4,74 2 4,74 2 32,17 304,97
304,97
17,46
b b
c c
b b
c c
b
c
b c
b
b
V V
ft
ft x x
g g
ft
V V
ft
g g
V ft
ft
g
ft ft
V x xg ftx x
s s
ft
V
s
ft
V
s
− − = +
 
 
 
= +
= =
= = =
=
=
Con este valor de Vb evaluamos de nuevo el valor de Ф:
Donde: ( )
Re ,
f N
D
ε
φ =
Número Reynolds:
Re
3 3
1,10 62,42 68,662
0,002016
.
b
V di
N
lb lb
x
ft ft
lb
ft s
ρ
µ
ρ
µ
=
= =
=
( )( )
3
Re
4
Re
68,662 17,46 1,049/12
0,002016
.
5,198 10
ft
lb ft
s
ft
N
lb
ft s
N x
 
 
 
=
=
Para acero comercial: 0,00015 ft
ε = (Tabla)
0,00015
0,0017
1,049
12
ft
d ft
ε
= =
Con los valores de NRe y de
d
ε la gráfica se tiene:
0,0054
φ =
Reemplazando nuevamente este valor en:
4-48
[ ]
2 2
2 2
2 2
4
2 2
77,26
55 4 0,0054
1,049
2 2
12
55 19,09
2 2
55
2 32,17
20,09
13,27
b b
a
c c c
b b
c c
b b
c c
b
b
l
V V
g
z
g g di g
V V
ft
ft x x
g g
ft
V V
ft
g g
ft
V x x
s
ft
V
s
φ
− = +
− − = +
 
 
 
= +
=
=
∑
Esta es la velocidad con que se drena en el tanque B.
Para determinar el tiempo de drenaje en el tanque A hasta un nivel de “1 pie”;
calculamos por la ecuación de continuidad:
1 1 2 2
..
: . a a b b
Q V A V A
Osea V A V A
= =
=
De donde:
( )
( )
2
2
1 1
( )
( )
4
13,27
1,04
. . .
. . . . .
. 9
4
.
.
a
a a
b
b
dx
V Por ser incógnita
dt
A D Considerando al ta que como un cilindro
ft
V
s
A d d pulg
n
π
π
=
=
=
= 
→ =
Siendo la nueva expresión:
4
dx
dt
π
( )
2
4
a b
D V
π
= ( )
2
1
2
2
1,049
13,27 0,4056
6
i
b
a
d
d
dx
V
dt D
dx ft
dt s
 
=  
 
 
= =
 
 
4-49
( ) ( )
2 2
1 1
0 0
2 1 2 1
2 2
2
2
0,4056
0,4056
0,4056
0,4056
x t
x t
dx dt
x x t t
x t
x
t
= =
=
− = −
=
=
∫ ∫
Donde:
2
2
2
9
:
9
0,4056
2 . ..
2,1 .............
8 /
.... /
..
x ft
Luego
ft
t
ft
s
t s R
=
=
=
Problema 4.14.
Parte a):
3
3
:
6 6 1
.
.
0
) 4
) 8
Datos
L m
Q x
s s
a h cm
b h cm
−
= =
∆ =
∆ =
Balance de energía entre los puntos (1) y (2):
1
z
2
1 1
2
p V
g g
ρ
+ + 2
z
=
2
2 2
2
p V
g g
ρ
+ +
2
1 2
1 2
2
1 2
1 2
.
.............................
..
:
.
2
.
..
...
:
regular
regular v
Hg H O
hf
Simplificaciones z z
V V
p p V
hf K
g g
Pero p p hxg
hx g
ρ
ρ ρ
+
=
=
−
∴ = =
 
− = ∆ −
 
∆
∴ 2
Hg H O
g
ρ ρ
ρ
 
−
 
2
.
2
v
V
K
g
=
4-50
2
2
.
2
2
v
v
V
h K
g
h
K
V
g
ρ
ρ
ρ
ρ
 
∆
∆ =
 
 
 
∆
∆  
 
=
Cálculo de V:
( )
3
3
2
2
6 10
4,7746
4 10
4
f
m
x
Q m
s
V
A s
x
π
−
−
= = =
Reemplazando datos se tiene:
a) ∆h = 4 cm = 4 x 10-2
m de Hg:
[ ]
( )
3
2
13600 1000
4 10
1000
4,7746
2 9,81
0,4337
v
v
x
K
x
K
− −
=
=
b) ∆h = 8 cm = 8 x 10-2
m de Hg:
[ ]
( )
3
2
13600 1000
8 10
1000
4,7746
2 9,81
0,8675
0,868
v
v
v
x
K
x
K
K
− −
=
=
≅
Parte b):
3
3
.. ..
...........................
:
20º 998
1 10
.
400
..
Datos
Kg
T C
m
Kg
x
m s
L m
ρ
µ −
= 
→ =
=
=
Material: hierro forjado (ε = 0,046 m)
4-51
10 0,10
0,5
5,7
10
entrada
válvula
d cm m
k
k
z m
= =
=
=
∆ =
Ecuación de Bernoulli:
1
1
p
z
g
ρ
+
2
1
2
V
g
+ 2
2
p
z
g
ρ
= +
2
2
2
V
g
+
1
2
1
2 2
1
2
1
1
1
: 10
0
4 .
2 2
2
4
2
.
.............................
...
.
4
2 2 9,81 10
400
4 4
0,10
. ..
acc
acc
acc
acc
hf
Simplificaciones z m
z
z hf
L V V
z f K
d g g
gz
V L
z f K V
g d L
f K
d
gz x x
V
L
f K f
d
+
=
=
∴ =
 
= +
 
 
 
 
= + 
→ =
 
 
 
   
+
 
 
= =
  
+
 
  
∑
∑
∑
∑
∑
∑ acc
K

+
 

∑
Donde:
..................
.................
...............
0,5
1,
.
0
5,7
7,2
acc entrada
salida
válvula
acc
K K
K
K
K

→ =
=
=
=
∑
14
16000. 7,2
V
f
=
+
4-52
V
(supuesto) ε/d Re f
V
(calculado)
3 0.00046 299400 0.00451 1.57188
1.57188 0.00046 156873.242 0.00479 1.52960
1.52960 0.00046 152653.855 0.00480 1.52749
1.52749 0.00046 152443.681 0.00480 1.52738
1.52738 0.00046 152432.991 0.00480 1.52738
Luego V = 1,52738 m/s
( )
3
2
3
1,52738 0,10 0,012
4
0,01 .......................
2 // .
.....
f
m
Q VxA x
s
m
Q R
s
π
= = =
=
Problema 4.15.
Q = 212 L/s = 212 x 10-3
m³/s
Tubería: (1)-(2) PVC: ε = 0,0015 mm, d1 =?
Tubería: (2)-(3) Horno fundido: ε = 0,12 mm, d2 = 6’’ = 0,1524 m
Balance de energía entre los puntos (1) y (2):
( )
2 2
1 1 2 2
1 2
1
2
1 2
1 2
. . . .
..............................
.......
2 2
: 0 (
.......................
........................
)
7 9,2 16,
......
. 0 1
. 6
.
2
p V p V
z z hf
g g g g
Simplificaciones z Punto de referencia
z m
p p
V V
ρ ρ
+ + = + + +
=
= − + = −
=
=
∴ = −
∑
,2 16,2
hf hf
+ 
→ =
∑ ∑
4-53
( )
2 2
2 2 2 2
1 1 1 2 2 2
1 2
1 2
2 2
1 2
1 2
1
4 . 16,2
2 2
16,2 4 4 .
2 2 2 2
92 11,2
16,2 4 0,5 4 2,85
2 2 0,1524
entr codo cheque
V V
f K
g g
L V V L V V
f K f K Kvál
d g g d g g
V V
f f
g d g
+ =
   
= + + + +
   
   
 
   
 
= + + +
 
   
 
 
   
 
∑ ∑
∑
De la ecuación de continuidad:
2
2
1 1 2 2 1 2
1
4
2 2
1 2 2
1
2 2
d
Q V A V A V V
d
V V d
g g d
 
= = 
→ =  
 
 
=  
 
( )
4
2 2
2 2 2
1 2
1 1
4 4
2
2 2 2
1 2
1 1 1
4
4
2 2
1 2
2 5
2 1 1
92
16,2 4 0,5 4 73,49 2,85
2 2
92
16,2 4 0,5 293,9632 2,85
2
16,2
368 0,5 293,9632 2,85
2
V d V
f f
g d d g
V d d
f f
g d d d
d d
f f
V d d
g
 
   
= + + +
 
 
 
   
   
 
 
    
 
= + + +
    
 
    
 
 
 
 
= + + +
 
 
 
 
Cálculo de V2:
( )
3
3
2
2 2
2
212 10
0,1524
4
11,6218
f
m
x
Q s
V
A m
m
V
s
π
−
= =
=
( )
4
4
2 2
1 2
2 5
1 1
4
4
2 2
1 2
5
1 1
16,2
368 0,5 293,9632 2,85
11,6218
2 9,81
2,35325 368 0,5 293,9632 2,85
d d
f f
d d
x
d d
f f
d d
 
 
 
= + + +
 
 
 
 
 
= + + +
 
 
4-54
Cálculo de f2:
Como primera alternativa supongamos:
1 0,0040
f ≅
( )
4
4
5
1 1
5 4
1 1
0,1524 0,1524
2,35325 368 0,0040 0,5 4,22842
0,00079 0,00027
2,35325 4,22842 ( )
x
d d
f x
d d
 
= + +
 
 
= + + =
Por tanteo:
d1
(supuesto)
f(x)
calculado
0.10 85.92842
0.20 6.86592
0.15 15.16505
0.12 37.27883
0.14 19.62007
0.13 26.45076
0.135 22.65937
0.134 23.35118
Luego 23,35118 es el valor que se aproxima a 23,35325.
Ahora procedemos a un cálculo riguroso:
3
2 2
2 3
2
4
2
2
2
4
4
2 2
1 5
1 1
998
³
1 10
.
998 11,6218 0,1524
Re
1 10
Re 1767619,995
0,12
7,874015748 10
152,4
0,00469 ( )
2,35325 368 0,5
...
4,22842
kg
m
kg
x
m s
xV xd x x
x
mm
x
d mm
f Cheng
d d
f
d d
ρ
µ
ρ
µ
ε
−
−
−
=
=
= =
=
= =
=
 
= + +
 
 
4-55
Supongamos:
( ) ( )
1
3
1
1
1 1 1
1 1
3
3
3 3
1
2
2
1
1
1
1 1
0,134
0,0015 10
0,00001
0,134
998 0,134
Re 133732
1 10
212 10 212 10
15,03264
0,134
4 4
Re 133732 15,03264
Re 201034 .. .
5,522 0,0 6
. 02 8
d m
x m
d m
xV xd xV x
V
x
m
x
Q x m
s
V
A s
d
x
f
ε
ρ
µ
π π
−
−
− −
=
= =
= = =
= = = =
=
= 
→ =
Segundo tanteo:
( )
1 1
1
1
3
1
2
1 1
1 3
1
1
120 0,120
0,0015
0,00001
120
212 10
18,74
0,120
4
18,74 0,12 998
Re
1 10
Re 2244
..
885,83
0,0 64
.
02
.
d mm d m
mm
d mm
Q x m
V
A s
V xd x x x
x
f
ε
π
ρ
µ
−
−
= 
→ =
= =
= = =
= =
=
=
Calculando: f(x) = 26,59
Luego el diámetro seleccionado será:
1 ................
0, ..
125 // .
d R
≅
4-56
Problema 4.16.
Datos: Q = 21,2 ft3
/min
ρ = 62,3 lb/ft3
= 996,64 kg/m3
υ = 1,14 x 10-5
ft/2
/s
ΣL = 2,25 millas
Do = 7,5 pulg
esp = 1,25 pulg
Accesorios = 25 % de carga de fricción
∆P = 30 kPa
Balance de energía entre los puntos (1) y (2):
∑
+
+
+
=
+
+
+ hf
g
v
g
p
Z
H
g
v
g
p
Z B
2
2
2
2
2
2
2
1
1
1
ρ
ρ
Simplificaciones: v1 = 0
acc
f
tubo
f
B h
h
g
v
g
p
Z
H +
+
+







 ∆
+
∆
=
2
2
2
ρ
(I)
Donde:
a
c
de
m
ft
m
x
ft
Z .
.
096
,
6
1
3048
,
0
20 =
=
∆
a
c
de
m
x
Pa
g
p
.
068
,
3
81
,
9
64
,
996
30000
=
=
∆
ρ
Cálculo de velocidad.
s
m
s
x
ft
m
x
ft
Q /
010
,
0
60
min
1
1
3048
,
0
min
2
,
21 3
3
3
=








=
Di = Do – 2 esp = 7,5 – 2 x 1,25 = 5,0 pulg
Di = 12,7 cm = 0,127 m
s
m
s
m
A
Q
v
flujo
/
7894
,
0
)
127
,
0
(
4
/
010
,
0
2
3
=
=
=
π
4-57
a
de
c
m
x
g
v
.
03176
,
0
81
,
9
2
)
7894
,
0
(
2
2
2
=
=
Cálculo de pérdida de carga regular por tramos rectos:
g
v
D
L
F
f
h tubo
f
2
4
2






=
L = 2,25 millas * 1609,347 m/1 millas = 3621,03 m
Cálculo del Nº Re:
υ
ρ
µ
µ
ρ Di
v
Di
v
D
v
=








=
=
Re
s
m
x
ft
m
s
ft
x
2
6
2
2
5
10
059
,
1
1
3048
,
0
10
14
,
1
=
⇒








= −
υ
υ
Re =
s
m
x
o
m
s
m
/
10
59
,
1
)
127
,
0
(
/
7894
,
0
2
6
−
Re = 94659,9
Tubo liso: Є/D ≡ 0,0
[ ] [ ] 3
4
10
5533
,
4
0
,
10
46599
,
9
/
Re, −
=
=
= x
x
D
f
fF ε
fF = 0,004553
Cálculo de hftubo real
81
,
9
2
)
7894
,
0
(
127
,
0
03
,
3621
004553
,
0
4
2
4
2
2
x
x
x
x
g
v
D
L
f
h F
recto
t
f 





=






=
hf tubo recto = 16,4937 m.de c.de agua
Accesorios.
hac = 0,25 x hf tubo recto = 0,25 x 16,4937
hac = 4,1234 m.
Reemplazando datos en la ecuación (I):
HB = 6,096 + 3,068 + 0,03176 + 16,4937 + 4, 1234
HB = 29,8128 m. de. c. a.
a) Cálculo potencia teórica:
)
(
)
( Q
x
g
x
H
W B
B ρ
η =
s
m
x
m
kg
x
s
m
x
m
WB
3
3
2
010
,
0
64
,
996
81
,
9
8128
,
29
=
η
η WB = 2914,81 J/s , η = 1,0
4-58
WB = 2,91481 kW = 2,92 kW
b) Di = 0,16 m
Problema 4.17.
Para resolver este problema, consideremos como referencia el nivel O – O’, entonces la
ecuación de balance de energía planteada entre (1) y (2) es como sigue:
∑
+
+
+
=
+
+ hf
g
v
g
p
Z
g
v
g
p
Z
2
2
2
2
2
2
2
1
1
1
ρ
ρ
Z1 = (27 + 18) pulg = 45 pulg = 1,143 m
Z2 = 12 pulg = 0,3048 m ; Z2 = 1,2 = 0,03048
p1 = p2 = p atm
v1 = 0 , v2 ≠ 0
Z1 = Z2 + ∑
+ f
h
g
v
2
2
2
g
v
g
v
Z
Z
hf
2
3048
,
0
143
,
1
2
2
2
2
2
2
1 −
−
=
−
−
=
∑ (II)
Cálculo de v2 : Balance de energía punto (2) y (3):
g
v
g
p
Z
g
v
g
p
Z
2
2
2
3
3
3
2
2
2
2 +
+
=
+
+
ρ
ρ
Simplificación:
Z2 = 0
p2 = p3 = Presión atmosférica
v3 = 0 (estancado)
g
x
Z
v
Z
g
v
2
2
3
2
3
2
2
=
⇒
=
∴
Z2 = 3 pulg = 7,62 cm = 0,0762 m
v2 = 81
),
2
0762
,
0 x
x = 495044
,
1
v2 = 1,2227 m/s
4-59
Entonces se tiene que:
m
x
g
v
0762
,
0
81
,
9
2
)
2227
,
81
2
2
2
2
=
=
Reemplazando en la ecuación (II):
0762
,
0
3048
,
0
143
,
1 −
−
=
∑ f
h
762
,
0
=
∑ f
h
Como dato se tiene que a tubería es roscado de ½” de Φ., entonces, de la tabla
consideremos SCH-40:
Di =0,622 pulg = 3
10
1
0157988
,
0
2227
,
1
998
−
x
x
x
Cálculo de Re. T = 20ºC
ρ = 998 kg/m.s;
µ = 1 x10-3
kg/m.s
3
10
1
015988
,
0
2227
,
1
998
Re −
=
=
x
x
x
i
v
µ
ρ
Re = 19278,6
De tablas:
Є = 0,15 m
m
x
D 0157988
.
0
10
15
,
0 3
−
=
ε
0094
,
0
10
4943
,
9 3
=
= −
x
D
ε
f = 0,010 
→ 0,01085
De la Ecuación:
762
,
0
=
∑ f
h
4-60
( ) 762
,
0
2
2
4
2
2
2
2
=
+






+
+
∑ g
v
K
g
v
D
L
f
g
v
K
K val
salida
codo
De tablas: Codo 90º roscado = K = 1,5
Condiciones de flujo de entrada:
K = 0,04
L = (18 + 32) pulg = 50 pulg = 1,27 m.
(2 x 1,5 + 0,04) (0,0762) + 4 x 0,010 (1,27 m/0,0157988) x 0,0762 + Kvalvul (v2
/2 g) = 0,762
0,231648 + 0,245016 + Kval (v2
/2 g) = 0,762
kval . (v2
/ 2 g) = 0,2853
kval =
g
v
2
2853
,
0
2
Kval = 0,2853/0,0762
Kval = 3,74 (5,68)
Problema 4.18.
4-61
Balance de energía mecánica entre los puntos (1) y (2):
2
1 1
1
2
p V
z
g g
ρ
+ +
2
2 2
2
2
B
p V
H z
g g
ρ
+ = + +
( )
1
2
2 1
:
0
0
:
(
.............. 1)
..
B
hf
Simplificaciones
V
V
Luego
p p
H z hf
g
ρ
+
≅
≅
−
= ∆ + +
∑
∑
( ) ( )
2 2
2
...
:
4
2 2
4 ............ (2)
.
2
succión Descarga
suc suc suc
suc suc
suc
suc
suc suc
suc suc
suc
suc
Donde
hf hf hf
L V V
hf f K
D g g
V L
hf f K
g D
= +
 
= +
 
 
 
 
= +
 
 
 
 
∑ ∑ ∑
∑ ∑
∑ ∑
De forma similar para la sección de descarga:
2
4 ... (3)
............
2
.
Desc Desc
Desc Desc
Desc
Desc
V L
hf f K
g D
 
 
= +
 
 
 
 
∑ ∑
Para resolver las ecuaciones (1), (2) y (3), se requiere calcular el caudal a partir del
medidor de orificio:
a) Cálculo del caudal: primero calculamos la velocidad en la línea de 2pulg
φ = ,
mediante la ecuación:
( )
1 2
1 4
2
1
o
o
p p
C
V
D
d
ρ
−
=
 
−
 
 
Para un fluido con líquido manométrico:
1 2
1 4
..
1
. .. 2
. 1
Hg
Hg
o
p p hxg
C
V g h
D
d
ρ ρ
ρ
ρ
 
− = ∆ −
 
 
∴ = ∆ −
 
 
 
−
 
 
Datos:
0,62
o
C = (Valor razonable para régimen turbulento, dato experimental obtenido
de ensayos de laboratorio de banco de medidores de flujo o de la grafica para medidor
de flujo por orificio, ver Cap. III)
4-62
De tablas: 2” SCH 40:
52,5
1 2,54 25,4
i
o
D mm
d pulg cm mm
=
= = =
De tablas: T=30ºC:
3
3
879
0,60 0
.....
,60 1
.
.
0
kg
Benceno
m
kg
cp x
m s
ρ
µ −
 
=  
 
= =
Reemplazando los valores respectivos:
1 4
1
0,62 13600
2 9,81 0,20 1
879
52,5
1
25,4
1,1248 Descarga Desc
V x x x
m
V V V
s
 
= −
 
 
 
−
 
 
= = =
Caudal:
( ) ( )
2
2 3
1 1 1 1
3
3
1,1248 52,5 10
4 4
2,435 10
Q V xA V x D x x
m
Q x
s
π π −
−
   
= = =
   
   
=
b) Potencia de la bomba:
La potencia de la bomba se determina resolviendo las ecuaciones (1), (2) y (3):
Cálculo de la pérdida de carga regular y singular:
1. Línea de succión.
Dato: D=3” SCH 40 
→ De tablas: 77,9
i
D mm
=
Velocidad en la línea de succión:
( )
3
3
2
2 3
2,435 10
77,9 10
4 4
0,51
suc
f
suc
m
x
Q Q s
V
A xD x
m
V
s
π π
−
−
= = =
=
• Cálculo del coeficiente de fricción: K
∑
: 1 0,50 0,50
" " : 1 1,20 1
. . ............
. . .....
. . .....
........................................
,20
: 1 6,00 6,
..
00
7,70
suc
Entrada del tubo x
T con salida lateral x
Válvula globo abierta x
K
=
=
=
=
∑
4-63
• Cálculo del factor de fricción: suc
f
( )
3
3
6
5
3
2
3
Re,
879 0,51 77,9 10
Re 58202,98
0,6 10
1,5 10
1,9255 10
77,9 10
0,00507 ( )
4
2
:
.
5,5
77,9
..
..
10
.
suc
suc
suc
suc suc
suc suc
suc
suc
suc
suc
f f
D
xV xD x x x
x
x
x
D x
f Cheng
V L
hf f K
g D
Datos
L m
D x m
ε
ρ
µ
ε
−
−
−
−
−
−
 
=
 
= = =
= =
=
 
∴ = +
 
 
=
=
∑ ∑
( ) ( )
2
3
0,51 5,5
4 0,00507 7,7
2 9,81 77,9 10
0,12106
suc
suc
hf x x
x x
hf
−
 
= +
 
 
=
∑
∑
2. Línea de descarga.
Datos:
2 52,5
1,1248
Desc
pulg mm
m
V
s
φ = =
=
Primero calculamos la pérdida de carga por fricción del orificio:
4-64
[ ]
2
2
2
2
2
.....
1
0,20 9,81 13600 879
24958,602
25,4
24958,602 1
52,5
19116,5
:
2
o
orif medido
medido Hg
medido
orif
orif
orif
orif orif
o
orif
d
P P
D
P hxg x x
N
P
m
P x
N
P
m
Luego
V
P K x x
P
K
ρ ρ
ρ
 
 
∆ = ∆ −
 
 
 
 
 
 
∆ = ∆ − = −
 
∆ =
 
 
∴ ∆ = −
 
 
 
 
 
∆ =
∆ =
∆
=
( )
2
2
3
2
3
2
2
:
2,435 10
4,805
25,4 10
4
19116,5
1,88
(4,805)
879
2
1,9
rif
orif
orif
orif
orif
orif
V
x
Donde
m
x
Q m
s
V
A s
x
K
x
K
ρ
π
−
−
= = ≅
= =
≅
• Cálculo del coeficiente de pérdida de carga, ( )Desc
K
∑ :
. . . .....
. . . . ......
. . ....................
: 1 6,00 6,00
3 90º : 3 0,75 2,25
: 1 1,00 1
. . . ...........
..................
,00
1 : 1 1,
.......
90 1,9
.
0
.
Válvula de globo abierta x
codos de estándar x
Salida del tubo x
medidor de orificio x
=
=
=
=
................ ,
.. 11 25
. Desc
K =
∑
• Cálculo del factor de fricción, Desc
f :
4-65
( )
3
3
6
5
3
2
Re,
879 1,1248 52,5 10
Re 86511,18
0,6 10
...
..
1,5 10
2,8571 10
52,5 10
0,00468 ( )
4
2
:
19
52,5
.
10
Desc
Desc
Desc
Desc Desc
Desc Desc
Desc
Desc
Desc
Desc
f f
D
xV xD x x x
x
x
x
D x
f Cheng
V L
hf f K
g D
Datos
L m
D x
ε
ρ
µ
ε
−
−
−
−
−
−
 
=
 
= = =
= =
=
 
∴ = +
 
 
=
=
∑ ∑
3
m
( ) ( )
2
3
1,1248 19
4 0,00468 11,25
2 9,81 52,5 10
1,16231
Desc
Desc
hf x x
x x
hf
−
 
= +
 
 
=
∑
∑
Finalmente:
( ) ( ) 0,12106 1,16231
1,28337 . . .
(
.. )
succión Descarga
hf hf hf
hf La contribución es mínima
= + = +
=
∑ ∑ ∑
∑
Reemplazando datos en la ecuación (1):
( )
( )
2 1
1 2
2 2
1 101325
4 405300
405300 101325
7 1,28337 35,25169 7 1,28337
879 9,81
43, . . . . .
535
B
B
B
p p
H z hf
g
N
p atm
m
N
P atm
m
H
x
H m de columna debenceno
ρ
−
= + ∆ +
= =
= =
−
= + + = + +
=
∑
4-66
• Cálculo de la potencia:
2
43,535 9,81 427,07894
427,07894 427,07894
657,04
0,65
:
657,04
B B
B
B
m J
W H xg mx
s kg
J
W
kg
Potencia
N W x xQ
J
N
Kg
η
η
ρ
= = =
= = =
=
= 879
Kg
x 3
m
3
3
2,435 10
m
x x −
1,88
s
N Hp
 
 
 
 
=
Luego la bomba a seleccionar será:
2,0
N Hp
≅
c) Costo de bombeo: de acuerdo a los datos se tiene:
.
0,50
nuevos soles
KW h
−
Como no se indica si es por día o mes, supondremos t =1 hora.
Luego:
1,40631
0,5
.
.
0
.1
N KW x hora
nuevos soles
Costo
KW hora
=
=
−
1,40631
x KW hora
−
0,70316
.
.
1
nuevos soles
Costo
hora
=
Problema 4.19.
Ecuación: ∑
+
+
+
=
+
+
+ F
v
p
Z
g
W
v
p
g
Z
2
2
2
2
2
2
2
1
1
1
ρ
ρ
Simplificaciones: Z1 = Z2
4-67
W = 0
v1 = v2 (D = constante)
p1 = 5,42 atm = 549181,5 N/m2
p2 = 3,04 atm = 308028 N/m2
∑
∑ =
−
⇒
+
=
∴ F
p
p
F
p
p
ρ
ρ
ρ
)
( 2
1
2
1
(1)
Además,
2
4
2
v
D
L
f
F
∑ 





=
( )( )
2
4
2
2
1
v
D
L
f
p
p
=
−
∴
ρ
( )( )
ρ
/
)
(
2
4
2
1
2
p
p
v
D
L
f
D
−
= (2)
Q = v/A
v = Q/(π/4 x D2
)
Además, f = f (Re, Є/D) y
µ
ρ D
x
v
x
=
Re
La solución es por tanteo:
D (supuesto) Calculado
v Re ε/D f D (Ec. 2)
Si D supuesto = D calculado, entonces
D = 6 pulg (intente resolver para obtener esta respuesta)
Problema 4.20.
Datos. LAB = 44 m , DAB = 38 mm
LBC = 1,5 m, DCB = 32 mm
LBD = 4,0 m; DBD = 26 mm
f = 1/40
4-68
Parte a.
a) Calculo de caudal en (c) cuando D está cerrado, T en B es despreciable.
Para 1 y 2: Ecuación: ∑
+
+
+
=
+
+
+ F
v
p
Z
g
W
v
p
g
Z C
C
2
2
2
2
2
1
1
1
ρ
ρ
Simplificaciones: Z1 = 0
v1 = 0
W = 0
p1 = p2 = presión atmosférica
Z2 = - 11
∑
∑ +
+
−
=
⇒
+
+
=
∴ F
v
g
F
v
Zc
g c
c
2
)
11
(
0
2
)
(
0
2
2
∑ −
=
2
)
11
(
2
c
v
g
F (1)
Además: ∑ ∑ ∑
+
= BC
AB F
F
F
Donde:
2
)
14
44
(
)
40
/
1
(
2
)
(
4
2
2
A
AB
c
AB
eqAB
AB
AB
AB
v
D
v
D
L
L
f
F
+
=
+
=
∑
2
)
11
5
,
1
(
)
40
/
1
(
2
)
(
4
2
2
c
BC
c
BC
BC
eq
BC
BC
BC
v
D
v
D
L
L
f
F
+
=
+
=
∑
2
032
,
0
)
5
,
12
(
)
40
/
1
(
4
2
038
,
0
)
58
(
)
40
/
1
(
4
2
2
A
A
BC
AB
v
x
v
x
F
F +
=
+
∑ ∑ (2)
Reemplazando (2) en (1)
4-69
(1/40) 2
/
)
11
(
2
032
,
0
)
5
,
12
(
)
40
/
1
(
4
2
038
,
0
58 2
2
2
c
c
A
v
g
v
x
v
−
+






Además, vA AA = vc Ac → vA =
2








AB
BC
c
D
D
v
4
2
2
)
/
( AB
BC
c
A D
D
v
v =
2
/
11
81
,
9
2
032
.
0
5
,
12
)
40
/
1
(
4
2
038
,
0
032
,
0
038
,
0
58
)
40
/
1
( 2
2
4
2
c
c
c
v
x
v
v
−
=
+
+












11
81
,
9
1
032
,
0
5
,
12
)
40
/
1
(
038
,
0
032
,
0
038
,
0
58
40
1
2
4
2
x
vc
=








−
+


















[ ]
97
,
13
11
81
,
9
11
81
,
9
1
765
,
9
18
,
19
2
2
2
x
v
x
v
c
c
=
⇒
=
−
+
vc = 2,7 m/s , Q = π/4 x DBC vc
Parte b.
Cálculo de pérdida por fricción.
Tramo BC:
2
2
2
50
,
0
2
032
,
0
11
5
,
1
40
1
2
4 c
c
c
BC
BC
f v
g
v
g
v
D
Leq
f
h ≅





 +
=
=
Tramo BD:
2
2
2
8331
,
0
2
026
,
0
13
4
40
1
2
4 D
D
D
BD
BD
f v
g
v
g
v
D
Leq
f
h ≅





 +
=
=
PB
C D
Pb Pc
4-70
∑
+
−
+
−
= f
T h
g
p
p
g
v
v
H
ρ
1
2
2
1
2
2
2
2 2
0,50 0,8331
0,50
0,8331
c D
D C
v v
v v
=
=
0,775
D C
v v
=
De la ecuación de continuidad
( )
( ) ( ) ( ) ( )
2
2 2
2 2 2
(0,038) (0,032) 0,026
4 4 4
0,038 0,032 0,026 0,775
1,078
A C D
A C
A C
Q v v v
Q v v
v v
π π π
= = +
= = +
=
Balance: entre A y C
∑
+
= f
C
h
g
v
Z
2
2
2
Tramo AB
2
2
2
2
26
,
2
2
)
078
,
1
(
038
,
0
14
44
40
1
2
4 C
C
A
AB
AB
f v
g
v
g
v
D
Le
f
h =





 +
=








=
Tramo BC:
2
2
2
498
,
20
2
032
,
0
11
5
,
1
40
1
2
4 C
C
C
BC
BC
f v
g
v
g
v
D
Le
f
h =





 +
=








=
2
2
2
758
,
2
2
11
758
,
2
C
C
C
f
v
g
v
v
h
+
=
∴
=
∑
vC = 1,97 m/s
QC = 0,095 m3
/min = 95 L/min
QD = 0,049 m3
/min = 49 l/min
4-71
Problema 4.21.
La ecuación de Bernoulli entre los puntos 1 y 2 resulta:
∑
+
−
+
−
+
−
= f
T h
Z
Z
g
p
p
g
v
v
H )
(
2
1
2
1
2
2
1
2
2
ρ
(1)
Análisis: Supongamos: ∆Z = 0
Entonces, ∑
+
−
+
−
= f
T h
g
p
p
g
v
v
H
ρ
1
2
2
1
2
2
2
(2)
Donde ∑ +
= 2
1 f
f
f h
h
h
hf1 = pérdida de carga para el tramo de 8”
hf2 = pérdida de carga para el tramo de 6”
Cálculo de velocidades:
Q = 1500 g/min = 0,09463 m3
/s
v = Q/A de flujo
1) Para el tramo de 8 pulgadas de diámetro ( = 0,2032 m)
v1 = Q/A1 = 0,09463/π/4 (0,2032)2
v1 = 2,9180 m/s
A la temperatura de 15 ºC : ρ = 998 kg/m3
, µ = 1,131 x 10-3
kg/m.s
3
1
10
13
,
1
2032
,
0
9180
,
2
998
Re −
=
=
x
x
x
di
v
µ
ρ
4-72
Re = 5,23 x 105
Suponiendo una tubería de acero comercial forjado:
ε = 0,046 mm
ε/D = 0,046 x 10-3
/ 0,2032 = 0,00022
De la ecuación de Cheng, el factor de fricción de Fanning es,
f1 = 0,0038994
Cálculo de Σ l1 con sus respectivos accesorios:
• longitud de tubería tramo de 8” de diámetro: = 672,00 m
• 10 codos de 90º: L/D = 30 x 10 : L1 = 300 x 0,2032 = 13,20 m
• 5 válvulas de compuerta completamente abierta:
L/D = 13 x 5 : L = 65 x 0,2032 = 13,20 m.
• 1 válvula de globo L/D = 340: L = 340 x 0,2032 = 69,088 m
Σ l1 = 815,248 m
Reemplazando estos valores en:
g
v
d
l
f
hf
2
4
2
1
1
1
1
1
∑
=
81
,
9
2
)
9180
,
2
(
2032
,
0
248
,
815
0038994
,
0
4
2
1
x
x
hf =
hf1 = 27,16 m
2) Para el tramo de 6” de diámetro (≈ 0,1524)
s
m
m
s
m
A
Q
v /
1876
,
5
)
1524
,
0
(
4
/
09463
,
0
/
2
2
3
2
2 =
=
=
π
µ
ρ 2
2
Re
d
v
=
Supongamos que el agua de enfriamiento salga del reactor y condensador a 38 ºC, para
estas condiciones:
4-73
ρ = 994,7 kg/m3
µ = 0,682 x 10-3
kg/m.s
6
3
10
15
,
1
10
682
,
0
1524
,
0
1876
,
5
7
,
994
Re x
x
x
x
=
=
∴ −
0003018
,
0
1524
,
0
10
046
,
0 3
=
=
−
x
d
ε
De la ecuación de Cheng: f2 = 3,9045 x 10-3
Cálculo de Σ l2 :
- longitud de tubería tramo 6” de diámetro = 672,00 m
- 10 codos de 90º: L/D = 30 x 10 
→ L= 300 x 0,1524 = 45,72
- 5 válvulas de compuerta: L/D = 13 x 5 
→ L = 65 x 0,1524 = 9,906
- 2 válvulas de globo: L/D = 340 x 2 
→ L = 680 x 0,1524 = 103,632
Σ l2 = 831,258
Reemplazando este resultado en la ecuación:
g
v
d
l
f
hf
2
4
2
2
2
2
2
2
∑
=
81
,
9
2
)
1876
,
5
(
1524
,
0
258
,
831
10
9045
,
3
4
2
3
2
x
x
x
hf −
=
hf2 = 116,85 m
Luego la pérdida de carga en el sistema de circulación es la suma de las pérdidas de
carga en las secciones de 8 y 6 pulgadas:
∑ =
+
=
+
= m
hf
hf
hf 0
,
144
84
,
116
16
,
27
2
1
Además se tiene:
p1 = 35 psi + 14,7 = 49,7 psi = 3,38 atm = 3,4247 x 105
N/m2
p2 = 10 psia = 0,68 atm = 0,6892 x 105
N/m2
ρ = (998 + 994,7)/2 = 996,35 kg/m3
Reemplazando todo los valores en la ecuación (2):
4-74
2 2 5
(5,1876) (2,918) [0,6892 3,4247] 10
144
2 9,81 996,35 9,81
116,95
T
T
x
H
x x
H m
− −
= + +
=
Donde: HT = ẁ/g
ẁ = HT x g = 116,95 x 9,81 = 1147,28 m2
/s2
= J/kg
Además, se sabe que,
m = Q x ρ = 0,09463 m3
/s x 996,35 kg/m3
= 94,28 kg/s
Potencia teórica:
N = ẁ x m
N = 1147,28 J/kg x 94,28 kg/s = 108165,56 J/s
N = 108,2 kW = 108,2 kW x 1hp/0,7457 Kw
N = 145 hp (Para una bomba ideal) 100 % de η
b) Si el rendimiento de la bomba es de 70 %, el tamaño nominal de la bomba es,
Potencia de accionamiento necesario es.
Na = N/η = 145/0,70 = 207 hp = 154,5 kW
Corriente en amperios (intensidad):
( ) ( ) ( )
3 cos
cos 0,80
kW kVoltios x Amp x
sea
φ
φ
=  
 
=
Amp ≡ 293 Amperios
4-75
Problema 4.22
Datos:
1 1
2 2
100 /
8 lg. 40 0,207 ( )
6 lg. 40 0,1541 ( )
Q l s
D pu SCH D m tabla
D pu SCH D m tabla
=
= ⇒ ⇒ =
= ⇒ ⇒ =
Esquema para plantear balance de energia entre los puntos (1) y (2)
( ) ( )
2 2
2 1
2 1
2
B
V V
p p
H z hf
g g
ρ
−
−
= ∆ + + + ∑ (1)
Calculo de velocidades en la succion y descarga de la bomba:
Q
V
A
=
Tueberia de 8 pulgadas (succion):
( ) ( )
1 2
0,10
3,098 /
4 0,2027
V m s
x
π
= =
4-76
Tueberia de 6 pulgadas (descarga):
( ) ( )
2 2
0,10
5,36 /
4 0,1541
V m s
x
π
= =
Calculo de caída de presión:
1
p
2
A
p
p
=
1
p
= [ ] 2
3
H O
x g
p
ρ
+
2
p
= [ ]
4
Hg
h g
p
ρ
+ ∆
3
p
=
5
p 4
p
= [ ] 2
6
H O
h x g
p
ρ
− ∆ +
5
p
= [ ] 2
6
H O
B
z g
p p
ρ
− ∆
=
[ ]
B A
p p x
− = [ ]
2
H O Hg
g h g h x
ρ ρ
+ ∆ − ∆ + [ ]
2 2
H O H O
g z g
ρ ρ
  − ∆
 
[ ] [ ]
2 2
B A Hg H O H O
p p h g z g
ρ ρ ρ
 
− = ∆ − − ∆
 
Remplazando datos y expresando como: 2 1 B A
p p p P
− = −
[ ]
2 1 1,30 9,80 13600 1000 2,0 9,80 1000
p p x x x x
− = − −
2 1
2 1
140924
140924
14,38
1000 9,80
p p Pa
p p
g x
ρ
− =
−
= =
Reemplazando en la Ec. (1)
( )
2 2
5,36 3,098
2,0 14,38 0
2
B
H
g
−
= + + +
17,35
B
H mca
=
Calculo enforma de energia:
17,35 9,8 170,03 /
B
Ws H g x J kg
η = = =
4-77
Calculo de potencia:
( ) ( ) 170,03 1000 0,1 17003 / ( )
J
Potencia Ws m Ws Q x x J s Watts
kg
η η ρ
 
= = = =
 
 
Potencia = 22,8 Hp , 1Hp = 745,7 Watts
5-1
CAPÍTULO V
BOMBAS Y COMPRESORAS
Problema 5.1.-
La característica de la bomba se muestra en la figura (b). Para el sistema mostrado en la
figura (a) determinar: a) El caudal de operación del sistema, b) la carga y la eficiencia
desarrollada por la bomba, y c) la potencia requerida en Hp.
5-2
Problema 5.2
En figura No 2a se muestra el esquema de una tubería simple con bombeo. En la figura
2b se muestran la curva característica de la bomba instalada en la tubería. Calcule el
caudal que circula por la tubería. ¿Cuál es la potencia requerida?. La tubería tiene un
diámetro de 8 pulgadas de acero comercial. Los coeficientes de perdidas menores son:
entrada k = 0,5, check k = 4,5, codo = 0,8, válvula k = 1,2, salida k =1,0, uniones k =
7,0
5-3
Problema 5.3.
El agua de proceso de la Planta Piloto de Jugos y Conservas de Frutas, de la Facultad
de Ingeniería Química y metalurgia,-UNSCH, es bombeado desde un deposito de
almacenamiento que se encuentra a presión atmosférica hasta un tanque que trabaja a
presión con un caudal de alimentación constante (Fig. 3). Al abrir la válvula de la
tubería DE, el agua fluye a la planta con un caudal de 1,7E-3 m3/s. La temperatura del
agua es de 20 o
C.
Calcular: el caudal que circula a través e las tuberías de la línea: AB y BC desde el
momento en que la válvula DE esta abierta:
Datos:
Presión atmosférica = 1+E5 Pa
Tubo AB: diámetro = 0,05 m
Longitud = 2,0 m
Accesorios: 1 válvula de asiento
1 codo de 90o
1 bomba
Tubo BC: diámetro = 0,03 m
Longitud = 40 m
Accesorios: 3 válvulas de asiento
5 codos de 90o
1 filtro, k = 3,2
Tubo DE: diámetro 0,03 m
Longitud = 12 m
Accesorios: 1 válvula de asiento
Curva característica de la bomba
Q(l/s) 0 0,1 0,2 0,3 0,4 0,5 0,7 1,0 2,0 3,0 4,0 5,0
H(m) 52 52 52 52 51 50 49 57 39 31 22 11
5-4
Esquema de instalación:
Fig. 3.
Problema 5.4.
Un aceite ( 3
820 /
kg m
ρ = ) se bombea entre dos tanques de almacenamiento por una
tubería con las siguientes características: 2440
L m
= ; 200
D mm
= , 0,005
f = y
12,5
K =
∑ . El tanque superior está 32m más arriba que el inferior. Utilizando los
datos que se proporciona para la bomba, determine:
a) La descarga del aceite en la tubería.
b) La potencia que debe tener la bomba.
Q (L/s) 0 15 30 45 60 75 100
H (m) 55 54 53 52 49 44 35
η 0 0,4 0,6 0,7 0,75 0,7 0,5
Problema 5.5
Se bombea agua desde un río hasta el tanque de una cierta fábrica. El sistema de
bombeo consiste de 55 metros de tubería de 3 pulg. SCH 40 en la succión y 214 metros
en la sección de descarga.
Cuando el nivel del tanque cae por debajo del punto de control se envía un señal,
comienza a funcionar la bomba y esta envía agua hasta que el nivel se establece. Para el
sistema se usa una bomba centrífuga con las características indicadas. Determinar:
5-5
a) Condiciones de operación: caudal, altura de carga y eficiencia
b) Potencia de accionamiento.
Características de la bomba
Q(m3
/h) 0 4,5 9 13,5 18 23 27 32 36
H(m) 80 80 67 49,0 33 19 8,5 3,0 1,5
η 0 43 60 60,0 56 50 43 37 30
Problema 5.6
De un tanque cerrado provisto de un respiradero a la atmósfera se desea bombear agua a
la temperatura de 20 o
C hacia una torre de absorción. El nivel del líquido en el tanque se
encuentra a 7 m sobre el eje de la bomba, el cual transporta 20m3
/h.
La conexión de entrada de agua en el tope de la torres se halla a 20 metros sobre el nivel
del eje de la bomba.
La línea de succión consiste de tubería estándar de 2 pulgadas (5,08 cm) de diámetro
nominal SCH 40 y 40 metros de longitud, posee 4 codos estándar y una válvula de
compuerta abierta.
La línea de descarga también es de acero de 2 pulgadas (5,08 cm) de diámetro nominal
SCH 40 y 60 metros de longitud, tiene 2 codos estándar, 2 T usadas como codo y una
válvula de control, la presión manométrica en la torre de absorción es de 137,9 kPa.
Datos para el agua:
Densidad = 998 kg/m3
Viscosidad = 1,005x10-3
kg/m.s
5-6
Determinar:
a) La carga total del sistema (∆H)
b) La potencia desarrollada por la bomba
c) El NPSH
Datos:
1. Datos de la tubería:
Diámetro nominal 2 Pulg. SCH 40, Diámetro interno: Di = 52,5 mm.
Rugosidad = 4,6x10-5
m.
2. Propiedades del agua: T = 20 o
C.
Densidad = 1000 kg/m3
Viscosidad = 1,0x10-3
kg/m s
Presión de vapor, pv = 2,337 kPa
3. Accesorios: Ki
Codo estándar = 0,35
Válvula compuerta abierta = 0,17
Ensanchamiento repentino = 0,96
T usada con L = 1,0
Válvula control expresado como resistencia = 5 m
5-7
Problema 5.7.-
La instalación para la refrigeración de diferentes zonas de un horno se representa
esquemáticamente en la figura. Se precisa bombear 7,2 m3
/h de agua desde un estanque
hasta el horno y una zona de desagüe libre para comprobar su circulación. La longitud
de la conducción es de 120 metros y su diámetro 50 mm; rugosidad relativa, 0,00003.
La conducción tiene dos válvulas de compuerta y 5 codos y la perdida de presión que
origina el sistema de refrigeración del horno es de 4 metros de columna de agua.
Determínese:
a) Potencia de la bomba a instalar.
b) Si se dispone de una bomba de las características que se dan a continuación,
estudiar si es posible su utilización.
Q(m3/h) 0 4 8 12
H(m) 6,0 5,9 5,5 4,4
Motor: 10 CV, 1500 rps
Problema 5.8.-
Cálculo de las características de una bomba centrífuga a partir de datos de prueba
Se muestra el sistema de flujo utilizado para probar una bomba centrífuga a una
velocidad nominal de 1750 rpm. El líquido es agua a 80 ºF y los diámetros de los tubos
5-8
de succión y de descarga son de 6 pulg. Los datos medidos durante la prueba se
proporcionan en la tabla. El motor es alimentado a 460 V, es trifásico, tiene un factor de
potencia de 0,875 y una eficiencia constante de 90 por ciento.
Relación Presión Presión Corriente Velocidad
de flujo
(gpm) de succión (psig)
de descarga
(psig)
de motor
(amp)
de la bomba
(rpm)
0 -3.7 53.3 18.0 1750
500 -4.2 48.3 26.2 1745
800 -4.7 42.3 31.0 1749
1000 -5.7 34.3 36.0 1750
1100 -6.2 31.3 37.0 1747
1200 -6.7 27.3 37.3 1752
1400 -7.7 15.3 39.0 1750
1500 -8.4 7.3 41.5 1753
Calcule la carga neta entregada y la eficiencia de la bomba a una relación de flujo
volumétrico de 1000 gpm. Grafique la carga, potencia y eficiencia de la bomba como
funciones de la relación de flujo volumétrico.
Problema 5.9.-
Una mezcla etanol agua que procede de la fermentación alcohólica de azúcares se
bombea desde un tanque abierto a la atmósfera hasta una columna de rectificación que
trabaja a 207734 N/m², para ello se dispone de una bomba centrífuga con un rodete de
5 ’’ que gira a 3450 rpm, con una conducción de succión de 4 ’’ de tamaño nominal, una
conducción de descarga de 3 ’’ de tamaño nominal y 32 m de longitud equivalente total
(ver curva característica de la bomba a varias velocidades de giro).
Si el punto de alimentación a la columna de rectificación se encuentra a 15 m sobre el
nivel de la mezcla en el tanque, determinar:
5-9
a) El caudal de circulación y la potencia de accionamiento de la bomba.
b) Cuál sería el caudal de circulación si el rodete de la bomba generara a 2880 rpm
para mantener el mismo rendimiento que en el apartado anterior.
Datos y notas:
Considere que la mezcla etanol-agua posee las mismas propiedades físicas del agua pura
a 20 ºC.
Conducción de acero: 4 ’’ tamaño nominal: diámetro interno = 0,1023 m
3 ’’ tamaño nominal: diámetro interno = 0,0779 m
Rugosidad = 4,572E-5 m
Problema 5.10.-
M. Talwar (Chem. Eng. Aug., 69, 1983) propone analizar los circuitos con bombas
centrífugas en la forma siguiente:
5-10
Las características de la bomba la estima mediante una expresión de la forma:
2
H a bQ cQ
= + + (1)
En la que H es la carga que puede suministrar la bomba y Q es el caudal con el que
opera. Mediante los datos que aporta la casa constructora de la bomba fácilmente se
pueden hallar los valores de a, b y c o también con la determinación experimental del
valor de H a caudal nulo y a un valor finito.
La característica del sistema la estima mediante:
2
H Z KQ
= + (2)
En la que K se evalúa con la ecuación de Fanning o empíricamente mediante la
determinación de la perdida de presión en el sistema para un valor conocido del caudal.
El valor de Z corresponde a la carga de altura con el que opera el sistema.
La igualación de (1) y (2) permitirá hallar el valor de Q de régimen.
Calcúlese las condiciones de operación en los casos siguientes:
a) Dos circuitos en serie (K1 y K2). Z nulo en ambos casos.
b) Dos circuitos en paralelo (K1 y K2) Z nulo en ambos casos.
c) Dos circuitos en serie (K1 y K2) Z igual en ambos.
d) Dos circuitos en paralelo (K1 y K2) Z igual en ambos
Problema 5.11
Una bomba que tiene las características de la tabla Nº 1 transfiere benceno a 26,7 ºC
(densidad = 879 kg/m3
y viscosidad = 0,65x10-3
) desde el depósito 1 al 2 (Fig. 22). La
longitud total de la tubería incluido los accesorios es de 305 metros. El diámetro
interior del depósito es de 6 metros. Para el sistema propuesto se desea determinar:
a) El flujo a través de la tubería en m3
/s.
b) Los amperios que consume el motor si éste presenta las siguientes características:
voltaje = 220, corriente trifásica, factor de potencia = 0,9
5-11
c) El tiempo necesario para hacer descender el nivel de líquido en el depósito 1 desde 3
metros por encima del punto A hasta 0,60 metros por encima del mismo punto.
Tabla. Curva característica de la bomba
Q(m3
/s) 0 0,001 0,002 0,003 0,004 0,005 0,006 0,007 0,008
∆H (m) 55 56 57 56 55 54 51 48 40
η 0 30 45 56 60 65 70 72 65
Problema 5.12.
En una fabrica industrial de Pisco ubicada cerca del mar, una caldera es alimentada con
agua caliente por una bomba que aspira desde el estanque abierto de condensado. La
Fig. (A) muestra esquemáticamente la instalación. A partir de los siguientes datos
calcular el NPSH disponible:
Datos: Caudal = 300 l/min = 0,005 m3
/s
H = 90 m.c.a (altura dinámica total entregada por la bomba)
p1 = 101300 N/m2
Z = diferencia de nivel = 1 m. c.a.
f
h
∑ = 1,4 m.c.a.
5-12
T = 90 o
C
pv = 70 710 N/m2 ( presión de vapor)
ρ = 965,2 kg/m3
NPSHrequerido = 3,5 m.c.a (dato obtenido de fabricante)
Problema 5.13
En una planta química se necesita bombear 15 000 kg/h de agua a 65 o
C a través de una
conducción de acero de 3 pulgadas de diámetro nominal (catalogo 40). La instalación
esquematizada es como se muestra:
Determinar la máxima altura Z que puede colocarse el punto de aspiración de la bomba
respecto del nivel de deposito de succión sin que se produzcan problemas de cavitación.
5-13
La longitud equivalente entre dicho deposito y la bomba es de 40,52 metros y la presión
atmosférica del lugar es de 96 000 N/m2.
Datos: T = 65 oC
3
4
2
980 /
4,5 10 /
25000 /
3" 40 77,9
v
kg m
x kg ms
p N m
Cat Di mm
ρ
µ −
=
=
=
= =
5.14. Problema
Determine la (NPSH)disponible para el sistema que se muestra en la siguiente Fig. El
fluido es agua a 80 oC y la presión atmosferica es de 101,8 kPa. El nivel de agua en el
tanque es de 2 metros debajo de la entrada de la bomba. La tubería vertical de la linea
de succion es una tubería cedula 40 de 3 pulgadas, mientras la tubería horizontal es una
tubería cedula 40 de 2 pulgadas y 1,5 metros de largo. El codo es de tipo radio largo.
Desprecie la perdida en el reductor. La válvula de pie y el filtro tienen un coeficiente de
resistencia de 3,0 basado en la velocidad en la linea de 3 pulg. La velocidad de flujo es
de 300 l/min.
5-14
CAPÍTULO V
SOLUCIÓN DE PROBLEMAS
Problema 5.1.-
Una manera de resolver el problema sería planteando la ecuación de balance de
energía mecánica entre los puntos (1) y (2):
( )
( )
2 2
1 1 2 2
1 2
1 2
2 1
2 1
1 2
................
...
(1)
2 2
:
:
(2)
:
45 11,3 36 20,6
6,18744
101325
1
35
14,
........
7
.....
B
B
p V p V
z H z hf
g g g g
Simplificaciones
V V
Luego
p p
H z hf
g
Donde
z z z ft ft
z m
lb atm
p x x
lb
pulg
pulg
ρ ρ
ρ
+ + + = + + +
≅
−
= ∆ + +
∆ = − = + − =
 
 
∆ =
=
∑
∑
2
2
2
2 2 2
241250
1
101325
1
10 68928,57
1
14,7
N
N
m
atm m
N
lb atm N
m
p x x
lb
pulg atm m
pulg
=
= =
5-15
Propiedades del agua:
62,4
lb
ρ = 3
ft
0,453
1
kg
x
lb
3
1 ft
x
( )
3
3
2 1
2 2
0,3048
998,24
:
68928 241250
17,5969
998,24 9,81
. . . .
(2):
6,18744 17,5969
11,4094
:
4 11,409
2 2
.
. . . .
B
B
T
B F acc
m
kg
m
Luego
p p
m de columna de agua
g x
Reemplazando en la ecuación
H hf
H hf
ó
L V V
H f K
D g g
ρ
ρ
=
− −
= = −
= − +
= − +
 
 
= + −
 
 
   
∑
∑
∑
2
4
4 11,4094
2
T
B F acc
L
V
H f K
g D
 
 
= + −
 
 
 
 
∑
Datos:
( )
( )
[ ]
2
2
650 650 1300 396,24
2 0,6096
0,4 0,9 1,0 2,3
396,
...............
24
4 2,3 11,4094
2 0,6096
2600 2,3 11,4094 3
.( )
2
T
i
acc
B F
B F
L ft ft m
D ft m
K
V
H xf
g
V
H f
g
= + = =
= =
= + + =
 
 
= + −
 
 
 
 
= + −
∑
Ecuación del sistema.
Por otro lado se sabe que:
( ) ( )
2 2
3,4262591
0,6096
4 4
3,4262591 ...
flujo
i
Q Q Q
V xQ
A D m
m
V xQ
s
π π
= = = =
=
De los datos de la curva característica de la bomba se tiene:
5-16
3 3
2
3
2
3
2,831684659 10
:
3,4262591 2,831684659 10
0,0 ...
97020853 (4
............. )
m ft
Q x Q
s s
Luego
m ft
V x x Q
s s
m ft
V Q
s s
−
−
   
=
   
   
 
 
 
=  
 
 
   
 
 
=  
 
   
Por otro lado se sabe que:
( )
( )
( )
2
2
4
2
2
6
6
Re
0,3048
0,1217 10
1
1,13063 10
:
0,6096
Re
1,13063 10
Re 539168,42 ................
97 (5)
xVxD VxD VxD
m
ft
x x
s ft
m
x
s
Luego
Vx
x
xV
ρ
µ ν
µ
ρ
ν
ν
−
−
−
= = =
 
 
 
=
=
=
=
Para acero comercial:
( )
5
5
5
4,6 10
4,6 10
7,545931 10
0,6096
i
x m
x m
x
D m
ε
ε
−
−
−
=
= =
TABULACIÓN DE DATOS:
Q [m³/s] V (m/s) Re E/D f F HB (m) HB (ft)
Ec (4) Ec (5) ---------- (Cheng) Ec (3) ----------
20 1.94042 1046211.619 7.54593E-05 0.00326 -9.33999 -30.64301
40 3.88083 2092423.238 7.54593E-05 0.00309 -3.48468 -11.43266
60 5.82125 3138634.858 7.54593E-05 0.00301 6.10192 20.01944
70 6.79146 3661740.667 7.54593E-05 0.00299 12.29154 40.32658
80 7.76167 4184846.477 7.54593E-05 0.00298 19.41141 63.68572
100 9.70209 5231058.096 7.54593E-05 0.00295 36.44090 119.55676
120 11.64250 6277269.715 7.54593E-05 0.00293 57.18912 187.62834
5-17
De la figura:
3 3
50 15,24
72 2,0388
76%
:
15,24 9,81 998,24 2,0388 304273,1059
304273,1059 304273,1059
400359
......................
,3499
0,76
..
400,359
.
: .. .
3
B B
B B
B
B
H ft H m
ft m
Q Q
s s
Energía
W H xgx xQ x x x
W Watt
W KW
Potencia
η
η ρ
η
= 
→ =
= 
→ =
=
= = =
= = =
=
1 0,74570
536,8
.... .
9
.
537
hp KW
Potencia hp hp
=
= ≈
5-18
Problema 5.2
Para la figura mostrada se plantea la ecuación de balance de energía mecánica entre los
puntos 1 y 2
1
1
p
z
g
ρ
+
2
1
2
V
g
+ 2
2
B
p
H z
g
ρ
+ = +
2
2
2
V
g
+
1
2
1 2
:
0
0
:
(1)
B f
hf
Simplificaciones
V
V
p p presion atmosferica
Luego
H z h
+
≅
≅
= =
= ∆ +
∑
∑
( ) ( )
2 2
2
:
4
2 2
4 (2)
2
f f f
tubo recto accesorios
f F
F
Donde
h h h
V V
L
h f K
D g g
V L
hf f K
g D
= +
Σ
 
= +
 
 
 Σ 
 
= +
 
 
 
 
∑ ∑ ∑
∑ ∑
∑ ∑
5-19
La ecuación (2) se plantea de esta manera porque el diámetro tanto de la succión y
descarga de la bomba es constante, luego a ecuación característica de la bomba es:
2
4 (3)
2
B F
V L
H Z f K
g D
 Σ 
 
= ∆ + +
 
 
 
 
∑
Donde:
( )
( )
( )
27 4 23
150 250 25 425
8 lg. 0,2032
2
0,5 4,5 7,0 2 0,8 1,2 0,5 15,3
salida check uniones codo valvula entrada
Z m m
L m m
D pu
K K K K K K K
x
∆ = − =
Σ = + + =
= =
Σ = + + + + +
= + + + + + =
Reemplazando datos:
[ ]
2
2
425
23 4 15,3 23 106,60 0,7646 (4)
2 0,2032
B F F
V
H f V f
g
 
 
= + + = + +
 
 
 
 
Donde: a temperatura de T = 20 o
C
3
3
998,23 /
1,005 10 /
kg m
x kg m s
ρ
µ −
=
=
( ) 2 2 2
3
3
3
4 4
30,83
/ 4 (0,2032)
998,23 0,2032
Re 201831.18
1,005 10
0,046 10 , ( )
0,046 10
0,0002263
0,2032
f
Q Q Q xQ
V Q
A D D
V D x xV
xV
x
x m acero comercial
x
D
π π π
ρ
µ
ε
ε
−
−
−
= = = = =
= = =
=
= =
Los resultados se resumen en la siguiente tabla:
Q
(m3
/s)
V = 30,83xQ
V( m/s)
Re=201831,18xV
( -- ) D
ε fF B
H
∆
(mca)
0,020 0,6166 124 449,10 0,0002263 4,6319E-3 23,47
0,040 1,2332 248 898,21 0,0002263 4,2140E-3 24,84
0,060 1,8498 373 347,31 0,0002263 4,0332E-3 27,08
5-20
0,080 2,4664 497 796,42 0,0002263 3,9295E-3 30,19
0,100 3,0830 622 245,52 0,0002263 3,8615E-3 34,18
0,120 3,6996 746 694,63 0,0002263 3,8132E-3 39,02
0,140 4,3162 871 143,73 0,0002263 3,7771E-3 44,74
0,160 4,9328 995 592,84 0,0002263 3,7490E-3 51,32
0,180 5,5494 1 120 041, 95 0,0002263 3,7265E-3 58,78
Graficando los datos se obtiene las condiciones de operación de la bomba
De la figura se tiene: Q = 0,087 m3/s
H = 31,0 m
η = 77 %
Potencia = (HB g Q ρ )/ η = (31,0x9,81x0,087x1000)/0,77 = 34 360,5 Watt
Potencia = 46 hp
5-21
Problema 5.3
Para resolver este problema primero analizamos y seleccionamos los puntos necesarios
para plantear la ecuación de balance de energía mecánica:
1. No se conoce el caudal que circula entre A-C
2. Se abre la válvula entre D-C y se conoce el caudal de Q = 1,7x10-3
m3
/s
3. El caudal entre A-C ≠ D-C
4. Existe un incógnita a determinar que es la presión p2 = p3 (tanque de presión)
Con el análisis planteado a continuación formulamos los siguientes balances de energía
mecánica:
Balance de energía entre los puntos 1-2
2 2
1 1 2 2
1 2
2 2
B
p V p V
z H z hf
g g g g
ρ ρ
+ + + = + + + ∑
1
2 1
1
:
0
18 3 15
Simplificaciones
V
z z m
p Presion atmosferica
≅
− = − =
=
2
2 1 2
,1 2
:
2
B f
Luego
p p V
H z h
g g
ρ −
−
= ∆ + + + ∑
(1)
5-22
donde:
,1 2 , ,
f f AB f BC
SUCCION DESCARGA
h h h
−
Σ = Σ + Σ (2)
Para resolver la ecuación anterior es necesario calcular p2
Balance de energía entre los puntos 3 – 4
3
z
2
3 3
2
p V
g g
ρ
+ + B
H
+
2
4 4
4 , 3 4
2
f
p V
z h
g g
ρ −
= + + + ∑
Datos y simplificaciones:
3
4
5
4
3
0
2,0
1 10
0
0
B
z
z m
p patm x Pa
V
H
=
= −
= =
=
=
Luego la ecuación final es:
2
3 4 4
4 , 3 4
2
f
p p V
z h
g g g
ρ ρ −
= + + + ∑ (3)
donde:
2 2
4 4
,3 4 ,sin , 4
2 2
f f gular f regular F ac
V V
L
h h h f K
D g g
−
   
 
Σ = + = + Σ
   
 
    
O es lo mismo escribir como:
( )
2
4
,3 4 ,
2
f tubo ac tubo F
V L
h K K K f
g D
−
   
Σ = + Σ =
   
 
 
Reemplazando el valor de, ,3 4
f
h −
Σ , en la Ec. (3)
( )
2 2
3 4 4 4
4
2 2
tubo ac
p p V V
z K K
g g g g
ρ ρ
 
= + + + + Σ  
 
Factorizando:
5-23
( )
2
3 4 4
4 1
2
tubo ac
p p V
z K K
g g g
ρ ρ
 
= + + + + Σ  
 
(4)
Cálculos:
1. Calculo de velocidad en el tramo de la tubería: B-C:
( ) ( )( )
3 3
3
4 2
2
1,7 10 /
1,7 10
2,40 /
0,03
4 4
f
Q x m s
Q Q x
V m s
A D
π π
−
−
=
= = = =
2. Calculo de numero de Reynolds y el factor de de fricción de Faning:
T = 20 o
C
3
3
1000 /
1 10 /
kg m
x kg m s
ρ
µ −
=
=
3
3
1000 2,40 0,030
Re 72 10
1 10
V D x x
x
x
ρ
µ −
= = =
De tablas se determina la rugosidad para tubería galvanizada
3
3
3
3
0,15 10
0,15 10
5 10
0,03
7,62 10
F
x m
x
x
D
f x
ε
ε
−
−
−
−
=
= =
=
3. Calculo de K:
Tubo recto: 3 12
4 4 7,62 10 12,19
0,03
tubo F
L
K f x x
D
−  
= = =
 
 
Accesorio:
.
0,50
3,25
. 3,75
entrada
val asiento
acc
K
K
K
=
=
Σ =
5-24
Reemplazando los datos en la Ec. (4):
( )
2
5
3 2, 40
1 10
1,5 1 12,19 3,75
1000 9,8 2 9,8
p x
g x x
ρ
 
= − + + + +  
 
3
5
3
5
3 2
1,5 10,204 4,978 13,682
13,6820 13,6820 1000 9,8 1,34 10
1,34 10
p
g
p g x x x Pa
p x Pa p
ρ
ρ
= − + + =
= = =
= =
Ahora resolvemos la Ec. 1 y para lo cual descomponemos las pérdidas en la succión y
descarga (Ec. 2):
,1 2 , ,
2 2
2 2
4 4
2 2 2 2
f f AB f BC
SUCCION DESCARGA
BC BC BC
AB AB AB
AB AB BC BC
AB BC
SUCCION DESCARGA
h h h
L V V
L V V
f K f K
D g g D g g
−
Σ = Σ + Σ
 
   
     
   
= + Σ + + Σ
 
   
     
   
       
   
   
O es lo mismo expresar como:
2
2
,1 2 , ,
2 2
BC
AB
f tubo AB AB tubo BC BC
SUCCION DESCARGA
V
V
h K K K K
g g
−
 
 
   
Σ = + Σ + + Σ
 
     
   
(5)
,
,
4
4
AB
tubo AB AB
AB
BC
tubo BC BC
BC
L
K f
D
L
K f
D
 
=  
 
 
=  
 
Por otro lado, por la ecuación de continuidad se tiene:
2 2
4 4
AB BC
AB AB BC BC AB AB BC BC
Caudal Q Q
Q V A V A V D V D
π π
= =
   
= = = =
   
   
5-25
O es lo mismo escribir como:
4
2
2
2 2
BC BC
AB
AB
V D
V
g g D
 
=  
 
Reemplazando en la Ec. (5):
4
2 2
,1 2 , ,
4
2
,1 2 , ,
2 2
:
2
BC BC BC
f tubo AB AB tubo BC BC
AB
DESCARGA
SUCCION
BC BC
f tubo AB AB tubo BC BC
AB
V D V
h K K K K
g D g
factorizando
V D
h K K K K
g D
−
−
 
   
   
Σ = + Σ + + Σ
 
   
   
   
 
 
 
  
Σ = + Σ + + Σ
 
    
   
2
4
2
2
,1 2 , ,
2
BC
BC
f tubo AB AB tubo BC BC
AB
pero V V
D
V
h K K K K
g D
−
 
 

 

 
 
=
 
 
   
   
Σ = + Σ + + Σ
 
 
     
   
 
 
Reemplazando esta expresión en la ecuación (1)
4
2 2
2 2
, ,
:
2 2
BC
B tubo AB AB tubo BC BC
AB
Luego
D
V V
p
H z K K K K
g g g D
ρ
 
 
 
∆  
   
= ∆ + + + + Σ + + Σ
 
 
     
   
 
 
Factorizando
4
2
2
, ,
1
2
BC
B tubo AB AB tubo BC BC
AB
D
V
p
H z K K K K
g g D
ρ
 
 
 
∆  
   
= ∆ + + + + Σ + + Σ
 
 
     
   
 
 
(6)
Datos: DAB = 0,05 m, DBC = 0,03m Z
∆ = 15 m ,
5
(1,34 1,0) 10 34 000
p x Pa
∆ = − =
4. Calculo de factor de fricción:
Tramo A-B
Supongamos Reynolds totalmente turbulenta, mayor a 50 000 (del diagrama de
Moody se observa casi una recta) y
5-26
3
0,15 10
0,003
0,05
x
D
ε −
= =
fAB = 0,00717 , Ecuación de Chen
Calculo de K:
Tubo recto: 3 2,0
4 4 7,17 10 1,912
0,03
AB
tubo F
AB
L
K f x x
D
−  
= = =
 
 
Accesorio:
,90
.
0,50
0,65
3,25
. 4,40
o
entrada
codo
val asiento
acc
K
K
K
K
=
=
=
Σ =
Tramo B-C
En forma semejante supongamos Reynolds totalmente turbulenta, cercana a 900 000
(del diagrama de Moody se observa casi una recta) y
3
0,15 10
0,005
0,03
x
D
ε −
= =
fAB = 0,00785 , Ecuación de Chen
Calculo de K:
Tubo recto: 3 40
4 4 7,85 10 41,86
0,03
BC
tubo F
AB
L
K f x x
D
−  
= = =
 
 
Accesorio:
,90
: 3 3,25 9,75
:5 0,65 3,25
3,2
0,03
0,45 1 2 0,29
0,05
16,49
o
valvula de asiento
codo
filtro
contraccion
acc
K x
K x
K
K
K
=
=
=
 
 
= − =
 
 
 
 
Σ =
Reemplazando datos
[ ] [ ]
4
2
2
34000 0,03
15 1 1,922 4,4 41,86 16,49
1000 9,8 2 0,05
B
V
H
x g
 
   
 
= + + + + + +
 
   
 
  
 
(7)
5-27
{ }
2
2
2
2
15 3,46 60.16 18,46 3,06
2
B
V
H V
g
 
= + + = +
 
 
(8)
Pero,
( )
( ) ( )
2 2
2 2
2 6 2
2 2 2
4 4
/
4
2,0 10 (9)
(0,03)
4 4
Q
V Q A
D
Q Q
V x Q
D
π
π π
= =
= = ≈
Reemplazando el valor de , 2
2
V , en la Ec. (8), resulta la siguiente expresión:
6 2
18,46 6,12 10
B AC
H x Q
= +
A continuación para determinar el punto de operación se calcula diferentes valores de
HB para diferentes valores dados de Q
Q (m3
/s) H(m): Bomba HB (m):sistema calculado
0 52 18,46
0,2x10-3
52 18,70
0,4 x10-3
51 19.43
0,7 x10-3
49 21.46
1,0 x10-3
57 24.58
2,0 x10-3
39 42.94
3,0 x10-3
31 73.54
De la siguiente figura se observa que el caudal de operación corresponde a:
Q = 1,9 x10-3
m3
/s
Con esta información calculamos las velocidades en los tramos A-B y B-C:
( )
( )
3
2
3
2 2
1,9 10
0,968 /
(0,05)
4
1,9 10
2,688 /
(0,03)
4
AB
BC
Q x
V V m s
A
y
x
V V m s
π
π
−
−
= ⇒ = =
= = =
5-28
Curva caracteristica de la bomba
0
10
20
30
40
50
60
70
80
0 0.5 1 1.5 2 2.5 3 3.5
Caudal, Q (L/s)
H
(metros)
Ahora verificamos la suposición hecha de flujo totalmente turbulento:
Tubería A-B:
4
3
,
3
0,968 1000 0,05
Re 4,84 10
1 10
0,0072
3 10
AB
F AB
x x
x
x
Ecuacion de Chen f
x
D
ε
+
−
−

= = 

⇒ =



=

Tubería B-C:
4
3
,
3
2,688 1000 0,03
Re 8,06 10
1 10
0,00788
5 10
BC
F BC
x x
x
x
Ecuacion de Chen f
x
D
ε
+
−
−

= = 

⇒ =


=


Corrección de Ktubo:
,
,
2
4 0,0072 1,15
0,05
40
4 0,00788 42,02
0,03
tubo AB
tubo BC
K x
K x
 
= =
 
 
 
= =
 
 
5-29
Reemplazando en la Ec. (7)
[ ] [ ]
[ ] [ ]
[ ] [ ]
4
2
2
4
2
2
4
2
2
34000 0,03
15 1 1,15 4,4 42,02 16,49
1000 9,8 2 0,05
0,03
18,46 1 1,15 4,4 42,02 16,49
2 0,05
0,03
18,46 1 5,55 58,51
2 0,05
B
B
B
V
H
x g
V
H
g
V
H
g
 
   
 
= + + + + + +
 
   
 
  
 
 
   
 
= + + + + +
 
   
 
  
 
 
   
 
= + + +
 
   
 
 

{ }
2
2
18,46 60.22
2
V
g
 
= +  
 


2
2
18,46 3,072
B
H V
= +
Reemplazando el valor de V2 (Ec.9):
6 2
18,46 6,144 10
B AC
H x Q
= +
A continuación calculamos la curva del sistema:
3 3
3 3
3 3 3 3
3 3
3
2,0 10 / 43,04 . . .
1,8 10 / 38,34 . . .
1,0 10 / 24,60 . . . 1,85 10 /
0,3 10 / 19,01 . . .
0 / 18,46 . . .
AC
AC
Q x m s H m c a
x m s H m c a
x m s H m c a Q x m s
x m s H m c a
m s H m c a
−
−
− −
−

= ⇒ =

⇒ = 

⇒ = ⇒ =


⇒ = 

⇒ = 
Graficando estos resultados en grafica de la curva característica de la bomba se ha
determinado:
3 3
1,85 10 / 39.49 . . .
AC B
Q x m s y H m c a
−
= =
Como se puede apreciar no hay una variación apreciable con los resultados obtenidos
suponiendo flujo completamente turbulento, por tanto, no hay necesidad de realizar otra
corrección.
5-30
Problema 5.4-
Balance de energía:
1
1
p
z
g
ρ
+
2
1
2
V
g
+ 2
2
p
H z
g
ρ
+ = +
2
2
2
V
g
+
2
1 2
1 2
2
2 2
2
. . .
:
0 ( )
:
32 4
2 2
32 4
2
acc
acc
hf
Simplificaciones
z Plano de referencia
V V
P P
Luego
H z hf
L V V
H f K
d g g
V L
H f K
g d
+
=
≅
≅
= +
 
= + +
 
 
 
 
= + +
 
 
 
 
∑
∑
∑ ∑
∑ ∑
[ ]
2
2
2
:
2440
200 0,20
0,005
2440
32 4 0,005 12,5
2 0,20
32 256,5 32 13,0734
2
Donde
L m
D mm m
f
V
H x
g
V
H V
g
=
= =
=
 
 
= + +
 
 
 
 
= + = +
( )
2
2
4
4
Q Q
Q VxA V
A d
Q
V
d
π
π
= 
→ = =
=
Luego se tiene:
Q [m³/s] 0 0.0150 0.0300 0.0450 0.0600 0.0750 0.1000
V 0 0.4775 0.9549 1.4324 1.9099 2.3873 3.1831
H 32 34.9804 43.9215 58.8233 79.6858 106.5091 164.4606
Curva del sistema:
Q [m³/s] 0 0.015 0.03 0.045 0.06 0.075 0.1
H 32 34.9803639 43.9214555 58.8232749 79.685822 106.509097 164.460617
H 55 54 53 52 49 44 35
η 0 40 60 70 75 70 50
5-31
Q vs H , Q vs η
0
20
40
60
80
100
120
140
160
180
0 0.02 0.04 0.06 0.08 0.1 0.12
Q (m³/s)
H,
η
(m)
H
H
η
3
0,04
55
68%
óptimo
óptimo
óptima
m
Q
s
H m
η
=
=
=
Problema 5.5.-
Datos: Longitud total de tubería = 55 +214 = 269 m
Diámetro succión = Diámetro descarga = 3 pulg SCH 40
Material: Supongamos fierro galvanizado, también puede ser PVC
pesado.
Accesorios y conexiones no señala el problema, eso significa que las
pérdidas singulares son despreciables respecto a la pérdida regular.
Esquema para el balance de energía:
Balance de energía mecánica para el sistema:
5-32
1
1
p
z
g
ρ
+
2
1
2
V
g
+ 2
2
B
p
H z
g
ρ
+ = +
2
2
2
V
g
+
1 2
1
2 1
2
2
.......................
:
0
23 3 20
:
(1)
2
:...
.............. 1
..
B
regular singular
singular
regular
regular
hf
Simplificaciones
P P Presión atmosférica
V
z z z m
Luego
V
H z hf
g
Donde hf h h
h
hf h
h
+
= =
=
∆ = − = − =
= ∆ + +
= +
 
= −
 
 
 
∑
∑
∑
∑
De acuerdo al problema se supone que:
0,0
sing
reg
h
h
≃
Luego:
2
4 .
2
T
reg F
L V
hf h f
D g
 
= =  
 
∑
La ecuación (1) se reduce a:
2 2
2
.......................
4
2 2
1 4 (2)
2
T
B F
T
B F
L
V V
H z f
g D g
L
V
H z f
g D
 
= ∆ + +  
 
 
 
= ∆ + +  
 
 
 
Datos:
2 1
3
3
3
55 214 269
23 3 20
3'' : 77,9
: 0,15 ( )
......................
0,15
: 1,93 10
77,9
20º 99
...
8 /
1,005 10
T
L m
z z z
D SCH Tabla Di mm
Rugosidad absoluta mm fierro galvanizado
mm
Rugosidad relativa x
D mm
T C kg m
x
ε
ε
ρ
µ
−
−
= + =
∆ = − = − =
= 
→ =
=
= =
= 
→ =
= / .
kg m s
Resultados de cálculo:
5-33
Caudal
Q(m³/h)
Velocidad,
V(m/s)
Re=ρxVxD/u ε/D fF HB (m)
.0 0.0000 0.00 0.00193 0.00000 20.0
4.5 0.2623 20288.32 0.00193 0.00742 20.4
9.0 0.5245 40576.64 0.00193 0.00675 21.3
13.5 0.7868 60864.97 0.00193 0.00648 22.9
18.0 1.0491 81153.29 0.00193 0.00633 25.0
27.0 1.5736 121729.93 0.00193 0.00617 30.9
32.0 1.8650 144272.51 0.00193 0.00612 35.2
36.0 2.0981 162306.58 0.00193 0.00608 39.1
CURVA DE BOMBA CENTRÍFUGA
HB vs Q y Hs vs Q
0
10
20
30
40
50
60
70
80
90
0 10 20 30 40
Q (m³/h)
Carga
H
(m),
η
HB (m)
H (m)
η (%)
De la figura se tienen los siguientes valores:
a) Punto de operación de la bomba
25
20,5 ³/
52%
H m
Q m h
η
∆ =
=
=
b) Calcular la potencia de accionamiento de la bomba
5-34
3
3
:
25 9,81 245,25
245,25 245,25
471,63
0,52
471,63 998 20,5
B
B
B B
Potencia requerida
J
nW Hxg x
kg
J
W
kg
J kg m
N W x xQ
kg m h
η
ρ
= ∆ = =
= = =
 
= =  
 
1
.
h
3600
2680,32
2680,32
B
B
s
N W
N W
 
 
 
=
=
1
745,7
hp
W
3,59 3,6
3,75 4,00
B
B
N hp hp
N hp
= ≈
= −
Problema 5.6.-
1. Tubería:
Diámetro nominal = 2 pulg = 50,8 mm
Número de célula = 40
De tablas:
Diámetro interior: Di = 2,067 pulg = 52,5 mm
Área de la sección transversal: Ai = (π/4) (Di)² = 2,164 x 10-3
m²
2. Propiedades del agua a T = 20ºC.
5-35
Densidad: ρ = 1 x 10³ kg/m³
Viscosidad: µ = 1x10-3
kg/m.s (Pa.s)
Presión de vapor: Pv = 2,337 kPa
3. Balance de energía mecánica entre los puntos nivel del agua en el lado de succión
y la descarga de la tubería:
( )
2
2 1
1
2
1
2
(1)
2
:
(20 7) 13
101330 / ²
101330 137900 239230
0
0
.............
válvula
succ descarga
atm man
p V
HB z hf hf h
g g
Donde
z z z m m
p Pa N m
p p p kPa
V
V
ρ
 
 
= ∆ + ∆ + ∆ + + +
 
 
   
∆ = − = − =
=
= + = + =
=
≠
∑ ∑
4. Cálculo de pérdida de carga:
Lado de succión:
2 2
4
2 2
F
succión
L V V
hf f Kacc
D g g
 
= +
 
 
∑ ∑
De tablas determinamos los coeficientes de pérdida de accesorios:
Accesorios Ki Cantidad KT
Codo estándar 0,35 4 1,40
Válvula de compuerta abierta 0,17 1 0,17
Ksalida = 0,47
• Cálculo de velocidad:
3 2
........ .....
³
20 , 2,164 10
³
20
...
Q
V
A
m
Q A x m
h
m
h
V
−
=
= =
=
1h
3 2
3600
2,57
2,164 10
m
s
x m s
−
=
• Pérdida de carga por accesorios:
( )
( )
( )
2 2
2
2
...............
4 1
2 2
2,57
0,47 1,40 0,17
2 9,81
0,6867
2
....
salida codo vál
V V
Kacc K K K
g g
x
x
V
Kacc m
g
= + +
= + +
=
∑
∑
5-36
• Pérdida de carga por tramo recto:
2
4
2
:
Re,
F
F
L V
f
D g
Donde
f f
D
ε
 
 
 
 
=  
 
De tablas para tubería de acero:
5
2
5
4 3
2
4,6 10 0,046
5,25 10
4,6 10
8,7619 10 0,00087619 10
5,25 10
x m mm
Di x m
x m
x x
Di x m
ε
ε
−
−
−
− −
−
= =
=
= = =
Cálculo del número de Reynold:
3
1000 2,57 0,0525
Re
1 10
Re 134925 40 .........................
00 ( )
x xDi x x
x
Flujo turbulento
ρ ν
µ −
= =
= >
Empleando la ecuación de Cheng:
( )
3
2
2
3
2
5,3025 10
2,57
40
4 4 5,3025 10
2 0,0525 2 9,81
4 5,440
2
F
F
F
f x
L V
f x x x
D g m x
L V
f m
D g
−
−
=
 
 
=
   
   
 
=
 
 
Luego:
2 2
4
2 2
6,126
F
succión
succión
L V V
hf f Kacc
D g g
hf m
 
= +
 
 
=
∑ ∑
∑
En forma similar se calcula para el lado de descarga:
2 2
4
2 2
F
descarga
L V V
hf f Kacc
D g g
 
 
= +  
 
   
∑ ∑
Cálculo de pérdida de carga por accesorios:
5-37
2 2
exp
exp
2 2
2 2
:
0,96
0,35
1,00
codo T
codo
T
V V
Kacc K xK xK
g g
Donde
K
K
K
 
 
= + +
   
 
=
=
=
∑
( )
( )
2
2
2
2,57
0,96 2 0,35 2 1,0
2 2 9,81
1,2321
2
V
Kacc x x x
g x
V
Kacc m
g
 
= + +
 
 
 
=
 
 
∑
∑
Cálculo de pérdida de carga por tubo recto.
( )
( )
2
3
2
2
2,57
60
4 4 5,3025 10
2 2 9,81
5,25 10
4 8,16018
2
F
F
L V
f x x x x
D g x
x
L V
f m
D g
−
−
 
=
 
 
 
=
 
 
Luego:
1,232 8,16018 9,392
descarga
hf = + =
∑
Pérdida de carga por válvula de control se considera como el 30% de todas las
pérdidas de succión y descarga:
( )
0,30 6,126 9,39218
4,65
válvula
válvula
h
h m
= +
=
Se toma el siguiente valor:
5,0
válvula
h m
=
Reemplazando datos en la Ecuación (1):
( ) ( )
2
2,57
239230 101330
13 6,126 9,392 5,0
9,81 2 9,81
13 14,057 0,336 6,126 9,392 5,0
47,91
B
B
B
H
x
H
H m
−
= + + + + +
= + + + + +
=
4.4. Potencia desarrollada por la bomba:
5-38
2 3
47,91 9,81 1000
B
P H xgx xQ
m kg
P mx x
s m
ρ
=
=
3
20,0
m
x
h
1h
3600
2611,0
s
P Watts
 
 
 
=
0,00134102
1
hp
Watts
3,50
3,50
hp
P hp
=
=
4.5. Cálculo de NPSH:
[ ] [ ]
1
101330 2337
7,0 6,126
1000 9,81 1000 9,81
7,0 10,
..
33 6,126 0,238
10, .........
97 ..
atm V
succión
NPSH Carga total lado succión Carga presión de vapor
p p
NPSH z hf
g g
NPSH
x x
NPSH
NPSH m de columna de líquido
ρ ρ
= −
 
= + − −
 
 
 
= + − −
 
 
= + − −
=
∑
. //.
R
Problema 5.7.-
a) Cálculo de la potencia:
Balance de energía entre los puntos (1) y (2):
1
1
p
z
g
ρ
+
2
1
2
V
g
+ 2
2
B
p
H z
g
ρ
+ ∆ = +
2
2
2
V
g
+
1
2
1 2
1
2
:
0
5
0
0
hf
Simplificaciones
z
z m
P P Presión atmosférica
V
V
+
=
=
= =
=
≠
∑
5-39
2
2
2
2 2
.................... ...
:
(1)
2
: 4 4,0
2 2
...
B
Luego
V
H z hf
g
L V V
Donde hf f Kacc
D g g
∆ = + +
 
= + +
 
 
∑
∑ ∑
Pérdida por tubo recto Pérdida por accesorios Pérdida por refrigeración
Luego:
2 2 2
2
2
2
4 4,0
2 2 2
1 4 4,0 . //
.... .
.......
2
B
B
V L V V
H z f Kacc
g D g g
V L
H z f Kacc Ec a resolver
g D
 
∆ = + + + +
 
 
 
 
∆ = + + + +
 
 
 
 
∑
∑
La solución es directa.
Datos:
3 3 3
3
3
7,2 / 2,0 10 /
120
50
0,00003
20º 998
..........................
/
1,0 10
.. .
.. . /
.
Q m h x m s
L m
Di mm
D
A T C kg m
x kg m s
ε
ρ
µ
−
−
= =
=
=
=
= 
→ =
=
( )
3
2
2,0 10
0,050
4
1,02 /
f
Q x
v
A
v m s
π
−
= =
≅
Luego:
3
4
3
3
998 1,02 50 10
Re 50898 5,0898 10
1 10
0,00003 3 10 0,0052
xvxD x x x
x
x
x f
D
ρ
µ
ε
−
−
−
= = = =
= = 
→ =
Datos de accesorios:
Válvula de compuerta………………………= 2 x 0,13 = 0,26
Codos de 90º…………………………………= 5 x 0,74 = 3,70
ΣKacc = 3,96
Reemplazando datos:
5-40
( )
( )
[ ]
2
2
1,02 120
5 1 4 0,0052 3,96 4,0
2 9,81 0,050
1,02
5 54,88 4,0 11,91
2 9,81
B
B
H x x
x
H m
x
 
 
∆ = + + + +
 
 
 
 
∆ = + + =
( )
2
2 2
11,91 9,81 116,84
116,84
116,84
, 1,0
.......... .
116,
.........
84
B
m m
Ws H g mx
s s
J
Ws
kg
Ws
J
Ws
kg
η
η
η
η
= ∆ = =
=
= =
=
Potencia:
3
3
3
116,84 998 2,0 10
233,21 0,233
s
s
N W xm
J kg m
N W x xQ x
kg m s
J
N kW
s
ρ −
=
 
 
= =  
 
   
= =
: 1 1,341
Se sabe que kW hp
=
0,233
Potencia kW
=
1,341
1
hp
kW
0,3124
0,3124
hp
Potencia hp
=
=
b) La bomba disponible para 7,5 m3
/h da 5,65 m de H2O. Es evidente que no puede
utilizarse unida a un motor que gira a 1500 rpm. Si mediante un sistema de poleas
se cambia en número de revoluciones de operación de la bomba, se podría
alcanzar los 7,7 m de H2O.
2
2
1
2 1 1
2
.....................
11,7
5,6
11,7
. 1500
5,6
..
2170
rpm
rpm
η
η
η η η
η
 
=
 
 
= =
=
Se estima que con 1800 rpm y probablemente con el mismo motor, puede conseguirse
los 7,5 m3
/h con 7 m de H2O, ya que evaluando el rendimiento de la bomba en un 50%
se precisa 0,31/0,5 = 0,60 CV y se dispone de 1,0 CV.
5-41
Problema 5.8.-
Datos:
...........................
26º
6
: 460
0,90
cos 0,875
.........
..............................
succ desc
T C
D D D pulg
Corriente eléctrica V Voltios
η
φ
=
= = =
=
=
=
Balance de energía entre la succión y descarga de la bomba:
( )
2
2
:
2 0,6096
0
0
bomba
bomba
p V
H z hf
g g
Simplificaciones
z ft m
V D cte
hf
ρ
 
 
= ∆ + ∆ + ∆ +
 
 
   
∆ = =
∆ = =
=
Luego la ecuación se simplifica a:
p
H z
g
ρ
 
= ∆ + ∆ 
 
Reemplazando datos e introduciendo el factor de conversión:
( )
2 1
2
0,6096
p p lb
H
pulg
g
ρ
−
= +
1atm
x
 
 
 
2
14,7 lb
pulg
( )
2
101325
1
N
m
x
atm
 
 
 
A T = 20 ºC , ρ = 996,6 kg/m3
5-42
( )
( )
2 1
2 1
101325
0,6096
996,6 9,81 14,7
0,6096 0,7 ................
050 (1)
..
P P
H x
x
H p p
−  
= +  
 
= + −
Por otro lado se sabe que:
Potencia hidráulica (hp):
( )
( )
................... (2)
745,
.
7
..
Hxgx xQ W
Ph
W
hp
ρ
=
Potencia al freno (hp):
3 cos
(3)
745,7
.......
freno
xVolxAmpx x
P
φ η
=
Eficiencia: .....................
100 (4)
.......
freno
Ph
x
P
η
 
=  
 
 
A continuación calculamos para cualquier valor experimental de la tabla. Por ejemplo
sea el siguiente dato:
3
2
2
1
1000 6,3083 10
min
34,3
5,7
36,0
gal m
Q x
s
p psig
p psig
Amp
−
= =
=
= −
=
Reemplazando datos en la Ec. (1), (2), (3) y (4):
( )
2
0,6096 0,7050 34,3 5,7 28,80
28,80 9,81 996,6 6,3083 10
23,82
745,7
3 460 36,0 0,875 0,90
30,29
745 7
23,82
100 78,63%
30,29
teórica
freno práctica
H m
x x x x
Ph P hp
x x x x
P P hp
x
x
η
−
= + − − =
 
 
= = =
= = =
 
= =
 
 
A continuación para el resto de los datos experimentales se prepara la siguiente tabla,
utilizando las Ec. (1), (2), (3) y (4):
Q [gal/min] Q [m
3
/s] H (m) Ph (hp) Amp P práctica (hp) η
0 0 40.79 0.00 18.0 15.15 0.00
500 0.03154 37.62 15.56 26.2 22.04 70.57
800 0.05047 33.74 22.33 31.0 26.08 85.60
1000 0.06308 28.81 23.83 36.0 30.29 78.66
1100 0.06939 27.05 24.61 37.0 31.13 79.04
1200 0.07570 24.58 24.39 37.3 31.38 77.73
1400 0.08832 16.82 19.48 39.0 32.81 59.37
1500 0.09462 11.68 14.49 41.5 34.92 41.49
A continuación graficar los siguientes resultados:
5-43
- Q versus carga (H)
- Q versus eficiencia (η)
- Q versus Pfreno o práctica
Problema 5.9.-
Datos:
Línea de succión: 4'' 0,1023
di m
φ = 
→ =
Línea de descarga: 3'' 0,0779
di m
φ = 
→ =
2
1
2
4,572 10
10,5
32,4
101325 / ²
207734 / ²
succión
descarga
x m
L m
L m
P N m
P N m
ε −
=
=
=
=
=
Ecuación de balance de energía entre los puntos (1) y (2):
( )
2
2
1
2 1 2
2
2
:
0
, 0 ,
s
s succión descarga
p V
H z hf
g g
p V
H z hf hf
g g
Simplificaciones
z
z z positivo V V V
ρ
ρ
∆ ∆
∆ = ∆ + + +
∆ ∆
∆ = ∆ + + + +
=
= = =
∑
∑ ∑
5-44
( )
2 2
2 2
2 1 2 1
2 1 4 4
2 2 2
succ succ Desc Desc
s succión succión Desc Desc
succ Desc
V L V L
p p V V
H z z f K f K
g g g D g D
ρ
   
− −
∆ = − + + + + + +
   
   
∑ ∑
2
0
0
succ
Desc
Desc
K
K
V V
≅
≅
=
∑
∑
( )
2 2 2
2 1
4 4
2 2 2
Desc succ succ Desc Desc
s succión Desc
succ Desc
V V L V L
p p
H z f f
g g g D g D
ρ
   
−
∆ = + + + +
   
   
Por la ecuación de continuidad:
2
4
2 2
2 2
succ succ Desc Desc
Desc Desc
succ Desc Desc
succ succ
succ Desc Desc
succ
V A V A
A D
V V V
A D
V V D
g g D
=
 
= =  
 
 
=  
 
4
2
2 1
1 .4 4
2
Desc Desc succ Desc
s succión Desc
succ succ Desc
V D L L
p p
H z f f
g g D D D
ρ
 
 
−
 
∆ = + + + +
 
 
 
 
Supongamos que:
2
1
2
Desc
succ
Desc
V V
D D
D D
=
=
=
4
2
2 1 2 2 1 2
1 2
1 1 2
1 .4 4
2
s
p p V D L L
H z f f
g g D D D
ρ
 
 
−
 
∆ = + + + +
 
 
 
 
( )
[ ]
4
2
2
1 2
2
2
1 2
207734 101325 0,0779 10,5 32,4
15 1 .4 4
998,2 9,81 2 0,1023 0,1023 0,0779
25,8665 1 138,045 1663,67
2
s
s
V
H f f
x g
V
H f f
g
 
−  
∆ = + + + +
 
 
 
 
 
∆ = + + +
Rugosidad relativa:
5
4
1
1
1
5
4
2
2
2
2 2
1
1 2 1 1 1
2
1 2
1
4,572 10 4,4692 10
0,1023
4,572 10 5,369
...
06 10
0,07
.. ....
79
0,1023
; 1,7245
0 0 79
.
, 7
4
x
R x
D
x
R x
D
D
Q Q
V V V V V
A D
D
ε
ε
π
−
−
−
−
= = =
= = =
   
= = = = =
   
   
 
 
 
5-45
1
2
998,2
0,0010020 (T=20ºC)
D =0,1023m
D =0,0779m
=4,572E-5m
ρ
µ
ε
=
=
Resultados tabulados: Graficar Q Vs ∆H para interceptar con N=3450 rpm
Q [m
3
/s] V1 [m/s] Re1 (-) (Є/d)1 f1
0.0000 0 0 0 0
0.0025 0.304 30997.261 0.00044692 0.00614
0.0050 0.608 61994.522 0.00044692 0.00542
0.0075 0.912 92991.783 0.00044692 0.00509
0.1000 1.217 124026.948 0.00044692 0.00490
0.0125 1.521 154986.306 0.00044692 0.00478
0.0150 1.825 185983.567 0.00044692 0.00468
0.0175 2.129 216980.828 0.00044692 0.00461
0.0200 2.433 247978.089 0.00044692 0.00456
V2 Re2 (-) (Є/d)2 f2 ∆H
0 0 0 0 25.87
0.525 40705.055 0.000586906 0.00593 26.03
1.049 81410.110 0.000586906 0.00532 26.46
1.574 122115.165 0.000586906 0.00507 27.14
2.099 162869.993 0.000586906 0.00492 28.08
2.623 203525.274 0.000586906 0.00482 29.26
3.147 244230.329 0.000586906 0.00475 30.69
3.672 284935.384 0.000586906 0.00470 32.36
4.196 325640.439 0.000586906 0.00466 34.28
5-46
Problema 5.10
a) Dos circuitos en serie
( ) ( ) ( )
2 2 2
1 2 1 2 1 2
2
H H H Z K Q Z K Q Z K K Q
= + = + + + = + +
Para la bomba en serie con Z = 0 se tiene:
( ) 2
1 2
H K K Q
= +
Igualando esta expresión con la ecuación de la bomba:
( )
( )
( )
( )
2 2
1 2
2
1 2
2
1 2
1 2
0
4
2
a bQ cQ K K Q
c K K Q bQ a
b b a c K K
Q
c K K
+ + = +
− − + + =
± − − −
=
− −
b) Para dos bombas en paralelo
1 2
Q Q Q
= +
De la ecuación de la característica de la bomba:
1 H Z
Q
K
−
=
Luego para dos bombas en paralelo se tiene:
1 2 1 2
1 1 1 1
H Z H Z H Z
Q
K K K K
 
− − −
= + = +
 
 
 
De donde se obtiene:
2
2
1 2
1 1
Q
H Z
K K
= +
 
+
 
 
 
Igualando las dos ecuaciones con Z = 0
5-47
2
2
2
1 2
1 1
Q
a bQ cQ
K K
+ + =
 
+
 
 
 
Reordenando:
2
2
1 2
1
1 1
c Q bQ a
K K
 
 
 
− + +
 
 
 
+
 
 
 
 
 
 
2
2
1 2
2
1 2
1
4
1 1
1
2
1 1
b b a c
K K
Q
c
K K
 
 
 
± − −
 
 
 
+
 
 
 
 
 
 
=
 
 
 
−
 
 
 
+
 
 
 
 
 
 
c) Con Z igual en ambos (instalación en serie)
( )
( ) ( )
( )( )
( )
2 2
1 2
2
1 2
2
1 2
1 2
0
4
2
a bQ cQ Z K K Q
c K K Q bQ a Z
b b a Z c K K
Q
c K K
+ + = + +
− − + + − =
± − − − −
=
− −
d) Dos circuitos en paralelo (K1 + K2) Z igual en ambos
2
2
2
1 2
1 1
Q
Q bQ cQ Z
K K
+ + = +
 
+
 
 
 
5-48
( )
2
2
1 2
1
1 1
c Q bQ a Z
K K
 
 
 
 
− + + −
 
 
 
+
 
 
 
 
 
 
( )
2
2
1 2
2
1 2
1
4
1 1
1
2
1 1
b b a Z c
K K
Q
c
K K
 
 
 
± − − −
 
 
 
+
 
 
 
 
 
 
=
 
 
 
−
 
 
 
+
 
 
 
 
 
 
Problema 5.11
Esquema para plantear balance de energía
Una de las formas de plantear balance de energía entre los puntos A y B es como sigue:
2
2
s
p V
H z hf
g g
ρ
∆ ∆
∆ = ∆ + + + ∑
5-49
( )
( )
1 2
:
0
30,5
( tan )
3
A
B
A atm
B
Simplificaciones
z
z z m positivo
V V D cons te
p p g
p atm
ρ
=
= =
≅
= +
=
2
2 1
2
2 1
, 4
2
4
2
s B f F
s B F
p p L V
H z hf h f
g D g
p p L V
H z f
g D g
ρ
ρ
 
−  
∆ = + + =  
 
  
 
−  
∆ = + +  
 
  
∑ ∑
Reemplazando datos se tiene
30,5
atm
s
p
H
∆ = +
atm
p
−( ) 2
2
3,0 30,5
4
0,053 2
30,5 3,0 1173,234
F
s F
x g V
f
g g
H f V
ρ
ρ
+  
 
+  
 
  
∆ = − +
2
27,5 1173,234
s F
H f V
∆ = +
Calculo número de Reynolds y rugosidad relativa
( ) ( )( )
3
4
3
2
2
0,053 879
Re , Re
0,65 10
Re 7,1672 10
453,27 /
0,053
4 4
f
V D Vx x
x
x V
Q Q Q
V xQ m s
A D
ρ
µ
π π
−
= ⇒ =
=
 
= = = =  
( ) 3
453,27 / ,
0,15
0,002830 ( )
53
V xQ m s Q m s
mm
acero comercial
D mm
ε
= =
= =
5-50
a) Calculo de las condiciones de operación del sistema
Q(m3
/s) V (m/s) Re
D
ε F
f Hsist
0,0 0,0 0,0 0,002830 ( -- ) 27,50
0,002 0,90 64504 0,002830 0,006955 34,10
0,003 1,34 96040 0,002830 0,006797 41,81
0,004 1,74 124709 0,002830 0,006719 51,36
0,005 2,26 161978 0,002830 0,006657 66,87
De la grafica se obtiene las siguientes condiciones de operación:
3
55,0 . .
0,0044 /
H m c liquido
Q m s
=
=
Para el caudal de operación de Q = 0,0044 m3
/s, de la tabla de curva característica de la
bomba se obtiene una eficiencia aproximada de: 62 %
η =
b) Los amperios que consume el motor:
( )
( )
( )
55 9,81
, 870,24 /
0,62
sist
sist
H g x
Ws H g Ws J kg
η
η
∆
= ∆ ⇒ = = =
5-51
Calculo de potencia:
( )
( )
( ) ( ) ( ) ( )
3
3
( / )
870,24 879 0,0044 3665,74 3,4
3,4
10
3 cos 3 0,220 0,90
P Ws m Ws Q J s Watt
J kg m
P Watts Kw
kg m s
kW
Amp amperios
x kV x x x
ρ
φ
= = =
 
   
= = ≅
 
   
 
   
= = ≅
c) Tiempo de drenaje para hacer descender hasta 2,40 metros.
Volumen a descargar: 2 2 3
6 2,40 67,86
4 4
T
V D h x m
π π
   
= = =
   
   
Tiempo de drenaje:
3
3
67,87
15425 4,2
0,0044 /
V m
t segundos horas
Q m s
= = = =
Problema 5.12 ( cavitacion)
De acuerdo a la instalación de la figura, se plantea la siguiente ecuación de cavitación:
( ) 1
1
v
f
disponible
p
p
NPSH z h
g g
ρ ρ
 
= + − Σ −
 
 
5-52
Donde:
1 101300
10,7 . .
965,2 9,81
1,4 . . .
70110
7,40
965,2 9,81
1,0 . .
f
p
m c a
g x
h m c a
pv
g x
z m c a
ρ
ρ
= =
Σ =
= =
=
Reemplazando datos se tiene:
( ) ( )
10,7 1,0 1,4 7,4 2,9 . .
disponible
NPSH m c a
= + − − =
Por tanto:
( ) ( )
disponible requerido
NPSH NPSH
<
Bajo estas condiciones la bomba no podría funcionar bien y tendría serios problemas de
cavitación.
Posibilidades de solución:
1. Aumentar la altura de instalación: esto seria imposible porque el tanque esta
instalado sobre una estructura establecida y fija en dimensiones. Si se
incrementa z = 2 metros, (NPSH)disponible = 3,9, la bomba no cavita.
2. Disminuir la perdida de carga: esto podría lograrse aumentado el diámetro de la
tubería o retirando alguno accesorios que causan mayor perdida.
Problema 5.13
Se plantea la siguiente ecuación para resolver el problema de cavitación:
( ) 1
1
v
f
disponible
p
p
NPSH z h
g g
ρ ρ
 
= + − Σ −
 
 
5-53
Para el caso: cuando el ( ) 0
disponible
NPSH = , alcanza una máxima altura positiva,
entonces:
( )
( )( )
1
1
1
1
2
2
0
4
2
15000
3600 0,8915 /
980,6 0,00779
4
v
f
v
f
eq
f F
p
p
z h
g g
p p
z h
g
L v
h f
Di g
m
v m s
A
ρ ρ
ρ
π
ρ
 
= + − Σ −
 
 
 
−
= − Σ
 
 
 
Σ =  
 
= = =
5
4
3
Re 151338
4,572 10
5,869 10
0,0779
. 4,952 10
F
vDi
x
x
Di
Ec Chen f x
ρ
µ
ε −
−
−
= =
= =
=
( )
( )
2
3
3
0,8915
40,52
4 4,952 10 0,4173
2 9,81
77,9 10
f
h x x
x
x
−
−
Σ = =
Reemplazando datos:
96000 25000
0,4173 6,96
980 9,81
z m
x
−
= − =
5.14. Problema
Datos:
Caudal: Q = 300 l/min
Presión atmosférica = 101,8 kPa
5-54
T = 80 oC
3
4
971 /
3,50 10 /
kg m
x kg ms
ρ
µ −
=
=
Utilizando la Ecuación de NPSH disponible:
( ) 1
1
v
f
disponible
p
p
NPSH z h
g g
ρ ρ
 
= + − Σ −
 
 
Cálculo de pérdida de carga en la línea horizontal de 2 pulgadas:
Diámetro = 2 pulg. SCH40 , Di = 52,5 mm (tablas)
Af = 2.168x10-3
m2
( )
3
3
300 10
60
2,30 /
2,168 10
x
Q
v m s
Af x
−
−
= = =
3
4
5
971 2,30 52,5 10
Re 335 908,67
3,50 10
: 4,6 10
vD x x x
x
Acero comercial x m
ρ
µ
ε
−
−
−
= = =
=
5-55
5
4
3
4,6 10
8,761909 10
52,5 10
0,00500 ( )
F
x m
x
D x m
f ecuacion de Chen
ε −
−
−
= =
=
( )
2
2
3
2,3
1,5
4 4 0,005 0,15407
2 52,5 10 2 9,81
f F
L v
h f x x
D g x x
−
   
 
= = =
   
 
   
 
De tablas, para 2 pulgadas, fT = 0,019
( )
2
2
20 0,019 0,39
2,30
0,38 0,10246
2 2 9,81
T
codo
L
k f x
D
v
h k
g x
 
= = =
 
 
 
= = =
 
 
0,15407 0,10246 0,25653
f
h
Σ = + =
Cálculo de pérdida de carga en la línea vertical de 3 pulgadas:
Diámetro = 3 pulg. SCH40 , D = 77,9 mm (tablas)
Af = 4,768x10-3
m2
( )
3
3
300 10
60
1,04866 /
4,768 10
f
x
Q
v m s
A x
−
−
= = =
3
4
5
971 1,04866 77,9 10
Re 22 6633,1034
3,50 10
: 4,6 10
vD x x x
x
Acero comercial x m
ρ
µ
ε
−
−
−
= = =
=
5-56
5
3
4,6 10
0,00059
77,9 10
0,00478 ( )
F
x m
D x m
f ecuacion de Chen
ε −
−
= =
=
( )
2
2
3
1,04866
2,0
4 4 0,00478 0,0275
2 77,9 10 2 9,81
f F
L v
h f x x
D g x x
−
   
 
= = =
   
 
   
 
De tablas, para 3 pulgadas, fT = 0,18
( ) ( )
( )
2
2
20 0,18 0,36
1,04866
/ 0,36 3,0 0,188332
2 2 9,81
codo T
codo codo val filtro
L
k f x
D
v
h k k
g x
 
= = =
 
 
 
= + = + =
 
 
0,02751 0,188332 0,2158
f
h
Σ = + =
Luego:
, , 0,25653 0,2158 0,4723
f f horizontal f vertical
h h h
Σ = + = + =
Reemplazando en la ecuación de NPSH:
( ) 1
1
v
f
disponible
p
p
NPSH z h
g g
ρ ρ
 
= + − Σ −
 
 
1 101800
10,68709
971 9,81
4,9 . . .
v
p
g x
p
m c a
g
ρ
ρ
= =
=
5-57
( ) [ ]
( )
( )
2
2,3
10,68709 2 0,4723 4,9
2 9,81
3,145
disponible
disponible
NPSH
x
NPSH
= + − − −
=
Por tanto, una bomba operando en este sistema debe tener un (NPSH)requerido menor a
3,145 m
6-1
CAPÍTULO VI
FLUIDOS COMPRESIBLES
Problema 6.1 (Wilkes) Gas natural (metano, supuesto ideal) fluye estacionariamente a
55 o
F a través de una tubería horizontal de 12 pulgadas de diámetro y 20 millas de
longitud, con un factor de fricción de fF = 0,0035. Si la presión de entrada es 100 psia,
¿Cuál es la presión de salida que corresponde al máximo flujo a través de la tubería? Si
la presión actual de salida es 10 psia, ¿cual es la velocidad de flujo de masa del gas
(lbm/h)?
Problema 6.2 (Wilkes) Gas etileno es bombeado a través de una tubería de 6 pulgadas
de diámetro interno hasta una distancia de 5 millas a un flujo de masa de 2,0 lbm/s. La
presión de transporte al final de la tubería es de 2,0 atm absoluta, y el flujo puede ser
considerado isotérmica, a 60 o
F. Si fF = 0,0030, calcular la presión de entrada. Suponer
un comportamiento de gas ideal, y justifique cualquier suposición posterior.
Problema 6.3 (Costa Novella) En un reactor de oxidación que trabaja a 850 kN/m2
se
requiere 35 kg/s de aire. Si la toma del aire esta situada a 1 km del reactor y se utiliza
para impulsión un compresor con una presión con una presión de descarga de 980
kN/m2
. ¿Qué diámetro de tubería de acero deberá utilizarse para conseguir el caudal
deseado, suponiendo constante e igual a 293 K la temperatura del aire?
Datos:
Rugosidad del acero; 4,572E-5 m
Viscosidad del aire a 293 K = 1,8140E-5 kg/m s
Peso molecular medio de aire: 28,95 kg/ mol-kg
Problema 6.4 (Geankoplis propuesto). Se usa un compresor que opera
adiabáticamente pata comprimir 2,83 m3
/min de aire a 29,4 o
C y 102,7 kN/m2
a 311,6
kN/m2
.
a) Calcúlese la potencia necesaria con una eficiencia de 75 %. Calcúlese además, la
temperatura de salida.
b) Repítase para una compresión isotérmica.
6-2
Problema 6.5 (José Luis Otero) Caída de presión con flujo compresible. Se está
bombeando metano gaseoso a través de 305 m de una tubería de acero de 52.5 mm de
diámetro interior, a velocidad de 41,0 kg/m2
s.
La presión de entrada es p1 = 345 kPa abs. Suponga un flujo isotérmico a 288,8 K.
a) Calcule la presión p2 al final de la tubería. La viscosidad es 1,04 x l0-5
Pa.s
b) Calcule la velocidad máxima que se puede alcanzar en esas condiciones y
compárela con la velocidad del inciso a).
Respuesta: a) p2 = 298.4 k Pa, b) vmáx = 387.4 m/s, v2 = 20.62 m/s
Problema 6.6 (Levenspiel) Me irrita que los responsables mantengan tanto secreto
acerca del caudal de producción de su nueva planta de gasificación de carbón. Pero
quizá podríamos averiguarla nosotros mismos. Yo advertí que el gas producido (pm =
0,013, 5
10 / , 1,36
kg m s
µ γ
−
= = ) se envía a los usuarios industriales vecinos a través
de un tubo no aislado de 15 cm de d.i. y 100 m de largo. El manómetro en un extremo
del tubo marca 1 MPa absoluto. En el otro extremo marca 500 kPa. Yo me quemo
cuando lo toco, pero cuando lo salpico con agua no chisporrotea, de modo que supongo
que la temperatura es 87 o
C. ¿Querría usted estimar para mi el caudal de gas de carbón a
través del tubo, en toneladas / día y en m3
/s a 1 atm y 0 o
C?
Problema 6.7 (Levenspiel). Han de alimentarse 25 mol/s de etileno
( 5
1,2, 2 10 /
x kg ms
γ µ −
= = ) a un reactor que opera a 250 kPa desde un tanque de
almacenamiento a 60 o
C y 750 kPa. Este flujo ha de controlarse mediante un tubo de
descarga de 24 mm de d.i. de hierro comercial como se muestra en el esquema. ¿Qué
longitud de tubo de control se necesita?
6-3
Problema 6.8 (Coulson Richarson). Nitrógeno a 12 MN/m2
de presión es alimentado
a través de una tubería de acero de 25 mm. de diámetro a una planta de síntesis de
amoniaco a la velocidad de 0,40 kg/s.
a) ¿ cual es la caída de presión a través de 30 metros de longitud de tubería suponiendo
una expansión isotérmica del gas a 300 K?.
b) ¿ Cual es la cantidad de calor promedio por unidad de área de la superficie de la
tubería que deberá atravesar a través de la pared para mantener la condición
isotérmica?.
c) ¿Cual podría ser la caída de presión en la tubería si fuera perfectamente cubierta de
aislante.
Problema 6.9 (Levenspiel). Para nuestro proyecto de descomposición bioquímica de
paja de césped se necesita oxigenar la profunda tina de fermentación introduciendo
5 litros/s de aire a 2 atmósferas. E obtiene este aire mediante un compresor localizado a
100 m de distancia y a través de un tubo de acero de 0,1 m de diámetro interno. ¿Cuál
seria la presión a la entrada del tubo para garantizar este caudal?
Problema 6.10 (Ocon y Tojo). El hidrógeno empleado en una planta de síntesis de
amoniaco ha de entrar en los convertidores a 75 atmósferas. Si en el gasómetro
disponemos de hidrógeno a 90 atmósferas y la línea de conducción tiene una longitud
de 220 m, determínese el diámetro de tubería a emplear si el flujo de masa ha de ser de
60 kg/min, en condiciones isotérmicas a 27 o
C.
6-4
CAPÍTULO VI
SOLUCIÓN DE PROBLEMAS
Problema 6.1.
Esquema:
a). Supongamos el diámetro actual como Di = 12 pulgadas. La ecuación para calcular la
presión de salida correspondiente al máximo flujo es:
2
1 1
2 2
4 2ln 1
F
p p
L
f
D p p
∗ ∗
   
 
+ = −
   
 
     
2
1 1
2 2
Re :
2ln 1 4 F
ordenando se tiene
p p L
f
p p D
∗ ∗
     
− = −
     
 
   
Hacemos cambio de variable:
1
2
2
2
2
2ln 1 4
Re :
20 5280
2ln 1 4 0,0035
12/12
2ln 1479,4
F
p
sea X
p
L
X X f
D
emplazando datos
x
X X x
X X
∗
=
 
− = +  
 
 
− = +  
 
− =
6-5
Método de solución:
2
:
2ln 1479,4 0
Sea la funciono bjetiva
Fo X X
= − = =
Sea X Fo
20 -1085,39
40 113,22
35 -261,51
38 -42,67
39 34,27
38,5 -4,4513
38,56 0,1691
38,559 0,092
Luego la respuesta es:
38,56
X ≅
Por tanto,
1
2 2
100
, 2,59 Re .
38,56
p
p p psia sp
X
∗ ∗
= = ⇒ =
b). Considerando el segundo caso
( )
1 2
2 2
1 2
2
1
2
100 10 :
4 2ln
F
p psia y p psia el flujo de masa es
Mw
p p
RT
G
p
L
f
D p
= =
 
−
 
 
=
 
 
+  
 
   
Donde:
Mw p Mw
RT p RT
ρ
ρ = ⇒ =
Considerando isotérmica y a la condición de entrada:
6-6
1
1 1
1
3
2
16 , 55 460 515
10, 731
lg
o
f
o
Mw
p RT
Mw T F R
lb
R ft
pu mol lb R
ρ
=
= = + =
=
Entonces se tiene:
( )
2 2
1 2
2 1
1 1
2
4 2ln
F
p p
G
p p
L
f
D p
ρ −
 
=  
 
 
  +  
 
   
[ ]
[ ]
2 2
2
2
3
2 2 2
3 4 2
2
2
4 2
2
4 2
100 10
16 lg
10,731 515 1479,4 2ln 0,01
100 10
16
2
10,731 515 1479,4 2ln 0,01
89,1949
9,44
f
m
m
m
lb
pu
G
x ft
lb
G
x ft ft s
lb
G
ft s
lb
G
ft s
 
−
 
=
+
 
−
 
=
+
 
=  
 
 
=  
 
Luego el flujo de masa es:
2
2
12
9,44
4 12
7,4146 / , 26691,0 Re .
m
lb
m G A
ft s
lb
m lb s m sp
h
π
   
= =    
  
 
 
= =  
 
Este valor se puede verificar con la ecuación de Weymouth:
( )
2 2 2
2
4 F
Mw D
G p p
RT f L
 
 
= −
 
 
  
Resuelve y comprueba la diferencia.
6-7
Problema 6.2
Datos:
Di = 6 pulg. = 0,1524 m
L = 5 millas = 8046,72 m ; (1 milla = 5280 ft )
T = 60 o
F = 15,6 o
C = 288,6 K
p1 = ?
p2 = 2 atm (absoluta) = 202 650 N/m2
fF = 0,0030
m = 2 lbm/s = 0,90718 kg/s , ( 1 lbm = 0,45359 kg )
Ecuación para flujo isotérmico compresible:
( )
2 2
1 2
2
1
2
(1)
4 2ln
:
F
p p
Mw
G
RT p
L
f
D p
Mw p
donde
RT
Mw
p RT
ρ
ρ
 
 
−
  
=   
 
   
+
 
 
 
 
 
 
 
=
=
Sustituyendo esta relación en la ecuación anterior:
( )
2 2
1 2
2 1
1 1
2
4 2ln
F
p p
G
p p
L
f
D p
ρ
 
 
−
  
=   
 
 
  +
 
 
 
 
 
 
 
6-8
Reordenando para la solución:
2
2
1
1
4 2ln
F
p
L Mw
f
D RT G p
 
= +
 
 
(2)
Reemplazando datos:
8046,72
4 4 0,0030 633,6
0,1524
F
L
f x
D
 
 
= =
   
   
Además se sabe:
3
3
28 /
82,057 10
Mw kg mol kg
m atm
R x
mol kgK
−
=
 
=  
 
Calculo de área: ( ) ( )
2 2 2
0,1524 0,01824
4 4
A Di m
π π
= = =
Calculo de flujo masico:
2
/ 0,90718/ 0,01824 49,73
kg
G m A
s m
= = =
G2
= 2473,64 kg2
/ m4
s2
Luego se tiene:
( )
2 3 2
3
4 2
1 28 /
82,057 10 288,6 2473,64
Mw kg molkg
RT G m atm kg
x K x
molkg K m s
−
 
=
 
 
−
 
 
 
Como factor de conversión se tiene:
2 2 2
2
1
1 101325 101325
101325
N kg m
atm
m s m
kg
s m
 
= =
 
 
=
6-9
( )
2
3 2
3
4 2
2
2
2
1 28 /
1
82,057 10 288,6 2473,64
101325
1
48,43
Mw kg molkg
RT G
m atm kg atm
x K x
kg
molkg K m s
ms
Mw
atm
RT G
−
−
 
=
 
 
 
 
 
−
 
 
 
 
 
 
 
=
 
 
Reemplazando los términos calculados en la Ec. (2):
2
633,6 48,43atm−
= ( )
2 2 2
1 2
p atm
−
1
2
2ln
p
 
+  
 
Solución por tanteo. Sea la función objetiva Fo
( )
2
1
1
2
48,43 4 2ln 633,6 0
Fo p
p
 
= − + − =
 
 
Suponer p1 Calcular Fo
5 -381,80
4 53,70
4,1 14,51
4,12 6,56
4,13 2,57
4,1361 0,1344
4,1362 0,094
Luego la presión a la entrada es:
1 4,1362 , Re .
p atm sp
=
Verificación:
Debemos verificar que p2 = 2 atm. se debe mantener por encima de
2 :
p dado por la ecuacion
∗
2
1 1
2 2
2ln 1 4 F
p p L
f
p p D
∗ ∗
     
− = +
     
 
   
(3)
6-10
Sea: 1
2
p
X
p∗
=
Entonces la Ec. (3) se transforma como:
( )
( )
2
2
2ln 1 633,6
2ln 634,6
X X
X X
− = +
− =
De igual forma resolvemos por tanteo:
Sea: ( )
2
2ln 634,6 0
Fo X X
= − − =
Suponer X Calcular Fo
40 958
30 258
20 -240
25 -16,0
25,35 1,55
25,32 0,039
Luego: 25,32
X =
Donde:
1
2
1
2
4,1362
25,32
p
X
p
p atm
p
X
∗
∗
=
= =
6-11
2
2 2 1
0,1633 ( )
, 4,1362 ( .)
p atm abs
puesto que p p la solucion de p atm abs es OK
∗
∗
=
> =
Problema 6.3.- (Costa Novella)
DATOS: p2 = 850000 N/m2
p1= 980000 N/m2
LT = 1000 m
m = 35 kg/s
Solución:
Primeramente verificamos la velocidad v2 en el punto (2)
2 2 /
f flujo
m x v x A v m x A
ρ ρ
= ⇒ =
ɺ ɺ
D
x
s
kg
v
4
/
35
2
π
ρ
=
Como D es incógnita, supongamos que la velocidad máxima es menor a 35 m/s, luego
podemos utilizar la ecuación de Weymouth.
2 2 2
1 2 4
R T L
p p x f G
M D
− =
Donde:
2
2
4
4
D
m
D
W
A
m
G
flujo π
π
=
=
=
4
2
2
2 16
D
m
G
π
=
1 2
Reactor
Comp
LT = 1000
6-12


















=
−
D
L
D
m
f
M
T
R
p
p 4
2
2
2
2
2
1
16
4
π
DATOS:
R = 8314, m = 35 kg/s
T = 293 K L = 1000 m
M = 28,95 kg/mol Kf
(980000)2
– (850000)2
= 5
2
2
1000
)
35
(
16
4
95
,
28
293
8314
D
x
f
x
F 











π
2,379x1011
= 4 fF 







5
11
10
671026
,
1
D
x
4 fF = 1,4236 D5
fF = 0,355918 D5
Se realiza por tanteo de aproximación sucesivos: D = (2,8096 fF )1/5
Se sabe que: [ ]
µ
ε
D
x
G
D
f
fF =
= Re
,
/
Re,
D
x
x
x
D
W
D
x
D
W
5
2
10
8140
,
1
35
4
4
4
Re −
=
=








=
π
µ
π
µ
π
Re = 2456630,643/D
ε/D = (4,572 x 10-5
)/D
Supuesto
fF
Calcular
(D)
Calcular
Re
Calcular
ε/D
Calcular
fF
0,005 0,4261 5765234 1,0729x10-4
0,003740
0,003743 0,4021 6108956 1,1369x10-4
0,003759
0,003759 0,4024 6103746 1,1359x10-4
0,003759
6-13
Problema 6.4
Datos:
3
3
2
1
2
2
2,83 / min 29 /
29,4 302,55 1,40 ( )
102,7 / 8314,34
311,6 /
o
Q m Mw kg molkg
T C K aire
J m Pa
p kN m R
molkg K molkg K
p kN m
γ
= =
= = =
 
 
= = =
 
 
   
=
Considerando condición adiabática calcula la potencia con una eficiencia de 75 %:
1
1 2
1
1
1
RT p
Ws
Mw p
γ
γ
γ
η
γ
−
 
 
   
− = −
 
 
   
−  
   
 
 
Reemplazando datos:
8314,34
1,40
1,40 1
J
mol kg
Ws
η
 
− =  
−
 
K
302,55 K
 
 
 
 
29
kg
mol kg
( )
( )
( )
1,40 1
1,40
311,6
1
102,7
113290,42
113290,42 113290,42
0,75
151053,9
kN
kN
J
Ws
kg
J J
kg kg
Ws
J
Ws
kg
η
η
−
 
  
   
 
−
   
 
 
  
 
 
 
− =  
 
   
   
   
− = =
 
− =  
 
Para calcular la potencia al freno se requiere calcular la masa del aire a partir de la
siguiente relación:
6-14
1
102700
,
Pa
p Mw
m Q
RT
ρ ρ
= ⇒ = =
29
kg
mol kg
3
8314,34
m Pa
 
 
 
 
mol kg K
302,55 K
 
 
 
 
3
3
3
1,1839
1min
1,1839 2,83 0,05584
min 60
kg
m
kg m kg
m
m s s
ρ
 
=  
 
  
 
= =
  
 
   
 
Luego la potencia al freno es:
( ) 151053,9
J
P Ws m
kg
= − = 0,05584
kg
x
 
 
 
 
( )
8434,84 11,3 Re .
J
W hp sp
s s
   
= = =
   
   
 
Calculo de temperatura de salida:
1 1
2 2 2
2 1
1 1 1
1,40 1
1,40
2
311,6
302,55 415,45 142,3 Re .
102,7
o
T p p
T T
T p p
T K C sp
γ γ
γ γ
− −
−
 
 
 
   
= ⇒ =
   
   
 
= = =
 
 
b). Considerando condición isotérmica:
( ) 1 2
1
2,3026
log
RT p
Ws
Mw p
η
 
− =  
 
Reemplazando datos:
( )
( )
2,3026 8314,34 302,55 311,6
log 96275,72
29 102,7
96275,72 96275,72
128 367,62
0,75
x x J
Ws
kg
J J
kg kg J
Ws
kg
η
η
 
 
− = =  
 
   
   
   
 
   
− = = =  
 
6-15
Luego la potencia al freno es:
( ) 128367,629
J
P Ws m
kg
= − = 0,05584
kg
x
 
 
 
 
( )
7168,0 9,6 Re .
J
W hp sp
s s
   
= = =
   
   
 
Por tanto, la compresión isotérmica requiere:
11,3 9,6
100 15,04%
11,3
x
−
 
=
 
 
15,04 % menos potencia.
Problema 6.5
a) Calculo de p2
Datos:
2
2
2 2
1
2
5
288 , 41,0 1681
345
?
52,5
1,04 10 /
kg kg
T K G G
s m s m
p kPa
p
Di mm
x kg m s
µ −
 
= = ⇒ =  
 
=
=
=
=
El problema es similar al casos anterior, con la única diferencia de que es necesario
calcular el factor de fricción empleando correlaciones de Chen.
Ecuación:
( )
2 2 2
1 2 2
1
1
4 2ln ( )
F
p
L Mw
f p p I
D RT G p
 
 
= − +  
 
   
De tablas se tiene:
6-16
5
5
4
4,572 10 ( )
4,572 10
8,70 10
0,0525
x m acero
x m
x
D m
ε
ε
−
−
−
=
= =
Calculo de número de Reynolds:
( )
( )
2
5
41,0 / 0,0525( )
Re 206971,15
1,04 10 /
0,005128 ( )
F
kg s m m
GD
x kg m s
f ecuacion de Chen
µ −
= = =
=
305
4 4 0,005128 119,16
0,0525
F
L
f x
D
 
= =
 
 
Calculo de:
2
3
3
2
2
2
2 3
1
16 ( tan )
82,057 10
288
1681
1 16 101325
40,80
82,057 10 288 1681
Mw
RT G
Mw me o
m atm
R x
mol kgK
T K
G
Mw x atm
atm
RT G x x x
−
−
−
−
  
=
  
  
=
 
=  
 
=
=
  
= =
  
  
Reemplazando en Ec. (I):
( )
2 2 2
2
119,16 40,803 40 2ln
3,40
p
p
 
= − +  
 
Solución por aproximaciones sucesivas: sea una función objetiva:
( )
2 2 2
2
40,803 40 2ln 119,16
3,40
p
Fo p
 
= − + −
 
 
6-17
Suponer p2 Calcular Fo
2 188
1,5 259
3,0 -14,96
2,5 338
2,9 9,04
2,95 -2,85
2,93 1,92
2,935 0,7334
2,938 0,016
Luego la respuesta es:
2 2,938 297,7 Re .
p atm kPa sp
= ≅
b). Calculo de velocidad máxima ( )
2 max
V
( )
( )
3
3
max
3 3
2
max 2 2
3 3 2 2
max
max
82,057 10 288
16
82,057 10 288
, 1 101325 /
16
101325
82,057 10 288
16 1
386,85 /
m atm
x
mol kgK
RT
V
Mw kg
mol kg
x m atm kg m
V atm N m
kg s m
kg m
x x m atm s m
V
kg atm
V m s
−
−
−
 
 
   
= =
   
 
 
 
 
−
= = =
 
 
 
−
 
 
=
=
Calculo de velocidad:
( )( )
2
2 2 2
3
2
2
2
297,7 10 16
41,0
8,314 288
20,61 / Re .
p Mw
G V V
RT
kg x x
V
m s
V m s sp
ρ
= =
 
=
 
 
=
6-18
Problema 6,6
Datos:
Mw = 0,013 kg/ mol g
p1 = 1 MPa = 1000 kPa
p2 = 500 kPa
T = 87 ºC = 360,15 K
Di = 15 cm = 0,15 m
µ = 1 x 10-5
kg/m.s
L = 100 m
γ = 1,36
G = ?
Supongamos que ocurre la condición adiabática. Para esta condición se utiliza la
siguiente ecuación:
1/2
1
2
1
1 1
2
1
2 1
1
2
4 ln
p
p
G p
p
L
f
D p
γ
γ
γ
γ
ρ
γ
+
 
 
 
 
−
 
 
 
 
+
   
 
 
 
=  
 
 
 
−  
 
 
   
 
(1)
Donde:
T
R
M
p w
1
1 =
ρ
3
1 3
1000000 13,0 /
7,58 /
8314,34 (360,15)
Pa x kg mol kg
kg m
m Pa
K
mol kg K
ρ = =
 
−
 
 
ρ1 = 4,34 kg/m3
6-19
( )
2
1 1 2 3 2 4
2
1 1 2 4 2
1000000 4,34 4340000
4340000 2083,26
N kg kg
p x
m m s m
kg kg
p
s m s m
ρ
ρ
 
= =
 
 
 
= =  
 
1,36 1 1,36 1,0
0,5762 , 1,7352
1 1,36 1 1,36
γ γ
γ γ
+ +
= = = =
+ +
Reemplazando datos en la Ec. (1):
( )
1/2
1,7352
2
0,5
2
500
2 0,5762 1
1000
2083,26
100 2 500
4 ln
0,15 1,36 1000
0,8059 2083,26 0,8059
2083,26
2666,67 1,0193 2666,
F
F
kPa
kPa
kg
G
m kPa
s m
f
m kPa
kg
G
s m f
 
 
 
−
 
 
 
 
   
 
 
=  
 
     
   
−  
   
 
 
   
 
 
 
= =
 
 
+
  
2
2
67 1,0193
1870,18
2666,67 1,0193
F
F
kg
s m
f
kg
G
s m
f
 
 
+  
 
=  
+  
donde , Re
F
f f
D
ε
 
=  
 
De tablas:
-4
= 0,046 mm
/D = 0,046 mm/ 150 mm = 3,0667 x 10
ε
ε
5
0,150
Re
1 10
Re 15000
G x Di G x
x
G
µ −
= =
=
6-20
Supuesto
fF
Calcular
(G)
Calcular
Re
ε/D Calcular
fF
0,00500 493,64 7404719 3,0667x10-4
0,003778
0,003778 561,46 8421944 3,0667x10-4
0,003775
0,003775 561,68 8425312 3,0667x10-4
0,003775
Luego el valor de 2
561,68
kg
G
s m
 
=  
 
Calculo de masa de gasificación de carbón:
( ) ( )
2 2
2
= 561,68 0,15 9,93 /
4 4
9,93
kg
m GA G Di m kg s
s m
m kg
π π
 
   
= = =
 
   
   
 
= / s
( ) 3600 s
1h
24 h
 
 
 
1
1 1000
Ton
dia kg
 
 
 
856 /
ton dia
 
≈
 
 
 
Expresado en m3
/s a las condiciones de 1 atm y T = 0o
C. Para estas condiciones
calculamos la densidad:
p Mw
R T
ρ =
3
1 3
3
1
101325 13,0 /
0,58 /
8314,34 (273,15)
0,58 /
Pa x kg mol kg
kg m
m Pa
K
mol kg K
kg m
ρ
ρ
= =
 
−
 
 
=
Luego el caudal será:
3
3
9,36 /
19,14 Re .
0,58 /
m kg s m
Q sp
kg m s
ρ
 
= = =  
 
6-21
Problema 6.7.-
Datos:
η = 25 mol/s = 0,025 kmol/s
p1 = 750000 Pa
p2 = 250000 Pa
T = 60 ºC = 333 K
Di = 24 mm = 0,024 m
µ = 2 x 10-5
kg/m.s
L = ?
γ = 1,2
Supongamos que el tubo de control es corto, por tanto ocurre la condición adiabática,
por que el tiempo de residencia del fluido es corto. Para esta condición se utiliza la
siguiente ecuación:
1/2
1
2
1
1 1
2
1
2 1
1
2
4 ln
p
p
G p
p
L
f
D p
γ
γ
γ
γ
ρ
γ
+
 
 
 
 
−
 
 
 
 
+
   
 
 
 
=  
 
 
 
−  
 
 
   
 
Elevando al cuadrado ambos miembros






















−






















−








−
=
+
1
2
1
1
2
1
1
2
ln
2
4
1
1
2
)
(
p
p
D
L
f
p
p
p
G
γ
γ
γ
ρ
γ
γ
Reordenando se tiene


























−








+






=
















−






+
γ
γ
γ
γ
ρ
γ
1
1
2
2
1
1
1
2
1
1
2
ln
2
4
p
p
G
p
p
p
D
L
fF
( ) )
(
ln
2
1
1
2
1
4
1
2
1
1
2
2
1
1 I
p
p
p
p
G
p
D
L
fF 















+




























−








+






=






+
γ
γ
γ
ρ
γ
γ
Donde:
T
R
M
p w
1
1 =
ρ
6-22
3
3
1 /
58
,
7
)
333
(
34
,
8314
/
28
750000
m
kg
K
K
kg
mol
Pa
m
kg
mol
kg
x
Pa
=







 −
=
ρ
ρ1 = 7,58 kg/m3
Cálculo de flujo másico
G = m/A
m = η x Mw = 0,025 (mol-kg/s) x (28 kg/mol kg)
m = 0,70 kg/s
Cálculo de área de flujo:
2
2
2
0004523
,
0
)
024
,
0
(
4
)
(
4
m
Di
A =






=
=
π
π
Luego, G = 0,70 (kg/s) / 0,0004523 = 1547,64 kg/s-m2
G2
= 2395206,185 kg2
/ s2
x m4
1/G2
= 4,1750 x 10-7
s2
m4
/ kg2
Calculo de factor de fricción, fF
[ ]
/ , Re
F
f f D
ε
=
De tablas ε = 0,046 mm
ε/D = 0,046 mm/ 24 mm = 1,9166 x 10-3
5
10
2
024
,
0
64
,
1547
Re −
=
=
x
x
Di
x
G
µ
Re = 1857168
De ecuación de Cheng:
fF = 0,005814
1,2 1 1,2 1
0,5454 , 1,8333
1 1,2 1 1,2
γ γ
γ γ
+ +
= = = =
+ +
( ) 2
4
2
7
3
2
2
1
1 )
10
1750
,
4
(
58
,
7
750000
1
kg
m
s
x
m
kg
x
m
N
G
p −






=






ρ
= 2,3734 N x s2
/ m kg 1N = kg m/ s2
= 2,3734 N/kg – m/s2
N/(kg-m/s2
)
6-23
( ) 3734
,
2
1
2
1
1 =






G
p ρ
Reemplazando los valores calculados en la Ec. (I)












+












−
=






750
250
ln
2
,
1
2
750
250
1
5454
,
0
2
3734
,
2
024
,
0
005814
,
0
4 x
L
x
0,969 L = 2,2434 - 1,8310 = 0,1667
0,969 L = 0,4123 
→ L ≈ 0,43 m
L = 43 m Resp.
Problema 6.8.
Calculo de densidad:
( )
1
1
2 2 6
1
6
3
1 3
12 / 12 106 / 12 10
28 / 12 10
134,70 /
8314,34
Mw p
R T
p MN m x N m x Pa
kg molkg x Pa
kg m
m Pa
mol kgK
ρ
ρ
=
= = =
= =
 
 
 
Calculo de área de sección transversal;
( )( ) ( )( )
2 2 2
0,025 0,00049
4 4
i
A D m
π π
= = =
Calculo de flujo masico, G ( kg/ s m2
):
2
2
2
2
2 4
2 4
6
2 2
0,40 /
/ 816,32 /
0,00049
666378,3424
1
1,50 10
kg s
G m A G kg s m
m
kg
G
s m
s m
x
G kg
−
= ⇒ = =
=
=
Calculo de factor de friccion, fF:
6-24
,Re
F
f f
D
ε
 
=  
 
Donde:
3
2
0,002
Re , 0,02 0,02 10
D
GxDi mN s kg
x
m ms
ε
µ
µ
−
=
 
−
 
= = =  
 
   
6
3
816,32 0,025
Re 1,01665 10
0,02 10
x
x
x −
= =
De ecuacion de Chen:
0,0059
F
f =
Aplicando la ecuación para flujo isotérmico:
( )
2 2
1 2
2
1
2
4 2ln
F
p p
Mw
G
RT p
L
f
D p
 
 
−
  
=   
 
   
+
 
 
 
 
 
 
 
De donde se reordena
( )
2 2 1
1 2
2
2
1
4 2ln ( )
F
p
L Mw
f p p I
D RT G p
 
 
= − −  
 
   
Calculo de las siguientes relaciones:
30
4 4 0,0059 28,32
0,025
F
L
f x
D
 
 
= =
   
   
( )
6 2 4 2
2 2 2 2
3
28
1
1,50 10 /
8314,34 300
kg
Mw kg m kg
molkg
x s m kg Pa
RT G s m s m
m Pa
K
mol kg
−
   
= ⇒ = =
   
 
   
 
 
6-25
11 2
2
1
1,6838 10
Mw
x Pa
RT G
− −
 
=
 
 
Reemplazando los datos en la Ec. (I)
11 2
28,32 1,6838 10
x Pa
− −
= ( ) ( )
2 2
6 2
2
12 10
x p Pa
 
−
 
 
6
2
12 10
ln
x
p
 
−  
 
Resolviendo por el método de sustitución:
( ) ( )
6
2 2
11 6
2
2
12 10
1,6838 10 12 10 ln 28,32 0
x
Fo x x p
p
−  
 
= − − − =
 
 
   
Suponer p2 Calcular Fo
11E+6 358,86
10E+6 712,36
11,90E+6 11,91
11,93E+6 - 0,12
11,929E+6 0,28
De estos resultados, el que mas se aproxima a cero es:
6
2
2
2
11,93 10
11,93 / , Re .
p x Pa
p MN m sp
=
=
Luego la caída de presión es:
( )
( )
2 6 2
1 2
2
1 2
12,0 11,93 / 2 0,07 / 0,07 10 /
70 / , Re .
p p MN m MN m x N m
p p N m sp
− = − = =
− =
b). Calor transferido a través de la superficie del tubo:
Balance de energía:
q W dH gdz VdV
δ δ
− = + +
Simplificaciones:
Tubo horizontal: dz = 0
Expansión isotérmica: dH = 0
6-26
No hay trabajo: 0
W
δ =
Luego se tiene:
q VdV
δ =
Integrando se tiene:
( )
2 2
2
2 2
1
2
m m kg J
q V
s s kg kg
  
= ∆ ⇒ = =
  
 
 
El flujo de calor transferido es:
( )
2
1
2
q V m
= ∆
Calculo de velocidad al final de alta presión:
m
m V A G V
A
ρ ρ
= ⇒ = =
2
3
816,32 /
6,06 /
134,70 /
kg s m
G
V m s
kg m
ρ
= = =
La velocidad en la planta se tomara como cero:
( )
2
6,06
0,40 /
2
7,34 / Re .
J
q x kg s
kg
q J s Watt sp
 
=  
 
= =
Por tanto, este pequeño valor de calor transferido nos indica que el cambio de energía
cinética es pequeño y la condición es casi adiabática. Si la tubería fuese perfectamente
aislado, el flujo de fluido podría ser adiabático y la caída de presión se calcula por la
siguiente ecuación:
c). Flujo adiabático:
1
2
1
1 1
2
1
2 1
1
2
4 ln
F
p
p
G p
p
L
f
D p
γ
γ
γ
γ
ρ
γ
+
 
 
 
 
 
 
−  
 
 
 
+
   
 
 
 
=  
 
 
 
−  
 
 
   
 
 
Elevamos al cuadrado ambos miembros y reordenando se obtiene:
6-27
( )
1
2
1 1 2
1
1
4 2 1
1
F
p
L
f p
D G p
γ
γ
γ
ρ
γ
+
 
 
 
 
 
     
= −
 
 
       
+
       
 
 
 
 
Calculo de las siguientes relaciones:
( )
3
1
6
1
1
134,70 /
12 10
1,4 )
kg m
p x Pa
para nitrogeno
ρ
γ
=
=
=
De donde
4 28,32
F
L
f
D
 
=
 
 
( ) 6 6
1 1 2
1
12 10 134,70 1,50 10 2424,60
p x x x x
G
ρ −
= =
1,40
0,5833
1 1,40 1,0
1
1,7142
γ
γ
γ
γ
= =
+ +
+
=
Reemplazando datos:
1,7142
2 2
6 6
1,7142
2
6 6
2
28,32 2424,60 2 0,5833 1 ln
12 10 1,40 12 10
2
28,32 2828,53 2828,53 1,4285ln
12 10 12 10
p p
x
x x
p p
x x
 
 
 
   
= − +
 
 
   
   
 
 
 
 
   
= − +  
 
 
 
Resolvemos por el método de sustitución:
1,7142
2
6 6
2
2828,53 2828,53 1,4285ln 28,32 0
12 10 12 10
p p
Fo
x x
   
= − + − =
 
 
 
 
6-28
Suponer p2 Calcular Fo
10E+6 730,62
11E+6 363,48
12E+6 -28,32
11,5E+6 170,62
11,93E+6 - 0,1034
11,9295E+6 0,097
Del resultado se tiene:
2 2
11,9295 6 /
p E N m
= +
( )
( )
2 6 2
1 2
2
1 2
12,0 11,9295 / 2 0,0705 / 0,07 10 /
70,5 / , Re .
p p MN m MN m x N m
p p kN m sp
− = − = =
− =
Problema 6.9.
Datos:
2
1
5 /
2
0,10 ( )
?
Q litros s
p atm
D m tubo de acero
p
=
=
=
=
Esquema para plantear la solución:
Utilizando la ecuación de Weymouth:
( )
2 2 2
1 2
4
F
f
RT L
p p f G
Mw D
   
− =    
   
6-29
Calculo de velocidad:
( )
3
3
2
2
2 2
5 10
0,6366 /
0,1
4
f
m
x
s
Q
V V m s
A
m
G V
π
ρ
−  
 
 
= = = =
 
 
 
=
Calculo de propiedades del aire a la temperatura de T = 20 o
C, de tablas:
1 3
2 2 3
6
1,205
2
1,205 2,41
1
18,1 10
kg
m
atm kg
atm m
kg
x
s m
ρ
ρ ρ
µ −
 
=  
 
   
= ⇒ =
   
 
 
 
=  
 
Luego:
2 2 3 2
2,41 0,6366 1,534206
kg m kg
G V G x
m s s m
ρ
   
= ⇒ = =
   
   
Calculo de numero de Reynolds:
6
3
1,534206 0,1
Re 8476,27
18,1 10
0,15 ( )
0,15 10
0,0015
0,1
0,0086 ( )
F
V D G D x
x
mm hierro galvanizado
x m
D m
f ecuacion de Chen
ρ
µ µ
ε
ε
−
−
= = = =
=
= =
=
:
Reemplazando en la ecuación de Weymouth:
6-30
( ) ( )
( ) ( )
2 2 2
1 2
3
2
2
1
4
4 8314,34
2 101325
F
RT L
p p f G
Mw D
m Pa
x
Mol kg
p x Pa
   
= +    
   
= +
K
293,15 K
 
 
 
 
( )
29
kg
mol kg
2
2
100
0,0086 1,534
0,1
kg
x
s m
   
   
   
 
 
 
 
( ) ( )
( )
( )
2 2
2
1 2 2
2 2
4 8314,34 293,15 100 1
2 101325 0,0086 1,534
29 0,1
1 1
1 , 1
x x Pa kg m
p x Pa x x x
s m
kg m N
N Pa
s m
   
= +   
 
  
 
⇒ = =
( )
2 10 2 2 10
1
1
4,10670225 10 6803444,443 4,107382594 10
202666,7855 2,0 Re .
p x Pa Pa x
p Pa atm sp
= + =
= =
Luego la presión a la entrega del tubo debe ser de 2,0 atm, con lo cual se garantizaría la
entrada del caudal de 5 litros/ s.
Problema 6.10
La solución de este problema se deja para el lector para que a manera de ejercicio pueda
resolver. El procedimiento de solución es similar al problema No 6.3.
7-1
CAPÍTULO VII
Problemas de Lechos Empacados
Problema 1
Se plantea rellenar una torre con anillos Rashing de las dimensiones mostradas a
continuación. Determinase el tamaño de la partícula Dp de este material de relleno.
Problema 2
Para un lecho fijo que contiene rellenos cilíndricos, donde el diámetro D del cilindro es
igual a la longitud h, hacer como sigue para un lecho que tiene una facción de porosidad
ε.
a) Calcular el diámetro efectivo
b) Calcular el número, n, de cilindros en 1 m3
de lecho
Problema 3
Un lecho de relleno está compuesto de cubos de 0,020 metros en uno de los lados, la
densidad global del lecho de relleno es de 980 kg/m3
. La densidad de los cubos de
sólido es de 1500 kg/m3
.
a) La porosidad, ε, el diámetro efectivo, Dp, la superficie específica, av
b) Repetir para la misma condición pero para cilindros que tiene un diámetro de D =
0,02 m y una longitud h = 1,5D
Problema 4
Yo predigo que los “Plátanos de Ceda” barrerán pronto el país. S e producirán pasando
óxido nitroso fácilmente absorbible (gas de risa) a través de un lecho relleno de plátanos
7-2
de San Francisco verdes pero ya bastante desarrollados. Para desarrollar este proceso se
necesitan saber la pérdida de presión en estos lechos de bananas. Para conseguir esto,
estimase el tamaño efectivo de plátano Dp a partir de las consideraciones mostradas a
continuación:
Problema 5
Un filtro cilíndrico de arena de 30 cm de diámetro y 1,5 m de altura que funciona por
gravedad está formado por una primera capa de arena de superficie específica igual a 50
cm., sobre la cual va una de igual peso que la primera, constituida por partículas de
superficie específica de 70 cm-1
. Calcule la cantidad de agua que puede filtrarse por
hora, si la superficie del agua a filtrarse se mantiene 30 cm por arriba de la superficie
del lecho filtrante, cuya porosidad es de 0,4.
7-3
Problema 6
Un reactor de Craqueo catalítico está constituido por un lecho de partículas esféricas de
0,5 cm de diámetro, cuya sección transversal es de 0,09 m2
y cuya altura es de 1,80 m.
Determinar la pérdida de presión que se produce en el lecho al hacer pasar una corriente
de vapor de hidrocarburo con una velocidad de 0,9 m/s.
DATOS: densidad del sólido: ρS = 1600 kg/m3
densidad del lecho: ρL = 960 kg/m3
densidad del vapor: ρV = 0,64
viscosidad: µ = 1,5 x 10-5
kg/m.s
Nota: La porosidad del lecho ε es:
1 1
1
.
L S S L
S
L
volumen huecos
vol lecho
ρ ρ ρ ρ
ε
ρ
ρ
−
−
= = =
Problema 7
Un lecho contiene 40 toneladas de arena de 1,5 micras, las que van a fluidizar con aire a
350 ºC y a una presión de 15 atm en un equipo cilíndrico de 3 m de diámetro. La
densidad de la arena es de 2500 kg/m3
. Calcule:
a) La densidad máxima del lecho. ρmB = 0,356 ρS [log dp -1], dp = micras (10 micras
≤ dp < 500 micras)
b) Porosidad mínima de fluidización: Єmf = (ρS - ρmB)/(ρL - ρa)
c) La altura mínima de fluidización
d) La caída de presión en el lecho fluidizado
7-4
e) La velocidad mínima que debe tener el aire para fluidizar
Problema 8
Un lecho contiene 40 toneladas de arena de 150 micras, las que se van a fluidizar con
aire a 350 ºC y a una presión de 15 atm en un equipo cilíndrico de 3 m de diámetro. La
densidad de la arena es de 2500 kg/m3
.
Calcular:
a) La máxima densidad del lecho
b) La porosidad mínima de fluidización, εmf
c) La altura mínima de fluidización, Lmf
d) La caída de presión a la condición mínima de fluidización
e) La velocidad mínima de fluidización
Problema 9
Aire a 150 kPa circulará hacia arriba a una velocidad superficial de 1 m/s a través de un
lecho de sólidos.
a) ¿Fluidizarán los sólidos?
b) Encuéntrese la presión de salida del aire para este caudal
DATOS: Sólidos: ρS = 4500 kg/m3
Dp = 1 mm
Lecho: εm = 0,36
L = 1 m de altura
D = 0,3 m de diámetro interior
7-5
Problema 10
A través de un lecho constituido por partículas de forma cúbica de 5 mm de arista, se
hace pasar un gas con velocidad de 1 m/s, referida al área de la sección normal al lecho.
La densidad de las partículas es de 1500 kg/m3
y la densidad global o aparente del lecho
es de 950 kg/m3
. Calcular:
a) La fracción de huecos, ε
b) El diámetro equialente, de
c) Pérdida de presión a través del lecho si este tiene 2 m de profundidad y si la
densidad del gas es de 0,7 kg/m3
y su viscosidad es de 0,02 cP.
Problema 11
Una partícula que tiene un tamaño de 0,10 mm, factor de forma 0,86, y una densidad de
1200 kg/m3
son fluidizados, utilizando aire a 25 ºC y una presión absoluta de 202,65
kPa. La fracción de vacíos a las condiciones mínimas de fluidización es 0,43. El
diámetro del lecho es 0,60 m y el lecho contiene 350 kg de sólidos.
a) Calcular la altura mínima de lecho fluidizado.
b) Calcular la caída de presión a las condiciones mínimas de fluidización
c) Calcular la velocidad mínima de fluidización
d) Utilizando 4 veces la velocidad mínima de fluidización, estimar la porosidad del
lecho.
Problema 12
El laboratorio de Operaciones Unitarias tiene un modelo frío de un horno de lecho
fluidizado de los que utilizan para la generación de vapor de agua a partir de la
combustión de carbón. La unidad consiste en un recipiente de 1 m2
de sección
transversal, que fluidiza roca triturada, aproximadamente de 4 mallas de tamaño con una
altura de lecho de 0,50. Se introduce en el compresor aire a temperatura ambiente
(20 ºC), pero se estima que el lecho, por si mismo, estaría más caliente,
aproximadamente a 40 ºC.
a) Determinar la velocidad mínima de fluidización
b) Se planea operar el lecho 4 veces la velocidad mínima de fluidización. Que tamaño
de compresor de una eficacia global del 60 % se necesitará. Supóngase que la
7-6
pérdida de presión a través de la placa de distribución y del ciclón será del 20 % y el
de 10 % de lecho, respectivamente.
DATOS: ρS = 2900 kg/m3
ε = 0,40
d = 5 mm εmf = 0,50
ф = 0,60 µaire (40 ºC) = 1,96 x 10-5
kg/m.s
Problema 13
Se desea secar guisantes en un lecho fluidizado de 0,56 m de diámetro en el que se
introduce una corriente de aire a 50 ºC y 152000 N/m2
de presión.
Los guisantes se introducen y se extraen continuamente del lecho, manteniéndose en su
interior en una masa de 108 kg de guisantes.
Calcular:
a) La velocidad mínima de fluidización.
b) La velocidad de arrastre.
c) El caudal de aire que habrá de utilizarse si se opera a 2,5 veces de velocidad mínima
de fluidización.
d) Pérdida de presión en el lecho.
Datos:
Diámetro medio de los guisantes = 6 mm
Densidad de los guisantes = 880 kg/m3
Viscosidad del aire = 2,15 x 10 -5
kg/m.s
Considérese que el aire se comporta como un gas ideal de peso molecular 28,9. En las
condiciones de mínima fluidización, la porosidad del lecho es igual a 0,41.
Problema 14
Se desea congelar fresas en un lecho fluidizado. Como agente de fluidización se
utilizará aire a -30 ºC. El diámetro del lecho es de 1,2 m y la porosidad del mismo en
las condiciones mínimas de fluidización es de 0,5. Se utilizará una velocidad superficial
de gas igual a 3 veces la velocidad mínima de fluidización.
Calcúlese:
7-7
a) La velocidad mínima de fluidización.
b) La velocidad de arrastre.
c) El caudal de aire necesario para la fluidización.
d) Supóngase que existiera una distribución amplia de tamaños de fresa. ¿Por debajo
de que diámetro serían arrastradas las fresas en las condiciones de operación
anteriormente citadas?
Problema 15
En el laboratorio de Operaciones Unitarias se halla instalado un equipo experimental de
un tubo de vidrio de 220 mm de diámetro interior, rellenado hasta una altura de 1000
mm con esferas de 10 mm., tal como se muestra en la siguiente figura. Se desea
determinar la velocidad superficial para el agua que circula a 20 ºC a través del lecho de
relleno si el nivel del agua se mantiene 3 m por encima de la parte superior del lecho.
Problema 16
Circula agua hacia abajo a través de un tubo inclinado 30º con respecto a la horizontal y
relleno una longitud de 10 m con esferas metálicas (dp = 1 mm, QS = 5200 kg/m3
, ε
= 0,34). Para una determinada velocidad de flujo la presión es 3 atm en los dos
extremos del lecho.
7-8
El tubo se coloca ahora horizontalmente, la longitud del relleno se reduce a 5 metros y
el agua circula a la misma velocidad a través del lecho. Si la presión a la entrada del
lecho es 3 atmósferas, ¿Cuál es la presión a la salida del lecho?.
Problema 17
Circula agua hacia abajo a través de un tubo vertical relleno 10 m con esferas metálicas
(dp = 1 mm, QS = 5200 kg/m3
, ε = 0,34). Para una velocidad de flujo determinada la
presión justo por encima del lecho es 3 atm. La presión justo por debajo del lecho es
también 3 atm.
Se coloca ahora el tubo a 45º con respecto a la vertical y se hace circular agua hacia
arriba con el mismo caudal a través del lecho. Si la presión justo a la entrada es 3 atm,
¿Cuál es la presión a la salida del lecho?
7-9
Problema 18
En el diseño de un intercambiador de calor gas- sólido de contacto directo de flujo
cruzado, los sólidos se pasan horizontalmente sobre una rejilla mientras el gas circula
hacia arriba a través del sólido. Supóngase que los sólidos calientes (dp = 10 mm,
ε = 0,4) se pasan a una velocidad de 0,2 m/s, formando una capa de 0,2 m de espesor,
mientras que el aire frío circula hacia arriba a través de la masa sólida desde una cámara
de alta presión (la presión es 2 kPa por encima de la atmosférica) hasta la atmósfera,
siendo la temperatura promedio de todo el intercambiador de 100 ºC. Encuéntrese la
dirección del flujo de aire a través de la capa del sólido, y dése esta como el ángulo que
forma respecto a la vertical θ, como se muestra en la figura.
7-10
SOLUCIÓN DE PROBLEMAS DE LECHOS EMPACADOS
Problema 1
P
v
V
Sp
a =
Por otro lado se sabe que para formas regular
v
a
Dp /
6
=
Cálculo de av
2
)
(
4
2
2
i
o D
D
L
Di
L
Do
Sp −
+
+
=
π
π
π
L
x
D
D
Sv i
o )
(
4
2
2
−
=
π
Datos: Do = 1 cm = 10 mm
Di = Do – 2(espesor) = 10 – 2x1 = 8 mm
L = 1 cm = 10 mm
Reemplazando datos:
2
)
8
10
(
4
10
8
10
10 2
2
−
+
+
=
π
π
π x
x
x
x
Sp
Sp = 622,0368 mm2
Vp = 3
2
2
744
,
282
10
)
8
10
(
4
mm
x
Vp =
−
=
π
Luego: av = Sp/Vp =622,0368 mm2
/ 282,744 mm3
= 2,2 mm-1
Dp = 6/2,2 mm-1
Dp = 2,72 mm
Problema 2
Datos: h = D
Diámetro efectivo para partículas esféricas (Dp)
Vp
Sp
a
a
Dp v
v
=
= ,
6
D
h
pero
lado
h
D
D
Sp =
+






= ,
4
2 2 π
π
2
2
3
D
Sp π
=
D
h
h
D
Vp =
= ,
4
2
π
3
4
D
Vp
π
=
7-11
D
D
D
av
6
4
2
3
3
2
=
=
∴
π
π
Luego: ...............
6
6
.
Dp Dp D
D
= =
b) V = 1 m3
de lecho
L
D
V L
T
2
4
π
=
Volumen de partícula cilíndrica
D
h
h
x
D
x
Vp =
= 2
4
π
3
4
D
Vp
π
=
Volumen neto que ocupan las partículas cilíndricas
)
1
(
4
3
ε
π
−
= D
Vp
)
1
(
)
1
(
4
4
/ 3
2
3
2
ε
ε
π
π
−
=
−
=
=
D
L
D
D
L
D
Vp
V
n L
L
T
Problema 3
Tomando base = 1 m3
de lecho de relleno, la masa total de lecho es:
mlecho = 980 kg/m3
x 1m3
= 980 kg
Esta masa de 980 kg es la masa de los cubos. Por tanto el volumen de los cubos es:
V = 980 kg / 1500 kg/m3
= 0,6533 m3
a1)
0
,
1
6533
,
0
00
,
1 −
=
=
lecho
del
total
volumen
lecho
de
vacíos
deespacios
volumen
ε
ε = 0,3467
a2) Diámetro efectivo, dp y G
Primero calculamos el área superficial del cubo.
7-12
2
2
2
0024
,
0
02
,
0
6
6 m
x
L
x
Sp =
=
=
El volumen del cubo es:
3
2
L
L
x
l
Vp =
=
L
L
L
Vp
Sp
av
6
6
3
2
=
=
=
av =6/L
L
L
a
dp
v
=
=
=
∴
6
6
6
dp = 0,020 m
a3) Cálculo de área superficial del lecho
)
1
(
6
)
1
( ε
ε −
=
−
=
dp
a
a v
1
196
)
3467
,
0
1
(
020
,
0
6 −
≅
−
= m
a
b) d = 0,02 m
h = 1,5 D
b1) ε1 0 0,3467
b2) Para el cilindro
2
2
2
2
2
2
3
2
)
5
,
1
(
4
2 d
d
d
d
d
d
Sp π
π
π
π
π
=
+
=
−
=
Sp = 2 d2
8
3
)
5
,
1
(
4
3
2 d
d
d
Vp
π
π
=
=
8
3 2
d
Vp
π
=






=
=
=
d
d
d
Vp
Sp
av
1
3
16
8
3
2
3
2
π
π
16
18
)
1
(
3
16
6
6
=
=
=
∴
d
a
dp
v
dp = (9/8) (0,02) 
→ dp = 0 0,0225 m
7-13
Problema 4
Para partículas en lecho de relleno con forma irregular
φ
φ
Ο
=
Ω
⇒
≤






Ω
Ο
=






= 0
,
1
volumen
igual
volumen
igual
partícula
la
de
Superficie
esfera
la
de
Superficie
Para cualquier partícula
partícula
la
de
actual
erficie
la
de
área
el
es
Sp
d
Sp sup
,
2
=
=
Ω
=
φ
π
d = diámetro (diente equival.) de la esfera que tiene
el mismo volumen en la partícula
)
(
,
6
/
/
3
2
partícula
la
de
volumen
d
x
d
Vp
Sp
av
π
φ
π
=
=
dp
av
φ
6
=
v
a
dp
φ
6
=
Cálculo de av para superficie regular (cilindro)
4
/
)
4
2
(
4
4
4
2
4
2 2
2
2
dL
d
dL
d
L
d
d
Sp π
π
π
π
π
π
+
=
+
=
+
=
L
d
Vp 2
4
π
=
4
4
]
4
2
[
2
2
L
d
dL
d
Vp
Sp
av
π
π
π +
=
=






+
=






−
=
+
=
d
L
d
L
L
d
dL
d
av
2
1
2
4
2
4
2
2
2
π
π
π
[ ]
08
,
0
008
,
0
2
25
2
125
1
2
2
1
2 −
=






−






+
=
d
L
av
av = 0,176 m-1
Cálculo de diámetro para forma irregular plátano
5
25
125
090
,
34
)
176
,
0
(
6
=
=
=
=
∴ h
dp
φ
φ
7-14
5 0,70
.
Como h d de tabla φ
∴ =
− − −
=
dp = 0 48,7 mm.
Problema 5
Cálculo:
1) Diámetro medio:
∑ 







=
dpi
Xi
dp
1
Donde:
∑
= vi
v a
Xi
a
av = 0,50 x 70 x 0,50 x 50
av = 60 cm-1
dp = 6/av = 6/60 cm-1
dp = 0,1 cm
dp = 0,1 x 10-2
m
2) Caída de presión:
g
x
x
g
x
x
g
x
P O
H
O
H ρ
ρ
ρ 80
,
1
5
,
1
30
,
0 2
2
=
+
=
∆
∆P = 1,80 x 9,81 x 999,70
∆P = 17652, 70 N/m2
3) Ecuación de caída de presión:
3
2
3
2
2
)
1
(
75
,
1
)
1
(
150
ε
ε
ρ
ε
ε
µ −
∆
+
−
∆
=
∆
dp
L
v
x
dp
L
v
x
x
P o
o
DATO: µ =1 x 10-3
kg/m.s, ε = 0,40
∆L = 1,50 m ρ = 999,70 kg/m3
dp = 0,1 x 10-2
m.
Reemplazando datos:
17652,70 = 3
2
2
3
2
2
2
3
4
,
0
)
10
1
,
0
(
)
40
,
0
1
(
5
,
1
7
,
999
75
,
1
40
,
0
)
10
1
,
0
(
)
40
,
0
1
(
5
,
1
10
0
,
1
150
−
−
−
−
+
−
x
x
v
x
x
x
x
x
v
x
x
x o
o
17652,70 = 1265625 vo + 24601992,19 vo
2
7,17533 x 10-4
= 5,1444 x 10-2
vo + 1393vo
2
7-15
vo
2
+ 5,14444 x10-2
vo – 7,175313 x 10-4
= 0
vo = 0,01141 m/s
Agua filtrada
Caudal: Q = vo x A = 0,01141 m [π/4 (0,30 m)2
]
Q = 8,0652 x 10-4
m3
/s = 3,0 m3
/h
Otra ecuación:
dp
v
x
x
f
L
p o
b
2
3
)
1
( ρ
ε
ε
−
=
∆
dp
v
x
L
x
x
f
p o
b
2
3
)
1
( ρ
ε
ε
−
=
∆
Donde: 4
10
Re
1
75
,
1
Re,
150
<
<
+
=
p
fb
Re,p =
µ
ε
ρ
)
1
( −
dp
x
v
x o
Supongase: v = 1,325 m/s = 1,325 x 10-2
m/s
Re,p = 3
2
2
10
1
)
40
,
0
1
(
)
10
1
,
0
(
10
325
,
1
7
,
999
−
−
−
− x
x
x
x
x
Re,p = 22,076
fb = 8,5444
2
2
2
3
10
1
,
0
)
10
325
,
1
(
7
,
999
5
,
1
40
,
0
)
40
,
0
1
(
5444
,
8 −
−
−
=
∆
x
x
x
x
x
x
p
∆P = 21088,71 N/m2
Problema 6
* Cálculo de Porosidad de lecho, ε.
lecho
vol
sólido
vol
lecho
vol
lecho
vol
dehue
vol
.
.
.
.
cos
. −
=
=
ε
Sea: m = masa de sólido que ocupa el lecho
ρ
/
m
vol =
∴
lecho
s
lecho
lecho
s
lecho
m
m
m
ρ
ρ
ρ
ρ
ρ
ρ
ε
1
1
−
=
−
=
1600
960
1600 −
=
−
=
s
lecho
s
ρ
ρ
ρ
ε
7-16
ε = 0,40
* Pérdida de presión a través del lecho
Ecuación de Ergun:
3
3
3
2
2
)
1
(
75
,
1
)
1
(
150
ε
ε
ρ
ε
ε
µ −
+
−
=
∆
dp
v
x
dp
v
x
L
P
Donde:
v = velocidad superficial en el tubo vacío.
v = 0,9 m/s
ρ = 0,64 kg/m3
µ = 1,5 x 10-5
kg/m.s
3
2
3
3
2
2
2
5
40
,
0
)
40
,
0
1
(
10
5
,
0
9
,
0
64
,
0
75
,
1
)
40
,
0
(
)
10
5
,
0
(
)
40
,
0
1
(
10
5
,
1
150 −
+
−
=
∆
−
−
−
x
x
x
x
x
x
x
L
P
m
L
m
N
L
P
8
,
1
,
/
1701
625
,
455 =
+
=
∆
∆P = 3882 N/m2
Problema 7
m = 40 toneladas, dp = 150 micras
T = 350 ºC
P = 15 atm
D = 3 m
ρs = 2500 kg/m3
Solución:
Cálculo de altura mínima de fluidización
1
1
1
1
ε
ε
−
−
=
mf
mf
L
L
para ε = 0, Cálculo de altura de sólido ocupado
v = A L1 
→ L1 = v/A,
m = ρ x v
v = m / ρs
v = 40000/2500
v = 16 m3
7-17
2
2
2
0686
,
7
)
3
(
4
4
m
D
A =
=
=
π
π
metros
L 2635
,
2
0686
,
7
16
1 =
=
∴
Cálculo de porosidad a las condiciones mínimas de fluidización:
a
s
MB
s
mf
ρ
ρ
ρ
ρ
ε
−
−
=
Pero; ρMB =0,356 ρs [log dp – 1], dp = micras
ρMB = 0,356 x 2500 [log dp – 1]
a) ρMB = 1046,72 kg/m3
b)
a
s
MB
s
mf
ρ
ρ
ρ
ρ
ε
−
−
= ;






=
=
=
−
082
,
0
15
R
atm
P
T
R
P
x
M
aire
ρ ; ρaie
15
,
623
082
,
0
15
29
x
x
,
ρaire =8,513 kg/m3
513
,
8
2500
72
,
1046
2500
−
−
=
mf
ε
513
,
8
2500
72
,
1046
2500
−
−
=
mf
ε , 5832
,
0
=
mf
ε
c) La altura mínima de fluidización:
1
1
1
1
ε
ε
−
−
=
mf
mf
L
L
0
1
5832
,
0
1
2635
,
2
−
−
=
⇒
mf
L
Lmf = 5,43 metros
d) ( ) g
L
p p
mf
mf /
).
1
( ρ
ρ
ε −
−
=
∆
∆P = 5,43 [ 1 – 0,5832] (2500 – 8,513) 9,81
∆p = 55316,56 N/m2
o Pascal
1 atm = 101325 N/m2

→ P = 0,5459 atm
X 
→ 55316,56 N/m2
1 atm 
→1,033 kg/m2

→p = 0,5639 kg/m2
Problema 8
DATOS:
m = 40 toneladas = 40000 kilos
7-18
dp = 150 micras
T = 350 ºC
ρ = ?
P = 15 atm
D = 3
ρp = 2500
Cálculos
a) Máxima densidad del lecho:
ρMB = 0,356 ρp (log dp – 1) 10 µ < dp < 500 micras
dp = 150 micras
ρMB = 0,356 x 2500 (log 150 – 1) = 1046,72 kg/m3
b) Porosidad mínima de fluidización
gas
del
densidad
p
MB
p
mf =
−
−
= ρ
ρ
ρ
ρ
ρ
ε ,
ρ
=
=
→
=
→
=
V
m
xT
R
PM
p
T
R
PM
m
PV
T
R
n
PV
T
R
PM
P
=
ρ ρ
ρ
1
1
1
RT
PM
p
= 2 = (P2. PM)/(RT2)
1
1
1
1
1
2 /
)
( T
R
PM
P
RT
PM
p
=
= ρ
ρ
( )
( ) 2
1
1
2
1
1
2
2
1
2
/
)
.
(
)
/(
.
T
p
T
x
P
T
R
PM
P
T
R
PM
p
=
=
ρ
ρ
P1 = 1 atm
T1 = 350 ºC
T
R
PM
P
=
ρ P = 15 atm
T = 350 + 273,15 = 623,15
R= 82,057 x 10-3
(m3
atm)/(kgmol K)
3
3
/
4982
,
8
15
,
623
10
057
,
82
97
,
28
15
m
kg
x
x
x
=
⇒
= −
ρ
ρ
5832
,
0
4982
,
8
´
2500
72
,
1046
2500
=
−
−
=
∴ mf
ε
εmf = 0,5832
7-19
c) La altura mínima de fluidización, Lmf
)
1
(
)
1
(
)
1
(
)
1
(
mf
mf
mf
mf L
L
L
L
ε
ε
ε
ε
−
−
=
⇒
−
−
=
Para resolver esta relación, es necesario conocer L y ε.
Cálculo de L
m = 40000 kilos
A = π/4 D2
= π/4 x 32
= 7,0686 m2
Volumen
altura del sólido
V = m/ρ = 40000 kilos/2500 kg/m3
= 16 m3
Altura del sólido
V = L x A 
→ L = V/A = 16 m3
/ 7,0686 m2
L = 2,2635 m
Esta altura se sólido corresponde cuando ε = 0
)
5832
,
0
1
(
)
0
,
0
1
(
2635
,
2
−
−
=
∴ x
Lmf
Lmf = 5,4307 m.
d) Caída de presión: ∆Pf
: ∆Pf = Lmf (1 - εmf ) ( ρp - g) x g
∆Pf = 5,4307 (1 – 0,5832) (2500 – 8,4982) 9,81
∆Pf = 55324, 40971 N/m2
= 0,5459 atm = 0,5639 kg/m2
e) Velocidad mínima de fluidización, vmf.
0
)
(
)
1
(
150
)
(
75
,
1
2
2
3
2
2
3
2
2
2
=
−
−
−
+
µ
ρ
ρ
ρ
µ
ε
φ
ρ
ε
µ
ε
φ
ρ g
dp
v
dp
v
dp p
mf
s
mf
mf
mf
s
mf
DATOS: T = 350 ºC , P = 15 atm
µ = ?
Para aire. Tc = 132 (K)
Pc = 36,4 atm
7-20
Tr = T/Tc = 623,15/132 = 4,7208
Pr = P/Pc = 15/36,4 = 0,4120 , µ#
= µ/µo
≡ 1,0
Por tanto, µ = µo
(a las condiciones de presión atmosférica y sólo función de
temperatura).
µ ≡ 3,177 x 10-5
kg/m.s
dp = 150 micras = 150 x 10-6
m = 0,15 x 10-3
m
фs = 1,0
0
)
10
177
,
3
(
81
,
9
)
4982
,
8
2500
(
)
4982
,
8
(
)
10
15
,
0
(
)
10
177
,
3
(
)
5832
,
0
(
)
1
(
)
4982
,
8
(
)
10
15
,
0
(
)
5832
,
0
1
(
150
)
10
177
,
3
(
)
5832
,
0
(
)
0
,
1
(
)
4982
,
8
(
)
(
)
10
15
,
0
(
75
,
1
2
5
3
3
5
3
2
3
2
5
3
2
2
2
3
=
−
−
−
+
−
−
−
−
−
−
x
x
x
x
v
x
x
v
x mf
mf
14203.242 vmf
2
+ 12646,41459 – 69,5387929 = 0
vmf = 0,05189 m/s
Problema 9
Un lecho fluidiza cuando: o
mf v
v = (fluidización mínima).
Entonces, es solo verificar si la velocidad mínima calculado es > 0 < a vo = 1 m/s.
Resuelvo el problema.
a) Se puede suponer: 14
/
1
3
=
mf
s ε
φ
11
/
)
1
( 3
2
=
− mf
s
mf ε
φ
ε
7
,
33
)
(
0408
,
0
)
7
,
33
(
2
/
1
2
3
2
−







 −
+
=
∴
µ
ρ
ρ
ρ g
Dp
R
p
emf
Donde Remf =
µ
ρ Dp
x
v
x mf
A 20 ºC, la densidad del aire es 1,2 kg/m3
esto es a 101325 N/m2
Como se tiene dado a 150000 N/m2
, deben ser ligeramente superior






=








=
101325
150000
2
,
1
1
2
1
2 x
P
P
x
ρ
ρ
3
2 /
7764
,
1 m
kg
=
ρ
µ = (tabla)
7-21
Se conoce todos los datos y se puede calcular:
b) Cálculo de ∆p
g
x
L
p p
mf
mf )
(
)
1
( ρ
ρ
ε −
−
=
∆
Para esta situación: supóngase Lm = Lmf = 1 m
εm = εmf = 0,36
p2 = p1 - ∆p
Problema 10
DATOS: ρp = 1500 kg/m3
ρglobal = 950 kg/m3
ρg = 0,7 kg/m3
µ = 1 m/s
a) Fracción de huecos, ε.
367
,
0
1500
950
1500
=
−
=
−
=
p
global
p
ρ
ρ
ρ
ε
b) diámetro equivalente
De = 4 rH
a
lecho
de
volumen
erficie
perímetro
lecho
volumen
vaciós
de
volumen
rH
ε
=
=
/
)
sup
(
/
Donde: a = av (1 – ε)
1
2
1200
2
,
1
5
)
5
5
(
6
5 −
=
=
=
= m
mm
x
x
x
Sv
Sp
av
a = 1200 x (1 – 0,367) = 759,6 m-1
rH = 0,367/759,6 m-1
rH = 4,831490258 x 10-4
m
m
x
r
De H
3
10
9325
,
1
4 −
=
=
∴
c) Cálculo de caída de operación
3
2
3
2
2
)
1
(
75
,
1
)
1
(
150
ε
ε
ρ
ε
ε
µ −
∆
+
−
∆
=
∆
dp
L
v
x
dp
L
v
x
x
P o
o
DATOS: µ = 0,02 x 10-3
kg/m.s
ρ = 0,7 kg/m3
ε = 0,367
7-22
∆L = 2 m
dp = ?
Cálculo de dp = ?
Diámetro efectivo para partículas no esféricas
dp = 6/av , 1
1200 −
=
= m
Vp
Sp
av
dp = 6/1200
dp = 0,005 m
3
2
3
2
2
3
)
367
,
0
(
)
367
,
0
1
(
005
,
0
)
2
(
)
1
(
)
7
,
0
(
75
,
1
)
367
,
0
(
)
005
,
0
(
)
367
,
0
1
(
)
2
(
)
1
(
10
02
,
0
150 −
+
−
=
∆
−
x
x
x
P
∆p = 1945,45 + 6274,75 = 8220,20 N/m2
∆p = 8,1127 x10-2
atm
∆p = 8,38042 x 10-2
kg/m2
∆p = 838,04 kg/m2
Problema 11
Dp = 0,10 mm
Φs = 0,86
ρ = 1200 kg/m3
T = 25 ºC { P = 202,65 kPa
εmf = 0,43
D = 0,60 m
m = 350 kg de sólido.
a) Calcular la altura mínima de Fluidización.
La altura mínima de fluidización se calcula de la siguiente ecuación
V = A L (1 – ε) = A Lmf (1 – εmf)
)
1
(
)
1
(
mf
mf L
L
ε
ε
−
−
=
∴
Calculamos: L, suponiendo que: m = ρ x v
v = m/ρ = 350 kg sólido/ 1200 kg/m3
7-23
v = 0,2916 m3
Donde: v = A x L L = V/A =
)
4
( 2
D
V
π
L = 0,2916 m3
/ ((π/4) x (0,60)2
)
L = 1,03132
Supongamos: ε = 0
)
43
,
0
1
(
)
0
1
(
03132
,
1
−
−
=
∴ mf
L
Lmf = 1,8125 m
b) Caída de presión a las condiciones mínimas de fluidización.
g
A
L
p
A p
mf
mf )
(
)
1
( ρ
ρ
ε −
−
=
∆
g
L
p p
mf
mf )
(
)
1
( ρ
ρ
ε −
−
=
∆ 1 atm = 101,325 kPa
atm
kPa
p 2
65
,
202 ≅
=
∆
Las propiedades de aire a 2,0 atm y 25 ºC. Tablas:
µ = 1,845 x 10-5
kg/m.s
ρ = 1,187 x 2 = 2,374 kg/m3
La densidad del sólido es
ρp = 1200 kg/m3
81
,
9
)
374
,
2
1200
(
)
43
,
0
1
(
8125
,
1 x
p −
−
=
∆
∴
∆p = 12137,88 Pa ∆p = 0,12137 x 105
kPa
Caída de presión a las condiciones mínimas de fluidización:
c) Velocidad mínima de fluidización:
Se calcula de la siguiente ecuación.
0
)
(
Re
)
1
(
150
)
(Re
75
,
1
2
3
3
2
3
2
=
−
−
−
+
µ
ρ
ρ
ρ
ε
φ
ε
ε
φ
g
Dp p
mf
s
mf
mf
mf
s
mf
(I)
0
)
43
,
0
(
)
86
,
0
(
Re
)
43
,
0
1
(
150
)
43
,
0
(
)
86
,
0
(
)
(Re
75
,
1
3
2
3
2
=
−
−
+ Ar
mf
mf
7-24
Donde: 2
5
3
3
2
3
)
10
845
,
1
(
)
81
,
9
(
)
374
,
2
1200
(
)
374
,
2
(
)
10
10
,
0
(
)
(
−
−
−
=
−
=
x
x
g
Dp
Ar
p
µ
ρ
ρ
ρ
Ar = 81,936648
25,59376811 Remf
2
+ 1453,998122 Remf – 81, 9366487 = 0
Remf = 0,0562969






=
⇒
=
∴
ρ
µ
µ
ρ
Dp
V
V
dp mf
mf
mf
mf
Re
Re
374
,
2
)
10
10
,
0
(
]
10
845
,
1
0562969
,
0
[
3
5
x
x
x
x
Vmf −
−
=
Vmf = 0,004375 m/s
d) Calcular la porosidad del lecho utilizado.
Voperac = 4 Vmf
Voper = 4 x 0,004375
Voperac = 0,0175 m/s
La porosidad del lecho calculamos, utilizando la Ec. (I)
0
9366487
,
81
Re
)
1
(
150
)
86
,
0
(
)
(Re
75
,
1
3
2
3
2
=
−
−
+
mf
s
mf
mf
mf
mf
ε
φ
ε
ε
Donde: 5
3
10
845
,
1
)
0175
,
0
(
)
374
,
2
(
)
10
10
,
0
(
Re −
−
=
=
X
x
V
Dp op
mf
µ
ρ
0
9366487
,
81
)
86
,
0
(
)
2251761518
,
0
(
)
1
(
150
86
,
0
)
2251761516
,
0
(
75
,
1
2
2
3
2
=
−
−
+
ε
ε
0
9366487
,
81
)
1
(
66850023
,
45
1031773531
,
0
3
3
=
−
−
+
ε
ε
ε
604
,
0
≅
ε
Problema 12
A = 1 m2
Dp = 5 mm
L = 0,50
7-25
ρs = 2900 kg/m3
Φs = 0,60
Є = 0,40
ε = 0,50
a) La velocidad mínima de fluidización se calcula de la siguiente ecuación
0
Re
)
1
(
150
)
(Re
75
,
1
3
2
3
2
=
−
−
+ Ar
mf
s
mf
mf
mf
s
mf
ε
φ
ε
ε
φ
(I)
2
3
)
(
µ
ρ
ρ
ρ g
Dp
Ar
p −
=
Cálculo de densidad del aire
T
R
PM
P
=
ρ , T = 40 + 273,15 = 313,15 K
Aquí la presión de salida del lecho considerado a las condiciones ambientales, P = 1 atm
ρ = (1 x 29) / (0,082 x 313,15) ρ = 1,1293 kg/m3
ρ = 1,1293 kg/m3
Reemplazando los datos se tiene:
2
3
)
(
µ
ρ
ρ
ρ g
Dp
Ar
p −
=
ρg = 1,1293 kg/m3
µgas (40 ºC) = 1,96 x 10-5
kg/m.s (dato del problema)
2
5
3
3
)
10
196
,
1
(
81
,
9
)
1293
,
1
2900
(
)
1293
,
1
(
)
10
5
(
−
−
−
=
x
x
x
Ar
Ar = 10449729,55
0
55
,
10449729
)
50
,
0
(
)
60
,
0
(
Re
)
50
,
0
1
(
150
)
50
,
0
(
)
60
,
0
(
)
(Re
75
,
1
3
2
3
2
=
−
−
+
mf
mf
23,333 Remf
2
+ 1666,6666 Remf - 10449729,55 = 0
7-26
Remf = 634,455
ρ
µ
µ
ρ
x
Dp
V
V
x
x
Dp mf
mf
mf
mf
Re
Re =
⇒






=
Vmf =
)
1293
,
1
(
)
10
5
(
)
10
96
,
1
(
455
,
634
3
3
2
5
x
x
x
x
−
−
Vmf = 1,7266 m/s
b) Tamaño del Compreso
Para calcular este tamaño, lo primero que se debe hacer es calcular la caída de
presión a través del lecho para una velocidad de operación igual a:
Vop = 4 Vmf
Vop = 4 x 1,7266 m/s 
→ Vop = 6,9064 m/s
Cálculo de caída de presión:
Para la fluidización mínima se tiene:
De la figura: ∆pf permanece casi constante cuando
Vop > Vmf
Entonces es importante determinar ∆pf a las condiciones mínimas de fluidización, y
valor calculamos de la siguiente ecuación.
g
L
p s
f )
(
)
1
( ρ
ρ
ε −
−
=
∆
Donde: L = altura de lecho en reposo = 0,50
ε = 0,40
ρg = 1,1293 kg/m3
Vmf
V
∆pf
7-27
ρs = 2900 kg/m3
81
,
9
)
1293
,
1
2900
(
)
40
,
0
1
(
50
,
0 x
p f −
−
=
∆
Pa
p f 4
,
8531
=
∆
Luego: P2 = ∆p + P3
P2 = 8531,4 + 101325
P2 = 109856,4 Pa
∆Pf = P2 – P1
P2 = ∆Pf + P1
Para el cálculo de potencia requerimos el número de moles de aire que entra al lecho, y
se calcula de la ecuación:
P V = n R T, como escurre: V = Q [m3
/s]
T
R
xQ
P
n=
∴ , donde P = P2 = 109856,4
T = T2 = 40 ºC = 313,15 K
Donde: Q = Vop x Aflujo
Q = [6,9064 m/s] x (π/4) D
[ ][ ]
2
1
2
)
(
4
/
9064
,
6
m
Af
D
s
m
=
= π
Q = 6,9064 m3
/s
∆pf
P3 = 1 atm
T3 =
P2 =
T2 = 40 ºC
P1= 1atm
T1=20ºC
P2 , T2
7-28
s
mol
x
n /
4168
,
291
)
15
,
313
(
)
314
,
8
(
9064
,
6
4
,
109856
=
=
Y efectuando un balance de energía alrededor de compresor, se obtiene:










−








−
=
−
−
1
1
)
1
(
1
2
1
k
k
p
p
T
R
n
k
k
Ws
η
T1 = 20 ºC = 293,15, donde. k = Cp/Cv
P1 = 101325 Pa
P2 = 109856,4 Pa
R = 8,314
a T1 = 20 ºC 
→ ρ1 = (1 x 29)/(0,082 x 293,15) 
→ ρ1 = 1,2064
Para aire: k = 1,4








−






−
=
−
−
1
101325
4
,
109856
1
15
,
293
(
)
314
,
8
(
)
4168
,
291
(
1
4
,
1
4
,
1 4
,
1
)
1
4
,
1
(
k
Ws
- Ws = 58085,9 J/s
m = n x PM
n = 291,4168 mol/s
PM = 29 g/mol
m = 291,4168 mol/s x (29 g/mol) m = 8451,08 g/s
m = 8,4510 kg/s
kg
J
s
kg
s
J
Elecho /
2
,
6873
/
4510
,
8
/
9
,
58085
=
=
∴
Tomando en consideración las pérdidas a través del plato distribuidos y ciclón se tiene:
ΣFtotal = 6873,2 x 1,3
= 8935,14 J/kg
ΣFtotal = 8935,14 J/kg
( ) )
/
4510
,
8
(
/
14
,
8935 s
kg
x
kg
J
Ws
m
x
F
Ws total =
−
⇒
=
−
∴ ∑
- Ws = 75510,89088J/s
- Ws ≡ 76 kW
7-29
Tomando una eficiencia global de 60%
-Ws = (76/0,60)
- Ws ≡ 127 kW
- Ws = 170 hp
Problema 13
a) Velocidad minima de fluidizacion
(1 ) ( ) (1)
mf
mf p
mf
P
g
L
ε ρ ρ − − − − − − − − − − − − − − − − −
∆
− −
= − −
2 2
2 3 3
150 ( 1 ) 1,75 (1 )
. (2)
( )
.............
f mf mf mf
mf mf mf
P x x V V
L dp x dp
µ ε ρ ε
φ ε φ ε
∆ − −
= +
Combinando las ecuaciones (1) y (2 se tiene):
g
dp
V
x
dp
V
x
x
p
mf
mf
mf
mf
mf
mf
)
(
)
1
(
)
1
(
75
,
1
)
(
)
1
(
150
3
2
3
2
2
ρ
ρ
ε
ε
ε
φ
ρ
ε
φ
ε
µ
−
−
=
−
+
−
g
dp
V
x
dp
V
x
x
p
mf
mf
mf
mf
mf
)
(
1
75
,
1
)
(
)
1
(
150
3
2
3
2
2
ρ
ρ
ε
φ
ρ
ε
φ
ε
µ
−
=
+
−
Supongamos guisantes como si fuesen esferas: ф ≈ 1,0
Para resolver esta ecuación la única incógnita es Vmf y para lo cual es necesario calcular
ρ (fluido).
Si consideramos que el aire se comporta como un gas ideal:
T
R
pM w
−
=
ρ
La presión debería ser promedio, por tanto se considera 2
1 /
152000 m
N
p
p =
=
−
Luego:
7-30
3
3
3
6358
,
1
)
273
50
(
.
314
,
8
10
9
,
28
152000
m
kg
K
x
K
mol
Pa
m
mol
Kg
x
x
Pa
=
+
=
−
ρ
Resolviendo (3):
)
81
,
9
(
)
6358
,
1
880
(
)
10
6
)(
1
(
)
41
,
0
(
)
6358
,
1
(
75
,
1
)
41
,
0
(
))
10
6
)(
1
((
)
10
15
,
2
(
)
41
,
0
1
(
150
3
3
2
3
2
3
5
−
=
+
−
−
−
−
x
V
x
x
x
V
x
x mf
mf
766,8804 Vmf + 6922,5393 Vmf
2
= 8616,7528
6922,5393 Vmf
2
+ 766,8804 Vmf – 8616,7528 = 0
Vmf = 1,0617 m/s
b) Para el problema: La velocidad Terminal sería la velocidad de arrastre.
D
p
al
ter
C
g
dp
x
Vt
V
ρ
ρ
ρ
3
)
(
4
min
−
=
= CD = 0,44 103
< Re < 105
s
m
x
x
Vt 7865
,
9
)
44
,
0
(
)
6358
,
1
(
3
)
81
,
9
(
)
6358
,
1
880
(
)
10
6
(
4 3
=
−
=
−
Verificando:
56
,
4467
.
10
15
,
2
10
6
7865
,
9
6358
,
1
Re,
5
3
3
=
=
=
−
−
s
m
kg
x
m
x
x
s
m
x
m
kg
dp
x
Vt
x
p
µ
ρ
Como es mayor que 1000, luego se cumplen las condiciones.
c) Cálculo del caudal:
Vop = 2,5 Vmf
Q = V x A = Vop x A = 2,5 Vmf x π/4 x D2
Q = 2,5 (1,0617 m/s) (π/4 (0,562
) m2
) = 0,6537 m3
/s
d) Cálculo de la pérdida de presión:
g
L
P
p
mf
mf
mf
)
(
)
1
( ρ
ρ
ε −
−
=
∆
Determinación de Lmf.
7-31
Vlecho = A x (1 – εmf) x Lmf
mf
mf
lecho
L
x
A
V
)
1
( ε
−
=
3
3
1227
,
0
880
108
m
m
kg
kg
m
V
sólido
sólido
lecho =
=
=
ρ
2
2
2
2
2463
,
0
)
56
,
0
(
4
4
m
m
D
A =
=
=
π
π
Luego:
3
2
0,1227
(1 0,41) 0,8444
0,2463
Lecho
mf mf
V m
x L L m
A m
− − − − − − − − − −
= − =
−
=
Finalmente:
g
L
P P
mf
mf
mf )
)(
1
)(
( ρ
ρ
ε −
−
=
∆
2
2
3
.
7191
,
4297
)
81
,
9
(
)
6358
,
0
880
)(
41
,
0
1
)(
8444
,
0
(
s
m
kg
s
m
m
kg
m
Pmf =
−
−
=
∆
∆Pmf = 4297,7191 N/m2
Problema 14
DATOS:
Diámetro del lecho = 1,2 m
Porosidad = ε = 0,5
Velocidad superficial = 3 Vmf
Propiedades del aire a -30 ºC.
ρ = 1,451 kg/m3
, µ = 1,579 x 10-5
kg/m.s
En el punto de congelación de la fresa se tiene: T = - 0,8 ºC, ρ = 1050 kg/m3
.
Suponiendo que el diámetro de la fresa sea: dp = 35 mm = 0,035 m.
Cálculo de la pérdida de presión:
7-32
g
L
P
P
mf
mf
mf
)
)(
1
( ρ
ρ
ε −
−
=
∆
2
1328
,
5143
)
81
,
9
(
)
451
,
1
1050
)(
5
,
0
1
(
m
N
L
P
mf
mf
=
−
−
=
∆
a) Velocidad mínima de fluidización:
3
2
3
2
2
)
1
(
75
,
1
)
(
)
1
(
150
mf
mf
mf
mf
mf
mf
f
dp
V
x
dp
V
x
x
L
P
ε
ε
φ
ρ
ε
φ
ε
µ −
+
−
=
∆
Supongamos fresas como si fuesen esferas: ф ≈ 1,0
3
2
3
2
2
5
)
5
,
0
(
)
5
,
0
1
(
)
035
,
0
(
)
1
(
)
451
,
1
(
75
,
1
)
5
,
0
(
))
035
,
0
(
)
1
((
)
5
,
0
1
(
)
10
579
,
1
(
150
1328
,
5143
−
+
−
=
−
mf
mf V
x
V
x
x
x
5143,1328 = 3,8669 Vmf + 290,2 Vmf
2
290,2 Vmf
2
+ 3,8669 Vmf - 5143,1328 = 0
Vmf = 4,2032 m/s
b) Velocidad de arrastre:
D
P
al
ter
C
g
dp
Vt
V
ρ
ρ
ρ )
(
3
4
min
−
=
= CD = 0,44 103
< Re < 105
s
m
Vt
V al
ter 4203
,
27
)
44
,
0
(
)
451
,
1
(
)
81
,
9
(
)
451
,
1
1050
(
)
035
,
0
(
3
4
min =
−
=
=
Verificando:
2562
,
88191
.
10
579
,
1
035
,
0
4203
,
27
451
,
1
Re
5
3
=
=
=
−
s
m
kg
x
m
x
s
m
x
m
kg
dp
x
Vt
x
p
µ
ρ
Como es mayor que 1000. Luego se cumplen las condiciones.
c) Caudal de aire necesario para la fluidización:
Vop = 3 Vmf
2
4
3 D
x
x
V
A
x
V
A
x
V
Q mf
op
π
=
=
=
7-33
3
2 2
3 4,2032 (1,2) 14,2611
4
m m
Q m
s s
π
   
= =
   
   
d) Cálculo del diámetro de las fresas:
Suponiendo que existiese una distribución amplia de tamaños de fresa se tiene:
s
m
V
V mf
op 6096
,
12
)
2032
,
4
(
3
3 =
=
=
ρ
ε
ρ
ρ
75
,
1
)
(
2 mf
P
mf
g
dp
V
−
=
)
451
,
1
(
75
,
1
)
5
,
0
(
)
81
,
9
(
)
451
,
1
1050
(
6096
,
12 2 −
=
dp
dp = 0,07 m
Por debajo de 0,07 m de diámetro serían arrastradas las fresas en las condiciones de
operación antes citadas.
Problema 15
Se puede elegir los siguientes puntos.
Punto: 1 – 3
1 – 4
2 – 3
2 – 4
Recomendación: en todos los casos se debe incluir la sección de relleno por ser la parte
donde se produce la mayor pérdida por fricción.
Para el presente caso considere los puntos (1) y (4) para el balance de energía.
)
/
(
0
2
2
kg
J
F
Ws
V
dp
Z
g =
+
+








∆
+
+
∆ ∑
∫ ρ
Simplificaciones: Ws = 0, ∆V2
≡ 0
7-34
Fluido incompresible: 0
=
∆
=
∫ ρ
ρ
p
dp
De modo que resulta:
g ∆Z + Σ F = 0 (1)
g [Z4 – Z1] + Σ F
Donde: Σ F = F1-2 + F2-3 + F3-4
Simplificación: la resistencia de las sección de tubo vacío es despreciable
comparado con la sección de relleno, es decir.
F1-2 <<< F2-3 ó
F3-4 <<< F2-3, lo que queda aun
Σ F = F2-3 = Frelleno
Aplicando la Ecuación de erguí se tiene:
2 2
2 3 3
150 ( 1 ) 1,75 (
...........................
1 )
(
.
( )
.. 2)
o o
x x V L V L x
F
dp x dp
µ ε ε
ρ ε ε
− −
= +
∑
Reemplazando en (2)
2 2
2 3 3
150 ( 1 ) 1,75 (1 )
. . 0
( )
o o
x x V L V L x
g Z
dp x dp
µ ε ε
ρ ε ε
− −
+ + ∆ =
DATOS:
De la Figura: 6.3, para una esfera de relleno denso (ψ = 1,0)
Є = 0,38, a T = 20 ºC L = 1 m
ρ = 998 kg/m3
Z1 = 0
µ = 1 x10-3
kg/m.s Z4 = 0
0
)
0
3
)
81
,
9
.(
38
,
0
)
38
,
0
1
(
)
1
(
10
10
75
,
1
38
,
0
)
998
(
)
10
10
(
)
1
(
)
38
,
0
1
(
)
10
1
(
150
3
3
2
3
2
3
2
3
=
−
−
+
−
+
−
−
−
−
x
x
V
x
x
V
x
x
x o
o
10,5 Vo + 1977 Vo2
– 29,4 = 0 α = - 0,124631
β = 0,11932
Luego: Vo 0,11932 m/s
Cálculo de Número de Reynolds.
7-35
3
3
10
1
10
10
11932
,
0
998
Re −
−
=
=
x
x
x
x
d
x
v
x
p o
µ
ρ
Rep = 1190,81
Luego el régimen de flujo es turbulento: Rep > 1000, entonces se puede considerar
sólo el término de pérdidas por turbulencia, es decir:
0
)
(
)
1
(
75
,
1
1
4
3
2
=
−
+
−
Z
Z
g
dp
L
Vo
ε
ε
0
)
0
3
(
81
,
9
10
10
)
38
,
0
(
1
)
38
,
0
1
(
75
,
1
3
3
2
=
−
−
+
−
−
x
Vo
1977,329 Vo
2
- 29,43 = 0
Vo = (29,43/1977,329)0,5
Vo = 0,1219
%: )
(
%
19
,
2
10
1219
,
0
11932
,
0
1219
,
0
alto
mas
x =
−
Nota: el valor de Vo es bastante sensible del valor εo por tanto existe una
incertidumbre en la lectura de la Fig. 6.3, debido a la gran variación de huecos.
La fuerza impulsora para la figura es 3,0 m.
7-36
Problema 16
Balance de energía mecánica:
( )
2 2
1 1 2 2
1 2 1 2
1
2
1 2
1 2
1 2 2
1 2
1 2
..............
2 2
:
0 ( )
10 (30º) 5
:
²
9,81 5 49,05
² ²
²
49,05
²
. .
p v p v
gz gz hf
Simplificaciones
z Punto de referencia
z Lsen sen m
v v
p p
Luego
hf gz
m m
hf m
s s
m
hf Ff
s
ρ ρ
θ
−
−
−
−
+ + = + + +
=
= − = − = −
=
=
= −
 
= − − =
 
 
= =
∑
∑
∑
∑ ∑
Caída de presión a través del lecho empacado:
2 2
0 0
3 2 3
150(1 ) 1,75(1 )
..... ......................
( / ) .. (1)
.
v L v L
Ff J Kg
dp dp
ε µ ε
ε ρ ε
− ∆ − ∆
= +
∑
Datos:
3
1 2
0,34
1 1 10
5
0
dp mm x m
L L m
z z
ε
−
=
= =
∆ = =
= =
2
2
20º
998,2
³
1,002
.
supuesta
H O
H O
T C
Kg
m
Kg
m s
ρ
µ
=
=
=
Reemplazando (*) en (1)
:
7-37
2 2
0 0
3 3 2 3 3
6 3 2
0 0
3 2 6
0 0
6
0
150(1 0,34) (1,002) (5) 1,75(1 0,34) (5)
49,05 , / )
(0,34) (1 10 ) (998,2) (0,34) (1 10 )
49,05 8,3438 10 146,9316 10
146,9316 10 8,3438 10 49,05 0
5,8786 10
v v
J Kg
x x
x v x v
x v x v
v x
− −
−
− −
= +
= +
+ − =
=
Luego reemplazando este valor en la ecuación de caída de presión:
2 2
0 0
3 2 3
2 6 6 2
3 3 2 3 3
3
150(1 ) 1.75 (1 )
,( / ) (2)
150(1 0,34) (1,002)(5,8786 10 )(5) 1,75(998,2)(1 0,34)(5,8786 10 ) (5)
(0,34) (1 10 ) (0,34) (1 10 )
48961,4212 5,0685 10 48961,4263
²
v L v L
Pf J Kg
dp dp
x x
Pf
x x
N
Pf x
m
ε µ ρ ε
ε ε
− −
− −
−
− ∆ − ∆
∆ = +
− −
∆ = +
∆ = + =
3 4
3
3 4 4
4
48961,4263
1
48961.4263 0.4832
101325
:
0,4832
3
:
0,4832 3 0,4832
2,5168 2,52
Pa
atm
Pf Pa atm
Pa
Luego
P P atm
P atm
Reemplazando
P atm P atm atm P
P atm atm
=
∆ = =
− =
=
− = 
→ − =
= ≈
7-38
Problema 17
Balance de energía mecánica entre los puntos (1) y (2), considerando fluido incompresible:
2
( ) 0
2
P v
g z Ws Ff
ρ
 
∆
∆ + + ∆ + + =
 
 
∑
Simplificaciones:
1
2
1 2
.......... . .
.......
0 ( )
10
( )
0 ( )
... .
.......... . .
z Punto de referencia
z L m
v v Diámetro constante
Ws No hay bomba
=
= − = −
=
=
Luego:
( ) 0
( ) (1)
f
f
g z F
F g z
∆ + =
= − ∆
∑
∑
Ecuación para calcular perdida de energía por friccion
2 2
0 0
3 2 3
150(1 ) 1,75(1 )
..... ......................
( / ) .. (2)
.
v L v L
Ff J Kg
dp dp
ε µ ε
ε ρ ε
− ∆ − ∆
= +
∑
Reemplazando (1) en (2):
( )
2 2
0 0
3 2 3
150(1 ) 1,75(1 )
..... .............
0 ( ..............
/ ) (3)
v L v L
g Z J Kg
dp dp
ε µ ε
ε ρ ε
− ∆ − ∆
= + + ∆
Datos:
3
1 2
0,34
1 1 10
10
0
dp mm x m
L L m
z z
ε
−
=
= =
∆ = =
= =
2
2
20º
998,2
³
1,002
.
supuesta
H O
H O
T C
Kg
m
Kg
m s
ρ
µ
=
=
=
7-39
Reemplazando estos datos en la Ec. (3)
2 3 2
0 0
3 3 2 3 3
150(1 0,34) (1,002 10 ) (10) 1,75(1 0,34) (10)
0 9,81( 10)
(0,34) (1 10 ) (998, 2) (0,34) (1 10 )
x v v
x x
−
− −
− −
= + + −
3 3 2
0 0
0 16687,55 10 293,86 10 98,1
x v x v
= + −
6
0 5,8786 10 /
v x m s
−
=
Condición:
1 1 1
2 2 2
1 2 1 2 1 0 2
.......... ............( .
) ........
Q v A
Q v A
Q Q A A D cte v v v
=
=
= = = 
→ = =
Balance de energía mecánica:
2 2
3 3 4 4
3 4 3 4
3
4
3 4
3
..............
2 2
:
0 ( )
10 (45º) 7,07
. .
107
p v p v
gz gz hf
Simplificaciones
z Punto de referencia
z Lsen sen m
v v
p
ρ ρ
θ
−
+ + = + + +
=
= = =
=
=
∑
4
3 4
4 3 4
3
4
4 3 4
4 3 4 3 4
3 4
:
98,1
p
Luego
p p
gz hf
p
p
gz hf
p p gz hf
hf Ff
ρ ρ
ρ ρ
ρ ρ
−
−
−
−
= + +
= − −
= − −
= = −
∑
∑
∑
∑ ∑
4
:
3
Finalmente
p atm
=
101325
1
Pa
atm
4
²
(9,81 )(7,07107 )(998,2 ) (998,2 )( 98,1 )
² ³ ³ ²
332656,0843
m Kg Kg m
m
s m m s
p Pa
− − −
=
1
101325
atm
Pa
4
3,28
3,28
atm
p atm
=
=
7-40
Problema 18
Ecuación de balance de energía mecánica:
( )
2
0
2
dp v
g z Ws Ff
ρ
 
∆ + + ∆ + + =
 
 
∑
∫
( )
2
:
0
0
2
0
Simplificaciones
g z
v
Ws
∆ =
 
∆ =
 
 
=
Para gases estos términos son despreciables.
:
0
Luego
dp
Ff
ρ
+ =
∑
∫
Suponiendo que la densidad del fluido gas no varía mucho a través del lecho de relleno, por
tanto:
dp p
ρ ρ
∆
=
∫
Esta condición se cumple cuando:
0.10
p
ρ
∆
<
Datos:
1 2
2 2
2
2
2
2000 101325 103325
101325
103325 101325
102325
2
2000
0,02 0,10
1
.
02325
N
p Pa Pa
m
N
p Presión atmosférica
m
N
p
m
N
p m
N
p
m
= + =
= =
+
= =
∆
= = <
7-41
Luego se puede suponer tal como definido:
dp p
ρ ρ
∆
=
∫
Luego:
( ) ( )
( )
2 1 1 2
1 2
.......... ..........
0
dp p
Ff Ff
p p p p
Ff
p p
Ff
ρ ρ
ρ ρ
ρ
∆
+ = 
→ = −
− −
= − =
−
=
∑ ∑
∑
∑
Cálculo de ρ suponiendo condición ideal (gas isotérmico):
3
:
102325 1,0099
²
100º 373,15
³.
82,057 10
.
29
w
w
M
p
RT
Datos
N
p atm
m
T C K
m atm
R x
mol Kg K
M mol Kg
ρ
−
 
=  
 
= =
= =
=
−
= −
( )
3
:
29
1,0099 0,956
82,057 10 373,15 ³
Entonces
kg
aire
x x m
ρ −
 
= =
 
 
( ) ( )
1 2
:
103325 101325
2092,05
0,956
Luego
p p J
Ff
Kg
ρ
− −
= = =
∑
Reemplazando el valor de Ff
∑ :
2 2
0 0
3 2 3
3
150(1 ) 1,75(1 )
2092,05
:
0,40
0,20
.
10 10
v L v L
dp dp
Sabemos que
L m
dp x m
ε µ ε
ε ρ ε
ε
−
− −
= +
=
=
=
7-42
( )
( )
5
100º
2,17 1
.....
..............
..............
0
.
0,956
³
Como T C
Kg
x aire
m s
kg
aire
m
µ
ρ
−
=
=
=
( ) ( ) ( )
( )
( ) ( )
2
2 5
0
0
2 3
3 3
3
:
1,75(1 0,40) 0,20
150(1 0,40) (2,17 10 )( )(0,20)
2092,05
0,40 10 10
0,40 10 10 0,956
Reemplazando
v
x v
x
x
−
−
−
−
−
= +
2
0 0
0
328,125 38,304 2092,05 0
2,4673 /
v v
v m s
+ − =
=
Finalmente:
0 0
0,2
2,4673
4,65º
x x
V V
sen arc sen
V V
arc sen
θ θ
θ
θ
 
= 
→ =  
 
 
=  
 
=
7-43
Problemas de Sedimentación
Problema 1. (Costa Novella) Sedimentación Se desea diseñar un espesador continuo
para tratar 10 m3
/min de una suspensión acuosa de carbonato de cálcico que se desea
concentrar desde 5 g/L a 200 g/L.
En una probeta de laboratorio se ha estudiado la sedimentación discontinua de una
suspensión acuosa de carbonato cálcico de 30 g/L de concentración, obteniéndose los
siguientes resultados:
t(min) 0 0,5 1 1,5 2 2,5 3 3,5 4 4,5 5 5,5 6 6,5
h(mm) 284 274 264 250 240 230 219 208 196 185 176 166 157 144
t(min) 7 7,5 8 8,5 9 9,5 10 12 15 20 29 87 150 ∞
h(mm) 136 125 115 107 97 88 81 63 51 41 38 29 25 23
Representado por h la altura respecto al fondo de la probeta de la superficie limite del
líquido claro.
Calcular la superficie transversal mínima del sedimentador continuo necesario y su
altura.
Datos: Densidad del carbonato calcico: 2 681 kg/m3
Problema 2. (Costa Novella) Calcular el diámetro de un espesador continuo de sección
circular en el que se han de tratar 0,1 m3
/s de una suspensión con 100 kg de sólido por
m3
de suspensión, para alcanzar la máxima concentración posible de sólidos en la
corriente sedimento.
Los resultados obtenidos con diferentes suspensiones de este mismo sólido, en
experimentos discontinuos, son los siguientes:
Concentración
de sólido, (kg/m3
)
Velocidad
Sedimentación, (m/h)
Concentración
de sólidos, (kg/m3
)
Velocidad
Sedimentación, (m/h)
100 0,5330 700 0,0370
200 0,3280 800 0,0266
300 0,1990 900 0,0202
400 0,1190 1 000 0,0151
500 0,0770 1 100 0,0119
600 0,0520 1 200 0,0108
Nota: supóngase que la corriente de liquido claro efluente esta exenta de sólido.
7-44
Problema 3. (Costa Novella) En un sedimentador discontinuo de laboratorio se ha
realizado un ensayo con una suspensión acuosa de cal con una concentración inicial de
sólidos de 236 kg/m3
, obteniéndose los siguientes resultados:
Tiempo
(minutos)
Altura de liquido claro
(mm)
0 360
15 324
30 286
60 210
105 147
180 123
285 115
720 98
∞ 88
Para tratar en un sedimentador continuo 200 m3
/h de citada suspensión inicial, calcular:
a) La máxima concentración de salida que podría alcanzarse.
b) La superficie mínima que debe tener el espesador.
c) La altura de la suspensión en el espesador.
Datos: Densidad de la cal: 2100 kg/m3
Problema 4. Pruebas de sedimentación batch se ha desarrollado utilizando lodo
activado, cuyos datos se reporta en la siguiente tabla.
Tabla: Concentración, velocidad de sedimentación y flux de sólidos para arios ensayos
Prueba C (mg/l) V(m/h) JSF= CV (kg/h-m2)
1 12 460 0,125 1,56
2 9 930 0,249 2,47
3 7 450 0,465 3,46
4 5 220 1,00 2,22
5 3 140 2,94 9,24
6 1 580 4,18 6,60
7-45
El flujo de licor mezclado de diseño para el clarificador es 160 l/s, el contenido de
sólidos iniciales es Co = 2500 mg/l, y la concentración de la corriente inferior es 12 000
mg/l. Determinar:
a) la grafica de velocidad de sedimentación, V (m/h) , en el eje y versus la
concentración (mg/l) en el eje x.
b) Flux de sólidos, kg/ h m2
para cada ensayo y luego graficar una curva de flux de
sólidos (kg/ h m2
) en el eje y versus concentración de sólidos, (mg/l) en el eje x.
c) Determine el flux de solido de diseño, JSF (diseño) en kg / h m2
, utilizando un factor
de escalamiento de 1,5.
d) El diámetro del clarificador final
Problema 5. La curva de sedimentación que se muestra a continuación fue obtenida
para un lodo activado con un contenido inicial de sólidos de Co = 3000 mg/L. La altura
inicial de la interfaz en la columna de sedimentación fue de 2,5 pies. Determinar:
a) El área necesaria para obtener un lodo espesado con contenido de sólidos Cu =
12 000 mg/L.
b) La velocidad de sedimentación
c) La tasa de clarificación, (pies3
/s)
d) Área del clarificador
e) El elemento de control del área de espesamiento
f) La carga de sólidos (lb/ft2
d)
g) La tasa hidráulica (gal/ft2
d o m3
/m2
d)
7-46
7-47
SOLUCIÓN DE PROBLEMAS DE SEDIMENTACION
Problema 1
La velocidad de descenso de la superficie de separación de las zonas de líquido claro
(A) y de subsistencia (B), vendrá representada por la velocidad de propagación de una
pulsación. Teniendo en cuenta que la concentración de sólidos en la zona A es nula, se
tiene:
1
SF
J
Vp
ε
=
−
(1)
La velocidad de sedimentación Vp se puede expresar en función de la altura h de la
siguiente forma:
dh
Vp
dt
= − (2)
Reemplazando la Ec. (2) en Ec. (1) se obtiene:
( )
1
SF
dh
J
dt
ε
 
= − −
 
 
A continuación, multiplicando ambos miembros por la densidad del sólido obtenemos el
flux (densidad de flujo de masa, kg/s m2
):
( )
1 s
SF s
dh dh
J C
dt dt
ρ ε ρ
   
= − − = −
   
   
(3)
C, representa la concentración másica de carbonato cálcico (kg/m3
).
Para obtener la curva de Flux ( FS s
J ρ ) versus concentración C, es necesario utilizar
unidades másicas en sedimentación, calculados de acuerdo a la ecuación (3), por tanto
es necesario graficar los datos anunciados de la forma ( ) ( )
h Vs t , tal como se presenta
en la siguiente figura.
7-48
Resultados de sedimentacion batch
0
50
100
150
200
250
300
0 10 20 30 40 50 60 70 80 90 100 110 120 130 140 150 160 170 180 190 200 210
Tiempo de sedimentacion, t(min)
Altura
de
sedimentacion,
h(mm)
Fig. 1
Para calcular la concentración en función de la velocidad de sedimentación se emplea la
siguiente metodología que a continuación se describe::
1. Las ordenadas en el origen '
h de las tangentes a la curva en cada punto representan:
( ) ( )
( )
1 1
' '
1 1
s
s
ho o ho o
h h
ε ε ρ
ε ε ρ
− −
= ⇒ =
− −
'
Co
h ho
C
 
=  
 
(4)
Tomando diferentes puntos de la curva de las siguientes figuras mostradas, trazando
las tangentes, se determinan sus pendientes (- dh/dt) y las ordenadas en el origen
h’. Para nuestro caso, la figura 1 se ha ampliado su escala (Figs 2 y 3) y luego se
ajusto la curva a través de una ecuación, a partir del cual se ha determinado la
pendiente correspondiente para algunos puntos de interés y trazando la tangente
7-49
correspondiente a la curva se determina h’. Los resultados se tabulan en la siguiente
tabla, junto con otros cálculos como la concentración ( C ) y el flux ( )
SF s
J ρ -
Así, para los primeros 13 puntos la curva se ajusto a través de una ecuación tipo
polinómica, expresada mediante la siguiente ecuación (Fig 2):
5 4 3 2 7
0,0008 0,0309 0,3399 1,5494 24,26 284,94
y x x x x x
= − + − + − +
Para calcular la pendiente, derivamos la expresión anterior, cuyo resultado es:
4 3 2
0,004 0,1236 1,0197 3,0988 24,267
dy dh
x x x x
dx dt
   
= = − + − + −
   
   
donde: ,
y h x t
= =
La pendiente se evaluó para los tres primeros puntos ( t = 4, 10 y 14 minutos),
cuyos resultados se hallan tabulados en la siguiente tabla.
De forma similar se procedió con la figura 2, cuyo ajuste de la curva es de tipo
exponencial, representada por la siguiente ecuación:
0,243
85,195
y x−
=
y la pendiente de la curva es:
1,243
20,70
, ;
dy dh
donde y h x t
dx dt x
   
= = − = =
   
   
La pendiente se evaluó para el resto de los puntos ( t = 16, 18, 20, ……y 180
minutos), cuyos resultados se muestran en la siguiente tabla.
7-50
2. Cálculo de concentración ©. este dato se obtiene reemplazando los siguientes datos
disponibles del ensayo en una probeta de laboratorio, así para:
t = 0 , 3
284 30 / 30 /
ho mm y Co mg l kg m
= = =
284 8520
30
' ' '
ho
C Co
h h h
   
= = =
   
   
(5)
3. Cálculo de flux (densidad de flujo de masa, kg/s m2
): combinando las ec.
(3) y (5):
3 2
8520 1min 1
' min 60 1000
SF s
kg mm dh mm m kg
J
h m dt s mm s m
ρ
−
     
= − =
     
     
(6)
Tabla
(min)
t ( )
h mm ( )
/
( / min)
dh dt
mm
− '( )
h mm
3
8520/ '
( .5), /
C h
Ec kg m
=
( )
2
: . 6
/
Flux Ec
kg s m
3,5 208
4,0 196 23,0 265 32,15 12,32
10 81 13,0 172 49,53 10,73
14 52 3,5 124 68,70 4,00
16 48 2,5 72 118,33 4,93
17 46
18 44 1,75 70 121,71 3,55
19 42
20 41 1,0 59 144,40 7,7
21 40
26 39
30 38 0,21 45 189,33 0,66
40 36 0,25 42 202,85 0,84
50 33
70 31
80 30 0,10 37 230,27 0,38
90 29
100 28 0,07 35 243,43 0,284
120 27
150 25 0,06 30 284,00 0,284
180 23 0,04 26 327,00 0,218
200 23
7-51
Fig2
Fig. 3
7-52
y = -0.0041x4
+ 0.1733x3
- 1.5346x2
- 17.612x + 282.16
0
50
100
150
200
250
300
0 1 2 3 4 5 6 7 8 9 10 11 12 13 14 15 16 17 18 19 20
Tiempo de sedimentacion,t(min)
Altura
de
sedimentacion,h(mm)
h'
Fig. 2
y = 89.898x- 0.2577
0
10
20
30
40
50
60
0 10 20 30 40 50 60 70 80 90 100 110 120 130 140 150 160 170 180 190 200 210
Tiempo de sedimentacion,t(min)
Altura
de
sedimentacion,h(mm)
Fig. 3
4. Con los resultados de la tabla anterior se grafica Flux versus Concentración, tal
como se aprecia en la siguiente tabla:
7-53
Fig. 4
A partir de esta gráfica se determina el flux para una concentración final de 200 kg / m3
,
trazando una tangente a la curva desde dicho punto para obtener un punto de corte de
dicha tangente con el eje de ordenadas:
2
0,0065
SF
kg
Flux J s
s m
ρ
 
= =  
 
El área de la superficie transversal del sedimentador se calcula a partir de la siguiente
ecuación:
7-54
2
o
o o
SF s
kg
m
Q C
s
S
J
kg
Flux
s m
ρ
 
 
 
= =
 
 
 
donde:
3
3 2
10 , 5 5 , 0,0065
min
o o SF s
m g kg kg
Q C J
l m s m
ρ
   
   
= = = =
   
   
     
 
Reemplazando datos en la ecuación anterior:
( ) ( )
3
3
2
2
10 / 60 5
128,0
0,0065
o o
SF s
m kg
s m
Q C
S m
J kg
s m
ρ
   
 
 
 
 
= = ≅
 
 
 
Problema 2.
Resultados experimentales Datos calculados
Concentración de sólido
ρ (kg/m3
)
Velocidad Sedimentación
V(m/h)
Flux de sólidos
2
( / )
SF
J kg hm (kg/m3
)
0 0 0
100 0,5330 53,30
200 0,3280 65,60
300 0,1990 59,70
400 0,1190 47,60
500 0,0770 38,50
600 0,0520 31,20
700 0,0370 25,90
800 0,0266 21,28
900 0,0202 18,18
1 000 0,0151 15,10
1 100 0,0119 13,09
1 200 0,0108 12,96
7-55
0
10
20
30
40
50
60
70
0 100 200 300 400 500 600 700 800 900 1000 1100 1200 1300 1400
Concentracion, C(kg/m3)
Flux,
JSF
(kg/h
m2)
Co cD
De la figura se observa que una tangente trazada desde la concentración inicial
Co determina las condiciones limites, es decir una concentración máxima D
C y un
valor de flux 2
56
SF
kg
J
s m
 
=  
 
A continuación calculamos el área transversal del sedimentador partir de la siguiente
relación:
[ ] 3 3
1 3600
, 0,1 360
1
o o s o
o
SF s SF
Q Q Co m s m
S Q
J J s h s
ε ρ
ρ
−  
= = ⇒ = =
 
 
Reemplazando datos:
3
3
2
2
360 100
643
56
o
SF
m kg
s m
Q Co
S m
J kg
s m
   
 
 
 
 
= = =
 
 
 
Calculo de diámetro del clarificador:
4 4 643
29,0 , Re
A x
D m sp
π π
= = ≈
7-56
Problema 3.
En la siguiente grafica se representa la velocidad de sedimentación con los ensayos
experimentales:
0
50
100
150
200
250
300
350
400
0 100 200 300 400 500 600 700 800 900 1000
Tiempo: t (minutos)
Altura
de
liquido
claro:
h
(mm)
Ajuste de las curvas por una ecuación:
Primero 6 puntos: 0,0097 2 3,0877 364,65 0,0194 3,00877
dy
y x x x
dx
= − + ⇒ = −
Tres últimos puntos:
6 2 6
1,0 10 0,0474 130,24 2,0 10 0,0474
dy
y x x x x x
dx
− −
= − + ⇒ = −
Calculo de concentración:
Datos:
3
236 /
360
Co kg m
ho mm
=
=
Ecuación:
3
360
236
' '
84960
'
ho kg mm
C Co
h m h
C
h
  
= =   
  
=
El valor de '
h se evalúa en la ordenada en el origen que pasa tangente a la curva en
cada punto de interés.
7-57
Calculo de flux:
1 1
60 1000
SF s
SF s
dh
J C
dt
dh
J C
dt
ρ
ρ
 
= −
 
 
   
= −
   
   
A continuación, los resultados obtenidos para los diferentes puntos, se resume en la
siguiente tabla:
t
(min)
( )
/
dh dt
−
(mm/min)
'
h
(mm)
( . )
C ec
3
( / )
kg m
SF s
Flux J ρ
=
( )
2
/
kg s m
0 0
15 2,79 360 236,0 0,0109
30 2,50 360 236,0 0,0098
60 1,92 320 265,0 0,00848
100
120
150 0,178 160 531,0 0,00157
160 0,163 156 544,6 0,00147
200 0,047 142 598,3 0,000468
300 0,047 134 643,0 0,000469
900 0,0456 132 643,6 0,00048
A partir de estos resultados se traza la curva de Flux versus concentración:
7-58
0
0.002
0.004
0.006
0.008
0.01
0.012
0.014
0.016
0.018
0.02
0.022
0 200 400 600 800
Concentracion, C (kg/m3
)
Flux:
J
SF
(
kg/s
m
2
)
a). Calcular la máxima concentración a la salida:
la metodología de cálculo es como sigue:
1. Calcular la concentración inicial Co, para el caso del problema se tiene como dato:
C = 236 kg/m3
2. Sobre la curva obtenida se fija el punto de abscisa Co
3. Por dicho punto fijado se traza la tangente a ella misma para obtener las condiciones
limites (concentración máxima).
CD =
Luego de la figura se tiene: Cd =
a
b). La superficie mínima del espesador:
El área del espesador será calculado a partir de la siguiente ecuación:
[ ] 3 3
1 3600
, 0,1 360
1
o o s o
o
SF s SF
Q Q Co m s m
S Q
J J s h s
ε ρ
ρ
−  
= = ⇒ = =
 
 
Reemplazando datos:
7-59
3
3
2
2
360 100
643
56
o
SF
m kg
s m
Q Co
S m
J kg
s m
   
 
 
 
 
= = =
 
 
 
Calculo de diámetro del clarificador:
4 4 643
29,0 , Re
A x
D m sp
π π
= = ≈
Calculo de volumen del líquido:
( ) ( )
( )
1 1 1
1
R
t
o
L
o
V Q dt
ε ε
ε
− − −
 
 
=
−
∫
( ) ( )
( )
( ) ( )
( )
( ) ( )
( )
1 1 1
1
1 1 1 1 1
1 1
R
R R
t s o
L
o
s
t t
s s s
o o
L o o
s s
V Q dt
V Q dt Q dt
ρ ε ε
ρ ε
ρ ε ε ρ ρ ε ε
ρ ε ρ ε
− − −
 
 
=
−
− − − − − −
   
   
= =
− −
∫
∫ ∫
[ ]( ) [ ] ( )
1 1
R R
t t
s s s
o o
L
o o
s
C C
V Q dt Q dt
C C
ρ ε ρ ρ ε
ρ
− − − −
= =
∫ ∫
[ ] [ ] , tan
R R
t t
s s
L o
o o
s s
C Co C
QCo
V Q dt dt y Co cons te
C C
ρ ρ
ρ
ρ ρ
− −
= = =
∫ ∫
Datos: 3 3
2100 / , 236 /
s kg m Co kg m
ρ = =
[ ] [ ]
8160 8160
2100 2100
200 200
200
2100 2100
R R
t t
L
o o
C C
V Q dt x dt
C C
= =
− −
   
= =
   
   
∫ ∫
[ ] [ ]
8160 8160
2100 2100
200 200
200
2100 2100
R R
t t
L
o o
C C
V Q dt x dt
C C
= =
− −
   
= =
   
   
∫ ∫
7-60
[ ]
8160 2100
10,05 , ( )
R
t
L o
C
V dt y f t
C
= −
= =
∫
Problema 4
a) Grafica de velocidad de sedimentación
0
0.5
1
1.5
2
2.5
3
3.5
4
4.5
0 2000 4000 6000 8000 10000 12000 14000
Concentracion, C, (mg/l)
Velocidad
de
sedimentacion,
V(m/h)
b). Grafica d concentración de sólidos versus el flux de sólidos
0
1
2
3
4
5
6
7
8
9
10
0 2000 4000 6000 8000 10000 12000 14000
Concentracion, C (mg/l)
Flux
de
solidos,
J
SF
(kg/h-m
2
)
c). Determine el flux de solido de diseño, GL(diseño) en kg / h m2
, utilizando un factor
de escalamiento de 1,5.
7-61
De la siguiente figura se determina el flux de solido trazando una tangente a la curva
desde CD = 12 000 mg/l, el valor obtenido es:
( )
2
8,60 /
SF
J kg h m
= −
0
1
2
3
4
5
6
7
8
9
10
0 2000 4000 6000 8000 10000 12000 14000
Concentracion, C (mg/l)
Flux
de
solidos,
J
SF
(kg/h-m
2
)
Utilizando un factor de escalamiento de 1,5 resulta:
( ) 2
8,6
5,73
1,5
SF diseno
kg
J
h m
 
= =  
−
 
d). La velocidad a la cual los sólidos se sedimentan se calcula como:
160
s
l
m QxCo
s
= = 2500
mg 1 g
l 1000 mg
1
1000
kg
g
 
 
 
 
3600 s
 
 
 
 
1440
1
kg
h h
 
=
 
 
Área requerida:
( )
2
2
1440
251,3
5,73
s
SF diseno
kg
m h
A m
kg
J
h m
 
 
 
= = =
 
 
−
 
El diámetro requerido esta dado por:
7-62
( )
2
4 4
251.3
17.9
D A m
D m
π π
= =
=
Luego el diámetro del diseño es D = 18 metros.
Problema 5
Solución:
1. Se traza la tangente a la sección de sedimentación interferida y a la sección de
compresión, en la curva de sedimentación de la figura mostrada, prolongándose
hasta que se corten.
2. Por el punto de corte trazar un bisectriz del ángulo formado entre las dos
tangentes, para determinar el punto medio de la región entre la zona de
sedimentación y la zona de compresión, punto C2 sobre la curva de
sedimentación.
3. Se calcula profundidad (Hu) para la concentración de sólidos deseados (Cu).
( )
4000 /
0,40
24000 /
0,067
Co mg l
Hu Ho m
Cu mg l
Hu m
 
 
= =  
 
   
=
4. Por la ordenada 0,067
Hu m
= , se traza un recta horizontal.
5. Se traza una tangente a la curva de sedimentación por C2, punto medio de la
región entre sedimentación interferido y sedimentación por compresión. La
intersección entre la horizontal por Hu y la tangente trazada por C2 determina,
tu
34min
tu utos
=
6. Calculo de área requerida para el espesamiento.
( )
3
2
400 / 34min 1 1
0,40 24 60min
23,6
m d
Q tu dia h
A
Ho m h
A m
  
= =   
  
=
7-63
7. Calcular la velocidad de sedimentación a partir de la porción recta de la curva de
sedimentación, suponiendo que las partículas presentes en la interfase son las
partículas que hay que remover.
( )
( )
( )
0,40 0,25
1
10,0 0,0 min
60min
0,90 /
m
y
Vs
h
x
Vs m h
−
∆
= =
∆  
−  
 
=
8. Determinar la tasa de rebose o de clarificación, la cual es proporcional al
volumen de liquido sobre la zona critica de lodos.
( ) ( )
400 0,40 0,067
0,40
Q Ho Hu
Qo
Ho
− −
= =
( )
3
333 /
Qo m d
=
9. Calcular el área requerida para la clarificación:
2
333
15,4
0,9 24
Qo
A m
Vs x
= = =
10. Comparación de áreas, y luego se determina el mayor área, por tanto, el área de
control de diseño es:
2 2
23,6 15,4
m m
>
Luego el área de espesante es mayor que el área de clarificación y controla el
diseño.
11. Se calcula la carga de sólidos:
7-64
( ) ( )
3
2 2
: 4000 400 10 1600 /
1600 / /
arg 67,8
23,6
Flujo desolidos CoQ x x kg d
kg d kg d
c a de solidos
m m
−
= =
= =
12. Se calcula la carga hidraulica;
( )
( )
( )
( )
3 3
2 2
400 / /
arg 16,9
23,6
m d m d
Q
C ahidraulica
A m m
= = =
7-65
Problemas de Filtración
Problema 1 Filtración a presión constante y constantes de filtración.
Se cuenta con los siguientes datos de filtración para una suspensión de CaCO3 en agua a
298,2 K (25 ºC), a presión constante (- ∆P) de 46,2 kN/m2
(6,70 lb/pulg2
abs). El área
de la prensa y marco es 0,0439 m2
(0,473 pie2
) y la concentración de la suspensión es
23,47 kgsólido/m3
de filtrado. Calcule las constantes α y Rm. Los datos son t = tiempo en
s y V = volumen de filtrado recolectado en m3
.
Vx103
t Vx103
t Vx103
t
0,5 17,3 1,5 72,0 2,5 152,0
1,0 41,3 2,0 108,3 3,0 201,7
Problema 2 Constantes de filtración a presión.
Se dispone de los siguientes datos para filtración a presión constante de 194,4 kN/m2
de
la misma suspensión del problema 1, donde t se da en s y V en m3
:
-------------------------------------------------------------------------------------------
V x 103
t V x 103
t Vx 103
t
-------------------------------------------------------------------------------------------
0,5 6,3 2,5 51,7 4,5 134,0
1,0 14,0 3,0 69,0 5,0 160,0
1,5 24,2 3,5 88,8
2,0 37,0 4,0 110,0
----------------------------------------------------------------------------------------------
Calcule las constantes α y Rm.
Problema 3 Compresibilidad de las tortas de filtración.
Use los datos de resistencia específica de la torta α, de los problemas 1 y 2 y determine
la constante de compresibilidad s. Grafique ln α contra ln(-∆p) y determine la
pendiente s.
Problema 4 Predicción del tiempo de filtración y del tiempo de lavado.
Se desea filtrar la suspensión del problema 1 en una prensa de placas y marcos que tiene
30 marcos y un área de 0,873 m2
por marco. Se usará la misma presión constante de
46,2 kN/m2
para la filtración. Suponga las mismas propiedades de la torta de filtrado y
la misma tela de filtración, y calcule el tiempo necesario para obtener 2,26 m3
de
filtrado. Al final del proceso se usará 0,283 m3
de agua para el lavado del filtrado.
7-66
Calcule el tiempo de lavado y el tiempo total del ciclo de filtrado, suponiendo que la
limpieza del equipo requiere 30 min.
Problema 5 Constantes de filtración a presión constante.
Usando un filtro-prensa con área de 0,0929 m2
, McMillen y Webber reportan los
siguientes resultados para filtración a presión constante de 34,5 kPa de una suspensión
acuosa de 13,9% en peso de CaCO3, a 300 K. La relación de masa de torta húmeda a
seca es de 1,59. La densidad de la torta seca es de 1017 kg/m3
. Los símbolos
corresponden a W = kg de filtrado y t = tiempo en s.
---------------------------------------------------------------------------------------
W t W t W t
---------------------------------------------------------------------------------------
0,91 24 3,63 244 6,35 690
1,81 71 4,54 372 7,26 888
2,72 146 5,44 524 8,16 1188
----------------------------------------------------------------------------------------
Calcule los valores de α y Rm.
Problema 6 Filtración a presión constante y lavado en un filtro de hojas.
Se usó un filtro prensa experimental, con área de 0,0414 m2
, para filtrar una suspensión
acuosa de BaCO3 a presión constante de 267 kPa. La ecuación de filtración que se
obtuvo fue
3
6
10
4
,
3
10
25
,
10 x
V
x
V
t
+
=
Donde t se da en S y V en m3
.
a) Usando la misma suspensión e iguales condiciones en un filtro de hojas con área de
6,97 m2
, ¿cuánto tiempo se necesitará para obtener 1,00 m3
de filtrado?
b) Después de la filtración, la torta se lava con 0,100 m3
de agua. Calcule el tiempo de
lavado.
c) Calcular el ciclo total de filtración suponiendo que el tiempo de limpieza toma 20
minutos.
Problema 7
Un filtro de placas y marcos, que opera a presión constante, requiere una hora para
separar 600 litros de filtrado de una suspensión acuosa. Calcular la capacidad de
7-67
filtración si la velocidad inicial de filtración es de 60 l/min, y además, se necesita 80
litros de agua para lavar la torta depositada y se emplea 35 minutos para la descarga,
limpieza y montaje del filtro.
Problema 8 (Experimento de laboratorio)
En una planta de tratamiento de aguas residuales, se tiene los resultados de un ensayo de
resistencia específica se incluye en la tabla Nº 1, se desea calcular la resistencia
específica del lodo. La humedad del lodo es del 96 %, la lectura de presión del
manómetro es de 675 mm Hg; el diámetro del embudo Buchner es igual a 50 mm y la
temperatura del filtrado es de 20 ºC.
Tabla Nº 1 Resultados de ensayo de resistencia específica de un lodo
Tiempo, t (s) 145 310 570 1440 2360 3360 4880 6170
volumen filtrado, (ml) 5 10 15 25 33 40 48 54
Problema 9
Estimación de área de la superficie de filtración necesaria para una filtración con filtro
prensa. Se utilizará un filtro prensa de placas y marcos para la eliminación del material
sólido de una pasta que contiene 5 libras de sólido seco por pie cúbico de líquido, libre
de sólidos. La viscosidad dinámica del líquido es de 1 centipoise; el filtro deberá
7-68
entregar como mínimo 400 pies cúbicos de filtrado libre de sólidos, en una operación
continua de 2 horas, con una diferencia de presión a través de filtro constante e igual a
25 psi. Sobre la base de datos experimentales obtenidos en un filtro prensa pequeño,
calcular el área total de la superficie filtrante necesaria.
Valores experimentales
Con un filtro prensa cuyo superficie filtrante tenía un área de 8 pies cuadrados se
obtuvieron los resultados siguientes
Volumen total
del filtrado
V (ft3
)
Tiempo transcurrido desde la iniciación de la filtración (t)
en horas, con una diferencia de presión constante, igual a.
(-∆p) = 20 psi (-∆p) = 30 psi (-∆p) = 40 psi
5 0,34 0,25 0,21
8 0,85 0,64 0,52
10 1,32 1,00 0,81
12 1,90 1,43 1,17
La pasta, a la cual se había agregado un material para facilitar la filtración, era idéntico
a la que usaría en el filtro grande. El filtrado obtenido no contendría sólidos, y la torta
retuvo una cantidad insignificante de líquido.
Problema 10
La suspensión del problema número 9 ha de filtrarse en un filtro prensa cuya área total
es de 10 m2
y que opera con una caída de presión de 2 atm. El espesor de los marcos es
de 40 mm. Supóngase en el filtro a toda escala es la misma que en el de laboratorio.
Calcúlese:
a) Volumen de filtrado que se obtendrá en un ciclo.
b) Tiempo de filtración requerida.
Problema 11
Una solución acuosa contiene un 10 % de sólidos en suspensión es filtrada en un filtro
prensa de marcos y placas. En un experimento previo se ha obtenido que la relación
torta húmedo/torta seca es de 2,2, siendo la torta incompresible de resistencia específica
7-69
α = 2,5 x 1010
m/kg. A lo largo de una operación a presión constante de 3 atm, la
variación de la cantidad de filtrado con el tiempo se recoge la siguiente tabla.
Tiempo (minuto) 8 18 31 49 70 95
Masa filtrada (kg) 1600 2700 3700 4900 6000 7125
A partir de estos datos calcular:
a) Área total del filtro y resistencia del medio filtrante.
b) Si el tiempo no operativo de cada filtrante son 26 minutos, calcular el volumen
del filtrado que se recogerá al cabo de 10 horas, si se opera con el ciclo óptimo
de filtración.
c) Se desea filtrar la misma disolución, pero trabajando a caudal volumétrico
constante. Si al cabo de 142 minutos la caída de presión que experimenta el
fluido al atravesar la torta y el medio filtrante es de 4,5 atm, calcular el volumen
de filtrado que se obtiene y el caudal con el que circula.
DATOS:
Propiedades del agua
Densidad, ρ = 1000 kg/m3
viscosidad, µ = 1,2 m Pa.s
Problema 12 Filtración a velocidad constante e incompresible.
La ecuación de filtración a presión constante de 38,7 lb/pulg2
abs (266,8 kPa) es:
01
,
0
10
10
,
6 5
+
= −
V
x
V
t
Donde t se da en s, -∆p en lb/pulg2
abs y V en litros. La resistencia específica de la
torta es independiente de la presión. ¿Cuánto tiempo se necesitará para llegar a 50
lb/pulg2
abs, cuando la filtración procede a una velocidad constante de 10 l/s.
7-70
SOLUCIÓN DE PROBLEMAS FILTRACION
Problema 1
DATOS: T = 25 ºC
C = 23,47 kgsólido / m3
filtrado
A = 0,0439 m2
(-∆p) = 46,2 kN/m2
= 46200 N/m2
Calcular: α y Rm
Por análisis de regresión lineal m = 13,052 x 106
Se tiene: y = a + bX
a = 28,333 x 103
b = 13,0171 x 106
Donde: 1/qo = a = 28,333 x 103
(s/m3
)
kp / 2 = m = 13,0171 x 106
De donde: kp = (13,0171 x 106
) x 2 = 26,0342 x 106
s/m6
Por otro lado se sabe:
)
/(
)]
(
[
)
(
2
2
C
x
p
A
kp
p
A
C
kp µ
α
α
µ
∆
−
=
⇒
∆
−
=
De tabla a T = 298,2 ºC --------- µagua = 0,8937 x 10-3
kg/m.s (Pa.s)
Por tanto α = (26,0342 x 106
)(46200)(0,0439)2
/ (0,8937 x 10-3
) (23,47)
α = 1,105 x 1011
m/kg
Por otro lado
X Y
calculados
V (m3
) t (s) t/V m = ∆y/∆R
0,5 x 10 -3
17,3 34,6 x 103
13,400 x 106
1,0 x 10 -3
41,3 41,3 x 103
13,400 x 106
1,5 x 10 -3
72,0 48,0 x 103
12,300 x 106
2,0 x 10 -3
108,3 54,15 x 103
13,300 x 106
2,5 x 10 -3
152,0 60,80 x 103
12,860 x 106
3,0 x 10 -3
201,7 67,23 x 103
7-71
)
10
8937
,
0
(
)
46200
(
)
0439
,
0
(
10
333
,
28
/
)
(
1
)
(
1
3
3
0
−
=
∆
−








=
→
∆
−
=
x
x
x
p
A
q
Rm
p
A
Rm
qo
µ
µ
Rm = 6,429 x 1010
m-1
Calculado:
Respuesta: α = 1,105 x 1011
m/kg
Rm = 6,429 x 1010
m-1
Problema 2
(-∆p) = 194,4 Kn/m2
= 194400 N/m2
; C = 23,47 kgsólido/ m3
filtrado
Concentración: Idem problem (1) A = 0,0439 m2
T = 25 ºC
µ = 0,8937 x 10-3
kg/m.s (agua)
DATOS:
Por análisis de regresión lineal se obtiene para ecuación de forma y = a + b X, se
obtiene el siguiente resultado:
)
/
(
10
8685
,
9
1 3
3
m
s
x
a
qo
=
=
)
/
(
10
7590
,
8
)
/
(
10
3795
,
4
2
6
6
6
6
m
s
x
kp
m
s
x
b
kp
=
⇒
=
=
Cálculo de las constantes α y Rm. De igual forma que el problema (1)
De la Ecuación:
)
47
,
23
(
)
10
8937
,
0
(
)
194400
(
)
0439
,
0
(
10
7590
,
8
)
(
3
2
6
2
−
=
∆
−
=
x
x
C
p
A
kp
µ
α
α = 1,5644 x 1011
m/kg
X Y
calculados
V (m3
) t (s) t/V m = ∆y/∆R
0,5 x 10 -3
6,3 12,6 x 103
1,0 x 10 -3
14,3 14,0 x 103
1,5 x 10 -3
24,2,0 16,13 x 103
2,0 x 10 -3
37,0 18,50 x 103
2,5 x 10 -3
51,7 20,68 x 103
3,0 x 10 -3
69,0 23,00 x 103
3,5 x 10-3
88,8 25,37 x 103
4,0 x 103
110,0 27,50 x 103
7-72
3
3
10
8937
,
0
)
194400
(
)
0439
,
0
(
10
8685
.
9
/
)
(
1
−
=






∆
−








=
x
x
p
A
q
Rm
o
µ
Rm = 9,4236 x 1010
m1
Respuestas: α = 1,5644 x 1011
m/kg
Rm = 9,4236 x 1010
m-1
Problema 3
Cálculo de compresibilidad de la torta:
Ecuación: α = αo (-∆P)s
Lineal izando:
ln α = ln αo + S ln(-∆p)
Donde. S = pendiente
DATOS: ( -∆p) (kN/m2
) 46,2 194,4
(α ) (m/kg) 1,105 1,5441011
Graficamos en un papel log/log o tomamos logaritmo para calcular las constantes de la
ecuación lineal de forma
y = a + b X
Donde: b = S
a = αo
(-∆) (α )
X Y
Ln (-∆) Ln (α )
46,2 1,105 x 1011
3,8329 25,4282
194,4 1,544 x 1011
5,2699 25,7628
ln (α)
ln (-∆p)
7-73
Por análisis de regresión lineal se tiene:
a = (αo ) = 24,5357
Pendiente: b = S = 0,2328
Luego la ecuación tiene la forma:
α = 24,5357 (-∆P)0,2328
Donde [-∆P] en (kN/m2
)
El valor de S está comprendido dentro del rango de S = 0,1 – 0,8
Problema 4
DATOS del problema Nº 1.
Suspensión: CaCO3
Concentración: 23,47 kgsólido/m3
Temperatura: 25 ºC
Presión = 46,2 kN/m2
Area = 0,0439 m2
α = 1,105 x 1011
m/kg
Rm = 6,429 x 1010
kp = 26,0342 x 106
(s/m6
)
1/qo = 28,333 x 103
(s/m3
)
Donde:
)
(
2
p
A
C
kp
∆
−
=
α
µ
(1)
)
(
1
p
A
Rm
qo ∆
−
=
µ
(2)
Para la nueva condición:
Prensa de placas y marcos: Area = 0,873 m2
Nº de marcos = 30
Presión = 46,2 kN/m2
suponer las mismas propiedades de torta de filtrado y tela de filtrado
V = 22,6 m3
de filtrado
Vlavado = 0,283 m3
de agua lavado
7-74
Calcular el tiempo de lavado = ?
Tiempo total de Ciclo de filtrado = ?
Supóngase que la limpieza del equipo requiere = 30 metros
Solución:
a) Ecuación de tiempo de filtrado:
V
q
V
kp
t
o








+
=
1
)
2
1
( 2
(3)
Para resolver la Ec. (3) es necesario calcular el nuevo valor de kp y 1/qo para la 2da
condición.
De las Ecs. (1) y (2) establecemos las siguientes relaciones, teniendo en consideración
que; α y Rm tendrán los mismos valores en ambos casos, pero varía el área
1ra condición.
2
1
1
1
1
2
1
)
(
)
tan
(
)
tan
(
)
(
1
A
kp
te
cons
te
cons
A
kps =
→
= (4)
1
1
2
2
1
1
1
)
tan
(
)
tan
(
1
1
A
q
te
cons
te
cons
A
q o
o








=
→
=








(5)
2da condición:
(constante)1 = kp2 (A2)2
(6)
(constante)2 = (1/qo)2 A2 (7)
Para calcular kp2 igualamos Ecs (4) y (6)
)
1
(
tan
)
(
)
( 2
2
2
2
1
1 te
cons
A
kp
A
kp =
=
De donde:
2
2
1
1
2 







=
A
A
kp
kp (8)
Para calcular (1/qo)2 igualamos Ecs (5) y (7)
2
2
1
1
1
1
A
q
A
q o
o








=








De donde. 















=








2
1
1
2
1
1
A
A
q
q o
o
7-75
Reemplazando datos: en Ec. (8)
Cálculo de kp2: A1 = 0,0439 m2
A2 = (No marcas) x Área = 30 x 0,873 = 26, 19 m2
kp1 = 26,0342 x 106
kp2 = (kp1) x
2
6
2
2
1
19
,
26
0439
,
0
10
0342
,
26 





=








x
A
A
kp2 = kp = 73,1479 s/m6
Cálculo de (1/qo)2
Datos: (1/qo)1 = 28,333 x 103
A1 = 0,0439 m2
A2 = 26,19 m2






=
















=








19
,
26
0439
,
0
10
333
,
28
1
1 3
2
1
1
2
x
A
A
q
q o
o
3
2
/
4921
,
47
1
1
m
s
q
q o
o
=








=








Ahora calculamos tiempo de filtración sustituyendo en la Ec. (3)
V
q
V
kp
t
o








+






=
1
2
1 2
t = ½ (73,1479)(s/m6
)(22,6 m3
)2
+ 47,4921 (s/m3
) (22,6 m3
)
t = 18680,5107 s + 1073,3214 s = 19753,83 s
t = 329,23 minutos
b) Cálculo de tiempo de lavado para filtro prensa de placas y marcos
filtrado
de
total
volumen
v
q
v
kp
dt
dV
f
o
f
f
=
+
=






1
1
4
1
Reemplazando datos:






+






=






3
3
6
4921
,
47
6
,
22
1479
,
73
1
4
1
m
s
m
m
s
dt
dV
f
7-76
∫
∫
−
−
=
→
=





 lavado
lodo t
V
Vo
f
dt
x
dV
s
m
x
dt
dV
0
4
3
4
10
4700
,
1
/
10
47
,
1
Vlavado = 1,4700 x 10-4
x tlavado
s
m
x
m
V
t lavado
lavado
/
10
47
,
1
)
(
3
4
3
−
=
Vlavado = 0,383 m3
tlavado = 0,383 m3
/ 1,47 x 10-4
m3
/s = 2605,37 s
c) Ciclo total de filtración
ttotal = tfiltrado + tlavado + tlimpieza equipo
min
30
60
37
,
2605
60
83
,
19753






+
+
=
ttotal = 329,23 + 43,42 + 30 = 402,65 minutos
ttotal = 6,7 horas
Problema 5
Aquí la única incógnita es calcular la concentración de la suspensión CS a partir de la
información de M = masa torta húmeda/ masa torta seca y la fracción de masa de
sólidos en la suspensión Ws.
A continuación establezcamos las siguientes definiciones.
TS
TH
m
m
M = (1)
Donde los subíndices TS y TH indican torta seca y torta húmeda respectivamente. Por
tanto, de Ec (1) despejamos
mTH = M x mTS (2)
Por otro lado la fracción de masa de sólidos en la suspensión viene definido como:
agua
TH
TS
total
TS
m
m
m
m
m
Ws
+
=
= (3)
Reemplazando Ec. (2) en Ec. (3)
7-77
agua
TS
TS
m
m
x
M
m
Ws
+
= (4)
La masa de agua (magua), también podemos expresar como:
magua = ρagua x Vagua (5)
Reemplazando ecuacs. (5) en Ec. (4) y luego despejando el Vagua se tiene
agua
agua
TS
TS
V
m
x
M
m
Ws
ρ
+
=
De donde:
agua
TS
agua
x
Ws
M
x
Ws
m
V
ρ
]
1
[ −
= (6)
A continuación definamos la concentración de la suspensión como
filtrado
TS
V
m
Cs =
Donde Vfiltrado = Vagua
agua
TS
V
m
Cs = (7)
Reemplazando Ec. (6) en Ec. (7)
agua
TS
TS
Ws
M
Ws
m
m
Cs
ρ
)
1
( −
=
M
Ws
Ws
Cs
agua
−
=
1
ρ
(8)
Reemplazando los siguientes datos: Ws = 13,9 %
M = 1,59 mTH /mTS
ρagua = 996,96 kg/m3
(T = 25 ºC)
µ = 0,8937 x 10-3
kg/m.s
filtrado
m
kg
x
x
m
kg
Cs 3
3
/
89
,
177
139
,
0
59
,
1
1
)
139
,
0
(
)
/
(
96
,
996
=
−
=
Finalmente los resultados de la tabla, en donde hay necesidad de transformar los W kg
de filtrado a volumen de filtrado expresados en m3
a partir de la siguiente relación.
7-78
W = ρ x V ----------- V = W/ρ
W (kg) Vx 103
(m3
) t (s) t/V
0,91 0,91 24 26,37 x 103
1,81 1,81 71 39,22 x 103
2,72 2,72 146 53,67 x103
3,63 3,64 244 67,03 x 103
4,54 4,55 372 81,75 x 103
5,44 5,45 524 96,14 x 103
6,35 6,36 690 108,49 x 103
7,26 7,28 888 121,97 x 103
8,16 8,18 1188 145,23 x 103
O por regresión lineal
1/qo = a = 10,40,4022 x 103
(s/m3
)
kp/2 = b = m = 15,80 x 106
(s/m6
)
DATOS: A = 0,0929 m2
(-∆p) = 34,5 kPa
kp = 31,60 x 106
s/m6
Reemplazando en las Ecs. de α y Rm Calculamos
)
89
,
177
(
10
8937
,
0
)
34500
(
)
0929
.
0
(
10
60
,
31
)
(
3
2
6
2
−
=
∆
−
=
x
x
C
x
p
A
kp
µ
α
Rm =0,2097 x 1010
m-1
(t/V) x 10-3
V x 10-3
7-79
Problema 6
Datos:
A= 0,0414 m2
,
P = 267 kPa.
Ecuación de filtración a presión constante:
3
6
10
4
,
3
10
25
,
10 x
V
x
V
t
+
=
Donde t se da en s y V en m3
.
Para resolver el problema, la ecuación anterior podemos expresar en una forma mas
simple como:
t
KpV B
V
= +
Donde:
)
(
2
p
A
C
kp
∆
−
=
α
µ
,
( )
Rm
B
A p
µ
=
−∆
Para las dos condiciones de áreas diferentes se tiene que:
, , tan
C y p Cons tes
µ α ∆ =
Por tanto:
( )
( )
1
2 1
tan
tan
( )
Cons te C
kp Cons te
A p
µ α
= ⇒ =
−∆
( )
( )
2
2
tan
tan
( )
Cons te Rm
B Cons te
A A p
µ
= ⇒ =
−∆
Luego tendríamos las siguientes ecuaciones:
Área inicial:
( )
( )
( )
( )
1
1 2
1
1
1
1
tan
tan
Cons te
kp
A
Cons te
B
A
=
=
7-80
Nueva área:
( )
( )
( )
( )
1
2 2
2
1
2
2
tan
tan
Cons te
kp
A
Cons te
B
A
=
=
Dividiendo ambos miembros de las expresiones anteriores se llega a los siguientes
resultados:
2 2
6
1
2 1 2
2
3
1
2 1 2
2
0,0414
10,25 10 361,62
6,97
0,0414
3,4 10 20,19
6,97
A
kp kp kp x
A
A
B B B x
A
   
= ⇒ = =
   
 
 
   
= ⇒ = =
   
 
 
Luego la ecuación final resulta:
2
361,62 20,19 361,62 20,19
t
V t V V
V
= + ⇒ = +
Luego el tiempo de filtrado para V = 1,0 m3
381,81 Re .
t segundos sp
=
b) Calcular el tiempo de lavado:
1 1
4
f
f f
dV
V volumen total de filtrado
dt kp V B
   
= =
   
+
   
3
361,62 , 20,19 , 1,0
f
kp B V m
= = =
3
3
1 1,0
4 361,62 1,0 20,19
0,65477 10
f
f
dV
dt x
dV m
x
dt s
−
 
   
=
    
+
    
 
 
=  
 
   
7-81
Entonces, el tiempo de lavado es, para 0,10 m3
de agua de lavado (representa 10 % de
volumen de filtrado):
3
3
3
0,1
152,72 Re .
0,65477 10
m
t s sp
m
x
s
−
= =
Ahora podemos calcular el ciclo total de filtración, suponiendo que el tiempo de
limpieza tome 20 min.
381,81 152,72
20 28,9min
60 60
29 min Re .
Ciclototal de filtracion
Ciclototal de filtracion utos sp
= + + =
≅
=
Problema 7
Datos:
t = 1 h
V = 600 litros
t = 0, Vo = 60 l/m
Agua de lavado de torta V = 8 litros
Tiempo de descarga, limpieza y montaje = 35 minutos
Solución:
La ecuación de filtración a presión constante viene dado por la siguiente expresión:
)
(
)
(
2
f
f P
A
Rm
V
P
A
C
dV
dt
∆
−
+
∆
−
=
µ
α
µ
De donde el segundo término de la ecuación del lado derecho multiplicamos y
dividimos por A.
)
(
)
( 2
2
f
f P
A
Rm
V
P
A
C
dV
dt
∆
−
+
∆
−
=
µ
α
µ
Ecuación que se transforma en:
]
[
)
(
1
2
Rm
A
V
C
P
A
dV
dt
f
µ
α
µ +
∆
−
=
Para la solución del problema invertimos la ecuación
7-82
]
[
)
(
2
Rm
A
V
C
P
A
dV
dt f
µ
α
µ +
∆
−
=
Por tanto, de acuerdo al problema
Para t = 0, Volumen de filtrado, V = 0
s
l
dt
dV
t
/
60
0
=






=
Luego la ecuación anterior se simplifica como sigue:
Rm
A
P
A
dt
dV f
t µ
)
(
2
0
∆
−
=






=
Rm
P
A
dt
dV f
t µ
)
(
0
∆
−
=






=
o reordenamos como
o
f
t
q
P
A
Rm
dt
dV
1
1
)
(
1
0
=
∆
−
=






=
µ
o
t
q
dt
dV
1
1
0
=






=
s
x
l
m
x
l
q
q
l
o
o 60
min
1
1000
1
min
60
1
1
1
1
min
/
60 3
=
⇒
=
3
/
1000
1
m
s
qo
=
Ahora utilizamos la ecuación de tiempo de filtrado.
V
q
V
k
t o
C )
/
1
(
)
2
/
1
( 2
+
=
Como datos se tiene:
t = 1 hora = 60 min = 3600 s
V = 600 litros de filtrado = 0,60 m3
Entonces:
7-83
3600 = (1/2) (kC) (0,60)2
+ (1000) (0,60)
60
,
0
50
,
0
60
,
0
1000
3600
x
x
kC
−
=
kC = 16666,66 s/m6
Cálculo de caudal de lavado
Para filtro prensa de placas y marcos se tiene:
o
f
C
f
q
V
k
dt
dV
1
1
4
1
+
=






Donde: Vf = volumen total de filtrado
Datos: Vf = 600 litros = 0,60 m3
Reemplazando datos:






+
=






1000
60
,
0
66
,
16666
1
4
1
x
dt
dV
f
s
m
x
dt
dV
f
/
10
2727
,
2 3
5
−
=






Cálculo de tiempo de lavado
segundos
s
m
x
m
x
tlavado 3520
/
10
2727
,
2
10
8
3
5
3
3
=
= −
−
Capacidad de filtrado
*
)
(
t
t
t
V
C
F
L +
+
=
V = 600 lt = 0,60 m3
t = 3600 s (1 hora)
t1 = 3520 s
t*
= 35 x 60 = 2100 s (tiempo de descarga)
Luego,
7-84
s
m
x
m
C
F
3
5
3
10
51
,
6
2100
3520
3600
60
,
0
)
( −
=
+
+
=
min
/
91
,
3
)
( l
C
F =
Problema 8
Solución:
Tiempo
t(s)
Volumen filtrado
(V) ml
t/V
(s/ml)
145 5,0 29,0
310 10,0 31,0
570 15,0 38,0
1440 25,0 57,6
2360 33,0 71,5
3360 40,0 84,0
4880 48,0 101,7
6170 54,0 114,3
Graficamos (t/V) versus V (ml)
Para una humedad de 96 %, la concentración de sólidos es del 4 % y, por tanto:
C = 40 kg/m3
La presión del filtrado es:
kPa
x
Hg
mm
P 90
675
760
3
,
101
675 =
=
=
El área de filtrado es.
7-85
2
3
2
10
96
,
1
)
50
,
0
(
4
m
x
A −
=
=
π
La viscosidad de lodo a 20 ºC se su pone a la del agua.
µ = 1 x 10-3
kg/m.s
De la figura t/V versus V calculamos la pendiente m = 1,8 x 1012
s/m6
, cuyo valor es
igual a
m = ½ kC
1,8 x 1012
= (1/2) kC --------- kC = 3,6 x 106
m6
/s
Por otro lado se sabe.
C
P
A
k
P
A
C
k
f
C
f
C
µ
α
α
µ
)
(
)
(
2
2
∆
−
=
∆
−
=
Reemplazando datos:
)
/
40
(
.
/
10
1
/
)
.
(
)
90000
(
)
10
96
,
1
(
)
/
(
10
6
,
3
3
3
2
2
4
2
3
6
12
m
kg
s
m
kg
x
m
s
m
kg
m
x
s
m
x
−
−
=
α
α = 3,11 x 1013
m/kg
Problema 9
Datos de filtración
Volumen total
del filtrado
V (m3
)
Tiempo transcurrido desde la iniciación de la filtración (t)
en (segundos)
(-∆p) = 20 psia (-∆p) = 30 psia (-∆p) = 40 psia
0,1415 1224 900 756
0,2265 3060 2304 1872
0,2831 4752 3600 2916
0,3398 6840 5148 4212
Ecuación de filtración a presión constante
)
(
)
(
2
1
2
f
f P
A
Rm
V
P
A
C
V
t
∆
−
+








∆
−






=
µ
α
µ
(I)
Sea:
)
(
2
f
C
P
A
C
k
∆
−
=
α
µ
7-86
)
(
1
f
o P
A
Rm
q ∆
−
=
µ
Reemplazando los valores de kC y (1/qo) en Ec. (I)
o
C
q
V
k
V
t 1
2
1
+






= (II)
Esta es una ecuación de forma:
y = a + mX
Donde: m = pendiente = ½ kC
(1/qo) = constante que se determina por la intersección con la coordenada
y correspondiente al origen.
Para la selección de la ecuación (II), a continuación reordenamos los datos en la
siguiente forma.
Volumen
filtrado total
V (m3
)
(-∆P) = 20 psi (-∆P) = 30 psi (-∆P) = 40 psi
t
(s)
t/V
s/m3
t
(s)
t/V
s/m3
t
(s)
t/V
s/m3
0,1415 1224 8650,17 900 6360,42 756 5342,75
0,2265 3060 13509,93 2304 10172,18 1872 8264,90
0,2831 4752 16785,58 3600 12716,35 2916 10300,24
0,3398 6840 20129,48 5148 15150,08 4212 12395,52
Cálculo de las constantes de la ecuación lineal del resultado de ajuste de rectas se
obtiene los siguientes datos que se resumen en la siguiente tabla.
Presión
(-∆P)
(psi)
Constante
intersección eje y
Pendiente
a m
20 444,28 57836
30 106,60 44395
40 276,01 35530
Cálculo de α1
y Rm
Se sabe que:
)
(
2
f
C
P
A
C
k
∆
−
=
α
µ
De donde se despeja
7-87
C
P
A
k f
C
µ
α
)
(
2
∆
−
= (III)
donde: m = (1/2) kC
kC = 2 m, pendiente de la recta
Datos: A = 8 ft2
= 0,7432 m2
3
3
3
3
)
3048
,
(
1
4539
,
0
5
5
m
o
ft
x
lbm
kg
x
ft
lbm
ft
lbm
C =
=
C = 80,14 kg/m3
µ = 2,42 )
3600
1
(
)
3048
,
0
1
(
)
1
4539
,
0
(
s
h
m
ft
x
lbm
kg
x
ft
x
h
lbm
µ = 1,00 x 10-3
kg/m.s
Reemplazando en la Ec. (III)
)
14
,
80
)(
10
1
(
)
(
)
7432
,
0
(
3
2
−
∆
−
=
x
P
k f
C
α
kg
m
P
k f
C /
,
)
(
)
8922
,
6
( ∆
−
=
α
Cálculo de α para diferentes presiones se resume en la siguiente tabla.
Pendiente
kC = 2 m (-∆P) N/m2
Resistencia específica de la torta
α = kC (6,8922)∆P (m/kg)
m
57836 115672 137857 1,099 x 1011
44395 88790 206785 1,265 x 1011
35530 71060 275714 1,350 x 1011
Resumen de datos calculados de resistencia específica de la torta (α) en el de la caída de
presión (-∆P)
-∆P α
137857 1,09 x 1011
206785 1,265 x 1011
275714 1,350 x 1011
Cálculo de α en función (-∆P)
Se sabe que:
α = αo (-∆P)n
--------- y = a Xb
Por análisis de regresión se tienen
Luego:
α = 0,030 x 1011
(-∆P)0,3001
7-88
Cálculo de resistencia del medio filtrante, Rm, (m-1
)
Se sabe que:
µ
µ )
(
1
)
(
1 P
A
q
Rm
P
A
Rm
q o
o
∆
−








=
⇒
∆
−
=
psi ∆P (N/m2
) A (m2
) 1/qo Rm = (1/qo) A (-∆P)/µ
10 137857 0,7432 444,28 4,55 x 1010
20 206785 0,7432 106,60 1,63 x 1010
30 275714 0,7432 276,01 5,65 x 1010
Una vez calculado las constantes α y Rm, a continuación resolvemos la pregunta
planteada para las siguientes condiciones:
Volumen de filtración, V = 400 ft3
= 11,32 m3
tiempo de filtración, t = 2 horas = 7200 s
Presión de operación, (-∆P) = 25 psi 0 172321 N/m2
Concentración, C = 80,69 kg/m3
Para la nueva presión de 25 psi calculamos las constantes.
α = 0,030 x 1011
(-∆P)0,3001
α = 0,030 x 1011
(172321,42)0,3001
α = 1,118 x 1011
(m/kg)
Cálculo de Rm:
De la gráfica se tiene para (-∆P) = 172321,42 N/m9
Rm = 2,2 x 1010
m-1
Cálculo de área de filtrado:
Se conoce la ecuación de filtración
V
q
V
k
t o
C )
/
1
(
)
2
/
1
( 2
+
=
Reemplazando los valores de kC y 1/qo
V
P
A
Rm
V
P
A
C
t
f
f








∆
−
+








∆
−
=
)
(
)
(
)
2
/
1
( 2
2
µ
α
µ
Reordenando.
7-89














∆
−
+














∆
−
=
A
P
V
Rm
P
V
C
t
f
f
1
)
(
2
1
)
(
5
,
0 2
µ
α
µ
Reemplazando datos:














+












=
−
−
A
x
x
x
x
x
x
x
x
x
x 1
42
,
172321
32
,
11
10
2
,
2
10
1
2
1
42
,
172321
)
32
,
11
(
69
,
80
10
118
,
1
10
1
5
,
0
7200
10
3
2
11
3
A
A
206
,
1445
714
,
3354170
7200 2
+
=
Sea la función objetiva
7200
206
,
1445
714
,
3554170
2
−
+
=
A
A
Fo
Supuesto Calculado Supuesto calculado
(A) (Fo) (A) (Fo)
20 1557 22,2 76
22 209 22,4 - 52,07
23 - 418,5 22,3 - 11,88
22,31 5,45
22,32 - 0,97
22,319 - 0,33224
Respuesta A = 22,32 m2
------ A = 240,3 ft2
Problema 10
Datos:
A = 10 m2
(-∆P) = 2 atm = 202650
µ = 6,6 x 10-4
m
ft
x
lb
kg
x
s
x
ft
lb
3048
,
0
1
4539
,
0
µ = 0,9828 x 10-3
kg/m.s
Densidad de la torta sea ρC = 73,0 3
3
3
)
3048
.
0
(
4539
,
0 ft
x
lb
kg
x
ft
lb
C = 10,9 lb/ft3
= 3
3
3
)
3048
,
0
(
1
1
4539
,
0
9
,
10
m
ft
x
lb
kg
x
ft
lb
C = 117,34 kg/m3
Cálculo de masa total de sólido en la torta
7-90
mC = VC x ρC
donde: VC = volumen de la torta
ρC = densidad de la torta sea:
pero VC = A x Lc
Entonces:
mc = A Lc ρC
= 10 m2
(0,040 m) (11,70,14 (kg/m3
)
mC = 468,056 kg
Cálculo de volumen de filtrado, V
3
/
32
,
117
056
,
468
m
kg
kg
C
m
V C
=
=
V = 3,989 m3
= 3989,56 litros
Cálculo de la resistencia específica de la torta
α = αo (-∆P)n
Donde: αo = 0,030 x 1011
η = 0.3001
-∆P = 202650
α = 0,030 x 1011
(802,650)0,3001
α = 1,1740 x 1011
m/kg
Rm = 1,63 x 1010
m-1








+
=
o
C
q
V
K
V
t 1
)
2
1
(
V
q
V
k
t
o
C 







+






=
1
2
1 2
)
(
2
f
C
P
A
C
k
∆
−
=
α
µ
7-91
)
(
1
f
O P
A
Rm
q ∆
−
=
µ
Reemplazando datos:
2
2
2
3
11
3
.
/
)
202650
(
)
10
(
)
/
(
32
,
117
/
10
1740
,
1
..
/
10
9828
,
0
m
s
m
kg
x
m
m
kg
x
kg
m
x
x
s
m
kg
x
kC
−
=
kC = 667,97
)
202650
(
)
10
(
10
63
,
1
(
)
10
9828
,
0
(
1 10
3
x
x
qo
−
=
90
,
7
1
=
o
q
Tiempo de filtración
V
q
V
k
t
o
C 







+






=
1
2
1 2
V = 3,9889 m3
( ) )
989
,
3
(
)
90
,
7
(
)
989
,
3
(
97
,
667
5
,
0 2
+
= x
x
t
t = 5345,92 s
t = 89,0 minutos
Problema 11
Datos: Porcentaje de sólido = 10 %
Torta húmeda/torta seca = 2,2
Resistencia específica = α = 2,5 x 1010
m/kg
Presión constante = (-∆P) = 3 atm = 3 x 101325 N/m2
=
303975 N/m2
CS = ?
Propiedades del agua
Densidad = 1000 kg/m3
viscosidad = 1,2 m Pa.s
Solución
7-92
a) Utilizando la densidad del agua, los datos del problema enunciado puede
construirse la siguiente tabla.
t (s) V (m3
) (t/V) ∆(V) ∆(t/V) Cálculo pendiente
m = ∆(t/V)/∆(V)
480 1,60 300 1,10 100 90,90
1080 2,70 400 1,02 100 98,03
1860 3,72 500 1,18 100 84,74
2940 4,90 600 1,10 100 90,90
4200 6,00 700 1,125 100 88,88
5700 7,125 800 m= 90,69
Otra manera de calcular pendiente sería, graficando
Luego la pendiente es:
m = ½ kC , (s/m6
)
9069 0 ½ kC ===== kC = 181,38 m6
/s
Por otro lado se sabe que:
)
(
2
f
C
P
A
C
k
∆
−
=
α
µ
A =
C
f k
P
C
)
( ∆
−
α
µ
Datos: µ = 1,2 x 10-3
kg/m.s
α = 2,5 x 1010
m/kg (resistencia específica de torta)
(-∆P) = 3 atm = 303975 N/m2
(kg-m/s2
m2
)
7-93
C = ?
Cálculo de C
Se sabe que:
2
,
2
10
,
0
1
1000
10
,
0
1 x
x
W
X
X
C
C
C
−
=
−
=
ρ
C = 128,20 kg/m3
Reemplazando los datos:
3
2
2
3
10
3
/
38
,
181
303795
(
/
20
,
128
/
10
5
,
2
)
.
/
(
10
2
,
1
m
s
x
m
s
m
kg
m
kg
x
kg
m
x
x
s
m
kg
x
A
−
−
=
−
A = (69,7974 m4
)1/2
A = 8,35 m2
Cálculo de resistencia del medio filtrante
Rm = ?
Se sabe que:
)
(
1
f
o P
A
Rm
q ∆
−
=
µ
De la Fig. 3
/
56
,
148
1
m
s
qo
=
Reemplazando en la ecuación
)
(
56
,
148
f
P
A
Rm
∆
−
=
µ
µ
)
(
56
,
148 f
P
A
x
Rm
∆
−
=
s
m
kg
x
m
s
m
kg
m
m
s
Rm
.
/
10
2
,
1
/
)
303795
(
)
35
,
8
(
)
/
(
56
,
148
3
2
2
2
3
−
−
=
Rm = 3,1404 x 1011
m-1
b) Volumen del filtrado para ciclo óptimo de filtración de la definición de la
capacidad de filtración se tiene:
7-94
C
t
V
C
F =
)
(
Donde, el tiempo de filtración es la suma de los tiempos de filtración (t) y el tiempo
operativo (tiempo de lavado) t1
, por tanto:
tC = t + t1
Entonces, en la ecuación de capacidad de filtración se reemplaza el valor de tC
1
)
(
t
t
V
C
F
+
=
Donde:
V
q
V
k
t
o
C 







+






=
1
2
1 2
Reemplazando el valor de t en la ecuación de capacidad de filtración
1
2
)
/
1
(
)
2
/
1
(
)
(
t
V
q
V
k
V
C
F
o
C +
+
=
Las condiciones óptimas de filtración se obtiene, al maximizar la función de capacidad
de filtración, es decir:
( ) 0
)
/
1
(
)
2
/
1
(
[
1
2
=






+
+
=
t
V
q
V
k
V
dV
d
dV
C
F
d
o
C
Desarrollando
( ) [ ]
[ ] 0
)
/
1
(
2
/
1
)
/
1
(
1
2
1
2
1
2
1
2
=
+
+
+
−
+






+
t
V
q
V
k
q
V
k
V
t
V
q
V
k
o
C
o
C
o
C
(1/2) kC V2
+ (1/qo) V + t1
– kC V2
– (1/qo) V = 0
- kC V2
= - 2 t1
V =
C
k
t1
2
Donde:
C
OP
k
t
V
V
1
2
=
=
7-95
Datos: t1
= 26 minutos = 1560 s
kC = 181,38 s/m3
Volumen óptimo de filtración
38
,
181
1560
2 x
Vop =
Vop = 4,147 m3
Cálculo de tiempo de filtración
V
q
V
k
t
o
C 







+






=
1
2
1 2
Reemplazando datos:
( ) ( )
147
,
4
56
,
148
)
147
,
4
(
38
,
181
5
,
0 2
x
x
t +
=
t = 2175,72 s
Tiempo de un ciclo
tC = tciclo = t + t1
= 2175,72 + 1560
tC = 3735,72 s/ciclo
Nº de ciclos =
ciclo
s
hora
s
x
horas
/
75
,
3735
1
3600
10
Nº de ciclos = 9,636 ciclos
que corresponde a
= 0,636 ciclos x 3735,72 s/ciclos
= 2375,9 s
Para este tiempo el volumen de filtrado obtenido se calcula como:
2375,9 = (0,5 x 181,38) V2
+ 148,56 V
90,69 V2
+ 148,56 V - 2375,9 = 0
V = 4,364 m3
El volumen de filtrado en las 10 horas de operación será:
V = 9 ciclos x 4,147 8m3
/ciclo + 4,364 m3
7-96
V = 41,6870 m3
c) Filtración a volumen constante
El volumen de filtrado se obtiene a partir de la siguiente ecuación
)
(
)
(
2
f
f P
A
Rm
V
P
A
C
V
t
∆
−
+








∆
−
=
µ
α
µ
Desarrollando esta ecuación de tiene:
0
)
(
)
(
2
2
=
−
∆
−
+








∆
−
t
V
P
A
Rm
V
P
A
C
f
f
µ
α
µ
Hacemos el siguiente cambio de variables
Sea:
)
(
2
f
P
A
C
a
∆
−
=
α
µ
)
( f
P
A
Rm
b
∆
−
=
µ
Luego la ecuación se simplifica como:
a V2
+ b V - t = 0
Al resolver esta ecuación de segundo grado, tomando la raiz adecuada, se obtiene un
volumen de filtrado en función de tiempo.
La solución es como sigue
a
C
a
b
b
V
2
4
2
−
±
−
= es lo mismo expresar como:
a
b
a
C
a
b
V
2
)
(
2
4
2
−
−
=
Cálculo de: a =
f
P
A
C
∆
2
α
µ
b =
)
( f
P
A
Rm
∆
−
µ
A = 8,35 m2
C = 128,20 kg/m3
7-97
t = 8520 s
∆P = 4,5 atm = 4,5 x 101325
α = 2,5 x 1010
m/kg
Rm = 3,1404 x 1011
m-1
µ = 1,2 x 10-11
kg/m.s
)
101325
5
,
4
(
)
35
,
8
(
/
(
20
,
128
(
10
5
,
2
)
.
/
(
10
2
,
1
2
3
19
3
x
m
m
kg
x
s
m
kg
x
a
−
=
a = 136,10
b =
)
( f
P
A
Rm
∆
−
µ
)
101325
5
,
4
(
35
,
8
10
1404
,
3
10
2
,
1
11
3
x
x
x
x −
=
b = 98,98
Reemplazando
)
98
,
98
(
2
98
,
98
0
,
136
)
8520
(
)
10
,
136
(
4
98
,
98 2
−
−
−
=
V
)
0
,
136
(
2
98
,
98
)
0
,
136
(
2
)
8520
(
)
10
,
136
(
4
98
,
98 2
−
−
+
=
V
V = 7,92 - 0,36 = 7,56 m3
Caudal: Q = V/t =
min
1
60
8520
56
,
7 3
s
x
s
m
Q = 5,3239 x 10-2
m3
/min = 53,23 litros/min
Q = 3,19 m3
/h
Problema 12
Filtración a velocidad constante e incompresible:
Dado: (-∆P1) = constante = 38,7 psia absoluta
01
,
0
10
10
,
6 5
+
= −
V
x
V
t
7-98
Se desea calcular el tiempo requerido para llegar a (-∆P2) = 50 lb/pulg2
absoluta a
velocidad de filtración constante Q = 10 lt/s
Como dato del problema indica:
tiempo, (t) = segundo
(-∆P) = lb/pulg2
(absoluta)
V = litros
La expresión anterior podemos expresar como sigue:
B
V
A
V
t K
+
= (1)
Donde: K = (1/2) kC
B = (1/qo)
De donde se sabe
5
2
10
10
,
6 −
=
∆
= x
P
A
C
k
f
α
µ
(2)
01
,
0
)
(
=
∆
−
=
f
P
A
Rm
B
µ
(3)
Cálculo de A y B para las nuevas condiciones.
Suponiendo que las propiedades y el área se mantienen constantes, al igual que α y Rm.
De Ec. (2): Cálculo de constante A
Primera condición
2
1
5
)
(
10
10
,
6
A
C
P
x
α
µ
=
∆
−
−
Segunda condición
2
2 )
(
A
C
P
k
α
µ
=
∆
−
Igualando estas dos expresiones se obtiene








∆
−
∆
−
= −
2
1
5
10
10
,
6
P
P
x
k






= −
0
,
50
7
,
38
10
10
,
6 5
x
k
5
10
7214
,
4 −
= x
k
7-99
De Ec. (3): Cálculo de constante B.
En forma similar se tiene:
Primera condición: 





=
∆
−
A
Rm
P
µ
)
(
01
,
0 1
Segunda condición: 





=
∆
−
A
Rm
P
B
µ
)
( 2
Igualando estas dos expresiones se tiene:
)
(
)
(
01
,
0 2
1 P
B
P ∆
−
=
∆
−








∆
−
∆
−
=
2
1
01
,
0
P
P
x
B






=
50
7
,
38
01
,
0 x
B
B = 0,00774
Luego la nueva expresión viene a ser como:
0074
,
0
10
7214
,
4 5
+
= −
x
V
t
De donde despejamos t
t = 4,7214 x 10-5
V2
+ 0,00774 V
Y ahora dividimos ambos miembros entre t
1 = 4,7214 x 10-5
(V2
/t) + 0,00774 (V/t)
Pero se sabe que:
t
V
Q =
Entonces, la expresión anterior queda como
1 = 4,7214 x 10-5
(V/t)2
+ 0,00774 (V/t)
O es lo mismo expresar como:
1 = 4,7214 x 10-5
(Q2
t + 0,00774 Q
De donde despejamos el tiempo t, como:
2
5
10
7214
,
4
00774
,
0
1
Q
x
Q
t −
−
=
7-100
Reemplazando Q 10 lt/s
t = 195,4 s
8- 1
CAPITULO VIII
PROBLEMAS DE AGITACION Y MEZCLADO
Problema 1. En un aparato sin deflectores (Dt = 1200 mm y altura 1500 mm) se
prepara una mezcla de ácidos (ρ = 1600 kg/m3
, µ = 20 cP) que ocupa 0,75 de su
volumen. Los ácidos iniciales se mezclan con un agitador de hélice cuya frecuencia de
rotación es de 3,5 rps. Determinar la potencia requerida para la instalación del motor
eléctrico.
Problema 2. Se desea agitar un líquido que tiene una viscosidad de1,5 x 10-3
Pa-s y
densidad de 969 kg/m3
en un tanque de 0,91 metros de diámetro. El agitador será de
turbina abierta de seis aspas (ver curva 2, Fig. 8.13) con un diámetro de 0,305 m, que
opera a 180 rpm. El tanque tiene cuatro deflectores verticales, todos ellos con una
anchura J de 0,076 m. ¿Calcúlese los kW necesarios?.
Problema 3. Un tanque de 1,2 m. de diámetro y 2 metros de altura se llena hasta una
altura de 1,2 metros con un latex que tiene una densidad de 800 kg/m3
y una viscosidad
de 10 P. El tanque no tiene deflectores. A 360 mm. por encima del fondo del tanque se
instala agitadores de hélice tres palas de 360 mm. de diámetro. El paso es 1:1 (el paso
es igual al diámetro). Se dispone de un motor que desarrolla una potencia de 8 kW.
¿Es adecuado el motor para mover este agitador con una velocidad de 800 rpm.
8- 2
Problema 4. Cual es la máxima velocidad con la que el agitador del tanque descrito en
el problema 3 puede girar si el líquido se sustituye por otro de la misma densidad, pero
con una viscosidad 1 P.?
Problema 5. ¿Qué potencia se requiere para la operación de mezcla del problema 1 si
se utiliza un agitador de hélice de 360 mm. de diámetro girando a 15 r/s y se instala 4
placas deflectoras, cada una con 120 mm. de ancho.
Problema 6. Para un tanque de 4,5 ft provisto de placas deflectoras y una turbina de 6
palas de 1,5 ft y una profundidad de líquido de 4,8 ft, se ha medido el tiempo de
mezclado de 29 s. La velocidad de la turbina es de 75 rpm y el fluido tiene una
viscosidad de 3 cP y una densidad de 65 lb/ft3
. Estimar los tiempos de mezcla si un
impulsor de un cuarto o la mitad del diámetro del tanque se utilizarán con las
velocidades elegidas para dar la misma potencia por unidad de volumen.
Problema 7. Se cuenta con tanque fermentador a escala de laboratorio de 20 litros de
capacidad y 30 cm. de diámetro. Para llevar a cabo el proceso de fermentación se llena
con un líquido de densidad 1200 kg/m3
y viscosidad 60 x 10-3
kg/m.s (60 cP). Para
conseguir la homogeneidad en todo el medio se utiliza un agitador de hélice (paso = Da)
de 10 cm. de diámetro que opera a 1200 rpm. Calcular la potencia consumida en los
casos siguientes:
a) El tanque está provisto de 4 deflectores de 3 cm. de ancho.
b) El tanque no posee deflectores.
c) Con las mismas condiciones excepto la solución tiene ahora una viscosidad de
100000 cP), vuélvase calcular la potencia requerida para el caso a.
Problema 8. (Problema de escalamiento). Se tiene un tanque Nº 1 con agitador de
turbina de 6 aspas planas. La dimensión del tanque será:
Diámetro del tanque. Dt1 = 1,83
Ancho de paleta: WF = 0,122 m
Diâmetro de la turbina Da1 = 0,61 m
Dt1 = H1
Ancho de la pantalla. J1 = 0,15 m
8- 3
N1 = 90 rpm N1 = 10/60 = 150 rps.
ρ = 920 kg/m2
µ = 0,01 Pa-s
A continuación se desea realizar un escalamiento de estos resultados para un recipiente
cuyo volumen es 3 veces mayor. Realice esto para los siguientes objetivos de proceso.
a) Cuando se desea igual cantidad de test de masa.
b) Cuando se necesita igual movimiento de líquido.
Problema 9. (Escalamiento). Un reactor de planta piloto que es un modelo a escala de
una unidad de producción, tiene un tamaño tal, que 1,0 gramo cargado en el reactor de
planta piloto equivale a 500 gramos del mismo material cargado en la unidad de
producción. La unidad de producción tiene 2 m de diámetro y 2 m de altura de líquido
y contiene un agitador de turbina de 0,60 m de diámetro. Experimentalmente se ha
encontrado que la velocidad óptima del reactor de la planta piloto es de 330 rpm.
a) Cuales son las dimensiones siguientes del reactor de planta piloto.
b) Si la masa de reacción tiene las propiedades físicas del agua a 70 ºC y la entrada de
potencia por unidad de volumen ha de permanecer constante, ¿a qué velocidad
deberá girar el rodete en el reactor grande?.
c) ¿Cuál será la velocidad de giro si el tiempo de mezcla ha de permanecer constante?
d) ¿A qué velocidad deberá de girar, si el número de Reynolds ha de permanecer
constante? ¿Qué base recomendaría usted para el cambio de escala? ¿Por qué?
Problema 10. Un reactor de tanque agitado de 3 pies de diámetro provisto de una
turbina de palas rectas de 12 pulgadas se ha utilizado en un reactor por cargas en el que
el tiempo de mezcla de los reactivos que cargan se considera crítico. Se ha obtenido
resultados satisfactorios con una velocidad de agitación de 400 rpm. La misma reacción
ha de realizarse en un tanque de 7 m de diámetro, para el que se dispone turbina
estándar de 3 pies.
a) ¿Que condiciones darían el mismo tiempo de mezcla en el tanque grande?
b) ¿Cual sería la variación porcentual de la potencia por unidad de volumen?.
8- 4
CAPITULO VIII
SOLUCION DE PROBLEMAS
Problema 1.
Para resolver el problema se plantea el siguiente esquema:
DATOS: Dt = 1200 mm = 1,2 m
H = 1,50 m.
Da = ?
Da/Dt = 0,3 – 0,5 = 1/3
mm
Dt
Da 400
3
1200
3
1
=
=
=
Da = 0,40 m
Propriedades: ρ = 1600 kg/m3
µ = 20 x 10-3
kg/m-s
Cálculo de número de Reynolds.
3
2
2
10
20
5
,
3
)
4
,
0
(
1600
)
(
Re −
=
=
x
x
x
N
Da
µ
ρ
Re = 44800 (régimen turbulento)
Calculo de número de potencia. De la Figura 8.13, curva No 5, se tiene: Np = 0,35
8- 5
Donde: 3
3
Da
x
N
x
P
Np
ρ
=
Reemplazando datos: P = Np ρ N3
Da3
= 0,35 x 1600 (3,5)2
(0,4)3
P = 439,04 Watts = 0,50 kW
Problema 2.
Datos: Propiedades físicas.
Densidad : ρ = 969 kg/m3
Viscosidad : µ = 1,5 x 10-3
kg/m.s
Características del tanque agitado.
• Diámetro del tanque : Dt = 0,91 m
• Nº de deflectores : 4
• Ancho del deflector : J = 0,076
Características de la turbina.
• Tipo de agitador : turbina de 6 aspas
• Diámetro de la turbina : Da = 0,305
• Nº de revoluciones : N = 180 rpm = 3,0 rps
Esquema del equipo de agitación:
Con los datos calculamos los siguientes parámetros adimensionales.
Número de Reynolds
3
2
2
10
5
,
1
0
,
3
)
305
,
0
(
969
)
(
Re −
=
=
x
x
x
N
Da
µ
ρ
Re = 180282, 45
8- 6
Consideremos la curva 2 para calcular el número de potencia, considerando Turbina
abierta, seis aspas, puesto que:
0
,
12
97
,
11
076
,
0
91
,
0
≈
=
=
m
m
J
Dt
De la figura 8.13 (Geankoplis), curva Nº 2,
Turbina abierta de seis aspas planas (iguala a la Fig.
C mostrada),
Np = 2,5
Se sabe que el número de potencia es:
Np = 5
3
Da
N
P
ρ
Al despejar P y sustituir los valores conocidos
P = Np ρ N3
Da5
= 2,5 x 969 x (3,0)3
x (0,305)5
P = 172,6 Watts = 0,1726 kW Resp.
Fig. 8. 13. Correlaciones de potencia para diversos impulsores y deflectores. (Geankoplis)
8- 7
Fig.1. Tanque con deflectores y agitador de turbina de paletas planas mostrando la trayectorias de flujo:
(a) vista lateral, (b) vista del fondo, (c) dimensiones de la turbina y el tanque (Geankoplis).
Fig. 2. Agitadores de paletas y agitador de turbina: (a) paleta de cuatro aspas, (b) paleta de marco, (c)
turbina abierta de seis aspas con 4 deflectores (Geankoplis)
8- 8
Problema 3.
Características del tanque agitado
Dt = 1,2 m
HL = 1,2 m
Agitador tipo hélice de tres palas
Da = 360 mm. (paso 1:1)
N = 800 rpm = 800/60 = 13,33 r/s
P = 8 kW (disponible)
Propiedades del latex:
Densidad: ρ = 800 kg/m3
Viscosidad: µ = 10 Poise = 1 kg/m.s
El procedimiento de solución es como sigue:
1. Calcular el Nº de Reynolds
2. Calcular Np = f [Re]
3. Calcular la potencia entregada
4. Comparar el valor calculado con el valor disponoble
5. Si el valor calculado es < que el valor disponible, el agitador no es
adecuado
Cálculo del número de Reynolds
( )
2 2 3
(0,36 ) (13,33 / (800 / )
Re
1 / .
Da N m r s kg m
kg m s
ρ
µ
= =
Re = 1382 (Flujo transitorio)
Cálculo de número de Froude, Fr
g
Da
N
Fr
2
=
81
,
9
)
36
,
0
(
)
33
,
13
( 2
=
Fr
Fr = 6,52
De la Fig. 8.17 para tanques sin deflectores: Np = 0,73
8- 9
Fig. 8.17. No de Potencia Np Vs. No Re para hélices marinas (paso =1,5:1) y cintas helicoidales(4)
.
Cálculo de potencia.
P = Np x N2
x Da5
x ρ
P = 0,73 (13,33)2
(0,36)5
x 800 = 8364 W
Por tanto el motor no es adecuado, por que Pcalculada > Pdisponible
Problema 4.
Datos:
P = 8 kW (dato calculado del problema 3)
µ = 0,1 kg/m.s
ρ = 800 kg/m3
Aquí lo que varía es la viscosidad y el procedimiento de cálculo es similar, pero se
realiza por el método de aproximaciones sucesivas.
8- 10
1. Supongamos numero de revoluciones , N = 14 s-1
2. Cálculo de.
( )
2 2 3
(0,36 ) (14) (800 / )
Re
0,1 / .
Da N m kg m
kg m s
ρ
µ
= =
Re = 14518
3. De la Fig. 8.17 (McCabe Smith), calculamos el No de Potencia, Np
Np = 0,58 (por interpolación)
4. Cálculo de potencia
P = Np x N3
x Da3
x ρ
= 0,58 x 143
x 0,365
x 800
P = 7699 ≈ 8 kW, valor próximo
Por tanto: N ≡ 14 rev/s (Pcalculado = Pdado)
Problema 5
Agitador: Da = 360 mm
Nº de placas deflectoras = 4
J = 120 mm
N = 15 r/s
ρ = 800 kg/m3
µ = 1 kg/m.s
P = ?
1. Cálculo de Nº de Reynolds
( )
2 2 3
(0,36 ) (15) (800 / )
Re
1,0 / .
Da N m kg m
kg m s
ρ
µ
= = = 1555
2. Cálculo de número de Potencia: De la Fig. 8.17, Np = 0,90
8- 11
Fig. 8.17. No de Potencia Np Vs. No Re para hélices marinas (paso =1,5:1) y cintas helicoidales(4)
.
3. Cálculo de potencia suministrada
P = Np x N x Da x ρ
= 0,90 x 15 x 0,36 x 800 = 14690 w
P ≡ 15 kW ---------- Un motor de 8 kW no sería adecuado
Problema 6
Datos: Dt = 4,5 ft = 1,3716 m
Da = 1,5 ft = 0,4572 m
H = 4,8 ft = 1,46304 m
Agitador: tipo turbina de 6 palas
t = 29 s
N = 75 rpm = 75/60 = 1,25 r/s
8- 12
Propiedades:
ρ = 65 lb/ft3
= 1041,90 kg/m3
µ = 3 cP = 3 x10-3
kg/m.s
1. Cálculo del número de Reynolds
µ
ρ
N
Da2
Re =
s
m
kg
x
m
kg
m
.
/
10
3
)
/
90
,
1041
(
)
25
,
1
(
)
4572
,
0
(
Re 3
3
2
−
=
Re = 9,07 x 104
, Flujo turbulento
2. Cálculo del número de potencia
Np = f (Re)
El flujo es turbulento > 104
, por tanto, Np es constante de acuerdo a la Fig. 8,16
Fig. 8.16. No de potencia Np Vs No de Reynolds Re para turbinas e impulsores de alta eficiencia(4)
.
3. Por la condición
3429
,
0
4
3716
,
1
4
=
=
=
Dt
Da
8- 13
4. Como: Np1 = Np2, se tiene
ρ
5
3
Da
N
p
Np =
Por tanto:
ρ
5
1
5
1
1
1
Da
N
p
Np =
ρ
5
2
5
2
2
2
Da
N
p
Np =
Por la condición de igualdad se tiene:
5
1
3
1
1
Da
N
p
= 5
2
5
2
2
Da
N
p
ó es lo mismo expresar como:
5
1
3
1
5
3
2 Da
N
Da
N =
3
/
5
2
1
1
2 







=
Da
Da
N
N
Reemplazando datos:
3
/
5
2
3429
,
0
4572
,
0
/
25
,
1 





= s
r
N
N2 = 2,02 r/s
Ahora verificamos el régimen de flujo
3
2
2
2
10
3
90
,
1041
(
)
02
,
2
)(
)
3429
,
0
(
Re −
=
=
x
N
Da
µ
ρ
Re2 = 8,24 x 104
8- 14
Problema 7
a) Para el prime caso:
Vt = 20 litros = 0,020 m3
Dt = 30 cm = 0,30 m
Da = 10 cm = 0,10 m
J = 3 cm = 0,03 m
ρ = 1200 kg/m3
µ = 60 x 10 -3
kg/m.s
N = 1200 rpm = 20 rps
Cálculo de la altura de líquido a partir del volumen del tanque:
Vt =
)
(
)
4
(
)
(
4 2
2
Dt
Vt
H
H
Dt
π
π
=
⇒
Para el caso del tanque agitado con deflectores, no existe vórtice, por tanto:
Np = f (Re)
Cálculo de número de Reynolds, Re
06
,
0
1200
)
11
,
0
(
20
Re
2
2
=
=
µ
ρ
N
Da
Re = 4000
Verificación de relaciones
333
,
0
0
,
3
1
,
0
3
,
0
=
→
=
=
Dt
Da
Da
Dt
H
Da
Da
H
→
=
= 83
,
2
1
,
0
283
,
0
10
,
0
3
,
0
03
,
0
=
=
Dt
J
8- 15
Teniendo en cuenta el tipo del agitador (hélice, paso igual a Da) y sus dimensiones
características (Dt/Da, H/Da, J/Dt), la curva de potencia es Nº 5 de la Fig. 8.9, luego
para Re = 4000, el número de potencia calculado es:
Np = 0,36
Fig. 8.9. Curvas de potencia para la agitación de líquidos de baja o moderada
viscosidad. Tanques agitados con placas deflectoras.
8- 16
Luego la potencia consumida es:
5
3
36
,
0
Da
N
P
Np
ρ
=
=
]
)
1
,
0
(
20
1200
[
36
,
0
]
[ 5
3
5
3
x
x
Da
N
Np
P =
= ρ
P = 43,56 J/s (Watt)
b) Caso b: tanque sin deflectores
Para este caso existe vórtice y por tanto es necesario utilizar la siguiente relación
Np = φ (Fr)y
Donde, 08
,
4
81
,
9
)
1
,
0
(
)
20
( 2
2
=
=
=
g
Da
N
Fr
2
10
3
,
8
18
)
400
log(
1
,
2
Re
log −
−
=
−
=
−
= x
b
a
y
Re > 300
Agitador tipo hélice (paso = Da)
Dimensiones: Dt/Da = 3 y H/Da = 2,83
Curva de potencia Nº 4 de la Fig. 8.10 se obtiene el valor ψ = 0,3
Por tanto el número de potencia es:
Np = ψ (Fr)y
= 0,3 (4,08)-8,3 x 10E-2
= 0,27
P = Np [ρ N3
Da5
] = 0,27 [1200 x 203
(0,1)5
]
P = 25,6 J/s
c). Esta parte se deja como ejercicio, el procedimiento es similar al caso (a), con la
única diferencia de la viscosidad, por tanto el numero de Reynolds es diferente.
8- 17
Fig. 8.10. Curvas de potencia para la agitación de líquidos de baja o moderada viscosidad. Tanques
agitados sin placas deflectoras.
Problema 8
1) Calculamos el volumen del tanque inicial, suponiendo la siguiente condición
Dt1 = H1 (condición del problema), por tanto:
Dt1 = H1 = 1,83 m
)
83
,
1
(
)
83
,
1
(
4
)
(
4
2
1
2
1
1
π
π
=
= H
Dt
VT
VT1 = 4,813 m3
8- 18
2) Cálculo de volumen para el nuevo tanque
VT2 = 3 VT1 = 14,44 m3
3) Procedimiento de escalamiento: Suponiendo Dt = H
Tanque No 1: 3
1
1
1
1 )
(
4
)
(
4
Dt
H
Dt
VT
π
π
=
=
Tanque No 2: 3
2
2
2
2 )
(
4
)
(
4
Dt
H
Dt
VT
π
π
=
=
Estableciendo la razón:
3
1
3
2
3
1
3
2
1
2
)
(
4
)
(
4
Dt
Dt
Dt
Dt
V
V
T
T
=
=
π
π
Luego la relación se establece como:








=








=
1
2
3
/
1
1
2
Dt
Dt
V
V
R
T
T
Reemplazando datos:
442
,
1
813
,
4
44
,
14
3
/
1
=






=
R
4) Escalamiento de dimensiones para el agitador más grande
Diâmetro tanque. Dt2 = RDt1 = 1,442 x 1,83 = 2,64 m.
Diâmetro agitador Da2 = R1 Da = 1,442 x 0,61 = 0,88 m.
Ancho aspa W2 = 1,442 x 0,122 = 0,176 m
Ancho bafles J2 = 1,442 x 0,15 = 0,216
5) Cálculo de Nº de Reynolds y potencia del agitador.
Caso a) Igual transferencia de masa n = 2/3
Se tiene la condición:
Potencia (1) = Potencia (2)
p1 = p2
Y si dividimos entre volumen, se tiene:
2
2
1
1
T
T V
P
V
P
=
Donde: P1 = Np1[ ρ x N1
3
x Da1
5
, VT1 = (π/4) Dt1
3
P1 = Np2[ ρ x N2
3
x Da2
5
, VT2 = (π/4) Dt2
3
8- 19
Reemplazando estos datos se tiene:
( ) ( ) 3
2
5
2
3
2
2
3
1
5
1
3
1
1
4
[
4
]
[
Dt
Da
N
Np
Dt
Da
N
Np
π
ρ
π
ρ
=
3
2
5
2
3
2
3
1
5
1
3
1
Dt
Da
N
Dt
Da
N
=
Pero se sabe que:








=








=
1
2
3
/
1
1
2
Dt
Dt
V
V
R
T
T
Reordenando la ecuación anterior y reemplazando el valor de R
5
1
2
3
2
3
1
3
1
2
)
/
( Da
Da
N
N
Dt
Dt
=








R3
N1
3
= N2
3
R5
N1
3
= N2
3
R2
N2 = N1 (1/R)2/3
Reemplazando datos:
N2 = 150 (1/1,442)2/3
= 1,17 rps (70,5 rpm)
Cálculo de número de Reynolds.
01
,
0
929
)
880
,
0
(
175
,
1
Re
2
2
=
=
µ
ρ
N
Da
Re = 8,453 x 104
Para el primer tanque calculamos
01
,
0
929
)
880
,
0
(
50
,
1
Re
2
2
1 =
=
µ
ρ
N
Da
Re1 = 5,185 x 104
Considérese la Curva Nº 1 de la Fig. 8.13, puesto que se tiene los siguientes datos de
escalamiento:
8- 20
5
1
=
W
Da
12
1
1
=
J
Dt
Np1 = 5,0
De acuerdo a lãs características (Geankoplis), seleccionanos la curva No 1 (turbina de 6
aspas planas Da/ W = 5, 4 deflectores, cada uno com Dt / j = 12)
P1 = Np1[ ρ x N1
3
x Da1
5
= 5 x [929 (1,5 D)3
(0,01)5
]
P1 = 1324 J/s = 1,324 kW (1,77 hP)
Utilizando el mismo Np1 = Np2 = 5,0
P1 = Np2[ ρ x N2
3
x Da2
5
= 5,0 [ 929 (1,175)3
(0,880)5
= 3977 J/s
P1 = 3,977 kW
Fig. 8. 13. Correlaciones de potencia para diversos impulsores y deflectores. (Geankoplis)
8- 21
Luego, la potencia para volumen unitario es:
2
1
1
/
2752
,
0
813
,
4
324
,
1
m
kW
V
P
T
=
=
2
2
21
/
2752
,
0
44
,
14
977
,
3
m
kW
V
P
T
=
=
Nota: El valor de 0,2752 kW/m2
, es un valor poco menor que el de la indicaciones
aproximadas de 0,8 – 2,0 para tanques de masa.
Para el caso b: Igualmente al de líquidos
n = 1,0
0
,
1
0
,
1
1
1
2
442
,
1
1
50
,
1
1






=






=
R
N
N
N2 = 1,040 rev/s
5
3
2 )
880
,
0
(
)
040
,
1
(
929
[
0
,
5
=
P
P2 = 2757 J/s = 2,757 kW
3
2
2
/
1909
,
0
44
,
14
757
,
2
m
k
V
P
=
=
Problema 9
Datos:
Escala: Unidad de producción Escala: Planta piloto
m = 500 g m = 1 g
Dt = 2 m M = 330 rpm
H = 2 m
Da = 0,60 m
Agitador tipo turbina
a) Dimensiones del reactor: Escalamiento:
Volumen de unidad de producción
1
1
1 )
(
4
T
T H
DT
V
π
=
Por condición del problema. DT = HT
8- 22
3
1
1 )
(
4
DT
VT
π
= (1)
En forma similar calculamos el volumen a escala planta piloto
3
2
2 )
(
4
DT
VT
π
= (2)
Estableciendo la razón entre los dos volúmenes, se tiene:
3
2
1
2
1








=
DT
DT
V
V
T
T
A partir de esta relación establecemos como
R
V
V
DT
DT
T
T
=








=
3
/
1
2
1
2
1
Por otro lado se sabe que:
m = ρ V ⇒ V = m/ρ
Lo que es lo mismo expresar como:
R
m
m
DT
DT
T
T
=








=
3
/
1
2
1
2
1
/
/
ρ
ρ
, ρ = cte
R
m
m
DT
DT
T
T
=








=
3
/
1
2
1
2
1
R
g
g
DT
DT
=
=








= 937
,
7
1
500
3
/
1
2
1
Luego el factor lineal de escalamiento es:
R = 7,937
Cálculo de dimensiones para el reactor a escala planta piloto.
• Diámetro del tanque:
937
,
7
2
1
2 =
=
R
DT
DT
DT2 = 0,252 m = 252 mm.
• Diámetro del agitador:
937
,
7
60
,
0
1
2 =
=
R
Da
Da
Da2 = 0,076 m = 76 mm.
b) Propiedades físicas son constantes
Potencia/unidad de volumen = constante
8- 23
De acuerdo a la condición del problema se tiene:
2
2
1
1
T
T V
p
V
p
= (I)
Donde: p1 = Np1 [ρ N1
3
Da1
5
], VT1 = (π/4)DT1
3
p2 = Np2 [ρ N2
3
Da2
5
], VT2 = (π/4)DT2
3
Reemplazando estos datos se tiene
=
3
1
5
1
3
1
1
)
(
)
4
(
]
[
DT
Da
N
Np
π
ρ
2
1
3
2
5
2
3
2
2
,
)
(
)
4
(
]
[
Np
Np
DT
Da
N
Np
=
π
ρ
=
3
1
5
1
3
1
)
(DT
Da
N
3
2
5
2
3
2
)
(DT
Da
N
(II)
Pero se sabe que: R = 







=








2
1
3
/
1
2
1
DT
DT
V
V
T
T
Reordenando la ecuación (II) y reemplazando el valor de
3
2
3
2
1
3
1
5
2
1
N
DT
DT
N
Da
Da








=








3
/
2
2
1
3
2
2
3
1
3
2
2
3
1
5
/ R
N
N
N
R
N
N
R
N
R
=
⇒
=
=
−
Reemplazando datos:
N2 = 330 rpm
R = 7,937
N1 = 330/ (7,937)2/3
---------- N1 = 82,93 rpm
Esto nos demuestra que: ↓
→
↑
↑
→
↓ N
Dt
ó
N
Dt
Verificamos régimen de flujo en el reactor a escala planta piloto
8- 24
µ
ρ
N
Da2
Re =
Datos:
a T = 70 ºC
ρ = 997,8 kg/m3
µ = 0,408 x 10-3
kg/m.s
Da = 0,076 m
N = 330 rpm = 330/60 rps
3
2
10
408
,
0
)
8
,
997
(
)
60
/
330
(
)
076
,
0
(
Re −
=
x
Re = 7,7691 x 104
Puesto que Re > 104
, entonces
Np = constante
De la Fig. 8.19 (Mc Cabe Smith) tiempo de mezcla en tanques agitados, se observa
que para Re > 104
, Nt1 es constante, por tanto
N1 tT1 - N2 tT2 = constante
98
,
3
9
,
82
330
2
1
1
2
=
=
=
N
N
t
t
T
T
8- 25
Fig. 8.19. Tiempos de mezclado en tanques agitados: Las líneas discontinuas son para tanques
sin deflectores; la línea continua es para tanques con placas deflectoras.
c) Cual es la velocidad de giro si el tiempo de mezcla es constante significa que:
tT1 = tT2, luego se tiene
N1 = N2 = 330 rpm
Para esta situación: Potencia por unidad de volumen es:
Np1 = Np2 , N1 = N2
5
2
3
2
2
5
1
3
1
1
Da
N
p
Da
N
p
ρ
ρ
=
2
2
3
2
2
2
1
3
1
1
5
2
2
5
1
1
)
(
1
)
(
)
(
1
)
( Da
Da
p
Da
Da
p
Da
p
Da
p
=
⇒
=
0
,
63
)
937
,
7
(
)
(
)
( 2
2
2
1
3
2
2
3
1
1
≅
=








=
Da
Da
Da
p
Da
p
d) Como el número de Reynolds es constante
µ
ρ
N
Da2
Re = = Cte
Se tiene:
8- 26
Cte
N
Da
=
µ
ρ
2
1
Cte
N
Da
=
µ
ρ
2
2
Igualando se tiene:
2
2
2
1
2
1 N
Da
N
Da =
2
2
1
2
1
2
2
1
1
2
)
937
,
7
(
330
=








=








=
Da
Da
N
Da
Da
N
N
N2 = 5,24 r/min
Np = constante
3
2
3
1
2
2
1
2
3
1
2
3
2
2
330
24
,
5
)
937
,
7
(
)
(
)
(






=
















=
n
n
Da
Da
Da
p
Da
p
3965
1
35937000
72
,
9063
=
=
Tiempo de mezclado
Re = 8,23 x 104
De la Fig. 8.20 se observa que para este rango ft es constante.
Fig. 8.20. Correlación de tiempos de mezcla para líquidos miscibles en un tanque con placas
deflectores agitado con una turbina
8- 27
ft = 6,0
2
/
3
2
/
1
2
/
1
6
/
1
3
/
2
2
)
(
t
T
T
D
H
Da
g
NDa
t
f =
Para tiempo mezcla 1
2
/
3
1
2
/
1
1
2
/
1
1
6
/
1
3
/
2
2
1
1
1
)
(
t
T
T
D
H
Da
g
NDa
t
f =
Para tiempo mezcla 2
2
/
3
2
2
/
1
2
2
/
1
2
6
/
1
3
/
2
2
2
2
2
)
(
t
T
T
D
H
Da
g
NDa
t
f =
Como fT1 = fT2
2
/
3
1
2
/
1
1
2
/
1
1
6
/
1
3
/
2
2
1
1 )
(
t
T
D
H
Da
g
NDa
t
= 2
/
3
2
2
/
1
2
2
/
1
2
6
/
1
3
/
2
2
2
2 )
(
t
T
D
H
Da
g
NDa
t
Como H1 = H2
Dt1 = Dt2
2
/
1
2
3
/
2
2
2
2
2
2
/
1
1
3
/
2
2
1
1
1 )
(
)
(
)
(
)
( Da
Da
N
t
Da
Da
N
t T
T =
2
/
1
2
3
/
2
2
2
2
2
/
1
1
3
/
2
2
1
1
1
2
)
(
)
(
)
(
)
(
Da
Da
N
Da
Da
N
t
t T
T =
/
1
2
1
3
/
4
2
1
3
/
2
2
1
1
2 























=
Da
Da
Da
Da
N
N
t
t T
T
6
/
11
2
1
3
/
2
2
1
1
2 















=
Da
Da
N
N
t
t T
T
8- 28
Para Da = Dt/4
Reemplazamos datos
tT1 = 29 s
N1 = 75 rpm
N2 = 121,1 rpm
Da1 = 1,5 pies = 18 pulg
Da2 = (4,5/4,0)ft = 1,125 = 13,5 pulg
Reemplazando datos:
6
/
11
3
/
2
2
125
,
1
5
,
1
1
,
121
75
29 











=
T
t
tT2 = 35,70 s
Para Da = Dt /2
Da2 = (4,5/2) = 2,25 ft
Np1 = Np2
sabe
se
además
pero
Da
N
p
Da
N
p
,
5
2
3
2
2
5
1
3
1
1
ρ
ρ
=
p1 = p2
5
1
3
1
5
2
3
2 Da
N
Da
N =
3
/
5
2
1
1
2
5
2
1
3
1
2
2 







=
⇒








=
Da
Da
N
N
Da
Da
N
N
Datos: N1 = 75 rpm
Da1 = 1,5 pies
Da2 = (4,5/2) =2,25 ft
Reemplazando datos:
rpm
N
N 15
,
38
25
,
2
5
,
1
75 2
3
/
5
2
2 =
⇒






=
Luego para este N2 calculamos el tT2
6
/
11
2
1
3
/
2
2
1
1
2 















=
Da
Da
N
N
t
t T
T
8- 29
6
/
11
3
/
2
2
25
,
2
5
,
1
15
,
38
75
29 











=
T
t
tT2 = 2,64 s
Problema 10.
Representación en forma esquemática
Considerando flujo turbulento
Re > 105
2
/
3
2
/
1
2
/
1
6
/
1
3
/
2
2
)
(
t
T
T
D
H
Da
g
NDa
t
f = = 



















Da
N
g
H
D
D
Da
Nt t
t
T 2
2
/
1
2
Donde
Da
N
g
Fo 2
=
Para flujo altamente turbulento Re > 105
y para un tanque con placas deflectoras
ft = 5,0 (casi constante)
Por tanto, se ignora el número de Froude. Luego, la ecuación se reduce
2
/
1
2














=
H
D
D
Da
t
N
f t
t
T
t
8- 30
Luego se tiene:
Condición 1:
2
/
1
1
1
2
1
1
1
1
1 















=
H
D
D
Da
t
N
f t
t
T
t
Condición 2:
2
/
1
2
2
2
2
2
2
2
2 















=
H
D
D
Da
t
N
f t
t
T
t
Igualando estas 2 ecuaciones, se tiene:
2
/
1
2
2
2
2
2
2
2 















H
D
D
Da
t
N t
t
T =
2
/
1
1
1
2
1
1
1
1 















H
D
D
Da
t
N t
t
T
Pero; fT1 = fT2 (Condición del problema)
2
/
1
2
2
2
2
2
2 















H
D
D
Da
N t
t
=
2
/
1
1
1
2
1
1
1 















H
D
D
Da
N t
t
Esta última ecuación podemos reordenar como.
2
/
1
2
2
2
2
2
2
1




















t
t
D
H
D
Da
N =
2
/
1
1
1
2
1
1
1
1




















t
t
D
H
D
Da
N
De esta expresión podemos considerar que:
(H/Dt) = constante = 1,0 (H = Dt)
Luego la ecuación se simplifica como:
2
2
2
2 







t
D
Da
N =
2
1
1
1 







t
D
Da
N
2
2
2
2
1
2
1
2
















=
t
t
D
Da
D
Da
N
N =
2
2
2
1
1
1












t
t
D
Da
D
Da
N
Datos: N1 = 400 rpm = 400/60 = 6,67 rps
8- 31
Da1 = 12 pulg
Dt1 = 3 ft = 36 pulg ⇒ 333
,
0
3
1
36
12
1
1
=
=
=
t
D
Da
Da2 = 3 ft
Dt2 = 7 ft ⇒ 4285
,
0
7
3
2
2
=
=
t
D
Da
N2 = 6,67 x (0,33)2
/ (0,4285)2
N2 = 4,03 r/s = 242 rpm.
INDICE
Pagina
CAPITULO I
INTRODUCCIÓN A MECANICA DE FLUIDOS Y PROPIEDADES 1.1
Problemas 1.1
Solución de problemas 1.6
CAPITULO II
ESTÁTICA DE LOS FLUIDOS 2.1
Problemas 2.1
Solución de problemas 2.11
CAPITULO III
PRINCIPIOS DE CONSERVACIÓN 3.1
Problemas 3.1
Solución de Problemas 3.13
CAPITULO IV
FLUJO DE FLUIDO INCOMPRESIBLE EN TUBERÍAS Y DUCTOS 4.1
Problemas 4.1
Solución de Problemas 4.13
CAPITULO V
BOMBAS Y COMPRESORES 5.1
Problemas 5.1
Solución de Problemas 5.14
CAPITULO VI
FLUJO COMPRESI 6.1
Problemas 6.1
Solución de Problemas 6.4
CAPITULO VII
FLUJO DE FLUIDOS EN OBJETOS EN OBJETOS SUMERGIDOS
7.1. FLUJO A TRAVÉS DE LECHOS EMPACADOS O FLUIDIZADOS 7.1
Problemas 7.1
Solución de Problemas 7.10
7.2. SEDIMENTACIÓN 7.43
Problemas 7.43
Solución de Problemas 7.47
7.3. FILTRACIÓN 7.62
Problemas 7.62
Solución de Problemas 7.67
CAPITULO VIII
AGITACIÓN Y MEZCLADO 8.1
Problemas 8.1
Solución de Problemas 8.4
APENDICE
PRESENTACIÓN
El texto titulado “Mecánica de Fluidos Aplicado a Diseño de Equipos de Procesos
Industriales Parte II : Problemas de Aplicación ”, se pone a disposición a los señores
docentes, estudiantes y profesionales para ser utilizados como material complementario
de la parte teórica mediante la solución de diferentes problemas de carácter aplicativo
planteados por cada capitulo.
Para cada capitulo se ha seleccionado de los textos de Mecánica de Fluidos los problemas
propuestos mas relevantes de enfoque practico aplicados a los procesos industriales con
una visión siempre referido al diseño de equipos para una buena formación de los
Ingenieros Químicos y otras ramas de Ingeniería afines. Mucho de los problemas
presentados aquí son planteados a los estudiantes como tareas asignadas o evaluadas en
los exámenes.
Se presenta una metodología de solución sencilla para cada problema de una manera
meticulosa para ilustrar las etapas que por lo general los estudiantes dificultan en
entender. Los problemas son planteados desde una solución fácil hasta un cierto grado de
dificultad a fin de mejorar el razonamiento de los estudiantes frente a un problema
planteado.
El texto se ha dividido en 8 capítulos y esta estructurado su desarrollo de acuerdo al
esquema planteado en el sílabos. En cada capitulo primero se plantea los problemas y
luego viene la parte de solución. Esto permite a que el estudiante como una manera de
ejercicio debe resolver por si mismo y luego los resultados verificarlo con la solución
presentada en el texto, de lo contrario simplemente estaría aprendiendo como una cosa
mecánica que no permitiría desarrollara su capacidad de raciocinio. Por tanto, para
obtener el máximo beneficio el estudiante primero debe comprender los aspectos teóricos
y luego aplicarlos a los conceptos para resolver los problemas.
Confío que esta obra contribuya a la mejor formación del estudiante, y de alguna manera
a paliar la falta de un texto que abarque con amplitud los aspectos relacionados a la
Mecánica de Fluidos aplicados en Ingeniería Química, y que simultáneamente resulte de
alguna utilidad como texto de consulta para aquellos que ejercen su actividad profesional.
Finalmente, los autores estarán muy reconocidos por su utilización como texto de
consulta y muy gustoso recibirán sus críticas y comentarios, lo que permitirá mejorar el
contenido para futuras ediciones.
LOS AUTORES
Cipriano Mendoza Rojas
Edith Cisneros Gómez
Ayacucho, Junio 2012
UNIVERSIDAD NACIONAL DE SAN
CRISTÓBAL DE HUAMANGA
FACULTAD DE INGENIERÍA QUÍMICA Y
METALURGIA
PARTE II: PROBLEMAS DE APLICACION
MECÁNICA
DE FLUIDOS
APLICADO AL
DISEÑO DE
EQUIPOS DE
PROCESOS
INDUSTRIALES
Cipriano Mendoza Rojas
Edith Cisneros Gómez

386579706-solucionario-de-mecanica-de-flidos.pdf

  • 1.
    1- 1 CAPÍTULO I MECANICADE FLUIDOS Y SUS PROPIEDADES Problema 1.1. Una placa localizada a una distancia de 0,5 mm de una placa fija se mueve a una velocidad de 0,25 m/s y requiere una fuerza por unidad de área de 2 Pa (N/m²) para mantener esta velocidad. Determinar la viscosidad fluida de la sustancia entre las placas, en unidades SI. Problema 1.2. Una muestra de gasolina de masa 450 kg se encuentra almacenada en un tanque ¿Cuál es su peso en Newton y en libras en la superficie de la tierra? ¿Cuál sería la masa y el peso si estuviera localizada en la superficie de la luna donde la aceleración local debida a la gravedad es aproximadamente 1/6 de la correspondiente a la superficie de la tierra? Problema 1.3. En un mismo sitio y en el mismo instante de tiempo se tomaron tres muestras de aguas residuales; después de analizarlos en el laboratorio se obtuvieron los siguientes resultados: Muestra Volumen (mL) Masa de sólidos suspendidos (g) 1 75 23,0 2 83,2 35,6 3 80,0 Vidrio roto Las tres muestras tienen la misma densidad (ρ) y la primera contiene sólidos con una densidad relativa de 1,93. Encontrar la densidad ρ y las concentraciones de los sólidos
  • 2.
    1- 2 suspendidos enlas muestras. Tomar la fracción de masa de sólidos en la muestra tres, como el promedio de las primeras dos. Problema 1.4. En una planta de procesamiento de jugos y conserva de frutas, se produce una mezcla de jugo concentrado de naranja, piña y kiwi mediante el paso de una mezcla de jugo fresco a través de un evaporador. Las fracciones de masa de los sólidos contenidos en la mezcla son: 6,7% 4,35% 7,83% naranja piña kiwi x x x = = = En el evaporador se elimina agua y la fracción de masa total de sólidos se incrementa a 48,45% t x = Si la mezcla de jugo fresco conduce al evaporador un caudal de masa de 850 kg/h (1,43 m³/h), determinar: a) La concentración de naranja, piña y kiwi en el jugo fresco. b) La concentración de naranja, piña y kiwi en el jugo concentrado. c) La densidad del jugo fresco. d) La densidad del jugo concentrado. Problema 1.5. Se sabe que la viscosidad del clorobenceno a 20ºC es igual a 0,9 cP y a 50ºC es de 0,60 cP. Aprovechando la ecuación de Andrade, ¿Cuál será el valor de la viscosidad del clorobenceno a 70ºC? Sugerencia: Con los datos experimentales primeramente determine las constantes a y b. Ecuación de Andrade: exp b a T µ   =     Problema 1.6. Los datos del flujo de agua por un capilar son los siguientes: Longitud = 10,05 m Diámetro interno = 0,0141 m T = 10ºC
  • 3.
    1- 3 Volumen delagua = 13,3410 m³ Tiempo de escurrimiento del flujo = 35505,75 s ∆P = 385,87 mmHg Determinar el valor experimental de la viscosidad del agua en centipoises y compárelo con los valores de las tablas. Problema 1.7. Un aceite está siendo bombeado en el interior de un tubo de 10 mm de diámetro con un Número de Reynolds de 2100. La densidad del aceite es 855 kg/m³ y la viscosidad es 2,1 x 10-2 Pa.s. a) ¿Cuál es la velocidad en la tubería? b) Es necesario mantener el mismo Número de Reynolds de 2100 y la misma velocidad como en la parte (a) utilizando un segundo fluido con una densidad de 925 kg/m³ y una viscosidad de 1,5 x 10-2 Pa.s. ¿Cuál debería ser el diámetro de la tubería a utilizar? Problema 1.8. Al analizar una muestra de agua residual en el laboratorio, se obtuvieron los siguientes datos: Muestra Volumen (mL) Masa de sólidos suspendidos (g) 1 85 85,43 Si la densidad relativa de los sólidos suspendidos es 1,58, determinar el volumen y la concentración de los sólidos suspendidos, así como la densidad de la muestra del agua residual. Problema 1.9. Un gas a 20ºC y a 0,2 MPa abs tiene un volumen de 40 litros y una constante de gas R = 210 mN/kg.K. Determinar la densidad y la masa del gas. Problema 1.10. Una represa contiene una mezcla de dos componentes, agua y sedimentos. La densidad del agua es ρω y la de las partículas de sedimento es ρS. Suponiendo mezcla completa, encontrar la densidad de la mezcla, ρm. Si la fracción de masa del sedimento es ωS.
  • 4.
    1- 4 Problema 1.11.En un viscosímetro de caída de bola, se permite que una bola de acero de 1,6 mm de diámetro caiga libremente en aceite combustible pesado que tiene una gravedad específica de 0,94. El acero pesa 77 KN/m³. Si se observa que la bola cae 250mm en 10,4 s. Calcule la viscosidad del aceite. Problema 1.12. En un viscosímetro de cilindro rotatorio, denominado viscosímetro Stormer, se usa la caída de un peso W para hacer que el cilindro con una velocidad angular ω, como se muestra en la figura. Para este dispositivo la viscosidad del líquido µ está relacionada con W y ω a través de la ecuación W=k. µ. ω, donde k es una constante que depende sólo de la geometría (incluyendo la profundidad del líquido) del viscosímetro. El valor de k suele determinarse usando un líquido de calibración (un líquido cuya viscosidad es conocida). a) A continuación se dan algunos datos para un viscosímetro Stormer particular, obtenidos usando glicerina a 20ºC como líquido de calibración, graficar los valores del peso en el eje de las ordenadas y los valores de las velocidades angular en el eje de las abscisas. Trazar la mejor curva que pase por los puntos graficados y determinar k para el viscosímetro en cuestión.
  • 5.
    1- 5 W (lb)0,22 0,66 1,10 1,54 2,20 ω(rps) 0,53 1,59 2,79 3,83 5,49 b) Un líquido de viscosidad desconocida se coloca en el mismo viscosímetro del enciso (a), y se obtienen los datos que se muestran enseguida. Determinar la viscosidad de este líquido. W(lb) 0,04 0,11 0,22 0,33 0,44 ω(rps) 0,72 1,89 3,73 5,44 7,42 Problema 1.13. Un tanque cilíndrico abierto contiene 4 m3 de agua a 40 o C. Durante el periodo de 4 horas la temperatura del agua varía desde 40 o F a 90 o F. Haciendo uso de los datos para el agua determine cuanto volumen de agua cambiara. Para un tanque de diámetro de 2 pies, el corresponder cambio en la profundidad del agua podría ser muy notable?. Explicar. Problema 1.14. La información sobre un tarro de conserva indica que la conserva contiene 335 ml. La masa de la conserva del tarro es 0,369 kg mientras el tarro vacio pesa 0,153 N. determine el peso especifico, densidad, y la gravedad especifica de la conserva y compare sus resultados con el valor correspondiente de agua a 20 o C. Expresar sus resultados en sistema de unidad internacional SI. Problema 1.15. Calcular el número de Reynolds para el flujo de agua y aire a través de una tubería de 3 mm de diámetro, si la velocidad media es 3,0 m/s y la temperatura es 30 o C en ambos casos. Suponga que el aire se encuentra a la presión atmosférica estándar. Problema 1.16. a) Estimar la presión mínima absoluta (en pascal) que puede desarrollarse a la entrada de la bomba para evitar la cavitación si el fluido es tetracloruro de carbono a 20 o C. b). Cuando el agua fluye a 70 o C a través de una sección convergente de la tubería, la presión se reduce en la dirección de flujo. Estimar la presión mínima absoluta que puede desarrollarse sin que cause la cavitación. Expresar su respuesta en unidades británicas y SI
  • 6.
    1- 6 Problema 1.17.(a) El agua muestrado en la siguiente figura es soportado sobre la superficie de una laguna por la superficie de tensión que actúa a lo largo de la interfase entre el agua y las patas de lug. Determine la longitud mínima de esta interfase necesario para soportar el bug. Suponer que el bug pesa 1x10-4 N y la fuerza de tensión superficial actúa verticalmente hacia arriba. (b) repetir parte (a) si la tensión superficial fuera el soporte de una persona que pesa 750 N
  • 7.
    1- 7 CAPÍTULO I SOLUCIÓNDE PROBLEMAS Problema 1.1. Utilizando la ecuación de la Ley de Newton de la viscosidad: 3 0,5 10 0,25 0 0 3 1 (0,5 10 ) (0,25 ..................... 0) / (5 .... 00) (1) y B x v y v dv F dy A dy dv x m m s s τ µ τ µ τ µ τ µ − = = = = = − −   = − =     = − = − − = − ∫ ∫ Por dato del problema sabemos que el esfuerzo cortante es igual a: 2 ..................... 2 (2) .... F N A m τ = = Luego reemplazando en (2) en (1): 2 1 2 2 2 2 / . . 0.004 0.004 . 0.004 500 500 . N m N s kg m s kg s m s m m s τ µ − = = = = = Finalmente la viscosidad fluida de la sustancia entre las placas es: 0.004 . kg m s µ =
  • 8.
    1- 8 Problema 1.2. Calculandoel peso de la muestra de gasolina en la superficie de la tierra: ( ) 2 2 . 450 9,81 4414,5 . 4414,5 W m g m m W kg kg N s s =   = = =     Así, 450 kg de gasolina pesan 4414,5 N. ( ) 2 2 2 1 2,20462 450 32,174 31919,14975 . 992,079 1 32,174 . / f m m f m lb lb ft ft W kg lb lb kg s s lb ft s      = = =            Así, 450 kg de gasolina pesan 992,079 lbf. La masa de la muestra de gasolina es la misma tanto en la superficie de la tierra como en el de la superficie de la luna. Calculando el peso de la muestra de gasolina en la superficie de la luna: ( ) 2 2 . 1 450 9,81 735,75 . 735,75 6 W m g m m W kg kg N s s =    = = =       Así, 450 kg de gasolina pesan 735,75 N en la superficie de la luna. ( ) 2 2 2 1 2,20462 1 450 32,174 5319,858291 . 165,3465 1 6 32,174 . / f m m f m lb lb ft ft w kg lb lb kg s s lb ft s       = = =              Así, 450 kg de gasolina pesan 165,3465 lbf en la superficie de la luna. Problema 1.3. Esquema: De los datos del problema se sabe que: 1 2 3 ρ ρ ρ ρ = = = Cálculo de la densidad:
  • 9.
    1- 9 2 2 1 1 . .. . : H O s t t H O s Por definición se sabe que m m m V V V ρ + = = + 2 2 1 1 1 1 1 1 1 1 1 . . . . ...................... . : 1,93, : 1,93 1 1, . . 93 : 23 11,92 1,93 . / 11 . 9 . , 2 . r s r s r H O H O r s s s s s s s Como dato se sabe que luego la densidad del sólido es g x x mL g mL Por otro lado m m g V mL V g mL V mL Lueg ρ ρ ρ ρ ρ ρ ρ ρ ρ ρ = =  → = = = =  → = = = = 2 2 2 1 1 1 1 : (75 11,92) 63,08 63,08 H O s H O s H O o V V V V V V mL mL V mL = +  → = − = − = = 2 2 2 2 2 2 2 2 2 1 1 1 1 : : 1 1 63,08 63,08 63,08 : (63,08 23,0) 86,08 86,08 : . . . . . . 86,08 1 1,14773 75,0 H O H O H O H O H O H O H O H O t H O s t t t Cálculo dela masa de agua g Suponiendo mL m g m xV x mL g V mL m g Por tanto m m m g g m g Luego m g g x V mL mL ρ ρ ρ ρ = =  → = = = = = + = + = = = = = 3 3 3 3 1 3 1 2 3 3 3 1 (100 ) 1147,73 1000 1 1 1147,73 1147,73 1147,73 kg mL cm kg x x g cm m m kg m kg m kg m ρ ρ ρ ρ ρ ρ       =             = = = = = = Cálculo de la fracción 3:
  • 10.
    1- 10 1 1 1 1 23 0,2671 . ................... 9 86,08 0,26719 (1 .... 1: ) .. s t mg x m g x Muestra = = = = 2 2 2 2 2 2 2 2 2 2 2 2 2 . . ....................... .............. 35,6 : 1,14773 83,2 95,49 95,49 : 35,6 35,6 0,37281 95,49 0,37281 ( ........... : 2 2 ) s t t t t t t t t t m g x m m m g Por definición m xV x mL g V mL M m g Luego g g x m g x uestra ρ ρ ρ = = = =  → = = = = = = = = 1 2 3 3 ( ) (0,26719 0,37281) 0,3 . ......... 3 ................... 2 2 2 0,32 ( ) : .. 3 . Muestra x x x x + + = = = = 3 3 3 3 3 3 3 3 3 3 3 3 3 3 3 3 3 : ( ) ( ) ( ) 1,14773 80 91,8184 91,8184 ( ): ( ) 0,32(91,8184 ) 29, . ....................... 38189 29 . ,38189 . . . s s s t t t t t t t t s t s Calculando m m x m x m m m g m V x mL g V mL m g Reemplazando en m x m g g m g α ρ ρ ρ α =  → = = =  → = = = = = = = = Cálculo de la concentración: Concentración de masa:
  • 11.
    1- 11 3 1 1 33 3 1 3 2 2 3 3 3 2 3 3 3 23 1 1 (100 ) 0,30667 306,67 75 1000 1 1 35,6 1 1 (100 ) 0,42788 427,88 83,2 1000 1 1 29,38 1 0,36727 80 s s s m g g kg mL cm kg C V mL mL g cm m m m g g kg mL cm kg C V mL mL g cm m m m g g k C V mL mL      = = = =                 = = = =            = = = 3 3 3 3 1 (100 ) 367,27 1000 1 1 g mL cm kg g cm m m      =            Problema 1.4. a) La concentración de naranja, piña y kiwi en el jugo fresco. 3 3 0,067 850 56,95 56,95 39,825175 1,43 0,0435 850 36 ......................... .............. ,975 naranja naranja naranja total naranja naranja naranja piña piña piña total piña m m x kg m h kg m kg kg h m C m h V m h m m x kg m h kg m h = = = = = = = = = = = ɺ 3 3 3 3 36,975 25,856643 1,43 0,0783 850 66,555 66,555 46, ........... ....................... 541958 1,43 .. piña piña kiwi kiwi kiwi total kiwi kiwi kiwi kg m kg h C m V m h m m x kg m h kg m kg kg h m C m h V m h = = = = = = = = = = ɺ ɺ b) La concentración de naranja, piña y kiwi en el jugo concentrado:
  • 12.
    1- 12 t 1 1 t 3 2 12 2 1 2 3 t 3 3 t Si la fracción de masa total de sólidos se incrementa a x = 48,45% entonces se tiene: m = x m m = x 0,4845 (*) m ........ .............. .. m = .... . .. x m .. . t t t t t m m m x x x x x m m m       + + = + + = =        1 2 3 56,95 36,975 66,555 Re (*) : . . naranja piña kiwi kg m m h kg m m h kg m m h emplazando en = = = = = = 1 2 3 . . . . . . . . . . (56,95 36,975 66,555) 0,4845 : 331,2280 . . . . . . . .... 7 331,228 ............... 0 .. 7 . 4 .. t t t t masa total de sólidos suspendidos sol susp sol susp kg m m m h m m Luego la masa total de sólidos suspendidos es kg m h m m m m + + + + = = = = = = . . . . . . .................................. ... 8,45% 100% : 683,649 .. 27 sol susp agua sol susp agua m m kg Luego m m h + + =
  • 13.
    1- 13 . . . . .. ': 48.45% : 5 ............................ . . . . .................... 1,55% : 51,55% 0,5155 0,5155 683,6492 ............... 7 sol susp agua agua agua sol susp agua agua sq x Entonces x Calculando la masa del agua m x m m m kg h = = = = = + = 3 3 3 . ................................... 352,42120 352,42120 .. 0,35242 1000 0,35242 agua agua agua agua agua agua agua agua kg m h kg m m m h V kg V h m m V V h ρ ρ = = = = = = = ɺ 3 3 3 3 Calculando la concentración de naranja, piña y kiwi en el jugo concentrado: 56,95 161,59696 0,35242 36,975 104,91743 0,35242 66,555 0,3 naranja naranja piña piña kiwi kiwi kg m kg h C m V m h kg m kg h C m V m h kg m h C V = = = = = = = = ɺ ɺ ɺ 3 3 188,85137 5242 kg m m h = c) La densidad del jugo fresco. 3 3 3 : 850 594,40559 1,43 594,40559 . . . . . JF JF JF JF Calculando la densidad del jugo fresco kg m kg h m V m h kg m ρ ρ = = = = d) La densidad del jugo concentrado.
  • 14.
    1- 14 3 3 3 : 683,64927 1939,87081 0,35242 1939,870 .. . . 8 . 1 JC JC JC JC Calculando la densidad del jugo concentrado kg m kg h m V m h kg m ρ ρ = = = = Problema 1.5. Ecuación de Andrade: exp b a T µ   =     Primero determinamos las constantes a y b . . ............ .............. 20º : 0,9 0,9 .exp (1) 20 273,15 50º ........... . ............ : 0,6 ............ 0,6 .exp (2) 50 273,1 ............. 5 Para C cp b a Para C cp b a µ µ =   =   +   =   =   +   Reemplazando (2) en (1): b = 1280.34288 , Conociendo b se determina a; a = 0.01141421 Luego la ecuación de Andrade se expresa como: 1280,34288 0,01141421exp ( ) T K µ   =     70º : (1280,34288) (0,01141421).exp 0,476279777 70 273,15 . Para C cp µ   = =   +   Finalmente la viscosidad del clorobenceno a 70ºC es: .............................. =0,4762 ... 79777 Respuesta. cp µ Contrastando este valor con el de la REFERENCIA: TABLA 3.45 HANDBOOK ( µ = 0,460cp) se tiene: %error =[ (0,476-0,460)/ 0,460] x 100 = 3.48%
  • 15.
    1- 15 Problema 1.6. 101325 1² 385,87 51445,1023 760 1 ² N atm N m p mmHg mmHg atm m       ∆ = =            2 ..........................( ) 32 : : : [ ³/ ] : . . . . . .[ ²] flujo flujo p D L v Calculando la velocidad Q v A Donde Q caudal m s A área de flujo m µ α ∆       = = 4 4 : 13,3410 ³ ³ 3,757 . 42 10 35505,75 ( ²) (0,0141 ²) 1 . ,56145 . 10 ² . 4 4 flujo De acuerdo a los datos V m m Q x t s s A D m x m π π − − = = = = = = 4 4 ...... : ³ 3,75742 10 2,40637 ( ) 1,56145 10 ² ...................... ( ) ( ) : . flujo Luego m x Q m s v A x m s Luego reemplazando en β β α − − = = = 2 51445,1023 . ² (0,0141 ) 10,05 0,013216 . 32(2,40637 ) 1,32 ........... 1 .. 6 ................ Resp .. uesta. kg m s m m kg m m s s cp µ µ           = = ≈ Comparando con el valor dado por tablas (µ =1,25cp) se tiene: 1,32 1,25 % 100 5,6% 1,25 error x − = =
  • 16.
    1- 16 Problema 1.7. a)Cálculo de la velocidad en la tubería: b) Diámetro de la tubería a utilizar: 3 2 2 Re 2100 ( ) 5,158 925 1,5 10 . 1,5 10 . . Constante m v s kg m kg x Pa s x m s ρ µ − − = = = = = De la Ec. (1): 2 3 3 3 2100 1,5 10 . 6,60232 10 925 5,15789 6,60232 10 6,60 kg x x Re m s di x m Kg m v x m s di x m di mm µ ρ − − − = = = =  → ≅ Problema 1.8. Datos: Densidad relativa de los sólidos suspendidos: 4º 3 . 3 . 1,58 1,58 1 ...........;......... .................;....... 1,58 1,5 .. 8 s s relativa agua a C s s g cm g g cm mL ρ ρ ρ ρ ρ ρ = = =       = = Masa de los sólidos suspendidos: 85,43 s m g = 2 , Re : (1) 2100 2,1 10 . 5,15789 855 0,010 ³ 5, . . 15 . . 7 9 . 8 . Por definición de número de Reynolds vdi Re kg x x Re m m s v kg di s x m m m v s ρ µ µ ρ − = = = = =
  • 17.
    1- 17 Volumen totalde la muestra: 85 V mL = Calculando el volumen de los sólidos suspendidos: 3 3 85,43 54,06962 1,58 54,06962 Resp ................................... uesta ......... .......................... .. . .. . s s s s s s s s m m V V g V cm g cm V mL ρ ρ = = = = = Calculando la concentración de los sólidos suspendidos: 85,43 1,00506 85 1005,0 .......... 6 Respu ..... e . s ...... ta. .... .. ³ . .. s s s s m C V g g C mL mL kg C m = = = = Calculando la densidad de la muestra del agua residual: 1 1 2 2 1 , det mi . . . . . . . . . . . . ........................ n : ..... . . . . . . . (*) : i i m m Para la muestra de agua residual la densidad se er a mediantela ecuación xV V V m V V V Donde densidad dela muestra densidad de los sólidos suspend ρ ρ ρ ρ ρ ρ + = = = = ∑ 2 . . idos densidad del agua ρ =
  • 18.
    1- 18 1 2 1 3 23 3 1 3 3 1 2 2 1 2 . . . . . . . . . . ..................... : : : : 1,58 1,00 54,06962 85 (85 54,06962) 30,9303 .. 8 V volumen delos sólidos suspendidos V volumen del agua V volumen total dela muestra Datos g cm g cm V cm V cm V V V V V V cm V c ρ ρ = = = = = + = − = − = ( )( ) ( )( ) 3 1 1 2 2 3 3 Re (*): 1,58 54,06962 1,00 30,93038 1,36895 85 1,36895 . . ......................... Respuesta ...... . m m m emplazando en V V g V cm g cm ρ ρ ρ ρ + + = = = = Problema 1.9. Datos: T = 20ºC P = 0,2 MPa V = 40 L R = 210 m.N/Kg.K = 210 J/Kg.K 1 . 1 m N J = Sabemos que R tiene unidades de J/mol.K entonces deducimos que: 3 3 3 3 3 .................................... . 210 210 . . 1 10 1 . 1 . 210 210 10 . . 1 10 . 2 . J R J J mol K R M kg K kg K g kg M mol g J J KPa m g kg KPa m R M x M mol K kg K J mol g mol K J R mol K ω ω ω ω −         = =                       = =                  =     3 3 3 . 10 10 ':1 . ................................ . . . . . . . . . . 1 . KPa m x M sq KPa m J mol K De esta manera se demuestra la concordancia delas unidades ω −   =    
  • 19.
    1- 19 Calculando ladensidad del gas: Calculando la masa del gas: 3 3 3 3 3 3 ( ............................. .......................... ) : 40 40 10 : 3,25045 Re ( ) : 3,25045 40 10 0,13002 0,1 .... . . . 3 . . . m m xV V Datos V L x m Del resultado anterior se tiene kg m emplazando en kg m xV x x m kg m m ρ ρ δ ρ δ ρ − − = = = = = = = = = .................... 002 Respuesta. kg ( ) 6 3 3 3 3 3 3 3 3 3 3 : 0,2 10 0,2 10 . 210 10 . . . 210 10 . Re : 0,2 10 3,25045 . ( ) 210 10 20 273 . 3,250 .......... 45 . w w w PM RT Datos P x Pa x kPa J kPa m R x M mol K mol K R kPa m x M mol K emplazando P x kPa kg R kPa m m T x K M mol K kg m ω ρ ρ ρ − − − = = =     =           =     = = = + = Re .. sp .... ue ... sta.
  • 20.
    1- 20 Problema 1.10. Parala mezcla agua más sedimento: ....................................... : : Re : . s s m s s s m s s s s s s m s s s s xV xV donde V V V V xV xV V V m m Sabemos que V V emplazando m m x x m m m m m m ω ω ω ω ω ω ω ω ω ω ω ω ω ω ρ ρ ρ ρ ρ ρ ρ ρ ρ ρ ρ ρ ρ ρ ρ ρ ρ + = = + + = + = → =     +     +     = = =         + +                 ( ) ( ) ( ) ( ) ( ) ( ) ( ) 1 1 ': 1 1 1 1 1 : .................. 1 1 1 1 1 1 1 1 ..... ... s s m s s s s s s m s s s s s s s s s s s s s s s m m m m sq m m m m Luego x x ω ω ω ω ω ω ω ω ω ω ω ω ω ρ ρ ρ ω ω ω ω ρ ρ ρ ρ ρ ρ ρ ρ ω ω ω ω ω ω ρ ρ ρ ρ ρ ρ ρ ρ ρ ω ω ρ ρ ρ     +         = = = −     + +         = = =       − + + − +             =   + −     ............... Respue .... sta. . m m mi iVi V V V mi m ρ ρ ω = = = = ∑ ∑
  • 21.
    1- 21 Problema 1.11. .. . . . 3 3 33 4º . 3 . 3 3 ...... : 1,6 1,6 10 0,94 0 ........... ,94 10 940 940 77 250 250 10 aceite combustible aceite combustible e aceite combustible agua a C aceite combustible acero Datos D mm x m kg kg g x m m kg m kN w m h mm x m ρ ρ ρ ρ − − = =   = = = =     = = = = 10,4 t s = La viscosidad de la caída de una bola se determina por la ecuación siguiente: ( ) 2 (*) .......................................... . . . . . 18 : : . . . . . . . . . . cos : : : s f s f D v Donde vis idaddelfluido peso específico de la esfera peso específico del fluido D diámetro dela esfera v velocidad dela bola que cae Cal γ γ µ µ γ γ − = = 3 : . . . . 250 10 0,02404 10,4 culando la velocidad de caída h x m m v t s s − = = = 3 2 2 2 .. 2 2 : 940 9,81 9221,4 922 . . . . . 1,4 f fluido aceite combustible f Calculando el peso específico del fluido kg m kg x gravedad xg x m s m s kg m s γ ρ ρ γ = = = = =
  • 22.
    1- 22 ( )( ) 2 3 3 3 2 2 2 3 2 2 . . . . . . . . .. : 1 . 77 10 77 10 .... 1 Re (*) : 77000 9221,4 1,6 10 0,401 0,401 . 18 0,02404 0, .. 401 . . s Calculando el peso específico de la esfera kg m w N kg s x x x V m N m s emplazando en kg x m kg m s Pa s m m s s Pa s γ µ µ −     = = =       − = = = −       = − ............Respuesta. Problema 1.12. a) Trazar la curva y determinar la constante k W (lb) 0,22 0,66 1,10 1,54 2,20 ω(rps) 0,53 1,59 2,79 3,83 5,49 ω (rps) W (lb) 0,53 0,22 1,59 0,66 2,79 1,10 3,83 1,54 5,49 2,20
  • 23.
    1- 23 Velocidad angularvs Peso y = 0,398x + 0,0112 0,00 0,50 1,00 1,50 2,00 2,50 0 2 4 6 w (rps) W (lb) Para este tipo de dispositivo la viscosidad del líquido esta relacionado con W y ω mediante la ecuación: . 20º . ......................... . . ( ) ( ) ( ) : 20º , cos : 1,5 . . . . . . . . . . . glicerina a C W k y m Donde W peso k constante viscosidad velocidad angular Como líquido de calibración seutiliza la glicerina a C cuya vis idad es Pa s µ ω χ α µ ω µ = → = = = = = = − 2 2 0,02089 1,5 0,03134 . 1 . : 0, . . . . . . . . .............................. . . 398 ( ) ( ) ( ) : 0,398 . . f f f lb s lb s kg ft kg m s ft m s Según la gráfica la pendiente dela recta es m Entonces reemplazamos en lb m kx rps k β β α µ −     −   = =       =   = =     2 2 2 2 0,03134 0,398 12,69943 12,69943 ................. 12,69943 Respuesta ..... . f f lb s lb x ft rps ft ft ft k rev rps s rev s s −     =         = = = − −
  • 24.
    1- 24 b) W(lb) 0,040,11 0,22 0,33 0,44 ω(rps) 0,72 1,89 3,73 5,44 7,42 ω (rps) W (lb) 0,72 0,04 1,89 0,11 3,73 0,22 5,44 0,33 7,42 0,44 Velocidad angular vs Peso y = 0,0601x - 0,003 0,00 0,10 0,20 0,30 0,40 0,50 0 2 4 6 8 w (rps) W (lb) . . . . . . . . . ......................... . det min : ( ) ( ) ( ) : . . . . . La viscosidad del líquido desconocido se er a mediantela ecuación W k y m Donde W peso k constante viscosidad velocidad angular Según la gráfica la pendiente de µ ω χ α µ ω = → = = = = = . . . ................ : 0,06 ..... 01 .........( ) la recta es m β =
  • 25.
    1- 25 ( ) () 2 2 2 ( ) ( ): 0,0601 : 12,69943 : 12,69943 0,0601 . 12,69943 0,0601 . . . . 4,7 . 2 . 3 5 . . f f f Entonces reemplazamos en lb kx rps Del problema anterior setiene ft k rev Luego lb ft x rev rps lb s ft x rev rev β α µ µ µ µ   =     =     =             =         = 3 2 ..................... . 0 10 Respuest . a. f lb s x ft − Problema 1.13. : , Masa de agua V Donde V es el volumen y densidad ρ ρ = = = Como la masa permanece constante con el cambio de la temperatura 40 40 90 90 o o o o V V ρ ρ = (1) De tabla (Geankoplis) 2 2 3 60 3 150 62,30 / 61,30 / o o m H O m H O lb ft lb ft ρ ρ ∂ ∂ = =
  • 26.
    1- 26 Por tanto,de Ec. (1): ( ) 3 3 3 60 60 3 150 150 4 62,30 / 4,06525 61,30 / o o o o m m ft lb ft V V ft lb ft ρ ρ = = = Así, el incremento en el volumen es: 3 4,0652 4,0000 0,0652 ft − = El cambio en la profundidad del agua es: ( ) 3 2 0,0652 0,0275 0,249 lg 2 4 V ft l ft pu area ft π ∆ ∆ = = = =       Este pequeño cambio en la profundidad no es muy notable- NO Nota: una ligera diferencia del valor para ∆l será obtenida si se utiliza la gravedad específica del agua en vez de la densidad. Este hecho se debe a que existe cierta incertidumbre en los cuatro valores significantes de los dos valores, y la solución es sensible a esta incertidumbre. Problema 1.14 Weight of fluid Volume of fluid γ = (1) ( ) 2 : 0,369 9,81 3,62 x m Peso total w m g kg N s   = = =     : 0,153 Peso de la conserva w N = ( ) 3 3 6 3 : 355 10 3 1 10 355 10 1 m Volumen del fluido V x L x x m L − −   = − =     Así, de la Ec. (1):
  • 27.
    1- 27 2 6 33 2 3 4 3 2 4 3,62 0,153 : 9770 , Re ./ / 355 10 9970 : 996 996 , Re ./ / 9,81 : 0,996 , Re ./ / r H O oC N N N Peso especifico sp x m m N Ns kg m Densidad sp m g m m s Gravedad especifica densidad relativa SG sp γ γ ρ ρ ρ ρ − ∂ − = = = = = = = = = = Para agua a 20 o C (ver tabla de Geankoplis) 2 2 3 3 9789 , 998,2 , 0,996 H O H O r N kg SG m m γ ρ ρ = = = = Una comparación de estos valores del gua con aquellos valores calculados para la conserva muestra que el peso específico, densidad, y gravedad específica de la conserva son ligeramente más bajos que los valores correspondientes para el agua. Problema 1.15 Para agua a 30o C (tabla de Geankoplis o ver tabla en Apéndice) ( ) 4 3 2 3 4 2 . 995,7 , 7,975 10 995,7 3 0,003 Re 11200 . 7,975 10 kg N s x m m kg m m V D m s N s x m ρ µ ρ µ − − = =          = = = Para aire a 30 o C (ver tabla en Apéndice) ( ) 5 3 2 3 5 2 . 1,165 , 1,86 10 1,165 3 0,003 Re 564 . 1,86 10 kg N s x m m kg m m V D m s N s x m ρ µ ρ µ − − = =          = = =
  • 28.
    1- 28 Problema 1.16 a)Cavitación pude ocurrir cuando la presión de succión a la entrada de la bomba iguala la presión de vapor. Para tetracloruro de carbono a 20 o C pv = 13 kPa (abs). Así , la presión mínima = 13 kPa (abs). b) Cavitación puede ocurrir en la sección convergente de la tubería cuando la presión iguala a la presión de vapor. Así, la presión de vapor calculamos a partir de la ecuación de Antoine: ( ) ln v B p A T C = − + [ ] exp ; ; v v B p A p mmHg T K T C   = − = =   +   Donde, las constantes de la ecuación de Antoine para el agua son: A = 18,3036 , B = 3816,44 , C = - 46,13 Para la temperatura de T = 70 o C = 343,15 K, la presión de vapor de agua es: ( ) 3816.44 exp 18.3036 233.80 343.15 46.13 v p mmHg   = − =   + −   Asi: En sistema Británico: 14,7 min 233.80 4,52 760 psia la presion ima es mmHg psia mmHg = = En SI: 2 2 101325 / min 233.80 31170,76 / 31,2 ( ) 760 N m Presion ima es mmHg N m kPa abs mmHg   = = =    
  • 29.
    1- 29 Problema 1.17 Balancede fuerzas en equilibrio Por equilibrio w l σ = a) 4 2 3 1 10 7,34 10 1,36 10 1,36 w x N l N x m x m mm σ − − − = = = = b) 4 2 750 1,02 10 7,34 10 w N l x m N x m σ − = = =
  • 30.
    2- 1 CAPÍTULO II ESTATICADE FLUIDOS Problema 2.1. Para determinar la diferencia de presión entre dos puntos de una tubería, se requiere el uso de un manómetro “invertido”, tal como el que se ilustra en la siguiente figura: a) Desarrolle una expresión para calcular la diferencia de presión pA - pB en función de las variables pertinentes. b) Si el fluido A es un líquido y B es un gas, entonces pA << pB y pB puede ignorarse. En esta situación especial muestre como se simplifica la expresión general. Problema 2.2. Para el sistema mostrado, cual es la presión absoluta en el tanque.
  • 31.
    2- 2 Problema 2.3.La densidad de un fluido 1 es 62,4 lbm/ft³ y la densidad del fluido 2 es 136,8 lbm/ft³, determinar la presión del gas en el tanque mostrado en la figura. Supóngase que la densidad del gas en el tanque es despreciable comparado a los dos fluidos del manómetro. Problema 2.4. Para dos fluidos con densidades cercanas, pero menor que la del agua, la gravedad específica se determina mejor con el sistema mostrado en la figura. Derive una expresión para γ en términos de 1 2 3 , , z z z y 4 z .
  • 32.
    2- 3 Problema 2.5.Un manómetro simple de tubo en U se utiliza para determinar la gravedad específica de un fluido que es más denso que el agua tal como se muestra en la figura. Derive una expresión para γ en términos de 1 2 , z z y 3 z . Problema 2.6. Un cilindro y el tubo de la figura contienen agua. Para una lectura manométrica de 2 bar ¿Cuál es la fuerza de gravedad y la masa del émbolo?
  • 33.
    2- 4 Problema 2.7.En el tubo en U de la figura, se ha llenado la rama de la derecha con mercurio y la de la izquierda con un líquido de densidad desconocida. Los niveles definitivos son los indicados en el esquema. Hallar la densidad del líquido desconocido. Problema 2.8. En la Fig 2., la presión atmosférica es 14,6 psia, la lectura del manómetro en A es 6,1 psi, y la presión de vapor del alcohol es 1,7 psia. Calcular X e Y.
  • 34.
    2- 5 Problema 2.9.a) En la Fig. 3 se muestra un manómetro que se utiliza para indicar la presión entre los puntos de un tubo. Calcular (pA – pB). b) Dos tubos horizontales son paralelos, uno de los tubos transporta agua salada (ρ = 1,988 slugs/ft3 ) y el otro tubo transporta agua fresca (ρ = 1,937 slugs/ft3 ). Un manómetro invertido utiliza aceite (ρ = 1,82 slugs/ft3 ) como fluido manométrico que conecta los dos tubos. La interfase entre el aceite y el agua fresca en el manómetro es 38 pulg por encima de la línea central de la tubería de agua fresca, y la interfase aceite/agua salada en el manómetro es 20 pulg por encima de la línea central de la tubería de agua salada. Si la lectura del manómetro es 8 pulg, determine, la diferencia de la caída de presión entre las tuberías en: a) en Pa y b) en psi.
  • 35.
    2- 6 Problema 2.10.El depósito cerrado en la figura está lleno de agua y mide 1,524 metros de longitud. La lectura del manómetro conectado al depósito es de 7 lb/pulg2 . Determinar: a) La altura h es la columna de agua abierta. b) La presión manométrica que actúa sobre la superficie inferior AB del depósito La presión absoluta del aire en la parte superior del mismo si la presión atmosférica local es de 14,7 lb/pulg2 .
  • 36.
    2- 7 Problema 2.11.Un recipiente de gas está conectado al aire mediante un tubo largo y curvado. Determinar la presión en el recipiente utilizando los datos indicados: densidad del mercurio 13600 kg/m3 y del agua 1000 kg/m3 . Problema 2.12. Un tubo manométrico inclinado consiste de un cilindro vertical de 35 mm de diámetro. En la base de este se conecta a un tubo inclinado de 5 mm de diámetro que tiene un ángulo de 15º respecto al horizontal, el tope de este tubo es conectado a un ducto de aire. El cilindro vertical es abierto al aire y el fluido manométrico tiene una densidad relativa de 0,785. Determinar: a) La presión en el ducto del aire si el fluido manométrico se mueve 50 mm a lo largo de tubo inclinado, b) ¿Cuál es el error si el movimiento del tubo vertical es ignorado?
  • 37.
    2- 8 Problema 2.13. 1.a.-Para el manómetro que se muestra en la figura 1, calcule la diferencia de presión entre los puntos A y B. La gravedad específica del aceite es 0,85. 1.b.- Para el manómetro diferencial compuesto que se muestra en la figura 2, calcule (pA – pB).
  • 38.
    2- 9 Problema 2.14.Estudie el micromanómetro mostrado en la figura 8, que se usa para medir pequeñas diferencias de presión. Se introducen gases a las presiones PA y PB en el interior de ambos dispositivos, respectivamente, cuya sección transversal tiene un área A. En los brazos del tubo en U de sección transversal a, se emplean dos líquidos de diferente densidad. Si ρ1, es la densidad del fluido ligero y ρ2 la densidad del fluido pesado, demostrar que.             + − − = A a g p p h B A 1 1 ρ ρ ρ Puede verse que si A es mucho mayor que a, la ampliación de este dispositivo es mas o menos, proporcional a ( ) 1 2 / 1 ρ ρ − . Problema 2.15. Una pequeña diferencia de presión de gas se puede medir con un micromanómetro tal como se ilustra en la figura. Los dos recipientes (reservorios) tienen una sección transversal A y el tubo tiene una sección transversal a. Dos líquidos inmiscibles con densidad ρ1 y ρ2 (ρ1 > ρ2) son vertidos en el sistema. La interfase entre los dos líquidos es en el brazo derecho de tubo en U. Cuando no existe diferencia entre las presiones del gas en los dos reservorios la situación es como se muestra en la figura. La altura total del líquido con la densidad ρ2 es Ho. 1. Cuando p1 = p2, calcular la diferencia de nivel h entre las superficies en los dos reservorios.
  • 39.
    2- 10 En elsiguiente supongamos p2 > p1 2. Demostrar la siguiente ecuación para la diferencia de presión ∆p = p2 - p1. gx A a A a p             − −             + = ∆ 2 1 1 1 ρ ρ Donde g es la aceleración de la gravedad y x es el cambio de nivel de la interfase entre los dos líquidos. En el siguiente cálculo: ρ1 = 1000 kg/m3 (agua) ρ2 = 950 kg/m3 (aceite) A = 50 a Problema 2.16. Dos tuberías que conducen aceite de densidad ρ = 900 kg/m3 están conectadas por un piezómetro, tal como se indica en la figura. La presión en el tubo B es constante pB = 1,1 bar. Cuando pA = po = 2,5 bar, el menisco de la izquierda coincide con el cero de la escala. Calcular la altura del menisco de la derecha cuando la presión en A sube a p1 = 3 bar, sin que se modifique la escala. Se escribirá la ecuación del equilibrio de los fluidos, en este caso p = po + γ h, tomando como referencia el nivel CC’, para los dos casos planteados.
  • 40.
    2- 11 Problema 2.17.Con referencia a la figura, el punto A está a 53 cm por debajo de la superficie libre del líquido, de densidad relativa 1,25 en el recipiente. ¿Cuál es la presión manométrica en A; si el mercurio asciende 34,30 cm en el tubo?
  • 41.
    2- 12 CAPÍTULO II SOLUCIÓNDE PROBLEMAS Problema 2.1. a) Calcular: pA - pB = ¿? 1 p 2 A p p = 1 p = 1 3 A z g p ρ − 2 p = 4 p 3 p = ( ) 1 2 5 B z z g p ρ + − 4 p = 2 5 A B z g p p ρ + = ( ) ( ) 1 1 2 2 1 2 1 2 1 2 1 2 1 2 [ ] [ ] [ ................... ] [ ] [ ] (1 ... ) B A A B A B A A B A B A B A B A B p p z g z z g z g p p g z z g z z p p g z z g z z p p g z z ρ ρ ρ ρ ρ ρ ρ ρ ρ = − + − + = − − + − − = − − − − = − − b) Si el fluido A es un líquido y el fluido B es un gas: [ ] 1 2 : (1): 1 1 ... . 1 . . . . B A B B A A A A Luego p p De la ecuación p z z x g p p ρ ρ ρ <<     − = − −        
  • 42.
    2- 13 ( ) () 1 2 1 2 0 , 0 1 1 0 ...... ...... B B A A A A A A p p z z g p p z z g ρ ρ ρ ρ ∴ ≈ ≅   − = −     = − Problema 2.2. 1 2 3 4 5" 0,1270 ; 2" 0,0508 ; 3" 0,0762 ; 4" 0,1016 z m z m z m z m = = = = = = = = 1 p 2 Atm p p = 1 p = 3 p 2 p = 4 4 3000xz xg p − 3 p = 5 p 4 p = 3 6 1000xz xg p + 5 p = 7 p 6 p = 2 8 13600xz xg p − 7 p = 1 8 800 tanque xz xg p p − = 4 3 2 1 3000 1000 13600 800 tanque Atm p p xz xg xz xg xz xg xz xg = − + − −
  • 43.
    2- 14 ( ) 2 1013253000 0,1016 1000 0,0762 13600 0,0508 800 0,1270 9,81 91308,2052 14,7 1 91308,2052 13,2468 101325 1 13,2468 tanque tanque tanque tanque p x x x x x N p m lb Atm lb pulg p Pa Pa Atm pulg p psia = + − + − − = = = = Problema 2.3. 1 p 2 Atm p p = 1 p = 1 1 3 c g z g p ρ + 2 p = 4 p 3 p = 2 2 4 c tanque g z g p p ρ − = [ ] ( ) ( ) 1 1 2 2 2 2 2 2 2 2 : 1 1 14,7 35 62,4 10 136,8 1 12 14,7 5,667 20,367 20,367 tanque Atm c c f tanque m f f f tanque tanque g g p p z z g g Luego lb ft lb p x x x ft lb pulg lb lb lb p pulg pulg pulg p psia ρ ρ = + −   = + −     = + = =
  • 44.
    2- 15 Problema 2.4. 1 pAtm p = 2 p 1 p = [ ] 2 3 1 3 H O g z z p ρ + − 2 p = 4 p 3 p = [ ] 2 1 5 Denso g z z p ρ − − 4 p = 6 p 5 p = 7 p 6 p = [ ] 2 4 2 H O Atm g z z p ρ − − 7 p = [ ] [ ] [ ] ( ) ( ) [ ] ( ) ( ) ( ) 2 2 2 2 2 3 1 2 1 4 2 3 1 4 2 2 1 4 2 3 1 1 2 0 0 H O Denso H O H O Denso Denso Denso H O H O g z z g z z g z z g z z z z g z z z z z z g g z z ρ ρ ρ ρ ρ ρ γ ρ γ = − − − − − = − − − − −     − − −     = = −
  • 45.
    2- 16 Problema 2.5. 1 pAtm p = 2 p 1 p = [ ] 2 1 3 Denso g z z p ρ + − 2 p = 4 p 3 p = [ ] 2 3 1 H O Atm g z z p ρ − − 4 p = [ ] [ ] 2 2 2 2 1 3 1 3 1 2 1 0 Denso H O Denso Denso H O H O g z z g z z g z z g z z ρ ρ ρ γ ρ γ = − − − − = = −
  • 46.
    2- 17 Problema 2.6. Delbalance: 1 2 2 1 1 2 2 2 2 2 .. : 2 202650 1 202650 998 9,81 1,0 212440,38 ..... p p xgxh Donde N p bar m h m N p x x m N p m φ φ ρ = = + = = = ∴ = + = Además se sabe que: ( ) 2 2 2 212440,38 1 4 166850,6745 F p F p xA A F x F N π = ⇒ =   =     = Cálculo de la masa del émbolo: Por definición de fuerza de gravedad. 2 166850,6745 9,81 17008,22 F N F Wxg W m g s W kg =  → = = =
  • 47.
    2- 18 Problema 2.7. Dela figura: ' O O p p = patm + 0,14 x ρ x 9,81 = patm + 0,02 x 13600 x 9,81 ρ = 81 , 9 14 , 0 81 , 9 13600 02 , 0 x x x ρ = 1942,85 kg/m3
  • 48.
    2- 19 Problema 2.8. Aquíel único problema es considerar presión absoluta en el tanque; puesto que la presión de vapor del etanol está expresada en absoluto. pA = 6,1 + 14,6 = 20,7 psia (absoluta) = 143659,41 N/m2 pV = 1,7 psia = 1,7 x (101325/14,6) = 11798,11 N/m2 Cálculo de X. Supongamos: pO = pO' pA = pV + X ρETOH x g X = (pA – pV)/(ρETOH x g) X = (143659,41 – 11798,11) / (900 x 9,81) X = 14,93 m = 48, 99 ft Cálculo de y. Supongamos: p q = p q’ pA + (y + Z) ρETOH g = Z1 ρHg g g p g x Z g x x Z y ETOH A ETOH Hg ρ ρ ρ − − = g x p g Z y ETOH A ETOH Hg ρ ρ ρ − − = ] [
  • 49.
    2- 20 Z =4,2 ft = 1,28 m , ρHg = 13600 kg/m3 Reemplazando datos: 81 , 9 900 41 , 143659 ] 900 13600 [ 81 , 9 28 , 1 x x y − − = y = 1,79 m = 5,9 ft Problema 2.9. a) 1 p A 2 = p p 1 = p 3 p 2 = p 2 1 2 H O 4 - (X + X ) g p ρ 3 = p 2 3 H O 5 - (X ) g p ρ 4 = p 6 p 5 = p 3 aceite 7 + (X ) g p ρ 6 = p 2 2 H O B 7 + (X ) g p = p ρ pB = pA – ( X1 + X2 ) g ρH2O – (X3) g ρH2O + (X3) g ρaceite + (X2) g ρH2O pB = pA - ( X1) g ρH2O – (X3) g ρH2O + (X3) g ρaceite
  • 50.
    2- 21 pA –pB = ( X1) g ρH2O + (X3) g ρH2O - (X3) g ρaceite pA – pB = ( X1) g ρH2O + (X3) g ( ρH2O - ρaceite) pA – pB = 1,8288 x 9,81 x 1000 + 0,9144 x 9,81 (1000 – 900) = 17940,528 + 897,0264 pA – pB = 18337,5544 N/m2 = 0,1809775909 at = 2,66 lbf/pulg2 pA – pB = 2,7 lbf/plg2 b) 1 p A 2 = p p 1 = p 2 1 H O 3 - (L ) g p ρ 2 = p 4 p 3 = p aceite 5 + ( h) g p ρ ∆ 4 = p 2 salada B 5 + (L ) g p = p ρ pB = pA – ( L1 ) g ρH2O + (∆h) g ρaceite + (L2) g ρsalada pA – pB = ( L1) g x ρH2O - (∆h) g ρaceite - (L2) g ρsalada L1 = 38 pulg = 0,9652 m ρH2O = 998,02 kg/m3 L2 = 20 pulg = 0,508 m ρaceite = 938,63 kg/m3 ∆h = 8 pulg = 0,2032 m ρsalada = 10220,7 kg/m3
  • 51.
    2- 22 pA –pB = 9,81 [ 0,9652 x 998,02 – 0,2032 x 938,63 – 0,508 x 1020,79] pA – pB = 2491,7 N/m2 = 0,361 atm Problema 2.10. a) Cálculo de h De la Fig. Nº 4 para el plano pq paire + 0,60 x g x ρH2O = patm + h x g x ρH2O Donde: paire = patm + pmanometrica = 14,7 + 7,0 = 21,7 lb/plg2 paire = 144750 N/m2 patm = 101325 N/m2 ρH2O = 1000 kg/m3 Reemplazando datos: 144750 + 0,60 x 9,81 1000 = 101325 + h x 9,81 x 1000 h = 5,026 metros (16,49 ft) b) Presión manométrica en la superficie AB del depósito De acuerdo a la figura: P AB = paire + ρ x g [0,60 + 0,60] P AB = 144750 + 1000 x 9,81 x 1,20 = 156522 N/m2 (absoluta) Manométrica: P ab = 156522 – 101325 P ab = 55197 N/m2 (0,554 atm = 8 psi) c) La presión absoluta del aire P aire = 144750 N/m2 = 21,7 lb/plg2 = 1,47 at
  • 52.
    2- 23 Problema 2.11. AB C D 7 p = p = p = p p A 6 = p p 7 = p 5 p 6 = p Hg 4 - (1,0) g p ρ 5 = p 3 p 4 = p agua 2 + (0,9) g p ρ 3 = p 1 p 2 = p Hg atm 1 - (2,1) g p = p ρ patm = pA - ρHg (1,0) g + ρagua (0,9) g - ρHg (2,1) g pA = patm + ρHg (1,0) g – ρagua (0,9) g + ρHg (2,1) g pA = patm + ρHg (3,1) g – ρagua (0,9) g pA = 101325 + 13600 x 3,1 x 9,81 – 1000 x 0,90 x 9,81 pA = 506085,6 pA = 4,9946 atm
  • 53.
    2- 24 Problema 2.12. p0= p0’ p0 = p1 p0’ = p2 + (Z2 + Z1) ρHg x g p1 = p2 + (Z2 + Z1) ρHg x g p1 - p2 = (Z2 + Z1) ρHg x g Donde: Z2 = L x senθ y A1 Z1 = a2 L Z1 = 1 2 1 2 Z L D d L A a =       ⇒         xg L D d sen L p p m ρ θ               + = − 2 2 1               + = − 2 2 1 D d sen g x x L p p m θ ρ Donde [ ] atmosfera la a abierto p p atm = 1 Si consideramos presión manométrica: p1 = 0 g x Z Z p Hg ρ ) ( 1 2 2 − − = ∴ Donde: Z2 = 0,05 x sen (15) Z2 = 1,2940 x 10-2
  • 54.
    2- 25 Z1 =L x (d/D) = 0,050 x (5/35)2 = 1,0204 x10-3 p2 = - [1,2949 x 10-2 + 1,0204 x 10-3 ] x 785 x 9,81 - p2 = 107,93 N Si se ignora en el cilindro grande el término (d/D)2 = 0 La ecuación se simplifica a: 1 2 1 ( ) m p p L x x g sen p manométrica ρ θ − = = - p2 = 0,050 x 785 x 9,81 x sen 15 - p2 = 99,65 N % ERROR ERROR = 100 93 , 107 65 , 99 93 , 107 x − ERROR = 7,67 % Problema 2.13.
  • 55.
    2- 26 a) 1 p A 2 =p p 1 = p ( ) aceite 3 + g 0,3302 p ρ 2 = p ( ) agua 4 + g 0,2286 p ρ 3 = p 5 p 4 = p ( ) aceite B 5 - g 0,8128 p = p ρ pB = pA + ρaceite g (0,3302) + ρagua g (0,2286) - ρaceite g (0,8128) pB - pA = ρaceite g [ 0,3302 – 0,8128] + ρagua g (0,2281) pB - pA = 850 x 9,81 [0,3302 – 0,8128] + 1000 x 9,81 x 0,2281 pB - pA = - 1786,5 N/m2 pA – pB = 1786,5 N/m2 = 1,7631x10-2 atm = 0,2591 lb/plg2 b) 1 p A 2 = p p 1 = p ( ) aceite 3 + g 0,1524 p ρ 2 = p 4 p 3 = p ( ) Hg 5 - g 0,2032 p ρ 4 = p 6 p 5 = p ( ) Hg 7 + g 0,254 p ρ 6 = p 8 p 7 = p ( ) Hg 9 - g 0,1524 p ρ 8 = p ( ) agua B 9 - g 0,1524 p = p ρ pB = pA + ρaceite g x 0,1524 – ρHg g x 0,2032 + ρagua g x 0,254 – ρHg g x 0,1524 - ρagua g x 0,1524 pB – pA = 900x9,81x0,1524 - 13540x9,81x0,2032 + 1000x9,81x0,254 – 1354x9,81x0,1524 – 1000x9,81x0,152 pA – pB = 44891, 18 N/m2 = 0,4430 atm = 6,51 lb/plg2
  • 56.
    2- 27 Problema 2.14. Entrelos puntos (1) y (2) sea una altura: X + h Por tanto; estableciendo el balance de presión se tiene. 1 p A 2 = p p 1 = p 1 3 + (x + h) g p ρ 2 = p 4 p 3 = p 2 5 - h g p ρ 4 = p 1 B 5 - (X + ) g p = p δ ρ ( ) Hg + g 0,254 ρ pB = pA + (X+h) g ρ1 – hg ρ2 – (X + δ) g ρ1 pB = pA + h g ρ1 – hg ρ2 – δ g ρ1 pB = pA + h g [ ρ1 – ρ2 ] – δ g ρ1 Cálculo de la altura δ. Volumen: A1 δ = a x h δ = (a/A) h Reemplazando en la ecuación anterior pB = pA + h g [ρ1 – ρ2] – (a/A) g h ρ1 pA – pB = h g [ρ2 – ρ1 + (a/A) ρ1]
  • 57.
    2- 28 De donderesulta: )] / ( [ 1 1 2 A a g p p h B A ρ ρ ρ + − − = Para el caso de: a/A << 1 a/A ≡ 0 ] [ 1 2 ρ ρ − − = g p p h B A Problema 2.15. a) Calcular h cuando p2 – p1 = 0 Para el punto O P: pO = pB p1 + [Ho – h] ρ1 g = p2 + Ho ρ2 g p2 – p1 = (Ho – h) ρ1 g – Ho ρ2 g p2 = p1 0 = (Ho – h) ρ1 g =- Ho ρ2 g 1 2 1 / ] [ ρ ρ ρ − = Ho h b) p1 + [ Ho – h + X + ∆X ] ρ1 g = (Ho - ∆X +X ) ρ2 g + p2 p2 – p1 = [Ho – h + X + ∆X] ρ1 g – (Ho - ∆X + X ) ρ2 g
  • 58.
    2- 29 p2 –p1 = [Ho – h] ρ1 g + (X + ∆X) ρ1 g – Ho ρ2 g – (∆X + X ) ρ2 g p2 – p1 = [Ho – h] ρ1 g + (X + (a/A)X) ρ1 g – Ho ρ2 g – ((a/A)X + X ) ρ2 g p2 – p1 = [Ho – h] ρ1 g – Ho ρ2 g + [(1 + a/A) ρ1 – (1 + a/A) ρ2 ]g X = ( ) 1 2 1 2 1 2 1 [(1 + a/A) - (1 + a/A) ]g X Ho Ho g Ho g ρ ρ ρ ρ ρ ρ ρ −   − − +     = g Ho g Ho g Ho 2 2 1 1 ) ( ρ ρ ρ ρ − − − + [(1 + a/A) ρ1 – (1 + a/A) ρ2 ]g X = 1 1 2 2 1 2 [(1 + a/A) - (1 + a/A) ]g X Ho g Ho g Ho g Ho g ρ ρ ρ ρ ρ ρ − + − + X g A a A a p p p             − −       + = ∆ = − ∴ 2 1 1 2 1 1 ρ ρ Problema 2.16. 1er caso: La presión en A es po. Entonces a) B o m o o o p h h h h p + − + = + ) ( 2 1 2 γ γ γ De esta ecuación se puede despejar el valor de h2 2do. caso: En este caso, si ∆ h es lo que baja el menisco por la rama izquierda b) B o m o o p h h h h h h h p + ∆ − − + ∆ + = ∆ + + ) ( ) 2 ( ) ( 2 1 2 1 γ γ γ Conocido h2, de esta ecuación se despeja ∆h. La altura del menisco en la escala es entonces h = h2 + ∆h Aplicación numérica: La ecuación (a) se escribe 2,5 x 105 + 9800 x 0,9 x 0,4 = 9800 x 13,6 h2 + 9800 x 0,9 (2 – h2) + 1,1 x 105 De donde h2 = 1,01 m.
  • 59.
    2- 30 De laecuación (b) se obtiene entonces: 3x105 + 9800 x 0,9 x (0,4 + ∆h) = 13,6 x 9800 x 1,01 + 13,6 x 9800 x 2 ∆h + 0,9 x 9800 x ( 2 – 1,01 - ∆h) + 1,1 x 105 De donde ∆h = 0,64 m. Luego, h = 1,65 m Problema 2.17. 1 p atm 2 = p p 1 = p ( ) agua 3 - 0,34 g p ρ 2 = p 4 p 3 = p aire 5 + X g p ρ 4 = p ( ) Líq A 5 + 0,53 g p = p ρ pA = patm - (0,34) ρagua g + X ρaire g + (0,53) ρLíq g A atm ............................................................... 0 p = p - 0,34 x 1000 x 9,81 + ........... X x1,2 x ... 9,81 + 0,53 x 1,25 x 1000 x 9,81 pA = 101325 - 0,34 x 1000 x 9,81 + 0,53 x 1,25 x 1000 x 9,81 pA = 104488,725 pabsoluta
  • 60.
    2- 31 pabs =patm + pman  → - pman = patm - pabs - (pman) = 101325 – 104488,725 = - 3163,725 N/m2 pman = 3163,725 N/m2
  • 61.
    3- 1 CAPÍTULO III PRICIPIOSDE CONSERVACION Problema 3.1. Un depósito de agua tiene un orificio en el fondo y es de nivel constante. El área del chorro que sale del tanque es inicialmente ( 0) o A y = . Si el nivel del agua en el depósito es 1 H , se pide el área de la sección recta del chorro en función de y. Problema 3.2. El agua fluye hacia un tanque por el tope con un caudal de 200 gal/min. El tanque tiene 18 pulg de diámetro y tiene un agujero de 3 pulg de diámetro en la base del tanque a través del cual fluye agua hacia el exterior. Si el agua de la entrada se ajusta para igualar el caudal de salida ¿Cuál es la altura del agua alcanzada en el tanque? Si se desprecia la fricción. Problema 3.3. ¿Cuáles serán las pérdidas por fricción que sufre el agua a 20ºC al pasar por la siguiente contracción? ¿Cuál será la diferencia de presión entre los puntos 1 y 2?
  • 62.
    3- 2 Problema 3.4. Parael tanque que se muestra en la figura, calcule la rapidez de flujo de volumen de agua que sale por la boquilla. El tanque está sellado con una presión relativa de 20 lb/pulg² por encima del agua. La profundidad, h, es de 8 pies. Problema 3.5. Para el sistema que se muestra en la figura calcule: a) El caudal de agua que sale de la boquilla. b) La presión en el punto A. Problema 3.6. Para el sifón que se presenta en la figura, supóngase que la rapidez de flujo es de 5,6x10-3 m³/s. Determinar la máxima distancia Y posible, si la presión máxima permitida en el sistema es de -18 Kpa (gage).
  • 63.
    3- 3 Problema 3.7. Elrespiradero en el depósito que se muestra en la figura está cerrado y el depósito se ha presurizado para incrementar el caudal. ¿Qué presión, p1, es necesaria para obtener el doble de gasto que hay cuando el respiradero está abierto? Problema 3.8. Por medio del sifón se extrae agua del depósito que se muestra en la figura. Determinar el caudal que sale del depósito y las presiones en los puntos (1), (2) y (3) si se ignoran los efectos viscosos.
  • 64.
    3- 4 Problema 3.9. ¿Quédiámetro de orificio de se requiere si en condiciones ideales el caudal a través del medidor de orificio de la figura, debe ser de 30 gal/min de agua de mar con p1-p2=2,37 lb/pulg²? Se supone que el coeficiente de contracción es 0,63. Problema 3.10. A través de la contracción de la tubería que se muestra en la figura fluye agua. Para una diferencia dada de 0,2 m en el nivel del manómetro, determinar el caudal en función del diámetro del tubo pequeño, D.
  • 65.
    3- 5 Problema 3.11. Untanque cilíndrico de 1,52 m de diámetro y 7,62 m de altura contiene aceite de algodón que tiene una densidad de 917 kg/m3 . El tanque es abierto a la atmósfera. La tobera de descarga de diámetro interior 15,8 mm y área transversal A2 está ubicado cerca de la base del tanque. La superficie del líquido está localizado a H = 6,1 por encima de la línea central de la tobera. La descarga de la tobera es abierta, y drena el líquido desde H = 6,1 m a H = 4,57 m. Determinar: a) A partir de la ecuación de la ecuación de Bernoulli, la ecuación de velocidad de descarga. b) El caudal de descarga cuando H = 6,1 m c) El tiempo de drenaje. Problema 3.12 (venturimetro) Para el medidor de Venturi se reportaron los siguientes datos experimentales en un equipo experimental de banco de medidor de flujo. Corrida Nº Caudal Q (m3 /s) Manómetro diferencial ∆H (m Hg) 1 6,046x10-3 0,60 2 5,516x10-3 0,50 3 4,927x10-3 0,40 4 4,259x10-3 0,30 5 3,494x10-3 0,20
  • 66.
    3- 6 Datos: D1= 50 mm (tubo) D2 = 25 mm (garganta) ρ = 999 kg/m3 ; µ = 1,13x10-3 kg/m x s a) Calcular Cv en función de Re b) Diseñe el diámetro de la garganta del venturi para las nuevas condiciones: Q = 0,0207 m3 /s D1 = 102,3 mm ∆h = 1,0 metro de Hg Problema 3.13. (Venturímetro) En una conducción de agua de 20 cm de diámetro interno, se desea medir su caudal mediante un venturímetro y para conocer las características del manómetro que debe instalarse, se plantea calcular la lectura manométrica para diferentes relaciones d/D (0,89, 0,60, 0,40), para el intervalo de velocidades en la sección ancha de 0,2 m/s – 2,0 m/s: densidad = 1000 kg/m3 , viscosidad = 0,012 P, el coeficiente del Venturi Cv se tomará como 0,98 para (Re) en la garganta > 10000. Problema 3.14. (Orificio) Por la tubería de acero de 1 ½” se lleva hasta un depósito el benzol procedente del condensador de una columna de rectificación. Para la medida del caudal de dispone de un orificio de bordes rectos de 10 mm de diámetro de orificio. Las tomas de presión se disponen de un diámetro del tubo, antes y después del orificio. El manómetro vertical empleado tiene agua como líquido denso, siendo la lectura máxima en el de 20 cm y la mínima obtenida con superficie exactitud 2 cm. Tomando para la densidad del benzol el valor de 874 kg/m3 , determínese el intervalo de caudales para los cuales pueden obtenerse medidas satisfactorias. Problema 3.15. (Orificio) En una conducción de 10 cm de diámetro interior, por lo que circula agua, se desea instalar un medidor de caudal. Se dispone de un orificio de 5 cm de diámetro de orificio.
  • 67.
    3- 7 a) Calcularla lectura manométrica en milímetros de mercurio para el caso de que se instale el orificio indicado y el caudal del agua sea 30 m3 /h. b) Estimarse la fracción de la variación de la presión que se mide en el manómetro instalado en el orificio, que puede considerarse como pérdida de carga permanente. c) Indique si la instalación del orificio ocasionará una variación apreciable de caudal, si se sabe que la bomba que hace circular el agua de una carga de 60m. Variación del coeficiente Co en función de número de Reynolds en el orificio. Co 0,68 0,69 0,66 0,64 0,62 0,62 Reo 100 1000 2000 4000 10000 100000 Problema 3.16 (orificio) La boquilla de ducha (shower head) que se muestra en la figura conduce agua a 50 o C. Se instala un reductor de tipo orificio. La presión de corriente arriba es constante de 400 kPa. (a) ¿Que caudal de flujo, en gal/minutos resulta sin reductor de orificio?. (b) Que diámetro de reductor de orificio podría disminuir el flujo en 40 % ?. Problema 3.17 (Pitot) Para el arreglo de la presión estática que se muestra en la siguiente figura, el fluido del manómetro es agua (coloreada) a 20 o C. Estimar:
  • 68.
    3- 8 a) Lavelocidad en la línea central de la corriente ( velocidad máxima) b) El caudal de flujo de aire que circula a través de la tubería, y c) El esfuerzo de corte en la pared considerando un tubo liso. Problema 3.18 (Pitot) Para el agua que circula a 20o C, tal como se observa en la siguiente figura, se utiliza un Pitot estático para estimar: a) la velocidad en la línea central de la corriente (velocidad máxima) b) el caudal de flujo a través de tubería de 5 pulgas de diámetro interior de una tubería lisa. c) Cual es el error que causa en el caudal al despreciar 1 ft de diferencia elevación. Problema 3.19 Un ingeniero quien tomo un curso de mecánico de fluidos en el pasado verano ha hecho un agujero muy lejos aguas corriente arriba para instalar la presión estática de prueba, tal como se observa en la siguiente figura, asi contamina ridículamente la medición de
  • 69.
    3- 9 pitot conperdida por fricción en la tubería. Si el flujo en la tubería es aire a 20 o C y 1 atmósfera de presión y el fluido manometrito es aceite rojo de Merian (SG= 0,827), estimar la velocidad del aire en la corriente central para una lectura dada de un manómetro de 16 cm. Suponga la pared del tubo es liso. Problema 3.20 (Pitot) El profesor responsable de la asignatura de Mecánica de fluidos debe medir la velocidad del agua en un túnel. Debido a restricciones presupuestales, el no puede disponer de tubo pitot estático, así que el inserta una sonda de carga total y una sonda de carga estática, ambos en la corriente principal lejos de las capas de frontera de la pared, tal como se muestra en la figura,. Las dos sondas son conectadas a un manómetro. a) Escribe una expresión para la velocidad, V , del túnel en términos de los parámetros en la figura. b) ¿Es crítico que h1 debe medirse con precisión? c) ¿Que tanto se defiere la parte (a) de la formula de tubo pitot estático?
  • 70.
    3- 10 Problema 3.21.(Vertetero) El vertedero que se encuentra encima del canal de bajada de la sección de rectificación de una columna de destilación tiene un ancho de 1,2 metros sobre el cual fluye un líquido con una carga de 18 mm. Determine el caudal de flujo que circula a través de canal de bajada. Problema 3.22 Un canal rectangular contiene un vertedero tipo ranurado en forma de V, tal como se muestra en la figura. La intención es suministrar un flujo que varié entre 2,0 y 6,0 m3 /s. Se mide la profundidad del agua entre 2,0 y 2,75 metros con un escala de gancho fijado corriente arriba. Cual es el valor mas apropiado de la altura de la ranura Y y el ángulo medio α de la ranura?. Problema 3.23 El agua que fluye en un canal rectangular va ser atravesado a través de un vertedero de placa delgada con acortamiento en los lados, ver figura, con L = 6 ft y Y = 1 ft. Se desea medir el caudal de flujo entre 1500 y 3000 gal/min con un cambio de profundidad solamente de 6 pulgadas en la corriente arriba. ¿Cual es la longitud mas apropiada para el ancho del vertedero b?. Utilizar la siguiente correlacion de caudal de flujo: [ ] ( ) 3/2 0,581 0,1 , 0,5 Q b ho g ho ho Y ≈ − < Problema 3..24 La descarga de coeficiente de vertedero de ángulo recto va ser determinado a través de un rango de valores de carga medido corriente arriba ho. Para calibrar el vertedero, la descarga del vertedero se recoge en un tanque y pesado para un intervalo de tiempo.
  • 71.
    3- 11 Este procedimientoresulta en la siguiente medición de velocidad de flujo versus la carga corriente arriba (Nota: de acuerdo a la teoría la carga debe medirse a una distancia aproximada de 3ho m corriente arriba del vertedero mediante un nivel o un flotador). Q (ft3 /min) ho (pulgadas) 0,30 1 1,73 2 4,73 3 9,70 4 16,0 5 26,2 6 39,2 7 54,2 8 73,1 9 94,8 10 De los datos anteriores, calcular el coeficiente de descarga versus ho Para un vertedero triangular de ángulo recto, la velocidad ideal de descarga es: ( ) 5/2 8 2 15 i o Q g h   =     Problema 3.25 Un vertedero rectangular de cresta ancha es 30 pies de largo tiene una descarga conocida de de 0,70. Determinar la descarga si el nivel del agua de la corriente arriba es 2 ft por encima de la cresta. Problema 3.26 Ensayos sobre un vertedero de ranura en V de 60º reportan los siguientes valores de carga ho sobre un vertedero y el caudal Q: ho(ft) 0,345 0,356 0,456 0,537 0,568 0,594 0,619 0,635 0,654 0,665 Q(pcs) 0,107 0,110 0,205 0,303 0,350 0,400 0,435 0,460 0,490 0,520 Utilizar el algoritmo de mínimos cuadrados para determinar las constantes para este vertedero: ( )m o Q C h =
  • 72.
    3- 12 Problema 3.27 Enuna conducción de 40 cm de diámetro, por lo que circula el aire que se precisa en un horno, en el que se efectúa una fusión reductora, se desea comprobar el medidor de caudal de orificio instalado, con la realización de medidas de caudal mediante un tubo de Pitot. Se divide la sección de la conducción en cinco zonas de igual superficie (cuatro coronas y un circulo central) y se mide la velocidad en los puntos medios de las coronas, y en el punto medio del radio del circulo central y en su centro. Los valores de las lecturas del manómetro conectado al tubo Pitot son las siguientes: Posición Radio (cm) Lectura (mm H2O 0 0 34,0 1 4,5 33,0 2 10,8 29,8 3 14,1 26,0 4 16,7 20,7 5 18,9 12,3 Calcúlese: a) Caudal, la velocidad media y la velocidad máxima. b) Relación velocidad media a velocidad máxima. c) Repetir la pregunta (a) y (b) realizando el cálculo de caudal mediante la expresión: 0 2 R Q v RdR π = ∫ Problema 3.28 Para tener un indicación aproximada del caudal de una conducción en que se tiene garantía de que el flujo es turbulento, se instala un tubo de Pitot en posición central. La conducción tiene 15 cm de diámetro interno. Se utiliza como liquido manometrito el mismo fluido que circula por la conducción. La densidad del fluido es 1050 kg/m3 y su viscosidad 0,02 P. a) Deduzca la expresión que permite determinar el caudal. b) Determinar el caudal correspondiente a una lectura manométrica de 15 cm.
  • 73.
    3- 13 CAPÍTULO III SOLUCIÓNDE PROBLEMAS Problema 3.1. Ecuación de Bernoulli entre los puntos A y B. 2 2 2 ... ...... ...... .... 2 ........ 2 : 0 0 2 ... 1 2 ..( ) A A B B A B A B A A B B B B p V p V z z g g g g Simplificaciones z z H V p p V z V gH g ρ ρ + + = + + = = − = = ∴ = −  → = Ecuación de Bernoulli entre A y C: ( ).......... 2 .. (2) .. C V g H g = + Ecuación de continuidad entre B y C: ( ) ( ) (3) ................. B o C B o C Q V xA V xA y V A y A V = =   =     Reemplazando la ecuación (1) y (2) en la ecuación (3):
  • 74.
    3- 14 ( ) () 2 ( ) 2 ( ) o o gH A y A g H y H A y A H y = + = + Problema 3.2. in out in in out out in in out out m m m xV xA xV xA m Q V xA V xA ρ ρ = = = = = = De acuerdo a esta ecuación de continuidad, es necesario calcular la velocidad a la salida del orificio ( out V ). Ecuación de Bernoulli entre los puntos (1) y (2), despreciando la fricción: ( ) ( ) 2 2 3 2 2 3 3 ........... ........... ........... .... ........... ........... ......... 2 ; 1 2 (*) 2 : 200 1,2617 10 76,2 10 4,5 .. 6037 10 4 out out out out out o o V Vout gH pero Q V A Q Q V A A gH H g A Donde m Q gpm x s A x x m π − − − = = =   ∴ = =  → =     = =   = =     2 (*): 0,39 . 0,4 . 0 Reemplazando en H m m = ≈
  • 75.
    3- 15 Problema 3.3. Aplicandola ecuación de Bernoulli entre los puntos (1) y (2): 2 2 1 1 2 2 1 2 1 2 2 2 1 2 2 1 2 2 2 1 1 1 1 2 2 : ( ) . . ... ........... ................................ ............ 0 0 4 .. 2 2 L L p V p V z z h g g g g Simplificaciones z z Posición horizontal p p V V h g g V V L h f g D ρ ρ ρ + + = + + + = − − ∴ = + ↓ ≈ ≈ − ∆ = + 2 1 2 2 2 4 2 V L f g D + 2 2 2 2 exp 2 2 V V K g g + Se supone que L1 y L2 son tramos cortos y se puede despreciar la pérdida de carga para tramos de sección uniforme: 2 2 2 2 1 2 exp ... .............. (*) 2 2 .......... V V V h K g g − ∴ ∆ = + Cálculo de V2=? De la ecuación de continuidad: 1 1 2 2 2 2 2 1 1 1 2 1 1 1 2 2 2 2 2 4 4 1 4 2 4 4 V A V A D A D m V V V V A D s D m V s π π =     = = = = =         = En (*): De tablas:
  • 76.
    3- 16 Para 2 1 0,5 D D =; Kexp=0,33. ( ) ( ) ( ) 2 2 2 3 2 2 2 . . 4 1 4 0,33 1,03364 2 9,81 2 9,81 : 998 9,81 1,03364 10119,7284 . 10119,72 . . . . 8 . 4 h x m de columna de agua x x Expresado en presión kg m kg P xgx h x x m m s m s N P m ρ − ∆ = + = ∆ = ∆ = = ∆ = Problema 3.4. Datos: 1 2 2 2 2 20 14,7 34,7 239310,3448 101325 8 2,4384 lb N P pulg m N P m h pies m = + = = = = = Aplicando balance de energía entre los puntos (1) y (2): 1 z 2 1 1 2 p V g g ρ + + 2 2 2 2 1 2 1 2 2 2 1 2 : 0 239310,3448 101325 0 p V z hf g g Simplificaciones z z h N p m N p m V ρ = + + + = = − = = =
  • 77.
    3- 17 ( ) 2 12 2 2 1 2 2 1 2 2 2 2 2 2 2 239310,3448 101325 2 9,81 2,4384 998 9,81 18,01014 p p V z g g p p V g h g p p V g h g V x x m V s ρ ρ ρ − ∴ − =   − = − −       − = +     −   = +     = Calculando la rapidez de flujo: ( ) 2 2 2 2 3 2 3 3 4 3" 0,0762 18,01014 0,0762 0,08213 4 0,08213 2,90042 Q V xA V x D D m m m Q x m s s m ft Q s s π π = = = = = = = = Problema 3.5. Solución: Balance de energía entre los puntos (1) y (2): a) ? Q =
  • 78.
    3- 18 1 z 1 p g ρ + 2 1 2 V g +2 2 p z g ρ = + 2 2 2 V hf g + + ( ) ( ) ( ) ( ) ( ) 1 2 1 2 1 2 2 2 2 2 2 2 2 2 2 2 3 2 2 ....................... ... (1) : 0 2,4 3,6 6,0 0 0 : 0 2 2 2 9,81 6,0 10,8498 4 10,8498 0,050 2,13 .... ...... 035 10 . 4 Simplificaciones z z p p V hf Luego V z V g z g m V x s Q V A V x D m Q x x s π π − = = − + = − = ≅ = = +  → = − = = = = = = b) ? A P = A z 2 2 2 A A p V z g g ρ + + = 2 2 2 2 2 2 2 : ? 101325 ? 10,8498 A A A p V g g Simplificaciones z z p p V V ρ + + = = = = = Cálculo de V1: ( ) ( ) ( ) 3 2 2 2 2 2 2 2 2 2 2,13035 10 1,2055 0,150 4 2 2 10,8498 1,2055 101325 998 9,81 998 9,81 2 9,81 2 9,81 159341,2 1 ...... ...... 59,3412 A A A A A A A A A Q Q V A V A m x m s V s m p V V p g g g g p x x x x p Pa KPa π ρ ρ − =  → = = =   = + −       = + −       = =
  • 79.
    3- 19 Problema 3.6. Solución: Balancede energía entre los puntos (1) y (2): 1 z 1 p g ρ + 2 1 2 V g + 2 2 p z g ρ = + 2 2 2 V hf g + + 1 2 1 2 1 2 2 2 2 2 2 2 2 (1) : 0 ( ) 0 0 : 0 2 2 ....................... ... . ....... ....... 2 Simplificaciones z z X p p Presión atmosférica V hf Luego V V z z g g V X g = = − = = = = +  → − = = Cálculo de V2: ( ) 3 3 2 2 2 2 2 5,6 10 11,4082 0,025 4 : 11,4082 6,6334 2 9,81 m x Q m s V A s m Luego m s X m m x s π − = = =       = =
  • 80.
    3- 20 Balance deenergía entre los puntos (1) – (A): 1 z 1 p g ρ + 2 1 2 V g + A z = 2 1 2 A A A p V hf g g ρ − + + + 1 1 1 1 2 2 : 0 0 ( ) 0 : 0 .. 2 2 A A A A A A Simplificaciones z z V p Manométrica hf Luego p V g g V p g g ρ ρ − = = = = = +   = −     Cálculo de VA: ( ) 3 3 2 2 2 2 2 5,6 10 2,8521 0,050 4 2,8521 : 2,8521 998 9,81 4059,1027 2 9,81 A A m x Q m s V A s m m V s Luego m s p x Pa m x s π − = = = =             = − = −       Balance de energía entre los puntos (A) y (B): A z 2 2 A A p V g g ρ + + 2 2 B B B p V z g g ρ = + + A B hf − + ( ) : 0 0 : 4059,1027 18000 1,4239 998 9,81 1,4239 A A B A B A B B Simplificaciones z V V hf Luego p p z Y g Y m x Y m ρ − − = = = = = − − − = = =
  • 81.
    3- 21 Problema 3.7. Cuandoel tanque está abierto (Presión atmosférica). Ecuación de Bernoulli entre los puntos (1) y (2): 1 z 1 p g ρ + 2 1 2 V g + 2 z = ( ) 2 2 2 1 2 2 1 2 1 2 2 2 2 2 2 .. . . .. .. . 2 : 0 ( ) ( ) 0 ( ) : 0 2 2 . . . . .. .. .. .......................... 2 ...... T orificio p V g g Simplificaciones z Nivel de referencia z H H z p p Abierto a la atmósfera V D d Luego V z V g z g V gH ρ + + = = −  → = − = = >> = +  → = − = Caudal a través del orificio, supongamos d=diámetro del orificio, por tanto: 2 2 orif orif Q V xA A gH = = Ahora para la condición cuando el respiradero está cerrado, y el caudal es necesario duplicar y para lo cual hay necesidad de presurizar el tanque: Sea: 2 2 orif Q A gH = Igualmente se plantea la ecuación de Bernoulli:
  • 82.
    3- 22 2 2 11 2 2 1 2 1 2 1 2 2 2 1 2 2 1 2 2 2 2 2 : 0 ( ) 10 3,048 ? 101325 / ( , .. . . .. . . : 0) . . : . 0 0 2 . p V p V z z g g g g Simplificaciones z Nivel de referencia z H ft m p p N m Cuando es presión absoluta pero si es manométrica p V V Luego p p V z g g g ρ ρ ρ ρ + + = + + = = − = = = = = = ≠ = + + Consideremos que todo sea manométrica, entonces: 2 0 p = Por tanto: 2 1 2 2 2 p V z g g ρ = + Se sabe que: 2 2 2 2 , 2 . orif orif orif orif Q A gH pero Q V A A Q V A = = = = 2 orif gH A 2 2 2 2 2 9,81 3,048 15,4663 gH m V x x s = = = Finalmente: ( ) ( ) 2 1 1 1 1 2 3 1 1 2 .. .. .. .. .. . 15,4663 3,048 12,1919 2 9,1439 9,1439 : 1000 ( ) 89702,33 1 . . .. .. 3,013 p p H g xg g p p x xg g kg Sea Densidad del H O manométrica m N p p psig m ρ ρ ρ ρ ρ = − +  → = − + =  → = = =  → =
  • 83.
    3- 23 Problema 3.8. Primerocalculo la presión en el punto (1): 1 101325 8 atm p p hx xg ft ρ = + = + 0,3048 1 m x f 3 2 1 1 2 1000 9,81 101325 8 00,3048 1000 9,81 125245,70 ( ) Kg m x x m s t p x x x N p Absoluta m = + = Si es manométrica: 0 atm p = 1 2 23920,70 N p m = Cálculo del caudal: Ecuación de Bernoulli entre los puntos (1) y (2):
  • 84.
    3- 24 ( ) 22 1 1 2 2 1 2 1 2 1 1 2 2 2 2 2 2 2 2 2 2 : 0 ( ) 3 0 ( ) : 0 2 2 2 9,81 3 0,3048 4,23563 .. . . .. .. .. p V p V z z g g g g Simplificaciones z Nivel de referencia z ft V p p Atmósferica Luego V z V g z g V x x x m V s ρ ρ + + = + + = = − = = = +  → = − = = Finalmente se tiene que: ( ) 2 2 2 3 5 4,23563 0,2 0,0254 4 8,58 10 ................ 0,085 .. 8 // . ...... Q V xA x x m Q x s L Q R s π −   = =     = = Cálculo de presión en los puntos (3) y (2): Primero calculamos la presión en el punto (3).
  • 85.
    3- 25 Ecuación deBernoulli entre los puntos (3) y (a): 3' z 2 3' 3' 2 p V g g ρ + + a a p z g ρ = + 2 2 a V g + ( ) ( ) 3 3' 3' 3' 3' 3' 2 3 3' : 0 ( ) 3 3 0,3048 0 ( ) ( ) : 3 0,3048 1000 9,8 .. . . .. . .. . 1 8970,26 : . . . ( . a a a a a Simplificaciones z Nivel de referencia z ft x m p Considere manométrica V V D constante Luego p z p z g g p x x x N p m pero p p mismo niv ρ ρ = = − = − = = = =  → = = − = − = ) el Segundo calculamos la presión en el punto (2), como se puede observar en la figura, la presión en l punto (2) es presión de succión; igual planteamos la Ec. de Bernoulli entre los puntos (3) y (2): 2 3 3' 3 2 p V z g g ρ + + 2 z = 2 2 2 2 p V g g ρ + + 2 3 3 3 2 3 2 3 2 : 0 ( ) 8 0,3048 3 0,3048 1000 9,81 ( ) : 3 0,3048 1000 9,81 8 0,3048 1000 9,81 3 0,3048 1000 9,81 8 0,3048 100 .. . . .. . 0 9, . Simplificaciones z Nivel de referencia z x m p x x x V V mismo diámetro D cte Luego p p x x x z x g g x x x x p x x ρ ρ = = + = − = = = + = − = − 2 2 1000 9,81 81 14950, ........ 44 // ................ . . x x N p R m       =
  • 86.
    3- 26 Problema 3.9. Ecuaciónde Bernoulli entre los puntos (1) y (2): 2 2 1 1 2 2 1 2 1 2 2 2 1 2 2 1 2 : 2 2 . 2 p V p V z z g g g g Simplificaciones z z p p V V g g g ρ ρ ρ + + = + + = − = − Por la ecuación de continuidad: 1 4 V π ( ) 2 1 2 4 D V π = ( ) ( ) ( ) 2 2 2 2 1 1 2 2 2 4 2 2 1 2 1 1 2 1 2 2 4 4 2 2 2 1 2 1 1 1 1 1 2 2 1 2 2 2 : 1 2 2 .. .. .. . 2 . D V D V D D V V D V V D g g D Luego p p V D V V D g g D g g D p p g ρ ρ  → =     =  → =               −   = − = −             − 2 1 2 V g = ( ) 4 1 2 1 2 1 4 1 2 .......................... ... 1 1 2 (1) 1 D D p p V Ideal D D ρ       −         − =   −     Como no se conoce D2 y ahora hacemos uso de la relación de contracción: 2 2 0 0 .. .. c c A C A C A A =  → = La Ec. (1) puede escribirse también como: ( ) 1 2 1 2 1 2 1 2 1 p p V A A ρ − =   −    
  • 87.
    3- 27 Reemplazando elvalor de 2 0 c A C A = : ( ) 1 2 1 2 1 0 1 2 1 c p p V A C A ρ − =   −     Para un caudal real: ( ) ( )( ) ( ) 1 2 0 1 1 1 2 1 0 2 0 1 1 2 4 1 0 2 1 : 4 2 1 p p C xA V xA A A ó C x D p p Q D d ρ π ρ − =   −     − =   −     Datos: 1 2 2 D pulg pulg = = 2,54 1 cm x pulg 1 0 1 2 2 5,04 0,0504 0,63 2,37 cm D m C lb p p pulg = = = − = 1atm x 2 14,7 lb pulg 2 101325 1 N m x atm 2 16336,07 30 N m gal Q = = min 3,785 L x 1 gal 3 1 1000 m x L 1min x 3 3 3 3 2 3 60 30 3,785 10 1,8925 10 60 1000 ( ) . s x x m m Q x s s kg H O m ρ − − = = = Reemplazando datos: ( )( ) 2 3 0 0,63 0,0504 16336,07 4 1,8925 10 2 1000 2,0 1 x x x d π − =   −     Por aproximaciones sucesivas se calcula d0: 0 0,1298 d pulg =
  • 88.
    3- 28 Problema 3.10. Ecuaciónde Bernoulli entre los puntos (1) y (2): 2 2 1 1 2 2 1 2 1 2 2 2 1 2 2 1 2 2 : ( 2 2 . ... ) . p V p V z z g g g g Simplificaciones z z horizontal p p V V g g g ρ ρ ρ + + = + + = − ∴ = − De la ecuación de continuidad: 4 2 2 1 2 1 1 1 1 2 2 2 1 2 2 4 4 2 2 2 1 2 1 1 1 1 1 2 2 1 2 .. .. .. . 2 2 : 1 2 2 2 . A V V D V A V A V V A g g D Reemplazando p p V D V V D g g D g g D p p g ρ ρ     =  → =  → =               −   = − = −             − 2 1 2 V g = ( ) 4 1 2 1 2 1 4 1 2 1 1 2 1 D D p p V D D ρ       −         − =   −     Caudal: ( ) ( )( ) ( ) 1 2 1 1 1 4 1 2 2 1 1 2 1 2 4 1 2 2 1 4 2 , : 1 .. p p A V xA D D D p p Q pero p p hx xg D D ρ π ρ ρ − =   −     − = − = ∆   −    
  • 89.
    3- 29 Supongamos queno hay pérdida por fricción: ( )( ) 2 1 4 1 2 4 2 1 D hx Q D D π ρ ∆ =   −     ( ) xg ρ ( )( ) 2 1 4 1 2 4 2 1 D Q g h D D π = ∆   −     Datos: 1 2 0,1 0,2 D m D D h m = = ∆ = Luego: ( )( ) 2 4 2 3 4 4 0,1 4 2 9,81 0,20 0,1 1 0,015 ............ 6 // . 10 Q x x D D m Q R s D π − =   −     = − Problema 3.11. Datos: DT = 1,52 m Aceite algodón: ρ = 917 kg/m3 HT = 7,62 m D2 = 15,8 mm (Tobera de descarga) H1 = 6,1 m H2 = 4,57 m Para la figura mostrada:
  • 90.
    3- 30 a) Dela ecuación de Bernoulli: g v g p Z g v g P Z 2 2 2 2 2 2 2 1 1 1 + + = + + ρ ρ Simplificaciones: Z1 = 0 (nivel de referencia) Z2 = - H p1 = p2 v1 = 0 v2 ≠ 0 Ecuación de Bernoulli se simplifica a: 0 = -H + H g v g v 2 2 2 2 2 = ⇒ Caudal: Q = v2 A2 = 2 2 2 ) ( 4 v D π b) Caudal de descarga cuando H = 6,1 m 1 , 6 2 2 x g v = = 10,9399 m/s Q = 10,9399(m/s)x 3 2 3 3 3 [15, 10 ] 2,1449 10 2,1449 10 2,1449 10 / 4 x x x x m s π − − − − = − = = Q = 2,1449 L/s c) Tiempo de drenaje Se sabe que: 2 2 2 2 A x H g A v Q A dt H d desc T = = =       − [ ] t A A g H H dt A A g H dH T T H H         = − ⇒         = − ∫ ∫ 2 2 1 2 2 1 2 2 2 ( ) ( )         − = ⇒       − = 2 2 1 2 2 1 2 2 2 2 A A g H H t A A g H H t T T t ≡ 3000 segundos
  • 91.
    3- 31 Problema 3.12. Primeramenteplanteamos la ecuación de Bernoulli entre los puntos (1) y (2) 2 2 2 2 2 2 2 1 1 1 v p Z g v P Z g + + = + + ρ ρ (1) Simplificaciones: Z1 = Z2 (plano de referencia) 2 2 2 1 2 2 2 1 v v p p − = − ∴ ρ (2) De la ecuación de continuidad v1 A1 = v2 A2 (3) 4 2 1 2 1 2 2 2 2 2 1 1 2         = ⇒         = d d v v d d v v (4) Reemplazando (4) en (2):         −         = − ⇒ −         = 1 ) ( 2 2 2 4 2 1 2 1 2 1 2 1 4 2 1 2 1 2 1 d d v p p v d d v p p ρ ρ Donde: ρ p d d v ∆ −         = 2 1 1 4 2 1 1 (Velocidad ideal) (5) ρ p d d Cv v ∆ −         = 2 1 4 2 1 1 (Velocidad real) (6)
  • 92.
    3- 32 Donde: ρ p d d v Cv ∆ −         = 2 1 4 2 1 1 (7) Se sabe:Q = v Af → v1 = Q/Af 2 1 2 1 2 1 1 4 4 4 / D Q D Q D Q v π π π = =       = (8) y ) ( ρ ρ ρ − ∆ = ∆ ∆ = ∆ Hg g h g h p (9) Reemplazando (8) y (9) en (7): ( ) H Q g d d D g h d d D Q Cv Hg Hg ∆ − −               = − ∆ −               = ) 1 / ( 2 1 4 ) ( 2 1 4 4 2 1 2 1 4 2 1 2 1 ρ ρ π ρ ρ ρ π Reemplazando datos: H Q Cv ∆ − −             = ) 1 999 / 13600 ( 81 , 9 2 1 25 50 ) 050 , 0 ( 4 4 2 π H Q Cv ∆ = 3854 , 125 Corrida Cv v Re 1 0,9786 2 0,9781 3 0,9767 4 0,9749 5 0,9796 Cv = 0,97758 → Cv ≈ 0,98 b) Diseño. Datos: D1 = 102,3 mm ∆H = 1,0 m Hg Q = 0,0207 m3 /s
  • 93.
    3- 33 Para determinarel diámetro de la garganta (D2), utilizaremos la ecuación de venturi (Ec. 6). ρ p d d Cv v ∆ −         = 2 1 4 2 1 1 (I) Donde, ∆p = ∆H g ∆ρ = ∆H g [ρHg – ρ] (II) Reemplazando (II) en (I): ] 1 / [ 2 1 4 2 1 1 − ∆ −         = ρ ρHg H g d d Cv v Además se sabe que: Q = v1 A1 ; A1 = (π/4) D1 2 ] 1 / [ 2 1 4 2 1 1 − ∆ −         = ρ ρHg H g d d A Cv Q Despejando: ] 1 / [ 2 ) 4 / ( 1 2 1 4 2 1 − ∆ = −         ρ ρ π Hg H g Q D Cv D D Reemplazando datos: ] 1 999 / 13600 [ 0 , 1 81 , 9 2 0207 , 0 ) 1023 , 0 )( 4 / ( 98 , 0 1 3 , 102 2 4 2 − = −         x x D π 474 , 2 ) 4742 , 36 ( 3 , 102 1 ) 1216 , 6 ( 3 , 102 4 / 1 2 2 4 2 = = ⇒ − =         D D D2 = 102,3/2,4741 → D2 ≡ 41 mm Problema 3.13. 1. Calculamos el número de Reynolds en la conducción: 3 Re 1,2 1,2 10 / v D cp x kg mxs ρ µ µ − = = =
  • 94.
    3- 34 Máximo: Re= mxs kg x m x s m m kg / 3 3 10 2 , 1 20 , 0 ) / ( 2 ) / ( 1000 − Re = 333333 Mínimo: Re = 3 10 2 , 1 20 , 0 2 , 0 1000 − x x x Re = 33333 El número de Reynolds en la sección ancha supera en las descasos al número de Reynolds en la garganta, por tanto puede admitirse que Cv = 0,98 Empleando la ecuación de medición de caudal del Venturi se tiene: ρ ) ( 2 1 2 1 2 2 1 1 p p A A A Cv Q − −         = Expresado en forma de velocidad y relación de diámetro: v1 = Q/A1 2 2 1 4         =       A A d D Luego se tiene: ρ ) ( 2 1 2 1 2 1 p p d D Cv v − −       = Para lectura manométrica tipo piezómetro tenemos: p1 – p2 = h ρ g g h Cv d D v 2 1 4 1 = −       g h d D Cv v 2 1 4 1 = −             Despejando h: g Cv v d D h 2 1 1 2 1 4               −       = Reemplazando datos: d/D = 0,8 → ó D/d = 1/0,8 = 1,25 → (D/d)4 ≡ 2,44 cm m x h 6 , 30 306 , 0 81 , 9 2 1 98 , 0 0 , 2 ] 1 44 , 2 [ 2 max = =       − =
  • 95.
    3- 35 cm m x h 30 , 0 00356 , 0 81 , 9 2 1 98 , 0 2 , 0 ] 1 44 , 2 [ 2 min= =       − = d/D = 0,60 → D/d = 1/0,60 = 1,66 → (D/d)4 ≈ 7,71 cm m x h 142 42 , 1 81 , 9 2 1 98 , 0 0 , 2 ] 1 71 , 7 [ 2 max = =       − = cm m x h 42 , 1 0142 , 0 81 , 9 2 1 98 , 0 2 , 0 ] 1 71 , 7 [ 2 min = =       − = 0 , 39 5 , 2 40 , 0 4 =       → = ⇒ = d D d D D d Reemplazando en forma similar: hmax = 8,04 m = 804 cm hmin = 0,08 m = 8 cm Problema 3.14. Datos: D = 1 ½” do = 10 mm (bordes rectos) ∆h = 20 cm (máximo) ∆h = 2 cm (mínimo) ρ = 874 kg/m3 ρm = 998 kg/m3 (agua con líquido manométrica) Qmin = ?
  • 96.
    3- 36 Qmax =? La ecuación deducida para un medidor de orificio viene dada por la siguiente expresión: ρ ) ( 2 1 2 1 4 1 p p do D Co v − −       = (1) Para un líquido manométrico. p1 - p2 = ∆h g [ρm - ρ] (2) Reemplazando en la Ec. (1): ] 1 [ 2 1 4 1 − ∆ −       = ρ ρm h g do D Co v De la referencia de “Problemas de Ing Química” pag. 47 de Vian Ocon, el valor de Co = 0,61 (bordes rectos) cuando Re > 30000 (en el orificio). Como primera aproximación supongamos este valor. De tabla A- 19 (Vian Ocon, “Problemas de Ing. Qca” Para D = 1 ½”  → Di = 40,9 mm Para ∆h = 20 cm de agua ] 1 874 998 [ 20 , 0 81 , 9 2 1 10 9 , 40 61 , 0 4 1 − −       = v v1 = 0,02725 m/s Q = v1 x Af = 0,02725 x π/4 (0,0409)2 Q = 3,5811x10-5 m3 /s Q = 0,130 m3 /s Para ∆h = 2 cm de agua: ] 1 874 998 [ 020 , 0 81 , 9 2 1 10 9 , 40 61 , 0 4 2 − −       = v v2 = 8,619463x10-3 m/s Q = v x A = 8,619463x10-3 x π/4 (0,0409)2 Q = 1,1324x10-5
  • 97.
    3- 37 Q =4,07x10-2 m3 /h Q = 0,0407 m3 /h Verificación del mínimo número de Reynolds: µ ρ D x v x = Re Aquí la única incógnita es la viscosidad del benzol: Problema 3.15. El caudal de circulación en el orificio se calcula como: ρ ) ( 2 1 2 1 4 p p do D Co vo −       − = Para el caso de lectura manométrica p1 – p2 = h x g (ρm – ρ) 81 , 9 2 ) 62 , 0 ( ] ) 10 5 ( 1 [ ) 24 , 4 ( 2 4 2 2 1 x x p p − = − γ O H de m p p 2 2 1 23 , 2 = − γ En columnas de mercurio, el cálculo es como sigue: p1 – p2 = h x g x (ρm – ρ) γ = ρ x g Reemplazando: 23 , 2 ) ( = − − g g x h m ρ ρ ρ h = 2,23 (ρ/ρm – ρ) ρ = 1000 kg/m3 (agua), ρm = 13600 kg/m3 (Hg) h = 2,23 (1000/(13600-1000)) h = 0,1769 m de Hg h = 17,7 cm de Hg b) Como primera aproximación se puede admitir como: total p Temporal p ∆ ∆ = Co 2 = 0,62 = 0,38 Por tanto ∆p permanente/∆p temp = 1 – 0,38 = 0,62  → 62 %
  • 98.
    3- 38 c) Lalectura de variación de presión en el orificio supone una pérdida de presión permanente próxima a 2,23 m de H2O x (0,62) = 1,382 m de H2O frente a los 60 metros de carga que suministra la bomba, supone en: (1,382/6,0) x 100 = 23 % Este valor es poco importante en forma relativa, pero el consumo de energía en la lectura es grande. Problema 3.16 Datos: Para agua: T = 50 o C 3 988 / 0,54 3 / kg m E kg ms ρ µ = = − Además, suponga que la carga de la boquilla de la ducha es un pobre difusor, así que la presión en la boquilla, también es cerca de 400 kPa. Suponga que la presión exterior es estándar a nivel del mar de 101 kPa. De los resultados de ensayo realizado en un banco de medidor de flujo se ha determinado para un “orificio típico” un valor de Co = 0,61 (ver parte teórica Cap III, Fig. 3.7) , luego el balance planteado para un orificio de la ducha de acuerdo al siguiente esquema es :
  • 99.
    3- 39 1 z 2 1 1 2 2 pV z g g ρ + + = 2 2 2 2 2 1 2 2 1 2 : ( ) 0 2 2 p V g g Simplificaciones z despreciable p p V V g g g ρ ρ + + ∆ = = − = − Ecuación de continuidad: 4 2 2 1 2 2 1 1 2 2 1 2 2 V V D Qorificio V A V A g g D   = = ⇒ =     Combinando con la ecuación anterior: 4 4 2 2 2 1 2 2 2 2 2 2 1 1 1 2 2 2 p p V V D V D g g g D g D ρ       −   = − = −             ( ) 1 2 2 4 2 1 2 1 1 p p V D D ρ − =   −    De la definición de contracción (ver el esquema anterior) se establece: 2 2 c c D C D C do do = ⇒ = Reemplazando ( ) 1 2 2 4 1 2 1 1 c p p V C do D ρ − =   −    Calculo de caudal:
  • 100.
    3- 40 ( )( ) ( ) 2 2 1 2 1 2 2 2 2 4 4 1 1 2 2 4 1 1 c c D p p p p A Q V A C do C do D D π ρ ρ − − = = =     − −         Reemplazando el valor de D2= Cc do ( ) ( ) 2 1 2 4 1 2 4 1 c Ccdo p p Q C do D π ρ − =   −    Introduciendo la pérdida de carga ( ) ( ) ( ) ( ) 2 2 1 2 1 2 4 4 1 1 2 2 4 4 1 1 c do Co Ccdo p p p p Q C do do D D π π ρ ρ     − −   = =     − −         O es lo mismo expresar como: ( ) ( ) ( ) ( ) 2 2 1 2 1 2 4 4 1 1 2 2 4 4 , 1 1 orificio do Co do Co p p p p do Q D do D π π β ρ ρ β         − −     = = = −   −    Simplificación: como 1 1 0 do do D D β <<< ⇒ = ≅ Reemplazando datos: ( ) ( ) ( ) 2 2 1 2 4 (0,0015) 0,61 2 2(400000 101000 4 4 988 1 0 1 orificio do Co x p p Q π π ρ β         − −     = = − −
  • 101.
    3- 41 3 2,65 5/ orificio Q E m s = − ( ) 3 3 45 45 2,65 5 / 0,00119 / 19 /min total orificio Q Q x E m s m s gal = = − = = A continuación, verificamos el número de Reynolds en la tubería de entrada: ( ) 2 Re 4 total total D D D D Q Q V D V A D ρ π µ = ⇒ = =       Reemplazando: 3 0,00119 / , 15 total Q m s D cm = = ( ) ( ) 3 2 2 0,00119 / 0,015 4 4 6,734 / total total D D D Q Q m s V A D V m s π π = = =             = 3 988 6,734 6,734 Re Re 182112 0,548 10 D D D V D x x x ρ µ − = ⇒ = = De acuerdo a la Fig. 3,7 (Parte teórica), el valor de 0,60 , Re 180000 D Co ≅ > Luego, nuevamente recalculamos con el nuevo valor de Co: ( ) ( ) ( ) ( ) 2 2 1 2 4 (0,0015) 0,60 2 2 400000 101000 4 4 988 1 0 1 orificio do Co x p p Q π π ρ β         − −     = = − − 3 2,6085 5 / orificio Q E m s = − 3 3 45 45 2,6085 5 / 0,001173 / total orificio Q Q x E m s m s = = − = a) ( ) 3 0,001173 / 18,6 /min Re . total Q m s gal sp = ≅ b). Una reducción de 40 % podría producir un caudal de:
  • 102.
    3- 42 3 43 0,60 (0,001173 / ) 7,004 10 / Total Q x m s x m s − = = Luego el caudal para cada orificio corresponde: 5 3 1,57 10 / 45 Total Orificio Q Q x m s − = = A continuación podemos calcular la caída de presión que produce los orificios, y para el cual planteamos el siguiente esquema: ( ) ( ) ( ) ( ) ( ) 2 1 2 4 2 5 2 1 1 2 2 1 2 4 1 (0,0015) 0,60 2( ) 4 1,57 10 988 1 0 108000 108 000 108000 , 101000 ( .) 108000 101000 209000 orificio do Co p p Q x p x p Pa p p Pa p p pero p atm p Pa π ρ β π −     −   = −     −∆   = − −∆ = − − = ⇒ = + = = + = Luego la presión: 1 arg int , c a erior del difusor p p ver esquema =
  • 103.
    3- 43 Luego elreducidor de flujo debe disminuir la presión de entrada (400 kPa) hasta esta presión (209 kPa). A continuación calculamos el diámetro de reductor de flujo de acuerdo al siguiente esquema: La ecuación a utilizar es la misma que de un orificio, así tenemos la siguiente expresión definido de acuerdo al esquema anterior: ( ) ( ) ( ) ( ) ( ) 2 1 4 2 1 4 2 4 4 2 4 2 4 , , 1 2 4 1 (0,015 ) 0,61 2 400000 209000 4 7,04 10 988 1 0,3321 1 Total Total d Co p p d Q d D D D Co p p Q x x π β β ρ β π β ρ β π β β β β −     −   = = ⇒ = −     −   == −     −   = − = −
  • 104.
    3- 44 A continuaciónplanteamos el metodo de solucion: Sea la funcion objetiva: 2 0,3321 0 1 4 Fo β β = − = − (sup ) uesto β ( ) Fo calculado 0,40 0,17 0,50 0,07390 0,60 -0,05370 0,56 0,00184 0,561 0,000053 0 ≅ Luego: 0,561 d D β β = = 0,561 1,5( ) 0,842 Re . d D x cm cm sp β = = = Problema 3.17 Datos: Para aire: T = 20 o C y P = 1 atm. 3 1,2 / 1,8 5 / kg m E kg ms ρ µ = = − Para agua: T = 20 o C 3 998 / 1,0 3 / kg m E kg ms ρ µ = = − Representaron esquemática del problema:
  • 105.
    3- 45 a) Planteode ecuación de Bernoulli entre los puntos (1) y (2) 1 z 2 1 1 2 2 p V z g g ρ + + = 2 2 2 2 p V g g ρ + + L h + ( ) 0 1 2 2 2 . . : ( ) 0 Simplificaciones z z Posición horizontal V posicion estatica = = ( ) 1 0 , min max 2 L h posicion central la perdida por friccion es ima y la velocidad es ima p V ρ = ∆ = Calculo de p ∆ ( ) 1 ' aire po po p r x g ρ = + + [ ] 2 2 0,040 H O x g p r x ρ + = + + ( ) [ ] 2 2 1 0,040 0,040 0,040 9,8 998 1,2 391 aire H O aire g p p xg x x p Pa ρ ρ ρ +   − = − = −   ∆ = Luego 1 max 2 2 391 25,5 / 1,2 aire p x V V m s ρ ∆ = = = = b) El caudal de aire que circula por la tubería:
  • 106.
    3- 46 Primero suponemosque: ax 0,85 21,7 / promedio m V V m s = = Ahora verificamos con la ecuación de Prandtl: max 1 1,33 promedio D V V f =   +   (1) donde fD es factor de fricción de Darcy y es igua a: 4 ( ) D F f f factor de friccion de Fanning = F f f D ε = [ ] 0 , Re tubo liso         Calculo de numero de Reynods, Re ( )( ) 3 1,2 21,7 0,08 Re 115700 1,8 5 4,3672 10 , 4 0,00175 F D F V D E f x f f ρ µ − = = = − = = ≅ Reemplazando los datos en la Ec. (1): ( ) ( )( ) max 2 3 25,5 21,69 / ( ) 1 1,33 1 1,33 0,0175 21,69 0,08 0,109 / 4 promedio D promedio V V m s converge f Q V A x m s π = = =     + +     = = = c) Calculo de esfuerzo de corte en la pared: ( )( ) 2 2 0,0175 1,2 21,69 1,23 8 8 D W f V Pa τ ρ   = = =    
  • 107.
    3- 47 Problema 3.18 Datos:Para agua: T = 20 o C: 3 998 / 1,0 3 / kg m E kg ms ρ µ = = − Representaron esquemática del problema: A z 2 2 A A A p V z g g ρ + + = 2 2 B B p V g g ρ + + ( ) 2 : 0 1,0 0,3048 0 L A B B h Simplificaciones z z ft m V posicion estatica + = = − = − = ( ) 1 1 2 2 ( ) 0 , min max 2 2 ( ) B L L B p V g z h h posicion central la perdida por friccion es ima y la velocidad es ima p V g z ρ ρ ∆ = + + = ∆ = + Calculo de p ∆
  • 108.
    3- 48 ' B po po px = + ( ) 2 0,0508 0,3048 H O A g p x ρ + = + + ( ) ( ) ( ) ( ) ( ) ( ) ( ) [ ] ( ) ( ) 2 2 2 2 2 0,0508 0,0508 0,3048 0,0508 0,3048 0,0508 0,3048 998 9,8 0,0508 9,8 13600 998 2981,06 6273,78 9254,84 H O Hg B H O A H O Hg B A H O Hg H O B A B A B A g xg p g p g g p p g g p p x x x x p p Pa p p Pa ρ ρ ρ ρ ρ ρ ρ ρ + + = + +   − = + −   − = + − − = + − = Reemplazando datos: 1 1 2 9254,84 2 9,8 ( 0,3048) 998 3,54 / 11,63 / max x V x x V m s ft s V = − + = = = b). El caudal de aire que circula por la tubería: Primero suponemos que: ax 0,85 3,009 / promedio m V V m s = = Ahora verificamos con la ecuación de Prandtl: max 1 1,33 promedio D V V f =   +   (1) donde fD es factor de fricción de Darcy y es igua a: 4 ( ) D F f f factor de friccion de Fanning = F f f D ε = [ ] 0 , Re tubo liso        
  • 109.
    3- 49 Calculo denumero de Reynods, Re, considerando diámetro de la tubería D = 5 pulgadas = 0,127 metros. ( )( ) 3 998 3,009 0,127 Re 381378,7 1,0 3 3,4592 10 , 4 0,01383 F D F V D E f x f f ρ µ − = = = − = = ≅ Reemplazando los datos en la Ec. (1): ( ) ( )( ) max 2 3 3,54 3,06 / 10,04 / ( ) 1 1,33 1 1,33 0,01383 3,06 0,127 1,37 / 4 promedio D promedio V V m s ft s converge f Q V A x m s π = = = =     + +     = = = = c). Porcentaje de error causado en caso de omitir la diferencia de altura: ( ) 1 1 2 2 ( ) 0 , min max 0 ( ) 2 B L L B p V g z h h posicion central la perdida por friccion es ima y la velocidad es ima z se omite p V ρ ρ ∆ = + + = = ∆ = Calculo de nuevo valor de p ∆ ' B po po p x = + ( ) 2 0,0508 0,3048 H O A g p ρ + = + 0 seomite x + ( ) ( ) ( ) 2 2 0,0508 0,0508 H O Hg B A Hg H O g xg p p g ρ ρ ρ ρ +   − = −  
  • 110.
    3- 50 ( )[ ] ( ) 0,0508 9,8 13600 998 6273,78 B A B A p p x x p p Pa − = − − = Reemplazando datos: 1 1 2 6273,78 998 3,54 / 11,61 / max x V V m s ft s V = = = = El error cometido al no considerar la altura de 1 ft es : ( ) 3,54 3,06 % 100 15,7% 3,06 Error x − = = Problema 3.19 Escribiendo la ecuación de Bernoulli entre los punto A-B y considerando la pérdida de energía para una longitud muy grande, se tiene: Datos: Para aire: T = 20 o C y P = 1 atm. 3 1,2 / 1,8 5 / kg m E kg ms ρ µ = = − Esquema para plantear la solución del problema
  • 111.
    3- 51 A z 2 2 A A A pV z g g ρ + + = 2 2 B B p V g g ρ + + ( ) ( ) 2 : 0 , ( ) 0 tan 2 (1) L A B B A L h Simplificaciones z z en la misma linea de corriente V punto de es camiento p V g h g ρ + = = = ∆   = +     De la lectura del manómetro se tiene: ' A po po p x = + ( ) 0,16 aire B g p x ρ + = + ( ) ( ) [ ] [ ] ( ) 0,16 0,16 0,16 9,80 827 1,2 1294,85 1294,85 1294,85 aire m A B m aire A B B A g g p p g x x Pa p p Pa p p Pa ρ ρ ρ ρ + − = − = − = − = − = − Cálculo de pérdida de energía, hL: Para una tubería con tramo recto: A z 2 2 A A p V g g ρ + + B z = 2 2 B B p V g g ρ + + ( ) 2 : 0 , ( ) 0 tan 4 2 L A B A B A B L F h Simplificaciones z z en la misma linea de corriente V V D cons te de la tuberia L V p p h f D g + = = = = =   − = =    
  • 112.
    3- 52 De Ec.(1) se tiene: ( ) ( ) ( ) 1 2 1 2 (1) 2 2 2 L L L p V g h g p p V g h gh g ρ ρ ρ ∆   = +     ∆ ∆   = + = +     Reemplazando el valor de hL: ( ) ( ) ( ) 2 2 1 2 2 1 2 2 4 2 2 4 F F p L V V g f D g p L V f V D ρ ρ ∆   = +     ∆   = +     Pero 1 max V V = en la línea central de la corriente, por tanto se debe calcula la velocidad media (V) que se expresa como: 1 1 0,85 0,85 V V V de donde V = ⇒ = Reemplazando el valor V1 ( ) 2 2 2 4 0,85 F p V L f V D ρ ∆     = +         Reemplazando todos los datos ( ) [ ] [ ] 2 2 2 2 2 2 1294,85 10 4 0,85 1,2 0,06 1,384 2158,08 666,67 2158,08 666,67 1,384 2158,08 666,67 1,384 F F F F V f V V f V V f V f −     = +         = − + = − = −
  • 113.
    3- 53 Donde, () Re, / , F V D f f D f D ρ ε ε µ = = 0 , 0 ( ) tubo liso D ε   ⇒ =       Se resuelve por aproximaciones sucesivas: V(supuesto) (m/s) Re (--) D ε fF (--) V(calculado) (m/s) 30,0 120000 0,0 0,0043347 37,87 37,85 151400 0,0 0,0041348 39,65 39,65 158607 0,0 0,0040964 40,02 40,02 160080 0,0 0,0040889 40,10 Luego la velocidad promedio calculada considerando la pérdida por fricción es: 40,0 / V m s = Luego la velocidad en el centro de la línea es: 1 max 40,0 47,05 / Re . 0,85 0,85 V V V m s sp = = = = ⇐ Problema 3.20 Esquema para la solución del problema:
  • 114.
    3- 54 1 z 2 1 1 2 pV g g ρ + + 2 2 2 2 2 L V p z h g g ρ = + + + ( ) ( ) ( ) 1 2 1 1 2 1 2 2 2 1 2 1 : 0 , ( ) 0 tan ( ) 2 2 ( ) w w w Simplificaciones z en la misma linea de corriente z h V punto de es camiento p p V z g g p p h g V ρ ρ ρ = = − = − = + − − +     = De la lectura del manómetro se tiene: 2 2 ' w po po p h g ρ = + 3 1 1 m h g p h h ρ + = + + ( ) [ ] ( ) 2 3 3 1 2 1 w m w w h g h g p p h g ρ ρ ρ ρ + − = − + Introduciendo esta expresión en la ecuación anterior ( ) 3 2 Re . m w w gh V sp ρ ρ ρ − = Esta expresión es exactamente igual al de un tubo pito estático, por tanto, h1 no es importante. Problema 3.21 Datos: L = 1,2 m ho = 18 mm = 0,018 m
  • 115.
    3- 55 Ecuación: g ho ho L q 2 ) 2 , 0 ( 415 , 05 , 1 − = 81 , 9 2 018 , 0 ) 018 , 0 2 , 0 2 , 1 ( 415 , 0 5 , 1 x x q − = q = 5,31x10-3 m3 /s q = 19,11 m3 /h Problema 3.22 Hay una solución exacta para este problema que utiliza el rango complete de la profundidad del agua para medir el rango complete de caudal de flujo. Por supuesto, hay una variedad de combinaciones de ( ) ,Y α lo cual permite realiza un buen trabajo pero tiene menos rango y exactitud. De alguna manera, para la solución de este problema, match cada flujo para cada profundidad, con [ ] ho y Y = − y utilizando la siguiente correlación de flujo:
  • 116.
    3- 56 ( ) 5/2 0,44tan 2 Q g ho θ α α = ⇒ = Reemplazando los datos de acuerdo a la figura se tien: ( ) 5/ 2 0,44tan 2 Q g y Y θ α α = − ⇒ = A continuación se establece las siguientes ecuaciones: ( ) ( ) 5/ 2 3 5/ 2 3 2,0 / , 2 2,0 0,44tan 2 (1) 2,75 / , 2 6,0 0,44tan 2,75 (2) Q m s y m g Y Q m s y m g Y α α = = ⇒ = − = = ⇒ = − Dividiendo la Ec. (1) entre la Ec. (2), resulta: ( ) ( ) ( ) ( ) ( ) ( ) 5/ 2 5/ 2 2/5 0,44tan 2 2,0 6,0 0,44tan 2,75 2 2,0 6,0 2,75 2 0,6443 , 0,64 2,75 g Y g Y Y Y Y Y Y α α − = − −   =   −   − = ⇒ ≅ − Sustituyendo en cualquiera de las ecuaciones, obtenemos el ángulo: 34 Re . o sp α = Problema 3.23 Solution: We are given Y = 1 ft, so water level y1 and weir width b are the unknowns. Apply Table 10.2(b) to each flow rate, noting that y2 = y1 + 0.5 ft:
  • 117.
    3- 57 ( )( ) ( ) ( ) 3 1 1 3/ 2 3 1 1 3 2 2 1 3 3/ 2 2 2 1500 3,3420 , ? , 1,0 3,3420 / 0,581 0,1 (1) 6 3000 6,684 , , 1,0 12 6,684 0,581 0,1 (2) ft Q gpm y m Y ft s ft s b ho g y Y ft Q gpm y y ft Y ft s ft b ho g y Y s = = = =   ⇒ = − −     = = = + =       ⇒ = − −   Resolviendo simultáneamente las ecuaciones (1 y 2), y reemplazando el valor de 1 2 y y y : ( ) ( ) ( ) ( ) ( ) ( ) ( ) ( ) 3/ 2 3/ 2 1 1 1 1 3/ 2 3/ 2 1 2 1 2 0,1 0,1 1 1 3,3420 0,5 6,684 0,1 0,5 0,1 0,5 b ho b y y Y y b y b ho y Y y   − − −   − −     ⇒ = ⇒ = − −     − − −     Por iteración se determina: 1 1,80 , 1,50 Re . y ft b ft sp = = Problema 3.24 La descarga actual es: i Q C Q = Por tanto el coeficiente de descarga C esta dada por ( ) ( ) ( ) ( ) ( ) [ ] 3 ( ) ( ) 5/2 5/ 2 5/ 2 1,945 ( / min) 8 4,28 ( lg) 2 5 medido medido medido ideal o o o Q Q Q Q ft C Q h h pu g h = = = =
  • 118.
    3- 58 Así, determinamosla variación del coeficiente de descarga (C ) con la carga corriente arriba ( ho ) ho (pulgadas) 5/ 2 5/ 2 ( lg ) o h pu adas C 1 1,00 0,583 2 5,65 0,597 3 15,6 0,591 4 32,0 0,590 5 53,0 0,588 6 87,0 0,587 7 130,0 0,586 8 180,0 0,585 9 243,0 0,585 10 315,0 0,586 El coeficiente de descarga de este vertedero triangular es por tanto C = 0,585, excepto para muy baja carga. Por tanto la relación para la descarga del vertedero es: ( ) 5/2 2,50 o Q h = Con Q en ft3 / s y ho en pies. Problema 3.25 Datos: L = 30 pies C = 0,70 ho = 2 ft La formula de vertedero a aplicar es: ( ) 3/ 2 2 o Q C L g h =
  • 119.
    3- 59 En dondeQ es la descarga total a través de un vertedero rectangular de ancho L bajo la carga ho. El parámetro C en esta formula es el coeficiente de descarga del vertedero ( ) ( ) 3/ 2 3/2 3 2 0,7(30) 2 32,2 2 476 / Re . o Q C L g h x ft s sp = = = Problema 3.26 Ver la solución de este problema en “Mecánica de Fluidos” por Víctor Streeter y otros, 9na Edición, 2000 (Pág. 483-484). 2,437, 1,395 Re . m C sp = = Problema 3.27 Datos: Tubería: Diámetro (D) = 40 cm División de sección de conducción = 5 Fluido : Agua Se desea calcular: a) El caudal, velocidad media y velocidad máxima Esquema:
  • 120.
    3- 60 • Calculode área transversal del tubo ( ) ( ) 2 2 2 3.1416 0,40 0,1256 4 4 T A D m π   = = =     • Área del circulo y las coronas = 2 2 0,1256 0,0251 5 m m = = • Calculo del radio del círculo central y las coronas: ( ) 2 4 , , 4 2 T A D A D D R π π = = = (1) Luego el radio se calcula utilizando la Ec. (1), de acuerdo a la siguiente secuencia: Radio círculo central: 2 0,0251 , 0,1787 , 8,95 o o A m D m R cm = = = Corona 1: 2 1 2 0,0251 0,0502 , 0,2528 , 12,64 A x m D m R cm = = = = Corona 2: 2 2 3 0,0251 0,0753 , 0,3096 , 15,50 A x m D m R cm = = = = Corona 3: 2 3 4 0,0251 0,1004 , 0,3575 , 17,90 A x m D m R cm = = = = Corona 4: 2 4 5 0,0251 0,1255 , 0,3997 , 20,0 A x m D m R cm = = = ≅ • Calculo de velocidad puntual, V
  • 121.
    3- 61 Escribiendo laecuación de Bernoulli entre los puntos (1) y (2): 2 2 2 2 2 1 1 1 2 2 Z g v g p g v g p Z + + = + + ρ ρ Simplificaciones: Z1 = Z2 (plano de referencia) V2 = 0 (punto de estancamiento)         − − = g p p g v ρ 2 1 2 1 2 Calculo de (p1 – p2) acuerdo al balance de fuerzas de presión: O O′ = g h h p g h hg p m ) ( 2 1 ∆ + + = ∆ + + ρ ρ       − ∆ =         − − 1 2 1 ρ ρ ρ m h g p p Reemplazando:       − ∆ = 1 2 1 ρ ρm h g v (2) Datos del problema: 3 3 1000 / 1,67 / ( ) . agua m aire kg m kg m dato del problema h m de columna de liquido manometrico ρ ρ ρ ρ = = = = ∆ =
  • 122.
    3- 62 Así, parala posición cero, la lectura del manometro indica: 34 . ( . . ) 0,034 . . h mm de columna de agua mm c a m c a ∆ = = Reemplazando en la Ec. (2): 1 1000 2 1 2 9,81 0,034 1 19,96 / 1,67 20,0 / ( max ) m v v g h x x x m s v m s velocidad ima ρ ρ     = = ∆ − = − =         ≅ Luego se calcula en forma similar para otras posiciones, y los resultados se resumen en la siguiente tabla Tabla. Calculo de velocidad para diferentes posiciones dentro del tubo Datos del problema Velocidad, v Posición Radio, R (cm) 2 ( ) h mm H O ∆ (m/s) 0 0 34 20 1 4,5 33 19,7 2 10,8 29,8 18,7 3 14,1 26,0 17,5 4 16,7 20,7 15,6 5 18,9 12,3 12,0 Luego calculamos el caudal: 2 3 0,0251 (19,7 18,7 17,5 15,6 12,0) / 2,09 / Q v A m m s Q m s = = + + + + = Calculo de velocidad media 3 2 2,09 / 16,7 / 0,1256 Q m s v m s A m < > = = =
  • 123.
    3- 63 Calculo develocidad máxima: este valor se calculo al inicio, tal como se muestra: max 1 max 1000 2 1 2 9,81 0,034 1 19,96 / 1,67 20,0 / ( max ) m v v g h x x x m s v m s velocidad ima ρ ρ     = = ∆ − = − =         ≅ Calculo de relación max 16,7 Re 0,83 20,0 v lacion v < > = = = c) Repetir el problema anterior realizando el cálculo de caudal mediante la expresión: 0 2 R Q v RdR π = ∫ La siguiente tabla muestra los resultados calculados Tabla. Valores calculados Radio, R (m) V (m/s) V R 0 20,0 0 0,045 19,7 0,887 0,108 18,7 2,02 0,141 17,5 2,47 0,167 15,6 2,60 0,189 12,0 2,26 0,200 0 0 En la siguiente tabla se muestra los resultados del método de integración
  • 124.
    3- 64 Tabla. Resultadosde integración- (0,887 0) (0,045 0) 0,0199 2 + − = (2,02 0,887) (0,108 0,045) 0,915 2 + − = (2, 47 2,02) (0,141 0,108) 0,0741 2 + − = (2,60 2, 47) (0,167 0,141) 0,0659 2 + − = (2, 26 2,60) (0,189 0,167) 0,0535 2 + − = (0 2, 26) (0, 200 0,189) 0,0124 2 + − = Total = 0,3174 Q = 2 x 3,1416 x 0,3174 = 1,99 m3 /seg Velocidad media 3 2 1,99 / 15,8 / 0,1256 Q m s v m s A m < > = = = Velocidad máxima: max 20,0 / v m s = max 15,8 Re 0,79 20,0 v lacion v < > = = =
  • 125.
    3- 65 Problema 3.28 Dato:Diámetro de la tubería, D = 15 cm = 0,15 m Densidad del fluido = 1,05 g/cm3 = 1050 kg/m3 Viscosidad del fluido = 0,02 Poise = 2,0 cP = 2,0 x10-3 (kg/ m s) a) Se desea deducir la expresión que permita determinar el caudal, b) Calcular el caudal correspondiente para una lectura manométrica de 15 cm. Esquema: Fig. Tubo de Pitot estático Ecuación de Bernoulli entre los puntos (1) y (2): 2 2 2 2 2 1 1 1 2 2 Z g v g p g v g p Z + + = + + ρ ρ Simplificaciones: Z1 = Z2 (plano de referencia) V2 = 0 (punto de estancamiento)
  • 126.
    3- 66 2 1 21 2 v p p g g g ρ ρ = − Donde: p1 = ρgho 1 o p h g ρ ⇒ = h h g p h h g p o o + = ⇒ + = ρ ρ 2 2 ) ( Lo que resulta finalmente como: 1 2 v v gh = = (1) Se afirma que el tubo Pitot mide la presión de estancamiento, la cual se conoce como presión total. La presión total (expresado como columna de líquido) está compuesta de dos partes: • Presión estática = h0 • Presión dinámica = h Por otro lado se sabe que la velocidad calculada con la Ec. (1) viene hacer la velocidad máxima. a) En régimen turbulento la velocidad media, < v >, viene hacer el 80 % de la velocidad máxima, es decir: max 0,80 0,80 2 v v gh < > = = Luego el caudal es:
  • 127.
    3- 67 ( ) 2 0,802 , Re / / 4 Q v A Q D x x gh sp π = < >   =     b) Para una lectura manométrica de 15 cm = 0,15 m ( ) 2 2 3 0,15 0,80 2 9,81 0,15 2,4252 10 / 4 Q x x x x x m s π −   = =     Ahora verificamos la justificación de: max 0,80 0,80 2 0,80 2 9,81 0,15 1,3724 / v v gh x x x m s < > = = = = El número de Reynolds es: 3 3 1050 1,3724 (0,15 ) Re 108076,5 2 10 kg m x x m v D m s kg x m s ρ µ −         < >     = = =       Luego se justifica la suposición por estar en régimen turbulento.
  • 128.
    4-1 CAPÍTULO IV FLUJO DEFLUIDO INCOMPRESIBLE EN TUBERIAS Y DUCTOS Problema 4.1 Se descarga agua a 20 °C desde un estanque de sedimentación a una acequia de desagüe a través de una tubería galvanizada de 100 metros de longitud equivalente de 100 mm de diámetro interno. El nivel del estanque está 10 metros por encima del extremo de descarga de la tubería. Determine el caudal del agua en m³/min. Problema 4.2 Una bomba está siendo utilizada para transportar un alimento líquido (ρ = 1000 kg/m³, µ = 1.5 cP) desde un estanque hasta una máquina de envasado con un caudal másico de 2 kg/s. El nivel del líquido en el tanque se encuentra 10 metros por encima de la bomba. Existe una tubería sanitaria de 100 metros de longitud y 2 pulgadas de diámetro entre el tanque y la máquina de envasado, con una válvula de globo abierta y 4 codos de 90º de media curvatura en el sistema. El producto se bombea antes del envasado a través de un intercambiador de calor que produce una pérdida de presión de 100 kPa debido al rozamiento. Determinar: a) Pérdida de carga regular y singular. b) La pérdida de carga total incluido la pérdida de energía que se produce en el intercambiador. c) Determinar la potencia de la bomba, si la eficacia del mismo es de 90%. Problema 4.3 Una bomba se usa para transportar agua a 72 ºF desde un tanque A hasta un tanque B a la velocidad de 200 gpm. Ambos tanques están ventilados a la atmósfera. El tanque A está a 6 pies por encima del suelo con una profundidad del agua de 4 pies, el tanque B está a 40 pies por encima del suelo con una profundidad del agua de 5 pies. El agua ingresa por el tope del tanque, a un punto de 10 pies por encima de la base del tanque. La tubería que une los tanques contiene 185 pies de 2 pulgadas SCH 40 de tubería galvanizada, tres codos estándares de 90º (K = 0,75) y una válvula de compuerta (K = 0,17).
  • 129.
    4-2 a) ¿Si labomba tiene una eficiencia de 70%, qué potencia del motor podría requerirse para accionar la bomba? b) ¿Si la bomba es accionada por un motor de 5 hp, cuál sería el caudal que se alcanzaría en gpm? Problema 4.4 En una planta de procesado de alimentos se necesita tener agua almacenada en un tanque elevado para suministrar a los lavadores (Figura 1). El agua del sistema está a 20 ºC y se desea determinar la altura del agua que debe mantenerse en el tanque para producir un caudal de 400 L/min en la línea. Problema 4.5 Se bombea 20 toneladas/h de aceite de soya, que está a 20 ºC, desde un tanque de almacenamiento hasta un recipiente de procesado. La distancia entre ellos es de 148 m y en la tubería de 5 cm de diámetro están instalados: 6 codos de 90º, 2 válvulas de compuerta y 1 válvula de globo. Si el recipiente de procesado está 3 metros por debajo del almacenamiento: a) Calcúlese todas las perdidas por fricción (regular y singular). b) Obténgase un balance de energía mecánica y determinar el valor de W para la bomba en J/kg. c) Cuál es la potencia de la bomba en kW cuando su eficiencia alcanza el 75%. d) Si se dispone de un motor trifásico de 220 voltios, determinar el amperaje. Considere factor de potencia 0,85.
  • 130.
    4-3 Datos: Densidad del aceitede soya a 20ºC = 910 kg/m³ Viscosidad del aceite de soya a 20ºC = 40 E-3 kg/m.s Problema 4.6 Un aceite que tiene una densidad de 833 kg/m³ y un viscosidad de 3,3E-3 Pa-s se bombea desde un tanque abierto a un tanque presurizado que mantiene a 345 kPa gage. El aceite se bombea a través de una tubería de acero comercial que tiene un diámetro interior de 0,07792 m a una velocidad de flujo de 3,4940E-3 m³/s. La longitud del tubo recto es 122 m y el tubo contiene dos codos de 90º y una válvula de globo 50% abierta. La diferencia de altura entre los niveles de líquido entre el tanque abierto y el tanque presurizado es 20 m. La eficiencia de la bomba es 65%. Calcular: a) Pérdida de carga por fricción a través del tramo recto. b) Pérdida de carga por fricción a través de accesorios de conexión. c) Pérdida de carga friccional total. d) Calcular la carga desarrollada por la bomba. e) KW de potencia de la bomba. Problema 4.7 A través de un filtro de café que se muestra en la figura pasa café a un régimen de 4 cubiletes/min = 60 pulg³/min. Determinar el coeficiente de pérdida para el filtro. Demostrar que es razonable ignorar las perdidas mayores.
  • 131.
    4-4 Problema 4.8 Se bombeaagua a 15ºC a razón de 380 L/min desde un depósito hasta un tanque elevado 5 m sobre el almacenamiento. Se va a utilizar tubería de 3 pulgadas catálogo 40 de acero desde un tanque de almacenamiento a la bomba y una de 2 pulgadas catálogo 40 para llevar el agua hasta el tanque elevado. a) Calcular la carga desarrollada por la bomba. b) ¿Cuál es la potencia de accionamiento de la bomba si la eficiencia es del 70%? c) Si se dispone de una corriente eléctrica trifásica de 220 voltios, cual será los amperios que consume el motor, el factor de potencia del motor es 0,80. Datos: 3 997,08 0,8937 kg m cP ρ µ = = Problema 4.9 La salmuera contenida en un tanque abierto a la atmósfera se descarga con un caudal de 10 m³/h a través de un conducto de 3 m de longitud y 0,0508m de diámetro interno, que a su vez se conecta con una conducción de 12 m de longitud y 0,0381 m de diámetro interno que descarga a la atmósfera con 1 codo de 90º, 1 codo de 45º y una válvula de compuerta abierta. ¿Cuál es la altura de la superficie de la salmuera en el tanque referida al punto de descarga?
  • 132.
    4-5 Datos: Densidad de lasalmuera = 1180 kg/m³ Viscosidad de la salmuera = 1,2 x 10-3 kg/m.s Rugosidad de la conducción = 4,6 x 10-5 m Problema 4.10 Una instalación típica de tuberías en el laboratorio de operaciones unitarias se muestra en la siguiente figura. El diámetro de salida de la llave es de ½ pulg. El factor de fricción de Fanning para todos los tubos de 1 pulg es de 0,00625 y para todos los tubos de ½ pulg es de 0,0075. La presión manométrica en la línea principal de distribución es de 2,72 atmósferas. Determinar el tiempo necesario para llenar el tanque de 50 galones del equipo experimental de “Flujo de fluidos en tuberías”. Suponer que se trata de agua a 20 ºC, se tiene ρ = 999 kg/m³, µ = 1E-3 kg/m s. Problema 4.11 Para la solución de encurtidos se utiliza una solución de ácido acético y una salmuera al 22%, cuya densidad es ρ = 77,4 lb/ft³ y µ = 1,18 x 10-3 lb/(ft.s) a 20°C. La salmuera se mantiene en un depósito abierto, cuyo nivel es de 6 m, la descarga se hace como se muestra en la siguiente figura y mediante una tubería de acero comercial cédula 40, hasta otro tanque abierto. ¿Cuál será el diámetro de la tubería para transportar 0,95 x 10-3 m³/s de solución de encurtidos? En este sistema existe 20 metros de tubería recta.
  • 133.
    4-6 Problema 4.12 Se deseadiseñar la potencia de una bomba para transportar 3,015E-4 m³/s de leche entera desde un depósito de almacenamiento que se encuentra en la planta baja de una fábrica hasta el segundo piso en la que se encuentra ubicado otro tanque de almacenamiento para elaborar yogur batido. La tubería de conexión entre los dos tanques consta de: Línea de succión: Tubería de acero inoxidable de 16 mm de diámetro interno y 1 m de longitud con una válvula de compuerta completamente abierta y una unión de acoplamiento (K = 0,04). Línea de descarga: 10 m de tubería de acero inoxidable calidad 304 de 13 mm de diámetro interno en la que se encuentran instalados: 2 uniones de acoplamiento, 1 filtro prensa (K = 5), 1 válvula de globo 50 % abierto. El nivel de referencia entre la superficie del líquido del primer tanque hasta la tubería de descarga del segundo tanque es de 5 m y se supone que los dos tanques se encuentran con tapas expuestos a la presión atmosférica. Se desea estudiar: a) Pérdida de carga regular y singular en la línea de succión y descarga de la bomba. b) La potencia requerida de la bomba si la eficiencia es 60%. c) El costo de bombeo por 3 horas de funcionamiento, si el kW-h cuesta 0,40 soles. Datos:
  • 134.
    4-7 A 20 °Cla leche entera tiene una densidad de 1030 kg/m³ y una viscosidad de 2,12E-3 kg/m.s. Problema 4.13 El tanque A se llena con una solución de 10% de NaOH, 10% de NaCl (densidad relativa = 1,10 y viscosidad = 3 centipoise). La solución es drenada posteriormente hacia un tanque de reacción B, localizado como se muestra en el diagrama de flujo. Si la válvula de compuerta a la salida del tanque A y la válvula de compuerta a la entrada del tanque B, se abren completamente al mismo tiempo, ¿Cuánto tardará en drenarse el tanque A hasta un nivel de 1 pie? Toda la tubería es de acero comercial diámetro nominal 1 pulgada catálogo 40. Problema 4.14 a) Se mide una razón de flujo de 6 L/s en la tubería que se muestra en la figura. Calcule el coeficiente de pérdida de la válvula si ∆h es: (a) 4 cm (b) 8cm.
  • 135.
    4-8 b) Fluye aguaa 20 ºC en un tramo de 400 m de tubería horizontal de hierro forjado (ε = 0,046 mm) de 10 cm de diámetro que está conectado a un depósito con una entrada de borde recto. Una válvula de globo roscado que controla el flujo está abierta (k = 5,7). Calcule el flujo si la altura del depósito sobre la salida es de 10 m. Problema 4.15 Desde el tanque A al tanque B (Ver la figura) debe fluir 212 L/s. Si la tubería (1)-(2) es de PVC (ε = 0,0015 mm) y la tubería (2)-(3) es de hierro fundido asfaltado (ε = 0,12 mm), ¿Cuál debe ser el diámetro de la tubería (1)-(2)? Utilice los coeficientes de pérdidas menores mostrados. Problema 4.16 Se transvasa 21,2 ft3 /min de agua (densidad 62,3 lb/ft3 , viscosidad cinemática 1,14·10-5 ft2 /s) desde un río hasta una balsa, salvando una elevación de 20 pies, y empleando 2 ¼ millas de una conducción lisa (7 ½” de diámetro exterior y 1 ¼ de espesor). Se
  • 136.
    4-9 considera que losaccesorios suponen el 25 % de la carga de fricción correspondiente a los tramos rectos. La diferencia de presión entre la toma en el tío y la descarga es 30 kPa. Obtener: (a) la potencia teórica de bombeo necesaria; (b) el diámetro mínimo necesario para transvasar un caudal de 20 L/s con una bomba centrífuga de 12,0 kW de potencia nominal y una eficacia del 55 %. Rep. a) 2,92 kW, b) 0,16 m. Problema 4.17 Del contenedor que se muestra en la siguiente figura sale agua. Determinar el coeficiente de pérdida necesario en la válvula si el agua debe llegar hasta 3 pulg por arriba de la salida de la tubería. Problema 4.18 En la siguiente figura se muestra la instalación de una bomba que tiene una eficiencia de 65 % para transportar benceno desde un depósito hasta un tanque elevado. El benceno se transporta a la temperatura de 30 ºC utilizando tubería de acero inoxidable. Se desea determinar: a) El caudal que circula por el sistema b) La potencia de la bomba c) El costo de bombeo si el kW-h cuesta 0,50 nuevos soles
  • 137.
    4-10 Problema 4.19 Las puntasde dispersión de un sistema de riego agrícola, se alimenta con agua mediante conductos de 150 metros hechos en hierro fundido desde una bomba operada por una combustión interna. En el intervalo de operación de mayor rendimiento, la descarga de la bomba es de 25 galones/s a una presión manométrica que no debe exceder a 4,42 atmósferas. Para una operación satisfactoria, los dispersores deben operar a una presión manométrica de 2,04 atmósferas o a una presión mayor. Las pérdidas menores (singulares) y los cambios de nivel en este sistema se pueden suponer despreciables. Determinar el diámetro nominal de tubería estándar más pequeño que se puede utilizar. Considere propiedades del problema 4.10. Problema 4.20 Un líquido puede escurrir simultáneamente por C y D, Figura 21. El tubo AB es de 44 metros de longitud y tiene válvula y accesorios de conexión que en forma combinada ofrecen una resistencia al flujo equivalente de 14 metros de un tubo recto (la resistencia del accesorio T y B pude despreciarse para el líquido que circula a través de C). El tubo BC es de 1,5 metros de longitud. La válvula C totalmente abierta tiene una resistencia equivalente a 11 metros de un tubo recto.
  • 138.
    4-11 El tubo BDes de 4 metros y ramificado en B; los accesorios de conexión y la válvula D totalmente abierta presenta una resistencia equivalente igual a 13 metros de un tubo recto. El facto de fricción para un tubo recto puede calcularse en forma aproximada mediante la siguiente relación: af = 1/40. Esta condición se presenta para el caso de líquidos con número de Reynolds en el rango de 30 000 - 100 0000 a). Determine la máxima velocidad de flujo en litros/min en C, cuando la válvula D está cerrada. b). Calcule la velocidad de flujo en litros/min en C y D, cuando todas las válvulas están completamente abiertas. Problema 4.21. Una planta industrial requiere agua de enfriamiento a razón de 1500 galones /minuto para usarlo en sus reactores y condensadores. El agua de enfriamiento sera tomada desde la red de suministro publico de 35 lbf/pulg2 (manométrica o relativa). Al entrar a la planta, el agua es bombeada a alta presión y luego es entregada a la tubería de la planta. Al final de la tubería el agua entra a la sala de calderas. En la sala de calderas se requiere que el agua tenga una presión superior a 10 lbf/pulg2 absoluta (para evitar la cavitación en las bombas de alimentación de las calderas). La tubería consta de dos segmentos de 2500 pies de longitud, según se muestra en la figura. Además de las secciones rectas, están instaladas en la tubería las siguientes válvulas y accesorios: 10 codos de 6 pulgadas y otros 10 de 8 pulgadas (todos de 90º ); 5 válvulas de compuerta
  • 139.
    4-12 de 6 pulgadasy otras 5 de 8 pulgadas y, finalmente, 1 válvula de globo y otras 2 de 6 pulgadas. Problema 4.22 Calcule la potencia que la bomba de la figura siguiente comunica al agua, si el agua es de 100 l/s. Supóngase que las perdidas por fricción son despreciables.
  • 140.
    4-13 CAPÍTULO IV SOLUCIÓN DEPROBLEMAS Problema 4.1. Datos: 100 ( ) 10 .. . .. . 0 ( ) 10 ? . . . . i eq mm tubo galvanizado L m incluido tramo recto longitud equivalente de accesorios z m Q φ = = + ∆ = = 1 . . . . . . . . . : Balance de materia y energía de acuerdo a la figura z 1 p g ρ + 2 1 2 V g + 2 2 p z g ρ = + 2 2 1 2 1 1 2 2 : (Abierto a la presión atmosférica) 0 0 10 F h V g Simplificando p p V z z m + + = = = = − ∑ 2 2 2 2 2 2 2 2 : 2 4 2 2 F eq F i Luego V z h g L V V z f g D g − = +   − = +     ∑
  • 141.
    4-14 2 2 2 2 2 2 2 2 1 4 2 2 14 2 1 4 eq F i eq F i eq F i L V z f g D V z L g f D gz V L f D     − = +         − =   +     − =   +     ( ) 2 3 . ... . : 2 9,81 ( 10) 196,2 100 1 4000 1 4 0.100 : ,Re , Re 20º .. ... . 998 ³ 1,02 10 .. ... .......................... . . . . . . F F i F Reemplazando datos x x V f f x Donde xVxD f f D kg A T C m kg x m s Para un tubo galvanizado set ρ ε µ ρ µ − − − = = +   +     = = =  → = = : 0,15 0,15 0,0015 100 iene mm mm D mm ε ε = = = El factor de fricción se calcula mediante la ecuación de CHENG: V (supuesta) Re f V 0.1 9784.31373 0.00833 2.39126 2.39126 233967.945 0.00567 2.87790 2.87790 281583.097 0.00563 2.88728 2.88728 282500.467 0.00563 2.88743 2.88743 282515.362 0.00563 2.88743 Sabemos que: ( ) 2 2 4 2,88743 0,1 4 ³ ³ 0,02268 1,36080 min Q VxA Vx xD Q x x m m Q s π π = = = = =
  • 142.
    4-15 Problema 4.2. De acuerdoal enunciado del problema se supone que la máquina del envasado se encuentra al mismo nivel de la bomba, por tanto el balance de energía entre los puntos (1) y (2) es: 1 . . : . . . . . . . . Balance de materia y energía de acuerdo a la figura z 1 p g ρ + 2 1 2 V g + 2 2 B p H z g ρ + = + 2 2 1 2 1 1 2 2 2 2 2 2 2 2 2 2 : (Abierto a la presión atmosférica) 0 0 10 : 2 Tramo recto Accesorios Intercambiador 4 2 2 F B F F R S Interc eq B F acc i V h g Simplificando p p V z z m Luego V H z h g h hf hf hf L V V V H z f K g D g + + = = = = − = + + = + +   = + + +     ∑ ∑ ∑ ∑ 2 2 2 2 2 2 1 4 2 Interc eq B F acc Interc i hf g L V H z f K hf g D +     = + + + +         ∑ : 100 2 0,60 4 0,75 globo codos Datos L m D pulg K K x = = = = Pérdida de carga en el intercambiador: 100 100000 10,19368 1000 9,81 10,19368 . . . . interc interc interc P KPa P P hx xg h xg x h m de columna delíquido ρ ρ ∆ = ∆ ∆ = ∆  →∆ = = = ∆ = Pérdida de carga regular:
  • 143.
    4-16 2 2 2 4 2 : 2,0 2" 5,08 0,0508 ...... ... ... ...... ...... 4 2,0 Regular F V L hf f D g Datos Kg m m m xVxA V s xA m V D cm m x xD Kg V ρ ρ π ρ   =     =  → =  → = =  → = = = = 1000 s Kg 3 m 2 2 0,0508 4 x x m π 0,98676 0,98676 m s m V s = = 3 3 3 : 1000 1,5 10 . 1000 0,98676 0,0508 Re 33418,272 1,5 10 Re 33418,272 : : 0,0 0,0057283 : . . . . . . . 4 . F Regular Datos kg m kg x m s xVxD x x x Para una tubería sanitaria Podemos considerar como una tubería pulimentada D f Luego hf ρ µ ρ µ ε − − = = = = = = = = = 2 2 2 100 (0,98676) 4 0,0057283 2.23844 2 0,0508 2 9.81 2.23844 . . . . F Regular V L f x x D g x hf m de columna delíquido     = =         = Pérdida de carga singular: 2 2 2 . . . . . . . . ........................................................ 1 6,0 6,0 90º 4 0,75 3,0 9,0 (0,98676) 9,0 0,44665 2 2 9,81 0,44665 . Total S Total S Válvula de globo abierta x Codos de de media curvatura x K V hf K g x hf m = = = = = = = = = ∑ ∑ . . . de columna de líquido Pérdida de carga total:
  • 144.
    4-17 2,23844 0,44665 10,1936812,87877 12,87877 . . . . F R S Interc F Total Total h hf hf hf h hf hf m de columna de líquido = + + = = + + = = ∑ ∑ Potencia de la bomba: 2 2 2 2 2 2 2 2 (0,98676) 10 12,87877 22,92840 2 2 9,81 22,92840 B R S Interc B Total B V H z hf hf hf g V H z hf g x H = + + + + = + + = + + = = Luego: 22,92840 9,81 224,93153 224,93153 2,0 499,84784 0,90 1 745,7 : 1 499,84784 0,67 745,7 B B B B B B B J F H xg x Kg F xm x W F xm W W hp W Potencia hp N W hp W η η = = = =  → = = = = = = Problema 4.3.
  • 145.
    4-18 Balance de materiay energía: 1 1 p z g ρ + 2 1 2 V g + 2 2 B p H z g ρ + = + 2 2 1 2 1 2 1 2 2 2 2 2 2 2 2 : (Abierto a la presión atmosférica) 0 0 1,8288 1,2192 3,048 4,2672 : 2 Tramo recto Accesorios 2 4 2 F B F F R S B R S B F V h g Simplificando p p V V z m z m Luego V H z h g h hf hf V H z hf hf g L V H z f g + + = = ≠ = = + = = ∆ + + = + = ∆ + + + = ∆ + + ∑ ∑ ∑ 2 2 2 2 2 2 eq acc i V V K D g g   +     ∑ Cálculo de hfR: 2 2 3 3 3 2 ........ ........ . .. 4 ; ,Re 2 : 0,15 .... ... , 52,5 0,15 0,002857 52,5 3.785 1 1min 200 0,0126167 min 1 1000 60 0,0126167 ) . ( 4 Regular F F V L hf f f f D D g Tubo galvanizado mm Di mm D gal L m m Q x x x gal L s s m Q Q s V A Di ε ε ε π π     = =       = = = = = = = = = 2 2 5,82824 (0,0525) 4 5,82824 m s m m V s = = Cálculo del número de Reynolds: 3 3 77º 22º 998 0,9579 10 . T F C kg m kg x m s ρ µ − = = = =
  • 146.
    4-19 3 2 2 998 5,82824 0,0525 Re318791,7682 0,9579 10 Re 318791,7682 : 0,006566 : 0,0525 0,3048 185 56,388 1 56,388 (5,8282 4 4 0,006566 2 0,0525 . . . . F R F xVxD x x x De la ecuación de Cheng f Datos D m m L pies m pie V L hf f x x D g ρ µ − = = = = = = = =     = =         2 4) 48,83870 2 9,81 48,83870 R x hf = = Cálculo de hfS: 2 2 2 3 0,75 1 0,17 2,42 (5,82824) 2,42 4,1897 2 2 9,81 acc S acc K x x V hf K g x = + = = = = ∑ ∑ Reemplazando datos: 2 3 3 (5,82824) 2.4384 48,83870 4,1897 2 9,81 57,19811 57,19811 9,81 561,11346 561,11346 0,0126167 998 7065,24139 7065,24139 10093,20199 0,70 : 1 10093,20199 B B B B B B B B H x H m J F H xg x kg J m kg W F xQx x x W kg s m W W W Potencia N W η ρ = + + + = = = = = = = = = = 13,54 745,7 hp hp W =
  • 147.
    4-20 Problema 4.4. 3 3 3 3 : : 20º 1000 110 . 400 6,667 10 min . Datos Fluido agua T C kg m kg x m s L m Q x s ρ µ − − = = = = = 2 2 1 1 2 2 1 2 1 2 2 1 ( . . . . . . . . . . . 1) (2): (1) 2 2 : 101325 . . ........... 0( ....... . . . L Escribiendo la ecuación debalance de energía mecánica entrelos puntos y p V p V z z h g g g g Simplificaciones N p p Presión atmosférica m z Nivel de ρ ρ + + = + + + = = = = ∑ 2 1 2 2 2 2 2 2 .................. ) 0 : 0 2 (2) 2 : 4 ... . 2 . 2 . L L i i i L i i i referencia z z V Luego V z h g V z h g L V V Pero h hr hs f K d g g = −∆ ≅ = −∆ + + ∆ = + = + = + ∑ ∑ ∑ ∑ ∑
  • 148.
    4-21 ( ) 3 3 2 2 3 4 410,16 0,1016 : 6,667 10 0,8223 0,1016 4 1000 0,8223 0,1016 Re 83546 1 10 Re 8,3546 10 : 0,00045 : Re, 0,0 . . . . 05 Tramo de pulgadas cm m m x Q m s V A s m xVxd x x x x Material Acero comercial d Luego f f d π ρ µ ε ε − − = = = = = = = = = =   = ≅   ( ) 2 2 . ................................. ............................... : 0,8223 6 4 4 0,005 0,0407 2 ... ....................... 0,1016 2 9,81 : : 0,50 1 9 . 0 ..... º: Tubo recto L V hr f x x m d g x Accesorios K Salida codo     = = =         = ( ) ( ) 1 2 2 0,70 1,20 0,8223 1,20 0,04 . 14 2 2 9,81 : 0,0407 0,0414 0,0821 L V hs K x m g x Luego h hr hs m = = = = = + = + = ∑ ∑ ( ) 3 3 2 2 3 5 5,08 0,0508 : 6,667 10 3,2894 0,0508 4 1000 3,2894 0,0508 Re 167102 1 10 Re . .2. 1,67 10 : 0,00092 : Re, 0,004 1 . 8 Tramo de pulgadas cm m m x Q m s V A s m xVxd x x x x Material Acero comercial d Luego f f d π ρ µ ε ε − − = = = = = = = = ≅ =   = ≅  
  • 149.
    4-22 ( ) ( ) () 2 2 2 2 . ................................. ........................ : 3,2894 63 4 4 0,00481 13,1588 2 0,0508 2 9,81 : 2 90º: ,40 3,289 ...... 4 1,40 0,77 2 2 9,81 ....1 Tubo recto L V hr f x x m d g x Accesorios K codo V hs K x g x     = = =         = = = ∑ ( ) 2 1 2 2 20 : 13,1588 0,7720 13,9308 : 0,0821 13,9308 14,0129 (2) : 3,2894 14,0129 14,56 . . . . . . . 44 2 9,81 . . . L L L L m Luego h hr hs m Luego la pérdida de carga total es h h h m Reemplazando en la ecuación z m x = + = + = = + = + = ∆ = + = ∑ ∑ ∑ ∑ Problema 4.5. 3 3 : 20 5,56 20º 910 40 10 . 5 0,05 , 1 .. 4 .... 8 . Datos ton kg m h s T C kg m kg x m s cm m L m ρ µ φ − = = = = = = = =
  • 150.
    4-23 El sistema esde sección uniforme de 5 cm: • Cálculo de la velocidad: ( ) 3 3 3 3 3 2 2 5,56 6,1099 10 910 6,1099 10 3,1117 0,05 4 f Q V A kg m m s Q x kg s m m x s m V s x m ρ π − − = = = =       = =       • Cálculo de Reynolds: 3 3 3,1117 0,05 910 Re 3539,6 40 10 Re 3,54 10 Vxdx x x x x ρ µ − = = = = • Rugosidad relativa (material acero comercial) .. 0,00095 ( ) . Tablas d ε = • Factor de fricción: 0,0105 f = a) Pérdida de carga:
  • 151.
    4-24 ( ) 2 2 :Carga regular: 3,1117 148 44 0,0105 61,3532 2 0,05 2 . . . .... 9,81 :Carga singular: Descripción K 6 90º 4, .............. 2 ... . 0 . 2 L h hr hs Tramo recto L V hr f x x x m d g x Accesorios Codos Vá = +     = = =         ∑ ( ) 2 2 . ........ . . ................. . ............................. ................................ 0,30 1 7,50 1 0,50 12,5 3,1117 12,5 6,1689 2 2 9,81 .. lvulas compuerta Válvula globo Salida K V hs K m g x = = = = ∑ ∑ Luego se tiene: • Pérdida de carga regular: 61,3532 hr m = • Pérdida de carga singular: 6,1689 67,5221 L hs m h m = = ∑ b) Ecuación de balance de energía mecánica y el valor de W (J/kg): Para los puntos (1) y (2): ( ) ( ) 2 2 1 1 2 2 1 2 1 2 1 2 1 2 2 ...... ...................... ...................... ... / (1) 2 2 : 0 3 (2) ...... . / . . L L p V p V gz Ws gz F J kg g g Simplificaciones z z m p p V V Ws gz F J kg η ρ ρ η + + + = + + + = = − = = = + ∑ ∑ Otra forma equivalente de expresar esta ecuación (2) es dividiendo entre g:
  • 152.
    4-25 ( ) 2 (3) .................................. : L L Hs z h m Donde Ws Hs g F h g η = + = = ∑ ∑ ∑ Reemplazando los valores en la ecuación (3): 3 67,5221 64,5221 64,5221 Hs m Hs m = − + =  → = De donde resulta: ( ) 2 2 64,5221 9,81 632,9618 632,9618 m m Ws Hs g mx s s J Ws kg η η = = = = c) Potencia, η=0,75: 632,9618 632,9618 843,95 0,75 843,95 5,56 4692,362 4,69 J Ws kg J kg J N Wsxm x kg s s N KW η = = = = = = ≅ d) Motor trifásico: ( ) ( ) ( ) 220 ¿? 0,85 3 4,69 3 0,220 0,85 4,69 14,48 3 0,220 0,85 15 V Voltios I Cos kW x Kilovoltios xIxCos x xIx I Amp x x I Amp φ φ = = = = = = = ≅
  • 153.
    4-26 Problema 4.6. Solución: a) Pérdidade carga por fricción a través del tramo recto: ( ) ( ) 2 3 3 3 3 2 2 4 2 : 3,494 10 0,07792 3,494 10 0,7327 0,07792 4 4 recto F i flujo i L V hf f D g Datos m Q x s D m m x Q Q m s V A s D m π π − −   =     = = = = = = Cálculo del Número de Reynolds: ( ) 3 3 3 5 5 4 ...... ...... ................................................. Re , 20º 998 1 10 . 998 0,7327 0,07792 Re 56978,8397 1 10 4,6 ...... 10 4,6 10 5,9034 10 0 .... ,07792 5 i i F xVxD kg T C m kg x m s x x x x m x m x D m f ρ ρ µ µ ε ε − − − − − = =  → = = = = = ⇒ = = = 3 ,61054 10 x −
  • 154.
    4-27 ( ) 2 3 0,7327 122,0 45,61054 10 0,07792 2 9,81 0,961 . 454 . . . . recto recto hf x x x x x hf m de columna delíquido −   =     = b) Pérdida friccional a través de accesorios: [ ] [ ] ( ) 2 2 90º 50% 90º 50% 2 . . . ..... ............. 2 1 2 2 : 0,75 9,5 0,7327 2 0,75 1 9,5 2 9, ...... . 81 0,3 . 0 . 0 . . acc acc codo válvula codo válvula acc acc V V h K K K g g De tablas K K h x x x x h m de columna de líquido   = = +     = = = + = ∑ c) Pérdida de carga friccional total: 0,961454 0,300 1,262439. . . . . recto acc hf hf h hf m de columna delíquido = + = + = ∑ ∑ d) Carga desarrollada por la bomba: 2 1 1 1 2 p V z g g ρ + + ( ) 2 2 2 2 1 2 2 2 2 1 2 2 2 2 1 (1) 2 : 20 101325 101325 345000 446325 ................ ............... 0, 0 (1): 2 : 20 44 . . . 6 25 . 3 B B p V H z hf g g Simplificaciones z m N p m N N p m m V V De la ecuación p V H z hf g g Donde z m p p p g g ρ ρ ρ ρ + = + + + ∆ = = = + = = ≠ ∆ = ∆ + + + ∆ = − ∆ − = = ∑ ∑ ( ) 101325 35,2386 998 9,81 x =
  • 155.
    4-28 e) ( ) 2 2 2 0,7327 0,02736 2 29,81 20 35,2386 0,02736 1,262439 56,5 . 28 . . . . 4 B B V g x H H m de columna delíquido = = = + + + = f) KW de potencia de la bomba: ( ) 3 3 2 3 56,5284 9,81 998 3,4940 10 1933,7 1933,7 ; 0,65 1933,7 2974,9 0,6 ...... 5 2,9 .. . 5 . 7 . . B B B B B B m kg m W H xg x xQ mx x x x s m s W Watt W W W W W KW η ρ η η η − = = = = = = = = Problema 4.7. Balance de energía mecánica para los puntos (1) y (2): 1 z 1 p g ρ + 2 1 2 V g + 2 2 p z g ρ = + 2 2 2 V g + 1 2 1 2 1 2 (1) ..... : 0 4 0,10 ......... 1 . 6 . hf Simplificaciones z z pulg m p p V V + = = − = − = =
  • 156.
    4-29 2 2 (1): 0 0,1016 . . . Dela ecuación z hf hf z m = + = − = Balance de energía mecánica para los puntos (1) y (3): 1 z 1 p g ρ + 2 1 2 V g + 3 3 p z g ρ = + 2 3 1 3 1 2 1 2 2 3 3 (2) 2 : 0 (4 1) 5 lg 0,127 0 (2) ................ 0 2 . . : . filtro filtro V h g Simplificaciones z z pulg pu m p p V De la ecuación z hf V h z g + + = = − + = − = − ≈ = = + = − − ∑ Cálculo de la velocidad: ( ) ( ) ( ) 3 3 3 5 2 3 2 3 3 5 3 3 3 2 2 3 6 3 0,0254 1 60 1 60 1,6387064 10 2 0,0508 0,0508 2,026 10 4 1,6387064 10 8,08835 10 2,026 10 8,08835 10 3,3344 . . . . . 2 10 2 2 9,81 i m pulg min Q x x min pulg s m Q x s D pulg m A x m Q V A m x m s V x x m s x V x m de columna del g x π − − − − − − − = = = = = = = = = = = íquido
  • 157.
    4-30 6 2 3 2 3 4 6 0,127 3,33442 100,1269967 2 2 0,1269967 3,8087 10 3,33442 10 filtro filtro filtro filtro filtro filtro h x h V h K x K g V g K x x − − = − =   = ⇒ =           = = Considerando pérdida mayor: 6 2 3 2 3 4 6 0,1269967 0,1016 0,02540 : 0,127 3,33442 10 0,02540 0,1015967 2 2 0,1015967 3,0469 10 3,33442 10 filtro filtro filtro filtro filtro filtro filtro h Luego h x h V h K x K g V g K x x − − = − = = − − =   = ⇒ =           = = Problema 4.8. Datos: 3 3 3 3 1 2 3 380 380 10 6,333 10 min min 3" 40 3,068 77,92 2" 40 2,067 52,50 997,08 i i L m m Q x x s Cat D pulg mm Cat D pulg mm kg m φ φ ρ − − = = = =  → = = =  → = = =
  • 158.
    4-31 3 0,8937 0,8937 10 . kg cpx m s µ − = = Balance de energía mecánica entre los puntos (1) y (2): ( ) 2 2 1 1 2 2 1 2 2 2 1 2 2 2 2 : 2 : 0 0 5,0 : 4 4 2 2 B suc Desc B suc Desc suc suc Desc Desc B suc Desc suc suc Desc p V p V z H z hf hf g g g g Reordenando p p V H z hf hf g g Simplificaciones p V z m Luego V L V L H z f K f K g D g D ρ ρ ρ + + + = + + + + −   = ∆ + + ∆ + +     ∆ = ∆ = ∆ =   = ∆ + + + +     ∑ ∑ ∑ ∑ ∑ ......... ( ..... 1 . ) . Desc       ∑ Por la ecuación de continuidad: 4 suc V π       2 4 suc Desc D V π   =     2 4 2 2 (2) 2 2 ................ Desc suc Desc Desc suc D V V D g g D   =     Combinando las Ec. (1) y (2): 4 2 2 4 4 2 2 Desc Desc suc Desc Desc B suc Desc suc Desc suc suc Desc V D L V L H z f K f K g D D g D       = ∆ + + + +             ∑ ∑ Sea: 2 1 2 1 2 1 ............ ............ ............ ............ Desc suc Desc suc Desc suc D D L L V V D D L L V V = = = = = = [ ] [ ] 4 2 2 2 2 1 2 2 1 2 1 2 1 1 2 4 2 2 2 2 2 1 2 1 4 2 2 2 1 2 1 4 4 2 2 2 2 2 B B B V D L V L H z f K f K g D D g D V D V H z hf hf g D g V D H z hf hf g D       = ∆ + + + +               = ∆ + +           = ∆ + +         ∑ ∑
  • 159.
    4-32 Cálculo de datos: Acerocomercial: 5 4,6 10 x m ε − = Cálculo de la velocidad: - Zona de succión: ( ) ( ) 1 2 1 1 1 2 3 6 1 , 4 77,9 . 2 10 4768,57 ... . 10 ... 0,00476857 4 f Q V A D A A x x π π − − = = = = = 3 3 1 2 1 1 3 1 5 5 1 1 6,333 10 / 0,6989 0,00476857 997,08 0,6989 0,07792 Re 0,8957 10 Re 60622 4,6 10 59,03 10 0,000602 0,07792 x m s m V m s xVxD x x x x m x D m ρ µ ε − − − − = = = = = = = ≅ De la ecuación de Cheng: 1 0,0056 f = - Zona de descarga: ( ) ( ) 2 2 2 2 2 2 3 2 , 4 . 52,50 10 0,002164 4 ... .... f Q V A D A A x π π − = = = = 3 3 2 2 2 2 3 2 5 5 2 2 6,333 10 / 2,926 0,002164 997,08 2,926 0,05250 Re 0,8957 10 Re 171002 4,6 10 87,62 10 0,000876 0,05250 x m s m V m s xVxD x x x x m x D m ρ µ ε − − − − = = = = = = = ≅ De la ecuación de Cheng: 2 0,0052 f = 1 2 0,44 0,15 0,59 1,5 1,0 2,50 K K = + = = + = ∑ ∑
  • 160.
    4-33 Donde: 1 1 1 1 1 1 2 22 2 2 2 15 4 4 0,0056 0,59 0,07792 4,9021 33 4 4 0,0052 2,50 0,05250 15,5743 L hf f K x D hf L hf f K x D hf     = + = +         =     = + = +         = ∑ ∑ Reemplazando datos: ( ) 2 4 2,926 0,05250 5 4,9021 15,5743 2 9,81 0, . . . . 07792 12 . ,2 B B H x x H m de columna de líquido     = + +           = Cálculo de la potencia: ( ) 3 3 2 3 12,2 9,81 997,08 6,333 10 755,7 755,7 ; 0,70 755,7 1079,6 ...... ...... 0,70 1,08 B B B B B B m kg m W H g Q m x s m s W Watt W W W W W kW η ρ η η η − = = = = = = = = Motor trifásico: ( ) ( ) ( ) 220 ¿? 0,80 3 1,08 3 0,220 0,80 1,08 3,54 3 0,220 0,80 4 V Voltios I Cos kW x Kilovoltios I Cos x xIx I Amp x x I Amp φ φ = = = = = = = ≅
  • 161.
    4-34 Problema 4.9. Balance deenergía: 2 2 1 1 2 2 1 2 1 2 1 2 1 2 2 2 2 2 2 2 2 2 2 : 0 0 0 : 0 2 2 2 p V p V z H z hf g g g g Simplificaciones z z z p p V H Luego V z hf g V V z hf z hf g g ρ ρ + + + = + + + = = − = ≅ = = + + − = +  → = + ∑ ∑ ∑ ∑ 2 2 2 2 2 2 1 1 1 2 2 2 1 2 1 2 2 2 2 2 1 1 2 2 1 2 1 2 .... 4 4 2 2 2 2 2 4 4 (1) 2 ............ 2 2 en en V L V V L V V z f K f K g D g g D g g V V L V L z f K f K g g D g D     = + + + +                 = + + + +                 ∑ ∑ Por la ecuación de continuidad: 1 1 2 2 1 4 V A V A V π =       2 1 2 4 D V π   =     2 2 D
  • 162.
    4-35 2 2 1 2 1 4 2 2 12 2 1 .............. (2) 2 2 .. D V V D V V D g g D   =       =     Reemplazando la Ec. (2) en la Ec. (1): 4 2 2 2 2 2 2 1 2 2 1 2 1 1 2 4 2 2 2 1 2 1 2 1 1 2 ........ 4 4 2 2 ....... 2 1 . 4 4 (3) 2 en en V V D L V L z f K f K g g D D g D V D L L z f K f K g D D D           = + + + +                                   = + + + +                           ∑ ∑ Datos: ( ) 3 3 3 2 1 3 3 2 2 2 2 2 2 2 2 1 2 1 10 2,777 10 0,0381 , 0,0508 2,777 10 2,4364 0,0381 4 4 0,0381 2,4364 1,3705 0, ...... 050 ...... 8 m m Q x h s D m D m m x Q Q m s V A s D m D m V V x D s π π − − = = = = = = = =     = = =         Cálculo de pérdidas singulares: 1 2 .......... : 0,0508 0,50 : 0,038 . 1 en Tramo m K Tramo m φ φ = = = 2 1 .................................................. . ................................. . ................................. . ............. 90º 0,74 45º 0,30 0,13 1,7 .. . 5 . K Codo Codo Válvula Compuerta D Contracción D  = ....... ....................................... 0, . 30 1,47 K      = ∑
  • 163.
    4-36 ( ) [ ] 24 1 2 1 2 1 2,4364 0,0381 3 12 1 4 0,50 4 1,47 2 9,81 0,0508 0,0508 0,0381 3 0,30255 1 0,31640625 4 0,50 1259,8425 1,47 0,0508 0,30255 1 74,7416 0, z f f x z f f z f               = + + + +                                   = + + + +               = + + { } { } 2 1 2 1 2 1582 1259,8425 1,47 0,30255 2,6282 74,7416 1259,8425 0,79516191 22,6130 381,165 ............... 3 (4) . f z f f z f f + + = + + = + + Cálculo de factores de fricción: 1 1 2 2 Re, Re, f f D f f D ε ε   =       =     Para el tramo 1: 1 1 1 3 5 4 1 1 1 1180 1,3705 0,0508 Re 68461,04 1,2 10 4,6 10 9,055 10 0,0508 0,00572 xV xD x x x x x D f ρ µ ε − − − = = = = = = Para el tramo 2: 2 2 2 3 5 3 2 2 2 1180 2,4364 0,0381 Re 91279,72 1,2 10 4,6 10 1,2073 10 0,0381 0,00577 xV xD x x x x x D f ρ µ ε − − − = = = = = = Reemplazando los valores de f1 y f2 en la Ec. (4): ( ) ( ) 0,79516191 22,6130 0,00572 381,1653 0,00577 3,1238 z z m = + + =
  • 164.
    4-37 Problema 4.10. Solución. Tomando comoreferencia los puntos (1) y (2) planteamos la ecuación de balance de energía mecánica. 2 2 1 1 2 2 1 2 1 1 2 2 2 2 2 1 1 2 2 2 2 2 : 0 0 3,72 ( ) 37 ............ 692 . 9 1,00 101325 : (1) 2 2 ... p V p V gz W gz F f Simplificaciones z W N p atm Absoluta m N p atm m Luego p V p V gz F f ρ ρ ρ ρ + + + = + + + = = = = = = + = + + + ∑ ∑ Por la ecuación de continuidad: 4 2 2 1 2 2 1 1 2 2 1 (2) 2 2 ................ V V D V A V A Q D   = =  → =     Reemplazando la Ec. (2) en la Ec. (1) y reordenando se tiene: 4 2 1 2 2 2 2 1 ................ 1 0 (3) 2 p p V D gz F f D ρ ρ         − − − − − =             ∑ Por otro lado se sabe que:
  • 165.
    4-38 ( ) () 2 2 2 2 1 1 1 2 2 2 1 2 1 2 1 2 ........... .... ............ 1" 1/ 2" 4 4 (4) ... 2 2 . 2 2 F f F F Tramo Tramo L V V L V V F f f K f K D D = +         = + + +                 ∑ ∑ ∑ ∑ ∑ ∑ Reemplazando la Ec. (4) en la Ec. (3): ( ) 4 2 2 2 1 2 2 2 1 1 2 2 2 1 2 1 2 1 1 2 1 4 4 0 ( ........ 5) 2 2 2 p p V D V L V L gz f K f K D D D ρ       −         − − − − + − + =                         ∑ ∑ Reemplazando la Ec. (2) en la Ec. (5): ( ) 4 4 2 2 2 1 2 2 2 2 2 1 2 2 2 1 2 1 2 1 1 1 2 . 1 4 4 0 .......(6) 2 2 2 p p V D V D L V L gz f K f K D D D D ρ       −           − − − − + − + =                             ∑ ∑ Reordenando: ( ) 4 4 2 1 2 2 2 2 1 2 2 1 2 1 2 1 1 1 2 ..... 1 4 4 0 (7) 2 ... p p V D D L L gz f K f K D D D D ρ         −             − − − + + + + =                                   ∑ ∑ A partir de esta expresión calculamos V2 como: ( ) 1 2 2 2 2 4 4 2 2 1 2 1 2 1 2 1 1 1 2 2 1 4 4 p p gz V D D L L f K f K D D D D ρ −   −     =               − + + + +                               ∑ ∑ Datos: 1 2 2 1 1 2 2 ...................................... .................. 0,0264 2,4384 0,0158 0,00625 9,144 3,65 12,794 0,0075 6 .................... .............. ,0 6 . 9 D m z m D m f L m f L m = = = = = + = = = De tablas se tiene los siguientes coeficientes de resistencia: • Válvula de globo: K = 10 • Codo de 90º con rosca: K = 0,7 • “Té”(Flujo derivado roscado): K = 2,0
  • 166.
    4-39 • Contracción brusca: 22 2 1 0,0158 0,5 1 0,5 1 0,32 0,0264 D K D           = − = − =                   Reemplazando los datos respectivos: 1 2 2 2 2 4 : 0,70 2,0 2,70 10,0 0,32 10,32 376929 101325 2 9,81 2,4384 998 0,0158 0,0158 12,794 1 4 0,00625 2,70 4 0 0,026 ....... ...... 4 0,0264 .............. 0,0264 Donde K K x V x x x = + = = + = −   −     =           − + + +                       ∑ ∑ 6,096 ,0075 10,32 0,0158   +     ( ) 2 2 2 2 2 2 2 2 3 4 3 3 ....... ....... 504,4712 504,4712 20,6435 0,641815 1,900771 21,894683 24,437269 4,54 4,54 0,0158 4 4 8,9014 10 1 1 :50 50 3,785 189,25 189,25 10 1 1000 V m V Q V A V D x x s m Q x s L m Volumen galones galx L x m gal L π π − − = = = + + =  → = = = = = = = 3 3 3 3 4 189,25 10 212,60 3,54 8,9 ........ 014 10 V x m t segundos minutos m Q x s − − ∴ = = = =
  • 167.
    4-40 Problema 4.11. Sistema: 3 3 3 3 ... .............. . .............. .............. .. .............. ......... : 77,4 / 1,18 10 / . 6 ? 40 1,6596 10 / 20 ..... Datos lb ft x lb ft s z m D SCH Q x m s L m ρ µ − − = = ∆ = = = = Balance de energía entre los puntos (1) y (2): 2 2 1 2 : V p Hs z hf g g Simplificaciones z z z ρ ∆ ∆ ∆ = ∆ + + + ∆ = − ∑ 2 6 0 0 0 z p V Hs = = − ∆ ≅ ∆ ≅ ∆ ≅ 2 2 ........ : 0 . Luego z hf hf z = +  → = − ∑ ∑ Donde:
  • 168.
    4-41 2 2 2 2 2 2 . ... ........... 4 2 2 4 2 4 6 2 6 6 4 4 2 2 4 . Tubería recta accesorios acc acc acc acc acc hf hf hf L V V hf f K D g g V L hf f K g D V L f K g D L L f K f K D D V V g g L f D = +   = +         = +             ∴ + =             + =  → = −                        ∑ ∑ ∑ ∑ ∑ ∑ ∑ ∑ 2 2 2 2 2 2 2 2 6 4 2 2 6 2 2 4 2 6 2 4 . 4 . ...... .... 6 12 2 1 4 1 0,50 4 0,8 .. 0 acc acc acc acc acc acc salida codo válvula acc V V K fxL g g D V V K g g V fxL g D V K g f L f L D g K K V V g K K K K K x     −          =  → =       −               =   −     = = − −       = + + = + + ∑ ∑ ∑ ∑ ∑ ∑ ∑ ( ) 2 2 2 10 13,70 4 20 80 12 9,81 117,72 13,7 13, ............ 7 80 (*) 117,72 13,7 ..... acc K f x f D x V V f D V = = = − − = − ∑
  • 169.
    4-42 3 3 3 ... ..... : 77,41239,83 ........ 19 1,18 10 . .. lb kg Datos ft m lb x ft s ρ µ − = = = 1 . 0,67197 . kg m s x lb ft s ( ) 3 2 2 ... ... ... 1,7560 10 . ( ) : (Re) ; Re ( ) 4 4 kg x m s xVxD D Supuesto f f Q Q V A D Q V D ρ µ π π − = = = = =   =     5 3 3 ................. 4.6 10 0 1 .. ,95 0 Ro x D m Q x s ε ε − − = = = D (supuesto) V (4Q/(πD²) Re (ρxVxD/µ) Ro (Є/D) f calc (Ec. Cheng) D calc Ver (*) 0.03000 1.34397 28467.5275 0.00153 0.00686 0.01066 0.01066 10.64513 80118.0181 0.00432 0.00759 -0.04797 0.02500 1.93532 34161.033 0.00184 0.00685 0.03089 0.02600 1.78931 32847.1471 0.00177 0.00684 0.02374 0.02550 1.86017 33491.2088 0.00180 0.00685 0.02695 0.02567 1.83561 33269.4127 0.00179 0.00684 0.02578 Luego el diámetro buscado es de: D = 2.567 m. Problema 4.12.
  • 170.
    4-43 Balance de energíaentre los puntos (1) y (2): 2 1 2 2 2 2 1 2 : 0 0 0 5 p V H z hf g g Simplificaciones p V V V V H ρ ∆ ∆ ∆ = ∆ + + + ∆ ≅ = ≠ − ∆ = + ∑ 2 2 5 ...... ...... ..........(1) 2 2 V hf H hf g g +  → ∆ = + + ∑ ∑ a) Pérdida de carga regular y singular: Línea de succión: 2 2 ......... ....................... ............................ 4 . . (2) 2 (3) 2 succión tubo acc succión regular singular succ succ regular succ succ succ singular succ hf hf hf ó hf hf hf L V hf f D g V hf K g = + = + = = ∑ Datos: ( ) ( ) 4 3 4 2 2 3 3,015 10 / 4 4 3,015 10 / 16 10 ( )² 4 1,4995 / Re / 11656,49 / 0 ( . . ) 0,00741 1,00 4 0,0074 ......................................... ...... 1 .. succ succ regular Q x m s Q x x Q V Q A xDi x x Di V m s xVxDi Di Tubo liso f hf x π π π ρ µ ε − − − = = = = = = = = ≅ = ∴ = ( ) 2 3 2 .......... ..................... ............ 1,4995 0,21230 16 10 2 9,81 1,4995 0,2 ............... 400 0,02750 2 9, ............. 81 0,2 ..... 3 ............... 98 ... 0 singular succión x x hf x hf −   =     = = =
  • 171.
    4-44 Línea de descarga: 2 2 4. . 2 2 descarga regular singular desc desc regular desc desc desc singular desc hf hf hf L V hf f D g V hf K g = + = = ∑ Cálculo de la velocidad de descarga: ( ) ( ) 4 3 4 2 2 3 3 3 3,015 10 / 4 4 3,015 10 / 13 10 ( )² 4 2,27148 / 1030 2,27148 13 10 Re / 14 . . ........................................ 346,77 2,12 10 / 0 ( ) 0,00 . desc desc desc Q x m s Q x x Q V Q A xDi x x Di V m s x x x xVxDi x Di Tubo liso f π π π ρ µ ε − − − − − = = = = = = = = = ≅ = [ ] 2 3 2 703 10 2,27148 4 0,00703 5,68834 13 10 2 9,81 2,2714 2 0,04 5 9,5 3,83422 ........ .......... ........ ............................................................. 2 81 . 9, . regular singular desca hf x x x hf x x hf −   ∴ = =     = + + = 9,52256 rga = Luego: . . . . . ............ 9.76237 // regular singular hf hf hf hf m de columna delíquido R = + = ∑ ∑ b) Potencia requerida: ( ) 2 2 2 2 5 ; 2 2,27148 5 9,76237 2 9,81 15,02 ...... ...... . . 535 : 15,02535 9,81 147,3987 / 147,3987 / 0,60 245,664 / . . . desc V H hf V V g H x H m de columna delíquido Energía W Hxg x J kg W W J kg η = + + = ∆ = + + ∆ = = ∆ = = = = ∑
  • 172.
    4-45 [ ] 4 : 245,664, 245,664 1030 3,015 .. 10 76,29 76,29 0 .... .. ,0762 . . 9 .. . Potencia J P Wxm xQ x x x kg J P P Watt s P KW ρ −   = = =     =  → = = c) Costo de bombeo: [ ] . 0,07629 3 0,22887 . . ....... 0,40 :0,22887 1 0, ............. 0 . 92 // Potencia KW h Potencia KWx h KW h soles Costo KW h x KW h Costo Nuevos soles R = − = = − − − = Problema 4.13. Solución: Datos: 1,10 3 3 r centipoise centipoise ρ µ = = = 0,000672 . 1 lb ft s centipoise 0,002016 . 1' 40 : 1,048 . ... lb ft s D cat Detabla di pulg = =  → =
  • 173.
    4-46 Escribimos la ecuaciónde Bernoulli entre los puntos a y b plano de referencia por A: a p ρ a c g z g + 2 2 a c V g + Wp + b p ρ = 2 2 b b c c V g z g g + + hf + Consideraciones: 2 . .......................................... 0 ( ) 0 .... 0.( ) a c a c V p manométrica g g z planodereferencia g ρ ∆ = ≅ = Finalmente se tiene: 2 0 2 b b c c V g z hf g g = + + Cálculo de: 2 4 1 2 b c l V hf d g φ = ∑ Donde: ( ) Re , f N D ε φ = Pero NRe no se puede calcular por falta de Vb, entonces la única manera es dando un valor razonable de Ф: Ф=0,003 Cálculo de ∑l: Longitud total de la tubería: (20+30+12+13) f t = 75 ft 2 válvulas de compuerta completamente abierta: ................. 1,0 .................... 49 13 2 26 2,2 . 6 12 77,26 L x L D l ft   =  → = =     = ∑ Reemplazando los valores en la expresión: 2 2 0 4 ................... ( ) 2 . 1 2 . b b b c c c l V V g z g g di g φ = + + ∑ 2 2 4 2 2 b b b c c c l V V g z g g di g φ − = + ∑
  • 174.
    4-47 [ ] 2 2 22 2 2 2 2 2 2 2 77,26 55 4 0,003 1,049 2 2 12 55 10,6 2 2 55 4,74 2 11,6 4,74 2 4,74 2 32,17 304,97 304,97 17,46 b b c c b b c c b c b c b b V V ft ft x x g g ft V V ft g g V ft ft g ft ft V x xg ftx x s s ft V s ft V s − − = +       = + = = = = = = = Con este valor de Vb evaluamos de nuevo el valor de Ф: Donde: ( ) Re , f N D ε φ = Número Reynolds: Re 3 3 1,10 62,42 68,662 0,002016 . b V di N lb lb x ft ft lb ft s ρ µ ρ µ = = = = ( )( ) 3 Re 4 Re 68,662 17,46 1,049/12 0,002016 . 5,198 10 ft lb ft s ft N lb ft s N x       = = Para acero comercial: 0,00015 ft ε = (Tabla) 0,00015 0,0017 1,049 12 ft d ft ε = = Con los valores de NRe y de d ε la gráfica se tiene: 0,0054 φ = Reemplazando nuevamente este valor en:
  • 175.
    4-48 [ ] 2 2 22 2 2 4 2 2 77,26 55 4 0,0054 1,049 2 2 12 55 19,09 2 2 55 2 32,17 20,09 13,27 b b a c c c b b c c b b c c b b l V V g z g g di g V V ft ft x x g g ft V V ft g g ft V x x s ft V s φ − = + − − = +       = + = = ∑ Esta es la velocidad con que se drena en el tanque B. Para determinar el tiempo de drenaje en el tanque A hasta un nivel de “1 pie”; calculamos por la ecuación de continuidad: 1 1 2 2 .. : . a a b b Q V A V A Osea V A V A = = = De donde: ( ) ( ) 2 2 1 1 ( ) ( ) 4 13,27 1,04 . . . . . . . . . 9 4 . . a a a b b dx V Por ser incógnita dt A D Considerando al ta que como un cilindro ft V s A d d pulg n π π = = = =  → = Siendo la nueva expresión: 4 dx dt π ( ) 2 4 a b D V π = ( ) 2 1 2 2 1,049 13,27 0,4056 6 i b a d d dx V dt D dx ft dt s   =       = =    
  • 176.
    4-49 ( ) () 2 2 1 1 0 0 2 1 2 1 2 2 2 2 0,4056 0,4056 0,4056 0,4056 x t x t dx dt x x t t x t x t = = = − = − = = ∫ ∫ Donde: 2 2 2 9 : 9 0,4056 2 . .. 2,1 ............. 8 / .... / .. x ft Luego ft t ft s t s R = = = Problema 4.14. Parte a): 3 3 : 6 6 1 . . 0 ) 4 ) 8 Datos L m Q x s s a h cm b h cm − = = ∆ = ∆ = Balance de energía entre los puntos (1) y (2): 1 z 2 1 1 2 p V g g ρ + + 2 z = 2 2 2 2 p V g g ρ + + 2 1 2 1 2 2 1 2 1 2 . ............................. .. : . 2 . .. ... : regular regular v Hg H O hf Simplificaciones z z V V p p V hf K g g Pero p p hxg hx g ρ ρ ρ + = = − ∴ = =   − = ∆ −   ∆ ∴ 2 Hg H O g ρ ρ ρ   −   2 . 2 v V K g =
  • 177.
    4-50 2 2 . 2 2 v v V h K g h K V g ρ ρ ρ ρ   ∆ ∆=       ∆ ∆     = Cálculo de V: ( ) 3 3 2 2 6 10 4,7746 4 10 4 f m x Q m s V A s x π − − = = = Reemplazando datos se tiene: a) ∆h = 4 cm = 4 x 10-2 m de Hg: [ ] ( ) 3 2 13600 1000 4 10 1000 4,7746 2 9,81 0,4337 v v x K x K − − = = b) ∆h = 8 cm = 8 x 10-2 m de Hg: [ ] ( ) 3 2 13600 1000 8 10 1000 4,7746 2 9,81 0,8675 0,868 v v v x K x K K − − = = ≅ Parte b): 3 3 .. .. ........................... : 20º 998 1 10 . 400 .. Datos Kg T C m Kg x m s L m ρ µ − =  → = = = Material: hierro forjado (ε = 0,046 m)
  • 178.
    4-51 10 0,10 0,5 5,7 10 entrada válvula d cmm k k z m = = = = ∆ = Ecuación de Bernoulli: 1 1 p z g ρ + 2 1 2 V g + 2 2 p z g ρ = + 2 2 2 V g + 1 2 1 2 2 1 2 1 1 1 : 10 0 4 . 2 2 2 4 2 . ............................. ... . 4 2 2 9,81 10 400 4 4 0,10 . .. acc acc acc acc hf Simplificaciones z m z z hf L V V z f K d g g gz V L z f K V g d L f K d gz x x V L f K f d + = = ∴ =   = +         = +  → =           +     = =    +      ∑ ∑ ∑ ∑ ∑ ∑ acc K  +    ∑ Donde: .................. ................. ............... 0,5 1, . 0 5,7 7,2 acc entrada salida válvula acc K K K K K  → = = = = ∑ 14 16000. 7,2 V f = +
  • 179.
    4-52 V (supuesto) ε/d Ref V (calculado) 3 0.00046 299400 0.00451 1.57188 1.57188 0.00046 156873.242 0.00479 1.52960 1.52960 0.00046 152653.855 0.00480 1.52749 1.52749 0.00046 152443.681 0.00480 1.52738 1.52738 0.00046 152432.991 0.00480 1.52738 Luego V = 1,52738 m/s ( ) 3 2 3 1,52738 0,10 0,012 4 0,01 ....................... 2 // . ..... f m Q VxA x s m Q R s π = = = = Problema 4.15. Q = 212 L/s = 212 x 10-3 m³/s Tubería: (1)-(2) PVC: ε = 0,0015 mm, d1 =? Tubería: (2)-(3) Horno fundido: ε = 0,12 mm, d2 = 6’’ = 0,1524 m Balance de energía entre los puntos (1) y (2): ( ) 2 2 1 1 2 2 1 2 1 2 1 2 1 2 . . . . .............................. ....... 2 2 : 0 ( ....................... ........................ ) 7 9,2 16, ...... . 0 1 . 6 . 2 p V p V z z hf g g g g Simplificaciones z Punto de referencia z m p p V V ρ ρ + + = + + + = = − + = − = = ∴ = − ∑ ,2 16,2 hf hf +  → = ∑ ∑
  • 180.
    4-53 ( ) 2 2 22 2 2 1 1 1 2 2 2 1 2 1 2 2 2 1 2 1 2 1 4 . 16,2 2 2 16,2 4 4 . 2 2 2 2 92 11,2 16,2 4 0,5 4 2,85 2 2 0,1524 entr codo cheque V V f K g g L V V L V V f K f K Kvál d g g d g g V V f f g d g + =     = + + + +                 = + + +                 ∑ ∑ ∑ De la ecuación de continuidad: 2 2 1 1 2 2 1 2 1 4 2 2 1 2 2 1 2 2 d Q V A V A V V d V V d g g d   = =  → =       =     ( ) 4 2 2 2 2 2 1 2 1 1 4 4 2 2 2 2 1 2 1 1 1 4 4 2 2 1 2 2 5 2 1 1 92 16,2 4 0,5 4 73,49 2,85 2 2 92 16,2 4 0,5 293,9632 2,85 2 16,2 368 0,5 293,9632 2,85 2 V d V f f g d d g V d d f f g d d d d d f f V d d g       = + + +                          = + + +                     = + + +         Cálculo de V2: ( ) 3 3 2 2 2 2 212 10 0,1524 4 11,6218 f m x Q s V A m m V s π − = = = ( ) 4 4 2 2 1 2 2 5 1 1 4 4 2 2 1 2 5 1 1 16,2 368 0,5 293,9632 2,85 11,6218 2 9,81 2,35325 368 0,5 293,9632 2,85 d d f f d d x d d f f d d       = + + +           = + + +    
  • 181.
    4-54 Cálculo de f2: Comoprimera alternativa supongamos: 1 0,0040 f ≅ ( ) 4 4 5 1 1 5 4 1 1 0,1524 0,1524 2,35325 368 0,0040 0,5 4,22842 0,00079 0,00027 2,35325 4,22842 ( ) x d d f x d d   = + +     = + + = Por tanteo: d1 (supuesto) f(x) calculado 0.10 85.92842 0.20 6.86592 0.15 15.16505 0.12 37.27883 0.14 19.62007 0.13 26.45076 0.135 22.65937 0.134 23.35118 Luego 23,35118 es el valor que se aproxima a 23,35325. Ahora procedemos a un cálculo riguroso: 3 2 2 2 3 2 4 2 2 2 4 4 2 2 1 5 1 1 998 ³ 1 10 . 998 11,6218 0,1524 Re 1 10 Re 1767619,995 0,12 7,874015748 10 152,4 0,00469 ( ) 2,35325 368 0,5 ... 4,22842 kg m kg x m s xV xd x x x mm x d mm f Cheng d d f d d ρ µ ρ µ ε − − − = = = = = = = =   = + +    
  • 182.
    4-55 Supongamos: ( ) () 1 3 1 1 1 1 1 1 1 3 3 3 3 1 2 2 1 1 1 1 1 0,134 0,0015 10 0,00001 0,134 998 0,134 Re 133732 1 10 212 10 212 10 15,03264 0,134 4 4 Re 133732 15,03264 Re 201034 .. . 5,522 0,0 6 . 02 8 d m x m d m xV xd xV x V x m x Q x m s V A s d x f ε ρ µ π π − − − − = = = = = = = = = = = =  → = Segundo tanteo: ( ) 1 1 1 1 3 1 2 1 1 1 3 1 1 120 0,120 0,0015 0,00001 120 212 10 18,74 0,120 4 18,74 0,12 998 Re 1 10 Re 2244 .. 885,83 0,0 64 . 02 . d mm d m mm d mm Q x m V A s V xd x x x x f ε π ρ µ − − =  → = = = = = = = = = = Calculando: f(x) = 26,59 Luego el diámetro seleccionado será: 1 ................ 0, .. 125 // . d R ≅
  • 183.
    4-56 Problema 4.16. Datos: Q= 21,2 ft3 /min ρ = 62,3 lb/ft3 = 996,64 kg/m3 υ = 1,14 x 10-5 ft/2 /s ΣL = 2,25 millas Do = 7,5 pulg esp = 1,25 pulg Accesorios = 25 % de carga de fricción ∆P = 30 kPa Balance de energía entre los puntos (1) y (2): ∑ + + + = + + + hf g v g p Z H g v g p Z B 2 2 2 2 2 2 2 1 1 1 ρ ρ Simplificaciones: v1 = 0 acc f tubo f B h h g v g p Z H + + +         ∆ + ∆ = 2 2 2 ρ (I) Donde: a c de m ft m x ft Z . . 096 , 6 1 3048 , 0 20 = = ∆ a c de m x Pa g p . 068 , 3 81 , 9 64 , 996 30000 = = ∆ ρ Cálculo de velocidad. s m s x ft m x ft Q / 010 , 0 60 min 1 1 3048 , 0 min 2 , 21 3 3 3 =         = Di = Do – 2 esp = 7,5 – 2 x 1,25 = 5,0 pulg Di = 12,7 cm = 0,127 m s m s m A Q v flujo / 7894 , 0 ) 127 , 0 ( 4 / 010 , 0 2 3 = = = π
  • 184.
    4-57 a de c m x g v . 03176 , 0 81 , 9 2 ) 7894 , 0 ( 2 2 2 = = Cálculo de pérdidade carga regular por tramos rectos: g v D L F f h tubo f 2 4 2       = L = 2,25 millas * 1609,347 m/1 millas = 3621,03 m Cálculo del Nº Re: υ ρ µ µ ρ Di v Di v D v =         = = Re s m x ft m s ft x 2 6 2 2 5 10 059 , 1 1 3048 , 0 10 14 , 1 = ⇒         = − υ υ Re = s m x o m s m / 10 59 , 1 ) 127 , 0 ( / 7894 , 0 2 6 − Re = 94659,9 Tubo liso: Є/D ≡ 0,0 [ ] [ ] 3 4 10 5533 , 4 0 , 10 46599 , 9 / Re, − = = = x x D f fF ε fF = 0,004553 Cálculo de hftubo real 81 , 9 2 ) 7894 , 0 ( 127 , 0 03 , 3621 004553 , 0 4 2 4 2 2 x x x x g v D L f h F recto t f       =       = hf tubo recto = 16,4937 m.de c.de agua Accesorios. hac = 0,25 x hf tubo recto = 0,25 x 16,4937 hac = 4,1234 m. Reemplazando datos en la ecuación (I): HB = 6,096 + 3,068 + 0,03176 + 16,4937 + 4, 1234 HB = 29,8128 m. de. c. a. a) Cálculo potencia teórica: ) ( ) ( Q x g x H W B B ρ η = s m x m kg x s m x m WB 3 3 2 010 , 0 64 , 996 81 , 9 8128 , 29 = η η WB = 2914,81 J/s , η = 1,0
  • 185.
    4-58 WB = 2,91481kW = 2,92 kW b) Di = 0,16 m Problema 4.17. Para resolver este problema, consideremos como referencia el nivel O – O’, entonces la ecuación de balance de energía planteada entre (1) y (2) es como sigue: ∑ + + + = + + hf g v g p Z g v g p Z 2 2 2 2 2 2 2 1 1 1 ρ ρ Z1 = (27 + 18) pulg = 45 pulg = 1,143 m Z2 = 12 pulg = 0,3048 m ; Z2 = 1,2 = 0,03048 p1 = p2 = p atm v1 = 0 , v2 ≠ 0 Z1 = Z2 + ∑ + f h g v 2 2 2 g v g v Z Z hf 2 3048 , 0 143 , 1 2 2 2 2 2 2 1 − − = − − = ∑ (II) Cálculo de v2 : Balance de energía punto (2) y (3): g v g p Z g v g p Z 2 2 2 3 3 3 2 2 2 2 + + = + + ρ ρ Simplificación: Z2 = 0 p2 = p3 = Presión atmosférica v3 = 0 (estancado) g x Z v Z g v 2 2 3 2 3 2 2 = ⇒ = ∴ Z2 = 3 pulg = 7,62 cm = 0,0762 m v2 = 81 ), 2 0762 , 0 x x = 495044 , 1 v2 = 1,2227 m/s
  • 186.
    4-59 Entonces se tieneque: m x g v 0762 , 0 81 , 9 2 ) 2227 , 81 2 2 2 2 = = Reemplazando en la ecuación (II): 0762 , 0 3048 , 0 143 , 1 − − = ∑ f h 762 , 0 = ∑ f h Como dato se tiene que a tubería es roscado de ½” de Φ., entonces, de la tabla consideremos SCH-40: Di =0,622 pulg = 3 10 1 0157988 , 0 2227 , 1 998 − x x x Cálculo de Re. T = 20ºC ρ = 998 kg/m.s; µ = 1 x10-3 kg/m.s 3 10 1 015988 , 0 2227 , 1 998 Re − = = x x x i v µ ρ Re = 19278,6 De tablas: Є = 0,15 m m x D 0157988 . 0 10 15 , 0 3 − = ε 0094 , 0 10 4943 , 9 3 = = − x D ε f = 0,010  → 0,01085 De la Ecuación: 762 , 0 = ∑ f h
  • 187.
    4-60 ( ) 762 , 0 2 2 4 2 2 2 2 = +       + + ∑g v K g v D L f g v K K val salida codo De tablas: Codo 90º roscado = K = 1,5 Condiciones de flujo de entrada: K = 0,04 L = (18 + 32) pulg = 50 pulg = 1,27 m. (2 x 1,5 + 0,04) (0,0762) + 4 x 0,010 (1,27 m/0,0157988) x 0,0762 + Kvalvul (v2 /2 g) = 0,762 0,231648 + 0,245016 + Kval (v2 /2 g) = 0,762 kval . (v2 / 2 g) = 0,2853 kval = g v 2 2853 , 0 2 Kval = 0,2853/0,0762 Kval = 3,74 (5,68) Problema 4.18.
  • 188.
    4-61 Balance de energíamecánica entre los puntos (1) y (2): 2 1 1 1 2 p V z g g ρ + + 2 2 2 2 2 B p V H z g g ρ + = + + ( ) 1 2 2 1 : 0 0 : ( .............. 1) .. B hf Simplificaciones V V Luego p p H z hf g ρ + ≅ ≅ − = ∆ + + ∑ ∑ ( ) ( ) 2 2 2 ... : 4 2 2 4 ............ (2) . 2 succión Descarga suc suc suc suc suc suc suc suc suc suc suc suc suc Donde hf hf hf L V V hf f K D g g V L hf f K g D = +   = +         = +         ∑ ∑ ∑ ∑ ∑ ∑ ∑ De forma similar para la sección de descarga: 2 4 ... (3) ............ 2 . Desc Desc Desc Desc Desc Desc V L hf f K g D     = +         ∑ ∑ Para resolver las ecuaciones (1), (2) y (3), se requiere calcular el caudal a partir del medidor de orificio: a) Cálculo del caudal: primero calculamos la velocidad en la línea de 2pulg φ = , mediante la ecuación: ( ) 1 2 1 4 2 1 o o p p C V D d ρ − =   −     Para un fluido con líquido manométrico: 1 2 1 4 .. 1 . .. 2 . 1 Hg Hg o p p hxg C V g h D d ρ ρ ρ ρ   − = ∆ −     ∴ = ∆ −       −     Datos: 0,62 o C = (Valor razonable para régimen turbulento, dato experimental obtenido de ensayos de laboratorio de banco de medidores de flujo o de la grafica para medidor de flujo por orificio, ver Cap. III)
  • 189.
    4-62 De tablas: 2”SCH 40: 52,5 1 2,54 25,4 i o D mm d pulg cm mm = = = = De tablas: T=30ºC: 3 3 879 0,60 0 ..... ,60 1 . . 0 kg Benceno m kg cp x m s ρ µ −   =     = = Reemplazando los valores respectivos: 1 4 1 0,62 13600 2 9,81 0,20 1 879 52,5 1 25,4 1,1248 Descarga Desc V x x x m V V V s   = −       −     = = = Caudal: ( ) ( ) 2 2 3 1 1 1 1 3 3 1,1248 52,5 10 4 4 2,435 10 Q V xA V x D x x m Q x s π π − −     = = =         = b) Potencia de la bomba: La potencia de la bomba se determina resolviendo las ecuaciones (1), (2) y (3): Cálculo de la pérdida de carga regular y singular: 1. Línea de succión. Dato: D=3” SCH 40  → De tablas: 77,9 i D mm = Velocidad en la línea de succión: ( ) 3 3 2 2 3 2,435 10 77,9 10 4 4 0,51 suc f suc m x Q Q s V A xD x m V s π π − − = = = = • Cálculo del coeficiente de fricción: K ∑ : 1 0,50 0,50 " " : 1 1,20 1 . . ............ . . ..... . . ..... ........................................ ,20 : 1 6,00 6, .. 00 7,70 suc Entrada del tubo x T con salida lateral x Válvula globo abierta x K = = = = ∑
  • 190.
    4-63 • Cálculo delfactor de fricción: suc f ( ) 3 3 6 5 3 2 3 Re, 879 0,51 77,9 10 Re 58202,98 0,6 10 1,5 10 1,9255 10 77,9 10 0,00507 ( ) 4 2 : . 5,5 77,9 .. .. 10 . suc suc suc suc suc suc suc suc suc suc suc f f D xV xD x x x x x x D x f Cheng V L hf f K g D Datos L m D x m ε ρ µ ε − − − − − −   =   = = = = = =   ∴ = +     = = ∑ ∑ ( ) ( ) 2 3 0,51 5,5 4 0,00507 7,7 2 9,81 77,9 10 0,12106 suc suc hf x x x x hf −   = +     = ∑ ∑ 2. Línea de descarga. Datos: 2 52,5 1,1248 Desc pulg mm m V s φ = = = Primero calculamos la pérdida de carga por fricción del orificio:
  • 191.
    4-64 [ ] 2 2 2 2 2 ..... 1 0,20 9,8113600 879 24958,602 25,4 24958,602 1 52,5 19116,5 : 2 o orif medido medido Hg medido orif orif orif orif orif o orif d P P D P hxg x x N P m P x N P m Luego V P K x x P K ρ ρ ρ     ∆ = ∆ −             ∆ = ∆ − = −   ∆ =     ∴ ∆ = −           ∆ = ∆ = ∆ = ( ) 2 2 3 2 3 2 2 : 2,435 10 4,805 25,4 10 4 19116,5 1,88 (4,805) 879 2 1,9 rif orif orif orif orif orif V x Donde m x Q m s V A s x K x K ρ π − − = = ≅ = = ≅ • Cálculo del coeficiente de pérdida de carga, ( )Desc K ∑ : . . . ..... . . . . ...... . . .................... : 1 6,00 6,00 3 90º : 3 0,75 2,25 : 1 1,00 1 . . . ........... .................. ,00 1 : 1 1, ....... 90 1,9 . 0 . Válvula de globo abierta x codos de estándar x Salida del tubo x medidor de orificio x = = = = ................ , .. 11 25 . Desc K = ∑ • Cálculo del factor de fricción, Desc f :
  • 192.
    4-65 ( ) 3 3 6 5 3 2 Re, 879 1,124852,5 10 Re 86511,18 0,6 10 ... .. 1,5 10 2,8571 10 52,5 10 0,00468 ( ) 4 2 : 19 52,5 . 10 Desc Desc Desc Desc Desc Desc Desc Desc Desc Desc Desc f f D xV xD x x x x x x D x f Cheng V L hf f K g D Datos L m D x ε ρ µ ε − − − − − −   =   = = = = = =   ∴ = +     = = ∑ ∑ 3 m ( ) ( ) 2 3 1,1248 19 4 0,00468 11,25 2 9,81 52,5 10 1,16231 Desc Desc hf x x x x hf −   = +     = ∑ ∑ Finalmente: ( ) ( ) 0,12106 1,16231 1,28337 . . . ( .. ) succión Descarga hf hf hf hf La contribución es mínima = + = + = ∑ ∑ ∑ ∑ Reemplazando datos en la ecuación (1): ( ) ( ) 2 1 1 2 2 2 1 101325 4 405300 405300 101325 7 1,28337 35,25169 7 1,28337 879 9,81 43, . . . . . 535 B B B p p H z hf g N p atm m N P atm m H x H m de columna debenceno ρ − = + ∆ + = = = = − = + + = + + = ∑
  • 193.
    4-66 • Cálculo dela potencia: 2 43,535 9,81 427,07894 427,07894 427,07894 657,04 0,65 : 657,04 B B B B m J W H xg mx s kg J W kg Potencia N W x xQ J N Kg η η ρ = = = = = = = = 879 Kg x 3 m 3 3 2,435 10 m x x − 1,88 s N Hp         = Luego la bomba a seleccionar será: 2,0 N Hp ≅ c) Costo de bombeo: de acuerdo a los datos se tiene: . 0,50 nuevos soles KW h − Como no se indica si es por día o mes, supondremos t =1 hora. Luego: 1,40631 0,5 . . 0 .1 N KW x hora nuevos soles Costo KW hora = = − 1,40631 x KW hora − 0,70316 . . 1 nuevos soles Costo hora = Problema 4.19. Ecuación: ∑ + + + = + + + F v p Z g W v p g Z 2 2 2 2 2 2 2 1 1 1 ρ ρ Simplificaciones: Z1 = Z2
  • 194.
    4-67 W = 0 v1= v2 (D = constante) p1 = 5,42 atm = 549181,5 N/m2 p2 = 3,04 atm = 308028 N/m2 ∑ ∑ = − ⇒ + = ∴ F p p F p p ρ ρ ρ ) ( 2 1 2 1 (1) Además, 2 4 2 v D L f F ∑       = ( )( ) 2 4 2 2 1 v D L f p p = − ∴ ρ ( )( ) ρ / ) ( 2 4 2 1 2 p p v D L f D − = (2) Q = v/A v = Q/(π/4 x D2 ) Además, f = f (Re, Є/D) y µ ρ D x v x = Re La solución es por tanteo: D (supuesto) Calculado v Re ε/D f D (Ec. 2) Si D supuesto = D calculado, entonces D = 6 pulg (intente resolver para obtener esta respuesta) Problema 4.20. Datos. LAB = 44 m , DAB = 38 mm LBC = 1,5 m, DCB = 32 mm LBD = 4,0 m; DBD = 26 mm f = 1/40
  • 195.
    4-68 Parte a. a) Calculode caudal en (c) cuando D está cerrado, T en B es despreciable. Para 1 y 2: Ecuación: ∑ + + + = + + + F v p Z g W v p g Z C C 2 2 2 2 2 1 1 1 ρ ρ Simplificaciones: Z1 = 0 v1 = 0 W = 0 p1 = p2 = presión atmosférica Z2 = - 11 ∑ ∑ + + − = ⇒ + + = ∴ F v g F v Zc g c c 2 ) 11 ( 0 2 ) ( 0 2 2 ∑ − = 2 ) 11 ( 2 c v g F (1) Además: ∑ ∑ ∑ + = BC AB F F F Donde: 2 ) 14 44 ( ) 40 / 1 ( 2 ) ( 4 2 2 A AB c AB eqAB AB AB AB v D v D L L f F + = + = ∑ 2 ) 11 5 , 1 ( ) 40 / 1 ( 2 ) ( 4 2 2 c BC c BC BC eq BC BC BC v D v D L L f F + = + = ∑ 2 032 , 0 ) 5 , 12 ( ) 40 / 1 ( 4 2 038 , 0 ) 58 ( ) 40 / 1 ( 4 2 2 A A BC AB v x v x F F + = + ∑ ∑ (2) Reemplazando (2) en (1)
  • 196.
    4-69 (1/40) 2 / ) 11 ( 2 032 , 0 ) 5 , 12 ( ) 40 / 1 ( 4 2 038 , 0 58 2 2 2 c c A v g v x v − +       Además,vA AA = vc Ac → vA = 2         AB BC c D D v 4 2 2 ) / ( AB BC c A D D v v = 2 / 11 81 , 9 2 032 . 0 5 , 12 ) 40 / 1 ( 4 2 038 , 0 032 , 0 038 , 0 58 ) 40 / 1 ( 2 2 4 2 c c c v x v v − = + +             11 81 , 9 1 032 , 0 5 , 12 ) 40 / 1 ( 038 , 0 032 , 0 038 , 0 58 40 1 2 4 2 x vc =         − +                   [ ] 97 , 13 11 81 , 9 11 81 , 9 1 765 , 9 18 , 19 2 2 2 x v x v c c = ⇒ = − + vc = 2,7 m/s , Q = π/4 x DBC vc Parte b. Cálculo de pérdida por fricción. Tramo BC: 2 2 2 50 , 0 2 032 , 0 11 5 , 1 40 1 2 4 c c c BC BC f v g v g v D Leq f h ≅       + = = Tramo BD: 2 2 2 8331 , 0 2 026 , 0 13 4 40 1 2 4 D D D BD BD f v g v g v D Leq f h ≅       + = = PB C D Pb Pc
  • 197.
    4-70 ∑ + − + − = f T h g p p g v v H ρ 1 2 2 1 2 2 2 22 0,50 0,8331 0,50 0,8331 c D D C v v v v = = 0,775 D C v v = De la ecuación de continuidad ( ) ( ) ( ) ( ) ( ) 2 2 2 2 2 2 (0,038) (0,032) 0,026 4 4 4 0,038 0,032 0,026 0,775 1,078 A C D A C A C Q v v v Q v v v v π π π = = + = = + = Balance: entre A y C ∑ + = f C h g v Z 2 2 2 Tramo AB 2 2 2 2 26 , 2 2 ) 078 , 1 ( 038 , 0 14 44 40 1 2 4 C C A AB AB f v g v g v D Le f h =       + =         = Tramo BC: 2 2 2 498 , 20 2 032 , 0 11 5 , 1 40 1 2 4 C C C BC BC f v g v g v D Le f h =       + =         = 2 2 2 758 , 2 2 11 758 , 2 C C C f v g v v h + = ∴ = ∑ vC = 1,97 m/s QC = 0,095 m3 /min = 95 L/min QD = 0,049 m3 /min = 49 l/min
  • 198.
    4-71 Problema 4.21. La ecuaciónde Bernoulli entre los puntos 1 y 2 resulta: ∑ + − + − + − = f T h Z Z g p p g v v H ) ( 2 1 2 1 2 2 1 2 2 ρ (1) Análisis: Supongamos: ∆Z = 0 Entonces, ∑ + − + − = f T h g p p g v v H ρ 1 2 2 1 2 2 2 (2) Donde ∑ + = 2 1 f f f h h h hf1 = pérdida de carga para el tramo de 8” hf2 = pérdida de carga para el tramo de 6” Cálculo de velocidades: Q = 1500 g/min = 0,09463 m3 /s v = Q/A de flujo 1) Para el tramo de 8 pulgadas de diámetro ( = 0,2032 m) v1 = Q/A1 = 0,09463/π/4 (0,2032)2 v1 = 2,9180 m/s A la temperatura de 15 ºC : ρ = 998 kg/m3 , µ = 1,131 x 10-3 kg/m.s 3 1 10 13 , 1 2032 , 0 9180 , 2 998 Re − = = x x x di v µ ρ
  • 199.
    4-72 Re = 5,23x 105 Suponiendo una tubería de acero comercial forjado: ε = 0,046 mm ε/D = 0,046 x 10-3 / 0,2032 = 0,00022 De la ecuación de Cheng, el factor de fricción de Fanning es, f1 = 0,0038994 Cálculo de Σ l1 con sus respectivos accesorios: • longitud de tubería tramo de 8” de diámetro: = 672,00 m • 10 codos de 90º: L/D = 30 x 10 : L1 = 300 x 0,2032 = 13,20 m • 5 válvulas de compuerta completamente abierta: L/D = 13 x 5 : L = 65 x 0,2032 = 13,20 m. • 1 válvula de globo L/D = 340: L = 340 x 0,2032 = 69,088 m Σ l1 = 815,248 m Reemplazando estos valores en: g v d l f hf 2 4 2 1 1 1 1 1 ∑ = 81 , 9 2 ) 9180 , 2 ( 2032 , 0 248 , 815 0038994 , 0 4 2 1 x x hf = hf1 = 27,16 m 2) Para el tramo de 6” de diámetro (≈ 0,1524) s m m s m A Q v / 1876 , 5 ) 1524 , 0 ( 4 / 09463 , 0 / 2 2 3 2 2 = = = π µ ρ 2 2 Re d v = Supongamos que el agua de enfriamiento salga del reactor y condensador a 38 ºC, para estas condiciones:
  • 200.
    4-73 ρ = 994,7kg/m3 µ = 0,682 x 10-3 kg/m.s 6 3 10 15 , 1 10 682 , 0 1524 , 0 1876 , 5 7 , 994 Re x x x x = = ∴ − 0003018 , 0 1524 , 0 10 046 , 0 3 = = − x d ε De la ecuación de Cheng: f2 = 3,9045 x 10-3 Cálculo de Σ l2 : - longitud de tubería tramo 6” de diámetro = 672,00 m - 10 codos de 90º: L/D = 30 x 10  → L= 300 x 0,1524 = 45,72 - 5 válvulas de compuerta: L/D = 13 x 5  → L = 65 x 0,1524 = 9,906 - 2 válvulas de globo: L/D = 340 x 2  → L = 680 x 0,1524 = 103,632 Σ l2 = 831,258 Reemplazando este resultado en la ecuación: g v d l f hf 2 4 2 2 2 2 2 2 ∑ = 81 , 9 2 ) 1876 , 5 ( 1524 , 0 258 , 831 10 9045 , 3 4 2 3 2 x x x hf − = hf2 = 116,85 m Luego la pérdida de carga en el sistema de circulación es la suma de las pérdidas de carga en las secciones de 8 y 6 pulgadas: ∑ = + = + = m hf hf hf 0 , 144 84 , 116 16 , 27 2 1 Además se tiene: p1 = 35 psi + 14,7 = 49,7 psi = 3,38 atm = 3,4247 x 105 N/m2 p2 = 10 psia = 0,68 atm = 0,6892 x 105 N/m2 ρ = (998 + 994,7)/2 = 996,35 kg/m3 Reemplazando todo los valores en la ecuación (2):
  • 201.
    4-74 2 2 5 (5,1876)(2,918) [0,6892 3,4247] 10 144 2 9,81 996,35 9,81 116,95 T T x H x x H m − − = + + = Donde: HT = ẁ/g ẁ = HT x g = 116,95 x 9,81 = 1147,28 m2 /s2 = J/kg Además, se sabe que, m = Q x ρ = 0,09463 m3 /s x 996,35 kg/m3 = 94,28 kg/s Potencia teórica: N = ẁ x m N = 1147,28 J/kg x 94,28 kg/s = 108165,56 J/s N = 108,2 kW = 108,2 kW x 1hp/0,7457 Kw N = 145 hp (Para una bomba ideal) 100 % de η b) Si el rendimiento de la bomba es de 70 %, el tamaño nominal de la bomba es, Potencia de accionamiento necesario es. Na = N/η = 145/0,70 = 207 hp = 154,5 kW Corriente en amperios (intensidad): ( ) ( ) ( ) 3 cos cos 0,80 kW kVoltios x Amp x sea φ φ =     = Amp ≡ 293 Amperios
  • 202.
    4-75 Problema 4.22 Datos: 1 1 22 100 / 8 lg. 40 0,207 ( ) 6 lg. 40 0,1541 ( ) Q l s D pu SCH D m tabla D pu SCH D m tabla = = ⇒ ⇒ = = ⇒ ⇒ = Esquema para plantear balance de energia entre los puntos (1) y (2) ( ) ( ) 2 2 2 1 2 1 2 B V V p p H z hf g g ρ − − = ∆ + + + ∑ (1) Calculo de velocidades en la succion y descarga de la bomba: Q V A = Tueberia de 8 pulgadas (succion): ( ) ( ) 1 2 0,10 3,098 / 4 0,2027 V m s x π = =
  • 203.
    4-76 Tueberia de 6pulgadas (descarga): ( ) ( ) 2 2 0,10 5,36 / 4 0,1541 V m s x π = = Calculo de caída de presión: 1 p 2 A p p = 1 p = [ ] 2 3 H O x g p ρ + 2 p = [ ] 4 Hg h g p ρ + ∆ 3 p = 5 p 4 p = [ ] 2 6 H O h x g p ρ − ∆ + 5 p = [ ] 2 6 H O B z g p p ρ − ∆ = [ ] B A p p x − = [ ] 2 H O Hg g h g h x ρ ρ + ∆ − ∆ + [ ] 2 2 H O H O g z g ρ ρ   − ∆   [ ] [ ] 2 2 B A Hg H O H O p p h g z g ρ ρ ρ   − = ∆ − − ∆   Remplazando datos y expresando como: 2 1 B A p p p P − = − [ ] 2 1 1,30 9,80 13600 1000 2,0 9,80 1000 p p x x x x − = − − 2 1 2 1 140924 140924 14,38 1000 9,80 p p Pa p p g x ρ − = − = = Reemplazando en la Ec. (1) ( ) 2 2 5,36 3,098 2,0 14,38 0 2 B H g − = + + + 17,35 B H mca = Calculo enforma de energia: 17,35 9,8 170,03 / B Ws H g x J kg η = = =
  • 204.
    4-77 Calculo de potencia: () ( ) 170,03 1000 0,1 17003 / ( ) J Potencia Ws m Ws Q x x J s Watts kg η η ρ   = = = =     Potencia = 22,8 Hp , 1Hp = 745,7 Watts
  • 205.
    5-1 CAPÍTULO V BOMBAS YCOMPRESORAS Problema 5.1.- La característica de la bomba se muestra en la figura (b). Para el sistema mostrado en la figura (a) determinar: a) El caudal de operación del sistema, b) la carga y la eficiencia desarrollada por la bomba, y c) la potencia requerida en Hp.
  • 206.
    5-2 Problema 5.2 En figuraNo 2a se muestra el esquema de una tubería simple con bombeo. En la figura 2b se muestran la curva característica de la bomba instalada en la tubería. Calcule el caudal que circula por la tubería. ¿Cuál es la potencia requerida?. La tubería tiene un diámetro de 8 pulgadas de acero comercial. Los coeficientes de perdidas menores son: entrada k = 0,5, check k = 4,5, codo = 0,8, válvula k = 1,2, salida k =1,0, uniones k = 7,0
  • 207.
    5-3 Problema 5.3. El aguade proceso de la Planta Piloto de Jugos y Conservas de Frutas, de la Facultad de Ingeniería Química y metalurgia,-UNSCH, es bombeado desde un deposito de almacenamiento que se encuentra a presión atmosférica hasta un tanque que trabaja a presión con un caudal de alimentación constante (Fig. 3). Al abrir la válvula de la tubería DE, el agua fluye a la planta con un caudal de 1,7E-3 m3/s. La temperatura del agua es de 20 o C. Calcular: el caudal que circula a través e las tuberías de la línea: AB y BC desde el momento en que la válvula DE esta abierta: Datos: Presión atmosférica = 1+E5 Pa Tubo AB: diámetro = 0,05 m Longitud = 2,0 m Accesorios: 1 válvula de asiento 1 codo de 90o 1 bomba Tubo BC: diámetro = 0,03 m Longitud = 40 m Accesorios: 3 válvulas de asiento 5 codos de 90o 1 filtro, k = 3,2 Tubo DE: diámetro 0,03 m Longitud = 12 m Accesorios: 1 válvula de asiento Curva característica de la bomba Q(l/s) 0 0,1 0,2 0,3 0,4 0,5 0,7 1,0 2,0 3,0 4,0 5,0 H(m) 52 52 52 52 51 50 49 57 39 31 22 11
  • 208.
    5-4 Esquema de instalación: Fig.3. Problema 5.4. Un aceite ( 3 820 / kg m ρ = ) se bombea entre dos tanques de almacenamiento por una tubería con las siguientes características: 2440 L m = ; 200 D mm = , 0,005 f = y 12,5 K = ∑ . El tanque superior está 32m más arriba que el inferior. Utilizando los datos que se proporciona para la bomba, determine: a) La descarga del aceite en la tubería. b) La potencia que debe tener la bomba. Q (L/s) 0 15 30 45 60 75 100 H (m) 55 54 53 52 49 44 35 η 0 0,4 0,6 0,7 0,75 0,7 0,5 Problema 5.5 Se bombea agua desde un río hasta el tanque de una cierta fábrica. El sistema de bombeo consiste de 55 metros de tubería de 3 pulg. SCH 40 en la succión y 214 metros en la sección de descarga. Cuando el nivel del tanque cae por debajo del punto de control se envía un señal, comienza a funcionar la bomba y esta envía agua hasta que el nivel se establece. Para el sistema se usa una bomba centrífuga con las características indicadas. Determinar:
  • 209.
    5-5 a) Condiciones deoperación: caudal, altura de carga y eficiencia b) Potencia de accionamiento. Características de la bomba Q(m3 /h) 0 4,5 9 13,5 18 23 27 32 36 H(m) 80 80 67 49,0 33 19 8,5 3,0 1,5 η 0 43 60 60,0 56 50 43 37 30 Problema 5.6 De un tanque cerrado provisto de un respiradero a la atmósfera se desea bombear agua a la temperatura de 20 o C hacia una torre de absorción. El nivel del líquido en el tanque se encuentra a 7 m sobre el eje de la bomba, el cual transporta 20m3 /h. La conexión de entrada de agua en el tope de la torres se halla a 20 metros sobre el nivel del eje de la bomba. La línea de succión consiste de tubería estándar de 2 pulgadas (5,08 cm) de diámetro nominal SCH 40 y 40 metros de longitud, posee 4 codos estándar y una válvula de compuerta abierta. La línea de descarga también es de acero de 2 pulgadas (5,08 cm) de diámetro nominal SCH 40 y 60 metros de longitud, tiene 2 codos estándar, 2 T usadas como codo y una válvula de control, la presión manométrica en la torre de absorción es de 137,9 kPa. Datos para el agua: Densidad = 998 kg/m3 Viscosidad = 1,005x10-3 kg/m.s
  • 210.
    5-6 Determinar: a) La cargatotal del sistema (∆H) b) La potencia desarrollada por la bomba c) El NPSH Datos: 1. Datos de la tubería: Diámetro nominal 2 Pulg. SCH 40, Diámetro interno: Di = 52,5 mm. Rugosidad = 4,6x10-5 m. 2. Propiedades del agua: T = 20 o C. Densidad = 1000 kg/m3 Viscosidad = 1,0x10-3 kg/m s Presión de vapor, pv = 2,337 kPa 3. Accesorios: Ki Codo estándar = 0,35 Válvula compuerta abierta = 0,17 Ensanchamiento repentino = 0,96 T usada con L = 1,0 Válvula control expresado como resistencia = 5 m
  • 211.
    5-7 Problema 5.7.- La instalaciónpara la refrigeración de diferentes zonas de un horno se representa esquemáticamente en la figura. Se precisa bombear 7,2 m3 /h de agua desde un estanque hasta el horno y una zona de desagüe libre para comprobar su circulación. La longitud de la conducción es de 120 metros y su diámetro 50 mm; rugosidad relativa, 0,00003. La conducción tiene dos válvulas de compuerta y 5 codos y la perdida de presión que origina el sistema de refrigeración del horno es de 4 metros de columna de agua. Determínese: a) Potencia de la bomba a instalar. b) Si se dispone de una bomba de las características que se dan a continuación, estudiar si es posible su utilización. Q(m3/h) 0 4 8 12 H(m) 6,0 5,9 5,5 4,4 Motor: 10 CV, 1500 rps Problema 5.8.- Cálculo de las características de una bomba centrífuga a partir de datos de prueba Se muestra el sistema de flujo utilizado para probar una bomba centrífuga a una velocidad nominal de 1750 rpm. El líquido es agua a 80 ºF y los diámetros de los tubos
  • 212.
    5-8 de succión yde descarga son de 6 pulg. Los datos medidos durante la prueba se proporcionan en la tabla. El motor es alimentado a 460 V, es trifásico, tiene un factor de potencia de 0,875 y una eficiencia constante de 90 por ciento. Relación Presión Presión Corriente Velocidad de flujo (gpm) de succión (psig) de descarga (psig) de motor (amp) de la bomba (rpm) 0 -3.7 53.3 18.0 1750 500 -4.2 48.3 26.2 1745 800 -4.7 42.3 31.0 1749 1000 -5.7 34.3 36.0 1750 1100 -6.2 31.3 37.0 1747 1200 -6.7 27.3 37.3 1752 1400 -7.7 15.3 39.0 1750 1500 -8.4 7.3 41.5 1753 Calcule la carga neta entregada y la eficiencia de la bomba a una relación de flujo volumétrico de 1000 gpm. Grafique la carga, potencia y eficiencia de la bomba como funciones de la relación de flujo volumétrico. Problema 5.9.- Una mezcla etanol agua que procede de la fermentación alcohólica de azúcares se bombea desde un tanque abierto a la atmósfera hasta una columna de rectificación que trabaja a 207734 N/m², para ello se dispone de una bomba centrífuga con un rodete de 5 ’’ que gira a 3450 rpm, con una conducción de succión de 4 ’’ de tamaño nominal, una conducción de descarga de 3 ’’ de tamaño nominal y 32 m de longitud equivalente total (ver curva característica de la bomba a varias velocidades de giro). Si el punto de alimentación a la columna de rectificación se encuentra a 15 m sobre el nivel de la mezcla en el tanque, determinar:
  • 213.
    5-9 a) El caudalde circulación y la potencia de accionamiento de la bomba. b) Cuál sería el caudal de circulación si el rodete de la bomba generara a 2880 rpm para mantener el mismo rendimiento que en el apartado anterior. Datos y notas: Considere que la mezcla etanol-agua posee las mismas propiedades físicas del agua pura a 20 ºC. Conducción de acero: 4 ’’ tamaño nominal: diámetro interno = 0,1023 m 3 ’’ tamaño nominal: diámetro interno = 0,0779 m Rugosidad = 4,572E-5 m Problema 5.10.- M. Talwar (Chem. Eng. Aug., 69, 1983) propone analizar los circuitos con bombas centrífugas en la forma siguiente:
  • 214.
    5-10 Las características dela bomba la estima mediante una expresión de la forma: 2 H a bQ cQ = + + (1) En la que H es la carga que puede suministrar la bomba y Q es el caudal con el que opera. Mediante los datos que aporta la casa constructora de la bomba fácilmente se pueden hallar los valores de a, b y c o también con la determinación experimental del valor de H a caudal nulo y a un valor finito. La característica del sistema la estima mediante: 2 H Z KQ = + (2) En la que K se evalúa con la ecuación de Fanning o empíricamente mediante la determinación de la perdida de presión en el sistema para un valor conocido del caudal. El valor de Z corresponde a la carga de altura con el que opera el sistema. La igualación de (1) y (2) permitirá hallar el valor de Q de régimen. Calcúlese las condiciones de operación en los casos siguientes: a) Dos circuitos en serie (K1 y K2). Z nulo en ambos casos. b) Dos circuitos en paralelo (K1 y K2) Z nulo en ambos casos. c) Dos circuitos en serie (K1 y K2) Z igual en ambos. d) Dos circuitos en paralelo (K1 y K2) Z igual en ambos Problema 5.11 Una bomba que tiene las características de la tabla Nº 1 transfiere benceno a 26,7 ºC (densidad = 879 kg/m3 y viscosidad = 0,65x10-3 ) desde el depósito 1 al 2 (Fig. 22). La longitud total de la tubería incluido los accesorios es de 305 metros. El diámetro interior del depósito es de 6 metros. Para el sistema propuesto se desea determinar: a) El flujo a través de la tubería en m3 /s. b) Los amperios que consume el motor si éste presenta las siguientes características: voltaje = 220, corriente trifásica, factor de potencia = 0,9
  • 215.
    5-11 c) El tiemponecesario para hacer descender el nivel de líquido en el depósito 1 desde 3 metros por encima del punto A hasta 0,60 metros por encima del mismo punto. Tabla. Curva característica de la bomba Q(m3 /s) 0 0,001 0,002 0,003 0,004 0,005 0,006 0,007 0,008 ∆H (m) 55 56 57 56 55 54 51 48 40 η 0 30 45 56 60 65 70 72 65 Problema 5.12. En una fabrica industrial de Pisco ubicada cerca del mar, una caldera es alimentada con agua caliente por una bomba que aspira desde el estanque abierto de condensado. La Fig. (A) muestra esquemáticamente la instalación. A partir de los siguientes datos calcular el NPSH disponible: Datos: Caudal = 300 l/min = 0,005 m3 /s H = 90 m.c.a (altura dinámica total entregada por la bomba) p1 = 101300 N/m2 Z = diferencia de nivel = 1 m. c.a. f h ∑ = 1,4 m.c.a.
  • 216.
    5-12 T = 90o C pv = 70 710 N/m2 ( presión de vapor) ρ = 965,2 kg/m3 NPSHrequerido = 3,5 m.c.a (dato obtenido de fabricante) Problema 5.13 En una planta química se necesita bombear 15 000 kg/h de agua a 65 o C a través de una conducción de acero de 3 pulgadas de diámetro nominal (catalogo 40). La instalación esquematizada es como se muestra: Determinar la máxima altura Z que puede colocarse el punto de aspiración de la bomba respecto del nivel de deposito de succión sin que se produzcan problemas de cavitación.
  • 217.
    5-13 La longitud equivalenteentre dicho deposito y la bomba es de 40,52 metros y la presión atmosférica del lugar es de 96 000 N/m2. Datos: T = 65 oC 3 4 2 980 / 4,5 10 / 25000 / 3" 40 77,9 v kg m x kg ms p N m Cat Di mm ρ µ − = = = = = 5.14. Problema Determine la (NPSH)disponible para el sistema que se muestra en la siguiente Fig. El fluido es agua a 80 oC y la presión atmosferica es de 101,8 kPa. El nivel de agua en el tanque es de 2 metros debajo de la entrada de la bomba. La tubería vertical de la linea de succion es una tubería cedula 40 de 3 pulgadas, mientras la tubería horizontal es una tubería cedula 40 de 2 pulgadas y 1,5 metros de largo. El codo es de tipo radio largo. Desprecie la perdida en el reductor. La válvula de pie y el filtro tienen un coeficiente de resistencia de 3,0 basado en la velocidad en la linea de 3 pulg. La velocidad de flujo es de 300 l/min.
  • 218.
    5-14 CAPÍTULO V SOLUCIÓN DEPROBLEMAS Problema 5.1.- Una manera de resolver el problema sería planteando la ecuación de balance de energía mecánica entre los puntos (1) y (2): ( ) ( ) 2 2 1 1 2 2 1 2 1 2 2 1 2 1 1 2 ................ ... (1) 2 2 : : (2) : 45 11,3 36 20,6 6,18744 101325 1 35 14, ........ 7 ..... B B p V p V z H z hf g g g g Simplificaciones V V Luego p p H z hf g Donde z z z ft ft z m lb atm p x x lb pulg pulg ρ ρ ρ + + + = + + + ≅ − = ∆ + + ∆ = − = + − =     ∆ = = ∑ ∑ 2 2 2 2 2 2 241250 1 101325 1 10 68928,57 1 14,7 N N m atm m N lb atm N m p x x lb pulg atm m pulg = = =
  • 219.
    5-15 Propiedades del agua: 62,4 lb ρ= 3 ft 0,453 1 kg x lb 3 1 ft x ( ) 3 3 2 1 2 2 0,3048 998,24 : 68928 241250 17,5969 998,24 9,81 . . . . (2): 6,18744 17,5969 11,4094 : 4 11,409 2 2 . . . . . B B T B F acc m kg m Luego p p m de columna de agua g x Reemplazando en la ecuación H hf H hf ó L V V H f K D g g ρ ρ = − − = = − = − + = − +     = + −         ∑ ∑ ∑ 2 4 4 11,4094 2 T B F acc L V H f K g D     = + −         ∑ Datos: ( ) ( ) [ ] 2 2 650 650 1300 396,24 2 0,6096 0,4 0,9 1,0 2,3 396, ............... 24 4 2,3 11,4094 2 0,6096 2600 2,3 11,4094 3 .( ) 2 T i acc B F B F L ft ft m D ft m K V H xf g V H f g = + = = = = = + + =     = + −         = + − ∑ Ecuación del sistema. Por otro lado se sabe que: ( ) ( ) 2 2 3,4262591 0,6096 4 4 3,4262591 ... flujo i Q Q Q V xQ A D m m V xQ s π π = = = = = De los datos de la curva característica de la bomba se tiene:
  • 220.
    5-16 3 3 2 3 2 3 2,831684659 10 : 3,42625912,831684659 10 0,0 ... 97020853 (4 ............. ) m ft Q x Q s s Luego m ft V x x Q s s m ft V Q s s − −     =               =               =         Por otro lado se sabe que: ( ) ( ) ( ) 2 2 4 2 2 6 6 Re 0,3048 0,1217 10 1 1,13063 10 : 0,6096 Re 1,13063 10 Re 539168,42 ................ 97 (5) xVxD VxD VxD m ft x x s ft m x s Luego Vx x xV ρ µ ν µ ρ ν ν − − − = = =       = = = = Para acero comercial: ( ) 5 5 5 4,6 10 4,6 10 7,545931 10 0,6096 i x m x m x D m ε ε − − − = = = TABULACIÓN DE DATOS: Q [m³/s] V (m/s) Re E/D f F HB (m) HB (ft) Ec (4) Ec (5) ---------- (Cheng) Ec (3) ---------- 20 1.94042 1046211.619 7.54593E-05 0.00326 -9.33999 -30.64301 40 3.88083 2092423.238 7.54593E-05 0.00309 -3.48468 -11.43266 60 5.82125 3138634.858 7.54593E-05 0.00301 6.10192 20.01944 70 6.79146 3661740.667 7.54593E-05 0.00299 12.29154 40.32658 80 7.76167 4184846.477 7.54593E-05 0.00298 19.41141 63.68572 100 9.70209 5231058.096 7.54593E-05 0.00295 36.44090 119.55676 120 11.64250 6277269.715 7.54593E-05 0.00293 57.18912 187.62834
  • 221.
    5-17 De la figura: 33 50 15,24 72 2,0388 76% : 15,24 9,81 998,24 2,0388 304273,1059 304273,1059 304273,1059 400359 ...................... ,3499 0,76 .. 400,359 . : .. . 3 B B B B B B H ft H m ft m Q Q s s Energía W H xgx xQ x x x W Watt W KW Potencia η η ρ η =  → = =  → = = = = = = = = = 1 0,74570 536,8 .... . 9 . 537 hp KW Potencia hp hp = = ≈
  • 222.
    5-18 Problema 5.2 Para lafigura mostrada se plantea la ecuación de balance de energía mecánica entre los puntos 1 y 2 1 1 p z g ρ + 2 1 2 V g + 2 2 B p H z g ρ + = + 2 2 2 V g + 1 2 1 2 : 0 0 : (1) B f hf Simplificaciones V V p p presion atmosferica Luego H z h + ≅ ≅ = = = ∆ + ∑ ∑ ( ) ( ) 2 2 2 : 4 2 2 4 (2) 2 f f f tubo recto accesorios f F F Donde h h h V V L h f K D g g V L hf f K g D = + Σ   = +      Σ    = +         ∑ ∑ ∑ ∑ ∑ ∑ ∑
  • 223.
    5-19 La ecuación (2)se plantea de esta manera porque el diámetro tanto de la succión y descarga de la bomba es constante, luego a ecuación característica de la bomba es: 2 4 (3) 2 B F V L H Z f K g D  Σ    = ∆ + +         ∑ Donde: ( ) ( ) ( ) 27 4 23 150 250 25 425 8 lg. 0,2032 2 0,5 4,5 7,0 2 0,8 1,2 0,5 15,3 salida check uniones codo valvula entrada Z m m L m m D pu K K K K K K K x ∆ = − = Σ = + + = = = Σ = + + + + + = + + + + + = Reemplazando datos: [ ] 2 2 425 23 4 15,3 23 106,60 0,7646 (4) 2 0,2032 B F F V H f V f g     = + + = + +         Donde: a temperatura de T = 20 o C 3 3 998,23 / 1,005 10 / kg m x kg m s ρ µ − = = ( ) 2 2 2 3 3 3 4 4 30,83 / 4 (0,2032) 998,23 0,2032 Re 201831.18 1,005 10 0,046 10 , ( ) 0,046 10 0,0002263 0,2032 f Q Q Q xQ V Q A D D V D x xV xV x x m acero comercial x D π π π ρ µ ε ε − − − = = = = = = = = = = = Los resultados se resumen en la siguiente tabla: Q (m3 /s) V = 30,83xQ V( m/s) Re=201831,18xV ( -- ) D ε fF B H ∆ (mca) 0,020 0,6166 124 449,10 0,0002263 4,6319E-3 23,47 0,040 1,2332 248 898,21 0,0002263 4,2140E-3 24,84 0,060 1,8498 373 347,31 0,0002263 4,0332E-3 27,08
  • 224.
    5-20 0,080 2,4664 497796,42 0,0002263 3,9295E-3 30,19 0,100 3,0830 622 245,52 0,0002263 3,8615E-3 34,18 0,120 3,6996 746 694,63 0,0002263 3,8132E-3 39,02 0,140 4,3162 871 143,73 0,0002263 3,7771E-3 44,74 0,160 4,9328 995 592,84 0,0002263 3,7490E-3 51,32 0,180 5,5494 1 120 041, 95 0,0002263 3,7265E-3 58,78 Graficando los datos se obtiene las condiciones de operación de la bomba De la figura se tiene: Q = 0,087 m3/s H = 31,0 m η = 77 % Potencia = (HB g Q ρ )/ η = (31,0x9,81x0,087x1000)/0,77 = 34 360,5 Watt Potencia = 46 hp
  • 225.
    5-21 Problema 5.3 Para resolvereste problema primero analizamos y seleccionamos los puntos necesarios para plantear la ecuación de balance de energía mecánica: 1. No se conoce el caudal que circula entre A-C 2. Se abre la válvula entre D-C y se conoce el caudal de Q = 1,7x10-3 m3 /s 3. El caudal entre A-C ≠ D-C 4. Existe un incógnita a determinar que es la presión p2 = p3 (tanque de presión) Con el análisis planteado a continuación formulamos los siguientes balances de energía mecánica: Balance de energía entre los puntos 1-2 2 2 1 1 2 2 1 2 2 2 B p V p V z H z hf g g g g ρ ρ + + + = + + + ∑ 1 2 1 1 : 0 18 3 15 Simplificaciones V z z m p Presion atmosferica ≅ − = − = = 2 2 1 2 ,1 2 : 2 B f Luego p p V H z h g g ρ − − = ∆ + + + ∑ (1)
  • 226.
    5-22 donde: ,1 2 ,, f f AB f BC SUCCION DESCARGA h h h − Σ = Σ + Σ (2) Para resolver la ecuación anterior es necesario calcular p2 Balance de energía entre los puntos 3 – 4 3 z 2 3 3 2 p V g g ρ + + B H + 2 4 4 4 , 3 4 2 f p V z h g g ρ − = + + + ∑ Datos y simplificaciones: 3 4 5 4 3 0 2,0 1 10 0 0 B z z m p patm x Pa V H = = − = = = = Luego la ecuación final es: 2 3 4 4 4 , 3 4 2 f p p V z h g g g ρ ρ − = + + + ∑ (3) donde: 2 2 4 4 ,3 4 ,sin , 4 2 2 f f gular f regular F ac V V L h h h f K D g g −       Σ = + = + Σ            O es lo mismo escribir como: ( ) 2 4 ,3 4 , 2 f tubo ac tubo F V L h K K K f g D −     Σ = + Σ =         Reemplazando el valor de, ,3 4 f h − Σ , en la Ec. (3) ( ) 2 2 3 4 4 4 4 2 2 tubo ac p p V V z K K g g g g ρ ρ   = + + + + Σ     Factorizando:
  • 227.
    5-23 ( ) 2 3 44 4 1 2 tubo ac p p V z K K g g g ρ ρ   = + + + + Σ     (4) Cálculos: 1. Calculo de velocidad en el tramo de la tubería: B-C: ( ) ( )( ) 3 3 3 4 2 2 1,7 10 / 1,7 10 2,40 / 0,03 4 4 f Q x m s Q Q x V m s A D π π − − = = = = = 2. Calculo de numero de Reynolds y el factor de de fricción de Faning: T = 20 o C 3 3 1000 / 1 10 / kg m x kg m s ρ µ − = = 3 3 1000 2,40 0,030 Re 72 10 1 10 V D x x x x ρ µ − = = = De tablas se determina la rugosidad para tubería galvanizada 3 3 3 3 0,15 10 0,15 10 5 10 0,03 7,62 10 F x m x x D f x ε ε − − − − = = = = 3. Calculo de K: Tubo recto: 3 12 4 4 7,62 10 12,19 0,03 tubo F L K f x x D −   = = =     Accesorio: . 0,50 3,25 . 3,75 entrada val asiento acc K K K = = Σ =
  • 228.
    5-24 Reemplazando los datosen la Ec. (4): ( ) 2 5 3 2, 40 1 10 1,5 1 12,19 3,75 1000 9,8 2 9,8 p x g x x ρ   = − + + + +     3 5 3 5 3 2 1,5 10,204 4,978 13,682 13,6820 13,6820 1000 9,8 1,34 10 1,34 10 p g p g x x x Pa p x Pa p ρ ρ = − + + = = = = = = Ahora resolvemos la Ec. 1 y para lo cual descomponemos las pérdidas en la succión y descarga (Ec. 2): ,1 2 , , 2 2 2 2 4 4 2 2 2 2 f f AB f BC SUCCION DESCARGA BC BC BC AB AB AB AB AB BC BC AB BC SUCCION DESCARGA h h h L V V L V V f K f K D g g D g g − Σ = Σ + Σ                 = + Σ + + Σ                                 O es lo mismo expresar como: 2 2 ,1 2 , , 2 2 BC AB f tubo AB AB tubo BC BC SUCCION DESCARGA V V h K K K K g g −         Σ = + Σ + + Σ             (5) , , 4 4 AB tubo AB AB AB BC tubo BC BC BC L K f D L K f D   =       =     Por otro lado, por la ecuación de continuidad se tiene: 2 2 4 4 AB BC AB AB BC BC AB AB BC BC Caudal Q Q Q V A V A V D V D π π = =     = = = =        
  • 229.
    5-25 O es lomismo escribir como: 4 2 2 2 2 BC BC AB AB V D V g g D   =     Reemplazando en la Ec. (5): 4 2 2 ,1 2 , , 4 2 ,1 2 , , 2 2 : 2 BC BC BC f tubo AB AB tubo BC BC AB DESCARGA SUCCION BC BC f tubo AB AB tubo BC BC AB V D V h K K K K g D g factorizando V D h K K K K g D − −           Σ = + Σ + + Σ                        Σ = + Σ + + Σ            2 4 2 2 ,1 2 , , 2 BC BC f tubo AB AB tubo BC BC AB pero V V D V h K K K K g D −             =             Σ = + Σ + + Σ                   Reemplazando esta expresión en la ecuación (1) 4 2 2 2 2 , , : 2 2 BC B tubo AB AB tubo BC BC AB Luego D V V p H z K K K K g g g D ρ       ∆       = ∆ + + + + Σ + + Σ                   Factorizando 4 2 2 , , 1 2 BC B tubo AB AB tubo BC BC AB D V p H z K K K K g g D ρ       ∆       = ∆ + + + + Σ + + Σ                   (6) Datos: DAB = 0,05 m, DBC = 0,03m Z ∆ = 15 m , 5 (1,34 1,0) 10 34 000 p x Pa ∆ = − = 4. Calculo de factor de fricción: Tramo A-B Supongamos Reynolds totalmente turbulenta, mayor a 50 000 (del diagrama de Moody se observa casi una recta) y
  • 230.
    5-26 3 0,15 10 0,003 0,05 x D ε − == fAB = 0,00717 , Ecuación de Chen Calculo de K: Tubo recto: 3 2,0 4 4 7,17 10 1,912 0,03 AB tubo F AB L K f x x D −   = = =     Accesorio: ,90 . 0,50 0,65 3,25 . 4,40 o entrada codo val asiento acc K K K K = = = Σ = Tramo B-C En forma semejante supongamos Reynolds totalmente turbulenta, cercana a 900 000 (del diagrama de Moody se observa casi una recta) y 3 0,15 10 0,005 0,03 x D ε − = = fAB = 0,00785 , Ecuación de Chen Calculo de K: Tubo recto: 3 40 4 4 7,85 10 41,86 0,03 BC tubo F AB L K f x x D −   = = =     Accesorio: ,90 : 3 3,25 9,75 :5 0,65 3,25 3,2 0,03 0,45 1 2 0,29 0,05 16,49 o valvula de asiento codo filtro contraccion acc K x K x K K K = = =     = − =         Σ = Reemplazando datos [ ] [ ] 4 2 2 34000 0,03 15 1 1,922 4,4 41,86 16,49 1000 9,8 2 0,05 B V H x g         = + + + + + +              (7)
  • 231.
    5-27 { } 2 2 2 2 15 3,4660.16 18,46 3,06 2 B V H V g   = + + = +     (8) Pero, ( ) ( ) ( ) 2 2 2 2 2 6 2 2 2 2 4 4 / 4 2,0 10 (9) (0,03) 4 4 Q V Q A D Q Q V x Q D π π π = = = = ≈ Reemplazando el valor de , 2 2 V , en la Ec. (8), resulta la siguiente expresión: 6 2 18,46 6,12 10 B AC H x Q = + A continuación para determinar el punto de operación se calcula diferentes valores de HB para diferentes valores dados de Q Q (m3 /s) H(m): Bomba HB (m):sistema calculado 0 52 18,46 0,2x10-3 52 18,70 0,4 x10-3 51 19.43 0,7 x10-3 49 21.46 1,0 x10-3 57 24.58 2,0 x10-3 39 42.94 3,0 x10-3 31 73.54 De la siguiente figura se observa que el caudal de operación corresponde a: Q = 1,9 x10-3 m3 /s Con esta información calculamos las velocidades en los tramos A-B y B-C: ( ) ( ) 3 2 3 2 2 1,9 10 0,968 / (0,05) 4 1,9 10 2,688 / (0,03) 4 AB BC Q x V V m s A y x V V m s π π − − = ⇒ = = = = =
  • 232.
    5-28 Curva caracteristica dela bomba 0 10 20 30 40 50 60 70 80 0 0.5 1 1.5 2 2.5 3 3.5 Caudal, Q (L/s) H (metros) Ahora verificamos la suposición hecha de flujo totalmente turbulento: Tubería A-B: 4 3 , 3 0,968 1000 0,05 Re 4,84 10 1 10 0,0072 3 10 AB F AB x x x x Ecuacion de Chen f x D ε + − −  = =   ⇒ =    =  Tubería B-C: 4 3 , 3 2,688 1000 0,03 Re 8,06 10 1 10 0,00788 5 10 BC F BC x x x x Ecuacion de Chen f x D ε + − −  = =   ⇒ =   =   Corrección de Ktubo: , , 2 4 0,0072 1,15 0,05 40 4 0,00788 42,02 0,03 tubo AB tubo BC K x K x   = =       = =    
  • 233.
    5-29 Reemplazando en laEc. (7) [ ] [ ] [ ] [ ] [ ] [ ] 4 2 2 4 2 2 4 2 2 34000 0,03 15 1 1,15 4,4 42,02 16,49 1000 9,8 2 0,05 0,03 18,46 1 1,15 4,4 42,02 16,49 2 0,05 0,03 18,46 1 5,55 58,51 2 0,05 B B B V H x g V H g V H g         = + + + + + +                      = + + + + +                      = + + +            { } 2 2 18,46 60.22 2 V g   = +       2 2 18,46 3,072 B H V = + Reemplazando el valor de V2 (Ec.9): 6 2 18,46 6,144 10 B AC H x Q = + A continuación calculamos la curva del sistema: 3 3 3 3 3 3 3 3 3 3 3 2,0 10 / 43,04 . . . 1,8 10 / 38,34 . . . 1,0 10 / 24,60 . . . 1,85 10 / 0,3 10 / 19,01 . . . 0 / 18,46 . . . AC AC Q x m s H m c a x m s H m c a x m s H m c a Q x m s x m s H m c a m s H m c a − − − − −  = ⇒ =  ⇒ =   ⇒ = ⇒ =   ⇒ =   ⇒ =  Graficando estos resultados en grafica de la curva característica de la bomba se ha determinado: 3 3 1,85 10 / 39.49 . . . AC B Q x m s y H m c a − = = Como se puede apreciar no hay una variación apreciable con los resultados obtenidos suponiendo flujo completamente turbulento, por tanto, no hay necesidad de realizar otra corrección.
  • 234.
    5-30 Problema 5.4- Balance deenergía: 1 1 p z g ρ + 2 1 2 V g + 2 2 p H z g ρ + = + 2 2 2 V g + 2 1 2 1 2 2 2 2 2 . . . : 0 ( ) : 32 4 2 2 32 4 2 acc acc hf Simplificaciones z Plano de referencia V V P P Luego H z hf L V V H f K d g g V L H f K g d + = ≅ ≅ = +   = + +         = + +         ∑ ∑ ∑ ∑ ∑ ∑ [ ] 2 2 2 : 2440 200 0,20 0,005 2440 32 4 0,005 12,5 2 0,20 32 256,5 32 13,0734 2 Donde L m D mm m f V H x g V H V g = = = =     = + +         = + = + ( ) 2 2 4 4 Q Q Q VxA V A d Q V d π π =  → = = = Luego se tiene: Q [m³/s] 0 0.0150 0.0300 0.0450 0.0600 0.0750 0.1000 V 0 0.4775 0.9549 1.4324 1.9099 2.3873 3.1831 H 32 34.9804 43.9215 58.8233 79.6858 106.5091 164.4606 Curva del sistema: Q [m³/s] 0 0.015 0.03 0.045 0.06 0.075 0.1 H 32 34.9803639 43.9214555 58.8232749 79.685822 106.509097 164.460617 H 55 54 53 52 49 44 35 η 0 40 60 70 75 70 50
  • 235.
    5-31 Q vs H, Q vs η 0 20 40 60 80 100 120 140 160 180 0 0.02 0.04 0.06 0.08 0.1 0.12 Q (m³/s) H, η (m) H H η 3 0,04 55 68% óptimo óptimo óptima m Q s H m η = = = Problema 5.5.- Datos: Longitud total de tubería = 55 +214 = 269 m Diámetro succión = Diámetro descarga = 3 pulg SCH 40 Material: Supongamos fierro galvanizado, también puede ser PVC pesado. Accesorios y conexiones no señala el problema, eso significa que las pérdidas singulares son despreciables respecto a la pérdida regular. Esquema para el balance de energía: Balance de energía mecánica para el sistema:
  • 236.
    5-32 1 1 p z g ρ + 2 1 2 V g + 2 2 B p H z g ρ += + 2 2 2 V g + 1 2 1 2 1 2 2 ....................... : 0 23 3 20 : (1) 2 :... .............. 1 .. B regular singular singular regular regular hf Simplificaciones P P Presión atmosférica V z z z m Luego V H z hf g Donde hf h h h hf h h + = = = ∆ = − = − = = ∆ + + = +   = −       ∑ ∑ ∑ ∑ De acuerdo al problema se supone que: 0,0 sing reg h h ≃ Luego: 2 4 . 2 T reg F L V hf h f D g   = =     ∑ La ecuación (1) se reduce a: 2 2 2 ....................... 4 2 2 1 4 (2) 2 T B F T B F L V V H z f g D g L V H z f g D   = ∆ + +         = ∆ + +         Datos: 2 1 3 3 3 55 214 269 23 3 20 3'' : 77,9 : 0,15 ( ) ...................... 0,15 : 1,93 10 77,9 20º 99 ... 8 / 1,005 10 T L m z z z D SCH Tabla Di mm Rugosidad absoluta mm fierro galvanizado mm Rugosidad relativa x D mm T C kg m x ε ε ρ µ − − = + = ∆ = − = − = =  → = = = = =  → = = / . kg m s Resultados de cálculo:
  • 237.
    5-33 Caudal Q(m³/h) Velocidad, V(m/s) Re=ρxVxD/u ε/D fFHB (m) .0 0.0000 0.00 0.00193 0.00000 20.0 4.5 0.2623 20288.32 0.00193 0.00742 20.4 9.0 0.5245 40576.64 0.00193 0.00675 21.3 13.5 0.7868 60864.97 0.00193 0.00648 22.9 18.0 1.0491 81153.29 0.00193 0.00633 25.0 27.0 1.5736 121729.93 0.00193 0.00617 30.9 32.0 1.8650 144272.51 0.00193 0.00612 35.2 36.0 2.0981 162306.58 0.00193 0.00608 39.1 CURVA DE BOMBA CENTRÍFUGA HB vs Q y Hs vs Q 0 10 20 30 40 50 60 70 80 90 0 10 20 30 40 Q (m³/h) Carga H (m), η HB (m) H (m) η (%) De la figura se tienen los siguientes valores: a) Punto de operación de la bomba 25 20,5 ³/ 52% H m Q m h η ∆ = = = b) Calcular la potencia de accionamiento de la bomba
  • 238.
    5-34 3 3 : 25 9,81 245,25 245,25245,25 471,63 0,52 471,63 998 20,5 B B B B Potencia requerida J nW Hxg x kg J W kg J kg m N W x xQ kg m h η ρ = ∆ = = = = =   = =     1 . h 3600 2680,32 2680,32 B B s N W N W       = = 1 745,7 hp W 3,59 3,6 3,75 4,00 B B N hp hp N hp = ≈ = − Problema 5.6.- 1. Tubería: Diámetro nominal = 2 pulg = 50,8 mm Número de célula = 40 De tablas: Diámetro interior: Di = 2,067 pulg = 52,5 mm Área de la sección transversal: Ai = (π/4) (Di)² = 2,164 x 10-3 m² 2. Propiedades del agua a T = 20ºC.
  • 239.
    5-35 Densidad: ρ =1 x 10³ kg/m³ Viscosidad: µ = 1x10-3 kg/m.s (Pa.s) Presión de vapor: Pv = 2,337 kPa 3. Balance de energía mecánica entre los puntos nivel del agua en el lado de succión y la descarga de la tubería: ( ) 2 2 1 1 2 1 2 (1) 2 : (20 7) 13 101330 / ² 101330 137900 239230 0 0 ............. válvula succ descarga atm man p V HB z hf hf h g g Donde z z z m m p Pa N m p p p kPa V V ρ     = ∆ + ∆ + ∆ + + +         ∆ = − = − = = = + = + = = ≠ ∑ ∑ 4. Cálculo de pérdida de carga: Lado de succión: 2 2 4 2 2 F succión L V V hf f Kacc D g g   = +     ∑ ∑ De tablas determinamos los coeficientes de pérdida de accesorios: Accesorios Ki Cantidad KT Codo estándar 0,35 4 1,40 Válvula de compuerta abierta 0,17 1 0,17 Ksalida = 0,47 • Cálculo de velocidad: 3 2 ........ ..... ³ 20 , 2,164 10 ³ 20 ... Q V A m Q A x m h m h V − = = = = 1h 3 2 3600 2,57 2,164 10 m s x m s − = • Pérdida de carga por accesorios: ( ) ( ) ( ) 2 2 2 2 ............... 4 1 2 2 2,57 0,47 1,40 0,17 2 9,81 0,6867 2 .... salida codo vál V V Kacc K K K g g x x V Kacc m g = + + = + + = ∑ ∑
  • 240.
    5-36 • Pérdida decarga por tramo recto: 2 4 2 : Re, F F L V f D g Donde f f D ε         =     De tablas para tubería de acero: 5 2 5 4 3 2 4,6 10 0,046 5,25 10 4,6 10 8,7619 10 0,00087619 10 5,25 10 x m mm Di x m x m x x Di x m ε ε − − − − − − = = = = = = Cálculo del número de Reynold: 3 1000 2,57 0,0525 Re 1 10 Re 134925 40 ......................... 00 ( ) x xDi x x x Flujo turbulento ρ ν µ − = = = > Empleando la ecuación de Cheng: ( ) 3 2 2 3 2 5,3025 10 2,57 40 4 4 5,3025 10 2 0,0525 2 9,81 4 5,440 2 F F F f x L V f x x x D g m x L V f m D g − − =     =           =     Luego: 2 2 4 2 2 6,126 F succión succión L V V hf f Kacc D g g hf m   = +     = ∑ ∑ ∑ En forma similar se calcula para el lado de descarga: 2 2 4 2 2 F descarga L V V hf f Kacc D g g     = +         ∑ ∑ Cálculo de pérdida de carga por accesorios:
  • 241.
    5-37 2 2 exp exp 2 2 22 : 0,96 0,35 1,00 codo T codo T V V Kacc K xK xK g g Donde K K K     = + +       = = = ∑ ( ) ( ) 2 2 2 2,57 0,96 2 0,35 2 1,0 2 2 9,81 1,2321 2 V Kacc x x x g x V Kacc m g   = + +       =     ∑ ∑ Cálculo de pérdida de carga por tubo recto. ( ) ( ) 2 3 2 2 2,57 60 4 4 5,3025 10 2 2 9,81 5,25 10 4 8,16018 2 F F L V f x x x x D g x x L V f m D g − −   =       =     Luego: 1,232 8,16018 9,392 descarga hf = + = ∑ Pérdida de carga por válvula de control se considera como el 30% de todas las pérdidas de succión y descarga: ( ) 0,30 6,126 9,39218 4,65 válvula válvula h h m = + = Se toma el siguiente valor: 5,0 válvula h m = Reemplazando datos en la Ecuación (1): ( ) ( ) 2 2,57 239230 101330 13 6,126 9,392 5,0 9,81 2 9,81 13 14,057 0,336 6,126 9,392 5,0 47,91 B B B H x H H m − = + + + + + = + + + + + = 4.4. Potencia desarrollada por la bomba:
  • 242.
    5-38 2 3 47,91 9,811000 B P H xgx xQ m kg P mx x s m ρ = = 3 20,0 m x h 1h 3600 2611,0 s P Watts       = 0,00134102 1 hp Watts 3,50 3,50 hp P hp = = 4.5. Cálculo de NPSH: [ ] [ ] 1 101330 2337 7,0 6,126 1000 9,81 1000 9,81 7,0 10, .. 33 6,126 0,238 10, ......... 97 .. atm V succión NPSH Carga total lado succión Carga presión de vapor p p NPSH z hf g g NPSH x x NPSH NPSH m de columna de líquido ρ ρ = −   = + − −       = + − −     = + − − = ∑ . //. R Problema 5.7.- a) Cálculo de la potencia: Balance de energía entre los puntos (1) y (2): 1 1 p z g ρ + 2 1 2 V g + 2 2 B p H z g ρ + ∆ = + 2 2 2 V g + 1 2 1 2 1 2 : 0 5 0 0 hf Simplificaciones z z m P P Presión atmosférica V V + = = = = = ≠ ∑
  • 243.
    5-39 2 2 2 2 2 .................... ... : (1) 2 :4 4,0 2 2 ... B Luego V H z hf g L V V Donde hf f Kacc D g g ∆ = + +   = + +     ∑ ∑ ∑ Pérdida por tubo recto Pérdida por accesorios Pérdida por refrigeración Luego: 2 2 2 2 2 2 4 4,0 2 2 2 1 4 4,0 . // .... . ....... 2 B B V L V V H z f Kacc g D g g V L H z f Kacc Ec a resolver g D   ∆ = + + + +         ∆ = + + + +         ∑ ∑ La solución es directa. Datos: 3 3 3 3 3 7,2 / 2,0 10 / 120 50 0,00003 20º 998 .......................... / 1,0 10 .. . .. . / . Q m h x m s L m Di mm D A T C kg m x kg m s ε ρ µ − − = = = = = =  → = = ( ) 3 2 2,0 10 0,050 4 1,02 / f Q x v A v m s π − = = ≅ Luego: 3 4 3 3 998 1,02 50 10 Re 50898 5,0898 10 1 10 0,00003 3 10 0,0052 xvxD x x x x x x f D ρ µ ε − − − = = = = = =  → = Datos de accesorios: Válvula de compuerta………………………= 2 x 0,13 = 0,26 Codos de 90º…………………………………= 5 x 0,74 = 3,70 ΣKacc = 3,96 Reemplazando datos:
  • 244.
    5-40 ( ) ( ) [] 2 2 1,02 120 5 1 4 0,0052 3,96 4,0 2 9,81 0,050 1,02 5 54,88 4,0 11,91 2 9,81 B B H x x x H m x     ∆ = + + + +         ∆ = + + = ( ) 2 2 2 11,91 9,81 116,84 116,84 116,84 , 1,0 .......... . 116, ......... 84 B m m Ws H g mx s s J Ws kg Ws J Ws kg η η η η = ∆ = = = = = = Potencia: 3 3 3 116,84 998 2,0 10 233,21 0,233 s s N W xm J kg m N W x xQ x kg m s J N kW s ρ − =     = =         = = : 1 1,341 Se sabe que kW hp = 0,233 Potencia kW = 1,341 1 hp kW 0,3124 0,3124 hp Potencia hp = = b) La bomba disponible para 7,5 m3 /h da 5,65 m de H2O. Es evidente que no puede utilizarse unida a un motor que gira a 1500 rpm. Si mediante un sistema de poleas se cambia en número de revoluciones de operación de la bomba, se podría alcanzar los 7,7 m de H2O. 2 2 1 2 1 1 2 ..................... 11,7 5,6 11,7 . 1500 5,6 .. 2170 rpm rpm η η η η η η   =     = = = Se estima que con 1800 rpm y probablemente con el mismo motor, puede conseguirse los 7,5 m3 /h con 7 m de H2O, ya que evaluando el rendimiento de la bomba en un 50% se precisa 0,31/0,5 = 0,60 CV y se dispone de 1,0 CV.
  • 245.
    5-41 Problema 5.8.- Datos: ........................... 26º 6 : 460 0,90 cos0,875 ......... .............................. succ desc T C D D D pulg Corriente eléctrica V Voltios η φ = = = = = = = Balance de energía entre la succión y descarga de la bomba: ( ) 2 2 : 2 0,6096 0 0 bomba bomba p V H z hf g g Simplificaciones z ft m V D cte hf ρ     = ∆ + ∆ + ∆ +         ∆ = = ∆ = = = Luego la ecuación se simplifica a: p H z g ρ   = ∆ + ∆    Reemplazando datos e introduciendo el factor de conversión: ( ) 2 1 2 0,6096 p p lb H pulg g ρ − = + 1atm x       2 14,7 lb pulg ( ) 2 101325 1 N m x atm       A T = 20 ºC , ρ = 996,6 kg/m3
  • 246.
    5-42 ( ) ( ) 21 2 1 101325 0,6096 996,6 9,81 14,7 0,6096 0,7 ................ 050 (1) .. P P H x x H p p −   = +     = + − Por otro lado se sabe que: Potencia hidráulica (hp): ( ) ( ) ................... (2) 745, . 7 .. Hxgx xQ W Ph W hp ρ = Potencia al freno (hp): 3 cos (3) 745,7 ....... freno xVolxAmpx x P φ η = Eficiencia: ..................... 100 (4) ....... freno Ph x P η   =       A continuación calculamos para cualquier valor experimental de la tabla. Por ejemplo sea el siguiente dato: 3 2 2 1 1000 6,3083 10 min 34,3 5,7 36,0 gal m Q x s p psig p psig Amp − = = = = − = Reemplazando datos en la Ec. (1), (2), (3) y (4): ( ) 2 0,6096 0,7050 34,3 5,7 28,80 28,80 9,81 996,6 6,3083 10 23,82 745,7 3 460 36,0 0,875 0,90 30,29 745 7 23,82 100 78,63% 30,29 teórica freno práctica H m x x x x Ph P hp x x x x P P hp x x η − = + − − =     = = = = = =   = =     A continuación para el resto de los datos experimentales se prepara la siguiente tabla, utilizando las Ec. (1), (2), (3) y (4): Q [gal/min] Q [m 3 /s] H (m) Ph (hp) Amp P práctica (hp) η 0 0 40.79 0.00 18.0 15.15 0.00 500 0.03154 37.62 15.56 26.2 22.04 70.57 800 0.05047 33.74 22.33 31.0 26.08 85.60 1000 0.06308 28.81 23.83 36.0 30.29 78.66 1100 0.06939 27.05 24.61 37.0 31.13 79.04 1200 0.07570 24.58 24.39 37.3 31.38 77.73 1400 0.08832 16.82 19.48 39.0 32.81 59.37 1500 0.09462 11.68 14.49 41.5 34.92 41.49 A continuación graficar los siguientes resultados:
  • 247.
    5-43 - Q versuscarga (H) - Q versus eficiencia (η) - Q versus Pfreno o práctica Problema 5.9.- Datos: Línea de succión: 4'' 0,1023 di m φ =  → = Línea de descarga: 3'' 0,0779 di m φ =  → = 2 1 2 4,572 10 10,5 32,4 101325 / ² 207734 / ² succión descarga x m L m L m P N m P N m ε − = = = = = Ecuación de balance de energía entre los puntos (1) y (2): ( ) 2 2 1 2 1 2 2 2 : 0 , 0 , s s succión descarga p V H z hf g g p V H z hf hf g g Simplificaciones z z z positivo V V V ρ ρ ∆ ∆ ∆ = ∆ + + + ∆ ∆ ∆ = ∆ + + + + = = = = ∑ ∑ ∑
  • 248.
    5-44 ( ) 2 2 22 2 1 2 1 2 1 4 4 2 2 2 succ succ Desc Desc s succión succión Desc Desc succ Desc V L V L p p V V H z z f K f K g g g D g D ρ     − − ∆ = − + + + + + +         ∑ ∑ 2 0 0 succ Desc Desc K K V V ≅ ≅ = ∑ ∑ ( ) 2 2 2 2 1 4 4 2 2 2 Desc succ succ Desc Desc s succión Desc succ Desc V V L V L p p H z f f g g g D g D ρ     − ∆ = + + + +         Por la ecuación de continuidad: 2 4 2 2 2 2 succ succ Desc Desc Desc Desc succ Desc Desc succ succ succ Desc Desc succ V A V A A D V V V A D V V D g g D =   = =       =     4 2 2 1 1 .4 4 2 Desc Desc succ Desc s succión Desc succ succ Desc V D L L p p H z f f g g D D D ρ     −   ∆ = + + + +         Supongamos que: 2 1 2 Desc succ Desc V V D D D D = = = 4 2 2 1 2 2 1 2 1 2 1 1 2 1 .4 4 2 s p p V D L L H z f f g g D D D ρ     −   ∆ = + + + +         ( ) [ ] 4 2 2 1 2 2 2 1 2 207734 101325 0,0779 10,5 32,4 15 1 .4 4 998,2 9,81 2 0,1023 0,1023 0,0779 25,8665 1 138,045 1663,67 2 s s V H f f x g V H f f g   −   ∆ = + + + +           ∆ = + + + Rugosidad relativa: 5 4 1 1 1 5 4 2 2 2 2 2 1 1 2 1 1 1 2 1 2 1 4,572 10 4,4692 10 0,1023 4,572 10 5,369 ... 06 10 0,07 .. .... 79 0,1023 ; 1,7245 0 0 79 . , 7 4 x R x D x R x D D Q Q V V V V V A D D ε ε π − − − − = = = = = =     = = = = =              
  • 249.
    5-45 1 2 998,2 0,0010020 (T=20ºC) D =0,1023m D=0,0779m =4,572E-5m ρ µ ε = = Resultados tabulados: Graficar Q Vs ∆H para interceptar con N=3450 rpm Q [m 3 /s] V1 [m/s] Re1 (-) (Є/d)1 f1 0.0000 0 0 0 0 0.0025 0.304 30997.261 0.00044692 0.00614 0.0050 0.608 61994.522 0.00044692 0.00542 0.0075 0.912 92991.783 0.00044692 0.00509 0.1000 1.217 124026.948 0.00044692 0.00490 0.0125 1.521 154986.306 0.00044692 0.00478 0.0150 1.825 185983.567 0.00044692 0.00468 0.0175 2.129 216980.828 0.00044692 0.00461 0.0200 2.433 247978.089 0.00044692 0.00456 V2 Re2 (-) (Є/d)2 f2 ∆H 0 0 0 0 25.87 0.525 40705.055 0.000586906 0.00593 26.03 1.049 81410.110 0.000586906 0.00532 26.46 1.574 122115.165 0.000586906 0.00507 27.14 2.099 162869.993 0.000586906 0.00492 28.08 2.623 203525.274 0.000586906 0.00482 29.26 3.147 244230.329 0.000586906 0.00475 30.69 3.672 284935.384 0.000586906 0.00470 32.36 4.196 325640.439 0.000586906 0.00466 34.28
  • 250.
    5-46 Problema 5.10 a) Doscircuitos en serie ( ) ( ) ( ) 2 2 2 1 2 1 2 1 2 2 H H H Z K Q Z K Q Z K K Q = + = + + + = + + Para la bomba en serie con Z = 0 se tiene: ( ) 2 1 2 H K K Q = + Igualando esta expresión con la ecuación de la bomba: ( ) ( ) ( ) ( ) 2 2 1 2 2 1 2 2 1 2 1 2 0 4 2 a bQ cQ K K Q c K K Q bQ a b b a c K K Q c K K + + = + − − + + = ± − − − = − − b) Para dos bombas en paralelo 1 2 Q Q Q = + De la ecuación de la característica de la bomba: 1 H Z Q K − = Luego para dos bombas en paralelo se tiene: 1 2 1 2 1 1 1 1 H Z H Z H Z Q K K K K   − − − = + = +       De donde se obtiene: 2 2 1 2 1 1 Q H Z K K = +   +       Igualando las dos ecuaciones con Z = 0
  • 251.
    5-47 2 2 2 1 2 1 1 Q abQ cQ K K + + =   +       Reordenando: 2 2 1 2 1 1 1 c Q bQ a K K       − + +       +             2 2 1 2 2 1 2 1 4 1 1 1 2 1 1 b b a c K K Q c K K       ± − −       +             =       −       +             c) Con Z igual en ambos (instalación en serie) ( ) ( ) ( ) ( )( ) ( ) 2 2 1 2 2 1 2 2 1 2 1 2 0 4 2 a bQ cQ Z K K Q c K K Q bQ a Z b b a Z c K K Q c K K + + = + + − − + + − = ± − − − − = − − d) Dos circuitos en paralelo (K1 + K2) Z igual en ambos 2 2 2 1 2 1 1 Q Q bQ cQ Z K K + + = +   +      
  • 252.
    5-48 ( ) 2 2 1 2 1 11 c Q bQ a Z K K         − + + −       +             ( ) 2 2 1 2 2 1 2 1 4 1 1 1 2 1 1 b b a Z c K K Q c K K       ± − − −       +             =       −       +             Problema 5.11 Esquema para plantear balance de energía Una de las formas de plantear balance de energía entre los puntos A y B es como sigue: 2 2 s p V H z hf g g ρ ∆ ∆ ∆ = ∆ + + + ∑
  • 253.
    5-49 ( ) ( ) 12 : 0 30,5 ( tan ) 3 A B A atm B Simplificaciones z z z m positivo V V D cons te p p g p atm ρ = = = ≅ = + = 2 2 1 2 2 1 , 4 2 4 2 s B f F s B F p p L V H z hf h f g D g p p L V H z f g D g ρ ρ   −   ∆ = + + =          −   ∆ = + +        ∑ ∑ Reemplazando datos se tiene 30,5 atm s p H ∆ = + atm p −( ) 2 2 3,0 30,5 4 0,053 2 30,5 3,0 1173,234 F s F x g V f g g H f V ρ ρ +     +        ∆ = − + 2 27,5 1173,234 s F H f V ∆ = + Calculo número de Reynolds y rugosidad relativa ( ) ( )( ) 3 4 3 2 2 0,053 879 Re , Re 0,65 10 Re 7,1672 10 453,27 / 0,053 4 4 f V D Vx x x x V Q Q Q V xQ m s A D ρ µ π π − = ⇒ = =   = = = =   ( ) 3 453,27 / , 0,15 0,002830 ( ) 53 V xQ m s Q m s mm acero comercial D mm ε = = = =
  • 254.
    5-50 a) Calculo delas condiciones de operación del sistema Q(m3 /s) V (m/s) Re D ε F f Hsist 0,0 0,0 0,0 0,002830 ( -- ) 27,50 0,002 0,90 64504 0,002830 0,006955 34,10 0,003 1,34 96040 0,002830 0,006797 41,81 0,004 1,74 124709 0,002830 0,006719 51,36 0,005 2,26 161978 0,002830 0,006657 66,87 De la grafica se obtiene las siguientes condiciones de operación: 3 55,0 . . 0,0044 / H m c liquido Q m s = = Para el caudal de operación de Q = 0,0044 m3 /s, de la tabla de curva característica de la bomba se obtiene una eficiencia aproximada de: 62 % η = b) Los amperios que consume el motor: ( ) ( ) ( ) 55 9,81 , 870,24 / 0,62 sist sist H g x Ws H g Ws J kg η η ∆ = ∆ ⇒ = = =
  • 255.
    5-51 Calculo de potencia: () ( ) ( ) ( ) ( ) ( ) 3 3 ( / ) 870,24 879 0,0044 3665,74 3,4 3,4 10 3 cos 3 0,220 0,90 P Ws m Ws Q J s Watt J kg m P Watts Kw kg m s kW Amp amperios x kV x x x ρ φ = = =       = = ≅             = = ≅ c) Tiempo de drenaje para hacer descender hasta 2,40 metros. Volumen a descargar: 2 2 3 6 2,40 67,86 4 4 T V D h x m π π     = = =         Tiempo de drenaje: 3 3 67,87 15425 4,2 0,0044 / V m t segundos horas Q m s = = = = Problema 5.12 ( cavitacion) De acuerdo a la instalación de la figura, se plantea la siguiente ecuación de cavitación: ( ) 1 1 v f disponible p p NPSH z h g g ρ ρ   = + − Σ −    
  • 256.
    5-52 Donde: 1 101300 10,7 .. 965,2 9,81 1,4 . . . 70110 7,40 965,2 9,81 1,0 . . f p m c a g x h m c a pv g x z m c a ρ ρ = = Σ = = = = Reemplazando datos se tiene: ( ) ( ) 10,7 1,0 1,4 7,4 2,9 . . disponible NPSH m c a = + − − = Por tanto: ( ) ( ) disponible requerido NPSH NPSH < Bajo estas condiciones la bomba no podría funcionar bien y tendría serios problemas de cavitación. Posibilidades de solución: 1. Aumentar la altura de instalación: esto seria imposible porque el tanque esta instalado sobre una estructura establecida y fija en dimensiones. Si se incrementa z = 2 metros, (NPSH)disponible = 3,9, la bomba no cavita. 2. Disminuir la perdida de carga: esto podría lograrse aumentado el diámetro de la tubería o retirando alguno accesorios que causan mayor perdida. Problema 5.13 Se plantea la siguiente ecuación para resolver el problema de cavitación: ( ) 1 1 v f disponible p p NPSH z h g g ρ ρ   = + − Σ −    
  • 257.
    5-53 Para el caso:cuando el ( ) 0 disponible NPSH = , alcanza una máxima altura positiva, entonces: ( ) ( )( ) 1 1 1 1 2 2 0 4 2 15000 3600 0,8915 / 980,6 0,00779 4 v f v f eq f F p p z h g g p p z h g L v h f Di g m v m s A ρ ρ ρ π ρ   = + − Σ −       − = − Σ       Σ =     = = = 5 4 3 Re 151338 4,572 10 5,869 10 0,0779 . 4,952 10 F vDi x x Di Ec Chen f x ρ µ ε − − − = = = = = ( ) ( ) 2 3 3 0,8915 40,52 4 4,952 10 0,4173 2 9,81 77,9 10 f h x x x x − − Σ = = Reemplazando datos: 96000 25000 0,4173 6,96 980 9,81 z m x − = − = 5.14. Problema Datos: Caudal: Q = 300 l/min Presión atmosférica = 101,8 kPa
  • 258.
    5-54 T = 80oC 3 4 971 / 3,50 10 / kg m x kg ms ρ µ − = = Utilizando la Ecuación de NPSH disponible: ( ) 1 1 v f disponible p p NPSH z h g g ρ ρ   = + − Σ −     Cálculo de pérdida de carga en la línea horizontal de 2 pulgadas: Diámetro = 2 pulg. SCH40 , Di = 52,5 mm (tablas) Af = 2.168x10-3 m2 ( ) 3 3 300 10 60 2,30 / 2,168 10 x Q v m s Af x − − = = = 3 4 5 971 2,30 52,5 10 Re 335 908,67 3,50 10 : 4,6 10 vD x x x x Acero comercial x m ρ µ ε − − − = = = =
  • 259.
    5-55 5 4 3 4,6 10 8,761909 10 52,510 0,00500 ( ) F x m x D x m f ecuacion de Chen ε − − − = = = ( ) 2 2 3 2,3 1,5 4 4 0,005 0,15407 2 52,5 10 2 9,81 f F L v h f x x D g x x −       = = =             De tablas, para 2 pulgadas, fT = 0,019 ( ) 2 2 20 0,019 0,39 2,30 0,38 0,10246 2 2 9,81 T codo L k f x D v h k g x   = = =       = = =     0,15407 0,10246 0,25653 f h Σ = + = Cálculo de pérdida de carga en la línea vertical de 3 pulgadas: Diámetro = 3 pulg. SCH40 , D = 77,9 mm (tablas) Af = 4,768x10-3 m2 ( ) 3 3 300 10 60 1,04866 / 4,768 10 f x Q v m s A x − − = = = 3 4 5 971 1,04866 77,9 10 Re 22 6633,1034 3,50 10 : 4,6 10 vD x x x x Acero comercial x m ρ µ ε − − − = = = =
  • 260.
    5-56 5 3 4,6 10 0,00059 77,9 10 0,00478( ) F x m D x m f ecuacion de Chen ε − − = = = ( ) 2 2 3 1,04866 2,0 4 4 0,00478 0,0275 2 77,9 10 2 9,81 f F L v h f x x D g x x −       = = =             De tablas, para 3 pulgadas, fT = 0,18 ( ) ( ) ( ) 2 2 20 0,18 0,36 1,04866 / 0,36 3,0 0,188332 2 2 9,81 codo T codo codo val filtro L k f x D v h k k g x   = = =       = + = + =     0,02751 0,188332 0,2158 f h Σ = + = Luego: , , 0,25653 0,2158 0,4723 f f horizontal f vertical h h h Σ = + = + = Reemplazando en la ecuación de NPSH: ( ) 1 1 v f disponible p p NPSH z h g g ρ ρ   = + − Σ −     1 101800 10,68709 971 9,81 4,9 . . . v p g x p m c a g ρ ρ = = =
  • 261.
    5-57 ( ) [] ( ) ( ) 2 2,3 10,68709 2 0,4723 4,9 2 9,81 3,145 disponible disponible NPSH x NPSH = + − − − = Por tanto, una bomba operando en este sistema debe tener un (NPSH)requerido menor a 3,145 m
  • 262.
    6-1 CAPÍTULO VI FLUIDOS COMPRESIBLES Problema6.1 (Wilkes) Gas natural (metano, supuesto ideal) fluye estacionariamente a 55 o F a través de una tubería horizontal de 12 pulgadas de diámetro y 20 millas de longitud, con un factor de fricción de fF = 0,0035. Si la presión de entrada es 100 psia, ¿Cuál es la presión de salida que corresponde al máximo flujo a través de la tubería? Si la presión actual de salida es 10 psia, ¿cual es la velocidad de flujo de masa del gas (lbm/h)? Problema 6.2 (Wilkes) Gas etileno es bombeado a través de una tubería de 6 pulgadas de diámetro interno hasta una distancia de 5 millas a un flujo de masa de 2,0 lbm/s. La presión de transporte al final de la tubería es de 2,0 atm absoluta, y el flujo puede ser considerado isotérmica, a 60 o F. Si fF = 0,0030, calcular la presión de entrada. Suponer un comportamiento de gas ideal, y justifique cualquier suposición posterior. Problema 6.3 (Costa Novella) En un reactor de oxidación que trabaja a 850 kN/m2 se requiere 35 kg/s de aire. Si la toma del aire esta situada a 1 km del reactor y se utiliza para impulsión un compresor con una presión con una presión de descarga de 980 kN/m2 . ¿Qué diámetro de tubería de acero deberá utilizarse para conseguir el caudal deseado, suponiendo constante e igual a 293 K la temperatura del aire? Datos: Rugosidad del acero; 4,572E-5 m Viscosidad del aire a 293 K = 1,8140E-5 kg/m s Peso molecular medio de aire: 28,95 kg/ mol-kg Problema 6.4 (Geankoplis propuesto). Se usa un compresor que opera adiabáticamente pata comprimir 2,83 m3 /min de aire a 29,4 o C y 102,7 kN/m2 a 311,6 kN/m2 . a) Calcúlese la potencia necesaria con una eficiencia de 75 %. Calcúlese además, la temperatura de salida. b) Repítase para una compresión isotérmica.
  • 263.
    6-2 Problema 6.5 (JoséLuis Otero) Caída de presión con flujo compresible. Se está bombeando metano gaseoso a través de 305 m de una tubería de acero de 52.5 mm de diámetro interior, a velocidad de 41,0 kg/m2 s. La presión de entrada es p1 = 345 kPa abs. Suponga un flujo isotérmico a 288,8 K. a) Calcule la presión p2 al final de la tubería. La viscosidad es 1,04 x l0-5 Pa.s b) Calcule la velocidad máxima que se puede alcanzar en esas condiciones y compárela con la velocidad del inciso a). Respuesta: a) p2 = 298.4 k Pa, b) vmáx = 387.4 m/s, v2 = 20.62 m/s Problema 6.6 (Levenspiel) Me irrita que los responsables mantengan tanto secreto acerca del caudal de producción de su nueva planta de gasificación de carbón. Pero quizá podríamos averiguarla nosotros mismos. Yo advertí que el gas producido (pm = 0,013, 5 10 / , 1,36 kg m s µ γ − = = ) se envía a los usuarios industriales vecinos a través de un tubo no aislado de 15 cm de d.i. y 100 m de largo. El manómetro en un extremo del tubo marca 1 MPa absoluto. En el otro extremo marca 500 kPa. Yo me quemo cuando lo toco, pero cuando lo salpico con agua no chisporrotea, de modo que supongo que la temperatura es 87 o C. ¿Querría usted estimar para mi el caudal de gas de carbón a través del tubo, en toneladas / día y en m3 /s a 1 atm y 0 o C? Problema 6.7 (Levenspiel). Han de alimentarse 25 mol/s de etileno ( 5 1,2, 2 10 / x kg ms γ µ − = = ) a un reactor que opera a 250 kPa desde un tanque de almacenamiento a 60 o C y 750 kPa. Este flujo ha de controlarse mediante un tubo de descarga de 24 mm de d.i. de hierro comercial como se muestra en el esquema. ¿Qué longitud de tubo de control se necesita?
  • 264.
    6-3 Problema 6.8 (CoulsonRicharson). Nitrógeno a 12 MN/m2 de presión es alimentado a través de una tubería de acero de 25 mm. de diámetro a una planta de síntesis de amoniaco a la velocidad de 0,40 kg/s. a) ¿ cual es la caída de presión a través de 30 metros de longitud de tubería suponiendo una expansión isotérmica del gas a 300 K?. b) ¿ Cual es la cantidad de calor promedio por unidad de área de la superficie de la tubería que deberá atravesar a través de la pared para mantener la condición isotérmica?. c) ¿Cual podría ser la caída de presión en la tubería si fuera perfectamente cubierta de aislante. Problema 6.9 (Levenspiel). Para nuestro proyecto de descomposición bioquímica de paja de césped se necesita oxigenar la profunda tina de fermentación introduciendo 5 litros/s de aire a 2 atmósferas. E obtiene este aire mediante un compresor localizado a 100 m de distancia y a través de un tubo de acero de 0,1 m de diámetro interno. ¿Cuál seria la presión a la entrada del tubo para garantizar este caudal? Problema 6.10 (Ocon y Tojo). El hidrógeno empleado en una planta de síntesis de amoniaco ha de entrar en los convertidores a 75 atmósferas. Si en el gasómetro disponemos de hidrógeno a 90 atmósferas y la línea de conducción tiene una longitud de 220 m, determínese el diámetro de tubería a emplear si el flujo de masa ha de ser de 60 kg/min, en condiciones isotérmicas a 27 o C.
  • 265.
    6-4 CAPÍTULO VI SOLUCIÓN DEPROBLEMAS Problema 6.1. Esquema: a). Supongamos el diámetro actual como Di = 12 pulgadas. La ecuación para calcular la presión de salida correspondiente al máximo flujo es: 2 1 1 2 2 4 2ln 1 F p p L f D p p ∗ ∗       + = −             2 1 1 2 2 Re : 2ln 1 4 F ordenando se tiene p p L f p p D ∗ ∗       − = −             Hacemos cambio de variable: 1 2 2 2 2 2ln 1 4 Re : 20 5280 2ln 1 4 0,0035 12/12 2ln 1479,4 F p sea X p L X X f D emplazando datos x X X x X X ∗ =   − = +       − = +     − =
  • 266.
    6-5 Método de solución: 2 : 2ln1479,4 0 Sea la funciono bjetiva Fo X X = − = = Sea X Fo 20 -1085,39 40 113,22 35 -261,51 38 -42,67 39 34,27 38,5 -4,4513 38,56 0,1691 38,559 0,092 Luego la respuesta es: 38,56 X ≅ Por tanto, 1 2 2 100 , 2,59 Re . 38,56 p p p psia sp X ∗ ∗ = = ⇒ = b). Considerando el segundo caso ( ) 1 2 2 2 1 2 2 1 2 100 10 : 4 2ln F p psia y p psia el flujo de masa es Mw p p RT G p L f D p = =   −     =     +         Donde: Mw p Mw RT p RT ρ ρ = ⇒ = Considerando isotérmica y a la condición de entrada:
  • 267.
    6-6 1 1 1 1 3 2 16 ,55 460 515 10, 731 lg o f o Mw p RT Mw T F R lb R ft pu mol lb R ρ = = = + = = Entonces se tiene: ( ) 2 2 1 2 2 1 1 1 2 4 2ln F p p G p p L f D p ρ −   =         +         [ ] [ ] 2 2 2 2 3 2 2 2 3 4 2 2 2 4 2 2 4 2 100 10 16 lg 10,731 515 1479,4 2ln 0,01 100 10 16 2 10,731 515 1479,4 2ln 0,01 89,1949 9,44 f m m m lb pu G x ft lb G x ft ft s lb G ft s lb G ft s   −   = +   −   = +   =       =     Luego el flujo de masa es: 2 2 12 9,44 4 12 7,4146 / , 26691,0 Re . m lb m G A ft s lb m lb s m sp h π     = =            = =     Este valor se puede verificar con la ecuación de Weymouth: ( ) 2 2 2 2 4 F Mw D G p p RT f L     = −        Resuelve y comprueba la diferencia.
  • 268.
    6-7 Problema 6.2 Datos: Di =6 pulg. = 0,1524 m L = 5 millas = 8046,72 m ; (1 milla = 5280 ft ) T = 60 o F = 15,6 o C = 288,6 K p1 = ? p2 = 2 atm (absoluta) = 202 650 N/m2 fF = 0,0030 m = 2 lbm/s = 0,90718 kg/s , ( 1 lbm = 0,45359 kg ) Ecuación para flujo isotérmico compresible: ( ) 2 2 1 2 2 1 2 (1) 4 2ln : F p p Mw G RT p L f D p Mw p donde RT Mw p RT ρ ρ     −    =          +               = = Sustituyendo esta relación en la ecuación anterior: ( ) 2 2 1 2 2 1 1 1 2 4 2ln F p p G p p L f D p ρ     −    =          +              
  • 269.
    6-8 Reordenando para lasolución: 2 2 1 1 4 2ln F p L Mw f D RT G p   = +     (2) Reemplazando datos: 8046,72 4 4 0,0030 633,6 0,1524 F L f x D     = =         Además se sabe: 3 3 28 / 82,057 10 Mw kg mol kg m atm R x mol kgK − =   =     Calculo de área: ( ) ( ) 2 2 2 0,1524 0,01824 4 4 A Di m π π = = = Calculo de flujo masico: 2 / 0,90718/ 0,01824 49,73 kg G m A s m = = = G2 = 2473,64 kg2 / m4 s2 Luego se tiene: ( ) 2 3 2 3 4 2 1 28 / 82,057 10 288,6 2473,64 Mw kg molkg RT G m atm kg x K x molkg K m s −   =     −       Como factor de conversión se tiene: 2 2 2 2 1 1 101325 101325 101325 N kg m atm m s m kg s m   = =     =
  • 270.
    6-9 ( ) 2 3 2 3 42 2 2 2 1 28 / 1 82,057 10 288,6 2473,64 101325 1 48,43 Mw kg molkg RT G m atm kg atm x K x kg molkg K m s ms Mw atm RT G − −   =           −               =     Reemplazando los términos calculados en la Ec. (2): 2 633,6 48,43atm− = ( ) 2 2 2 1 2 p atm − 1 2 2ln p   +     Solución por tanteo. Sea la función objetiva Fo ( ) 2 1 1 2 48,43 4 2ln 633,6 0 Fo p p   = − + − =     Suponer p1 Calcular Fo 5 -381,80 4 53,70 4,1 14,51 4,12 6,56 4,13 2,57 4,1361 0,1344 4,1362 0,094 Luego la presión a la entrada es: 1 4,1362 , Re . p atm sp = Verificación: Debemos verificar que p2 = 2 atm. se debe mantener por encima de 2 : p dado por la ecuacion ∗ 2 1 1 2 2 2ln 1 4 F p p L f p p D ∗ ∗       − = +             (3)
  • 271.
    6-10 Sea: 1 2 p X p∗ = Entonces laEc. (3) se transforma como: ( ) ( ) 2 2 2ln 1 633,6 2ln 634,6 X X X X − = + − = De igual forma resolvemos por tanteo: Sea: ( ) 2 2ln 634,6 0 Fo X X = − − = Suponer X Calcular Fo 40 958 30 258 20 -240 25 -16,0 25,35 1,55 25,32 0,039 Luego: 25,32 X = Donde: 1 2 1 2 4,1362 25,32 p X p p atm p X ∗ ∗ = = =
  • 272.
    6-11 2 2 2 1 0,1633( ) , 4,1362 ( .) p atm abs puesto que p p la solucion de p atm abs es OK ∗ ∗ = > = Problema 6.3.- (Costa Novella) DATOS: p2 = 850000 N/m2 p1= 980000 N/m2 LT = 1000 m m = 35 kg/s Solución: Primeramente verificamos la velocidad v2 en el punto (2) 2 2 / f flujo m x v x A v m x A ρ ρ = ⇒ = ɺ ɺ D x s kg v 4 / 35 2 π ρ = Como D es incógnita, supongamos que la velocidad máxima es menor a 35 m/s, luego podemos utilizar la ecuación de Weymouth. 2 2 2 1 2 4 R T L p p x f G M D − = Donde: 2 2 4 4 D m D W A m G flujo π π = = = 4 2 2 2 16 D m G π = 1 2 Reactor Comp LT = 1000
  • 273.
    6-12                   = − D L D m f M T R p p 4 2 2 2 2 2 1 16 4 π DATOS: R =8314, m = 35 kg/s T = 293 K L = 1000 m M = 28,95 kg/mol Kf (980000)2 – (850000)2 = 5 2 2 1000 ) 35 ( 16 4 95 , 28 293 8314 D x f x F             π 2,379x1011 = 4 fF         5 11 10 671026 , 1 D x 4 fF = 1,4236 D5 fF = 0,355918 D5 Se realiza por tanteo de aproximación sucesivos: D = (2,8096 fF )1/5 Se sabe que: [ ] µ ε D x G D f fF = = Re , / Re, D x x x D W D x D W 5 2 10 8140 , 1 35 4 4 4 Re − = =         = π µ π µ π Re = 2456630,643/D ε/D = (4,572 x 10-5 )/D Supuesto fF Calcular (D) Calcular Re Calcular ε/D Calcular fF 0,005 0,4261 5765234 1,0729x10-4 0,003740 0,003743 0,4021 6108956 1,1369x10-4 0,003759 0,003759 0,4024 6103746 1,1359x10-4 0,003759
  • 274.
    6-13 Problema 6.4 Datos: 3 3 2 1 2 2 2,83 /min 29 / 29,4 302,55 1,40 ( ) 102,7 / 8314,34 311,6 / o Q m Mw kg molkg T C K aire J m Pa p kN m R molkg K molkg K p kN m γ = = = = =     = = =         = Considerando condición adiabática calcula la potencia con una eficiencia de 75 %: 1 1 2 1 1 1 RT p Ws Mw p γ γ γ η γ −         − = −         −           Reemplazando datos: 8314,34 1,40 1,40 1 J mol kg Ws η   − =   −   K 302,55 K         29 kg mol kg ( ) ( ) ( ) 1,40 1 1,40 311,6 1 102,7 113290,42 113290,42 113290,42 0,75 151053,9 kN kN J Ws kg J J kg kg Ws J Ws kg η η −            −                  − =                 − = =   − =     Para calcular la potencia al freno se requiere calcular la masa del aire a partir de la siguiente relación:
  • 275.
    6-14 1 102700 , Pa p Mw m Q RT ρρ = ⇒ = = 29 kg mol kg 3 8314,34 m Pa         mol kg K 302,55 K         3 3 3 1,1839 1min 1,1839 2,83 0,05584 min 60 kg m kg m kg m m s s ρ   =          = =            Luego la potencia al freno es: ( ) 151053,9 J P Ws m kg = − = 0,05584 kg x         ( ) 8434,84 11,3 Re . J W hp sp s s     = = =           Calculo de temperatura de salida: 1 1 2 2 2 2 1 1 1 1 1,40 1 1,40 2 311,6 302,55 415,45 142,3 Re . 102,7 o T p p T T T p p T K C sp γ γ γ γ − − −           = ⇒ =           = = =     b). Considerando condición isotérmica: ( ) 1 2 1 2,3026 log RT p Ws Mw p η   − =     Reemplazando datos: ( ) ( ) 2,3026 8314,34 302,55 311,6 log 96275,72 29 102,7 96275,72 96275,72 128 367,62 0,75 x x J Ws kg J J kg kg J Ws kg η η     − = =                       − = = =    
  • 276.
    6-15 Luego la potenciaal freno es: ( ) 128367,629 J P Ws m kg = − = 0,05584 kg x         ( ) 7168,0 9,6 Re . J W hp sp s s     = = =           Por tanto, la compresión isotérmica requiere: 11,3 9,6 100 15,04% 11,3 x −   =     15,04 % menos potencia. Problema 6.5 a) Calculo de p2 Datos: 2 2 2 2 1 2 5 288 , 41,0 1681 345 ? 52,5 1,04 10 / kg kg T K G G s m s m p kPa p Di mm x kg m s µ −   = = ⇒ =     = = = = El problema es similar al casos anterior, con la única diferencia de que es necesario calcular el factor de fricción empleando correlaciones de Chen. Ecuación: ( ) 2 2 2 1 2 2 1 1 4 2ln ( ) F p L Mw f p p I D RT G p     = − +         De tablas se tiene:
  • 277.
    6-16 5 5 4 4,572 10 () 4,572 10 8,70 10 0,0525 x m acero x m x D m ε ε − − − = = = Calculo de número de Reynolds: ( ) ( ) 2 5 41,0 / 0,0525( ) Re 206971,15 1,04 10 / 0,005128 ( ) F kg s m m GD x kg m s f ecuacion de Chen µ − = = = = 305 4 4 0,005128 119,16 0,0525 F L f x D   = =     Calculo de: 2 3 3 2 2 2 2 3 1 16 ( tan ) 82,057 10 288 1681 1 16 101325 40,80 82,057 10 288 1681 Mw RT G Mw me o m atm R x mol kgK T K G Mw x atm atm RT G x x x − − − −    =       =   =     = =    = =       Reemplazando en Ec. (I): ( ) 2 2 2 2 119,16 40,803 40 2ln 3,40 p p   = − +     Solución por aproximaciones sucesivas: sea una función objetiva: ( ) 2 2 2 2 40,803 40 2ln 119,16 3,40 p Fo p   = − + −    
  • 278.
    6-17 Suponer p2 CalcularFo 2 188 1,5 259 3,0 -14,96 2,5 338 2,9 9,04 2,95 -2,85 2,93 1,92 2,935 0,7334 2,938 0,016 Luego la respuesta es: 2 2,938 297,7 Re . p atm kPa sp = ≅ b). Calculo de velocidad máxima ( ) 2 max V ( ) ( ) 3 3 max 3 3 2 max 2 2 3 3 2 2 max max 82,057 10 288 16 82,057 10 288 , 1 101325 / 16 101325 82,057 10 288 16 1 386,85 / m atm x mol kgK RT V Mw kg mol kg x m atm kg m V atm N m kg s m kg m x x m atm s m V kg atm V m s − − −         = =             − = = =       −     = = Calculo de velocidad: ( )( ) 2 2 2 2 3 2 2 2 297,7 10 16 41,0 8,314 288 20,61 / Re . p Mw G V V RT kg x x V m s V m s sp ρ = =   =     =
  • 279.
    6-18 Problema 6,6 Datos: Mw =0,013 kg/ mol g p1 = 1 MPa = 1000 kPa p2 = 500 kPa T = 87 ºC = 360,15 K Di = 15 cm = 0,15 m µ = 1 x 10-5 kg/m.s L = 100 m γ = 1,36 G = ? Supongamos que ocurre la condición adiabática. Para esta condición se utiliza la siguiente ecuación: 1/2 1 2 1 1 1 2 1 2 1 1 2 4 ln p p G p p L f D p γ γ γ γ ρ γ +         −         +           =         −             (1) Donde: T R M p w 1 1 = ρ 3 1 3 1000000 13,0 / 7,58 / 8314,34 (360,15) Pa x kg mol kg kg m m Pa K mol kg K ρ = =   −     ρ1 = 4,34 kg/m3
  • 280.
    6-19 ( ) 2 1 12 3 2 4 2 1 1 2 4 2 1000000 4,34 4340000 4340000 2083,26 N kg kg p x m m s m kg kg p s m s m ρ ρ   = =       = =     1,36 1 1,36 1,0 0,5762 , 1,7352 1 1,36 1 1,36 γ γ γ γ + + = = = = + + Reemplazando datos en la Ec. (1): ( ) 1/2 1,7352 2 0,5 2 500 2 0,5762 1 1000 2083,26 100 2 500 4 ln 0,15 1,36 1000 0,8059 2083,26 0,8059 2083,26 2666,67 1,0193 2666, F F kPa kPa kg G m kPa s m f m kPa kg G s m f       −                 =               −                     = =     +    2 2 67 1,0193 1870,18 2666,67 1,0193 F F kg s m f kg G s m f     +     =   +   donde , Re F f f D ε   =     De tablas: -4 = 0,046 mm /D = 0,046 mm/ 150 mm = 3,0667 x 10 ε ε 5 0,150 Re 1 10 Re 15000 G x Di G x x G µ − = = =
  • 281.
    6-20 Supuesto fF Calcular (G) Calcular Re ε/D Calcular fF 0,00500 493,647404719 3,0667x10-4 0,003778 0,003778 561,46 8421944 3,0667x10-4 0,003775 0,003775 561,68 8425312 3,0667x10-4 0,003775 Luego el valor de 2 561,68 kg G s m   =     Calculo de masa de gasificación de carbón: ( ) ( ) 2 2 2 = 561,68 0,15 9,93 / 4 4 9,93 kg m GA G Di m kg s s m m kg π π       = = =             = / s ( ) 3600 s 1h 24 h       1 1 1000 Ton dia kg       856 / ton dia   ≈       Expresado en m3 /s a las condiciones de 1 atm y T = 0o C. Para estas condiciones calculamos la densidad: p Mw R T ρ = 3 1 3 3 1 101325 13,0 / 0,58 / 8314,34 (273,15) 0,58 / Pa x kg mol kg kg m m Pa K mol kg K kg m ρ ρ = =   −     = Luego el caudal será: 3 3 9,36 / 19,14 Re . 0,58 / m kg s m Q sp kg m s ρ   = = =    
  • 282.
    6-21 Problema 6.7.- Datos: η =25 mol/s = 0,025 kmol/s p1 = 750000 Pa p2 = 250000 Pa T = 60 ºC = 333 K Di = 24 mm = 0,024 m µ = 2 x 10-5 kg/m.s L = ? γ = 1,2 Supongamos que el tubo de control es corto, por tanto ocurre la condición adiabática, por que el tiempo de residencia del fluido es corto. Para esta condición se utiliza la siguiente ecuación: 1/2 1 2 1 1 1 2 1 2 1 1 2 4 ln p p G p p L f D p γ γ γ γ ρ γ +         −         +           =         −             Elevando al cuadrado ambos miembros                       −                       −         − = + 1 2 1 1 2 1 1 2 ln 2 4 1 1 2 ) ( p p D L f p p p G γ γ γ ρ γ γ Reordenando se tiene                           −         +       =                 −       + γ γ γ γ ρ γ 1 1 2 2 1 1 1 2 1 1 2 ln 2 4 p p G p p p D L fF ( ) ) ( ln 2 1 1 2 1 4 1 2 1 1 2 2 1 1 I p p p p G p D L fF                 +                             −         +       =       + γ γ γ ρ γ γ Donde: T R M p w 1 1 = ρ
  • 283.
    6-22 3 3 1 / 58 , 7 ) 333 ( 34 , 8314 / 28 750000 m kg K K kg mol Pa m kg mol kg x Pa =         − = ρ ρ1= 7,58 kg/m3 Cálculo de flujo másico G = m/A m = η x Mw = 0,025 (mol-kg/s) x (28 kg/mol kg) m = 0,70 kg/s Cálculo de área de flujo: 2 2 2 0004523 , 0 ) 024 , 0 ( 4 ) ( 4 m Di A =       = = π π Luego, G = 0,70 (kg/s) / 0,0004523 = 1547,64 kg/s-m2 G2 = 2395206,185 kg2 / s2 x m4 1/G2 = 4,1750 x 10-7 s2 m4 / kg2 Calculo de factor de fricción, fF [ ] / , Re F f f D ε = De tablas ε = 0,046 mm ε/D = 0,046 mm/ 24 mm = 1,9166 x 10-3 5 10 2 024 , 0 64 , 1547 Re − = = x x Di x G µ Re = 1857168 De ecuación de Cheng: fF = 0,005814 1,2 1 1,2 1 0,5454 , 1,8333 1 1,2 1 1,2 γ γ γ γ + + = = = = + + ( ) 2 4 2 7 3 2 2 1 1 ) 10 1750 , 4 ( 58 , 7 750000 1 kg m s x m kg x m N G p −       =       ρ = 2,3734 N x s2 / m kg 1N = kg m/ s2 = 2,3734 N/kg – m/s2 N/(kg-m/s2 )
  • 284.
    6-23 ( ) 3734 , 2 1 2 1 1=       G p ρ Reemplazando los valores calculados en la Ec. (I)             +             − =       750 250 ln 2 , 1 2 750 250 1 5454 , 0 2 3734 , 2 024 , 0 005814 , 0 4 x L x 0,969 L = 2,2434 - 1,8310 = 0,1667 0,969 L = 0,4123  → L ≈ 0,43 m L = 43 m Resp. Problema 6.8. Calculo de densidad: ( ) 1 1 2 2 6 1 6 3 1 3 12 / 12 106 / 12 10 28 / 12 10 134,70 / 8314,34 Mw p R T p MN m x N m x Pa kg molkg x Pa kg m m Pa mol kgK ρ ρ = = = = = =       Calculo de área de sección transversal; ( )( ) ( )( ) 2 2 2 0,025 0,00049 4 4 i A D m π π = = = Calculo de flujo masico, G ( kg/ s m2 ): 2 2 2 2 2 4 2 4 6 2 2 0,40 / / 816,32 / 0,00049 666378,3424 1 1,50 10 kg s G m A G kg s m m kg G s m s m x G kg − = ⇒ = = = = Calculo de factor de friccion, fF:
  • 285.
    6-24 ,Re F f f D ε   =    Donde: 3 2 0,002 Re , 0,02 0,02 10 D GxDi mN s kg x m ms ε µ µ − =   −   = = =         6 3 816,32 0,025 Re 1,01665 10 0,02 10 x x x − = = De ecuacion de Chen: 0,0059 F f = Aplicando la ecuación para flujo isotérmico: ( ) 2 2 1 2 2 1 2 4 2ln F p p Mw G RT p L f D p     −    =          +               De donde se reordena ( ) 2 2 1 1 2 2 2 1 4 2ln ( ) F p L Mw f p p I D RT G p     = − −         Calculo de las siguientes relaciones: 30 4 4 0,0059 28,32 0,025 F L f x D     = =         ( ) 6 2 4 2 2 2 2 2 3 28 1 1,50 10 / 8314,34 300 kg Mw kg m kg molkg x s m kg Pa RT G s m s m m Pa K mol kg −     = ⇒ = =              
  • 286.
    6-25 11 2 2 1 1,6838 10 Mw xPa RT G − −   =     Reemplazando los datos en la Ec. (I) 11 2 28,32 1,6838 10 x Pa − − = ( ) ( ) 2 2 6 2 2 12 10 x p Pa   −     6 2 12 10 ln x p   −     Resolviendo por el método de sustitución: ( ) ( ) 6 2 2 11 6 2 2 12 10 1,6838 10 12 10 ln 28,32 0 x Fo x x p p −     = − − − =         Suponer p2 Calcular Fo 11E+6 358,86 10E+6 712,36 11,90E+6 11,91 11,93E+6 - 0,12 11,929E+6 0,28 De estos resultados, el que mas se aproxima a cero es: 6 2 2 2 11,93 10 11,93 / , Re . p x Pa p MN m sp = = Luego la caída de presión es: ( ) ( ) 2 6 2 1 2 2 1 2 12,0 11,93 / 2 0,07 / 0,07 10 / 70 / , Re . p p MN m MN m x N m p p N m sp − = − = = − = b). Calor transferido a través de la superficie del tubo: Balance de energía: q W dH gdz VdV δ δ − = + + Simplificaciones: Tubo horizontal: dz = 0 Expansión isotérmica: dH = 0
  • 287.
    6-26 No hay trabajo:0 W δ = Luego se tiene: q VdV δ = Integrando se tiene: ( ) 2 2 2 2 2 1 2 m m kg J q V s s kg kg    = ∆ ⇒ = =        El flujo de calor transferido es: ( ) 2 1 2 q V m = ∆ Calculo de velocidad al final de alta presión: m m V A G V A ρ ρ = ⇒ = = 2 3 816,32 / 6,06 / 134,70 / kg s m G V m s kg m ρ = = = La velocidad en la planta se tomara como cero: ( ) 2 6,06 0,40 / 2 7,34 / Re . J q x kg s kg q J s Watt sp   =     = = Por tanto, este pequeño valor de calor transferido nos indica que el cambio de energía cinética es pequeño y la condición es casi adiabática. Si la tubería fuese perfectamente aislado, el flujo de fluido podría ser adiabático y la caída de presión se calcula por la siguiente ecuación: c). Flujo adiabático: 1 2 1 1 1 2 1 2 1 1 2 4 ln F p p G p p L f D p γ γ γ γ ρ γ +             −         +           =         −               Elevamos al cuadrado ambos miembros y reordenando se obtiene:
  • 288.
    6-27 ( ) 1 2 1 12 1 1 4 2 1 1 F p L f p D G p γ γ γ ρ γ +                 = −             +                 Calculo de las siguientes relaciones: ( ) 3 1 6 1 1 134,70 / 12 10 1,4 ) kg m p x Pa para nitrogeno ρ γ = = = De donde 4 28,32 F L f D   =     ( ) 6 6 1 1 2 1 12 10 134,70 1,50 10 2424,60 p x x x x G ρ − = = 1,40 0,5833 1 1,40 1,0 1 1,7142 γ γ γ γ = = + + + = Reemplazando datos: 1,7142 2 2 6 6 1,7142 2 6 6 2 28,32 2424,60 2 0,5833 1 ln 12 10 1,40 12 10 2 28,32 2828,53 2828,53 1,4285ln 12 10 12 10 p p x x x p p x x           = − +                         = − +         Resolvemos por el método de sustitución: 1,7142 2 6 6 2 2828,53 2828,53 1,4285ln 28,32 0 12 10 12 10 p p Fo x x     = − + − =        
  • 289.
    6-28 Suponer p2 CalcularFo 10E+6 730,62 11E+6 363,48 12E+6 -28,32 11,5E+6 170,62 11,93E+6 - 0,1034 11,9295E+6 0,097 Del resultado se tiene: 2 2 11,9295 6 / p E N m = + ( ) ( ) 2 6 2 1 2 2 1 2 12,0 11,9295 / 2 0,0705 / 0,07 10 / 70,5 / , Re . p p MN m MN m x N m p p kN m sp − = − = = − = Problema 6.9. Datos: 2 1 5 / 2 0,10 ( ) ? Q litros s p atm D m tubo de acero p = = = = Esquema para plantear la solución: Utilizando la ecuación de Weymouth: ( ) 2 2 2 1 2 4 F f RT L p p f G Mw D     − =        
  • 290.
    6-29 Calculo de velocidad: () 3 3 2 2 2 2 5 10 0,6366 / 0,1 4 f m x s Q V V m s A m G V π ρ −       = = = =       = Calculo de propiedades del aire a la temperatura de T = 20 o C, de tablas: 1 3 2 2 3 6 1,205 2 1,205 2,41 1 18,1 10 kg m atm kg atm m kg x s m ρ ρ ρ µ −   =         = ⇒ =           =     Luego: 2 2 3 2 2,41 0,6366 1,534206 kg m kg G V G x m s s m ρ     = ⇒ = =         Calculo de numero de Reynolds: 6 3 1,534206 0,1 Re 8476,27 18,1 10 0,15 ( ) 0,15 10 0,0015 0,1 0,0086 ( ) F V D G D x x mm hierro galvanizado x m D m f ecuacion de Chen ρ µ µ ε ε − − = = = = = = = = : Reemplazando en la ecuación de Weymouth:
  • 291.
    6-30 ( ) () ( ) ( ) 2 2 2 1 2 3 2 2 1 4 4 8314,34 2 101325 F RT L p p f G Mw D m Pa x Mol kg p x Pa     = +         = + K 293,15 K         ( ) 29 kg mol kg 2 2 100 0,0086 1,534 0,1 kg x s m                     ( ) ( ) ( ) ( ) 2 2 2 1 2 2 2 2 4 8314,34 293,15 100 1 2 101325 0,0086 1,534 29 0,1 1 1 1 , 1 x x Pa kg m p x Pa x x x s m kg m N N Pa s m     = +           ⇒ = = ( ) 2 10 2 2 10 1 1 4,10670225 10 6803444,443 4,107382594 10 202666,7855 2,0 Re . p x Pa Pa x p Pa atm sp = + = = = Luego la presión a la entrega del tubo debe ser de 2,0 atm, con lo cual se garantizaría la entrada del caudal de 5 litros/ s. Problema 6.10 La solución de este problema se deja para el lector para que a manera de ejercicio pueda resolver. El procedimiento de solución es similar al problema No 6.3.
  • 292.
    7-1 CAPÍTULO VII Problemas deLechos Empacados Problema 1 Se plantea rellenar una torre con anillos Rashing de las dimensiones mostradas a continuación. Determinase el tamaño de la partícula Dp de este material de relleno. Problema 2 Para un lecho fijo que contiene rellenos cilíndricos, donde el diámetro D del cilindro es igual a la longitud h, hacer como sigue para un lecho que tiene una facción de porosidad ε. a) Calcular el diámetro efectivo b) Calcular el número, n, de cilindros en 1 m3 de lecho Problema 3 Un lecho de relleno está compuesto de cubos de 0,020 metros en uno de los lados, la densidad global del lecho de relleno es de 980 kg/m3 . La densidad de los cubos de sólido es de 1500 kg/m3 . a) La porosidad, ε, el diámetro efectivo, Dp, la superficie específica, av b) Repetir para la misma condición pero para cilindros que tiene un diámetro de D = 0,02 m y una longitud h = 1,5D Problema 4 Yo predigo que los “Plátanos de Ceda” barrerán pronto el país. S e producirán pasando óxido nitroso fácilmente absorbible (gas de risa) a través de un lecho relleno de plátanos
  • 293.
    7-2 de San Franciscoverdes pero ya bastante desarrollados. Para desarrollar este proceso se necesitan saber la pérdida de presión en estos lechos de bananas. Para conseguir esto, estimase el tamaño efectivo de plátano Dp a partir de las consideraciones mostradas a continuación: Problema 5 Un filtro cilíndrico de arena de 30 cm de diámetro y 1,5 m de altura que funciona por gravedad está formado por una primera capa de arena de superficie específica igual a 50 cm., sobre la cual va una de igual peso que la primera, constituida por partículas de superficie específica de 70 cm-1 . Calcule la cantidad de agua que puede filtrarse por hora, si la superficie del agua a filtrarse se mantiene 30 cm por arriba de la superficie del lecho filtrante, cuya porosidad es de 0,4.
  • 294.
    7-3 Problema 6 Un reactorde Craqueo catalítico está constituido por un lecho de partículas esféricas de 0,5 cm de diámetro, cuya sección transversal es de 0,09 m2 y cuya altura es de 1,80 m. Determinar la pérdida de presión que se produce en el lecho al hacer pasar una corriente de vapor de hidrocarburo con una velocidad de 0,9 m/s. DATOS: densidad del sólido: ρS = 1600 kg/m3 densidad del lecho: ρL = 960 kg/m3 densidad del vapor: ρV = 0,64 viscosidad: µ = 1,5 x 10-5 kg/m.s Nota: La porosidad del lecho ε es: 1 1 1 . L S S L S L volumen huecos vol lecho ρ ρ ρ ρ ε ρ ρ − − = = = Problema 7 Un lecho contiene 40 toneladas de arena de 1,5 micras, las que van a fluidizar con aire a 350 ºC y a una presión de 15 atm en un equipo cilíndrico de 3 m de diámetro. La densidad de la arena es de 2500 kg/m3 . Calcule: a) La densidad máxima del lecho. ρmB = 0,356 ρS [log dp -1], dp = micras (10 micras ≤ dp < 500 micras) b) Porosidad mínima de fluidización: Єmf = (ρS - ρmB)/(ρL - ρa) c) La altura mínima de fluidización d) La caída de presión en el lecho fluidizado
  • 295.
    7-4 e) La velocidadmínima que debe tener el aire para fluidizar Problema 8 Un lecho contiene 40 toneladas de arena de 150 micras, las que se van a fluidizar con aire a 350 ºC y a una presión de 15 atm en un equipo cilíndrico de 3 m de diámetro. La densidad de la arena es de 2500 kg/m3 . Calcular: a) La máxima densidad del lecho b) La porosidad mínima de fluidización, εmf c) La altura mínima de fluidización, Lmf d) La caída de presión a la condición mínima de fluidización e) La velocidad mínima de fluidización Problema 9 Aire a 150 kPa circulará hacia arriba a una velocidad superficial de 1 m/s a través de un lecho de sólidos. a) ¿Fluidizarán los sólidos? b) Encuéntrese la presión de salida del aire para este caudal DATOS: Sólidos: ρS = 4500 kg/m3 Dp = 1 mm Lecho: εm = 0,36 L = 1 m de altura D = 0,3 m de diámetro interior
  • 296.
    7-5 Problema 10 A travésde un lecho constituido por partículas de forma cúbica de 5 mm de arista, se hace pasar un gas con velocidad de 1 m/s, referida al área de la sección normal al lecho. La densidad de las partículas es de 1500 kg/m3 y la densidad global o aparente del lecho es de 950 kg/m3 . Calcular: a) La fracción de huecos, ε b) El diámetro equialente, de c) Pérdida de presión a través del lecho si este tiene 2 m de profundidad y si la densidad del gas es de 0,7 kg/m3 y su viscosidad es de 0,02 cP. Problema 11 Una partícula que tiene un tamaño de 0,10 mm, factor de forma 0,86, y una densidad de 1200 kg/m3 son fluidizados, utilizando aire a 25 ºC y una presión absoluta de 202,65 kPa. La fracción de vacíos a las condiciones mínimas de fluidización es 0,43. El diámetro del lecho es 0,60 m y el lecho contiene 350 kg de sólidos. a) Calcular la altura mínima de lecho fluidizado. b) Calcular la caída de presión a las condiciones mínimas de fluidización c) Calcular la velocidad mínima de fluidización d) Utilizando 4 veces la velocidad mínima de fluidización, estimar la porosidad del lecho. Problema 12 El laboratorio de Operaciones Unitarias tiene un modelo frío de un horno de lecho fluidizado de los que utilizan para la generación de vapor de agua a partir de la combustión de carbón. La unidad consiste en un recipiente de 1 m2 de sección transversal, que fluidiza roca triturada, aproximadamente de 4 mallas de tamaño con una altura de lecho de 0,50. Se introduce en el compresor aire a temperatura ambiente (20 ºC), pero se estima que el lecho, por si mismo, estaría más caliente, aproximadamente a 40 ºC. a) Determinar la velocidad mínima de fluidización b) Se planea operar el lecho 4 veces la velocidad mínima de fluidización. Que tamaño de compresor de una eficacia global del 60 % se necesitará. Supóngase que la
  • 297.
    7-6 pérdida de presióna través de la placa de distribución y del ciclón será del 20 % y el de 10 % de lecho, respectivamente. DATOS: ρS = 2900 kg/m3 ε = 0,40 d = 5 mm εmf = 0,50 ф = 0,60 µaire (40 ºC) = 1,96 x 10-5 kg/m.s Problema 13 Se desea secar guisantes en un lecho fluidizado de 0,56 m de diámetro en el que se introduce una corriente de aire a 50 ºC y 152000 N/m2 de presión. Los guisantes se introducen y se extraen continuamente del lecho, manteniéndose en su interior en una masa de 108 kg de guisantes. Calcular: a) La velocidad mínima de fluidización. b) La velocidad de arrastre. c) El caudal de aire que habrá de utilizarse si se opera a 2,5 veces de velocidad mínima de fluidización. d) Pérdida de presión en el lecho. Datos: Diámetro medio de los guisantes = 6 mm Densidad de los guisantes = 880 kg/m3 Viscosidad del aire = 2,15 x 10 -5 kg/m.s Considérese que el aire se comporta como un gas ideal de peso molecular 28,9. En las condiciones de mínima fluidización, la porosidad del lecho es igual a 0,41. Problema 14 Se desea congelar fresas en un lecho fluidizado. Como agente de fluidización se utilizará aire a -30 ºC. El diámetro del lecho es de 1,2 m y la porosidad del mismo en las condiciones mínimas de fluidización es de 0,5. Se utilizará una velocidad superficial de gas igual a 3 veces la velocidad mínima de fluidización. Calcúlese:
  • 298.
    7-7 a) La velocidadmínima de fluidización. b) La velocidad de arrastre. c) El caudal de aire necesario para la fluidización. d) Supóngase que existiera una distribución amplia de tamaños de fresa. ¿Por debajo de que diámetro serían arrastradas las fresas en las condiciones de operación anteriormente citadas? Problema 15 En el laboratorio de Operaciones Unitarias se halla instalado un equipo experimental de un tubo de vidrio de 220 mm de diámetro interior, rellenado hasta una altura de 1000 mm con esferas de 10 mm., tal como se muestra en la siguiente figura. Se desea determinar la velocidad superficial para el agua que circula a 20 ºC a través del lecho de relleno si el nivel del agua se mantiene 3 m por encima de la parte superior del lecho. Problema 16 Circula agua hacia abajo a través de un tubo inclinado 30º con respecto a la horizontal y relleno una longitud de 10 m con esferas metálicas (dp = 1 mm, QS = 5200 kg/m3 , ε = 0,34). Para una determinada velocidad de flujo la presión es 3 atm en los dos extremos del lecho.
  • 299.
    7-8 El tubo secoloca ahora horizontalmente, la longitud del relleno se reduce a 5 metros y el agua circula a la misma velocidad a través del lecho. Si la presión a la entrada del lecho es 3 atmósferas, ¿Cuál es la presión a la salida del lecho?. Problema 17 Circula agua hacia abajo a través de un tubo vertical relleno 10 m con esferas metálicas (dp = 1 mm, QS = 5200 kg/m3 , ε = 0,34). Para una velocidad de flujo determinada la presión justo por encima del lecho es 3 atm. La presión justo por debajo del lecho es también 3 atm. Se coloca ahora el tubo a 45º con respecto a la vertical y se hace circular agua hacia arriba con el mismo caudal a través del lecho. Si la presión justo a la entrada es 3 atm, ¿Cuál es la presión a la salida del lecho?
  • 300.
    7-9 Problema 18 En eldiseño de un intercambiador de calor gas- sólido de contacto directo de flujo cruzado, los sólidos se pasan horizontalmente sobre una rejilla mientras el gas circula hacia arriba a través del sólido. Supóngase que los sólidos calientes (dp = 10 mm, ε = 0,4) se pasan a una velocidad de 0,2 m/s, formando una capa de 0,2 m de espesor, mientras que el aire frío circula hacia arriba a través de la masa sólida desde una cámara de alta presión (la presión es 2 kPa por encima de la atmosférica) hasta la atmósfera, siendo la temperatura promedio de todo el intercambiador de 100 ºC. Encuéntrese la dirección del flujo de aire a través de la capa del sólido, y dése esta como el ángulo que forma respecto a la vertical θ, como se muestra en la figura.
  • 301.
    7-10 SOLUCIÓN DE PROBLEMASDE LECHOS EMPACADOS Problema 1 P v V Sp a = Por otro lado se sabe que para formas regular v a Dp / 6 = Cálculo de av 2 ) ( 4 2 2 i o D D L Di L Do Sp − + + = π π π L x D D Sv i o ) ( 4 2 2 − = π Datos: Do = 1 cm = 10 mm Di = Do – 2(espesor) = 10 – 2x1 = 8 mm L = 1 cm = 10 mm Reemplazando datos: 2 ) 8 10 ( 4 10 8 10 10 2 2 − + + = π π π x x x x Sp Sp = 622,0368 mm2 Vp = 3 2 2 744 , 282 10 ) 8 10 ( 4 mm x Vp = − = π Luego: av = Sp/Vp =622,0368 mm2 / 282,744 mm3 = 2,2 mm-1 Dp = 6/2,2 mm-1 Dp = 2,72 mm Problema 2 Datos: h = D Diámetro efectivo para partículas esféricas (Dp) Vp Sp a a Dp v v = = , 6 D h pero lado h D D Sp = +       = , 4 2 2 π π 2 2 3 D Sp π = D h h D Vp = = , 4 2 π 3 4 D Vp π =
  • 302.
    7-11 D D D av 6 4 2 3 3 2 = = ∴ π π Luego: ............... 6 6 . Dp DpD D = = b) V = 1 m3 de lecho L D V L T 2 4 π = Volumen de partícula cilíndrica D h h x D x Vp = = 2 4 π 3 4 D Vp π = Volumen neto que ocupan las partículas cilíndricas ) 1 ( 4 3 ε π − = D Vp ) 1 ( ) 1 ( 4 4 / 3 2 3 2 ε ε π π − = − = = D L D D L D Vp V n L L T Problema 3 Tomando base = 1 m3 de lecho de relleno, la masa total de lecho es: mlecho = 980 kg/m3 x 1m3 = 980 kg Esta masa de 980 kg es la masa de los cubos. Por tanto el volumen de los cubos es: V = 980 kg / 1500 kg/m3 = 0,6533 m3 a1) 0 , 1 6533 , 0 00 , 1 − = = lecho del total volumen lecho de vacíos deespacios volumen ε ε = 0,3467 a2) Diámetro efectivo, dp y G Primero calculamos el área superficial del cubo.
  • 303.
    7-12 2 2 2 0024 , 0 02 , 0 6 6 m x L x Sp = = = Elvolumen del cubo es: 3 2 L L x l Vp = = L L L Vp Sp av 6 6 3 2 = = = av =6/L L L a dp v = = = ∴ 6 6 6 dp = 0,020 m a3) Cálculo de área superficial del lecho ) 1 ( 6 ) 1 ( ε ε − = − = dp a a v 1 196 ) 3467 , 0 1 ( 020 , 0 6 − ≅ − = m a b) d = 0,02 m h = 1,5 D b1) ε1 0 0,3467 b2) Para el cilindro 2 2 2 2 2 2 3 2 ) 5 , 1 ( 4 2 d d d d d d Sp π π π π π = + = − = Sp = 2 d2 8 3 ) 5 , 1 ( 4 3 2 d d d Vp π π = = 8 3 2 d Vp π =       = = = d d d Vp Sp av 1 3 16 8 3 2 3 2 π π 16 18 ) 1 ( 3 16 6 6 = = = ∴ d a dp v dp = (9/8) (0,02)  → dp = 0 0,0225 m
  • 304.
    7-13 Problema 4 Para partículasen lecho de relleno con forma irregular φ φ Ο = Ω ⇒ ≤       Ω Ο =       = 0 , 1 volumen igual volumen igual partícula la de Superficie esfera la de Superficie Para cualquier partícula partícula la de actual erficie la de área el es Sp d Sp sup , 2 = = Ω = φ π d = diámetro (diente equival.) de la esfera que tiene el mismo volumen en la partícula ) ( , 6 / / 3 2 partícula la de volumen d x d Vp Sp av π φ π = = dp av φ 6 = v a dp φ 6 = Cálculo de av para superficie regular (cilindro) 4 / ) 4 2 ( 4 4 4 2 4 2 2 2 2 dL d dL d L d d Sp π π π π π π + = + = + = L d Vp 2 4 π = 4 4 ] 4 2 [ 2 2 L d dL d Vp Sp av π π π + = =       + =       − = + = d L d L L d dL d av 2 1 2 4 2 4 2 2 2 π π π [ ] 08 , 0 008 , 0 2 25 2 125 1 2 2 1 2 − =       −       + = d L av av = 0,176 m-1 Cálculo de diámetro para forma irregular plátano 5 25 125 090 , 34 ) 176 , 0 ( 6 = = = = ∴ h dp φ φ
  • 305.
    7-14 5 0,70 . Como hd de tabla φ ∴ = − − − = dp = 0 48,7 mm. Problema 5 Cálculo: 1) Diámetro medio: ∑         = dpi Xi dp 1 Donde: ∑ = vi v a Xi a av = 0,50 x 70 x 0,50 x 50 av = 60 cm-1 dp = 6/av = 6/60 cm-1 dp = 0,1 cm dp = 0,1 x 10-2 m 2) Caída de presión: g x x g x x g x P O H O H ρ ρ ρ 80 , 1 5 , 1 30 , 0 2 2 = + = ∆ ∆P = 1,80 x 9,81 x 999,70 ∆P = 17652, 70 N/m2 3) Ecuación de caída de presión: 3 2 3 2 2 ) 1 ( 75 , 1 ) 1 ( 150 ε ε ρ ε ε µ − ∆ + − ∆ = ∆ dp L v x dp L v x x P o o DATO: µ =1 x 10-3 kg/m.s, ε = 0,40 ∆L = 1,50 m ρ = 999,70 kg/m3 dp = 0,1 x 10-2 m. Reemplazando datos: 17652,70 = 3 2 2 3 2 2 2 3 4 , 0 ) 10 1 , 0 ( ) 40 , 0 1 ( 5 , 1 7 , 999 75 , 1 40 , 0 ) 10 1 , 0 ( ) 40 , 0 1 ( 5 , 1 10 0 , 1 150 − − − − + − x x v x x x x x v x x x o o 17652,70 = 1265625 vo + 24601992,19 vo 2 7,17533 x 10-4 = 5,1444 x 10-2 vo + 1393vo 2
  • 306.
    7-15 vo 2 + 5,14444 x10-2 vo– 7,175313 x 10-4 = 0 vo = 0,01141 m/s Agua filtrada Caudal: Q = vo x A = 0,01141 m [π/4 (0,30 m)2 ] Q = 8,0652 x 10-4 m3 /s = 3,0 m3 /h Otra ecuación: dp v x x f L p o b 2 3 ) 1 ( ρ ε ε − = ∆ dp v x L x x f p o b 2 3 ) 1 ( ρ ε ε − = ∆ Donde: 4 10 Re 1 75 , 1 Re, 150 < < + = p fb Re,p = µ ε ρ ) 1 ( − dp x v x o Supongase: v = 1,325 m/s = 1,325 x 10-2 m/s Re,p = 3 2 2 10 1 ) 40 , 0 1 ( ) 10 1 , 0 ( 10 325 , 1 7 , 999 − − − − x x x x x Re,p = 22,076 fb = 8,5444 2 2 2 3 10 1 , 0 ) 10 325 , 1 ( 7 , 999 5 , 1 40 , 0 ) 40 , 0 1 ( 5444 , 8 − − − = ∆ x x x x x x p ∆P = 21088,71 N/m2 Problema 6 * Cálculo de Porosidad de lecho, ε. lecho vol sólido vol lecho vol lecho vol dehue vol . . . . cos . − = = ε Sea: m = masa de sólido que ocupa el lecho ρ / m vol = ∴ lecho s lecho lecho s lecho m m m ρ ρ ρ ρ ρ ρ ε 1 1 − = − = 1600 960 1600 − = − = s lecho s ρ ρ ρ ε
  • 307.
    7-16 ε = 0,40 *Pérdida de presión a través del lecho Ecuación de Ergun: 3 3 3 2 2 ) 1 ( 75 , 1 ) 1 ( 150 ε ε ρ ε ε µ − + − = ∆ dp v x dp v x L P Donde: v = velocidad superficial en el tubo vacío. v = 0,9 m/s ρ = 0,64 kg/m3 µ = 1,5 x 10-5 kg/m.s 3 2 3 3 2 2 2 5 40 , 0 ) 40 , 0 1 ( 10 5 , 0 9 , 0 64 , 0 75 , 1 ) 40 , 0 ( ) 10 5 , 0 ( ) 40 , 0 1 ( 10 5 , 1 150 − + − = ∆ − − − x x x x x x x L P m L m N L P 8 , 1 , / 1701 625 , 455 = + = ∆ ∆P = 3882 N/m2 Problema 7 m = 40 toneladas, dp = 150 micras T = 350 ºC P = 15 atm D = 3 m ρs = 2500 kg/m3 Solución: Cálculo de altura mínima de fluidización 1 1 1 1 ε ε − − = mf mf L L para ε = 0, Cálculo de altura de sólido ocupado v = A L1  → L1 = v/A, m = ρ x v v = m / ρs v = 40000/2500 v = 16 m3
  • 308.
    7-17 2 2 2 0686 , 7 ) 3 ( 4 4 m D A = = = π π metros L 2635 , 2 0686 , 7 16 1= = ∴ Cálculo de porosidad a las condiciones mínimas de fluidización: a s MB s mf ρ ρ ρ ρ ε − − = Pero; ρMB =0,356 ρs [log dp – 1], dp = micras ρMB = 0,356 x 2500 [log dp – 1] a) ρMB = 1046,72 kg/m3 b) a s MB s mf ρ ρ ρ ρ ε − − = ;       = = = − 082 , 0 15 R atm P T R P x M aire ρ ; ρaie 15 , 623 082 , 0 15 29 x x , ρaire =8,513 kg/m3 513 , 8 2500 72 , 1046 2500 − − = mf ε 513 , 8 2500 72 , 1046 2500 − − = mf ε , 5832 , 0 = mf ε c) La altura mínima de fluidización: 1 1 1 1 ε ε − − = mf mf L L 0 1 5832 , 0 1 2635 , 2 − − = ⇒ mf L Lmf = 5,43 metros d) ( ) g L p p mf mf / ). 1 ( ρ ρ ε − − = ∆ ∆P = 5,43 [ 1 – 0,5832] (2500 – 8,513) 9,81 ∆p = 55316,56 N/m2 o Pascal 1 atm = 101325 N/m2  → P = 0,5459 atm X  → 55316,56 N/m2 1 atm  →1,033 kg/m2  →p = 0,5639 kg/m2 Problema 8 DATOS: m = 40 toneladas = 40000 kilos
  • 309.
    7-18 dp = 150micras T = 350 ºC ρ = ? P = 15 atm D = 3 ρp = 2500 Cálculos a) Máxima densidad del lecho: ρMB = 0,356 ρp (log dp – 1) 10 µ < dp < 500 micras dp = 150 micras ρMB = 0,356 x 2500 (log 150 – 1) = 1046,72 kg/m3 b) Porosidad mínima de fluidización gas del densidad p MB p mf = − − = ρ ρ ρ ρ ρ ε , ρ = = → = → = V m xT R PM p T R PM m PV T R n PV T R PM P = ρ ρ ρ 1 1 1 RT PM p = 2 = (P2. PM)/(RT2) 1 1 1 1 1 2 / ) ( T R PM P RT PM p = = ρ ρ ( ) ( ) 2 1 1 2 1 1 2 2 1 2 / ) . ( ) /( . T p T x P T R PM P T R PM p = = ρ ρ P1 = 1 atm T1 = 350 ºC T R PM P = ρ P = 15 atm T = 350 + 273,15 = 623,15 R= 82,057 x 10-3 (m3 atm)/(kgmol K) 3 3 / 4982 , 8 15 , 623 10 057 , 82 97 , 28 15 m kg x x x = ⇒ = − ρ ρ 5832 , 0 4982 , 8 ´ 2500 72 , 1046 2500 = − − = ∴ mf ε εmf = 0,5832
  • 310.
    7-19 c) La alturamínima de fluidización, Lmf ) 1 ( ) 1 ( ) 1 ( ) 1 ( mf mf mf mf L L L L ε ε ε ε − − = ⇒ − − = Para resolver esta relación, es necesario conocer L y ε. Cálculo de L m = 40000 kilos A = π/4 D2 = π/4 x 32 = 7,0686 m2 Volumen altura del sólido V = m/ρ = 40000 kilos/2500 kg/m3 = 16 m3 Altura del sólido V = L x A  → L = V/A = 16 m3 / 7,0686 m2 L = 2,2635 m Esta altura se sólido corresponde cuando ε = 0 ) 5832 , 0 1 ( ) 0 , 0 1 ( 2635 , 2 − − = ∴ x Lmf Lmf = 5,4307 m. d) Caída de presión: ∆Pf : ∆Pf = Lmf (1 - εmf ) ( ρp - g) x g ∆Pf = 5,4307 (1 – 0,5832) (2500 – 8,4982) 9,81 ∆Pf = 55324, 40971 N/m2 = 0,5459 atm = 0,5639 kg/m2 e) Velocidad mínima de fluidización, vmf. 0 ) ( ) 1 ( 150 ) ( 75 , 1 2 2 3 2 2 3 2 2 2 = − − − + µ ρ ρ ρ µ ε φ ρ ε µ ε φ ρ g dp v dp v dp p mf s mf mf mf s mf DATOS: T = 350 ºC , P = 15 atm µ = ? Para aire. Tc = 132 (K) Pc = 36,4 atm
  • 311.
    7-20 Tr = T/Tc= 623,15/132 = 4,7208 Pr = P/Pc = 15/36,4 = 0,4120 , µ# = µ/µo ≡ 1,0 Por tanto, µ = µo (a las condiciones de presión atmosférica y sólo función de temperatura). µ ≡ 3,177 x 10-5 kg/m.s dp = 150 micras = 150 x 10-6 m = 0,15 x 10-3 m фs = 1,0 0 ) 10 177 , 3 ( 81 , 9 ) 4982 , 8 2500 ( ) 4982 , 8 ( ) 10 15 , 0 ( ) 10 177 , 3 ( ) 5832 , 0 ( ) 1 ( ) 4982 , 8 ( ) 10 15 , 0 ( ) 5832 , 0 1 ( 150 ) 10 177 , 3 ( ) 5832 , 0 ( ) 0 , 1 ( ) 4982 , 8 ( ) ( ) 10 15 , 0 ( 75 , 1 2 5 3 3 5 3 2 3 2 5 3 2 2 2 3 = − − − + − − − − − − x x x x v x x v x mf mf 14203.242 vmf 2 + 12646,41459 – 69,5387929 = 0 vmf = 0,05189 m/s Problema 9 Un lecho fluidiza cuando: o mf v v = (fluidización mínima). Entonces, es solo verificar si la velocidad mínima calculado es > 0 < a vo = 1 m/s. Resuelvo el problema. a) Se puede suponer: 14 / 1 3 = mf s ε φ 11 / ) 1 ( 3 2 = − mf s mf ε φ ε 7 , 33 ) ( 0408 , 0 ) 7 , 33 ( 2 / 1 2 3 2 −         − + = ∴ µ ρ ρ ρ g Dp R p emf Donde Remf = µ ρ Dp x v x mf A 20 ºC, la densidad del aire es 1,2 kg/m3 esto es a 101325 N/m2 Como se tiene dado a 150000 N/m2 , deben ser ligeramente superior       =         = 101325 150000 2 , 1 1 2 1 2 x P P x ρ ρ 3 2 / 7764 , 1 m kg = ρ µ = (tabla)
  • 312.
    7-21 Se conoce todoslos datos y se puede calcular: b) Cálculo de ∆p g x L p p mf mf ) ( ) 1 ( ρ ρ ε − − = ∆ Para esta situación: supóngase Lm = Lmf = 1 m εm = εmf = 0,36 p2 = p1 - ∆p Problema 10 DATOS: ρp = 1500 kg/m3 ρglobal = 950 kg/m3 ρg = 0,7 kg/m3 µ = 1 m/s a) Fracción de huecos, ε. 367 , 0 1500 950 1500 = − = − = p global p ρ ρ ρ ε b) diámetro equivalente De = 4 rH a lecho de volumen erficie perímetro lecho volumen vaciós de volumen rH ε = = / ) sup ( / Donde: a = av (1 – ε) 1 2 1200 2 , 1 5 ) 5 5 ( 6 5 − = = = = m mm x x x Sv Sp av a = 1200 x (1 – 0,367) = 759,6 m-1 rH = 0,367/759,6 m-1 rH = 4,831490258 x 10-4 m m x r De H 3 10 9325 , 1 4 − = = ∴ c) Cálculo de caída de operación 3 2 3 2 2 ) 1 ( 75 , 1 ) 1 ( 150 ε ε ρ ε ε µ − ∆ + − ∆ = ∆ dp L v x dp L v x x P o o DATOS: µ = 0,02 x 10-3 kg/m.s ρ = 0,7 kg/m3 ε = 0,367
  • 313.
    7-22 ∆L = 2m dp = ? Cálculo de dp = ? Diámetro efectivo para partículas no esféricas dp = 6/av , 1 1200 − = = m Vp Sp av dp = 6/1200 dp = 0,005 m 3 2 3 2 2 3 ) 367 , 0 ( ) 367 , 0 1 ( 005 , 0 ) 2 ( ) 1 ( ) 7 , 0 ( 75 , 1 ) 367 , 0 ( ) 005 , 0 ( ) 367 , 0 1 ( ) 2 ( ) 1 ( 10 02 , 0 150 − + − = ∆ − x x x P ∆p = 1945,45 + 6274,75 = 8220,20 N/m2 ∆p = 8,1127 x10-2 atm ∆p = 8,38042 x 10-2 kg/m2 ∆p = 838,04 kg/m2 Problema 11 Dp = 0,10 mm Φs = 0,86 ρ = 1200 kg/m3 T = 25 ºC { P = 202,65 kPa εmf = 0,43 D = 0,60 m m = 350 kg de sólido. a) Calcular la altura mínima de Fluidización. La altura mínima de fluidización se calcula de la siguiente ecuación V = A L (1 – ε) = A Lmf (1 – εmf) ) 1 ( ) 1 ( mf mf L L ε ε − − = ∴ Calculamos: L, suponiendo que: m = ρ x v v = m/ρ = 350 kg sólido/ 1200 kg/m3
  • 314.
    7-23 v = 0,2916m3 Donde: v = A x L L = V/A = ) 4 ( 2 D V π L = 0,2916 m3 / ((π/4) x (0,60)2 ) L = 1,03132 Supongamos: ε = 0 ) 43 , 0 1 ( ) 0 1 ( 03132 , 1 − − = ∴ mf L Lmf = 1,8125 m b) Caída de presión a las condiciones mínimas de fluidización. g A L p A p mf mf ) ( ) 1 ( ρ ρ ε − − = ∆ g L p p mf mf ) ( ) 1 ( ρ ρ ε − − = ∆ 1 atm = 101,325 kPa atm kPa p 2 65 , 202 ≅ = ∆ Las propiedades de aire a 2,0 atm y 25 ºC. Tablas: µ = 1,845 x 10-5 kg/m.s ρ = 1,187 x 2 = 2,374 kg/m3 La densidad del sólido es ρp = 1200 kg/m3 81 , 9 ) 374 , 2 1200 ( ) 43 , 0 1 ( 8125 , 1 x p − − = ∆ ∴ ∆p = 12137,88 Pa ∆p = 0,12137 x 105 kPa Caída de presión a las condiciones mínimas de fluidización: c) Velocidad mínima de fluidización: Se calcula de la siguiente ecuación. 0 ) ( Re ) 1 ( 150 ) (Re 75 , 1 2 3 3 2 3 2 = − − − + µ ρ ρ ρ ε φ ε ε φ g Dp p mf s mf mf mf s mf (I) 0 ) 43 , 0 ( ) 86 , 0 ( Re ) 43 , 0 1 ( 150 ) 43 , 0 ( ) 86 , 0 ( ) (Re 75 , 1 3 2 3 2 = − − + Ar mf mf
  • 315.
    7-24 Donde: 2 5 3 3 2 3 ) 10 845 , 1 ( ) 81 , 9 ( ) 374 , 2 1200 ( ) 374 , 2 ( ) 10 10 , 0 ( ) ( − − − = − = x x g Dp Ar p µ ρ ρ ρ Ar =81,936648 25,59376811 Remf 2 + 1453,998122 Remf – 81, 9366487 = 0 Remf = 0,0562969       = ⇒ = ∴ ρ µ µ ρ Dp V V dp mf mf mf mf Re Re 374 , 2 ) 10 10 , 0 ( ] 10 845 , 1 0562969 , 0 [ 3 5 x x x x Vmf − − = Vmf = 0,004375 m/s d) Calcular la porosidad del lecho utilizado. Voperac = 4 Vmf Voper = 4 x 0,004375 Voperac = 0,0175 m/s La porosidad del lecho calculamos, utilizando la Ec. (I) 0 9366487 , 81 Re ) 1 ( 150 ) 86 , 0 ( ) (Re 75 , 1 3 2 3 2 = − − + mf s mf mf mf mf ε φ ε ε Donde: 5 3 10 845 , 1 ) 0175 , 0 ( ) 374 , 2 ( ) 10 10 , 0 ( Re − − = = X x V Dp op mf µ ρ 0 9366487 , 81 ) 86 , 0 ( ) 2251761518 , 0 ( ) 1 ( 150 86 , 0 ) 2251761516 , 0 ( 75 , 1 2 2 3 2 = − − + ε ε 0 9366487 , 81 ) 1 ( 66850023 , 45 1031773531 , 0 3 3 = − − + ε ε ε 604 , 0 ≅ ε Problema 12 A = 1 m2 Dp = 5 mm L = 0,50
  • 316.
    7-25 ρs = 2900kg/m3 Φs = 0,60 Є = 0,40 ε = 0,50 a) La velocidad mínima de fluidización se calcula de la siguiente ecuación 0 Re ) 1 ( 150 ) (Re 75 , 1 3 2 3 2 = − − + Ar mf s mf mf mf s mf ε φ ε ε φ (I) 2 3 ) ( µ ρ ρ ρ g Dp Ar p − = Cálculo de densidad del aire T R PM P = ρ , T = 40 + 273,15 = 313,15 K Aquí la presión de salida del lecho considerado a las condiciones ambientales, P = 1 atm ρ = (1 x 29) / (0,082 x 313,15) ρ = 1,1293 kg/m3 ρ = 1,1293 kg/m3 Reemplazando los datos se tiene: 2 3 ) ( µ ρ ρ ρ g Dp Ar p − = ρg = 1,1293 kg/m3 µgas (40 ºC) = 1,96 x 10-5 kg/m.s (dato del problema) 2 5 3 3 ) 10 196 , 1 ( 81 , 9 ) 1293 , 1 2900 ( ) 1293 , 1 ( ) 10 5 ( − − − = x x x Ar Ar = 10449729,55 0 55 , 10449729 ) 50 , 0 ( ) 60 , 0 ( Re ) 50 , 0 1 ( 150 ) 50 , 0 ( ) 60 , 0 ( ) (Re 75 , 1 3 2 3 2 = − − + mf mf 23,333 Remf 2 + 1666,6666 Remf - 10449729,55 = 0
  • 317.
    7-26 Remf = 634,455 ρ µ µ ρ x Dp V V x x Dpmf mf mf mf Re Re = ⇒       = Vmf = ) 1293 , 1 ( ) 10 5 ( ) 10 96 , 1 ( 455 , 634 3 3 2 5 x x x x − − Vmf = 1,7266 m/s b) Tamaño del Compreso Para calcular este tamaño, lo primero que se debe hacer es calcular la caída de presión a través del lecho para una velocidad de operación igual a: Vop = 4 Vmf Vop = 4 x 1,7266 m/s  → Vop = 6,9064 m/s Cálculo de caída de presión: Para la fluidización mínima se tiene: De la figura: ∆pf permanece casi constante cuando Vop > Vmf Entonces es importante determinar ∆pf a las condiciones mínimas de fluidización, y valor calculamos de la siguiente ecuación. g L p s f ) ( ) 1 ( ρ ρ ε − − = ∆ Donde: L = altura de lecho en reposo = 0,50 ε = 0,40 ρg = 1,1293 kg/m3 Vmf V ∆pf
  • 318.
    7-27 ρs = 2900kg/m3 81 , 9 ) 1293 , 1 2900 ( ) 40 , 0 1 ( 50 , 0 x p f − − = ∆ Pa p f 4 , 8531 = ∆ Luego: P2 = ∆p + P3 P2 = 8531,4 + 101325 P2 = 109856,4 Pa ∆Pf = P2 – P1 P2 = ∆Pf + P1 Para el cálculo de potencia requerimos el número de moles de aire que entra al lecho, y se calcula de la ecuación: P V = n R T, como escurre: V = Q [m3 /s] T R xQ P n= ∴ , donde P = P2 = 109856,4 T = T2 = 40 ºC = 313,15 K Donde: Q = Vop x Aflujo Q = [6,9064 m/s] x (π/4) D [ ][ ] 2 1 2 ) ( 4 / 9064 , 6 m Af D s m = = π Q = 6,9064 m3 /s ∆pf P3 = 1 atm T3 = P2 = T2 = 40 ºC P1= 1atm T1=20ºC P2 , T2
  • 319.
    7-28 s mol x n / 4168 , 291 ) 15 , 313 ( ) 314 , 8 ( 9064 , 6 4 , 109856 = = Y efectuandoun balance de energía alrededor de compresor, se obtiene:           −         − = − − 1 1 ) 1 ( 1 2 1 k k p p T R n k k Ws η T1 = 20 ºC = 293,15, donde. k = Cp/Cv P1 = 101325 Pa P2 = 109856,4 Pa R = 8,314 a T1 = 20 ºC  → ρ1 = (1 x 29)/(0,082 x 293,15)  → ρ1 = 1,2064 Para aire: k = 1,4         −       − = − − 1 101325 4 , 109856 1 15 , 293 ( ) 314 , 8 ( ) 4168 , 291 ( 1 4 , 1 4 , 1 4 , 1 ) 1 4 , 1 ( k Ws - Ws = 58085,9 J/s m = n x PM n = 291,4168 mol/s PM = 29 g/mol m = 291,4168 mol/s x (29 g/mol) m = 8451,08 g/s m = 8,4510 kg/s kg J s kg s J Elecho / 2 , 6873 / 4510 , 8 / 9 , 58085 = = ∴ Tomando en consideración las pérdidas a través del plato distribuidos y ciclón se tiene: ΣFtotal = 6873,2 x 1,3 = 8935,14 J/kg ΣFtotal = 8935,14 J/kg ( ) ) / 4510 , 8 ( / 14 , 8935 s kg x kg J Ws m x F Ws total = − ⇒ = − ∴ ∑ - Ws = 75510,89088J/s - Ws ≡ 76 kW
  • 320.
    7-29 Tomando una eficienciaglobal de 60% -Ws = (76/0,60) - Ws ≡ 127 kW - Ws = 170 hp Problema 13 a) Velocidad minima de fluidizacion (1 ) ( ) (1) mf mf p mf P g L ε ρ ρ − − − − − − − − − − − − − − − − − ∆ − − = − − 2 2 2 3 3 150 ( 1 ) 1,75 (1 ) . (2) ( ) ............. f mf mf mf mf mf mf P x x V V L dp x dp µ ε ρ ε φ ε φ ε ∆ − − = + Combinando las ecuaciones (1) y (2 se tiene): g dp V x dp V x x p mf mf mf mf mf mf ) ( ) 1 ( ) 1 ( 75 , 1 ) ( ) 1 ( 150 3 2 3 2 2 ρ ρ ε ε ε φ ρ ε φ ε µ − − = − + − g dp V x dp V x x p mf mf mf mf mf ) ( 1 75 , 1 ) ( ) 1 ( 150 3 2 3 2 2 ρ ρ ε φ ρ ε φ ε µ − = + − Supongamos guisantes como si fuesen esferas: ф ≈ 1,0 Para resolver esta ecuación la única incógnita es Vmf y para lo cual es necesario calcular ρ (fluido). Si consideramos que el aire se comporta como un gas ideal: T R pM w − = ρ La presión debería ser promedio, por tanto se considera 2 1 / 152000 m N p p = = − Luego:
  • 321.
    7-30 3 3 3 6358 , 1 ) 273 50 ( . 314 , 8 10 9 , 28 152000 m kg K x K mol Pa m mol Kg x x Pa = + = − ρ Resolviendo (3): ) 81 , 9 ( ) 6358 , 1 880 ( ) 10 6 )( 1 ( ) 41 , 0 ( ) 6358 , 1 ( 75 , 1 ) 41 , 0 ( )) 10 6 )( 1 (( ) 10 15 , 2 ( ) 41 , 0 1 ( 150 3 3 2 3 2 3 5 − = + − − − − x V x x x V x x mf mf 766,8804Vmf + 6922,5393 Vmf 2 = 8616,7528 6922,5393 Vmf 2 + 766,8804 Vmf – 8616,7528 = 0 Vmf = 1,0617 m/s b) Para el problema: La velocidad Terminal sería la velocidad de arrastre. D p al ter C g dp x Vt V ρ ρ ρ 3 ) ( 4 min − = = CD = 0,44 103 < Re < 105 s m x x Vt 7865 , 9 ) 44 , 0 ( ) 6358 , 1 ( 3 ) 81 , 9 ( ) 6358 , 1 880 ( ) 10 6 ( 4 3 = − = − Verificando: 56 , 4467 . 10 15 , 2 10 6 7865 , 9 6358 , 1 Re, 5 3 3 = = = − − s m kg x m x x s m x m kg dp x Vt x p µ ρ Como es mayor que 1000, luego se cumplen las condiciones. c) Cálculo del caudal: Vop = 2,5 Vmf Q = V x A = Vop x A = 2,5 Vmf x π/4 x D2 Q = 2,5 (1,0617 m/s) (π/4 (0,562 ) m2 ) = 0,6537 m3 /s d) Cálculo de la pérdida de presión: g L P p mf mf mf ) ( ) 1 ( ρ ρ ε − − = ∆ Determinación de Lmf.
  • 322.
    7-31 Vlecho = Ax (1 – εmf) x Lmf mf mf lecho L x A V ) 1 ( ε − = 3 3 1227 , 0 880 108 m m kg kg m V sólido sólido lecho = = = ρ 2 2 2 2 2463 , 0 ) 56 , 0 ( 4 4 m m D A = = = π π Luego: 3 2 0,1227 (1 0,41) 0,8444 0,2463 Lecho mf mf V m x L L m A m − − − − − − − − − − = − = − = Finalmente: g L P P mf mf mf ) )( 1 )( ( ρ ρ ε − − = ∆ 2 2 3 . 7191 , 4297 ) 81 , 9 ( ) 6358 , 0 880 )( 41 , 0 1 )( 8444 , 0 ( s m kg s m m kg m Pmf = − − = ∆ ∆Pmf = 4297,7191 N/m2 Problema 14 DATOS: Diámetro del lecho = 1,2 m Porosidad = ε = 0,5 Velocidad superficial = 3 Vmf Propiedades del aire a -30 ºC. ρ = 1,451 kg/m3 , µ = 1,579 x 10-5 kg/m.s En el punto de congelación de la fresa se tiene: T = - 0,8 ºC, ρ = 1050 kg/m3 . Suponiendo que el diámetro de la fresa sea: dp = 35 mm = 0,035 m. Cálculo de la pérdida de presión:
  • 323.
    7-32 g L P P mf mf mf ) )( 1 ( ρ ρ ε − − = ∆ 2 1328 , 5143 ) 81 , 9 ( ) 451 , 1 1050 )( 5 , 0 1 ( m N L P mf mf = − − = ∆ a)Velocidad mínima de fluidización: 3 2 3 2 2 ) 1 ( 75 , 1 ) ( ) 1 ( 150 mf mf mf mf mf mf f dp V x dp V x x L P ε ε φ ρ ε φ ε µ − + − = ∆ Supongamos fresas como si fuesen esferas: ф ≈ 1,0 3 2 3 2 2 5 ) 5 , 0 ( ) 5 , 0 1 ( ) 035 , 0 ( ) 1 ( ) 451 , 1 ( 75 , 1 ) 5 , 0 ( )) 035 , 0 ( ) 1 (( ) 5 , 0 1 ( ) 10 579 , 1 ( 150 1328 , 5143 − + − = − mf mf V x V x x x 5143,1328 = 3,8669 Vmf + 290,2 Vmf 2 290,2 Vmf 2 + 3,8669 Vmf - 5143,1328 = 0 Vmf = 4,2032 m/s b) Velocidad de arrastre: D P al ter C g dp Vt V ρ ρ ρ ) ( 3 4 min − = = CD = 0,44 103 < Re < 105 s m Vt V al ter 4203 , 27 ) 44 , 0 ( ) 451 , 1 ( ) 81 , 9 ( ) 451 , 1 1050 ( ) 035 , 0 ( 3 4 min = − = = Verificando: 2562 , 88191 . 10 579 , 1 035 , 0 4203 , 27 451 , 1 Re 5 3 = = = − s m kg x m x s m x m kg dp x Vt x p µ ρ Como es mayor que 1000. Luego se cumplen las condiciones. c) Caudal de aire necesario para la fluidización: Vop = 3 Vmf 2 4 3 D x x V A x V A x V Q mf op π = = =
  • 324.
    7-33 3 2 2 3 4,2032(1,2) 14,2611 4 m m Q m s s π     = =         d) Cálculo del diámetro de las fresas: Suponiendo que existiese una distribución amplia de tamaños de fresa se tiene: s m V V mf op 6096 , 12 ) 2032 , 4 ( 3 3 = = = ρ ε ρ ρ 75 , 1 ) ( 2 mf P mf g dp V − = ) 451 , 1 ( 75 , 1 ) 5 , 0 ( ) 81 , 9 ( ) 451 , 1 1050 ( 6096 , 12 2 − = dp dp = 0,07 m Por debajo de 0,07 m de diámetro serían arrastradas las fresas en las condiciones de operación antes citadas. Problema 15 Se puede elegir los siguientes puntos. Punto: 1 – 3 1 – 4 2 – 3 2 – 4 Recomendación: en todos los casos se debe incluir la sección de relleno por ser la parte donde se produce la mayor pérdida por fricción. Para el presente caso considere los puntos (1) y (4) para el balance de energía. ) / ( 0 2 2 kg J F Ws V dp Z g = + +         ∆ + + ∆ ∑ ∫ ρ Simplificaciones: Ws = 0, ∆V2 ≡ 0
  • 325.
    7-34 Fluido incompresible: 0 = ∆ = ∫ρ ρ p dp De modo que resulta: g ∆Z + Σ F = 0 (1) g [Z4 – Z1] + Σ F Donde: Σ F = F1-2 + F2-3 + F3-4 Simplificación: la resistencia de las sección de tubo vacío es despreciable comparado con la sección de relleno, es decir. F1-2 <<< F2-3 ó F3-4 <<< F2-3, lo que queda aun Σ F = F2-3 = Frelleno Aplicando la Ecuación de erguí se tiene: 2 2 2 3 3 150 ( 1 ) 1,75 ( ........................... 1 ) ( . ( ) .. 2) o o x x V L V L x F dp x dp µ ε ε ρ ε ε − − = + ∑ Reemplazando en (2) 2 2 2 3 3 150 ( 1 ) 1,75 (1 ) . . 0 ( ) o o x x V L V L x g Z dp x dp µ ε ε ρ ε ε − − + + ∆ = DATOS: De la Figura: 6.3, para una esfera de relleno denso (ψ = 1,0) Є = 0,38, a T = 20 ºC L = 1 m ρ = 998 kg/m3 Z1 = 0 µ = 1 x10-3 kg/m.s Z4 = 0 0 ) 0 3 ) 81 , 9 .( 38 , 0 ) 38 , 0 1 ( ) 1 ( 10 10 75 , 1 38 , 0 ) 998 ( ) 10 10 ( ) 1 ( ) 38 , 0 1 ( ) 10 1 ( 150 3 3 2 3 2 3 2 3 = − − + − + − − − − x x V x x V x x x o o 10,5 Vo + 1977 Vo2 – 29,4 = 0 α = - 0,124631 β = 0,11932 Luego: Vo 0,11932 m/s Cálculo de Número de Reynolds.
  • 326.
    7-35 3 3 10 1 10 10 11932 , 0 998 Re − − = = x x x x d x v x p o µ ρ Rep= 1190,81 Luego el régimen de flujo es turbulento: Rep > 1000, entonces se puede considerar sólo el término de pérdidas por turbulencia, es decir: 0 ) ( ) 1 ( 75 , 1 1 4 3 2 = − + − Z Z g dp L Vo ε ε 0 ) 0 3 ( 81 , 9 10 10 ) 38 , 0 ( 1 ) 38 , 0 1 ( 75 , 1 3 3 2 = − − + − − x Vo 1977,329 Vo 2 - 29,43 = 0 Vo = (29,43/1977,329)0,5 Vo = 0,1219 %: ) ( % 19 , 2 10 1219 , 0 11932 , 0 1219 , 0 alto mas x = − Nota: el valor de Vo es bastante sensible del valor εo por tanto existe una incertidumbre en la lectura de la Fig. 6.3, debido a la gran variación de huecos. La fuerza impulsora para la figura es 3,0 m.
  • 327.
    7-36 Problema 16 Balance deenergía mecánica: ( ) 2 2 1 1 2 2 1 2 1 2 1 2 1 2 1 2 1 2 2 1 2 1 2 .............. 2 2 : 0 ( ) 10 (30º) 5 : ² 9,81 5 49,05 ² ² ² 49,05 ² . . p v p v gz gz hf Simplificaciones z Punto de referencia z Lsen sen m v v p p Luego hf gz m m hf m s s m hf Ff s ρ ρ θ − − − − + + = + + + = = − = − = − = = = −   = − − =     = = ∑ ∑ ∑ ∑ ∑ Caída de presión a través del lecho empacado: 2 2 0 0 3 2 3 150(1 ) 1,75(1 ) ..... ...................... ( / ) .. (1) . v L v L Ff J Kg dp dp ε µ ε ε ρ ε − ∆ − ∆ = + ∑ Datos: 3 1 2 0,34 1 1 10 5 0 dp mm x m L L m z z ε − = = = ∆ = = = = 2 2 20º 998,2 ³ 1,002 . supuesta H O H O T C Kg m Kg m s ρ µ = = = Reemplazando (*) en (1) :
  • 328.
    7-37 2 2 0 0 33 2 3 3 6 3 2 0 0 3 2 6 0 0 6 0 150(1 0,34) (1,002) (5) 1,75(1 0,34) (5) 49,05 , / ) (0,34) (1 10 ) (998,2) (0,34) (1 10 ) 49,05 8,3438 10 146,9316 10 146,9316 10 8,3438 10 49,05 0 5,8786 10 v v J Kg x x x v x v x v x v v x − − − − − = + = + + − = = Luego reemplazando este valor en la ecuación de caída de presión: 2 2 0 0 3 2 3 2 6 6 2 3 3 2 3 3 3 150(1 ) 1.75 (1 ) ,( / ) (2) 150(1 0,34) (1,002)(5,8786 10 )(5) 1,75(998,2)(1 0,34)(5,8786 10 ) (5) (0,34) (1 10 ) (0,34) (1 10 ) 48961,4212 5,0685 10 48961,4263 ² v L v L Pf J Kg dp dp x x Pf x x N Pf x m ε µ ρ ε ε ε − − − − − − ∆ − ∆ ∆ = + − − ∆ = + ∆ = + = 3 4 3 3 4 4 4 48961,4263 1 48961.4263 0.4832 101325 : 0,4832 3 : 0,4832 3 0,4832 2,5168 2,52 Pa atm Pf Pa atm Pa Luego P P atm P atm Reemplazando P atm P atm atm P P atm atm = ∆ = = − = = − =  → − = = ≈
  • 329.
    7-38 Problema 17 Balance deenergía mecánica entre los puntos (1) y (2), considerando fluido incompresible: 2 ( ) 0 2 P v g z Ws Ff ρ   ∆ ∆ + + ∆ + + =     ∑ Simplificaciones: 1 2 1 2 .......... . . ....... 0 ( ) 10 ( ) 0 ( ) ... . .......... . . z Punto de referencia z L m v v Diámetro constante Ws No hay bomba = = − = − = = Luego: ( ) 0 ( ) (1) f f g z F F g z ∆ + = = − ∆ ∑ ∑ Ecuación para calcular perdida de energía por friccion 2 2 0 0 3 2 3 150(1 ) 1,75(1 ) ..... ...................... ( / ) .. (2) . v L v L Ff J Kg dp dp ε µ ε ε ρ ε − ∆ − ∆ = + ∑ Reemplazando (1) en (2): ( ) 2 2 0 0 3 2 3 150(1 ) 1,75(1 ) ..... ............. 0 ( .............. / ) (3) v L v L g Z J Kg dp dp ε µ ε ε ρ ε − ∆ − ∆ = + + ∆ Datos: 3 1 2 0,34 1 1 10 10 0 dp mm x m L L m z z ε − = = = ∆ = = = = 2 2 20º 998,2 ³ 1,002 . supuesta H O H O T C Kg m Kg m s ρ µ = = =
  • 330.
    7-39 Reemplazando estos datosen la Ec. (3) 2 3 2 0 0 3 3 2 3 3 150(1 0,34) (1,002 10 ) (10) 1,75(1 0,34) (10) 0 9,81( 10) (0,34) (1 10 ) (998, 2) (0,34) (1 10 ) x v v x x − − − − − = + + − 3 3 2 0 0 0 16687,55 10 293,86 10 98,1 x v x v = + − 6 0 5,8786 10 / v x m s − = Condición: 1 1 1 2 2 2 1 2 1 2 1 0 2 .......... ............( . ) ........ Q v A Q v A Q Q A A D cte v v v = = = = =  → = = Balance de energía mecánica: 2 2 3 3 4 4 3 4 3 4 3 4 3 4 3 .............. 2 2 : 0 ( ) 10 (45º) 7,07 . . 107 p v p v gz gz hf Simplificaciones z Punto de referencia z Lsen sen m v v p ρ ρ θ − + + = + + + = = = = = = ∑ 4 3 4 4 3 4 3 4 4 3 4 4 3 4 3 4 3 4 : 98,1 p Luego p p gz hf p p gz hf p p gz hf hf Ff ρ ρ ρ ρ ρ ρ − − − − = + + = − − = − − = = − ∑ ∑ ∑ ∑ ∑ 4 : 3 Finalmente p atm = 101325 1 Pa atm 4 ² (9,81 )(7,07107 )(998,2 ) (998,2 )( 98,1 ) ² ³ ³ ² 332656,0843 m Kg Kg m m s m m s p Pa − − − = 1 101325 atm Pa 4 3,28 3,28 atm p atm = =
  • 331.
    7-40 Problema 18 Ecuación debalance de energía mecánica: ( ) 2 0 2 dp v g z Ws Ff ρ   ∆ + + ∆ + + =     ∑ ∫ ( ) 2 : 0 0 2 0 Simplificaciones g z v Ws ∆ =   ∆ =     = Para gases estos términos son despreciables. : 0 Luego dp Ff ρ + = ∑ ∫ Suponiendo que la densidad del fluido gas no varía mucho a través del lecho de relleno, por tanto: dp p ρ ρ ∆ = ∫ Esta condición se cumple cuando: 0.10 p ρ ∆ < Datos: 1 2 2 2 2 2 2 2000 101325 103325 101325 103325 101325 102325 2 2000 0,02 0,10 1 . 02325 N p Pa Pa m N p Presión atmosférica m N p m N p m N p m = + = = = + = = ∆ = = <
  • 332.
    7-41 Luego se puedesuponer tal como definido: dp p ρ ρ ∆ = ∫ Luego: ( ) ( ) ( ) 2 1 1 2 1 2 .......... .......... 0 dp p Ff Ff p p p p Ff p p Ff ρ ρ ρ ρ ρ ∆ + =  → = − − − = − = − = ∑ ∑ ∑ ∑ Cálculo de ρ suponiendo condición ideal (gas isotérmico): 3 : 102325 1,0099 ² 100º 373,15 ³. 82,057 10 . 29 w w M p RT Datos N p atm m T C K m atm R x mol Kg K M mol Kg ρ −   =     = = = = = − = − ( ) 3 : 29 1,0099 0,956 82,057 10 373,15 ³ Entonces kg aire x x m ρ −   = =     ( ) ( ) 1 2 : 103325 101325 2092,05 0,956 Luego p p J Ff Kg ρ − − = = = ∑ Reemplazando el valor de Ff ∑ : 2 2 0 0 3 2 3 3 150(1 ) 1,75(1 ) 2092,05 : 0,40 0,20 . 10 10 v L v L dp dp Sabemos que L m dp x m ε µ ε ε ρ ε ε − − − = + = = =
  • 333.
    7-42 ( ) ( ) 5 100º 2,171 ..... .............. .............. 0 . 0,956 ³ Como T C Kg x aire m s kg aire m µ ρ − = = = ( ) ( ) ( ) ( ) ( ) ( ) 2 2 5 0 0 2 3 3 3 3 : 1,75(1 0,40) 0,20 150(1 0,40) (2,17 10 )( )(0,20) 2092,05 0,40 10 10 0,40 10 10 0,956 Reemplazando v x v x x − − − − − = + 2 0 0 0 328,125 38,304 2092,05 0 2,4673 / v v v m s + − = = Finalmente: 0 0 0,2 2,4673 4,65º x x V V sen arc sen V V arc sen θ θ θ θ   =  → =       =     =
  • 334.
    7-43 Problemas de Sedimentación Problema1. (Costa Novella) Sedimentación Se desea diseñar un espesador continuo para tratar 10 m3 /min de una suspensión acuosa de carbonato de cálcico que se desea concentrar desde 5 g/L a 200 g/L. En una probeta de laboratorio se ha estudiado la sedimentación discontinua de una suspensión acuosa de carbonato cálcico de 30 g/L de concentración, obteniéndose los siguientes resultados: t(min) 0 0,5 1 1,5 2 2,5 3 3,5 4 4,5 5 5,5 6 6,5 h(mm) 284 274 264 250 240 230 219 208 196 185 176 166 157 144 t(min) 7 7,5 8 8,5 9 9,5 10 12 15 20 29 87 150 ∞ h(mm) 136 125 115 107 97 88 81 63 51 41 38 29 25 23 Representado por h la altura respecto al fondo de la probeta de la superficie limite del líquido claro. Calcular la superficie transversal mínima del sedimentador continuo necesario y su altura. Datos: Densidad del carbonato calcico: 2 681 kg/m3 Problema 2. (Costa Novella) Calcular el diámetro de un espesador continuo de sección circular en el que se han de tratar 0,1 m3 /s de una suspensión con 100 kg de sólido por m3 de suspensión, para alcanzar la máxima concentración posible de sólidos en la corriente sedimento. Los resultados obtenidos con diferentes suspensiones de este mismo sólido, en experimentos discontinuos, son los siguientes: Concentración de sólido, (kg/m3 ) Velocidad Sedimentación, (m/h) Concentración de sólidos, (kg/m3 ) Velocidad Sedimentación, (m/h) 100 0,5330 700 0,0370 200 0,3280 800 0,0266 300 0,1990 900 0,0202 400 0,1190 1 000 0,0151 500 0,0770 1 100 0,0119 600 0,0520 1 200 0,0108 Nota: supóngase que la corriente de liquido claro efluente esta exenta de sólido.
  • 335.
    7-44 Problema 3. (CostaNovella) En un sedimentador discontinuo de laboratorio se ha realizado un ensayo con una suspensión acuosa de cal con una concentración inicial de sólidos de 236 kg/m3 , obteniéndose los siguientes resultados: Tiempo (minutos) Altura de liquido claro (mm) 0 360 15 324 30 286 60 210 105 147 180 123 285 115 720 98 ∞ 88 Para tratar en un sedimentador continuo 200 m3 /h de citada suspensión inicial, calcular: a) La máxima concentración de salida que podría alcanzarse. b) La superficie mínima que debe tener el espesador. c) La altura de la suspensión en el espesador. Datos: Densidad de la cal: 2100 kg/m3 Problema 4. Pruebas de sedimentación batch se ha desarrollado utilizando lodo activado, cuyos datos se reporta en la siguiente tabla. Tabla: Concentración, velocidad de sedimentación y flux de sólidos para arios ensayos Prueba C (mg/l) V(m/h) JSF= CV (kg/h-m2) 1 12 460 0,125 1,56 2 9 930 0,249 2,47 3 7 450 0,465 3,46 4 5 220 1,00 2,22 5 3 140 2,94 9,24 6 1 580 4,18 6,60
  • 336.
    7-45 El flujo delicor mezclado de diseño para el clarificador es 160 l/s, el contenido de sólidos iniciales es Co = 2500 mg/l, y la concentración de la corriente inferior es 12 000 mg/l. Determinar: a) la grafica de velocidad de sedimentación, V (m/h) , en el eje y versus la concentración (mg/l) en el eje x. b) Flux de sólidos, kg/ h m2 para cada ensayo y luego graficar una curva de flux de sólidos (kg/ h m2 ) en el eje y versus concentración de sólidos, (mg/l) en el eje x. c) Determine el flux de solido de diseño, JSF (diseño) en kg / h m2 , utilizando un factor de escalamiento de 1,5. d) El diámetro del clarificador final Problema 5. La curva de sedimentación que se muestra a continuación fue obtenida para un lodo activado con un contenido inicial de sólidos de Co = 3000 mg/L. La altura inicial de la interfaz en la columna de sedimentación fue de 2,5 pies. Determinar: a) El área necesaria para obtener un lodo espesado con contenido de sólidos Cu = 12 000 mg/L. b) La velocidad de sedimentación c) La tasa de clarificación, (pies3 /s) d) Área del clarificador e) El elemento de control del área de espesamiento f) La carga de sólidos (lb/ft2 d) g) La tasa hidráulica (gal/ft2 d o m3 /m2 d)
  • 337.
  • 338.
    7-47 SOLUCIÓN DE PROBLEMASDE SEDIMENTACION Problema 1 La velocidad de descenso de la superficie de separación de las zonas de líquido claro (A) y de subsistencia (B), vendrá representada por la velocidad de propagación de una pulsación. Teniendo en cuenta que la concentración de sólidos en la zona A es nula, se tiene: 1 SF J Vp ε = − (1) La velocidad de sedimentación Vp se puede expresar en función de la altura h de la siguiente forma: dh Vp dt = − (2) Reemplazando la Ec. (2) en Ec. (1) se obtiene: ( ) 1 SF dh J dt ε   = − −     A continuación, multiplicando ambos miembros por la densidad del sólido obtenemos el flux (densidad de flujo de masa, kg/s m2 ): ( ) 1 s SF s dh dh J C dt dt ρ ε ρ     = − − = −         (3) C, representa la concentración másica de carbonato cálcico (kg/m3 ). Para obtener la curva de Flux ( FS s J ρ ) versus concentración C, es necesario utilizar unidades másicas en sedimentación, calculados de acuerdo a la ecuación (3), por tanto es necesario graficar los datos anunciados de la forma ( ) ( ) h Vs t , tal como se presenta en la siguiente figura.
  • 339.
    7-48 Resultados de sedimentacionbatch 0 50 100 150 200 250 300 0 10 20 30 40 50 60 70 80 90 100 110 120 130 140 150 160 170 180 190 200 210 Tiempo de sedimentacion, t(min) Altura de sedimentacion, h(mm) Fig. 1 Para calcular la concentración en función de la velocidad de sedimentación se emplea la siguiente metodología que a continuación se describe:: 1. Las ordenadas en el origen ' h de las tangentes a la curva en cada punto representan: ( ) ( ) ( ) 1 1 ' ' 1 1 s s ho o ho o h h ε ε ρ ε ε ρ − − = ⇒ = − − ' Co h ho C   =     (4) Tomando diferentes puntos de la curva de las siguientes figuras mostradas, trazando las tangentes, se determinan sus pendientes (- dh/dt) y las ordenadas en el origen h’. Para nuestro caso, la figura 1 se ha ampliado su escala (Figs 2 y 3) y luego se ajusto la curva a través de una ecuación, a partir del cual se ha determinado la pendiente correspondiente para algunos puntos de interés y trazando la tangente
  • 340.
    7-49 correspondiente a lacurva se determina h’. Los resultados se tabulan en la siguiente tabla, junto con otros cálculos como la concentración ( C ) y el flux ( ) SF s J ρ - Así, para los primeros 13 puntos la curva se ajusto a través de una ecuación tipo polinómica, expresada mediante la siguiente ecuación (Fig 2): 5 4 3 2 7 0,0008 0,0309 0,3399 1,5494 24,26 284,94 y x x x x x = − + − + − + Para calcular la pendiente, derivamos la expresión anterior, cuyo resultado es: 4 3 2 0,004 0,1236 1,0197 3,0988 24,267 dy dh x x x x dx dt     = = − + − + −         donde: , y h x t = = La pendiente se evaluó para los tres primeros puntos ( t = 4, 10 y 14 minutos), cuyos resultados se hallan tabulados en la siguiente tabla. De forma similar se procedió con la figura 2, cuyo ajuste de la curva es de tipo exponencial, representada por la siguiente ecuación: 0,243 85,195 y x− = y la pendiente de la curva es: 1,243 20,70 , ; dy dh donde y h x t dx dt x     = = − = =         La pendiente se evaluó para el resto de los puntos ( t = 16, 18, 20, ……y 180 minutos), cuyos resultados se muestran en la siguiente tabla.
  • 341.
    7-50 2. Cálculo deconcentración ©. este dato se obtiene reemplazando los siguientes datos disponibles del ensayo en una probeta de laboratorio, así para: t = 0 , 3 284 30 / 30 / ho mm y Co mg l kg m = = = 284 8520 30 ' ' ' ho C Co h h h     = = =         (5) 3. Cálculo de flux (densidad de flujo de masa, kg/s m2 ): combinando las ec. (3) y (5): 3 2 8520 1min 1 ' min 60 1000 SF s kg mm dh mm m kg J h m dt s mm s m ρ −       = − =             (6) Tabla (min) t ( ) h mm ( ) / ( / min) dh dt mm − '( ) h mm 3 8520/ ' ( .5), / C h Ec kg m = ( ) 2 : . 6 / Flux Ec kg s m 3,5 208 4,0 196 23,0 265 32,15 12,32 10 81 13,0 172 49,53 10,73 14 52 3,5 124 68,70 4,00 16 48 2,5 72 118,33 4,93 17 46 18 44 1,75 70 121,71 3,55 19 42 20 41 1,0 59 144,40 7,7 21 40 26 39 30 38 0,21 45 189,33 0,66 40 36 0,25 42 202,85 0,84 50 33 70 31 80 30 0,10 37 230,27 0,38 90 29 100 28 0,07 35 243,43 0,284 120 27 150 25 0,06 30 284,00 0,284 180 23 0,04 26 327,00 0,218 200 23
  • 342.
  • 343.
    7-52 y = -0.0041x4 +0.1733x3 - 1.5346x2 - 17.612x + 282.16 0 50 100 150 200 250 300 0 1 2 3 4 5 6 7 8 9 10 11 12 13 14 15 16 17 18 19 20 Tiempo de sedimentacion,t(min) Altura de sedimentacion,h(mm) h' Fig. 2 y = 89.898x- 0.2577 0 10 20 30 40 50 60 0 10 20 30 40 50 60 70 80 90 100 110 120 130 140 150 160 170 180 190 200 210 Tiempo de sedimentacion,t(min) Altura de sedimentacion,h(mm) Fig. 3 4. Con los resultados de la tabla anterior se grafica Flux versus Concentración, tal como se aprecia en la siguiente tabla:
  • 344.
    7-53 Fig. 4 A partirde esta gráfica se determina el flux para una concentración final de 200 kg / m3 , trazando una tangente a la curva desde dicho punto para obtener un punto de corte de dicha tangente con el eje de ordenadas: 2 0,0065 SF kg Flux J s s m ρ   = =     El área de la superficie transversal del sedimentador se calcula a partir de la siguiente ecuación:
  • 345.
    7-54 2 o o o SF s kg m QC s S J kg Flux s m ρ       = =       donde: 3 3 2 10 , 5 5 , 0,0065 min o o SF s m g kg kg Q C J l m s m ρ         = = = =                 Reemplazando datos en la ecuación anterior: ( ) ( ) 3 3 2 2 10 / 60 5 128,0 0,0065 o o SF s m kg s m Q C S m J kg s m ρ             = = ≅       Problema 2. Resultados experimentales Datos calculados Concentración de sólido ρ (kg/m3 ) Velocidad Sedimentación V(m/h) Flux de sólidos 2 ( / ) SF J kg hm (kg/m3 ) 0 0 0 100 0,5330 53,30 200 0,3280 65,60 300 0,1990 59,70 400 0,1190 47,60 500 0,0770 38,50 600 0,0520 31,20 700 0,0370 25,90 800 0,0266 21,28 900 0,0202 18,18 1 000 0,0151 15,10 1 100 0,0119 13,09 1 200 0,0108 12,96
  • 346.
    7-55 0 10 20 30 40 50 60 70 0 100 200300 400 500 600 700 800 900 1000 1100 1200 1300 1400 Concentracion, C(kg/m3) Flux, JSF (kg/h m2) Co cD De la figura se observa que una tangente trazada desde la concentración inicial Co determina las condiciones limites, es decir una concentración máxima D C y un valor de flux 2 56 SF kg J s m   =     A continuación calculamos el área transversal del sedimentador partir de la siguiente relación: [ ] 3 3 1 3600 , 0,1 360 1 o o s o o SF s SF Q Q Co m s m S Q J J s h s ε ρ ρ −   = = ⇒ = =     Reemplazando datos: 3 3 2 2 360 100 643 56 o SF m kg s m Q Co S m J kg s m             = = =       Calculo de diámetro del clarificador: 4 4 643 29,0 , Re A x D m sp π π = = ≈
  • 347.
    7-56 Problema 3. En lasiguiente grafica se representa la velocidad de sedimentación con los ensayos experimentales: 0 50 100 150 200 250 300 350 400 0 100 200 300 400 500 600 700 800 900 1000 Tiempo: t (minutos) Altura de liquido claro: h (mm) Ajuste de las curvas por una ecuación: Primero 6 puntos: 0,0097 2 3,0877 364,65 0,0194 3,00877 dy y x x x dx = − + ⇒ = − Tres últimos puntos: 6 2 6 1,0 10 0,0474 130,24 2,0 10 0,0474 dy y x x x x x dx − − = − + ⇒ = − Calculo de concentración: Datos: 3 236 / 360 Co kg m ho mm = = Ecuación: 3 360 236 ' ' 84960 ' ho kg mm C Co h m h C h    = =       = El valor de ' h se evalúa en la ordenada en el origen que pasa tangente a la curva en cada punto de interés.
  • 348.
    7-57 Calculo de flux: 11 60 1000 SF s SF s dh J C dt dh J C dt ρ ρ   = −         = −         A continuación, los resultados obtenidos para los diferentes puntos, se resume en la siguiente tabla: t (min) ( ) / dh dt − (mm/min) ' h (mm) ( . ) C ec 3 ( / ) kg m SF s Flux J ρ = ( ) 2 / kg s m 0 0 15 2,79 360 236,0 0,0109 30 2,50 360 236,0 0,0098 60 1,92 320 265,0 0,00848 100 120 150 0,178 160 531,0 0,00157 160 0,163 156 544,6 0,00147 200 0,047 142 598,3 0,000468 300 0,047 134 643,0 0,000469 900 0,0456 132 643,6 0,00048 A partir de estos resultados se traza la curva de Flux versus concentración:
  • 349.
    7-58 0 0.002 0.004 0.006 0.008 0.01 0.012 0.014 0.016 0.018 0.02 0.022 0 200 400600 800 Concentracion, C (kg/m3 ) Flux: J SF ( kg/s m 2 ) a). Calcular la máxima concentración a la salida: la metodología de cálculo es como sigue: 1. Calcular la concentración inicial Co, para el caso del problema se tiene como dato: C = 236 kg/m3 2. Sobre la curva obtenida se fija el punto de abscisa Co 3. Por dicho punto fijado se traza la tangente a ella misma para obtener las condiciones limites (concentración máxima). CD = Luego de la figura se tiene: Cd = a b). La superficie mínima del espesador: El área del espesador será calculado a partir de la siguiente ecuación: [ ] 3 3 1 3600 , 0,1 360 1 o o s o o SF s SF Q Q Co m s m S Q J J s h s ε ρ ρ −   = = ⇒ = =     Reemplazando datos:
  • 350.
    7-59 3 3 2 2 360 100 643 56 o SF m kg sm Q Co S m J kg s m             = = =       Calculo de diámetro del clarificador: 4 4 643 29,0 , Re A x D m sp π π = = ≈ Calculo de volumen del líquido: ( ) ( ) ( ) 1 1 1 1 R t o L o V Q dt ε ε ε − − −     = − ∫ ( ) ( ) ( ) ( ) ( ) ( ) ( ) ( ) ( ) 1 1 1 1 1 1 1 1 1 1 1 R R R t s o L o s t t s s s o o L o o s s V Q dt V Q dt Q dt ρ ε ε ρ ε ρ ε ε ρ ρ ε ε ρ ε ρ ε − − −     = − − − − − − −         = = − − ∫ ∫ ∫ [ ]( ) [ ] ( ) 1 1 R R t t s s s o o L o o s C C V Q dt Q dt C C ρ ε ρ ρ ε ρ − − − − = = ∫ ∫ [ ] [ ] , tan R R t t s s L o o o s s C Co C QCo V Q dt dt y Co cons te C C ρ ρ ρ ρ ρ − − = = = ∫ ∫ Datos: 3 3 2100 / , 236 / s kg m Co kg m ρ = = [ ] [ ] 8160 8160 2100 2100 200 200 200 2100 2100 R R t t L o o C C V Q dt x dt C C = = − −     = =         ∫ ∫ [ ] [ ] 8160 8160 2100 2100 200 200 200 2100 2100 R R t t L o o C C V Q dt x dt C C = = − −     = =         ∫ ∫
  • 351.
    7-60 [ ] 8160 2100 10,05, ( ) R t L o C V dt y f t C = − = = ∫ Problema 4 a) Grafica de velocidad de sedimentación 0 0.5 1 1.5 2 2.5 3 3.5 4 4.5 0 2000 4000 6000 8000 10000 12000 14000 Concentracion, C, (mg/l) Velocidad de sedimentacion, V(m/h) b). Grafica d concentración de sólidos versus el flux de sólidos 0 1 2 3 4 5 6 7 8 9 10 0 2000 4000 6000 8000 10000 12000 14000 Concentracion, C (mg/l) Flux de solidos, J SF (kg/h-m 2 ) c). Determine el flux de solido de diseño, GL(diseño) en kg / h m2 , utilizando un factor de escalamiento de 1,5.
  • 352.
    7-61 De la siguientefigura se determina el flux de solido trazando una tangente a la curva desde CD = 12 000 mg/l, el valor obtenido es: ( ) 2 8,60 / SF J kg h m = − 0 1 2 3 4 5 6 7 8 9 10 0 2000 4000 6000 8000 10000 12000 14000 Concentracion, C (mg/l) Flux de solidos, J SF (kg/h-m 2 ) Utilizando un factor de escalamiento de 1,5 resulta: ( ) 2 8,6 5,73 1,5 SF diseno kg J h m   = =   −   d). La velocidad a la cual los sólidos se sedimentan se calcula como: 160 s l m QxCo s = = 2500 mg 1 g l 1000 mg 1 1000 kg g         3600 s         1440 1 kg h h   =     Área requerida: ( ) 2 2 1440 251,3 5,73 s SF diseno kg m h A m kg J h m       = = =     −   El diámetro requerido esta dado por:
  • 353.
    7-62 ( ) 2 4 4 251.3 17.9 DA m D m π π = = = Luego el diámetro del diseño es D = 18 metros. Problema 5 Solución: 1. Se traza la tangente a la sección de sedimentación interferida y a la sección de compresión, en la curva de sedimentación de la figura mostrada, prolongándose hasta que se corten. 2. Por el punto de corte trazar un bisectriz del ángulo formado entre las dos tangentes, para determinar el punto medio de la región entre la zona de sedimentación y la zona de compresión, punto C2 sobre la curva de sedimentación. 3. Se calcula profundidad (Hu) para la concentración de sólidos deseados (Cu). ( ) 4000 / 0,40 24000 / 0,067 Co mg l Hu Ho m Cu mg l Hu m     = =         = 4. Por la ordenada 0,067 Hu m = , se traza un recta horizontal. 5. Se traza una tangente a la curva de sedimentación por C2, punto medio de la región entre sedimentación interferido y sedimentación por compresión. La intersección entre la horizontal por Hu y la tangente trazada por C2 determina, tu 34min tu utos = 6. Calculo de área requerida para el espesamiento. ( ) 3 2 400 / 34min 1 1 0,40 24 60min 23,6 m d Q tu dia h A Ho m h A m    = =       =
  • 354.
    7-63 7. Calcular lavelocidad de sedimentación a partir de la porción recta de la curva de sedimentación, suponiendo que las partículas presentes en la interfase son las partículas que hay que remover. ( ) ( ) ( ) 0,40 0,25 1 10,0 0,0 min 60min 0,90 / m y Vs h x Vs m h − ∆ = = ∆   −     = 8. Determinar la tasa de rebose o de clarificación, la cual es proporcional al volumen de liquido sobre la zona critica de lodos. ( ) ( ) 400 0,40 0,067 0,40 Q Ho Hu Qo Ho − − = = ( ) 3 333 / Qo m d = 9. Calcular el área requerida para la clarificación: 2 333 15,4 0,9 24 Qo A m Vs x = = = 10. Comparación de áreas, y luego se determina el mayor área, por tanto, el área de control de diseño es: 2 2 23,6 15,4 m m > Luego el área de espesante es mayor que el área de clarificación y controla el diseño. 11. Se calcula la carga de sólidos:
  • 355.
    7-64 ( ) () 3 2 2 : 4000 400 10 1600 / 1600 / / arg 67,8 23,6 Flujo desolidos CoQ x x kg d kg d kg d c a de solidos m m − = = = = 12. Se calcula la carga hidraulica; ( ) ( ) ( ) ( ) 3 3 2 2 400 / / arg 16,9 23,6 m d m d Q C ahidraulica A m m = = =
  • 356.
    7-65 Problemas de Filtración Problema1 Filtración a presión constante y constantes de filtración. Se cuenta con los siguientes datos de filtración para una suspensión de CaCO3 en agua a 298,2 K (25 ºC), a presión constante (- ∆P) de 46,2 kN/m2 (6,70 lb/pulg2 abs). El área de la prensa y marco es 0,0439 m2 (0,473 pie2 ) y la concentración de la suspensión es 23,47 kgsólido/m3 de filtrado. Calcule las constantes α y Rm. Los datos son t = tiempo en s y V = volumen de filtrado recolectado en m3 . Vx103 t Vx103 t Vx103 t 0,5 17,3 1,5 72,0 2,5 152,0 1,0 41,3 2,0 108,3 3,0 201,7 Problema 2 Constantes de filtración a presión. Se dispone de los siguientes datos para filtración a presión constante de 194,4 kN/m2 de la misma suspensión del problema 1, donde t se da en s y V en m3 : ------------------------------------------------------------------------------------------- V x 103 t V x 103 t Vx 103 t ------------------------------------------------------------------------------------------- 0,5 6,3 2,5 51,7 4,5 134,0 1,0 14,0 3,0 69,0 5,0 160,0 1,5 24,2 3,5 88,8 2,0 37,0 4,0 110,0 ---------------------------------------------------------------------------------------------- Calcule las constantes α y Rm. Problema 3 Compresibilidad de las tortas de filtración. Use los datos de resistencia específica de la torta α, de los problemas 1 y 2 y determine la constante de compresibilidad s. Grafique ln α contra ln(-∆p) y determine la pendiente s. Problema 4 Predicción del tiempo de filtración y del tiempo de lavado. Se desea filtrar la suspensión del problema 1 en una prensa de placas y marcos que tiene 30 marcos y un área de 0,873 m2 por marco. Se usará la misma presión constante de 46,2 kN/m2 para la filtración. Suponga las mismas propiedades de la torta de filtrado y la misma tela de filtración, y calcule el tiempo necesario para obtener 2,26 m3 de filtrado. Al final del proceso se usará 0,283 m3 de agua para el lavado del filtrado.
  • 357.
    7-66 Calcule el tiempode lavado y el tiempo total del ciclo de filtrado, suponiendo que la limpieza del equipo requiere 30 min. Problema 5 Constantes de filtración a presión constante. Usando un filtro-prensa con área de 0,0929 m2 , McMillen y Webber reportan los siguientes resultados para filtración a presión constante de 34,5 kPa de una suspensión acuosa de 13,9% en peso de CaCO3, a 300 K. La relación de masa de torta húmeda a seca es de 1,59. La densidad de la torta seca es de 1017 kg/m3 . Los símbolos corresponden a W = kg de filtrado y t = tiempo en s. --------------------------------------------------------------------------------------- W t W t W t --------------------------------------------------------------------------------------- 0,91 24 3,63 244 6,35 690 1,81 71 4,54 372 7,26 888 2,72 146 5,44 524 8,16 1188 ---------------------------------------------------------------------------------------- Calcule los valores de α y Rm. Problema 6 Filtración a presión constante y lavado en un filtro de hojas. Se usó un filtro prensa experimental, con área de 0,0414 m2 , para filtrar una suspensión acuosa de BaCO3 a presión constante de 267 kPa. La ecuación de filtración que se obtuvo fue 3 6 10 4 , 3 10 25 , 10 x V x V t + = Donde t se da en S y V en m3 . a) Usando la misma suspensión e iguales condiciones en un filtro de hojas con área de 6,97 m2 , ¿cuánto tiempo se necesitará para obtener 1,00 m3 de filtrado? b) Después de la filtración, la torta se lava con 0,100 m3 de agua. Calcule el tiempo de lavado. c) Calcular el ciclo total de filtración suponiendo que el tiempo de limpieza toma 20 minutos. Problema 7 Un filtro de placas y marcos, que opera a presión constante, requiere una hora para separar 600 litros de filtrado de una suspensión acuosa. Calcular la capacidad de
  • 358.
    7-67 filtración si lavelocidad inicial de filtración es de 60 l/min, y además, se necesita 80 litros de agua para lavar la torta depositada y se emplea 35 minutos para la descarga, limpieza y montaje del filtro. Problema 8 (Experimento de laboratorio) En una planta de tratamiento de aguas residuales, se tiene los resultados de un ensayo de resistencia específica se incluye en la tabla Nº 1, se desea calcular la resistencia específica del lodo. La humedad del lodo es del 96 %, la lectura de presión del manómetro es de 675 mm Hg; el diámetro del embudo Buchner es igual a 50 mm y la temperatura del filtrado es de 20 ºC. Tabla Nº 1 Resultados de ensayo de resistencia específica de un lodo Tiempo, t (s) 145 310 570 1440 2360 3360 4880 6170 volumen filtrado, (ml) 5 10 15 25 33 40 48 54 Problema 9 Estimación de área de la superficie de filtración necesaria para una filtración con filtro prensa. Se utilizará un filtro prensa de placas y marcos para la eliminación del material sólido de una pasta que contiene 5 libras de sólido seco por pie cúbico de líquido, libre de sólidos. La viscosidad dinámica del líquido es de 1 centipoise; el filtro deberá
  • 359.
    7-68 entregar como mínimo400 pies cúbicos de filtrado libre de sólidos, en una operación continua de 2 horas, con una diferencia de presión a través de filtro constante e igual a 25 psi. Sobre la base de datos experimentales obtenidos en un filtro prensa pequeño, calcular el área total de la superficie filtrante necesaria. Valores experimentales Con un filtro prensa cuyo superficie filtrante tenía un área de 8 pies cuadrados se obtuvieron los resultados siguientes Volumen total del filtrado V (ft3 ) Tiempo transcurrido desde la iniciación de la filtración (t) en horas, con una diferencia de presión constante, igual a. (-∆p) = 20 psi (-∆p) = 30 psi (-∆p) = 40 psi 5 0,34 0,25 0,21 8 0,85 0,64 0,52 10 1,32 1,00 0,81 12 1,90 1,43 1,17 La pasta, a la cual se había agregado un material para facilitar la filtración, era idéntico a la que usaría en el filtro grande. El filtrado obtenido no contendría sólidos, y la torta retuvo una cantidad insignificante de líquido. Problema 10 La suspensión del problema número 9 ha de filtrarse en un filtro prensa cuya área total es de 10 m2 y que opera con una caída de presión de 2 atm. El espesor de los marcos es de 40 mm. Supóngase en el filtro a toda escala es la misma que en el de laboratorio. Calcúlese: a) Volumen de filtrado que se obtendrá en un ciclo. b) Tiempo de filtración requerida. Problema 11 Una solución acuosa contiene un 10 % de sólidos en suspensión es filtrada en un filtro prensa de marcos y placas. En un experimento previo se ha obtenido que la relación torta húmedo/torta seca es de 2,2, siendo la torta incompresible de resistencia específica
  • 360.
    7-69 α = 2,5x 1010 m/kg. A lo largo de una operación a presión constante de 3 atm, la variación de la cantidad de filtrado con el tiempo se recoge la siguiente tabla. Tiempo (minuto) 8 18 31 49 70 95 Masa filtrada (kg) 1600 2700 3700 4900 6000 7125 A partir de estos datos calcular: a) Área total del filtro y resistencia del medio filtrante. b) Si el tiempo no operativo de cada filtrante son 26 minutos, calcular el volumen del filtrado que se recogerá al cabo de 10 horas, si se opera con el ciclo óptimo de filtración. c) Se desea filtrar la misma disolución, pero trabajando a caudal volumétrico constante. Si al cabo de 142 minutos la caída de presión que experimenta el fluido al atravesar la torta y el medio filtrante es de 4,5 atm, calcular el volumen de filtrado que se obtiene y el caudal con el que circula. DATOS: Propiedades del agua Densidad, ρ = 1000 kg/m3 viscosidad, µ = 1,2 m Pa.s Problema 12 Filtración a velocidad constante e incompresible. La ecuación de filtración a presión constante de 38,7 lb/pulg2 abs (266,8 kPa) es: 01 , 0 10 10 , 6 5 + = − V x V t Donde t se da en s, -∆p en lb/pulg2 abs y V en litros. La resistencia específica de la torta es independiente de la presión. ¿Cuánto tiempo se necesitará para llegar a 50 lb/pulg2 abs, cuando la filtración procede a una velocidad constante de 10 l/s.
  • 361.
    7-70 SOLUCIÓN DE PROBLEMASFILTRACION Problema 1 DATOS: T = 25 ºC C = 23,47 kgsólido / m3 filtrado A = 0,0439 m2 (-∆p) = 46,2 kN/m2 = 46200 N/m2 Calcular: α y Rm Por análisis de regresión lineal m = 13,052 x 106 Se tiene: y = a + bX a = 28,333 x 103 b = 13,0171 x 106 Donde: 1/qo = a = 28,333 x 103 (s/m3 ) kp / 2 = m = 13,0171 x 106 De donde: kp = (13,0171 x 106 ) x 2 = 26,0342 x 106 s/m6 Por otro lado se sabe: ) /( )] ( [ ) ( 2 2 C x p A kp p A C kp µ α α µ ∆ − = ⇒ ∆ − = De tabla a T = 298,2 ºC --------- µagua = 0,8937 x 10-3 kg/m.s (Pa.s) Por tanto α = (26,0342 x 106 )(46200)(0,0439)2 / (0,8937 x 10-3 ) (23,47) α = 1,105 x 1011 m/kg Por otro lado X Y calculados V (m3 ) t (s) t/V m = ∆y/∆R 0,5 x 10 -3 17,3 34,6 x 103 13,400 x 106 1,0 x 10 -3 41,3 41,3 x 103 13,400 x 106 1,5 x 10 -3 72,0 48,0 x 103 12,300 x 106 2,0 x 10 -3 108,3 54,15 x 103 13,300 x 106 2,5 x 10 -3 152,0 60,80 x 103 12,860 x 106 3,0 x 10 -3 201,7 67,23 x 103
  • 362.
    7-71 ) 10 8937 , 0 ( ) 46200 ( ) 0439 , 0 ( 10 333 , 28 / ) ( 1 ) ( 1 3 3 0 − = ∆ −         = → ∆ − = x x x p A q Rm p A Rm qo µ µ Rm = 6,429x 1010 m-1 Calculado: Respuesta: α = 1,105 x 1011 m/kg Rm = 6,429 x 1010 m-1 Problema 2 (-∆p) = 194,4 Kn/m2 = 194400 N/m2 ; C = 23,47 kgsólido/ m3 filtrado Concentración: Idem problem (1) A = 0,0439 m2 T = 25 ºC µ = 0,8937 x 10-3 kg/m.s (agua) DATOS: Por análisis de regresión lineal se obtiene para ecuación de forma y = a + b X, se obtiene el siguiente resultado: ) / ( 10 8685 , 9 1 3 3 m s x a qo = = ) / ( 10 7590 , 8 ) / ( 10 3795 , 4 2 6 6 6 6 m s x kp m s x b kp = ⇒ = = Cálculo de las constantes α y Rm. De igual forma que el problema (1) De la Ecuación: ) 47 , 23 ( ) 10 8937 , 0 ( ) 194400 ( ) 0439 , 0 ( 10 7590 , 8 ) ( 3 2 6 2 − = ∆ − = x x C p A kp µ α α = 1,5644 x 1011 m/kg X Y calculados V (m3 ) t (s) t/V m = ∆y/∆R 0,5 x 10 -3 6,3 12,6 x 103 1,0 x 10 -3 14,3 14,0 x 103 1,5 x 10 -3 24,2,0 16,13 x 103 2,0 x 10 -3 37,0 18,50 x 103 2,5 x 10 -3 51,7 20,68 x 103 3,0 x 10 -3 69,0 23,00 x 103 3,5 x 10-3 88,8 25,37 x 103 4,0 x 103 110,0 27,50 x 103
  • 363.
    7-72 3 3 10 8937 , 0 ) 194400 ( ) 0439 , 0 ( 10 8685 . 9 / ) ( 1 − =       ∆ −         = x x p A q Rm o µ Rm = 9,4236x 1010 m1 Respuestas: α = 1,5644 x 1011 m/kg Rm = 9,4236 x 1010 m-1 Problema 3 Cálculo de compresibilidad de la torta: Ecuación: α = αo (-∆P)s Lineal izando: ln α = ln αo + S ln(-∆p) Donde. S = pendiente DATOS: ( -∆p) (kN/m2 ) 46,2 194,4 (α ) (m/kg) 1,105 1,5441011 Graficamos en un papel log/log o tomamos logaritmo para calcular las constantes de la ecuación lineal de forma y = a + b X Donde: b = S a = αo (-∆) (α ) X Y Ln (-∆) Ln (α ) 46,2 1,105 x 1011 3,8329 25,4282 194,4 1,544 x 1011 5,2699 25,7628 ln (α) ln (-∆p)
  • 364.
    7-73 Por análisis deregresión lineal se tiene: a = (αo ) = 24,5357 Pendiente: b = S = 0,2328 Luego la ecuación tiene la forma: α = 24,5357 (-∆P)0,2328 Donde [-∆P] en (kN/m2 ) El valor de S está comprendido dentro del rango de S = 0,1 – 0,8 Problema 4 DATOS del problema Nº 1. Suspensión: CaCO3 Concentración: 23,47 kgsólido/m3 Temperatura: 25 ºC Presión = 46,2 kN/m2 Area = 0,0439 m2 α = 1,105 x 1011 m/kg Rm = 6,429 x 1010 kp = 26,0342 x 106 (s/m6 ) 1/qo = 28,333 x 103 (s/m3 ) Donde: ) ( 2 p A C kp ∆ − = α µ (1) ) ( 1 p A Rm qo ∆ − = µ (2) Para la nueva condición: Prensa de placas y marcos: Area = 0,873 m2 Nº de marcos = 30 Presión = 46,2 kN/m2 suponer las mismas propiedades de torta de filtrado y tela de filtrado V = 22,6 m3 de filtrado Vlavado = 0,283 m3 de agua lavado
  • 365.
    7-74 Calcular el tiempode lavado = ? Tiempo total de Ciclo de filtrado = ? Supóngase que la limpieza del equipo requiere = 30 metros Solución: a) Ecuación de tiempo de filtrado: V q V kp t o         + = 1 ) 2 1 ( 2 (3) Para resolver la Ec. (3) es necesario calcular el nuevo valor de kp y 1/qo para la 2da condición. De las Ecs. (1) y (2) establecemos las siguientes relaciones, teniendo en consideración que; α y Rm tendrán los mismos valores en ambos casos, pero varía el área 1ra condición. 2 1 1 1 1 2 1 ) ( ) tan ( ) tan ( ) ( 1 A kp te cons te cons A kps = → = (4) 1 1 2 2 1 1 1 ) tan ( ) tan ( 1 1 A q te cons te cons A q o o         = → =         (5) 2da condición: (constante)1 = kp2 (A2)2 (6) (constante)2 = (1/qo)2 A2 (7) Para calcular kp2 igualamos Ecs (4) y (6) ) 1 ( tan ) ( ) ( 2 2 2 2 1 1 te cons A kp A kp = = De donde: 2 2 1 1 2         = A A kp kp (8) Para calcular (1/qo)2 igualamos Ecs (5) y (7) 2 2 1 1 1 1 A q A q o o         =         De donde.                 =         2 1 1 2 1 1 A A q q o o
  • 366.
    7-75 Reemplazando datos: enEc. (8) Cálculo de kp2: A1 = 0,0439 m2 A2 = (No marcas) x Área = 30 x 0,873 = 26, 19 m2 kp1 = 26,0342 x 106 kp2 = (kp1) x 2 6 2 2 1 19 , 26 0439 , 0 10 0342 , 26       =         x A A kp2 = kp = 73,1479 s/m6 Cálculo de (1/qo)2 Datos: (1/qo)1 = 28,333 x 103 A1 = 0,0439 m2 A2 = 26,19 m2       =                 =         19 , 26 0439 , 0 10 333 , 28 1 1 3 2 1 1 2 x A A q q o o 3 2 / 4921 , 47 1 1 m s q q o o =         =         Ahora calculamos tiempo de filtración sustituyendo en la Ec. (3) V q V kp t o         +       = 1 2 1 2 t = ½ (73,1479)(s/m6 )(22,6 m3 )2 + 47,4921 (s/m3 ) (22,6 m3 ) t = 18680,5107 s + 1073,3214 s = 19753,83 s t = 329,23 minutos b) Cálculo de tiempo de lavado para filtro prensa de placas y marcos filtrado de total volumen v q v kp dt dV f o f f = + =       1 1 4 1 Reemplazando datos:       +       =       3 3 6 4921 , 47 6 , 22 1479 , 73 1 4 1 m s m m s dt dV f
  • 367.
    7-76 ∫ ∫ − − = → =       lavado lodo t V Vo f dt x dV s m x dt dV 0 4 3 4 10 4700 , 1 / 10 47 , 1 Vlavado= 1,4700 x 10-4 x tlavado s m x m V t lavado lavado / 10 47 , 1 ) ( 3 4 3 − = Vlavado = 0,383 m3 tlavado = 0,383 m3 / 1,47 x 10-4 m3 /s = 2605,37 s c) Ciclo total de filtración ttotal = tfiltrado + tlavado + tlimpieza equipo min 30 60 37 , 2605 60 83 , 19753       + + = ttotal = 329,23 + 43,42 + 30 = 402,65 minutos ttotal = 6,7 horas Problema 5 Aquí la única incógnita es calcular la concentración de la suspensión CS a partir de la información de M = masa torta húmeda/ masa torta seca y la fracción de masa de sólidos en la suspensión Ws. A continuación establezcamos las siguientes definiciones. TS TH m m M = (1) Donde los subíndices TS y TH indican torta seca y torta húmeda respectivamente. Por tanto, de Ec (1) despejamos mTH = M x mTS (2) Por otro lado la fracción de masa de sólidos en la suspensión viene definido como: agua TH TS total TS m m m m m Ws + = = (3) Reemplazando Ec. (2) en Ec. (3)
  • 368.
    7-77 agua TS TS m m x M m Ws + = (4) La masade agua (magua), también podemos expresar como: magua = ρagua x Vagua (5) Reemplazando ecuacs. (5) en Ec. (4) y luego despejando el Vagua se tiene agua agua TS TS V m x M m Ws ρ + = De donde: agua TS agua x Ws M x Ws m V ρ ] 1 [ − = (6) A continuación definamos la concentración de la suspensión como filtrado TS V m Cs = Donde Vfiltrado = Vagua agua TS V m Cs = (7) Reemplazando Ec. (6) en Ec. (7) agua TS TS Ws M Ws m m Cs ρ ) 1 ( − = M Ws Ws Cs agua − = 1 ρ (8) Reemplazando los siguientes datos: Ws = 13,9 % M = 1,59 mTH /mTS ρagua = 996,96 kg/m3 (T = 25 ºC) µ = 0,8937 x 10-3 kg/m.s filtrado m kg x x m kg Cs 3 3 / 89 , 177 139 , 0 59 , 1 1 ) 139 , 0 ( ) / ( 96 , 996 = − = Finalmente los resultados de la tabla, en donde hay necesidad de transformar los W kg de filtrado a volumen de filtrado expresados en m3 a partir de la siguiente relación.
  • 369.
    7-78 W = ρx V ----------- V = W/ρ W (kg) Vx 103 (m3 ) t (s) t/V 0,91 0,91 24 26,37 x 103 1,81 1,81 71 39,22 x 103 2,72 2,72 146 53,67 x103 3,63 3,64 244 67,03 x 103 4,54 4,55 372 81,75 x 103 5,44 5,45 524 96,14 x 103 6,35 6,36 690 108,49 x 103 7,26 7,28 888 121,97 x 103 8,16 8,18 1188 145,23 x 103 O por regresión lineal 1/qo = a = 10,40,4022 x 103 (s/m3 ) kp/2 = b = m = 15,80 x 106 (s/m6 ) DATOS: A = 0,0929 m2 (-∆p) = 34,5 kPa kp = 31,60 x 106 s/m6 Reemplazando en las Ecs. de α y Rm Calculamos ) 89 , 177 ( 10 8937 , 0 ) 34500 ( ) 0929 . 0 ( 10 60 , 31 ) ( 3 2 6 2 − = ∆ − = x x C x p A kp µ α Rm =0,2097 x 1010 m-1 (t/V) x 10-3 V x 10-3
  • 370.
    7-79 Problema 6 Datos: A= 0,0414m2 , P = 267 kPa. Ecuación de filtración a presión constante: 3 6 10 4 , 3 10 25 , 10 x V x V t + = Donde t se da en s y V en m3 . Para resolver el problema, la ecuación anterior podemos expresar en una forma mas simple como: t KpV B V = + Donde: ) ( 2 p A C kp ∆ − = α µ , ( ) Rm B A p µ = −∆ Para las dos condiciones de áreas diferentes se tiene que: , , tan C y p Cons tes µ α ∆ = Por tanto: ( ) ( ) 1 2 1 tan tan ( ) Cons te C kp Cons te A p µ α = ⇒ = −∆ ( ) ( ) 2 2 tan tan ( ) Cons te Rm B Cons te A A p µ = ⇒ = −∆ Luego tendríamos las siguientes ecuaciones: Área inicial: ( ) ( ) ( ) ( ) 1 1 2 1 1 1 1 tan tan Cons te kp A Cons te B A = =
  • 371.
    7-80 Nueva área: ( ) () ( ) ( ) 1 2 2 2 1 2 2 tan tan Cons te kp A Cons te B A = = Dividiendo ambos miembros de las expresiones anteriores se llega a los siguientes resultados: 2 2 6 1 2 1 2 2 3 1 2 1 2 2 0,0414 10,25 10 361,62 6,97 0,0414 3,4 10 20,19 6,97 A kp kp kp x A A B B B x A     = ⇒ = =             = ⇒ = =         Luego la ecuación final resulta: 2 361,62 20,19 361,62 20,19 t V t V V V = + ⇒ = + Luego el tiempo de filtrado para V = 1,0 m3 381,81 Re . t segundos sp = b) Calcular el tiempo de lavado: 1 1 4 f f f dV V volumen total de filtrado dt kp V B     = =     +     3 361,62 , 20,19 , 1,0 f kp B V m = = = 3 3 1 1,0 4 361,62 1,0 20,19 0,65477 10 f f dV dt x dV m x dt s −       =      +          =        
  • 372.
    7-81 Entonces, el tiempode lavado es, para 0,10 m3 de agua de lavado (representa 10 % de volumen de filtrado): 3 3 3 0,1 152,72 Re . 0,65477 10 m t s sp m x s − = = Ahora podemos calcular el ciclo total de filtración, suponiendo que el tiempo de limpieza tome 20 min. 381,81 152,72 20 28,9min 60 60 29 min Re . Ciclototal de filtracion Ciclototal de filtracion utos sp = + + = ≅ = Problema 7 Datos: t = 1 h V = 600 litros t = 0, Vo = 60 l/m Agua de lavado de torta V = 8 litros Tiempo de descarga, limpieza y montaje = 35 minutos Solución: La ecuación de filtración a presión constante viene dado por la siguiente expresión: ) ( ) ( 2 f f P A Rm V P A C dV dt ∆ − + ∆ − = µ α µ De donde el segundo término de la ecuación del lado derecho multiplicamos y dividimos por A. ) ( ) ( 2 2 f f P A Rm V P A C dV dt ∆ − + ∆ − = µ α µ Ecuación que se transforma en: ] [ ) ( 1 2 Rm A V C P A dV dt f µ α µ + ∆ − = Para la solución del problema invertimos la ecuación
  • 373.
    7-82 ] [ ) ( 2 Rm A V C P A dV dt f µ α µ + ∆ − = Portanto, de acuerdo al problema Para t = 0, Volumen de filtrado, V = 0 s l dt dV t / 60 0 =       = Luego la ecuación anterior se simplifica como sigue: Rm A P A dt dV f t µ ) ( 2 0 ∆ − =       = Rm P A dt dV f t µ ) ( 0 ∆ − =       = o reordenamos como o f t q P A Rm dt dV 1 1 ) ( 1 0 = ∆ − =       = µ o t q dt dV 1 1 0 =       = s x l m x l q q l o o 60 min 1 1000 1 min 60 1 1 1 1 min / 60 3 = ⇒ = 3 / 1000 1 m s qo = Ahora utilizamos la ecuación de tiempo de filtrado. V q V k t o C ) / 1 ( ) 2 / 1 ( 2 + = Como datos se tiene: t = 1 hora = 60 min = 3600 s V = 600 litros de filtrado = 0,60 m3 Entonces:
  • 374.
    7-83 3600 = (1/2)(kC) (0,60)2 + (1000) (0,60) 60 , 0 50 , 0 60 , 0 1000 3600 x x kC − = kC = 16666,66 s/m6 Cálculo de caudal de lavado Para filtro prensa de placas y marcos se tiene: o f C f q V k dt dV 1 1 4 1 + =       Donde: Vf = volumen total de filtrado Datos: Vf = 600 litros = 0,60 m3 Reemplazando datos:       + =       1000 60 , 0 66 , 16666 1 4 1 x dt dV f s m x dt dV f / 10 2727 , 2 3 5 − =       Cálculo de tiempo de lavado segundos s m x m x tlavado 3520 / 10 2727 , 2 10 8 3 5 3 3 = = − − Capacidad de filtrado * ) ( t t t V C F L + + = V = 600 lt = 0,60 m3 t = 3600 s (1 hora) t1 = 3520 s t* = 35 x 60 = 2100 s (tiempo de descarga) Luego,
  • 375.
    7-84 s m x m C F 3 5 3 10 51 , 6 2100 3520 3600 60 , 0 ) ( − = + + = min / 91 , 3 ) ( l C F= Problema 8 Solución: Tiempo t(s) Volumen filtrado (V) ml t/V (s/ml) 145 5,0 29,0 310 10,0 31,0 570 15,0 38,0 1440 25,0 57,6 2360 33,0 71,5 3360 40,0 84,0 4880 48,0 101,7 6170 54,0 114,3 Graficamos (t/V) versus V (ml) Para una humedad de 96 %, la concentración de sólidos es del 4 % y, por tanto: C = 40 kg/m3 La presión del filtrado es: kPa x Hg mm P 90 675 760 3 , 101 675 = = = El área de filtrado es.
  • 376.
    7-85 2 3 2 10 96 , 1 ) 50 , 0 ( 4 m x A − = = π La viscosidadde lodo a 20 ºC se su pone a la del agua. µ = 1 x 10-3 kg/m.s De la figura t/V versus V calculamos la pendiente m = 1,8 x 1012 s/m6 , cuyo valor es igual a m = ½ kC 1,8 x 1012 = (1/2) kC --------- kC = 3,6 x 106 m6 /s Por otro lado se sabe. C P A k P A C k f C f C µ α α µ ) ( ) ( 2 2 ∆ − = ∆ − = Reemplazando datos: ) / 40 ( . / 10 1 / ) . ( ) 90000 ( ) 10 96 , 1 ( ) / ( 10 6 , 3 3 3 2 2 4 2 3 6 12 m kg s m kg x m s m kg m x s m x − − = α α = 3,11 x 1013 m/kg Problema 9 Datos de filtración Volumen total del filtrado V (m3 ) Tiempo transcurrido desde la iniciación de la filtración (t) en (segundos) (-∆p) = 20 psia (-∆p) = 30 psia (-∆p) = 40 psia 0,1415 1224 900 756 0,2265 3060 2304 1872 0,2831 4752 3600 2916 0,3398 6840 5148 4212 Ecuación de filtración a presión constante ) ( ) ( 2 1 2 f f P A Rm V P A C V t ∆ − +         ∆ −       = µ α µ (I) Sea: ) ( 2 f C P A C k ∆ − = α µ
  • 377.
    7-86 ) ( 1 f o P A Rm q ∆ − = µ Reemplazandolos valores de kC y (1/qo) en Ec. (I) o C q V k V t 1 2 1 +       = (II) Esta es una ecuación de forma: y = a + mX Donde: m = pendiente = ½ kC (1/qo) = constante que se determina por la intersección con la coordenada y correspondiente al origen. Para la selección de la ecuación (II), a continuación reordenamos los datos en la siguiente forma. Volumen filtrado total V (m3 ) (-∆P) = 20 psi (-∆P) = 30 psi (-∆P) = 40 psi t (s) t/V s/m3 t (s) t/V s/m3 t (s) t/V s/m3 0,1415 1224 8650,17 900 6360,42 756 5342,75 0,2265 3060 13509,93 2304 10172,18 1872 8264,90 0,2831 4752 16785,58 3600 12716,35 2916 10300,24 0,3398 6840 20129,48 5148 15150,08 4212 12395,52 Cálculo de las constantes de la ecuación lineal del resultado de ajuste de rectas se obtiene los siguientes datos que se resumen en la siguiente tabla. Presión (-∆P) (psi) Constante intersección eje y Pendiente a m 20 444,28 57836 30 106,60 44395 40 276,01 35530 Cálculo de α1 y Rm Se sabe que: ) ( 2 f C P A C k ∆ − = α µ De donde se despeja
  • 378.
    7-87 C P A k f C µ α ) ( 2 ∆ − = (III) donde:m = (1/2) kC kC = 2 m, pendiente de la recta Datos: A = 8 ft2 = 0,7432 m2 3 3 3 3 ) 3048 , ( 1 4539 , 0 5 5 m o ft x lbm kg x ft lbm ft lbm C = = C = 80,14 kg/m3 µ = 2,42 ) 3600 1 ( ) 3048 , 0 1 ( ) 1 4539 , 0 ( s h m ft x lbm kg x ft x h lbm µ = 1,00 x 10-3 kg/m.s Reemplazando en la Ec. (III) ) 14 , 80 )( 10 1 ( ) ( ) 7432 , 0 ( 3 2 − ∆ − = x P k f C α kg m P k f C / , ) ( ) 8922 , 6 ( ∆ − = α Cálculo de α para diferentes presiones se resume en la siguiente tabla. Pendiente kC = 2 m (-∆P) N/m2 Resistencia específica de la torta α = kC (6,8922)∆P (m/kg) m 57836 115672 137857 1,099 x 1011 44395 88790 206785 1,265 x 1011 35530 71060 275714 1,350 x 1011 Resumen de datos calculados de resistencia específica de la torta (α) en el de la caída de presión (-∆P) -∆P α 137857 1,09 x 1011 206785 1,265 x 1011 275714 1,350 x 1011 Cálculo de α en función (-∆P) Se sabe que: α = αo (-∆P)n --------- y = a Xb Por análisis de regresión se tienen Luego: α = 0,030 x 1011 (-∆P)0,3001
  • 379.
    7-88 Cálculo de resistenciadel medio filtrante, Rm, (m-1 ) Se sabe que: µ µ ) ( 1 ) ( 1 P A q Rm P A Rm q o o ∆ −         = ⇒ ∆ − = psi ∆P (N/m2 ) A (m2 ) 1/qo Rm = (1/qo) A (-∆P)/µ 10 137857 0,7432 444,28 4,55 x 1010 20 206785 0,7432 106,60 1,63 x 1010 30 275714 0,7432 276,01 5,65 x 1010 Una vez calculado las constantes α y Rm, a continuación resolvemos la pregunta planteada para las siguientes condiciones: Volumen de filtración, V = 400 ft3 = 11,32 m3 tiempo de filtración, t = 2 horas = 7200 s Presión de operación, (-∆P) = 25 psi 0 172321 N/m2 Concentración, C = 80,69 kg/m3 Para la nueva presión de 25 psi calculamos las constantes. α = 0,030 x 1011 (-∆P)0,3001 α = 0,030 x 1011 (172321,42)0,3001 α = 1,118 x 1011 (m/kg) Cálculo de Rm: De la gráfica se tiene para (-∆P) = 172321,42 N/m9 Rm = 2,2 x 1010 m-1 Cálculo de área de filtrado: Se conoce la ecuación de filtración V q V k t o C ) / 1 ( ) 2 / 1 ( 2 + = Reemplazando los valores de kC y 1/qo V P A Rm V P A C t f f         ∆ − +         ∆ − = ) ( ) ( ) 2 / 1 ( 2 2 µ α µ Reordenando.
  • 380.
    7-89               ∆ − +               ∆ − = A P V Rm P V C t f f 1 ) ( 2 1 ) ( 5 , 0 2 µ α µ Reemplazando datos:               +             = − − A x x x x x x x x x x1 42 , 172321 32 , 11 10 2 , 2 10 1 2 1 42 , 172321 ) 32 , 11 ( 69 , 80 10 118 , 1 10 1 5 , 0 7200 10 3 2 11 3 A A 206 , 1445 714 , 3354170 7200 2 + = Sea la función objetiva 7200 206 , 1445 714 , 3554170 2 − + = A A Fo Supuesto Calculado Supuesto calculado (A) (Fo) (A) (Fo) 20 1557 22,2 76 22 209 22,4 - 52,07 23 - 418,5 22,3 - 11,88 22,31 5,45 22,32 - 0,97 22,319 - 0,33224 Respuesta A = 22,32 m2 ------ A = 240,3 ft2 Problema 10 Datos: A = 10 m2 (-∆P) = 2 atm = 202650 µ = 6,6 x 10-4 m ft x lb kg x s x ft lb 3048 , 0 1 4539 , 0 µ = 0,9828 x 10-3 kg/m.s Densidad de la torta sea ρC = 73,0 3 3 3 ) 3048 . 0 ( 4539 , 0 ft x lb kg x ft lb C = 10,9 lb/ft3 = 3 3 3 ) 3048 , 0 ( 1 1 4539 , 0 9 , 10 m ft x lb kg x ft lb C = 117,34 kg/m3 Cálculo de masa total de sólido en la torta
  • 381.
    7-90 mC = VCx ρC donde: VC = volumen de la torta ρC = densidad de la torta sea: pero VC = A x Lc Entonces: mc = A Lc ρC = 10 m2 (0,040 m) (11,70,14 (kg/m3 ) mC = 468,056 kg Cálculo de volumen de filtrado, V 3 / 32 , 117 056 , 468 m kg kg C m V C = = V = 3,989 m3 = 3989,56 litros Cálculo de la resistencia específica de la torta α = αo (-∆P)n Donde: αo = 0,030 x 1011 η = 0.3001 -∆P = 202650 α = 0,030 x 1011 (802,650)0,3001 α = 1,1740 x 1011 m/kg Rm = 1,63 x 1010 m-1         + = o C q V K V t 1 ) 2 1 ( V q V k t o C         +       = 1 2 1 2 ) ( 2 f C P A C k ∆ − = α µ
  • 382.
    7-91 ) ( 1 f O P A Rm q ∆ − = µ Reemplazandodatos: 2 2 2 3 11 3 . / ) 202650 ( ) 10 ( ) / ( 32 , 117 / 10 1740 , 1 .. / 10 9828 , 0 m s m kg x m m kg x kg m x x s m kg x kC − = kC = 667,97 ) 202650 ( ) 10 ( 10 63 , 1 ( ) 10 9828 , 0 ( 1 10 3 x x qo − = 90 , 7 1 = o q Tiempo de filtración V q V k t o C         +       = 1 2 1 2 V = 3,9889 m3 ( ) ) 989 , 3 ( ) 90 , 7 ( ) 989 , 3 ( 97 , 667 5 , 0 2 + = x x t t = 5345,92 s t = 89,0 minutos Problema 11 Datos: Porcentaje de sólido = 10 % Torta húmeda/torta seca = 2,2 Resistencia específica = α = 2,5 x 1010 m/kg Presión constante = (-∆P) = 3 atm = 3 x 101325 N/m2 = 303975 N/m2 CS = ? Propiedades del agua Densidad = 1000 kg/m3 viscosidad = 1,2 m Pa.s Solución
  • 383.
    7-92 a) Utilizando ladensidad del agua, los datos del problema enunciado puede construirse la siguiente tabla. t (s) V (m3 ) (t/V) ∆(V) ∆(t/V) Cálculo pendiente m = ∆(t/V)/∆(V) 480 1,60 300 1,10 100 90,90 1080 2,70 400 1,02 100 98,03 1860 3,72 500 1,18 100 84,74 2940 4,90 600 1,10 100 90,90 4200 6,00 700 1,125 100 88,88 5700 7,125 800 m= 90,69 Otra manera de calcular pendiente sería, graficando Luego la pendiente es: m = ½ kC , (s/m6 ) 9069 0 ½ kC ===== kC = 181,38 m6 /s Por otro lado se sabe que: ) ( 2 f C P A C k ∆ − = α µ A = C f k P C ) ( ∆ − α µ Datos: µ = 1,2 x 10-3 kg/m.s α = 2,5 x 1010 m/kg (resistencia específica de torta) (-∆P) = 3 atm = 303975 N/m2 (kg-m/s2 m2 )
  • 384.
    7-93 C = ? Cálculode C Se sabe que: 2 , 2 10 , 0 1 1000 10 , 0 1 x x W X X C C C − = − = ρ C = 128,20 kg/m3 Reemplazando los datos: 3 2 2 3 10 3 / 38 , 181 303795 ( / 20 , 128 / 10 5 , 2 ) . / ( 10 2 , 1 m s x m s m kg m kg x kg m x x s m kg x A − − = − A = (69,7974 m4 )1/2 A = 8,35 m2 Cálculo de resistencia del medio filtrante Rm = ? Se sabe que: ) ( 1 f o P A Rm q ∆ − = µ De la Fig. 3 / 56 , 148 1 m s qo = Reemplazando en la ecuación ) ( 56 , 148 f P A Rm ∆ − = µ µ ) ( 56 , 148 f P A x Rm ∆ − = s m kg x m s m kg m m s Rm . / 10 2 , 1 / ) 303795 ( ) 35 , 8 ( ) / ( 56 , 148 3 2 2 2 3 − − = Rm = 3,1404 x 1011 m-1 b) Volumen del filtrado para ciclo óptimo de filtración de la definición de la capacidad de filtración se tiene:
  • 385.
    7-94 C t V C F = ) ( Donde, eltiempo de filtración es la suma de los tiempos de filtración (t) y el tiempo operativo (tiempo de lavado) t1 , por tanto: tC = t + t1 Entonces, en la ecuación de capacidad de filtración se reemplaza el valor de tC 1 ) ( t t V C F + = Donde: V q V k t o C         +       = 1 2 1 2 Reemplazando el valor de t en la ecuación de capacidad de filtración 1 2 ) / 1 ( ) 2 / 1 ( ) ( t V q V k V C F o C + + = Las condiciones óptimas de filtración se obtiene, al maximizar la función de capacidad de filtración, es decir: ( ) 0 ) / 1 ( ) 2 / 1 ( [ 1 2 =       + + = t V q V k V dV d dV C F d o C Desarrollando ( ) [ ] [ ] 0 ) / 1 ( 2 / 1 ) / 1 ( 1 2 1 2 1 2 1 2 = + + + − +       + t V q V k q V k V t V q V k o C o C o C (1/2) kC V2 + (1/qo) V + t1 – kC V2 – (1/qo) V = 0 - kC V2 = - 2 t1 V = C k t1 2 Donde: C OP k t V V 1 2 = =
  • 386.
    7-95 Datos: t1 = 26minutos = 1560 s kC = 181,38 s/m3 Volumen óptimo de filtración 38 , 181 1560 2 x Vop = Vop = 4,147 m3 Cálculo de tiempo de filtración V q V k t o C         +       = 1 2 1 2 Reemplazando datos: ( ) ( ) 147 , 4 56 , 148 ) 147 , 4 ( 38 , 181 5 , 0 2 x x t + = t = 2175,72 s Tiempo de un ciclo tC = tciclo = t + t1 = 2175,72 + 1560 tC = 3735,72 s/ciclo Nº de ciclos = ciclo s hora s x horas / 75 , 3735 1 3600 10 Nº de ciclos = 9,636 ciclos que corresponde a = 0,636 ciclos x 3735,72 s/ciclos = 2375,9 s Para este tiempo el volumen de filtrado obtenido se calcula como: 2375,9 = (0,5 x 181,38) V2 + 148,56 V 90,69 V2 + 148,56 V - 2375,9 = 0 V = 4,364 m3 El volumen de filtrado en las 10 horas de operación será: V = 9 ciclos x 4,147 8m3 /ciclo + 4,364 m3
  • 387.
    7-96 V = 41,6870m3 c) Filtración a volumen constante El volumen de filtrado se obtiene a partir de la siguiente ecuación ) ( ) ( 2 f f P A Rm V P A C V t ∆ − +         ∆ − = µ α µ Desarrollando esta ecuación de tiene: 0 ) ( ) ( 2 2 = − ∆ − +         ∆ − t V P A Rm V P A C f f µ α µ Hacemos el siguiente cambio de variables Sea: ) ( 2 f P A C a ∆ − = α µ ) ( f P A Rm b ∆ − = µ Luego la ecuación se simplifica como: a V2 + b V - t = 0 Al resolver esta ecuación de segundo grado, tomando la raiz adecuada, se obtiene un volumen de filtrado en función de tiempo. La solución es como sigue a C a b b V 2 4 2 − ± − = es lo mismo expresar como: a b a C a b V 2 ) ( 2 4 2 − − = Cálculo de: a = f P A C ∆ 2 α µ b = ) ( f P A Rm ∆ − µ A = 8,35 m2 C = 128,20 kg/m3
  • 388.
    7-97 t = 8520s ∆P = 4,5 atm = 4,5 x 101325 α = 2,5 x 1010 m/kg Rm = 3,1404 x 1011 m-1 µ = 1,2 x 10-11 kg/m.s ) 101325 5 , 4 ( ) 35 , 8 ( / ( 20 , 128 ( 10 5 , 2 ) . / ( 10 2 , 1 2 3 19 3 x m m kg x s m kg x a − = a = 136,10 b = ) ( f P A Rm ∆ − µ ) 101325 5 , 4 ( 35 , 8 10 1404 , 3 10 2 , 1 11 3 x x x x − = b = 98,98 Reemplazando ) 98 , 98 ( 2 98 , 98 0 , 136 ) 8520 ( ) 10 , 136 ( 4 98 , 98 2 − − − = V ) 0 , 136 ( 2 98 , 98 ) 0 , 136 ( 2 ) 8520 ( ) 10 , 136 ( 4 98 , 98 2 − − + = V V = 7,92 - 0,36 = 7,56 m3 Caudal: Q = V/t = min 1 60 8520 56 , 7 3 s x s m Q = 5,3239 x 10-2 m3 /min = 53,23 litros/min Q = 3,19 m3 /h Problema 12 Filtración a velocidad constante e incompresible: Dado: (-∆P1) = constante = 38,7 psia absoluta 01 , 0 10 10 , 6 5 + = − V x V t
  • 389.
    7-98 Se desea calcularel tiempo requerido para llegar a (-∆P2) = 50 lb/pulg2 absoluta a velocidad de filtración constante Q = 10 lt/s Como dato del problema indica: tiempo, (t) = segundo (-∆P) = lb/pulg2 (absoluta) V = litros La expresión anterior podemos expresar como sigue: B V A V t K + = (1) Donde: K = (1/2) kC B = (1/qo) De donde se sabe 5 2 10 10 , 6 − = ∆ = x P A C k f α µ (2) 01 , 0 ) ( = ∆ − = f P A Rm B µ (3) Cálculo de A y B para las nuevas condiciones. Suponiendo que las propiedades y el área se mantienen constantes, al igual que α y Rm. De Ec. (2): Cálculo de constante A Primera condición 2 1 5 ) ( 10 10 , 6 A C P x α µ = ∆ − − Segunda condición 2 2 ) ( A C P k α µ = ∆ − Igualando estas dos expresiones se obtiene         ∆ − ∆ − = − 2 1 5 10 10 , 6 P P x k       = − 0 , 50 7 , 38 10 10 , 6 5 x k 5 10 7214 , 4 − = x k
  • 390.
    7-99 De Ec. (3):Cálculo de constante B. En forma similar se tiene: Primera condición:       = ∆ − A Rm P µ ) ( 01 , 0 1 Segunda condición:       = ∆ − A Rm P B µ ) ( 2 Igualando estas dos expresiones se tiene: ) ( ) ( 01 , 0 2 1 P B P ∆ − = ∆ −         ∆ − ∆ − = 2 1 01 , 0 P P x B       = 50 7 , 38 01 , 0 x B B = 0,00774 Luego la nueva expresión viene a ser como: 0074 , 0 10 7214 , 4 5 + = − x V t De donde despejamos t t = 4,7214 x 10-5 V2 + 0,00774 V Y ahora dividimos ambos miembros entre t 1 = 4,7214 x 10-5 (V2 /t) + 0,00774 (V/t) Pero se sabe que: t V Q = Entonces, la expresión anterior queda como 1 = 4,7214 x 10-5 (V/t)2 + 0,00774 (V/t) O es lo mismo expresar como: 1 = 4,7214 x 10-5 (Q2 t + 0,00774 Q De donde despejamos el tiempo t, como: 2 5 10 7214 , 4 00774 , 0 1 Q x Q t − − =
  • 391.
    7-100 Reemplazando Q 10lt/s t = 195,4 s
  • 392.
    8- 1 CAPITULO VIII PROBLEMASDE AGITACION Y MEZCLADO Problema 1. En un aparato sin deflectores (Dt = 1200 mm y altura 1500 mm) se prepara una mezcla de ácidos (ρ = 1600 kg/m3 , µ = 20 cP) que ocupa 0,75 de su volumen. Los ácidos iniciales se mezclan con un agitador de hélice cuya frecuencia de rotación es de 3,5 rps. Determinar la potencia requerida para la instalación del motor eléctrico. Problema 2. Se desea agitar un líquido que tiene una viscosidad de1,5 x 10-3 Pa-s y densidad de 969 kg/m3 en un tanque de 0,91 metros de diámetro. El agitador será de turbina abierta de seis aspas (ver curva 2, Fig. 8.13) con un diámetro de 0,305 m, que opera a 180 rpm. El tanque tiene cuatro deflectores verticales, todos ellos con una anchura J de 0,076 m. ¿Calcúlese los kW necesarios?. Problema 3. Un tanque de 1,2 m. de diámetro y 2 metros de altura se llena hasta una altura de 1,2 metros con un latex que tiene una densidad de 800 kg/m3 y una viscosidad de 10 P. El tanque no tiene deflectores. A 360 mm. por encima del fondo del tanque se instala agitadores de hélice tres palas de 360 mm. de diámetro. El paso es 1:1 (el paso es igual al diámetro). Se dispone de un motor que desarrolla una potencia de 8 kW. ¿Es adecuado el motor para mover este agitador con una velocidad de 800 rpm.
  • 393.
    8- 2 Problema 4.Cual es la máxima velocidad con la que el agitador del tanque descrito en el problema 3 puede girar si el líquido se sustituye por otro de la misma densidad, pero con una viscosidad 1 P.? Problema 5. ¿Qué potencia se requiere para la operación de mezcla del problema 1 si se utiliza un agitador de hélice de 360 mm. de diámetro girando a 15 r/s y se instala 4 placas deflectoras, cada una con 120 mm. de ancho. Problema 6. Para un tanque de 4,5 ft provisto de placas deflectoras y una turbina de 6 palas de 1,5 ft y una profundidad de líquido de 4,8 ft, se ha medido el tiempo de mezclado de 29 s. La velocidad de la turbina es de 75 rpm y el fluido tiene una viscosidad de 3 cP y una densidad de 65 lb/ft3 . Estimar los tiempos de mezcla si un impulsor de un cuarto o la mitad del diámetro del tanque se utilizarán con las velocidades elegidas para dar la misma potencia por unidad de volumen. Problema 7. Se cuenta con tanque fermentador a escala de laboratorio de 20 litros de capacidad y 30 cm. de diámetro. Para llevar a cabo el proceso de fermentación se llena con un líquido de densidad 1200 kg/m3 y viscosidad 60 x 10-3 kg/m.s (60 cP). Para conseguir la homogeneidad en todo el medio se utiliza un agitador de hélice (paso = Da) de 10 cm. de diámetro que opera a 1200 rpm. Calcular la potencia consumida en los casos siguientes: a) El tanque está provisto de 4 deflectores de 3 cm. de ancho. b) El tanque no posee deflectores. c) Con las mismas condiciones excepto la solución tiene ahora una viscosidad de 100000 cP), vuélvase calcular la potencia requerida para el caso a. Problema 8. (Problema de escalamiento). Se tiene un tanque Nº 1 con agitador de turbina de 6 aspas planas. La dimensión del tanque será: Diámetro del tanque. Dt1 = 1,83 Ancho de paleta: WF = 0,122 m Diâmetro de la turbina Da1 = 0,61 m Dt1 = H1 Ancho de la pantalla. J1 = 0,15 m
  • 394.
    8- 3 N1 =90 rpm N1 = 10/60 = 150 rps. ρ = 920 kg/m2 µ = 0,01 Pa-s A continuación se desea realizar un escalamiento de estos resultados para un recipiente cuyo volumen es 3 veces mayor. Realice esto para los siguientes objetivos de proceso. a) Cuando se desea igual cantidad de test de masa. b) Cuando se necesita igual movimiento de líquido. Problema 9. (Escalamiento). Un reactor de planta piloto que es un modelo a escala de una unidad de producción, tiene un tamaño tal, que 1,0 gramo cargado en el reactor de planta piloto equivale a 500 gramos del mismo material cargado en la unidad de producción. La unidad de producción tiene 2 m de diámetro y 2 m de altura de líquido y contiene un agitador de turbina de 0,60 m de diámetro. Experimentalmente se ha encontrado que la velocidad óptima del reactor de la planta piloto es de 330 rpm. a) Cuales son las dimensiones siguientes del reactor de planta piloto. b) Si la masa de reacción tiene las propiedades físicas del agua a 70 ºC y la entrada de potencia por unidad de volumen ha de permanecer constante, ¿a qué velocidad deberá girar el rodete en el reactor grande?. c) ¿Cuál será la velocidad de giro si el tiempo de mezcla ha de permanecer constante? d) ¿A qué velocidad deberá de girar, si el número de Reynolds ha de permanecer constante? ¿Qué base recomendaría usted para el cambio de escala? ¿Por qué? Problema 10. Un reactor de tanque agitado de 3 pies de diámetro provisto de una turbina de palas rectas de 12 pulgadas se ha utilizado en un reactor por cargas en el que el tiempo de mezcla de los reactivos que cargan se considera crítico. Se ha obtenido resultados satisfactorios con una velocidad de agitación de 400 rpm. La misma reacción ha de realizarse en un tanque de 7 m de diámetro, para el que se dispone turbina estándar de 3 pies. a) ¿Que condiciones darían el mismo tiempo de mezcla en el tanque grande? b) ¿Cual sería la variación porcentual de la potencia por unidad de volumen?.
  • 395.
    8- 4 CAPITULO VIII SOLUCIONDE PROBLEMAS Problema 1. Para resolver el problema se plantea el siguiente esquema: DATOS: Dt = 1200 mm = 1,2 m H = 1,50 m. Da = ? Da/Dt = 0,3 – 0,5 = 1/3 mm Dt Da 400 3 1200 3 1 = = = Da = 0,40 m Propriedades: ρ = 1600 kg/m3 µ = 20 x 10-3 kg/m-s Cálculo de número de Reynolds. 3 2 2 10 20 5 , 3 ) 4 , 0 ( 1600 ) ( Re − = = x x x N Da µ ρ Re = 44800 (régimen turbulento) Calculo de número de potencia. De la Figura 8.13, curva No 5, se tiene: Np = 0,35
  • 396.
    8- 5 Donde: 3 3 Da x N x P Np ρ = Reemplazandodatos: P = Np ρ N3 Da3 = 0,35 x 1600 (3,5)2 (0,4)3 P = 439,04 Watts = 0,50 kW Problema 2. Datos: Propiedades físicas. Densidad : ρ = 969 kg/m3 Viscosidad : µ = 1,5 x 10-3 kg/m.s Características del tanque agitado. • Diámetro del tanque : Dt = 0,91 m • Nº de deflectores : 4 • Ancho del deflector : J = 0,076 Características de la turbina. • Tipo de agitador : turbina de 6 aspas • Diámetro de la turbina : Da = 0,305 • Nº de revoluciones : N = 180 rpm = 3,0 rps Esquema del equipo de agitación: Con los datos calculamos los siguientes parámetros adimensionales. Número de Reynolds 3 2 2 10 5 , 1 0 , 3 ) 305 , 0 ( 969 ) ( Re − = = x x x N Da µ ρ Re = 180282, 45
  • 397.
    8- 6 Consideremos lacurva 2 para calcular el número de potencia, considerando Turbina abierta, seis aspas, puesto que: 0 , 12 97 , 11 076 , 0 91 , 0 ≈ = = m m J Dt De la figura 8.13 (Geankoplis), curva Nº 2, Turbina abierta de seis aspas planas (iguala a la Fig. C mostrada), Np = 2,5 Se sabe que el número de potencia es: Np = 5 3 Da N P ρ Al despejar P y sustituir los valores conocidos P = Np ρ N3 Da5 = 2,5 x 969 x (3,0)3 x (0,305)5 P = 172,6 Watts = 0,1726 kW Resp. Fig. 8. 13. Correlaciones de potencia para diversos impulsores y deflectores. (Geankoplis)
  • 398.
    8- 7 Fig.1. Tanquecon deflectores y agitador de turbina de paletas planas mostrando la trayectorias de flujo: (a) vista lateral, (b) vista del fondo, (c) dimensiones de la turbina y el tanque (Geankoplis). Fig. 2. Agitadores de paletas y agitador de turbina: (a) paleta de cuatro aspas, (b) paleta de marco, (c) turbina abierta de seis aspas con 4 deflectores (Geankoplis)
  • 399.
    8- 8 Problema 3. Característicasdel tanque agitado Dt = 1,2 m HL = 1,2 m Agitador tipo hélice de tres palas Da = 360 mm. (paso 1:1) N = 800 rpm = 800/60 = 13,33 r/s P = 8 kW (disponible) Propiedades del latex: Densidad: ρ = 800 kg/m3 Viscosidad: µ = 10 Poise = 1 kg/m.s El procedimiento de solución es como sigue: 1. Calcular el Nº de Reynolds 2. Calcular Np = f [Re] 3. Calcular la potencia entregada 4. Comparar el valor calculado con el valor disponoble 5. Si el valor calculado es < que el valor disponible, el agitador no es adecuado Cálculo del número de Reynolds ( ) 2 2 3 (0,36 ) (13,33 / (800 / ) Re 1 / . Da N m r s kg m kg m s ρ µ = = Re = 1382 (Flujo transitorio) Cálculo de número de Froude, Fr g Da N Fr 2 = 81 , 9 ) 36 , 0 ( ) 33 , 13 ( 2 = Fr Fr = 6,52 De la Fig. 8.17 para tanques sin deflectores: Np = 0,73
  • 400.
    8- 9 Fig. 8.17.No de Potencia Np Vs. No Re para hélices marinas (paso =1,5:1) y cintas helicoidales(4) . Cálculo de potencia. P = Np x N2 x Da5 x ρ P = 0,73 (13,33)2 (0,36)5 x 800 = 8364 W Por tanto el motor no es adecuado, por que Pcalculada > Pdisponible Problema 4. Datos: P = 8 kW (dato calculado del problema 3) µ = 0,1 kg/m.s ρ = 800 kg/m3 Aquí lo que varía es la viscosidad y el procedimiento de cálculo es similar, pero se realiza por el método de aproximaciones sucesivas.
  • 401.
    8- 10 1. Supongamosnumero de revoluciones , N = 14 s-1 2. Cálculo de. ( ) 2 2 3 (0,36 ) (14) (800 / ) Re 0,1 / . Da N m kg m kg m s ρ µ = = Re = 14518 3. De la Fig. 8.17 (McCabe Smith), calculamos el No de Potencia, Np Np = 0,58 (por interpolación) 4. Cálculo de potencia P = Np x N3 x Da3 x ρ = 0,58 x 143 x 0,365 x 800 P = 7699 ≈ 8 kW, valor próximo Por tanto: N ≡ 14 rev/s (Pcalculado = Pdado) Problema 5 Agitador: Da = 360 mm Nº de placas deflectoras = 4 J = 120 mm N = 15 r/s ρ = 800 kg/m3 µ = 1 kg/m.s P = ? 1. Cálculo de Nº de Reynolds ( ) 2 2 3 (0,36 ) (15) (800 / ) Re 1,0 / . Da N m kg m kg m s ρ µ = = = 1555 2. Cálculo de número de Potencia: De la Fig. 8.17, Np = 0,90
  • 402.
    8- 11 Fig. 8.17.No de Potencia Np Vs. No Re para hélices marinas (paso =1,5:1) y cintas helicoidales(4) . 3. Cálculo de potencia suministrada P = Np x N x Da x ρ = 0,90 x 15 x 0,36 x 800 = 14690 w P ≡ 15 kW ---------- Un motor de 8 kW no sería adecuado Problema 6 Datos: Dt = 4,5 ft = 1,3716 m Da = 1,5 ft = 0,4572 m H = 4,8 ft = 1,46304 m Agitador: tipo turbina de 6 palas t = 29 s N = 75 rpm = 75/60 = 1,25 r/s
  • 403.
    8- 12 Propiedades: ρ =65 lb/ft3 = 1041,90 kg/m3 µ = 3 cP = 3 x10-3 kg/m.s 1. Cálculo del número de Reynolds µ ρ N Da2 Re = s m kg x m kg m . / 10 3 ) / 90 , 1041 ( ) 25 , 1 ( ) 4572 , 0 ( Re 3 3 2 − = Re = 9,07 x 104 , Flujo turbulento 2. Cálculo del número de potencia Np = f (Re) El flujo es turbulento > 104 , por tanto, Np es constante de acuerdo a la Fig. 8,16 Fig. 8.16. No de potencia Np Vs No de Reynolds Re para turbinas e impulsores de alta eficiencia(4) . 3. Por la condición 3429 , 0 4 3716 , 1 4 = = = Dt Da
  • 404.
    8- 13 4. Como:Np1 = Np2, se tiene ρ 5 3 Da N p Np = Por tanto: ρ 5 1 5 1 1 1 Da N p Np = ρ 5 2 5 2 2 2 Da N p Np = Por la condición de igualdad se tiene: 5 1 3 1 1 Da N p = 5 2 5 2 2 Da N p ó es lo mismo expresar como: 5 1 3 1 5 3 2 Da N Da N = 3 / 5 2 1 1 2         = Da Da N N Reemplazando datos: 3 / 5 2 3429 , 0 4572 , 0 / 25 , 1       = s r N N2 = 2,02 r/s Ahora verificamos el régimen de flujo 3 2 2 2 10 3 90 , 1041 ( ) 02 , 2 )( ) 3429 , 0 ( Re − = = x N Da µ ρ Re2 = 8,24 x 104
  • 405.
    8- 14 Problema 7 a)Para el prime caso: Vt = 20 litros = 0,020 m3 Dt = 30 cm = 0,30 m Da = 10 cm = 0,10 m J = 3 cm = 0,03 m ρ = 1200 kg/m3 µ = 60 x 10 -3 kg/m.s N = 1200 rpm = 20 rps Cálculo de la altura de líquido a partir del volumen del tanque: Vt = ) ( ) 4 ( ) ( 4 2 2 Dt Vt H H Dt π π = ⇒ Para el caso del tanque agitado con deflectores, no existe vórtice, por tanto: Np = f (Re) Cálculo de número de Reynolds, Re 06 , 0 1200 ) 11 , 0 ( 20 Re 2 2 = = µ ρ N Da Re = 4000 Verificación de relaciones 333 , 0 0 , 3 1 , 0 3 , 0 = → = = Dt Da Da Dt H Da Da H → = = 83 , 2 1 , 0 283 , 0 10 , 0 3 , 0 03 , 0 = = Dt J
  • 406.
    8- 15 Teniendo encuenta el tipo del agitador (hélice, paso igual a Da) y sus dimensiones características (Dt/Da, H/Da, J/Dt), la curva de potencia es Nº 5 de la Fig. 8.9, luego para Re = 4000, el número de potencia calculado es: Np = 0,36 Fig. 8.9. Curvas de potencia para la agitación de líquidos de baja o moderada viscosidad. Tanques agitados con placas deflectoras.
  • 407.
    8- 16 Luego lapotencia consumida es: 5 3 36 , 0 Da N P Np ρ = = ] ) 1 , 0 ( 20 1200 [ 36 , 0 ] [ 5 3 5 3 x x Da N Np P = = ρ P = 43,56 J/s (Watt) b) Caso b: tanque sin deflectores Para este caso existe vórtice y por tanto es necesario utilizar la siguiente relación Np = φ (Fr)y Donde, 08 , 4 81 , 9 ) 1 , 0 ( ) 20 ( 2 2 = = = g Da N Fr 2 10 3 , 8 18 ) 400 log( 1 , 2 Re log − − = − = − = x b a y Re > 300 Agitador tipo hélice (paso = Da) Dimensiones: Dt/Da = 3 y H/Da = 2,83 Curva de potencia Nº 4 de la Fig. 8.10 se obtiene el valor ψ = 0,3 Por tanto el número de potencia es: Np = ψ (Fr)y = 0,3 (4,08)-8,3 x 10E-2 = 0,27 P = Np [ρ N3 Da5 ] = 0,27 [1200 x 203 (0,1)5 ] P = 25,6 J/s c). Esta parte se deja como ejercicio, el procedimiento es similar al caso (a), con la única diferencia de la viscosidad, por tanto el numero de Reynolds es diferente.
  • 408.
    8- 17 Fig. 8.10.Curvas de potencia para la agitación de líquidos de baja o moderada viscosidad. Tanques agitados sin placas deflectoras. Problema 8 1) Calculamos el volumen del tanque inicial, suponiendo la siguiente condición Dt1 = H1 (condición del problema), por tanto: Dt1 = H1 = 1,83 m ) 83 , 1 ( ) 83 , 1 ( 4 ) ( 4 2 1 2 1 1 π π = = H Dt VT VT1 = 4,813 m3
  • 409.
    8- 18 2) Cálculode volumen para el nuevo tanque VT2 = 3 VT1 = 14,44 m3 3) Procedimiento de escalamiento: Suponiendo Dt = H Tanque No 1: 3 1 1 1 1 ) ( 4 ) ( 4 Dt H Dt VT π π = = Tanque No 2: 3 2 2 2 2 ) ( 4 ) ( 4 Dt H Dt VT π π = = Estableciendo la razón: 3 1 3 2 3 1 3 2 1 2 ) ( 4 ) ( 4 Dt Dt Dt Dt V V T T = = π π Luego la relación se establece como:         =         = 1 2 3 / 1 1 2 Dt Dt V V R T T Reemplazando datos: 442 , 1 813 , 4 44 , 14 3 / 1 =       = R 4) Escalamiento de dimensiones para el agitador más grande Diâmetro tanque. Dt2 = RDt1 = 1,442 x 1,83 = 2,64 m. Diâmetro agitador Da2 = R1 Da = 1,442 x 0,61 = 0,88 m. Ancho aspa W2 = 1,442 x 0,122 = 0,176 m Ancho bafles J2 = 1,442 x 0,15 = 0,216 5) Cálculo de Nº de Reynolds y potencia del agitador. Caso a) Igual transferencia de masa n = 2/3 Se tiene la condición: Potencia (1) = Potencia (2) p1 = p2 Y si dividimos entre volumen, se tiene: 2 2 1 1 T T V P V P = Donde: P1 = Np1[ ρ x N1 3 x Da1 5 , VT1 = (π/4) Dt1 3 P1 = Np2[ ρ x N2 3 x Da2 5 , VT2 = (π/4) Dt2 3
  • 410.
    8- 19 Reemplazando estosdatos se tiene: ( ) ( ) 3 2 5 2 3 2 2 3 1 5 1 3 1 1 4 [ 4 ] [ Dt Da N Np Dt Da N Np π ρ π ρ = 3 2 5 2 3 2 3 1 5 1 3 1 Dt Da N Dt Da N = Pero se sabe que:         =         = 1 2 3 / 1 1 2 Dt Dt V V R T T Reordenando la ecuación anterior y reemplazando el valor de R 5 1 2 3 2 3 1 3 1 2 ) / ( Da Da N N Dt Dt =         R3 N1 3 = N2 3 R5 N1 3 = N2 3 R2 N2 = N1 (1/R)2/3 Reemplazando datos: N2 = 150 (1/1,442)2/3 = 1,17 rps (70,5 rpm) Cálculo de número de Reynolds. 01 , 0 929 ) 880 , 0 ( 175 , 1 Re 2 2 = = µ ρ N Da Re = 8,453 x 104 Para el primer tanque calculamos 01 , 0 929 ) 880 , 0 ( 50 , 1 Re 2 2 1 = = µ ρ N Da Re1 = 5,185 x 104 Considérese la Curva Nº 1 de la Fig. 8.13, puesto que se tiene los siguientes datos de escalamiento:
  • 411.
    8- 20 5 1 = W Da 12 1 1 = J Dt Np1 =5,0 De acuerdo a lãs características (Geankoplis), seleccionanos la curva No 1 (turbina de 6 aspas planas Da/ W = 5, 4 deflectores, cada uno com Dt / j = 12) P1 = Np1[ ρ x N1 3 x Da1 5 = 5 x [929 (1,5 D)3 (0,01)5 ] P1 = 1324 J/s = 1,324 kW (1,77 hP) Utilizando el mismo Np1 = Np2 = 5,0 P1 = Np2[ ρ x N2 3 x Da2 5 = 5,0 [ 929 (1,175)3 (0,880)5 = 3977 J/s P1 = 3,977 kW Fig. 8. 13. Correlaciones de potencia para diversos impulsores y deflectores. (Geankoplis)
  • 412.
    8- 21 Luego, lapotencia para volumen unitario es: 2 1 1 / 2752 , 0 813 , 4 324 , 1 m kW V P T = = 2 2 21 / 2752 , 0 44 , 14 977 , 3 m kW V P T = = Nota: El valor de 0,2752 kW/m2 , es un valor poco menor que el de la indicaciones aproximadas de 0,8 – 2,0 para tanques de masa. Para el caso b: Igualmente al de líquidos n = 1,0 0 , 1 0 , 1 1 1 2 442 , 1 1 50 , 1 1       =       = R N N N2 = 1,040 rev/s 5 3 2 ) 880 , 0 ( ) 040 , 1 ( 929 [ 0 , 5 = P P2 = 2757 J/s = 2,757 kW 3 2 2 / 1909 , 0 44 , 14 757 , 2 m k V P = = Problema 9 Datos: Escala: Unidad de producción Escala: Planta piloto m = 500 g m = 1 g Dt = 2 m M = 330 rpm H = 2 m Da = 0,60 m Agitador tipo turbina a) Dimensiones del reactor: Escalamiento: Volumen de unidad de producción 1 1 1 ) ( 4 T T H DT V π = Por condición del problema. DT = HT
  • 413.
    8- 22 3 1 1 ) ( 4 DT VT π =(1) En forma similar calculamos el volumen a escala planta piloto 3 2 2 ) ( 4 DT VT π = (2) Estableciendo la razón entre los dos volúmenes, se tiene: 3 2 1 2 1         = DT DT V V T T A partir de esta relación establecemos como R V V DT DT T T =         = 3 / 1 2 1 2 1 Por otro lado se sabe que: m = ρ V ⇒ V = m/ρ Lo que es lo mismo expresar como: R m m DT DT T T =         = 3 / 1 2 1 2 1 / / ρ ρ , ρ = cte R m m DT DT T T =         = 3 / 1 2 1 2 1 R g g DT DT = =         = 937 , 7 1 500 3 / 1 2 1 Luego el factor lineal de escalamiento es: R = 7,937 Cálculo de dimensiones para el reactor a escala planta piloto. • Diámetro del tanque: 937 , 7 2 1 2 = = R DT DT DT2 = 0,252 m = 252 mm. • Diámetro del agitador: 937 , 7 60 , 0 1 2 = = R Da Da Da2 = 0,076 m = 76 mm. b) Propiedades físicas son constantes Potencia/unidad de volumen = constante
  • 414.
    8- 23 De acuerdoa la condición del problema se tiene: 2 2 1 1 T T V p V p = (I) Donde: p1 = Np1 [ρ N1 3 Da1 5 ], VT1 = (π/4)DT1 3 p2 = Np2 [ρ N2 3 Da2 5 ], VT2 = (π/4)DT2 3 Reemplazando estos datos se tiene = 3 1 5 1 3 1 1 ) ( ) 4 ( ] [ DT Da N Np π ρ 2 1 3 2 5 2 3 2 2 , ) ( ) 4 ( ] [ Np Np DT Da N Np = π ρ = 3 1 5 1 3 1 ) (DT Da N 3 2 5 2 3 2 ) (DT Da N (II) Pero se sabe que: R =         =         2 1 3 / 1 2 1 DT DT V V T T Reordenando la ecuación (II) y reemplazando el valor de 3 2 3 2 1 3 1 5 2 1 N DT DT N Da Da         =         3 / 2 2 1 3 2 2 3 1 3 2 2 3 1 5 / R N N N R N N R N R = ⇒ = = − Reemplazando datos: N2 = 330 rpm R = 7,937 N1 = 330/ (7,937)2/3 ---------- N1 = 82,93 rpm Esto nos demuestra que: ↓ → ↑ ↑ → ↓ N Dt ó N Dt Verificamos régimen de flujo en el reactor a escala planta piloto
  • 415.
    8- 24 µ ρ N Da2 Re = Datos: aT = 70 ºC ρ = 997,8 kg/m3 µ = 0,408 x 10-3 kg/m.s Da = 0,076 m N = 330 rpm = 330/60 rps 3 2 10 408 , 0 ) 8 , 997 ( ) 60 / 330 ( ) 076 , 0 ( Re − = x Re = 7,7691 x 104 Puesto que Re > 104 , entonces Np = constante De la Fig. 8.19 (Mc Cabe Smith) tiempo de mezcla en tanques agitados, se observa que para Re > 104 , Nt1 es constante, por tanto N1 tT1 - N2 tT2 = constante 98 , 3 9 , 82 330 2 1 1 2 = = = N N t t T T
  • 416.
    8- 25 Fig. 8.19.Tiempos de mezclado en tanques agitados: Las líneas discontinuas son para tanques sin deflectores; la línea continua es para tanques con placas deflectoras. c) Cual es la velocidad de giro si el tiempo de mezcla es constante significa que: tT1 = tT2, luego se tiene N1 = N2 = 330 rpm Para esta situación: Potencia por unidad de volumen es: Np1 = Np2 , N1 = N2 5 2 3 2 2 5 1 3 1 1 Da N p Da N p ρ ρ = 2 2 3 2 2 2 1 3 1 1 5 2 2 5 1 1 ) ( 1 ) ( ) ( 1 ) ( Da Da p Da Da p Da p Da p = ⇒ = 0 , 63 ) 937 , 7 ( ) ( ) ( 2 2 2 1 3 2 2 3 1 1 ≅ =         = Da Da Da p Da p d) Como el número de Reynolds es constante µ ρ N Da2 Re = = Cte Se tiene:
  • 417.
    8- 26 Cte N Da = µ ρ 2 1 Cte N Da = µ ρ 2 2 Igualando setiene: 2 2 2 1 2 1 N Da N Da = 2 2 1 2 1 2 2 1 1 2 ) 937 , 7 ( 330 =         =         = Da Da N Da Da N N N2 = 5,24 r/min Np = constante 3 2 3 1 2 2 1 2 3 1 2 3 2 2 330 24 , 5 ) 937 , 7 ( ) ( ) (       =                 = n n Da Da Da p Da p 3965 1 35937000 72 , 9063 = = Tiempo de mezclado Re = 8,23 x 104 De la Fig. 8.20 se observa que para este rango ft es constante. Fig. 8.20. Correlación de tiempos de mezcla para líquidos miscibles en un tanque con placas deflectores agitado con una turbina
  • 418.
    8- 27 ft =6,0 2 / 3 2 / 1 2 / 1 6 / 1 3 / 2 2 ) ( t T T D H Da g NDa t f = Para tiempo mezcla 1 2 / 3 1 2 / 1 1 2 / 1 1 6 / 1 3 / 2 2 1 1 1 ) ( t T T D H Da g NDa t f = Para tiempo mezcla 2 2 / 3 2 2 / 1 2 2 / 1 2 6 / 1 3 / 2 2 2 2 2 ) ( t T T D H Da g NDa t f = Como fT1 = fT2 2 / 3 1 2 / 1 1 2 / 1 1 6 / 1 3 / 2 2 1 1 ) ( t T D H Da g NDa t = 2 / 3 2 2 / 1 2 2 / 1 2 6 / 1 3 / 2 2 2 2 ) ( t T D H Da g NDa t Como H1 = H2 Dt1 = Dt2 2 / 1 2 3 / 2 2 2 2 2 2 / 1 1 3 / 2 2 1 1 1 ) ( ) ( ) ( ) ( Da Da N t Da Da N t T T = 2 / 1 2 3 / 2 2 2 2 2 / 1 1 3 / 2 2 1 1 1 2 ) ( ) ( ) ( ) ( Da Da N Da Da N t t T T = / 1 2 1 3 / 4 2 1 3 / 2 2 1 1 2                         = Da Da Da Da N N t t T T 6 / 11 2 1 3 / 2 2 1 1 2                 = Da Da N N t t T T
  • 419.
    8- 28 Para Da= Dt/4 Reemplazamos datos tT1 = 29 s N1 = 75 rpm N2 = 121,1 rpm Da1 = 1,5 pies = 18 pulg Da2 = (4,5/4,0)ft = 1,125 = 13,5 pulg Reemplazando datos: 6 / 11 3 / 2 2 125 , 1 5 , 1 1 , 121 75 29             = T t tT2 = 35,70 s Para Da = Dt /2 Da2 = (4,5/2) = 2,25 ft Np1 = Np2 sabe se además pero Da N p Da N p , 5 2 3 2 2 5 1 3 1 1 ρ ρ = p1 = p2 5 1 3 1 5 2 3 2 Da N Da N = 3 / 5 2 1 1 2 5 2 1 3 1 2 2         = ⇒         = Da Da N N Da Da N N Datos: N1 = 75 rpm Da1 = 1,5 pies Da2 = (4,5/2) =2,25 ft Reemplazando datos: rpm N N 15 , 38 25 , 2 5 , 1 75 2 3 / 5 2 2 = ⇒       = Luego para este N2 calculamos el tT2 6 / 11 2 1 3 / 2 2 1 1 2                 = Da Da N N t t T T
  • 420.
    8- 29 6 / 11 3 / 2 2 25 , 2 5 , 1 15 , 38 75 29             = T t tT2= 2,64 s Problema 10. Representación en forma esquemática Considerando flujo turbulento Re > 105 2 / 3 2 / 1 2 / 1 6 / 1 3 / 2 2 ) ( t T T D H Da g NDa t f = =                     Da N g H D D Da Nt t t T 2 2 / 1 2 Donde Da N g Fo 2 = Para flujo altamente turbulento Re > 105 y para un tanque con placas deflectoras ft = 5,0 (casi constante) Por tanto, se ignora el número de Froude. Luego, la ecuación se reduce 2 / 1 2               = H D D Da t N f t t T t
  • 421.
    8- 30 Luego setiene: Condición 1: 2 / 1 1 1 2 1 1 1 1 1                 = H D D Da t N f t t T t Condición 2: 2 / 1 2 2 2 2 2 2 2 2                 = H D D Da t N f t t T t Igualando estas 2 ecuaciones, se tiene: 2 / 1 2 2 2 2 2 2 2                 H D D Da t N t t T = 2 / 1 1 1 2 1 1 1 1                 H D D Da t N t t T Pero; fT1 = fT2 (Condición del problema) 2 / 1 2 2 2 2 2 2                 H D D Da N t t = 2 / 1 1 1 2 1 1 1                 H D D Da N t t Esta última ecuación podemos reordenar como. 2 / 1 2 2 2 2 2 2 1                     t t D H D Da N = 2 / 1 1 1 2 1 1 1 1                     t t D H D Da N De esta expresión podemos considerar que: (H/Dt) = constante = 1,0 (H = Dt) Luego la ecuación se simplifica como: 2 2 2 2         t D Da N = 2 1 1 1         t D Da N 2 2 2 2 1 2 1 2                 = t t D Da D Da N N = 2 2 2 1 1 1             t t D Da D Da N Datos: N1 = 400 rpm = 400/60 = 6,67 rps
  • 422.
    8- 31 Da1 =12 pulg Dt1 = 3 ft = 36 pulg ⇒ 333 , 0 3 1 36 12 1 1 = = = t D Da Da2 = 3 ft Dt2 = 7 ft ⇒ 4285 , 0 7 3 2 2 = = t D Da N2 = 6,67 x (0,33)2 / (0,4285)2 N2 = 4,03 r/s = 242 rpm.
  • 423.
    INDICE Pagina CAPITULO I INTRODUCCIÓN AMECANICA DE FLUIDOS Y PROPIEDADES 1.1 Problemas 1.1 Solución de problemas 1.6 CAPITULO II ESTÁTICA DE LOS FLUIDOS 2.1 Problemas 2.1 Solución de problemas 2.11 CAPITULO III PRINCIPIOS DE CONSERVACIÓN 3.1 Problemas 3.1 Solución de Problemas 3.13 CAPITULO IV FLUJO DE FLUIDO INCOMPRESIBLE EN TUBERÍAS Y DUCTOS 4.1 Problemas 4.1 Solución de Problemas 4.13 CAPITULO V BOMBAS Y COMPRESORES 5.1 Problemas 5.1 Solución de Problemas 5.14
  • 424.
    CAPITULO VI FLUJO COMPRESI6.1 Problemas 6.1 Solución de Problemas 6.4 CAPITULO VII FLUJO DE FLUIDOS EN OBJETOS EN OBJETOS SUMERGIDOS 7.1. FLUJO A TRAVÉS DE LECHOS EMPACADOS O FLUIDIZADOS 7.1 Problemas 7.1 Solución de Problemas 7.10 7.2. SEDIMENTACIÓN 7.43 Problemas 7.43 Solución de Problemas 7.47 7.3. FILTRACIÓN 7.62 Problemas 7.62 Solución de Problemas 7.67 CAPITULO VIII AGITACIÓN Y MEZCLADO 8.1 Problemas 8.1 Solución de Problemas 8.4 APENDICE
  • 425.
    PRESENTACIÓN El texto titulado“Mecánica de Fluidos Aplicado a Diseño de Equipos de Procesos Industriales Parte II : Problemas de Aplicación ”, se pone a disposición a los señores docentes, estudiantes y profesionales para ser utilizados como material complementario de la parte teórica mediante la solución de diferentes problemas de carácter aplicativo planteados por cada capitulo. Para cada capitulo se ha seleccionado de los textos de Mecánica de Fluidos los problemas propuestos mas relevantes de enfoque practico aplicados a los procesos industriales con una visión siempre referido al diseño de equipos para una buena formación de los Ingenieros Químicos y otras ramas de Ingeniería afines. Mucho de los problemas presentados aquí son planteados a los estudiantes como tareas asignadas o evaluadas en los exámenes. Se presenta una metodología de solución sencilla para cada problema de una manera meticulosa para ilustrar las etapas que por lo general los estudiantes dificultan en entender. Los problemas son planteados desde una solución fácil hasta un cierto grado de dificultad a fin de mejorar el razonamiento de los estudiantes frente a un problema planteado. El texto se ha dividido en 8 capítulos y esta estructurado su desarrollo de acuerdo al esquema planteado en el sílabos. En cada capitulo primero se plantea los problemas y luego viene la parte de solución. Esto permite a que el estudiante como una manera de ejercicio debe resolver por si mismo y luego los resultados verificarlo con la solución presentada en el texto, de lo contrario simplemente estaría aprendiendo como una cosa mecánica que no permitiría desarrollara su capacidad de raciocinio. Por tanto, para obtener el máximo beneficio el estudiante primero debe comprender los aspectos teóricos y luego aplicarlos a los conceptos para resolver los problemas.
  • 426.
    Confío que estaobra contribuya a la mejor formación del estudiante, y de alguna manera a paliar la falta de un texto que abarque con amplitud los aspectos relacionados a la Mecánica de Fluidos aplicados en Ingeniería Química, y que simultáneamente resulte de alguna utilidad como texto de consulta para aquellos que ejercen su actividad profesional. Finalmente, los autores estarán muy reconocidos por su utilización como texto de consulta y muy gustoso recibirán sus críticas y comentarios, lo que permitirá mejorar el contenido para futuras ediciones. LOS AUTORES Cipriano Mendoza Rojas Edith Cisneros Gómez Ayacucho, Junio 2012
  • 427.
    UNIVERSIDAD NACIONAL DESAN CRISTÓBAL DE HUAMANGA FACULTAD DE INGENIERÍA QUÍMICA Y METALURGIA PARTE II: PROBLEMAS DE APLICACION MECÁNICA DE FLUIDOS APLICADO AL DISEÑO DE EQUIPOS DE PROCESOS INDUSTRIALES Cipriano Mendoza Rojas Edith Cisneros Gómez